JP3628615B2 - Heterodyne beat image synchronous measurement device - Google Patents
Heterodyne beat image synchronous measurement device Download PDFInfo
- Publication number
- JP3628615B2 JP3628615B2 JP2001007502A JP2001007502A JP3628615B2 JP 3628615 B2 JP3628615 B2 JP 3628615B2 JP 2001007502 A JP2001007502 A JP 2001007502A JP 2001007502 A JP2001007502 A JP 2001007502A JP 3628615 B2 JP3628615 B2 JP 3628615B2
- Authority
- JP
- Japan
- Prior art keywords
- image
- signal
- light
- heterodyne beat
- irradiation
- Prior art date
- Legal status (The legal status is an assumption and is not a legal conclusion. Google has not performed a legal analysis and makes no representation as to the accuracy of the status listed.)
- Expired - Fee Related
Links
Images
Landscapes
- Instruments For Measurement Of Length By Optical Means (AREA)
- Length Measuring Devices By Optical Means (AREA)
- Investigating Or Analysing Materials By Optical Means (AREA)
Description
【0001】
【発明の属する技術分野】
本発明は、ヘテロダインビート信号にランダムな位相揺らぎが存在しても、ヘテロダインビート画像が安定に測定できるヘテロダインビート画像同期測定装置に関するものである。
【0002】
【従来の技術】
従来、このような分野の技術としては、以下に示すようなものがあった。
【0003】
図4はかかる従来のヘテロダインビート画像測定システムの模式図、図5はその検出原理の説明図である。
【0004】
図4には、反射型マッハ・ツェンダ型干渉計をベースとした実験光学系が示されており、低コヒーレンス光源として波長λ=813nm、波長幅Δλ=16nmのスーパールミネッセントダイオード(SLD)を用いた。入射光はレンズL1を通り、ビームスプリッタ(BS1)にて信号光と参照光に2分される。信号光と参照光は2つの音響光学素子(AOM)にて79.9MHzと79.96MHzにそれぞれ周波数シフトされ、(Δf=40kHz)のビート周波数を得る。被検体から後方散乱した信号光はBS2において参照光と再び合波され、2倍の倍率に拡大するレンズペアL2,L3を通してCCDカメラに撮像する。
【0005】
電荷蓄積型センサであるCCDアレイを光ヘテロダイン検波に応用するため、光ヘテロダイン検出法に新たに周波数同期法を導入した。図4の干渉計において、両AOMをビート周波数Δfに等しい周波数の方形波で駆動して、信号光と参照光をともに周波数Δfのパルス列にする。図5に示すように、CCDの検出面において光干渉信号の時間波形は、Δfでサンプリングされている。CCD素子の低い応答特性(〜30Hz)により、各素子は低周波通過フィルタとして機能し、高い周波数をもつヘテロダイン信号に対応する電荷量を観測時間内で蓄積して出力する。
【0006】
【発明が解決しようとする課題】
2次元の断層画像測定のために結像干渉光学系を用いる場合、従来のAOMなどはビーム系が細いために不適切であり、ピエゾ付きハーフミラーなどによる位相変調か、電気光学効果による非線型結晶を用いた位相変調になる。
【0007】
後者の場合、ビーム幅を考慮すると数ミリになり、高い電圧が必要になり、十分高い周波数特性を有する高電圧電源は容易ではない。
【0008】
また、これより、ヘテロダインビート信号は高次高調波を含む。また、参照波と信号波との位相揺らぎは温度などの環境の揺らぎによって容易に発生する。これらのことは実用化に対して重要な問題である。
【0009】
このように、上記した従来の周波数同期法は、ヘテロダインビート信号に高次高調波が含まれるときには、対応できない。
【0010】
また、ヘテロダインビート信号に位相揺らぎがランダムに含まれるときに対応できないといった問題があった。
【0011】
本発明は、上記状況に鑑みて、ヘテロダインビート信号に含まれる高次高調波をも考慮に入れて検討を行い、ヘテロダインビート信号に、ランダムな位相揺らぎが存在しても、安定にヘテロダインビート画像が測定できるヘテロダインビート画像同期測定装置を提供することを目的とする。
【0012】
【課題を解決するための手段】
本発明は、上記目的を達成するために、
〔1〕ヘテロダインビート画像同期測定装置において、光強度が制御できる光源と、この光源のドライバーと、前記光源からの光を信号光と参照光に2分するビームスプリッタと、前記参照光の位相を変調する位相変調器と、この位相変調器のドライバーと、前記信号光をサンプルに照射してこのサンプルからの信号光と、変調された参照光とを前記ビームスプリッタで合波し、干渉画像を面上に結像する撮像装置と、この撮像装置のコントローラと、画像処理とシステム全体の制御を行うコンピュータとを備え、前記位相変調器のドライバーからの変調信号〔図2(e)〕に同期して、前記光源のドライバーによる照射信号〔図2(d)〕により前記光源は断続的にスイッチングされ、最初の照射信号〔図2(d)〕の最初のパルスの中心は、変調信号〔図2(e)〕より周期/4だけ遅れており、パルス幅はほぼ周期/4であり、第1照射により画像I 0 が得られ、第2照射により画像I 1 が得られ、第3照射により画像I 2 が得られ、前記コンピュータによって、下記の式に従って演算処理することにより、前記撮像装置の画素上でのヘテロダインビート信号に含まれる高次高調波を考慮するとともに、信号光強度IS を位相揺らぎ成分δに依存しないで求め、ランダムな位相揺らぎが存在しても安定にヘテロダインビート画像を測定することを特徴とする。
【0013】
I S =(1/4I r ){(S 1 /A) 2 +(S 2 /B) 2 }
ここで、I r は参照光強度、S 1 はI 0 −I 1 、S 2 はI 0 +I 2 −2I 1 、A,Bは定数である。
【0014】
【発明の実施の形態】
以下、本発明の実施の形態について詳細に説明する。
【0015】
まず、本発明のヘテロダインビート画像同期測定方法〔ILM(Image Lock−in Measurement)〕の原理について説明する。
【0016】
干渉結像光学系において、1画素は通常のヘテロダインビート信号と同じ式、IHB(t)=Ir +IS +2√(Ir ・IS )×cos〔φ(t)+δ〕 …(1)
で表わされる。
【0017】
ここで、Ir:参照光強度、Is:信号光強度、φ(t):位相変調成分、δ:位相揺らぎ成分である。
【0018】
ここでの最終目的は、信号強度IS を位相揺らぎ成分δに依存しないで求めること、つまり、δを用いないでIS を表わすことである。標準的な正弦波の位相変調を仮定して、ベッセル関数を用いると
【0019】
【数1】
のようになる。さらに、3つのタイミングで照射した画像、つまり、3つの時間領域で時間積分した画像を、I0 、I1 、I2 とする。すなわち、
IHB(t)に対して以下の3つの時間領域で積分したものをI0 ,I1 ,I2 とする。
【0020】
I: t0 +NT/4−τ/2≦t≦t0 +NT/4+τ/2 (N=0)
II: t0 +NT/4−τ/2≦t≦t0 +NT/4+τ/2 (N=1)
III :t0 +NT/4−τ/2≦t≦t0 +NT/4+τ/2 (N=2)
…(3)
変調信号に対する全体の時間遅延t0 で、それぞれの時間遅延は、0、周期/4、周期/2であり、積分時間はτである。その結果、画像信号I0 ,I1 ,I2 はそれぞれ、
【0021】
【数2】
【0022】
【数3】
【0023】
【数4】
になる。ここで、
【0024】
【数5】
【0025】
【数6】
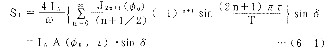
のようにS1 、S2 を求める。
【0026】
ここで、t0 については、t0 =T/4が1つのよい条件である。
【0027】
そこで、t 0 =T/4が望ましい理由について、以下説明する。
【0028】
まず、第1に、δによらずIS が求められる条件としてS2 のsinδの項(第2番目の項)が0になる必要がある。つまり、cos(2n+1)ωt0 =0である。
【0029】
このとき、
(2n+1)ωt0 =(2n+1)2πt0 /T=(n′+1/2)π
(全てのnに対してn′が対応すればよい)
t0 がnにならず、ある一定値になるには、n=n′であり、
∴t0 =T/4
となればよい。
【0030】
このように、変調信号に対する全体の時間遅延t0 は、周期/4が好ましいことが解析的に得られる。
【0031】
更に、t 0 =T/4であれば、第2に、上記S 2 式において、δによらずI S が求められる条件としてS 2 のcosδの項(第1番目の項)も0にすることができる。
【0032】
以下、その点にIついて説明する。
【0033】
また、τについても周期/4にすると値が安定することが、図3に示すように、数値計算より明らかとなる。
【0034】
なお、図3(A)において
τ=aT、sin2nπ(τ/T)=sin2nπa
n=1,2,3,4,…
であり、nが偶数のときはsin2nπa=0、奇数のときはsin2nπa≠0である。
【0035】
このように、周期/4にすると、sin2nπa=0を得ることができ、上記S 2 式において、δによらずI S が求められる条件としてS 2 のcosδの項(第1番目の項)も0にすることができる。
【0036】
また、図3(B)において、
τ=aT、sin(2n+1)π(τ/T)
n=1,2,3,4,…,に対して、
sin(2n+1)π(τ/T)=sin(2n+1)πa≠0
以上より、a=0.25又は0.75〔τ=(T/4)又は(3T/4)〕のとき値は0とならずに安定に求まる。
【0037】
これより、S1 ,S2 は、
【0038】
【数7】
【0039】
【数8】
になる。この時、
IA 2 =(S1 /A)2 +(S2 /B)2 =4Ir IS …(7)
より、求めるIS は、
∴IS =(1/4Ir ){(S1 /A)2 +(S2 /B)2 } …(8)
のように求められる。IS は、高次高調波を含んだ解析にも関らずδを含んでいないので、位相揺らぎに対して安定であることがわかる。
【0040】
次に、本発明の測定システムについて説明する。
【0041】
図1は本発明のヘテロダインビート画像同期測定システムの構成図である。
【0042】
この図に示されるように、断続的なON、OFFが出来る光源1、そのドライバー2、サンプル4からの干渉画像を撮像デバイス(CCDカメラ)7面上に結像する結像干渉光学系3、参照光の位相変調器5、その位相変調器5のドライバー6、撮像デバイス7のコントローラ8、画像処理とシステム全体制御を行うコンピュータ9で構成される。
【0043】
図2は本発明にかかるヘテロダインビート画像同期測定タイミングチャートである。つまり、図2(a)は全体のシーケンスを示しており、N周期の画像データは蓄積・表示・クリアを繰り返す。図2(b)はそのシーケンスのエレメントの拡大図、図2(c)はシーケンス図であり、Expは照射、Sは画像データセーブ、Calは演算を示している。図2(d)は照射信号のタイミングチャート、図2(e)は変調信号の波形図、図2(f)はヘテロダインビート信号の波形図である。
【0044】
このヘテロダインビート信号の計測には、浜松ホトニクスC−4880−80を用い、ビニング(2×2)328(H)×247(V)、フレームレート53Hz(19ms)、T/4=4.75ms、変調周波数53Hz、1フレーム/secとすると53回の積算である。
【0045】
変調信号〔図2(e)〕に同期して、照射信号〔図2(d)〕により光源は断続的にスイッチングされる。最初の照射信号〔図2(d)〕の最初のパルスの中心は、変調信号〔図2(e)〕より周期/4だけ遅れており、パルス幅はほぼ周期/4である。Exp1により画像I0 が得られセーブ(S1)、Exp2により画像I1 が得られセーブ(S2)、Exp3により画像I2 が得られ、式(8)に従って演算処理され、セーブ(S3)される。この一連の処理を1周期(P1)とする。以後、S3によって得られた画像をN回積算して最終画像とする。つまり、N回積算・表示・クリア・N回積算・表示・クリアを繰り返す。最終的にN回積算を行った画像を断層画像として出力する。
【0046】
上記したように、
位相揺らぎ抑制方法としては、
〔方法1〕
もし、A(φo ,τ=T/4)=B(φo ,τ=T/4)を満たすφo が求まれば、
∴IS =IC 2 /8A2 Ir
として、IS が求まる。
〔方法2〕
IA 2 =(S1 /A)2 +(S2 /B)2 =4Ir IS …(7)
∴IS =(1/4Ir ){(S1 /A)2 +(S2 /B)2 } …(8)
として、IS が求められる。これが1画素でのサンプルからの後方散乱光強度であり、この処理を全ての画素に対して行うことにより画像データが得られる。
【0047】
なお、本発明は上記実施例に限定されるものではなく、本発明の趣旨に基づいて種々の変形が可能であり、これらを本発明の範囲から排除するものではない。
【0048】
【発明の効果】
以上、詳細に説明したように、本発明によれば、高次高調波を考慮した上で、画像全体に有効な位相揺らぎを抑制する方法を講じたために、大変有効である。
【0049】
したがって、実時間表示の生体用鉛直断面画像測定装置が実現され、基礎医学から臨床医学の分野にわたって、いままでわからなかった様々なことが解明可能である。よって、医学分野、さらに、半導体や他の産業分野への波及効果は多大である。
【図面の簡単な説明】
【図1】本発明のヘテロダインビート画像同期測定システムの構成図である。
【図2】本発明にかかるヘテロダインビート画像同期測定タイミングチャートである。
【図3】変調信号に対する全体の時間遅延の数値結果を示す図である。
【図4】従来のヘテロダインビート画像測定システムの模式図である。
【図5】従来のへテロダインビート画像検出原理の説明図である。
【符号の説明】
1 光源
2 ドライバー
3 結像干渉光学系
4 サンプル
5 参照光の位相変調器
6 位相変調器のドライバー
7 撮像デバイス(CCDカメラ)
8 撮像デバイスのコントローラ
9 画像処理とシステム全体制御を行うコンピュータ[0001]
BACKGROUND OF THE INVENTION
The present invention, even in the presence of random phase fluctuations in the heterodyne beat signal, it relates to a heterodyne beat image sync measurement TeiSo location of the heterodyne beat image can be measured stably.
[0002]
[Prior art]
Conventionally, there have been the following technologies in such fields.
[0003]
FIG. 4 is a schematic diagram of such a conventional heterodyne beat image measurement system, and FIG. 5 is an explanatory diagram of its detection principle.
[0004]
FIG. 4 shows an experimental optical system based on a reflective Mach-Zehnder interferometer. A super luminescent diode (SLD) having a wavelength λ = 813 nm and a wavelength width Δλ = 16 nm is used as a low coherence light source. Using. Incident light passes through the lens L1, and is divided into signal light and reference light by a beam splitter (BS1). The signal light and the reference light are frequency-shifted to 79.9 MHz and 79.96 MHz by two acousto-optic elements (AOM), respectively, to obtain a beat frequency (Δf = 40 kHz). The signal light back-scattered from the subject is combined with the reference light again at BS2, and is imaged on the CCD camera through the lens pair L2, L3 that expands to a magnification of 2 times.
[0005]
In order to apply the CCD array, which is a charge storage sensor, to optical heterodyne detection, a frequency synchronization method was newly introduced in the optical heterodyne detection method. In the interferometer of FIG. 4, both AOMs are driven by a square wave having a frequency equal to the beat frequency Δf, so that both the signal light and the reference light are made into a pulse train having the frequency Δf. As shown in FIG. 5, the time waveform of the optical interference signal is sampled by Δf on the detection surface of the CCD. Due to the low response characteristics (˜30 Hz) of the CCD element, each element functions as a low-frequency pass filter, and accumulates and outputs the charge amount corresponding to the heterodyne signal having a high frequency within the observation time.
[0006]
[Problems to be solved by the invention]
When an imaging interference optical system is used for two-dimensional tomographic image measurement, the conventional AOM is not suitable because the beam system is thin, and phase modulation by a half mirror with a piezo or non-linear type by an electro-optic effect Phase modulation using crystals.
[0007]
In the latter case, the beam width is several millimeters in consideration of the beam width, a high voltage is required, and a high voltage power supply having a sufficiently high frequency characteristic is not easy.
[0008]
Accordingly, the heterodyne beat signal includes high-order harmonics. Further, the phase fluctuation between the reference wave and the signal wave easily occurs due to fluctuations in the environment such as temperature. These are important issues for practical application.
[0009]
As described above, the above-described conventional frequency synchronization method cannot cope with a case where a higher-order harmonic is included in the heterodyne beat signal.
[0010]
In addition, there is a problem that the heterodyne beat signal cannot be dealt with when phase fluctuation is randomly included.
[0011]
In view of the above situation, the present invention performs a study in consideration of higher-order harmonics included in a heterodyne beat signal, and even if there is a random phase fluctuation in the heterodyne beat signal, the heterodyne beat image is stably obtained. There is an object to provide a heterodyne beat image synchronization measurement TeiSo location that can be measured.
[0012]
[Means for Solving the Problems]
In order to achieve the above object, the present invention provides
[ 1 ] In a heterodyne beat image synchronous measurement apparatus, a light source capable of controlling light intensity, a driver of the light source , a beam splitter for dividing light from the light source into signal light and reference light, and a phase of the reference light A phase modulator to modulate, a driver of the phase modulator, the signal light is irradiated onto the sample, the signal light from the sample and the modulated reference light are combined by the beam splitter, and an interference image is obtained. An imaging device that forms an image on a surface, a controller for the imaging device, and a computer that performs image processing and overall system control, and is synchronized with a modulation signal [FIG. 2 (e)] from the driver of the phase modulator Then, the light source is intermittently switched by the irradiation signal from the driver of the light source (FIG. 2 (d)), and the first pulse of the first irradiation signal (FIG. 2 (d)) is changed. The modulated signal [Fig. 2 (e)] is delayed by the period / 4 from the pulse width is approximately periodic / 4, the image I 0 is obtained by the first irradiation, the image I 1 is obtained by the second irradiation is, the image I 2 is obtained by the third irradiation, by the computer, by performing arithmetic processing according to the following equation, as well as consider the high-order harmonics of the heterodyne beat signal on a pixel of the imaging device The signal light intensity I S is obtained without depending on the phase fluctuation component δ, and a heterodyne beat image is stably measured even when random phase fluctuation exists.
[0013]
I S = (1 / 4I r ) {(S 1 / A) 2 + (S 2 / B) 2 }
Here, I r is the reference light intensity, S 1 is I 0 -I 1 , S 2 is I 0 + I 2 -2I 1 , and A and B are constants.
[0014]
DETAILED DESCRIPTION OF THE INVENTION
Hereinafter, embodiments of the present invention will be described in detail.
[0015]
First, the principle of the heterodyne beat image synchronization measurement method [ILM (Image Lock-in Measurement)] of the present invention will be described.
[0016]
In the interference imaging optical system, one pixel is the same as a normal heterodyne beat signal, I HB (t) = I r + I S + 2√ (I r · I S ) × cos [φ (t) + δ] (1 )
It is represented by
[0017]
Here, Ir: reference light intensity, Is: signal light intensity, φ (t): phase modulation component, and δ: phase fluctuation component.
[0018]
The final purpose here is to obtain the signal intensity I S without depending on the phase fluctuation component δ, that is, to represent I S without using δ. Assuming standard sinusoidal phase modulation and using the Bessel function:
[Expression 1]
become that way. Furthermore, an image irradiated at three timings, that is, an image that is time-integrated in three time regions is defined as I 0 , I 1 , and I 2 . That is,
Those integrated in three time domain with respect to I HB (t) and I 0, I 1, I 2 .
[0020]
I: t 0 + NT / 4−τ / 2 ≦ t ≦ t 0 + NT / 4 + τ / 2 (N = 0)
II: t 0 + NT / 4−τ / 2 ≦ t ≦ t 0 + NT / 4 + τ / 2 (N = 1)
III: t 0 + NT / 4−τ / 2 ≦ t ≦ t 0 + NT / 4 + τ / 2 (N = 2)
... (3)
With an overall time delay t 0 for the modulation signal, the respective time delays are 0, period / 4, period / 2, and the integration time is τ. As a result, the image signals I 0 , I 1 , I 2 are respectively
[0021]
[Expression 2]
[0022]
[Equation 3]
[0023]
[Expression 4]
become. here,
[0024]
[Equation 5]
[0025]
[Formula 6]
S 1 and S 2 are obtained as follows.
[0026]
Here, for t 0 , t 0 = T / 4 is one good condition.
[0027]
The reason why t 0 = T / 4 is desirable will be described below.
[0028]
First, as a condition for obtaining I S regardless of δ, the sin δ term (second term) of S 2 needs to be zero. That is, cos (2n + 1) ωt 0 = 0.
[0029]
At this time,
(2n + 1) ωt 0 = (2n + 1) 2πt 0 / T = (n ′ + 1/2) π
(N ′ should correspond to all n)
For t 0 not to be n but to be a certain value, n = n ′,
∴t 0 = T / 4
If it becomes.
[0030]
Thus, it can be analytically obtained that the overall time delay t 0 for the modulation signal is preferably a period / 4.
[0031]
Moreover, if t 0 = T / 4, the second, in the S 2 expression, the term cosδ of S 2 as a condition of I S is required regardless of the [delta] (1st term) is also zero be able to.
[0032]
Hereinafter, this point will be described.
[0033]
Further, as shown in FIG. 3, it becomes clear from numerical calculation that the value of τ is stable when the period is / 4.
[0034]
In FIG. 3A, τ = aT, sin2nπ (τ / T) = sin2nπa
n = 1, 2, 3, 4,.
When n is an even number, sin2nπa = 0, and when n is an odd number,
[0035]
Thus, when the period / 4, it is possible to obtain a sin2nπa = 0, in the S 2 equation, terms (1st term) of cosδ of S 2 as a condition of I S is required regardless of the δ even Can be zero.
[0036]
In FIG. 3B,
τ = aT, sin (2n + 1) π (τ / T)
For n = 1, 2, 3, 4,.
sin (2n + 1) π (τ / T) = sin (2n + 1)
From the above, when a = 0.25 or 0.75 [τ = (T / 4) or (3T / 4)], the value does not become 0 but can be obtained stably.
[0037]
From this, S 1 and S 2 are
[0038]
[Expression 7]
[0039]
[Equation 8]
become. This time,
I A 2 = (S 1 / A) 2 + (S 2 / B) 2 = 4I r I S (7)
Therefore, the required I S is
∴I S = (1 / 4I r ) {(S 1 / A) 2 + (S 2 / B) 2 } (8)
It is required as follows. Since I S does not include δ in spite of analysis including high-order harmonics, it is understood that I S is stable against phase fluctuation.
[0040]
Next, the measurement system of the present invention will be described.
[0041]
FIG. 1 is a configuration diagram of a heterodyne beat image synchronous measurement system of the present invention.
[0042]
As shown in this figure, an imaging interference
[0043]
FIG. 2 is a heterodyne beat image synchronization measurement timing chart according to the present invention. That is, FIG. 2A shows the entire sequence, and N-cycle image data is repeatedly accumulated, displayed, and cleared. 2B is an enlarged view of the elements of the sequence, FIG. 2C is a sequence diagram, Exp is irradiation, S is image data saving, and Cal is calculation. 2D is a timing chart of the irradiation signal, FIG. 2E is a waveform diagram of the modulation signal, and FIG. 2F is a waveform diagram of the heterodyne beat signal.
[0044]
This heterodyne beat signal is measured using Hamamatsu Photonics C-4880-80, binning (2 × 2) 328 (H) × 247 (V), frame rate 53 Hz (19 ms), T / 4 = 4.75 ms, If the modulation frequency is 53 Hz and 1 frame / sec, the integration is 53 times.
[0045]
In synchronization with the modulation signal [FIG. 2 (e)], the light source is intermittently switched by the irradiation signal [FIG. 2 (d)]. The center of the first pulse of the first irradiation signal [FIG. 2D] is delayed by a period / 4 from the modulation signal [FIG. 2E], and the pulse width is substantially a period / 4. The image I 0 is obtained and saved by Exp1 (S1), the image I 1 is obtained and saved by Exp2 (S2), the image I 2 is obtained by Exp3, and is processed according to the equation (8) and saved (S3). . This series of processing is defined as one cycle (P1). Thereafter, the images obtained in S3 are integrated N times to obtain the final image. That is, N times integration / display / clear / N times integration / display / clear are repeated. The image that has been finally integrated N times is output as a tomographic image.
[0046]
As mentioned above,
As a method for suppressing phase fluctuation,
[Method 1]
If φ o satisfying A (φ o , τ = T / 4) = B (φ o , τ = T / 4) is obtained,
∴I S = I C 2 / 8A 2 I r
As, I S is obtained.
[Method 2]
I A 2 = (S 1 / A) 2 + (S 2 / B) 2 = 4I r I S (7)
∴I S = (1 / 4I r ) {(S 1 / A) 2 + (S 2 / B) 2 } (8)
As, I S is required. This is the intensity of backscattered light from the sample at one pixel, and image data can be obtained by performing this process on all pixels.
[0047]
In addition, this invention is not limited to the said Example, A various deformation | transformation is possible based on the meaning of this invention, and these are not excluded from the scope of the present invention.
[0048]
【The invention's effect】
As described above in detail, according to the present invention, in consideration of the high-order harmonics, in order to have taken a method of inhibiting effective phase fluctuation to the entire image, it is very effective.
[0049]
Therefore, a real-time display vertical cross-sectional image measuring apparatus for living bodies is realized, and various things that have not been understood in the field of basic medicine to clinical medicine can be clarified. Therefore, the ripple effect on the medical field and further on the semiconductor and other industrial fields is great.
[Brief description of the drawings]
FIG. 1 is a configuration diagram of a heterodyne beat image synchronous measurement system of the present invention.
FIG. 2 is a heterodyne beat image synchronization measurement timing chart according to the present invention.
FIG. 3 is a diagram illustrating a numerical result of an overall time delay with respect to a modulation signal.
FIG. 4 is a schematic diagram of a conventional heterodyne beat image measurement system.
FIG. 5 is an explanatory diagram of a conventional heterodyne beat image detection principle.
[Explanation of symbols]
DESCRIPTION OF
8 Image pickup device controller 9 Computer for image processing and overall system control
Claims (1)
(b)該光源のドライバーと、
(c)前記光源からの光を信号光と参照光に2分するビームスプリッタと、
(d)前記参照光の位相を変調する位相変調器と、
(e)該位相変調器のドライバーと、
(f)前記信号光をサンプルに照射して該サンプルからの信号光と、変調された参照光とを前記ビームスプリッタで合波し、干渉画像を面上に結像する撮像装置と、
(g)該撮像装置のコントローラと、
(h)画像処理とシステム全体の制御を行うコンピュータとを備え、
(i)前記位相変調器のドライバーからの変調信号に同期して、前記光源のドライバーによる照射信号により前記光源は断続的にスイッチングされ、最初の照射信号の最初のパルスの中心は、変調信号より周期/4だけ遅れており、パルス幅はほぼ周期/4であり、第1照射により画像I 0 が得られ、第2照射により画像I 1 が得られ、第3照射により画像I 2 が得られ、前記コンピュータによって、下記の式に従って演算処理することにより、前記撮像装置の画素上でのヘテロダインビート信号に含まれる高次高調波を考慮するとともに、信号光強度IS を位相揺らぎ成分δに依存しないで求め、ランダムな位相揺らぎが存在しても安定にヘテロダインビート画像を測定することを特徴とするヘテロダインビート画像同期測定装置。
I S =(1/4I r ){(S 1 /A) 2 +(S 2 /B) 2 }
ここで、I r は参照光強度、S 1 はI 0 −I 1 、S 2 はI 0 +I 2 −2I 1 、A,Bは定数である。 (A) a light source whose light intensity can be controlled;
(B) a driver for the light source;
(C) a beam splitter that divides light from the light source into signal light and reference light;
And (d) a phase modulator for modulating the phase of the reference light,
(E) a driver for the phase modulator;
( F ) An imaging device that irradiates the sample with the signal light, combines the signal light from the sample and the modulated reference light with the beam splitter, and forms an interference image on the surface ;
(G) a controller imaging device,
( H ) a computer for image processing and overall system control;
(I) The light source is intermittently switched by the irradiation signal from the driver of the light source in synchronization with the modulation signal from the driver of the phase modulator, and the center of the first pulse of the first irradiation signal is from the modulation signal Delayed by period / 4, the pulse width is approximately period / 4, the image I 0 is obtained by the first irradiation, the image I 1 is obtained by the second irradiation, and the image I 2 is obtained by the third irradiation. , by the computer, by performing arithmetic processing according to the following equation, with a high-order harmonic considered to take into contained in the heterodyne beat signal on a pixel of the imaging device, a signal light intensity I S of the phase fluctuation component δ A heterodyne beat image synchronous measurement apparatus characterized in that a heterodyne beat image is obtained without being dependent and stably measures a heterodyne beat image even in the presence of random phase fluctuations.
I S = (1 / 4I r ) {(S 1 / A) 2 + (S 2 / B) 2 }
Here, I r is the reference light intensity, S 1 is I 0 -I 1 , S 2 is I 0 + I 2 -2I 1 , and A and B are constants.
Priority Applications (1)
| Application Number | Priority Date | Filing Date | Title |
|---|---|---|---|
| JP2001007502A JP3628615B2 (en) | 2001-01-16 | 2001-01-16 | Heterodyne beat image synchronous measurement device |
Applications Claiming Priority (1)
| Application Number | Priority Date | Filing Date | Title |
|---|---|---|---|
| JP2001007502A JP3628615B2 (en) | 2001-01-16 | 2001-01-16 | Heterodyne beat image synchronous measurement device |
Publications (2)
| Publication Number | Publication Date |
|---|---|
| JP2002214128A JP2002214128A (en) | 2002-07-31 |
| JP3628615B2 true JP3628615B2 (en) | 2005-03-16 |
Family
ID=18875243
Family Applications (1)
| Application Number | Title | Priority Date | Filing Date |
|---|---|---|---|
| JP2001007502A Expired - Fee Related JP3628615B2 (en) | 2001-01-16 | 2001-01-16 | Heterodyne beat image synchronous measurement device |
Country Status (1)
| Country | Link |
|---|---|
| JP (1) | JP3628615B2 (en) |
Families Citing this family (52)
| Publication number | Priority date | Publication date | Assignee | Title |
|---|---|---|---|---|
| DE60141090D1 (en) | 2000-10-30 | 2010-03-04 | Gen Hospital Corp | OPTICAL SYSTEMS FOR TISSUE ANALYSIS |
| EP1611470B1 (en) | 2003-03-31 | 2015-10-14 | The General Hospital Corporation | Speckle reduction in optical coherence tomography by path length encoded angular compounding |
| EP2280260B1 (en) | 2003-06-06 | 2017-03-08 | The General Hospital Corporation | Process and apparatus for a wavelength tuned light source |
| JP4995720B2 (en) | 2004-07-02 | 2012-08-08 | ザ ジェネラル ホスピタル コーポレイション | Endoscopic imaging probe with double clad fiber |
| WO2006024015A1 (en) | 2004-08-24 | 2006-03-02 | The General Hospital Corporation | Method and apparatus for imaging of vessel segments |
| KR101269455B1 (en) * | 2004-09-10 | 2013-05-30 | 더 제너럴 하스피탈 코포레이션 | System and method for optical coherence imaging |
| JP4633423B2 (en) * | 2004-09-15 | 2011-02-16 | 株式会社トプコン | Optical image measuring device |
| JP4563130B2 (en) * | 2004-10-04 | 2010-10-13 | 株式会社トプコン | Optical image measuring device |
| WO2006058346A1 (en) | 2004-11-29 | 2006-06-01 | The General Hospital Corporation | Arrangements, devices, endoscopes, catheters and methods for performing optical imaging by simultaneously illuminating and detecting multiple points on a sample |
| EP2325803A1 (en) | 2005-04-28 | 2011-05-25 | The General Hospital Corporation | Evaluating optical coherence tomography information for an anatomical structure |
| WO2006130802A2 (en) | 2005-06-01 | 2006-12-07 | The General Hospital Corporation | Apparatus, method and system for performing phase-resolved optical frequency domain imaging |
| CN101238347B (en) | 2005-08-09 | 2011-05-25 | 通用医疗公司 | Apparatus, methods and storage medium for performing polarization-based quadrature demodulation in optical coherence tomography |
| EP1940286A1 (en) | 2005-09-29 | 2008-07-09 | General Hospital Corporation | Method and apparatus for method for viewing and analyzing of one or more biological samples with progressively increasing resolutions |
| US8145018B2 (en) | 2006-01-19 | 2012-03-27 | The General Hospital Corporation | Apparatus for obtaining information for a structure using spectrally-encoded endoscopy techniques and methods for producing one or more optical arrangements |
| EP2289398A3 (en) | 2006-01-19 | 2011-04-06 | The General Hospital Corporation | Methods and systems for optical imaging of epithelial luminal organs by beam scanning thereof |
| US9186066B2 (en) | 2006-02-01 | 2015-11-17 | The General Hospital Corporation | Apparatus for applying a plurality of electro-magnetic radiations to a sample |
| JP5524487B2 (en) | 2006-02-01 | 2014-06-18 | ザ ジェネラル ホスピタル コーポレイション | A method and system for emitting electromagnetic radiation to at least a portion of a sample using a conformal laser treatment procedure. |
| JP2009527770A (en) | 2006-02-24 | 2009-07-30 | ザ ジェネラル ホスピタル コーポレイション | Method and system for performing angle-resolved Fourier domain optical coherence tomography |
| WO2007133961A2 (en) | 2006-05-10 | 2007-11-22 | The General Hospital Corporation | Processes, arrangements and systems for providing frequency domain imaging of a sample |
| US8838213B2 (en) | 2006-10-19 | 2014-09-16 | The General Hospital Corporation | Apparatus and method for obtaining and providing imaging information associated with at least one portion of a sample, and effecting such portion(s) |
| JP2009008393A (en) * | 2007-06-26 | 2009-01-15 | Kowa Co | Optical image measuring device |
| GB0713413D0 (en) * | 2007-07-11 | 2007-08-22 | Qinetiq Ltd | Phased based sensing |
| JP5433846B2 (en) * | 2008-04-07 | 2014-03-05 | 株式会社ミツトヨ | Laser interference length measuring apparatus and laser interference length measuring method |
| JP5607610B2 (en) | 2008-05-07 | 2014-10-15 | ザ ジェネラル ホスピタル コーポレイション | Apparatus for determining structural features, method of operating apparatus and computer-accessible medium |
| JP5667051B2 (en) | 2008-07-14 | 2015-02-12 | ザ ジェネラル ホスピタル コーポレイション | Equipment for color endoscopy |
| JP5731394B2 (en) | 2008-12-10 | 2015-06-10 | ザ ジェネラル ホスピタル コーポレイション | System, apparatus and method for extending imaging depth range of optical coherence tomography through optical subsampling |
| US9615748B2 (en) | 2009-01-20 | 2017-04-11 | The General Hospital Corporation | Endoscopic biopsy apparatus, system and method |
| US9178330B2 (en) | 2009-02-04 | 2015-11-03 | The General Hospital Corporation | Apparatus and method for utilization of a high-speed optical wavelength tuning source |
| EP2453791B1 (en) | 2009-07-14 | 2023-09-06 | The General Hospital Corporation | Apparatus for measuring flow and pressure within a vessel |
| WO2011109818A2 (en) | 2010-03-05 | 2011-09-09 | The General Hospital Corporation | System, methods and computer- accessible medium which provide micoscopic images of at least one anatomical structure at a particular resolution |
| US9069130B2 (en) | 2010-05-03 | 2015-06-30 | The General Hospital Corporation | Apparatus, method and system for generating optical radiation from biological gain media |
| US9557154B2 (en) | 2010-05-25 | 2017-01-31 | The General Hospital Corporation | Systems, devices, methods, apparatus and computer-accessible media for providing optical imaging of structures and compositions |
| EP2575598A2 (en) | 2010-05-25 | 2013-04-10 | The General Hospital Corporation | Apparatus, systems, methods and computer-accessible medium for spectral analysis of optical coherence tomography images |
| WO2011153434A2 (en) | 2010-06-03 | 2011-12-08 | The General Hospital Corporation | Apparatus and method for devices for imaging structures in or at one or more luminal organs |
| JP5883018B2 (en) | 2010-10-27 | 2016-03-09 | ザ ジェネラル ホスピタル コーポレイション | Apparatus, system, and method for measuring blood pressure within at least one blood vessel |
| JP2014523536A (en) | 2011-07-19 | 2014-09-11 | ザ ジェネラル ホスピタル コーポレイション | System, method, apparatus and computer-accessible medium for providing polarization mode dispersion compensation in optical coherence tomography |
| JP2015502562A (en) | 2011-10-18 | 2015-01-22 | ザ ジェネラル ホスピタル コーポレイション | Apparatus and method for generating and / or providing recirculating optical delay |
| WO2013148306A1 (en) | 2012-03-30 | 2013-10-03 | The General Hospital Corporation | Imaging system, method and distal attachment for multidirectional field of view endoscopy |
| JP2015517387A (en) | 2012-05-21 | 2015-06-22 | ザ ジェネラル ホスピタル コーポレイション | Apparatus, device and method for capsule microscopy |
| EP2888616A4 (en) | 2012-08-22 | 2016-04-27 | Gen Hospital Corp | SYSTEM, METHOD AND COMPUTER-ACCESSIBLE MEDIA FOR MANUFACTURING MINIATURE ENDOSCOPES USING SOFT LITHOGRAPHY |
| WO2014117130A1 (en) | 2013-01-28 | 2014-07-31 | The General Hospital Corporation | Apparatus and method for providing diffuse spectroscopy co-registered with optical frequency domain imaging |
| WO2014120791A1 (en) | 2013-01-29 | 2014-08-07 | The General Hospital Corporation | Apparatus, systems and methods for providing information regarding the aortic valve |
| US11179028B2 (en) | 2013-02-01 | 2021-11-23 | The General Hospital Corporation | Objective lens arrangement for confocal endomicroscopy |
| EP2967491B1 (en) | 2013-03-15 | 2022-05-11 | The General Hospital Corporation | A transesophageal endoscopic system for determining a mixed venous oxygen saturation of a pulmonary artery |
| EP2997354A4 (en) | 2013-05-13 | 2017-01-18 | The General Hospital Corporation | Detecting self-interefering fluorescence phase and amplitude |
| WO2015010133A1 (en) | 2013-07-19 | 2015-01-22 | The General Hospital Corporation | Determining eye motion by imaging retina. with feedback |
| EP3692887B1 (en) | 2013-07-19 | 2024-03-06 | The General Hospital Corporation | Imaging apparatus which utilizes multidirectional field of view endoscopy |
| EP3025173B1 (en) | 2013-07-26 | 2021-07-07 | The General Hospital Corporation | Apparatus with a laser arrangement utilizing optical dispersion for applications in fourier-domain optical coherence tomography |
| WO2015105870A1 (en) | 2014-01-08 | 2015-07-16 | The General Hospital Corporation | Method and apparatus for microscopic imaging |
| US10736494B2 (en) | 2014-01-31 | 2020-08-11 | The General Hospital Corporation | System and method for facilitating manual and/or automatic volumetric imaging with real-time tension or force feedback using a tethered imaging device |
| US10228556B2 (en) | 2014-04-04 | 2019-03-12 | The General Hospital Corporation | Apparatus and method for controlling propagation and/or transmission of electromagnetic radiation in flexible waveguide(s) |
| KR102513779B1 (en) | 2014-07-25 | 2023-03-24 | 더 제너럴 하스피탈 코포레이션 | Apparatus, devices and methods for in vivo imaging and diagnosis |
-
2001
- 2001-01-16 JP JP2001007502A patent/JP3628615B2/en not_active Expired - Fee Related
Also Published As
| Publication number | Publication date |
|---|---|
| JP2002214128A (en) | 2002-07-31 |
Similar Documents
| Publication | Publication Date | Title |
|---|---|---|
| JP3628615B2 (en) | Heterodyne beat image synchronous measurement device | |
| JP4633423B2 (en) | Optical image measuring device | |
| Lei et al. | Digital sinusoidal fringe pattern generation: Defocusing binary patterns VS focusing sinusoidal patterns | |
| JP5958779B2 (en) | Microscope and observation method | |
| JP4566685B2 (en) | Optical image measuring device and optical image measuring method | |
| JP4597744B2 (en) | Optical image measuring device and optical image measuring method | |
| JP4494160B2 (en) | Optical image measuring device | |
| US10209056B2 (en) | Interference observation device | |
| US7742174B2 (en) | Methods, systems and computer program products for removing undesired artifacts in fourier domain optical coherence tomography (FDOCT) systems using continuous phase modulation and related phase modulators | |
| US12429324B2 (en) | Active quadrature demodulation for subsampled/circular ranging optical coherence tomography | |
| JPS60256443A (en) | Image measuring apparatus | |
| JP2001272331A (en) | Spatial delay Fizeau interferometer | |
| JP4563130B2 (en) | Optical image measuring device | |
| JP6463051B2 (en) | Optical tomography system | |
| DeWalt et al. | Polarization-modulated second harmonic generation ellipsometric microscopy at video rate | |
| JP2006047053A (en) | Optical image measuring device and optical image measuring method | |
| WO2017163542A1 (en) | Image analysis device and image analysis method | |
| JP4602372B2 (en) | Optical image measuring device and optical image measuring method | |
| Takeda | Fourier fringe demodulation | |
| Laforest et al. | A 4000 Hz CMOS image sensor with in-pixel processing for light measurement and modulation | |
| JP2005245740A (en) | Time gate optical wave tomogram measuring method and device | |
| Bavigadda et al. | Vibration phase mapping using holographic optical element-based electronic speckle pattern interferometry | |
| JP3672836B2 (en) | High-speed image synchronization measuring device | |
| Li et al. | The direct interference intensity phase analyzing technique for in situ Michelson interference and its application in studying of the fluctuation of crystal growth rates | |
| RU55964U1 (en) | DIGITAL HOLOGRAPHIC DEVICE FOR MEASURING MULTICOMPONENT VIBRATIONS |
Legal Events
| Date | Code | Title | Description |
|---|---|---|---|
| A711 | Notification of change in applicant |
Free format text: JAPANESE INTERMEDIATE CODE: A712 Effective date: 20031031 |
|
| RD02 | Notification of acceptance of power of attorney |
Free format text: JAPANESE INTERMEDIATE CODE: A7422 Effective date: 20040126 |
|
| A977 | Report on retrieval |
Free format text: JAPANESE INTERMEDIATE CODE: A971007 Effective date: 20040712 |
|
| A131 | Notification of reasons for refusal |
Free format text: JAPANESE INTERMEDIATE CODE: A131 Effective date: 20040831 |
|
| A521 | Request for written amendment filed |
Free format text: JAPANESE INTERMEDIATE CODE: A523 Effective date: 20040928 |
|
| TRDD | Decision of grant or rejection written | ||
| A01 | Written decision to grant a patent or to grant a registration (utility model) |
Free format text: JAPANESE INTERMEDIATE CODE: A01 Effective date: 20041207 |
|
| A61 | First payment of annual fees (during grant procedure) |
Free format text: JAPANESE INTERMEDIATE CODE: A61 Effective date: 20041208 |
|
| R150 | Certificate of patent or registration of utility model |
Free format text: JAPANESE INTERMEDIATE CODE: R150 |
|
| LAPS | Cancellation because of no payment of annual fees |
