JP2009179589A - Antiviral agent - Google Patents
Antiviral agent Download PDFInfo
- Publication number
- JP2009179589A JP2009179589A JP2008019558A JP2008019558A JP2009179589A JP 2009179589 A JP2009179589 A JP 2009179589A JP 2008019558 A JP2008019558 A JP 2008019558A JP 2008019558 A JP2008019558 A JP 2008019558A JP 2009179589 A JP2009179589 A JP 2009179589A
- Authority
- JP
- Japan
- Prior art keywords
- substituted
- group
- unsubstituted
- same
- different
- Prior art date
- Legal status (The legal status is an assumption and is not a legal conclusion. Google has not performed a legal analysis and makes no representation as to the accuracy of the status listed.)
- Pending
Links
- 0 Cc1c(*)[n]c(*)c1* Chemical compound Cc1c(*)[n]c(*)c1* 0.000 description 1
Landscapes
- Nitrogen Condensed Heterocyclic Rings (AREA)
- Pyrrole Compounds (AREA)
- Pharmaceuticals Containing Other Organic And Inorganic Compounds (AREA)
- Indole Compounds (AREA)
Abstract
Description
本発明は、ピロール誘導体を含有してなる抗ウイルス剤に関する。 The present invention relates to an antiviral agent comprising a pyrrole derivative.
インフルエンザウイルスはウイルス粒子内の核蛋白複合体の抗原性の違いから、A・B・Cの3型に分けられ、このうち流行的な広がりを見せるのはA型とB型である。A型ウイルス粒子表面には赤血球凝集素(HA)とノイラミニダーゼ(NA)という糖蛋白があり、HA、NAにそれぞれ数種類の亜型がある。これらは様々な組み合わせをもって、ヒト以外にもブタやトリなどその他の宿主動物に広く分布していることからA型インフルエンザウイルスは人畜共通感染症として捉えられる。 Influenza viruses are divided into three types, A, B, and C, based on the difference in antigenicity of the nucleoprotein complex in the virus particle. Of these, types A and B show the epidemic spread. There are glycoproteins called hemagglutinin (HA) and neuraminidase (NA) on the surface of the type A virus particle, and HA and NA have several subtypes. Since these have various combinations and are widely distributed in other host animals such as pigs and birds in addition to humans, influenza A viruses are regarded as zoonotic diseases.
ウイルスの表面にあるHAとNAはわずかな抗原性を毎年のように変化させる連続抗原変異から、突然別の亜型に変化してしまう不連続抗原変異(いわゆる「新型」インフルエンザの登場)まで、様々な変異を容易に繰り返すことでウイルスは生き延びていく。特に人々は「新型」に対する抗体はないため、大流行(パンデミック)になる。近年では、香港でトリ型のインフルエンザA/H5N1が初めて人から分離され、「新型」インフルエンザウイルスの出現の可能性として世界中の注目を浴びた。さらにこのトリ型のインフルエンザA/H5N1がヒトへの感染・死亡例が確認され、世界各国で新型インフルエンザによるヒトからヒトへの感染、死亡という大流行を警戒している。 HA and NA on the surface of the virus range from continuous antigen mutations that change slight antigenicity every year to discontinuous antigen mutations that suddenly change to another subtype (the appearance of so-called “new” influenza), Viruses survive by easily repeating various mutations. Especially because people don't have antibodies against “new”, it becomes a pandemic. In recent years, the avian influenza A / H5N1 was isolated from humans for the first time in Hong Kong and attracted worldwide attention as the possibility of the emergence of “new” influenza viruses. Furthermore, this type of influenza A / H5N1 has been confirmed to cause human infection and death, and is wary of a pandemic of human-to-human infection and death from new influenza in various countries around the world.
インフルエンザウイルスに対する特異的療法として、抗ウイルス剤投与が挙げられる。抗A型インフルエンザ薬であるアマンタジン(Amantadine)(1−アミノアダマンタン)は、A型ウイルスの表面にあるM2蛋白に作用してインフルエンザウイルスの細胞への侵入を阻止し、抗ウイルス作用を発揮する。インフルエンザBに対しては無効である。また、インフルエンザウイルスのNAの作用を阻害することによって、細胞内で感染増殖したウイルスが細胞外に放出されることを抑制し、抗ウイルス作用を発揮するシアル酸誘導体のザナミビル(Zanamivir)が知られている(例えば、非特許文献1参照)。ザナミビルは粉剤で吸入によって投与されるが、同様にNA阻害作用を持つプロドラッグであるオセルタミビル(Oseltamivir:別名タミフル)は経口薬として知られている。剤型としてシロップ剤なども考慮されている。ザナミビル、オセルタミビルともにA、B両型に対して作用するが、耐性ウイルスの存在も報告されている。 Specific therapy for influenza virus includes administration of an antiviral agent. Amantadine (1-aminoadamantane), an anti-influenza A drug, acts on the M2 protein on the surface of the A virus to prevent entry of influenza virus into cells and exerts an antiviral effect. It is ineffective against influenza B. In addition, Zanamivir, a sialic acid derivative that inhibits the release of virus that has been infected and propagated intracellularly by inhibiting the action of NA of influenza virus and exerts antiviral action, is known. (For example, refer nonpatent literature 1). Zanamivir is administered by inhalation as a powder, but oseltamivir (also known as Tamiflu), a prodrug with NA inhibitory activity, is also known as an oral drug. A syrup is also considered as a dosage form. Both zanamivir and oseltamivir act on both A and B types, but the presence of resistant viruses has also been reported.
また、インフルエンザに対しての予防方法として、現行のインフルエンザHAワクチンも有用手段の一つである。インフルエンザワクチンには高熱などの症状を軽くし、合併症による入院や死亡を減らすことができる。特に65歳以上の高齢者や基礎疾患(気管支喘息等の呼吸器疾患、心不全などの循環器疾患、糖尿病、腎不全など)を有する人はインフルエンザが重症化しやすいので、ワクチン接種による予防が勧められる。より良いワクチンへの改良開発として、投与回数・投与法(経鼻投与など)・アジュバントの工夫・生ワクチン・人工膜ワクチンなど、新ワクチンの研究が進められている。しかしながら、新型インフルエンザの大流行が予想される中で、新型インフルエンザが発見されていない段階でのワクチン生産は出来ないため、大流行に対応しきれないことが懸念されている。 As a preventive method against influenza, the current influenza HA vaccine is one of useful means. Influenza vaccines can reduce symptoms such as high fever and reduce hospitalization and death due to complications. In particular, elderly people over 65 years old and people with underlying diseases (respiratory diseases such as bronchial asthma, cardiovascular diseases such as heart failure, diabetes, renal failure, etc.) are prone to severe flu, so prevention by vaccination is recommended . Research and development of new vaccines such as the number of administrations, administration methods (nasal administration, etc.), devised adjuvants, live vaccines, artificial membrane vaccines, etc. are being promoted as improvements to better vaccines. However, since a pandemic of a new influenza is expected, vaccine production is not possible at a stage where no new influenza has been discovered, and there is a concern that it will not be able to cope with the pandemic.
従来、N−メチルピロール骨格を有し、抗腫瘍性抗生物質としてディスタマイシン(Distamycin)が知られている。 Conventionally, Distamycin is known as an antitumor antibiotic having an N-methylpyrrole skeleton.
下記式で示されるディスタマイシンの基本骨格であるN−メチルピロール環を有する誘導体が、抗ウイルス活性を有していることが知られている(例えば、特許文献1、2および3参照)。 It is known that derivatives having an N-methylpyrrole ring, which is a basic skeleton of distamycin represented by the following formula, have antiviral activity (see, for example, Patent Documents 1, 2, and 3).
本発明に関連したピロール誘導体としては、例えば、下記式で示される化合物が、ハロゲン化銀カラー感光材料として知られているが、抗ウイルス剤としては知られていない(例えば、特許文献4および5参照)。 As a pyrrole derivative related to the present invention, for example, a compound represented by the following formula is known as a silver halide color photosensitive material, but is not known as an antiviral agent (for example, Patent Documents 4 and 5). reference).
(式中、EWGは電子吸引性基を、R1およびR2は、水素原子、置換基を、Xは水素原子、脱離基を、Yは水素原子、水酸基、スルホンアミド基を表す) (In the formula, EWG represents an electron-withdrawing group, R 1 and R 2 represent a hydrogen atom and a substituent, X represents a hydrogen atom and a leaving group, and Y represents a hydrogen atom, a hydroxyl group, and a sulfonamide group)
また、下記式で示されるピロール環に含窒素5〜6員複素環が縮合した化合物が、ハロゲン化銀カラー感光材料として知られているが、抗ウイルス剤としては知られていない(例えば、特許文献6、7および8参照)。 Further, a compound in which a nitrogen-containing 5- to 6-membered heterocyclic ring is condensed to a pyrrole ring represented by the following formula is known as a silver halide color photosensitive material, but is not known as an antiviral agent (for example, a patent) References 6, 7 and 8).
(式中、R1およびR2は、水素原子、置換基を、Xは水素原子、脱離基を、Zは含窒素5〜6員複素環を表わす) (Wherein R 1 and R 2 represent a hydrogen atom and a substituent, X represents a hydrogen atom and a leaving group, and Z represents a nitrogen-containing 5- to 6-membered heterocyclic ring)
シアル酸誘導体であるザナミビル、オセルタミビルともに、耐性ウイルスの存在が知られており、NA阻害剤の基本骨格であるシアル酸誘導体以外の基本骨格を有する、安全性のより高い抗インフルエンザ薬が求められている。
本発明の課題は、ピロール誘導体を含有してなる優れた抗ウイルス剤を提供することにある。
Both the sialic acid derivatives zanamivir and oseltamivir are known to have resistant viruses, and there is a need for a safer anti-influenza drug having a basic skeleton other than the sialic acid derivative that is the basic skeleton of NA inhibitors. Yes.
An object of the present invention is to provide an excellent antiviral agent containing a pyrrole derivative.
本発明者らは、N−メチルピロール環を有しないピロール誘導体が抗ウイルス活性を有していることを見出し、本発明を完成するに至った。 The present inventors have found that a pyrrole derivative having no N-methylpyrrole ring has antiviral activity, and has completed the present invention.
すなわち本発明は、
(1) 式(I)
That is, the present invention
(1) Formula (I)
{式中、
RA、RB、RCおよびRDは、同一または異なって、水素原子、置換もしくは非置換アルキル基、置換もしくは非置換シクロアルキル基、置換もしくは非置換アルケニル基、置換もしくは非置換アルキニル基、置換もしくは非置換脂環式複素環基、置換もしくは非置換アリール基、置換もしくは非置換アラルキル基、置換もしくは非置換芳香族複素環基、置換もしくは非置換芳香族複素環アルキル基、OR1(式中、R1は、水素原子、置換もしくは非置換アルキル基、置換もしくは非置換シクロアルキル基、置換もしくは非置換アルケニル基、置換もしくは非置換アルキニル基、置換もしくは非置換脂環式複素環基、置換もしくは非置換アリール基、置換もしくは非置換アラルキル基、置換もしくは非置換芳香族複素環基または置換もしくは非置換芳香族複素環アルキル基を表す)、NR2R3(式中、R2およびR3は、同一または異なって、前記R1と同義であるか、またはR2とR3が一緒になって、置換もしくは非置換含窒素複素環基を表す)、S(O)mR4(式中、mは、0、1または2を表し、R4は、前記R1と同義である)、COR5(式中、R5は、前記R1と同義である)、COOR6(式中、R6は、前記R1と同義である)、OCOR7(式中、R7は、前記R1と同義である)、CONR8R9(式中、R8およびR9は、同一または異なって、それぞれ前記R2およびR3と同義である)、NR10COR11(式中、R10およびR11は、同一または異なって、前記R1と同義である)、NR12COOR13(式中、R12およびR13は、同一または異なって、前記R1と同義である)、NR14SO2R15(式中、R14およびR15は、同一または異なって、前記R1と同義である)、NR16C(=Q1)NR17R18[式中、Q1は、酸素原子、硫黄原子、NR19(式中、R19は、前記R1と同義である)、NCN、CHNO2またはC(CN)2を表し、R16は、前記R1と同義であり、R17およびR18は、同一または異なって、それぞれ前記R2およびR3と同義である]、NR20C(=Q2)NR21COR22(式中、Q2は、前記Q1と同義であり、R20、R21およびR22は、同一または異なって、前記R1と同義である)、NR23C(=Q3)NR24COOR25(式中、Q3は、前記Q1と同義であり、R23、R24およびR25は、同一または異なって、前記R1と同義である)、NR26SO2NR27R28(式中、R26は、前記R1と同義であり、R27およびR28は、同一または異なって、それぞれ前記R2およびR3と同義である)、SO2NR29R30(式中、R29およびR30は、同一または異なって、それぞれ前記R2およびR3と同義である)、ニトロ基、シアノ基またはハロゲン原子を表し、ここで、RA〜RDの少なくとも一つは、水素原子以外の基を表し、
Xは、水素原子、置換アルキル基、置換もしくは非置換シクロアルキル基、置換もしくは非置換アルケニル基、置換もしくは非置換アルキニル基、置換もしくは非置換脂環式複素環基、置換もしくは非置換アリール基、置換もしくは非置換アラルキル基、置換もしくは非置換芳香族複素環基または置換もしくは非置換芳香族複素環アルキル基、OR31(式中、R31は、前記R1と同義である)、NR32R33(式中、R32およびR33は、同一または異なって、それぞれ前記R2およびR3と同義である)、SO2R34(式中、R34は、前記R1と同義である)、COR35(式中、R35は、前記R1と同義である)、COOR36(式中、R36は、前記R1と同義である)、OCOR37(式中、R37は、前記R1と同義である)、CONR38R39(式中、R38およびR39は、同一または異なって、それぞれ前記R2およびR3と同義である)、NR40COR41(式中、R40およびR41は、同一または異なって、前記R1と同義である)、NR42COOR43(式中、R42およびR43は、同一または異なって、前記R1と同義である)、NR44SO2R45(式中、R44およびR45は、同一または異なって、前記R1と同義である)を表し、
または、
XとRA、RAとRBまたはRCとRDは、それぞれ、一緒になって環を形成してもよい(以下、XとRAとが一緒になって形成する環をZAと、RAとRBとが一緒になって形成する環をZBと、また、RCとRDとが一緒になって形成する環をZCと、それぞれいう)}
で表されるピロール誘導体またはそれらの薬理学的に許容される塩を含有してなる抗ウイルス剤に関する。
{Where,
R A , R B , R C and R D are the same or different and each represents a hydrogen atom, a substituted or unsubstituted alkyl group, a substituted or unsubstituted cycloalkyl group, a substituted or unsubstituted alkenyl group, a substituted or unsubstituted alkynyl group, Substituted or unsubstituted alicyclic heterocyclic group, substituted or unsubstituted aryl group, substituted or unsubstituted aralkyl group, substituted or unsubstituted aromatic heterocyclic group, substituted or unsubstituted aromatic heterocyclic alkyl group, OR 1 (formula R 1 is a hydrogen atom, a substituted or unsubstituted alkyl group, a substituted or unsubstituted cycloalkyl group, a substituted or unsubstituted alkenyl group, a substituted or unsubstituted alkynyl group, a substituted or unsubstituted alicyclic heterocyclic group, substituted Or an unsubstituted aryl group, a substituted or unsubstituted aralkyl group, a substituted or unsubstituted aromatic heterocyclic group, or a substituent Or an unsubstituted aromatic heterocyclic alkyl group), NR 2 R 3 (wherein, R 2 and R 3, identical or different, or the same meaning as the R 1, or R 2 and R 3 together And represents a substituted or unsubstituted nitrogen-containing heterocyclic group), S (O) mR 4 (wherein, m represents 0, 1 or 2 and R 4 has the same meaning as R 1 ). , COR 5 (wherein R 5 has the same meaning as R 1 ), COOR 6 (wherein R 6 has the same meaning as R 1 ), OCOR 7 (wherein R 7 is the same as above) RNR 1 and CONR 8 R 9 (wherein R 8 and R 9 are the same or different and have the same meanings as R 2 and R 3 , respectively), NR 10 COR 11 (wherein R 1 10 and R 11 are identical or different and have the same meanings as the R 1), NR 12 CO R 13 (wherein, R 12 and R 13 are the same or different, wherein R 1 as synonymous) in NR 14 SO 2 R 15 (wherein, R 14 and R 15 are the same or different, wherein R 1 synonymous), NR 16 C (= Q 1) NR 17 R 18 [ in formula (I), Q 1 represents an oxygen atom, in a sulfur atom, NR 19 (wherein, R 19 is the above R 1 as defined present), represents NCN, a CHNO 2 or C (CN) 2, R 16 has the same meaning as the R 1, R 17 and R 18 are the same or different, in each have the same meanings as defined above R 2 and R 3 there], NR 20 C (= Q 2) NR 21 COR 22 ( wherein, Q 2 has the same meaning as the Q 1, R 20, R 21 and R 22 are the same or different, with the R 1 synonymous), NR 23 C (= Q 3) NR 24 COO 25 (wherein, Q 3 has the same meaning as the Q 1, R 23, R 24 and R 25 are the same or different, have the same meanings as the R 1), NR 26 SO 2 NR 27 R 28 ( In the formula, R 26 has the same meaning as R 1 , R 27 and R 28 are the same or different and have the same meaning as R 2 and R 3 , respectively, SO 2 NR 29 R 30 (wherein R 29 and R 30 are the same or different and have the same meanings as R 2 and R 3 above, respectively, and represent a nitro group, a cyano group or a halogen atom, wherein at least one of R A to R D is Represents a group other than a hydrogen atom,
X is a hydrogen atom, a substituted alkyl group, a substituted or unsubstituted cycloalkyl group, a substituted or unsubstituted alkenyl group, a substituted or unsubstituted alkynyl group, a substituted or unsubstituted alicyclic heterocyclic group, a substituted or unsubstituted aryl group, A substituted or unsubstituted aralkyl group, a substituted or unsubstituted aromatic heterocyclic group or a substituted or unsubstituted aromatic heterocyclic alkyl group, OR 31 (wherein R 31 is as defined above for R 1 ), NR 32 R 33 (wherein R 32 and R 33 are the same or different and have the same meanings as R 2 and R 3 ), SO 2 R 34 (wherein R 34 has the same meaning as R 1 ), respectively. , COR 35 (wherein, R 35 is the same as defined in the R 1), COOR 36 (wherein, R 36, said R 1 as synonymous), OCOR 37 (wherein, R 7, the R 1 as synonymous), CONR 38 R 39 (wherein, R 38 and R 39 are the same or different and have the same meanings as defined above R 2 and R 3), NR 40 COR 41 ( In the formula, R 40 and R 41 are the same or different and have the same meaning as R 1 ), NR 42 COOR 43 (wherein R 42 and R 43 are the same or different and have the same meaning as R 1) . NR 44 SO 2 R 45 , wherein R 44 and R 45 are the same or different and have the same meaning as R 1 above,
Or
X and R A , R A and R B or R C and R D may be combined to form a ring (hereinafter, the ring formed by combining X and R A together with Z A And a ring formed by R A and R B together is Z B and a ring formed by R C and R D together is Z C )}
And an antiviral agent comprising a pharmacologically acceptable salt thereof.
また、本発明は、
(2) Xが水素原子であり、下記式(Ia)
The present invention also provides:
(2) X is a hydrogen atom, and the following formula (Ia)
(式中、RA、RB、RCおよびRDは、前記と同義である)
で表されることを特徴とする上記(1)記載のピロール誘導体またはそれらの薬理学的に許容される塩を含有してなる抗ウイルス剤や、
(3) RAが、置換もしくは非置換フェニル基、アミノ基、CONHR9a(式中、R9aは、置換もしくは非置換アルキル基を表す)またはNHC(=S)NHCOOR25a(式中、R25aは、置換もしくは非置換アルキル基を表す)を表し、RDが水素原子であることを特徴とする上記(2)記載のピロール誘導体またはそれらの薬理学的に許容される塩を含有してなる抗ウイルス剤や、
(4) RBおよびRCが、同一または異なって、水素原子、置換もしくは非置換フェニル基、SO2R4b(式中、R4bは、置換もしくは非置換フェニル基を表す)、COOR6a(式中、R6aは、置換もしくは非置換アルキル基を表す)、CONR8bR9b(式中、R8bおよびR9bは、同一または異なって、水素原子または置換もしくは非置換アルキル基を表す)またはシアノ基であることを特徴とする上記(2)または(3)のいずれか記載のピロール誘導体またはそれらの薬理学的に許容される塩を含有してなる抗ウイルス剤や、
(5) RAがm−ニトロフェニル基を、RBが2−エチルヘキシルオキシカルボニル基を、RCがカルバモイル基を、RDが水素原子であることを特徴とする上記(2)記載のピロール誘導体またはそれらの薬理学的に許容される塩を含有してなる抗ウイルス剤や、
(6) RAおよびRCが置換もしくは非置換フェニル基を、RBがシアノ基を、RDがヒドロキシ基であることを特徴とする上記(2)記載のピロール誘導体またはそれらの薬理学的に許容される塩を含有してなる抗ウイルス剤や、
(7) ZAが、置換もしくは非置換含窒素複素環であることを特徴とする上記(1)記載のピロール誘導体またはそれらの薬理学的に許容される塩を含有してなる抗ウイルス剤や、
(8) 置換もしくは非置換含窒素複素環が、下記式(II)
(Wherein, R A , R B , R C and R D have the same meanings as described above)
An antiviral agent comprising the pyrrole derivative according to (1) or a pharmacologically acceptable salt thereof, characterized by being represented by:
(3) R A is a substituted or unsubstituted phenyl group, amino group, CONHR 9a (wherein R 9a represents a substituted or unsubstituted alkyl group) or NHC (═S) NHCOOR 25a (wherein R 25a Represents a substituted or unsubstituted alkyl group), and RD is a hydrogen atom, and contains the pyrrole derivative or the pharmacologically acceptable salt thereof according to the above (2), Antiviral agents,
(4) R B and R C are the same or different and are a hydrogen atom, a substituted or unsubstituted phenyl group, SO 2 R 4b (wherein R 4b represents a substituted or unsubstituted phenyl group), COOR 6a ( In the formula, R 6a represents a substituted or unsubstituted alkyl group), CONR 8b R 9b (wherein R 8b and R 9b are the same or different and represent a hydrogen atom or a substituted or unsubstituted alkyl group) or An antiviral agent comprising the pyrrole derivative according to any one of the above (2) or (3) or a pharmacologically acceptable salt thereof, which is a cyano group,
(5) The pyrrole according to (2) above, wherein R A is an m-nitrophenyl group, R B is a 2-ethylhexyloxycarbonyl group, R C is a carbamoyl group, and R D is a hydrogen atom. An antiviral agent comprising a derivative or a pharmacologically acceptable salt thereof,
(6) R A and R C are substituted or unsubstituted phenyl groups, R B is a cyano group, and R D is a hydroxy group, or a pyrrole derivative according to (2) or a pharmacological thereof An antiviral agent containing an acceptable salt,
(7) Z A is Ya substituted or unsubstituted nitrogen-containing heterocyclic in the is characterized in that (1), wherein the pyrrole derivative or antiviral agent comprising their pharmacologically acceptable salts ,
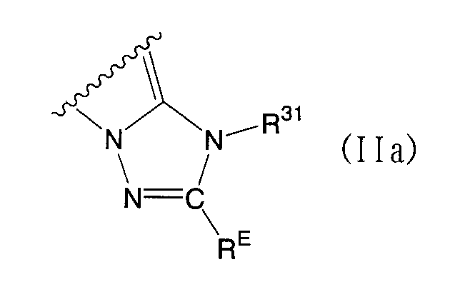
(8) A substituted or unsubstituted nitrogen-containing heterocycle is represented by the following formula (II)
[式中、Z1、Z2およびZ3は、同一または異なって、−CRE=(式中、REは、前記RAと同義であり、式中に複数のREが同時に存在する場合、REは、同一または異なっていてもよい)、−CRFRG−(式中、RFおよびRGは、同一または異なって、前記RAと同義であり、式中に複数のRFおよび/またはRGが同時に存在する場合、RFおよびRGは、それぞれ同一または異なっていてもよい)、−C(=Q4)−(式中、Q4は、前記Q1と同義であり、式中に複数のQ4が同時に存在する場合、Q4は、同一または異なっていてもよい)、−N=、−NR31−(式中、R31は、前記R1と同義であり、式中に複数のR31が同時に存在する場合、R31は、同一または異なっていてもよい)、−O−または−S−を表す]
で表される5員環であることを特徴とする上記(7)記載のピロール誘導体またはそれらの薬理学的に許容される塩を含有してなる抗ウイルス剤や、
(9) 式(II)で表される置換もしくは非置換含窒素5員複素環が、下記式(IIa)
Wherein, Z 1, Z 2 and Z 3 are the same or different, -CR E = (wherein, R E has the same meaning as defined above R A, a plurality of R E are simultaneously present in the formula R E may be the same or different), —CR F R G — (wherein R F and R G are the same or different and have the same meaning as the above R A , When R F and / or R G are present simultaneously, R F and R G may be the same or different from each other), —C (= Q 4 ) — (wherein Q 4 is the same as Q 1 and When a plurality of Q 4 are present simultaneously in the formula, Q 4 may be the same or different), —N═, —NR 31 — (wherein R 31 is the same as R 1 above) are synonymous, when a plurality of R 31 in the formula are present simultaneously, R 31 may be the same or different Represents -O- or -S-]
An antiviral agent comprising the pyrrole derivative according to the above (7) or a pharmacologically acceptable salt thereof, wherein the pyrrole derivative is a 5-membered ring represented by:
(9) A substituted or unsubstituted nitrogen-containing 5-membered heterocyclic ring represented by the formula (II) is represented by the following formula (IIa)
(式中、REおよびR31は、前記と同義である)
であることを特徴とする上記(8)記載のピロール誘導体またはそれらの薬理学的に許容される塩を含有してなる抗ウイルス剤や、
(10) R31が水素原子であることを特徴とする上記(9)記載のピロール誘導体またはそれらの薬理学的に許容される塩を含有してなる抗ウイルス剤や、
(11) RBがCOR5b(式中、R5bは置換もしくは非置換アルキル基を表す)またはCOOR6b(式中、R6bは、置換もしくは非置換シクロアルキル基を表す)を、RCがシアノ基を、RDが水素原子を、REが置換もしくは非置換フェニル基であることを特徴とする上記(9)または(10)のいずれか記載のピロール誘導体またはそれらの薬理学的に許容される塩を含有してなる抗ウイルス剤や、
(12) 置換もしくは非置換含窒素複素環が、下記式(III)
(Wherein R E and R 31 are as defined above)
An antiviral agent comprising the pyrrole derivative or the pharmacologically acceptable salt thereof according to (8) above,
(10) An antiviral agent comprising the pyrrole derivative according to (9) or a pharmacologically acceptable salt thereof, wherein R 31 is a hydrogen atom,
(11) R B represents COR 5b (wherein R 5b represents a substituted or unsubstituted alkyl group) or COOR 6b (wherein R 6b represents a substituted or unsubstituted cycloalkyl group), and R C represents The pyrrole derivative according to any one of the above (9) or (10), wherein RD is a hydrogen atom, and R E is a substituted or unsubstituted phenyl group, or a pharmacologically acceptable group thereof An antiviral agent containing a salt,
(12) A substituted or unsubstituted nitrogen-containing heterocyclic ring is represented by the following formula (III)
[式中、Z4、Z5、Z6およびZ7は、同一または異なって、−CRH=(式中、RHは、前記RAと同義であり、式中に複数のRHが同時に存在する場合、RHは、同一または異なっていてもよい)、−CRIRJ−(式中、RIおよびRJは、同一または異なって、前記RAと同義であり、式中に複数のRIおよび/またはRJが同時に存在する場合、RIおよびRJは、それぞれ同一または異なっていてもよい)、−C(=Q5)−(式中、Q5は、前記Q1と同義であり、式中に複数のQ5が同時に存在する場合、Q5は、同一または異なっていてもよい)、−N=、−NR32−(式中、R32は、前記R1と同義であり、式中に複数のR32が同時に存在する場合、R32は、同一または異なっていてもよい)、−O−または−S−を表す]
で表される6員環であることを特徴とする上記(7)記載のピロール誘導体またはそれらの薬理学的に許容される塩を含有してなる抗ウイルス剤や、
(13) 式(III)で表される置換もしくは非置換含窒素6員複素環が、式(IIIa)
[In the formula, Z 4 , Z 5 , Z 6 and Z 7 are the same or different, and —CR H = (wherein R H has the same meaning as the above R A , and a plurality of R H When present at the same time, R H may be the same or different), —CR I R J — (wherein R I and R J are the same or different and have the same meaning as the above R A , In the case where a plurality of R I and / or R J are simultaneously present, R I and R J may be the same or different from each other), -C (= Q 5 )-(wherein Q 5 is Q 1 is the same as Q 1, and when a plurality of Q 5 are simultaneously present in the formula, Q 5 may be the same or different), —N═, —NR 32 — (wherein R 32 represents the aforementioned has the same meaning as R 1, when a plurality of R 32 in the formula are present simultaneously, R 32 is identical or different May also be), - O-or an -S-]
An antiviral agent comprising the pyrrole derivative according to the above (7) or a pharmacologically acceptable salt thereof, wherein the pyrrole derivative is a six-membered ring represented by:
(13) A substituted or unsubstituted nitrogen-containing 6-membered heterocycle represented by the formula (III) is represented by the formula (IIIa)
(式中、Z5aは、−CH=または−N=を表し、RHおよびR32は、前記と同義である)
であることを特徴とする上記(12)記載のピロール誘導体またはそれらの薬理学的に許容される塩を含有してなる抗ウイルス剤や、
(14) R32が水素原子であることを特徴とする上記(13)記載のピロール誘導体またはそれらの薬理学的に許容される塩を含有してなる抗ウイルス剤や、
(15) Z5aが−CH=を、RBが置換もしくは非置換フェニル基、SO2R4b(式中、R4bは、前記と同義である)、CONR8bR9b(式中、R8bおよびR9bは、前記と同義である)またはシアノ基を、RCが置換もしくは非置換フェニル基またはシアノ基を、RDが水素原子を、RHがアミノ基またはNHCOOR13a(式中、R13aは、置換もしくは非置換アルキル基を表す)であることを特徴とする上記(13)または(14)のいずれか記載のピロール誘導体またはそれらの薬理学的に許容される塩を含有してなる抗ウイルス剤や、
(16) RBがp−トルエンスルフォニル基を、RCがフェニル基を、RHがエトキシカルボニルアミノ基であることを特徴とする上記(15)記載のピロール誘導体またはそれらの薬理学的に許容される塩を含有してなる抗ウイルス剤や、
(17) Z5aが−N=を、RBがCOOR6b(式中、R6bは、前記と同義である)を、RCおよびRHが、同一または異なって、置換もしくは非置換フェニル基を、RDが水素原子であることを特徴とする上記(13)または(14)のいずれか記載のピロール誘導体またはそれらの薬理学的に許容される塩を含有してなる抗ウイルス剤や、
(18) ZBが、置換もしくは非置換芳香族炭化水素環、置換もしくは非置換脂環式炭化水素環、置換もしくは非置換芳香族複素環または置換もしくは非置換脂環式複素環であることを特徴とする上記(1)記載のピロール誘導体またはそれらの薬理学的に許容される塩を含有してなる抗ウイルス剤や、
(19) 置換もしくは非置換芳香族炭化水素環が、置換もしくは非置換ベンゼン環であることを特徴とする上記(18)記載のピロール誘導体またはそれらの薬理学的に許容される塩を含有してなる抗ウイルス剤や、
(20) Xが、水素原子、置換アルキル、置換もしくは非置換フェニル基またはNHR33a(式中、R33aは、置換もしくは非置換フェニル基を表す)であることを特徴とする上記(19)記載のピロール誘導体またはそれらの薬理学的に許容される塩を含有してなる抗ウイルス剤や、
(21) 置換アルキルの置換基が、SO2R4b(式中、R4bは、前記と同義である)またはシアノ基であることを特徴とする上記(20)記載のピロール誘導体またはそれらの薬理学的に許容される塩を含有してなる抗ウイルス剤や、
(22) 置換ベンゼン環の置換基が、OR1a(式中、R1aは、水素原子または置換もしくは非置換アルキル基を表す)またはニトロ基であることを特徴とする上記(19)〜(21)のいずれか記載のピロール誘導体またはそれらの薬理学的に許容される塩を含有してなる抗ウイルス剤や、
(23) ZCが、置換もしくは非置換芳香族炭化水素環、置換もしくは非置換脂環式炭化水素環、置換もしくは非置換芳香族複素環または置換もしくは非置換脂環式複素環であることを特徴とする上記(1)または(18)〜(22)のいずれか記載のピロール誘導体またはそれらの薬理学的に許容される塩を含有してなる抗ウイルス剤や、
(24) 置換もしくは非置換脂環式炭化水素環が、シクロヘキサン環であることを特徴とする上記(23)記載のピロール誘導体またはそれらの薬理学的に許容される塩を含有してなる抗ウイルス剤や、
(25) 置換シクロヘキサン環の置換基が、OCOR37a(式中、R37aは、置換もしくは非置換フェニル基を表す)であることを特徴とする上記(24)記載のピロール誘導体またはそれらの薬理学的に許容される塩を含有してなる抗ウイルス剤に関する。
(In the formula, Z 5a represents —CH═ or —N═, and R H and R 32 have the same meanings as described above).
An antiviral agent comprising the pyrrole derivative according to the above (12) or a pharmacologically acceptable salt thereof,
(14) An antiviral agent comprising the pyrrole derivative or the pharmaceutically acceptable salt thereof according to (13), wherein R 32 is a hydrogen atom,
(15) Z 5a represents —CH═, R B represents a substituted or unsubstituted phenyl group, SO 2 R 4b (wherein R 4b is as defined above), CONR 8b R 9b (where R 8b And R 9b are as defined above) or a cyano group, R C is a substituted or unsubstituted phenyl group or cyano group, R D is a hydrogen atom, R H is an amino group or NHCOOR 13a (where R 13a represents a substituted or unsubstituted alkyl group), and contains the pyrrole derivative according to any one of the above (13) or (14) or a pharmacologically acceptable salt thereof. Antiviral agents,
(16) R B is a p-toluenesulfonyl group, R C is a phenyl group, and R H is an ethoxycarbonylamino group, or a pharmacologically acceptable pyrrole derivative thereof according to (15), An antiviral agent containing a salt,
(17) Z 5a is -N =, R B is COOR 6b (wherein R 6b is as defined above), R C and R H are the same or different, and a substituted or unsubstituted phenyl group RD is a hydrogen atom, an antiviral agent comprising the pyrrole derivative according to any one of the above (13) or (14) or a pharmacologically acceptable salt thereof,
(18) Z B is a substituted or unsubstituted aromatic hydrocarbon ring, a substituted or unsubstituted alicyclic hydrocarbon ring, a substituted or unsubstituted aromatic heterocyclic ring or a substituted or unsubstituted alicyclic heterocyclic ring. An antiviral agent comprising the pyrrole derivative or the pharmacologically acceptable salt thereof described in (1) above,
(19) The pyrrole derivative or the pharmacologically acceptable salt thereof according to the above (18), wherein the substituted or unsubstituted aromatic hydrocarbon ring is a substituted or unsubstituted benzene ring. An antiviral agent,
(20) The above (19), wherein X is a hydrogen atom, substituted alkyl, substituted or unsubstituted phenyl group or NHR 33a (wherein R 33a represents a substituted or unsubstituted phenyl group) An antiviral agent comprising a pyrrole derivative or a pharmacologically acceptable salt thereof,
(21) The pyrrole derivative or the drug thereof according to (20), wherein the substituent of the substituted alkyl is SO 2 R 4b (wherein R 4b is as defined above) or a cyano group An antiviral agent containing a physically acceptable salt,
(22) The above (19) to (21), wherein the substituent of the substituted benzene ring is OR 1a (wherein R 1a represents a hydrogen atom or a substituted or unsubstituted alkyl group) or a nitro group. ) An antiviral agent comprising the pyrrole derivative or a pharmacologically acceptable salt thereof,
(23) Z C is a substituted or unsubstituted aromatic hydrocarbon ring, a substituted or unsubstituted alicyclic hydrocarbon ring, that is substituted or unsubstituted aromatic heterocyclic ring or a substituted or unsubstituted alicyclic heterocyclic An antiviral agent comprising the pyrrole derivative according to any one of the above (1) or (18) to (22) or a pharmacologically acceptable salt thereof,
(24) The antiviral comprising the pyrrole derivative or the pharmacologically acceptable salt thereof according to (23), wherein the substituted or unsubstituted alicyclic hydrocarbon ring is a cyclohexane ring Agents,
(25) The pyrrole derivative or the pharmacology thereof according to the above (24), wherein the substituent of the substituted cyclohexane ring is OCOR 37a (wherein R 37a represents a substituted or unsubstituted phenyl group) The present invention relates to an antiviral agent containing a chemically acceptable salt.
本発明のピロール誘導体は、優れた抗ウイルス活性を有し、各種のウイルスに対して抗ウイルス剤として使用することができる。 The pyrrole derivative of the present invention has excellent antiviral activity and can be used as an antiviral agent against various viruses.
本発明における各基の定義は、以下の通りである。 The definition of each group in the present invention is as follows.
アルキル基は、例えば、直鎖または分岐状の炭素数1〜20のアルキル、具体的には、メチル、エチル、プロピル、イソプロピル、ブチル、イソブチル、sec−ブチル、tert−ブチル、ペンチル、イソペンチル、ネオペンチル、ヘキシル、ヘプチル、オクチル、ノニル、デシル、ウンデシル、ドデシル、トリデシル、テトラデシル、ペンタデシル、ヘキサデシル、ヘプタデシル、オクタデシル、ノナデシル、エイコシル等が挙げられる。 The alkyl group is, for example, linear or branched alkyl having 1 to 20 carbon atoms, specifically, methyl, ethyl, propyl, isopropyl, butyl, isobutyl, sec-butyl, tert-butyl, pentyl, isopentyl, neopentyl. Hexyl, heptyl, octyl, nonyl, decyl, undecyl, dodecyl, tridecyl, tetradecyl, pentadecyl, hexadecyl, heptadecyl, octadecyl, nonadecyl, eicosyl and the like.
シクロアルキル基は、例えば、炭素数3〜8のシクロアルキル、具体的には、シクロプロピル、シクロブチル、シクロペンチル、シクロヘキシル、シクロオクチル、1−シクロヘキセニル等が挙げられる。 Examples of the cycloalkyl group include cycloalkyl having 3 to 8 carbon atoms, specifically, cyclopropyl, cyclobutyl, cyclopentyl, cyclohexyl, cyclooctyl, 1-cyclohexenyl and the like.
アルケニル基は、例えば、直鎖または分岐状の炭素数2〜10のアルケニル、具体的には、ビニル、1−プロペニル、アリル、イソプロペニル、1−ブテニル、2−ブテニル、1,3−ブタジエニル、2−ペンテニル、2−ヘキセニル等が挙げられる。 The alkenyl group is, for example, linear or branched alkenyl having 2 to 10 carbon atoms, specifically vinyl, 1-propenyl, allyl, isopropenyl, 1-butenyl, 2-butenyl, 1,3-butadienyl, 2-pentenyl, 2-hexenyl and the like can be mentioned.
アルキニル基は、例えば、直鎖または分岐状の炭素数2〜10のアルキニル、具体的には、エチニル、1−プロピニル、2−プロピニル、イソプロピニル、2−ブチニル、2−ペンチニル、2−ペンテン−4−イニル、2−ヘキシニル等が挙げられる。 The alkynyl group is, for example, linear or branched alkynyl having 2 to 10 carbon atoms, specifically, ethynyl, 1-propynyl, 2-propynyl, isopropynyl, 2-butynyl, 2-pentynyl, 2-pentene- 4-inyl, 2-hexynyl and the like can be mentioned.
アリール基は、例えば、炭素数6〜14のアリール、具体的には、フェニル、ナフチル、アントリル、フェナントリル等を挙げることができる。 Examples of the aryl group include aryl having 6 to 14 carbon atoms, specifically, phenyl, naphthyl, anthryl, phenanthryl and the like.
アラルキル基は、そのアリール部分は前記アリール基と同義であり、アルキル部分は前記アルキル基と同義であり、例えば、炭素数7〜15のアラルキル、具体的にはベンジル、フェネチル、フェニルプロピル、ベンズヒドリル、トリチル、ナフチルメチル等を挙げることができる。 The aralkyl group has the same aryl portion as the aryl group, and the alkyl portion has the same meaning as the alkyl group. For example, aralkyl having 7 to 15 carbon atoms, specifically benzyl, phenethyl, phenylpropyl, benzhydryl, Examples include trityl and naphthylmethyl.
芳香族複素環基は、同一または異なって、少なくとも1以上の異項原子、例えば、窒素、酸素、硫黄等を含む5員または6員の芳香族複素環基からなり、該複素環基は、単環性または該単環性複素環基が複数またはアリール基と縮合した多環性の縮合芳香族複素環基、例えば、二環性もしくは三環性複素環基であってもよい。単環性の芳香族複素環基の具体例としては、フリル、チエニル、ピロリル、オキサゾリル、イソオキサゾリル、チアゾリル、チアジアゾリル、イソチアゾリル、イミダゾリル、ピラゾリル、トリアゾリル、テトラゾリル、ピリジル、ピラジニル、ピリミジニル、ピリダジニル等が挙げられ、多環性の縮合芳香族複素環基としては、ベンゾフリル、ベンゾチエニル、インドリル、カルバゾリル、キノリル、イソキノリル、アクリジニル、ナフチリジニル、ベンゾイミダゾリル、ベンゾオキサゾリル、ベンゾチアゾリル、ベンゾトリアゾリル、インダゾリル、キノキサリニル、キナゾリニル、シンノリニル、フタラジニル、プリニル、プテリジニル、チアントレニル、フェノキサチニル、フェノキサジニル、フェノチアジニル、フェナジニル等を挙げることができる。 The aromatic heterocyclic group is the same or different and consists of a 5- or 6-membered aromatic heterocyclic group containing at least one or more hetero atoms such as nitrogen, oxygen, sulfur and the like, It may be a monocyclic or a polycyclic fused aromatic heterocyclic group in which a plurality of the monocyclic heterocyclic groups are condensed with an aryl group, for example, a bicyclic or tricyclic heterocyclic group. Specific examples of the monocyclic aromatic heterocyclic group include furyl, thienyl, pyrrolyl, oxazolyl, isoxazolyl, thiazolyl, thiadiazolyl, isothiazolyl, imidazolyl, pyrazolyl, triazolyl, tetrazolyl, pyridyl, pyrazinyl, pyrimidinyl, pyridazinyl and the like. And polycyclic condensed aromatic heterocyclic groups include benzofuryl, benzothienyl, indolyl, carbazolyl, quinolyl, isoquinolyl, acridinyl, naphthyridinyl, benzoimidazolyl, benzoxazolyl, benzothiazolyl, benzotriazolyl, indazolyl, quinoxalinyl, quinazolinyl Cinnolinyl, phthalazinyl, purinyl, pteridinyl, thiantenyl, phenoxatinyl, phenoxazinyl, phenothiazinyl, phenazinyl, etc. It can gel.
芳香族複素環アルキル基は、その芳香族複素環部分は前記芳香族複素環基と同義であり、アルキル部分は前記アルキル基と同義であり、例えば、少なくとも1以上の異項原子を含む芳香族複素環アルキル、具体的にはピリジルメチル、ピリジルエチル、フラニルメチル、チエニルメチル等を挙げることができる。 The aromatic heterocyclic alkyl group has the same aromatic heterocyclic moiety as the aromatic heterocyclic group, and the alkyl moiety has the same meaning as the alkyl group, for example, an aromatic group containing at least one hetero atom. Heterocyclic alkyl, specifically pyridylmethyl, pyridylethyl, furanylmethyl, thienylmethyl and the like can be mentioned.
脂環式複素環基は、同一または異なって、少なくとも1以上の異項原子、例えば、窒素、酸素、硫黄等を含み、飽和または一部不飽和結合が存在してもよい3〜8員の脂環式複素環基であり、単環性あるいは該単環性の複素環基が複数またはアリール基もしくは芳香族複素環基と縮合した多環性の縮合脂環式複素環基であってもよい。単環性の脂環式複素環基として、具体的には、アジリジニル、ピロリジニル、イミダゾリジニル、イミダゾリニル、ピラゾリジニル、ピラゾリニル、ジヒドロチアゾリル、テトラヒドロフラニル、1,3−ジオキソラニル、チオラニル、ピペリジノ、ピペリジル、ピペラジニル、モルホリノ、モルホリニル、チオモルホリニル、ピラニル、オキサチアニル、オキサジアジニル、チアジアジニル、ジチアジニル、アゼピニル、ジヒドロアゾシニル等が例示され、多環性の縮合脂環式複素環基として、具体的には、インドリニル、イソインドリニル、クロマニル、イソクロマニル、キヌクリジニル等を挙げることができる。 The alicyclic heterocyclic group is the same or different and contains at least one hetero atom such as nitrogen, oxygen, sulfur and the like, and may be a saturated or partially unsaturated bond. An alicyclic heterocyclic group, which may be monocyclic or a polycyclic fused alicyclic heterocyclic group in which the monocyclic heterocyclic group is condensed with an aryl group or an aromatic heterocyclic group. Good. Specific examples of monocyclic alicyclic heterocyclic groups include aziridinyl, pyrrolidinyl, imidazolidinyl, imidazolinyl, pyrazolidinyl, pyrazolinyl, dihydrothiazolyl, tetrahydrofuranyl, 1,3-dioxolanyl, thiolanyl, piperidino, piperidyl, piperazinyl , Morpholino, morpholinyl, thiomorpholinyl, pyranyl, oxathianyl, oxadiazinyl, thiadiazinyl, dithiazinyl, azepinyl, dihydroazosinyl and the like. Specific examples of the polycyclic fused alicyclic heterocyclic groups include , Isochromanyl, quinuclidinyl and the like.
含窒素複素環基としては、前記脂環式複素環基または芳香族複素環基のうち、異項原子として少なくとも一つの窒素原子を含む複素環基であり、具体的には、アジリジニル、ピロリジニル、ピペリジノ、ホモピペリジニル、ピペラジニル、ホモピペラジニル、モルホリノ、チオモルホリニル、ピロリル、イミダゾリル、ピラゾリル、トリアゾリル、テトラゾリル、インドリル、インダゾリル、ベンゾイミダゾリル、ベンゾトリアゾリル等を挙げることができる。 The nitrogen-containing heterocyclic group is a heterocyclic group containing at least one nitrogen atom as a hetero atom among the alicyclic heterocyclic group or aromatic heterocyclic group, specifically, aziridinyl, pyrrolidinyl, Examples include piperidino, homopiperidinyl, piperazinyl, homopiperazinyl, morpholino, thiomorpholinyl, pyrrolyl, imidazolyl, pyrazolyl, triazolyl, tetrazolyl, indolyl, indazolyl, benzimidazolyl, benzotriazolyl and the like.
ハロゲン原子は、フッ素、塩素、臭素、ヨウ素の各原子を意味する。 The halogen atom means each atom of fluorine, chlorine, bromine and iodine.
ZAは、置換基もしくは非置換含窒素複素環であり、5〜6員の含窒素複素環であることが好ましく、含窒素5員複素環としては、下記式(II)で表されるものがより好ましい。 Z A is a substituted or unsubstituted nitrogen-containing heterocyclic ring, preferably a 5- to 6-membered nitrogen-containing heterocyclic ring, and the nitrogen-containing 5-membered heterocyclic ring is represented by the following formula (II) Is more preferable.
[式中、Z1、Z2およびZ3は、同一または異なって、−CRE=(式中、REは、前記RAと同義であり、式中に複数のREが同時に存在する場合、REは、同一または異なっていてもよい)、−CRFRG−(式中、RFおよびRGは、同一または異なって、前記RAと同義であり、式中に複数のRFおよび/またはRGが同時に存在する場合、RFおよびRGは、それぞれ同一または異なっていてもよい)、−C(=Q4)−(式中、Q4は、前記Q1と同義であり、式中に複数のQ4が同時に存在する場合、Q4は、同一または異なっていてもよい)、−N=、−NR31−(式中、R31は、前記R1と同義であり、式中に複数のR31が同時に存在する場合、R31は、同一または異なっていてもよい)、−O−または−S−を表す] Wherein, Z 1, Z 2 and Z 3 are the same or different, -CR E = (wherein, R E has the same meaning as defined above R A, a plurality of R E are simultaneously present in the formula R E may be the same or different), —CR F R G — (wherein R F and R G are the same or different and have the same meaning as the above R A , When R F and / or R G are present simultaneously, R F and R G may be the same or different from each other), —C (= Q 4 ) — (wherein Q 4 is the same as Q 1 and When a plurality of Q 4 are present simultaneously in the formula, Q 4 may be the same or different), —N═, —NR 31 — (wherein R 31 is the same as R 1 above) are synonymous, when a plurality of R 31 in the formula are present simultaneously, R 31 may be the same or different Represents -O- or -S-]
また、含窒素6員複素環としては、下記式(III)で表されるものがより好ましい。 Moreover, as a nitrogen-containing 6-membered heterocyclic ring, what is represented by following formula (III) is more preferable.
[式中、Z4、Z5、Z6およびZ7は、同一または異なって、−CRH=(式中、RHは、前記RAと同義であり、式中に複数のRHが同時に存在する場合、RHは、同一または異なっていてもよい)、−CRIRJ−(式中、RIおよびRJは、同一または異なって、前記RAと同義であり、式中に複数のRIおよび/またはRJが同時に存在する場合、RIおよびRJは、それぞれ同一または異なっていてもよい)、−C(=Q5)−(式中、Q5は、前記Q1と同義であり、式中に複数のQ5が同時に存在する場合、Q5は、同一または異なっていてもよい)、−N=、−NR32−(式中、R32は、前記R1と同義であり、式中に複数のR32が同時に存在する場合、R32は、同一または異なっていてもよい)、−O−または−S−を表す] [In the formula, Z 4 , Z 5 , Z 6 and Z 7 are the same or different, and —CR H = (wherein R H has the same meaning as the above R A , and a plurality of R H When present at the same time, R H may be the same or different), —CR I R J — (wherein R I and R J are the same or different and have the same meaning as the above R A , In the case where a plurality of R I and / or R J are simultaneously present, R I and R J may be the same or different from each other), -C (= Q 5 )-(wherein Q 5 is Q 1 is the same as Q 1, and when a plurality of Q 5 are simultaneously present in the formula, Q 5 may be the same or different), —N═, —NR 32 — (wherein R 32 represents the aforementioned has the same meaning as R 1, when a plurality of R 32 in the formula are present simultaneously, R 32 is identical or different May also be), - O-or an -S-]
ZBおよびZCは、同一または異なって、置換もしくは非置換芳香族炭化水素環、置換もしくは非置換脂環式炭化水素環、置換もしくは非置換芳香族複素環または置換もしくは非置換脂環式複素環等を表す。ここで、芳香族炭化水素環は、例えば、炭素数6〜14の前記アリール基に対応する芳香族炭化水素環が、具体的には、ベンゼン、ナフタレン、アントラセン等を挙げることができる。脂環式炭化水素環は、例えば、炭素数5〜8の前記シクロアルキル基に対応する脂環式炭化水素環が、具体的には、シクロペンタン、シクロヘキサン、シクロオクタン等が挙げられる。芳香族複素環は、例えば、前記芳香族複素環基に対応する5〜6員芳香族複素環が、具体的には、フラン、チオフェン、ピロール、オキサゾール、イソオキサゾール、チアゾール、チアジアゾール、イソチアゾール、イミダゾール、ピラゾール、トリアゾール、ピリジン、ピラジン、ピリミジン、ピリダジン等を挙げることができる。脂環式複素環は、例えば、前記脂環式複素環基に対応する5〜8員脂環式複素環が、具体的には、ピロリン、ピロリジン、イミダゾリン、イミダゾリジン、ピラゾリン、ピラゾリジン、ジヒドロチアゾール、テトラヒドロフラン、ジオキソラン、チオラン、ピペリジン、ピペラジン、モルホリン、チオモルホリン、ピラン、オキサチアン、オキサジアジン、チアジアジン、ジチアジン、アゼピン等を挙げることができる。 Z B and Z C are the same or different and each represents a substituted or unsubstituted aromatic hydrocarbon ring, a substituted or unsubstituted alicyclic hydrocarbon ring, a substituted or unsubstituted aromatic heterocyclic ring, or a substituted or unsubstituted alicyclic heterocyclic ring. Represents a ring or the like. Here, examples of the aromatic hydrocarbon ring include, for example, an aromatic hydrocarbon ring corresponding to the aryl group having 6 to 14 carbon atoms, such as benzene, naphthalene, and anthracene. Examples of the alicyclic hydrocarbon ring include alicyclic hydrocarbon rings corresponding to the cycloalkyl group having 5 to 8 carbon atoms, and specific examples include cyclopentane, cyclohexane, cyclooctane, and the like. The aromatic heterocyclic ring is, for example, a 5- to 6-membered aromatic heterocyclic ring corresponding to the aromatic heterocyclic group, specifically, furan, thiophene, pyrrole, oxazole, isoxazole, thiazole, thiadiazole, isothiazole, Examples include imidazole, pyrazole, triazole, pyridine, pyrazine, pyrimidine, and pyridazine. The alicyclic heterocycle is, for example, a 5- to 8-membered alicyclic heterocycle corresponding to the alicyclic heterocyclic group, specifically, pyrroline, pyrrolidine, imidazoline, imidazolidine, pyrazoline, pyrazolidine, dihydrothiazole. , Tetrahydrofuran, dioxolane, thiolane, piperidine, piperazine, morpholine, thiomorpholine, pyran, oxathiane, oxadiazine, thiadiazine, dithiazine, azepine and the like.
アルキル基、シクロアルキル基、アルケニル基、アルキニル基、アリール基、アラルキル基、芳香族複素環基、芳香族複素環アルキル基、脂環式複素環基、含窒素複素環基、芳香族炭化水素環、脂環式炭化水素環、芳香族複素環および脂環式複素環における置換基としては、アルキル基、シクロアルキル基、アルケニル基、アルキニル基、アリール基、アラルキル基、芳香族複素環基、芳香族複素環アルキル基、脂環式複素環基、O(CH2CH2O)nRa(式中、nは、0、1または2を表す)、NRbRc、S(O)pRd(式中、pは、0、1または2を表す)、CORe、COORf、OCORg、CONRhRi、NRjCORk、NRlCOORm、NRnSO2Ro、NRpC(=Qa)NRqRr(式中、Qaは、酸素原子、硫黄原子、NRs、NCN、CHNO2またはC(CN)2を表す)、NRsC(=Qb)NRtCORu(式中、Qbは、前記Qaと同義である)、NRvC(=Qc)NRwCOORx(式中、Qcは、前記Qaと同義である)、NRySO2NRzRaa、SO2NRabRac、ニトロ基、シアノ基およびハロゲン原子等から適宜選択される。ここで、Ra〜Racは、同一または異なって、水素原子、アルキル基、シクロアルキル基、アルケニル基、アルキニル基、アリール基、アラルキル基、芳香族複素環基、芳香族複素環アルキル基または脂環式複素環基等を表し、RbおよびRc、RhおよびRi、RqおよびRr、RzおよびRaa並びにRabおよびRacは、一緒になって含窒素複素環基を形成してもよい。 Alkyl group, cycloalkyl group, alkenyl group, alkynyl group, aryl group, aralkyl group, aromatic heterocyclic group, aromatic heterocyclic alkyl group, alicyclic heterocyclic group, nitrogen-containing heterocyclic group, aromatic hydrocarbon ring The substituents in the alicyclic hydrocarbon ring, aromatic heterocycle and alicyclic heterocycle include alkyl group, cycloalkyl group, alkenyl group, alkynyl group, aryl group, aralkyl group, aromatic heterocyclic group, aromatic Group heterocyclic alkyl group, alicyclic heterocyclic group, O (CH 2 CH 2 O) nR a (wherein n represents 0, 1 or 2), NR b R c , S (O) pR d (Wherein p represents 0, 1 or 2), COR e , COOR f , OCOR g , CONR h R i , NR j COR k , NR 1 COOR m , NR n SO 2 R o , NR p C (= Q a) NR q r (wherein, Q a represents an oxygen atom, a sulfur atom, NR s, NCN, the CHNO 2 or C (CN) 2), NR s C (= Q b) NR t COR u ( wherein, Q b Is synonymous with Q a ), NR v C (= Q c ) NR w COOR x (where Q c is synonymous with Q a ), NR y SO 2 NR z R aa , SO 2 NR ab R ac , a nitro group, a cyano group, a halogen atom and the like are appropriately selected. Here, R a to R ac are the same or different and each represents a hydrogen atom, an alkyl group, a cycloalkyl group, an alkenyl group, an alkynyl group, an aryl group, an aralkyl group, an aromatic heterocyclic group, an aromatic heterocyclic alkyl group, or R b and R c , R h and R i , R q and R r , R z and R aa and R ab and R ac together represent a nitrogen-containing heterocyclic group May be formed.
アルキル基、シクロアルキル基、アルケニル基、アルキニル基、アリール基、アラルキル基、芳香族複素環基、芳香族複素環アルキル基および脂環式複素環基は、前記と同義である。 The alkyl group, cycloalkyl group, alkenyl group, alkynyl group, aryl group, aralkyl group, aromatic heterocyclic group, aromatic heterocyclic alkyl group and alicyclic heterocyclic group are as defined above.
また、置換基としてのアルキル基、シクロアルキル基、アルケニル基、アルキニル基、アリール基、アラルキル基、芳香族複素環基、芳香族複素環アルキル基および脂環式複素環基等は、さらに置換基を有していてもよく、該置換基としては、前記した置換基と同様のものが挙げられる。 In addition, an alkyl group, a cycloalkyl group, an alkenyl group, an alkynyl group, an aryl group, an aralkyl group, an aromatic heterocyclic group, an aromatic heterocyclic alkyl group, an alicyclic heterocyclic group and the like as a substituent are further substituted. The substituent may be the same as those described above.
これら置換基の置換数としては、同一または異なって、最大各基に存在する水素原子の数まで可能であるが、好ましくは1〜10、より好ましくは1〜5である。 The number of substitution of these substituents may be the same or different and may be up to the number of hydrogen atoms present in each group, but is preferably 1 to 10, more preferably 1 to 5.
本発明の抗ウイルス剤としては、式(I)で表される化合物[以下、化合物(I)という。他の式番号の化合物についても同様である]であれば特に制限されないが、化合物(I)において、Xが水素原子であり、下記式(Ia)で表される化合物が好ましい。 The antiviral agent of the present invention is a compound represented by the formula (I) [hereinafter referred to as compound (I). The same applies to the compounds of other formula numbers]. However, in the compound (I), X is a hydrogen atom, and a compound represented by the following formula (Ia) is preferable.
(式中、RA、RB、RCおよびRDは、前記と同義である)
さらに、化合物(Ia)において、RAが、置換もしくは非置換フェニル基、アミノ基、CONHR9a(式中、R9aは、置換もしくは非置換アルキル基を表す)またはNHC(=S)NHCOOR25a(式中、R25aは、置換もしくは非置換アルキル基を表す)であり、RBおよびRCが、同一または異なって、水素原子、置換もしくは非置換フェニル基、SO2R4b(式中、R4bは、置換もしくは非置換フェニル基を表す)、COOR6a(式中、R6aは、置換もしくは非置換アルキル基を表す)、CONR8bR9b(式中、R8bおよびR9bは、同一または異なって、水素原子または置換もしくは非置換アルキル基を表す)またはシアノ基であり、RDが水素原子である化合物が、また、RAおよびRCが置換もしくは非置換フェニル基を、RBがシアノ基を、RDがヒドロキシ基である化合物が、より好ましい。化合物(Ia)の具体例を、表1に示す。
(Wherein, R A , R B , R C and R D have the same meanings as described above)
Further, in compound (Ia), R A is a substituted or unsubstituted phenyl group, amino group, CONHR 9a (wherein R 9a represents a substituted or unsubstituted alkyl group) or NHC (═S) NHCOOR 25a ( In the formula, R 25a represents a substituted or unsubstituted alkyl group, and R B and R C are the same or different and represent a hydrogen atom, a substituted or unsubstituted phenyl group, SO 2 R 4b (wherein R 2 4b represents a substituted or unsubstituted phenyl group), COOR 6a (wherein R 6a represents a substituted or unsubstituted alkyl group), CONR 8b R 9b (wherein R 8b and R 9b are the same or A compound that is a hydrogen atom or a substituted or unsubstituted alkyl group) or a cyano group, and R D is a hydrogen atom, and R A and R The C is a substituted or unsubstituted phenyl group, a R B is a cyano group, a compound R D is a hydroxy group is more preferred. Specific examples of compound (Ia) are shown in Table 1.
また、化合物(I)において、ZAが、置換もしくは非置換の含窒素5員複素環であり、下記式(Ib)で表される化合物が好ましい。 Further, in the compound (I), Z A is a substituted or unsubstituted nitrogen-containing 5-membered heterocyclic ring, a compound represented by the following formula (Ib) are preferred.
(式中、RB、RC、RD、ZC、Z1、Z2およびZ3は、前記と同義である) (In the formula, R B , R C , R D , Z C , Z 1 , Z 2 and Z 3 are as defined above.)
さらに、式(Ib)で表される化合物において、下記式(Iba)で表される化合物がより好ましい。 Furthermore, in the compound represented by the formula (Ib), the compound represented by the following formula (Iba) is more preferable.
(式中、RB、RC、RD、REおよびR31は、前記と同義である)
とりわけ、化合物(Iba)において、RDおよびR31が水素原子である化合物が好ましく、さらには、RDおよびR31が水素原子であり、RBがCOR5(式中、R5は前記と同義である)またはCOOR6(式中、R6は前記と同義である)であり、RCがシアノ基であり、REが置換フェニル基である化合物が好ましい。
化合物(Iba)の具体例を、表2に示す。
(Wherein R B , R C , R D , R E and R 31 are as defined above)
In particular, in the compound (Iba), a compound in which R D and R 31 are hydrogen atoms is preferable. Furthermore, R D and R 31 are hydrogen atoms, and R B is COR 5 (wherein R 5 is the same as defined above). A compound in which R 6 is synonymous) or COOR 6 (wherein R 6 is as defined above), R C is a cyano group, and R E is a substituted phenyl group is preferable.
Specific examples of compound (Iba) are shown in Table 2.
また、化合物(I)において、ZAが、置換もしくは非置換の含窒素6員複素環であり、下記式(Ic)で表される化合物が好ましい。 Further, in the compound (I), Z A is a substituted or unsubstituted nitrogen-containing 6-membered heterocyclic ring, a compound represented by the following formula (Ic) are preferred.
(式中、RB、RC、RD、ZC、Z4、Z5、Z6およびZ7は、前記と同義である)
さらに、式(Ic)で表される化合物において、下記式(Ica)で表される化合物がより好ましい。
(Wherein R B , R C , R D , Z C , Z 4 , Z 5 , Z 6 and Z 7 are as defined above).
Furthermore, in the compound represented by the formula (Ic), a compound represented by the following formula (Ica) is more preferable.
(式中、RB、RC、RD、RH、R32およびZ5aは、前記と同義である)
とりわけ、化合物(Ica)において、Z5aが−CH=または−N=を表し、R32が水素原子である化合物が好ましく、さらには、Z5aが−CH=で、R32が水素原子である場合、RBが置換もしくは非置換フェニル基、SO2R4b(式中、R4bは、前記と同義である)、CONR8bR9b(式中、R8bおよびR9bは、前記と同義である)またはシアノ基を、RCが置換もしくは非置換フェニル基またはシアノ基を、RDが水素原子を、RHがアミノ基またはNHCOOR13a(式中、R13aは、置換基もしくは非置換アルキル基を表す)である化合物がより好ましく、特に、RBがp−トルエンスルフォニル基を、RCがフェニル基を、RHがエトキシカルボニルアミノ基である化合物が好ましい。また、Z5aが−N=で、R32が水素原子である場合、RBがCOOR6b(式中、R6bは、前記と同義である)を、RCおよびRHが、同一または異なって、置換もしくは非置換フェニル基を、RDが水素原子である化合物がより好ましい。
(Wherein R B , R C , R D , R H , R 32 and Z 5a are as defined above)
In particular, in the compound (Ica), a compound in which Z 5a represents —CH═ or —N═ and R 32 is a hydrogen atom is preferred, and further, Z 5a is —CH═ and R 32 represents a hydrogen atom. If, R B is a substituted or unsubstituted phenyl group, SO 2 R 4b (wherein, R 4b are the same as defined above), in CONR 8b R 9b (wherein, R 8b and R 9b is a as defined above Or a cyano group, R C is a substituted or unsubstituted phenyl group or cyano group, R D is a hydrogen atom, R H is an amino group or NHCOOR 13a (wherein R 13a is a substituted or unsubstituted alkyl group) And a compound in which R B is a p-toluenesulfonyl group, R C is a phenyl group, and R H is an ethoxycarbonylamino group. . Further, when Z 5a is —N═ and R 32 is a hydrogen atom, R B is COOR 6b (wherein R 6b is as defined above), and R C and R H are the same or different. In addition, a substituted or unsubstituted phenyl group, and a compound in which RD is a hydrogen atom are more preferable.
化合物(Ica)の具体例を、表3に示す。 Specific examples of the compound (Ica) are shown in Table 3.
また、化合物(I)において、ZBが、置換もしくは非置換のベンゼン環であり、下記式(Id)で表される化合物が好ましい。 In the compound (I), a compound represented by the following formula (Id), in which Z B is a substituted or unsubstituted benzene ring, is preferable.
(式中、RKは、前記RAと同義であり、pは、0または1〜4の整数を表し、X、RCおよびRDは、前記と同義である) (Wherein, R K has the same meaning as R A , p represents 0 or an integer of 1 to 4, and X, R C and R D have the same meanings as described above).
とりわけ、化合物(Id)において、Xが、水素原子、置換アルキル、置換もしくは非置換フェニル基またはNHR33a(式中、R33aは、置換もしくは非置換フェニル基を表す)である化合物がより好ましく、特に、置換アルキルの置換基が、SO2R4b(式中、R4bは、前記と同義である)またはシアノ基である化合物が好ましい。また、ベンゼン環の置換基は、OR1a(式中、R1aは、水素原子または置換もしくは非置換アルキル基を表す)またはニトロ基である化合物がより好ましい。
化合物(Id)の具体例を、表4に示す。
In particular, in the compound (Id), a compound in which X is a hydrogen atom, a substituted alkyl, a substituted or unsubstituted phenyl group or NHR 33a (wherein R 33a represents a substituted or unsubstituted phenyl group) is more preferred, In particular, a compound in which the substituent of the substituted alkyl is SO 2 R 4b (wherein R 4b is as defined above) or a cyano group is preferable. The substituent of the benzene ring is more preferably a compound in which OR 1a (wherein R 1a represents a hydrogen atom or a substituted or unsubstituted alkyl group) or a nitro group.
Specific examples of compound (Id) are shown in Table 4.
また、化合物(I)において、ZCは、置換もしくは非置換のシクロヘキサン環である化合物が好ましく、さらに、ZBが置換もしくは非置換のベンゼン環で、ZCが置換もしくは非置換のシクロヘキサン環である下記式(Ie)で表される化合物がより好ましい。 In the compound (I), Z C is preferably a substituted or unsubstituted cyclohexane ring, and Z B is a substituted or unsubstituted benzene ring, and Z C is a substituted or unsubstituted cyclohexane ring. A certain compound represented by the following formula (Ie) is more preferable.
(式中、RLは、前記RAと同義であり、qは、0または1〜4の整数を表し、X、RKおよびpは、前記と同義である) (In the formula, R L has the same meaning as R A , q represents 0 or an integer of 1 to 4, and X, R K and p have the same meanings as described above).
とりわけ、化合物(Ie)において、Xが水素原子で、ベンゼン環の置換基がOR1a(式中、R1aは、前記と同義である)またはニトロ基で、シクロヘキサン環の置換基がOCOR37a(式中、R37aは、置換もしくは非置換フェニル基を表す)である化合物が好ましい。
化合物(Ie)の具体例を、表5に示す。
In particular, in the compound (Ie), X is a hydrogen atom, the substituent of the benzene ring is OR 1a (wherein R 1a is as defined above) or the nitro group, and the substituent of the cyclohexane ring is OCOR 37a ( In the formula, R 37a is preferably a substituted or unsubstituted phenyl group.
Specific examples of compound (Ie) are shown in Table 5.
化合物(I)の薬理学的に許容される塩としては、酸付加塩、金属塩、アンモニウム塩、有機アミン付加塩等が挙げられ、酸付加塩としては、塩酸、臭化水素酸、硫酸、硝酸、リン酸、ホウ酸等の各無機酸塩、および、有機酸としてのギ酸、酢酸、プロピオン酸、フマル酸、マロン酸、コハク酸、マレイン酸、酒石酸、安息香酸等のカルボン酸類、メタンスルホン酸、p−トルエンスルホン酸等のスルホン酸類、グルタミン酸、アスパラギン酸等のアミノ酸類が挙げられる。金属塩としては、リチウム、ナトリウム、カリウム等の各アルカリ金属塩、マグネシウム、カルシウム等の各アルカリ土類金属塩、アルミニウム、亜鉛等の各金属塩が、アンモニウム塩としては、アンモニウム、テトラメチルアンモニウム等の各塩が、有機アミン塩としては、トリエチルアミン、ピペリジン、モルホリン、トルイジン等の各塩が挙げられる。 Examples of the pharmacologically acceptable salt of compound (I) include acid addition salts, metal salts, ammonium salts, organic amine addition salts and the like, and acid addition salts include hydrochloric acid, hydrobromic acid, sulfuric acid, Nitric acid, phosphoric acid, boric acid and other inorganic acid salts, and organic acids such as formic acid, acetic acid, propionic acid, fumaric acid, malonic acid, succinic acid, maleic acid, tartaric acid, benzoic acid and other carboxylic acids, methanesulfone Examples include acids, sulfonic acids such as p-toluenesulfonic acid, and amino acids such as glutamic acid and aspartic acid. As the metal salt, each alkali metal salt such as lithium, sodium, potassium, etc., each alkaline earth metal salt such as magnesium, calcium, etc., each metal salt such as aluminum, zinc, etc., as the ammonium salt, ammonium, tetramethylammonium, etc. Examples of the organic amine salt include salts of triethylamine, piperidine, morpholine, toluidine and the like.
本発明の抗ウイルス剤として使用される化合物(I)は、前記した特許文献等に記載の方法に準じて製造可能であり、また、市販品として入手することもできる。 The compound (I) used as the antiviral agent of the present invention can be produced according to the method described in the above-mentioned patent document or the like, and can also be obtained as a commercial product.
例えば、化合物(Ia)は、先の特許文献4および5に記載の方法、あるいは特開2000−63353号公報、特開2000−327681号公報、特開2000−330245号公報、特開2000−122250号公報、特開2000−122251号公報、特開平10−316654号公報、WO2003020684号公報などに記載されている方法あるいはそれらに準じて得ることができる。 For example, the compound (Ia) can be prepared by the method described in Patent Documents 4 and 5 above, or JP-A 2000-63353, JP-A 2000-327681, JP-A 2000-330245, JP-A 2000-122250. No. 2000-122251, JP-A-10-316654, WO2003020684 and the like, or the like.
また、化合物(Ib)および(Ic)は、特許文献6〜8に記載の方法、あるいは特開平7−330771号公報、特開2000−44564号公報、特開2000−327681号公報、特開2000−330245号公報、特開2001−181526号公報、特開2001−213882号公報などに記載されている方法あるいはそれらに準じて得ることができる。 Compounds (Ib) and (Ic) can be prepared by the methods described in Patent Documents 6 to 8, or JP-A-7-330771, JP-A-2000-44564, JP-A-2000-327681, and JP-A-2000. -330245, JP-A-2001-181526, JP-A-2001-213882 and the like, or the like.
また、化合物(Id)および(Ie)は、特開昭55−40401号公報、特開平5−230020号公報、Tetrahedron, 1999, 55, 6243-6260またはChem. Rev., 1969, 69, 227-250などに記載されている方法あるいはそれらに準じて得ることができる。 Compounds (Id) and (Ie) may be used in JP-A-55-40401, JP-A-5-230020, Tetrahedron, 1999, 55, 6243-6260 or Chem. Rev., 1969, 69, 227- It can be obtained according to the methods described in No. 250 or the like.
化合物(I)の中には、各種異性体が存在し得るものがあるが、本発明は、これらを含め、全ての可能な異性体およびそれらの混合物を抗ウイルス剤として使用することができる。 Although there are compounds (I) in which various isomers may exist, the present invention can use all possible isomers and mixtures thereof as antiviral agents.
化合物(I)の塩を取得したいとき、化合物(I)が塩の形で得られる場合には、そのまま精製すればよく、また、遊離の形で得られる場合には、適当な有機溶媒に溶解もしくは懸濁させ、酸または塩基を加えて通常の方法により塩を形成させればよい。 When it is desired to obtain a salt of compound (I), if compound (I) is obtained in the form of a salt, it can be purified as it is, and if it is obtained in a free form, it can be dissolved in an appropriate organic solvent. Alternatively, it may be suspended and an acid or base is added to form a salt by a conventional method.
また、化合物(I)およびその薬理学的に許容される塩は、水あるいは各種溶媒との付加物の形で存在することもあるが、これら付加物も本発明の抗ウイルス剤として使用することができる。 Compound (I) and pharmacologically acceptable salts thereof may exist in the form of adducts with water or various solvents, and these adducts should also be used as the antiviral agent of the present invention. Can do.
化合物(I)またはそれらの薬理学的に許容される塩は、そのまま単独で投与することも可能であるが、通常各種の医薬製剤とすることが望ましく、該医薬製剤は、活性成分を薬理学的に許容される一種もしくは二種以上の担体と混合し、製剤学の常法により製造することができる。 The compound (I) or a pharmacologically acceptable salt thereof can be administered alone as it is, but it is usually desirable to prepare various pharmaceutical preparations. It can be produced by a conventional method of pharmaceutics by mixing with one or two or more types of carriers that are acceptable.
投与経路としては、経口投与または吸入投与、静脈内投与などの非経口投与が挙げられる。 Examples of the administration route include oral administration, inhalation administration, and parenteral administration such as intravenous administration.
投与形態としては、錠剤、吸入剤、注射剤などが挙げられ、錠剤は、例えば乳糖、デンプン、ステアリン酸マグネシウム、ヒドロキシプロピルセルロース、ポリビニルアルコール、界面活性剤、グリセリン等の、各種添加剤を混合し、常法に従い製造すればよく、吸入剤は、例えば乳糖等を添加し、常法に従い製造すればよい。注射剤は、水、生理食塩水、植物油、可溶化剤、保存剤等を添加し、常法に従い製造すればよい。 Examples of the dosage form include tablets, inhalants, injections, etc. The tablets are mixed with various additives such as lactose, starch, magnesium stearate, hydroxypropyl cellulose, polyvinyl alcohol, surfactant, glycerin and the like. The inhalant may be produced according to a conventional method by adding, for example, lactose. An injection may be produced according to a conventional method by adding water, physiological saline, vegetable oil, solubilizer, preservative and the like.
化合物(I)またはそれらの薬理学的に許容される塩の有効量および投与回数は、投与形態、患者の年齢、体重、症状等により異なるが、通常成人一人当たり、0.001mg〜5g、好ましくは0.1mg〜1g、より好ましくは1〜500mgを、一日一回ないし数回に分けて投与する。 The effective amount and frequency of administration of compound (I) or a pharmacologically acceptable salt thereof vary depending on the administration form, patient age, body weight, symptoms, etc., but usually 0.001 mg to 5 g per adult, preferably Is administered in a dose of 0.1 mg to 1 g, more preferably 1 to 500 mg, once a day or several times a day.
以下、実施例により本発明をより具体的に説明するが、本発明の技術的範囲はこれらの例示に限定されるものではない。 EXAMPLES Hereinafter, although an Example demonstrates this invention more concretely, the technical scope of this invention is not limited to these illustrations.
抗ウイルス活性測定試験 Antiviral activity measurement test
(材料・装置)
イヌ腎臓上皮細胞腫MDCKは理研バイオリソースセンター(RCB)より購入した。培地MEM粉末はSigma社より購入し、これを溶解することで調製した。DMSO、グリセロール、SDS、パラホルムアルデヒド(PFA)はナカライ社製を使用した。ペニシリンーストレプトマイシン(PS)、L−グルタミン溶液、Phosphate buffer saline(PBS)、0.25% Trypsin溶液はInvitrogen社より購入した。ウシ胎児血清(FBS)は ハイウローン社より購入した。MTS粉末はPromega社より購入し、最終濃度が5mg/mlになるよう溶解して使用した。96−wellマイクロプレート、培養ディッシュ、1.5mlチューブは全てGreiner社製のものを使用した。吸光度を測定するプレートリーダーはPerkinElmer社製のEnvisionを使用して測定した。インフルエンザ実験における対照薬物(コントロール薬物)のうち、アマンタジンはSigma社より購入した。ザナミビルはRoche社より購入し、これを精製して使用した。
(Materials and equipment)
Canine renal epithelioma tumor MDCK was purchased from RIKEN BioResource Center (RCB). Medium MEM powder was purchased from Sigma and prepared by dissolving it. DMSO, glycerol, SDS, paraformaldehyde (PFA) manufactured by Nacalai Corporation were used. Penicillin-streptomycin (PS), L-glutamine solution, Phosphate buffer saline (PBS), and 0.25% Trypsin solution were purchased from Invitrogen. Fetal bovine serum (FBS) was purchased from Hi-Uloan. MTS powder was purchased from Promega and dissolved in a final concentration of 5 mg / ml. The 96-well microplate, culture dish, and 1.5 ml tube were all manufactured by Greiner. The plate reader for measuring the absorbance was measured using an Envision made by PerkinElmer. Of the control drugs (control drugs) in the influenza experiment, amantadine was purchased from Sigma. Zanamivir was purchased from Roche and used after purification.
(細胞培養)
以下の内容において、特別な表記の無い限り、培養細胞に添加する溶液は37℃に予め保温したものを用いた。通常の継代培養では、各液体培地に対して1/100量のPS、L−グルタミン及び5% FBSを添加した溶液を使用した。MDCK細胞はMEM培地で培養した。各実験使用の一代前からはPSを除いた培地で培養することで、実験結果における抗生物質の影響を排除した。37℃/5% CO2条件下で培養した。
(Cell culture)
In the following contents, unless otherwise indicated, the solution added to the cultured cells was preliminarily kept at 37 ° C. In normal subculture, a solution in which 1/100 amount of PS, L-glutamine and 5% FBS were added to each liquid medium was used. MDCK cells were cultured in MEM medium. From the first generation before each experimental use, the influence of antibiotics on the experimental results was eliminated by culturing in a medium excluding PS. The cells were cultured under the conditions of 37 ° C / 5% CO 2 .
(ウイルス調製)
A型インフルエンザウイルス:A/PR/8/34(H1N1型)の種ウイルスを、0.1 HAU/mlになるようPBSで希釈し、これを11日齢発育鶏卵に200μlずつ植種し、34℃で48時間培養した。しょう尿液を回収し、4℃、3000rpmで10分間遠心した。上清をさらに4℃、8000rpmで3時間遠心し、その沈殿物をPBSで溶解した。最終濃度25%になるようグリセロールを加え、さらに4℃、38000rpmで2時間遠心した。沈殿物をPBSで溶解した後、4℃、15000rpmで1時間遠心し、その沈殿物をPBSで1mlに溶解したものを「ウイルス原液」として使用した。HAU活性は224であったため、MTS実験では約5000 HAU/ml(原液の15万倍)にまで希釈したものを使用した。
(Virus preparation)
Influenza A virus: A / PR / 8/34 (H1N1 type) seed virus was diluted with PBS to 0.1 HAU / ml, and this was inoculated into 200 μl of 11-day-old chicken eggs. Culturing was carried out for 48 hours at 0 ° C. The urine fluid was collected and centrifuged at 3000 rpm for 10 minutes at 4 ° C. The supernatant was further centrifuged at 4 ° C. and 8000 rpm for 3 hours, and the precipitate was dissolved in PBS. Glycerol was added to a final concentration of 25%, and the mixture was further centrifuged at 38000 rpm at 4 ° C. for 2 hours. The precipitate was dissolved in PBS, centrifuged at 15,000 rpm for 1 hour at 4 ° C., and the precipitate dissolved in 1 ml with PBS was used as the “virus stock solution”. Since the HAU activity was 224, diluted to about 5000 HAU / ml (150,000 times the stock solution) was used in the MTS experiment.
(MTSアッセイ)
細胞は5.0×103cells/wellになるよう96−well マイクロプレートに捲き込んだ。MDCK細胞はMEM + 5% FBSで細胞培養を行った。また、これ以降に使用する培地はさらに0.1% Trypsin + 5μM EDTAを加えた「希釈用培地液」を使用した。
コントロール薬物も含めて全ての薬物は10μM(DMSO含量0.1%)になるよう希釈用培地液で希釈して使用した。5.0×103cells/wellの細胞捲き込みから24時間後に、細胞が接着したことを確認した後、培地を除去した。直ちに希釈用培地で希釈した各種薬物100μl/wellを加えた。各種薬物添加から2時間後に、ウイルス液を100μl/well(最終薬物濃度5μM)を添加した。これを37℃/5% CO2条件下で48時間培養した。ウイルス・薬物混合液を除去した後、細胞をPBS溶液で2回洗浄した。こうすることでウイルス侵入によって死滅した細胞が除去出来る。通常組成の培地100μl/wellを加えて、さらにMTS溶液を20μl/wellずつ添加し、37℃で1時間反応させた。MTSは生細胞の数に比例して淡黄色から赤色への呈色度合いが強くなる。従ってこの赤色の吸光度を測定することでウイルス侵入を免れた生細胞の割合が算出できる。プレートリーダーEnvisionにおいて、490nmの吸光度を測定した。各薬物5μMにおける生細胞数の割合は以下の式に当てはめ、抗ウイルス活性として評価した。
(MTS assay)
Cells were seeded into 96-well microplates at 5.0 × 10 3 cells / well. MDCK cells were cultured in MEM + 5% FBS. The medium used after this was a “dilution medium solution” to which 0.1% Trypsin + 5 μM EDTA was further added.
All drugs including the control drug were diluted with a dilution medium so as to be 10 μM (DMSO content 0.1%). After 24 hours from the introduction of 5.0 × 10 3 cells / well, the medium was removed after confirming that the cells had adhered. Immediately 100 μl / well of various drugs diluted with a dilution medium were added. Two hours after the addition of various drugs, 100 μl / well of virus solution (final drug concentration 5 μM) was added. This was cultured for 48 hours at 37 ° C./5% CO 2 . After removing the virus / drug mixture, the cells were washed twice with PBS solution. In this way, cells that have been killed by virus entry can be removed. A medium having a normal composition of 100 μl / well was added, 20 μl / well of MTS solution was further added, and the mixture was reacted at 37 ° C. for 1 hour. MTS increases the degree of coloration from light yellow to red in proportion to the number of living cells. Therefore, by measuring the red absorbance, it is possible to calculate the ratio of viable cells that have escaped virus entry. Absorbance at 490 nm was measured on a plate reader Envision. The ratio of the number of viable cells in each drug at 5 μM was applied to the following formula and evaluated as antiviral activity.
cell survival(%) = [(AbVT−AbVC) / (AbCC−AbVC)] ×100
AbVT : ウイルス・薬物混合液で培養した細胞における吸光度
AbVC : ウイルス液のみで培養した細胞における吸光度
AbCC : ウイルス・薬物共に入っていない通常条件で培養した細胞における吸光度
試験結果を表6に示す。
cell survival (%) = [(AbVT−AbVC) / (AbCC−AbVC)] × 100
AbVT: Absorbance in cells cultured in virus / drug mixture
AbVC: Absorbance in cells cultured only with virus solution
AbCC: Absorbance test results for cells cultured under normal conditions not containing both virus and drug are shown in Table 6.
化合物(1)10mg、乳糖70mg、デンプン15mg、ポリビニルアルコール4mgおよびステアリン酸マグネシウム1mg(計200mg)からなる組成を用い、常法により、錠剤を調製する。 Tablets are prepared by a conventional method using a composition consisting of 10 mg of compound (1), 70 mg of lactose, 15 mg of starch, 4 mg of polyvinyl alcohol and 1 mg of magnesium stearate (total 200 mg).
常法により、化合物(8)70mg、精製大豆油50mg、卵黄レシチン10mgおよびグリセリン25mgからなる組成に、全容量100mLとなるよう注射用蒸留水を添加し、バイアルに充填後、加熱滅菌して注射剤を調製する。 According to a conventional method, distilled water for injection is added to a composition comprising 70 mg of compound (8), 50 mg of purified soybean oil, 10 mg of egg yolk lecithin and 25 mg of glycerin so that the total volume becomes 100 mL, and after filling into a vial, heat sterilized and injected. Prepare the agent.
[製造例1]
4−(アミノカルボニル)−2−(3−ニトロフェニル)−1H−ピロール−3−カルボン酸2−エチルヘキシル[化合物(1)]の合成
以下の反応スキーム(A)に従って合成した。
[Production Example 1]
Synthesis of 4- (aminocarbonyl) -2- (3-nitrophenyl) -1H-pyrrole-3-carboxylic acid 2-ethylhexyl [Compound (1)] The compound was synthesized according to the following reaction scheme (A).
(1)化合物(A−2)の合成
化合物(A−1)6.9g(0.030mol)のベンゼン溶液(250ml)に室温で塩化チオニル2.6ml(0.036mol)を加え、60℃に加熱後2時間撹拌した。ベンゼンと塩化チオニルを留去後、クロロホルム(180ml)で溶解し、氷冷下、28%アンモニア水溶液(100ml)を加えて1時間撹拌した。その後飽和塩化アンモニウム水溶液を加えて反応を止め、酢酸エチルで抽出して飽和食塩水で洗浄後、硫酸マグネシウムで乾燥した。抽出液をろ過し、溶媒留去後、得られた残渣をシリカゲルカラムクロマトグラフィーで精製し、化合物(A−2)1.8g(収率26%)を得た。
(1) Synthesis of Compound (A-2) 2.6 ml (0.036 mol) of thionyl chloride was added to a benzene solution (250 ml) of 6.9 g (0.030 mol) of Compound (A-1) at room temperature, and the mixture was heated to 60 ° C. Stir for 2 hours after heating. Benzene and thionyl chloride were distilled off, and the residue was dissolved in chloroform (180 ml). Under ice-cooling, 28% aqueous ammonia solution (100 ml) was added and stirred for 1 hour. Thereafter, the reaction was stopped by adding a saturated aqueous solution of ammonium chloride, extracted with ethyl acetate, washed with saturated brine, and dried over magnesium sulfate. The extract was filtered and the solvent was distilled off. The resulting residue was purified by silica gel column chromatography to obtain 1.8 g of compound (A-2) (yield 26%).
(2)化合物(A−5)の合成
化合物(A−3)10g(0.056mol)、ホルムアルデヒド液(35%)5.4g(0.062mol)、化合物(A−4)11g(0.060mol)、ギ酸(15ml)、そしてH2O(60ml)を混ぜ、80〜90℃で6時間撹拌した。クロロホルムで薄めた後水中に注ぎ、有機層を集めて溶媒留去して化合物(A−5)17g(収率91%)を得た。
(2) Synthesis of Compound (A-5) 10 g (0.056 mol) of Compound (A-3), 5.4 g (0.062 mol) of formaldehyde solution (35%), 11 g (0.060 mol) of Compound (A-4) ), Formic acid (15 ml), and H 2 O (60 ml) were mixed and stirred at 80-90 ° C. for 6 hours. After diluting with chloroform, it was poured into water, and the organic layer was collected and the solvent was distilled off to obtain 17 g (yield 91%) of compound (A-5).
(3)化合物(1)の合成
化合物(A−2)1.4g(0.060mol)をアセトニトリル(50ml)と四塩化炭素(6ml)の混合液に溶かし、トリフェニルホスフィン20g(0.078mol)を加えて室温で一晩撹拌した。その後、化合物(A−5)6.7g(0.020mol)、塩化リチウム4.2g(0.10mol)およびトリエチルアミン14ml(0.1mol)を加え、一晩撹拌後、飽和重曹水を加えて反応を止めた。酢酸エチルで抽出し、飽和食塩水で洗浄後、硫酸マグネシウムで乾燥した。抽出液をろ過し、溶媒留去して得られた残渣をシリカゲルカラムクロマトグラフィーで精製し、目的化合物(1)3.8g(収率16%)を得た。化合物(1)は、LC−MSおよびNMR により純度および構造を確認した。
1H NMR (CDCl3) d: 0.65 (3H, t, J= 7.6 Hz), 0.79-1.19 (12H, m), 3.97-4.02 (2H, m), 5.64 (1H, br s), 7.62 (1H, t, J = 8.0 Hz), 7.71-7.77 (2H, m), 8.28 (1H, d, J = 8.4 Hz), 8.32 (1H, s), 9.67 (1H, br s), 9.88 (1H, br s); LS-MS (ESI, +) m/z388 [M + H]+, tR = 12.93 min
(3) Synthesis of Compound (1) 1.4 g (0.060 mol) of Compound (A-2) was dissolved in a mixed solution of acetonitrile (50 ml) and carbon tetrachloride (6 ml), and 20 g (0.078 mol) of triphenylphosphine was dissolved. And stirred at room temperature overnight. Thereafter, 6.7 g (0.020 mol) of compound (A-5), 4.2 g (0.10 mol) of lithium chloride and 14 ml (0.1 mol) of triethylamine were added, and the mixture was stirred overnight, followed by addition of saturated aqueous sodium bicarbonate to react. Stopped. The mixture was extracted with ethyl acetate, washed with saturated brine, and dried over magnesium sulfate. The extract was filtered and the residue obtained by evaporating the solvent was purified by silica gel column chromatography to obtain 3.8 g (yield 16%) of the target compound (1). The purity and structure of compound (1) were confirmed by LC-MS and NMR.
1 H NMR (CDCl 3 ) d: 0.65 (3H, t, J = 7.6 Hz), 0.79-1.19 (12H, m), 3.97-4.02 (2H, m), 5.64 (1H, br s), 7.62 (1H , t, J = 8.0 Hz), 7.71-7.77 (2H, m), 8.28 (1H, d, J = 8.4 Hz), 8.32 (1H, s), 9.67 (1H, br s), 9.88 (1H, br s); LS-MS (ESI, +) m / z388 [M + H] + , t R = 12.93 min
[製造例2]
エチル{8−[(4−メチルフェニル)スルホニル]−4−オキソ−7−フェニル−1,4−ジヒドロピロロ[1,2−a]ピリミジン−2−イル}カーバメイト[化合物(8)]の合成
以下の反応スキーム(B)に従って合成した。
[Production Example 2]
Synthesis of ethyl {8-[(4-methylphenyl) sulfonyl] -4-oxo-7-phenyl-1,4-dihydropyrrolo [1,2-a] pyrimidin-2-yl} carbamate [compound (8)] Synthesis was performed according to the following reaction scheme (B).
(1)化合物(B−3)の合成
氷冷下、化合物(B−1)の塩酸塩3.1g(0.018mol)をエタノール(50ml)に溶かし、トリエチルアミン4.8ml(0.035mol)および化合物(B−2)4.3g(0.018mol)をゆっくり加えた。その後、室温に戻し、析出した個体をエタノール(400ml)を追加して溶解し、トリエチルアミン2.4ml(0.018mol)を加えて50℃で一晩撹拌した。その後、飽和塩化アンモニウム水溶液を加えて反応を止め、酢酸エチルで抽出し、飽和食塩水で洗浄後、硫酸マグネシウムで乾燥した。抽出液をろ過し、溶媒留去して得られた残渣をシリカゲルカラムクロマトグラフィーで精製し、化合物(B−3)2.6g(収率47%)を得た。
(1) Synthesis of compound (B-3) Under ice-cooling, 3.1 g (0.018 mol) of hydrochloride of compound (B-1) was dissolved in ethanol (50 ml), and 4.8 ml (0.035 mol) of triethylamine and 4.3 g (0.018 mol) of compound (B-2) was slowly added. Thereafter, the temperature was returned to room temperature, and the precipitated solid was dissolved by adding ethanol (400 ml), 2.4 ml (0.018 mol) of triethylamine was added, and the mixture was stirred at 50 ° C. overnight. Thereafter, the reaction was stopped by adding a saturated aqueous ammonium chloride solution, extracted with ethyl acetate, washed with saturated brine, and then dried over magnesium sulfate. The extract was filtered, the solvent was distilled off, and the resulting residue was purified by silica gel column chromatography to obtain 2.6 g (yield 47%) of compound (B-3).
(2)化合物(B−5)の合成
化合物(B−3)28g(0.091mol) のアセトニトリル溶液(180ml)に化合物(B−4)26g(0.11mmol) 、トリエチルアミン19ml(0.14mol)および酢酸15ml(0.27mol)を加え、60℃に加熱後、9時間撹拌した。その後、飽和塩化アンモニウム水溶液を加えて反応を止め、酢酸エチルで抽出し、飽和食塩水で洗浄後、硫酸マグネシウムで乾燥した。抽出液をろ過し、溶媒留去して得られた残渣をシリカゲルカラムクロマトグラフィーで精製し、化合物(B−5)14g(収率40%)を得た。
(2) Synthesis of Compound (B-5) 26 g (0.11 mmol) of Compound (B-4) and 19 ml (0.14 mol) of Triethylamine were added to 28 g (0.091 mol) of Compound (B-3) in acetonitrile solution (180 ml). Then, 15 ml (0.27 mol) of acetic acid was added, and the mixture was heated to 60 ° C. and stirred for 9 hours. Thereafter, the reaction was stopped by adding a saturated aqueous ammonium chloride solution, extracted with ethyl acetate, washed with saturated brine, and then dried over magnesium sulfate. The extract was filtered, the solvent was distilled off, and the resulting residue was purified by silica gel column chromatography to obtain 14 g (yield 40%) of compound (B-5).
(3)化合物(8)の合成
水素化ナトリウム0.13g(3.3mmol)にテトラヒドロフラン(10ml)を加えて懸濁液とし、氷冷下、化合物(B−5)1.2g(3.3mmol)を加えて室温で2時間撹拌後、クロロギ酸エチル340ml(3.9mmol)を加え室温で一晩撹拌した。その後、飽和塩化アンモニウム水溶液を加えて反応を止め、酢酸エチルで抽出し、飽和食塩水で洗浄後、硫酸マグネシウムで乾燥した。抽出液をろ過し、溶媒留去して得られた残渣をシリカゲルカラムクロマトグラフィーで精製し、目的化合物(8)0.086g(収率59%)を得た。化合物(8)は、LC-MSおよびNMR により純度および構造を確認した。
1H NMR (CDCl3) d: 1.34 (3H, t, J = 7.2 Hz), 2.31 (3H, s), 4.38 (2H, q, J = 7.2 Hz), 5.33 (1H, s), 7.03 (2H, d, J = 7.6 Hz), 7.30-7.41 (8H, m), 7.78 (1H, br s); LS-MS (ESI, +) m/z 452 [M + H]+ , tR = 12.69 min
(3) Synthesis of Compound (8) Tetrahydrofuran (10 ml) was added to 0.13 g (3.3 mmol) of sodium hydride to form a suspension, and 1.2 g (3.3 mmol) of Compound (B-5) was cooled with ice. ) Was added and stirred at room temperature for 2 hours, and then 340 ml (3.9 mmol) of ethyl chloroformate was added and stirred overnight at room temperature. Thereafter, the reaction was stopped by adding a saturated aqueous ammonium chloride solution, extracted with ethyl acetate, washed with saturated brine, and then dried over magnesium sulfate. The extract was filtered and the residue obtained by evaporating the solvent was purified by silica gel column chromatography to obtain 0.086 g (yield 59%) of the target compound (8). Compound (8) was confirmed for purity and structure by LC-MS and NMR.
1 H NMR (CDCl 3 ) d: 1.34 (3H, t, J = 7.2 Hz), 2.31 (3H, s), 4.38 (2H, q, J = 7.2 Hz), 5.33 (1H, s), 7.03 (2H , d, J = 7.6 Hz), 7.30-7.41 (8H, m), 7.78 (1H, br s); LS-MS (ESI, +) m / z 452 [M + H] + , t R = 12.69 min
Claims (25)
{式中、
RA、RB、RCおよびRDは、同一または異なって、水素原子、置換もしくは非置換アルキル基、置換もしくは非置換シクロアルキル基、置換もしくは非置換アルケニル基、置換もしくは非置換アルキニル基、置換もしくは非置換脂環式複素環基、置換もしくは非置換アリール基、置換もしくは非置換アラルキル基、置換もしくは非置換芳香族複素環基、置換もしくは非置換芳香族複素環アルキル基、OR1(式中、R1は、水素原子、置換もしくは非置換アルキル基、置換もしくは非置換シクロアルキル基、置換もしくは非置換アルケニル基、置換もしくは非置換アルキニル基、置換もしくは非置換脂環式複素環基、置換もしくは非置換アリール基、置換もしくは非置換アラルキル基、置換もしくは非置換芳香族複素環基または置換もしくは非置換芳香族複素環アルキル基を表す)、NR2R3(式中、R2およびR3は、同一または異なって、前記R1と同義であるか、またはR2とR3が一緒になって、置換もしくは非置換含窒素複素環基を表す)、S(O)mR4(式中、mは、0、1または2を表し、R4は、前記R1と同義である)、COR5(式中、R5は、前記R1と同義である)、COOR6(式中、R6は、前記R1と同義である)、OCOR7(式中、R7は、前記R1と同義である)、CONR8R9(式中、R8およびR9は、同一または異なって、それぞれ前記R2およびR3と同義である)、NR10COR11(式中、R10およびR11は、同一または異なって、前記R1と同義である)、NR12COOR13(式中、R12およびR13は、同一または異なって、前記R1と同義である)、NR14SO2R15(式中、R14およびR15は、同一または異なって、前記R1と同義である)、NR16C(=Q1)NR17R18[式中、Q1は、酸素原子、硫黄原子、NR19(式中、R19は、前記R1と同義である)、NCN、CHNO2またはC(CN)2を表し、R16は、前記R1と同義であり、R17およびR18は、同一または異なって、それぞれ前記R2およびR3と同義である]、NR20C(=Q2)NR21COR22(式中、Q2は、前記Q1と同義であり、R20、R21およびR22は、同一または異なって、前記R1と同義である)、NR23C(=Q3)NR24COOR25(式中、Q3は、前記Q1と同義であり、R23、R24およびR25は、同一または異なって、前記R1と同義である)、NR26SO2NR27R28(式中、R26は、前記R1と同義であり、R27およびR28は、同一または異なって、それぞれ前記R2およびR3と同義である)、SO2NR29R30(式中、R29およびR30は、同一または異なって、それぞれ前記R2およびR3と同義である)、ニトロ基、シアノ基またはハロゲン原子を表し、ここで、RA〜RDの少なくとも一つは、水素原子以外の基を表し、
Xは、水素原子、置換アルキル基、置換もしくは非置換シクロアルキル基、置換もしくは非置換アルケニル基、置換もしくは非置換アルキニル基、置換もしくは非置換脂環式複素環基、置換もしくは非置換アリール基、置換もしくは非置換アラルキル基、置換もしくは非置換芳香族複素環基または置換もしくは非置換芳香族複素環アルキル基、OR31(式中、R31は、前記R1と同義である)、NR32R33(式中、R32およびR33は、同一または異なって、それぞれ前記R2およびR3と同義である)、SO2R34(式中、R34は、前記R1と同義である)、COR35(式中、R35は、前記R1と同義である)、COOR36(式中、R36は、前記R1と同義である)、OCOR37(式中、R37は、前記R1と同義である)、CONR38R39(式中、R38およびR39は、同一または異なって、それぞれ前記R2およびR3と同義である)、NR40COR41(式中、R40およびR41は、同一または異なって、前記R1と同義である)、NR42COOR43(式中、R42およびR43は、同一または異なって、前記R1と同義である)、NR44SO2R45(式中、R44およびR45は、同一または異なって、前記R1と同義である)を表し、
または、
XとRA、RAとRBまたはRCとRDは、それぞれ、一緒になって環を形成してもよい(以下、XとRAとが一緒になって形成する環をZAと、RAとRBとが一緒になって形成する環をZBと、また、RCとRDとが一緒になって形成する環をZCと、それぞれいう)}
で表されるピロール誘導体またはそれらの薬理学的に許容される塩を含有してなる抗ウイルス剤。 Formula (I)
{Where,
R A , R B , R C and R D are the same or different and each represents a hydrogen atom, a substituted or unsubstituted alkyl group, a substituted or unsubstituted cycloalkyl group, a substituted or unsubstituted alkenyl group, a substituted or unsubstituted alkynyl group, Substituted or unsubstituted alicyclic heterocyclic group, substituted or unsubstituted aryl group, substituted or unsubstituted aralkyl group, substituted or unsubstituted aromatic heterocyclic group, substituted or unsubstituted aromatic heterocyclic alkyl group, OR 1 (formula R 1 is a hydrogen atom, a substituted or unsubstituted alkyl group, a substituted or unsubstituted cycloalkyl group, a substituted or unsubstituted alkenyl group, a substituted or unsubstituted alkynyl group, a substituted or unsubstituted alicyclic heterocyclic group, substituted Or an unsubstituted aryl group, a substituted or unsubstituted aralkyl group, a substituted or unsubstituted aromatic heterocyclic group, or a substituent Or an unsubstituted aromatic heterocyclic alkyl group), NR 2 R 3 (wherein, R 2 and R 3, identical or different, or the same meaning as the R 1, or R 2 and R 3 together And represents a substituted or unsubstituted nitrogen-containing heterocyclic group), S (O) mR 4 (wherein, m represents 0, 1 or 2 and R 4 has the same meaning as R 1 ). , COR 5 (wherein R 5 has the same meaning as R 1 ), COOR 6 (wherein R 6 has the same meaning as R 1 ), OCOR 7 (wherein R 7 is the same as above) RNR 1 and CONR 8 R 9 (wherein R 8 and R 9 are the same or different and have the same meanings as R 2 and R 3 , respectively), NR 10 COR 11 (wherein R 1 10 and R 11 are identical or different and have the same meanings as the R 1), NR 12 CO R 13 (wherein, R 12 and R 13 are the same or different, wherein R 1 as synonymous) in NR 14 SO 2 R 15 (wherein, R 14 and R 15 are the same or different, wherein R 1 synonymous), NR 16 C (= Q 1) NR 17 R 18 [ in formula (I), Q 1 represents an oxygen atom, in a sulfur atom, NR 19 (wherein, R 19 is the above R 1 as defined present), represents NCN, a CHNO 2 or C (CN) 2, R 16 has the same meaning as the R 1, R 17 and R 18 are the same or different, in each have the same meanings as defined above R 2 and R 3 there], NR 20 C (= Q 2) NR 21 COR 22 ( wherein, Q 2 has the same meaning as the Q 1, R 20, R 21 and R 22 are the same or different, with the R 1 synonymous), NR 23 C (= Q 3) NR 24 COO 25 (wherein, Q 3 has the same meaning as the Q 1, R 23, R 24 and R 25 are the same or different, have the same meanings as the R 1), NR 26 SO 2 NR 27 R 28 ( In the formula, R 26 has the same meaning as R 1 , R 27 and R 28 are the same or different and have the same meaning as R 2 and R 3 , respectively, SO 2 NR 29 R 30 (wherein R 29 and R 30 are the same or different and have the same meanings as R 2 and R 3 above, respectively, and represent a nitro group, a cyano group or a halogen atom, wherein at least one of R A to R D is Represents a group other than a hydrogen atom,
X is a hydrogen atom, a substituted alkyl group, a substituted or unsubstituted cycloalkyl group, a substituted or unsubstituted alkenyl group, a substituted or unsubstituted alkynyl group, a substituted or unsubstituted alicyclic heterocyclic group, a substituted or unsubstituted aryl group, A substituted or unsubstituted aralkyl group, a substituted or unsubstituted aromatic heterocyclic group or a substituted or unsubstituted aromatic heterocyclic alkyl group, OR 31 (wherein R 31 is as defined above for R 1 ), NR 32 R 33 (wherein R 32 and R 33 are the same or different and have the same meanings as R 2 and R 3 ), SO 2 R 34 (wherein R 34 has the same meaning as R 1 ), respectively. , COR 35 (wherein, R 35 is the same as defined in the R 1), COOR 36 (wherein, R 36, said R 1 as synonymous), OCOR 37 (wherein, R 7, the R 1 as synonymous), CONR 38 R 39 (wherein, R 38 and R 39 are the same or different and have the same meanings as defined above R 2 and R 3), NR 40 COR 41 ( In the formula, R 40 and R 41 are the same or different and have the same meaning as R 1 ), NR 42 COOR 43 (wherein R 42 and R 43 are the same or different and have the same meaning as R 1) . NR 44 SO 2 R 45 , wherein R 44 and R 45 are the same or different and have the same meaning as R 1 above,
Or
X and R A , R A and R B or R C and R D may be combined to form a ring (hereinafter, the ring formed by combining X and R A together with Z A And a ring formed by R A and R B together is Z B and a ring formed by R C and R D together is Z C )}
The antiviral agent containing the pyrrole derivative represented by these, or those pharmacologically acceptable salts.
(式中、RA、RB、RCおよびRDは、前記と同義である)
で表されることを特徴とする請求項1記載のピロール誘導体またはそれらの薬理学的に許容される塩を含有してなる抗ウイルス剤。 X is a hydrogen atom, and is represented by the following formula (Ia)
(Wherein, R A , R B , R C and R D have the same meanings as described above)
An antiviral agent comprising the pyrrole derivative according to claim 1 or a pharmaceutically acceptable salt thereof.
[式中、Z1、Z2およびZ3は、同一または異なって、−CRE=(式中、REは、前記RAと同義であり、式中に複数のREが同時に存在する場合、REは、同一または異なっていてもよい)、−CRFRG−(式中、RFおよびRGは、同一または異なって、前記RAと同義であり、式中に複数のRFおよび/またはRGが同時に存在する場合、RFおよびRGは、それぞれ同一または異なっていてもよい)、−C(=Q4)−(式中、Q4は、前記Q1と同義であり、式中に複数のQ4が同時に存在する場合、Q4は、同一または異なっていてもよい)、−N=、−NR31−(式中、R31は、前記R1と同義であり、式中に複数のR31が同時に存在する場合、R31は、同一または異なっていてもよい)、−O−または−S−を表す]
で表される5員環であることを特徴とする請求項7記載のピロール誘導体またはそれらの薬理学的に許容される塩を含有してなる抗ウイルス剤。 A substituted or unsubstituted nitrogen-containing heterocyclic ring is represented by the following formula (II)
Wherein, Z 1, Z 2 and Z 3 are the same or different, -CR E = (wherein, R E has the same meaning as defined above R A, a plurality of R E are simultaneously present in the formula R E may be the same or different), —CR F R G — (wherein R F and R G are the same or different and have the same meaning as the above R A , When R F and / or R G are present simultaneously, R F and R G may be the same or different from each other), —C (= Q 4 ) — (wherein Q 4 is the same as Q 1 and When a plurality of Q 4 are present simultaneously in the formula, Q 4 may be the same or different), —N═, —NR 31 — (wherein R 31 is the same as R 1 above) are synonymous, when a plurality of R 31 in the formula are present simultaneously, R 31 may be the same or different Represents -O- or -S-]
An antiviral agent comprising the pyrrole derivative or a pharmacologically acceptable salt thereof according to claim 7, wherein the pyrrole derivative is a five-membered ring represented by the formula:
(式中、REおよびR31は、前記と同義である)
であることを特徴とする請求項8記載のピロール誘導体またはそれらの薬理学的に許容される塩を含有してなる抗ウイルス剤。 A substituted or unsubstituted nitrogen-containing 5-membered heterocyclic ring represented by the formula (II) is represented by the following formula (IIa)
(Wherein R E and R 31 are as defined above)
An antiviral agent comprising the pyrrole derivative according to claim 8 or a pharmacologically acceptable salt thereof.
[式中、Z4、Z5、Z6およびZ7は、同一または異なって、−CRH=(式中、RHは、前記RAと同義であり、式中に複数のRHが同時に存在する場合、RHは、同一または異なっていてもよい)、−CRIRJ−(式中、RIおよびRJは、同一または異なって、前記RAと同義であり、式中に複数のRIおよび/またはRJが同時に存在する場合、RIおよびRJは、それぞれ同一または異なっていてもよい)、−C(=Q5)−(式中、Q5は、前記Q1と同義であり、式中に複数のQ5が同時に存在する場合、Q5は、同一または異なっていてもよい)、−N=、−NR32−(式中、R32は、前記R1と同義であり、式中に複数のR32が同時に存在する場合、R32は、同一または異なっていてもよい)、−O−または−S−を表す]
で表される6員環であることを特徴とする請求項7記載のピロール誘導体またはそれらの薬理学的に許容される塩を含有してなる抗ウイルス剤。 A substituted or unsubstituted nitrogen-containing heterocyclic ring is represented by the following formula (III)
[In the formula, Z 4 , Z 5 , Z 6 and Z 7 are the same or different, and —CR H = (wherein R H has the same meaning as the above R A , and a plurality of R H When present at the same time, R H may be the same or different), —CR I R J — (wherein R I and R J are the same or different and have the same meaning as the above R A , In the case where a plurality of R I and / or R J are simultaneously present, R I and R J may be the same or different from each other), -C (= Q 5 )-(wherein Q 5 is Q 1 is the same as Q 1, and when a plurality of Q 5 are simultaneously present in the formula, Q 5 may be the same or different), —N═, —NR 32 — (wherein R 32 represents the aforementioned has the same meaning as R 1, when a plurality of R 32 in the formula are present simultaneously, R 32 is identical or different May also be), - O-or an -S-]
An antiviral agent comprising the pyrrole derivative or a pharmacologically acceptable salt thereof according to claim 7, wherein the pyrrole derivative is a six-membered ring represented by the formula:
(式中、Z5aは、−CH=または−N=を表し、RHおよびR32は、前記と同義である)
であることを特徴とする請求項12記載のピロール誘導体またはそれらの薬理学的に許容される塩を含有してなる抗ウイルス剤。 A substituted or unsubstituted nitrogen-containing 6-membered heterocycle represented by the formula (III) is represented by the formula (IIIa)
(In the formula, Z 5a represents —CH═ or —N═, and R H and R 32 have the same meanings as described above).
An antiviral agent comprising the pyrrole derivative according to claim 12 or a pharmacologically acceptable salt thereof.
Priority Applications (1)
| Application Number | Priority Date | Filing Date | Title |
|---|---|---|---|
| JP2008019558A JP2009179589A (en) | 2008-01-30 | 2008-01-30 | Antiviral agent |
Applications Claiming Priority (1)
| Application Number | Priority Date | Filing Date | Title |
|---|---|---|---|
| JP2008019558A JP2009179589A (en) | 2008-01-30 | 2008-01-30 | Antiviral agent |
Publications (1)
| Publication Number | Publication Date |
|---|---|
| JP2009179589A true JP2009179589A (en) | 2009-08-13 |
Family
ID=41033831
Family Applications (1)
| Application Number | Title | Priority Date | Filing Date |
|---|---|---|---|
| JP2008019558A Pending JP2009179589A (en) | 2008-01-30 | 2008-01-30 | Antiviral agent |
Country Status (1)
| Country | Link |
|---|---|
| JP (1) | JP2009179589A (en) |
Cited By (5)
| Publication number | Priority date | Publication date | Assignee | Title |
|---|---|---|---|---|
| US9556166B2 (en) | 2011-05-12 | 2017-01-31 | Proteostasis Therapeutics, Inc. | Proteostasis regulators |
| US9850262B2 (en) | 2013-11-12 | 2017-12-26 | Proteostasis Therapeutics, Inc. | Proteasome activity enhancing compounds |
| US9849135B2 (en) | 2013-01-25 | 2017-12-26 | President And Fellows Of Harvard College | USP14 inhibitors for treating or preventing viral infections |
| US10351568B2 (en) | 2010-01-28 | 2019-07-16 | President And Fellows Of Harvard College | Compositions and methods for enhancing proteasome activity |
| CN110372564A (en) * | 2019-08-01 | 2019-10-25 | 嘉兴学院 | A kind of 2- amino -4- acyl pyrroline compound and preparation method thereof |
-
2008
- 2008-01-30 JP JP2008019558A patent/JP2009179589A/en active Pending
Cited By (8)
| Publication number | Priority date | Publication date | Assignee | Title |
|---|---|---|---|---|
| US10351568B2 (en) | 2010-01-28 | 2019-07-16 | President And Fellows Of Harvard College | Compositions and methods for enhancing proteasome activity |
| US9556166B2 (en) | 2011-05-12 | 2017-01-31 | Proteostasis Therapeutics, Inc. | Proteostasis regulators |
| US9849135B2 (en) | 2013-01-25 | 2017-12-26 | President And Fellows Of Harvard College | USP14 inhibitors for treating or preventing viral infections |
| US9850262B2 (en) | 2013-11-12 | 2017-12-26 | Proteostasis Therapeutics, Inc. | Proteasome activity enhancing compounds |
| US11242361B2 (en) | 2013-11-12 | 2022-02-08 | Proteostasis Therapeutics, Inc. | Proteasome activity enhancing compounds |
| US11958873B2 (en) | 2013-11-12 | 2024-04-16 | Kineta, Inc. | Proteasome activity enhancing compounds |
| CN110372564A (en) * | 2019-08-01 | 2019-10-25 | 嘉兴学院 | A kind of 2- amino -4- acyl pyrroline compound and preparation method thereof |
| CN110372564B (en) * | 2019-08-01 | 2021-07-06 | 嘉兴学院 | A kind of 2-amino-4-acylpyrrole compound and preparation method thereof |
Similar Documents
| Publication | Publication Date | Title |
|---|---|---|
| TWI671298B (en) | Substituted polycyclic pyridone derivatives and prodrug thereof | |
| EP2462138B1 (en) | Antiviral compounds and methods of making | |
| CN104334563B (en) | 7-oxo-thiazolopyridine carbonate derivatives and their use in treating, improving or preventing viral diseases | |
| JP6033873B2 (en) | Pyrimidin-4-one derivatives and their use in the treatment, amelioration or prevention of viral diseases | |
| US20110212975A1 (en) | Antiviral compounds and methods of making and using thereof | |
| JP2015524457A (en) | Dihydroxypyrimidine carbonic acid derivatives and their use in the treatment, amelioration or prevention of viral diseases | |
| AU2017310774A2 (en) | Substituted polycyclic pyridone derivative and pharmaceutical composition containing prodrug thereof | |
| JP2015521189A (en) | 7-oxo-4,7-dihydro-pyrazolo [1,5-a] pyrimidine derivatives useful for the treatment, amelioration or prevention of viral diseases | |
| WO2011000566A2 (en) | Compounds and pharmaceutical compositions for the treatment of negative-sense ssrna virus infections | |
| JP2011121964A (en) | IRE-1alpha INHIBITOR | |
| JP7206241B2 (en) | Antiviral and antiviral drug use | |
| JP2009179589A (en) | Antiviral agent | |
| BR112021000938A2 (en) | compound pharmaceutically acceptable salt, tautomer, isomer or stereoisomer thereof, pharmaceutical composition and process for the synthesis of said compound | |
| TWI844564B (en) | Inhibitors of influenza virus replication | |
| WO2017133669A1 (en) | 5, 7-diazaindole and 5, 7-diazaindazole derivatives and their use in the treatment, amelioration or prevention of influenza | |
| JP6415568B2 (en) | Small molecule inhibitor of influenza A-dependent RNA polymerase | |
| JP2011502998A (en) | Treatment and prevention of viral infection | |
| WO2022143424A1 (en) | Polycyclic pyridone derivative, pharmaceutical composition and use thereof | |
| JP2016504376A (en) | Naphthyridinone derivatives and their use in the treatment, amelioration or prevention of viral diseases | |
| Wu et al. | Optimization and SAR research at the benzoxazole and tetrazole rings of JNJ4796 as new anti-influenza A virus agents, part 2 | |
| AU2019311117B2 (en) | Pyrrolo(2,3-b)pyridin derivatives as inhibitors of influenza virus replication | |
| CN105399719B (en) | A kind of pseudoephedrine analog derivative and preparation method and application | |
| CN105461676B (en) | A kind of pseudoephedrine analog derivative and preparation method and application | |
| CN101486752A (en) | Cyclovirobuxine D derivative, and preparation and use thereof | |
| Maya et al. | Thienyl-Based Amides of M2 and Neuraminidase Inhibitors: Synthesis, Structural Characterization, and In Vitro Antiviral Activity Against Influenza a Viruses |
