JP5113466B2 - Insulating film manufacturing method and insulating film - Google Patents
Insulating film manufacturing method and insulating film Download PDFInfo
- Publication number
- JP5113466B2 JP5113466B2 JP2007250525A JP2007250525A JP5113466B2 JP 5113466 B2 JP5113466 B2 JP 5113466B2 JP 2007250525 A JP2007250525 A JP 2007250525A JP 2007250525 A JP2007250525 A JP 2007250525A JP 5113466 B2 JP5113466 B2 JP 5113466B2
- Authority
- JP
- Japan
- Prior art keywords
- formula
- film
- insulating film
- compound represented
- group
- Prior art date
- Legal status (The legal status is an assumption and is not a legal conclusion. Google has not performed a legal analysis and makes no representation as to the accuracy of the status listed.)
- Expired - Fee Related
Links
Landscapes
- Internal Circuitry In Semiconductor Integrated Circuit Devices (AREA)
- Formation Of Insulating Films (AREA)
Description
本発明は、絶縁膜の製造方法、及び、前記製造方法により得られた絶縁膜に関する。 The present invention relates to an insulating film manufacturing method and an insulating film obtained by the manufacturing method.
近年、電子材料分野においては、高集積化、多機能化、高性能化の進行に伴い、回路抵抗や配線間のコンデンサー容量が増大し、消費電力や遅延時間の増大を招いている。中でも、遅延時間の増大は、デバイスの信号スピードの低下やクロストークの発生の大きな要因となるため、この遅延時間を減少させてデバイスの高速化を図るべく、寄生抵抗や寄生容量の低減が求められている。この寄生容量を低減するための具体策の一つとして、配線の周辺を低誘電性の層間絶縁膜で被覆することが試みられている。また、層間絶縁膜には、実装基板製造時の薄膜形成工程やチップ接続、ピン付け等の後工程に耐え得る優れた耐熱性やウェットプロセスに耐え得る耐薬品性が求められている。さらに、近年は、Al配線から低抵抗のCu配線が導入されつつあり、これに伴い、CMP(ケミカルメカニカルポリッシング)による平坦化が一般的となっており、このプロセスに耐え得る高い機械的強度が求められている。 In recent years, in the field of electronic materials, with the progress of higher integration, more functions, and higher performance, circuit resistance and capacitor capacity between wirings have increased, leading to an increase in power consumption and delay time. In particular, an increase in delay time is a major factor in reducing the signal speed of the device and the occurrence of crosstalk. Therefore, in order to reduce the delay time and speed up the device, it is necessary to reduce parasitic resistance and parasitic capacitance. It has been. As a specific measure for reducing this parasitic capacitance, an attempt has been made to cover the periphery of the wiring with a low dielectric interlayer insulating film. In addition, the interlayer insulating film is required to have excellent heat resistance that can withstand post-processes such as a thin film forming process, chip connection, and pinning when manufacturing a mounting substrate, and chemical resistance that can withstand a wet process. Furthermore, in recent years, low resistance Cu wiring is being introduced from Al wiring, and along with this, planarization by CMP (Chemical Mechanical Polishing) has become common, and high mechanical strength that can withstand this process is high. It has been demanded.
一般に低誘電率を示す化合物として飽和炭化水素で構成されるポリマーが挙げられる。これらのポリマーは含ヘテロ原子ユニットや芳香族炭化水素ユニットで構成されるポリマーと比べてモル分極が小さくなるため、より低い誘電率を示す。しかし、例えばポリエチレン等のフレキシビリティーの高い炭化水素は耐熱性が不十分であり、電子デバイス用途に利用することはできない。
それに対してリジッドなカゴ構造の飽和炭化水素であるアダマンタンやジアマンタンを分子内に導入したポリマーが開示されており、低い誘電率を有することが開示されている(特許文献1)。
In general, a polymer composed of a saturated hydrocarbon is exemplified as a compound exhibiting a low dielectric constant. Since these polymers have a lower molar polarization than polymers composed of heteroatom-containing units and aromatic hydrocarbon units, they exhibit a lower dielectric constant. However, for example, highly flexible hydrocarbons such as polyethylene have insufficient heat resistance and cannot be used for electronic device applications.
On the other hand, polymers in which adamantane and diamantane, which are rigid hydrocarbons having a rigid cage structure, are introduced into the molecule are disclosed, and are disclosed to have a low dielectric constant (Patent Document 1).
本発明の目的は、硬化性に優れ、かつ、低誘電率を有する絶縁膜を製造することができる絶縁膜の製造方法、及び、前記製造方法により得られる絶縁膜を提供することである。 An object of the present invention is to provide a method for manufacturing an insulating film that is capable of manufacturing an insulating film having excellent curability and a low dielectric constant, and an insulating film obtained by the manufacturing method.
本発明者は、鋭意検討の結果、上記課題が下記の<1>、<5>の構成により解決されることを見出した。好ましい実施態様である<2>〜<4>と共に以下に示す。
<1> 膜形成用組成物を塗布する工程と、塗布した膜形成用組成物に紫外線を照射する工程とを含み、前記膜形成用組成物が、(A)ラジカル重合開始剤と、(B−1)下記式(1)で表される化合物及び/又は下記式(1)で表される化合物を少なくとも用いて重合した重合体、及び/又は(B−2)下記式(2)で表される化合物及び/又は下記式(2)で表される化合物を少なくとも用いて重合した重合体とを含むことを特徴とする絶縁膜の製造方法、
As a result of intensive studies, the present inventor has found that the above problems are solved by the following <1> and <5> configurations. It is shown below with <2>-<4> which are preferable embodiments.
<1> A step of applying a film-forming composition and a step of irradiating the applied film-forming composition with ultraviolet light, wherein the film-forming composition comprises (A) a radical polymerization initiator and (B -1) A polymer obtained by polymerizing at least a compound represented by the following formula (1) and / or a compound represented by the following formula (1), and / or (B-2) represented by the following formula (2). And / or a polymer obtained by polymerizing at least a compound represented by the following formula (2), and a method for producing an insulating film,
<2> 前記紫外線の波長が500nm以下である上記<1>に記載の製造方法、
<3> 前記紫外線の照射時間が3分以下である上記<1>又は上記<2>に記載の製造方法、
<4> ラジカル重合開始剤が有機過酸化物、有機アゾ系化合物、アルキルフェノン系化合物及びオキシムエステル系化合物よりなる群から選択される少なくとも1つを含有する上記<1>〜上記<3>いずれか1つに記載の製造方法、
<5> 上記<1>〜上記<4>いずれか1つに記載の製造方法により得られる絶縁膜。
<2> The method according to <1>, wherein the wavelength of the ultraviolet light is 500 nm or less,
<3> The production method according to <1> or <2>, wherein the irradiation time of the ultraviolet rays is 3 minutes or less,
<4> Any of <1> to <3> above, wherein the radical polymerization initiator contains at least one selected from the group consisting of organic peroxides, organic azo compounds, alkylphenone compounds, and oxime ester compounds. Or the production method according to claim 1,
<5> An insulating film obtained by the manufacturing method according to any one of <1> to <4> above.
本発明によれば、硬化性に優れ、かつ、低誘電率を有する絶縁膜を製造することができる絶縁膜の製造方法、及び、前記製造方法により得られる絶縁膜を提供することができた。 ADVANTAGE OF THE INVENTION According to this invention, the manufacturing method of the insulating film which can manufacture the insulating film which is excellent in sclerosis | hardenability and has a low dielectric constant, and the insulating film obtained by the said manufacturing method were able to be provided.
以下、本発明を詳細に説明する。
本発明の絶縁膜の製造方法は、膜形成用組成物を塗布する工程と、塗布した膜形成用組成物に紫外線を照射する工程とを含み、前記膜形成用組成物が、(A)ラジカル重合開始剤と、(B−1)上記式(1)で表される化合物及び/又は上記式(1)で表される化合物を少なくとも用いて重合した重合体(以下、(B−1)成分ともいう。)、及び/又は(B−2)上記式(2)で表される化合物及び/又は上記式(2)で表される化合物を少なくとも用いて重合した重合体(以下、(B−2)成分ともいう。)とを含むことを特徴とする。
Hereinafter, the present invention will be described in detail.
The method for producing an insulating film of the present invention comprises a step of applying a film-forming composition and a step of irradiating the applied film-forming composition with ultraviolet rays, wherein the film-forming composition comprises (A) a radical. Polymerized by using at least a polymerization initiator and (B-1) a compound represented by the above formula (1) and / or a compound represented by the above formula (1) (hereinafter referred to as component (B-1) And / or (B-2) a polymer obtained by polymerizing at least a compound represented by the above formula (2) and / or a compound represented by the above formula (2) (hereinafter referred to as (B- 2) also referred to as a component)).
本発明において、膜形成用組成物は、(B−1)成分及び/又は(B−2)成分に、ラジカル重合開始剤を添加して構成されている。(B−1)成分、(B−2)成分のように、芳香環に連結した不飽和結合を持つ化合物にラジカル重合開始剤を添加することにより、反応効率が向上し、硬膜後の機械強度を向上させることができ、さらに未反応基低減により、k値(比誘電率)を低減させることができる。 In the present invention, the film-forming composition is constituted by adding a radical polymerization initiator to the component (B-1) and / or the component (B-2). By adding a radical polymerization initiator to a compound having an unsaturated bond linked to an aromatic ring, such as component (B-1) or component (B-2), the reaction efficiency is improved, and the machine after hardening The strength can be improved, and the k value (dielectric constant) can be reduced by reducing unreacted groups.
また、従来使用されていた熱処理による膜の硬化プロセスでは、処理時間が長く、製造に時間が掛かるという問題があった。本発明おいては、紫外線を照射することにより硬化反応が促進され、製造に必要とされる時間を大幅に削減することが可能となる。紫外線の照射により硬化反応が一層促進されるように、ラジカル重合開始剤を添加しており、より硬化反応が促進される。したがって、紫外線の照射により、ウェハ1枚当たりの処理時間を短縮することができ、硬化反応を熱による硬化反応よりも迅速に行うことができるため、より機械強度に優れた膜を形成することが可能となる。 In addition, the conventionally used film curing process by heat treatment has a problem that the processing time is long and the manufacturing takes time. In the present invention, the curing reaction is accelerated by irradiating with ultraviolet rays, and the time required for production can be greatly reduced. A radical polymerization initiator is added so that the curing reaction is further accelerated by irradiation with ultraviolet rays, and the curing reaction is further accelerated. Therefore, the processing time per wafer can be shortened by irradiation with ultraviolet rays, and the curing reaction can be performed more quickly than the curing reaction by heat, so that a film with higher mechanical strength can be formed. It becomes possible.
(膜形成用組成物)
本発明において使用される膜形成用組成物(本発明の膜形成用組成物ともいう。)は、(A)ラジカル重合開始剤と、(B−1)成分及び/又は(B−2)成分とを含有し、必要に応じて他の添加剤を含有する。
(Film forming composition)
The film-forming composition used in the present invention (also referred to as the film-forming composition of the present invention) comprises (A) a radical polymerization initiator, (B-1) component and / or (B-2) component. And other additives as required.
<(A)ラジカル重合開始剤>
本発明で使用するラジカル重合開始剤は紫外線(UV)によって炭素ラジカルや酸素ラジカル等の遊離ラジカルを発生して活性を示すものが好ましい。特に有機過酸化物、有機アゾ系化合物、アルキルフェノン系化合物及びオキシムエステル系化合物が好ましく用いられる。
<(A) Radical polymerization initiator>
The radical polymerization initiator used in the present invention preferably exhibits activity by generating free radicals such as carbon radicals and oxygen radicals by ultraviolet rays (UV). In particular, organic peroxides, organic azo compounds, alkylphenone compounds, and oxime ester compounds are preferably used.
有機過酸化物としては、diisobutyryl peroxide、cumyl peroxyneodecanoate、di-n-propyl peroxydicarbonate、diisopropyl peroxydicarbonate、di-sec-butyl peroxydicarbonate、1,1,3,3-tetramethylbutyl peroxyneodecanoate、di(4-t-butylcyclohexyl) peroxydicarbonate、di(2-ethylhexyl) peroxydicarbonate、t-hexyl peroxyneodecanoate、t-butyl peroxyneodecanoate、t-butyl peroxyneoheptanoate、t-hexyl peroxypivalate、t-butyl peroxypivalate、di(3,5,5-trimethylhexanoyl) peroxide、dilauroyl peroxide、1,1,3,3-tetramethylbutyl peroxy-2-ethylhexanoate、disuccinic acid peroxide、2,5-dimethyl-2,5-di(2-ethyhexanoylperoxy)hexane、t-hexyl peroxy-2-ethylhexanoate、di(4-methylbenzoyl) peroxide、t-butyl peroxy-2-ethylhexanoate、di(3-methylbenzoyl) peroxide、benzoyl(3-methylbenzoyl) peroxide、dibenzoyl peroxide、dibenzoyl peroxide、1,1-di(t-butylperoxy)-2-methylcyclohexane、1,1-di(t-hexylperoxy)-3,3,5-trimethylcyclohexane、1,1-di(t-hexylperoxy)cyclohexane、1,1-di(t-butylperoxy)cyclohexane、2,2-di(4,4-di-(t-butylperoxy)cyclohexyl)propane、t-hexyl peroxy isopropyl monocarbonate、t-butyl peroxymaleic acid、t-butyl peroxy-3,5,5-trimethylhexanoate、t-butyl peroxylaurate、t-butyl peroxy isopropyl monocarbonate、t-butyl peroxy 2-ethylhexyl monocarbonate、t-hexyl peroxybenzoate、2,5-di-methyl-2,5-di(benzoylperoxy)hexane、t-butyl peroxyacetate、2,2-di-(t-butylperoxy)butane、t-butyl peroxybenzoate、n-butyl 4,4-di-(t-butylperoxy)valerate、di(2-t-butylperoxyisopropyl)benzene、dicumyl peroxide、di-t-hexyl peroxide、2,5-dimethyl-2,5-di(t-butylperoxy)hexane、t-butyl cumyl peroxide、di-t-butyl peroxide、p-menthane hydroperoxide、2,5-dimethyl-2,5-di(t-butylperoxy)hexyne-3、diisopropylbenzene hydroperoxide、1,1,3,3-tetramethylbutyl hydroperoxide、cumene hydroperoxide、t-butyl hydroperoxide、2,3-dimethyl-2,3-diphenylbutane、2,4-dichlorobenzoyl peroxide、o-chlorobenzoyl peroxide、p-chlorobenzoyl peroxide、tris-(t-butyl peroxy)triazine、2,4,4-trimethyl pentyl peroxy neodecanoate、α-cumyl peroxy neodecanoate、t-amyl peroxy 2-ethyl hexanoate、t-butyl peroxy isobutylate、di-t-butyl peroxy hexahydro terephthalate、di-t-butylperoxy trimethyl adipate、di-3-methoxy butyl peroxy dicarbonate、di-isopropyl peroxy dicarbonate、t-butyl peroxy isopropyl carbonate、1,6-bis(t-butyl peroxycarbnyloxy)hexane、diethyleneglycol bis(t-butyl peroxycarbonate)、t-hexylperoxy neodecanoate等が好ましく用いられる。 Organic peroxides include diisobutyryl peroxide, cumyl peroxyneodecanoate, di-n-propyl peroxydicarbonate, diisopropyl peroxydicarbonate, di-sec-butyl peroxydicarbonate, 1,1,3,3-tetramethylbutyl peroxyneodecanoate, di (4-t-butylcyclohexyl) peroxydicarbonate , Di (2-ethylhexyl) peroxydicarbonate, t-hexyl peroxyneodecanoate, t-butyl peroxyneodecanoate, t-butyl peroxyneoheptanoate, t-hexyl peroxypivalate, t-butyl peroxypivalate, di (3,5,5-trimethylhexanoyl) peroxide, dilauroyl peroxide, 1 , 1,3,3-tetramethylbutyl peroxy-2-ethylhexanoate, disuccinic acid peroxide, 2,5-dimethyl-2,5-di (2-ethyhexanoylperoxy) hexane, t-hexyl peroxy-2-ethylhexanoate, di (4-methylbenzoyl ) peroxide, t-butyl peroxy-2-ethylhexanoate, di (3-methylbenzoyl) peroxide, benzoyl (3-methylbenzoyl) peroxide, dibenzoyl peroxide, dibenzoyl peroxide, 1,1-di (t-butylperoxy) -2-methylcyclohexane, 1 , 1-di (t-hexylperoxy) -3,3,5-trimethylcyclohexane, 1,1-di (t-hexylperoxy) cyclohexane, 1,1-di (t-butylperoxy) cyclohe xane, 2,2-di (4,4-di- (t-butylperoxy) cyclohexyl) propane, t-hexyl peroxy isopropyl monocarbonate, t-butyl peroxymaleic acid, t-butyl peroxy-3,5,5-trimethylhexanoate, t -butyl peroxylaurate, t-butyl peroxy isopropyl monocarbonate, t-butyl peroxy 2-ethylhexyl monocarbonate, t-hexyl peroxybenzoate, 2,5-di-methyl-2,5-di (benzoylperoxy) hexane, t-butyl peroxyacetate, 2, 2-di- (t-butylperoxy) butane, t-butyl peroxybenzoate, n-butyl 4,4-di- (t-butylperoxy) valerate, di (2-t-butylperoxyisopropyl) benzene, dicumyl peroxide, di-t-hexyl peroxide, 2,5-dimethyl-2,5-di (t-butylperoxy) hexane, t-butyl cumyl peroxide, di-t-butyl peroxide, p-menthane hydroperoxide, 2,5-dimethyl-2,5-di ( t-butylperoxy) hexyne-3, diisopropylbenzene hydroperoxide, 1,1,3,3-tetramethylbutyl hydroperoxide, cumene hydroperoxide, t-butyl hydroperoxide, 2,3-dimethyl-2,3-diphenylbutane, 2,4-dichlorobenzoyl peroxide, o -chlorobenzoyl peroxide, p-chlorobenzoyl peroxide, tris- (t-butyl peroxy) triazine, 2,4,4-trimethyl pe ntyl peroxy neodecanoate, α-cumyl peroxy neodecanoate, t-amyl peroxy 2-ethyl hexanoate, t-butyl peroxy isobutylate, di-t-butyl peroxy hexahydro terephthalate, di-t-butylperoxy trimethyl adipate, di-3-methoxy butyl peroxy dicarbonate Di-isopropyl peroxy dicarbonate, t-butyl peroxy isopropyl carbonate, 1,6-bis (t-butyl peroxycarbnyloxy) hexane, diethyleneglycol bis (t-butyl peroxycarbonate), t-hexylperoxy neodecanoate and the like are preferably used.
有機アゾ系化合物としては2,2-azobis(4-methoxy-2,4-dimethylvaleronitrile)、2,2-azobis(2,4-dimethylvaleronitrile)、2,2-azobis(2-methylpropionitrile)、2,2-azobis(2,4-dimethylbuthyronitrile)、1,1-azobis(cyclohexane-1-carbonitrile)、1-[(1-cyano-1-methylethyl)azo]formamide、2,2-azobis{2-methyl-N-[1,1-bis(hydroxymethyl)-2-hydroxyethyle]propionamide}、2,2-azobis{2-methyl-N-[2-(1-hydroxybuthyl)]propionamide}、2,2-azobis[2-methyl-N-(2-hydroxyethyl)-propionamide]、2,2-azobis[N-(2-propenyl)-2-methylpropionamide]、2,2-azobis(N-buthyl-2-methylpropionamide)、2,2-azobis(N-cyclohexyl-2-methylpropionamide)、2,2-azobis[2-(2-imidazolin-2-yl)propane]dihydrochloride、2,2-azobis[2-(2-imidazolin-2-yl)propane]disulfate dihydrate、2,2-azobis{2-[1-(2-hydroxyethyl)-2-imidazolin-2-yl]propane}dihydrochloride、2,2-azobis[2-(2-imidazolin-2-yl)propane]、2,2-azobis(1-imino-1-pyrrolidino-2-methyl-propane)dihydrochloride、2,2-azobis(2-methylpropionamidine) dihydrochloride、2,2-azobis[N-(2-carboxyethyl)-2-methyl-propionamidine] tetrahydrate、dimethyl 2,2-azobis(2-methylpropionate)、4,4-azobis(4-cyanovaleric acid)、2,2-azobis(2,4,4-trimethylpentane)等が好ましく用いられる。 As organic azo compounds, 2,2-azobis (4-methoxy-2,4-dimethylvaleronitrile), 2,2-azobis (2,4-dimethylvaleronitrile), 2,2-azobis (2-methylpropionitrile), 2,2 -azobis (2,4-dimethylbuthyronitrile), 1,1-azobis (cyclohexane-1-carbonitrile), 1-[(1-cyano-1-methylethyl) azo] formamide, 2,2-azobis {2-methyl-N -[1,1-bis (hydroxymethyl) -2-hydroxyethyle] propionamide}, 2,2-azobis {2-methyl-N- [2- (1-hydroxybuthyl)] propionamide}, 2,2-azobis [2- methyl-N- (2-hydroxyethyl) -propionamide], 2,2-azobis [N- (2-propenyl) -2-methylpropionamide], 2,2-azobis (N-buthyl-2-methylpropionamide), 2,2 -azobis (N-cyclohexyl-2-methylpropionamide), 2,2-azobis [2- (2-imidazolin-2-yl) propane] dihydrochloride, 2,2-azobis [2- (2-imidazolin-2-yl) propane] disulfate dihydrate, 2,2-azobis {2- [1- (2-hydroxyethyl) -2-imidazolin-2-yl] propane} dihydrochloride, 2,2-azobis [2- (2-imidazolin-2-yl) ) propane], 2,2-azobis (1-imino-1-pyrrolidino-2-methyl-propane) dihydrochloride, 2,2-azobis (2-methylpropionamidine) dihydrochloride, 2,2-azobis [N- (2-car boxyethyl) -2-methyl-propionamidine] tetrahydrate, dimethyl 2,2-azobis (2-methylpropionate), 4,4-azobis (4-cyanovaleric acid), 2,2-azobis (2,4,4-trimethylpentane), etc. Is preferably used.
アルキルフェノン系化合物としては2,2-ジメトキシ-1,2-ジフェニルエタン-1-オン、1-ヒドロキシ-シクロヘキシル-フェニル-ケトン、2-ヒドロキシ-2-メチル-1-フェニル-プロパン-1-オン、1-[4-(2-ヒドロキシエトキシ)-フェニル]-2-ヒドロキシ-2-メチル-1-プロパン-1-オン、2-ヒロドキシ-1-{4-[4-(2-ヒドロキシ-2-メチル-プロピオニル)-ベンジル]フェニル}-2-メチル-プロパン-1-オン、2-ベンジル-2-ジメチルアミノ-1-(4-モルフォリノフェニル)-ブタノン-1、2-(ジメチルアミノ)-2-[(4-メチルフェニル)メチル]-1-[4-(4-モルホリニル)フェニル]-1-ブタノン等が好ましく用いられる。 Alkylphenone compounds include 2,2-dimethoxy-1,2-diphenylethane-1-one, 1-hydroxy-cyclohexyl-phenyl-ketone, 2-hydroxy-2-methyl-1-phenyl-propan-1-one 1- [4- (2-hydroxyethoxy) -phenyl] -2-hydroxy-2-methyl-1-propan-1-one, 2-hydroxy-1- {4- [4- (2-hydroxy-2 -Methyl-propionyl) -benzyl] phenyl} -2-methyl-propan-1-one, 2-benzyl-2-dimethylamino-1- (4-morpholinophenyl) -butanone-1,2- (dimethylamino) -2-[(4-methylphenyl) methyl] -1- [4- (4-morpholinyl) phenyl] -1-butanone and the like are preferably used.
本発明において、上記ラジカル重合開始剤は1種のみ使用することもでき、また、2種以上を併用してもよい。
本発明において、重合開始剤の使用量は、(B−1)成分、(B−2)成分及び他の重合性化合物の合計モル数1モルに対して、0.005〜20モルであることが好ましく、0.01〜8モルであることがより好ましく、0.1〜2モルであることが特に好ましい。ここで、合計モル数とは、(B−1)成分が式(1)で表される化合物を少なくとも用いて重合した重合体である場合には、重合体を構成する単量体単位の合計モル数を意味し、同様に、(B−2)成分が式(2)で表される化合物を少なくとも用いて重合した重合体である場合には、重合体を構成する単量体単位の合計モル数を意味する。
In the present invention, only one radical polymerization initiator may be used, or two or more radical polymerization initiators may be used in combination.
In this invention, the usage-amount of a polymerization initiator shall be 0.005-20 mol with respect to 1 mol of total moles of (B-1) component, (B-2) component, and another polymeric compound. Is more preferable, 0.01 to 8 mol is more preferable, and 0.1 to 2 mol is particularly preferable. Here, the total number of moles is the sum of monomer units constituting the polymer when the component (B-1) is a polymer polymerized using at least the compound represented by formula (1). This means the number of moles. Similarly, when the component (B-2) is a polymer polymerized using at least the compound represented by formula (2), the total of monomer units constituting the polymer It means the number of moles.
<(B−1)成分及び(B−2)成分>
本発明において、膜形成用組成物は、必須成分として(B−1)成分及び/又は(B−2)成分を含有する。
〔(B−1)成分〕
本発明において、(B−1)成分は、下記式(1)で表される化合物及び/又は下記式(1)で表される化合物を少なくとも用いて重合した重合体である。
<(B-1) component and (B-2) component>
In the present invention, the film-forming composition contains the component (B-1) and / or the component (B-2) as an essential component.
[(B-1) component]
In the present invention, the component (B-1) is a polymer obtained by polymerizing at least a compound represented by the following formula (1) and / or a compound represented by the following formula (1).
−式(1)で表される化合物−
式(1)で表される化合物について説明する。
-Compound represented by Formula (1)-
The compound represented by formula (1) will be described.
前記式(1)中、2つのR1は炭素と水素のみからなる基を表し、それぞれ同一でも異なっていてもよく、お互いに連結し、6員環以上の環構造を形成していてもよい。
R1としては、アルキル基、アルキレン基、アルケニル基、アリール基等が例示でき、これらの中でも、アルキル基が好ましい。アルキル基は、炭素数1〜5であることが好ましく、より好ましくは炭素数1、すなわちメチル基である。
2つのR1は、お互いに連結して、6員環以上の環構造を形成していることが好ましく、6〜8員環を形成していることがより好ましく、さらに好ましくは6員環を形成していることである。R1が6員環を形成している場合、式(1)で表される化合物は、アダマンタン骨格を有する。
In the formula (1), two R 1 s represent groups consisting of only carbon and hydrogen, and may be the same or different, and may be connected to each other to form a 6-membered or higher ring structure. .
Examples of R 1 include an alkyl group, an alkylene group, an alkenyl group, and an aryl group. Among these, an alkyl group is preferable. The alkyl group preferably has 1 to 5 carbon atoms, more preferably 1 carbon atom, that is, a methyl group.
The two R 1 are preferably linked to each other to form a 6-membered or higher ring structure, more preferably a 6-8 membered ring, and still more preferably a 6 membered ring. It is forming. When R 1 forms a 6-membered ring, the compound represented by the formula (1) has an adamantane skeleton.
前記式(1)中、R2は水素原子又は下記式(3)で表され、それぞれ同一でも異なっていてもよい。ただし、少なくともR2のうち1つは式(3)で表される。 In the formula (1), R 2 is represented by a hydrogen atom or the following formula (3), and may be the same or different. However, at least one of R 2 is represented by Formula (3).
前記式(3)中のC2Hxにおける2つの炭素原子は2重結合(−CH=CH−)又は3重結合(−C≡C−)で連結されており、xは0又は2を表す。C2Hxは、3重結合で連結されていることが好ましく、即ち、−C≡C−であることが好ましい。 Two carbon atoms in C 2 H x in the formula (3) are connected by a double bond (—CH═CH—) or a triple bond (—C≡C—), and x is 0 or 2. To express. C 2 H x is preferably connected by a triple bond, that is, —C≡C—.
前記式(3)中、R3は水素原子、アルキル基、アリール基、置換アリール基、ヘテロアリール基、アリールエーテル基、アルケニル基又はアルキニル基を表す。R3は水素原子、アルキル基又はアリール基であることが好ましく、より好ましくは水素原子、メチル基、エチル基、t−ブチル基又はフェニル基である。これらの中でも、R3が水素原子又はフェニル基であることが好ましく、水素原子であることが特に好ましい。 In the formula (3), R 3 represents a hydrogen atom, an alkyl group, an aryl group, a substituted aryl group, a heteroaryl group, an aryl ether group, an alkenyl group or an alkynyl group. R 3 is preferably a hydrogen atom, an alkyl group or an aryl group, more preferably a hydrogen atom, a methyl group, an ethyl group, a t-butyl group or a phenyl group. Among these, R 3 is preferably a hydrogen atom or a phenyl group, and particularly preferably a hydrogen atom.
前記式(3)中、nは4であり、R7はベンゼン環に結合した水素原子又は置換基であり、n個(4個)存在する。R7はそれぞれ同一でも異なっていてもよく、水素原子、アルキル基、アリール基、置換アリール基又はハロゲン原子を表す。アリール基の例としては、フェニル基又はビフェニル基が例示できる。R7は、水素原子、ハロゲン原子であることが好ましく、より好ましくは水素原子である。 In the formula (3), n is 4, R 7 is a hydrogen atom or a substituent bonded to the benzene ring, and there are n (4). R 7 may be the same or different and each represents a hydrogen atom, an alkyl group, an aryl group, a substituted aryl group or a halogen atom. Examples of the aryl group include a phenyl group or a biphenyl group. R 7 is preferably a hydrogen atom or a halogen atom, more preferably a hydrogen atom.
式(1)で表される化合物の好ましい例を以下に示すが、本発明はこれに限定されるものではない。 Although the preferable example of a compound represented by Formula (1) is shown below, this invention is not limited to this.
式(1)で表される化合物の分子量は、150〜3,000が好ましく、200〜2,000がより好ましく、220〜1,000が特に好ましい。 150-3,000 are preferable, as for the molecular weight of the compound represented by Formula (1), 200-2,000 are more preferable, and 220-1,000 are especially preferable.
−式(1)で表される化合物を少なくとも用いて重合した重合体−
本発明において、膜形成用組成物は、式(1)で表される化合物、及び/又は、式(1)で表される化合物を少なくとも用いて重合した重合体を含むことが好ましい。すなわち、該重合体は、式(1)で表される化合物を単量体単位として有する。
式(1)で表される化合物を少なくとも用いて重合した重合体は、式(1)で表される化合物に由来するモノマー単位を、構造体中に10モル%以上含有することが好ましく、30モル%以上含有することが好ましく、50モル%以上含有することがさらに好ましい。
また、式(1)で表される化合物を少なくとも用いて重合した重合体は、式(1)で表される化合物のみを重合した重合体(単独重合体)、又は、アダマンタン骨格を有する他の化合物との共重合体であることが好ましく、式(1)で表される化合物のみを重合した重合体であることがより好ましい。
前記重合体に用いる式(1)で表される化合物における好ましい化合物は、前述した式(1)で表される化合物における好ましい化合物と同様である。
前記重合体に用いる式(1)で表される化合物は、1種単独で使用しても、2種以上を併用してもよい。
-Polymer polymerized using at least compound represented by formula (1)-
In this invention, it is preferable that the composition for film formation contains the polymer which polymerized using the compound represented by Formula (1) and / or the compound represented by Formula (1) at least. That is, the polymer has a compound represented by the formula (1) as a monomer unit.
The polymer polymerized using at least the compound represented by the formula (1) preferably contains 10 mol% or more of monomer units derived from the compound represented by the formula (1) in the structure. It is preferably contained in an amount of at least mol%, more preferably at least 50 mol%.
Moreover, the polymer polymerized using at least the compound represented by the formula (1) is a polymer (homopolymer) obtained by polymerizing only the compound represented by the formula (1), or other polymer having an adamantane skeleton. It is preferably a copolymer with a compound, and more preferably a polymer obtained by polymerizing only the compound represented by the formula (1).
The preferable compound in the compound represented by Formula (1) used for the polymer is the same as the preferable compound in the compound represented by Formula (1) described above.
The compound represented by Formula (1) used for the polymer may be used alone or in combination of two or more.
前記式(1)で表される化合物を少なくとも用いて重合した重合体の製造方法としては、特に制限はないが、重合開始剤存在下又は遷移金属触媒存在下で式(1)で表される化合物を少なくとも用いて重合する工程を含む方法であることが好ましく、ラジカル重合開始剤存在下で式(1)で表される化合物を少なくとも用いて重合する工程を含む方法であることがより好ましい。 The method for producing a polymer obtained by polymerization using at least the compound represented by the formula (1) is not particularly limited, but is represented by the formula (1) in the presence of a polymerization initiator or a transition metal catalyst. A method including a step of polymerizing using at least a compound is preferable, and a method including a step of polymerizing using a compound represented by formula (1) in the presence of a radical polymerization initiator is more preferable.
重合開始剤はラジカル重合開始剤であることが好ましく、ラジカル重合開始剤としては、有機過酸化物又は有機アゾ系化合物が好ましく用いられるが、特に有機過酸化物が好ましい。
有機過酸化物及び有機アゾ系化合物としては、前述したものを好ましく用いることができる。
The polymerization initiator is preferably a radical polymerization initiator, and an organic peroxide or an organic azo compound is preferably used as the radical polymerization initiator, and an organic peroxide is particularly preferable.
As the organic peroxide and the organic azo compound, those described above can be preferably used.
重合開始剤は、1種のみ用いてもよく、2種以上を混合して用いてもよい。
重合開始剤の使用量は、モノマー1モルに対して、0.001〜2モルであることが好ましく、0.01〜1モルであることがより好ましく、0.05〜0.5モルであることが特に好ましい。
Only one polymerization initiator may be used, or two or more polymerization initiators may be mixed and used.
The amount of the polymerization initiator used is preferably 0.001 to 2 mol, more preferably 0.01 to 1 mol, and 0.05 to 0.5 mol with respect to 1 mol of the monomer. It is particularly preferred.
モノマーの重合反応は、遷移金属触媒の存在下で行うことも好ましい。例えば、重合可能な炭素−炭素二重結合又は炭素−炭素三重結合を有するモノマーを、テトラキストリフェニルホスフィンパラジウム(Pd(PPh3)4)、酢酸パラジウム(Pd(OAc)2)等のPd系触媒、Ziegler−Natta触媒、ニッケルアセチルアセトネート等のNi系触媒、WCl6等のW系触媒、MoCl5等のMo系触媒、TaCl5等のTa系触媒、NbCl5等のNb系触媒、Rh系触媒、Pt系触媒等を用いて重合することが好ましい。 The polymerization reaction of the monomer is also preferably performed in the presence of a transition metal catalyst. For example, a monomer having a polymerizable carbon-carbon double bond or carbon-carbon triple bond is converted into a Pd-based catalyst such as tetrakistriphenylphosphine palladium (Pd (PPh 3 ) 4 ) or palladium acetate (Pd (OAc) 2 ). , Ziegler-Natta catalyst, Ni catalyst such as nickel acetyl acetonate, W-based catalyst such as WCl 6, Mo-based catalysts such as MoCl 5, Ta catalysts such as TaCl 5, Nb-based catalyst such as NbCl 5, Rh-based Polymerization is preferably performed using a catalyst, a Pt catalyst, or the like.
遷移金属触媒は1種のみ、又は、2種以上を混合して用いてもよい。
遷移金属触媒の使用量は、モノマー1モルに対して、好ましくは0.001〜2モル、より好ましくは0.01〜1モル、特に好ましくは0.05〜0.5モルである。
Only one transition metal catalyst or a mixture of two or more transition metal catalysts may be used.
The amount of the transition metal catalyst used is preferably 0.001 to 2 mol, more preferably 0.01 to 1 mol, and particularly preferably 0.05 to 0.5 mol with respect to 1 mol of the monomer.
式(1)で表される化合物を少なくとも用いて重合した重合体の重量平均分子量は、800〜200,000が好ましく、2,000〜100,000がより好ましく、5,000〜50,000が特に好ましい。
式(1)で表される化合物を少なくとも用いて重合した重合体は、分子量分布を有する樹脂組成物として、本発明の膜形成用組成物に含まれていてもよい。
The weight average molecular weight of the polymer polymerized using at least the compound represented by the formula (1) is preferably 800 to 200,000, more preferably 2,000 to 100,000, and 5,000 to 50,000. Particularly preferred.
The polymer polymerized using at least the compound represented by the formula (1) may be contained in the film-forming composition of the present invention as a resin composition having a molecular weight distribution.
重合反応で使用する溶媒は、原料モノマーが必要な濃度で溶解可能であり、かつ得られる重合体から形成する膜の特性に悪影響を与えないものであればどのようなものを使用してもよい。例えば水やメタノール、エタノール、プロパノール等のアルコール系溶剤、アルコールアセトン、メチルエチルケトン、メチルイソブチルケトン、シクロヘキサノン、アセトフェノン等のケトン系溶剤、酢酸エチル、酢酸ブチル、プロピレングリコールモノメチルエーテルアセテート、γ−ブチロラクトン、メチルベンゾエート等のエステル系溶剤、ジブチルエーテル、アニソール等のエーテル系溶剤、トルエン、キシレン、メシチレン、1,2,4,5−テトラメチルベンゼン、ペンタメチルベンゼン、イソプロピルベンゼン、1,4−ジイソプロピルベンゼン、t−ブチルベンゼン、1,4−ジ−t−ブチルベンゼン、1,3,5−トリエチルベンゼン、1,3,5−トリ−t−ブチルベンゼン、4−t−ブチル−オルトキシレン、1−メチルナフタレン、1,3,5−トリイソプロピルベンゼン等の芳香族炭化水素系溶剤、N−メチルピロリジノン、ジメチルアセトアミド等のアミド系溶剤、四塩化炭素、ジクロロメタン、クロロホルム、1,2−ジクロロエタン、クロロベンゼン、1,2−ジクロロベンゼン、1,2,4−トリクロロベンゼン等のハロゲン系溶剤、ヘキサン、ヘプタン、オクタン、シクロヘキサン等の脂肪族炭化水素系溶剤などが利用できる。
これらの中でより好ましい溶剤は、アセトン、メチルエチルケトン、メチルイソブチルケトン、シクロヘキサノン、アセトフェノン、酢酸エチル、プロピレングリコールモノメチルエーテルアセテート、γ−ブチロラクトン、アニソール、テトラヒドロフラン、トルエン、キシレン、メシチレン、1,2,4,5−テトラメチルベンゼン、イソプロピルベンゼン、t−ブチルベンゼン、1,4−ジ−t−ブチルベンゼン、1,3,5−トリ−t−ブチルベンゼン、4−t−ブチル−オルトキシレン、1−メチルナフタレン、1,3,5−トリイソプロピルベンゼン、1,2−ジクロロエタン、クロロベンゼン、1,2−ジクロロベンゼン、1,2,4−トリクロロベンゼンであり、さらに好ましくはテトラヒドロフラン、γ−ブチロラクトン、アニソール、トルエン、キシレン、メシチレン、イソプロピルベンゼン、t−ブチルベンゼン、1,3,5−トリ−t−ブチルベンゼン、1−メチルナフタレン、1,3,5−トリイソプロピルベンゼン、1,2−ジクロロエタン、クロロベンゼン、1,2−ジクロロベンゼン、1,2,4−トリクロロベンゼンであり、特に好ましくはγ−ブチロラクトン、アニソール、メシチレン、t−ブチルベンゼン、1,3,5−トリイソプロピルベンゼン、1,2−ジクロロベンゼン、1,2,4−トリクロロベンゼンである。これらは単独でも2種以上を混合して用いてもよい。
反応液中のモノマーの濃度は、好ましくは1〜50重量%、より好ましくは5〜30重量%、特に好ましくは10〜20重量%である。
As the solvent used in the polymerization reaction, any solvent may be used as long as the raw material monomer can be dissolved at a necessary concentration and does not adversely affect the characteristics of the film formed from the obtained polymer. . For example, alcohol solvents such as water, methanol, ethanol, propanol, alcohol solvents such as alcohol acetone, methyl ethyl ketone, methyl isobutyl ketone, cyclohexanone, acetophenone, ethyl acetate, butyl acetate, propylene glycol monomethyl ether acetate, γ-butyrolactone, methyl benzoate Ester solvents such as dibutyl ether and anisole, toluene, xylene, mesitylene, 1,2,4,5-tetramethylbenzene, pentamethylbenzene, isopropylbenzene, 1,4-diisopropylbenzene, t- Butylbenzene, 1,4-di-t-butylbenzene, 1,3,5-triethylbenzene, 1,3,5-tri-t-butylbenzene, 4-t-butyl-orthoxylene, 1- Aromatic hydrocarbon solvents such as tilnaphthalene and 1,3,5-triisopropylbenzene, amide solvents such as N-methylpyrrolidinone and dimethylacetamide, carbon tetrachloride, dichloromethane, chloroform, 1,2-dichloroethane, chlorobenzene, Halogen solvents such as 1,2-dichlorobenzene and 1,2,4-trichlorobenzene and aliphatic hydrocarbon solvents such as hexane, heptane, octane and cyclohexane can be used.
Among these, more preferred solvents are acetone, methyl ethyl ketone, methyl isobutyl ketone, cyclohexanone, acetophenone, ethyl acetate, propylene glycol monomethyl ether acetate, γ-butyrolactone, anisole, tetrahydrofuran, toluene, xylene, mesitylene, 1, 2, 4, 5-tetramethylbenzene, isopropylbenzene, t-butylbenzene, 1,4-di-t-butylbenzene, 1,3,5-tri-t-butylbenzene, 4-t-butyl-orthoxylene, 1-methyl Naphthalene, 1,3,5-triisopropylbenzene, 1,2-dichloroethane, chlorobenzene, 1,2-dichlorobenzene, 1,2,4-trichlorobenzene, more preferably tetrahydrofuran, γ-butyrolactone, Anisole, toluene, xylene, mesitylene, isopropylbenzene, t-butylbenzene, 1,3,5-tri-t-butylbenzene, 1-methylnaphthalene, 1,3,5-triisopropylbenzene, 1,2-dichloroethane, Chlorobenzene, 1,2-dichlorobenzene, 1,2,4-trichlorobenzene, particularly preferably γ-butyrolactone, anisole, mesitylene, t-butylbenzene, 1,3,5-triisopropylbenzene, 1,2- Dichlorobenzene and 1,2,4-trichlorobenzene. These may be used alone or in admixture of two or more.
The concentration of the monomer in the reaction solution is preferably 1 to 50% by weight, more preferably 5 to 30% by weight, and particularly preferably 10 to 20% by weight.
本発明における重合反応の最適な条件は、重合開始剤、モノマー、溶媒の種類、濃度等によって異なるが、好ましくは内温0℃〜200℃、より好ましくは50℃〜170℃、特に好ましくは100℃〜150℃で、好ましくは0.1〜50時間、より好ましくは0.5〜20時間、特に好ましくは0.75〜10時間の範囲である。
また、酸素による重合開始剤の不活性化を抑制するために不活性ガス雰囲気下(例えば窒素、アルゴン等)で反応させることが好ましい。反応時の酸素濃度は、好ましくは100ppm以下、より好ましくは50ppm以下、特に好ましくは20ppm以下である。
Optimum conditions for the polymerization reaction in the present invention vary depending on the polymerization initiator, monomer, solvent type, concentration, and the like, but preferably the internal temperature is 0 ° C to 200 ° C, more preferably 50 ° C to 170 ° C, and particularly preferably 100. C. to 150.degree. C., preferably 0.1 to 50 hours, more preferably 0.5 to 20 hours, and particularly preferably 0.75 to 10 hours.
Moreover, in order to suppress the inactivation of the polymerization initiator by oxygen, it is preferable to make it react under inert gas atmosphere (for example, nitrogen, argon, etc.). The oxygen concentration during the reaction is preferably 100 ppm or less, more preferably 50 ppm or less, and particularly preferably 20 ppm or less.
〔(B−2)成分〕
本発明において、(B−2)成分は、式(2)で表される化合物及び/又は下記式(2)で表される化合物を少なくとも用いて重合した重合体の総称である。
以下、式(2)で表される化合物について説明する。
−式(2)で表される化合物−
式(2)で表される化合物について説明する。
[(B-2) component]
In the present invention, the component (B-2) is a general term for a polymer obtained by polymerization using at least a compound represented by the formula (2) and / or a compound represented by the following formula (2).
Hereinafter, the compound represented by Formula (2) is demonstrated.
-Compound represented by Formula (2)-
The compound represented by formula (2) will be described.
式(2)中、2つのR4及びR5は炭素と水素から成り、それぞれ同一でも異なっていてもよく、R4はR4と、R5はR5とお互いに連結し、6員環以上の環構造を形成していてもよい。
式(2)で表される化合物は、R4とR4、R5とR5が互いに連結し、6員環を形成していることが好ましい。即ち、式(2)で表される化合物が、ジアマンタン骨格を有することが好ましい。
In the formula (2), two R 4 and R 5 are composed of carbon and hydrogen, and may be the same or different. R 4 is linked to R 4 and R 5 is linked to R 5, and is a 6-membered ring. The above ring structure may be formed.
In the compound represented by the formula (2), R 4 and R 4 , R 5 and R 5 are preferably connected to each other to form a 6-membered ring. That is, it is preferable that the compound represented by Formula (2) has a diamantane skeleton.
式(2)中、R6は水素原子又は上記式(3)で表され、それぞれ同一でも異なっていてもよい。ただし、少なくともR6のうち1つは式(3)で表される。式(3)は、式(1)におけるものと同義であり、その好ましい範囲も同じである。 In formula (2), R 6 is represented by a hydrogen atom or the above formula (3), and may be the same or different. However, at least one of R 6 is represented by Formula (3). Formula (3) is synonymous with that in Formula (1), and its preferred range is also the same.
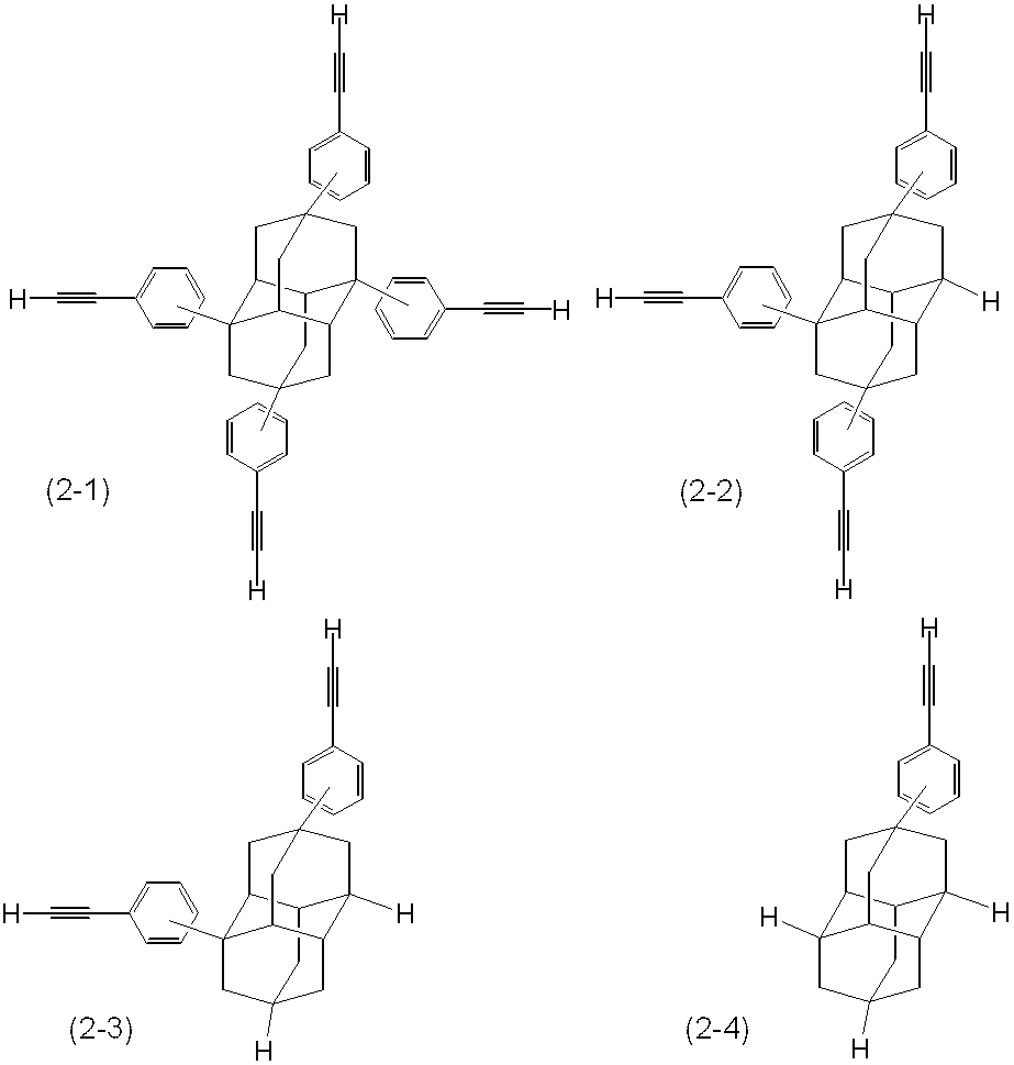
式(2)で表される化合物の好ましい例((2−1)〜(2−4))を以下に示すが、本発明はこれに限定されるものではない。 Preferred examples ((2-1) to (2-4)) of the compound represented by the formula (2) are shown below, but the present invention is not limited thereto.
式(2)で表される化合物の分子量は、270〜3,000が好ましく、275〜2,000がより好ましく、285〜1,000が特に好ましい。 The molecular weight of the compound represented by the formula (2) is preferably 270 to 3,000, more preferably 275 to 2,000, and particularly preferably 285 to 1,000.
−式(2)で表される化合物を少なくとも用いて重合した重合体−
本発明において、膜形成用組成物は、式(2)で表される化合物、及び/又は、式(2)で表される化合物を少なくとも用いて重合した重合体を含むことができる。該重合体は、式(2)で表される化合物を単量体単位として有する。
式(2)で表される化合物を少なくとも用いて重合した重合体は、式(2)で表される化合物に由来するモノマー単位を、構造体中に10モル%以上含有することが好ましく、30モル%以上含有することが好ましく、50モル%以上含有することがさらに好ましい。
また、式(2)で表される化合物を少なくとも用いて重合した重合体は、式(2)で表される化合物のみを重合した重合体(単独重合体)、又は、ジアマンタン骨格を有する他の化合物との共重合体であることが好ましく、式(2)で表される化合物のみを重合した重合体であることがより好ましい。
前記重合体に用いる式(2)で表される化合物における好ましい化合物は、前述した式(2)で表される化合物における好ましい化合物と同様である。
前記重合体に用いる式(2)で表される化合物は、1種単独で使用しても、2種以上を併用してもよい。
-Polymer polymerized using at least compound represented by formula (2)-
In the present invention, the film-forming composition can include a polymer obtained by polymerization using at least the compound represented by the formula (2) and / or the compound represented by the formula (2). The polymer has a compound represented by the formula (2) as a monomer unit.
The polymer polymerized using at least the compound represented by the formula (2) preferably contains 10 mol% or more of monomer units derived from the compound represented by the formula (2) in the structure. It is preferably contained in an amount of at least mol%, more preferably at least 50 mol%.
Moreover, the polymer polymerized using at least the compound represented by the formula (2) is a polymer (homopolymer) obtained by polymerizing only the compound represented by the formula (2), or other polymer having a diamantane skeleton. A copolymer with the compound is preferable, and a polymer obtained by polymerizing only the compound represented by the formula (2) is more preferable.
The preferable compound in the compound represented by Formula (2) used for the polymer is the same as the preferable compound in the compound represented by Formula (2) described above.
The compound represented by Formula (2) used for the polymer may be used alone or in combination of two or more.
式(2)で表される化合物を少なくとも用いて重合した重合体の製造方法としては、式(1)で表される化合物を少なくとも用いて重合した重合体の製造方法と同様の方法を使用することができ、また、好ましい反応条件も同様である。 As a method for producing a polymer polymerized using at least the compound represented by formula (2), a method similar to the method for producing a polymer polymerized using at least the compound represented by formula (1) is used. The preferred reaction conditions are also the same.
式(2)で表される化合物を少なくとも用いて重合した重合体の重量平均分子量は、800〜200,000が好ましく、2,000〜100,000がより好ましく、5,000〜50,000が特に好ましい。
式(2)で表される化合物を少なくとも用いて重合した重合体は、分子量分布を有する樹脂組成物として、本発明の膜形成用組成物に含まれていてもよい。
The weight average molecular weight of the polymer polymerized using at least the compound represented by the formula (2) is preferably 800 to 200,000, more preferably 2,000 to 100,000, and 5,000 to 50,000. Particularly preferred.
The polymer polymerized using at least the compound represented by formula (2) may be contained in the film-forming composition of the present invention as a resin composition having a molecular weight distribution.
−添加量−
本発明において、膜形成用組成物における(B−1)成分及び(B−2)成分の総添加量は、膜形成用組成物に対して、0.1〜50重量%であることが好ましく、1〜40重量%であることがより好ましく、1.5〜20重量%であることが特に好ましい。
また、膜形成用組成物の固形分に対して、20〜99.9重量%添加することが好ましく、40〜99.7重量%添加することがより好ましく、60〜99.5重量%添加することがさらに好ましい。ここで固形分とは、本発明における膜形成用組成物を用いて得られる膜を構成する全成分に相当する。
また、本発明において、膜形成用組成物における(B−1)成分及び(B−2)成分は、1種単独で使用しても、2種以上を併用してもよい。したがって、複数の(B−1)成分を使用することもできるし、複数の(B−2)成分を使用することもできる。また、(B−1)成分及び(B−2)成分を併用することもできる。これらの中で、(B−1)成分又は(B−2)成分のみを使用し、両者を併用しないことが好ましい。
-Addition amount-
In the present invention, the total amount of component (B-1) and component (B-2) in the film-forming composition is preferably 0.1 to 50% by weight with respect to the film-forming composition. 1 to 40% by weight is more preferable, and 1.5 to 20% by weight is particularly preferable.
Moreover, it is preferable to add 20-99.9 weight% with respect to solid content of the composition for film formation, It is more preferable to add 40-99.7 weight%, 60-609.5 weight% is added. More preferably. Here, the solid content corresponds to all components constituting the film obtained by using the film forming composition of the present invention.
In the present invention, the component (B-1) and the component (B-2) in the film-forming composition may be used alone or in combination of two or more. Therefore, a plurality of (B-1) components can be used, and a plurality of (B-2) components can also be used. Moreover, (B-1) component and (B-2) component can also be used together. Among these, it is preferable to use only the component (B-1) or the component (B-2) and not use both.
<金属含量>
本発明において、膜形成用組成物には、不純物としての金属含量が充分に少ないことが好ましい。膜形成用組成物の金属濃度は、誘導結合プラズマ質量分析(ICP−MS)法にて高感度に測定可能であり、その場合の遷移金属以外の金属含有量は、好ましくは30ppm以下、より好ましくは3ppm以下、特に好ましくは300ppb以下である。
また、遷移金属に関しては酸化を促進する触媒能が高く、プリベーク、熱硬化プロセスにおいて酸化反応によって本発明で得られた膜の誘電率を上げてしまうという観点から、含有量がより少ないほうがよく、好ましくは10ppm以下、より好ましくは1ppm以下、特に好ましくは100ppb以下である。
本発明の膜形成用組成物の金属濃度は、本発明の膜形成用組成物を用いて得た膜に対して全反射蛍光X線測定を行うことによっても評価できる。
X線源としてW(タングステン)線を用いた場合、金属元素としてK、Ca、Ti、Cr、Mn、Fe、Co、Ni、Cu、Zn、Pdが観測可能であり、それぞれ100×1010atom・cm-2以下が好ましく、50×1010atom・cm-2以下がより好ましく、10×1010atom・cm-2以下が特に好ましい。
また、ハロゲンであるBrも観測可能であり、残存量は10,000×1010atom・cm-2以下が好ましく、1,000×1010atom・cm-2以下がより好ましく、400×1010atom・cm-2以下が特に好ましい。また、ハロゲンとしてClも観測可能であり、CVD装置、エッチング装置等へダメージを与えるという観点から残存量は100×1010atom・cm-2以下が好ましく、50×1010atom・cm-2以下がより好ましく、10×1010atom・cm-2以下が特に好ましい。
<Metal content>
In the present invention, the film-forming composition preferably has a sufficiently low metal content as an impurity. The metal concentration of the film-forming composition can be measured with high sensitivity by inductively coupled plasma mass spectrometry (ICP-MS), and the metal content other than the transition metal in that case is preferably 30 ppm or less, more preferably Is 3 ppm or less, particularly preferably 300 ppb or less.
In addition, the transition metal has a high catalytic ability to promote oxidation, and from the viewpoint of increasing the dielectric constant of the film obtained in the present invention by an oxidation reaction in the prebaking and thermosetting processes, the content is preferably smaller. Preferably it is 10 ppm or less, More preferably, it is 1 ppm or less, Most preferably, it is 100 ppb or less.
The metal concentration of the film forming composition of the present invention can also be evaluated by performing total reflection fluorescent X-ray measurement on a film obtained using the film forming composition of the present invention.
When a W (tungsten) ray is used as an X-ray source, K, Ca, Ti, Cr, Mn, Fe, Co, Ni, Cu, Zn, and Pd can be observed as metal elements, each of which is 100 × 10 10 atoms. · Cm −2 or less is preferable, 50 × 10 10 atom · cm −2 or less is more preferable, and 10 × 10 10 atom · cm −2 or less is particularly preferable.
Further, Br which is halogen can be observed, and the residual amount is preferably 10,000 × 10 10 atom · cm −2 or less, more preferably 1,000 × 10 10 atom · cm −2 or less, and 400 × 10 10. Atom · cm −2 or less is particularly preferable. In addition, Cl can be observed as halogen, and the remaining amount is preferably 100 × 10 10 atom · cm −2 or less, and 50 × 10 10 atom · cm −2 or less from the viewpoint of damaging a CVD apparatus, an etching apparatus, or the like. Is more preferable, and 10 × 10 10 atom · cm −2 or less is particularly preferable.
<有機溶媒>
本発明の膜形成用組成物は、有機溶媒(塗布溶剤)を含んでいてもよい。
有機溶媒(塗布溶剤)としては特に限定はされないが、例えばメタノール、エタノール、2−プロパノール、1−ブタノール、2−エトキシメタノール、3−メトキシプロパノール,1−メトキシ−2−プロパノール等のアルコール系溶媒、アセトン、アセチルアセトン、メチルエチルケトン、メチルイソブチルケトン、2−ペンタノン、3−ペンタノン、2−ヘプタノン、3−ヘプタノン、シクロペンタノン、シクロヘキサノン等のケトン系溶媒、酢酸エチル、酢酸プロピル、酢酸ブチル、酢酸イソブチル、酢酸ペンチル、プロピオン酸エチル、プロピオン酸プロピル、プロピオン酸ブチル、プロピオン酸イソブチル、プロピレングリコールモノメチルエーテルアセテート、乳酸メチル、乳酸エチル、γ−ブチロラクトン等のエステル系溶媒、ジイソプロピルエーテル、ジブチルエーテル、エチルプロピルエーテル、アニソール、フェネトール、ベラトロール等のエーテル系溶媒、メシチレン、エチルベンゼン、ジエチルベンゼン、プロピルベンゼン、t−ブチルベンゼン等の芳香族炭化水素系溶媒、N−メチルピロリジノン、ジメチルアセトアミド等のアミド系溶媒などが挙げられ、これらは単独でも2種以上を混合して用いてもよい。
より好ましい有機溶媒は、1−メトキシ−2−プロパノール、プロパノール、アセチルアセトン、シクロヘキサノン、プロピレングリコールモノメチルエーテルアセテート、酢酸ブチル、乳酸メチル、乳酸エチル、γ−ブチロラクトン、アニソール、メシチレン、t−ブチルベンゼンであり、特に好ましい有機溶媒は1−メトキシ−2−プロパノール、シクロヘキサノン、2−ヘプタノン、プロピレングリコールモノメチルエーテルアセテート、乳酸エチル、γ−ブチロラクトン、t−ブチルベンゼン、アニソールである。
<Organic solvent>
The film forming composition of the present invention may contain an organic solvent (coating solvent).
Although it does not specifically limit as an organic solvent (coating solvent), For example, alcohol solvents, such as methanol, ethanol, 2-propanol, 1-butanol, 2-ethoxymethanol, 3-methoxypropanol, 1-methoxy-2-propanol, Ketone solvents such as acetone, acetylacetone, methyl ethyl ketone, methyl isobutyl ketone, 2-pentanone, 3-pentanone, 2-heptanone, 3-heptanone, cyclopentanone, cyclohexanone, ethyl acetate, propyl acetate, butyl acetate, isobutyl acetate, acetic acid Esters such as pentyl, ethyl propionate, propyl propionate, butyl propionate, isobutyl propionate, propylene glycol monomethyl ether acetate, methyl lactate, ethyl lactate, and γ-butyrolactone , Ether solvents such as diisopropyl ether, dibutyl ether, ethyl propyl ether, anisole, phenetol, veratrol, aromatic hydrocarbon solvents such as mesitylene, ethylbenzene, diethylbenzene, propylbenzene, t-butylbenzene, N-methylpyrrolidinone, dimethyl Examples thereof include amide solvents such as acetamide, and these may be used alone or in admixture of two or more.
More preferred organic solvents are 1-methoxy-2-propanol, propanol, acetylacetone, cyclohexanone, propylene glycol monomethyl ether acetate, butyl acetate, methyl lactate, ethyl lactate, γ-butyrolactone, anisole, mesitylene, t-butylbenzene, Particularly preferred organic solvents are 1-methoxy-2-propanol, cyclohexanone, 2-heptanone, propylene glycol monomethyl ether acetate, ethyl lactate, γ-butyrolactone, t-butylbenzene, and anisole.
<固形分濃度>
本発明の膜形成用組成物の固形分濃度は、好ましくは1〜50重量%であり、より好ましくは2〜15重量%であり、特に好ましくは3〜10重量%である。
ここで固形分とは、この組成物を用いて得られる膜を構成する全成分に相当する。
(B−1)成分及び(B−2)成分の溶解度は、25℃でシクロヘキサノン又はアニソールに対し、好ましくは3重量%以上、より好ましくは5重量%以上、特に好ましくは10重量%以上の溶解度である。
<Concentration of solid content>
The solid content concentration of the film-forming composition of the present invention is preferably 1 to 50% by weight, more preferably 2 to 15% by weight, and particularly preferably 3 to 10% by weight.
Here, the solid content corresponds to all components constituting the film obtained using this composition.
The solubility of the component (B-1) and the component (B-2) is preferably 3% by weight or more, more preferably 5% by weight or more, particularly preferably 10% by weight or more with respect to cyclohexanone or anisole at 25 ° C. It is.
<その他の添加剤>
さらに、本発明の膜形成用組成物には、得られる膜(好ましくは絶縁膜)の特性(耐熱性、誘電率、機械強度、塗布性、密着性等)を損なわない範囲で、コロイド状シリカ、界面活性剤、シランカップリング剤、密着促進剤などの添加剤を添加してもよい。
<Other additives>
Furthermore, the film-forming composition of the present invention includes colloidal silica as long as the properties (heat resistance, dielectric constant, mechanical strength, coatability, adhesion, etc.) of the obtained film (preferably insulating film) are not impaired. In addition, additives such as a surfactant, a silane coupling agent, and an adhesion promoter may be added.
〔コロイド状シリカ〕
本発明に用いることができるコロイド状シリカとしては、いかなるコロイド状シリカを使用してもよい。例えば、高純度の無水ケイ酸を親水性有機溶媒若しくは水に分散した分散液であり、好ましくは平均粒径5〜30nm、より好ましくは10〜20nm、固形分濃度が好ましくは5〜40重量%のものである。
[Colloidal silica]
Any colloidal silica may be used as the colloidal silica that can be used in the present invention. For example, a dispersion in which high-purity silicic acid is dispersed in a hydrophilic organic solvent or water, preferably an average particle size of 5 to 30 nm, more preferably 10 to 20 nm, and a solid content concentration of preferably 5 to 40% by weight. belongs to.
〔界面活性剤〕
本発明に用いることができる界面活性剤としては、いかなる界面活性剤を使用してもよい。例えば、ノニオン系界面活性剤、アニオン系界面活性剤、カチオン系界面活性剤などが挙げられ、さらにシリコーン系界面活性剤、含フッ素系界面活性剤、ポリアルキレンオキシド系界面活性剤、アクリル系界面活性剤が挙げられる。本発明に用いることができる界面活性剤は、一種類でもよいし、二種類以上でもよい。界面活性剤としては、シリコーン系界面活性剤、ノニオン系界面活性剤、含フッ素系界面活性剤、アクリル系界面活性剤が好ましく、シリコーン系界面活性剤が特に好ましい。
[Surfactant]
As the surfactant that can be used in the present invention, any surfactant may be used. For example, nonionic surfactants, anionic surfactants, cationic surfactants, and the like, silicone surfactants, fluorine-containing surfactants, polyalkylene oxide surfactants, acrylic surfactants Agents. The surfactant that can be used in the present invention may be one type or two or more types. As the surfactant, silicone surfactants, nonionic surfactants, fluorine-containing surfactants, and acrylic surfactants are preferable, and silicone surfactants are particularly preferable.
本発明に用いることができる界面活性剤の添加量は、膜形成用組成物の全量に対して、0.01重量%以上1重量%以下であることが好ましく、0.1重量%以上0.5重量%以下であることがさらに好ましい。 The addition amount of the surfactant that can be used in the present invention is preferably 0.01% by weight or more and 1% by weight or less, and preferably 0.1% by weight or more and 0.00% by weight based on the total amount of the film-forming composition. More preferably, it is 5% by weight or less.
本発明において、シリコーン系界面活性剤とは、少なくとも1原子のSi原子を含む界面活性剤である。本発明に用いることができるシリコーン系界面活性剤としては、いかなるシリコーン系界面活性剤でもよく、アルキレンオキシド及びジメチルシロキサンを含む構造であることが好ましい。下記化学式を含む構造であることがさらに好ましい。 In the present invention, the silicone-based surfactant is a surfactant containing at least one Si atom. The silicone-based surfactant that can be used in the present invention may be any silicone-based surfactant, and preferably has a structure containing alkylene oxide and dimethylsiloxane. A structure including the following chemical formula is more preferable.
上記式中、Rは水素原子又は炭素数1〜5のアルキル基であり、xは1〜20の整数であり、m、nはそれぞれ独立に2〜100の整数である。また、Rが複数存在する場合、それぞれ同じあっても異なっていてもよい。 In said formula, R is a hydrogen atom or a C1-C5 alkyl group, x is an integer of 1-20, m and n are the integers of 2-100 each independently. Further, when there are a plurality of R, they may be the same or different.
本発明に用いることができるシリコーン系界面活性剤としては、例えば、BYK−306、BYK−307(ビックケミー社製)、SH7PA、SH21PA、SH28PA、SH30PA(東レ・ダウコーニング・シリコーン社製)、TroysolS366(トロイケミカル社製)等を挙げることができる。 Examples of silicone surfactants that can be used in the present invention include BYK-306, BYK-307 (manufactured by BYK Chemie), SH7PA, SH21PA, SH28PA, SH30PA (manufactured by Toray Dow Corning Silicone), Troysol S366 ( Troy Chemical Co., Ltd.).
本発明に用いることができるノニオン系界面活性剤としては、いかなるノニオン系界面活性剤でもよい。例えば、ポリオキシエチレンアルキルエーテル類、ポリオキシエチレンアリールエーテル類、ポリオキシエチレンジアルキルエステル類、ソルビタン脂肪酸エステル類、脂肪酸変性ポリオキシエチレン類、ポリオキシエチレン−ポリオキシプロピレンブロック共重合体等を挙げることができる。 The nonionic surfactant that can be used in the present invention may be any nonionic surfactant. For example, polyoxyethylene alkyl ethers, polyoxyethylene aryl ethers, polyoxyethylene dialkyl esters, sorbitan fatty acid esters, fatty acid-modified polyoxyethylenes, polyoxyethylene-polyoxypropylene block copolymers, etc. Can do.
本発明に用いることができる含フッ素系界面活性剤としては、いかなる含フッ素系界面活性剤でもよい。例えば、パーフルオルオクチルポリエチレンオキシド、パーフルオルデシルポリエチレンオキシド、パーフルオルドデシルポリエチレンオキシド等が挙げられる。 The fluorine-containing surfactant that can be used in the present invention may be any fluorine-containing surfactant. For example, perfluorooctyl polyethylene oxide, perfluorodecyl polyethylene oxide, perfluorodecyl polyethylene oxide and the like can be mentioned.
本発明に用いることができるアクリル系界面活性剤としては、いかなるアクリル系界面活性剤でもよい。例えば、アクリル酸系共重合体やメタクリル酸系共重合体等が挙げられる。 The acrylic surfactant that can be used in the present invention may be any acrylic surfactant. For example, an acrylic acid copolymer or a methacrylic acid copolymer can be used.
〔シランカップリング剤〕
本発明に用いることができるシランカップリング剤としては、いかなるシランカップリング剤を使用してもよい。
シランカップリング剤としては、例えば、3−グリシジロキシプロピルトリメトキシシラン、3−アミノグリシジロキシプロピルトリエトキシシラン、3−メタクリロキシプロピルトリメトキシシラン、3−グリシジロキシプロピルメチルジメトキシシラン、1−メタクリロキシプロピルメチルジメトキシシラン、3−アミノプロピルトリメトキシシラン、3−アミノプロピルトリエトキシシラン、2−アミノプロピルトリメトキシシラン、2−アミノプロピルトリエトキシシラン、N−(2−アミノエチル)−3−アミノプロピルトリメトキシシラン、N−(2−アミノエチル)−3−アミノプロピルメチルジメトキシシラン、3−ウレイドプロピルトリメトキシシラン、3−ウレイドプロピルトリエトキシシラン、N−エトキシカルボニル−3−アミノプロピルトリメトキシシラン、N−エトキシカルボニル−3−アミノプロピルトリエトキシシラン、N−トリエトキシシリルプロピルトリエチレントリアミン、N−トリエトキシシリルプロピルトリエチレントリアミン、10−トリメトキシシリル−1,4,7−トリアザデカン、10−トリエトキシシリル−1,4,7−トリアザデカン、9−トリメトキシシリル−3,6−ジアザノニルアセテート、9−トリエトキシシリル−3,6−ジアザノニルアセテート、N−ベンジル−3−アミノプロピルトリメトキシシラン、N−ベンジル−3−アミノプロピルトリエトキシシラン、N−フェニル−3−アミノプロピルトリメトキシシラン、N−フェニル−3−アミノプロピルトリエトキシシラン、N−ビス(オキシエチレン)−3−アミノプロピルトリメトキシシラン、N−ビス(オキシエチレン)−3−アミノプロピルトリエトキシシラン等が挙げられる。
本発明に用いることができるシランカップリング剤は、一種類単独で使用してもよいし、二種類以上を併用してもよい。
〔Silane coupling agent〕
Any silane coupling agent may be used as the silane coupling agent that can be used in the present invention.
Examples of the silane coupling agent include 3-glycidyloxypropyltrimethoxysilane, 3-aminoglycidyloxypropyltriethoxysilane, 3-methacryloxypropyltrimethoxysilane, 3-glycidyloxypropylmethyldimethoxysilane, 1 -Methacryloxypropylmethyldimethoxysilane, 3-aminopropyltrimethoxysilane, 3-aminopropyltriethoxysilane, 2-aminopropyltrimethoxysilane, 2-aminopropyltriethoxysilane, N- (2-aminoethyl) -3 -Aminopropyltrimethoxysilane, N- (2-aminoethyl) -3-aminopropylmethyldimethoxysilane, 3-ureidopropyltrimethoxysilane, 3-ureidopropyltriethoxysilane, N-ethoxycarboni -3-aminopropyltrimethoxysilane, N-ethoxycarbonyl-3-aminopropyltriethoxysilane, N-triethoxysilylpropyltriethylenetriamine, N-triethoxysilylpropyltriethylenetriamine, 10-trimethoxysilyl-1, 4,7-triazadecane, 10-triethoxysilyl-1,4,7-triazadecane, 9-trimethoxysilyl-3,6-diazanonyl acetate, 9-triethoxysilyl-3,6-diazanonyl acetate, N-benzyl-3-aminopropyltrimethoxysilane, N-benzyl-3-aminopropyltriethoxysilane, N-phenyl-3-aminopropyltrimethoxysilane, N-phenyl-3-aminopropyltriethoxysilane, N- Bis (oxyethylene) 3-aminopropyltrimethoxysilane, N- bis (oxyethylene) -3-aminopropyltriethoxysilane and the like.
The silane coupling agent that can be used in the present invention may be used alone or in combination of two or more.
〔密着促進剤〕
本発明に用いることができる密着促進剤としては、いかなる密着促進剤を使用してもよい。
密着促進剤としては、例えば、トリメトキシシリル安息香酸、γ−メタクリロキシプロピルトリメトキシシラン、ビニルトリアセトキシシラン、ビニルトリメトキシシラン、γ−イソシアネートプロピルトリエトキシシラン、γ−グリシドキシプロピルトリメトキシシラン、β−(3,4−エポキシシクロヘキシル)エチルトリメトキシシラン、トリメトキシビニルシラン、γ−アミノプロピルトリエトキシシラン、アルミニウムモノエチルアセトアセテートジイソプロピレート、ビニルトリス(2−メトキシエトキシ)シラン、N−(2−アミノエチル)−3−アミノプロピルメチルジメトキシシラン、N−(2−アミノエチル)−3−アミノプロピルトリメトキシシラン、3−クロロプロピルメチルジメトキシシラン、3−クロロプロピルトリメトキシシラン、3−メタクリロキシプロピルトリメトキシシラン、3−メルカプトプロピルトリメトキシシラン、トリメチルクロロシラン、ジメチルビニルクロロシラン、メチルジフェニルクロロシラン、クロロメチルジメチルクロロシラン、トリメチルメトキシシラン、ジメチルジエトキシシラン、メチルジメトキシシラン、ジメチルビニルエトキシシラン、ジフェニルジメトキシシラン、フェニルトリエトキシシラン、ヘキサメチルジシラザン、N,N’−ビス(トリメチルシリル)ウレア、ジメチルトリメチルシリルアミン、トリメチルシリルイミダゾール、ビニルトリクロロシラン、ベンゾトリアゾール、ベンズイミダゾール、インダゾール、イミダゾール、2−メルカプトベンズイミダゾール、2−メルカプトベンゾチアゾール、2−メルカプトベンゾオキサゾール、ウラゾール、チオウラシル、メルカプトイミダゾール、メルカプトピリミジン、1,1−ジメチルウレア、1,3−ジメチルウレア、チオ尿素化合物等を挙げることができる。官能性シランカップリング剤が密着促進剤として好ましい。
密着促進剤の使用量は、全固形分100重量部に対して、10重量部以下であることが好ましく、特に0.05〜5重量部であることがより好ましい。
[Adhesion promoter]
Any adhesion promoter may be used as the adhesion promoter that can be used in the present invention.
Examples of the adhesion promoter include trimethoxysilylbenzoic acid, γ-methacryloxypropyltrimethoxysilane, vinyltriacetoxysilane, vinyltrimethoxysilane, γ-isocyanatopropyltriethoxysilane, γ-glycidoxypropyltrimethoxysilane. , Β- (3,4-epoxycyclohexyl) ethyltrimethoxysilane, trimethoxyvinylsilane, γ-aminopropyltriethoxysilane, aluminum monoethylacetoacetate diisopropylate, vinyltris (2-methoxyethoxy) silane, N- (2 -Aminoethyl) -3-aminopropylmethyldimethoxysilane, N- (2-aminoethyl) -3-aminopropyltrimethoxysilane, 3-chloropropylmethyldimethoxysilane, 3-chloropropylto Limethoxysilane, 3-methacryloxypropyltrimethoxysilane, 3-mercaptopropyltrimethoxysilane, trimethylchlorosilane, dimethylvinylchlorosilane, methyldiphenylchlorosilane, chloromethyldimethylchlorosilane, trimethylmethoxysilane, dimethyldiethoxysilane, methyldimethoxysilane, Dimethylvinylethoxysilane, diphenyldimethoxysilane, phenyltriethoxysilane, hexamethyldisilazane, N, N'-bis (trimethylsilyl) urea, dimethyltrimethylsilylamine, trimethylsilylimidazole, vinyltrichlorosilane, benzotriazole, benzimidazole, indazole, imidazole , 2-mercaptobenzimidazole, 2-mercaptobenzothiazole 2-mercaptobenzoxazole, urazole, thiouracil, mercaptoimidazole, mercaptopyrimidine, 1,1-dimethylurea, 1,3-dimethylurea, thiourea compound and the like. Functional silane coupling agents are preferred as adhesion promoters.
The amount of adhesion promoter used is preferably 10 parts by weight or less, more preferably 0.05 to 5 parts by weight, based on 100 parts by weight of the total solid content.
〔空孔形成因子〕
本発明の膜形成用組成物には、膜の機械強度の許す範囲内で、空孔形成因子を使用して、膜を多孔質化し、低誘電率化を図ることができる。
空孔形成剤となる添加剤としての空孔形成因子としては、特に限定はされないが、非金属化合物が好適に用いられ、膜形成用組成物で使用される溶剤との溶解性、(B−1)成分及び/又は(B−2)成分との相溶性を同時に満たすことが必要である。
また、この空孔形成剤の沸点若しくは分解温度は、好ましくは100〜500℃、より好ましくは200〜450℃、特に好ましくは250〜400℃である。
分子量としては、好ましくは200〜50,000、より好ましくは300〜10,000、特に好ましくは400〜5,000である。
添加量は、膜を形成する重合体に対して、好ましくは0.5〜75重量%、より好ましくは0.5〜30重量%、特に好ましくは1〜20重量%である。
また、空孔形成因子として、重合体の中に分解性基を含んでいてもよく、その分解温度は、好ましくは100〜500℃、より好ましくは200〜450℃、特に好ましくは250〜400℃である。分解性基の含有率は、膜を形成する重合体に対して、好ましくは0.5〜75モル%、より好ましくは0.5〜30モル%、特に好ましくは1〜20モル%である。
[Void formation factor]
In the film-forming composition of the present invention, a pore forming factor can be used within the range allowed by the mechanical strength of the film to make the film porous and to achieve a low dielectric constant.
The pore-forming factor as an additive that serves as a pore-forming agent is not particularly limited, but a nonmetallic compound is preferably used, and solubility in a solvent used in the film-forming composition, (B- It is necessary to satisfy the compatibility with the component 1) and / or component (B-2) at the same time.
Further, the boiling point or decomposition temperature of the pore-forming agent is preferably 100 to 500 ° C, more preferably 200 to 450 ° C, and particularly preferably 250 to 400 ° C.
The molecular weight is preferably 200 to 50,000, more preferably 300 to 10,000, and particularly preferably 400 to 5,000.
The addition amount is preferably 0.5 to 75% by weight, more preferably 0.5 to 30% by weight, and particularly preferably 1 to 20% by weight with respect to the polymer forming the film.
The polymer may contain a decomposable group as a pore-forming factor, and the decomposition temperature is preferably 100 to 500 ° C, more preferably 200 to 450 ° C, and particularly preferably 250 to 400 ° C. It is. The content of the decomposable group is preferably 0.5 to 75 mol%, more preferably 0.5 to 30 mol%, and particularly preferably 1 to 20 mol% with respect to the polymer forming the film.
(絶縁膜の製造方法)
本発明の絶縁膜の製造方法は、(a)上記本発明の膜形成用組成物を塗布する工程と、(b)塗布した膜形成用組成物に紫外線を照射する工程とを含む。以下、それぞれの工程について説明する。
(Insulating film manufacturing method)
The method for producing an insulating film of the present invention includes (a) a step of applying the film forming composition of the present invention, and (b) a step of irradiating the applied film forming composition with ultraviolet rays. Hereinafter, each process will be described.
<(a)膜形成用組成物を塗布する工程>
本発明の膜形成用組成物を塗布する工程は、特に限定されず、公知の方法で基板上に塗布することができる。具体的には、スピンコーティング法、ローラーコーティング法、ディップコーティング法、スキャン法等が例示できる。基板に塗布する方法としては、スピンコーティング法、スキャン法によるものが好ましい。特に好ましくは、スピンコーティング法によるものである。スピンコーティングについては、市販の装置を使用できる。例えば、クリーントラックシリーズ(東京エレクトロン(株)製)、D−スピンシリーズ(大日本スクリーン製造(株)製)、SSシリーズあるいはCSシリーズ(東京応化工業(株)製)等が好ましく使用できる。スピンコート条件としては、いずれの回転速度でもよいが、膜の面内均一性の観点より、300mmシリコン基板においては1,300rpm程度の回転速度が好ましい。
また、膜形成用組成物の吐出方法においては、回転する基板上に膜形成用組成物を吐出する動的吐出、静止した基板上へ膜形成用組成物を吐出する静的吐出のいずれでもよいが、膜の面内均一性の観点より、動的吐出が好ましい。また、組成物の消費量を抑制する観点より、予備的に組成物の主溶剤のみを基板上に吐出して液膜を形成した後、その上から組成物を吐出するという方法を用いることもできる。スピンコート時間については特に制限はないが、スループットの観点から180秒以内が好ましい。また、基板の搬送の観点より、基板エッジ部の膜を残存させないための処理(エッジリンス、バックリンス)をすることも好ましい。
<(A) The process of apply | coating the composition for film formation>
The process of apply | coating the composition for film formation of this invention is not specifically limited, It can apply | coat on a board | substrate by a well-known method. Specific examples include spin coating, roller coating, dip coating, and scanning. As a method of applying to the substrate, a spin coating method or a scanning method is preferable. Particularly preferred is the spin coating method. For spin coating, commercially available equipment can be used. For example, a clean truck series (manufactured by Tokyo Electron Co., Ltd.), D-spin series (manufactured by Dainippon Screen Mfg. Co., Ltd.), SS series or CS series (manufactured by Tokyo Ohka Kogyo Co., Ltd.) can be preferably used. The spin coating conditions may be any rotational speed, but from the viewpoint of in-plane uniformity of the film, a rotational speed of about 1,300 rpm is preferable for a 300 mm silicon substrate.
In addition, the method for discharging the film forming composition may be either dynamic discharge for discharging the film forming composition onto a rotating substrate or static discharge for discharging the film forming composition onto a stationary substrate. However, dynamic ejection is preferable from the viewpoint of in-plane uniformity of the film. In addition, from the viewpoint of suppressing the consumption of the composition, it is also possible to use a method in which only the main solvent of the composition is preliminarily discharged onto the substrate to form a liquid film, and then the composition is discharged from there. it can. The spin coating time is not particularly limited, but is preferably within 180 seconds from the viewpoint of throughput. Further, from the viewpoint of transporting the substrate, it is also preferable to perform processing (edge rinse, back rinse) so as not to leave the film at the edge portion of the substrate.
また、膜形成用組成物を塗布した後、膜形成用組成物に含有される溶剤を除去するために加熱処理を行うことが好ましい。
熱処理の方法は、特に限定されないが、一般的に使用されているホットプレート加熱、ファーネス炉を使用した加熱方法、RTP(Rapid Thermal Processor)等によるキセノンランプを使用した光照射加熱等を適用することができる。好ましくは、ホットプレート加熱、ファーネスを使用した加熱方法である。ホットプレートとしては市販の装置を好ましく使用でき、クリーントラックシリーズ(東京エレクトロン(株)製)、D−スピンシリーズ(大日本スクリーン製造(株)製)、SSシリーズあるいはCSシリーズ(東京応化工業(株)製)等が好ましく使用できる。ファーネスとしては、αシリーズ(東京エレクトロン(株)製)等が好ましく使用できる。
溶剤除去のための加熱温度及び加熱時間は、膜形成用組成物に使用される溶剤の種類及び量、膜形成用組成物の塗布量等により適宜選択することが好ましい。例えば、40〜300℃が例示でき、50〜250℃が好ましく、60〜200℃がより好ましい。
また、加熱時間は、例えば60秒が例示でき、10〜300秒が好ましく、20〜200秒がより好ましい。加熱温度が上記範囲内であると、効果的に溶剤を除去することができるので好ましい。
また、上記の加熱処理は、溶剤を除去する目的のみならず、重合反応を生起させるものであっても良く、その場合には加熱温度は、好ましくは40〜400℃、より好ましくは50〜350℃、さらに好ましくは60℃〜300℃であり、加熱時間は分1〜30分であることが好ましく、より好ましくは5〜45分であり、さらに好ましくは10〜30分である。
上記の加熱処理は、基板周囲の雰囲気を、Ar、He、窒素などの不活性雰囲気として行うこともできる。
Moreover, after apply | coating the composition for film formation, it is preferable to heat-process in order to remove the solvent contained in the composition for film formation.
The heat treatment method is not particularly limited, but generally used hot plate heating, heating method using a furnace, light irradiation heating using a xenon lamp by RTP (Rapid Thermal Processor), etc. are applied. Can do. A heating method using hot plate heating or furnace is preferable. Commercially available equipment can be preferably used as the hot plate, and the clean track series (manufactured by Tokyo Electron Ltd.), D-Spin series (manufactured by Dainippon Screen Mfg. Co., Ltd.), SS series or CS series (Tokyo Ohka Kogyo Co., Ltd.) )) And the like can be preferably used. As the furnace, α series (manufactured by Tokyo Electron Ltd.) and the like can be preferably used.
The heating temperature and heating time for removing the solvent are preferably selected as appropriate depending on the type and amount of the solvent used in the film-forming composition, the coating amount of the film-forming composition, and the like. For example, 40-300 degreeC can be illustrated, 50-250 degreeC is preferable, and 60-200 degreeC is more preferable.
The heating time can be exemplified by 60 seconds, for example, preferably 10 to 300 seconds, and more preferably 20 to 200 seconds. It is preferable for the heating temperature to be within the above range since the solvent can be effectively removed.
The above heat treatment may be used not only for the purpose of removing the solvent but also for causing a polymerization reaction. In that case, the heating temperature is preferably 40 to 400 ° C., more preferably 50 to 350. The heating time is preferably from 1 to 30 minutes, more preferably from 5 to 45 minutes, and further preferably from 10 to 30 minutes.
The above heat treatment can be performed using an atmosphere around the substrate as an inert atmosphere such as Ar, He, or nitrogen.
<(b)塗布した膜形成用組成物に紫外線を照射する工程>
本発明において、塗布した膜形成用組成物に紫外線を照射して、膜形成組成物を硬化させる。
紫外線の照射波長領域は500nm以下の波長を含むことが好ましく、150〜400nmの紫外線を含むことがより好ましく、160〜350nmの紫外光を含むことがさらに好ましい。波長領域が上記範囲内であると有機材料の改質が容易であるため好ましい。
その出力は基板直上において0.1〜5,000mWcm-2であることが好ましく、1〜2,000mWcm-2であることがより好ましく、10〜1,000mWcm-2であることがさらに好ましい。基板直上における出力が上記範囲内であると、照度は高いほうが短時間での処理が可能となるが照射の効果に膜厚依存性が生じるため、出力はある程度低いことが好ましい。
紫外線の照射時間は15分以下であることが好ましく、10分以下であることがより好ましく、3分以下であることがさらに好ましい。また、10秒以上であることが好ましく、より好ましくは20秒以上であり、さらに好ましくは30秒以上である。紫外線の照射時間が上記範囲内であると、膜を均一に硬化可能であるので好ましい。
紫外線照射時の基板温度は250〜450℃が好ましく、250〜400℃がより好ましく、250〜350℃が特に好ましい。
重合物の酸化を防止するという観点から、基板周囲の雰囲気は、Ar、He、窒素などの不活性雰囲気を用いることが好ましい。また、その際の圧力は0〜133kPaが好ましい。
また、紫外線の照射は複数回行ってもよく、この場合は紫外線照射条件を毎回同じにする必要はなく、毎回異なる条件で行ってもよい。
<(B) The process of irradiating the applied film-forming composition with ultraviolet rays>
In the present invention, the applied film-forming composition is irradiated with ultraviolet rays to cure the film-forming composition.
The irradiation wavelength region of ultraviolet rays preferably includes a wavelength of 500 nm or less, more preferably includes ultraviolet rays of 150 to 400 nm, and further preferably includes ultraviolet rays of 160 to 350 nm. It is preferable for the wavelength region to be within the above range because the organic material can be easily modified.
Preferably the output is 0.1~5,000MWcm -2 immediately above the substrate, more preferably 1~2,000MWcm -2, and more preferably a 10~1,000mWcm -2. If the output directly above the substrate is within the above range, the higher the illuminance, the shorter the processing is possible. However, since the irradiation effect is dependent on the film thickness, the output is preferably low to some extent.
The irradiation time of ultraviolet rays is preferably 15 minutes or less, more preferably 10 minutes or less, and further preferably 3 minutes or less. Moreover, it is preferable that it is 10 seconds or more, More preferably, it is 20 seconds or more, More preferably, it is 30 seconds or more. It is preferable that the irradiation time of ultraviolet rays be within the above range because the film can be uniformly cured.
The substrate temperature at the time of ultraviolet irradiation is preferably 250 to 450 ° C, more preferably 250 to 400 ° C, and particularly preferably 250 to 350 ° C.
From the viewpoint of preventing oxidation of the polymer, it is preferable to use an inert atmosphere such as Ar, He, or nitrogen as the atmosphere around the substrate. Further, the pressure at that time is preferably 0 to 133 kPa.
Further, the ultraviolet irradiation may be performed a plurality of times. In this case, the ultraviolet irradiation conditions need not be the same each time, and may be performed under different conditions each time.
上記紫外線の照射後に加熱処理することもできる。加熱処理温度は200〜400℃であることが好ましい。
なお、紫外線照射後の加熱は、重合物の酸化を防止するという観点から、基板周囲の雰囲気は、Ar、He、窒素などの不活性雰囲気を用いることが好ましい。その際の圧力は0〜133kPaが好ましい。
Heat treatment can also be performed after the ultraviolet irradiation. The heat treatment temperature is preferably 200 to 400 ° C.
In addition, it is preferable to use inert atmosphere, such as Ar, He, and nitrogen, for the atmosphere around a board | substrate from a viewpoint of preventing the oxidation of a polymer for the heating after ultraviolet irradiation. The pressure at that time is preferably 0 to 133 kPa.
また、本発明では、紫外線の照射の前後に高エネルギー線を照射することで(B−1)成分及び/又は(B−2)成分中に存在する炭素三重結合等の重合反応を起こして硬化させてもよい。高エネルギー線とは、電子線、紫外線、X線などが挙げられるが、特にこれらの方法に限定されるものではない。
高エネルギー線として、電子線を使用した場合のエネルギーは、0〜50keVが好ましく、0〜30keVがより好ましく、0〜20keVが特に好ましい。電子線の総ドーズ量は、好ましくは0〜5μC/cm2、より好ましくは0〜2μC/cm2、特に好ましくは0〜1μC/cm2である。電子線を照射する際の基板温度は、0〜450℃が好ましく、0〜400℃がより好ましく、0〜350℃が特に好ましい。圧力は、好ましくは0〜133kPa、より好ましくは0〜60kPa、特に好ましくは0〜20kPaである。重合物の酸化を防止するという観点から、基板周囲の雰囲気はAr、He、窒素などの不活性雰囲気を用いることが好ましい。また、電子線との相互作用で発生するプラズマ、電磁波、化学種との反応を目的に酸素、炭化水素、アンモニアなどのガスを添加してもよい。本発明において、電子線照射は複数回行ってもよく、この場合は電子線照射条件を毎回同じにする必要はなく、毎回異なる条件で行ってもよい。
Moreover, in this invention, it hardens | cures by raise | generating the polymerization reaction of the carbon triple bond etc. which exist in (B-1) component and / or (B-2) component by irradiating a high energy ray before and behind ultraviolet irradiation. You may let them. Examples of high energy rays include electron beams, ultraviolet rays, and X-rays, but are not particularly limited to these methods.
The energy when an electron beam is used as the high energy beam is preferably 0 to 50 keV, more preferably 0 to 30 keV, and particularly preferably 0 to 20 keV. The total dose of the electron beam is preferably 0 to 5 μC / cm 2 , more preferably 0 to 2 μC / cm 2 , and particularly preferably 0 to 1 μC / cm 2 . 0-450 degreeC is preferable, as for the substrate temperature at the time of irradiating an electron beam, 0-400 degreeC is more preferable, and 0-350 degreeC is especially preferable. The pressure is preferably 0 to 133 kPa, more preferably 0 to 60 kPa, and particularly preferably 0 to 20 kPa. From the viewpoint of preventing oxidation of the polymer, it is preferable to use an inert atmosphere such as Ar, He, or nitrogen as the atmosphere around the substrate. Further, a gas such as oxygen, hydrocarbon, or ammonia may be added for the purpose of reaction with plasma, electromagnetic waves, or chemical species generated by interaction with an electron beam. In the present invention, the electron beam irradiation may be performed a plurality of times. In this case, the electron beam irradiation conditions need not be the same every time, and may be performed under different conditions each time.
(絶縁膜)
本発明の絶縁膜は、本発明の絶縁膜の製造方法により得られる膜である。
本発明の膜形成用組成物を使用して得られる絶縁膜は、その用途に応じて所望の比誘電率とすることが好ましいが、比誘電率が低いことが好ましく、比誘電率が2.6以下であることが好ましく、2.5以下であることがより好ましい。
(Insulating film)
The insulating film of the present invention is a film obtained by the insulating film manufacturing method of the present invention.
The insulating film obtained by using the film-forming composition of the present invention preferably has a desired relative dielectric constant depending on the application, but preferably has a low relative dielectric constant and a relative dielectric constant of 2. It is preferably 6 or less, and more preferably 2.5 or less.
また、本発明の膜形成用組成物を使用して得られる膜は、硬度が高いことが好ましく、高いヤング率を有していることが好ましい。ヤング率が5GPa以上であることが好ましく、より好ましくは5.5〜12GPaでり、さらに好ましくは6〜11GPaである。
また、本発明の絶縁膜におけるヤング率の測定方法としては、MTS社ナノインデンターSA2を使用して測定することが好ましい。
なお、本発明により得られる絶縁膜は、比誘電率及びヤング率がいずれも上記範囲内であることが特に好ましい。
Further, the film obtained using the film forming composition of the present invention preferably has a high hardness and preferably has a high Young's modulus. The Young's modulus is preferably 5 GPa or more, more preferably 5.5 to 12 GPa, and even more preferably 6 to 11 GPa.
In addition, as a method for measuring the Young's modulus in the insulating film of the present invention, it is preferable to use MTS Nanoindenter SA2.
Note that it is particularly preferable that the insulating film obtained according to the present invention has a relative dielectric constant and a Young's modulus both in the above range.
本発明により得られる膜は、絶縁膜であり、半導体用層間絶縁膜としてより好適に使用することができる。すなわち、本発明の絶縁膜は、電子デバイスに好適に使用できる。
例えば、半導体用層間絶縁膜として使用する際、その配線構造において、配線側面にはメタルマイグレーションを防ぐためのバリア層があってもよく、また、配線や層間絶縁膜の上面底面にはCMP(化学的機械的研磨)での剥離を防ぐキャップ層、層間密着層の他、エッチングストッパー層等があってもよく、さらには層間絶縁膜の層を必要に応じて他種材料で複数層に分けてもよい。
The film obtained by the present invention is an insulating film and can be more suitably used as an interlayer insulating film for semiconductors. That is, the insulating film of the present invention can be suitably used for electronic devices.
For example, when used as an interlayer insulating film for a semiconductor, in the wiring structure, there may be a barrier layer on the side surface of the wiring to prevent metal migration, and CMP (chemical In addition to a cap layer and an interlayer adhesion layer that prevent peeling by mechanical mechanical polishing, there may be an etching stopper layer, etc. Furthermore, the interlayer insulating film layer may be divided into a plurality of layers with other materials as required. Also good.
本発明により得られる絶縁膜は、銅配線あるいはその他の目的でエッチング加工をすることができる。エッチングとしてはウェットエッチング、ドライエッチングのいずれでもよいが、ドライエッチングが好ましい。ドライエッチングは、アンモニア系プラズマ、フルオロカーボン系プラズマのいずれもが適宜使用できる。これらプラズマにはArだけでなく、酸素、あるいは窒素、水素、ヘリウム等のガスを用いることができる。また、エッチング加工後に、加工に使用したフォトレジスト等を除く目的でアッシングすることもでき、さらにはアッシング時の残渣を除くため、洗浄することもできる。 The insulating film obtained by the present invention can be etched for copper wiring or other purposes. Etching may be either wet etching or dry etching, but dry etching is preferred. For dry etching, either ammonia-based plasma or fluorocarbon-based plasma can be used as appropriate. These plasmas can use not only Ar but also oxygen, or gases such as nitrogen, hydrogen, and helium. In addition, after the etching process, ashing can be performed for the purpose of removing the photoresist or the like used for the processing, and further, cleaning can be performed to remove a residue at the time of ashing.
本発明により得られる絶縁膜は、銅配線加工後に、銅めっき部を平坦化するためCMPをすることができる。CMPスラリー(薬液)としては、市販のスラリー(例えば、(株)フジミインコーポレーテッド製、ロデールニッタ(株)製、JSR(株)製、日立化成工業(株)製等)を適宜使用できる。また、CMP装置としては市販の装置(アプライドマテリアル社製、(株)荏原製作所製等)を適宜使用することができる。さらにCMP後のスラリー残渣除去のため、洗浄することができる。 The insulating film obtained by the present invention can be subjected to CMP after the copper wiring processing in order to planarize the copper plating portion. As the CMP slurry (chemical solution), commercially available slurries (for example, manufactured by Fujimi Incorporated, manufactured by Rodel Nitta, manufactured by JSR, manufactured by Hitachi Chemical Co., Ltd., etc.) can be used as appropriate. Moreover, as a CMP apparatus, a commercially available apparatus (Applied Materials Co., Ltd., Ebara Manufacturing Co., Ltd. etc.) can be used suitably. Further, cleaning can be performed to remove slurry residues after CMP.
本発明により得られる絶縁膜は、多様の目的に使用することができる。例えばLSI、システムLSI、DRAM、SDRAM、RDRAM、D−RDRAM等の半導体装置、マルチチップモジュール多層配線板等の電子部品における絶縁膜として好適であり、半導体用層間絶縁膜、エッチングストッパー膜、表面保護膜、バッファーコート膜の他、LSIにおけるパッシベーション膜、α線遮断膜、フレキソ印刷版のカバーレイフィルム、オーバーコート膜、フレキシブル銅張板のカバーコート、ソルダーレジスト膜、液晶配向膜等として使用することができる。 The insulating film obtained by the present invention can be used for various purposes. For example, it is suitable as an insulating film in electronic devices such as semiconductor devices such as LSI, system LSI, DRAM, SDRAM, RDRAM, and D-RDRAM, and multi-chip module multilayer wiring boards. Interlayer insulating film for semiconductor, etching stopper film, surface protection In addition to films, buffer coat films, LSI passivation films, alpha ray blocking films, flexographic printing plate cover lay films, overcoat films, flexible copper clad cover coats, solder resist films, liquid crystal alignment films, etc. Can do.
以下の実施例は本発明を説明するものであり、その範囲を限定するものではない。 The following examples illustrate the invention and are not intended to limit its scope.
<実施例1>
1,3−ジフェニルエチニルアダマンタン 2重量部、ジクミルパーオキサイド(パークミルD、日本油脂製) 0.4重量部、t−ブチルベンゼン 8.6重量部を窒素気流下で内温130℃で1時間撹拌し、重合した。反応液を室温にした後、メタノール 79.1重量部に添加、析出した固体を濾過して、メタノールで洗浄した。重量平均分子量約8,000の重合体(A)を1.0重量部得た。
重合体(A)のシクロヘキサノンへの溶解度は25℃で20重量%以上であった。
<Example 1>
1,3-diphenylethynyladamantane 2 parts by weight, dicumyl peroxide (Parkmill D, manufactured by NOF Corporation) 0.4 part by weight, t-butylbenzene 8.6 parts by weight at an internal temperature of 130 ° C. for 1 hour under a nitrogen stream Stir and polymerize. After the reaction solution was brought to room temperature, it was added to 79.1 parts by weight of methanol, and the precipitated solid was filtered and washed with methanol. 1.0 part by weight of polymer (A) having a weight average molecular weight of about 8,000 was obtained.
The solubility of the polymer (A) in cyclohexanone was 20% by weight or more at 25 ° C.
重合体(A) 1.0重量部、ジクミルパーオキサイド 0.2重量部をシクロヘキサノン 10重量部に完全に溶解させて塗布液を調製した。この溶液を0.1ミクロンのテトラフルオロエチレン製フィルターでろ過した後、シリコンウェハー上にスピンコートし、この塗膜を窒素気流下ホットプレート上で120℃で60秒間加熱して、膜厚0.5ミクロンのブツのない均一な膜が得られた。
得られた膜に波長172nmの紫外線を照射可能なウシオ電機製誘電体バリア放電ランプを使用し、窒素雰囲気中、1Paにて、350℃のホットプレート上に置かれた膜に3分間紫外光を照射し、絶縁膜を得た。また、このとき、基板直上における出力は10mWcm-2であった。
膜の比誘電率をフォーディメンジョンズ製水銀プローバ及び横川ヒューレットパッカード製のHP4285ALCRメーターを用いて1MHzにおける容量値から算出したところ、2.31であった。また、MTS社ナノインデンターSA2を使用してヤング率を測定したところ、9.5GPaであった。
A coating solution was prepared by completely dissolving 1.0 part by weight of polymer (A) and 0.2 part by weight of dicumyl peroxide in 10 parts by weight of cyclohexanone. The solution was filtered through a 0.1 micron tetrafluoroethylene filter, spin-coated on a silicon wafer, and the coating film was heated on a hot plate at 120 ° C. for 60 seconds under a nitrogen stream to obtain a film thickness of 0. A uniform film free of 5 microns was obtained.
Using the dielectric barrier discharge lamp manufactured by Ushio Electric Co., Ltd., which can irradiate the obtained film with ultraviolet light having a wavelength of 172 nm, ultraviolet light is irradiated for 3 minutes on a film placed on a hot plate at 350 ° C. in a nitrogen atmosphere at 1 Pa. Irradiation gave an insulating film. At this time, the output right above the substrate was 10 mWcm −2 .
The relative dielectric constant of the film was calculated from the capacitance value at 1 MHz using a mercury probe manufactured by Four Dimensions and an HP4285ALCR meter manufactured by Yokogawa Hewlett-Packard. Moreover, it was 9.5 GPa when the Young's modulus was measured using nano indenter SA2 by MTS.
<比較例1>
1,3−ジフェニルエチニルアダマンタン 2重量部とジクミルパーオキサイド(パークミルD、日本油脂製) 0.4重量部、t−ブチルベンゼン 8.6重量部を窒素気流下で内温130℃で1時間撹拌し、重合した。反応液を室温にした後、メタノール 79.1重量部に添加、析出した固体を濾過して、メタノールで洗浄した。重量平均分子量約8,000の重合体(A)を1.0重量部得た。
重合体(A)のシクロヘキサノンへの溶解度は25℃で20重量%以上であった。
<Comparative Example 1>
1,3-diphenylethynyladamantane 2 parts by weight and dicumyl peroxide (Parkmill D, manufactured by NOF Corporation) 0.4 part by weight, t-butylbenzene 8.6 parts by weight at an internal temperature of 130 ° C. for 1 hour under a nitrogen stream Stir and polymerize. After the reaction solution was brought to room temperature, it was added to 79.1 parts by weight of methanol, and the precipitated solid was filtered and washed with methanol. 1.0 part by weight of polymer (A) having a weight average molecular weight of about 8,000 was obtained.
The solubility of the polymer (A) in cyclohexanone was 20% by weight or more at 25 ° C.
重合体(A) 1.0重量部、ジクミルパーオキサイド 0.2重量部をシクロヘキサノン 10重量部に完全に溶解させて塗布液を調製した。この溶液を0.1ミクロンのテトラフルオロエチレン製フィルターでろ過した後、シリコンウェハー上にスピンコートし、この塗膜を窒素気流下ホットプレート上で120℃で60秒間加熱した後、さらに窒素置換した400℃のホットプレート上で1Paにおいて3分焼成した結果、膜厚0.5ミクロンのブツのない均一な膜が得られた。膜の比誘電率をフォーディメンジョンズ製水銀プローバ及び横川ヒューレットパッカード製のHP4285ALCRメーターを用いて1MHzにおける容量値から算出したところ、2.52であった。また、MTS社ナノインデンターSA2を使用してヤング率を測定したところ、3.2GPaであった。 A coating solution was prepared by completely dissolving 1.0 part by weight of polymer (A) and 0.2 part by weight of dicumyl peroxide in 10 parts by weight of cyclohexanone. The solution was filtered through a 0.1 micron tetrafluoroethylene filter, spin-coated on a silicon wafer, the coating was heated on a hot plate at 120 ° C. for 60 seconds under a nitrogen stream, and further purged with nitrogen. As a result of firing on a hot plate at 400 ° C. for 3 minutes at 1 Pa, a uniform film having a thickness of 0.5 μm and no defects was obtained. The relative dielectric constant of the film was calculated from the capacitance value at 1 MHz using a mercury probe manufactured by Four Dimensions and an HP4285ALCR meter manufactured by Yokogawa Hewlett-Packard. Moreover, when the Young's modulus was measured using Nano Indenter SA2 manufactured by MTS, it was 3.2 GPa.
<実施例2>
1,3−ジフェニルエチニルアダマンタン 2重量部、ジクミルパーオキサイド(パークミルD、日本油脂製) 0.4重量部、t−ブチルベンゼン 8.6重量部を窒素気流下で内温130℃で1時間攪拌し、重合した。反応液を室温にした後、メタノール 79.1重量部に添加し、析出した固体を濾過して、メタノールで洗浄した。重量平均分子量約8,000の重合体(A)を1.0重量部得た。
重合体(A)のシクロヘキサノンへの溶解度は25℃で20重量%以上であった。
<Example 2>
1,3-diphenylethynyladamantane 2 parts by weight, dicumyl peroxide (Parkmill D, manufactured by NOF Corporation) 0.4 part by weight, t-butylbenzene 8.6 parts by weight at an internal temperature of 130 ° C. for 1 hour under a nitrogen stream Stir and polymerize. After the reaction solution was brought to room temperature, it was added to 79.1 parts by weight of methanol, and the precipitated solid was filtered and washed with methanol. 1.0 part by weight of polymer (A) having a weight average molecular weight of about 8,000 was obtained.
The solubility of the polymer (A) in cyclohexanone was 20% by weight or more at 25 ° C.
重合体(A) 1.0重量部、1−ヒドロキシ−シクロヘキシル−フェニル−ケトン 0.2重量部をシクロヘキサノン 10重量部に完全に溶解させて塗布液を調製した。この溶液を0.1ミクロンのテトラフルオロエチレン製フィルターでろ過した後、シリコンウェハー上にスピンコートし、この塗膜を窒素気流下ホットプレート上で250℃で60秒間加熱した後、UV照射(波長222nm、ウシオ電機製誘電体バリア放電ランプ)を10分間、300℃のホットプレート上で窒素置換雰囲気にて行った結果、膜厚0.5ミクロンのブツのない均一な膜が得られた。なお、上記UV照射は、1Paにおいて行った。また、このとき、基板(シリコンウェハー)直上における出力は5mWcm-2であった。
膜の比誘電率をフォーディメンジョンズ製水銀プローバ及び横川ヒューレットパッカード製のHP4285ALCRメーターを用いて1MHzにおける容量値から算出したところ、2.30であった。また、MTS社ナノインデンターSA2を使用してヤング率を測定したところ、9.8GPaであった。
A coating solution was prepared by completely dissolving 1.0 part by weight of polymer (A) and 0.2 part by weight of 1-hydroxy-cyclohexyl-phenyl-ketone in 10 parts by weight of cyclohexanone. The solution was filtered through a 0.1 micron tetrafluoroethylene filter, spin-coated on a silicon wafer, the coating was heated on a hot plate at 250 ° C. for 60 seconds under a nitrogen stream, and then irradiated with UV (wavelength 222 nm, dielectric barrier discharge lamp manufactured by USHIO ELECTRIC CO., LTD. Was performed for 10 minutes on a 300 ° C. hot plate in a nitrogen substitution atmosphere. As a result, a uniform film having a thickness of 0.5 microns was obtained. The UV irradiation was performed at 1 Pa. At this time, the output right above the substrate (silicon wafer) was 5 mWcm −2 .
The relative dielectric constant of the film was calculated from the capacitance value at 1 MHz by using a mercury probe manufactured by Four Dimensions and an HP4285ALCR meter manufactured by Yokogawa Hewlett-Packard. Moreover, it was 9.8 GPa when the Young's modulus was measured using nano indenter SA2 by MTS.
<実施例3>
1,3,5−トリフェニルエチニルアダマンタン 2重量部とジクミルパーオキサイド(パークミルD、日本油脂製) 0.4重量部、t−ブチルベンゼン 8.6重量部を窒素気流下で内温130℃で1時間攪拌し、重合した。反応液を室温にした後、メタノール79.1重量部に添加し、析出した固体を濾過して、メタノールで洗浄した。重量平均分子量約1.7万の重合体(B)を1.0重量部得た。
重合体(B)のシクロヘキサノンへの溶解度は25℃で20重量%以上であった。
<Example 3>
1,3,5-triphenylethynyladamantane 2 parts by weight, dicumyl peroxide (Parkmill D, manufactured by NOF Corporation) 0.4 part by weight, t-butylbenzene 8.6 parts by weight under nitrogen flow 130 ° C. And polymerized with stirring for 1 hour. After the reaction solution was brought to room temperature, it was added to 79.1 parts by weight of methanol, and the precipitated solid was filtered and washed with methanol. 1.0 part by weight of polymer (B) having a weight average molecular weight of about 17,000 was obtained.
The solubility of the polymer (B) in cyclohexanone was 20% by weight or more at 25 ° C.
重合体(B) 1.0重量部、1−ヒドロキシ−シクロヘキシル−フェニル−ケトン 0.2重量部をシクロヘキサノン 10重量部に完全に溶解させて塗布液を調製した。この溶液を0.1ミクロンのテトラフルオロエチレン製フィルターでろ過した後、シリコンウェハー上にスピンコートし、この塗膜を窒素気流下ホットプレート上で250℃で60秒間加熱した後、110℃1.5分UV照射(波長222nm)を行い、さらに窒素置換した300℃のホットプレート上で3分焼成した結果、膜厚0.5ミクロンのブツのない均一な膜が得られた。なお、上記UV照射は、1Paにおいて行った。また、このとき、基板(シリコンウェハー)直上における出力は5mWcm-2であった。
膜の比誘電率をフォーディメンジョンズ製水銀プローバ及び横川ヒューレットパッカード製のHP4285ALCRメーターを用いて1MHzにおける容量値から算出したところ、2.47であった。また、MTS社ナノインデンターSA2を使用してヤング率を測定したところ、8.0GPaであった。
A coating solution was prepared by completely dissolving 1.0 part by weight of polymer (B) and 0.2 part by weight of 1-hydroxy-cyclohexyl-phenyl-ketone in 10 parts by weight of cyclohexanone. This solution was filtered through a 0.1 micron tetrafluoroethylene filter, spin-coated on a silicon wafer, this coating film was heated on a hot plate at 250 ° C. for 60 seconds under a nitrogen stream, and then 110 ° C. As a result of irradiating with UV for 5 minutes (wavelength 222 nm) and baking for 3 minutes on a 300 ° C. hot plate purged with nitrogen, a uniform film having a thickness of 0.5 microns was obtained. The UV irradiation was performed at 1 Pa. At this time, the output right above the substrate (silicon wafer) was 5 mWcm −2 .
The relative dielectric constant of the film was calculated from the capacitance value at 1 MHz by using a mercury probe manufactured by Four Dimensions and an HP4285ALCR meter manufactured by Yokogawa Hewlett-Packard. Moreover, it was 8.0 GPa when the Young's modulus was measured using nano indenter SA2 by MTS.
<比較例2>
1,3,5−トリフェニルエチニルアダマンタン 2重量部とジクミルパーオキサイド(パークミルD、日本油脂製) 0.4重量部、t−ブチルベンゼン 8.6重量部を窒素気流下で内温130℃で1時間攪拌し、重合した。反応液を室温にした後、メタノール79.1重量部に添加し、析出した固体を濾過して、メタノールで洗浄した。重量平均分子量約1.7万の重合体(B)を1.0重量部得た。
重合体(B)のシクロヘキサノンへの溶解度は25℃で20重量%以上であった。
<Comparative example 2>
1,3,5-triphenylethynyladamantane 2 parts by weight, dicumyl peroxide (Parkmill D, manufactured by NOF Corporation) 0.4 part by weight, t-butylbenzene 8.6 parts by weight under nitrogen flow 130 ° C. And polymerized with stirring for 1 hour. After the reaction solution was brought to room temperature, it was added to 79.1 parts by weight of methanol, and the precipitated solid was filtered and washed with methanol. 1.0 part by weight of polymer (B) having a weight average molecular weight of about 17,000 was obtained.
The solubility of the polymer (B) in cyclohexanone was 20% by weight or more at 25 ° C.
重合体(B)のみをシクロヘキサノン10重量部に完全に溶解させて塗布液を調製した。この溶液を0.1ミクロンのテトラフルオロエチレン製フィルターでろ過した後、シリコンウェハー上にスピンコートし、この塗膜を300℃のホットプレート上で10分、窒素置換雰囲気にて加熱処理を行った結果、膜厚0.5ミクロンのブツのない均一な膜が得られた。なお、上記UV照射は、1Paにおいて行った。
膜の比誘電率をフォーディメンジョンズ製水銀プローバ及び横川ヒューレットパッカード製のHP4285ALCRメーターを用いて1MHzにおける容量値から算出したところ、2.45であった。また、MTS社ナノインデンターSA2を使用してヤング率を測定したところ、3.5GPaであった。
Only the polymer (B) was completely dissolved in 10 parts by weight of cyclohexanone to prepare a coating solution. This solution was filtered through a 0.1 micron tetrafluoroethylene filter and then spin-coated on a silicon wafer. The coating film was heat-treated on a 300 ° C. hot plate for 10 minutes in a nitrogen atmosphere. As a result, a uniform film having a thickness of 0.5 microns was obtained. The UV irradiation was performed at 1 Pa.
The relative dielectric constant of the film was calculated from the capacitance value at 1 MHz by using a mercury probe manufactured by Four Dimensions and an HP4285ALCR meter manufactured by Yokogawa Hewlett-Packard. Moreover, when the Young's modulus was measured using Nano Indenter SA2 manufactured by MTS, it was 3.5 GPa.
結果を以下の表1に示す。 The results are shown in Table 1 below.
本発明により得られた絶縁膜は、硬化性(強度)に優れ、低い誘電率であることがわかった。 The insulating film obtained by the present invention was found to have excellent curability (strength) and low dielectric constant.
Claims (7)
塗布した膜形成用組成物に紫外線を照射する工程とを含み、
前記膜形成用組成物が、
(A)ラジカル重合開始剤と、
(B−1)下記式(1)で表される化合物及び/又は下記式(1)で表される化合物を少なくとも用いて重合した重合体、及び/又は
(B−2)下記式(2)で表される化合物及び/又は下記式(2)で表される化合物を少なくとも用いて重合した重合体とを含み、
前記紫外線を照射する工程における紫外線の照射時間が10分以下であり、紫外線照射時の基板温度が250〜450℃であり、紫外線の波長が150〜400nmであり、基板直上における紫外線の出力が1〜2,000mWcm -2 であることを特徴とする
絶縁膜の製造方法。
Irradiating the applied film-forming composition with ultraviolet light,
The film-forming composition is
(A) a radical polymerization initiator;
(B-1) A polymer obtained by polymerizing at least a compound represented by the following formula (1) and / or a compound represented by the following formula (1), and / or (B-2) the following formula (2) in looking contains at least used and polymerized polymer compound and / or a compound represented by the following formula (2) expressed,
The ultraviolet irradiation time in the ultraviolet irradiation step is 10 minutes or less, the substrate temperature at the time of ultraviolet irradiation is 250 to 450 ° C., the wavelength of the ultraviolet light is 150 to 400 nm, and the output of the ultraviolet light immediately above the substrate is 1. A method for producing an insulating film, characterized in that it is ˜2,000 mWcm −2 .
Priority Applications (2)
| Application Number | Priority Date | Filing Date | Title |
|---|---|---|---|
| JP2007250525A JP5113466B2 (en) | 2007-09-27 | 2007-09-27 | Insulating film manufacturing method and insulating film |
| US12/211,125 US20090104371A1 (en) | 2007-09-27 | 2008-09-16 | Film forming composition, method for producing film, film, and insulating film |
Applications Claiming Priority (1)
| Application Number | Priority Date | Filing Date | Title |
|---|---|---|---|
| JP2007250525A JP5113466B2 (en) | 2007-09-27 | 2007-09-27 | Insulating film manufacturing method and insulating film |
Publications (2)
| Publication Number | Publication Date |
|---|---|
| JP2009081332A JP2009081332A (en) | 2009-04-16 |
| JP5113466B2 true JP5113466B2 (en) | 2013-01-09 |
Family
ID=40655852
Family Applications (1)
| Application Number | Title | Priority Date | Filing Date |
|---|---|---|---|
| JP2007250525A Expired - Fee Related JP5113466B2 (en) | 2007-09-27 | 2007-09-27 | Insulating film manufacturing method and insulating film |
Country Status (1)
| Country | Link |
|---|---|
| JP (1) | JP5113466B2 (en) |
Family Cites Families (5)
| Publication number | Priority date | Publication date | Assignee | Title |
|---|---|---|---|---|
| US6740685B2 (en) * | 2001-05-30 | 2004-05-25 | Honeywell International Inc. | Organic compositions |
| JP3616360B2 (en) * | 2001-08-09 | 2005-02-02 | 三洋化成工業株式会社 | Curable film and insulator |
| JP2006245458A (en) * | 2005-03-07 | 2006-09-14 | Sumitomo Chemical Co Ltd | Manufacturing method of substrate with insulating film |
| JP2007211104A (en) * | 2006-02-08 | 2007-08-23 | Fujifilm Corp | POLYMER MANUFACTURING METHOD, POLYMER, FILM-FORMING COMPOSITION, INSULATING FILM, AND ELECTRONIC DEVICE |
| JP2007211103A (en) * | 2006-02-08 | 2007-08-23 | Fujifilm Corp | Method for producing polymer, film-forming composition using the polymer, insulating film, and electronic device |
-
2007
- 2007-09-27 JP JP2007250525A patent/JP5113466B2/en not_active Expired - Fee Related
Also Published As
| Publication number | Publication date |
|---|---|
| JP2009081332A (en) | 2009-04-16 |
Similar Documents
| Publication | Publication Date | Title |
|---|---|---|
| JP2008231174A (en) | Film forming composition, insulating film and electronic device | |
| US20080076850A1 (en) | Production method of insulating film, insulating film, stacked product and electronic device | |
| JP2008218632A (en) | Electronic devices | |
| JP2007161784A (en) | Insulating film, compound, film forming composition, and electronic device | |
| JP2009206447A (en) | Film-forming composition, insulating film, and electronic device | |
| JP5113466B2 (en) | Insulating film manufacturing method and insulating film | |
| JP2007254551A (en) | Film forming composition | |
| JP2007161786A (en) | Polymer, film-forming composition, insulating film and electronic device | |
| JP2008075047A (en) | Composition containing a polymer of triptycene derivative, insulating film using the same, and electronic device | |
| JP2009051971A (en) | Composition for interlayer insulating film | |
| JP4792282B2 (en) | Polymer and film-forming composition | |
| JP2009227838A (en) | Composition for film formation, insulating film and electronic device | |
| JP5155541B2 (en) | Method for manufacturing insulating film forming composition, insulating film forming composition manufactured by the manufacturing method, insulating film, and electronic device | |
| JP2009079164A (en) | Film-forming composition and film | |
| JP2007161778A (en) | Film forming composition | |
| JP2008081598A (en) | Film forming composition, film formed from the composition, insulating film, and electronic device having the same | |
| JP2010043176A (en) | Film-forming composition, insulation film, and electronic device | |
| JP2009149750A (en) | Film-forming composition, insulating film, and electronic device | |
| JP2008218639A (en) | Insulation film | |
| JP2007161782A (en) | Film forming composition, insulating film and electronic device using the composition | |
| JP2007161780A (en) | Film forming composition, insulating film and electronic device using the composition | |
| JP2009079195A (en) | Composition for interlayer insulating film | |
| JP2008085073A (en) | Film forming composition, insulating film and electronic device | |
| JP2008085062A (en) | Film forming composition, insulating film formed from the composition, and electronic device having the same | |
| US20090104371A1 (en) | Film forming composition, method for producing film, film, and insulating film |
Legal Events
| Date | Code | Title | Description |
|---|---|---|---|
| A621 | Written request for application examination |
Free format text: JAPANESE INTERMEDIATE CODE: A621 Effective date: 20100202 |
|
| A977 | Report on retrieval |
Free format text: JAPANESE INTERMEDIATE CODE: A971007 Effective date: 20100402 |
|
| RD03 | Notification of appointment of power of attorney |
Free format text: JAPANESE INTERMEDIATE CODE: A7423 Effective date: 20100623 |
|
| RD04 | Notification of resignation of power of attorney |
Free format text: JAPANESE INTERMEDIATE CODE: A7424 Effective date: 20100927 |
|
| A131 | Notification of reasons for refusal |
Free format text: JAPANESE INTERMEDIATE CODE: A131 Effective date: 20120703 |
|
| A521 | Written amendment |
Free format text: JAPANESE INTERMEDIATE CODE: A523 Effective date: 20120831 |
|
| TRDD | Decision of grant or rejection written | ||
| A01 | Written decision to grant a patent or to grant a registration (utility model) |
Free format text: JAPANESE INTERMEDIATE CODE: A01 Effective date: 20120925 |
|
| A01 | Written decision to grant a patent or to grant a registration (utility model) |
Free format text: JAPANESE INTERMEDIATE CODE: A01 |
|
| A61 | First payment of annual fees (during grant procedure) |
Free format text: JAPANESE INTERMEDIATE CODE: A61 Effective date: 20121012 |
|
| FPAY | Renewal fee payment (event date is renewal date of database) |
Free format text: PAYMENT UNTIL: 20151019 Year of fee payment: 3 |
|
| R150 | Certificate of patent or registration of utility model |
Free format text: JAPANESE INTERMEDIATE CODE: R150 |
|
| R250 | Receipt of annual fees |
Free format text: JAPANESE INTERMEDIATE CODE: R250 |
|
| LAPS | Cancellation because of no payment of annual fees |
