KR100918436B1 - Vision-Based Fire Detection Systems and Methods - Google Patents
Vision-Based Fire Detection Systems and Methods Download PDFInfo
- Publication number
- KR100918436B1 KR100918436B1 KR1020070121221A KR20070121221A KR100918436B1 KR 100918436 B1 KR100918436 B1 KR 100918436B1 KR 1020070121221 A KR1020070121221 A KR 1020070121221A KR 20070121221 A KR20070121221 A KR 20070121221A KR 100918436 B1 KR100918436 B1 KR 100918436B1
- Authority
- KR
- South Korea
- Prior art keywords
- fire
- frame
- color
- luminance map
- svm
- Prior art date
- Legal status (The legal status is an assumption and is not a legal conclusion. Google has not performed a legal analysis and makes no representation as to the accuracy of the status listed.)
- Active
Links
Images
Classifications
-
- G—PHYSICS
- G08—SIGNALLING
- G08B—SIGNALLING OR CALLING SYSTEMS; ORDER TELEGRAPHS; ALARM SYSTEMS
- G08B17/00—Fire alarms; Alarms responsive to explosion
- G08B17/12—Actuation by presence of radiation or particles, e.g. of infrared radiation or of ions
- G08B17/125—Actuation by presence of radiation or particles, e.g. of infrared radiation or of ions by using a video camera to detect fire or smoke
-
- G—PHYSICS
- G06—COMPUTING OR CALCULATING; COUNTING
- G06N—COMPUTING ARRANGEMENTS BASED ON SPECIFIC COMPUTATIONAL MODELS
- G06N20/00—Machine learning
- G06N20/10—Machine learning using kernel methods, e.g. support vector machines [SVM]
-
- G—PHYSICS
- G06—COMPUTING OR CALCULATING; COUNTING
- G06T—IMAGE DATA PROCESSING OR GENERATION, IN GENERAL
- G06T7/00—Image analysis
- G06T7/20—Analysis of motion
-
- G—PHYSICS
- G06—COMPUTING OR CALCULATING; COUNTING
- G06T—IMAGE DATA PROCESSING OR GENERATION, IN GENERAL
- G06T7/00—Image analysis
- G06T7/40—Analysis of texture
-
- H—ELECTRICITY
- H04—ELECTRIC COMMUNICATION TECHNIQUE
- H04N—PICTORIAL COMMUNICATION, e.g. TELEVISION
- H04N7/00—Television systems
- H04N7/18—Closed-circuit television [CCTV] systems, i.e. systems in which the video signal is not broadcast
Landscapes
- Engineering & Computer Science (AREA)
- Physics & Mathematics (AREA)
- Theoretical Computer Science (AREA)
- General Physics & Mathematics (AREA)
- Multimedia (AREA)
- Computer Vision & Pattern Recognition (AREA)
- Software Systems (AREA)
- Evolutionary Computation (AREA)
- Computing Systems (AREA)
- General Engineering & Computer Science (AREA)
- Medical Informatics (AREA)
- Mathematical Physics (AREA)
- Data Mining & Analysis (AREA)
- Artificial Intelligence (AREA)
- Signal Processing (AREA)
- Business, Economics & Management (AREA)
- Emergency Management (AREA)
- Fire-Detection Mechanisms (AREA)
- Image Analysis (AREA)
Abstract
본 발명은 영상 정보로부터 화재 영역을 감지하는 비전 기반 화재 감지 시스템 및 방법에 관한 것이다. The present invention relates to a vision-based fire detection system and method for detecting a fire zone from the image information.
상기한 화재 감지 시스템은, 이전 프레임의 그레이 영상을 배경으로 초기화한 후에 현재 프레임을 반영하여 이전 배경 프레임을 업데이트하여 출력하는 움직임 감지모듈; 상기 움직임 감지모듈이 출력하는 프레임에 대해 컬러 모델을 적용하여 제1화재 후보 영역을 검출하는 컬러 모델링 모듈; 상기 현재 프레임에 대해 루미넌스 맵을 적용하여 주변에 비해 밝은 제2화재후보영역을 검출하는 루미넌스 맵 처리 모듈; 상기 제1 및 제2화재후보영역에 대해 SVM(Support Vector Machine)을 이용하여 시간적인 웨이블릿 변환 에너지의 변화량 모델에 따라 최종 화재 감지 영역을 추출하는 SVM 처리 모듈을 구비하는 것을 특징으로 한다. The fire detection system includes: a motion detection module for initializing a gray image of a previous frame to a background and updating and outputting a previous background frame to reflect the current frame; A color modeling module configured to detect a first fire candidate region by applying a color model to a frame output by the motion detection module; A luminance map processing module configured to apply a luminance map to the current frame to detect a second fire candidate region brighter than a surrounding; And a SVM processing module for extracting a final fire detection region for the first and second fire candidate regions according to a variation model of temporal wavelet transform energy using a support vector machine (SVM).
화재 감지, 영상, 컬러 모델링, 움직임 감지, 루미넌스 맵, SVM(Support Vector Machine) Fire Detection, Imaging, Color Modeling, Motion Detection, Luminance Map, SVM (Support Vector Machine)
Description
본 발명은 화재 감지 기술에 관한 것으로, 더욱 상세하게는 영상 정보로부터 화재 영역을 감지하는 비전 기반 화재 감지 시스템 및 방법에 관한 것이다. The present invention relates to a fire detection technology, and more particularly to a vision-based fire detection system and method for detecting a fire zone from the image information.
건물의 대형화와 복잡화는 실생활의 편의성을 높이는 반면에 화재와 같은 안전사고에 있어서 막대한 재산 및 인명 피해를 야기한다. 이에 따라 화재 경보 시스템을 구축의 필요성이 대두되고 있다. The size and complexity of buildings increase the convenience of real life, while causing enormous property and human damage in safety accidents such as fire. Accordingly, the necessity of establishing a fire alarm system is emerging.
화재발생은 조기진압이 가장 중요하지만 현재의 화재 경보 시스템은 센서기반의 감지기들이 대부분이며, 이러한 감지기는 화재가 발생한 후 일정시간이 지나 열이나 연기가 확산되어야 감지가 가능하다. Early fire suppression is the most important, but current fire alarm systems are mostly sensor-based detectors, which can be detected only after a certain time after the fire has spread heat or smoke.
따라서 조기 진화가 어려우며 넓은 장소와 개방된 공간에서는 그 성능이 떨어지게 된다. 이에 반하여 카메라를 이용한 화재 감지 시스템에서는 다음과 같은 장점들이 존재한다. As a result, early evolution is difficult and its performance is degraded in large spaces and open spaces. On the other hand, the following advantages exist in the fire detection system using a camera.
첫째, 카메라를 이용한 화재 감지 시스템은 건물 내외에 설치되어있는 감시카메라를 이용하여 구현이 가능하므로 추가적인 비용이 적게 든다. First, a fire detection system using a camera can be implemented by using a surveillance camera installed inside and outside the building, and thus additional costs are low.
둘째, 화재나 연기가 발생할 경우 열이나 연기의 확산을 기다릴 필요 없이 카메라를 통해 원격지에서 즉각적인 감지가 가능하다. Second, in the event of a fire or smoke, the camera can immediately detect a remote location without waiting for heat or smoke to spread.
셋째, 화재 경보 발생 시 근무자는 직접 그 장소로 갈 필요없이 원격지에서 눈으로 확인할 수 있으므로 즉각적인 대응이 가능하다.Third, in the event of a fire alarm, the worker can see immediately at a remote location without having to go directly to the place, so immediate response is possible.
상기한 카메라를 이용한 화재 감지 시스템의 장점에도 불구하고 현재까지 이와 관련된 연구는 아직 미비한 실정이다. Despite the advantages of the fire detection system using the camera described above until now, the research is still insufficient.
예를 들어, W. Phillips가 제시한 화재 감시 기술은 실험 데이터 영상 내에서 화재 영역을 추출하고 추출된 영역의 컬러 히스토그램의 가우시안 분포를 이용하여 화재 컬러에 따른 컬러 룩업(look-up) 테이블을 만든다. 상기 컬러 룩업 테이블을 이용하여 화재 후보 영역을 추출하고 그 영역의 시간적인 변화량으로 화재를 감별한 뒤 추가적인 침식기법과 영역확대 기법을 이용하여 최종적으로 화재를 검출한다. 하지만 실험데이터에 대한 휴리스틱한 특성으로 인해서 입력 영상이 다를 경우 성능이 떨어지는 단점이 있다. For example, the fire monitoring technique presented by W. Phillips extracts fire zones from an experimental data image and uses a Gaussian distribution of the color histograms of the extracted zones to create a color look-up table based on fire color. . The fire candidate region is extracted by using the color lookup table, the fire is discriminated by the amount of temporal change of the region, and the fire is finally detected by using an additional erosion technique and an area enlargement technique. However, due to the heuristic characteristics of the experimental data, there is a disadvantage in that the performance decreases when the input image is different.
그리고 C. B. Liu가 제시한 화재 감시 기술은 화재의 특성 중에서 불의 모양에 중점을 두고 컬러모델을 만들었다. 컬러 영상에서 화재 영역은 핵(core)의 형태로 내부의 중심원쪽 색상은 하얀색이나 노란색이고 중심원쪽에서 멀어질 때에는 오렌지색 혹은 붉은색을 띈다. 그레이 색상에서는 중심원부분은 핵 주변부에 비해서 밝은 형태를 띄게 된다. 이러한 특성에 따라 주변부에 비해서 높은 대비를 보이거나 흰색 혹은 노란색에서 오렌지색 혹은 붉은 색의 변화를 가지는 컬러 영역들이 링의 형태로 겹쳐져서 나타날 경우 불의 형태로 간주한다. 이 영역들을 화재 모델 로 삼고 그 영역의 외형적 변화를 분석하여 화재를 감지한다. 하지만 실제 화재 영역과 비슷한 색상을 가지는 물체와의 구분이 어려워서 정확한 화재 감지 성능이 떨어진다. The fire monitoring technique presented by C. B. Liu created a color model focusing on the shape of the fire among the characteristics of the fire. In the color image, the fire zone is in the form of a core, the inner central circle of which is white or yellow and orange or red when away from the central circle. In gray, the central circle is brighter than the nucleus periphery. According to this characteristic, if the color area that shows high contrast or the change of white or yellow to orange or red color is overlaid in the form of ring, it is regarded as the form of fire. Fires are detected by using these areas as a fire model and analyzing the external changes in the areas. However, it is difficult to distinguish an object having a color similar to a real fire zone, and thus accurate fire detection performance is deteriorated.
그리고 T. H. Chen이 제시한 화재 감시 기술은 일반적으로 붉은 색을 띄고 있으며 낮은 온도에서는 붉은 색에서 노란색으로, 높은 온도에서는 하얀색으로 나타나는 불꽃의 특색에 따라 화재 영역에 대한 RGB/HSI 컬러 모델로 불꽃 영역을 감지하고 불의 영역은 점차적으로 확대된다는 가정 하에 감지된 불꽃 영역에 대한 크기 변화를 분석함으로써 화재를 감별한다. 하지만 2개의 인접한 프레임간의 차로 불꽃 영역에 대한 크기 변화를 감지하기 때문에 작은 노이즈나 움직이는 물체에 대한 오류가 잦다. The fire monitoring technique presented by TH Chen is generally red in color, and is characterized by the RGB / HSI color model of the fire zone, depending on the nature of the flame from red to yellow at low temperatures and white at high temperatures. Detect and distinguish fires by analyzing the change in size for the detected flame zone, assuming that the fire zone is gradually expanded. However, because the difference between two adjacent frames detects a change in the size of the flame region, there is a lot of small noise or errors about moving objects.
그리고 B. U. Toreyin이 제시한 화재 감시 기술은 움직임 픽셀이나 영역에서 미리 정의된 컬러 모델과 비교하여 화재 영역인지 아닌지 구별하고 화재 영역으로 구별된 영역의 시간적/공간적 웨이블릿 분석을 이용하여 화재를 감별한다. 움직임 영역을 감지하기 위해서 현재 프레임과 이전 프레임의 차를 이용하여 움직임 영역과 배경을 나누고 움직임 영역에 대해서 픽셀별로 실험적인 결과에 따라 얻어진 화재 컬러 픽셀들과 비교한다. 화재 컬러 픽셀들은 실험적인 데이터 영상내의 화재 영역의 RGB 컬러 모델에서 가우시안 믹스처 모델(Gaussian Mixture Model)을 이용해서 생성되었으며 검출된 화재 후보 영역에 대해서 보다 정밀하게 시간적으로 변화되는 모습을 알아내기 위해 웨이블릿 변환을 이용한 고주파 성분의 변화량을 분석하여 화재를 감지하는 방법을 제안하였다. 이 방법은 화재 감지능력은 좋은 편이 지만 역시 너무 많은 휴리스틱 임계값을 사용함으로써 다양한 영상에서 화재를 감별하는 능력이 떨어진다. The fire monitoring technique proposed by B. U. Toreyin distinguishes between fire pixels or fire zones by comparing them with predefined color models in moving pixels or regions, and discriminates fires using temporal / spatial wavelet analysis of the zones identified as fire zones. In order to detect the motion area, the motion area and the background are divided using the difference between the current frame and the previous frame, and the motion area is compared with the fire color pixels obtained according to experimental results on a pixel-by-pixel basis. Fire color pixels were generated using a Gaussian Mixture Model from the RGB color model of the fire zone in the experimental data image and waveleted to detect more precise temporal changes in the detected fire candidate area. We proposed a method of detecting fire by analyzing the variation of high frequency components using transformation. This method has a good fire detection capability, but also uses too many heuristic thresholds, which reduces the ability to distinguish fires from various images.
본 발명은 상기와 같은 문제점을 해결하기 위하여 안출한 것으로서, 촬상장치로부터 입력된 영상정보에 대해 움직임을 표식하여 화재 컬러모델을 적용하고 루미넌스 맵과 웨이블릿 변환을 통한 에너지의 변화량을 분석하고 SVM을 이용하여 효과적으로 화재 영역과 비-화재 영역을 감별하는 비전 기반의 화재 감지 시스템 및 방법을 제공하는 것을 그 목적으로 한다. The present invention has been made to solve the above problems, by applying a fire color model by marking the movement of the image information input from the image pickup device, and analyzes the amount of energy change through the luminance map and wavelet transform and using the SVM It is an object of the present invention to provide a vision-based fire detection system and method for effectively discriminating fire zones from non-fire zones.
상기의 목적을 이루고 종래기술의 문제점을 해결하기 위한 화재 감지 시스템은, 이전 프레임의 그레이 영상을 배경으로 초기화한 후에 현재 프레임을 반영하여 이전 배경 프레임을 업데이트하여 출력하는 움직임 감지모듈; 상기 움직임 감지모듈이 출력하는 프레임에 대해 컬러 모델을 적용하여 제1화재 후보 영역을 검출하는 컬러 모델링 모듈; 상기 현재 프레임에 대해 루미넌스 맵을 적용하여 주변에 비해 밝은 제2화재후보영역을 검출하는 루미넌스 맵 처리 모듈; 상기 제1 및 제2화재후보영역에 대해 SVM(Support Vector Machine)을 이용하여 시간적인 웨이블릿 변환 에너지의 변화량 모델에 따라 최종 화재 감지 영역을 추출하는 SVM 처리 모듈을 구비하는 것을 특징으로 한다. A fire detection system for achieving the above object and to solve the problems of the prior art, the motion detection module for initializing the gray image of the previous frame to the background after updating the previous background frame to reflect the current frame; A color modeling module configured to detect a first fire candidate region by applying a color model to a frame output by the motion detection module; A luminance map processing module configured to apply a luminance map to the current frame to detect a second fire candidate region brighter than a surrounding; And a SVM processing module for extracting a final fire detection region for the first and second fire candidate regions according to a variation model of temporal wavelet transform energy using a support vector machine (SVM).
특히, 상기 움직임 감지모듈은, 현재 프레임에 대한 이전 프레임의 그레이 영상 값의 차분이 임계치보다 크면 해당 프레임에 움직임 픽셀 값을 부여함을 특징으로 한다. In particular, the motion detection module is configured to assign a motion pixel value to a corresponding frame when a difference between gray image values of a previous frame with respect to a current frame is greater than a threshold.
또한, 상기 컬러 모델링 모듈은, 영상 정보의 각 픽셀에 대해 R 채널의 값과 채도값 각각이 미리 정해둔 임계 범위에 속하면 제1화재 후보 영역으로 판별함을 특징으로 한다. The color modeling module may be configured to determine the first fire candidate region if each of the R channel value and the saturation value belong to a predetermined threshold range for each pixel of the image information.
또한, 상기 R 채널 값에 대한 임계 범위 및 상기 채도에 대한 임계 범위는 화염에 대한 컬러 모델을 토대로 정해짐을 특징으로 한다. In addition, the threshold range for the R channel value and the threshold range for saturation are determined based on the color model for the flame.
또한, 상기 루미넌스 맵 처리 모듈은, 입력 영상정보를 그레이 영상정보로 변환하는 그레이 영상 변환부; 상기 그레이 영상정보를 다운 샘플링하는 다운 샘플링 모듈; 상기 다운 샘플링된 영상정보를 서로 다른 크기로 필터링하는 다수의 필터; 상기 다수의 필터의 출력값에 대한 평균을 연산하는 평균 연산부; 상기 평균 연산부의 출력을 원래 크기로 복원하여 루미넌스 맵을 생성하는 복원부; 상기 루미넌스 맵에 대해 가우시안 필터링하는 가우시안 필터; 상기 가우시안 필터링된 루미넌스 맵의 시간적인 변화량을 분석하는 변화량 검출부; 상기 변화량에 따라 제2화재 후보 영역을 결정하고 나머지 영역을 제거하는 비화재 영역 제거부로 구성됨을 특징으로 한다. The luminance map processing module may include a gray image converter configured to convert input image information into gray image information; A down sampling module for down sampling the gray image information; A plurality of filters for filtering the down-sampled image information to different sizes; An average calculator configured to calculate an average of output values of the plurality of filters; A restoring unit generating a luminance map by restoring an output of the average calculating unit to an original size; A Gaussian filter for Gaussian filtering the luminance map; A change amount detector configured to analyze a temporal change amount of the Gaussian filtered luminance map; The non-fire region removal unit may be configured to determine a second fire candidate region according to the change amount and to remove the remaining region.
또한, 상기 SVM 처리 모듈의 결과에 대해 모폴로지 열림(opening) 연산을 통해 색상과 변화량에 대한 노이즈 영역을 제거하고 최종적으로 화재를 감별하는 것을 특징으로 한다. In addition, a morphological opening operation is performed on the result of the SVM processing module to remove a noise region for color and a change amount and finally to discriminate fire.
본 발명은 촬상장치를 이용해서 입력된 영상에 대해서 색상정보와 움직임 정보와 루미넌스 맵의 시간적인 변화량으로 화재 후보 영역을 감지하고 SVM을 이용하여 화재를 최종 감별하는 것으로, 휴리스틱한 특성으로 인해서 빈번한 오검출의 발생 등 다수의 문제들이 존재하는 기존의 비전 기반 화재 감지 방법들의 단점들을 극복하고 좀더 정밀한 결과를 얻을 수 있는 이점이 있다. The present invention detects a fire candidate region by temporal variation of color information, motion information, and luminance map with respect to an image input using an imaging device, and finally discriminates a fire by using an SVM. There are advantages in overcoming the shortcomings of existing vision-based fire detection methods in which a number of problems exist, such as the occurrence of detection, and obtaining more accurate results.
그리고 본 발명은 화재 영역을 감지하기 위해서 단순한 컬러 정보와 움직임의 변화량을 분석하는 것뿐만 아니라 연속적인 프레임에서 루미넌스 맵내의 화재 후보 픽셀의 시간적 변화량을 분석해서 비-화재 영역을 효과적으로 제거하고, 그 후에 이진 클래스 분류자인 SVM을 적용하여 화재/비화재 모델을 학습하고 학습된 데이터를 이용하여 최종적으로 화재 영역을 감지한다. In addition, the present invention analyzes the temporal variation of fire candidate pixels in the luminance map in successive frames as well as analyzing simple color information and the amount of change in motion to detect the fire region, and then effectively removes the non-fire region. We apply the SVM, which is a binary class classifier, to learn the fire / non-fire model and finally detect the fire zone using the learned data.
이로서, 본 발명은 연기나 프레임간의 미묘한 차이로 인한 노이즈에 강건한 효과가 있다. Thus, the present invention has a robust effect on noise caused by smoke or subtle differences between frames.
본 발명의 바람직한 실시예에 따른 화재 감지 시스템의 구성을 도 1을 참조하여 상세히 설명한다. The configuration of a fire detection system according to a preferred embodiment of the present invention will be described in detail with reference to FIG. 1.
상기 화재 감지 시스템은 이전 프레임의 그레이 영상을 배경으로 초기화한 후에 현재 프레임을 반영하여 이전 배경 프레임을 업데이트하여 출력하는 움직임 감지모듈(100), 상기 움직임 감지모듈이 출력하는 프레임에 대해 컬러 모델을 적용하여 제1화재 후보 영역을 검출하는 컬러 모델링 모듈(102), 상기 현재 프레임에 대해 루미넌스 맵을 적용하여 주변에 비해 밝은 제2화재후보영역을 검출하는 루미 넌스 맵 처리 모듈(104), 상기 제1 및 제2화재후보영역에 대해 SVM(Support Vector Machine)을 이용하여 시간적인 웨이블릿 변환 에너지의 변화량 모델에 따라 최종 화재 감지 영역을 추출하는 SVM 처리 모듈(106)로 구성된다. The fire detection system initializes the gray image of the previous frame to the background and then updates the previous background frame by reflecting the current frame and outputs the
<움직임 감지 모듈(100)><
상기 화재 감지 시스템의 움직임 감지 모듈(100)에 대한 동작을 설명한다. An operation of the
상기 움직임 감지 모듈(100)은 배경 초기화와 업데이트 방식을 이용한 움직임 픽셀을 감지하는 것으로, 공기의 흐름이나 재료 혹은 연료에 따라서 그 모양이 수시로 바뀌는 불꽃의 특성에 따라 첫 프레임의 그레이 영상을 배경으로 초기화한 뒤 현재 프레임을 반영하여 이전 배경 프레임을 업데이트하는 방식을 이용한다.The
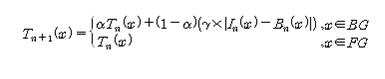
여기서, 는 현재 프레임에서 x위치에 대한 그레이 영상이고, 는 현재 프레임에서 배경을 의미한다. 상기 수학식 1의 배경과 현재 프레임의 차분이 임계치 값 의 값보다 크다면 해당 픽셀을 움직임 픽셀 값이 된다. 상기 전경 혹은 배경 영역에 포함된 각 픽셀 값은 수학식 2에 의해서 업데이트되고 임계값은 수학식 3에 의해서 업데이트된다.here, Is the gray image for x position in the current frame, Means background in the current frame. The difference between the background and the current frame of
여기서, 상기 α,β와 γ는 가중치 값으로 현재 프레임과 이전 배경 프레임의 반영 정도를 의미한다. Here, α, β, and γ are weight values and represent the degree of reflection of the current frame and the previous background frame.
도 2는 본 발명에 따른 움직임 픽셀을 감지한 결과 화면으로, 입력된 화재 영상(a)과 비-화재 영상(b)에 대한 움직임 영역이 (c)와 (d)에 붉은 색으로 각각 나타나는 것을 확인할 수 있다.FIG. 2 is a result screen of detecting a motion pixel according to the present invention, in which movement regions of the input fire image (a) and the non-fire image (b) appear in red in (c) and (d), respectively. You can check it.
<컬러 모델링 모듈(102)><Color
상기 화재 감지 시스템의 상기 컬러 모델링 모듈(102)의 동작을 설명한다. The operation of the
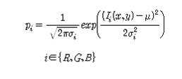
상기 컬러 모델링 모듈(102)은 Celik의 알고리즘을 응용하여 RGB 채널에 대한 확률적 모델을 구성하고 이로부터 화재 후보 픽셀을 감지하는 것이다. 상기 RGB 색상 각 채널의 분포는 서로 독립적이고 가우시안 분포를 보인다고 가정하고, 100개의 학습용 화재 프레임내의 화재 영상으로부터 화재 색상 픽셀을 추출한 뒤에 수학식 4를 이용하여 화재 색상 확률 모델을 생성한다. The
상기 수학식 4에서, μ는 학습 데이터로부터 얻어진 i색상 채널의 평균을 의미하며, σ는 i색상 채널의 분산을 의미한다. 이렇게 구해진 각 채널의 확률 모델(Pi)로부터 새로운 입력 픽셀 의 i채널 확률 값을 수학식 5를 이용하여 획득한다. In
상기 수학식 5에서, τ는 임계값을 뜻하며, 구해진 각 색상 채널의 확률값을 이용하여 수학식 5와 같이 전체 색상 채널의 확률값을 계산하고 이 값이 임계값 τ보다 클 경우에 이 픽셀은 화재 색상 픽셀이 된다.In
본 발명에 따른 가우시안 분포로 가정된 화재 색상 확률 그래프의 바람직한 실시예에 대하여 첨부한 도면을 참조하여 설명하면 다음과 같다. A preferred embodiment of the fire color probability graph assumed to be Gaussian distribution according to the present invention will be described with reference to the accompanying drawings.
도 3은 본 발명에 따른 화재 색상 정보를 이용하여 화재 후보 픽셀을 감지하기 위한 화재 색상 모델 그래프를 도시한 것으로, 학습 데이터로부터 구해진 0에서 255까지의 값을 갖는 RGB 채널에 대한 각각의 가우시안 확률 그래프가 나타나 있다.3 is a graph of a fire color model for detecting a fire candidate pixel using fire color information according to the present invention, each of which is a Gaussian probability graph for an RGB channel having a value from 0 to 255 obtained from training data. Is shown.
그리고 도 4는 본 발명에 따른 움직임 픽셀 감지와 색상 정보를 이용하여 화재 후보 픽셀을 감지한 결과 화면을 도시한 것으로, 화재 영상 (a), (b)와 비-화재 영상 (c), (d)에 대한 결과로 각각 화재 후보 픽셀로 감지된 부분이 붉은 색 영역으로 나타난 것을 확인할 수 있다. 상기 (a)와 (b)는 화재 영역이 정확하게 검출되었지만 상기 (c)와 (d)에서 움직임 객체에 포함되어 있는 일부 영역들이 화재 영역으로 잘못 검출되는 것을 알 수 있다. 4 illustrates a screen of a result of detecting a fire candidate pixel by using motion pixel detection and color information according to the present invention. FIG. 4 shows fire images (a), (b) and non-fire images (c), (d). As a result, it can be seen that the areas detected as fire candidate pixels are shown as red areas. (A) and (b) it can be seen that the fire area is detected correctly, but some areas included in the moving object in (c) and (d) are incorrectly detected as the fire area.
<루미넌스 맵 처리 모듈(104)><Luminance
상기 화재 감지 시스템의 상기 루미넌스 맵 처리모듈(104)의 동작을 설명한다. The operation of the luminance
상기 루미넌스 맵 처리모듈(104)은 시간적인 루미넌스 변화를 이용한 비-화재 픽셀을 제거하기 위한 것으로, 그레이 영상에서 화재 영역은 주변부에 비해서 밝다는 사실을 이용해서 컬러영상으로부터 루미넌스 맵을 생성하여 이용한다. 상기 루미넌스 맵 상에 화재 영역은 두드러지게 나타나고 시간적으로 많은 변화를 갖고 있는 화재 영역에 대해서 여러 개의 프레임 내에서 루미넌스 맵의 변화량을 이용하여 효과적으로 비-화재 영역을 제거할 수 있다.The luminance
본 발명에 따른 루미넌스 맵에서 시간적인 변화량을 이용하여 화재 영역을 감지하는 방법의 바람직한 실시예에 대하여 첨부한 도면을 참조하여 설명하면 다음과 같다. Referring to the accompanying drawings, a preferred embodiment of a method for detecting a fire area using a temporal change amount in a luminance map according to the present invention will be described below.
도 5는 루미넌스 맵 처리모듈(104)의 상세 구성을 도시한 것이다. 5 shows a detailed configuration of the luminance
상기 루미넌스 맵 생성장치는 그레이 영상 변환부(200), 다운 샘플링 모듈(202), 제1필터(204, 제2필터(206), 평균연산부(208), 복원부(210), 가우시간 필터(212), 변화량 검출부(214), 비화재 영역 제거부(216)로 구성된다. The luminance map generator includes a
상기 루미넌스 맵 처리모듈(104)은 루미넌스 맵(L)을 생성하기 위해 원본 컬러 영상을 그레이 영상으로 변환한 후에, 1/2의 크기로 다운 샘플링한 후 서로 다른 크기의 필터 s∈{11×11, 13×13}를 통해 필터링한다.The luminance
이후, 상기 11×11과 13×13 필터를 적용하여 획득한 서로 다른 루미넌스 맵의 평균값을 취하여 특징 맵을 생성한 후에, 다시 원래 크기로 복원하고, 이 영상에 대해 가우시안 필터를 적용하여 노이즈를 제거하여 최종 루미넌스 맵을 획득한다. Thereafter, after generating the feature map by taking the average value of the different luminance maps obtained by applying the 11 × 11 and 13 × 13 filters, the image is restored to its original size and the Gaussian filter is applied to the image to remove noise. To obtain the final luminance map.
이러한 과정은 수학식 6으로 표현될 수 있다. This process can be represented by
상기 수학식 6에서 는 1/2의 크기로 다운 샘플링된 회색도 영상에 대해 11×11과 13×13 필터를 적용한 서로 다른 루미넌스 맵이고, 이들의 평균값이 특징 맵 이 된다. 상기 은 다시 원래의 크기로 복원되고, 이 영상에 대해 가우시안 필터를 적용해서 노이즈를 제거하고 루미넌스 맵을 생성한다. 상기 최종 루미넌스 맵은 화재 영역이 주변에 비해 두드러지는 형태를 띄는 루미넌스 영상을 얻어낼 수 있다. In
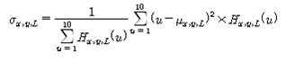
상기한 바와 같이 생성된 최종 루미넌스 맵의 시간적인 변화량을 분석하기 위해서 수학식 7을 이용하여 연속적인 10개의 프레임 내에서 x,y 위치의 픽셀에 대한 루미넌스 맵의 변화량을 측정한다. In order to analyze the temporal variation of the final luminance map generated as described above,
이때 화재 영역에 포함된 픽셀의 루미넌스 변화량은 불꽃의 특성을 반영하여 높은 변화량을 보인다. 이에 상기 루미넌스 맵 내의 x,y 위치의 픽셀의 변화량이 임계값 L T 보다 작다면 해당 픽셀은 이전까지 진행된 단계에서 나온 화재 후보 영역에서 제거한다. At this time, the luminance variation of the pixels included in the fire zone reflects the characteristics of the flame and shows a high variation. Accordingly, if the amount of change of the pixel at the x and y positions in the luminance map is smaller than the threshold L T , the pixel is removed from the fire candidate region from the previous step.
상기 수학식 8에서 H x ,y,L (u)는 연속적인 10개의 프레임 내에서 x,y 픽셀의 루미넌스 히스토그램을 나타낸다. In
도 6은 입력 영상과 그 영상에 대한 움직임 영역 감지와 화재 색상 모델 적 용과 루미넌스 맵 생성 결과와 화재 감지 결과를 나타낸 도면이다. 6 is a diagram illustrating an input image, a motion region detection, a fire color model application, a luminance map generation result, and a fire detection result for the image.
상기 도 6을 살펴보면 입력 영상(a)에 대한 움직임 영역 감지 결과가 (b)에 나타나 있고, 화재 색상 모델이 적용된 결과가 (c)에 나타나 있으며, 루미넌스 맵이 (d)에 나타나 있다. 상기 루미넌스 맵에서 화재 영역이 주변부에 비해서 밝음으로써 두드러지게 보이는 것을 볼 수 있다. 그리고 (e)는 색상정보와 움직임 정보와 루미넌스 변화량을 이용하여 화재를 감지한 결과 화면이다. 움직임 물체와 화재가 아닌 영역들 대부분이 제거되었지만 불빛에 비친 영역이 여전히 남아있는 것을 확인할 수 있다. Referring to FIG. 6, the motion region detection result of the input image (a) is shown in (b), the result of applying the fire color model is shown in (c), and the luminance map is shown in (d). It can be seen from the luminance map that the fire zone is brighter than the surroundings. And (e) shows the result of detecting the fire by using the color information, the motion information and the luminance variation. You can see that most of the moving objects and the non-fire areas have been removed, but the area still in the light remains.
<SVM 처리모듈(106)><
이제, 상기 화재 감지 시스템의 상기 SVM 처리모듈(106)의 구성 및 동작을 설명한다. The configuration and operation of the
본 발명은 루미넌스 맵 내의 픽셀들의 시간적인 변화량을 이용하여 비-화재 영역을 제거한 후 화재 후보 영역에서 남아있는 픽셀들에 대해서 이전의 논문들에서 사용된 휴리스틱한 임계치 값을 대신해서 좀 더 정밀한 분류자로써 SVM을 이용하여 최종적으로 화재 픽셀을 감별한다.The present invention uses a temporal variation of the pixels in the luminance map to remove the non-fire region and then to refine the classifier for the pixels remaining in the fire candidate region instead of the heuristic threshold values used in previous papers. Finally, the SVM is used to discriminate fire pixels.
상기 SVM을 학습하기 위해서 화재 영상과 비-화재 영상의 웨이블릿 변환을 수행하고 웨이블릿 에너지를 계산한다. 웨이블릿 에너지는 T의 식을 변형하여 수학식 9로 나타낸다. In order to learn the SVM, wavelet transform of fire image and non-fire image is performed and wavelet energy is calculated. The wavelet energy is expressed by
상기 수학식 9에서, e n (x,y)는 n번째 프레임의 수평, 수직 그리고 대각선 고주파 성분의 웨이블릿 에너지이며 화재 픽셀로부터 150개의 에너지를 추출하고, 비-화재 픽셀로부터 150개의 에너지를 추출한다. 한 개의 프레임으로부터 추출된 고정적인 에너지만 이용해서는 화재와 비-화재 픽셀을 구별할 수 없으므로, 여러 개의 연속한 프레임내의 에너지로 판단한다. In
도 7과 도 8은 화재 영역과 비-화재 영역에 대한 시간적인 웨이블릿 에너지 변화량을 추출한 그래프이다.7 and 8 are graphs of temporal wavelet energy changes for fire zones and non-fire zones.
상기 도 7과 도 8을 살펴보면 수학식 9에서 x, y 위치의 픽셀이 화재 픽셀이라면 웨이블릿 에너지의 변화량은 크게 되고 비-화재 픽셀이라면 변화량은 거의 없거나 상대적으로 낮은 값을 갖는다. 또한 화재가 아닌 물체의 움직임이라면 한두번의 변화가 있을 뿐 여러 프레임내의 전체적인 변화량은 거의 없게 된다. 본 발명은 10개의 프레임에서 같은 위치의 픽셀에 대한 웨이블릿 에너지를 추출하고 웨이블릿 에너지의 편차가 크기 때문에 0∼1의 값을 갖도록 평준화하였다. 화재 픽셀의 시간적인 웨이블릿 에너지의 변화량은 변동의 폭이 많은 서로 유사한 패턴의 형태로 나타나지만 비-화재 픽셀은 변화가 거의 없거나 지나가는 물체의 움직임으로 인해서 짧은 기간의 에너지 변화량이 크게 나타나는 등의 서로 다른 패턴의 모습으로 나타난다. 이러한 SVM을 훈련시키기 위해서는 유사한 패턴의 형태로 나타나야 하므 로 에너지 값들을 오름차순 형태로 정렬시켰다. Referring to FIGS. 7 and 8, when the pixels at positions x and y are fire pixels in
도 9는 화재 픽셀과 비-화재 픽셀의 웨이블릿 에너지를 평준화한 후 오름차순으로 정렬한 그래프이다.9 is a graph arranged in ascending order after leveling wavelet energies of fire and non-fire pixels.
본 발명은 10개의 차원으로부터 특징 벡터를 추출했다. 고차원 특징 공간에서 입력 벡터를 매핑하기 위해 다른 방식에 비해서 성능이 뛰어난 RBF(Radial Basis Function) 커널 함수를 사용하였다. The present invention extracted feature vectors from ten dimensions. In order to map input vectors in high-dimensional feature space, we used the RBF (Radial Basis Function) kernel function, which is superior to other methods.
상기 수학식 10에서, x는 입력 벡터이고 y는 입력 패턴이고, 표준편차 σ는 3.5로 가장 큰 마진값과 훈련 오류의 최소값 간의 교환 파라미터 C는 5로 정했다. 표준편차 σ는 기본 함수의 폭을 나타낸다. 화재 픽셀 검출이 SVM을 이용하여 최종적으로 이루어지면 모폴로지 열림(opening) 연산을 통해서 색상과 변화량에 대한 노이즈 영역을 제거하고 최종적으로 화재를 감별하게 된다.In
도 10은 본 발명에 따른 화재 감지를 위한 결과를 가장 최근의 관련 연구인 T의 알고리즘을 이용한 실험결과와 비교한 표로서, Method1은 본 발명에 따른 화재 감지 결과이고 Method2는 T의 알고리즘에 따른 화재 감지 결과이다. 10 is a table comparing the results for the detection of fire according to the present invention with the results of experiments using the algorithm of T, which is the most recent research.
상기 도 10을 살펴보면 평균 오검출율(False Positive)이 Method 1을 이용할 경우 9.2%와 Method 2를 이용할 경우 13.7%로써 본 발명이 T의 알고리즘을 이용한 경우보다 높지만 평균 오검출율은 Method 1과 Method 2를 이용한 경우 각각 12.9% 와 6.8%로 다소 낮은 편이다. 하지만 평균 검출율이 Method 1의 경우 84.2%이고 Method 2의 경우 79.5%로써 전체적으로 좋은 결과를 나타낸다. Movie 1의 경우에는 두 방식 모두 평균 검출율이 낮은데 Movie 1은 평균 비트율이 낮고, 화재 주변의 나뭇가지에 햇빛이 반사되어 비슷한 색상을 가지며 사람의 움직임과 바람 등의 영향으로 움직임이 많기 때문이다. Movie 3과 Movie 4에서 불의 영역이 주변에 비해 아주 작기 때문에 모폴로지 열림 연산을 이용한 노이즈 제거시 같이 제거된 경우가 많았다. Method 2를 이용하여 화재를 감지하는 경우에는 Movie 3과 Movie 5 그리고 Movie 7에서 많은 오검출이 발생하는데, 이것은 비디오 안에 포함된 빨간색 셔츠를 입고 있는 사람의 움직임이 화재 색상과 움직임이 화재와 비슷하게 인식되었고 화재 영역에서 발생한 연기로 인해 웨이블릿 변환을 통한 고주파 성분의 변화량 분석이 제대로 이루어지지 않았기 때문이다. 그러나 제안된 알고리즘은 루미넌스 맵과 SVM을 이용해서 Method 2를 이용한 화재 감지에 비해서 84.2%와 79.5%로 상대적으로 높은 검색율을 나타내었다.Referring to FIG. 10, the average false detection rate (False Positive) is 9.2% when using
도 11은 본 발명에 따른 화재 감지 결과를 나타낸 도면이다. 11 is a view showing a fire detection results according to the present invention.
도 1은 본 발명에 따른 화재 감지 시스템의 구성도.1 is a block diagram of a fire detection system according to the present invention.
도 2는 본 발명에 따른 배경 초기화와 업데이트를 이용한 움직임 영역 검출 과정을 도시한 도면. 2 is a diagram illustrating a motion region detection process using background initialization and update according to the present invention.
도 3은 본 발명에 따른 후보 화재 색상을 이용한 화재 색상 모델을 도시한 도면. 3 illustrates a fire color model using candidate fire colors in accordance with the present invention.
도 4는 본 발명에 따른 움직임 픽셀을 감지 후 화재 색상 모델을 적용한 화재 후보 영역을 도시한 도면. 4 is a diagram illustrating a fire candidate region to which a fire color model is applied after detecting a motion pixel according to the present invention;
도 5는 본 발명에 따른 루미넌스 맵 처리모듈의 구성도. 5 is a configuration diagram of a luminance map processing module according to the present invention;
도 6은 본 발명에 따른 입력 영상과 그 영상에 대한 루미넌스 맵 생성 결과에 따른 후보 화재 영역 제거 결과 화면을 도시한 도면. 6 is a diagram illustrating a candidate fire region removal result screen according to an input image and a luminance map generation result of the image according to the present invention;
도 7은 본 발명에 따른 화재 영역과 화재 영역에 대한 시간적인 웨이블릿 에너지 변화량 그래프를 도시한 도면. FIG. 7 is a graph illustrating a temporal wavelet energy change graph for a fire zone and a fire zone according to the present invention. FIG.
도 8은 본 발명에 따른 비-화재 영역과 비-화재 영역에 대한 시간적인 웨이블릿 에너지 변화량 그래프를 도시한 도면. 8 illustrates a graph of temporal wavelet energy variation for non-fire regions and non-fire regions according to the present invention.
도 9는 본 발명에 따른 화재 픽셀과 비-화재 픽셀의 웨이블릿 에너지를 평준화한 후 오름차순으로 정렬한 그래프를 도시한 도면. 9 is a graph illustrating the wavelet energy of fire pixels and non-fire pixels according to the present invention after being leveled and arranged in ascending order.
도 10은 본 발명에 따른 화재감지 결과와 T의 알고리즘을 이용한 실험 결과 대조표를 도시한 도면. 10 is a table showing a comparison of experimental results using the fire detection results and the algorithm of T according to the present invention.
도 11은 본 발명에 따른 화재 감지 결과 화면을 도시한 도면. 11 is a view showing a fire detection result screen according to the present invention.
Claims (12)
Priority Applications (1)
| Application Number | Priority Date | Filing Date | Title |
|---|---|---|---|
| KR1020070121221A KR100918436B1 (en) | 2007-11-27 | 2007-11-27 | Vision-Based Fire Detection Systems and Methods |
Applications Claiming Priority (1)
| Application Number | Priority Date | Filing Date | Title |
|---|---|---|---|
| KR1020070121221A KR100918436B1 (en) | 2007-11-27 | 2007-11-27 | Vision-Based Fire Detection Systems and Methods |
Publications (2)
| Publication Number | Publication Date |
|---|---|
| KR20090054522A KR20090054522A (en) | 2009-06-01 |
| KR100918436B1 true KR100918436B1 (en) | 2009-09-24 |
Family
ID=40986450
Family Applications (1)
| Application Number | Title | Priority Date | Filing Date |
|---|---|---|---|
| KR1020070121221A Active KR100918436B1 (en) | 2007-11-27 | 2007-11-27 | Vision-Based Fire Detection Systems and Methods |
Country Status (1)
| Country | Link |
|---|---|
| KR (1) | KR100918436B1 (en) |
Cited By (6)
| Publication number | Priority date | Publication date | Assignee | Title |
|---|---|---|---|---|
| KR101081051B1 (en) | 2010-11-16 | 2011-11-09 | 계명대학교 산학협력단 | Fire flame detection method using fuzzy finite state automata |
| WO2012064115A3 (en) * | 2010-11-10 | 2012-08-30 | (주)선인유니텍 | Real-time fire-monitoring system using a closed-circuit television camera, and method therefor |
| CN102842198A (en) * | 2012-08-30 | 2012-12-26 | 广州中国科学院工业技术研究院 | Identifying method and system for fire disaster |
| CN102842200A (en) * | 2012-08-30 | 2012-12-26 | 广州中国科学院工业技术研究院 | Identifying method and system for fire disaster |
| CN104346618A (en) * | 2013-07-23 | 2015-02-11 | 三星泰科威株式会社 | Method and device for detecting smoke from images |
| KR20240125109A (en) | 2023-02-10 | 2024-08-19 | 옥수열 | Apparatus and method for early detecting of fire based on artificial neural network model |
Families Citing this family (12)
| Publication number | Priority date | Publication date | Assignee | Title |
|---|---|---|---|---|
| KR101371647B1 (en) * | 2011-08-04 | 2014-03-10 | 울산대학교 산학협력단 | Apparatus for detecting fire flame based image data and method of the same |
| CN102646191B (en) * | 2012-03-27 | 2014-07-09 | 重庆邮电大学 | Method applied to recognition of flame image generated by gas combustion associated in oil drilling |
| KR101245057B1 (en) * | 2012-10-16 | 2013-03-18 | (주)아이아이에스티 | Method and apparatus for sensing a fire |
| KR101581162B1 (en) * | 2015-06-24 | 2015-12-31 | 전정희 | Automatic detection method, apparatus and system of flame, smoke and object movement based on real time images |
| CN105742977A (en) * | 2016-02-04 | 2016-07-06 | 弓保成 | Power distribution cabinet for self-adaptive control on base station |
| CN106600888B (en) * | 2016-12-30 | 2020-10-30 | 陕西烽火实业有限公司 | Automatic forest fire detection method and system |
| CN107038833B (en) * | 2017-06-13 | 2019-08-30 | 广东电网有限责任公司电力科学研究院 | A kind of secondary discriminating method of mountain fire fire point and system |
| CN113657250B (en) * | 2021-08-16 | 2024-11-05 | 南京图菱视频科技有限公司 | A flame detection method and system based on monitoring video |
| CN114037959B (en) * | 2021-11-26 | 2024-07-16 | 上海汽车集团股份有限公司 | Method and device for detecting dangerous situation in monitoring picture |
| CN116935568B (en) * | 2023-07-19 | 2025-07-04 | 杭州天卓网络有限公司 | Intelligent monitoring system for early warning of electric fire |
| CN117576872B (en) * | 2023-11-20 | 2024-09-24 | 浙江猎人特卫安保集团有限公司 | False alarm discriminating method for alarm technology |
| CN117853935B (en) * | 2024-03-07 | 2024-06-11 | 河南胜华电缆集团有限公司 | A cable flame spread detection method, device and service platform based on visual analysis |
Citations (4)
| Publication number | Priority date | Publication date | Assignee | Title |
|---|---|---|---|---|
| JPH11144167A (en) | 1997-11-06 | 1999-05-28 | Nohmi Bosai Ltd | Fire detecting device |
| KR20040049465A (en) * | 2002-12-06 | 2004-06-12 | 삼성전자주식회사 | Method for detecting user and detecting motion, and apparatus for detecting user within security system |
| JP2005284539A (en) | 2004-03-29 | 2005-10-13 | Remoto Sensing Technology Center Of Japan | Damage area automatic extraction system |
| JP2007272532A (en) * | 2006-03-31 | 2007-10-18 | Nohmi Bosai Ltd | Fire detection apparatus |
-
2007
- 2007-11-27 KR KR1020070121221A patent/KR100918436B1/en active Active
Patent Citations (4)
| Publication number | Priority date | Publication date | Assignee | Title |
|---|---|---|---|---|
| JPH11144167A (en) | 1997-11-06 | 1999-05-28 | Nohmi Bosai Ltd | Fire detecting device |
| KR20040049465A (en) * | 2002-12-06 | 2004-06-12 | 삼성전자주식회사 | Method for detecting user and detecting motion, and apparatus for detecting user within security system |
| JP2005284539A (en) | 2004-03-29 | 2005-10-13 | Remoto Sensing Technology Center Of Japan | Damage area automatic extraction system |
| JP2007272532A (en) * | 2006-03-31 | 2007-10-18 | Nohmi Bosai Ltd | Fire detection apparatus |
Cited By (8)
| Publication number | Priority date | Publication date | Assignee | Title |
|---|---|---|---|---|
| WO2012064115A3 (en) * | 2010-11-10 | 2012-08-30 | (주)선인유니텍 | Real-time fire-monitoring system using a closed-circuit television camera, and method therefor |
| KR101200433B1 (en) * | 2010-11-10 | 2012-11-22 | (주)아이아이에스티 | System for realtime observing fire using CCTV camera, and method for the same |
| KR101081051B1 (en) | 2010-11-16 | 2011-11-09 | 계명대학교 산학협력단 | Fire flame detection method using fuzzy finite state automata |
| CN102842198A (en) * | 2012-08-30 | 2012-12-26 | 广州中国科学院工业技术研究院 | Identifying method and system for fire disaster |
| CN102842200A (en) * | 2012-08-30 | 2012-12-26 | 广州中国科学院工业技术研究院 | Identifying method and system for fire disaster |
| CN104346618A (en) * | 2013-07-23 | 2015-02-11 | 三星泰科威株式会社 | Method and device for detecting smoke from images |
| CN104346618B (en) * | 2013-07-23 | 2019-10-25 | 韩华泰科株式会社 | Method and apparatus for detecting smoke from an image |
| KR20240125109A (en) | 2023-02-10 | 2024-08-19 | 옥수열 | Apparatus and method for early detecting of fire based on artificial neural network model |
Also Published As
| Publication number | Publication date |
|---|---|
| KR20090054522A (en) | 2009-06-01 |
Similar Documents
| Publication | Publication Date | Title |
|---|---|---|
| KR100918436B1 (en) | Vision-Based Fire Detection Systems and Methods | |
| Khalil et al. | Fire detection using multi color space and background modeling | |
| KR101237089B1 (en) | Forest smoke detection method using random forest classifier method | |
| Appana et al. | A video-based smoke detection using smoke flow pattern and spatial-temporal energy analyses for alarm systems | |
| Martel-Brisson et al. | Learning and removing cast shadows through a multidistribution approach | |
| Lee et al. | Smoke detection using spatial and temporal analyses | |
| KR101394242B1 (en) | A method for monitoring a video and an apparatus using it | |
| KR101260847B1 (en) | Behavioral recognition system | |
| KR101353952B1 (en) | Method for detecting wildfire smoke using spatiotemporal bag-of-features of smoke and random forest | |
| CN102663869B (en) | Indoor fire detection method based on video monitoring platform | |
| KR101075063B1 (en) | Fire-Flame Detection Using Fuzzy Logic | |
| CN103729858B (en) | A kind of video monitoring system is left over the detection method of article | |
| US20060170769A1 (en) | Human and object recognition in digital video | |
| Pritam et al. | Detection of fire using image processing techniques with LUV color space | |
| JP2008192131A (en) | System and method for performing feature level segmentation | |
| CN101908142A (en) | Feature analysis-based video flame detecting method | |
| KR101204259B1 (en) | A method for detecting fire or smoke | |
| CN110298297A (en) | Flame identification method and device | |
| KR101646000B1 (en) | Surveillance System And Method To Object And Area | |
| JP7125843B2 (en) | Fault detection system | |
| Gunawaardena et al. | Computer vision based fire alarming system | |
| CN105976365A (en) | Nocturnal fire disaster video detection method | |
| Rahman et al. | Computer vision based industrial and forest fire detection using support vector machine (SVM) | |
| Ho et al. | Real-time video-based fire smoke detection system | |
| CN112613483A (en) | Outdoor fire early warning method based on semantic segmentation and recognition |
Legal Events
| Date | Code | Title | Description |
|---|---|---|---|
| A201 | Request for examination | ||
| PA0109 | Patent application |
St.27 status event code: A-0-1-A10-A12-nap-PA0109 |
|
| PA0201 | Request for examination |
St.27 status event code: A-1-2-D10-D11-exm-PA0201 |
|
| P11-X000 | Amendment of application requested |
St.27 status event code: A-2-2-P10-P11-nap-X000 |
|
| P13-X000 | Application amended |
St.27 status event code: A-2-2-P10-P13-nap-X000 |
|
| D13-X000 | Search requested |
St.27 status event code: A-1-2-D10-D13-srh-X000 |
|
| D14-X000 | Search report completed |
St.27 status event code: A-1-2-D10-D14-srh-X000 |
|
| E902 | Notification of reason for refusal | ||
| PE0902 | Notice of grounds for rejection |
St.27 status event code: A-1-2-D10-D21-exm-PE0902 |
|
| PG1501 | Laying open of application |
St.27 status event code: A-1-1-Q10-Q12-nap-PG1501 |
|
| E13-X000 | Pre-grant limitation requested |
St.27 status event code: A-2-3-E10-E13-lim-X000 |
|
| P11-X000 | Amendment of application requested |
St.27 status event code: A-2-2-P10-P11-nap-X000 |
|
| P13-X000 | Application amended |
St.27 status event code: A-2-2-P10-P13-nap-X000 |
|
| E701 | Decision to grant or registration of patent right | ||
| PE0701 | Decision of registration |
St.27 status event code: A-1-2-D10-D22-exm-PE0701 |
|
| GRNT | Written decision to grant | ||
| PR0701 | Registration of establishment |
St.27 status event code: A-2-4-F10-F11-exm-PR0701 |
|
| PR1002 | Payment of registration fee |
St.27 status event code: A-2-2-U10-U11-oth-PR1002 Fee payment year number: 1 |
|
| PG1601 | Publication of registration |
St.27 status event code: A-4-4-Q10-Q13-nap-PG1601 |
|
| PN2301 | Change of applicant |
St.27 status event code: A-5-5-R10-R13-asn-PN2301 St.27 status event code: A-5-5-R10-R11-asn-PN2301 |
|
| PN2301 | Change of applicant |
St.27 status event code: A-5-5-R10-R13-asn-PN2301 St.27 status event code: A-5-5-R10-R11-asn-PN2301 |
|
| FPAY | Annual fee payment |
Payment date: 20120806 Year of fee payment: 4 |
|
| PR1001 | Payment of annual fee |
St.27 status event code: A-4-4-U10-U11-oth-PR1001 Fee payment year number: 4 |
|
| FPAY | Annual fee payment |
Payment date: 20131007 Year of fee payment: 5 |
|
| PR1001 | Payment of annual fee |
St.27 status event code: A-4-4-U10-U11-oth-PR1001 Fee payment year number: 5 |
|
| R18-X000 | Changes to party contact information recorded |
St.27 status event code: A-5-5-R10-R18-oth-X000 |
|
| PR1001 | Payment of annual fee |
St.27 status event code: A-4-4-U10-U11-oth-PR1001 Fee payment year number: 6 |
|
| FPAY | Annual fee payment |
Payment date: 20150902 Year of fee payment: 7 |
|
| PR1001 | Payment of annual fee |
St.27 status event code: A-4-4-U10-U11-oth-PR1001 Fee payment year number: 7 |
|
| P22-X000 | Classification modified |
St.27 status event code: A-4-4-P10-P22-nap-X000 |
|
| PR1001 | Payment of annual fee |
St.27 status event code: A-4-4-U10-U11-oth-PR1001 Fee payment year number: 8 |
|
| PN2301 | Change of applicant |
St.27 status event code: A-5-5-R10-R13-asn-PN2301 St.27 status event code: A-5-5-R10-R11-asn-PN2301 |
|
| FPAY | Annual fee payment |
Payment date: 20170830 Year of fee payment: 9 |
|
| PR1001 | Payment of annual fee |
St.27 status event code: A-4-4-U10-U11-oth-PR1001 Fee payment year number: 9 |
|
| P22-X000 | Classification modified |
St.27 status event code: A-4-4-P10-P22-nap-X000 |
|
| R18-X000 | Changes to party contact information recorded |
St.27 status event code: A-5-5-R10-R18-oth-X000 |
|
| FPAY | Annual fee payment |
Payment date: 20180830 Year of fee payment: 10 |
|
| PR1001 | Payment of annual fee |
St.27 status event code: A-4-4-U10-U11-oth-PR1001 Fee payment year number: 10 |
|
| R18-X000 | Changes to party contact information recorded |
St.27 status event code: A-5-5-R10-R18-oth-X000 |
|
| FPAY | Annual fee payment |
Payment date: 20190829 Year of fee payment: 11 |
|
| PR1001 | Payment of annual fee |
St.27 status event code: A-4-4-U10-U11-oth-PR1001 Fee payment year number: 11 |
|
| PR1001 | Payment of annual fee |
St.27 status event code: A-4-4-U10-U11-oth-PR1001 Fee payment year number: 12 |
|
| PR1001 | Payment of annual fee |
St.27 status event code: A-4-4-U10-U11-oth-PR1001 Fee payment year number: 13 |
|
| PR1001 | Payment of annual fee |
St.27 status event code: A-4-4-U10-U11-oth-PR1001 Fee payment year number: 14 |
|
| P22-X000 | Classification modified |
St.27 status event code: A-4-4-P10-P22-nap-X000 |
|
| P22-X000 | Classification modified |
St.27 status event code: A-4-4-P10-P22-nap-X000 |
|
| PR1001 | Payment of annual fee |
St.27 status event code: A-4-4-U10-U11-oth-PR1001 Fee payment year number: 15 |
|
| P22-X000 | Classification modified |
St.27 status event code: A-4-4-P10-P22-nap-X000 |
|
| PR1001 | Payment of annual fee |
St.27 status event code: A-4-4-U10-U11-oth-PR1001 Fee payment year number: 16 |
|
| PR1001 | Payment of annual fee |
St.27 status event code: A-4-4-U10-U11-oth-PR1001 Fee payment year number: 17 |
|
| U11 | Full renewal or maintenance fee paid |
Free format text: ST27 STATUS EVENT CODE: A-4-4-U10-U11-OTH-PR1001 (AS PROVIDED BY THE NATIONAL OFFICE) Year of fee payment: 17 |
|
| R18 | Changes to party contact information recorded |
Free format text: ST27 STATUS EVENT CODE: A-5-5-R10-R18-OTH-X000 (AS PROVIDED BY THE NATIONAL OFFICE) |
|
| R18-X000 | Changes to party contact information recorded |
St.27 status event code: A-5-5-R10-R18-oth-X000 |










