JP7154518B1 - RESONATOR OF COUPLED RESONANCE WIRELESS POWER TRANSMISSION SYSTEM AND COUPLED RESONANCE WIRELESS POWER TRANSFER SYSTEM - Google Patents
RESONATOR OF COUPLED RESONANCE WIRELESS POWER TRANSMISSION SYSTEM AND COUPLED RESONANCE WIRELESS POWER TRANSFER SYSTEM Download PDFInfo
- Publication number
- JP7154518B1 JP7154518B1 JP2022038530A JP2022038530A JP7154518B1 JP 7154518 B1 JP7154518 B1 JP 7154518B1 JP 2022038530 A JP2022038530 A JP 2022038530A JP 2022038530 A JP2022038530 A JP 2022038530A JP 7154518 B1 JP7154518 B1 JP 7154518B1
- Authority
- JP
- Japan
- Prior art keywords
- capacitor
- resonator
- power transmission
- split
- split capacitor
- Prior art date
- Legal status (The legal status is an assumption and is not a legal conclusion. Google has not performed a legal analysis and makes no representation as to the accuracy of the status listed.)
- Active
Links
Images
Landscapes
- Filters And Equalizers (AREA)
Abstract
【課題】より簡易な手法で、適正な電力値の送電を可能とする結合共振型無線電力伝送システムの共振器を提供すること。【解決手段】結合共振型無線電力伝送システムに適用される共振器であって、キャパシタは、コイルに対して並列に接続された第1分割キャパシタと第2分割キャパシタとからなるnセットの分割キャパシタ対を有し、前記第1分割キャパシタの容量値と前記第2分割キャパシタの容量値の和は、前記nセットの分割キャパシタ対の各分割キャパシタ対で同一であり、前記第1分割キャパシタの容量値と前記第2分割キャパシタの容量値の比は、前記nセットの分割キャパシタ対の各分割キャパシタ対で互いに異なっており、前記第1スイッチと前記第2スイッチとは、前記nセットの分割キャパシタ対のいずれか一つが前記コイルと前記電源又は前記負荷とに接続するように動作する共振器。【選択図】図5An object of the present invention is to provide a resonator for a coupled resonance type wireless power transmission system that enables transmission of an appropriate power value by a simpler method. Kind Code: A1 A resonator applied to a coupled resonance type wireless power transmission system, wherein n sets of divided capacitors including a first divided capacitor and a second divided capacitor connected in parallel to a coil are provided. pairs, the sum of the capacitance value of the first split capacitor and the capacitance value of the second split capacitor is the same in each split capacitor pair of the n sets of split capacitor pairs, and the capacitance of the first split capacitor and the ratio of the capacitance value of the second splitting capacitor is different for each splitting capacitor pair of the n sets of splitting capacitor pairs, and the first switch and the second switch are connected to the n sets of splitting capacitors. A resonator operable to connect either one of a pair to said coil and said power supply or said load. [Selection drawing] Fig. 5
Description
本開示は、結合共振型無線電力伝送システムの共振器、及び結合共振型無線電力伝送システムに関する。 TECHNICAL FIELD The present disclosure relates to a resonator of a coupled resonance type wireless power transmission system and a coupled resonance type wireless power transmission system.
近年、コイルとキャパシタと組み合わせて構成した同一の共振周波数を有する共振器を設け、2つの共振器を電磁的に共鳴させることで遠距離送電を可能とする結合共振型無線電力伝送システム(以下、「無線電力伝送システム」と略称する)が注目されている。 In recent years, a coupled resonance type wireless power transmission system (hereafter referred to as (abbreviated as "wireless power transmission system") is attracting attention.
図1は、無線電力伝送システム(ここでは、直列共振回路を用いた無線電力伝送システム)の概念図である。図1では、左側に送電装置UA、右側に受電装置UBを描いている。送電装置UAは、コイル1とキャパシタ3とで構成される共振器と、当該共振器に対して交流電力を送出する電源5と、を有する。又、受電装置UBは、コイル2とキャパシタ4とで構成される共振器と、当該共振器から交流電力を取得する負荷6と、を有する。
FIG. 1 is a conceptual diagram of a wireless power transmission system (here, a wireless power transmission system using a series resonance circuit). In FIG. 1, the power transmitting device UA is drawn on the left side, and the power receiving device UB is drawn on the right side. The power transmission device UA has a resonator composed of a
この方式では、共鳴を用いているために条件が整えばコイルサイズの数倍の長距離でも電力が送れると言われている。しかしながら、実際には、2つの共振器間で電磁的に共鳴させるための調整が難しく、安定して高効率伝送を行うことはできていない。その大きな原因は、非接触給電では送受電器間の距離が固定されておらず、その変動のために共振器間の結合係数が変化してしまうことである。 Because this method uses resonance, it is said that power can be transmitted over long distances several times the size of the coil if the conditions are met. However, in practice, it is difficult to make adjustments for electromagnetic resonance between the two resonators, and stable, high-efficiency transmission cannot be performed. The main reason for this is that the distance between the transmitter and receiver is not fixed in contactless power supply, and the coupling coefficient between the resonators changes due to the fluctuation of the distance.
結合係数の変化により、共振器間の伝送特性がどのように変わるかについては非特許文献1に詳しく記載されている。そこでは、共振器の外部Qを結合係数に合わせて変化させることが必要であることが述べられている。
Non-Patent
尚、一般に使われる共振器のQ値は、負荷が接続されていない状態でのQ値で無負荷Qと称される。この無負荷Qは、共振器の特性インピーダンスとコイルの内部抵抗の比である。一方、共振器に信号を入力したり取り出すために接続する電源や負荷のインピーダンスによるQ値は、外部Qと称される。 Incidentally, the Q value of a commonly used resonator is the Q value when no load is connected, and is called unloaded Q. This unloaded Q is the ratio of the characteristic impedance of the resonator and the internal resistance of the coil. On the other hand, the Q value due to the impedance of the power source or load connected to input or output a signal to or from the resonator is called the external Q.
共振器の外部Qは、一般に、共振器の持つ固有インピーダンスとそれに接続される負荷や電源のインピーダンスの比で決まる。但し、共振器を構成するコイルの大きさや構造は、用途や送電距離などで決まり、コイルそのものは、機械的な構成物であるため、そのインダクタンス値を任意に変更することは困難である。又、共振器の共振周波数は、コイルのインダクタンスとキャパシタの容量で決まるが、共振器の共振周波数を変更することは、回路部品のインピーダンス特性による制約や電波法上の制約などを含め難しく、結果的にキャパシタの容量を自由に変えることもできない。又、負荷のインピーダンスは、用途によってほぼ決められてしまう。又、電源のインピーダンスは、電源電圧と所望の電力量から決められてしまう。 The external Q of a resonator is generally determined by the ratio of the intrinsic impedance of the resonator and the impedance of the load or power source connected thereto. However, the size and structure of the coil that constitutes the resonator is determined by the application, power transmission distance, etc., and since the coil itself is a mechanical component, it is difficult to arbitrarily change its inductance value. In addition, the resonance frequency of the resonator is determined by the inductance of the coil and the capacitance of the capacitor. In principle, the capacitance of the capacitor cannot be freely changed. Moreover, the impedance of the load is almost determined by the application. Also, the impedance of the power supply is determined by the power supply voltage and the desired amount of power.
このように、従来技術に係る無線電力伝送システムでは、外部Qを変更できる要素は限られており、高効率な共鳴送電を、k値が変動する中で実現し、維持することは困難であった。 Thus, in the wireless power transmission system according to the conventional technology, the elements that can change the external Q are limited, and it is difficult to realize and maintain highly efficient resonant power transmission while the k value fluctuates. rice field.
本願の発明者は、従来技術に係る無線電力伝送システムの上記問題点を鋭意検討し、LC共振器(以下、「共振器」と略称する)の外部Qを調整する方法として、共振器を構成するキャパシタを分割して、その分割点に給電する方法が有効であることを見出した(後述する図3(c)及び図3(d)を参照)。かかる給電方法によれば、共振器に接続される電源や負荷のインピーダンスを一定にしたまま、外部Qを自由に調整することが可能となる。詳細には、本願の出願人の先願である特許文献1を参照されたい。
The inventors of the present application have diligently studied the above-mentioned problems of the wireless power transmission system according to the prior art, and configured a resonator as a method of adjusting the external Q of an LC resonator (hereinafter abbreviated as "resonator"). It has been found that it is effective to divide the capacitor to divide the voltage and supply power to the divided points (see FIGS. 3(c) and 3(d) described later). According to such a power supply method, it is possible to freely adjust the external Q while keeping constant the impedance of the power supply and the load connected to the resonator. For details, see
加えて、本願の発明者は、特許文献1の中で、そのキャパシタの構造として、図2に示すような可変キャパシタ(ここでは、直列共振器に用いる可変キャパシタ)が有効であることを示した。
In addition, the inventor of the present application has shown in
この可変キャパシタは、電気的に互いに分離され、同じ向きを向くように並んで配設された第1固定電極E1及び第2固定電極E2と、第1固定電極E1及び第2固定電極E2それぞれに対向するように、第1固定電極E1及び第2固定電極E2それぞれとの間の距離を一定に保ちながら、第1固定電極E1と第2固定電極E2とが並ぶ方向に沿って移動可能に配設された可動電極E3と、を有する。そして、一方の分割キャパシタは、第1固定電極E1と可動電極E3との間で構成され、他方の分割キャパシタは、第2固定電極E2と可動電極E3との間で構成されている。そして、この可変キャパシタは、可動電極E3を移動させたときに、第1固定電極E1と可動電極E3とが対向する面積と第2固定電極E2と可動電極E3とが対向する面積との和が一定となるように構成されている。 The variable capacitors are electrically separated from each other and arranged side by side to face the same direction as the first fixed electrode E1 and the second fixed electrode E2, and the first fixed electrode E1 and the second fixed electrode E2. While maintaining a constant distance between each of the first fixed electrode E1 and the second fixed electrode E2 so as to face each other, the first fixed electrode E1 and the second fixed electrode E2 are arranged so as to be movable along the direction in which the first fixed electrode E1 and the second fixed electrode E2 are arranged. and a movable electrode E3 provided. One divided capacitor is formed between the first fixed electrode E1 and the movable electrode E3, and the other divided capacitor is formed between the second fixed electrode E2 and the movable electrode E3. In this variable capacitor, when the movable electrode E3 is moved, the sum of the area where the first fixed electrode E1 and the movable electrode E3 face each other and the area where the second fixed electrode E2 and the movable electrode E3 face each other is configured to be constant.
かかるキャパシタ構造を用いることで、2つの分割キャパシタの並列合成容量を一定にしたまま、その容量値の比を調整することが可能である。これによって、共振周波数を一定に保ちながら、共振器の外部Qを調整することが可能となる。 By using such a capacitor structure, it is possible to adjust the ratio of the capacitance values while keeping the parallel combined capacitance of the two divided capacitors constant. This makes it possible to adjust the external Q of the resonator while keeping the resonant frequency constant.
図2のようなキャパシタを実現する一態様としては、例えば、バリコンと称される機械的な回転を用いるキャパシタがある。原理的には、バリコンの回転角調整によって、外部Qを調整することは可能であるが、実際には、外部Qは、バリコンの回転角の僅かな変化で大きく変動してしまい、外部Qの調整作業は、極めて困難である。そして、結果として、適正な外部Qを確保又は維持することができず、送電側から受電側に対して適正な電力値の送電を実施することができないおそれがあった。 One aspect of realizing the capacitor as shown in FIG. 2 is, for example, a capacitor using mechanical rotation called a variable capacitor. In principle, it is possible to adjust the external Q by adjusting the rotation angle of the variable capacitor. Adjustment work is extremely difficult. As a result, a proper external Q cannot be ensured or maintained, and there is a possibility that a proper power value cannot be transmitted from the power transmission side to the power reception side.
本開示は、上記問題点に鑑みてなされたもので、より簡易な手法で、適正な電力値の送電を可能とする結合共振型無線電力伝送システムの共振器、及び結合共振型無線電力伝送システムを提供することを目的とする。 The present disclosure has been made in view of the above problems, and a resonator of a coupled resonance type wireless power transmission system that enables transmission of an appropriate power value with a simpler method, and a coupled resonance type wireless power transmission system. intended to provide
前述した課題を解決する主たる本開示は、
結合共振型無線電力伝送システムに適用される共振器であって、
直列共振回路を構成するキャパシタとコイルとを有し、
前記キャパシタは、前記コイルに対して並列に接続された第1分割キャパシタと第2分割キャパシタとからなるn(但し、nは2以上の正の整数)セットの分割キャパシタ対を有し、
前記第1分割キャパシタの容量値と前記第2分割キャパシタの容量値の和は、前記nセットの分割キャパシタ対の各分割キャパシタ対で同一であり、
前記第1分割キャパシタの容量値と前記第2分割キャパシタの容量値の比は、前記nセットの分割キャパシタ対の各分割キャパシタ対で互いに異なっており、
前記第1分割キャパシタと前記第2分割キャパシタの容量分割点は、第1スイッチを介して前記コイルの一端に接続され、
前記第2分割キャパシタの他端は、第2スイッチを介して電源又は負荷の他端に接続され、
前記第1分割キャパシタの他端は、前記コイルの他端と前記電源又は前記負荷の他端の接続点に接続され、
前記第1スイッチと前記第2スイッチとは、前記nセットの分割キャパシタ対のいずれか一つが前記コイルと前記電源又は前記負荷とに接続するように動作する、
共振器である。
The main disclosure that solves the above-mentioned problems is
A resonator applied to a coupled resonance type wireless power transmission system,
having a capacitor and a coil that form a series resonance circuit,
The capacitor has n (where n is a positive integer equal to or greater than 2) sets of divided capacitor pairs each consisting of a first divided capacitor and a second divided capacitor connected in parallel to the coil,
the sum of the capacitance value of the first split capacitor and the capacitance value of the second split capacitor is the same for each split capacitor pair of the n sets of split capacitor pairs;
the ratio of the capacitance value of the first split capacitor to the capacitance value of the second split capacitor is different for each split capacitor pair of the n sets of split capacitor pairs;
a capacitance dividing point of the first divided capacitor and the second divided capacitor is connected to one end of the coil via a first switch;
the other end of the second dividing capacitor is connected to the other end of the power supply or the load via a second switch;
the other end of the first split capacitor is connected to a connection point between the other end of the coil and the other end of the power supply or the load;
the first switch and the second switch operate to connect any one of the n sets of divided capacitor pairs to the coil and the power supply or the load;
It is a resonator.
又、結合共振型無線電力伝送システムに適用される共振器であって、
並列共振回路を構成するキャパシタとコイルとを有し、
前記キャパシタは、前記コイルに対して直列に接続された第3分割キャパシタと第4分割キャパシタとからなるn(但し、nは2以上の正の整数)セットの分割キャパシタ対を有し、
前記第3分割キャパシタの容量値の逆数と前記第4分割キャパシタの容量値の逆数の和は、前記nセットの分割キャパシタ対の各分割キャパシタ対で同一であり、
前記第3分割キャパシタの容量値と前記第4分割キャパシタの容量値の比は、前記nセットの分割キャパシタ対の各分割キャパシタ対で互いに異なっており、
前記第3分割キャパシタと前記第4分割キャパシタの容量分割点は、第4スイッチを介して電源又は負荷の他端に接続され、
前記第3分割キャパシタの他端は、第3スイッチを介して前記コイルの一端に接続され、
前記第4分割キャパシタの他端は、前記コイルの他端と前記電源又は前記負荷の他端の接続点に接続され、
前記第3スイッチと前記第4スイッチとは、前記nセットの分割キャパシタ対のいずれか一つが前記コイルと前記電源又は前記負荷とに接続するように動作する、
共振器である。
Also, a resonator applied to a coupled resonance type wireless power transmission system,
having a capacitor and a coil that form a parallel resonant circuit,
The capacitor has n (where n is a positive integer equal to or greater than 2) sets of divided capacitor pairs, each of which consists of a third divided capacitor and a fourth divided capacitor connected in series to the coil,
the sum of the reciprocal of the capacitance value of the third split capacitor and the reciprocal of the capacitance value of the fourth split capacitor is the same for each split capacitor pair of the n sets of split capacitor pairs;
the ratio of the capacitance value of the third split capacitor to the capacitance value of the fourth split capacitor is different for each split capacitor pair of the n sets of split capacitor pairs;
a capacitance dividing point of the third divided capacitor and the fourth divided capacitor is connected to the other end of the power supply or the load via a fourth switch;
the other end of the third dividing capacitor is connected to one end of the coil via a third switch;
the other end of the fourth split capacitor is connected to a connection point between the other end of the coil and the other end of the power source or the load;
the third switch and the fourth switch operate to connect any one of the n sets of divided capacitor pairs to the coil and the power source or the load;
It is a resonator.
本開示に係る結合共振型無線電力伝送システムの共振器によれば、より簡易な手法で、適正な電力値の送電が可能である。 According to the resonator of the coupled resonance type wireless power transmission system according to the present disclosure, it is possible to transmit an appropriate power value with a simpler method.
以下に添付図面を参照しながら、本開示の好適な実施形態について詳細に説明する。 Preferred embodiments of the present disclosure will be described in detail below with reference to the accompanying drawings.
[無線電力伝送システムの概略構成]
本開示の一実施形態に係る無線電力伝送システムは、図1に示した無線電力伝送システムと同様に、送電装置UA及び受電装置UBそれぞれに、コイルとキャパシタと組み合わせて構成した同一の共振周波数を有する共振器を設け、2つの共振器を共鳴させることで遠距離送電を可能とする結合共振型無線電力伝送システムである。
[Schematic configuration of wireless power transmission system]
A wireless power transmission system according to an embodiment of the present disclosure, similarly to the wireless power transmission system shown in FIG. This is a coupled resonance type wireless power transmission system that enables long-distance power transmission by providing two resonators and resonating the two resonators.
共振回路の共鳴を用いる無線送電は、機能的には電磁エネルギーを、空間を通して伝搬させるバンドパスフィルター(BPF)である。バンドパスフィルターの設計理論(例えば、非特許文献1を参照)から、両共振器の外部Qの積が、後述する式(10)に示すように結合係数の逆数の2乗なら反射は起きず、寄生抵抗による損失を除けば100%の伝送が可能となる。 Wireless power transmission using resonant circuit resonance is functionally a bandpass filter (BPF) that propagates electromagnetic energy through space. From the design theory of bandpass filters (see, for example, Non-Patent Document 1), if the product of the external Q of both resonators is the square of the reciprocal of the coupling coefficient as shown in equation (10) described later, no reflection occurs. , 100% transmission is possible if loss due to parasitic resistance is excluded.
即ち、高効率な無線電力伝送を実現するためには、共振器の外部Qの調整が極めて重要である。これは、言い換えると、結合係数の変化に対応して、共振器への入力インピーダンスを一定の範囲に保つことを意味する。従来の共振器接続では結合係数が変化すれば入力インピーダンスが大幅に変化してしまい、これを調整する手段が無かった。 That is, adjustment of the external Q of the resonator is extremely important in order to realize highly efficient wireless power transmission. In other words, this means keeping the input impedance to the resonator within a certain range in response to changes in the coupling coefficient. In the conventional resonator connection, if the coupling coefficient changes, the input impedance changes significantly, and there was no means for adjusting this.
本願の発明者は、かかる課題を解決するべく、無線電力伝送システムにおいて直列共振器を用いる場合には、容量分割直列共振回路(図3(c)を参照)を採用し、そのキャパシタの分割容量比を変更する手段として、互いに異なる分割容量比を有するnセットの分割キャパシタ対を設け、システム運用時には、当該nセットの分割キャパシタ対のうちから適切な分割容量比を有する分割キャパシタ対を選択できる構成とした(図5を参照)。 In order to solve this problem, the inventor of the present application adopts a capacitance division series resonance circuit (see FIG. 3(c)) when using a series resonator in a wireless power transmission system, and divides the capacitance of the capacitor As means for changing the ratio, n sets of split capacitor pairs having different split capacitance ratios are provided, and during system operation, a split capacitor pair having an appropriate split capacitance ratio can be selected from the n sets of split capacitor pairs. (see FIG. 5).
又、無線電力伝送システムにおいて並列共振器を用いる場合には、容量分割並列共振回路(図3(d)を参照)を採用し、そのキャパシタの分割容量比を変更する手段として、互いに異なる分割容量比を有するnセットの分割キャパシタ対を設け、システム運用時には、当該nセットの分割キャパシタ対のうちから適切な分割容量比を有する分割キャパシタ対を選択できる構成とした(図6を参照)。 Further, when using a parallel resonator in a wireless power transmission system, a capacitance division parallel resonance circuit (see FIG. 3D) is adopted, and different division capacitances are used as means for changing the division capacitance ratio of the capacitor. A configuration is provided in which n sets of split capacitor pairs having a ratio are provided, and a split capacitor pair having an appropriate split capacitance ratio can be selected from among the n sets of split capacitor pairs during system operation (see FIG. 6).
かかる構成によって、共振器間の位置関係が変化した場合に起こる結合係数の変化に対して、共振器の外部Qを適正に調整し、電源から見た共振器の入力インピーダンスを一定の範囲内に維持することがスイッチの切替のみで可能となり、安定した非接触送電が可能となる。又、これにより、共鳴を用いた送電における共振器への入力インピーダンスと負荷側の出力インピーダンスの比を簡単に変更することもできる。 With such a configuration, the external Q of the resonator can be appropriately adjusted in response to a change in the coupling coefficient that occurs when the positional relationship between the resonators changes, and the input impedance of the resonator viewed from the power supply can be kept within a certain range. This can be maintained only by switching the switch, enabling stable non-contact power transmission. In addition, this makes it possible to easily change the ratio of the input impedance to the resonator and the output impedance on the load side in power transmission using resonance.
まず、本願の出願人が先願である特許文献1で示した容量分割直列共振回路(図3(c))及び容量分割並列共振回路(図3(d))の構成について、概略を説明する。
First, the configuration of the capacitance-dividing series resonant circuit (FIG. 3(c)) and the capacitance-dividing parallel resonant circuit (FIG. 3(d)) shown in
図3は、LC共振器の回路構成を示す図である。共振回路のコイルのインダクタンスをL0、容量をC0 とすると、共振器の共振周波数および共振器インピーダンスは以下のω0、ZR0となる。
この共振器に電源や負荷を接続する形態には、直列型(図3(a))と並列型(図3(b))が存在する。電源、または負荷のインピーダンスをZS0とすると、外部Qは、直列共振回路では、以下の式(3a)のように定義でき、並列共振回路では、以下の式(3b)のように定義できる。
図3(a)、図3(b)の基本的なLC共振器では、外部Qは接続する回路のインピーダンスで決まってしまう。これを調整可能とするために、直列型共振回路では図3(c)のように容量を2つの並列容量に、並列型共振器では図3(d)のように2つの直列容量に分割し、その分割点に負荷を接続する。 In the basic LC resonators of FIGS. 3(a) and 3(b), the external Q is determined by the impedance of the connected circuit. In order to make this adjustment possible, the capacitance is divided into two parallel capacitances in the series resonant circuit as shown in FIG. , connect the load to that split point.
容量分割直列共振回路のキャパシタ(図3(c))は、コイルから見て並列に2分割され、且つ、2分割されて形成された2つの分割キャパシタのうちの一方の分割キャパシタのみに、送電部としての電源又は受電部としての負荷が直列に接続された構成を有する。尚、以下では、説明の便宜として、2つの分割キャパシタのうち一方を「第1分割キャパシタ」と称し、他方を「第2分割キャパシタ」とも称する。 The capacitor (FIG. 3(c)) of the capacitance-dividing series resonant circuit is divided into two in parallel when viewed from the coil, and power is transmitted only to one of the two divided capacitors formed by dividing into two. It has a configuration in which a power source as a unit or a load as a power receiving unit is connected in series. For convenience of explanation, one of the two divided capacitors will be referred to as a "first divided capacitor" and the other as a "second divided capacitor".
又、容量分割並列共振回路に適用するキャパシタ(図3(d))は、図7Bに示したように、コイルから見て直列に2分割され、且つ、2分割されて形成された2つの分割キャパシタのうちの一方の分割キャパシタのみに、送電部としての電源又は受電部としての負荷が並列に接続された構成を有する。尚、以下では、説明の便宜として、2つの分割キャパシタのうち一方を「第3分割キャパシタ」と称し、他方を「第4分割キャパシタ」とも称する。 Also, as shown in FIG. 7B, the capacitor (FIG. 3(d)) applied to the capacitance-divided parallel resonant circuit is divided into two parts in series when viewed from the coil, and is formed by dividing into two parts. A power supply as a power transmission unit or a load as a power reception unit is connected in parallel only to one divided capacitor of the capacitors. In the following description, one of the two divided capacitors will be referred to as the "third divided capacitor" and the other as the "fourth divided capacitor" for convenience of explanation.
ここで、容量分割直列共振回路において、第1分割キャパシタと第2分割キャパシタの容量調整を行う際に、共振周波数が変わらないようにするためには、以下の式(4a)を充足する必要がある。又、容量分割並列共振回路において、第3分割キャパシタと第4分割キャパシタの容量調整を行う際に、共振周波数が変わらないようにするためには、以下の式(4b)を充足する必要がある。
ここで、容量分割直列共振回路の第1分割キャパシタと第2分割キャパシタの容量比a0を次式(5a) のように定義し、容量分割並列共振回路の第3分割キャパシタと第4分割キャパシタの容量比b0を次式(5b)のように定義する。
このようにキャパシタを分割して、分割したキャパシタの一方側に負荷や電源を接続することで、直列共振回路では、回路方程式から式(3a)においてZS0がa2ZS0に置き換わった式となるため、外部Qは近似的に以下の式(6a)のように表される。同様に、並列共振回路では、回路方程式から式(3b)においてZS0がb2ZS0に置き換わった式となるため、外部Qは近似的に以下の式(6b)のように表される。
図4は、無線電力伝送システムの構成を示す図である。図4(a)は、送電側共振器と受電側共振器がともに、一般的な直列型(S型)の共振器によって構成された態様を示しており、図4(b)は、送電側共振器と受電側共振器がともに、容量分割直列型(S型)の共振器によって構成された態様を示している。又、図4(c)は、送電側共振器と受電側共振器がともに、一般的な並列型(P型)の共振器によって構成された態様を示しており、図4(d)は、送電側共振器と受電側共振器がともに、容量分割並列型(P型)の共振器によって構成された態様を示している。 FIG. 4 is a diagram showing the configuration of a wireless power transmission system. FIG. 4(a) shows a mode in which both the power transmitting side resonator and the power receiving side resonator are configured by general series type (S type) resonators, and FIG. Both the resonator and the power-receiving-side resonator are configured by capacitance division series type (S-type) resonators. Further, FIG. 4(c) shows a mode in which both the power transmitting side resonator and the power receiving side resonator are configured by general parallel type (P type) resonators, and FIG. Both the power transmitting side resonator and the power receiving side resonator are configured by capacitance-divided parallel type (P-type) resonators.
尚、送電側共振器と受電側共振器を同じ構成にする必要は無いので、無線電力伝送システムには、4通りの構成がある。(1)S-S型;送電側受電側とも直列型、(2)S-P型;送電側直列型;受電側並列型、(3)P-S型;送電側並列型;受電側直列型、(4)P-P型;送電側受電側とも並列型、の4種である。 Note that the power transmission side resonator and the power reception side resonator do not need to have the same configuration, so there are four types of configurations for the wireless power transmission system. (1) SS type: series type on both transmitting and receiving sides, (2) SP type: series type on transmitting side: parallel type on receiving side, (3) P-S type: parallel type on transmitting side: series type on receiving side (4) PP type; parallel type on both the power transmission side and the power receiving side.
次に、S-S型の無線電力伝送システム及びP-P型の無線電力伝送システムそれぞれについて、送電側共振器と受電側共振器の共振器結合と外部Qの関係を解析する。 Next, for each of the SS type wireless power transmission system and the PP type wireless power transmission system, the relationship between the external Q and the resonator coupling between the power transmitting side resonator and the power receiving side resonator will be analyzed.
LC共振器2台を、同じ共振周波数に設定し、コイル同士を近づけて電磁的に共鳴させると、共振器間で高周波の信号伝送が行われ、その伝送特性は、共振周波数近傍でバンドパスフィルター特性となる。 When two LC resonators are set to the same resonance frequency and electromagnetically resonate by bringing the coils close to each other, a high-frequency signal is transmitted between the resonators. be a characteristic.
送電側共振器を1、受電側共振器を2とし、それぞれのコイルのインダクタンスをL1、L2、容量をC1、C2とすると、共振器の共振周波数ω0は、下記式(7)となり、共振器の特性インピーダンスZR1、ZR2は下記式(8)となる。
ここで、送電側電源のインピーダンスをZS1、受電側負荷のインピーダンスをZS2とする。共振器を用いた共鳴送電で重要な役割を果たすのは、共振器間の結合係数kである。結合係数は、回路的にはコイル間の相互インダクタンスLMで与えられ、下記式(9)のようになる。尚、この結合係数はコイル間の位置関係により0~1の間の値となる。
非特許文献1によれば、両共振器の外部Qと結合係数kの間に次式(10)の関係があれば、信号は反射無く透過する。
この関係を、各種無線電力伝送システムに適用する(即ち、式(10)の外部Qに、式(6a)又は式(6b)を代入する)。負荷のインピーダンスZS2をRLとすると、S-S型では、電源側から見た負荷側のインピーダンス(即ち、送電側の共振器入り口の入力インピーダンスを意味する。以下、「共振器入り口の入力インピーダンス」と略称する。)は、次式(11)となる。尚、式(10)の関係を充足するとき、電源から負荷までインピーダンス整合が成立しているので、インピーダンス整合条件より、送電側の共振器入り口の入力インピーダンスと電源のインピーダンスとは、等値ZS1である。
同様に、S-P型では、送電側の共振器入り口の入力インピーダンスは、次式(12)となる。
同様に、P-S型では、送電側の共振器入り口の入力インピーダンスは、次式(13)となる。
同様に、P-P型では、送電側の共振器入り口の入力インピーダンスは、次式(14)となる。
いずれも負荷にRLをつなぐと、送電側の共振器入り口の入力インピーダンスは、上記各式のZS1となり、共振器インピーダンスZR1、ZR2、結合係数kおよび容量比a、bで決まることが分かる。つまり、共振器結合は負荷と電源との間のインピーダンス変換器として機能する。 In either case, when R L is connected to the load, the input impedance at the entrance of the resonator on the power transmission side is Z S1 in each of the above equations, and is determined by the resonator impedances Z R1 and Z R2 , the coupling coefficient k, and the capacitance ratios a and b. I understand. Thus, the resonator coupling acts as an impedance transformer between the load and power source.
共鳴送電回路はインピーダンス変換回路であるが、問題はその比率が結合係数kで大きく変化することである。特に、無線電力伝送の場合、共振器の位置関係の変化により、結合係数kが大きく変化する。その結果、共振器入り口の入力インピーダンスが大きく変わってしまい、電源から取り出せる電力が減少したり、過大な電力で負荷を破壊するおそれがある。即ち、無線電力伝送において、送電電力を所定範囲内に保つためには、共振器入り口の入力インピーダンスを一定範囲内に維持する必要がある。 The resonant power transmission circuit is an impedance transformation circuit, but the problem is that its ratio changes greatly with the coupling coefficient k. In particular, in the case of wireless power transmission, the coupling coefficient k changes greatly due to changes in the positional relationship of the resonators. As a result, the input impedance at the entrance of the resonator is greatly changed, and the power that can be extracted from the power supply is reduced, and there is a risk of destroying the load due to excessive power. That is, in wireless power transmission, it is necessary to keep the input impedance at the entrance of the resonator within a certain range in order to keep the transmitted power within a predetermined range.
そこで、本実施形態に係る無線電力伝送システムでは、容量分割直列共振回路(図3(c))又は容量分割並列共振回路(図3(d))を用いることによって、容量比a、bを変化させることで、共振器入り口の入力インピーダンスを変化させ、これにより、適正な送電電力に保つ構成となっている。 Therefore, in the wireless power transmission system according to the present embodiment, the capacitance ratio a, b is changed by using a capacitance division series resonance circuit (FIG. 3(c)) or a capacitance division parallel resonance circuit (FIG. 3(d)). , the input impedance at the entrance of the resonator is changed, thereby maintaining an appropriate transmission power.
尚、共鳴送電回路のインピーダンス変換比は、式(11)~式(14)のように、共振器のインピーダンスZR1、ZR2、受電側の負荷のインピーダンスZS2などで決まる。仮に、受電側の容量比を固定すれば、S-S型の場合、式(11)から共振器の入力インピーダンスZS1は、下記式(15)のようにk値と入力側の容量比a1で表される。ここで、固定値となる部分(ZR1ZR2/RL)をZAとおいた。
P-P構成でも同様である。仮に、受電側の容量比を固定すれば、P-P型の場合、式(14)から共振器の入力インピーダンスZS1は、下記式(16)のようにk値と入力側の容量比b1で表される。
式(15)、式(16)から分かるように、適切な容量比a1、b1を用意できれば、k値の変動に対して常に一定の入力インピーダンスZS1に維持することが可能である。 As can be seen from the equations (15) and (16), if the appropriate capacitance ratios a 1 and b 1 can be prepared, it is possible to always maintain a constant input impedance Z S1 with respect to variations in the k value.
[共振器の具体的構成]
図5は、本実施形態に係る分割容量直列共振器の構成の一例を示す図(ここでは、送電側共振器を示す)である。
[Specific Configuration of Resonator]
FIG. 5 is a diagram showing an example of the configuration of the divided capacitor series resonator according to the present embodiment (here, showing the power transmission side resonator).
本実施形態に係る分割容量直列共振器は、
直列共振回路を構成するキャパシタ3とコイル1とを有し、
キャパシタ3は、コイル1に対して並列に接続された第1分割キャパシタと第2分割キャパシタとからなるn(但し、nは2以上の正の整数)セットの分割キャパシタ対31、32、33、…3nを有し、
第1分割キャパシタの容量値と第2分割キャパシタの容量値の和は、nセットの分割キャパシタ対31、32、33、…3nの各分割キャパシタ対で同一であり、
第1分割キャパシタの容量値と第2分割キャパシタの容量値の比は、nセットの分割キャパシタ対31、32、33、…3nの各分割キャパシタ対で互いに異なっており、
第1分割キャパシタと第2分割キャパシタの容量分割点は、第1スイッチ7を介してコイル1の一端に接続され、
第2分割キャパシタの他端は、第2スイッチ8を介して電源5(受電側共振器の場合には、負荷)の他端に接続され、
第1分割キャパシタの他端は、コイル1の他端と電源5(受電側共振器の場合には、負荷)の他端の接続点に接続され、
第1スイッチ7と第2スイッチ8とは、nセットの分割キャパシタ対31、32、33、…3nのいずれか一つがコイル1と電源5(受電側共振器の場合には、負荷)とに接続するように動作する、
共振器である。
The divided capacitance series resonator according to this embodiment is
having a capacitor 3 and a
The capacitor 3 includes n (where n is a positive integer equal to or greater than 2) sets of divided capacitor pairs 31, 32, 33, each of which consists of a first divided capacitor and a second divided capacitor connected in parallel to the
the sum of the capacitance value of the first split capacitor and the capacitance value of the second split capacitor is the same for each of the n sets of split capacitor pairs 31, 32, 33, . . . 3n;
The ratio of the capacitance value of the first split capacitor to the capacitance value of the second split capacitor is different for each of the n sets of split capacitor pairs 31, 32, 33, . . . 3n, and
A capacitance dividing point of the first divided capacitor and the second divided capacitor is connected to one end of the
The other end of the second dividing capacitor is connected to the other end of the power supply 5 (the load in the case of the power receiving resonator) via the
The other end of the first split capacitor is connected to the connection point of the other end of the
In the first switch 7 and the
It is a resonator.
ここで、第1分割キャパシタの容量値と第2分割キャパシタの容量値の和が、nセットの分割キャパシタ対の各分割キャパシタ対で同一としているのは、各分割キャパシタ対で共振周波数を同一とするためである。 Here, the reason why the sum of the capacitance value of the first split capacitor and the capacitance value of the second split capacitor is the same for each split capacitor pair of the n sets of split capacitor pairs is that each split capacitor pair has the same resonance frequency. It is for
又、第1分割キャパシタの容量値と第2分割キャパシタの容量値の比が、nセットの分割キャパシタ対の各分割キャパシタ対で互いに異なる構成としているのは、システム運用時に、適切なa値を有する分割キャパシタ対を選択し得るようにするためである。より具体的には、nセットの分割キャパシタ対31、32、33、…3nのうちのk番目の分割キャパシタ対は、第1分割キャパシタの容量値CAと第2分割キャパシタの容量値CBの比CB/(CA+CB)(即ち、a値)が、以下の(17)の値となるように、設定されている。
図6は、本実施形態に係る分割容量並列共振器の構成の一例を示す図(ここでは、送電側共振器を示す)である。 FIG. 6 is a diagram showing an example of the configuration of the split capacitor parallel resonator according to the present embodiment (here, showing the power transmission side resonator).
本実施形態に係る分割容量並列共振器は、
並列共振回路を構成するキャパシタ3とコイル1とを有し、
キャパシタ3は、コイル1に対して直列に接続された第3分割キャパシタと第4分割キャパシタとからなるn(但し、nは2以上の正の整数)セットの分割キャパシタ対31、32、33、…3nを有し、
第3分割キャパシタの容量値の逆数と第4分割キャパシタの容量値の逆数の和は、nセットの分割キャパシタ対31、32、33、…3nの各分割キャパシタ対で同一であり、
第3分割キャパシタの容量値と第4分割キャパシタの容量値の比は、nセットの分割キャパシタ対31、32、33、…3nの各分割キャパシタ対で互いに異なっており、
第3分割キャパシタと第4分割キャパシタの容量分割点は、第4スイッチ10を介して電源又は負荷の他端に接続され、
第3分割キャパシタの他端は、第3スイッチ9を介して前記コイルの一端に接続され、
第4分割キャパシタの他端は、コイル1の他端と電源5(受電側共振器の場合には、負荷)の他端の接続点に接続され、
第3スイッチ9と第4スイッチ10とは、nセットの分割キャパシタ対31、32、33、…3nのいずれか一つがコイル1と電源5(受電側共振器の場合には、負荷)とに接続するように動作する、
共振器である。
The divided capacitance parallel resonator according to this embodiment is
having a capacitor 3 and a
The capacitor 3 includes n (where n is a positive integer equal to or greater than 2) sets of divided capacitor pairs 31, 32, 33, each of which consists of a third divided capacitor and a fourth divided capacitor connected in series to the
The sum of the reciprocal of the capacitance value of the third split capacitor and the reciprocal of the capacitance value of the fourth split capacitor is the same for each of the n sets of split capacitor pairs 31, 32, 33, . . . 3n, and
The ratio of the capacitance value of the third split capacitor to the capacitance value of the fourth split capacitor is different for each of the n sets of split capacitor pairs 31, 32, 33, . . . 3n, and
A capacitance dividing point of the third dividing capacitor and the fourth dividing capacitor is connected to the other end of the power supply or the load through the
The other end of the third dividing capacitor is connected to one end of the coil via a third switch 9,
The other end of the fourth split capacitor is connected to the connection point of the other end of the
In the third switch 9 and the
It is a resonator.
ここで、第3分割キャパシタの容量値の逆数と第4分割キャパシタの容量値の逆数の和が、nセットの分割キャパシタ対の各分割キャパシタ対で同一としているのは、各分割キャパシタ対で共振周波数を同一とするためである。 Here, the sum of the reciprocal of the capacitance value of the third split capacitor and the reciprocal of the capacitance value of the fourth split capacitor is the same for each split capacitor pair of the n sets of split capacitor pairs because each split capacitor pair resonates. This is for making the frequencies the same.
又、第3分割キャパシタの容量値と第4分割キャパシタの容量値の比が、nセットの分割キャパシタ対の各分割キャパシタ対で互いに異なる構成としているのは、システム運用時に、適切なb値を有する分割キャパシタ対を選択し得るようにするためである。より具体的には、nセットの分割キャパシタ対31、32、33、…3nのうちのk番目の分割キャパシタ対は、第3分割キャパシタの容量値CCと第4分割キャパシタの容量値CDの比(CC+CD)/CC(即ち、b値)が、以下の式(18)の値となるように、設定されている。
尚、S-S型の無線電力伝送システムを用いる場合には、より好ましくは、送電側共振器及び受電側共振器の両方を図5に示す構成とする。又、S-P型の無線電力伝送システムを用いる場合には、より好ましくは、送電側共振器を図5に示す構成とし、受電側共振器を図6に示す構成とする。又、P-S型の無線電力伝送システムを用いる場合には、より好ましくは、送電側共振器を図6に示す構成とし、受電側共振器を図5に示す構成とする。又、P-P型の無線電力伝送システムを用いる場合には、より好ましくは、送電側共振器及び受電側共振器の両方を図6に示す構成とする。 When using an SS type wireless power transmission system, more preferably, both the power transmitting side resonator and the power receiving side resonator are configured as shown in FIG. Further, when an SP type wireless power transmission system is used, it is more preferable to configure the power transmission side resonator as shown in FIG. 5 and the power receiving side resonator as the configuration shown in FIG. Further, when using a PS type wireless power transmission system, it is more preferable to configure the power transmitting side resonator as shown in FIG. 6 and the power receiving side resonator as the configuration shown in FIG. Further, when using a PP type wireless power transmission system, more preferably, both the power transmitting side resonator and the power receiving side resonator are configured as shown in FIG.
但し、これらの無線電力伝送システムにおいて、送電側共振器及び受電側共振器の一方のみを図5又は図6に示す構成として、他方については、図3(a)又は図3(b)に示す基本的なLC共振器の構成としてもよい。 However, in these wireless power transmission systems, only one of the power transmission side resonator and the power reception side resonator is configured as shown in FIG. 5 or 6, and the other is shown in FIG. A basic LC resonator configuration may also be used.
[無線電力伝送システムの伝送特性]
図7は、本実施形態に係る分割容量直列共振器を用いたS-S型の無線電力伝送システムにおいて、容量比a1を調整することによって制御される、共振器の入力インピーダンスZS1の挙動の一例を示す図である。
[Transmission characteristics of wireless power transmission system]
FIG. 7 shows the behavior of the input impedance Z S1 of the resonator, which is controlled by adjusting the capacitance ratio a 1 in the SS type wireless power transmission system using the divided capacitance series resonator according to this embodiment. It is a figure which shows an example.
尚、図7中で、Zmin~Zmaxの間の範囲は、共振器の入力インピーダンスZS1として最適な範囲の一例である。以下、Zminを「目標下限インピーダンス値」と称し、Zmaxを「目標上限インピーダンス値」と称する。又、p1~p11は、それぞれ、異なるa1値を表している。 In FIG. 7, the range between Z min and Z max is an example of the optimum range for the input impedance Z S1 of the resonator. Hereinafter, Z min will be referred to as the "target lower limit impedance value", and Z max will be referred to as the "target upper limit impedance value". Also, p 1 to p 11 each represent a different a 1 value.
一般に、電力伝送の場合、共振器のキャパシタには大きな電圧がかかるので、当該キャパシタにバラクタなどの可変容量半導体素子を使うことはできない。そのため、共振器を構成する際には、セラミックコンデンサなど、個別のキャパシタを電気的に接続して使うことになる。又、上記したように、共振器のキャパシタとして、バリコン等を用いて、バリコンの回転角位置を調整することで容量比a1を調整することは、調整精度の観点から、実際には困難である。 Generally, in the case of power transmission, a large voltage is applied to the capacitor of the resonator, so a variable capacitance semiconductor element such as a varactor cannot be used for the capacitor. Therefore, when configuring a resonator, individual capacitors such as ceramic capacitors are electrically connected and used. Further, as described above, it is actually difficult from the viewpoint of adjustment accuracy to adjust the capacitance ratio a1 by using a variable capacitor or the like as a capacitor of the resonator and adjusting the rotational angle position of the variable capacitor. be.
そこで、本実施形態に係る分割容量直列共振器では、図5のように、互いに異なる容量比a1のnセットの分割キャパシタ対を設け、システム運用時には、当該nセットの分割キャパシタ対のうちから一つを選択して使用できる構成としている。 Therefore, in the divided capacitor series resonator according to the present embodiment, as shown in FIG. 5, n sets of divided capacitor pairs having different capacitance ratios a1 are provided. It is configured so that one can be selected and used.
この際、k値の変動に対して、常に一定の入力インピーダンスZS1に維持し、且つ、送電電力を一定以上に維持するための分割キャパシタ対のセットについて検討する。 At this time, a set of split capacitor pairs for maintaining a constant input impedance Z S1 and transmitting power at a constant level or higher will be examined with respect to fluctuations in the k value.
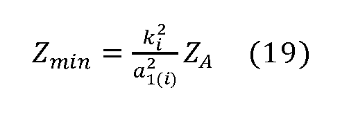
まず、kが連続的に変化することを想定し、k=kiの時に、共振器の入力インピーダンスZS1が、Zminになるようにa1を設定し、その値をa1(i)とする。つまり、以下の式(19)のように定義する。
ここで、k値が増加しki+1となり、その際ZS1がZmaxになったとして、同様に、以下の式(20)のように定義する。
ここで、a1をa1(i+1)に切り替えて、ZS1をZminに戻すと、以下の式(21)のように表される。
この式(19)、式(20)、式(21)から、k値がkiからki+1に増加したときに、a1をa1(i)からa1(i+1)に変化させたときのa1の変化の比は、以下の式(22)のように表される。
つまりa1の値を、√(Zmax/Zmin)の比率で等比数列として多数用意しておけば、図7のように、無駄な重なり無く、かつ切れ目無く、共振器の入力インピーダンスZS1をZminとZmaxの間に維持することができる。 In other words, if a large number of a1 values are prepared as a geometric progression at a ratio of √(Zmax/Zmin), the input impedance Z S1 of the resonator can be obtained without unnecessary overlap and without a break, as shown in FIG. It can be maintained between Z min and Z max .
例えば、電気的な接続を変更するにはロータリースイッチが用いられることが多い。広く使われている11接点であれば11段階の切り替えが可能で、分割キャパシタ対を11セット用意しておけば、a1を、
かかる観点から、本実施形態に係る分割容量直列共振器においては、nセットの分割キャパシタ対31、32、33、…3nのうちのk番目の分割キャパシタ対は、第1分割キャパシタの容量値CAと第2分割キャパシタの容量値CBの比CB/(CA+CB)が、上記した式(18)に示すように、√(Zmax/Zmin)の比率で増加する等比数列の値となるように用意されている。 From this point of view, in the divided capacitor series resonator according to the present embodiment, the k-th divided capacitor pair among the n sets of divided capacitor pairs 31, 32, 33, . . . The ratio C B /(C A +C B ) of A and the capacitance value C B of the second split capacitor is a geometric progression that increases at the rate of √(Zmax/Zmin) as shown in the above equation (18). prepared to be valued.
図7では、k値が変わった場合、共振器の入力インピーダンスを80Ω~120Ωに納めるためのa1値が設定されている。具体的には、共振器をL=1.59μH、C=159pFで構成すると、共振周波数は10MHz、共振器インピーダンス100Ωになる。この共振器を2つ用いた場合の容量分割S-S型共鳴送電回路(図4(b))で、仮に、RL=1kΩの負荷を付け、受電側の共振器のキャパシタの容量比a2を1とすれば、ZAは10Ωになる。そして、Zmin=80Ω、Zmax=120Ωなので、a1の変化の比率は√(120/80)=1.225である。 In FIG. 7, the a1 value is set so that the input impedance of the resonator is kept within 80Ω to 120Ω when the k value is changed. Specifically, when the resonator is configured with L=1.59 μH and C=159 pF, the resonance frequency is 10 MHz and the resonator impedance is 100Ω. In a capacitance-divided SS type resonant power transmission circuit (Fig. 4(b)) using two of these resonators, it is assumed that a load of R L = 1 kΩ is attached and the capacitance ratio a If 2 is 1, then Z A is 10Ω. And since Z min =80Ω and Z max =120Ω, the ratio of change in a 1 is √(120/80)=1.225.
図7では、はじめのa1、すなわちp1=0.0107とし、11段回目のp11=0.0813 まで変えた場合の共振器の入力インピーダンスを示す。図7から、共振器の入力インピーダンスは、仮に、a1が固定されている場合にはkの値に応じて大きく変化するが、a1の値を切り替えていくことでk=0.03から0.28までの間で規定の間に維持できることが判る。 FIG. 7 shows the input impedance of the resonator when the initial a 1 , that is, p 1 =0.0107, is changed to p 11 =0.0813 at the 11th stage. From Fig. 7, the input impedance of the resonator changes greatly according to the value of k when a1 is fixed, but by changing the value of a1, k = 0.03 to 0.28 It can be seen that it can be maintained between the provisions between
以下の表1は、共振器の入力インピーダンスを80Ω~120Ωに納めるために設定された送電側共振器の11セットの分割キャパシタ対の容量比a1それぞれの値と、そのときの外部Qを示す表である。上記したように、ここでは、受電側共振器の容量比はa2=1で固定されている。表1中のk値は、共振器の入力インピーダンスが100Ωとなるときのk値である。表1中のQe1は、送電側共振器の外部Q、Qe2は受電側共振器の外部Q(固定値)である。 Table 1 below shows the values of the capacitance ratios a 1 of the 11 sets of split capacitor pairs of the power transmitting resonator set to keep the input impedance of the resonator between 80Ω and 120Ω, and the external Q at that time. It is a table. As described above, here, the capacitance ratio of the power receiving side resonator is fixed at a 2 =1. The k value in Table 1 is the k value when the input impedance of the resonator is 100Ω. Qe1 in Table 1 is the external Q of the power transmitting resonator, and Qe2 is the external Q (fixed value) of the power receiving resonator.
本実施形態に係る分割容量直列共振器において、システム運用時に、nセットの分割キャパシタ対のうちから一つを選択する具体的な手法としては、例えば、送電装置UAから受電装置UBに対して、電力伝送の試験実施を実行させ、その際の送電電力及び/又は受電電力をモニタリングし、その電力値が規定内に入るように接続対象の分割キャパシタ対(即ち、a1値)を切り替える手法を用いることができる(後述する図12を参照)。 In the split capacitor series resonator according to the present embodiment, as a specific method for selecting one of the n sets of split capacitor pairs during system operation, for example, the power transmission device UA to the power reception device UB: A method of executing a test of power transmission, monitoring the transmitted power and / or received power at that time, and switching the split capacitor pair to be connected (that is, the a1 value) so that the power value is within the regulation can be used (see FIG. 12 below).
尚、式(11)、(15)から判るように、受電側のa2でも同様なことができるし、両者を組み合わせればさらに広い範囲への適応が可能である。 As can be seen from equations (11) and (15), the same can be done with a2 on the power receiving side, and by combining the two , a wider range of application is possible.
図8は、本実施形態に係る分割容量直列共振器を用いたS-S型の無線電力伝送システムにおいて、容量比a1を調整することによって制御される、送電電力の挙動(実線)を示す図である。 FIG. 8 is a diagram showing the behavior of transmitted power (solid line) controlled by adjusting the capacitance ratio a1 in the SS type wireless power transmission system using the divided capacitance series resonator according to the present embodiment. is.
ここでは、図7と同様に、容量比a1を調整した場合に、送電電力がどのように変化するかをシミュレーションによって算出した。尚、本シミュレーションでは、コイルの寄生抵抗をゼロと設定した。又、電源は10MHzで実効値100Vのサイン波を出力するものとして構成した。 Here, similarly to FIG. 7, simulation was performed to calculate how the transmitted power would change when the capacity ratio a1 was adjusted. In this simulation, the parasitic resistance of the coil was set to zero. Also, the power supply is configured to output a sine wave with an effective value of 100V at 10MHz.
まず、コイルの内部抵抗はないとしているので、電源から送出される電力と負荷側の電力は一致している。図7では、k値の上昇と共に、インピーダンスが増える結果となっているが、送電電力はインピーダンスに逆比例するので、図8に示す送電電力は、k値の上昇と共に低下する。 First, since it is assumed that there is no internal resistance in the coil, the power sent from the power supply and the power on the load side are the same. In FIG. 7, as the k value increases, the impedance increases, but since the transmitted power is inversely proportional to the impedance, the transmitted power shown in FIG. 8 decreases as the k value increases.
図8から、a1の値を選ぶことで、83~125Wの範囲で送電電力が調整可能なことが判る。この程度の変動であれば、受電側のレクテナ回路で十分に対応可能である。 From Fig. 8, it can be seen that the transmission power can be adjusted in the range of 83 to 125W by choosing the value of a1. A rectenna circuit on the power receiving side can sufficiently cope with this level of fluctuation.
尚、上記では、コイルの寄生抵抗をゼロと設定した場合の送電電力(実線)について述べたが、実際には、コイルの内部抵抗、あるいは共振器の無負荷Qは、共鳴送電では重要なパラメータである。 In the above, the power transmission (solid line) was described when the parasitic resistance of the coil was set to zero, but in reality, the internal resistance of the coil or the no-load Q of the resonator is an important parameter in resonant power transmission. is.
そこで、コイルの寄生抵抗を0.25Ω、無負荷Qを400とした場合の計算結果を図8に点線で示している。尚、図8では、山なりの点線の上側から、容量比a1がp11のときの透過特性、p10のときの透過特性、・・・p1のときの透過特性を表している。図8から、コイルの寄生抵抗を考慮した場合、コイルの寄生抵抗をゼロとした場合と比較して、送電電力が大幅に低下していることが判る。 Therefore, the calculation result when the parasitic resistance of the coil is 0.25Ω and the no-load Q is 400 is shown by the dotted line in FIG. In FIG. 8 , the transmission characteristics when the capacitance ratio a1 is p11, the transmission characteristics when the capacitance ratio a1 is p10, . From FIG. 8, it can be seen that when the parasitic resistance of the coil is taken into account, the transmitted power is greatly reduced compared to when the parasitic resistance of the coil is zero.
非特許文献1によれば、送電側共振器の外部Qと受電側共振器の外部Qを、以下の式(24)を充足するように、共に調整することによって、共振器結合では最平坦特性が得られることが示されている。
最平坦特性とは、広い周波数帯域に渡って反射が無い条件において得られる伝送特性であり、共振器の固有共振周波数(即ち、中心周波数)f0を挟んである周波数帯域f1からf2までで、伝送効率がほぼ100%となる伝送特性を表す(バターワース型特性とも称される)。式(10)の条件(Qe1*Qe2=1/k2)は、式(24)の条件(Qe1=1/k、且つ、Qe2=1/k)を一部に含むが、式(24)の条件は、送電側共振器の外部Qと受電側共振器の外部Qとを同程度にバランスさせることが重要であることを示している。 The flattest characteristic is a transmission characteristic obtained under the condition of no reflection over a wide frequency band. It represents a transmission characteristic with an efficiency of almost 100% (also called a Butterworth characteristic). The condition (Q e1 * Q e2 = 1/k 2 ) of formula (10) partially includes the condition (Q e1 = 1/k and Q e2 = 1/k) of formula (24), The condition of equation (24) indicates that it is important to balance the external Q of the power transmitting resonator and the external Q of the power receiving resonator to the same degree.
非特許文献1によれば、最平坦特性を充足させることで、コイルの寄生抵抗による損失を最小化することが可能であることも示されている。これは、送電側共振器の外部Qと受電側共振器の外部Qがアンバランスとなると、コイルの内部抵抗による影響を受けやすくなり、伝送効率が低下してしまうためである。尚、表1に示すように、図8の送電電力が算出された条件では、送電側共振器の外部Qと受電側共振器の外部Qの比が1000倍以上あり、大きなアンバランスが生じており、それが故に、コイルの寄生抵抗を考慮した場合、コイルの寄生抵抗をゼロとした場合と比較して、送電電力が大幅に低下したと考えられる。
According to
図9は、送電側共振器の外部Qと受電側共振器の外部Qのアンバランスの問題を分析するために実施したシミュレーションの結果を示す図である。図9では、図8と同様に、本実施形態に係る分割容量直列共振器において、容量比a1を調整することによって制御される、S-S型の無線電力伝送システムにおける送電電力を示している。但し、図9では、受電側共振器の容量比a2の値を0.135と設定し、図8の場合の容量比a2=1よりも小さい値に設定している。 FIG. 9 is a diagram showing the results of a simulation performed to analyze the problem of imbalance between the external Q of the power transmitting resonator and the external Q of the power receiving resonator. As in FIG. 8, FIG. 9 shows the transmitted power in the SS type wireless power transmission system, which is controlled by adjusting the capacitance ratio a1 in the split capacitor series resonator according to the present embodiment. there is However, in FIG. 9, the value of the capacitance ratio a2 of the power receiving side resonator is set to 0.135, which is smaller than the capacitance ratio a2 = 1 in the case of FIG.
以下の表2は、図9のシミュレーションで、共振器の入力インピーダンスを80Ω~120Ωに納めるために設定された送電側共振器の11セットの分割キャパシタ対の容量比a1それぞれの値と、そのときの外部Qを示す表である。上記したように、ここでは、受電側共振器の容量比はa2=0.135で固定されている。 Table 2 below shows the values of the capacitance ratios a1 of the 11 sets of split capacitor pairs of the power transmitting resonator set to keep the input impedance of the resonator within 80 Ω to 120 Ω in the simulation of FIG. 4 is a table showing the external Q when As described above, here, the capacitance ratio of the power receiving side resonator is fixed at a 2 =0.135.
先の例では容量比a1を0.0107~0.0813の間で変化させたが、ここでは、同じ出力を得るためには容量比0.122~0.925の間で変化させることになる。そうすると、図9から分かるように、先の例と同じkの変動範囲で、ほぼ同じ送電電力が得られる。 In the previous example, the capacitance ratio a1 was changed between 0.0107 and 0.0813, but here, in order to obtain the same output, it is changed between 0.122 and 0.925. Then, as can be seen from FIG. 9, approximately the same transmitted power can be obtained in the same fluctuation range of k as in the previous example.
又、この場合、図9の点線を参照すると分かるように、コイルの寄生抵抗を0.25Ω、無負荷Qを400としたときでも、送電電力は、コイルの寄生抵抗をゼロとしたときと比較して、大きく低下することは無い。尚、表2に示すように、この場合、p7でほぼQe1=Qe2で最平坦特性になっており、k値の変動の範囲での送電側共振器の外部Qと受電側共振器の外部Qのアンバランスは大幅に解消している。 Also, in this case, as can be seen by referring to the dotted line in FIG. 9, even when the parasitic resistance of the coil is 0.25Ω and the no-load Q is 400, the transmitted power is lower than when the parasitic resistance of the coil is zero. and will not drop significantly. In addition, as shown in Table 2, in this case, the characteristics are the flattest at p 7 at approximately Q e1 =Q e2 , and the external Q of the power transmitting side resonator and the power receiving side resonator within the range of k value fluctuation , the imbalance of the external Q is largely eliminated.
次に、本実施形態に係る分割容量並列共振器を利用したP-P型の無線電力伝送システムにおける共振器の入力インピーダンス、及び伝送特性について説明する。分割容量並列共振器を利用したP-P型の無線電力伝送システムにおいても、上記と同様の結果を得ることが可能である。 Next, the input impedance and transmission characteristics of the resonator in the PP type wireless power transmission system using the divided capacitance parallel resonator according to this embodiment will be described. A PP-type wireless power transmission system using a split-capacitance parallel resonator can also obtain results similar to those described above.
図10は、本実施形態に係る分割容量並列共振器を用いたP-P型の無線電力伝送システムにおいて、容量比b1を調整することによって制御される、共振器の入力インピーダンスZS1の挙動の一例を示す図である。 FIG. 10 shows the behavior of the input impedance Z S1 of the resonator, which is controlled by adjusting the capacitance ratio b 1 in the PP type wireless power transmission system using the divided capacitance parallel resonator according to this embodiment. It is a figure which shows an example.
尚、図10中で、Zmin~Zmaxの間の範囲は、共振器の入力インピーダンスZS1として最適な範囲の一例である。又、q 1~q 11は、それぞれ、異なるb1値を表している。 In FIG. 10, the range between Z min and Z max is an example of the optimum range for the input impedance Z S1 of the resonator. Also, q 1 to q 11 each represent a different b 1 value.
尚、図10では、上記と同様に、L=1.59μH、C=159pFで共振器を構成とし、受電側に同じくRL=1kΩ、b2=1とすればZAは10Ωになる。図10では、この構成でk値が変わった場合、共振器の入力インピーダンスを80Ω~120Ωに納めるためのb1値について計算を行っている。尚、並列型(P型)の場合は、結合係数kおよび容量比bは分子に来る。そのため、kが大きくなるとインピーダンスは低下し、それを回復するためにはbを小さくする必要がある。 In FIG. 10, similarly to the above, if the resonator is configured with L=1.59 μH and C=159 pF, and R L =1 kΩ and b 2 =1 on the receiving side, Z A will be 10Ω. In FIG. 10, the b 1 value for keeping the input impedance of the resonator within 80Ω to 120Ω is calculated when the k value is changed in this configuration. In the case of the parallel type (P type), the coupling coefficient k and the capacitance ratio b come to the numerator. Therefore, as k increases, the impedance drops, and b must be decreased to restore it.
本実施形態に係る分割容量並列共振器においては、nセットの分割キャパシタ対31、32、33、…3nのうちのk番目の分割キャパシタ対は、第3分割キャパシタの容量値CCと第4分割キャパシタの容量値CDの比(CC+CD)/CC(即ち、b1値)が、上記した式(19)に示すように、√(Zmax/Zmin)の比率で増加する等比数列の値となるように用意されている。 In the split capacitor parallel resonator according to the present embodiment, the k - th split capacitor pair among the n sets of split capacitor pairs 31, 32, 33, . . . The ratio (C C + C D )/C C (that is, b 1 value) of the capacitance value C D of the dividing capacitor increases at a rate of √(Zmax/Zmin) as shown in the above equation (19), etc. It is prepared to be the value of the ratio series.
図10では、はじめのb1、すなわちq1=1.25とし、11段回目のq11=9.45まで変えた場合の共振器の入力インピーダンスを示す。この場合にも、b1の変化の比率√(Zmax/Zmin)は、1.225である。これによって、図10に示すように、共振器の入力インピーダンスは、b1値を切り替えていくことでk=0.03から0.3までの間で規定の間に維持できていることが判る。 FIG. 10 shows the input impedance of the resonator when the initial b 1 , that is, q 1 =1.25, is changed to q 11 =9.45 in the 11th stage. Also in this case, the ratio of change in b 1 √(Zmax/Zmin) is 1.225. As a result, as shown in FIG. 10 , it can be seen that the input impedance of the resonator can be maintained within the specified range from k=0.03 to 0.3 by switching the b1 value.
以下の表3は、図10のシミュレーションで、共振器の入力インピーダンスを80Ω~120Ωに納めるために設定された送電側共振器の11セットの分割キャパシタ対の容量比b1それぞれの値と、そのときの外部Qを示す表である。上記したように、ここでは、受電側共振器の容量比はb2=1で固定されている。表2中のk値は、共振器の入力インピーダンスが100Ωとなるときのk値である。表2中のQe1は、送電側共振器の外部Q、Qe2は受電側共振器の外部Q(固定値)である。 Table 3 below shows the values of the capacitance ratios b1 of the 11 sets of split capacitor pairs of the power transmitting resonator set to keep the input impedance of the resonator within 80 Ω to 120 Ω in the simulation of FIG. 4 is a table showing the external Q when As described above, the capacitance ratio of the power receiving side resonator is fixed at b 2 =1 here. The k value in Table 2 is the k value when the input impedance of the resonator is 100Ω. Q e1 in Table 2 is the external Q of the power transmitting side resonator, and Q e2 is the external Q (fixed value) of the power receiving side resonator.
図11は、本実施形態に係る分割容量並列共振器を用いたP-P型の無線電力伝送システムにおいて、容量比b1を調整することによって制御される、送電電力の挙動(実線)を示す図である。 FIG. 11 shows the behavior of transmitted power (solid line) controlled by adjusting the capacitance ratio b 1 in the PP-type wireless power transmission system using the split-capacitance parallel resonator according to the present embodiment. It is a diagram.
ここでは、図10と同様に、容量比b1を調整した場合に、送電電力がどのように変化するかをシミュレーションによって算出した。尚、本シミュレーションでは、コイルの寄生抵抗をゼロと設定した。又、電源は10MHzで実効値100Vのサイン波を出力するものとして構成した。 Here, similarly to FIG. 10, simulation was performed to calculate how the transmitted power would change when the capacity ratio b 1 was adjusted. In this simulation, the parasitic resistance of the coil was set to zero. Also, the power supply is configured to output a sine wave with an effective value of 100V at 10MHz.
図11から、b1の値を選ぶことで、83~125Wの範囲で送電電力が調整可能なことが判る。この程度の変動であれば、受電側のレクテナ回路で十分に対応可能である。 From FIG. 11, it can be seen that the transmission power can be adjusted in the range of 83 to 125W by choosing the value of b 1 . A rectenna circuit on the power receiving side can sufficiently cope with this level of fluctuation.
尚、上記した透過特性制御は、S-P型の無線電力伝送システム、P-S型の無線電力伝送システムでも同様に可能であり、この場合も送電側のa1やb1、受電側のa2やb2によってインピーダンス変換比の変更ができる。即ち、共振器の入力インピーダンスをZmin~Zmaxの間に維持するためには、Zmin、Zmaxに合わせて、nセットの分割キャパシタ対31、32、33、…3nの各分割キャパシタ対の容量比を設定すればよい。 The transmission characteristics control described above can be similarly performed in the SP type wireless power transmission system and the PS type wireless power transmission system. The impedance transformation ratio can be changed by a2 and b2. That is, in order to maintain the input impedance of the resonator between Z min and Z max , n sets of dividing capacitor pairs 31, 32, 33, . It is sufficient to set the capacity ratio of
[無線電力伝送システムのシステム運用時の動作例]
図12は、本実施形態に係る無線電力伝送システムのシステム運用時の動作例を示すフローチャートである。尚、ここでは、S-S型の無線電力伝送システムの動作例のみを示す。図12に示すフローチャートは、例えば、送電装置UAの制御部(図示せず)が、コンピュータプログラムに従って実行する処理である。
[Example of operation during system operation of wireless power transmission system]
FIG. 12 is a flowchart showing an operation example during system operation of the wireless power transmission system according to this embodiment. Here, only an operation example of the SS type wireless power transmission system is shown. The flowchart shown in FIG. 12 is, for example, processing executed by a control unit (not shown) of the power transmission device UA according to a computer program.
ステップS1において、送電装置UAの制御部は、受電装置UBの制御部と通信し、電力伝送の試験実施を開始する。 In step S1, the control unit of the power transmitting device UA communicates with the control unit of the power receiving device UB, and starts conducting a power transmission test.
ステップS2において、送電装置UAの制御部は、電力伝送の試験実施における伝送効率を測定する。この際、送電装置UAの制御部は、例えば、送電装置UAから送出する送電電力、及び受電装置UBで測定される受電電力に基づいて、伝送効率を測定する。 In step S2, the control unit of the power transmission device UA measures the transmission efficiency in the power transmission test. At this time, the control unit of the power transmitting device UA measures the transmission efficiency based on, for example, the power transmitted from the power transmitting device UA and the received power measured by the power receiving device UB.
ステップS3において、送電装置UAの制御部は、ステップS2で測定された伝送効率が、閾値(例えば、95%)よりも大きいか否かを判定する。そして、ステップS2で測定された伝送効率が、閾値よりも大きい場合(ステップS3:YES)、ステップS5に処理を進め、閾値以下の場合(ステップS3:NO)、ステップS4に処理を進める。 In step S3, the control unit of the power transmission device UA determines whether or not the transmission efficiency measured in step S2 is greater than a threshold value (95%, for example). If the transmission efficiency measured in step S2 is greater than the threshold (step S3: YES), the process proceeds to step S5, and if less than the threshold (step S3: NO), the process proceeds to step S4.
ステップS4において、送電装置UAの制御部は、第1スイッチ7及び第2スイッチ8を切り替えて、nセットの分割キャパシタ対31、32、33、…3nのうち、電源及びコイルと接続する接続対象の分割キャパシタ対を切り替える。尚、この際、送電装置UAの制御部は、容量比a1が段階的に大きくなるように(又は小さくなるように)、nセットの分割キャパシタ対31、32、33、…3nのうちから、接続対象の分割キャパシタ対を選択する。そして、ステップS1に戻って、再び、電力伝送及び伝送効率の測定を実行する。
In step S4, the control unit of the power transmission device UA switches the first switch 7 and the
本実施形態に係る無線電力伝送システムにおいては、このステップS1~S4の処理を繰り返し実行することで、高い伝送効率を確保し得る容量比a1(即ち、分割キャパシタ対)を特定する。 In the wireless power transmission system according to this embodiment, the processing of steps S1 to S4 is repeatedly executed to specify the capacitance ratio a 1 (ie, the split capacitor pair) that can ensure high transmission efficiency.
ステップS5において、送電装置UAの制御部は、送電装置UAから受電装置UBに対して、電力伝送の本実施を実行させる。 In step S5, the control unit of the power transmitting device UA causes the power receiving device UB to perform the actual power transmission from the power transmitting device UA.
ステップS6において、送電装置UAの制御部は、電力伝送を終了する条件が充足することを待ち受ける(S6:NO)。そして、終了条件を充足した場合(S6:YES)、図12のフローチャートの処理を終了する。尚、送電装置UAの制御部は、例えば、受電装置UBの負荷であるバッテリが満充電の状態に到った場合、終了条件を充足したと判定する。 In step S6, the control unit of the power transmission device UA waits for satisfaction of conditions for terminating power transmission (S6: NO). Then, if the termination condition is satisfied (S6: YES), the processing of the flowchart of FIG. 12 is terminated. Note that the control unit of the power transmission device UA determines that the termination condition is satisfied, for example, when the battery, which is the load of the power reception device UB, reaches a fully charged state.
本実施形態に係る無線電力伝送システムにおいては、以上のような一連の処理によって、高い伝送効率にて、送電装置UAから受電装置UBに対して、電力伝送を実行することが可能である。 In the wireless power transmission system according to the present embodiment, the series of processes described above enables power transmission from the power transmission device UA to the power reception device UB with high transmission efficiency.
尚、図12のフローチャートでは、受電側共振器のキャパシタの容量比a2を固定した条件下で、送電側共振器のキャパシタの容量比a1のみを調整することによって、送電電力を調整する態様を示した。かかる実施態様は、システム運用時に、受電側共振器のキャパシタの容量比a2の調整を不要とすることができる点で有用である。 Note that in the flowchart of FIG. 12, the transmitted power is adjusted by adjusting only the capacitance ratio a1 of the capacitors of the power transmission side resonator under the condition that the capacitance ratio a2 of the capacitors of the power reception side resonator is fixed. showed that. Such an embodiment is useful in that it is not necessary to adjust the capacitance ratio a2 of the capacitors of the power receiving side resonator during system operation.
但し、最平坦特性を得るためには、より好ましくは、送電側共振器のキャパシタの容量比a1と、受電側共振器のキャパシタの容量比a2とをともに調整する。この場合、例えば、図12のフローチャートのステップS1~S4の処理で、高い伝送効率を確保し得る送電側共振器の容量比a1(即ち、分割キャパシタ対)を特定した後、更に、受電側共振器についても、同様の処理を実施する。即ち、送電側共振器の容量比a1を固定した条件下で、受電側共振器の容量比a2(即ち、分割キャパシタ対)を段階的に切り替え、伝送効率が最大化する容量比a2を特定すればよい。 However, in order to obtain the flattest characteristics, it is more preferable to adjust both the capacitance ratio a1 of the capacitors of the power transmitting side resonator and the capacitance ratio a2 of the capacitors of the power receiving side resonator. In this case, for example, in the processing of steps S1 to S4 in the flowchart of FIG. A similar process is performed for the resonator. That is, under the condition that the capacity ratio a 1 of the power transmission side resonator is fixed, the capacity ratio a 2 of the power reception side resonator (that is, the split capacitor pair ) is switched in stages to maximize the transmission efficiency. should be specified.
これによって、より高い伝送効率にて、送電装置UAから受電装置UBに対して、電力伝送を実行することが可能である。 This enables power transmission from the power transmission device UA to the power reception device UB with higher transmission efficiency.
[効果]
以上のように、本開示に係る共振器(図5又は図6を参照)によれば、共振器間の位置関係が変化した場合に起こる結合係数の変化に対して、共振器の外部Qを適正に調整し、電源から見た共振器の入力インピーダンスを一定の範囲内に維持することが、スイッチの切替のみで可能となり、安定した非接触送電が可能となる。
[effect]
As described above, according to the resonator according to the present disclosure (see FIG. 5 or FIG. 6), the external Q of the resonator is changed to It is possible to properly adjust and maintain the input impedance of the resonator as seen from the power source within a certain range simply by switching the switch, thereby enabling stable wireless power transmission.
加えて、共振器の調整は、送電電力がモニタできれば送受電の一方のみで可能である。さらに、送受電の両者にこの装置を置けば、常に最平坦特性という内部抵抗による損失の少ない条件を設定することができる。このように、本開示に係る共振器(図5又は図6を参照)によれば、これまで制御が難しいと言うことで普及が進まない、共鳴送電を簡単な方法で、高伝送効率にて実現することができる。 In addition, if the transmitted power can be monitored, it is possible to adjust the resonator only in one of the power transmission and reception. Furthermore, if this device is used for both power transmission and reception, it is possible to set a condition that the loss due to the internal resistance is small, that is, the flattest characteristics at all times. In this way, according to the resonator according to the present disclosure (see FIG. 5 or 6), resonance power transmission, which has been difficult to control and has not been widely used, can be achieved with a simple method and high transmission efficiency. can be realized.
以上、本発明の具体例を詳細に説明したが、これらは例示にすぎず、請求の範囲を限定するものではない。請求の範囲に記載の技術には、以上に例示した具体例を様々に変形、変更したものが含まれる。 Although specific examples of the present invention have been described in detail above, these are merely examples and do not limit the scope of the claims. The technology described in the claims includes various modifications and changes of the specific examples illustrated above.
本開示に係る結合共振型無線電力伝送システムの共振器によれば、より簡易な手法で、適正な電力値の送電が可能である。 According to the resonator of the coupled resonance type wireless power transmission system according to the present disclosure, it is possible to transmit an appropriate power value with a simpler method.
UA 送電装置
UB 受電装置
1 送電側コイル
2 受電側コイル
3 送電側キャパシタ
31、32、33、…3n 分割キャパシタ対
4 受電側キャパシタ
5 電源
6 負荷
7 第1スイッチ
8 第2スイッチ
9 第3スイッチ
10 第4スイッチ
UA power transmission device UB
Claims (8)
直列共振回路を構成するキャパシタとコイルとを有すると共に、
第1スイッチ、第2スイッチ、及び、送電部としての電源又は受電部としての負荷を有し、
前記キャパシタは、前記コイルに対して並列に接続された第1分割キャパシタと第2分割キャパシタとからなるn(但し、nは2以上の正の整数)セットの分割キャパシタ対を有し、
前記第1分割キャパシタの容量値と前記第2分割キャパシタの容量値の和は、前記nセットの分割キャパシタ対の各分割キャパシタ対で同一であり、
前記第1分割キャパシタの容量値と前記第2分割キャパシタの容量値の比は、前記nセットの分割キャパシタ対の各分割キャパシタ対で互いに異なっており、
前記第1分割キャパシタと前記第2分割キャパシタの容量分割点は、前記第1スイッチを介して前記コイルの一端に接続され、
前記第2分割キャパシタの他端は、前記第2スイッチを介して前記電源又は前記負荷の第1端に接続され、
前記第1分割キャパシタの他端は、前記コイルの他端と前記電源又は前記負荷の第2端の接続点に接続され、
前記第1スイッチと前記第2スイッチとは、前記nセットの分割キャパシタ対のいずれか一つが前記コイルと前記電源又は前記負荷とに接続するように動作する、
共振器。 A resonator applied to a coupled resonance type wireless power transmission system,
Having a capacitor and a coil that form a series resonance circuit,
having a first switch, a second switch, and a power source as a power transmission unit or a load as a power reception unit;
The capacitor has n (where n is a positive integer equal to or greater than 2) sets of divided capacitor pairs each consisting of a first divided capacitor and a second divided capacitor connected in parallel to the coil,
the sum of the capacitance value of the first split capacitor and the capacitance value of the second split capacitor is the same for each split capacitor pair of the n sets of split capacitor pairs;
the ratio of the capacitance value of the first split capacitor to the capacitance value of the second split capacitor is different for each split capacitor pair of the n sets of split capacitor pairs;
a capacitance dividing point of the first divided capacitor and the second divided capacitor is connected to one end of the coil via the first switch;
the other end of the second dividing capacitor is connected to a first end of the power supply or the load through the second switch;
the other end of the first split capacitor is connected to a connection point between the other end of the coil and a second end of the power supply or the load;
the first switch and the second switch operate to connect any one of the n sets of divided capacitor pairs to the coil and the power supply or the load;
resonator.
請求項1に記載の共振器。
A resonator according to claim 1 .
並列共振回路を構成するキャパシタとコイルとを有すると共に、
第3スイッチ、第4スイッチ、及び、送電部としての電源又は受電部としての負荷を有し、
前記キャパシタは、前記コイルに対して直列に接続された第3分割キャパシタと第4分割キャパシタとからなるn(但し、nは2以上の正の整数)セットの分割キャパシタ対を有し、
前記第3分割キャパシタの容量値の逆数と前記第4分割キャパシタの容量値の逆数の和は、前記nセットの分割キャパシタ対の各分割キャパシタ対で同一であり、
前記第3分割キャパシタの容量値と前記第4分割キャパシタの容量値の比は、前記nセットの分割キャパシタ対の各分割キャパシタ対で互いに異なっており、
前記第3分割キャパシタと前記第4分割キャパシタの容量分割点は、前記第4スイッチを介して前記電源又は前記負荷の第1端に接続され、
前記第3分割キャパシタの他端は、前記第3スイッチを介して前記コイルの一端に接続され、
前記第4分割キャパシタの他端は、前記コイルの他端と前記電源又は前記負荷の第2端の接続点に接続され、
前記第3スイッチと前記第4スイッチとは、前記nセットの分割キャパシタ対のいずれか一つが前記コイルと前記電源又は前記負荷とに接続するように動作する、
共振器。 A resonator applied to a coupled resonance type wireless power transmission system,
Having a capacitor and a coil that constitute a parallel resonant circuit,
having a third switch, a fourth switch, and a power source as a power transmission unit or a load as a power reception unit;
The capacitor has n (where n is a positive integer equal to or greater than 2) sets of divided capacitor pairs, each of which consists of a third divided capacitor and a fourth divided capacitor connected in series to the coil,
the sum of the reciprocal of the capacitance value of the third split capacitor and the reciprocal of the capacitance value of the fourth split capacitor is the same for each split capacitor pair of the n sets of split capacitor pairs;
the ratio of the capacitance value of the third split capacitor to the capacitance value of the fourth split capacitor is different for each split capacitor pair of the n sets of split capacitor pairs;
a capacitance dividing point of the third divided capacitor and the fourth divided capacitor is connected to a first end of the power supply or the load through the fourth switch;
the other end of the third dividing capacitor is connected to one end of the coil through the third switch;
the other end of the fourth split capacitor is connected to a connection point between the other end of the coil and a second end of the power supply or the load;
the third switch and the fourth switch operate to connect any one of the n sets of divided capacitor pairs to the coil and the power source or the load;
resonator.
請求項3に記載の共振器。
4. A resonator according to claim 3.
受電側の共振器が請求項1に記載の共振器によって構成された、
結合共振型無線電力伝送システム。 A power transmission-side resonator is composed of the resonator according to claim 1, and
wherein the resonator on the power receiving side is composed of the resonator according to claim 1,
Coupling resonance type wireless power transmission system.
受電側の共振器が請求項1に記載の共振器によって構成された、
結合共振型無線電力伝送システム。 A power transmission-side resonator is composed of the resonator according to claim 3, and
wherein the resonator on the power receiving side is composed of the resonator according to claim 1,
Coupling resonance type wireless power transmission system.
受電側の共振器が請求項3に記載の共振器によって構成された、
結合共振型無線電力伝送システム。 A power transmission-side resonator is composed of the resonator according to claim 1, and
wherein the resonator on the power receiving side is composed of the resonator according to claim 3,
Coupling resonance type wireless power transmission system.
受電側の共振器が請求項3に記載の共振器によって構成された、
結合共振型無線電力伝送システム。
A power transmission-side resonator is composed of the resonator according to claim 3, and
wherein the resonator on the power receiving side is composed of the resonator according to claim 3,
Coupling resonance type wireless power transmission system.
Priority Applications (1)
| Application Number | Priority Date | Filing Date | Title |
|---|---|---|---|
| JP2022038530A JP7154518B1 (en) | 2022-03-11 | 2022-03-11 | RESONATOR OF COUPLED RESONANCE WIRELESS POWER TRANSMISSION SYSTEM AND COUPLED RESONANCE WIRELESS POWER TRANSFER SYSTEM |
Applications Claiming Priority (1)
| Application Number | Priority Date | Filing Date | Title |
|---|---|---|---|
| JP2022038530A JP7154518B1 (en) | 2022-03-11 | 2022-03-11 | RESONATOR OF COUPLED RESONANCE WIRELESS POWER TRANSMISSION SYSTEM AND COUPLED RESONANCE WIRELESS POWER TRANSFER SYSTEM |
Publications (2)
| Publication Number | Publication Date |
|---|---|
| JP7154518B1 true JP7154518B1 (en) | 2022-10-18 |
| JP2023132928A JP2023132928A (en) | 2023-09-22 |
Family
ID=83658125
Family Applications (1)
| Application Number | Title | Priority Date | Filing Date |
|---|---|---|---|
| JP2022038530A Active JP7154518B1 (en) | 2022-03-11 | 2022-03-11 | RESONATOR OF COUPLED RESONANCE WIRELESS POWER TRANSMISSION SYSTEM AND COUPLED RESONANCE WIRELESS POWER TRANSFER SYSTEM |
Country Status (1)
| Country | Link |
|---|---|
| JP (1) | JP7154518B1 (en) |
Citations (8)
| Publication number | Priority date | Publication date | Assignee | Title |
|---|---|---|---|---|
| JP2001238372A (en) | 2000-02-24 | 2001-08-31 | Nippon Telegr & Teleph Corp <Ntt> | Power transmission system, electromagnetic field generator and electromagnetic field receiver |
| JP2005529532A (en) | 2002-06-05 | 2005-09-29 | コーニンクレッカ フィリップス エレクトロニクス エヌ ヴィ | Electronic device and impedance matching method thereof |
| JP2012135117A (en) | 2010-12-21 | 2012-07-12 | Panasonic Corp | Non-contact power transmission system |
| JP2013243882A (en) | 2012-05-22 | 2013-12-05 | Toyota Motor Corp | Power transmission device, power reception device, vehicle, and non contact power supply system |
| CN206834851U (en) | 2017-04-25 | 2018-01-02 | 东北大学 | A kind of radio energy transmission system |
| JP2019097253A (en) | 2017-11-20 | 2019-06-20 | 昭和飛行機工業株式会社 | Non-contact power supply device |
| CN111711250A (en) | 2020-07-23 | 2020-09-25 | 合肥工业大学 | A wireless charging system and its output voltage adjustment method |
| JP7039087B1 (en) | 2021-09-03 | 2022-03-22 | 株式会社レーザーシステム | Method for adjusting transmission characteristics in coupled resonance type wireless power transmission system and coupled resonance type wireless power transmission system |
-
2022
- 2022-03-11 JP JP2022038530A patent/JP7154518B1/en active Active
Patent Citations (8)
| Publication number | Priority date | Publication date | Assignee | Title |
|---|---|---|---|---|
| JP2001238372A (en) | 2000-02-24 | 2001-08-31 | Nippon Telegr & Teleph Corp <Ntt> | Power transmission system, electromagnetic field generator and electromagnetic field receiver |
| JP2005529532A (en) | 2002-06-05 | 2005-09-29 | コーニンクレッカ フィリップス エレクトロニクス エヌ ヴィ | Electronic device and impedance matching method thereof |
| JP2012135117A (en) | 2010-12-21 | 2012-07-12 | Panasonic Corp | Non-contact power transmission system |
| JP2013243882A (en) | 2012-05-22 | 2013-12-05 | Toyota Motor Corp | Power transmission device, power reception device, vehicle, and non contact power supply system |
| CN206834851U (en) | 2017-04-25 | 2018-01-02 | 东北大学 | A kind of radio energy transmission system |
| JP2019097253A (en) | 2017-11-20 | 2019-06-20 | 昭和飛行機工業株式会社 | Non-contact power supply device |
| CN111711250A (en) | 2020-07-23 | 2020-09-25 | 合肥工业大学 | A wireless charging system and its output voltage adjustment method |
| JP7039087B1 (en) | 2021-09-03 | 2022-03-22 | 株式会社レーザーシステム | Method for adjusting transmission characteristics in coupled resonance type wireless power transmission system and coupled resonance type wireless power transmission system |
Also Published As
| Publication number | Publication date |
|---|---|
| JP2023132928A (en) | 2023-09-22 |
Similar Documents
| Publication | Publication Date | Title |
|---|---|---|
| Lu et al. | Wideband bandpass filters with SAW-filter-like selectivity using chip SAW resonators | |
| CN102035492B (en) | Layered bandpass filter | |
| KR20110120068A (en) | Method and apparatus for controlling resonance bandwidth in wireless power transmission system | |
| CN105552494A (en) | Adjustable flat band-pass and band-stop filter | |
| CN101388655B (en) | Signal selecting device | |
| Wang et al. | Gains maximization via impedance matching networks for wireless power transfer | |
| JP7154518B1 (en) | RESONATOR OF COUPLED RESONANCE WIRELESS POWER TRANSMISSION SYSTEM AND COUPLED RESONANCE WIRELESS POWER TRANSFER SYSTEM | |
| CN105024121A (en) | High-temperature superconductive bandwidth-adjustable filter | |
| CN205646079U (en) | Adjustable plane band -pass - band elimination filter | |
| JP7039087B1 (en) | Method for adjusting transmission characteristics in coupled resonance type wireless power transmission system and coupled resonance type wireless power transmission system | |
| US8729980B2 (en) | Band-pass filter based on CRLH resonator and duplexer using the same | |
| US7336143B2 (en) | Variable delay line using variable reactance devices to provide reflected delay signals | |
| JP4197032B2 (en) | Two-port nonreciprocal circuit device and communication device | |
| JP2017204997A (en) | Filter for electric field coupling type power supply system | |
| CN102694222A (en) | Electrically tunable dual-mode dual-passband filter with constant bandwidth | |
| US8130061B2 (en) | Filter | |
| CN208986143U (en) | A tunable dual-mode filter | |
| JP6703852B2 (en) | Variable bandpass filter | |
| JP4345680B2 (en) | Two-port nonreciprocal circuit device and communication device | |
| US20090009264A1 (en) | Delay Line | |
| CN110166020B (en) | Filter and duplexer | |
| Benjestorf | Nonlinear Compensation in Wireless Power Transfer Topologies with Application to Contactless Connectors for Consumer Electronics | |
| JP6703851B2 (en) | Variable bandpass filter | |
| CN115208441A (en) | Antenna network and related electronic device | |
| Zahari et al. | Miniaturized Switchable Bandpass to Matched Bandstop Filter Using Stepped-Impedance Resonator |
Legal Events
| Date | Code | Title | Description |
|---|---|---|---|
| A621 | Written request for application examination |
Free format text: JAPANESE INTERMEDIATE CODE: A621 Effective date: 20220323 |
|
| A871 | Explanation of circumstances concerning accelerated examination |
Free format text: JAPANESE INTERMEDIATE CODE: A871 Effective date: 20220323 |
|
| A131 | Notification of reasons for refusal |
Free format text: JAPANESE INTERMEDIATE CODE: A131 Effective date: 20220607 |
|
| A521 | Request for written amendment filed |
Free format text: JAPANESE INTERMEDIATE CODE: A523 Effective date: 20220727 |
|
| TRDD | Decision of grant or rejection written | ||
| A01 | Written decision to grant a patent or to grant a registration (utility model) |
Free format text: JAPANESE INTERMEDIATE CODE: A01 Effective date: 20220906 |
|
| A61 | First payment of annual fees (during grant procedure) |
Free format text: JAPANESE INTERMEDIATE CODE: A61 Effective date: 20220922 |
|
| R150 | Certificate of patent or registration of utility model |
Ref document number: 7154518 Country of ref document: JP Free format text: JAPANESE INTERMEDIATE CODE: R150 |
|
| R250 | Receipt of annual fees |
Free format text: JAPANESE INTERMEDIATE CODE: R250 |




























