KR100600672B1 - Pilot subcarrier allocation method and transmission method and apparatus therefor, or receiving method and apparatus in orthogonal frequency division multiple access system - Google Patents
Pilot subcarrier allocation method and transmission method and apparatus therefor, or receiving method and apparatus in orthogonal frequency division multiple access system Download PDFInfo
- Publication number
- KR100600672B1 KR100600672B1 KR1020030085530A KR20030085530A KR100600672B1 KR 100600672 B1 KR100600672 B1 KR 100600672B1 KR 1020030085530 A KR1020030085530 A KR 1020030085530A KR 20030085530 A KR20030085530 A KR 20030085530A KR 100600672 B1 KR100600672 B1 KR 100600672B1
- Authority
- KR
- South Korea
- Prior art keywords
- pilot
- subcarrier
- cell
- data
- multiple access
- Prior art date
- Legal status (The legal status is an assumption and is not a legal conclusion. Google has not performed a legal analysis and makes no representation as to the accuracy of the status listed.)
- Expired - Lifetime
Links
Images
Classifications
-
- H—ELECTRICITY
- H04—ELECTRIC COMMUNICATION TECHNIQUE
- H04W—WIRELESS COMMUNICATION NETWORKS
- H04W72/00—Local resource management
- H04W72/20—Control channels or signalling for resource management
- H04W72/23—Control channels or signalling for resource management in the downlink direction of a wireless link, i.e. towards a terminal
-
- H—ELECTRICITY
- H04—ELECTRIC COMMUNICATION TECHNIQUE
- H04L—TRANSMISSION OF DIGITAL INFORMATION, e.g. TELEGRAPHIC COMMUNICATION
- H04L5/00—Arrangements affording multiple use of the transmission path
- H04L5/003—Arrangements for allocating sub-channels of the transmission path
- H04L5/0048—Allocation of pilot signals, i.e. of signals known to the receiver
-
- H—ELECTRICITY
- H04—ELECTRIC COMMUNICATION TECHNIQUE
- H04L—TRANSMISSION OF DIGITAL INFORMATION, e.g. TELEGRAPHIC COMMUNICATION
- H04L25/00—Baseband systems
- H04L25/02—Details ; arrangements for supplying electrical power along data transmission lines
- H04L25/0202—Channel estimation
-
- H—ELECTRICITY
- H04—ELECTRIC COMMUNICATION TECHNIQUE
- H04L—TRANSMISSION OF DIGITAL INFORMATION, e.g. TELEGRAPHIC COMMUNICATION
- H04L25/00—Baseband systems
- H04L25/02—Details ; arrangements for supplying electrical power along data transmission lines
- H04L25/0202—Channel estimation
- H04L25/0224—Channel estimation using sounding signals
- H04L25/0226—Channel estimation using sounding signals sounding signals per se
-
- H—ELECTRICITY
- H04—ELECTRIC COMMUNICATION TECHNIQUE
- H04L—TRANSMISSION OF DIGITAL INFORMATION, e.g. TELEGRAPHIC COMMUNICATION
- H04L25/00—Baseband systems
- H04L25/02—Details ; arrangements for supplying electrical power along data transmission lines
- H04L25/0202—Channel estimation
- H04L25/0224—Channel estimation using sounding signals
- H04L25/0228—Channel estimation using sounding signals with direct estimation from sounding signals
- H04L25/023—Channel estimation using sounding signals with direct estimation from sounding signals with extension to other symbols
- H04L25/0232—Channel estimation using sounding signals with direct estimation from sounding signals with extension to other symbols by interpolation between sounding signals
-
- H—ELECTRICITY
- H04—ELECTRIC COMMUNICATION TECHNIQUE
- H04L—TRANSMISSION OF DIGITAL INFORMATION, e.g. TELEGRAPHIC COMMUNICATION
- H04L27/00—Modulated-carrier systems
- H04L27/26—Systems using multi-frequency codes
- H04L27/2601—Multicarrier modulation systems
- H04L27/2602—Signal structure
- H04L27/2605—Symbol extensions, e.g. Zero Tail, Unique Word [UW]
- H04L27/2607—Cyclic extensions
-
- H—ELECTRICITY
- H04—ELECTRIC COMMUNICATION TECHNIQUE
- H04L—TRANSMISSION OF DIGITAL INFORMATION, e.g. TELEGRAPHIC COMMUNICATION
- H04L27/00—Modulated-carrier systems
- H04L27/26—Systems using multi-frequency codes
- H04L27/2601—Multicarrier modulation systems
- H04L27/2626—Arrangements specific to the transmitter only
- H04L27/2627—Modulators
- H04L27/2628—Inverse Fourier transform modulators, e.g. inverse fast Fourier transform [IFFT] or inverse discrete Fourier transform [IDFT] modulators
-
- H—ELECTRICITY
- H04—ELECTRIC COMMUNICATION TECHNIQUE
- H04L—TRANSMISSION OF DIGITAL INFORMATION, e.g. TELEGRAPHIC COMMUNICATION
- H04L5/00—Arrangements affording multiple use of the transmission path
- H04L5/0001—Arrangements for dividing the transmission path
- H04L5/0003—Two-dimensional division
- H04L5/0005—Time-frequency
- H04L5/0007—Time-frequency the frequencies being orthogonal, e.g. OFDM(A) or DMT
-
- H—ELECTRICITY
- H04—ELECTRIC COMMUNICATION TECHNIQUE
- H04W—WIRELESS COMMUNICATION NETWORKS
- H04W72/00—Local resource management
- H04W72/04—Wireless resource allocation
- H04W72/044—Wireless resource allocation based on the type of the allocated resource
- H04W72/0453—Resources in frequency domain, e.g. a carrier in FDMA
Landscapes
- Engineering & Computer Science (AREA)
- Signal Processing (AREA)
- Computer Networks & Wireless Communication (AREA)
- Power Engineering (AREA)
- Physics & Mathematics (AREA)
- Discrete Mathematics (AREA)
- General Physics & Mathematics (AREA)
- Mathematical Physics (AREA)
- Mobile Radio Communication Systems (AREA)
- Time-Division Multiplex Systems (AREA)
Abstract
직교주파수분할다중접속 시스템에서, 특정 그룹 내의 어느 하나의 셀에 대해 상기 특정 그룹의 파일럿 패턴에 기초하여 다수의 서브캐리어 그룹 내의 각 서브캐리어에 파일롯 서브캐리어를 할당한다. 그리고 상기 특정 그룹 내에서 제1 셀과 인접한 적어도 하나의 제2 셀에 대해서는 상기 제1 셀에 할당된 파일롯 서브캐리어의 위치를 특정 주기로 사이클링하여 결정된 파일롯 서브캐리어를 할당한다. 이렇게 하면 특정 그룹 내의 인접한 셀간에 파일롯 서브캐리어가 동일한 위치에 존재하지 않게 되므로 셀 경계에 위치한 단말이 채널 추정을 가능하게 하며, 채널 추정의 정확도를 향상시킬 수 있고, 구분할 수 있는 파일롯 수를 증가시켜서 셀 계획을 쉽게 수행할 수 있으며, 특별한 셀 계획없이 시스템의 디플로이(depoly)가 가능하다.In an orthogonal frequency division multiple access system, a pilot subcarrier is allocated to each subcarrier in a plurality of subcarrier groups based on a pilot pattern of the specific group for any one cell in a specific group. In addition, at least one second cell adjacent to the first cell in the specific group is allocated to the pilot subcarrier determined by cycling the position of the pilot subcarrier allocated to the first cell at a specific period. This prevents pilot subcarriers from being located at the same location between adjacent cells in a specific group, thereby enabling channel estimation at the cell boundary, improving the accuracy of channel estimation, and increasing the number of distinguishable pilots. Cell planning can be easily performed, and the system can be deployed without special cell planning.
OFDM, 파일롯, 사이클링, 파일롯 패턴, 채널 추정OFDM, pilot, cycling, pilot pattern, channel estimation
Description
도 1은 종래 OFDM 시스템의 구성 블록도이다.1 is a block diagram of a conventional OFDM system.
도 2는 종래 OFDM 시스템에서 파일롯 삽입을 도시한 도면이다.2 illustrates pilot insertion in a conventional OFDM system.
도 3은 종래 OFDM 시스템의 파일롯 삽입 방식 중 하나의 실시예를 도시한 도면이다.3 is a diagram illustrating an embodiment of a pilot insertion method of a conventional OFDM system.
도 4는 본 발명의 제 1 실시예에 따른 전체 서브캐리어 분할 구조를 도시한 도면이다.4 is a diagram illustrating an entire subcarrier division structure according to the first embodiment of the present invention.
도 5는 본 발명의 제 2 실시예에 따른 파일롯 패턴을 도시한 도면이다.5 is a diagram illustrating a pilot pattern according to a second embodiment of the present invention.
도 6은 본 발명의 제 3 실시예에 따른 파일롯 패턴을 도시한 도면이다.6 is a diagram illustrating a pilot pattern according to a third embodiment of the present invention.
도 7은 본 발명의 제 4 실시예에 따른 파일롯 패턴을 도시한 도면이다.7 illustrates a pilot pattern according to a fourth embodiment of the present invention.
도 8은 본 발명의 제 5 실시예에 따른 파일롯 패턴을 도시한 도면이다.8 illustrates a pilot pattern according to a fifth embodiment of the present invention.
도 9는 본 발명의 제 6 실시예에 따른 파일롯 패턴을 도시한 도면이다.9 illustrates a pilot pattern according to a sixth embodiment of the present invention.
도 10은 본 발명에 따른 OFDM시스템의 송신 장치 및 수신 장치의 구성 블록도이다.10 is a block diagram illustrating a transmission device and a reception device of an OFDM system according to the present invention.
본 발명은 직교주파수분할다중접속 시스템에서의 파일롯 서브캐리어 할당 방법 과 송신 방법 및 그 장치, 수신 방법 및 그 장치에 관한 것으로, 특히 OFDM(Orthogonal Frequency Division Multiplex) 시스템에서 주파수 재사용율 개선을 위한 각 기지국의 파일롯 서브캐리어 할당에 관한 것이다.The present invention relates to a pilot subcarrier allocation method, a transmission method, a device, a reception method, and a device in an orthogonal frequency division multiple access system, and in particular, each base station for improving frequency reuse in an orthogonal frequency division multiplex (OFDM) system. Is related to the pilot subcarrier allocation.
고속의 신뢰성과 대용량 서비스가 가능한 무선 광대역 멀티미디어 시스템의 구현을 위해, 주로 수 GHz에서 수 십 GHz에 이르는 밀리미터파 대역에서 높은 전송률로 신호를 보낼 수 있는 OFDM 전송방식이 각광을 받고 있다.In order to implement a wireless broadband multimedia system capable of high-speed reliability and high capacity services, an OFDM transmission scheme that can transmit signals at a high data rate in the millimeter wave band ranging from several GHz to several tens of GHz is in the spotlight.
OFDM은 송신할 데이터를 역고속 푸리에 변환하여 사용 대역폭을 여러 개의 서브캐리어(subcarrier;부반송파)로 나누어 송신하고, 상기 송신된 다수의 서브캐리어는 OFDM 수신장치에서 고속 푸리에 변환되어 원래의 데이터로 변환하여 처리하는 주파수 다중 방식으로, 서브캐리어 주파수 사이에 특정한 직교 조건을 부여하여 스펙트럼의 중첩에도 불구하고 수신장치에서 각각의 서브캐리어를 분리할 수 있도록 한 주파수 다중 통신 방식을 말한다.OFDM converts the data to be transmitted by inverse fast Fourier transform and divides the used bandwidth into a plurality of subcarriers (subcarriers), and the plurality of transmitted subcarriers are converted to original data by fast Fourier transforming in an OFDM receiver. A frequency multiplexing scheme refers to a frequency multiplexing scheme in which a specific orthogonal condition is applied between subcarrier frequencies so that each subcarrier can be separated at a receiving device despite overlapping spectrum.
도 1은 종래 OFDM 시스템의 구성을 도시한 블록도로서, 이하 도 1을 참조하여 OFDM 시스템의 송수신장치의 구조 및 동작을 설명한다.FIG. 1 is a block diagram showing the structure of a conventional OFDM system. Hereinafter, the structure and operation of a transceiver of an OFDM system will be described with reference to FIG. 1.
우선, OFDM 시스템의 송신장치(10)는 직/병렬 변환부(2), 변조부(4), 역고속 푸리에 변환부(Inverse Fast Fourier Transform: 이하, IFFT부라 한다.)(6), 병/직 렬 변환부(8), 디지털/아날로그 변환(이하, D/A 변환이라 한다.) 및 필터부(12)를 포함한다.First, the
직/병렬 변환부(2)는 직렬 수신되는 고속의 송신 데이터를 저속의 병렬 데이터로 변환한다. The serial /
변조부(4)는 직/병렬 변환부(2)를 통해 병렬로 변환된 데이터를 전송하고자하는 변조방식을 통해 변조한다.The
IFFT부는 변조부(4)를 통해 변조된 데이터를 시간축의 신호로 변환하여 출력한다.The IFFT unit converts the data modulated by the
병/직렬 변환부(8)는 IFFT부를 통해 출력된 병렬의 데이터 신호를 직렬신호로 변환한다.The parallel /
D/A 변환 및 필터부(12)는 병/직렬 변환부(8)를 통해 출력되는 직렬신호를 아날로그 신호로 변환하고 필터링하여 RF단을 통하여 수신장치로 출력한다.The D / A conversion and
즉, 직/병렬 변환부(2)를 통해 병렬로 출력되는 데이터 심볼들은 해당 반송파에 의해 변조되고 IFFT부(6)를 통해 OFDM 심볼을 구성하게 되며 최종적으로 RF단에 입력되어 채널로 전송된다.That is, data symbols output in parallel through the serial /
또한, OFDM 심볼의 전송은 심볼단위로 이루어지나 OFDM 심볼이 다중경로 채널을 통해 전송되는 동안 이전 심볼에 의한 영향을 받게 된다. 이러한 OFDM 심볼간 간섭을 방지하기 위해 상기 병/직렬 변환부 전단 상기 인접한 OFDM 심볼 사이에 채널의 최대지연확산(Maximum delay spread)보다 길도록 길이를 설정하여 CP(Cyclic Prefix, 이하 CP라 한다.)를 추가 삽입한다.In addition, the transmission of the OFDM symbol is performed in symbol units, but is affected by the previous symbol while the OFDM symbol is transmitted through the multipath channel. In order to prevent such OFDM inter-symbol interference, the length is set to be longer than the maximum delay spread of a channel between the adjacent OFDM symbols in front of the parallel / serial conversion unit and is referred to as CP (Cyclic Prefix). Add an insert.
다음으로, OFDM 시스템의 수신장치(20)는 아날로그/디지털 변환(이하, A/D 변환이라 한다.) 및 필터부(29), 직/병렬 변환부(28), 고속 푸리에 변환부(Fast Fourier Transform: 이하, FFT부라 한다.)(26), 채널추정부(23), 복조부(24), 병/직렬 변환부(22)를 포함한다.Next, the
A/D 변환 및 필터부(29)는 송신장치(10)로부터 출력된 아날로그 신호를 RF단을 통하여 수신하고, 상기 수신된 신호를 필터링한 후, 디지털 신호로 변환한다. The A / D conversion and
직/병렬 변환부(28)는 A/D 변환 및 필터부(29)를 통해 디지털 신호로 변환된 데이터에 삽입된 CP를 제거한 후, 병렬 신호로 변환한다.The serial /
FFT부(26)는 직/병렬 변환부(28)를 통해 변환된 병렬 신호의 시간축 데이터를 고속 푸리에 변환하여 주파수 축 데이터 신호로 변환한다.The
채널추정부(23)는 FFT부(26)를 통해 변환된 주파수 축 데이터 신호의 채널 추정값을 추정한다.The
복조부(24)는 채널추정부(23)를 통해 구해진 채널 추정값을 이용하여 데이터를 복조한다.The
병/직렬 변환부(22)는 복조부(24)를 통해 복조된 병렬 신호를 직렬 신호로 변환한다.The parallel /
상기와 같이 구성된 OFDM 시스템은 일련의 데이터 시퀀스를 변조에 사용되는 서브캐리어의 수만큼 병렬화하고 상기 병렬 데이터로 해당 서브캐리어를 변조시킴으로써, 전체 데이터 전송속도는 원래의 높은 속도를 유지하면서 각 서브캐리어를 포함하는 부채널에서의 심볼주기는 서브캐리어의 수만큼 길어지게 된다.The OFDM system configured as described above parallelizes a series of data sequences by the number of subcarriers used for modulation and modulates the corresponding subcarriers with the parallel data, so that the total data rate is maintained at the original high rate. The symbol period in the containing subchannel is lengthened by the number of subcarriers.
따라서, 주파수 선택적인 다중경로 페이딩 채널이 각 부채널의 관점에서는 주파수 비선택적인 채널로 근사화되므로 이에 의해 발생되는 왜곡은 간단한 수신장치 구조를 사용하여 쉽게 보상할 수 있다.Therefore, since the frequency selective multipath fading channel is approximated as a frequency nonselective channel in terms of each subchannel, the distortion generated by the channel can be easily compensated using a simple receiver structure.
상술한 바와 같이 OFDM 방식은 주파수 선택적 페이딩이 심한 광대역 전송에서 수신장치의 복잡도를 줄일 수 있는 장점이 있으며, 이를 위해 OFDM 방식은 CP를 이용하여 지연확산(delay spread)에 의한 영향을 제거한다. As described above, the OFDM scheme has the advantage of reducing the complexity of the receiving apparatus in the wideband transmission where frequency selective fading is severe. For this purpose, the OFDM scheme removes the influence of delay spread using CP.
또한, OFDM 방식은 동기 복조를 위해 채널 수정을 수행한다. 이를 위해 OFDM 방식은 첨부된 도 2와 같이 파일롯을 삽입한다.In addition, the OFDM scheme performs channel modification for synchronous demodulation. To this end, the OFDM scheme inserts a pilot as shown in FIG. 2.
도 2는 종래 OFDM 시스템의 파일롯 삽입을 도시한 실시도로서, 파일롯의 삽입은 나이퀴스트(Nyquist) 샘플링 이론을 만족할 수 있는 비율 이상으로 삽입한다.2 is a diagram illustrating pilot insertion of a conventional OFDM system, wherein the pilot insertion is inserted at a ratio that can satisfy the Nyquist sampling theory.
파일롯은 정확한 채널 추정을 위하여 시간축으로는 단말의 이동성을 고려하여 삽입 주기를 결정하고, 주파수축으로는 지연확산을 고려하여 삽입주기를 결정하는데, 삽입주기는 하기 수학식 1과 수학식 2와 같다.The pilot determines the insertion period in consideration of the mobility of the terminal on the time axis, and the insertion period in consideration of the delay spread on the frequency axis. The insertion period is expressed by
여기서, 은 최대지연확산, 는 서브캐리어 간격, 는 도플러 주파수, 는 OFDM 심볼 길이이다.here, Is the maximum delay spread, Is the subcarrier spacing, The Doppler frequency, Is the OFDM symbol length.
도 3은 종래 OFDM 시스템의 파일롯 삽입 방식 중 하나의 실시예를 도시한 도면이다. 이는 IEEE 802.16a의 파일롯 구조를 나타낸다.3 is a diagram illustrating an embodiment of a pilot insertion method of a conventional OFDM system. This represents the pilot structure of IEEE 802.16a.
도 3에 도시된 바와 같이 파일롯은 시간축과 주파수축으로 삽입되어 있다. 이와 같은 방식은 단일 셀(single cell)에서는 채널 추정이 가능하나 셀룰러 시스템에서는 인접 셀의 파일롯과 동일한 위치에 파일롯이 존재하므로 셀 경계에 있는 단말은 셀간의 파일롯 충돌에 의하여 채널추정에 오차가 발생하게 되는 문제점이 있었다.As shown in FIG. 3, the pilot is inserted in the time axis and the frequency axis. In this method, channel estimation is possible in a single cell. However, in a cellular system, since a pilot exists at the same position as a pilot of an adjacent cell, a terminal at a cell boundary causes an error in channel estimation due to pilot collision between cells. There was a problem.
본 발명은 상기와 같은 문제점을 해결하고자 하는 것으로,The present invention is to solve the above problems,
본 발명의 목적은 채널 추정이 가능하도록 파일롯의 간격을 유지하면서 각 기지국마다 고유의 파일롯 패턴을 할당함으로써, 단말이 속한 셀의 인접셀에 임의의 기지국이 위치하여도 셀 경계에 있는 단말이 채널 추정을 가능하도록 하는직교주파수분할다중접속 시스템에서의 파일롯 서브캐리어 할당 방법 과 송신 방법 및 그 장치, 수신 방법 및 그 장치를 제공하고자 하는 데 있다.An object of the present invention is to assign a unique pilot pattern to each base station while maintaining a pilot interval to enable channel estimation, so that a terminal at a cell boundary can estimate a channel even if any base station is located in an adjacent cell of a cell to which the terminal belongs. An object of the present invention is to provide a pilot subcarrier allocation method, a transmission method, an apparatus, a reception method, and an apparatus in an orthogonal frequency division multiple access system.
상기의 목적을 달성하기 위하여, 본 발명에서는 직교주파수분할다중접속 시스템에서 해당 하향링크 채널에 파일롯 서브캐리어를 할당하는 방법이 제공된다.In order to achieve the above object, the present invention provides a method for allocating a pilot subcarrier to a corresponding downlink channel in an orthogonal frequency division multiple access system.
본 발명의 하나의 특징에 따른 직교주파수분할다중접속 시스템에서의 파일롯 서브캐리어 할당 방법은, ⅰ) 상기 하향링크 채널의 전체 대역을 특정 개수의 서브캐리어를 갖는 다수의 서브캐리어 그룹으로 분할하는 단계; ⅱ) 어느 하나의 그룹 내의 제1 셀에 대해 상기 어느 하나의 그룹의 파일롯 패턴에 기초하여 상기 다수의 서브캐리어 그룹의 각 서브캐리어에 파일롯 서브캐리어를 할당하는 단계; 및 ⅲ) 상기 제1 셀에 할당된 파일롯 서브캐리어의 위치를 단말의 이동성 및 지연 확산에 기초하여 특정 주기로 사이클링하여 상기 제1 셀과 인접한 적어도 하나의 제2 셀에 대한 파일롯 서브캐리어를 할당하는 단계를 포함한다.A pilot subcarrier allocation method in an orthogonal frequency division multiple access system according to an aspect of the present invention comprises the following steps: i) dividing the entire band of the downlink channel into a plurality of subcarrier groups having a certain number of subcarriers; Ii) assigning pilot subcarriers to each subcarrier of the plurality of subcarrier groups based on the pilot pattern of the one group for the first cell in any one group; And iv) allocating a pilot subcarrier for at least one second cell adjacent to the first cell by cycling the position of the pilot subcarrier allocated to the first cell at a specific period based on the mobility and delay spread of the terminal. It includes.
삭제delete
삭제delete
삭제delete
삭제delete
삭제delete
삭제delete
삭제delete
삭제delete
삭제delete
삭제delete
삭제delete
삭제delete
삭제delete
삭제delete
삭제delete
삭제delete
삭제delete
삭제delete
본 발명에서는 직교주파수분할다중접속 시스템에서 송신장치가 하향링크 채 널을 통하여 파일롯이 삽입된 송신 데이터를 수신장치로 송신하는 방법이 제공된다.The present invention provides a method for transmitting a pilot-inserted transmission data to a receiving apparatus through a downlink channel in the orthogonal frequency division multiple access system.
본 발명의 다른 하나의 특징에 따른 직교주파수분할다중접속 시스템에서의 송신 방법은, a) 어느 하나의 셀 그룹 내의 각 셀에 대해 특정 서브캐리어 그룹 내의 서브캐리어에 할당될 파일롯 서브캐리어의 위치를 결정하는 단계; b) 상기 결정된 파일롯 서브캐리어의 위치에 따른 정보를 송신하고, 상기 결정된 파일롯 서브캐리어의 위치에 기초하여 송신 데이터에 파일롯 서브캐리어를 삽입하는 단계; 및 c) 상기 파일롯 서브캐리어가 삽입된 송신 데이터를 상기 수신장치로 송신하는 단계를 포함하며, 상기 a)단계는, 특정 파일롯 패턴에 기초하여 상기 어느 하나의 셀 그룹 내의 제1 셀에 할당될 파일롯 서브캐리어를 결정하고, 상기 결정된 제1 셀의 파일롯 서브캐리어를 단말의 이동성 및 지연 확산에 기초하여 특정 주기로 사이클링하여 상기 제1 셀과 인접한 적어도 하나의 제2 셀에 할당될 파일롯 서브캐리어를 결정한다.A transmission method in an orthogonal frequency division multiple access system according to another aspect of the present invention includes: a) for each cell in one cell group, determining the position of a pilot subcarrier to be assigned to a subcarrier in a particular subcarrier group. Doing; b) transmitting information according to the position of the determined pilot subcarrier, and inserting a pilot subcarrier into the transmission data based on the determined position of the pilot subcarrier; And c) transmitting the data to which the pilot subcarrier is inserted is transmitted to the receiving device, wherein step a) includes: a pilot to be allocated to the first cell in the one cell group based on a specific pilot pattern. A subcarrier is determined, and a pilot subcarrier to be allocated to at least one second cell adjacent to the first cell is determined by cycling the pilot subcarrier of the determined first cell based on a mobility and delay spread of the UE. .
삭제delete
삭제delete
삭제delete
삭제delete
삭제delete
삭제delete
삭제delete
삭제delete
삭제delete
삭제delete
삭제delete
삭제delete
삭제delete
삭제delete
본 발명에서는 직교주파수분할다중접속 시스템에서 송신 장치로부터 하향링크 채널을 통하여 파일롯이 삽입되어 송신되는 데이터를 수신하는 방법이 제공된다.The present invention provides a method of receiving data transmitted by inserting a pilot through a downlink channel from a transmitting apparatus in an orthogonal frequency division multiple access system.
본 발명의 또 다른 하나의 특징에 따른 직교주파수분할다중접속 시스템에서의 수신 방법은, a) 상기 송신장치에서 송신된 파일롯의 위치 정보―여기서, 파일롯 위치 정보는 특정 그룹의 파일롯 패턴에 기초하여 상기 특정 그룹 내의 어느 하나의 셀에 할당된 파일롯 서브캐리어의 위치 정보 및 상기 어느 하나의 셀에 할당된 파일롯 서브캐리어를 특정 주기로 사이클링하여 인접한 다른 셀에 할당된 파일롯 서브캐리어의 위치 정보를 포함함―를 송신하여 상기 데이터에서 파일롯의 위치를 인식하는 단계; b) 상기 인식된 파일롯의 위치에 기초하여 상기 데이터로부터 파일롯을 제거하는 단계; 및 c) 상기 파일롯이 제거된 데이터를 복조하여 수신하는 단계를 포함한다.A receiving method in an orthogonal frequency division multiple access system according to another aspect of the present invention comprises: a) position information of a pilot transmitted from the transmitting apparatus, wherein the pilot position information is based on a pilot pattern of a specific group; Location information of a pilot subcarrier assigned to any one cell in a specific group and pilot subcarrier assigned to one of the cells at a specific period to include location information of the pilot subcarrier assigned to another adjacent cell. Transmitting and recognizing the position of the pilot in the data; b) removing the pilot from the data based on the recognized location of the pilot; And c) demodulating and receiving the data from which the pilot has been removed.
삭제delete
삭제delete
삭제delete
삭제delete
삭제delete
삭제delete
삭제delete
삭제delete
삭제delete
삭제delete
삭제delete
삭제delete
삭제delete
삭제delete
삭제delete
삭제delete
본 발명에서는직교주파수분할다중접속 시스템에서 송신장치가 하향링크 채널을 통하여 파일롯이 삽입된 송신 데이터를 수신장치로 송신하는 장치가 제공된다.According to the present invention, an apparatus for transmitting a pilot-inserted transmission data through a downlink channel to a receiving apparatus in an orthogonal frequency division multiple access system is provided.
본 발명의 또 다른 하나의 특징에 따른 직교주파수분할다중접속 시스템에서의 송신 장치는, 파일롯과 데이터 서브캐리어를 변조하는 변조부; 특정 그룹 내의 제1 셀에 대해 상기 특정 셀 그룹의 파일롯 패턴에 기초하여 파일롯 서브캐리어의 위치를 결정하고, 상기 결정된 제1 셀의 파일롯 서브캐리어의 위치를 특정 기준으로 사이클링하여 인접한 다른 셀의 파일롯 서브캐리어의 위치를 결정하는 파일롯 패턴 제어부; 상기 결정된 파일롯의 위치에 파일롯을 삽입하고, 나머지 위치에 데이터를 삽입하여 먹스시키는 먹스부; 및 상기 먹스된 데이터와 파일롯을 시간 영역의 신호로 변환하여 상기 수신 장치로 전송하는 IFFT부를 포함한다.In another aspect of the present invention, a transmission apparatus in an orthogonal frequency division multiple access system includes a modulator for modulating a pilot and a data subcarrier; Determine a position of a pilot subcarrier based on a pilot pattern of the specific cell group with respect to a first cell in a specific group, and cycle the position of the pilot subcarrier of the determined first cell based on a specific reference to pilot subbands of other adjacent cells. A pilot pattern controller to determine a position of a carrier; A mux unit for inserting a pilot at a position of the determined pilot and inserting data at a remaining position for a mux; And an IFFT unit for converting the muxed data and pilot into a signal in a time domain and transmitting the converted data to a receiving device.
본 발명에서는 직교주파수분할다중접속 시스템에서 송신장치로부터 하향링크 채널을 통해 파일롯이 삽입되어 송신되는 데이터를 수신하는 장치가 제공된다.The present invention provides an apparatus for receiving data transmitted by inserting a pilot through a downlink channel from a transmitter in an orthogonal frequency division multiple access system.
본 발명의 또 다른 하나의 특징에 따른 직교주파수분할다중접속 시스템에서의 수신 장치는, 상기 송신장치로부터 송신된 데이터를 고속푸리에 변환하여 주파수 영역의 신호로 출력하는 FFT부; 상기 송신장치로부터 송신된 파일롯 위치 정보―여기서, 파일롯 위치 정보는 특정 그룹의 파일롯 패턴에 기초하여 상기 특정 그룹 내의 어느 하나의 셀에 할당된 파일롯 서브캐리어의 위치 정보 및 상기 어느 하나의 셀에 할당된 파일롯 서브캐리어를 특정 주기로 사이클링하여 인접한 다른 셀에 할당된 파일롯 서브캐리어의 위치 정보를 포함함―로부터 파일롯의 위치를 인식하는 파일롯 패턴 제어부; 상기 인식된 파일롯의 위치로부터 파일롯과 데이터를 분리하는 디먹스부; 상기 분리된 파일롯을 사용하여 상기 분리된 데이터의 채널을 추정하는 채널 추정부; 및 상기 추정된 채널 추정값을 이용하여 분리된 데이터를 복조하는 복조부를 포함한다.According to another aspect of the present invention, a receiving apparatus in an orthogonal frequency division multiple access system includes: an FFT unit for fast Fourier transforming data transmitted from the transmitting apparatus and outputting a signal in a frequency domain; Pilot position information transmitted from the transmitting apparatus, wherein the pilot position information is assigned to one cell and position information of a pilot subcarrier assigned to any one cell in the specific group based on a pilot pattern of the specific group A pilot pattern controller for recognizing the position of the pilot from the pilot subcarrier by a specific period and including position information of the pilot subcarrier assigned to another adjacent cell; A demux unit for separating pilot and data from the recognized pilot position; A channel estimator for estimating a channel of the separated data using the separated pilot; And a demodulator for demodulating the separated data using the estimated channel estimate.
삭제delete
이하, 첨부된 도면들을 참조하여 본 발명을 상세하게 설명하기로 한다. 도 4는 본 발명의 제 1 실시예에 따른 전체 서브캐리어 분할 구조를 도시한 도면이다. Hereinafter, with reference to the accompanying drawings will be described in detail the present invention. 4 is a diagram illustrating an entire subcarrier division structure according to the first embodiment of the present invention.
OFDM 시스템은 하향링크(사용 대역폭)을 여러 개의 서브캐리어(subcarrier)로 나누어 전송한다. 도 4에 도시된 바와 같이 OFDM 시스템은 전체 서브캐이어 K개를 갖는 전체 사용 대역을 그룹 당 N개의 서브캐리어를 갖는 [K/N](이하, sgn이라 칭함)개의 서브캐리어 그룹들로 분할한다.The OFDM system transmits downlink (used bandwidth) by dividing it into a plurality of subcarriers. As shown in FIG. 4, the OFDM system divides the entire used band having K subcarriers into [K / N] subcarrier groups having N subcarriers per group (hereinafter referred to as sgn). .
이 때, 각 기지국은 수학식 3과 같이 파일롯을 할당할 수 있다.At this time, each base station may allocate a pilot as shown in Equation (3).
여기서, N=3, 5, 7, 9, 11, 13, 17,...과 같은 소수, 는 파일롯이 할당되는 서브캐리어 번호, sgn은 서브캐리어 그룹 번호(sgn= 0, 1, 2, ...,[K/N]-1 이다. 여기서, K는 전체 대역의 서브캐리어 수), G(gn)에서 G는 셀 그룹, gn은 셀 그룹 번호, cn은 셀 그룹 내 셀 번호이다.Where prime numbers such as N = 3, 5, 7, 9, 11, 13, 17, ... Is the subcarrier number to which the pilot is assigned, sgn is the subcarrier group number (sgn = 0, 1, 2, ..., [K / N] -1, where K is the number of subcarriers in the full band), G In (gn), G is a cell group, gn is a cell group number, and cn is a cell number in a cell group.
수학식 3에 의해 형성된 N개의 파일롯 패턴을 조합하여 N*N 개의 파일롯 패턴이 형성될 수 있다. 즉, 인접셀의 파일롯 패턴을 달리함과 동시에 구분할 수 있는 파일롯의 수를 증가시켜 파일롯끼리의 충돌을 줄일 수 있으므로 채널 추정의 정확도를 높일 수 있다.N * N pilot patterns may be formed by combining the N pilot patterns formed by Equation (3). That is, the collision between the pilots can be reduced by increasing the number of pilots that can be distinguished and changing the pilot patterns of adjacent cells, thereby increasing the accuracy of channel estimation.
도 5는 본 발명의 제 2 실시예에 따른 파일롯 패턴을 도시한 도면이다. 도 5는 수학식 3에 따라 G(gn)=4이고, cn=2일 경우, 기지국이 할당하는 파일롯 패턴을 나타낸 것이다.5 is a diagram illustrating a pilot pattern according to a second embodiment of the present invention. 5 illustrates a pilot pattern allocated by a base station when G (gn) = 4 and cn = 2 according to
기지국은 G(gn)=4이고, cn=2일 경우, 표 1과 같은 파일롯 패턴을 나타낸다.The base station shows a pilot pattern as shown in Table 1 when G (gn) = 4 and cn = 2.
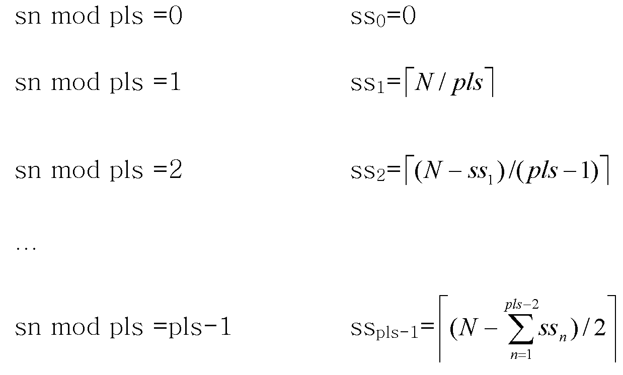
파일롯 패턴은 프레임 내 모든 심볼에서 동일하므로, 고정 파일롯 서브캐리어(부반송파)를 사용할 수 있다. 그러나 시스템에서 요구되는 채널 지연 확산을 수행하기 위하여 파일롯은 짧은 시간 간격으로 삽입되어야 하며, 심볼당 파일롯 비율의 증가는 인접셀의 데이터 영역에 부스팅(boosting)된 강한 간섭으로 작용하므로 심볼당 파일롯 비율은 감소시킬 필요가 있다. 파일롯 비율을 감소시키고, 요구되는 채널 지연 확산을 수용하기 위하여 셀 그룹 내의 셀간의 파일롯 위치를 수학식 4와 같이 사이클링(cycling)한다.Since the pilot pattern is the same for all symbols in the frame, it is possible to use a fixed pilot subcarrier (subcarrier). However, in order to perform the channel delay spread required by the system, the pilot should be inserted at short time intervals, and the increase in the pilot ratio per symbol acts as a strong interference boosted in the data region of the adjacent cell, so the pilot ratio per symbol is Need to be reduced. In order to reduce the pilot ratio and accommodate the required channel delay spread, the pilot position between cells in the cell group is cycled as shown in
사이클링 주기는 이동성(mobility)과 지연 확산(delay spread)에 따른 채널 환경 및 단말기의 복잡도에 따라서 결정된다.The cycling period is determined according to the channel environment and the complexity of the terminal due to mobility and delay spread.
여기서, sn은 심볼 수, pls는 사이클링하는 셀의 수, ss는 사이클링된 파일롯 위치에 따른 서브캐리어의 수이다.Where sn is the number of symbols, pls is the number of cells to be cycled, and ss is the number of subcarriers according to the cycled pilot position.
ss와 pls 사이의 관계는 ss 심볼 동안에 파일롯이 최대한 균등하게 배치되어야 하므로 ss는 수학식 5와 같이 나타난다.The relationship between ss and pls is shown in
도 6은 본 발명의 제 3 실시예에 따른 파일롯 패턴을 도시한 도면이다. 이는 수학식 3 내지 수학식 5로부터 N=7 일 때, 2 셀(cell)사이의 사이클링을 하게 된 경우, 파일롯 패턴을 나타낸 것이다. 6 is a diagram illustrating a pilot pattern according to a third embodiment of the present invention. This shows a pilot pattern when cycling between two cells when N = 7 from
N=7일 경우, 2 셀 사이의 사이클링 하게 되면, N=7이므로 2심볼 사이에 파일롯이 등간격이 되려면, [N/2]이므로, pls=2이고 =4가 된다.When N = 7, if cycling between 2 cells, N = 7, so that the pilot is equally spaced between 2 symbols, because [N / 2], pls = 2 = 4
이 경우의 파일롯의 위치는 표 2와 같이 나타난다.The pilot position in this case is shown in Table 2.
도 7은 본 발명의 제 4 실시예에 따른 파일롯 패턴을 도시한 도면이다. 이는 수학식 3 내지 수학식 5로부터 N=7 일 때, 3 셀(cell)사이의 사이클링을 하게 된 경우, 파일롯 패턴을 나타낸 것이다.7 illustrates a pilot pattern according to a fourth embodiment of the present invention. This shows a pilot pattern when cycling between three cells when N = 7 from
N=7인 경우, 3 셀 사이의 사이클링 하게 되면 pls3이고, sn=1에서 =3이 되고, sn=2에서=2가 된다.If N = 7, cycling between 3 cells would be pls3 and at sn = 1 = 3, and at sn = 2 = 2
이 경우의 파일롯의 위치는 표 3과 같이 나타난다.The pilot position in this case is shown in Table 3.
동일한 방법으로 수학식 3 내지 수학식 5에 의거하여 N=7인 경우 4셀 사이에 사이클링하게 되면 pls=4가 되고, sn=1에서 =2, sn=2에서=2, sn=3에서 =2가 된다.In the same manner, when N = 7 based on
상술한 바와 같이 파일롯을 배치시키는데 파일롯의 배치는 이에 한정되지 아니한다. 예를 들면 파일롯의 배치는 이러한 배치의 역으로도 할 수 있다. 즉, 3셀 사이의 사이클링에서 pls=3이고 sn=1에서 =2가 되고, sn=2에서 =3이 되도록 배치할 수도 있다.As described above, the arrangement of the pilot is not limited thereto. For example, the placement of the pilot may be the reverse of this arrangement. That is, in cycling between three cells, pls = 3 and at sn = 1 = 2, and at sn = 2 It may be arranged so that = 3.
표 4는 N=7인 경우, 파일롯 위치에 따른 사이클링에서 cn과 sn의 관계를 나타낸다.Table 4 shows the relationship between cn and sn in cycling according to pilot position when N = 7.
파일롯 위치에 따른 사이클링은 상술된 바와 같이 파일롯의 위치를 교환함으로써 수신장치의 채널 추정의 성능을 향상킨다.Cycling according to pilot position improves the performance of channel estimation of the receiver by exchanging the position of the pilot as described above.
도 8은 본 발명의 제 5 실시예에 따른 파일롯 패턴을 도시한 도면이다.8 illustrates a pilot pattern according to a fifth embodiment of the present invention.
N=11인 경우 4셀 사이의 파일롯 위치에 따른 사이클링을 수행할 경우, 도 8에 도시된 바와 같이 파일롯의 위치가 결정된다.When N = 11, when cycling according to pilot positions between four cells, the position of the pilot is determined as shown in FIG. 8.
그리고, N=11이고 4심볼 단위의 파일롯 위치에 따른 사이클링이 수행될 경우, sn과 cn의 관계는 표 5와 같이 나타난다.In addition, when N = 11 and cycling is performed according to a pilot position in units of 4 symbols, the relationship between sn and cn is shown in Table 5 below.
도 8에서 도시된 바와 같이 결정된 파일롯은 그 위치를 변경함으로써 수신장치에서 채널 추정의 복잡도를 감소시킨다.The pilot determined as shown in FIG. 8 reduces the complexity of channel estimation at the receiver by changing its location.
도 9는 본 발명의 제 6 실시예에 따른 파일롯 패턴을 도시한 도면이다. 이는 N=11인 경우 4셀 사이의 파일롯 위치에 따른 사이클링을 수행하고 심볼 사이에 파일롯 위치의 교환이 있는 경우의 파일롯 패턴이다.9 illustrates a pilot pattern according to a sixth embodiment of the present invention. This is a pilot pattern when cycling according to pilot positions between four cells when N = 11 and there is an exchange of pilot positions between symbols.
구체적으로 설명하면, sn mod pls = 1이면 sn mod pls = 2의 파일롯 배치를 sn mod pls = 1의 심볼에 사용하고, sn mod pls = 2이면 sn mod pls = 1의 파일롯 배치를 sn mod pls = 2의 심볼에 사용한다. Specifically, if sn mod pls = 1, a pilot batch of sn mod pls = 2 is used for the symbol of sn mod pls = 1, and if sn mod pls = 2, a pilot batch of sn mod pls = 1 is sn mod pls = Used for two symbols.
이와 동일하게 sn mod pls = 3이면 sn mod pls = 4의 파일롯 배치를 sn mod pls = 3의 심볼에 사용하고, sn mod pls = 4이면 sn mod pls = 3의 파일롯 배치를 sn mod pls = 4의 심볼에 사용한다.Similarly, if sn mod pls = 3, a pilot batch of sn mod pls = 4 is used for the symbol of sn mod pls = 3, and if sn mod pls = 4, a pilot batch of sn mod pls = 3 is used for sn mod pls = 4 Used for symbols.
도 8 내지 도 9를 참조하면 도 8에서 pls 내의 홀수 심볼과 짝수 심볼의 파일롯 위치를 서로 교환하면 도 9와 같이 나타난다.8 to 9, when the pilot positions of odd and even symbols in pls are interchanged with each other in FIG. 8, they appear as shown in FIG. 9.
그리고, 표 6은 채널 추정의 성능을 증가시키기 위하여 심볼 사이의 파일롯 교환 후의 cn과 sn의 관계를 나타낸 것이다.Table 6 shows the relationship between cn and sn after pilot exchange between symbols in order to increase the performance of channel estimation.
도 9에 도시된 바와 같이 파일롯 교환 후의 파일롯 위치는 주파수 영역 인터폴레이션(inertpolation;내삽법)을 수행할 때에 서브캐리어 그룹 내의 가운데에 위치하는 파일롯이 인터폴레이션하려는 심볼에 가장 가까이 위치하므로 채널 추정 성능이 도 8에 비하여 우수하다.As shown in FIG. 9, the pilot position after the pilot exchange is located closest to the symbol to be interpolated when the pilot located in the center in the subcarrier group is closest to the symbol to be interpolated when performing frequency domain interpolation. Excellent compared to
도 10은 본 발명에 따른 OFDM 시스템의 송신 장치 및 수신 장치의 구성 블록도이다.10 is a block diagram of a transmitter and a receiver of an OFDM system according to the present invention.
도 10에 나타낸 바와 같이 OFDM 시스템의 송신장치(100)는 직/병렬 변환부(110), 변조부(120), 파일롯 패턴 제어부(130), 먹스부(140), IFFT부(150), 병/직렬 변환부(160), D/A 변환 및 필터부(170)를 포함하여 구성된다.As shown in FIG. 10, the
직/병렬 변환부(110)는 직렬 수신되는 고속의 송신 데이터를 저속의 병렬 데이터로 변환하고, 직렬 수신되는 파일롯을 병렬로 변환한다.The serial /
변조부(120)는 상기 병렬로 변환되어 입력되는 데이터와 파일롯을 정해진 변조방식에 의해 변조한다.The
도 10에서 도시된 실시예에서는 데이터는 QAM 변조부(124)를 통해 QAM 변조 방식을 사용하고, 파일롯은 BPSK 또는 QPSK 변조부(122)를 통해 BPSK 또는 QPSK 변조 방식을 사용하였으나, 이에 한정되지 아니한다. 즉, 서브캐리어에서 사용되는 변조방식은 IEEE802.11a에서 1 개의 서브캐리어로 전송할 수 있는 데이터 양이 1bit의 BPSK, 2bit의 QPSK, 4bit의 16QAM, 6bit의 64QAM, 8bit의 256QAM 중 어느 하나가 사용되어질 수 있다.In the embodiment shown in FIG. 10, the data uses the QAM modulation scheme through the
파일롯 패턴 제어부(130)는 파일롯의 간격을 유지하면서 각 기지국마다 고유의 파일롯 패턴을 할당한다.The
먹스부(140)는 파일롯 패턴 제어부(130)에서 결정된 파일롯의 위치에 따라서 변조된 파일롯을 삽입시키고, 나머지 위치에 변조된 데이터를 삽입시켜 하나의 신호로 출력한다.The
IFFT부(150)는 먹스부(140)로부터 출력된 신호를 역고속 푸리에 변환하여 시간 신호로 변환하는 OFDM 변환 출력을 수행한다. IFFT부(150)를 통해 출력되는 데이터를 OFDM 심볼이라고 하며, IFFF(150)에서 출력되는 OFDM 심볼 간 간섭을 방지하기 위해 상기 병/직렬 변환부(160) 전단에 상기 인접한 OFDM 심볼 사이에 채널의 최대지연확산(Maximum delay spread)보다 길도록 길이를 설정하여 CP(Cyclic Prefix, 이하 CP라 함)를 추가 삽입한다.The
병/직렬 변환부(160)는 CP가 추가 삽입된 병렬신호의 OFDM 심볼을 직렬신호로 변환 출력한다.The parallel /
D/A 변환 및 필터부(170)는 직렬신호로 변환출력된 디지털 신호를 아날로그 신호로 변환하고, 필터링하여 RF단을 통하여 수신장치(200)로 송신한다.The D / A conversion and
다음으로, OFDM 시스템의 수신장치(200)는 A/D 변환 및 필터부(210), 직/병렬 변환부(220), FFT부(230), 파일롯 패턴 제어부(240), 디먹스부(250), 채널 추정부(260), 복조부(270), 병/직렬 변환부(280)를 포함하여 구성된다.Next, the
A/D 변환 및 필터부(210)는 CP가 삽입되어져 송신장치(100)로부터 송신된 직렬의 아날로그 OFDM 심볼을 수신하고 필터링한 후, 디지털 신호로 변환한다.The A / D conversion and
직/병렬 변환부(220)는 송신장치(100)로부터 CP가 삽입된 OFDM 심볼의 CP를 제거하고 병렬 신호로 변환한다.The serial /
FFT부(230)는 직/병렬 변환부(220)를 통해 변환된 병렬 신호를 고속푸리에 변환하여 시간 영역 신호를 주파수 영역에서의 OFDM 심볼로 변환한다. The
파일롯 패턴 제어부(240)는 고속 푸리에 변환한 후의 수신 신호를 파일롯과 데이터로 디먹스하기 위하여 파일롯의 간격을 유지하면서 각 기지국마다 할당된 고유의 파일롯 패턴으로부터 파일롯의 위치를 인식한다.The pilot
디먹스부(250)는 FFT부(230)를 통해 출력된 주파수 영역으로 변환된 OFDM 심볼을 입력받고, 발생된 파일롯의 위치에 따라서 OFDM 심볼을 데이터와 파일롯으로 분리하여 출력한다. The
채널 추정부(260)는 디먹스부(250)로부터 출력된 파일롯을 입력받아 수신 신호의 채널을 추정한다. 이 때, 수신 신호의 채널을 추정하기 위하여 파일롯을 시간영역으로 쉬프트시키고 주파수 영역으로 인터폴레이션한다. 그러나, 수신 신호의 채널 추정 방식은 이에 한정되지 아니한다. 예를 들어 1차원(주파수 영역) 인터폴레이션 방식, 1차원(시간 영역)+1차원(주파수 영역) 인터폴레이션 방식, 2차원(시간, 주파수 영역) 인터폴레이션 방식 등의 일반적으로 알려진 채널 추정방식을 사용할 수도 있다.The
복조부(270)는 추정된 채널 추정값을 이용하여 송신장치(100)에서 변조부 (120)에서 데이터의 변조방식과 동일한 방식인 QAM을 이용하여 데이터를 복조한다.The
병/직렬 변환부(280)는 복조된 병렬 데이터를 직렬 데이터를 직렬 데이터로 변환한다.The parallel /
이상의 실시예들은 본원 발명을 설명하기 위한 것으로, 본원 발명의 범위는 실시예들에 한정되지 아니하며, 첨부된 청구 범위에 의거하여 정의되는 본원 발명의 범주 내에서 당업자들에 의하여 변형 또는 수정될 수 있다. The above embodiments are intended to illustrate the present invention, the scope of the present invention is not limited to the embodiments, it can be modified or modified by those skilled in the art within the scope of the invention defined by the appended claims. .
본 발명에 의하면, 구분 가능한 모든 셀들이 고유의 파일롯 패턴을 가지고 있으며, 심볼간 파일롯의 위치를 교환함으로써 파일롯끼리의 충돌을 줄여서 단말이 속한 셀의 인접셀간 간섭이 최소화되고, 셀 경계에 있는 단말이 채널 추정을 가능 하도록 하며, 채널 추정의 정확성을 향상시킬 수 있는 효과가 있다.According to the present invention, all distinguishable cells have a unique pilot pattern, and by minimizing collision between pilots by exchanging pilot positions between symbols, interference between adjacent cells of a cell to which a terminal belongs is minimized, The channel estimation can be enabled, and the accuracy of channel estimation can be improved.
또한, 광대역에서 인접셀을 구분할 수 있고, 구분할 수 있는 파일롯 수를 증가시켜 셀 계획(planning)을 쉽게 할 수 있으며, 특별한 셀 계획없이 시스템의 디플로이(deploy)가 가능한 효과가 있다.In addition, it is possible to distinguish adjacent cells in broadband, increase the number of distinguishable pilots to facilitate cell planning, and deploy the system without special cell planning.
Claims (24)
Priority Applications (2)
| Application Number | Priority Date | Filing Date | Title |
|---|---|---|---|
| KR1020030085530A KR100600672B1 (en) | 2003-11-28 | 2003-11-28 | Pilot subcarrier allocation method and transmission method and apparatus therefor, or receiving method and apparatus in orthogonal frequency division multiple access system |
| PCT/KR2004/001836 WO2005053198A2 (en) | 2003-11-28 | 2004-07-22 | Method for allocating pilot subcarriers, method and device for transmitting and receiving pilot subcarriers in orthogonal frequency division multiplex system |
Applications Claiming Priority (1)
| Application Number | Priority Date | Filing Date | Title |
|---|---|---|---|
| KR1020030085530A KR100600672B1 (en) | 2003-11-28 | 2003-11-28 | Pilot subcarrier allocation method and transmission method and apparatus therefor, or receiving method and apparatus in orthogonal frequency division multiple access system |
Publications (2)
| Publication Number | Publication Date |
|---|---|
| KR20050051865A KR20050051865A (en) | 2005-06-02 |
| KR100600672B1 true KR100600672B1 (en) | 2006-07-13 |
Family
ID=34632035
Family Applications (1)
| Application Number | Title | Priority Date | Filing Date |
|---|---|---|---|
| KR1020030085530A Expired - Lifetime KR100600672B1 (en) | 2003-11-28 | 2003-11-28 | Pilot subcarrier allocation method and transmission method and apparatus therefor, or receiving method and apparatus in orthogonal frequency division multiple access system |
Country Status (2)
| Country | Link |
|---|---|
| KR (1) | KR100600672B1 (en) |
| WO (1) | WO2005053198A2 (en) |
Families Citing this family (31)
| Publication number | Priority date | Publication date | Assignee | Title |
|---|---|---|---|---|
| KR101137329B1 (en) | 2005-06-15 | 2012-04-19 | 엘지전자 주식회사 | Method and apparatus for allocating subcarriers in OFDMA |
| KR100981552B1 (en) | 2005-06-21 | 2010-09-10 | 삼성전자주식회사 | Device and method for transmitting / receiving uplink pilot in frequency division multiple access system |
| KR100653282B1 (en) * | 2005-07-27 | 2006-12-01 | 한국전자통신연구원 | Training Signal Sequence Transmission Method for Channel Estimation in Orthogonal Frequency Division Multiplexed Cellular Systems |
| US7903628B2 (en) * | 2005-08-22 | 2011-03-08 | Qualcomm Incorporated | Configurable pilots in a wireless communication system |
| KR101203869B1 (en) * | 2006-03-09 | 2012-11-21 | 엘지전자 주식회사 | Multi-carrier transmission method to support differant bandwidth capability terminals |
| KR101227491B1 (en) | 2006-03-20 | 2013-01-29 | 엘지전자 주식회사 | Method of retransmitting packets and packet recovery in mobile communications system |
| JP4899555B2 (en) * | 2006-03-17 | 2012-03-21 | 富士通株式会社 | Wireless communication system, transmitting apparatus and receiving apparatus |
| CN101480008B (en) | 2006-04-24 | 2013-06-12 | 韩国电子通信研究院 | Method of generating pilot pattern for adaptive channel estimation in orthogonal frequency division multiple access system, transmission/reception method using the pilot pattern, and device thereof |
| JP2007329588A (en) * | 2006-06-06 | 2007-12-20 | Fujitsu Ltd | Transmitter and transmission method |
| JP4793569B2 (en) * | 2006-06-19 | 2011-10-12 | 日本電気株式会社 | Bandwidth allocation method and radio communication system |
| US8948757B2 (en) | 2007-03-21 | 2015-02-03 | Qualcomm Incorporated | Methods and apparatus for RF handoff in a multi-frequency network |
| US8737353B2 (en) | 2007-03-21 | 2014-05-27 | Qualcomm Incorporated | Methods and apparatus for RF handoff in a multi-frequency network |
| US8457064B2 (en) | 2007-03-21 | 2013-06-04 | Qualcomm Incorporated | Methods and apparatus for RF handoff in a multi-frequency network |
| US8750248B2 (en) | 2007-03-21 | 2014-06-10 | Qualcomm Incorporated | Methods and apparatus for RF handoff in a multi-frequency network |
| US8737350B2 (en) | 2007-03-21 | 2014-05-27 | Qualcomm Incorporated | Methods and apparatus for RF handoff in a multi-frequency network |
| US8565799B2 (en) | 2007-04-04 | 2013-10-22 | Qualcomm Incorporated | Methods and apparatus for flow data acquisition in a multi-frequency network |
| US8571553B2 (en) * | 2007-07-16 | 2013-10-29 | Qualcomm Incorporated | Methods and apparatus for resolving pilot pseudorandom noise code conflicts in a communication system |
| CN101227232B (en) * | 2008-02-01 | 2010-06-09 | 中兴通讯股份有限公司 | Method and apparatus for mapping of downlink pilot frequency initial position |
| US8570939B2 (en) | 2008-03-07 | 2013-10-29 | Qualcomm Incorporated | Methods and systems for choosing cyclic delays in multiple antenna OFDM systems |
| US20100227612A1 (en) * | 2009-03-09 | 2010-09-09 | Qualcomm Incorporated | Cell detection for mobile location with grouping diversity |
| CN102244631B (en) * | 2010-05-11 | 2014-12-17 | 华为技术有限公司 | Central subcarrier configuring method and device |
| GB2496383A (en) | 2011-11-07 | 2013-05-15 | Nec Corp | Extension carriers having synchronisation signals with configurable locations |
| US9774481B2 (en) * | 2012-04-05 | 2017-09-26 | Qualcomm, Incorporated | Systems and methods for transmitting pilot tones |
| US9271241B2 (en) | 2013-11-19 | 2016-02-23 | Intel IP Corporation | Access point and methods for distinguishing HEW physical layer packets with backwards compatibility |
| US9544914B2 (en) | 2013-11-19 | 2017-01-10 | Intel IP Corporation | Master station and method for HEW communication using a transmission signaling structure for a HEW signal field |
| EP3072344A4 (en) | 2013-11-19 | 2017-08-02 | Intel IP Corporation | Method, apparatus, and computer readable medium for multi-user scheduling in wireless local-area networks |
| US9325463B2 (en) | 2013-11-19 | 2016-04-26 | Intel IP Corporation | High-efficiency WLAN (HEW) master station and methods to increase information bits for HEW communication |
| BR112016008789B1 (en) | 2013-11-19 | 2022-12-27 | SOLiD, INC | MAIN STATION CONFIGURED FOR HIGH-EFFICIENCY WIRELESS LOCAL AREA NETWORK COMMUNICATION, METHOD PERFORMED BY A MAIN STATION, STORAGE MEDIA AND HIGH-EFFICIENCY WIRELESS LOCAL AREA NETWORK STATION |
| US20150327121A1 (en) | 2014-05-08 | 2015-11-12 | Guoqing C. Li | Method, apparatus, and computer readable media for acknowledgement in wireless networks |
| WO2016010578A1 (en) * | 2014-07-18 | 2016-01-21 | Intel IP Corporation | Method, apparatus, and computer readable medium for transmitting pilots in wireless local area networks |
| WO2021237523A1 (en) * | 2020-05-27 | 2021-12-02 | 华为技术有限公司 | Communication method and communication device |
Family Cites Families (2)
| Publication number | Priority date | Publication date | Assignee | Title |
|---|---|---|---|---|
| US6947748B2 (en) * | 2000-12-15 | 2005-09-20 | Adaptix, Inc. | OFDMA with adaptive subcarrier-cluster configuration and selective loading |
| KR100790114B1 (en) * | 2002-03-16 | 2007-12-31 | 삼성전자주식회사 | Adaptive Pilot Carrier Allocation Method and Apparatus in Orthogonal Frequency Division Multiple Access System |
-
2003
- 2003-11-28 KR KR1020030085530A patent/KR100600672B1/en not_active Expired - Lifetime
-
2004
- 2004-07-22 WO PCT/KR2004/001836 patent/WO2005053198A2/en not_active Ceased
Also Published As
| Publication number | Publication date |
|---|---|
| WO2005053198A2 (en) | 2005-06-09 |
| KR20050051865A (en) | 2005-06-02 |
| WO2005053198A3 (en) | 2007-12-06 |
Similar Documents
| Publication | Publication Date | Title |
|---|---|---|
| KR100600672B1 (en) | Pilot subcarrier allocation method and transmission method and apparatus therefor, or receiving method and apparatus in orthogonal frequency division multiple access system | |
| KR100507541B1 (en) | Data and pilot carrier allocation method and receiving method, receiving apparatus and, sending method, sending apparatus in ofdm system | |
| US7848438B2 (en) | Method and apparatus for pilot signal transmission | |
| US8559295B2 (en) | Method and apparatus for pilot signal transmission | |
| US20070041311A1 (en) | Method and apparatus for pilot signal transmission | |
| EP1929819B1 (en) | Initial access channel for scalable wireless mobile communication networks | |
| KR100668662B1 (en) | Method and apparatus for estimating signal-to-interference and noise ratio using preamble in OPDM | |
| KR20050003800A (en) | Apparatus and method for cell search in mobile communication system using multiple access scheme | |
| WO2009114478A1 (en) | Efficient and consistent wireless downlink channel configuration | |
| CN101449481A (en) | Signal Acquisition in Wireless Communication Systems | |
| KR20040110904A (en) | Apparatus for assinging subcarrier of pilot channel for distinguishing base stations in communication systems using orthogonal frequency division multiplexing scheme and method thereof | |
| KR20040110348A (en) | Apparatus and method for transmitting/receiving pilot pattern set for distinguish base station in communication using orthogonal frequency division multiplexing scheme | |
| US20060187887A1 (en) | Wireless multiple access system for suppressing inter-cell interference | |
| KR100534410B1 (en) | Sending method, sending apparatus and, receiving method, receiving apparatus of tdma/ofdm system | |
| KR101065687B1 (en) | A Time Synchronization Acquisition Method Applied to an OFM Radio Communication System | |
| WO2005050887A2 (en) | Method for configuring uplink frame in ofdma-based wireless communication system | |
| CN1905427A (en) | Wireless frame transmission method of TD SCDMA system based on OFDM | |
| KR101230777B1 (en) | Method and apparatus for resource allocation for uplink synchronization channel for frequency division multiple access system | |
| WO2006088326A2 (en) | Wireless multiple access system for suppressing inter-cell interference | |
| HK1117314A (en) | Initial access channel for scalable wireless mobile communication networks | |
| HK1120698A (en) | Initial access channel for scalable wireless mobile communication networks | |
| HK1120698B (en) | Initial access channel for scalable wireless mobile communication networks | |
| HK1117314B (en) | Initial access channel for scalable wireless mobile communication networks | |
| HK1221091A1 (en) | Method and apparatus for achieving flexible bandwidth using variable guard bands | |
| HK1117313A1 (en) | Sequence generating method for detection and method for transmitting and receiving signals using the same |
Legal Events
| Date | Code | Title | Description |
|---|---|---|---|
| A201 | Request for examination | ||
| PA0109 | Patent application |
Patent event code: PA01091R01D Comment text: Patent Application Patent event date: 20031128 |
|
| PA0201 | Request for examination | ||
| N231 | Notification of change of applicant | ||
| PN2301 | Change of applicant |
Patent event date: 20040309 Comment text: Notification of Change of Applicant Patent event code: PN23011R01D |
|
| PG1501 | Laying open of application | ||
| E902 | Notification of reason for refusal | ||
| PE0902 | Notice of grounds for rejection |
Comment text: Notification of reason for refusal Patent event date: 20050927 Patent event code: PE09021S01D |
|
| E701 | Decision to grant or registration of patent right | ||
| PE0701 | Decision of registration |
Patent event code: PE07011S01D Comment text: Decision to Grant Registration Patent event date: 20060406 |
|
| GRNT | Written decision to grant | ||
| PR0701 | Registration of establishment |
Comment text: Registration of Establishment Patent event date: 20060706 Patent event code: PR07011E01D |
|
| PR1002 | Payment of registration fee |
Payment date: 20060707 End annual number: 3 Start annual number: 1 |
|
| PG1601 | Publication of registration | ||
| PR1001 | Payment of annual fee |
Payment date: 20090618 Start annual number: 4 End annual number: 4 |
|
| PR1001 | Payment of annual fee |
Payment date: 20100618 Start annual number: 5 End annual number: 5 |
|
| PR1001 | Payment of annual fee |
Payment date: 20110621 Start annual number: 6 End annual number: 6 |
|
| PR1001 | Payment of annual fee |
Payment date: 20120621 Start annual number: 7 End annual number: 7 |
|
| FPAY | Annual fee payment |
Payment date: 20130619 Year of fee payment: 8 |
|
| PR1001 | Payment of annual fee |
Payment date: 20130619 Start annual number: 8 End annual number: 8 |
|
| FPAY | Annual fee payment |
Payment date: 20140618 Year of fee payment: 9 |
|
| PR1001 | Payment of annual fee |
Payment date: 20140618 Start annual number: 9 End annual number: 9 |
|
| FPAY | Annual fee payment |
Payment date: 20150618 Year of fee payment: 10 |
|
| PR1001 | Payment of annual fee |
Payment date: 20150618 Start annual number: 10 End annual number: 10 |
|
| FPAY | Annual fee payment |
Payment date: 20160614 Year of fee payment: 11 |
|
| PR1001 | Payment of annual fee |
Payment date: 20160614 Start annual number: 11 End annual number: 11 |
|
| FPAY | Annual fee payment |
Payment date: 20170619 Year of fee payment: 12 |
|
| PR1001 | Payment of annual fee |
Payment date: 20170619 Start annual number: 12 End annual number: 12 |
|
| FPAY | Annual fee payment |
Payment date: 20190617 Year of fee payment: 14 |
|
| PR1001 | Payment of annual fee |
Payment date: 20190617 Start annual number: 14 End annual number: 14 |
|
| PR1001 | Payment of annual fee |
Payment date: 20200617 Start annual number: 15 End annual number: 15 |
|
| PR1001 | Payment of annual fee |
Payment date: 20210610 Start annual number: 16 End annual number: 16 |
|
| PR1001 | Payment of annual fee |
Payment date: 20220613 Start annual number: 17 End annual number: 17 |
|
| PC1801 | Expiration of term |
Termination date: 20240528 Termination category: Expiration of duration |







