JP7217154B2 - レジスト組成物及びレジストパターンの製造方法 - Google Patents
レジスト組成物及びレジストパターンの製造方法 Download PDFInfo
- Publication number
- JP7217154B2 JP7217154B2 JP2019005336A JP2019005336A JP7217154B2 JP 7217154 B2 JP7217154 B2 JP 7217154B2 JP 2019005336 A JP2019005336 A JP 2019005336A JP 2019005336 A JP2019005336 A JP 2019005336A JP 7217154 B2 JP7217154 B2 JP 7217154B2
- Authority
- JP
- Japan
- Prior art keywords
- group
- carbon atoms
- formula
- hydrocarbon group
- groups
- Prior art date
- Legal status (The legal status is an assumption and is not a legal conclusion. Google has not performed a legal analysis and makes no representation as to the accuracy of the status listed.)
- Active
Links
Landscapes
- Materials For Photolithography (AREA)
- Exposure And Positioning Against Photoresist Photosensitive Materials (AREA)
Description
〔1〕酸不安定基を有する構造単位を含む樹脂と、フッ素原子を有する構造単位を含む樹脂と、酸発生剤と、式(I)で表される化合物とを含有するレジスト組成物。
[式(I)中、
L1は、単結合又は炭素数1~18の2価の炭化水素基を表し、該炭化水素基に含まれる-CH2-は、-O-、-S-、-S(O)2-又は-CO-に置き換わっていてもよい。
W1は、炭素数3~24の炭化水素環を表し、該炭化水素環に含まれる-CH2-は、-O-、-S-、-S(O)2-又は-CO-に置き換わっていてもよい。
nは、1~3のいずれかの整数を表す。
R1及びR2は、それぞれ独立に、炭素数1~6のフッ素化アルキル基を表す。
R3は、水素原子又は置換基を有していてもよい炭素数1~18の炭化水素基を表し、該炭化水素基に含まれる-CH2-は、-O-、-S-、-S(O)2-又は-CO-に置き換わっていてもよい。
nが2又は3の時、複数のR1、R2及びR3は、同じでも異なっていてもよい。]
〔2〕R1及びR2が、トリフルオロメチル基である〔1〕記載のレジスト組成物。
〔3〕R3が、水素原子又は置換基を有していてもよい炭素数1~18の炭化水素基を表し、該炭化水素基に含まれる少なくとも1つの-CH2-は、-O-又は-CO-に置き換わっている〔1〕又は〔2〕記載のレジスト組成物。
〔4〕W1が、単環式の飽和炭化水素環である〔1〕~〔3〕のいずれかに記載のレジスト組成物。
〔5〕酸発生剤が、式(B1)で表される塩である〔1〕~〔4〕のいずれかに記載のレジスト組成物。
[式(B1)中、
Qb1及びQb2は、それぞれ独立に、フッ素原子又は炭素数1~6のペルフルオロアルキル基を表す。
Lb1は、炭素数1~24の飽和炭化水素基を表し、該飽和炭化水素基に含まれる-CH2-は、-O-又は-CO-に置き換わっていてもよく、該飽和炭化水素基に含まれる水素原子は、フッ素原子又はヒドロキシ基で置換されていてもよい。
Yは、置換基を有していてもよいメチル基又は置換基を有していてもよい炭素数3~18の脂環式炭化水素基を表し、該脂環式炭化水素基に含まれる-CH2-は、-O-、-S(O)2-又は-CO-に置き換わっていてもよい。
Z+は、有機カチオンを表す。]
〔6〕(1)〔1〕~〔5〕のいずれかに記載のレジスト組成物を基板上に塗布する工程、
(2)塗布後の組成物を乾燥させて組成物層を形成する工程、
(3)組成物層に露光する工程、
(4)露光後の組成物層を加熱する工程、及び
(5)加熱後の組成物層を現像する工程を含むレジストパターンの製造方法。
〔7〕式(I)で表される化合物。
[式(I)中、
L1は、単結合又は炭素数1~18の2価の炭化水素基を表し、該炭化水素基に含まれる-CH2-は、-O-、-S-、-S(O)2-又は-CO-に置き換わっていてもよい。
W1は、炭素数3~24の炭化水素環を表し、該炭化水素環に含まれる-CH2-は、-O-、-S-、-S(O)2-又は-CO-に置き換わっていてもよい。
nは、1~3のいずれかの整数を表す。
R1及びR2は、それぞれ独立に、炭素数1~6のフッ素化アルキル基を表す。
R3は、水素原子又は置換基を有していてもよい炭素数1~18の炭化水素基を表し、該炭化水素基に含まれる-CH2-は、-O-、-S-、-S(O)2-又は-CO-に置き換わっていてもよい。
nが2又は3の時、複数のR1、R2及びR3は、同じでも異なっていてもよい。]
また、特に断りのない限り、「脂肪族炭化水素基」のように直鎖、分岐及び/又は環をとり得る基は、そのいずれをも含む。「芳香族炭化水素基」は芳香環に炭化水素基が結合した基をも包含する。立体異性体が存在する場合は、全ての立体異性体を包含する。
本明細書において、「レジスト組成物の固形分」とは、レジスト組成物の総重量から、後述する溶剤(E)を除いた成分の合計重量を意味する。
本発明のレジスト組成物は、酸不安定基を有する構造単位を含む樹脂(以下「樹脂(A)」という場合がある)、フッ素原子を有する構造単位を含む樹脂(以下「樹脂(X)」という場合がある)、酸発生剤(以下「酸発生剤(B)」という場合がある)及び式(I)で表される化合物(以下「化合物(I)」という場合がある)を含有する。ここで「酸不安定基」とは、脱離基を有し、酸との接触により脱離基が脱離して、親水性基(例えば、ヒドロキシ基又はカルボキシ基)を形成する基を意味する。
本発明のレジスト組成物は、溶剤(以下「溶剤(E)」という場合がある)を含有することが好ましい。
本発明のレジスト組成物は、さらに、クエンチャー(以下「クエンチャー(C)」という場合がある)を含有してもよい。
樹脂(A)は、酸不安定基を有する構造単位(以下「構造単位(a1)」という場合がある)を有する。樹脂(A)は、さらに、構造単位(a1)以外の構造単位を含むことが好ましい。構造単位(a1)以外の構造単位としては、酸不安定基を有さない構造単位(以下「構造単位(s)」という場合がある)、構造単位(a1)及び構造単位(s)以外の構造単位(例えば、後述するハロゲン原子を有する構造単位(以下「構造単位(a4)」という場合がある)、後述する非脱離炭化水素基を有する構造単位(以下「構造単位(a5)という場合がある)及びその他の当該分野で公知のモノマーに由来する構造単位等が挙げられる。
構造単位(a1)は、酸不安定基を有するモノマー(以下「モノマー(a1)」という場合がある)から導かれる。
樹脂(A)に含まれる酸不安定基は、式(1)で表される基(以下、基(1)とも記す)及び/又は式(2)で表される基(以下、基(2)とも記す)が好ましい。
[式(1)中、Ra1、Ra2及びRa3は、それぞれ独立に、炭素数1~8のアルキル基、炭素数3~20の脂環式炭化水素基又はこれらを組み合わせた基を表すか、Ra1及びRa2は互いに結合してそれらが結合する炭素原子とともに炭素数3~20の非芳香族炭化水素環を形成する。
ma及びnaは、それぞれ独立して、0又は1を表し、ma及びnaの少なくとも一方は1を表す。
*は結合部位を表す。]
[式(2)中、Ra1’及びRa2’は、それぞれ独立に、水素原子又は炭素数1~12の炭化水素基を表し、Ra3’は、炭素数1~20の炭化水素基を表すか、Ra2’及びRa3’は互いに結合してそれらが結合する炭素原子及びXとともに炭素数3~20の複素環を形成し、該炭化水素基及び該複素環に含まれる-CH2-は、-O-又は-S-で置き換わってもよい。
Xは、酸素原子又は硫黄原子を表す。
na’は、0又は1を表す。
*は結合部位を表す。]
Ra1、Ra2及びRa3における脂環式炭化水素基は、単環式及び多環式のいずれでもよい。単環式の脂環式炭化水素基としては、シクロペンチル基、シクロへキシル基、シクロヘプチル基、シクロオクチル基等のシクロアルキル基が挙げられる。多環式の脂環式炭化水素基としては、デカヒドロナフチル基、アダマンチル基、ノルボルニル基及び下記の基(*は結合部位を表す。)等が挙げられる。Ra1、Ra2及びRa3の脂環式炭化水素基の炭素数は、好ましくは3~16である。
アルキル基と脂環式炭化水素基とを組み合わせた基としては、例えば、メチルシクロヘキシル基、ジメチルシクロへキシル基、メチルノルボルニル基、シクロヘキシルメチル基、アダマンチルメチル基、アダマンチルジメチル基、ノルボルニルエチル基等が挙げられる。
好ましくは、maは0であり、naは1である。
Ra1及びRa2が互いに結合して非芳香族炭化水素環を形成する場合の-C(Ra1)(Ra2)(Ra3)としては、下記の環が挙げられる。非芳香族炭化水素環は、好ましくは炭素数3~12である。*は-O-との結合部位を表す。
アルキル基及び脂環式炭化水素基は、Ra1、Ra2及びRa3で挙げた基と同様のものが挙げられる。
芳香族炭化水素基としては、フェニル基、ナフチル基、アントリル基、ビフェニル基、フェナントリル基等のアリール基が挙げられる。
組み合わせた基としては、上述したアルキル基と脂環式炭化水素基とを組み合わせた基(例えばシクロアルキルアルキル基)、ベンジル基等のアラルキル基、アルキル基を有する芳香族炭化水素基(p-メチルフェニル基、p-tert-ブチルフェニル基、トリル基、キシリル基、クメニル基、メシチル基、2,6-ジエチルフェニル基、2-メチル-6-エチルフェニル基等)、脂環式炭化水素基を有する芳香族炭化水素基(p-シクロヘキシルフェニル基、p-アダマンチルフェニル基等)、フェニルシクロヘキシル基等のアリール-シクロアルキル基等が挙げられる。
Ra2’及びRa3’が互いに結合してそれらが結合する炭素原子及びXとともに複素環を形成する場合、-C(Ra1’)(Ra3’)-X-Ra2’としては、下記の環が挙げられる。*は、結合部位を表す。
Ra1’及びRa2’のうち、少なくとも1つは水素原子であることが好ましい。
na’は、好ましくは0である。
式(1)においてRa1、Ra2及びRa3がアルキル基であり、ma=0であり、na=1である基。当該基としては、tert-ブトキシカルボニル基が好ましい。
式(1)において、Ra1、Ra2が、これらが結合する炭素原子と一緒になってアダマンチル基を形成し、Ra3がアルキル基であり、ma=0であり、na=1である基。
式(1)において、Ra1及びRa2がそれぞれ独立してアルキル基であり、Ra3がアダマンチル基であり、ma=0であり、na=1である基。
基(1)としては、具体的には以下の基が挙げられる。*は結合部位を表す。
[式(a1-0)、式(a1-1)及び式(a1-2)中、
La01、La1及びLa2は、それぞれ独立に、-O-又は*-O-(CH2)k1-CO-O-を表し、k1は1~7のいずれかの整数を表し、*は-CO-との結合部位を表す。
Ra01、Ra4及びRa5は、それぞれ独立に、水素原子又はメチル基を表す。
Ra02、Ra03及びRa04は、それぞれ独立に、炭素数1~8のアルキル基、炭素数3~18の脂環式炭化水素基又はこれらを組み合わせた基を表す。
Ra6及びRa7は、それぞれ独立に、炭素数1~8のアルキル基、炭素数3~18の脂環式炭化水素基又はこれらを組合せることにより形成される基を表す。
m1は0~14のいずれかの整数を表す。
n1は0~10のいずれかの整数を表す。
n1’は0~3のいずれかの整数を表す。]
La01、La1及びLa2は、好ましくは酸素原子又は*-O-(CH2)k01-CO-O-であり(但し、k01は、好ましくは1~4のいずれかの整数、より好ましくは1である。)、より好ましくは酸素原子である。
Ra02、Ra03、Ra04、Ra6及びRa7におけるアルキル基、脂環式炭化水素基及びこれらを組合せた基としては、式(1)のRa1、Ra2及びRa3で挙げた基と同様の基が挙げられる。
Ra02、Ra03、及びRa04におけるアルキル基の炭素数は、好ましくは1~6であり、より好ましくはメチル基又はエチル基であり、さらに好ましくはメチル基である。
Ra6及びRa7におけるアルキル基の炭素数は、好ましくは1~6であり、より好ましくはメチル基、エチル基又はイソプロピル基であり、さらに好ましくはエチル基又はイソプロピル基である。
Ra02、Ra03、Ra04、Ra6及びRa7の脂環式炭化水素基の炭素数は、好ましくは5~12であり、より好ましくは5~10である。
アルキル基と脂環式炭化水素基とを組合せた基は、これらアルキル基と脂環式炭化水素基とを組合せた合計炭素数が、18以下であることが好ましい。
Ra02及びRa03は、好ましくは炭素数1~6のアルキル基であり、より好ましくはメチル基又はエチル基である。
Ra04は、好ましくは炭素数1~6のアルキル基又は炭素数5~12の脂環式炭化水素基であり、より好ましくはメチル基、エチル基、シクロヘキシル基又はアダマンチル基である。
Ra6及びRa7は、それぞれ独立に、好ましくは炭素数1~6のアルキル基であり、より好ましくはメチル基、エチル基又はイソプロピル基であり、さらに好ましくはエチル基又はイソプロピル基である。
m1は、好ましくは0~3のいずれかの整数であり、より好ましくは0又は1である。
n1は、好ましくは0~3のいずれかの整数であり、より好ましくは0又は1である。
n1’は好ましくは0又は1である。
[式(a1-4)中、
Ra32は、水素原子、ハロゲン原子、又は、ハロゲン原子を有していてもよい炭素数1~6のアルキル基を表す。
Ra33は、ハロゲン原子、ヒドロキシ基、炭素数1~6のアルキル基、炭素数1~6のアルコキシ基、炭素数2~4のアルキルカルボニル基、炭素数2~4のアルキルカルボニルオキシ基、アクリロイルオキシ基又はメタクリロイルオキシ基を表す。
laは0~4のいずれかの整数を表す。laが2以上である場合、複数のRa33は互いに同一であっても異なってもよい。
Ra34及びRa35はそれぞれ独立に、水素原子又は炭素数1~12の炭化水素基を表し、Ra36は、炭素数1~20の炭化水素基を表すか、Ra35及びRa36は互いに結合してそれらが結合する-C-O-とともに炭素数2~20の2価の炭化水素基を形成し、該炭化水素基及び該2価の炭化水素基に含まれる-CH2-は、-O-又は-S-で置き換わってもよい。]
Ra32及びRa33におけるハロゲン原子としては、フッ素原子、塩素原子及び臭素原子等が挙げられる。
ハロゲン原子を有していてもよい炭素数1~6のアルキル基としては、トリフルオロメチル基、ジフルオロメチル基、メチル基、ペルフルオロエチル基、2,2,2-トリフルオロエチル基、1,1,2,2-テトラフルオロエチル基、エチル基、ペルフルオロプロピル基、2,2,3,3,3-ペンタフルオロプロピル基、プロピル基、ペルフルオロブチル基、1,1,2,2,3,3,4,4-オクタフルオロブチル基、ブチル基、ペルフルオロペンチル基、2,2,3,3,4,4,5,5,5-ノナフルオロペンチル基、ペンチル基、ヘキシル基、ペルフルオロヘキシル基等が挙げられる。
アルコキシ基としては、メトキシ基、エトキシ基、プロポキシ基、ブトキシ基、ペンチルオキシ基及びヘキシルオキシ基等が挙げられる。なかでも、炭素数1~4のアルコキシ基が好ましく、メトキシ基又はエトキシ基がより好ましく、メトキシ基がさらに好ましい。
アルキルカルボニル基としては、アセチル基、プロピオニル基及びブチリル基が挙げられる。
アルキルカルボニルオキシ基としては、アセチルオキシ基、プロピオニルオキシ基、ブチリルオキシ基等が挙げられる。
Ra34、Ra35及びRa36における炭化水素基としては、アルキル基、脂環式炭化水素基、芳香族炭化水素基、及びこれらを組み合わせた基が挙げられ、アルキル基及び脂環式炭化水素基としては、Ra02、Ra03、Ra04、Ra6及びRa7におけるアルキル基及び脂環式炭化水素基と同様の基が挙げられる。
芳香族炭化水素基としては、フェニル基、ナフチル基、アントリル基、ビフェニル基、フェナントリル基等のアリール基が挙げられる。
組み合わせた基としては、上述したアルキル基と脂環式炭化水素基とを組み合わせた基(例えばシクロアルキルアルキル基)、ベンジル基等のアラルキル基、アルキル基を有する芳香族炭化水素基(p-メチルフェニル基、p-tert-ブチルフェニル基、トリル基、キシリル基、クメニル基、メシチル基、2,6-ジエチルフェニル基、2-メチル-6-エチルフェニル基等)、脂環式炭化水素基を有する芳香族炭化水素基(p-シクロヘキシルフェニル基、p-アダマンチルフェニル基等)、フェニルシクロヘキシル基等のアリール-シクロヘキシル基等が挙げられる。特に、Ra36としては、炭素数1~18のアルキル基、炭素数3~18の脂環式炭化水素基、炭素数6~18の芳香族炭化水素基又はこれらを組み合わせることにより形成される基が挙げられる。
Ra33としては、炭素数1~4のアルコキシ基が好ましく、メトキシ基及びエトキシ基がより好ましく、メトキシ基がさらに好ましい。
laとしては、0又は1が好ましく、0がより好ましい。
Ra34は、好ましくは、水素原子である。
Ra35は、好ましくは、炭素数1~12のアルキル基又は脂環式炭化水素基であり、より好ましくはメチル基又はエチル基である。
Ra36の炭化水素基は、好ましくは、炭素数1~18のアルキル基、炭素数3~18の脂環式炭化水素基、炭素数6~18の芳香族炭化水素基又はこれらを組み合わせることにより形成される基であり、より好ましくは、炭素数1~18のアルキル基、炭素数3~18の脂環式脂肪族炭化水素基又は炭素数7~18のアラルキル基である。Ra36におけるアルキル基及び脂環式炭化水素基は、無置換であることが好ましい。Ra36における芳香族炭化水素基は、炭素数6~10のアリールオキシ基を有する芳香環が好ましい。
構造単位(a1-4)における-OC(Ra34)(Ra35)-O-Ra36は、酸(例えばp-トルエンスルホン酸)と接触して脱離し、ヒドロキシ基を形成する。
式(a1-5)中、
Ra8は、ハロゲン原子を有していてもよい炭素数1~6のアルキル基、水素原子又はハロゲン原子を表す。
Za1は、単結合又は*-(CH2)h3-CO-L54-を表し、h3は1~4のいずれかの整数を表し、*は、L51との結合部位を表す。
L51、L52、L53及びL54は、それぞれ独立に、-O-又は-S-を表す。
s1は、1~3のいずれかの整数を表す。
s1’は、0~3のいずれかの整数を表す。
ハロゲン原子を有していてもよい炭素数1~6のアルキル基としては、メチル基、エチル基、プロピル基、ブチル基、ペンチル基、ヘキシル基、ヘプチル基、オクチル基、フルオロメチル基及びトリフルオロメチル基が挙げられる。
式(a1-5)においては、Ra8は、水素原子、メチル基又はトリフルオロメチル基が好ましい。
L51は、酸素原子が好ましい。
L52及びL53は、一方が-O-であり、他方が-S-であることが好ましい。
s1は、1が好ましい。
s1’は、0~2のいずれかの整数が好ましい。
Za1は、単結合又は*-CH2-CO-O-が好ましい。
構造単位(s)は、酸不安定基を有さないモノマー(以下「モノマー(s)」という場合がある)から導かれる。構造単位(s)を導くモノマーは、レジスト分野で公知の酸不安定基を有さないモノマーを使用できる。
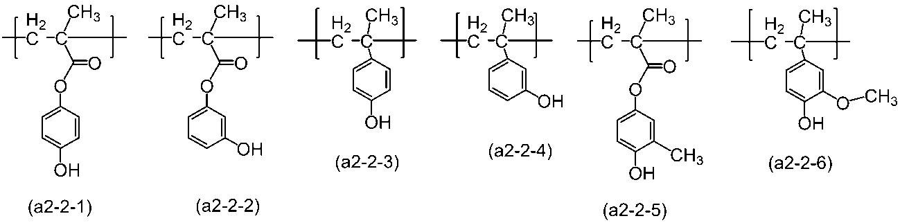
構造単位(s)としては、ヒドロキシ基又はラクトン環を有するのが好ましい。ヒドロキシ基を有し、かつ酸不安定基を有さない構造単位(以下「構造単位(a2)」という場合がある)及び/又はラクトン環を有し、かつ酸不安定基を有さない構造単位(以下「構造単位(a3)」という場合がある)を有する樹脂を本発明のレジスト組成物に使用すれば、レジストパターンの解像度及び基板との密着性を向上させることができる。
構造単位(a2)が有するヒドロキシ基は、アルコール性ヒドロキシ基でも、フェノール性ヒドロキシ基でもよい。
本発明のレジスト組成物からレジストパターンを製造するとき、露光光源としてKrFエキシマレーザ(248nm)、電子線又はEUV(超紫外光)等の高エネルギー線を用いる場合には、構造単位(a2)として、フェノール性ヒドロキシ基を有する構造単位(a2)を用いることが好ましい。また、ArFエキシマレーザ(193nm)等を用いる場合には、構造単位(a2)として、アルコール性ヒドロキシ基を有する構造単位(a2)が好ましく、後述する構造単位(a2-1)を用いることがより好ましい。構造単位(a2)としては、1種を単独で含んでいてもよく、2種以上を含んでいてもよい。
[式(a2-A)中、
Ra50は、水素原子、ハロゲン原子又はハロゲン原子を有していてもよい炭素数1~6のアルキル基を表す。
Ra51は、ハロゲン原子、ヒドロキシ基、炭素数1~6のアルキル基、炭素数1~6のアルコキシ基、炭素数2~4のアルキルカルボニル基、炭素数2~4のアルキルカルボニルオキシ基、アクリロイルオキシ基又はメタクリロイルオキシ基を表す。
Aa50は、単結合又は*-Xa51-(Aa52-Xa52)nb-を表し、*は-Ra50が結合する炭素原子との結合部位を表す。
Aa52は、それぞれ独立に、炭素数1~6のアルカンジイル基を表す。
Xa51及びXa52は、それぞれ独立に、-O-、-CO-O-又は-O-CO-を表す。
nbは、0又は1を表す。
mbは0~4のいずれかの整数を表す。mbが2以上のいずれかの整数である場合、複数のRa51は互いに同一であっても異なってもよい。]
Ra50におけるハロゲン原子を有していてもよい炭素数1~6のアルキル基としては、トリフルオロメチル基、ジフルオロメチル基、メチル基、ペルフルオロエチル基、2,2,2-トリフルオロエチル基、1,1,2,2-テトラフルオロエチル基、エチル基、ペルフルオロプロピル基、2,2,3,3,3-ペンタフルオロプロピル基、プロピル基、ペルフルオロブチル基、1,1,2,2,3,3,4,4-オクタフルオロブチル基、ブチル基、ペルフルオロペンチル基、2,2,3,3,4,4,5,5,5-ノナフルオロペンチル基、ペンチル基、ヘキシル基及びペルフルオロヘキシル基が挙げられる。
Ra50は、水素原子又は炭素数1~4のアルキル基が好ましく、水素原子、メチル基又はエチル基がより好ましく、水素原子又はメチル基がさらに好ましい。
Ra51におけるアルキル基としては、メチル基、エチル基、プロピル基、イソプロピル基、ブチル基、sec-ブチル基、tert-ブチル基、ペンチル基、ヘキシル基が挙げられる。
Ra51におけるアルコキシ基としては、メトキシ基、エトキシ基、プロポキシ基、イソプロポキシ基、ブトキシ基、sec-ブトキシ基、tert-ブトキシ基が挙げられる。炭素数1~4のアルコキシ基が好ましく、メトキシ基又はエトキシ基がより好ましく、メトキシ基がさらに好ましい。
Ra51におけるアルキルカルボニル基としては、アセチル基、プロピオニル基及びブチリル基等が挙げられる。
Ra51におけるアルキルカルボニルオキシ基としては、アセチルオキシ基、プロピオニルオキシ基及びブチリルオキシ基が挙げられる。
Ra51は、メチル基が好ましい。
Aa52は、メチレン基又はエチレン基であることが好ましい。
ヒドロキシ基は、ベンゼン環のo-位又はp-位に結合することが好ましく、p-位に結合することがより好ましい。
構造単位(a2-A)は、例えば構造単位(a1-4)を用いて重合した後、p-トルエンスルホン酸等の酸で処理することにより、樹脂(A)に含ませることができる。また、アセトキシスチレン等を用いて重合した後、テトラメチルアンモニウムヒドロキシド等のアルカリで処理することにより、構造単位(a2-A)を樹脂(A)に含ませることができる。
式(a2-1)中、
La3は、-O-又は*-O-(CH2)k2-CO-O-を表し、
k2は1~7のいずれかの整数を表す。*は-CO-との結合部位を表す。
Ra14は、水素原子又はメチル基を表す。
Ra15及びRa16は、それぞれ独立に、水素原子、メチル基又はヒドロキシ基を表す。
o1は、0~10のいずれかの整数を表す。
Ra14は、好ましくはメチル基である。
Ra15は、好ましくは水素原子である。
Ra16は、好ましくは水素原子又はヒドロキシ基である。
o1は、好ましくは0~3のいずれかの整数、より好ましくは0又は1である。
構造単位(a3)が有するラクトン環は、β-プロピオラクトン環、γ-ブチロラクトン環、δ-バレロラクトン環のような単環でもよく、単環式のラクトン環と他の環との縮合環でもよい。好ましくは、γ-ブチロラクトン環、アダマンタンラクトン環、又は、γ-ブチロラクトン環構造を含む橋かけ環(例えば下式(a3-2)で表される構造単位)が挙げられる。
[式(a3-1)、式(a3-2)、式(a3-3)及び式(a3-4)中、
La4、La5及びLa6は、それぞれ独立に、-O-又は*-O-(CH2)k3-CO-O-(k3は1~7のいずれかの整数を表す。)で表される基を表す。
La7は、-O-、*-O-La8-O-、*-O-La8-CO-O-、*-O-La8-CO-O-La9-CO-O-又は*-O-La8-O-CO-La9-O-を表す。
La8及びLa9は、それぞれ独立に、炭素数1~6のアルカンジイル基を表す。
*はカルボニル基との結合部位を表す。
Ra18、Ra19及びRa20は、それぞれ独立に、水素原子又はメチル基を表す。
Ra24は、ハロゲン原子を有していてもよい炭素数1~6のアルキル基、水素原子又はハロゲン原子を表す。
Xa3は、-CH2-又は酸素原子を表す。
Ra21は炭素数1~4の脂肪族炭化水素基を表す。
Ra22、Ra23及びRa25は、それぞれ独立に、カルボキシ基、シアノ基又は炭素数1~4の脂肪族炭化水素基を表す。
p1は0~5のいずれかの整数を表す。
q1は、0~3のいずれかの整数を表す。
r1は、0~3のいずれかの整数を表す。
w1は、0~8のいずれかの整数を表す。
p1、q1、r1及び/又はw1が2以上のとき、複数のRa21、Ra22、Ra23及び/又はRa25は互いに同一であってもよく、異なっていてもよい。]
Ra24におけるハロゲン原子としては、フッ素原子、塩素原子、臭素原子及びヨウ素原子が挙げられる。
Ra24におけるアルキル基としては、メチル基、エチル基、プロピル基、イソプロピル基、ブチル基、sec-ブチル基、tert-ブチル基、ペンチル基及びヘキシル基等が挙げられ、好ましくは炭素数1~4のアルキル基が挙げられ、より好ましくはメチル基又はエチル基が挙げられる。
Ra24におけるハロゲン原子を有するアルキル基としては、トリフルオロメチル基、ペルフルオロエチル基、ペルフルオロプロピル基、ペルフルオロイソプロピル基、ペルフルオロブチル基、ペルフルオロsec-ブチル基、ペルフルオロtert-ブチル基、ペルフルオロペンチル基、ペルフルオロヘキシル基、トリクロロメチル基、トリブロモメチル基、トリヨードメチル基等が挙げられる。
Ra18~Ra21は、好ましくはメチル基である。
Ra22及びRa23は、それぞれ独立に、好ましくはカルボキシ基、シアノ基又はメチル基である。
p1、q1及びr1は、それぞれ独立に、好ましくは0~2のいずれかの整数であり、より好ましくは0又は1である。
Ra25は、好ましくはカルボキシ基、シアノ基又はメチル基である。
La7は、好ましくは-O-又は*-O-La8-CO-O-であり、より好ましくは-O-、-O-CH2-CO-O-又は-O-C2H4-CO-O-である。
w1は、好ましくは0~2のいずれかの整数であり、より好ましくは0又は1である。
特に、式(a3-4)は、式(a3-4)’が好ましい。
(式中、Ra24、La7は、上記と同じ意味を表す。)
また、構造単位(a3-1)、構造単位(a3-2)、構造単位(a3-3)又は構造単位(a3-4)の含有率は、それぞれ、樹脂(A)の全構造単位に対して、5~60モル%が好ましく、15~60モル%がより好ましく、20~60モル%がさらに好ましい。
構造単位(a4)としては、以下の構造単位が挙げられる。
[式(a4)中、
R41は、水素原子又はメチル基を表す。
R42は、炭素数1~24のフッ素原子を有する飽和炭化水素基を表し、該飽和炭化水素基に含まれる-CH2-は、-O-又は-COに置き換わっていてもよい。]
R42で表される飽和炭化水素基は、鎖式飽和炭化水素基及び単環又は多環の脂環式飽和炭化水素基、並びに、これらを組み合わせることにより形成される基等が挙げられる。
組み合わせにより形成される基としては、1以上のアルキル基又は1以上のアルカンジイル基と、1以上の脂環式飽和炭化水素基とを組み合わせることにより形成される基が挙げられ、-アルカンジイル基-脂環式飽和炭化水素基、-脂環式飽和炭化水素基-アルキル基、-アルカンジイル基-脂環式飽和炭化水素基-アルキル基等が挙げられる。
[式(a4-0)中、
R54は、水素原子又はメチル基を表す。
L4aは、単結合又は炭素数1~4のアルカンジイル基を表す。
L3aは、炭素数1~8のペルフルオロアルカンジイル基又は炭素数3~12のペルフルオロシクロアルカンジイル基を表す。
R64は、水素原子又はフッ素原子を表す。]
L3aにおけるペルフルオロシクロアルカンジイル基としては、ペルフルオロシクロヘキサンジイル基、ペルフルオロシクロペンタンジイル基、ペルフルオロシクロヘプタンジイル基、ペルフルオロアダマンタンジイル基等が挙げられる。
L3aは、好ましくは炭素数1~6のペルフルオロアルカンジイル基であり、より好ましくは炭素数1~3のペルフルオロアルカンジイル基である。
Ra41は、水素原子又はメチル基を表す。
Ra42は、置換基を有していてもよい炭素数1~20の飽和炭化水素基を表し、該飽和炭化水素基に含まれる-CH2-は、-O-又は-CO-に置き換わっていてもよい。
Aa41は、置換基を有していてもよい炭素数1~6のアルカンジイル基又は式(a-g1)で表される基を表す。ただし、Aa41及びRa42のうち少なくとも1つは、置換基としてフッ素原子を有する。
〔式(a-g1)中、
sは0又は1を表す。
Aa42及びAa44は、それぞれ独立に、置換基を有していてもよい炭素数1~5の2価の飽和炭化水素基を表す。
Aa43は、単結合又は置換基を有していてもよい炭素数1~5の2価の飽和炭化水素基を表す。
Xa41及びXa42は、それぞれ独立に、-O-、-CO-、-CO-O-又は-O-CO-を表す。
ただし、Aa42、Aa43、Aa44、Xa41及びXa42の炭素数の合計は7以下である。〕
*は結合部位であり、右側の*が-O-CO-Ra42との結合部位である。]
組み合わせにより形成される基としては、1以上のアルキル基又は1以上のアルカンジイル基と、1以上の脂環式炭化水素基とを組み合わせることにより形成される基が挙げられ、-アルカンジイル基-脂環式炭化水素基、-脂環式炭化水素基-アルキル基、-アルカンジイル基-脂環式炭化水素基-アルキル基等が挙げられる。
[式(a-g3)中、
Xa43は、酸素原子、カルボニル基、*-O-CO-又は*-CO-O-を表す(*はRa42との結合部位を表す。)。
Aa45は、フッ素原子を有していてもよい炭素数1~17の飽和炭化水素基を表す。
*は結合部位を表す。]
ただし、Ra42-Xa43-Aa45において、Ra42がフッ素原子を有しない場合は、Aa45は、少なくとも1つのフッ素原子を有する炭素数1~17の飽和炭化水素基を表す。
Ra42がフッ素原子を有する飽和炭化水素基である場合、好ましくはペルフルオロアルキル基又はペルフルオロシクロアルキル基であり、より好ましくは炭素数が1~6のペルフルオロアルキル基であり、さらに好ましくは炭素数1~3のペルフルオロアルキル基である。ペルフルオロアルキル基としては、ペルフルオロメチル基、ペルフルオロエチル基、ペルフルオロプロピル基、ペルフルオロブチル基、ペルフルオロペンチル基、ペルフルオロヘキシル基、ペルフルオロヘプチル基及びペルフルオロオクチル基等が挙げられる。ペルフルオロシクロアルキル基としては、ペルフルオロシクロヘキシル基等が挙げられる。
Ra42が、式(a-g3)で表される基を有する飽和炭化水素基である場合、式(a-g3)で表される基に含まれる炭素数を含めて、Ra42の総炭素数は、15以下が好ましく、12以下がより好ましい。式(a-g3)で表される基を置換基として有する場合、その数は1個が好ましい。
[式(a-g2)中、
Aa46は、フッ素原子を有していてもよい炭素数1~17の2価の飽和炭化水素基を表す。
Xa44は、*-O-CO-又は*-CO-O-を表す(*はAa46との結合部位を表す。)。
Aa47は、フッ素原子を有していてもよい炭素数1~17の飽和炭化水素基を表す。
ただし、Aa46、Aa47及びXa44の炭素数の合計は18以下であり、Aa46及びAa47のうち、少なくとも一方は、少なくとも1つのフッ素原子を有する。
*はカルボニル基との結合部位を表す。]
Aa47の飽和炭化水素基の炭素数は4~15が好ましく、5~12がより好ましく、Aa47は、シクロヘキシル基又はアダマンチル基がさらに好ましい。
Aa41の表すアルカンジイル基における置換基としては、ヒドロキシ基及び炭素数1~6のアルコキシ基等が挙げられる。
Aa41は、好ましくは炭素数1~4のアルカンジイル基であり、より好ましくは炭素数2~4のアルカンジイル基であり、さらに好ましくはエチレン基である。
Aa42、Aa43及びAa44の表す2価の飽和炭化水素基の置換基としては、ヒドロキシ基及び炭素数1~6のアルコキシ基等が挙げられる。
sは、0であることが好ましい。
[式(a4-2)中、
Rf5は、水素原子又はメチル基を表す。
L44は、炭素数1~6のアルカンジイル基を表し、該アルカンジイル基に含まれる-CH2-は、-O-又は-CO-に置き換わっていてもよい。
Rf6は、炭素数1~20のフッ素原子を有する飽和炭化水素基を表す。
ただし、L44及びRf6の合計炭素数の上限は21である。]
Rf6の飽和炭化水素基は、Ra42で例示したものと同様の基が挙げられる。
L44における炭素数1~6のアルカンジイル基としては、炭素数2~4のアルカンジイル基が好ましく、エチレン基がより好ましい。
[式(a4-3)中、
Rf7は、水素原子又はメチル基を表す。
L5は、炭素数1~6のアルカンジイル基を表す。
Af13は、フッ素原子を有していてもよい炭素数1~18の2価の飽和炭化水素基を表す。
Xf12は、*-O-CO-又は*-CO-O-を表す(*はAf13との結合部位を表す。)。
Af14は、フッ素原子を有していてもよい炭素数1~17の飽和炭化水素基を表す。
但し、Af13及びAf14の少なくとも1つは、フッ素原子を有し、L5、Af13及びAf14の合計炭素数の上限は20である。]
フッ素原子を有していてもよい2価の鎖式飽和炭化水素基としては、メチレン基、エチレン基、プロパンジイル基、ブタンジイル基及びペンタンジイル基等のアルカンジイル基;ジフルオロメチレン基、ペルフルオロエチレン基、ペルフルオロプロパンジイル基、ペルフルオロブタンジイル基及びペルフルオロペンタンジイル基等のペルフルオロアルカンジイル基等が挙げられる。
フッ素原子を有していてもよい2価の脂環式飽和炭化水素基は、単環式及び多環式のいずれでもよい。単環式の基としては、シクロヘキサンジイル基及びペルフルオロシクロヘキサンジイル基等が挙げられる。多環式の基としては、アダマンタンジイル基、ノルボルナンジイル基、ペルフルオロアダマンタンジイル基等が挙げられる。
Af13の2価の飽和炭化水素基は、炭素数1~6の鎖式飽和炭化水素基及び炭素数3~12の脂環式飽和炭化水素基を含む基が好ましく、炭素数2~3の鎖式飽和炭化水素基がさらに好ましい。
Af14の飽和炭化水素基は、炭素数3~12の鎖式飽和炭化水素基及び炭素数3~12の脂環式飽和炭化水素基を含む基が好ましく、炭素数3~10の鎖式飽和炭化水素基及び炭素数3~10の脂環式飽和炭化水素基を含む基がさらに好ましい。なかでも、Af14は、好ましくは炭素数3~12の脂環式飽和炭化水素基を含む基であり、より好ましくは、シクロプロピルメチル基、シクロペンチル基、シクロヘキシル基、ノルボルニル基及びアダマンチル基である。
[式(a4-4)中、
Rf21は、水素原子又はメチル基を表す。
Af21は、-(CH2)j1-、-(CH2)j2-O-(CH2)j3-又は-(CH2)j4-CO-O-(CH2)j5-を表す。
j1~j5は、それぞれ独立に、1~6のいずれかの整数を表す。
Rf22は、フッ素原子を有する炭素数1~10の飽和炭化水素基を表す。]
構造単位(a5)が有する非脱離炭化水素基としては、直鎖、分岐又は環状の炭化水素基を有する基が挙げられる。なかでも、構造単位(a5)は、脂環式炭化水素基を有する基が好ましい。
構造単位(a5)としては、例えば、式(a5-1)で表される構造単位が挙げられる。
[式(a5-1)中、
R51は、水素原子又はメチル基を表す。
R52は、炭素数3~18の脂環式炭化水素基を表し、該脂環式炭化水素基に含まれる水素原子は炭素数1~8の脂肪族炭化水素基で置換されていてもよい。
L55は、単結合又は炭素数1~18の2価の飽和炭化水素基を表し、該飽和炭化水素基に含まれる-CH2-は、-O-又は-CO-に置き換わっていてもよい。]
炭素数1~8の脂肪族炭化水素基は、例えば、メチル基、エチル基、プロピル基、イソプロピル基、ブチル基、sec-ブチル基、tert-ブチル基、ペンチル基、ヘキシル基、オクチル基及び2-エチルヘキシル基等のアルキル基が挙げられる。
置換基を有する脂環式炭化水素基としては、3-ヒドロキシアダマンチル基、3-メチルアダマンチル基などが挙げられる。
R52は、好ましくは、無置換の炭素数3~18の脂環式炭化水素基であり、より好ましくは、アダマンチル基、ノルボルニル基又はシクロヘキシル基である。
2価の鎖式飽和炭化水素基としては、例えば、メチレン基、エチレン基、プロパンジイル基、ブタンジイル基及びペンタンジイル基等のアルカンジイル基が挙げられる。
2価の脂環式飽和炭化水素基は、単環式及び多環式のいずれでもよい。単環式の2価の脂環式飽和炭化水素基としては、シクロペンタンジイル基及びシクロヘキサンジイル基等のシクロアルカンジイル基が挙げられる。多環式の2価の脂環式飽和炭化水素基としては、アダマンタンジイル基及びノルボルナンジイル基等が挙げられる。
式(L1-1)中、
Xx1は、*-O-CO-又は*-CO-O-を表す(*はLx1との結合部位を表す。)。
Lx1は、炭素数1~16の2価の脂肪族飽和炭化水素基を表す。
Lx2は、単結合又は炭素数1~15の2価の脂肪族飽和炭化水素基を表す。
ただし、Lx1及びLx2の合計炭素数は、16以下である。
式(L1-2)中、
Lx3は、炭素数1~17の2価の脂肪族飽和炭化水素基を表す。
Lx4は、単結合又は炭素数1~16の2価の脂肪族飽和炭化水素基を表す。
ただし、Lx3及びLx4の合計炭素数は、17以下である。
式(L1-3)中、
Lx5は、炭素数1~15の2価の脂肪族飽和炭化水素基を表す。
Lx6及びLx7は、それぞれ独立に、単結合又は炭素数1~14の2価の脂肪族飽和炭化水素基を表す。
ただし、Lx5、Lx6及びLx7の合計炭素数は、15以下である。
式(L1-4)中、
Lx8及びLx9は、単結合又は炭素数1~12の2価の脂肪族飽和炭化水素基を表す。
Wx1は、炭素数3~15の2価の脂環式飽和炭化水素基を表す。
ただし、Lx8、Lx9及びWx1の合計炭素数は、15以下である。
Lx2は、好ましくは、単結合又は炭素数1~8の2価の脂肪族飽和炭化水素基、より好ましくは、単結合である。
Lx3は、好ましくは、炭素数1~8の2価の脂肪族飽和炭化水素基である。
Lx4は、好ましくは、単結合又は炭素数1~8の2価の脂肪族飽和炭化水素基である。
Lx5は、好ましくは、炭素数1~8の2価の脂肪族飽和炭化水素基、より好ましくは、メチレン基又はエチレン基である。
Lx6は、好ましくは、単結合又は炭素数1~8の2価の脂肪族飽和炭化水素基、より好ましくは、メチレン基又はエチレン基である。
Lx7は、好ましくは、単結合又は炭素数1~8の2価の脂肪族飽和炭化水素基である。
Lx8は、好ましくは、単結合又は炭素数1~8の2価の脂肪族飽和炭化水素基、より好ましくは、単結合又はメチレン基である。
Lx9は、好ましくは、単結合又は炭素数1~8の2価の脂肪族飽和炭化水素基、より好ましくは、単結合又はメチレン基である。
Wx1は、好ましくは、炭素数3~10の2価の脂環式飽和炭化水素基、より好ましくは、シクロヘキサンジイル基又はアダマンタンジイル基である。
樹脂(A)が、構造単位(a5)を有する場合、その含有率は、樹脂(A)の全構造単位に対して、1~30モル%が好ましく、2~20モル%がより好ましく、3~15モル%がさらに好ましい。
樹脂(A)は、さらに、露光により分解して酸を発生する構造単位(以下、「構造単位(II)という場合がある)を含有してもよい。構造単位(II)としては、具体的には特開2016-79235号公報に記載の構造単位が挙げられ、側鎖にスルホナート基若しくはカルボキシレート基と有機カチオンとを有する構造単位又は側鎖にスルホニオ基と有機アニオンとを有する構造単位であることが好ましい。
[式(II-2-A’)中、
XIII3は、炭素数1~18の2価の飽和炭化水素基を表し、該飽和炭化水素基に含まれる-CH2-は、-O-、-S-又は-CO-に置き換わっていてもよく、該飽和炭化水素基に含まれる水素原子は、ハロゲン原子、ハロゲン原子を有していてもよい炭素数1~6のアルキル基又はヒドロキシ基で置き換わっていてもよい。
Ax1は、炭素数1~8のアルカンジイル基を表し、該アルカンジイル基に含まれる水素原子は、フッ素原子又は炭素数1~6のペルフルオロアルキル基で置換されていてもよい。
RA-は、スルホナート基又はカルボキシレート基を表す。
RIII3は、水素原子、ハロゲン原子又はハロゲン原子を有していてもよい炭素数1~6のアルキル基を表す。
ZA+は、有機カチオンを表す。]
RIII3で表されるハロゲン原子を有していてもよい炭素数1~6のアルキル基としては、Ra8で表されるハロゲン原子を有していてもよい炭素数1~6のアルキル基と同じものが挙げられる。
Ax1で表される炭素数1~8のアルカンジイル基としては、メチレン基、エチレン基、プロパン-1,3-ジイル基、ブタン-1,4-ジイル基、ペンタン-1,5-ジイル基、ヘキサン-1,6-ジイル基、エタン-1,1-ジイル基、プロパン-1,1-ジイル基、プロパン-1,2-ジイル基、プロパン-2,2-ジイル基、ペンタン-2,4-ジイル基、2-メチルプロパン-1,3-ジイル基、2-メチルプロパン-1,2-ジイル基、ペンタン-1,4-ジイル基、2-メチルブタン-1,4-ジイル基等が挙げられる。
Ax1に置換されていてもよい炭素数1~6のペルフルオロアルキル基としては、トリフルオロメチル基、ペルフルオロエチル基、ペルフルオロプロピル基、ペルフルオロイソプロピル基、ペルフルオロブチル基、ペルフルオロsec-ブチル基、ペルフルオロtert-ブチル基、ペルフルオロペンチル基、ペルフルオロヘキシル基などが挙げられる。
具体的には、メチレン基、エチレン基、プロパン-1,3-ジイル基、プロパン-1,2-ジイル基、ブタン-1,4-ジイル基、ペンタン-1,5-ジイル基、ヘキサン-1,6-ジイル基、ヘプタン-1,7-ジイル基、オクタン-1,8-ジイル基、ノナン-1,9-ジイル基、デカン-1,10-ジイル基、ウンデカン-1,11-ジイル基、ドデカン-1,12-ジイル基等の直鎖状アルカンジイル基;ブタン-1,3-ジイル基、2-メチルプロパン-1,3-ジイル基、2-メチルプロパン-1,2-ジイル基、ペンタン-1,4-ジイル基、2-メチルブタン-1,4-ジイル基等の分岐状アルカンジイル基;シクロブタン-1,3-ジイル基、シクロペンタン-1,3-ジイル基、シクロヘキサン-1,4-ジイル基、シクロオクタン-1,5-ジイル基等のシクロアルカンジイル基;ノルボルナン-1,4-ジイル基、ノルボルナン-2,5-ジイル基、アダマンタン-1,5-ジイル基、アダマンタン-2,6-ジイル基等の2価の多環式脂環式飽和炭化水素基等が挙げられる。
X4は、炭素数1~15の飽和炭化水素基を表す。
X5は、炭素数1~13の飽和炭化水素基を表す。
X6は、炭素数1~14の飽和炭化水素基を表す。
X7は、炭素数1~14の飽和炭化水素基を表す。
X8は、炭素数1~13の飽和炭化水素基を表す。
Rb4~Rb6は、それぞれ独立に、炭素数1~30の鎖式炭化水素基、炭素数3~36の脂環式炭化水素基又は炭素数6~36の芳香族炭化水素基を表し、該鎖式炭化水素基に含まれる水素原子は、ヒドロキシ基、炭素数1~12のアルコキシ基、炭素数3~12の脂環式炭化水素基又は炭素数6~18の芳香族炭化水素基で置換されていてもよく、該脂環式炭化水素基に含まれる水素原子は、ハロゲン原子、炭素数1~18の脂肪族炭化水素基、炭素数2~4のアルキルカルボニル基又はグリシジルオキシ基で置換されていてもよく、該芳香族炭化水素基に含まれる水素原子は、ハロゲン原子、ヒドロキシ基又は炭素数1~12のアルコキシ基で置換されていてもよい。
Rb4とRb5とは、互いに結合してそれらが結合する硫黄原子と一緒になって環を形成してもよく、該環に含まれる-CH2-は、-O-、-S-又は-CO-に置き換わってもよい。
Rb7及びRb8は、それぞれ独立に、ヒドロキシ基、炭素数1~12の脂肪族炭化水素基又は炭素数1~12のアルコキシ基を表す。
m2及びn2は、それぞれ独立に0~5のいずれかの整数を表す。
m2が2以上のとき、複数のRb7は同一でも異なってもよく、n2が2以上のとき、複数のRb8は同一でも異なってもよい。
Rb9及びRb10は、それぞれ独立に、炭素数1~36の鎖式炭化水素基又は炭素数3~36の脂環式炭化水素基を表す。
Rb9とRb10とは、互いに結合してそれらが結合する硫黄原子と一緒になって環を形成してもよく、該環に含まれる-CH2-は、-O-、-S-又は-CO-に置き換わってもよい。
Rb11は、水素原子、炭素数1~36の鎖式炭化水素基、炭素数3~36の脂環式炭化水素基又は炭素数6~18の芳香族炭化水素基を表す。
Rb12は、炭素数1~12の鎖式炭化水素基、炭素数3~18の脂環式炭化水素基又は炭素数6~18の芳香族炭化水素基を表し、該鎖式炭化水素に含まれる水素原子は、炭素数6~18の芳香族炭化水素基で置換されていてもよく、該芳香族炭化水素基に含まれる水素原子は、炭素数1~12のアルコキシ基又は炭素数1~12のアルキルカルボニルオキシ基で置換されていてもよい。
Rb11とRb12とは、互いに結合してそれらが結合する-CH-CO-を含めて環を形成していてもよく、該環に含まれる-CH2-は、-O-、-S-又は-CO-に置き換わってもよい。
Rb13~Rb18は、それぞれ独立に、ヒドロキシ基、炭素数1~12の脂肪族炭化水素基又は炭素数1~12のアルコキシ基を表す。
Lb31は、硫黄原子又は酸素原子を表す。
o2、p2、s2、及びt2は、それぞれ独立に、0~5のいずれかの整数を表す。
q2及びr2は、それぞれ独立に、0~4のいずれかの整数を表す。
u2は0又は1を表す。
o2が2以上のとき、複数のRb13は同一又は相異なり、p2が2以上のとき、複数のRb14は同一又は相異なり、q2が2以上のとき、複数のRb15は同一又は相異なり、r2が2以上のとき、複数のRb16は同一又は相異なり、s2が2以上のとき、複数のRb17は同一又は相異なり、t2が2以上のとき、複数のRb18は同一又は相異なる。
脂肪族炭化水素基とは、鎖式炭化水素基及び脂環式炭化水素基を表す。
鎖式炭化水素基としては、メチル基、エチル基、プロピル基、イソプロピル基、ブチル基、sec-ブチル基、tert-ブチル基、ペンチル基、ヘキシル基、オクチル基及び2-エチルヘキシル基のアルキル基が挙げられる。
特に、Rb9~Rb12の鎖式炭化水素基は、好ましくは炭素数1~12である。
脂環式炭化水素基としては、単環式又は多環式のいずれでもよく、単環式の脂環式炭化水素基としては、シクロプロピル基、シクロブチル基、シクロペンチル基、シクロへキシル基、シクロヘプチル基、シクロオクチル基、シクロデシル基等のシクロアルキル基が挙げられる。多環式の脂環式炭化水素基としては、デカヒドロナフチル基、アダマンチル基、ノルボルニル基及び下記の基等が挙げられる。
特に、Rb9~Rb12の脂環式炭化水素基は、好ましくは炭素数3~18、より好ましくは炭素数4~12である。
水素原子が脂肪族炭化水素基で置換された脂環式炭化水素基としては、メチルシクロヘキシル基、ジメチルシクロへキシル基、2-メチルアダマンタン-2-イル基、2-エチルアダマンタン-2-イル基、2-イソプロピルアダマンタン-2-イル基、メチルノルボルニル基、イソボルニル基等が挙げられる。水素原子が脂肪族炭化水素基で置換された脂環式炭化水素基においては、脂環式炭化水素基と脂肪族炭化水素基との合計炭素数が好ましくは20以下である。
芳香族炭化水素基としては、フェニル基、ビフェニリル基、ナフチル基、フェナントリル基等のアリール基が挙げられる。
なお、芳香族炭化水素基は、鎖式炭化水素基又は脂環式炭化水素基を有していてもよく、炭素数1~18の鎖式炭化水素基を有する芳香族炭化水素基(トリル基、キシリル基、クメニル基、メシチル基、p-エチルフェニル基、p-tert-ブチルフェニル基、2,6-ジエチルフェニル基、2-メチル-6-エチルフェニル基等)、及び炭素数3~18の脂環式炭化水素基を有する芳香族炭化水素基(p-シクロへキシルフェニル基、p-アダマンチルフェニル基等)等が挙げられる。
水素原子がアルコキシ基で置換された芳香族炭化水素基としては、p-メトキシフェニル基等が挙げられる。
水素原子が芳香族炭化水素基で置換された鎖式炭化水素基としては、ベンジル基、フェネチル基、フェニルプロピル基、トリチル基、ナフチルメチル基、ナフチルエチル基等のアラルキル基が挙げられる。
アルコキシ基としては、メトキシ基、エトキシ基、プロポキシ基、ブトキシ基、ペンチルオキシ基、ヘキシルオキシ基、ヘプチルオキシ基、オクチルオキシ基、デシルオキシ基及びドデシルオキシ基等が挙げられる。
アルキルカルボニル基としては、アセチル基、プロピオニル基及びブチリル基等が挙げられる。
ハロゲン原子としては、フッ素原子、塩素原子、臭素原子及びヨウ素原子等が挙げられる。
アルキルカルボニルオキシ基としては、メチルカルボニルオキシ基、エチルカルボニルオキシ基、プロピルカルボニルオキシ基、イソプロピルカルボニルオキシ基、ブチルカルボニルオキシ基、sec-ブチルカルボニルオキシ基、tert-ブチルカルボニルオキシ基、ペンチルカルボニルオキシ基、ヘキシルカルボニルオキシ基、オクチルカルボニルオキシ基及び2-エチルヘキシルカルボニルオキシ基等が挙げられる。
Rb4とRb5とが互いに結合してそれらが結合する硫黄原子と一緒になって形成する環は、単環式、多環式、芳香族性、非芳香族性、飽和及び不飽和のいずれの環であってもよい。この環は、炭素数3~18の環が挙げられ、好ましくは炭素数4~18の環である。また、硫黄原子を含む環は、3員環~12員環が挙げられ、好ましくは3員環~7員環であり、例えば下記の環が挙げられる。
Rb9とRb10とが一緒になって形成する環は、単環式、多環式、芳香族性、非芳香族性、飽和及び不飽和のいずれの環であってもよい。この環は、3員環~12員環が挙げられ、好ましくは3員環~7員環である。例えば、チオラン-1-イウム環(テトラヒドロチオフェニウム環)、チアン-1-イウム環、1,4-オキサチアン-4-イウム環等が挙げられる。
Rb11とRb12とが一緒になって形成する環は、単環式、多環式、芳香族性、非芳香族性、飽和及び不飽和のいずれの環であってもよい。この環は、3員環~12員環が挙げられ、好ましくは3員環~7員環である。オキソシクロヘプタン環、オキソシクロヘキサン環、オキソノルボルナン環、オキソアダマンタン環等が挙げられる。
[式(II-2-A)中、RIII3、XIII3及びZA+は、上記と同じ意味を表す。
zは、0~6のいずれかの整数を表す。
RIII2及びRIII4は、それぞれ独立して、水素原子、フッ素原子又は炭素数1~6のペルフルオロアルキル基を表し、zが2以上のとき、複数のRIII2及びRIII4は互いに同一であってもよいし、異なっていてもよい。
Qa及びQbは、それぞれ独立して、フッ素原子又は炭素数1~6のペルフルオロアルキル基を表す。]
RIII2、RIII4、Qa及びQbで表される炭素数1~6のペルフルオロアルキル基としては、前述のAx1の置換基である炭素数1~6のペルフルオロアルキル基と同じものが挙げられる。
[式(II-2-A-1)中、
RIII2、RIII3、RIII4、Qa、Qb、z及びZA+は、上記と同じ意味を表す。
RIII5は、炭素数1~12の飽和炭化水素基を表す。
XI2は、炭素数1~11の2価の飽和炭化水素基を表し、該飽和炭化水素基に含まれる-CH2-は、-O-、-S-又は-CO-に置き換わっていてもよく、該飽和炭化水素基に含まれる水素原子は、ハロゲン原子又はヒドロキシ基で置換されていてもよい。]
RIII5で表される炭素数1~12の飽和炭化水素基としては、メチル基、エチル基、プロピル基、イソプロピル基、ブチル基、sec-ブチル基、tert-ブチル基、ペンチル基、ヘキシル基、ヘプチル基、オクチル基、ノニル基、デシル基、ウンデシル基及びドデシル基等の直鎖又は分岐のアルキル基が挙げられる。
XI2で表される2価の飽和炭化水素基としては、XIII3で表される2価の飽和炭化水素基と同様のものが挙げられる。
[式(II-2-A-2)中、RIII3、RIII5及びZA+は、上記と同じ意味を表す。
m及びnは、それぞれ独立に、1又は2を表す。]
[式(II-1-1)中、
AII1は、単結合又は2価の連結基を表す。
RII1は、炭素数6~18の2価の芳香族炭化水素基を表す。
RII2及びRII3は、それぞれ独立して、炭素数1~18の炭化水素基を表し、RII2及びRII3は互いに結合してそれらが結合する硫黄原子とともに環を形成していてもよい。
RII4は、水素原子、ハロゲン原子又はハロゲン原子を有していてもよい炭素数1~6のアルキル基を表す。
A-は、有機アニオンを表す。]
RII1で表される炭素数6~18の2価の芳香族炭化水素基としては、フェニレン基及びナフチレン基等が挙げられる。
RII2及びRII3で表される炭化水素基としては、Ra3’で表される炭化水素基と同じものが挙げられる。
RII4で表されるハロゲン原子としては、フッ素原子、塩素原子、臭素原子及びヨウ素原子等が挙げられる。
RII4で表されるハロゲン原子を有していてもよい炭素数1~6のアルキル基としては、Ra8で表されるハロゲン原子を有していてもよい炭素数1~6のアルキル基と同じものが挙げられる。
AII1で表される2価の連結基としては、例えば、炭素数1~18の2価の飽和炭化水素基が挙げられ、該2価の飽和炭化水素基に含まれる-CH2-は、-O-、-S-又は-CO-で置き換わっていてもよい。具体的には、XIII3で表される炭素数1~18の2価の飽和炭化水素基と同じものが挙げられる。
樹脂(A)は、好ましくは、構造単位(a1)と構造単位(s)とからなる樹脂、すなわち、モノマー(a1)とモノマー(s)との共重合体である。
構造単位(a1)は、好ましくは構造単位(a1-0)、構造単位(a1-1)及び構造単位(a1-2)(好ましくはシクロヘキシル基、及びシクロペンチル基を有する該構造単位)からなる群から選ばれる少なくとも一種であり、より好ましくは構造単位(a1-0)、構造単位(a1-1)及び構造単位(a1-2)(好ましくはシクロヘキシル基、又はシクロペンチル基を有する該構造単位)からなる群から選ばれる少なくとも二種であり、さらに好ましくは、構造単位(a1-1)及び構造単位(a1-2)からなる群から選ばれる少なくとも二種である。
構造単位(s)は、好ましくは構造単位(a2)及び構造単位(a3)からなる群から選ばれる少なくとも一種である。構造単位(a2)は、好ましくは式(a2-1)で表される構造単位又は式(a2-A)で表される構造単位である。構造単位(a3)は、好ましくは式(a3-1)で表される構造単位、式(a3-2)で表される構造単位及び式(a3-4)で表される構造単位からなる群から選ばれる少なくとも一種である。
樹脂(A)の重量平均分子量は、好ましくは、2,000以上(より好ましくは2,500以上、さらに好ましくは3,000以上)、50,000以下(より好ましくは30,000以下、さらに好ましくは15,000以下)である。本明細書では、重量平均分子量は、ゲルパーミエーションクロマトグラフィーで実施例に記載の条件により求めた値である。
樹脂(X)はフッ素原子を有する構造単位を含む樹脂である。樹脂(X)としては、例えば、構造単位(a4)のみからなる樹脂、及び構造単位(a4)と構造単位(a5)とからなる樹脂等が挙げられる。
樹脂(X)において、構造単位(a4)の含有率は、樹脂(X)の全構造単位の合計に対して、30モル%以上であることが好ましく、40モル%以上であることがより好ましく、45モル%以上であることがさらに好ましい。
樹脂(X)がさらに有していてもよい構造単位としては、構造単位(a1)、構造単位(a2)、構造単位(a3)及びその他の公知のモノマーに由来する構造単位が挙げられる。中でも、樹脂(X)は、構造単位(a4)及び/又は構造単位(a5)のみからなる樹脂であることが好ましく、構造単位(a4)のみからなる樹脂であることがより好ましい。
樹脂(X)を構成する各構造単位は、1種のみ又は2種以上を組合せて用いてもよく、これら構造単位を誘導するモノマーを用いて、公知の重合法(例えばラジカル重合法)によって製造することができる。樹脂(X)が有する各構造単位の含有率は、重合に用いるモノマーの使用量で調整できる。
樹脂(X)の重量平均分子量は、好ましくは6,000以上(より好ましくは7,000以上)、80,000以下(より好ましくは60,000以下)である。樹脂(X)の重量平均分子量の測定手段は、樹脂(A)の場合と同様である。
レジスト組成物が樹脂(X)を含む場合、その含有量は、樹脂(A)100質量部に対して、好ましくは1~60質量部であり、より好ましくは1~50質量部であり、さらに好ましくは1~40質量部であり、特に好ましくは1~30質量部であり、特に好ましくは1~8質量部である。
酸発生剤(B)は、非イオン系又はイオン系のいずれを用いてもよい。非イオン系酸発生剤としては、スルホネートエステル類(例えば2-ニトロベンジルエステル、芳香族スルホネート、オキシムスルホネート、N-スルホニルオキシイミド、スルホニルオキシケトン、ジアゾナフトキノン 4-スルホネート)、スルホン類(例えばジスルホン、ケトスルホン、スルホニルジアゾメタン)等が挙げられる。イオン系酸発生剤としては、オニウムカチオンを含むオニウム塩(例えばジアゾニウム塩、ホスホニウム塩、スルホニウム塩、ヨードニウム塩)が代表的である。オニウム塩のアニオンとしては、スルホン酸アニオン、スルホニルイミドアニオン、スルホニルメチドアニオン等が挙げられる。
酸発生剤(B)としては、特開昭63-26653号、特開昭55-164824号、特開昭62-69263号、特開昭63-146038号、特開昭63-163452号、特開昭62-153853号、特開昭63-146029号、米国特許第3,779,778号、米国特許第3,849,137号、独国特許第3914407号、欧州特許第126,712号等に記載の放射線によって酸を発生する化合物を使用することができる。また、公知の方法で製造した化合物を使用してもよい。酸発生剤(B)は、2種以上を組み合わせて用いてもよい。
[式(B1)中、
Qb1及びQb2は、それぞれ独立に、フッ素原子又は炭素数1~6のペルフルオロアルキル基を表す。
Lb1は、炭素数1~24の2価の飽和炭化水素基を表し、該2価の飽和炭化水素基に含まれる-CH2-は、-O-又は-CO-に置き換わっていてもよく、該2価の飽和炭化水素基に含まれる水素原子は、フッ素原子又はヒドロキシ基で置換されていてもよい。
Yは、置換基を有していてもよいメチル基又は置換基を有していてもよい炭素数3~18の脂環式炭化水素基を表し、該脂環式炭化水素基に含まれる-CH2-は、-O-、-S(O)2-又は-CO-に置き換わっていてもよい。
Z+は、有機カチオンを表す。]
Qb1及びQb2は、それぞれ独立に、フッ素原子又はトリフルオロメチル基であることが好ましく、ともにフッ素原子であることがより好ましい。
具体的には、メチレン基、エチレン基、プロパン-1,3-ジイル基、ブタン-1,4-ジイル基、ペンタン-1,5-ジイル基、ヘキサン-1,6-ジイル基、ヘプタン-1,7-ジイル基、オクタン-1,8-ジイル基、ノナン-1,9-ジイル基、デカン-1,10-ジイル基、ウンデカン-1,11-ジイル基、ドデカン-1,12-ジイル基、トリデカン-1,13-ジイル基、テトラデカン-1,14-ジイル基、ペンタデカン-1,15-ジイル基、ヘキサデカン-1,16-ジイル基及びヘプタデカン-1,17-ジイル基等の直鎖状アルカンジイル基;
エタン-1,1-ジイル基、プロパン-1,1-ジイル基、プロパン-1,2-ジイル基、プロパン-2,2-ジイル基、ペンタン-2,4-ジイル基、2-メチルプロパン-1,3-ジイル基、2-メチルプロパン-1,2-ジイル基、ペンタン-1,4-ジイル基、2-メチルブタン-1,4-ジイル基等の分岐状アルカンジイル基;
シクロブタン-1,3-ジイル基、シクロペンタン-1,3-ジイル基、シクロヘキサン-1,4-ジイル基、シクロオクタン-1,5-ジイル基等のシクロアルカンジイル基である単環式の2価の脂環式飽和炭化水素基;
ノルボルナン-1,4-ジイル基、ノルボルナン-2,5-ジイル基、アダマンタン-1,5-ジイル基、アダマンタン-2,6-ジイル基等の多環式の2価の脂環式飽和炭化水素基等が挙げられる。
Lb2は、単結合又は炭素数1~22の2価の飽和炭化水素基を表し、該飽和炭化水素基に含まれる水素原子は、フッ素原子に置換されていてもよい。
Lb3は、単結合又は炭素数1~22の2価の飽和炭化水素基を表し、該飽和炭化水素基に含まれる水素原子は、フッ素原子又はヒドロキシ基に置換されていてもよく、該飽和炭化水素基に含まれる-CH2-は、-O-又は-CO-に置き換わっていてもよい。
ただし、Lb2とLb3との炭素数合計は、22以下である。
式(b1-2)中、
Lb4は、単結合又は炭素数1~22の2価の飽和炭化水素基を表し、該飽和炭化水素基に含まれる水素原子は、フッ素原子に置換されていてもよい。
Lb5は、単結合又は炭素数1~22の2価の飽和炭化水素基を表し、該飽和炭化水素基に含まれる水素原子は、フッ素原子又はヒドロキシ基に置換されていてもよく、該飽和炭化水素基に含まれる-CH2-は、-O-又は-CO-に置き換わっていてもよい。
ただし、Lb4とLb5との炭素数合計は、22以下である。
式(b1-3)中、
Lb6は、単結合又は炭素数1~23の2価の飽和炭化水素基を表し、該飽和炭化水素基に含まれる水素原子は、フッ素原子又はヒドロキシ基に置換されていてもよい。
Lb7は、単結合又は炭素数1~23の2価の飽和炭化水素基を表し、該飽和炭化水素基に含まれる水素原子は、フッ素原子又はヒドロキシ基に置換されていてもよく、該飽和炭化水素基に含まれる-CH2-は、-O-又は-CO-に置き換わっていてもよい。
ただし、Lb6とLb7との炭素数合計は、23以下である。]
2価の飽和炭化水素基としては、Lb1の飽和炭化水素基と同様のものが挙げられる。
Lb3は、好ましくは炭素数1~4の2価の飽和炭化水素基である。
Lb4は、好ましくは炭素数1~8の2価の飽和炭化水素基であり、該飽和炭化水素基に含まれる水素原子はフッ素原子に置換されていてもよい。
Lb5は、好ましくは単結合又は炭素数1~8の2価の飽和炭化水素基である。
Lb6は、好ましくは単結合又は炭素数1~4の2価の飽和炭化水素基であり、該飽和炭化水素基に含まれる水素原子はフッ素原子に置換されていてもよい。
Lb7は、好ましくは単結合又は炭素数1~18の2価の飽和炭化水素基であり、該飽和炭化水素基に含まれる水素原子はフッ素原子又はヒドロキシ基に置換されていてもよく、該飽和炭化水素基に含まれる-CH2-は-O-又は-CO-に置き換わっていてもよい。
Lb1で表される2価の飽和炭化水素基に含まれる-CH2-が-O-又は-CO-で置き換わった基としては、式(b1-1)又は式(b1-3)で表される基が好ましい。
[式(b1-4)中、
Lb8は、単結合又は炭素数1~22の2価の飽和炭化水素基を表し、該飽和炭化水素基に含まれる水素原子は、フッ素原子又はヒドロキシ基に置換されていてもよい。
式(b1-5)中、
Lb9は、炭素数1~20の2価の飽和炭化水素基を表し、該2価の飽和炭化水素基に含まれる-CH2-は-O-又は-CO-に置き換わっていてもよい。
Lb10は、単結合又は炭素数1~19の2価の飽和炭化水素基を表し、該飽和炭化水素基に含まれる水素原子は、フッ素原子又はヒドロキシ基に置換されていてもよい。
ただし、Lb9及びLb10の合計炭素数は20以下である。
式(b1-6)中、
Lb11は、炭素数1~21の2価の飽和炭化水素基を表す。
Lb12は、単結合又は炭素数1~20の2価の飽和炭化水素基を表し、該飽和炭化水素基に含まれる水素原子は、フッ素原子又はヒドロキシ基に置換されていてもよい。
ただし、Lb11及びLb12の合計炭素数は21以下である。
式(b1-7)中、
Lb13は、炭素数1~19の2価の飽和炭化水素基を表す。
Lb14は、単結合又は炭素数1~18の2価の飽和炭化水素基を表し、該2価の飽和炭化水素基に含まれる-CH2-は-O-又は-CO-に置き換わっていてもよい。
Lb15は、単結合又は炭素数1~18の2価の飽和炭化水素基を表し、該飽和炭化水素基に含まれる水素原子は、フッ素原子又はヒドロキシ基に置換されていてもよい。
ただし、Lb13~Lb15の合計炭素数は19以下である。
式(b1-8)中、
Lb16は、炭素数1~18の2価の飽和炭化水素基を表し、該2価の飽和炭化水素基に含まれる-CH2-は-O-又は-CO-に置き換わっていてもよい。
Lb17は、炭素数1~18の2価の飽和炭化水素基を表す。
Lb18は、単結合又は炭素数1~17の2価の飽和炭化水素基を表し、該飽和炭化水素基に含まれる水素原子は、フッ素原子又はヒドロキシ基に置換されていてもよい。
ただし、Lb16~Lb18の合計炭素数は19以下である。]
Lb9は、好ましくは炭素数1~8の2価の飽和炭化水素基である。
Lb10は、好ましくは単結合又は炭素数1~19の2価の飽和炭化水素基であり、より好ましくは単結合又は炭素数1~8の飽和炭化水素基である。
Lb11は、好ましくは炭素数1~8の2価の飽和炭化水素基である。
Lb12は、好ましくは単結合又は炭素数1~8の2価の飽和炭化水素基である。
Lb13は、好ましくは炭素数1~12の2価の飽和炭化水素基である。
Lb14は、好ましくは単結合又は炭素数1~6の2価の飽和炭化水素基である。
Lb15は、好ましくは単結合又は炭素数1~18の2価の飽和炭化水素基であり、より好ましくは単結合又は炭素数1~8の2価の飽和炭化水素基である。
Lb16は、好ましくは炭素数1~12の2価の飽和炭化水素基である。
Lb17は、好ましくは炭素数1~6の2価の飽和炭化水素基である。
Lb18は、好ましくは単結合又は炭素数1~17の2価の飽和炭化水素基であり、より好ましくは単結合又は炭素数1~4の2価の飽和炭化水素基である。
式(b1-9)中、
Lb19は、単結合又は炭素数1~23の2価の飽和炭化水素基を表し、該飽和炭化水素基に含まれる水素原子は、フッ素原子に置換されていてもよい。
Lb20は、単結合又は炭素数1~23の2価の飽和炭化水素基を表し、該飽和炭化水素基に含まれる水素原子は、フッ素原子、ヒドロキシ基又はアルキルカルボニルオキシ基に置換されていてもよい。該アルキルカルボニルオキシ基に含まれる-CH2-は、-O-又は-CO-に置き換わっていてもよく、該アルキルカルボニルオキシ基に含まれる水素原子は、ヒドロキシ基に置換されていてもよい。
ただし、Lb19及びLb20の合計炭素数は23以下である。
式(b1-10)中、
Lb21は、単結合又は炭素数1~21の2価の飽和炭化水素基を表し、該飽和炭化水素基に含まれる水素原子は、フッ素原子に置換されていてもよい。
Lb22は、単結合又は炭素数1~21の2価の飽和炭化水素基を表す。
Lb23は、単結合又は炭素数1~21の2価の飽和炭化水素基を表し、該飽和炭化水素基に含まれる水素原子は、フッ素原子、ヒドロキシ基又はアルキルカルボニルオキシ基に置換されていてもよい。該アルキルカルボニルオキシ基に含まれる-CH2-は、-O-又は-CO-に置き換わっていてもよく、該アルキルカルボニルオキシ基に含まれる水素原子は、ヒドロキシ基に置換されていてもよい。
ただし、Lb21、Lb22及びLb23の合計炭素数は21以下である。
式(b1-11)中、
Lb24は、単結合又は炭素数1~20の2価の飽和炭化水素基を表し、該飽和炭化水素基に含まれる水素原子は、フッ素原子に置換されていてもよい。
Lb25は、炭素数1~21の2価の飽和炭化水素基を表す。
Lb26は、単結合又は炭素数1~20の2価の飽和炭化水素基を表し、該飽和炭化水素基に含まれる水素原子は、フッ素原子、ヒドロキシ基又はアルキルカルボニルオキシ基に置換されていてもよい。該アルキルカルボニルオキシ基に含まれる-CH2-は、-O-又は-CO-に置き換わっていてもよく、該アルキルカルボニルオキシ基に含まれる水素原子は、ヒドロキシ基に置換されていてもよい。
ただし、Lb24、Lb25及びLb26の合計炭素数は21以下である。
Yで表される脂環式炭化水素基に含まれる-CH2-が-O-、-S(O)2-又は-CO-で置き換わる場合、その数は1つでもよいし、2以上でもよい。そのような基としては、式(Y12)~式(Y35)、式(Y39)~式(Y41)で表される基が挙げられる。
Yで表される脂環式炭化水素基としては、好ましくは式(Y1)~式(Y20)、式(Y26)、式(Y27)、式(Y30)、式(Y31)、式(Y39)~式(Y41)のいずれかで表される基であり、より好ましくは式(Y11)、式(Y15)、式(Y16)、式(Y20)、式(Y26)、式(Y27)、式(Y30)~式(Y31)又は式(Y39)~式(Y40)で表される基であり、さらに好ましくは式(Y11)、式(Y15)、式(Y20)、式(Y30)、式(Y39)又は式(Y40)で表される基である。
Yで表される脂環式炭化水素基が式(Y28)~式(Y35)、式(Y39)又は式(Y40)等の、酸素原子を含むスピロ環である場合には、2つの酸素原子間のアルカンジイル基は、1以上のフッ素原子を有することが好ましい。また、ケタール構造に含まれるアルカンジイル基のうち、酸素原子に隣接するメチレン基には、フッ素原子が置換されていないのが好ましい。
Yで表される脂環式炭化水素基の置換基としては、ハロゲン原子、ヒドロキシ基、ヒドロキシ基で置換されていてもよい炭素数1~12のアルキル基、炭素数3~16の脂環式炭化水素基、炭素数1~12のアルコキシ基、炭素数6~18の芳香族炭化水素基、炭素数7~21のアラルキル基、炭素数2~4のアルキルカルボニル基、グリシジルオキシ基、-(CH2)ja-CO-O-Rb1基又は-(CH2)ja-O-CO-Rb1基(式中、Rb1は、炭素数1~16のアルキル基、炭素数3~16の脂環式炭化水素基、炭素数6~18の芳香族炭化水素基又はこれらを組み合わせた基を表す。jaは、0~4のいずれかの整数を表す。炭素数1~16のアルキル基、及び炭素数3~16の脂環式炭化水素基に含まれる-CH2-は、-O-、-S(O)2-又は-CO-で置き換わっていてもよい。)等が挙げられる。
脂環式炭化水素基としては、例えば、シクロペンチル基、シクロへキシル基、シクロヘプチル基、シクロオクチル基、ノルボルニル基、アダマンチル基等が挙げられる。
なお、脂環式炭化水素基は鎖式炭化水素基を有していてもよく、メチルシクロヘキシル基、ジメチルシクロへキシル基等が挙げられる。
芳香族炭化水素基としては、例えば、フェニル基、ビフェニリル基、ナフチル基、アントリル基、フェナントリル基等のアリール基が挙げられる。
芳香族炭化水素基は、鎖式炭化水素基又は脂環式炭化水素基を有していてもよく、炭素数1~18の鎖式炭化水素基を有する芳香族炭化水素基(トリル基、キシリル基、クメニル基、メシチル基、p-エチルフェニル基、p-tert-ブチルフェニル基、2,6-ジエチルフェニル基、2-メチル-6-エチルフェニル基等)、及び炭素数3~18の脂環式炭化水素基を有する芳香族炭化水素基(p-シクロへキシルフェニル基、p-アダマンチルフェニル基等)等が挙げられる。
アルキル基としては、例えば、メチル基、エチル基、プロピル基、イソプロピル基、ブチル基、sec-ブチル基、tert-ブチル基、ペンチル基、ヘキシル基、ヘプチル基、2-エチルヘキシル基、オクチル基、ノニル基、デシル基、ウンデシル基、ドデシル基等が挙げられる。
ヒドロキシ基で置換されているアルキル基としては、ヒドロキシメチル基、ヒドロキシエチル基等のヒドロキシアルキル基が挙げられる。
アルコキシ基としては、メトキシ基、エトキシ基、プロポキシ基、ブトキシ基、ペンチルオキシ基、ヘキシルオキシ基、ヘプチルオキシ基、オクチルオキシ基、デシルオキシ基及びドデシルオキシ基等が挙げられる。
アラルキル基としては、ベンジル基、フェネチル基、フェニルプロピル基、ナフチルメチル基及びナフチルエチル基等が挙げられる。
アルキルカルボニル基としては、例えば、アセチル基、プロピオニル基及びブチリル基等が挙げられる。
Qb1及びQb2は、上記と同じ意味を表す。
式(B1)で表される塩におけるスルホン酸アニオンとしては、具体的には、特開2010-204646号公報に記載されたアニオンが挙げられる。
式(I)において、L1で表される2価の炭化水素基としては、アルカンジイル基、単環式又は多環式の2価の脂環式飽和炭化水素基、2価の芳香族炭化水素基等が挙げられ、これらの基のうち2種以上を組み合わせた2価の炭化水素基であってもよい。
エタン-1,1-ジイル基、プロパン-1,1-ジイル基、プロパン-1,2-ジイル基、プロパン-2,2-ジイル基、ペンタン-2,4-ジイル基、2-メチルプロパン-1,3-ジイル基、2-メチルプロパン-1,2-ジイル基、ペンタン-1,4-ジイル基、2-メチルブタン-1,4-ジイル基等の分岐状アルカンジイル基が挙げられる。
単環式の脂環式飽和炭化水素基としては、シクロブタン-1,3-ジイル基、シクロペンタン-1,3-ジイル基、シクロヘキサン-1,4-ジイル基、シクロオクタン-1,5-ジイル基等の単環式シクロアルカンジイル基が挙げられる。
多環式の脂環式飽和炭化水素基としては、ノルボルナン-1,4-ジイル基、ノルボルナン-2,5-ジイル基、アダマンタン-1,5-ジイル基、アダマンタン-2,6-ジイル基等の多環式シクロアルカンジイル基が挙げられる。
芳香族炭化水素基としては、フェニレン基、ナフチレン基、アントリレン基、メチルフェニレン基、イソプロピルフェニレン基、tert-ブチルフェニレン基、アダマンチルフェニレン基、キシリレン基、イソプロピルフェニレン基、トリメチルフェニレン基、ビフェニレン基、フェナントリレン基、2,6-ジエチルフェニレン基、2-メチル-6-エチルフェニレン基等の2価の芳香族炭化水素基等が挙げられる。
2種以上を組み合わせた2価の炭化水素基としては、-シクロアルカンジイル基-アルカンジイル基-、-アルカンジイル基-シクロアルカンジイル基-アルカンジイル基-、-アルカンジイル基-芳香族炭化水素基-等が挙げられる。
L1で表される炭素数1~18の2価の炭化水素基に含まれる-CH2-が-O-、-S-、-CO-又は-S(O)2-に置き換わっている場合、置き換わる前の炭素数を該炭化水素基の炭素数とする。
L1としては、単結合、炭素数1~12のアルカンジイル基(該アルカンジイル基に含まれる-CH2-は、-O-又は-CO-に置き換わっていてもよい。)又は炭素数3~12の脂環式炭化水素基(該脂環式炭化水素基に含まれる-CH2-は、-O-、-S-、-CO-又は-S(O)2-に置き換わっていてもよい。)と炭素数1~6のアルカンジイル基(該アルカンジイル基に含まれる-CH2-は、-O-又は-CO-に置き換わっていてもよい。)とから形成される炭化水素基であることが好ましく、単結合又は炭素数1~6のアルカンジイル基であることがより好ましく、単結合又はメチレン基であることがさらに好ましく、単結合であることがさらにより好ましい。
単環式の飽和炭化水素環としては、シクロブタン、シクロペンタン、シクロヘキサン、シクロオクタン等のシクロアルカンが挙げられる。
多環式の飽和炭化水素環としては、ノルボルナン、アダマンタン等が挙げられる。
芳香族炭化水素環としては、ベンゼン、ナフタレン、アントラセン、メチルベンゼン、tert-ブチルベンゼン、アダマンチルベンゼン基、トルエン基、キシレン基、クメン、メシチレン、ビフェニル、フェナントレン、2,6-ジエチルベンゼン、2-メチル-6-エチルベンゼン等が挙げられる。
W1で表される炭素数3~24の炭化水素環に含まれる-CH2-は、-O-、-S-、-S(O)2-又は-CO-に置き換わっていてもよい。
W1で表される炭素数3~24の炭化水素環に含まれる-CH2-が-O-、-S-、-S(O)2-又は-CO-に置き換わっている場合、置き換わる前の炭素数を該炭化水素環の炭素数とする。
W1としては、単環式又は多環式の飽和炭化水素環、芳香族炭化水素環であることが好ましく(但し、該飽和炭化水素環及び芳香族炭化水素環に含まれる-CH2-は、-O-、-S-、-S(O)2-又は-CO-に置き換わっていてもよい。)、単環式又は多環式の飽和炭化水素環であることがより好ましく、単環式の飽和炭化水素環であることがさらに好ましく、シクロヘキサンであることがさらにより好ましい。
なかでも、R1及びR2は、炭素数1~4のペルフルオロアルキル基であることが好ましく、トリフルオロメチル基、ペルフルオロエチル基であることがより好ましく、トリフルオロメチル基であることがさらに好ましい。
アルキル基としては、メチル基、エチル基、プロピル基、イソプロピル基、ブチル基、イソブチル基、tert-ブチル基、ペンチル基、ヘキシル基、ヘプチル基、オクチル基、ノニル基等のアルキル基が挙げられる。アルキル基の炭素数は、好ましくは1~9であり、より好ましくは1~6であり、さらに好ましくは1~4である。
アルケニル基としては、エテニル基、プロペニル基、イソプロペニル基、ブテニル基、イソブテニル基、tert-ブテニル基、ペンテニル基、ヘキセニル基、ヘプテニル基、オクテニル基、イソオクテニル基、ノネニル基が挙げられる。
アルキニル基としては、エチニル基、プロピニル基、イソプロピニル基、ブチニル基、イソブチニル基、tert-ブチニル基、ペンチニル基、ヘキシニル基、オクチニル基、ノニニル基等が挙げられる。
脂環式炭化水素基は、単環式、多環式及びスピロ環のいずれでもよく、飽和及び不飽和のいずれでもよい。脂環式炭化水素基としては、シクロプロピル基、シクロブチル基、シクロペンチル基、シクロへキシル基、シクロオクチル基、シクロノニル基、シクロデシル基、シクロドデシル基等の単環式シクロアルキル基、ノルボルニル基、アダマンチル基等の多環式シクロアルキル基が挙げられる。
R3で表される脂環式炭化水素基としては、式(Y1)~(Y41)で表される基(*は結合部位を表す。)が好ましく、式(Y1)~式(Y20)、式(Y26)、式(Y27)、式(Y30)、式(Y31)、式(Y39)又は式(Y40)のいずれかで表される基であることがより好ましく、式(Y3)、(Y4)、式(Y9)、式(Y11)、式(Y14)、式(Y15)、式(Y20)、式(Y30)、式(Y39)又は式(Y40)で表される基であることがさらに好ましい。脂環式炭化水素基の炭素数は、好ましくは3~18であり、より好ましくは3~16であり、さらに好ましくは3~12である。
組み合わせた基としては、アダマンチルメチル基、アダマンチルエチル基、アダマンチルプロピル基、シクロヘキシルメチル基、シクロヘキシルエチル基、シクロヘキシルプロピル基等の脂環式炭化水素基-鎖式脂肪族炭化水素基-*、メチルアダマンチル基等の鎖式脂肪族炭化水素基-脂環式炭化水素基-*、トリル基、キシリル基等の鎖式脂肪族炭化水素基-芳香族炭化水素基-*、メチルシクロヘキシルメチル基等の鎖式脂肪族炭化水素基-脂環式炭化水素基-鎖式脂肪族炭化水素基-*、ベンジル基等の芳香族炭化水素基-鎖式脂肪族炭化水素基-*、トリルメチル基等の鎖式脂肪族炭化水素基-芳香族炭化水素基-鎖式脂肪族炭化水素基-*等が挙げられる。ここで、*は酸素原子との結合部位を表す。
なかでも、脂環式炭化水素基-鎖式脂肪族炭化水素基-*及び鎖式脂肪族炭化水素基-脂環式炭化水素基-鎖式脂肪族炭化水素基-*が好ましく、脂環式炭化水素基-鎖式脂肪族炭化水素基-*がより好ましい。
R3で表される炭化水素基は、1又は複数の置換基を有していてもよい。
置換基としては、ヒドロキシ基、カルボキシ基、ハロゲン原子、シアノ基、炭素数1~12のアルコキシ基、炭素数2~13のアルコキシカルボニル基、炭素数2~13のアルキルカルボニル基、炭素数2~13のアルキルカルボニルオキシ基又はこれらを組み合わせた基などが挙げられる。
ハロゲン原子としては、フッ素原子、塩素原子、臭素原子及びヨウ素原子等が挙げられる。
炭素数1~12のアルコキシ基としては、メトキシ基、エトキシ基、プロポキシ基、ブトキシ基、ペンチルオキシ基、ヘキシルオキシ基、オクチルオキシ基、2-エチルヘキシルオキシ基、ノニルオキシ基、デシルオキシ基、ウンデシルオキシ基、ドデシルオキシ基等が挙げられる。
炭素数2~13のアルコキシカルボニル基、炭素数2~13のアルキルカルボニル基及び炭素数2~13のアルキルカルボニルオキシ基は、上述したアルキル基又はアルコキシ基にカルボニル基又はカルボニルオキシ基が結合した基を表す。炭素数2~13のアルコキシカルボニル基としては、メトキシカルボニル基、エトキシカルボニル基、ブトキシカルボニル基等が挙げられ、炭素数2~13のアルキルカルボニル基としては、アセチル基、プロピオニル基及びブチリル基等が挙げられ、炭素数2~13のアルキルカルボニルオキシ基としては、アセチルオキシ基、プロピオニルオキシ基、ブチリルオキシ基等が挙げられる。
R3が有する置換基は、フッ素原子又はヒドロキシ基であることが好ましい。
化合物(I)は、式(I-a)で表される化合物と式(I-b)で表される化合物とを、溶媒中で、反応させることにより得ることができる。
(式中、全ての符号は、それぞれ前記と同じ意味を表す。)
溶媒としては、クロロホルム、アセトニトリル、テトラヒドロフラン、ジメチルホルムアミド等が挙げられる。
反応は、通常15~80℃の温度範囲で、0.5~24時間行われる。
式(I-b)で表される化合物としては、下記式で表される化合物等が挙げられ、市場より容易に入手することができ、また、公知の合成方法により容易に製造できる。
化合物(I)は、レジスト組成物中でクエンチャーとしての機能を有する。
溶剤(E)の含有率は、レジスト組成物中、通常90質量%以上99.9質量%以下であり、好ましくは92質量%以上99質量%以下であり、より好ましくは94質量%以上99質量%以下である。溶剤(E)の含有率は、例えば液体クロマトグラフィー又はガスクロマトグラフィー等の公知の分析手段で測定できる。
溶剤(E)としては、エチルセロソルブアセテート、メチルセロソルブアセテート及びプロピレングリコールモノメチルエーテルアセテート等のグリコールエーテルエステル類;プロピレングリコールモノメチルエーテル等のグリコールエーテル類;乳酸エチル、酢酸ブチル、酢酸アミル及びピルビン酸エチル等のエステル類;アセトン、メチルイソブチルケトン、2-ヘプタノン及びシクロヘキサノン等のケトン類;γ-ブチロラクトン等の環状エステル類;等を挙げることができる。溶剤(E)の1種を単独で使用してもよく、2種以上を使用してもよい。
クエンチャー(C)としては、塩基性の含窒素有機化合物(但し、化合物(I)を除く。)、及び酸発生剤(B)から発生する酸よりも酸性度の弱い酸を発生する塩が挙げられる。クエンチャー(C)の含有量は、レジスト組成物の固形分量を基準に、0.01~5質量%程度であることが好ましい。
塩基性の含窒素有機化合物としては、アミン及びアンモニウム塩が挙げられる。アミンとしては、脂肪族アミン及び芳香族アミンが挙げられる。脂肪族アミンとしては、第一級アミン、第二級アミン及び第三級アミンが挙げられる。
アミンとしては、1-ナフチルアミン、2-ナフチルアミン、アニリン、ジイソプロピルアニリン、2-,3-又は4-メチルアニリン、4-ニトロアニリン、N-メチルアニリン、N,N-ジメチルアニリン、ジフェニルアミン、ヘキシルアミン、ヘプチルアミン、オクチルアミン、ノニルアミン、デシルアミン、ジブチルアミン、ジペンチルアミン、ジヘキシルアミン、ジヘプチルアミン、ジオクチルアミン、ジノニルアミン、ジデシルアミン、トリエチルアミン、トリメチルアミン、トリプロピルアミン、トリブチルアミン、トリペンチルアミン、トリヘキシルアミン、トリヘプチルアミン、トリオクチルアミン、トリノニルアミン、トリデシルアミン、メチルジブチルアミン、メチルジペンチルアミン、メチルジヘキシルアミン、メチルジシクロヘキシルアミン、メチルジヘプチルアミン、メチルジオクチルアミン、メチルジノニルアミン、メチルジデシルアミン、エチルジブチルアミン、エチルジペンチルアミン、エチルジヘキシルアミン、エチルジヘプチルアミン、エチルジオクチルアミン、エチルジノニルアミン、エチルジデシルアミン、ジシクロヘキシルメチルアミン、トリス〔2-(2-メトキシエトキシ)エチル〕アミン、トリイソプロパノールアミン、エチレンジアミン、テトラメチレンジアミン、ヘキサメチレンジアミン、4,4’-ジアミノ-1,2-ジフェニルエタン、4,4’-ジアミノ-3,3’-ジメチルジフェニルメタン、4,4’-ジアミノ-3,3’-ジエチルジフェニルメタン、2,2’-メチレンビスアニリン、イミダゾール、4-メチルイミダゾール、ピリジン、4-メチルピリジン、1,2-ジ(2-ピリジル)エタン、1,2-ジ(4-ピリジル)エタン、1,2-ジ(2-ピリジル)エテン、1,2-ジ(4-ピリジル)エテン、1,3-ジ(4-ピリジル)プロパン、1,2-ジ(4-ピリジルオキシ)エタン、ジ(2-ピリジル)ケトン、4,4’-ジピリジルスルフィド、4,4’-ジピリジルジスルフィド、2,2’-ジピリジルアミン、2,2’-ジピコリルアミン、ビピリジン等が挙げられ、好ましくはジイソプロピルアニリン等の芳香族アミンが挙げられ、より好ましくは2,6-ジイソプロピルアニリンが挙げられる。
アンモニウム塩としては、テトラメチルアンモニウムヒドロキシド、テトライソプロピルアンモニウムヒドロキシド、テトラブチルアンモニウムヒドロキシド、テトラヘキシルアンモニウムヒドロキシド、テトラオクチルアンモニウムヒドロキシド、フェニルトリメチルアンモニウムヒドロキシド、3-(トリフルオロメチル)フェニルトリメチルアンモニウムヒドロキシド、テトラ-n-ブチルアンモニウムサリチラート及びコリン等が挙げられる。
酸発生剤(B)から発生する酸よりも酸性度の弱い酸を発生する塩としては、下記式で表される塩、特開2015-147926号公報記載の式(D)で表される塩(以下、「弱酸分子内塩(D)」という場合がある。)、並びに特開2012-229206号公報、特開2012-6908号公報、特開2012-72109号公報、特開2011-39502号公報及び特開2011-191745号公報記載の塩が挙げられる。酸発生剤(B)から発生する酸よりも酸性度の弱い酸を発生する塩として好ましくは、弱酸分子内塩(D)である。
本発明のレジスト組成物は、必要に応じて、上述の成分以外の成分(以下「その他の成分(F)」という場合がある。)を含有していてもよい。その他の成分(F)に特に限定はなく、レジスト分野で公知の添加剤、例えば、増感剤、溶解抑止剤、界面活性剤、安定剤、染料等を利用できる。
本発明のレジスト組成物は、化合物(I)、樹脂(A),樹脂(X)及び酸発生剤(B)、並びに、必要に応じて、用いられる溶剤(E)、クエンチャー(C)及びその他の成分(F)を混合することにより調製することができる。混合順は任意であり、特に限定されるものではない。混合する際の温度は、10~40℃から、樹脂等の種類や樹脂等の溶剤(E)に対する溶解度等に応じて適切な温度を選ぶことができる。混合時間は、混合温度に応じて、0.5~24時間の中から適切な時間を選ぶことができる。なお、混合手段も特に制限はなく、攪拌混合等を用いることができる。
各成分を混合した後は、孔径0.003~0.2μm程度のフィルターを用いてろ過することが好ましい。
本発明のレジストパターンの製造方法は、
(1)本発明のレジスト組成物を基板上に塗布する工程、
(2)塗布後の組成物を乾燥させて組成物層を形成する工程、
(3)組成物層に露光する工程、
(4)露光後の組成物層を加熱する工程、及び
(5)加熱後の組成物層を現像する工程を含む。
レジスト組成物を基板上に塗布するには、スピンコーター等、通常、用いられる装置によって行うことができる。基板としては、シリコンウェハ等の無機基板が挙げられる。レジスト組成物を塗布する前に、基板を洗浄してもよく、基板上に反射防止膜等が形成されていてもよい。
塗布後の組成物を乾燥することにより、溶剤を除去し、組成物層を形成する。乾燥は、例えば、ホットプレート等の加熱装置を用いて溶剤を蒸発させること(いわゆるプリベーク)により行うか、あるいは減圧装置を用いて行う。加熱温度は、50~200℃であることが好ましく、加熱時間は、10~180秒間であることが好ましい。また、減圧乾燥する際の圧力は、1~1.0×105Pa程度であることが好ましい。
得られた組成物層に、通常、露光機を用いて露光する。露光機は、液浸露光機であってもよい。露光光源としては、KrFエキシマレーザ(波長248nm)、ArFエキシマレーザ(波長193nm)、F2エキシマレーザ(波長157nm)のような紫外域のレーザ光を放射するもの、固体レーザ光源(YAG又は半導体レーザ等)からのレーザ光を波長変換して遠紫外域または真空紫外域の高調波レーザ光を放射するもの、電子線や、超紫外光(EUV)を照射するもの等、種々のものを用いることができる。尚、本明細書において、これらの放射線を照射することを総称して「露光」という場合がある。露光の際、通常、求められるパターンに相当するマスクを介して露光が行われる。露光光源が電子線の場合は、マスクを用いずに直接描画により露光してもよい。
露光後の組成物層を、酸不安定基における脱保護反応を促進するために加熱処理(いわゆるポストエキスポジャーベーク)を行う。加熱温度は、通常50~200℃程度、好ましくは70~150℃程度である。
加熱後の組成物層を、通常、現像装置を用いて、現像液を利用して現像する。現像方法としては、ディップ法、パドル法、スプレー法、ダイナミックディスペンス法等が挙げられる。現像温度は、例えば、5~60℃であることが好ましく、現像時間は、例えば、5~300秒間であることが好ましい。現像液の種類を以下のとおりに選択することにより、ポジ型レジストパターン又はネガ型レジストパターンを製造できる。
本発明のレジスト組成物からポジ型レジストパターンを製造する場合は、現像液としてアルカリ現像液を用いる。アルカリ現像液は、この分野で用いられる各種のアルカリ性水溶液であればよい。例えば、テトラメチルアンモニウムヒドロキシドや(2-ヒドロキシエチル)トリメチルアンモニウムヒドロキシド(通称コリン)の水溶液等が挙げられる。アルカリ現像液には、界面活性剤が含まれていてもよい。
現像後レジストパターンを超純水で洗浄し、次いで、基板及びパターン上に残った水を除去することが好ましい。
本発明のレジスト組成物からネガ型レジストパターンを製造する場合は、現像液として有機溶剤を含む現像液(以下「有機系現像液」という場合がある)を用いる。
有機系現像液に含まれる有機溶剤としては、2-ヘキサノン、2-ヘプタノン等のケトン溶剤;プロピレングリコールモノメチルエーテルアセテート等のグリコールエーテルエステル溶剤;酢酸ブチル等のエステル溶剤;プロピレングリコールモノメチルエーテル等のグリコールエーテル溶剤;N,N-ジメチルアセトアミド等のアミド溶剤;アニソール等の芳香族炭化水素溶剤等が挙げられる。
有機系現像液中、有機溶剤の含有率は、90質量%以上100質量%以下が好ましく、95質量%以上100質量%以下がより好ましく、実質的に有機溶剤のみであることがさらに好ましい。
中でも、有機系現像液としては、酢酸ブチル及び/又は2-ヘプタノンを含む現像液が好ましい。有機系現像液中、酢酸ブチル及び2-ヘプタノンの合計含有率は、50質量%以上100質量%以下が好ましく、90質量%以上100質量%以下がより好ましく、実質的に酢酸ブチル及び/又は2-ヘプタノンのみであることがさらに好ましい。
有機系現像液には、界面活性剤が含まれていてもよい。また、有機系現像液には、微量の水分が含まれていてもよい。
現像の際、有機系現像液とは異なる種類の溶剤に置換することにより、現像を停止してもよい。
現像後のレジストパターンをリンス液で洗浄することが好ましい。リンス液としては、レジストパターンを溶解しないものであれば特に制限はなく、一般的な有機溶剤を含む溶液を使用することができ、好ましくはアルコール溶剤又はエステル溶剤である。
洗浄後は、基板及びパターン上に残ったリンス液を除去することが好ましい。
本発明のレジスト組成物は、KrFエキシマレーザ露光用のレジスト組成物、ArFエキシマレーザ露光用のレジスト組成物、電子線(EB)露光用のレジスト組成物又はEUV露光用のレジスト組成物、特にArFエキシマレーザ露光用の厚膜(膜厚150nm~1000nm)用レジスト組成物として好適であり、半導体の微細加工に有用である。
重量平均分子量は、ゲルパーミエーションクロマトグラフィーで下記条件により求めた値である。
装置:HLC-8120GPC型(東ソー社製)
カラム:TSKgel Multipore HXL-M x 3 + guardcolumn(東ソー社製)
溶離液:テトラヒドロフラン
流量:1.0mL/min
検出器:RI検出器
カラム温度:40℃
注入量:100μl
分子量標準:標準ポリスチレン(東ソー社製)
また、化合物の構造は、質量分析(LCはAgilent製1100型、MASSはAgilent製LC/MSD型)を用い、分子イオンピークを測定することで確認した。以下の実施例ではこの分子イオンピークの値を「MASS」で示す。
式(I-1-a)で表される化合物10部、メタノール80部及び10%水酸化ナトリウム水溶液8.00部を混合し、23℃で18時間攪拌した。得られた混合物に、クロロホルム100部及びイオン交換水50部を加え、23℃で30分間攪拌し、分液することにより有機層を得た。得られた有機層に、イオン交換水50部を加え、23℃で30分間攪拌し、分液することにより有機層を得た。この水洗の操作を5回行った。得られた有機層を濃縮し、濃縮マスをカラム(シリカゲル60N(球状、中性)100-210μm;関東化学(株)製、展開溶媒:酢酸エチル)分取することにより、式(I-1-b)で表される化合物4.28部を得た。
式(I-1-b)で表される化合物4.28部、アセトニトリル35部及び式(I-1-c)で表される化合物1.88部を混合し、23℃で18時間攪拌した。得られた混合物に、クロロホルム80部及びイオン交換水40部を加え、23℃で30分間攪拌し、分液することにより有機層を得た。得られた有機層に、イオン交換水40部を加え、23℃で30分間攪拌し、分液することにより有機層を得た。この水洗の操作を5回行った。得られた有機層を濃縮することにより、式(I-1)で表される化合物3.67部を得た。
MASS(ESI(+)Spectrum):527.1 [M+H]+
式(I-1-a)で表される化合物5.00部、ジメチルホルムアミド30部、トリエチルアミン2.22部及びヨウ化カリウム1.00部を混合し、23℃で30分間攪拌した後、5℃まで冷却した。得られた混合物に、式(I-3-a)で表される化合物2.84部を加え、5℃で30分間攪拌した後、さらに、23℃で8時間撹拌した。得られた混合物に、クロロホルム80部及びイオン交換水40部を加え、23℃で30分間攪拌し、分液することにより有機層を得た。得られた有機層に、イオン交換水40部を加え、23℃で30分間攪拌し、分液することにより有機層を得た。この水洗の操作を5回行った。得られた有機層を濃縮した後、濃縮残渣に、メタノール40部及び10%水酸化ナトリウム水溶液4.00部を混合し、23℃で18時間攪拌した。得られた混合物に、クロロホルム50部及びイオン交換水25部を加え、23℃で30分間攪拌し、分液することにより有機層を得た。得られた有機層に、イオン交換水25部を加え、23℃で30分間攪拌し、分液することにより有機層を得た。この水洗の操作を5回行った。得られた有機層を濃縮し、濃縮マスをカラム(シリカゲル60N(球状、中性)100-210μm;関東化学(株)製、展開溶媒:酢酸エチル)分取することにより、式(I-3-c)で表される化合物2.61部を得た。
式(I-3-c)で表される化合物2.61部、アセトニトリル35部及び式(I-1-c)で表される化合物0.89部を混合し、23℃で18時間攪拌した。得られた混合物に、クロロホルム80部及びイオン交換水40部を加え、23℃で30分間攪拌し、分液することにより有機層を得た。得られた有機層に、イオン交換水40部を加え、23℃で30分間攪拌し、分液することにより有機層を得た。この水洗の操作を5回行った。得られた有機層を濃縮することにより、式(I-3)で表される化合物3.67部を得た。
MASS(ESI(+)Spectrum):615.1 [M+H]+
式(I-1-b)で表される化合物4.32部、ジメチルホルムアミド30部及びトリエチルアミン1.11部を混合し、23℃で30分間攪拌した後、5℃まで冷却した。得られた混合物に、式(I-3-a)で表される化合物1.42部を加え、5℃で30分間攪拌した後、さらに、23℃で2時間撹拌することにより、式(I-7-a)で表される化合物を含む溶液を得た。式(I-7-a)で表される化合物を含む溶液に、ピリジン1.90部及び式(I-7-b)で表される化合物5.46部を加え、40℃で2時間撹拌した後、23℃まで冷却した。得られた混合物に、p-トルエンスルホン酸6.88部を添加した後、23℃で4時間撹拌した。得られた混合物に、クロロホルム80部及びイオン交換水40部を加え、23℃で30分間攪拌し、分液することにより有機層を得た。得られた有機層に、イオン交換水40部を加え、23℃で30分間攪拌し、分液することにより有機層を得た。この水洗の操作を5回行った。得られた有機層を濃縮し、濃縮マスをカラム(シリカゲル60N(球状、中性)100-210μm;関東化学(株)製、展開溶媒:酢酸エチル)分取することにより、式(I-7-c)で表される化合物1.62部を得た。
式(I-7-c)で表される化合物1.03部、アセトニトリル20部及び式(I-1-c)で表される化合物0.25部を混合し、23℃で18時間攪拌した。得られた混合物に、クロロホルム50部及びイオン交換水25部を加え、23℃で30分間攪拌し、分液することにより有機層を得た。得られた有機層に、イオン交換水25部を加え、23℃で30分間攪拌し、分液することにより有機層を得た。この水洗の操作を5回行った。得られた有機層を濃縮することにより、式(I-7)で表される化合物1.01部を得た。
MASS(ESI(+)Spectrum):819.0 [M+H]+
式(I-1-a)で表される化合物5.00部、ジメチルホルムアミド30部、トリエチルアミン2.22部及びヨウ化カリウム1.00部を混合し、23℃で30分間攪拌した後、5℃まで冷却した。得られた混合物に、式(I-5-a)で表される化合物6.56部を加え、5℃で30分間攪拌した後、さらに、23℃で8時間撹拌した。得られた混合物に、クロロホルム80部及びイオン交換水40部を加え、23℃で30分間攪拌し、分液することにより有機層を得た。得られた有機層に、イオン交換水40部を加え、23℃で30分間攪拌し、分液することにより有機層を得た。この水洗の操作を5回行った。得られた有機層を濃縮した後、濃縮残渣に、メタノール40部及び10%水酸化ナトリウム水溶液4.00部を混合し、23℃で18時間攪拌した。得られた混合物に、クロロホルム50部及びイオン交換水25部を加え、23℃で30分間攪拌し、分液することにより有機層を得た。得られた有機層に、イオン交換水25部を加え、23℃で30分間攪拌し、分液することにより有機層を得た。この水洗の操作を5回行った。得られた有機層を濃縮し、濃縮マスをカラム(シリカゲル60N(球状、中性)100-210μm;関東化学(株)製、展開溶媒:酢酸エチル)分取することにより、式(I-5-c)で表される化合物3.29部を得た。
式(I-5-c)で表される化合物3.17部、アセトニトリル35部及び式(I-1-c)で表される化合物0.89部を混合し、23℃で18時間攪拌した。得られた混合物に、クロロホルム80部及びイオン交換水40部を加え、23℃で30分間攪拌し、分液することにより有機層を得た。得られた有機層に、イオン交換水40部を加え、23℃で30分間攪拌し、分液することにより有機層を得た。この水洗の操作を5回行った。得られた有機層を濃縮することにより、式(I-5)で表される化合物3.88部を得た。
MASS(ESI(+)Spectrum):727.2 [M+H]+
式(I-1-a)で表される化合物5.00部、ジメチルホルムアミド30部、トリエチルアミン2.22部及びヨウ化カリウム1.00部を混合し、23℃で30分間攪拌した後、5℃まで冷却した。得られた混合物に、式(I-27-a)で表される化合物7.40部を加え、5℃で30分間攪拌した後、さらに、23℃で8時間撹拌した。得られた混合物に、クロロホルム80部及びイオン交換水40部を加え、23℃で30分間攪拌し、分液することにより有機層を得た。得られた有機層に、イオン交換水40部を加え、23℃で30分間攪拌し、分液することにより有機層を得た。この水洗の操作を5回行った。得られた有機層を濃縮した後、濃縮残渣に、メタノール40部及び10%水酸化ナトリウム水溶液4.00部を混合し、23℃で18時間攪拌した。得られた混合物に、クロロホルム50部及びイオン交換水25部を加え、23℃で30分間攪拌し、分液することにより有機層を得た。得られた有機層に、イオン交換水25部を加え、23℃で30分間攪拌し、分液することにより有機層を得た。この水洗の操作を5回行った。得られた有機層を濃縮し、濃縮マスをカラム(シリカゲル60N(球状、中性)100-210μm;関東化学(株)製、展開溶媒:酢酸エチル)分取することにより、式(I-27-c)で表される化合物3.40部を得た。
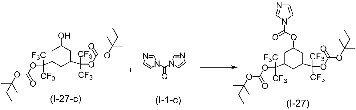
式(I-27-c)で表される化合物3.31部、アセトニトリル35部及び式(I-1-c)で表される化合物0.89部を混合し、23℃で18時間攪拌した。得られた混合物に、クロロホルム80部及びイオン交換水40部を加え、23℃で30分間攪拌し、分液することにより有機層を得た。得られた有機層に、イオン交換水40部を加え、23℃で30分間攪拌し、分液することにより有機層を得た。この水洗の操作を5回行った。得られた有機層を濃縮することにより、式(I-27)で表される化合物3.69部を得た。
MASS(ESI(+)Spectrum):755.2 [M+H]+
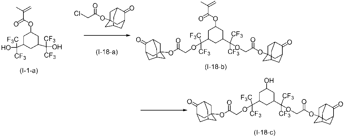
式(I-1-a)で表される化合物5.00部、ジメチルホルムアミド30部、トリエチルアミン2.22部及びヨウ化カリウム1.00部を混合し、23℃で30分間攪拌した後、5℃まで冷却した。得られた混合物に、式(I-18-a)で表される化合物7.29部を加え、5℃で30分間攪拌した後、さらに、23℃で8時間撹拌した。得られた混合物に、クロロホルム80部及びイオン交換水40部を加え、23℃で30分間攪拌し、分液することにより有機層を得た。得られた有機層に、イオン交換水40部を加え、23℃で30分間攪拌し、分液することにより有機層を得た。この水洗の操作を5回行った。得られた有機層を濃縮した後、濃縮残渣に、メタノール40部及び10%水酸化ナトリウム水溶液4.00部を混合し、23℃で18時間攪拌した。得られた混合物に、クロロホルム50部及びイオン交換水25部を加え、23℃で30分間攪拌し、分液することにより有機層を得た。得られた有機層に、イオン交換水25部を加え、23℃で30分間攪拌し、分液することにより有機層を得た。この水洗の操作を5回行った。得られた有機層を濃縮し、濃縮マスをカラム(シリカゲル60N(球状、中性)100-210μm;関東化学(株)製、展開溶媒:酢酸エチル)分取することにより、式(I-18-c)で表される化合物4.29部を得た。
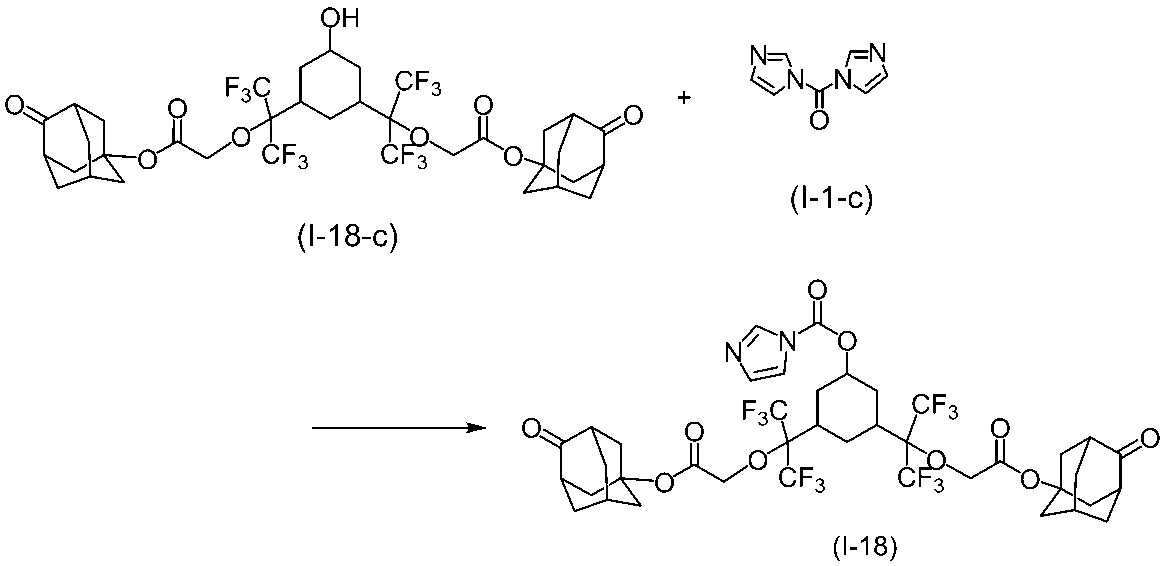
式(I-18-c)で表される化合物4.23部、アセトニトリル35部及び式(I-1-c)で表される化合物0.89部を混合し、23℃で18時間攪拌した。得られた混合物に、クロロホルム80部及びイオン交換水40部を加え、23℃で30分間攪拌し、分液することにより有機層を得た。得られた有機層に、イオン交換水40部を加え、23℃で30分間攪拌し、分液することにより有機層を得た。この水洗の操作を5回行った。得られた有機層を濃縮することにより、式(I-18)で表される化合物4.13部を得た。
MASS(ESI(+)Spectrum):939.3 [M+H]+
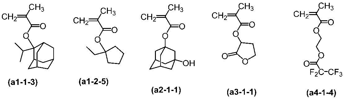
モノマーとして、モノマー(a1-1-3)、モノマー(a1-2-5)、モノマー(a2-1-1)及びモノマー(a3-1-1)を用い、そのモル比〔モノマー(a1-1-3):モノマー(a1-2-9):モノマー(a2-1-1):モノマー(a3-1-1)〕が14:45:2.5:38.5となるように混合し、全モノマー量の1.5質量倍のプロピレングリコールモノメチルエーテルアセテートを加えて溶液とした。この溶液に、開始剤としてアゾビスイソブチロニトリル及びアゾビス(2,4-ジメチルバレロニトリル)を全モノマー量に対して各々、1mol%及び3mol%添加し、これらを73℃で約5時間加熱した。得られた反応混合物を、大量のメタノール/水混合溶媒に注いで樹脂を沈殿させ、この樹脂をろ過した。得られた樹脂を再び、プロピレングリコールモノメチルエーテルアセテートに溶解させて得られる溶解液をメタノール/水混合溶媒に注いで樹脂を沈殿させ、この樹脂をろ過するという再沈殿操作を2回行い、重量平均分子量7.9×103の樹脂A1を収率88%で得た。この樹脂A1は、以下の構造単位を有するものである。
モノマーとして、モノマー(a4-1-4)を用い、全モノマー量の1.5質量倍のメチルイソブチルケトンを加えて溶液とした。この溶液に、開始剤としてアゾビスイソブチロニトリル及びアゾビス(2,4-ジメチルバレロニトリル)を全モノマー量に対して各々、0.7mol%及び2.1mol%添加し、これらを75℃で約5時間加熱した。得られた反応混合物を、大量のメタノール/水混合溶媒に注いで樹脂を沈殿させ、この樹脂をろ過し、重量平均分子量1.7×104の樹脂X1を収率77%で得た。この樹脂X1は、以下の構造単位を有するものである。
A1、X1:樹脂A1、樹脂X1
<酸発生剤>
B1-21:式(B1-21)で表される塩(特開2012-224611号公報の実施例に従って合成)
B1-22:式(B1-22)で表される塩(特開2012-224611号公報の実施例に従って合成)
<クエンチャー(C)>
クエンチャーC1:(特開2012-8553号公報の実施例に従って合成)
クエンチャーC2:(特開2012-8553号公報の実施例に従って合成)
<溶剤>
プロピレングリコールモノメチルエーテルアセテート 265部
プロピレングリコールモノメチルエーテル 20部
2-ヘプタノン 20部
γ-ブチロラクトン 3.5部
12インチのシリコンウェハ上に、有機反射防止膜用組成物[ARC-29;日産化学(株)製]を塗布して、205℃、60秒の条件でベークすることによって、厚さ78nmの有機反射防止膜を形成した。次いで、前記の有機反射防止膜の上に、上記のレジスト組成物を乾燥(プリベーク)後の組成物層の膜厚が170nmとなるようにスピンコートした。塗布後、このシリコンウェハをダイレクトホットプレート上にて、表1の「PB」欄に記載された温度で60秒間プリベークして、シリコンウェハ上に組成物層を形成した。
シリコンウェハ上に形成された組成物層に、液浸露光用ArFエキシマレーザステッパー[XT:1900Gi;ASML社製、NA=0.93、Conventional σ=0.5]で、スペースパターン(ピッチ240nm/スペース幅90nm)を形成するためのマスクを用いて、露光量を段階的に変化させて露光した。なお、液浸媒体としては超純水を使用した。
露光後、ホットプレート上にて、表1の「PEB」欄に記載された温度で60秒間ポストエキスポジャーベークを行った。次いで、このシリコンウェハ上の組成物層を、現像液として2.38%テトラメチルアンモニウムヒドロキシド水溶液を用いて、23℃で60秒間のパドル現像を行うことにより、レジストパターンを製造した。
実効感度において、フォーカスを段階的に変化させて露光する以外は上記と同様の操作を行ってレジストパターンを製造した。得られたレジストパターンにおいて、スペースパターンの幅が90nm±5%(85.5~94.5nm)となるフォーカス範囲をDOF(nm)とした。結果を表2に示す。
Claims (6)
- 酸不安定基を有する構造単位を含む樹脂と、フッ素原子を有する構造単位を含む樹脂と、酸発生剤と、式(I)で表される化合物とを含有するレジスト組成物。
[式(I)中、
L1は、単結合又は炭素数1~18の2価の炭化水素基を表し、該炭化水素基に含まれる-CH2-は、-O-、-S-、-S(O)2-又は-CO-に置き換わっていてもよい。
W1は、炭素数3~24の炭化水素環を表し、該炭化水素環に含まれる-CH2-は、-O-、-S-、-S(O)2-又は-CO-に置き換わっていてもよい。
nは、1~3のいずれかの整数を表す。
R1及びR2は、それぞれ独立に、炭素数1~6のフッ素化アルキル基を表す。
R3は、水素原子又は置換基を有していてもよい炭素数1~18の炭化水素基を表し、該炭化水素基に含まれる-CH2-は、-O-、-S-、-S(O)2-又は-CO-に置き換わっていてもよい。
nが2又は3の時、複数のR1、R2及びR3は、同じでも異なっていてもよい。] - R1及びR2が、トリフルオロメチル基である請求項1記載のレジスト組成物。
- R3が、水素原子又は置換基を有していてもよい炭素数1~18の炭化水素基を表し、該炭化水素基に含まれる少なくとも1つの-CH2-は、-O-又は-CO-に置き換わっている請求項1又は2記載のレジスト組成物。
- W1が、単環式の飽和炭化水素環である請求項1~3のいずれかに記載のレジスト組成物。
- 酸発生剤が、式(B1)で表される塩である請求項1~4のいずれかに記載のレジスト組成物。
[式(B1)中、
Qb1及びQb2は、それぞれ独立に、フッ素原子又は炭素数1~6のペルフルオロアルキル基を表す。
Lb1は、炭素数1~24の飽和炭化水素基を表し、該飽和炭化水素基に含まれる-CH2-は、-O-又は-CO-に置き換わっていてもよく、該飽和炭化水素基に含まれる水素原子は、フッ素原子又はヒドロキシ基で置換されていてもよい。
Yは、置換基を有していてもよいメチル基又は置換基を有していてもよい炭素数3~18の脂環式炭化水素基を表し、該脂環式炭化水素基に含まれる-CH2-は、-O-、-SO2-又は-CO-に置き換わっていてもよい。
Z+は、有機カチオンを表す。] - (1)請求項1~5のいずれかに記載のレジスト組成物を基板上に塗布する工程、
(2)塗布後の組成物を乾燥させて組成物層を形成する工程、
(3)組成物層に露光する工程、
(4)露光後の組成物層を加熱する工程、及び
(5)加熱後の組成物層を現像する工程、
を含むレジストパターンの製造方法。
Priority Applications (1)
| Application Number | Priority Date | Filing Date | Title |
|---|---|---|---|
| JP2022205381A JP7414945B2 (ja) | 2018-01-18 | 2022-12-22 | 化合物 |
Applications Claiming Priority (2)
| Application Number | Priority Date | Filing Date | Title |
|---|---|---|---|
| JP2018006203 | 2018-01-18 | ||
| JP2018006203 | 2018-01-18 |
Related Child Applications (1)
| Application Number | Title | Priority Date | Filing Date |
|---|---|---|---|
| JP2022205381A Division JP7414945B2 (ja) | 2018-01-18 | 2022-12-22 | 化合物 |
Publications (2)
| Publication Number | Publication Date |
|---|---|
| JP2019124941A JP2019124941A (ja) | 2019-07-25 |
| JP7217154B2 true JP7217154B2 (ja) | 2023-02-02 |
Family
ID=67398811
Family Applications (2)
| Application Number | Title | Priority Date | Filing Date |
|---|---|---|---|
| JP2019005336A Active JP7217154B2 (ja) | 2018-01-18 | 2019-01-16 | レジスト組成物及びレジストパターンの製造方法 |
| JP2022205381A Active JP7414945B2 (ja) | 2018-01-18 | 2022-12-22 | 化合物 |
Family Applications After (1)
| Application Number | Title | Priority Date | Filing Date |
|---|---|---|---|
| JP2022205381A Active JP7414945B2 (ja) | 2018-01-18 | 2022-12-22 | 化合物 |
Country Status (1)
| Country | Link |
|---|---|
| JP (2) | JP7217154B2 (ja) |
Families Citing this family (1)
| Publication number | Priority date | Publication date | Assignee | Title |
|---|---|---|---|---|
| US11809077B2 (en) | 2020-07-30 | 2023-11-07 | Rohm And Haas Electronic Materials Llc | Photoresist compositions and pattern formation methods |
Citations (5)
| Publication number | Priority date | Publication date | Assignee | Title |
|---|---|---|---|---|
| JP2003107706A (ja) | 2001-09-27 | 2003-04-09 | Shin Etsu Chem Co Ltd | 化学増幅レジスト材料及びパターン形成方法 |
| JP2012008553A (ja) | 2010-05-27 | 2012-01-12 | Sumitomo Chemical Co Ltd | レジスト組成物及びレジストパターンの製造方法 |
| JP2012067080A (ja) | 2010-08-26 | 2012-04-05 | Shin-Etsu Chemical Co Ltd | 含窒素有機化合物、ポジ型化学増幅レジスト材料及びパターン形成方法 |
| JP2012226335A (ja) | 2011-04-07 | 2012-11-15 | Sumitomo Chemical Co Ltd | レジスト組成物及びレジストパターンの製造方法 |
| JP2014115622A (ja) | 2012-11-15 | 2014-06-26 | Sumitomo Chemical Co Ltd | レジスト組成物及びレジストパターンの製造方法 |
Family Cites Families (2)
| Publication number | Priority date | Publication date | Assignee | Title |
|---|---|---|---|---|
| JP2013242397A (ja) | 2012-05-18 | 2013-12-05 | Fujifilm Corp | ネガ型パターン形成方法、電子デバイスの製造方法、電子デバイス及び感活性光線性又は感放射線性樹脂組成物 |
| JP7066567B2 (ja) * | 2017-08-18 | 2022-05-13 | 住友化学株式会社 | 化合物、レジスト組成物及びレジストパターンの製造方法 |
-
2019
- 2019-01-16 JP JP2019005336A patent/JP7217154B2/ja active Active
-
2022
- 2022-12-22 JP JP2022205381A patent/JP7414945B2/ja active Active
Patent Citations (5)
| Publication number | Priority date | Publication date | Assignee | Title |
|---|---|---|---|---|
| JP2003107706A (ja) | 2001-09-27 | 2003-04-09 | Shin Etsu Chem Co Ltd | 化学増幅レジスト材料及びパターン形成方法 |
| JP2012008553A (ja) | 2010-05-27 | 2012-01-12 | Sumitomo Chemical Co Ltd | レジスト組成物及びレジストパターンの製造方法 |
| JP2012067080A (ja) | 2010-08-26 | 2012-04-05 | Shin-Etsu Chemical Co Ltd | 含窒素有機化合物、ポジ型化学増幅レジスト材料及びパターン形成方法 |
| JP2012226335A (ja) | 2011-04-07 | 2012-11-15 | Sumitomo Chemical Co Ltd | レジスト組成物及びレジストパターンの製造方法 |
| JP2014115622A (ja) | 2012-11-15 | 2014-06-26 | Sumitomo Chemical Co Ltd | レジスト組成物及びレジストパターンの製造方法 |
Also Published As
| Publication number | Publication date |
|---|---|
| JP2023033318A (ja) | 2023-03-10 |
| JP2019124941A (ja) | 2019-07-25 |
| JP7414945B2 (ja) | 2024-01-16 |
Similar Documents
| Publication | Publication Date | Title |
|---|---|---|
| JP7190968B2 (ja) | 化合物、樹脂、レジスト組成物及びレジストパターンの製造方法 | |
| JP7414407B2 (ja) | カルボン酸塩、カルボン酸発生剤、レジスト組成物及びレジストパターンの製造方法 | |
| JP7389622B2 (ja) | 塩、クエンチャー、レジスト組成物及びレジストパターンの製造方法 | |
| JP7269750B2 (ja) | 化合物、レジスト組成物及びレジストパターンの製造方法 | |
| JP7240068B2 (ja) | カルボン酸塩、カルボン酸発生剤、樹脂、レジスト組成物及びレジストパターンの製造方法 | |
| JP7129272B2 (ja) | 化合物、レジスト組成物及びレジストパターンの製造方法 | |
| JP2023100659A (ja) | 塩 | |
| JP7115914B2 (ja) | レジスト組成物及びレジストパターンの製造方法 | |
| JP7409844B2 (ja) | カルボン酸塩、カルボン酸発生剤、レジスト組成物及びレジストパターンの製造方法 | |
| JP7284658B2 (ja) | レジスト組成物及びレジストパターンの製造方法 | |
| JP7269093B2 (ja) | 塩、酸発生剤、レジスト組成物及びレジストパターンの製造方法 | |
| JP7233959B2 (ja) | 塩、レジスト組成物及びレジストパターンの製造方法 | |
| JP7233871B2 (ja) | 化合物、樹脂、レジスト組成物及びレジストパターンの製造方法 | |
| JP7114394B2 (ja) | 化合物、レジスト組成物及びレジストパターンの製造方法 | |
| JP7158946B2 (ja) | 樹脂、レジスト組成物及びレジストパターンの製造方法 | |
| JP7414945B2 (ja) | 化合物 | |
| JP7193021B2 (ja) | レジスト組成物及びレジストパターンの製造方法 | |
| JP7234059B2 (ja) | 化合物、レジスト組成物及びレジストパターンの製造方法 | |
| JP7190966B2 (ja) | 塩、酸発生剤、レジスト組成物及びレジストパターンの製造方法 | |
| JP7261654B2 (ja) | 化合物、樹脂、レジスト組成物及びレジストパターンの製造方法 | |
| JP7133391B2 (ja) | 化合物、レジスト組成物及びレジストパターンの製造方法 | |
| JP7167539B2 (ja) | 化合物、樹脂、レジスト組成物及びレジストパターンの製造方法 | |
| JP7215015B2 (ja) | 化合物、樹脂、レジスト組成物及びレジストパターンの製造方法 | |
| JP7210894B2 (ja) | 塩、酸発生剤、レジスト組成物及びレジストパターンの製造方法 | |
| JP7264764B2 (ja) | 化合物、樹脂、レジスト組成物及びレジストパターンの製造方法 |
Legal Events
| Date | Code | Title | Description |
|---|---|---|---|
| A621 | Written request for application examination |
Free format text: JAPANESE INTERMEDIATE CODE: A621 Effective date: 20211201 |
|
| A977 | Report on retrieval |
Free format text: JAPANESE INTERMEDIATE CODE: A971007 Effective date: 20221019 |
|
| A131 | Notification of reasons for refusal |
Free format text: JAPANESE INTERMEDIATE CODE: A131 Effective date: 20221101 |
|
| A521 | Request for written amendment filed |
Free format text: JAPANESE INTERMEDIATE CODE: A523 Effective date: 20221222 |
|
| TRDD | Decision of grant or rejection written | ||
| A01 | Written decision to grant a patent or to grant a registration (utility model) |
Free format text: JAPANESE INTERMEDIATE CODE: A01 Effective date: 20230117 |
|
| A61 | First payment of annual fees (during grant procedure) |
Free format text: JAPANESE INTERMEDIATE CODE: A61 Effective date: 20230123 |
|
| R150 | Certificate of patent or registration of utility model |
Ref document number: 7217154 Country of ref document: JP Free format text: JAPANESE INTERMEDIATE CODE: R150 |































































































































