JP2023513352A - パラフィン系ガス油の使用 - Google Patents
パラフィン系ガス油の使用 Download PDFInfo
- Publication number
- JP2023513352A JP2023513352A JP2022548839A JP2022548839A JP2023513352A JP 2023513352 A JP2023513352 A JP 2023513352A JP 2022548839 A JP2022548839 A JP 2022548839A JP 2022548839 A JP2022548839 A JP 2022548839A JP 2023513352 A JP2023513352 A JP 2023513352A
- Authority
- JP
- Japan
- Prior art keywords
- gas oil
- scr
- fuel
- paraffinic
- fischer
- Prior art date
- Legal status (The legal status is an assumption and is not a legal conclusion. Google has not performed a legal analysis and makes no representation as to the accuracy of the status listed.)
- Pending
Links
Images
Classifications
-
- F—MECHANICAL ENGINEERING; LIGHTING; HEATING; WEAPONS; BLASTING
- F01—MACHINES OR ENGINES IN GENERAL; ENGINE PLANTS IN GENERAL; STEAM ENGINES
- F01N—GAS-FLOW SILENCERS OR EXHAUST APPARATUS FOR MACHINES OR ENGINES IN GENERAL; GAS-FLOW SILENCERS OR EXHAUST APPARATUS FOR INTERNAL-COMBUSTION ENGINES
- F01N3/00—Exhaust or silencing apparatus having means for purifying, rendering innocuous, or otherwise treating exhaust
- F01N3/08—Exhaust or silencing apparatus having means for purifying, rendering innocuous, or otherwise treating exhaust for rendering innocuous
- F01N3/10—Exhaust or silencing apparatus having means for purifying, rendering innocuous, or otherwise treating exhaust for rendering innocuous by thermal or catalytic conversion of noxious components of exhaust
- F01N3/18—Exhaust or silencing apparatus having means for purifying, rendering innocuous, or otherwise treating exhaust for rendering innocuous by thermal or catalytic conversion of noxious components of exhaust characterised by methods of operation; Control
- F01N3/20—Exhaust or silencing apparatus having means for purifying, rendering innocuous, or otherwise treating exhaust for rendering innocuous by thermal or catalytic conversion of noxious components of exhaust characterised by methods of operation; Control specially adapted for catalytic conversion
- F01N3/206—Adding periodically or continuously substances to exhaust gases for promoting purification, e.g. catalytic material in liquid form, NOx reducing agents
- F01N3/2066—Selective catalytic reduction [SCR]
-
- C—CHEMISTRY; METALLURGY
- C10—PETROLEUM, GAS OR COKE INDUSTRIES; TECHNICAL GASES CONTAINING CARBON MONOXIDE; FUELS; LUBRICANTS; PEAT
- C10G—CRACKING HYDROCARBON OILS; PRODUCTION OF LIQUID HYDROCARBON MIXTURES, e.g. BY DESTRUCTIVE HYDROGENATION, OLIGOMERISATION, POLYMERISATION; RECOVERY OF HYDROCARBON OILS FROM OIL-SHALE, OIL-SAND, OR GASES; REFINING MIXTURES MAINLY CONSISTING OF HYDROCARBONS; REFORMING OF NAPHTHA; MINERAL WAXES
- C10G2/00—Production of liquid hydrocarbon mixtures of undefined composition from oxides of carbon
- C10G2/30—Production of liquid hydrocarbon mixtures of undefined composition from oxides of carbon from carbon monoxide with hydrogen
- C10G2/32—Production of liquid hydrocarbon mixtures of undefined composition from oxides of carbon from carbon monoxide with hydrogen with the use of catalysts
-
- C—CHEMISTRY; METALLURGY
- C10—PETROLEUM, GAS OR COKE INDUSTRIES; TECHNICAL GASES CONTAINING CARBON MONOXIDE; FUELS; LUBRICANTS; PEAT
- C10G—CRACKING HYDROCARBON OILS; PRODUCTION OF LIQUID HYDROCARBON MIXTURES, e.g. BY DESTRUCTIVE HYDROGENATION, OLIGOMERISATION, POLYMERISATION; RECOVERY OF HYDROCARBON OILS FROM OIL-SHALE, OIL-SAND, OR GASES; REFINING MIXTURES MAINLY CONSISTING OF HYDROCARBONS; REFORMING OF NAPHTHA; MINERAL WAXES
- C10G3/00—Production of liquid hydrocarbon mixtures from oxygen-containing organic materials, e.g. fatty oils, fatty acids
- C10G3/50—Production of liquid hydrocarbon mixtures from oxygen-containing organic materials, e.g. fatty oils, fatty acids in the presence of hydrogen, hydrogen donors or hydrogen generating compounds
-
- C—CHEMISTRY; METALLURGY
- C10—PETROLEUM, GAS OR COKE INDUSTRIES; TECHNICAL GASES CONTAINING CARBON MONOXIDE; FUELS; LUBRICANTS; PEAT
- C10L—FUELS NOT OTHERWISE PROVIDED FOR; NATURAL GAS; SYNTHETIC NATURAL GAS OBTAINED BY PROCESSES NOT COVERED BY SUBCLASSES C10G OR C10K; LIQUIFIED PETROLEUM GAS; USE OF ADDITIVES TO FUELS OR FIRES; FIRE-LIGHTERS
- C10L1/00—Liquid carbonaceous fuels
- C10L1/02—Liquid carbonaceous fuels essentially based on components consisting of carbon, hydrogen, and oxygen only
- C10L1/026—Liquid carbonaceous fuels essentially based on components consisting of carbon, hydrogen, and oxygen only for compression ignition
-
- C—CHEMISTRY; METALLURGY
- C10—PETROLEUM, GAS OR COKE INDUSTRIES; TECHNICAL GASES CONTAINING CARBON MONOXIDE; FUELS; LUBRICANTS; PEAT
- C10L—FUELS NOT OTHERWISE PROVIDED FOR; NATURAL GAS; SYNTHETIC NATURAL GAS OBTAINED BY PROCESSES NOT COVERED BY SUBCLASSES C10G OR C10K; LIQUIFIED PETROLEUM GAS; USE OF ADDITIVES TO FUELS OR FIRES; FIRE-LIGHTERS
- C10L1/00—Liquid carbonaceous fuels
- C10L1/04—Liquid carbonaceous fuels essentially based on blends of hydrocarbons
- C10L1/08—Liquid carbonaceous fuels essentially based on blends of hydrocarbons for compression ignition
-
- C—CHEMISTRY; METALLURGY
- C10—PETROLEUM, GAS OR COKE INDUSTRIES; TECHNICAL GASES CONTAINING CARBON MONOXIDE; FUELS; LUBRICANTS; PEAT
- C10G—CRACKING HYDROCARBON OILS; PRODUCTION OF LIQUID HYDROCARBON MIXTURES, e.g. BY DESTRUCTIVE HYDROGENATION, OLIGOMERISATION, POLYMERISATION; RECOVERY OF HYDROCARBON OILS FROM OIL-SHALE, OIL-SAND, OR GASES; REFINING MIXTURES MAINLY CONSISTING OF HYDROCARBONS; REFORMING OF NAPHTHA; MINERAL WAXES
- C10G2300/00—Aspects relating to hydrocarbon processing covered by groups C10G1/00 - C10G99/00
- C10G2300/20—Characteristics of the feedstock or the products
- C10G2300/30—Physical properties of feedstocks or products
- C10G2300/302—Viscosity
-
- C—CHEMISTRY; METALLURGY
- C10—PETROLEUM, GAS OR COKE INDUSTRIES; TECHNICAL GASES CONTAINING CARBON MONOXIDE; FUELS; LUBRICANTS; PEAT
- C10G—CRACKING HYDROCARBON OILS; PRODUCTION OF LIQUID HYDROCARBON MIXTURES, e.g. BY DESTRUCTIVE HYDROGENATION, OLIGOMERISATION, POLYMERISATION; RECOVERY OF HYDROCARBON OILS FROM OIL-SHALE, OIL-SAND, OR GASES; REFINING MIXTURES MAINLY CONSISTING OF HYDROCARBONS; REFORMING OF NAPHTHA; MINERAL WAXES
- C10G2300/00—Aspects relating to hydrocarbon processing covered by groups C10G1/00 - C10G99/00
- C10G2300/20—Characteristics of the feedstock or the products
- C10G2300/30—Physical properties of feedstocks or products
- C10G2300/308—Gravity, density, e.g. API
-
- C—CHEMISTRY; METALLURGY
- C10—PETROLEUM, GAS OR COKE INDUSTRIES; TECHNICAL GASES CONTAINING CARBON MONOXIDE; FUELS; LUBRICANTS; PEAT
- C10G—CRACKING HYDROCARBON OILS; PRODUCTION OF LIQUID HYDROCARBON MIXTURES, e.g. BY DESTRUCTIVE HYDROGENATION, OLIGOMERISATION, POLYMERISATION; RECOVERY OF HYDROCARBON OILS FROM OIL-SHALE, OIL-SAND, OR GASES; REFINING MIXTURES MAINLY CONSISTING OF HYDROCARBONS; REFORMING OF NAPHTHA; MINERAL WAXES
- C10G2400/00—Products obtained by processes covered by groups C10G9/00 - C10G69/14
- C10G2400/06—Gasoil
-
- F—MECHANICAL ENGINEERING; LIGHTING; HEATING; WEAPONS; BLASTING
- F01—MACHINES OR ENGINES IN GENERAL; ENGINE PLANTS IN GENERAL; STEAM ENGINES
- F01N—GAS-FLOW SILENCERS OR EXHAUST APPARATUS FOR MACHINES OR ENGINES IN GENERAL; GAS-FLOW SILENCERS OR EXHAUST APPARATUS FOR INTERNAL-COMBUSTION ENGINES
- F01N2430/00—Influencing exhaust purification, e.g. starting of catalytic reaction, filter regeneration, or the like, by controlling engine operating characteristics
-
- F—MECHANICAL ENGINEERING; LIGHTING; HEATING; WEAPONS; BLASTING
- F01—MACHINES OR ENGINES IN GENERAL; ENGINE PLANTS IN GENERAL; STEAM ENGINES
- F01N—GAS-FLOW SILENCERS OR EXHAUST APPARATUS FOR MACHINES OR ENGINES IN GENERAL; GAS-FLOW SILENCERS OR EXHAUST APPARATUS FOR INTERNAL-COMBUSTION ENGINES
- F01N2900/00—Details of electrical control or of the monitoring of the exhaust gas treating apparatus
- F01N2900/06—Parameters used for exhaust control or diagnosing
- F01N2900/18—Parameters used for exhaust control or diagnosing said parameters being related to the system for adding a substance into the exhaust
- F01N2900/1806—Properties of reducing agent or dosing system
- F01N2900/1812—Flow rate
-
- Y—GENERAL TAGGING OF NEW TECHNOLOGICAL DEVELOPMENTS; GENERAL TAGGING OF CROSS-SECTIONAL TECHNOLOGIES SPANNING OVER SEVERAL SECTIONS OF THE IPC; TECHNICAL SUBJECTS COVERED BY FORMER USPC CROSS-REFERENCE ART COLLECTIONS [XRACs] AND DIGESTS
- Y02—TECHNOLOGIES OR APPLICATIONS FOR MITIGATION OR ADAPTATION AGAINST CLIMATE CHANGE
- Y02P—CLIMATE CHANGE MITIGATION TECHNOLOGIES IN THE PRODUCTION OR PROCESSING OF GOODS
- Y02P30/00—Technologies relating to oil refining and petrochemical industry
- Y02P30/20—Technologies relating to oil refining and petrochemical industry using bio-feedstock
-
- Y—GENERAL TAGGING OF NEW TECHNOLOGICAL DEVELOPMENTS; GENERAL TAGGING OF CROSS-SECTIONAL TECHNOLOGIES SPANNING OVER SEVERAL SECTIONS OF THE IPC; TECHNICAL SUBJECTS COVERED BY FORMER USPC CROSS-REFERENCE ART COLLECTIONS [XRACs] AND DIGESTS
- Y02—TECHNOLOGIES OR APPLICATIONS FOR MITIGATION OR ADAPTATION AGAINST CLIMATE CHANGE
- Y02T—CLIMATE CHANGE MITIGATION TECHNOLOGIES RELATED TO TRANSPORTATION
- Y02T10/00—Road transport of goods or passengers
- Y02T10/10—Internal combustion engine [ICE] based vehicles
- Y02T10/12—Improving ICE efficiencies
Landscapes
- Chemical & Material Sciences (AREA)
- Oil, Petroleum & Natural Gas (AREA)
- Engineering & Computer Science (AREA)
- Chemical Kinetics & Catalysis (AREA)
- General Chemical & Material Sciences (AREA)
- Organic Chemistry (AREA)
- Health & Medical Sciences (AREA)
- Toxicology (AREA)
- Combustion & Propulsion (AREA)
- Mechanical Engineering (AREA)
- General Engineering & Computer Science (AREA)
- Liquid Carbonaceous Fuels (AREA)
Abstract
Description
n(CO+2H2)=(-CH2-)n+nH2O+熱。所望に応じて、2:1以外の水素:一酸化炭素比が使用され得る。
-40℃での、1.9mm2/秒以上、より好ましくは、1.9~4.5mm2/秒の範囲の動粘度、
-800kg/m3以上の、より好ましくは、800~860kg/m3の、さらにより好ましくは、800~845kg/m3の範囲の密度、
-360℃以下のT95、
-0℃~-13℃、より好ましくは-5℃~-8℃の範囲の曇り点、
-8℃~-30℃、より好ましくは-15℃~-20℃の範囲のCFPP。
実施例1では、2つの異なる燃料が使用された。燃料1は、10ppmのヒンダードフェノール酸化防止剤(2,6-ジ-tert-ブチル-4-メチルフェノール、別名BHT)を含有するGTLガス油であった。表1は、実施例1で使用されるGTLガス油(燃料1)の物理的および組成的特徴を示す。GTLガス油(燃料1)は、Pearl GTL、Ras Laffanから入手し、Shell/Royal Dutch Group of Companiesから市販されている。
実施例1で使用された車両は、SCRシステムが取り付けられた最新技術(Euro VI)Mercedes Actros HGVトラックであった。ヨーロッパ市場で容易に入手可能な、AdBlue(登録商標)(仕様ISO 22241によって定義される)は、SCRシステムのSCR試薬として使用された。
モデル計算は、1年のSCR試薬の充填数を低減することにおけるGTL燃料の利益を例示するために用意した。
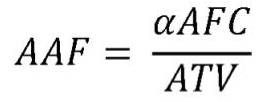
AFC=年間燃料消費リットル
ATV=AdBlueタンク体積
α=0.05(すなわち、5%)としてみなされる、燃料消費の画分としてのAdBlue消費
β=画分として表される、GTLからのAdBlue消費利益
AAF=1年でのAdBlue充填
RAF=1年でのAdBlue充填の低減
AAFおよびRAFは、以下の式によって表すことができる。
-これらのクラスの車両について、AdBlue消費は、典型的には、燃料消費の4%~6%であり、よって5%の数値が使用されており、すなわち、αは0.05であるとみなされる。
-144,000マイルは、トラック(長距離)1台当たりの年間走行距離について典型的であり、100716Lの年間燃料消費をもたらし、5036Lの年間AdBlue消費をもたらす。
-72,000マイルは、トラック(中距離)1台当たりの年間走行距離について典型的であり、28968Lの年間燃料消費をもたらし、1448Lの年間AdBlue消費をもたらす。
-フリートサイズは、30台とみなされた。
-βの値(実施例1から実験的に0.08(すなわち、8%)と決定された、GTL燃料からのAdBlue消費利益)。GTL使用の様々な利益は、GTLの化学的性質に対するエンジンの感度によって異なるであろう。例えば、規制された排出物(PM、NOx、HC、CO)測定値(公開文献)は、試験条件およびエンジンタイプを含む、多数の因子に応じて広範囲の利益を示す。異なるエンジン-SCR組み合わせシステムにおいて見られるAdBlue要件パーセンテージ利益にも、大きなレベルの変動が見られるであろうと合理的に想定することができる。そのため、βの値は妥当なレベルの変動を考慮に入れている。よって、βは、8%および20%の中間値で、2%~30%の範囲の値を取る。
実施例3では、2つの異なる燃料が使用された。燃料3は、10ppmのヒンダードフェノール酸化防止剤(2,6-ジ-tert-ブチル-4-メチルフェノール、別名BHT)を含有するGTLガス油であった。表5は、実施例3で使用されるGTLガス油(燃料3)の物理的および組成的特徴を示す。GTLガス油(燃料3)は、Pearl GTL、Ras Laffanから入手し、Shell/Royal Dutch Group of Companiesから市販されている。
実施例3の目的は、特に試験をより多数の車両、具体的には4台のフリートに拡張することによって、実施例1で得られた結果を支持するさらなる実験データを生成することであった。
表3における結果、図1におけるグラフ、および表6からわかるように、従来のディーゼルB7燃料と比較して、パラフィン系GTL燃料の場合において必要とされるSCR試薬の量に有意な低減がある。
Claims (11)
- 圧縮着火内燃エンジンに取り付けられたSCRシステムによって必要とされるSCR試薬の量を低減するためのディーゼル燃料組成物におけるパラフィン系ガス油の使用。
- 前記SCR試薬が、尿素、アンモニア、およびアンモニウム塩、ならびにそれらの混合物から選択される、請求項1に記載の使用。
- 前記SCR試薬が、尿素である、請求項1または2に記載の使用。
- 前記パラフィン系ガス油が、前記パラフィン系ガス油の総重量に基づいて、95重量%超のパラフィン、好ましくは98重量%超のパラフィンを含む、請求項1~3のいずれか一項に記載の使用。
- 前記パラフィン系ガス油が、フィッシャー・トロプシュ由来のガス油および水素化処理植物油(HVO)由来のガス油、ならびにそれらの混合物から選択される、請求項1~4のいずれか一項に記載の使用。
- 前記パラフィン系ガス油が、フィッシャー・トロプシュ由来のガス油である、請求項1~5のいずれか一項に記載の使用。
- 前記フィッシャー・トロプシュ由来のガス油が、総ディーゼル燃料組成物に基づいて、50%v/v~100%v/vのレベルで存在する、請求項5または6に記載の使用。
- 前記フィッシャー・トロプシュ由来のガス油が、40℃で2.0~5.0mm2/秒の範囲の動粘度、および0.76~0.80g/cm3の範囲の密度を有する、請求項5~7のいずれか一項に記載の使用。
- 前記ディーゼル燃料組成物が、ディーゼル系燃料をさらに含む、請求項1~8のいずれか一項に記載の使用。
- 圧縮着火内燃エンジンに取り付けられたSCRシステムによって必要とされるSCR試薬の量を低減するための方法であって、前記方法が、パラフィン系ガス油を含むディーゼル燃料組成物を前記エンジンに導入するステップを含む、方法。
- 1年当たりのSCR試薬車両充填の数を低減するためのディーゼル燃料組成物におけるパラフィン系ガス油の使用。
Priority Applications (1)
| Application Number | Priority Date | Filing Date | Title |
|---|---|---|---|
| JP2025182203A JP2026012888A (ja) | 2020-02-12 | 2025-10-29 | パラフィン系ガス油の使用 |
Applications Claiming Priority (3)
| Application Number | Priority Date | Filing Date | Title |
|---|---|---|---|
| EP20157003 | 2020-02-12 | ||
| EP20157003.3 | 2020-02-12 | ||
| PCT/EP2021/053242 WO2021160694A1 (en) | 2020-02-12 | 2021-02-10 | Use of a paraffinic gasoil |
Related Child Applications (1)
| Application Number | Title | Priority Date | Filing Date |
|---|---|---|---|
| JP2025182203A Division JP2026012888A (ja) | 2020-02-12 | 2025-10-29 | パラフィン系ガス油の使用 |
Publications (1)
| Publication Number | Publication Date |
|---|---|
| JP2023513352A true JP2023513352A (ja) | 2023-03-30 |
Family
ID=69581947
Family Applications (2)
| Application Number | Title | Priority Date | Filing Date |
|---|---|---|---|
| JP2022548839A Pending JP2023513352A (ja) | 2020-02-12 | 2021-02-10 | パラフィン系ガス油の使用 |
| JP2025182203A Pending JP2026012888A (ja) | 2020-02-12 | 2025-10-29 | パラフィン系ガス油の使用 |
Family Applications After (1)
| Application Number | Title | Priority Date | Filing Date |
|---|---|---|---|
| JP2025182203A Pending JP2026012888A (ja) | 2020-02-12 | 2025-10-29 | パラフィン系ガス油の使用 |
Country Status (4)
| Country | Link |
|---|---|
| EP (1) | EP4103823A1 (ja) |
| JP (2) | JP2023513352A (ja) |
| CA (1) | CA3170647A1 (ja) |
| WO (1) | WO2021160694A1 (ja) |
Citations (3)
| Publication number | Priority date | Publication date | Assignee | Title |
|---|---|---|---|---|
| JP2000515575A (ja) * | 1996-08-02 | 2000-11-21 | エクソン リサーチ アンド エンジニアリング カンパニー | 粒子状物質排出を低減した合成ディーゼル燃料 |
| US20050279669A1 (en) * | 2003-10-24 | 2005-12-22 | Schaberg Paul W | Crude oil derived and gas-to-liquids diesel fuel blends |
| JP2006028235A (ja) * | 2004-07-13 | 2006-02-02 | Japan Automobile Research Inst Inc | 燃料とNOx除去方法 |
Family Cites Families (7)
| Publication number | Priority date | Publication date | Assignee | Title |
|---|---|---|---|---|
| FR2362208A1 (fr) | 1976-08-17 | 1978-03-17 | Inst Francais Du Petrole | Procede de valorisation d'effluents obtenus dans des syntheses de type fischer-tropsch |
| US4208190A (en) | 1979-02-09 | 1980-06-17 | Ethyl Corporation | Diesel fuels having anti-wear properties |
| NL8003313A (nl) | 1980-06-06 | 1982-01-04 | Shell Int Research | Werkwijze voor de bereiding van middeldestillaten. |
| US4478955A (en) | 1981-12-21 | 1984-10-23 | The Standard Oil Company | Upgrading synthesis gas |
| IN161735B (ja) | 1983-09-12 | 1988-01-30 | Shell Int Research | |
| NO305288B1 (no) | 1992-08-18 | 1999-05-03 | Shell Int Research | FremgangsmÕte for fremstilling av hydrokarbon-brennstoffer |
| EP1664249B1 (en) * | 2003-09-17 | 2012-11-28 | Shell Internationale Research Maatschappij B.V. | Petroleum- and fischer-tropsch- derived kerosene blend |
-
2021
- 2021-02-10 JP JP2022548839A patent/JP2023513352A/ja active Pending
- 2021-02-10 CA CA3170647A patent/CA3170647A1/en active Pending
- 2021-02-10 EP EP21703484.2A patent/EP4103823A1/en active Pending
- 2021-02-10 WO PCT/EP2021/053242 patent/WO2021160694A1/en not_active Ceased
-
2025
- 2025-10-29 JP JP2025182203A patent/JP2026012888A/ja active Pending
Patent Citations (4)
| Publication number | Priority date | Publication date | Assignee | Title |
|---|---|---|---|---|
| JP2000515575A (ja) * | 1996-08-02 | 2000-11-21 | エクソン リサーチ アンド エンジニアリング カンパニー | 粒子状物質排出を低減した合成ディーゼル燃料 |
| US20050279669A1 (en) * | 2003-10-24 | 2005-12-22 | Schaberg Paul W | Crude oil derived and gas-to-liquids diesel fuel blends |
| JP2007535614A (ja) * | 2004-04-28 | 2007-12-06 | セイソル テクノロジー (プロプライエタリー) リミテッド | 原油由来のディーゼル燃料及びガストゥーリキッドディーゼル燃料のブレンド |
| JP2006028235A (ja) * | 2004-07-13 | 2006-02-02 | Japan Automobile Research Inst Inc | 燃料とNOx除去方法 |
Non-Patent Citations (1)
| Title |
|---|
| "Fuel effects on the activity of silver hydrocarbon-SCR catalysts", APPLIED CATALYSIS B: ENVIRONMENTAL, vol. 73, JPN6024052358, 24 April 2007 (2007-04-24), pages 203 - 207, ISSN: 0005633693 * |
Also Published As
| Publication number | Publication date |
|---|---|
| WO2021160694A1 (en) | 2021-08-19 |
| JP2026012888A (ja) | 2026-01-27 |
| EP4103823A1 (en) | 2022-12-21 |
| CA3170647A1 (en) | 2021-08-19 |
Similar Documents
| Publication | Publication Date | Title |
|---|---|---|
| KR20000022498A (ko) | 감소된 미립물질을 방출하는 합성 디젤 연료 | |
| JP5179700B2 (ja) | ディーゼル燃料組成物 | |
| KR20090013773A (ko) | 경유조성물 | |
| AU2004269170C1 (en) | Fuel compositions | |
| JP7170001B2 (ja) | パラフィン系ガス油の使用 | |
| JP2023513352A (ja) | パラフィン系ガス油の使用 | |
| JP2004067906A (ja) | 軽油組成物及びその製造方法 | |
| AU2021367047B2 (en) | Use of a diesel fuel composition | |
| EP4227386A1 (en) | Method and system for producing diesel fuel having improved property | |
| CN107922861B (zh) | 燃料组合物 | |
| WO2006069407A2 (en) | Production of diesel | |
| AU2013341408B2 (en) | Diesel fuel composition | |
| JP4847171B2 (ja) | ディーゼル燃料組成物 | |
| MXPA99000020A (es) | Combustible diesel sintetico con emisiones reducidas de particulas |
Legal Events
| Date | Code | Title | Description |
|---|---|---|---|
| A621 | Written request for application examination |
Free format text: JAPANESE INTERMEDIATE CODE: A621 Effective date: 20240202 |
|
| A977 | Report on retrieval |
Free format text: JAPANESE INTERMEDIATE CODE: A971007 Effective date: 20241218 |
|
| A131 | Notification of reasons for refusal |
Free format text: JAPANESE INTERMEDIATE CODE: A131 Effective date: 20241224 |
|
| A521 | Request for written amendment filed |
Free format text: JAPANESE INTERMEDIATE CODE: A523 Effective date: 20250324 |
|
| A02 | Decision of refusal |
Free format text: JAPANESE INTERMEDIATE CODE: A02 Effective date: 20250702 |
|
| A521 | Request for written amendment filed |
Free format text: JAPANESE INTERMEDIATE CODE: A523 Effective date: 20251029 |








