JP2005276285A - Magnetic recording medium - Google Patents
Magnetic recording medium Download PDFInfo
- Publication number
- JP2005276285A JP2005276285A JP2004086083A JP2004086083A JP2005276285A JP 2005276285 A JP2005276285 A JP 2005276285A JP 2004086083 A JP2004086083 A JP 2004086083A JP 2004086083 A JP2004086083 A JP 2004086083A JP 2005276285 A JP2005276285 A JP 2005276285A
- Authority
- JP
- Japan
- Prior art keywords
- layer
- powder
- magnetic
- dye
- magnetic layer
- Prior art date
- Legal status (The legal status is an assumption and is not a legal conclusion. Google has not performed a legal analysis and makes no representation as to the accuracy of the status listed.)
- Pending
Links
Landscapes
- Magnetic Record Carriers (AREA)
Abstract
Description
本発明は、磁気記録媒体に関するものであり、さらに詳しくは、電磁変換特性および走行後のテープ巻き形状に優れ、特に放射と呼ばれる巻き不良が発生しにくい高密度記録用磁気記録媒体に関するものである。 The present invention relates to a magnetic recording medium, and more particularly relates to a magnetic recording medium for high-density recording that is excellent in electromagnetic conversion characteristics and tape winding shape after running, and is less likely to cause winding defects called radiation. .
最近のVTRやコンピュータードライブでは、高容量化と合わせて、磁気ヘッドに対する磁気記録媒体の相対速度を高速化させる、いわゆる高転送レート化が進展している。高容量化のためには、記録密度の向上が必要であり、電磁変換特性の優れた磁気記録媒体が要請されている。そのために、微粒子、高抗磁力タイプの強磁性金属微粉末や六方晶系フェライト微粉末が用いられてきている。
また、高容量化、高転送レート化のためには、テープ送り速度アップが必要である。特に、回転シリンダーを使用したドライブでは、高転送レート化に対し、回転数やヘッド数を増やして対応しているため、磁気記録媒体の耐久性アップも合わせて進める必要がある。
In recent VTRs and computer drives, a so-called high transfer rate has been developed to increase the relative speed of the magnetic recording medium with respect to the magnetic head as the capacity is increased. In order to increase the capacity, it is necessary to improve the recording density, and a magnetic recording medium having excellent electromagnetic conversion characteristics is required. Therefore, fine particles, high coercive force type ferromagnetic metal fine powders and hexagonal ferrite fine powders have been used.
Further, in order to increase the capacity and transfer rate, it is necessary to increase the tape feed speed. In particular, in a drive using a rotating cylinder, it is necessary to increase the durability of the magnetic recording medium because the transfer rate is increased by increasing the number of rotations and the number of heads.
磁気ヘッドを媒体表面に摺動させることによって信号の記録/再生を行うタイプのデジタル磁気記録媒体では、媒体磁性層の表面性が極めて重要である。一般的に、表面性が向上すると、ドロップアウト数が低減して電磁変換特性が良好になるが、ヘッド・媒体間の接触面積が大きくなり、走行耐久性に影響を及ぼす。磁性層の表面に研磨剤等による突起を設ければ、走行耐久性は良好となるが、逆にスペーシングロスが増大し電磁変換特性が悪化する。このように、高電磁変換特性と、高走行性および高耐久性とを両立させることは困難であった。 In a digital magnetic recording medium of a type in which a signal is recorded / reproduced by sliding a magnetic head on the medium surface, the surface property of the medium magnetic layer is extremely important. In general, when the surface property is improved, the number of dropouts is reduced and the electromagnetic conversion characteristics are improved, but the contact area between the head and the medium is increased, which affects the running durability. Providing the surface of the magnetic layer with a protrusion made of an abrasive or the like improves the running durability, but conversely increases the spacing loss and deteriorates the electromagnetic conversion characteristics. Thus, it has been difficult to achieve both high electromagnetic conversion characteristics and high running performance and high durability.
特許文献1および2には、電磁変換特性と走行性との両立を目的として、磁性層の表面に窪みを設けることが提案されている。しかし、かかる窪みは記録欠損となり、再生ビット面積の小さい高密度デジタル磁気記録媒体ではドロップアウトを増加させて電磁変換特性を低下させる原因となる。 Patent Documents 1 and 2 propose that a recess is provided on the surface of the magnetic layer for the purpose of achieving both electromagnetic conversion characteristics and running performance. However, such a dent becomes a recording defect, and causes a dropout in a high-density digital magnetic recording medium with a small reproduction bit area, which causes a decrease in electromagnetic conversion characteristics.
一方、平滑な磁性層を有する磁気記録媒体の走行性を改善するために、突起を設けたバックコート層を用いることが知られている。しかし、突起を有するバックコート層と磁性層表面とが重なりあうと、突起が磁性層表面に食い込み磁性層表面に深い凹み(いわゆる「写り」)が生じる。このような深い凹みが存在すると、磁性層表面とヘッドの接触が不安定となってドロップアウトが増大し、結果的にエラーレートの増加を引き起こす。特に近年、高記録密度化のため、磁性層はますます薄層化する傾向にある。このような薄層磁性層を有する磁気記録媒体においては、磁性層表面に凹みが存在すると、磁性層表面とヘッドとの接触が不安定となり走行後のテープ巻き形状が乱れ、放射と呼ばれる巻き不良が発生し、テープエッジが折れるなどのテープ変形が生じることもあった。このようなテープ変形も、エラーレートの増加につながる。このように、特に薄層磁性層を有する磁気記録媒体においては、優れた電磁変換特性と良好な走行性を両立することは極めて困難であった。 On the other hand, in order to improve the runnability of a magnetic recording medium having a smooth magnetic layer, it is known to use a backcoat layer provided with protrusions. However, when the backcoat layer having protrusions and the magnetic layer surface overlap, the protrusions bite into the magnetic layer surface and deep dents (so-called “reflection”) occur on the magnetic layer surface. If such a deep dent exists, the contact between the magnetic layer surface and the head becomes unstable and dropout increases, resulting in an increase in error rate. In particular, in recent years, the magnetic layer tends to be increasingly thinner for higher recording density. In a magnetic recording medium having such a thin magnetic layer, if there is a dent on the surface of the magnetic layer, the contact between the surface of the magnetic layer and the head becomes unstable, and the tape winding shape after running is disturbed. In some cases, tape deformation such as breaking of the tape edge occurs. Such tape deformation also increases the error rate. As described above, particularly in a magnetic recording medium having a thin magnetic layer, it has been extremely difficult to achieve both excellent electromagnetic conversion characteristics and good running properties.
また、バックコート層の平滑性を高めるために、カーボンブラック等の粒状物質の分散剤として、有機色素系化合物を用いることが提案されている(特許文献3参照)。しかし、現在の薄手化した磁気記録媒体においては、単に特許文献3に記載の分散剤を用いるだけでは、バックコート層表面の突起による磁性層の写りによる電磁変換特性の低下を防ぐことは困難であった。
本発明は、優れた電磁変換特性と優れた走行性(特に、走行後のテープ巻き形状に優れる)を有する、高密度デジタル記録に好適な磁気記録媒体を提供することを目的とする。 An object of the present invention is to provide a magnetic recording medium suitable for high-density digital recording, which has excellent electromagnetic conversion characteristics and excellent running properties (especially excellent tape winding shape after running).
本発明の上記目的を達成する手段は、以下の通りである。
[請求項1]非磁性支持体の一方の面に強磁性粉末および結合剤を含む磁性層を有し、他方の面にカーボンブラックを含むバックコート層を有する磁気記録媒体であって、
前記バックコート層は、下記一般式(I)で示される化合物を含有し、
前記バックコート層表面の50nm以上の高さを持つ突起個数が250個/265×350μm2以下であることを特徴とする磁気記録媒体。
[請求項2]前記磁性層表面の深さが20nm以上である凹み個数が50個/265×350μm2以下である、請求項1に記載の磁気記録媒体。
[請求項3]前記磁性層の厚さは、0.01〜0.2μmの範囲である、請求項1または2に記載の磁気記録媒体。
[請求項4]前記強磁性粉末は、平均板径10〜40nmの強磁性六方晶フェライト粉末または平均長軸長20〜70nmの強磁性金属粉末である、請求項1〜3のいずれか1項に記載の磁気記録媒体。
Means for achieving the object of the present invention is as follows.
[Claim 1] A magnetic recording medium having a magnetic layer containing a ferromagnetic powder and a binder on one surface of a nonmagnetic support, and a backcoat layer containing carbon black on the other surface,
The back coat layer contains a compound represented by the following general formula (I):
The number of protrusions having a height of 50 nm or more on the surface of the backcoat layer is 250/265 × 350 μm 2 or less.
[2] The magnetic recording medium according to [1], wherein the number of recesses having a depth of 20 nm or more on the surface of the magnetic layer is 50/265 × 350 μm 2 or less.
[3] The magnetic recording medium according to [1] or [2], wherein the magnetic layer has a thickness in the range of 0.01 to 0.2 [mu] m.
[Claim 4] The ferromagnetic powder is one of ferromagnetic hexagonal ferrite powder having an average plate diameter of 10 to 40 nm or ferromagnetic metal powder having an average major axis length of 20 to 70 nm. 2. A magnetic recording medium according to 1.
本発明により、優れた電磁変換特性を有し、かつ走行後の巻き形状に優れた高密度デジタル記録に好適な磁気記録媒体を提供することができる。 According to the present invention, it is possible to provide a magnetic recording medium suitable for high density digital recording having excellent electromagnetic conversion characteristics and excellent winding shape after running.
以下、本発明について更に詳細に説明する。
本発明の磁気記録媒体は、非磁性支持体の一方の面に強磁性粉末および結合剤を含む磁性層を有し、他方の面にカーボンブラックを含むバックコート層を有する磁気記録媒体である。前記バックコート層は、下記一般式(I)で示される化合物を含有する。
Hereinafter, the present invention will be described in more detail.
The magnetic recording medium of the present invention is a magnetic recording medium having a magnetic layer containing a ferromagnetic powder and a binder on one side of a nonmagnetic support and a backcoat layer containing carbon black on the other side. The back coat layer contains a compound represented by the following general formula (I).
上記一般式(I)中、Qは有機色素残基を表す。有機色素残基Qは、一般に市販されている染料または顔料であることができ、例えば、アントラキノン系色素、フタロシアニン系色素、キナクリドン系色素、ジオキサジン系色素、アントラピリミジン系色素、アサンスロン系色素、インダスロン系色素、フラバンスロン系色素、ピランスロン系色素、ペリノン系色素、ペリレン系色素、チオインジゴ系色素、イソインドリノン系色素、およびトリフェニルメタン系色素等を挙げることができる。
Wは直接結合、−(CH2)n−、−NH−、−CONH−、またはCH2NH、nは1〜4の整数、mは1〜10の整数、Xは単結合、または下記構造式で表される二価の連結基から選択される基、
In the general formula (I), Q represents an organic dye residue. The organic dye residue Q can be a commercially available dye or pigment, such as an anthraquinone dye, phthalocyanine dye, quinacridone dye, dioxazine dye, anthrapyrimidine dye, asanthrone dye, induslon And dyes, flavanthrone dyes, pyranthrone dyes, perinone dyes, perylene dyes, thioindigo dyes, isoindolinone dyes, and triphenylmethane dyes.
W is a direct bond, — (CH 2 ) n —, —NH—, —CONH—, or CH 2 NH, n is an integer of 1 to 4, m is an integer of 1 to 10, X is a single bond, or the following structure A group selected from divalent linking groups represented by the formula:
一般式(II)中、−NR2が低級アルキルアミノ基を表す場合、例えば−N(CnH2n+1)2と表され、nは1〜4の整数を表し、好ましくは1または2を表す。一方、該−NR2が窒素原子を含む5員または6員飽和ヘテロ環を表す場合、下記構造式で表されるヘテロ環が好ましい。
In the general formula (II), when —NR 2 represents a lower alkylamino group, for example, —N (C n H 2n + 1 ) 2 is represented, n represents an integer of 1 to 4, preferably 1 or 2 Represents. On the other hand, when the —NR 2 represents a 5-membered or 6-membered saturated heterocycle containing a nitrogen atom, a heterocycle represented by the following structural formula is preferred.
前記一般式(II)における、ZおよびNR2は、それぞれ、低級アルキル基、アルコキシ基を置換基として有していてもよい。
前記一般式(II)中、aは、1または2を表し、好ましくは2を表す。
In the general formula (II), Z and NR 2 may each have a lower alkyl group or an alkoxy group as a substituent.
In the general formula (II), a represents 1 or 2, preferably 2.
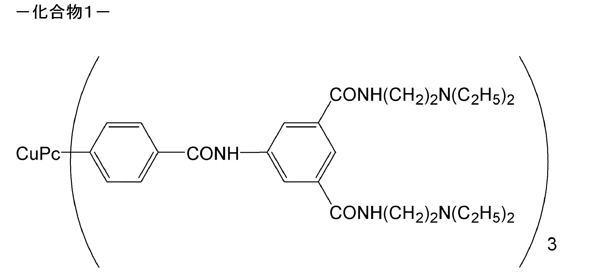
以下に、前記一般式(I)で表される化合物の具体例を示すが、本発明はこれらの具体例に何ら限定されるものではない。尚、以下Pcはフタロシアニン、CuPcは銅フタロシアニンを表す。 Specific examples of the compound represented by formula (I) are shown below, but the present invention is not limited to these specific examples. Hereinafter, Pc represents phthalocyanine, and CuPc represents copper phthalocyanine.
バックコート層における前述の一般式(I)で示される化合物の添加量は、カーボンブラックに対して0.1〜50重量部であることが好ましい。添加量が上記範囲内であれば良好な分散効果を得ることができる。 The amount of the compound represented by the above general formula (I) in the back coat layer is preferably 0.1 to 50 parts by weight with respect to the carbon black. If the addition amount is within the above range, a good dispersion effect can be obtained.
本発明の磁気記録媒体において、バックコート層表面の50nm以上の高さを持つ突起個数は、250個/265×350μm2以下である。好ましくは200個/265×350μm2以下、更に好ましくは170個/265×350μm2以下である。前記突起個数が250個/265×350μm2を超えると、バックコート層表面の突起の磁性層への裏写りにより、電磁変換特性が顕著に低下する。理想的には、バックコート層表面の50nm以上の高さを持つ突起がないことが好ましいが、本発明において、前記凹み個数の下限値は、例えば、5個/265×350μm2とすることができる。 In the magnetic recording medium of the present invention, the number of protrusions having a height of 50 nm or more on the surface of the backcoat layer is 250/265 × 350 μm 2 or less. The number is preferably 200/265 × 350 μm 2 or less, more preferably 170/265 × 350 μm 2 or less. When the number of protrusions exceeds 250/265 × 350 μm 2 , the electromagnetic conversion characteristics are remarkably deteriorated due to the show-through of the protrusions on the surface of the backcoat layer to the magnetic layer. Ideally, it is preferable that there are no protrusions having a height of 50 nm or more on the surface of the backcoat layer, but in the present invention, the lower limit value of the number of recesses is, for example, 5/265 × 350 μm 2. it can.
本発明の磁気記録媒体において、バックコート層表面の50nm以上の高さを持つ突起個数が250個/265×350μm2以下であることにより、磁性層への裏写りを防止することができる。磁性層表面の深さ20nm以上である凹み個数は、50個/265×350μm2以下であることが好ましい。上記凹み個数が50個/265×350μm2以下であれば、凹みの存在によるドロップアウトの増大や、S/N(SNR)の低下を回避することができるとともに、走行後のテープ巻き形状の乱れによるドロップアウトの増大を回避し、高い電磁変換特性を得ることができる。前記凹み個数は、より好ましくは45個/265×350μm2以下、更に好ましくは40個/265×350μm2以下である。理想的には、磁性層表面に深さが20nm以上の凹みがないことが好ましいが、本発明において、前記凹み個数の下限値は、例えば、5個/265×350μm2とすることができる。 In the magnetic recording medium of the present invention, the number of protrusions having a height of 50 nm or more on the surface of the backcoat layer is 250 pieces / 265 × 350 μm 2 or less, so that show-through to the magnetic layer can be prevented. The number of recesses having a depth of 20 nm or more on the surface of the magnetic layer is preferably 50/265 × 350 μm 2 or less. If the number of dents is 50/265 × 350 μm 2 or less, an increase in dropout due to the presence of dents and a decrease in S / N (SNR) can be avoided, and the tape winding shape after running is disturbed. The increase in the dropout due to can be avoided, and high electromagnetic conversion characteristics can be obtained. The number of the recesses is more preferably 45 pieces / 265 × 350 μm 2 or less, and still more preferably 40 pieces / 265 × 350 μm 2 or less. Ideally, it is preferable that the magnetic layer surface does not have a dent having a depth of 20 nm or more. However, in the present invention, the lower limit value of the number of the dents can be, for example, 5/265 × 350 μm 2 .
前述の突起数および凹み個数は下記のようにして測定される。
本発明において、「バックコート層表面の50nm以上の高さを持つ突起個数」は、バックコート層の自乗平均表面から50nm以上の高さを有する突起の個数をいうものとする。ここで、「自乗平均表面」とは、バックコート層表面の偏差の自乗和が上下で等しくなる面のことである。この自乗平均表面の位置は、原子間力顕微鏡や、光学式表面粗さ計等の表面粗さの測定器により求めることができる。また、バックコート層の自乗平均表面から50nm以上の高さを有する突起個数は、ZYGO社製の表面粗さ計(NewView5000)を使用して265μm×350μmの範囲を測定し、画像解析ソフトにより自乗平均表面から50nm以上の高さの領域の個数を積算して求めることができる。また、磁性層の凹み個数も、同様の方法で測定することができる。
The number of protrusions and the number of recesses are measured as follows.
In the present invention, the “number of protrusions having a height of 50 nm or more on the backcoat layer surface” refers to the number of protrusions having a height of 50 nm or more from the root mean square surface of the backcoat layer. Here, the “square mean surface” is a surface in which the sum of the squares of deviations of the back coat layer surface is equal in the vertical direction. The position of the root mean square surface can be obtained by a surface roughness measuring instrument such as an atomic force microscope or an optical surface roughness meter. The number of protrusions having a height of 50 nm or more from the root mean square surface of the back coat layer was measured within a range of 265 μm × 350 μm using a surface roughness meter (NewView 5000) manufactured by ZYGO, and squared by image analysis software. It can be obtained by integrating the number of regions having a height of 50 nm or more from the average surface. The number of dents in the magnetic layer can also be measured by the same method.
本発明において、バックコート層表面の50nm以上の高さを持つ突起個数をコントロールする方法としては、バックコート層塗布液の分散条件、支持体の突起数、カレンダー温度、カレンダー圧力を調整する方法を挙げることができる。カレンダー条件は、一般には強くする(カレンダー圧力、温度、ロール硬度を高める、スピードを下げる)と、バックコート層表面の突起を少なくすることができる。 In the present invention, as a method for controlling the number of protrusions having a height of 50 nm or more on the surface of the backcoat layer, a method of adjusting the dispersion condition of the coating liquid for the backcoat layer, the number of protrusions of the support, the calendar temperature, and the calendar pressure. Can be mentioned. In general, when the calender conditions are increased (calendar pressure, temperature, roll hardness is increased, speed is decreased), the protrusions on the surface of the backcoat layer can be reduced.
特に、本発明において、バックコート層突起個数を制御するためには、バックコート層用塗布液を高度に分散することが重要である。本発明では、前記一般式(I)で示される化合物を含む溶媒中で、カーボンブラックの分散処理を行い、バックコート層塗布液を調製し、これを常法の塗布方法に従い、塗布、加熱・硬化することによって、バックコート層を設けることができる。溶媒については、特に制限はなく、水、有機溶媒およびそれらの混合液等を用いることができる。
前記一般式(I)で示される化合物と結合剤をオープンニーダー等を用いて混練する時、またはロールミル若しくはサンドミルを用いて分散する時に、カーボンブラックを混合することによって、カーボンブラックを良好に分散することができる。また、分散前に、前記一般式(I)で示される化合物と結合剤を加熱混合して溶解状態にしておくと、前記一般式(I)で示される化合物の塩基性基と結合剤との親和性が向上するだけでなく、カーボンブラックと均一かつ速やかに混合されるため、品質および生産性の向上が達成され好ましい。
In particular, in the present invention, in order to control the number of back coat layer protrusions, it is important to highly disperse the back coat layer coating solution. In the present invention, carbon black is dispersed in a solvent containing the compound represented by the general formula (I) to prepare a backcoat layer coating solution, which is coated, heated, and heated according to a conventional coating method. A back coat layer can be provided by curing. There is no restriction | limiting in particular about a solvent, Water, an organic solvent, those liquid mixture, etc. can be used.
When the compound represented by the general formula (I) and the binder are kneaded using an open kneader or the like, or dispersed using a roll mill or a sand mill, the carbon black is mixed well to disperse well. be able to. In addition, if the compound represented by the general formula (I) and the binder are mixed by heating before dispersion, the basic group of the compound represented by the general formula (I) and the binder Not only the affinity is improved, but also the carbon black is uniformly and rapidly mixed, so that an improvement in quality and productivity is achieved.
更に、本発明においては、バックコート層塗布液の分散工程において、カーボンブラックを含む分散液を順次低濃度としつつ多段階分散を行うこと、分散メディアとして高比重、高硬度、かつ小径(例えば0.5μmφ)の分散メディアを使用すること、分散メディアの高充填化、分散機の高周速化、分散時間の長時間化を適宜組み合わせることにより、バックコート層塗布液をきわめて高度に分散させることができる。分散機としては、例えば、ボールミル、アトライター、サンドグラインダー等のメディア型分散機を用いることができ、振動ミル、超音波分散機を用いることも可能である。メディア型分散機を使用する場合、分散メディアの充填率は高くすることが好ましく、例えば60〜100%とすることができる。分散メディアとしては、スチールボール、ガラスビーズ、セラミックビーズ(ジルコニア等)を用いることができ、特に、ジルコニアビーズ等の小径高比重のセラミックビーズを用いることが好ましい。更に、粉体上のカーボンブラックに剪断を加えたい場合には、混練機を使用することもできる。例えば、オープンニーダー、加圧ニーダー、ヘリカルローター、連続ニーダー、ロールミル、テーパーロール、インターナルミキサー、バンパリーミキサー等を使用することができる。分散した液は、塗布しやすいように、通常は粘度調整を行い塗布部に供給される。送液される際には、通常、循環、単一、または多段でろ過される。この際に使用するフィルターは、液質により選択することができ、ディプスタイプ、プリーツタイプのいずれを使用することもできる。ろ過精度は、所望のレベルに応じた精度に合わせて選定することが好ましい。 Furthermore, in the present invention, in the step of dispersing the backcoat layer coating solution, multistage dispersion is performed while successively lowering the dispersion containing carbon black, and the dispersion medium has a high specific gravity, high hardness, and a small diameter (for example, 0 .5μmφ) dispersion media, high dispersion of the dispersion media, high peripheral speed of the disperser, and long dispersion time are appropriately combined to disperse the coating solution for the backcoat layer to a very high degree. Can do. As the disperser, for example, a media disperser such as a ball mill, an attritor or a sand grinder can be used, and a vibration mill or an ultrasonic disperser can also be used. When using a media-type disperser, it is preferable to increase the filling rate of the dispersion medium, for example, 60 to 100%. As the dispersion medium, steel balls, glass beads, ceramic beads (zirconia or the like) can be used, and it is particularly preferable to use small diameter high specific gravity ceramic beads such as zirconia beads. Furthermore, when it is desired to apply shear to the carbon black on the powder, a kneader can be used. For example, an open kneader, a pressure kneader, a helical rotor, a continuous kneader, a roll mill, a taper roll, an internal mixer, a bumper mixer, and the like can be used. The dispersed liquid is usually adjusted in viscosity so as to be easily applied and then supplied to the application section. When the liquid is sent, it is usually filtered in a circulation, single or multiple stages. The filter used at this time can be selected depending on the liquid quality, and either a depth type or a pleat type can be used. The filtration accuracy is preferably selected according to the accuracy according to the desired level.
バックコート層表面に存在する突起は、支持体起因の突起と塗布層に関連する突起とに分類される。通常、支持体表面には、微粒子の無機ないし有機フィラーを含有させて微小な突起を形成している。この微小な突起がバックコート層表面に反映され、微小な表面突起が形成されるが、支持体に含まれるフィラーの粒子サイズを変えることにより、バックコート層表面の突起数を変化させることができる。また、バックコート層への支持体表面の突起の影響は、バックコート層の厚みを厚くすることによって低減することもできる。 The protrusions existing on the surface of the backcoat layer are classified into protrusions caused by the support and protrusions related to the coating layer. Usually, fine protrusions are formed on the support surface by containing fine inorganic or organic fillers. These minute protrusions are reflected on the surface of the backcoat layer to form minute surface protrusions, but the number of protrusions on the surface of the backcoat layer can be changed by changing the particle size of the filler contained in the support. . Further, the influence of the protrusions on the support surface on the backcoat layer can be reduced by increasing the thickness of the backcoat layer.
また、バックコート層表面を研磨することにより、50nmの高さを有する突起数を低減し、ひいては磁性層表面の深さ20nm以上の凹み個数を低減することもできる。
バックコート層表面処理の方法としては、研磨テープやダイヤモンドホイールをバックコート層表面に押しつけて研磨する方法を挙げることができる。その際に、研磨テープやダイヤモンドホイールの番手や押しつけ圧をコントロールすることにより、表面突起をコントロールすることができる。
テープの場合、特開昭63−259830号報に開示されている、研磨テープを用いた研磨処理法(ラッピングテープブレード法)、サファイヤブレード法、ダイヤモンドホイール法等を用いることができ、これらの方法の選択や、それぞれの処理条件の設定により、バックコート層表面突起をコントロールすることができる。支持体の表面突起や塗布後のバックコート層の突起が多い場合でも、この表面処理を施せば、バックコート層表面の突起を減少させることができる。
Further, by polishing the backcoat layer surface, the number of protrusions having a height of 50 nm can be reduced, and as a result, the number of recesses having a depth of 20 nm or more on the surface of the magnetic layer can be reduced.
Examples of the method for surface treatment of the backcoat layer include a method of polishing by pressing a polishing tape or a diamond wheel against the surface of the backcoat layer. At that time, surface protrusions can be controlled by controlling the count and pressing pressure of the polishing tape and diamond wheel.
In the case of a tape, it is possible to use a polishing method using a polishing tape (wrapping tape blade method), a sapphire blade method, a diamond wheel method, etc. disclosed in JP-A-63-259830. The backcoat layer surface protrusions can be controlled by selecting these and setting each processing condition. Even when there are many surface protrusions on the support or on the backcoat layer after application, the surface treatment can reduce protrusions on the surface of the backcoat layer.
また、本発明において、磁性層表面の凹み個数を制御するためには、前述のようにバックコート層の突起個数を低減することに加えて、強磁性粉末の粒子サイズ(長軸長など)、磁性層の厚み、磁性層用塗布液、非磁性層用塗布液の分散条件を調整する方法を用いることが好ましい。
以上のように、バックコート層表面の突起数および磁性層表面の凹み個数をコントロールするために、様々な方法を用いることができ、これらの手法を組み合わせて最適化することにより、所望の特性を有する磁気記録媒体を得ることができる。
In the present invention, in order to control the number of dents on the surface of the magnetic layer, in addition to reducing the number of protrusions of the backcoat layer as described above, the particle size of the ferromagnetic powder (major axis length, etc.), It is preferable to use a method of adjusting the thickness of the magnetic layer and the dispersion conditions of the coating liquid for the magnetic layer and the coating liquid for the nonmagnetic layer.
As described above, various methods can be used to control the number of protrusions on the surface of the backcoat layer and the number of recesses on the surface of the magnetic layer. By optimizing these methods in combination, desired characteristics can be obtained. A magnetic recording medium having the same can be obtained.
[バックコート層]
一般に、コンピュータデータ記録用の磁気テープは、ビデオテープ、オーディオテープに比較して、繰り返し走行性が強く要求される。本発明では、このような高い走行耐久性を維持させるために、バックコート層にカーボンブラックを含有させる。
[Back coat layer]
In general, a magnetic tape for recording computer data is strongly required to have repeated running characteristics as compared with a video tape and an audio tape. In the present invention, carbon black is contained in the back coat layer in order to maintain such high running durability.
バックコート層には、平均粒子サイズの異なる二種類のカーボンブラックを組み合わせて使用することが好ましい。この場合、平均粒子サイズが5〜50nmの微粒子状カーボンブラックと平均粒子サイズが51〜220nmの粗粒子状カーボンブラックを組み合わせて使用することが好ましい。
一般に、上記のような微粒子状のカーボンブラックの添加により、バックコート層の表面電気抵抗を低く設定することができ、また光透過率も低く設定することができる。磁気記録装置によっては、テープの光透過率を利用し、動作の信号に使用しているものが多くあるため、このような場合には特に微粒子状のカーボンブラックの添加は有効になる。また微粒子状カーボンブラックは一般に液体潤滑剤の保持力に優れ、潤滑剤併用時、摩擦係数の低減化に寄与する。
In the back coat layer, it is preferable to use a combination of two types of carbon blacks having different average particle sizes. In this case, it is preferable to use a combination of fine particle carbon black having an average particle size of 5 to 50 nm and coarse particle carbon black having an average particle size of 51 to 220 nm.
In general, the addition of fine particulate carbon black as described above can set the surface electrical resistance of the backcoat layer to a low level and can also set the light transmittance to a low level. Some magnetic recording devices utilize the light transmittance of the tape and are used for the operation signal. In such a case, the addition of particulate carbon black is particularly effective. In addition, particulate carbon black is generally excellent in retention of liquid lubricants, and contributes to reduction of the friction coefficient when used in combination with lubricants.
微粒子状カーボンブラックの具体的な商品としては、以下のものを挙げることができる。なお、括弧内は平均粒子サイズである。BLACK PEARLS 800(17nm)、BLACK PEARLS 1400(13nm)、BLACK PEARLS 1300(13nm)、BLACK PEARLS 1100(14nm)、BLACK PEARLS 1000(16nm)、BLACK PEARLS 900(15nm)、BLACK PEARLS 880(16nm)、BLACK PEARLS 4630(19nm)、BLACK PEARLS 460(28nm)、BLACK PEARLS 430(28nm)、BLACK PEARLS 280(45nm)、MONARCH 800(17nm)、MONARCH 14000(13nm)、MONARCH 1300(13nm)、MONARCH 1100(14nm)、MONARCH 1000(16nm)、MONARCH 900(15nm)、MONARCH 880(16nm)、MONARCH 630(19nm)、MONARCH 430(28nm)、MONARCH 280(45nm)、REGAL 330(25nm)、REGAL 250(34nm)、REGAL 99(38nm)、REGAL 400(25nm)、REGAL 660(24nm)(以上、キャボット社製)、RAVEN2000B(18nm)、RAVEN1500B(17nm)、Raven 7000(11nm)、Raven 5750(12nm)、Raven 5250(16nm)、Raven 500 ULTRAII(8nm)、Raven 3500(13nm)、Raven 2500 ULTRA(13nm)、Raven 2000(18nm)、Raven 1500(17nm)、Raven 1255(21nm)、Raven 1250(20nm)、Raven 1190 ULTRA(21nm)、Raven 1170(21nm)、Raven 1100 ULTRA(32nm)、Raven 1080 ULTRA(28nm)、Raven 1060 ULTRA(30nm)、Raven 1040(28nm)、Raven 880 ULTRA(30nm)、Raven 860(39nm)、Raven 850(34nm)、Raven 820(32nm)、Raven 790 ULTRA(30nm)、Raven 780 ULTRA(29nm)、Raven 760 ULTRA(30nm)(以上、コロンビアンカーボン社製)、旭#90(19nm)、旭#80(22nm)、旭#70(28nm)、旭F−200(35nm)、旭#60HN(40nm)、旭#60(45nm)、HS−500(38nm)(以上、旭カーボン社製)、#2700(13nm)、#2650(13nm)、#2400(14nm)、#1000(18nm)、#950(16nm)、#850(17nm)、#750(22nm)、#650(22nm)、#52(27nm)、#50(28nm)、#40(24nm)、#30(30nm)、#25(47nm)、#95(40nm)、CF9(40nm)、#4350(50nm)、#3040(50nm)(以上、三菱化学社製)、PRINNTEX90(14nm)、PRINTEX95(15nm)、PRINTEX85(16nm)、PRINTEX75(17nm)(以上、デグサ社製)、#3950(16nm)(三菱化成工業(株)製)。 Specific products of the particulate carbon black include the following. In addition, the average particle size is shown in parentheses. BLACK PEARLS 800 (17 nm), BLACK PEARLS 1400 (13 nm), BLACK PEARLS 1300 (13 nm), BLACK PEARLS 1100 (14 nm), BLACK PEARLS 1000 (16 nm), BLACK PEARLS 900 (15 nm), BLACK PEARLS 8 (BLACK PEARLS 8) PEARLS 4630 (19 nm), BLACK PEARLS 460 (28 nm), BLACK PEARLS 430 (28 nm), BLACK PEARLS 280 (45 nm), MONARCH 800 (17 nm), MONARCH 14000 (13 nm), MONARCH 1300 (13 nm), MONARCH 1 MONARCH 1000 (16nm MONARCH 900 (15 nm), MONARCH 880 (16 nm), MONARCH 630 (19 nm), MONARCH 430 (28 nm), MONARCH 280 (45 nm), REGAL 330 (25 nm), REGAL 250 (34 nm), REGAL 99 (38 nm), REGAL 400 (25 nm), REGAL 660 (24 nm) (above, manufactured by Cabot), RAVEN2000B (18 nm), RAVEN1500B (17 nm), Raven 7000 (11 nm), Raven 5750 (12 nm), Raven 5250 (16 nm), Raven 500 ULTRAII 8 nm), Raven 3500 (13 nm), Raven 2500 ULTRA (13 nm), Raven 2000 (18 nm) , Raven 1500 (17 nm), Raven 1255 (21 nm), Raven 1250 (20 nm), Raven 1190 ULTRA (21 nm), Raven 1170 (21 nm), Raven 1100 ULTRA (32 nm), Raven 1080 ULTRA U28 TRA 28 ULTRA U28 30 nm), Raven 1040 (28 nm), Raven 880 ULTRA (30 nm), Raven 860 (39 nm), Raven 850 (34 nm), Raven 820 (32 nm), Raven 790 ULTRA (30 nm), Raven 780 UL 29R ULTRA (30 nm) (above, manufactured by Columbian Carbon), Asahi # 90 (19 nm), Asahi # 80 (2 nm), Asahi # 70 (28 nm), Asahi F-200 (35 nm), Asahi # 60 HN (40 nm), Asahi # 60 (45 nm), HS-500 (38 nm) (above, manufactured by Asahi Carbon Co.), # 2700 ( 13 nm), # 2650 (13 nm), # 2400 (14 nm), # 1000 (18 nm), # 950 (16 nm), # 850 (17 nm), # 750 (22 nm), # 650 (22 nm), # 52 (27 nm) , # 50 (28 nm), # 40 (24 nm), # 30 (30 nm), # 25 (47 nm), # 95 (40 nm), CF9 (40 nm), # 4350 (50 nm), # 3040 (50 nm) (above, (Mitsubishi Chemical Corporation), PRINTEX90 (14 nm), PRINTEX95 (15 nm), PRINTEX85 (16 nm), PRINTEX75 ( 17 nm) (above, manufactured by Degussa), # 3950 (16 nm) (manufactured by Mitsubishi Chemical Industries, Ltd.).
粗粒子カーボンブラックの具体的な商品の例としては、BLACK PEARLS 130(75nm)、MONARCH 120(75nm)(以上、キャボット社製)、Raven 520 ULTRA(68nm)、Raven 510 ULTRA(58nm)、Raven 500(53nm)、Raven 460(67nm)、Raven 450(75nm)、Raven 420(86nm)、Raven 410(101nm)、Raven 22(83nm)、Raven 16(68nm)、Raven 14(55nm)(以上、コロンビアンカーボン社製)、旭#55(66nm)、旭50H(85nm)、旭#51(91nm)、旭#50(80nm)、旭#35(78nm)、旭#15(122nm)(以上、旭カーボン社製)、#10(75nm)、#5(76nm)、#4010(75nm)、#3030(55nm)(以上、三菱化学社製)を挙げることができる。 Examples of specific products of coarse particle carbon black include BLACK PEARLS 130 (75 nm), MONARCH 120 (75 nm) (above, manufactured by Cabot), Raven 520 ULTRA (68 nm), Raven 510 ULTRA (58 nm), Raven 500 (53 nm), Raven 460 (67 nm), Raven 450 (75 nm), Raven 420 (86 nm), Raven 410 (101 nm), Raven 22 (83 nm), Raven 16 (68 nm), Raven 14 (55 nm) (and above, Colombian) Carbon)), Asahi # 55 (66 nm), Asahi 50H (85 nm), Asahi # 51 (91 nm), Asahi # 50 (80 nm), Asahi # 35 (78 nm), Asahi # 15 (122 nm) (Made by company) # 10 (75nm), # 5 (76nm), # 4010 (75nm), # 3030 (55nm) (manufactured by Mitsubishi Chemical Corporation) can be exemplified.
バックコート層において、平均粒子サイズの異なる二種類のカーボンブラックを使用する場合、平均粒子サイズ5〜50nmの微粒子状カーボンブラックと平均粒子サイズ51〜220nmの粗粒子状カーボンブラックの含有比率(質量比)は、前者/後者=1/100〜1/1の範囲にあることが好ましく、更に好ましくは、1/20(5/100)〜1/2(50/100)の範囲である。
バックコート層中のカーボンブラック(二種類のものを使用する場合には、その全量)の含有量は、結合剤100質量部に対して、通常30〜100質量部の範囲であり、好ましくは、45〜95質量部の範囲である。
When two types of carbon black having different average particle sizes are used in the back coat layer, the content ratio (mass ratio) of fine particle carbon black having an average particle size of 5 to 50 nm and coarse particle carbon black having an average particle size of 51 to 220 nm. ) Is preferably in the range of the former / the latter = 1/100 to 1/1, and more preferably in the range of 1/20 (5/100) to 1/2 (50/100).
The content of carbon black in the backcoat layer (the total amount when two types are used) is usually in the range of 30 to 100 parts by mass with respect to 100 parts by mass of the binder, It is the range of 45-95 mass parts.
バックコート層には無機粉末を用いることが出来る。無機粉末としては、硬さの異なる二種類のものを併用することが好ましい。
具体的には、モース硬度3〜4.5の軟質無機粉末とモース硬度5〜9の硬質無機粉末とを使用することが好ましい。
モース硬度が3〜4.5の軟質無機粉末を添加することで、繰り返し走行による摩擦係数の安定化を図ることができる。しかもこの範囲の硬さでは、摺動ガイドポールが削られることもない。またこの無機粉末の平均粒子サイズは、30〜50nmの範囲にあることが好ましい。
モース硬度が3〜4.5の軟質無機粉末としては、例えば、硫酸カルシウム、炭酸カルシウム、珪酸カルシウム、硫酸バリウム、炭酸マグネシウム、炭酸亜鉛、および酸化亜鉛を挙げることができる。これらは、単独で、あるいは二種以上を組み合わせて使用することができる。これらの中では、特に、炭酸カルシウムが好ましい。
バックコート層内の軟質無機粉末の含有量は、カーボンブラック100質量部に対して0〜140質量部の範囲にあることが好ましく、更に好ましくは、0〜100質量部である。
An inorganic powder can be used for the back coat layer. As the inorganic powder, it is preferable to use two types having different hardnesses in combination.
Specifically, it is preferable to use a soft inorganic powder having a Mohs hardness of 3 to 4.5 and a hard inorganic powder having a Mohs hardness of 5 to 9.
By adding a soft inorganic powder having a Mohs hardness of 3 to 4.5, the friction coefficient can be stabilized by repeated running. Moreover, when the hardness is within this range, the sliding guide pole is not scraped. The average particle size of the inorganic powder is preferably in the range of 30 to 50 nm.
Examples of the soft inorganic powder having a Mohs hardness of 3 to 4.5 include calcium sulfate, calcium carbonate, calcium silicate, barium sulfate, magnesium carbonate, zinc carbonate, and zinc oxide. These can be used alone or in combination of two or more. Among these, calcium carbonate is particularly preferable.
The content of the soft inorganic powder in the back coat layer is preferably in the range of 0 to 140 parts by mass, more preferably 0 to 100 parts by mass with respect to 100 parts by mass of the carbon black.
モース硬度が5〜9の硬質無機粉末を添加することにより、バックコート層の強度が強化され、走行耐久性が向上する。これらの無機粉末をカーボンブラックや前記軟質無機粉末と共に使用すると、繰り返し摺動に対しても劣化が少なく、強いバックコート層となる。またこの無機粉末の添加により、適度の研磨力が付与され、テープガイドポール等への削り屑の付着が低減する。特に軟質無機粉末(中でも、炭酸カルシウム)と併用すると、表面の粗いガイドポールに対しての摺動特性が向上し、バックコート層の摩擦係数の安定化も図ることができる。
硬質無機粉末は、その平均粒子サイズが80〜250nm(更に好ましくは、100〜210nm)の範囲にあることが好ましい。
By adding a hard inorganic powder having a Mohs hardness of 5 to 9, the strength of the backcoat layer is enhanced and the running durability is improved. When these inorganic powders are used together with carbon black or the soft inorganic powder, there is little deterioration even with repeated sliding, and a strong backcoat layer is obtained. In addition, the addition of the inorganic powder provides an appropriate polishing force and reduces the adhesion of shavings to the tape guide pole and the like. In particular, when used in combination with a soft inorganic powder (especially calcium carbonate), the sliding characteristics with respect to the guide pole having a rough surface can be improved, and the friction coefficient of the backcoat layer can be stabilized.
The hard inorganic powder preferably has an average particle size in the range of 80 to 250 nm (more preferably, 100 to 210 nm).
モース硬度が5〜9の硬質無機質粉末としては、例えば、α−酸化鉄、α−アルミナ、および酸化クロム(Cr2O3)を挙げることができる。これらの粉末は、それぞれ単独で用いても良いし、あるいは併用しても良い。これらの内では、α−酸化鉄またはα−アルミナを用いることが好ましい。硬質無機粉末の含有量は、カーボンブラック100質量部に対して通常0〜30質量部であり、好ましくは、0〜20質量部である。 Examples of the hard inorganic powder having a Mohs hardness of 5 to 9 include α-iron oxide, α-alumina, and chromium oxide (Cr 2 O 3 ). These powders may be used alone or in combination. Of these, α-iron oxide or α-alumina is preferably used. Content of hard inorganic powder is 0-30 mass parts normally with respect to 100 mass parts of carbon black, Preferably, it is 0-20 mass parts.
バックコート層に前記軟質無機粉末と硬質無機粉末とを併用する場合、軟質無機粉末と硬質無機粉末との硬さの差が、2以上(更に好ましくは、2.5以上、特に、3以上)であるように軟質無機粉末と硬質無機粉末とを選択して使用することが好ましい。 When the soft inorganic powder and the hard inorganic powder are used in combination in the back coat layer, the difference in hardness between the soft inorganic powder and the hard inorganic powder is 2 or more (more preferably 2.5 or more, particularly 3 or more). It is preferable to select and use a soft inorganic powder and a hard inorganic powder.
バックコート層には、前述の特定の平均粒子サイズを有するモース硬度の異なる二種類の無機粉末と、前記平均粒子サイズの異なる二種類のカーボンブラックとが含有されていることが好ましい。特に、この組み合わせにおいて、軟質無機粉末として炭酸カルシウムが含有されていることが好ましい。 The back coat layer preferably contains the two types of inorganic powders having the specific average particle size and different Mohs hardness and the two types of carbon blacks having the different average particle size. In particular, in this combination, it is preferable that calcium carbonate is contained as the soft inorganic powder.
バックコート層には、潤滑剤を含有させることができる。潤滑剤は、前述した非磁性層、あるいは磁性層に使用できる潤滑剤として挙げた潤滑剤の中から適宜選択して使用できる。バックコート層において、潤滑剤は、結合剤100質量部に対して通常1〜5質量部の範囲で添加される。 The back coat layer can contain a lubricant. The lubricant can be appropriately selected from the above-mentioned lubricants that can be used for the nonmagnetic layer or the magnetic layer. In the backcoat layer, the lubricant is usually added in the range of 1 to 5 parts by mass with respect to 100 parts by mass of the binder.
[磁性層]
本発明の磁気記録媒体において、磁性層の厚さは、0.01〜0.2μmの範囲であることが好ましく、0.03〜0.18μmの範囲であることが更に好ましく、適用する記録再生システムに応じて最適な厚さに設定することが好ましい。一般には、磁性層厚が0.01μm以上であれば、高出力および良好なC/Nを得ることができる。一方、磁性層厚が0.2μm以下であれば、ノイズが少なく良好なC/Nを得ることができる。
[Magnetic layer]
In the magnetic recording medium of the present invention, the thickness of the magnetic layer is preferably in the range of 0.01 to 0.2 μm, more preferably in the range of 0.03 to 0.18 μm. It is preferable to set the optimum thickness according to the system. In general, if the magnetic layer thickness is 0.01 μm or more, high output and good C / N can be obtained. On the other hand, if the magnetic layer thickness is 0.2 μm or less, good C / N can be obtained with less noise.
前記磁性層厚は、以下のようにして求めることできる。
透過型電子顕微鏡用試料作製法として公知である超薄切片法にて磁気記録媒体の厚さ方向の超薄切片(約80nm厚)試料を作製し、透過型電子顕微鏡にて超薄切片写真(50000倍)を撮影する。前記写真の上層表面および上下層界面をフィルムベース上にトレースし、上層表面と上下層界面間を0.025μm間隔の厚み方向に平行な直線500本を引き、その長さの平均を、磁性層厚みとすることができる。
The magnetic layer thickness can be determined as follows.
An ultra-thin slice (about 80 nm thick) sample in the thickness direction of the magnetic recording medium is prepared by an ultra-thin section method known as a transmission electron microscope sample preparation method, and an ultra-thin section photograph (with a transmission electron microscope) 50000 times). The upper layer surface and the upper and lower layer interfaces in the photograph are traced on the film base, and 500 straight lines parallel to the thickness direction at intervals of 0.025 μm are drawn between the upper layer surface and the upper and lower layer interfaces. It can be a thickness.
本発明の磁気記録媒体は、高密度記録を達成するため、磁性層に含まれる磁性粉末として平均板径10〜40nmの強磁性六方晶フェライト粉末または平均長軸長20〜70nmの強磁性金属粉末を使用することが好ましい。 In order to achieve high-density recording, the magnetic recording medium of the present invention has a ferromagnetic hexagonal ferrite powder having an average plate diameter of 10 to 40 nm or a ferromagnetic metal powder having an average major axis length of 20 to 70 nm as the magnetic powder contained in the magnetic layer. Is preferably used.
<強磁性六方晶フェライト粉末>
強磁性六方晶フェライト粉末は、六角状のマグネトプランバイト構造を有し、極めて大きな一軸結晶磁気異方性をもつと共に非常に高い抗磁力(Hc)を有する。このため、強磁性六方晶フェライト粉末を使用した磁気記録媒体は、化学安定性、耐蝕性および耐摩擦性に優れ、かつ、高密度化に伴う磁気スペースシングの減少が可能となり、薄膜化の実現、高C/Nおよび分解能を可能とする。強磁性六方晶フェライト粉末の平均板径は10〜40nmであることが好ましく、より好ましくは13〜35nmであり、更に好ましくは15〜32nmである。一般にトラック密度を上げ、かつ、磁気抵抗ヘッドで再生する場合には、低ノイズにする必要があると共に、強磁性六方晶フェライト粉末の平均板径も小さくする必要がある。また磁気スペーシングを減少させる観点からも六方晶フェライトの平均板径はできるだけ小さい方が好ましい。しかし、強磁性六方晶フェライト粉末の平均板径が小さすぎると熱揺らぎにより磁化が不安定になる。このため、本発明の磁気記録媒体の磁性層に使用する強磁性六方晶フェライト粉末の平均板径の下限値を10nmとすることが好ましい。平均板径が10nm以上であれば、熱揺らぎによる影響が少なく、安定した磁化を得ることができる。一方、強磁性六方晶フェライト粉末の平均板径の上限値は40nmとすることが好ましい。平均板径が40nm以下であれば、ノイズが低減され電磁変換特性が向上し、特に磁気抵抗ヘッド(MRヘッド)での再生に好適となる。
<Ferromagnetic hexagonal ferrite powder>
The ferromagnetic hexagonal ferrite powder has a hexagonal magnetoplumbite structure, has extremely large uniaxial crystal magnetic anisotropy, and has a very high coercive force (Hc). For this reason, magnetic recording media using ferromagnetic hexagonal ferrite powder have excellent chemical stability, corrosion resistance, and friction resistance, and can reduce magnetic spacing due to the increase in density, thereby realizing a thin film. High C / N and resolution are possible. The average plate diameter of the ferromagnetic hexagonal ferrite powder is preferably 10 to 40 nm, more preferably 13 to 35 nm, and still more preferably 15 to 32 nm. In general, when the track density is increased and reproduction is performed with a magnetoresistive head, it is necessary to reduce noise and to reduce the average plate diameter of the ferromagnetic hexagonal ferrite powder. Also, from the viewpoint of reducing magnetic spacing, it is preferable that the average plate diameter of hexagonal ferrite is as small as possible. However, if the average plate diameter of the ferromagnetic hexagonal ferrite powder is too small, the magnetization becomes unstable due to thermal fluctuation. For this reason, it is preferable that the lower limit of the average plate diameter of the ferromagnetic hexagonal ferrite powder used in the magnetic layer of the magnetic recording medium of the present invention is 10 nm. When the average plate diameter is 10 nm or more, there is little influence of thermal fluctuation, and stable magnetization can be obtained. On the other hand, the upper limit of the average plate diameter of the ferromagnetic hexagonal ferrite powder is preferably 40 nm. If the average plate diameter is 40 nm or less, noise is reduced and electromagnetic conversion characteristics are improved, and this is particularly suitable for reproduction with a magnetoresistive head (MR head).
強磁性六方晶フェライト粉末の平均板径は、透過型電子顕微鏡写真で強磁性六方晶フェライト粉末を撮影し、その写真から強磁性六方晶フェライト粉末の板径を直接読みとる方法と、画像解析装置カールツァイス社製IBASSIで透過型電子顕微鏡写真をトレースして読みとる方法とを併用して測定した値の平均値から求めることができる。 The average plate diameter of the ferromagnetic hexagonal ferrite powder is obtained by photographing the ferromagnetic hexagonal ferrite powder with a transmission electron micrograph, and directly reading the plate diameter of the ferromagnetic hexagonal ferrite powder from the photograph and the image analysis device curl. It can be determined from the average value of values measured in combination with a method of tracing and reading a transmission electron micrograph with IBASSI manufactured by Zeiss.
本発明において、磁性層に含まれる強磁性六方晶フェライト粉末としては、例えば、バリウムフェライト、ストロンチウムフェライト、鉛フェライト、カルシウムフェライトの各置換体、Co置換体等を用いることができる。より具体的には、マグネトプランバイト型のバリウムフェライトおよびストロンチウムフェライト、スピネルで粒子表面を被覆したマグネトプランバイト型フェライト、さらに一部にスピネル相を含有したマグネトプランバイト型のバリウムフェライトおよびストロンチウムフェライト等が挙げられる。その他、所定の原子以外にAl、Si、S、Sc、Ti、V、Cr、Cu、Y、Mo、Rh、Pd、Ag、Sn、Sb、Te、Ba、Ta、W、Re、Au、Hg、Pb、Bi、La、Ce、Pr、Nd、P、Co、Mn、Zn、Ni、Sr、B、Ge、Nbなどの原子を含んでもかまわない。一般には、Co−Zn、Co−Ti、Co−Ti−Zr、Co−Ti−Zn、Ni−Ti−Zn、Nb−Zn−Co、Sb−Zn−Co、Nb−Zn等の元素を添加した物を使用できる。また原料・製法によっては特有の不純物を含有するものもある。 In the present invention, as the ferromagnetic hexagonal ferrite powder contained in the magnetic layer, for example, barium ferrite, strontium ferrite, lead ferrite, calcium ferrite substitution, Co substitution, and the like can be used. More specifically, magnetoplumbite type barium ferrite and strontium ferrite, magnetoplumbite type ferrite whose particle surface is coated with spinel, and magnetoplumbite type barium ferrite and strontium ferrite partially containing a spinel phase, etc. Is mentioned. In addition to predetermined atoms, Al, Si, S, Sc, Ti, V, Cr, Cu, Y, Mo, Rh, Pd, Ag, Sn, Sb, Te, Ba, Ta, W, Re, Au, Hg , Pb, Bi, La, Ce, Pr, Nd, P, Co, Mn, Zn, Ni, Sr, B, Ge, and Nb may be included. In general, elements such as Co—Zn, Co—Ti, Co—Ti—Zr, Co—Ti—Zn, Ni—Ti—Zn, Nb—Zn—Co, Sb—Zn—Co, and Nb—Zn are added. You can use things. Some raw materials and production methods contain specific impurities.
強磁性六方晶フェライト粉末の粒子サイズは、上述のように平均板径が、10〜40nmであることが好ましく、より好ましくは13〜35nm、更に好ましくは15〜32nmである。また平均板厚は、1〜30nmであることが好ましく、より好ましくは2〜25nm、更に好ましくは3〜20nmである。板状比(板径/板厚)は1〜15であることができ、1〜7であることが好ましい。板状比が1〜15であれば、磁性層で高充填性を保持しながら充分な配向性が得られ、かつ、粒子間のスタッキングによりノイズ増大を抑えることができる。また、上記粒子サイズの範囲内におけるBET法による比表面積は10〜200m2/gである。この比表面積は、概ね粒子板径と板厚からの計算値と符号する。 As described above, the ferromagnetic hexagonal ferrite powder preferably has an average plate diameter of 10 to 40 nm, more preferably 13 to 35 nm, and still more preferably 15 to 32 nm. Moreover, it is preferable that average plate | board thickness is 1-30 nm, More preferably, it is 2-25 nm, More preferably, it is 3-20 nm. The plate ratio (plate diameter / plate thickness) can be 1 to 15, preferably 1 to 7. If the plate-like ratio is 1 to 15, sufficient orientation can be obtained while maintaining high filling properties in the magnetic layer, and noise increase can be suppressed by stacking between particles. Moreover, the specific surface area by BET method within the said particle size range is 10-200 m < 2 > / g. This specific surface area is approximately the value calculated from the particle plate diameter and plate thickness.
強磁性六方晶フェライト粉末の粒子板径・板厚の分布は、通常狭いほど好ましい。粒子板径・板厚を数値化することは困難であるが、粒子TEM写真より500粒子を無作為に測定することで比較できる。粒子板径・板厚の分布は正規分布ではない場合が多いが、計算して平均サイズに対する標準偏差で表すと、σ/平均サイズ=0.1〜2.0である。粒子サイズ分布をシャープにするには、粒子生成反応系をできるだけ均一にすると共に、生成した粒子に分布改良処理を施すことも行われている。例えば、酸溶液中で超微細粒子を選別的に溶解する方法等も知られている。 The distribution of the particle plate diameter and plate thickness of the ferromagnetic hexagonal ferrite powder is generally preferably as narrow as possible. Although it is difficult to quantify the particle plate diameter and plate thickness, it can be compared by randomly measuring 500 particles from a particle TEM photograph. In many cases, the distribution of the particle plate diameter and plate thickness is not a normal distribution, but when calculated and expressed as a standard deviation with respect to the average size, σ / average size = 0.1 to 2.0. In order to sharpen the particle size distribution, the particle generation reaction system is made as uniform as possible, and the generated particles are subjected to a distribution improvement process. For example, a method of selectively dissolving ultrafine particles in an acid solution is also known.
六方晶フェライト粒子の抗磁力(Hc)は、119.4〜318.4kA/m(1500〜4000 Oe)の範囲とすることができるが、好ましくは159.2〜278.6kA/m(2000〜3500 Oe)であり、さらに好ましくは175.1〜238.8kA/m(2200〜3000 Oe)である。但し、ヘッドの飽和磁化(σs)が1.4Tを越える場合には159.2kA/m以下にすることが好ましい。抗磁力(Hc)は、粒子サイズ(板径・板厚)、含有元素の種類と量、元素の置換サイト、粒子生成反応条件等により制御できる。 The coercive force (Hc) of the hexagonal ferrite particles can be in the range of 119.4 to 318.4 kA / m (1500 to 4000 Oe), preferably 159.2 to 278.6 kA / m (2000 to 2000). 3500 Oe), more preferably 175.1 to 238.8 kA / m (2200 to 3000 Oe). However, when the saturation magnetization (σs) of the head exceeds 1.4T, it is preferably 159.2 kA / m or less. The coercive force (Hc) can be controlled by the particle size (plate diameter / plate thickness), the type and amount of the contained element, the substitution site of the element, the particle generation reaction conditions, and the like.
六方晶フェライト粉末の飽和磁化(σs)は40〜80A・m2/kgであることが好ましい。飽和磁化(σs)は高い方が好ましいが、微粒子になるほど小さくなる傾向がある。飽和磁化(σs)の改良のため、マグネトプランバイトフェライトにスピネルフェライトを複合することや、含有元素の種類と添加量の選択等がよく知られている。またW型六方晶フェライトを用いることも可能である。磁性体を分散する際に磁性体粒子表面を分散媒、ポリマーに合った物質で処理することも行われている。表面処理剤としては、無機化合物および有機化合物が使用される。主な化合物としてはSi、Al、P等の酸化物または水酸化物、各種シランカップリング剤、各種チタンカップリング剤が代表例である。添加量は磁性体の質量に対して0.1〜10質量%とすることが適当である。磁性体のpHも分散に重要である。通常4〜12程度で分散媒、ポリマーにより最適値があるが、媒体の化学的安定性、保存性から6〜11程度が選択される。磁性体に含まれる水も分散に影響する。分散媒、ポリマーにより最適値があるが、通常0.01〜2.0%が選ばれる。 The saturation magnetization (σs) of the hexagonal ferrite powder is preferably 40 to 80 A · m 2 / kg. Higher saturation magnetization (σs) is preferable, but tends to be smaller as the particles become finer. In order to improve the saturation magnetization (σs), it is well known to combine spinel ferrite with magnetoplumbite ferrite, and to select the type and amount of contained elements. It is also possible to use W-type hexagonal ferrite. When the magnetic material is dispersed, the surface of the magnetic material particles is also treated with a material suitable for the dispersion medium and the polymer. As the surface treating agent, inorganic compounds and organic compounds are used. Typical examples of the main compound include oxides or hydroxides such as Si, Al, and P, various silane coupling agents, and various titanium coupling agents. The addition amount is suitably 0.1 to 10% by mass with respect to the mass of the magnetic substance. The pH of the magnetic material is also important for dispersion. Usually, about 4 to 12 has optimum values depending on the dispersion medium and polymer, but about 6 to 11 is selected from the chemical stability and storage stability of the medium. Water contained in the magnetic material also affects the dispersion. Although there is an optimum value depending on the dispersion medium and the polymer, 0.01 to 2.0% is usually selected.
強磁性六方晶フェライト粉末の製法としては、酸化バリウム・酸化鉄・鉄を置換する金属酸化物とガラス形成物質として酸化ホウ素等を所望のフェライト組成になるように混合した後溶融し、急冷して非晶質体とし、次いで再加熱処理した後、洗浄・粉砕してバリウムフェライト結晶粉体を得ガラス結晶化法;バリウムフェライト組成金属塩溶液をアルカリで中和し、副生成物を除去した後100以上で液相加熱した後洗浄・乾燥・粉砕してバリウムフェライト結晶粉体を得る水熱反応法;バリウムフェライト組成金属塩溶液をアルカリで中和し、副生成物を除去した後乾燥し1100℃以下で処理し、粉砕してバリウムフェライト結晶粉体を得る共沈法等があるが、本発明は製法を選ばない。強磁性六方晶フェライト粉末は、必要に応じ、Al、Si、Pまたはこれらの酸化物などで表面処理を施してもかまわない。その量は強磁性粉末に対し0.1〜10%とすることが適当であり、表面処理を施すと脂肪酸などの潤滑剤の吸着が100mg/m2以下になり好ましい。強磁性粉末には可溶性のNa、Ca、Fe、Ni、Srなどの無機イオンを含む場合がある。これらは本質的に無い方が好ましいが、200ppm以下であれば特に特性に影響を与えることは少ない。 Ferromagnetic hexagonal ferrite powder can be made by mixing barium oxide, iron oxide, iron oxide and metal oxide to replace boron oxide as a glass-forming substance so as to have a desired ferrite composition, and then melting and quenching. Amorphous, then reheated, washed and ground to obtain barium ferrite crystal powder; glass crystallization method; after neutralizing barium ferrite composition metal salt solution with alkali and removing by-products Hydrothermal reaction method in which barium ferrite crystal powder is obtained by liquid phase heating at 100 or more, followed by washing, drying and pulverization; neutralizing the barium ferrite composition metal salt solution with alkali, removing by-products and drying. There is a coprecipitation method in which the barium ferrite crystal powder is obtained by treating and pulverizing at a temperature of ℃ or less, but the present invention does not select a production method. The ferromagnetic hexagonal ferrite powder may be subjected to surface treatment with Al, Si, P, or an oxide thereof, if necessary. The amount is suitably 0.1 to 10% with respect to the ferromagnetic powder, and the surface treatment is preferable because adsorption of a lubricant such as a fatty acid is 100 mg / m 2 or less. The ferromagnetic powder may contain inorganic ions such as soluble Na, Ca, Fe, Ni, and Sr. Although it is preferable that these are essentially absent, if they are 200 ppm or less, they do not particularly affect the characteristics.
<強磁性金属粉末>
本発明の磁気記録媒体の磁性層に使用され得る強磁性金属粉末は、高密度磁気記録特性に優れていることが知られている。強磁性金属粉末を用いることにより、優れた電磁変換特性を有する磁気記録媒体を得ることができる。本発明の磁気記録媒体の磁性層に使用され得る強磁性金属粉末の平均長軸長は20〜70nmであることが好ましく、23〜65nmであることがより好ましく、25〜60nmであることがさらに好ましい。強磁性金属粉末の平均長軸長が20nm以上であれば、熱揺らぎによる磁気特性が低下が生じず、また、平均長軸長が70nm以下であれば、ノイズが低減され、良好なC/N(S/N)を得ることができる。
<Ferromagnetic metal powder>
It is known that the ferromagnetic metal powder that can be used in the magnetic layer of the magnetic recording medium of the present invention is excellent in high-density magnetic recording characteristics. By using a ferromagnetic metal powder, a magnetic recording medium having excellent electromagnetic conversion characteristics can be obtained. The average major axis length of the ferromagnetic metal powder that can be used in the magnetic layer of the magnetic recording medium of the present invention is preferably 20 to 70 nm, more preferably 23 to 65 nm, and further preferably 25 to 60 nm. preferable. If the average major axis length of the ferromagnetic metal powder is 20 nm or more, the magnetic characteristics do not deteriorate due to thermal fluctuations, and if the average major axis length is 70 nm or less, noise is reduced and good C / N is obtained. (S / N) can be obtained.
強磁性金属粉末の平均長軸長は、透過型電子顕微鏡写真で強磁性金属粉末を撮影し、その写真から強磁性金属粉末の長軸長を直接読みとる方法と画像解析装置カールツァイス社製IBASSIで透過型電子顕微鏡写真トレースし読みとる方法を併用して測定した値の平均値から求めることができる。 The average major axis length of the ferromagnetic metal powder is obtained by photographing the ferromagnetic metal powder with a transmission electron micrograph and directly reading the major axis length of the ferromagnetic metal powder from the photograph and using an image analysis apparatus IBASSI manufactured by Carl Zeiss. It can be determined from the average value of the values measured using the transmission electron micrograph trace and reading method.
本発明の磁気記録媒体おいて、磁性層に用いられる強磁性金属粉末としては、Feを主成分とするもの(合金も含む)を用いることができ、α−Feを主成分とする強磁性合金粉末を用いることが好ましい。これらの強磁性粉末は、所定の原子以外にAl、Si、S、Sc、Ca、Ti、V、Cr、Cu、Y、Mo、Rh、Pd、Ag、Sn、Sb、Te、Ba、Ta、W、Re、Au、Hg、Pb、Bi、La、Ce、Pr、Nd、P、Co、Mn、Zn、Ni、Sr、Bなどの原子を含んでもかまわない。特に、Al、Si、Ca、Y、Ba、La、Nd、Co、Ni、Bの少なくとも1つをα−Fe以外に含むことが好ましく、Co、Y、Alの少なくとも一つを含むことがさらに好ましい。Coの含有量は、Feに対して0〜40原子%であることが好ましく、さらに好ましくは15〜35原子%以下、より好ましくは20〜35原子%である。Yの含有量は、Feに対して1.5〜15原子%であることが好ましく、さらに好ましくは3〜12原子%である。Alの含有量は、Feに対して1.5〜15原子%であることが好ましく、さらに好ましくは3〜12原子%以下である。これらの強磁性粉末には、後述する分散剤、潤滑剤、界面活性剤、帯電防止剤などで分散前にあらかじめ処理を行ってもかまわない。具体的には、特公昭44−14090号公報、特公昭45−18372号公報、特公昭47−22062号公報、特公昭47−22513号公報、特公昭46−28466号公報、特公昭46−38755号公報、特公昭47−4286号公報、特公昭47−12422号公報、特公昭47−17284号公報、特公昭47−18509号公報、特公昭47−18573号公報、特公昭39−10307号公報、特公昭46−39639号公報、米国特許第3026215号、同3031341号、同3100194号、同3242005号、同3389014号などに記載されている。 In the magnetic recording medium of the present invention, the ferromagnetic metal powder used in the magnetic layer can be one containing Fe as a main component (including an alloy), and a ferromagnetic alloy containing α-Fe as a main component. It is preferable to use a powder. These ferromagnetic powders include Al, Si, S, Sc, Ca, Ti, V, Cr, Cu, Y, Mo, Rh, Pd, Ag, Sn, Sb, Te, Ba, Ta, other than predetermined atoms. It may contain atoms such as W, Re, Au, Hg, Pb, Bi, La, Ce, Pr, Nd, P, Co, Mn, Zn, Ni, Sr, and B. In particular, at least one of Al, Si, Ca, Y, Ba, La, Nd, Co, Ni, and B is preferably included in addition to α-Fe, and further includes at least one of Co, Y, and Al. preferable. The Co content is preferably 0 to 40 atomic%, more preferably 15 to 35 atomic% or less, and more preferably 20 to 35 atomic% with respect to Fe. The content of Y is preferably 1.5 to 15 atomic%, more preferably 3 to 12 atomic% with respect to Fe. The content of Al is preferably 1.5 to 15 atomic%, more preferably 3 to 12 atomic% or less with respect to Fe. These ferromagnetic powders may be previously treated with a dispersant, a lubricant, a surfactant, an antistatic agent or the like, which will be described later. Specifically, Japanese Patent Publication No. 44-14090, Japanese Patent Publication No. 45-18372, Japanese Patent Publication No. 47-22062, Japanese Patent Publication No. 47-22513, Japanese Patent Publication No. 46-28466, Japanese Patent Publication No. 46-38755. No. 47, No. 47-4286, No. 47-12422, No. 47-17284, No. 47-18509, No. 47-18573, No. 39-10307 No. 46-39639, U.S. Pat. Nos. 3,026,215, 3,031,341, 3,100,194, 3,342,005 and 3,389,014.
強磁性金属粉末には、少量の水酸化物、または酸化物が含まれてもよい。強磁性金属粉末としては、公知の製造方法により得られたものを用いることができ、そのような方法としては、下記の方法を挙げることができる。複合有機酸塩(主としてシュウ酸塩)と水素などの還元性気体で還元する方法、酸化鉄を水素などの還元性気体で還元してFeあるいはFe−Co粒子などを得る方法、金属カルボニル化合物を熱分解する方法、強磁性金属の水溶液に水素化ホウ素ナトリウム、次亜リン酸塩あるいはヒドラジンなどの還元剤を添加して還元する方法、金属を低圧の不活性気体中で蒸発させて微粉末を得る方法などである。このようにして得られた強磁性金属粉末には、公知の徐酸化処理、例えば、有機溶剤に浸漬したのち乾燥させる方法、有機溶剤に浸漬したのち酸素含有ガスを送り込んで表面に酸化膜を形成したのち乾燥させる方法、有機溶剤を用いず酸素ガスと不活性ガスの分圧を調整して表面に酸化皮膜を形成する方法、などを施すことができる。 The ferromagnetic metal powder may contain a small amount of hydroxide or oxide. As the ferromagnetic metal powder, those obtained by a known production method can be used, and examples of such a method include the following methods. Method of reducing complex organic acid salt (mainly oxalate) with reducing gas such as hydrogen, method of reducing iron oxide with reducing gas such as hydrogen to obtain Fe or Fe-Co particles, metal carbonyl compound A method of thermal decomposition, a method of reducing by adding a reducing agent such as sodium borohydride, hypophosphite, or hydrazine to an aqueous solution of a ferromagnetic metal, and evaporating the metal in a low-pressure inert gas to form a fine powder. How to get. The ferromagnetic metal powder thus obtained has a known gradual oxidation treatment, for example, a method of drying after immersing in an organic solvent, an oxide film is formed on the surface by sending an oxygen-containing gas after immersing in an organic solvent Thereafter, a method of drying, a method of forming an oxide film on the surface by adjusting partial pressures of oxygen gas and inert gas without using an organic solvent, and the like can be applied.
本発明で用いる強磁性粉末のBET法による比表面積(SBET)は、40〜80m2/gであることができ、好ましくは45〜70m2/gである。BET法による比表面積(SBET)が40m2/g以上であれば、ノイズが低減され、80m2/g以下であれば、良好な表面性を得ることができる。本発明において、磁性層の強磁性粉末の結晶子サイズは80〜180Åであることができ、好ましくは100〜180Å、更に好ましくは110〜175Åである。強磁性金属粉末が針状強磁性金属粉末である場合、平均針状比は5〜15であることが好ましく、さらには6〜12であることが好ましい。針状比は透過型電子顕微鏡によって測定される平均長軸長とX線回折によって得られる結晶子サイズとの比によって表される。強磁性金属粉末のσsは70〜180A・m2/kgであることができ、好ましくは80〜170A・m2/kgである。強磁性金属粉末の抗磁力は119〜318kA/mであることが好ましく、更に好ましくは159〜279kA/m、特に好ましくは183〜239kA/mである。 The specific surface area by the BET method of the ferromagnetic powder used in the present invention (S BET) can be in the 40 to 80 m 2 / g, preferably from 45~70m 2 / g. If the specific surface area (S BET ) by the BET method is 40 m 2 / g or more, noise is reduced, and if it is 80 m 2 / g or less, good surface properties can be obtained. In the present invention, the crystallite size of the ferromagnetic powder in the magnetic layer can be 80 to 180 mm, preferably 100 to 180 mm, and more preferably 110 to 175 mm. When the ferromagnetic metal powder is an acicular ferromagnetic metal powder, the average acicular ratio is preferably 5 to 15, and more preferably 6 to 12. The acicular ratio is represented by the ratio between the average major axis length measured by a transmission electron microscope and the crystallite size obtained by X-ray diffraction. The σs of the ferromagnetic metal powder can be 70 to 180 A · m 2 / kg, preferably 80 to 170 A · m 2 / kg. The coercive force of the ferromagnetic metal powder is preferably 119 to 318 kA / m, more preferably 159 to 279 kA / m, and particularly preferably 183 to 239 kA / m.
強磁性金属粉末の含水率は、0.1〜2%であることが好ましい。結合剤の種類によって、強磁性金属粉末の含水率を最適化することが好ましい。強磁性金属粉末のpHは、用いる結合剤との組合せにより最適化することが好ましい。その範囲は6〜12であることができ、好ましくは7〜11である。強磁性金属粉末には、必要に応じ、Al、Si、Pまたはこれらの酸化物などで表面処理を施してもかまわない。その量は強磁性粉末に対し0.1〜10%とすることができ、表面処理を施すと、脂肪酸などの潤滑剤の吸着が100mg/m2以下になり好ましい。強磁性金属粉末のSA(ステアリン酸)吸着量(表面の塩基性点の尺度)は1〜15μmol/m2であることができ、好ましくは2〜10μmol/m2、さらに好ましくは3〜8μmol/m2である。ステアリン酸吸着量が多い強磁性金属粉末を使用する場合、表面に強く吸着する有機物で強磁性金属粉末の表面を修飾して磁気記録媒体を作製することが好ましい。強磁性金属粉末には、可溶性のNa、Ca、Fe、Ni、Srなどの無機イオンが含まれる場合がある。これらは、本質的に無い方が好ましいが、300ppm以下であれば特に特性に影響を与えることは少ない。また、本発明において用いられる強磁性金属粉末は、空孔が少ないほうが好ましくその値は20容量%以下、さらに好ましくは5容量%以下である。また形状については先に示した粒子サイズについての特性を満足すれば、針状、米粒状、紡錘状のいずれでもかまわない。強磁性粉末自体のSFD(switching−field distribution)は小さい方が好ましく、0.6以下であることが好ましい。尚、SFDが0.6以下であると、電磁変換特性が良好で、出力が高く、また、磁化反転がシャープでピークシフトも少なくなり、高密度デジタル磁気記録に好適である。強磁性金属粉末のHcの分布を小さくすることが好ましいHcの分布を小さくするためには、強磁性金属粉末においてはゲータイトの粒度分布を良くする、単分散α−Fe2O3を使用する、焼結を防止するなどの方法がある。 The moisture content of the ferromagnetic metal powder is preferably 0.1 to 2%. It is preferable to optimize the moisture content of the ferromagnetic metal powder depending on the type of the binder. The pH of the ferromagnetic metal powder is preferably optimized depending on the combination with the binder used. The range can be 6-12, preferably 7-11. The ferromagnetic metal powder may be surface-treated with Al, Si, P, or an oxide thereof as necessary. The amount thereof can be 0.1 to 10% with respect to the ferromagnetic powder. When the surface treatment is performed, the adsorption of a lubricant such as a fatty acid is preferably 100 mg / m 2 or less. Ferromagnetic metal powder SA (stearic acid) adsorption amount (a measure of the basic points of the surface) can be a 1~15μmol / m 2, preferably 2~10μmol / m 2, more preferably 3 to 8 [mu] mol / m 2 . When a ferromagnetic metal powder having a large amount of stearic acid adsorption is used, it is preferable to produce a magnetic recording medium by modifying the surface of the ferromagnetic metal powder with an organic substance that strongly adsorbs to the surface. The ferromagnetic metal powder may contain inorganic ions such as soluble Na, Ca, Fe, Ni, and Sr. Although it is preferable that these are essentially absent, if they are 300 ppm or less, they do not particularly affect the characteristics. Further, the ferromagnetic metal powder used in the present invention preferably has fewer vacancies, and its value is 20% by volume or less, more preferably 5% by volume or less. The shape may be needle-shaped, rice-grained, or spindle-shaped as long as the above-described characteristics regarding the particle size are satisfied. The SFD (switching-field distribution) of the ferromagnetic powder itself is preferably small, and is preferably 0.6 or less. If the SFD is 0.6 or less, the electromagnetic conversion characteristics are good, the output is high, the magnetization reversal is sharp, and the peak shift is small, which is suitable for high-density digital magnetic recording. In order to reduce the Hc distribution, which is preferable to reduce the Hc distribution of the ferromagnetic metal powder, monodispersed α-Fe 2 O 3 that improves the particle size distribution of goethite is used in the ferromagnetic metal powder. There are methods such as preventing sintering.
磁性層に使用されるカーボンブラックとしては、ゴム用ファーネス、ゴム用サーマル、カラー用ブラック、アセチレンブラック等を用いることができる。カーボンブラックの比表面積(SBET)は5〜500m2/g、DBP吸油量は10〜400ml/100g、平均粒径は5〜300nm、pHは2〜10、含水率は0.1〜10質量%、タップ密度は0.1〜1g/mlであることがそれぞれ好ましい。本発明に用いられるカーボンブラックの具体的な例としては、キャボット社製BLACKPEARLS 2000、1300、1000、900、800、700、VULCAN XC−72、旭カーボン社製#80、#60、#55、#50、#35、三菱化成工業社製#2400B、#2300、#900、#1000#30、#40、#10B、コロンビアカーボン社製CONDUCTEX SC、RAVEN 150、50、40、15などが挙げられる。カーボンブラックを分散剤などで表面処理したり、樹脂でグラフト化して使用しても、表面の一部をグラファイト化したものを使用してもかまわない。また、カーボンブラックを磁性層用塗布液に添加する前にあらかじめ結合剤で分散してもかまわない。これらのカーボンブラックは単独、または組合せで使用することができる。 As the carbon black used for the magnetic layer, furnace for rubber, thermal for rubber, black for color, acetylene black and the like can be used. The specific surface area (SBET) of carbon black is 5 to 500 m 2 / g, the DBP oil absorption is 10 to 400 ml / 100 g, the average particle size is 5 to 300 nm, the pH is 2 to 10, and the water content is 0.1 to 10% by mass. The tap density is preferably 0.1 to 1 g / ml. Specific examples of carbon black used in the present invention include Cabot's BLACKPEARLS 2000, 1300, 1000, 900, 800, 700, VULCAN XC-72, Asahi Carbon Corporation # 80, # 60, # 55, # 50, # 35, Mitsubishi Chemical Industries, Ltd. # 2400B, # 2300, # 900, # 1000 # 30, # 40, # 10B, Columbia Carbon Corporation CONDUCTEX SC, RAVEN 150, 50, 40, 15 and the like. Carbon black may be surface-treated with a dispersant or the like, or may be used after being grafted with a resin, or may be obtained by graphitizing a part of the surface. Further, carbon black may be dispersed with a binder in advance before being added to the coating solution for the magnetic layer. These carbon blacks can be used alone or in combination.
カーボンブラックを使用する場合は、強磁性粉末に対する量の0.1〜30質量%で用いることが好ましい。
カーボンブラックは磁性層の帯電防止、摩擦係数低減、遮光性付与、膜強度向上などの働きがあり、これらは用いるカーボンブラックにより異なる。従って本発明に使用されるこれらのカーボンブラックは磁性層、非磁性層でその種類、量、組合せを変え、粒子サイズ、吸油量、電導度、pHなどの先に示した諸特性をもとに目的に応じて使い分けることはもちろん可能である。本発明において、磁性層で使用され得るカーボンブラックについては、例えば、「カーボンブラック便覧(カーボンブラック協会編)」を参考にすることができる。
When carbon black is used, it is preferably used in an amount of 0.1 to 30% by mass with respect to the ferromagnetic powder.
Carbon black functions to prevent the magnetic layer from being charged, reduce the coefficient of friction, impart light-shielding properties, and improve the film strength. These differ depending on the carbon black used. Therefore, these carbon blacks used in the present invention are different in the type, amount, and combination of the magnetic layer and the non-magnetic layer, and based on the above-mentioned characteristics such as particle size, oil absorption, conductivity, and pH. Of course, it is possible to use properly according to the purpose. For the carbon black that can be used in the magnetic layer in the present invention, for example, “Carbon Black Handbook (Edited by Carbon Black Association)” can be referred to.
本発明において、磁性層にアルミナを含有させることもできる。使用するアルミナとしては、平均粒子径が50〜250nm、好ましくは100〜250nmであるものが好ましい。アルミナの配合量は、強磁性粉末に対して、好ましくは1〜30質量%であり、更に好ましくは3〜15質量%である。該配合量が、1質量%以上であれば、走行耐久性を確保することができ、30質量%以下であれば、S/Nの低下やヘッド磨耗を引き起こすことがなく好ましい。 In the present invention, the magnetic layer may contain alumina. As the alumina used, those having an average particle diameter of 50 to 250 nm, preferably 100 to 250 nm are preferable. The amount of alumina is preferably 1 to 30% by mass, more preferably 3 to 15% by mass, based on the ferromagnetic powder. If the blending amount is 1% by mass or more, running durability can be ensured, and if it is 30% by mass or less, it is preferable without causing a decrease in S / N and head wear.
[非磁性層]
本発明の磁気記録媒体は、非磁性支持体と磁性層との間に、非磁性粉末と結合剤とを含む非磁性層を有することもできる。
非磁性層の厚さは、例えば、0.05〜5.0μmの範囲とすることができ、好ましくは0.1〜3.0μm、さらに好ましくは0.1〜2.5μmの範囲である。
[Nonmagnetic layer]
The magnetic recording medium of the present invention can also have a nonmagnetic layer containing a nonmagnetic powder and a binder between the nonmagnetic support and the magnetic layer.
The thickness of the nonmagnetic layer can be, for example, in the range of 0.05 to 5.0 μm, preferably 0.1 to 3.0 μm, and more preferably 0.1 to 2.5 μm.
非磁性層に含まれる非磁性粉末は、例えば、金属酸化物、金属炭酸塩、金属硫酸塩、金属窒化物、金属炭化物、金属硫化物等の無機質化合物から選択することができる。そのような無機化合物としては、例えば、α化率90%以上のα−アルミナ、β−アルミナ、γ−アルミナ、θ−アルミナ、炭化ケイ素、酸化クロム、酸化セリウム、α−酸化鉄、ヘマタイト、ゲータイト、コランダム、窒化珪素、チタンカーバイト、酸化チタン、二酸化珪素、酸化スズ、酸化マグネシウム、酸化タングステン、酸化ジルコニウム、窒化ホウ素、酸化亜鉛、炭酸カルシウム、硫酸カルシウム、硫酸バリウム、二硫化モリブデンなどを、単独または組合せて使用することができる。特に好ましいものは、粒度分布の小ささ、機能付与の手段が多いこと等から、二酸化チタン、酸化亜鉛、酸化鉄、硫酸バリウムであり、更に好ましいものは、二酸化チタン、α酸化鉄である。これら非磁性粉末の粒子サイズは、0.005〜0.5μmであることが好ましいが、必要に応じて粒子サイズの異なる非磁性粉末を組み合わせたり、単独の非磁性粉末でも粒径分布を広くして同様の効果をもたせることもできる。非磁性粉末の粒子サイズは、0.01μm〜0.2μmであることが特に好ましい。特に、非磁性粉末が粒状金属酸化物である場合は、平均粒子径0.08μm以下であることが好ましく、針状金属酸化物である場合は、長軸長は0.2μm以下、好ましくは0.15μm以下、さらに好ましくは0.1μm以下であることが適当である。非磁性粉末の針状比は、2〜20、好ましくは3〜10であることができる。タップ密度は0.05〜2g/ml、好ましくは0.2〜1.5g/mlであることができる。非磁性粉末の含水率は、0.1〜5質量%、好ましくは0.2〜3質量%、更に好ましくは0.3〜1.5質量%であることができる。非磁性粉末のpHは2〜11であることができるが、pHは5.5〜10の間であることが特に好ましい。 The nonmagnetic powder contained in the nonmagnetic layer can be selected from inorganic compounds such as metal oxides, metal carbonates, metal sulfates, metal nitrides, metal carbides, and metal sulfides. Examples of such inorganic compounds include α-alumina, β-alumina, γ-alumina, θ-alumina, silicon carbide, chromium oxide, cerium oxide, α-iron oxide, hematite, and goethite with an α conversion rate of 90% or more. Corundum, silicon nitride, titanium carbide, titanium oxide, silicon dioxide, tin oxide, magnesium oxide, tungsten oxide, zirconium oxide, boron nitride, zinc oxide, calcium carbonate, calcium sulfate, barium sulfate, molybdenum disulfide, etc. Or they can be used in combination. Particularly preferred are titanium dioxide, zinc oxide, iron oxide and barium sulfate because of their small particle size distribution and many means for imparting functions, and more preferred are titanium dioxide and alpha iron oxide. The particle size of these non-magnetic powders is preferably 0.005 to 0.5 μm. However, if necessary, non-magnetic powders having different particle sizes can be combined, or even a single non-magnetic powder can have a wide particle size distribution. Can have the same effect. The particle size of the nonmagnetic powder is particularly preferably 0.01 μm to 0.2 μm. In particular, when the nonmagnetic powder is a granular metal oxide, the average particle diameter is preferably 0.08 μm or less, and when the nonmagnetic powder is an acicular metal oxide, the major axis length is 0.2 μm or less, preferably 0. It is suitable that it is 15 μm or less, more preferably 0.1 μm or less. The acicular ratio of the non-magnetic powder can be 2-20, preferably 3-10. The tap density can be 0.05-2 g / ml, preferably 0.2-1.5 g / ml. The water content of the nonmagnetic powder can be 0.1 to 5% by mass, preferably 0.2 to 3% by mass, and more preferably 0.3 to 1.5% by mass. The pH of the non-magnetic powder can be 2-11, but it is particularly preferred that the pH is between 5.5-10.
非磁性粉末の比表面積は、1〜100m2/g、好ましくは5〜80m2/g、更に好ましくは10〜70m2/gであることができる。非磁性粉末の結晶子サイズは、0.004μm〜1μmであることが好ましく、0.04μm〜0.1μmであることが更に好ましい。DBP(ジブチルフタレート)を用いた吸油量は、5〜100ml/100g、好ましくは10〜80ml/100g、更に好ましくは20〜60ml/100gであることができる。比重は1〜12、好ましくは3〜6であることができる。形状は針状、球状、多面体状、板状のいずれでも良い。モース硬度は4以上、10以下であることが好ましい。非磁性粉末のSA(ステアリン酸)吸着量は、1〜20μmol/m2、好ましくは2〜15μmol/m2、さらに好ましくは3〜8μmol/m2であることができる。pHは3〜6の間にあることが好ましい。 The specific surface area of the non-magnetic powder can be 1 to 100 m 2 / g, preferably 5 to 80 m 2 / g, more preferably 10 to 70 m 2 / g. The crystallite size of the nonmagnetic powder is preferably 0.004 μm to 1 μm, and more preferably 0.04 μm to 0.1 μm. The oil absorption using DBP (dibutyl phthalate) can be 5 to 100 ml / 100 g, preferably 10 to 80 ml / 100 g, and more preferably 20 to 60 ml / 100 g. The specific gravity can be 1-12, preferably 3-6. The shape may be any of a needle shape, a spherical shape, a polyhedron shape, and a plate shape. The Mohs hardness is preferably 4 or more and 10 or less. The nonmagnetic powder has an SA (stearic acid) adsorption amount of 1 to 20 μmol / m 2 , preferably 2 to 15 μmol / m 2 , and more preferably 3 to 8 μmol / m 2 . The pH is preferably between 3-6.
これらの非磁性粉末の表面は、表面処理されてAl2O3、SiO2、TiO2、ZrO2、SnO2、Sb2O3、ZnO、Y2O3が存在することが好ましい。特に分散性に好ましいものは、Al2O3、SiO2、TiO2、ZrO2であり、更に好ましいものは、Al2O3、SiO2、ZrO2である。これらは組み合わせて使用しても良いし、単独で用いることもできる。また、目的に応じて共沈させた表面処理層を用いても良いし、先ずアルミナで処理した後にその表層をシリカで処理する方法、またはその逆の方法を採ることもできる。また、表面処理層は目的に応じて多孔質層にしても構わないが、均質で密である方が一般には好ましい。 The surface of these nonmagnetic powders is preferably surface-treated and Al 2 O 3 , SiO 2 , TiO 2 , ZrO 2 , SnO 2 , Sb 2 O 3 , ZnO, and Y 2 O 3 are present. Particularly preferred for dispersibility are Al 2 O 3 , SiO 2 , TiO 2 and ZrO 2 , and more preferred are Al 2 O 3 , SiO 2 and ZrO 2 . These may be used in combination or may be used alone. Further, a surface-treated layer co-precipitated according to the purpose may be used, or a method of first treating with alumina and then treating the surface layer with silica, or vice versa. The surface treatment layer may be a porous layer depending on the purpose, but it is generally preferable that the surface treatment layer is homogeneous and dense.
非磁性層に用いられる非磁性粉末の具体的な例としては、昭和電工製ナノタイト、住友化学製HIT−100、ZA−G1、戸田工業社製αヘマタイトDPN−250、DPN−250BX、DPN−245、DPN−270BX、DPN−500BX、DBN−SA1、DBN−SA3、石原産業製酸化チタンTTO−51B、TTO−55A、TTO−55B、TTO−55C、TTO−55S、TTO−55D、SN−100、αヘマタイトE270、E271、E300、E303、チタン工業製酸化チタンSTT−4D、STT−30D、STT−30、STT−65C、αヘマタイトα−40、テイカ製MT−100S、MT−100T、MT−150W、MT−500B、MT−600B、MT−100F、MT−500HD、堺化学製FINEX−25、BF−1、BF−10、BF−20、ST−M、同和鉱業製DEFIC−Y、DEFIC−R、日本アエロジル製AS2BM、TiO2P25、宇部興産製100A、500A、およびそれを焼成したものが挙げられる。特に好ましい非磁性粉末は、二酸化チタンおよびα−酸化鉄である。 Specific examples of non-magnetic powders used in the non-magnetic layer include Showa Denko Nano Tight, Sumitomo Chemical HIT-100, ZA-G1, Toda Kogyo α-Hematite DPN-250, DPN-250BX, DPN-245. , DPN-270BX, DPN-500BX, DBN-SA1, DBN-SA3, Ishihara Sangyo Titanium oxide TTO-51B, TTO-55A, TTO-55B, TTO-55C, TTO-55S, TTO-55D, SN-100, α-Hematite E270, E271, E300, E303, Titanium Industry Titanium Oxide STT-4D, STT-30D, STT-30, STT-65C, α-Hematite α-40, Teica MT-100S, MT-100T, MT-150W , MT-500B, MT-600B, MT-100F, MT-500HD, Chemical FINEX-25, BF-1, BF-10, BF-20, ST-M, Dowa Mining DEFIC-Y, DEFIC-R, Nippon Aerosil AS2BM, TiO2P25, Ube Industries 100A, 500A, and What was baked is mentioned. Particularly preferred nonmagnetic powders are titanium dioxide and α-iron oxide.
非磁性層にカーボンブラックを混合させて公知の効果である表面電気抵抗Rsを下げること、光透過率を小さくすることができるとともに、所望のマイクロビッカース硬度を得ることができる。カーボンブラックとしては、ゴム用ファーネス、ゴム用サーマル、カラー用ブラック、アセチレンブラック等を用いることができる。 By mixing carbon black with the nonmagnetic layer, the surface electrical resistance Rs, which is a known effect, can be reduced, the light transmittance can be reduced, and a desired micro Vickers hardness can be obtained. As carbon black, furnace for rubber, thermal for rubber, black for color, acetylene black and the like can be used.
非磁性層に使用されるカーボンブラックの比表面積(SBET)は、100〜500m2/g、好ましくは150〜400m2/g、DBP吸油量は20〜400ml/100g、好ましくは30〜400ml/100gであることができる。カーボンブラックの平均粒径は、5〜80nm、好ましく10〜50nm、さらに好ましくは10〜40nmであることができる。カーボンブラックのpHは2〜10、含水率は0.1〜10%、タップ密度は0.1〜1g/mlであることがそれぞれ好ましい。非磁性層に使用されるカーボンブラックの具体的な例としては、キャボット社製 BLACKPEARLS 2000、1300、1000、900、800、880、700、VULCAN XC−72、三菱化成工業社製 #3050B、#3150B、#3250B、#3750B、#3950B、#950、#650B、#970B、#850B、MA−600、MA−230、#4000、#4010、コロンビアカーボン社製 CONDUCTEX SC、RAVEN 8800、8000、7000、5750、5250、3500、2100、2000、1800、1500、1255、1250、アクゾー社製ケッチェンブラックECなどが挙げられる。カーボンブラックを分散剤などで表面処理したり、樹脂でグラフト化して使用しても、表面の一部をグラファイト化したものを使用してもかまわない。また、カーボンブラックを非磁性層塗布液に添加する前にあらかじめ結合剤で分散してもかまわない。これらのカーボンブラックは非磁性粉末に対して50質量%を越えない範囲、非磁性層総質量の40%を越えない範囲で使用できる。これらのカーボンブラックは単独、または組合せで使用することができる。非磁性層において使用されるカーボンブラックについては、例えば「カーボンブラック便覧(カーボンブラック協会編)」を参考にすることができる。 The specific surface area of carbon black employed in the nonmagnetic layer (S BET) is, 100~500m 2 / g, preferably 150~400m 2 / g, DBP oil absorption 20 to 400 ml / 100 g, preferably 30 to 400 ml / It can be 100 g. The average particle size of the carbon black can be 5 to 80 nm, preferably 10 to 50 nm, and more preferably 10 to 40 nm. Carbon black preferably has a pH of 2 to 10, a water content of 0.1 to 10%, and a tap density of 0.1 to 1 g / ml. Specific examples of carbon black used for the nonmagnetic layer include BLACKPEARLS 2000, 1300, 1000, 900, 800, 880, 700, VULCAN XC-72, manufactured by Cabot Corporation, # 3050B, # 3150B manufactured by Mitsubishi Kasei Corporation. # 3250B, # 3750B, # 3950B, # 950, # 650B, # 970B, # 850B, MA-600, MA-230, # 4000, # 4010, CONDUCTEX SC manufactured by Columbia Carbon Co., RAVEN 8800, 8000, 7000, 5750, 5250, 3500, 2100, 2000, 1800, 1500, 1255, 1250, Ketjen Black EC manufactured by Akzo Corporation, and the like. Carbon black may be surface-treated with a dispersant or the like, or may be used after being grafted with a resin, or may be obtained by graphitizing a part of the surface. Further, carbon black may be dispersed with a binder in advance before being added to the nonmagnetic layer coating solution. These carbon blacks can be used in a range not exceeding 50% by mass relative to the nonmagnetic powder and in a range not exceeding 40% of the total mass of the nonmagnetic layer. These carbon blacks can be used alone or in combination. For the carbon black used in the nonmagnetic layer, for example, “Carbon Black Handbook (Edited by Carbon Black Association)” can be referred to.
また、非磁性層には有機質粉末を目的に応じて添加することもできる。有機質粉末としては、例えば、アクリルスチレン系樹脂粉末、ベンゾグアナミン樹脂粉末、メラミン系樹脂粉末、フタロシアニン系顔料が挙げられるが、ポリオレフィン系樹脂粉末、ポリエステル系樹脂粉末、ポリアミド系樹脂粉末、ポリイミド系樹脂粉末、ポリフッ化エチレン樹脂も使用することができる。その製法としては、特開昭62−18564号公報、特開昭60−255827号公報に記されている方法が挙げられる。 In addition, an organic powder can be added to the nonmagnetic layer according to the purpose. Examples of the organic powder include acrylic styrene resin powder, benzoguanamine resin powder, melamine resin powder, and phthalocyanine pigment, but polyolefin resin powder, polyester resin powder, polyamide resin powder, polyimide resin powder, Polyfluorinated ethylene resins can also be used. Examples of the production method include methods described in JP-A Nos. 62-18564 and 60-255827.
非磁性層に関する結合剤樹脂、潤滑剤、分散剤、添加剤、溶剤、分散方法その他については、磁性層のそれが適用できる。特に、結合剤樹脂量、種類、添加剤、分散剤の添加量、種類に関しては磁性層に関する公知技術が適用できる。 As for the binder resin, lubricant, dispersant, additive, solvent, dispersion method and the like related to the nonmagnetic layer, those of the magnetic layer can be applied. In particular, with respect to the binder resin amount, type, additive, and dispersant addition amount and type, known techniques relating to the magnetic layer can be applied.
本発明において、磁性層、非磁性層、およびバックコート層において使用される結合剤、潤滑剤、分散剤、添加剤、溶剤、分散方法その他は磁性層、非磁性層、バック層のそれらが共通にそれぞれに適用できる。特に、結合剤量、種類、添加剤、分散剤の添加量、種類に関しては磁性層に関する公知技術が適用できる。但し、本発明においては、前述のように、バックコート層塗布液を高度に分散することが特に好ましい。 In the present invention, the binder, lubricant, dispersant, additive, solvent, dispersion method, etc. used in the magnetic layer, nonmagnetic layer, and backcoat layer are the same for the magnetic layer, nonmagnetic layer, and back layer. Applicable to each. In particular, known techniques relating to the magnetic layer can be applied to the amount of binder, type, additive, and amount of dispersant added, and type. However, in the present invention, as described above, it is particularly preferable to highly disperse the backcoat layer coating solution.
本発明において使用される結合剤としては、従来公知の熱可塑系樹脂、熱硬化系樹脂、反応型樹脂やこれらの混合物を挙げることができる。
熱可塑系樹脂としては、ガラス転移温度が−100〜150℃、数平均分子量が1,000〜200,000、好ましくは10,000〜100,000、重合度が約50〜1000程度のものを用いることができる。
Examples of the binder used in the present invention include conventionally known thermoplastic resins, thermosetting resins, reactive resins, and mixtures thereof.
The thermoplastic resin has a glass transition temperature of −100 to 150 ° C., a number average molecular weight of 1,000 to 200,000, preferably 10,000 to 100,000, and a polymerization degree of about 50 to 1000. Can be used.
このような例としては、塩化ビニル、酢酸ビニル、ビニルアルコール、マレイン酸、アクルリ酸、アクリル酸エステル、塩化ビニリデン、アクリロニトリル、メタクリル酸、メタクリル酸エステル、スチレン、ブタジエン、エチレン、ビニルブチラール、ビニルアセタール、ビニルエーテル、等を構成単位として含む重合体または共重合体、ポリウレタン樹脂、各種ゴム系樹脂が挙げられる。また、熱硬化性樹脂または反応型樹脂としては、フェノール樹脂、エポキシ樹脂、ポリウレタン硬化型樹脂、尿素樹脂、メラミン樹脂、アルキド樹脂、アクリル系反応樹脂、ホルムアルデヒド樹脂、シリコーン樹脂、エポキシ−ポリアミド樹脂、ポリエステル樹脂とイソシアネートプレポリマーとの混合物、ポリエステルポリオールとポリイソシアネートとの混合物、ポリウレタンとポリイソシアネートの混合物等が挙げられる。これらの樹脂については、朝倉書店発行の「プラスチックハンドブック」に詳細に記載されている。また、公知の電子線硬化型樹脂を各層に使用することも可能である。これらの例とその製造方法については、特開昭62−256219号公報に詳細に記載されている。
以上の樹脂は単独または組合せて使用できるが、好ましいものとして塩化ビニル樹脂、塩化ビニル酢酸ビニル共重合体、塩化ビニル酢酸ビニルビニルアルコール共重合体、塩化ビニル酢酸ビニル無水マレイン酸共重合体、から選ばれる少なくとも1種とポリウレタン樹脂の組合せ、またはこれらにポリイソシアネートを組み合わせたものが挙げられる。
Examples include vinyl chloride, vinyl acetate, vinyl alcohol, maleic acid, acrylic acid, acrylic ester, vinylidene chloride, acrylonitrile, methacrylic acid, methacrylic ester, styrene, butadiene, ethylene, vinyl butyral, vinyl acetal, Examples thereof include polymers or copolymers containing vinyl ether as a constituent unit, polyurethane resins, and various rubber resins. Thermosetting resins or reactive resins include phenolic resins, epoxy resins, polyurethane curable resins, urea resins, melamine resins, alkyd resins, acrylic reactive resins, formaldehyde resins, silicone resins, epoxy-polyamide resins, polyesters. Examples thereof include a mixture of resin and isocyanate prepolymer, a mixture of polyester polyol and polyisocyanate, a mixture of polyurethane and polyisocyanate, and the like. These resins are described in detail in “Plastic Handbook” issued by Asakura Shoten. It is also possible to use a known electron beam curable resin for each layer. These examples and their production methods are described in detail in JP-A No. 62-256219.
The above resins can be used alone or in combination, but are preferably selected from vinyl chloride resin, vinyl chloride vinyl acetate copolymer, vinyl chloride vinyl acetate vinyl alcohol copolymer, vinyl chloride vinyl acetate vinyl maleic anhydride copolymer. A combination of at least one selected from the above and a polyurethane resin, or a combination of these with a polyisocyanate.
ポリウレタン樹脂の構造はポリエステルポリウレタン、ポリエーテルポリウレタン、ポリエーテルポリエステルポリウレタン、ポリカーボネートポリウレタン、ポリエステルポリカーボネートポリウレタン、ポリカプロラクトンポリウレタンなど公知のものが使用できる。ここに示したすべての結合剤について、より優れた分散性と耐久性を得るためには必要に応じ、−COOM、−SO3M、−OSO3M、−P=O(OM)2、−O−P=O(OM)2(以上につきMは水素原子またはアルカリ金属塩基)、−OH、−NR2、−N+R3(Rは炭化水素基)、エポキシ基、−SH、−CN、などから選ばれる少なくとも一つ以上の極性基を共重合または付加反応で導入したものを用いることが好ましい。このような極性基の量は10-1〜10-8モル/gとすることができ、好ましくは10-2〜10-6モル/gである。 As the structure of the polyurethane resin, known structures such as polyester polyurethane, polyether polyurethane, polyether polyester polyurethane, polycarbonate polyurethane, polyester polycarbonate polyurethane, and polycaprolactone polyurethane can be used. For all binding agents indicated herein, if necessary in order to obtain more excellent dispersibility and durability, -COOM, -SO 3 M, -OSO 3 M, -P = O (OM) 2, - O—P═O (OM) 2 (wherein M is a hydrogen atom or an alkali metal base), —OH, —NR 2 , —N + R 3 (R is a hydrocarbon group), epoxy group, —SH, —CN It is preferable to use those obtained by introducing at least one polar group selected from the above by copolymerization or addition reaction. The amount of such a polar group can be 10 −1 to 10 −8 mol / g, preferably 10 −2 to 10 −6 mol / g.
本発明において用いられるこれらの結合剤の具体的な例としては、ユニオンカーバイト社製VAGH、VYHH、VMCH、VAGF、VAGD、VROH、VYES、VYNC、VMCC、XYHL、XYSG、PKHH、PKHJ、PKHC、PKFE、日信化学工業社製MPR−TA、MPR−TA5、MPR−TAL、MPR−TSN、MPR−TMF、MPR−TS、MPR−TM、MPR−TAO、電気化学社製1000W、DX80、DX81、DX82、DX83、100FD、日本ゼオン社製MR−104、MR−105、MR110、MR100、MR555、400X−110A、日本ポリウレタン社製ニッポランN2301、N2302、N2304、大日本インキ社製パンデックスT−5105、T−R3080、T−5201、バーノックD−400、D−210−80、クリスボン6109、7209、東洋紡社製バイロンUR8200、UR8300、UR−8700、RV530、RV280、大日精化社製ダイフェラミン4020、5020、5100、5300、9020、9022、7020、三菱化成社製MX5004、三洋化成社製サンプレンSP−150、旭化成社製サランF310、F210などが挙げられる。 Specific examples of these binders used in the present invention include VAGH, VYHH, VMCH, VAGF, VAGD, VROH, VYES, VYNC, VMCC, XYHL, XYSG, PKHH, PKHJ, PKHC, Union Carbide, PKFE, Nissin Chemical Industry MPR-TA, MPR-TA5, MPR-TAL, MPR-TSN, MPR-TMF, MPR-TS, MPR-TM, MPR-TAO, Denki Kagaku 1000W, DX80, DX81, DX82, DX83, 100FD, Nippon Zeon Co., Ltd. MR-104, MR-105, MR110, MR100, MR555, 400X-110A, Nippon Polyurethane Co., Ltd. Nipporan N2301, N2302, N2304, Dainippon Ink, Pandex T-5105, T-R3080 T-5201, Vernock D-400, D-210-80, Crisbon 6109, 7209, Byron UR8200, UR8300, UR-8700, RV530, RV280, Toyobo Co., Ltd. Daiferamin 4020, 5020, 5100, 5300, 9020, 9022, 7020, MX5004 manufactured by Mitsubishi Kasei Co., Ltd., Sanprene SP-150 manufactured by Sanyo Chemical Co., Ltd., Saran F310, F210 manufactured by Asahi Kasei Co., Ltd., and the like.
本発明において、非磁性層、磁性層に用いられる結合剤は、非磁性粉末または磁性粉末に対し、5〜50質量%の範囲、好ましくは10〜30質量%の範囲で用いることができる。塩化ビニル系樹脂を用いる場合は5〜30質量%、ポリウレタン樹脂を用いる場合は2〜20質量%、ポリイソシアネートを用いる場合は2〜20質量%の範囲でこれらを組み合わせて用いることが好ましいが、例えば、微量の脱塩素によりヘッド腐食が起こる場合は、ポリウレタンのみまたはポリウレタンとイソシアネートのみを使用することも可能である。本発明において、ポリウレタンを用いる場合は、ガラス転移温度が−50〜150℃、好ましくは0〜100℃、破断伸びが100〜2000%、破断応力は0.05〜10Kg/mm2(≒0.49〜98MPa)、降伏点が0.05〜10Kg/mm2(≒0.49〜98MPa)のものを用いることが好ましい。 In the present invention, the binder used in the nonmagnetic layer and the magnetic layer can be used in the range of 5 to 50% by mass, preferably in the range of 10 to 30% by mass, with respect to the nonmagnetic powder or magnetic powder. When using a vinyl chloride resin, it is preferable to use 5 to 30% by mass, when using a polyurethane resin, 2 to 20% by mass, and when using a polyisocyanate, it is preferable to use a combination of these in the range of 2 to 20% by mass. For example, when head corrosion occurs due to a small amount of dechlorination, it is possible to use only polyurethane or only polyurethane and isocyanate. In the present invention, when polyurethane is used, the glass transition temperature is −50 to 150 ° C., preferably 0 to 100 ° C., the breaking elongation is 100 to 2000%, and the breaking stress is 0.05 to 10 kg / mm 2 (≈0. 49 to 98 MPa) and a yield point of 0.05 to 10 kg / mm 2 (≈0.49 to 98 MPa) are preferably used.
本発明の磁気記録媒体は、二層以上からなる。従って、結合剤量、結合剤中に占める塩化ビニル系樹脂、ポリウレタン樹脂、ポリイソシアネート、あるいはそれ以外の樹脂の量、磁性層を形成する各樹脂の分子量、極性基量、あるいは先に述べた樹脂の物理特性などを必要に応じ各層とで変えることはもちろん可能であり、むしろ各層で最適化すべきであり、多層磁性層に関する公知技術を適用できる。例えば、各層で結合剤量を変更する場合、磁性層表面の擦傷を減らすためには磁性層の結合剤量を増量することが有効であり、ヘッドに対するヘッドタッチを良好にするためには、非磁性層の結合剤量を多くして柔軟性を持たせることができる。 The magnetic recording medium of the present invention consists of two or more layers. Therefore, the amount of binder, the amount of vinyl chloride resin, polyurethane resin, polyisocyanate, or other resin in the binder, the molecular weight of each resin forming the magnetic layer, the polar group amount, or the resin described above Of course, it is possible to change the physical characteristics of each layer as required, and rather it should be optimized for each layer, and a known technique relating to a multilayer magnetic layer can be applied. For example, when changing the amount of binder in each layer, it is effective to increase the amount of binder in the magnetic layer in order to reduce scratches on the surface of the magnetic layer. The amount of binder in the magnetic layer can be increased to provide flexibility.
本発明に用いられるポリイソシアネートとしては、トリレンジイソシアネート、4,4’−ジフェニルメタンジイソシアネート、ヘキサメチレンジイソシアネート、キシリレンジイソシアネート、ナフチレン−1,5−ジイソシアネート、o−トルイジンジイソシアネート、イソホロンジイソシアネート、トリフェニルメタントリイソシアネート等のイソシアネート類、また、これらのイソシアネート類とポリアルコールとの生成物、また、イソシアネート類の縮合によって生成したポリイソシアネート等を使用することができる。これらのイソシアネート類の市販されている商品名としては、日本ポリウレタン社製コロネートL、コロネートHL、コロネート2030、コロネート2031、ミリオネートMR、ミリオネートMTL、武田薬品社製タケネートD−102、タケネートD−110N、タケネートD−200、タケネートD−202、住友バイエル社製デスモジュールL、デスモジュールIL、デスモジュールN、デスモジュールHL、等が挙げられ、これらを単独または硬化反応性の差を利用して二つもしくはそれ以上の組合せで各層とも用いることができる。 Examples of the polyisocyanate used in the present invention include tolylene diisocyanate, 4,4′-diphenylmethane diisocyanate, hexamethylene diisocyanate, xylylene diisocyanate, naphthylene-1,5-diisocyanate, o-toluidine diisocyanate, isophorone diisocyanate, triphenylmethane triisocyanate. Isocyanates such as isocyanate, products of these isocyanates and polyalcohols, polyisocyanates formed by condensation of isocyanates, and the like can be used. Commercially available product names of these isocyanates include Coronate L, Coronate HL, Coronate 2030, Coronate 2031, Millionate MR, Millionate MTL, Takeda Pharmaceutical Taketake D-102, Takenate D-110N, Takenate D-200, Takenate D-202, Sumitomo Bayer's Death Module L, Death Module IL, Death Module N, Death Module HL, etc. can be mentioned, and these can be used alone or by utilizing the difference in curing reactivity. Alternatively, each layer can be used in combination.
本発明に用いられる研磨剤としては、α化率90%以上のα−アルミナ、β−アルミナ、炭化ケイ素、酸化クロム、酸化セリウム、α−酸化鉄、コランダム、人造ダイヤモンド、窒化珪素、炭化珪素、チタンカーバイト、酸化チタン、二酸化珪素、窒化ホウ素、など主としてモース硬度6以上の公知の材料を単独または組合せで使用することができる。また、これらの研磨剤どうしの複合体(研磨剤を他の研磨剤で表面処理したもの)を使用してもよい。これらの研磨剤には、主成分以外の化合物または元素が含まれる場合もあるが、主成分が90質量%以上であれば効果に変わりはない。タップ密度は0.3〜2g/ml、含水率は0.1〜5質量%、pHは2〜11、比表面積(SBET)は1〜30m2/gであることがそれぞれ好ましい。本発明に用いられる研磨剤の形状は針状、球状、サイコロ状、のいずれでも良いが、形状の一部に角を有するものが研磨性が高く好ましい。本発明に用いられる研磨剤の具体的な例としては、住友化学社製AKP−20、AKP−30、AKP−50、HIT−50、HIT−55、HIT−60A、HIT−70、HIT−100、日本化学工業社製G5、G7、S−1、戸田工業社製TF−100、TF−140などが挙げられる。本発明に用いられる研磨剤は、磁性層(上下層)、非磁性層で種類、量および組合せを変え、目的に応じて使い分けることはもちろん可能である。これらの研磨剤はあらかじめ結合剤で分散処理したのち磁性塗料中に添加してもかまわない。 As an abrasive used in the present invention, α-alumina, β-alumina, silicon carbide, chromium oxide, cerium oxide, α-iron oxide, corundum, artificial diamond, silicon nitride, silicon carbide having an α conversion ratio of 90% or more, Known materials having a Mohs hardness of 6 or more, such as titanium carbide, titanium oxide, silicon dioxide, and boron nitride, can be used alone or in combination. Further, a composite of these abrasives (a product obtained by surface-treating an abrasive with another abrasive) may be used. These abrasives may contain compounds or elements other than the main component, but the effect remains unchanged as long as the main component is 90% by mass or more. It is preferable that the tap density is 0.3 to 2 g / ml, the water content is 0.1 to 5% by mass, the pH is 2 to 11, and the specific surface area (SBET) is 1 to 30 m 2 / g. The shape of the abrasive used in the present invention may be any of a needle shape, a spherical shape, and a dice shape, but those having a corner in a part of the shape are preferable because of high polishing properties. Specific examples of the abrasive used in the present invention include AKP-20, AKP-30, AKP-50, HIT-50, HIT-55, HIT-60A, HIT-70, and HIT-100 manufactured by Sumitomo Chemical Co., Ltd. , Nippon Chemical Industry Co., Ltd. G5, G7, S-1, Toda Kogyo TF-100, TF-140 etc. are mentioned. The abrasive used in the present invention can of course be changed depending on the purpose by changing the type, amount and combination of the magnetic layer (upper and lower layers) and the nonmagnetic layer. These abrasives may be added to the magnetic paint after being dispersed with a binder in advance.
本発明において、磁性層または非磁性層には、必要に応じて添加剤を加えることができる。添加剤として、潤滑効果、帯電防止効果、分散効果、可塑効果などをもつものが使用できる。そのような添加剤としては、二硫化モリブデン、二硫化タングステングラファイト、窒化ホウ素、フッ化黒鉛、シリコーンオイル、極性基をもつシリコーン、脂肪酸変性シリコーン、フッ素含有シリコーン、フッ素含有アルコール、フッ素含有エステル、ポリオレフィン、ポリグリコール、アルキル燐酸エステルおよびそのアルカリ金属塩、アルキル硫酸エステルおよびそのアルカリ金属塩、ポリフェニルエーテル、フッ素含有アルキル硫酸エステルおよびそのアルカリ金属塩、炭素数10〜24の一塩基性脂肪酸(不飽和結合を含んでも、また分岐していてもかまわない)、および、これらの金属塩(Li、Na、K、Cuなど)または、炭素数12〜22の一価、二価、三価、四価、五価、六価アルコール、(不飽和結合を含んでも、また分岐していてもかまわない)、炭素数12〜22のアルコキシアルコール、炭素数10〜24の一塩基性脂肪酸(不飽和結合を含んでも、また分岐していてもかまわない)と炭素数2〜12の一価、二価、三価、四価、五価、六価アルコールのいずれか一つ(不飽和結合を含んでも、また分岐していてもかまわない)とからなるモノ脂肪酸エステルまたはジ脂肪酸エステルまたはトリ脂肪酸エステル、アルキレンオキシド重合物のモノアルキルエーテルの脂肪酸エステル、炭素数8〜22の脂肪酸アミド、炭素数8〜22の脂肪族アミン、などが使用できる。 In the present invention, an additive can be added to the magnetic layer or the nonmagnetic layer as necessary. As the additive, those having a lubricating effect, an antistatic effect, a dispersing effect, a plasticizing effect and the like can be used. Examples of such additives include molybdenum disulfide, tungsten disulfide graphite, boron nitride, fluorinated graphite, silicone oil, silicone having a polar group, fatty acid-modified silicone, fluorine-containing silicone, fluorine-containing alcohol, fluorine-containing ester, polyolefin Polyglycol, alkyl phosphate ester and alkali metal salt thereof, alkyl sulfate ester and alkali metal salt thereof, polyphenyl ether, fluorine-containing alkyl sulfate ester and alkali metal salt thereof, monobasic fatty acid having 10 to 24 carbon atoms (unsaturated And a metal salt (Li, Na, K, Cu, etc.) or a monovalent, divalent, trivalent, or tetravalent carbon atom having 12 to 22 carbon atoms. , Pentavalent, hexahydric alcohols (including unsaturated bonds, It may be branched), an alkoxy alcohol having 12 to 22 carbon atoms, a monobasic fatty acid having 10 to 24 carbon atoms (which may contain an unsaturated bond or may be branched) and 2 to 2 carbon atoms. A mono-fatty acid ester or diester comprising any one of 12 monovalent, divalent, trivalent, tetravalent, pentavalent, and hexavalent alcohols (which may contain unsaturated bonds or may be branched). Fatty acid esters or trifatty acid esters, fatty acid esters of monoalkyl ethers of alkylene oxide polymers, fatty acid amides having 8 to 22 carbon atoms, aliphatic amines having 8 to 22 carbon atoms, and the like can be used.
これらの具体例としては、ラウリン酸、ミリスチン酸、パルミチン酸、ステアリン酸、ベヘン酸、ステアリン酸ブチル、オレイン酸、リノール酸、リノレン酸、エライジン酸、ステアリン酸オクチル、ステアリン酸アミル、ステアリン酸イソオクチル、ミリスチン酸オクチル、ステアリン酸ブトキシエチル、アンヒドロソルビタンモノステアレート、アンヒドロソルビタンジステアレート、アンヒドロソルビタントリステアレート、オレイルアルコール、ラウリルアルコールが挙げられる。また、アルキレンオキサイド系、グリセリン系、グリシドール系、アルキルフェノールエチレンオキサイド付加体等のノニオン界面活性剤、環状アミン、エステルアミド、第四級アンモニウム塩類、ヒダントイン誘導体、複素環類、ホスホニウムまたはスルホニウム類等のカチオン系界面活性剤、カルボン酸、スルフォン酸、燐酸、硫酸エステル基、燐酸エステル基、などの酸性基を含むアニオン界面活性剤、アミノ酸類、アミノスルホン酸類、アミノアルコールの硫酸または燐酸エステル類、アルキルベダイン型等の両性界面活性剤等も使用できる。これらの界面活性剤については、「界面活性剤便覧」(産業図書株式会社発行)に詳細に記載されている。これらの潤滑剤、帯電防止剤等は必ずしも100%純粋ではなく、主成分以外に異性体、未反応物、副反応物、分解物、酸化物等の不純分が含まれてもかまわない。これらの不純分の量は30%以下であることが好ましく、さらに好ましくは10%以下である。 Specific examples thereof include lauric acid, myristic acid, palmitic acid, stearic acid, behenic acid, butyl stearate, oleic acid, linoleic acid, linolenic acid, elaidic acid, octyl stearate, amyl stearate, isooctyl stearate, Examples include octyl myristate, butoxyethyl stearate, anhydrosorbitan monostearate, anhydrosorbitan distearate, anhydrosorbitan tristearate, oleyl alcohol, and lauryl alcohol. Also, nonionic surfactants such as alkylene oxide, glycerin, glycidol, and alkylphenol ethylene oxide adducts, cyclic amines, ester amides, quaternary ammonium salts, hydantoin derivatives, heterocyclics, phosphonium or sulfonium cations Surfactants, carboxylic acids, sulfonic acids, phosphoric acids, sulfuric acid ester groups, anionic surfactants containing acidic groups such as phosphoric acid ester groups, amino acids, aminosulfonic acids, amino alcohol sulfuric acid or phosphoric acid esters, alkylbeds An amphoteric surfactant such as in-type can also be used. These surfactants are described in detail in “Surfactant Handbook” (published by Sangyo Tosho Co., Ltd.). These lubricants, antistatic agents, and the like are not necessarily 100% pure, and may contain impurities such as isomers, unreacted materials, side reaction products, decomposed products, and oxides in addition to the main components. The amount of these impurities is preferably 30% or less, more preferably 10% or less.
本発明で使用されるこれらの潤滑剤、界面活性剤は磁性層と非磁性層とでその種類、量を必要に応じ使い分けることができる。例えば、非磁性層と磁性層とで融点の異なる脂肪酸を用い表面へのにじみ出しを制御する、沸点や極性の異なるエステル類を用い表面へのにじみ出しを制御する、界面活性剤量を調節することで塗布の安定性を向上させる、潤滑剤の添加量を非磁性層で多くして潤滑効果を向上させるなど考えられ、無論ここに示した例のみに限られるものではない。また本発明で用いられる添加剤のすべてまたはその一部は、磁性層塗布液製造のどの工程で添加してもかまわない。例えば、混練工程前に強磁性粉末と混合する場合、強磁性粉末と結合剤と溶剤による混練工程で添加する場合、分散工程で添加する場合、分散後に添加する場合、塗布直前に添加する場合などがある。また、目的に応じて磁性層を塗布した後、同時または逐次塗布で、添加剤の一部または全部を塗布することにより目的が達成される場合がある。また、目的によってはカレンダーした後、またはスリット終了後、磁性層表面に潤滑剤を塗布することもできる。 These lubricants and surfactants used in the present invention can be selectively used depending on the type and amount of the magnetic layer and the non-magnetic layer. For example, use of fatty acids with different melting points for the nonmagnetic layer and the magnetic layer to control bleeding to the surface, use esters with different boiling points and polarities to control bleeding to the surface, and adjust the amount of surfactant. Thus, it is conceivable to improve the stability of coating, and to increase the lubricating effect by increasing the amount of lubricant added to the non-magnetic layer, and of course not limited to the examples shown here. Further, all or a part of the additives used in the present invention may be added in any step of producing the magnetic layer coating solution. For example, when mixing with a ferromagnetic powder before the kneading step, adding at a kneading step with a ferromagnetic powder, a binder and a solvent, adding at a dispersing step, adding after dispersing, adding just before coating, etc. There is. Moreover, after applying a magnetic layer according to the purpose, the object may be achieved by applying a part or all of the additive by simultaneous or sequential application. Depending on the purpose, a lubricant can be applied to the surface of the magnetic layer after calendering or after completion of the slit.
本発明で使用される潤滑剤の商品例としては、日本油脂社製NAA−102、NAA−415、NAA−312、NAA−160、NAA−180、NAA−174、NAA−175、NAA−222、NAA−34、NAA−35、NAA−171、NAA−122、NAA−142、NAA−160、NAA−173K、ヒマシ硬化脂肪酸、NAA−42、NAA−44、カチオンSA、カチオンMA、カチオンAB、カチオンBB、ナイミーンL−201、ナイミーンL−202、ナイミーンS−202、ノニオンE−208、ノニオンP−208、ノニオンS−207、ノニオンK−204、ノニオンNS−202、ノニオンNS−210、ノニオンHS−206、ノニオンL−2、ノニオンS−2、ノニオンS−4、ノニオンO−2、ノニオンLP−20R、ノニオンPP−40R、ノニオンSP−60R、ノニオンOP−80R、ノニオンOP−85R、ノニオンLT−221、ノニオンST−221、ノニオンOT−221、モノグリMB、ノニオンDS−60、アノンBF、アノンLG、ブチルステアレート、ブチルラウレート、エルカ酸、関東化学社製オレイン酸、竹本油脂社製FAL−205、FAL−123、新日本理化社製エヌジェルブLO、エヌジェルブIPM、サンソサイザーE4030、信越化学社製TA−3、KF−96、KF−96L、KF96H、KF410、KF420、KF965、KF54、KF50、KF56、KF907、KF851、X−22−819、X−22−822、KF905、KF700、KF393、KF−857、KF−860、KF−865、X−22−980、KF−101、KF−102、KF−103、X−22−3710、X−22−3715、KF−910、KF−3935、ライオンアーマー社製アーマイドP、アーマイドC、アーモスリップCP、ライオン油脂社製デュオミンTDO、日清製油社製BA−41G、三洋化成社製プロファン2012E、ニューポールPE61、イオネットMS−400、イオネットMO−200、イオネットDL−200、イオネットDS−300、イオネットDS−1000、イオネットDO−200などが挙げられる。 Examples of lubricants used in the present invention include NAA-102, NAA-415, NAA-312, NAA-160, NAA-180, NAA-174, NAA-175, NAA-222, manufactured by NOF Corporation. NAA-34, NAA-35, NAA-171, NAA-122, NAA-142, NAA-160, NAA-173K, castor hardened fatty acid, NAA-42, NAA-44, cation SA, cation MA, cation AB, cation BB, Nymeen L-201, Nymeen L-202, Nymeen S-202, Nonion E-208, Nonion P-208, Nonion S-207, Nonion K-204, Nonion NS-202, Nonion NS-210, Nonion HS- 206, Nonion L-2, Nonion S-2, Nonion S-4, Nonion O- Nonionic LP-20R, Nonionic PP-40R, Nonionic SP-60R, Nonionic OP-80R, Nonionic OP-85R, Nonionic LT-221, Nonionic ST-221, Nonionic OT-221, Monogly MB, Nonionic DS-60, Anone BF, anone LG, butyl stearate, butyl laurate, erucic acid, oleic acid manufactured by Kanto Chemical Co., Inc., FAL-205, FAL-123 manufactured by Takemoto Yushi Co., Ltd. TA-3, KF-96, KF-96L, KF96H, KF410, KF420, KF965, KF54, KF50, KF56, KF907, KF851, X-22-819, X-22-822, KF905, KF700, manufactured by Shin-Etsu Chemical Co., Ltd. KF393, KF-857 KF-860, KF-865, X-22-980, KF-101, KF-102, KF-103, X-22-3710, X-22-3715, KF-910, KF-3935, manufactured by Lion Armor Armide P, Armide C, Armoslip CP, Lion Oil & Fats Duomin TDO, Nisshin Oil & Chemicals BA-41G, Sanyo Chemical Profan 2012E, New Pole PE61, Ionette MS-400, Ionette MO-200, Ionette DL -200, Ionette DS-300, Ionet DS-1000, Ionet DO-200, and the like.
[層構成]
本発明の磁気記録媒体において、非磁性支持体の厚さは、2〜100μmとすることができ、好ましくは2〜80μmである。本発明の磁気記録媒体がコンピューターテープである場合、非磁性支持体としては、3.0〜10μm(好ましくは、3.0〜9.0μm、更に好ましくは、3.0〜8.0μm)の範囲の厚さのものを使用することができる。また、非磁性可撓性支持体と非磁性層また磁性層の間に密着性向上のための下塗り層を設けてもかまわない。該下塗層厚みは0.01〜0.5μmとすることができ、好ましくは0.02〜0.5μmである。
[Layer structure]
In the magnetic recording medium of the present invention, the thickness of the nonmagnetic support can be 2 to 100 μm, preferably 2 to 80 μm. When the magnetic recording medium of the present invention is a computer tape, the nonmagnetic support is 3.0 to 10 μm (preferably 3.0 to 9.0 μm, more preferably 3.0 to 8.0 μm). A range of thicknesses can be used. An undercoat layer may be provided between the nonmagnetic flexible support and the nonmagnetic layer or magnetic layer to improve adhesion. The undercoat layer thickness can be 0.01 to 0.5 μm, preferably 0.02 to 0.5 μm.
[非磁性支持体]
本発明において使用される非磁性支持体としては、ポリエチレンテレフタレート、ポリエチレンナフタレート等のポリエステル類、ポリオレフィン類、セルローストリアセテート、ポリカーボネート、ポリアミド、ポリイミド、ポリアミドイミド、ポリスルフォン、アラミド、芳香族ポリアミドなどの公知のフィルムが使用できる。これらの支持体には、あらかじめコロナ放電処理、プラズマ処理、易接着処理、熱処理、除塵処理などを行っても良い。
[Non-magnetic support]
Nonmagnetic supports used in the present invention include known polyesters such as polyethylene terephthalate and polyethylene naphthalate, polyolefins, cellulose triacetate, polycarbonate, polyamide, polyimide, polyamideimide, polysulfone, aramid, aromatic polyamide and the like. Can be used. These supports may be subjected in advance to corona discharge treatment, plasma treatment, easy adhesion treatment, heat treatment, dust removal treatment, and the like.
非磁性支持体の表面粗さは、必要に応じて支持体に添加されるフィラーの大きさと量により自由にコントロールすることができる。これらのフィラーの一例としては、Ca、Si、Tiなどの酸化物や炭酸塩の他、アクリル系などの有機微粉末が挙げられる。支持体の最大高さSRmaxは1μm以下、十点平均粗さSRzは0.5μm以下、中心面山高さはSRpは0.5μm以下、中心面谷深さSRvは0.5μm以下、中心面面積率SSrは10%以上、90%以下、平均波長Sλaは5μm以上、300μm以下であることがそれぞれ好ましい。所望の電磁変換特性と耐久性を得るため、これら支持体表面に微小な突起を形成させることができ、通常平均粒径0.01〜0.2μmのフィラーを0〜20000個/mm2の範囲で、支持体を形成する樹脂に添加し分散させることで、支持体表面の微小突起をコントロールすることができる。この場合、粒径分布中の粗大粒子や凝集した粒子が通常存在するために、それによって形成される粗大突起が存在することがあるが、本発明では、支持体表面の高さが0.273μm以上の突起数は100個/100cm2以下、更には80個/100cm2以下であることが好ましく、50個/100cm2以下であることが一層好ましい。 The surface roughness of the nonmagnetic support can be freely controlled by the size and amount of the filler added to the support as necessary. Examples of these fillers include oxides and carbonates such as Ca, Si, Ti, and acrylic organic fine powders. The maximum height SRmax of the support is 1 μm or less, the ten-point average roughness SRz is 0.5 μm or less, the center surface peak height is SRp of 0.5 μm or less, the center surface valley depth SRv is 0.5 μm or less, and the center surface area The rate SSr is preferably 10% or more and 90% or less, and the average wavelength Sλa is preferably 5 μm or more and 300 μm or less. For obtaining desired electromagnetic characteristics and durability, it is possible to form minute projections on these support surfaces, ranging filler usually an average particle size 0.01~0.2μm of 20000 pieces / mm 2 Thus, by adding and dispersing in the resin forming the support, the fine protrusions on the support surface can be controlled. In this case, since there are usually coarse particles or aggregated particles in the particle size distribution, there may be coarse protrusions formed thereby. In the present invention, the height of the support surface is 0.273 μm. or more protrusions number 100/100 cm 2 or less, more preferably 80 pieces / 100 cm 2 or less, more preferably 50 pieces / 100 cm 2 or less.
非磁性支持体の磁性層(非磁性層を設ける場合には非磁性層)を塗布する面の中心線表面粗さは、は10nm以下0.1nm以上であることができ、好ましくは6nm以下0.2nm以上、さらに好ましくは4.5nm以下0.5nm以上である。非磁性支持体の長手方向のヤング率は5GPa以上、好ましくは6GPa以上、さらに好ましくは8GPa以上であることができ、幅方向のヤング率は3GPa以上、好ましくは4GPa以上であることができる。また、支持体の100℃30分での熱収縮率は、好ましくは3%以下、さらに好ましくは1.5%以下であることができ、80℃30分での熱収縮率は好ましくは1%以下、さらに好ましくは0.5%以下であることができる。破断強度は5〜100kg/mm2(≒49〜980MPa)、弾性率は100〜2000kg/mm2(≒0.98〜19.6GPa)であることが好ましい。温度膨張係数は10-4〜10-8/℃であることができ、好ましくは10-5〜10-6/℃である。湿度膨張係数は10-4/RH%以下であることができ、好ましくは10-5/RH%以下である。これらの熱特性、寸法特性、機械強度特性は支持体の面内各方向に対し10%以内の差でほぼ等しいことが好ましい。 The centerline surface roughness of the surface on which the magnetic layer of the nonmagnetic support (nonmagnetic layer when a nonmagnetic layer is provided) can be 10 nm or less and 0.1 nm or more, preferably 6 nm or less. .2 nm or more, more preferably 4.5 nm or less and 0.5 nm or more. The Young's modulus in the longitudinal direction of the nonmagnetic support can be 5 GPa or more, preferably 6 GPa or more, more preferably 8 GPa or more, and the Young's modulus in the width direction can be 3 GPa or more, preferably 4 GPa or more. Further, the heat shrinkage rate of the support at 100 ° C. for 30 minutes can be preferably 3% or less, more preferably 1.5% or less, and the heat shrinkage rate at 80 ° C. for 30 minutes is preferably 1%. Hereinafter, it may be more preferably 0.5% or less. The breaking strength is preferably 5 to 100 kg / mm 2 (≈49 to 980 MPa), and the elastic modulus is preferably 100 to 2000 kg / mm 2 (≈0.98 to 19.6 GPa). The temperature expansion coefficient can be 10 −4 to 10 −8 / ° C., preferably 10 −5 to 10 −6 / ° C. The humidity expansion coefficient can be 10 −4 / RH% or less, preferably 10 −5 / RH% or less. These thermal characteristics, dimensional characteristics, and mechanical strength characteristics are preferably substantially equal with a difference within 10% in each in-plane direction of the support.
[磁気記録媒体の製造方法]
本発明の磁気記録媒体は、各層を形成するための塗布液を塗布・乾燥等することで製造することができる。塗布液を製造する工程は、少なくとも混練工程、分散工程、およびこれらの工程の前後に必要に応じて設けた混合工程からなる。個々の工程はそれぞれ2段階以上にわかれていてもかまわない。本発明において使用される強磁性粉末、結合剤、カーボンブラック、研磨剤、帯電防止剤、潤滑剤、溶剤などすべての原料は、どの工程の最初または途中で添加してもかまわない。また、個々の原料を2つ以上の工程で分割して添加してもかまわない。例えば、ポリウレタンを混練工程、分散工程、分散後に粘度調整をするための混合工程で分割して投入してもよい。
[Method of manufacturing magnetic recording medium]
The magnetic recording medium of the present invention can be produced by applying and drying a coating solution for forming each layer. The process for producing the coating liquid comprises at least a kneading process, a dispersing process, and a mixing process provided as necessary before and after these processes. Each process may be divided into two or more stages. All raw materials such as ferromagnetic powder, binder, carbon black, abrasive, antistatic agent, lubricant and solvent used in the present invention may be added at the beginning or during any step. In addition, individual raw materials may be added in two or more steps. For example, polyurethane may be divided and added in a kneading step, a dispersing step, and a mixing step for adjusting the viscosity after dispersion.
本発明の磁気記録媒体の製造方法で用いられる有機溶媒としては、任意の比率で、アセトン、メチルエチルケトン、メチルイソブチルケトン、ジイソブチルケトン、シクロヘキサノン、イソホロン、テトラヒドロフラン等のケトン類、メタノール、エタノール、プロパノール、ブタノール、イソブチルアルコール、イソプロピルアルコール、メチルシクロヘキサノールなどのアルコール類、酢酸メチル、酢酸ブチル、酢酸イソブチル、酢酸イソプロピル、乳酸エチル、酢酸グリコール等のエステル類、グリコールジメチルエーテル、グリコールモノエチルエーテル、ジオキサンなどのグリコールエーテル系、ベンゼン、トルエン、キシレン、クレゾール、クロルベンゼンなどの芳香族炭化水素類、メチレンクロライド、エチレンクロライド、四塩化炭素、クロロホルム、エチレンクロルヒドリン、ジクロルベンゼン等の塩素化炭化水素類、N、N−ジメチルホルムアミド、ヘキサン等が使用できる。これら有機溶媒は必ずしも100%純粋ではなくてもよく、主成分以外に異性体、未反応物、副反応物、分解物、酸化物、水分等の不純分が含まれてもかまわない。これらの不純分の量は30%以下であることが好ましく、更に好ましくは10%以下である。本発明で用いる有機溶媒は、磁性層と非磁性層とでその種類は同じであることが好ましい。その添加量は変えてもかまわない。非磁性層に表面張力の高い溶媒(シクロヘキサノン、ジオキサンなど)を用い塗布の安定性をあげる、具体的には上層溶剤組成の算術平均値が下層溶剤組成の算術平均値を下回らないことが肝要である。分散性を向上させるためにはある程度極性が強い方が好ましく、溶剤組成の内、誘電率が15以上の溶剤が50%以上含まれることが好ましい。また、溶解パラメータは8〜11であることが好ましい。 As an organic solvent used in the method for producing a magnetic recording medium of the present invention, ketones such as acetone, methyl ethyl ketone, methyl isobutyl ketone, diisobutyl ketone, cyclohexanone, isophorone and tetrahydrofuran, methanol, ethanol, propanol and butanol can be used at any ratio. , Alcohols such as isobutyl alcohol, isopropyl alcohol and methylcyclohexanol, esters such as methyl acetate, butyl acetate, isobutyl acetate, isopropyl acetate, ethyl lactate and glycol acetate, glycol ethers such as glycol dimethyl ether, glycol monoethyl ether and dioxane Series, aromatic hydrocarbons such as benzene, toluene, xylene, cresol, chlorobenzene, methylene chloride, ethylene chloride, Carbon tetrachloride, chloroform, ethylene chlorohydrin, chlorobenzene, or dichlorobenzene, N, N- dimethylformamide, hexane and the like can be used. These organic solvents do not necessarily have to be 100% pure, and may contain impurities such as isomers, unreacted products, side reaction products, decomposition products, oxides and moisture in addition to the main components. The amount of these impurities is preferably 30% or less, more preferably 10% or less. The organic solvent used in the present invention is preferably the same type in the magnetic layer and the nonmagnetic layer. The amount added may be changed. Use non-magnetic layers with high surface tension solvents (cyclohexanone, dioxane, etc.) to improve coating stability. Specifically, it is important that the arithmetic average value of the upper layer solvent composition does not fall below the arithmetic average value of the lower layer solvent composition. is there. In order to improve dispersibility, it is preferable that the polarity is somewhat strong, and it is preferable that 50% or more of a solvent having a dielectric constant of 15 or more is included in the solvent composition. Moreover, it is preferable that a solubility parameter is 8-11.
本発明の磁気記録媒体を製造するためには、従来の公知の製造技術を一部の工程として用いることができることはもちろんであるが、混練工程では、連続ニーダや加圧ニーダなど強い混練力をもつものを使用することにより、高い残留磁束密度(Br)を有する磁気記録媒体を得ることもできる。連続ニーダまたは加圧ニーダを用いる場合は、強磁性粉末と結合剤のすべてまたはその一部(ただし全結合剤の30%以上が好ましい)および強磁性粉末100質量部に対し15〜500質量部の範囲で混練処理される。これらの混練処理の詳細については、特開平1−106338号公報、特開昭64−79274号公報に記載されている。また、非磁性層塗布液を調製する場合には高比重の分散メディアを用いることが望ましく、ジルコニアビーズが好適である。 In order to produce the magnetic recording medium of the present invention, it is of course possible to use a conventional known production technique as a part of the process, but in the kneading process, a strong kneading force such as a continuous kneader or a pressure kneader is used. By using the recording medium, a magnetic recording medium having a high residual magnetic flux density (Br) can be obtained. When a continuous kneader or a pressure kneader is used, the ferromagnetic powder and the binder are all or a part thereof (however, 30% or more of the total binder is preferable) and 15 to 500 parts by mass with respect to 100 parts by mass of the ferromagnetic powder. It is kneaded in the range. Details of these kneading treatments are described in JP-A-1-106338 and JP-A-64-79274. Further, when preparing the nonmagnetic layer coating solution, it is desirable to use a dispersion medium having a high specific gravity, and zirconia beads are preferred.
非磁性粉末と結合剤を含有する非磁性層塗布液および強磁性粉末と結合剤とを含む磁性層塗布液を、非磁性層の上に磁性層が形成されるように、非磁性支持体上に同時または逐次に塗布し、塗布層が湿潤状態にあるうちにスムージング処理と磁場配向とを行う方法を用いることができる。 A nonmagnetic layer coating solution containing a nonmagnetic powder and a binder and a magnetic layer coating solution containing a ferromagnetic powder and a binder are applied to a nonmagnetic support so that the magnetic layer is formed on the nonmagnetic layer. It is possible to use a method in which the coating is applied simultaneously or sequentially, and smoothing treatment and magnetic field orientation are performed while the coating layer is in a wet state.
上記のような重層構成の磁気記録媒体を塗布する装置、方法としては、例えば、以下のような方法および装置を挙げることができる。
1.磁性層塗布液の塗布で一般的に用いられるグラビア塗布、ロール塗布、ブレード塗布、エクストルージョン塗布装置等により、まず非磁性層を塗布し、非磁性層がウェット状態のうちに、特公平1−46186号公報や特開昭60−238179号公報、特開平2−265672号公報に開示されている支持体加圧型エクストルージョン塗布装置により磁性層を塗布する。
2.特開昭63−88080号公報、特開平2−17971号公報、特開平2−265672号公報に開示されているような塗布液通液スリットを二つ内蔵する一つの塗布ヘッドにより上下層をほぼ同時に塗布する。
3.特開平2−174965号公報に開示されているバックアップロール付きエクストルージョン塗布装置により上下層をほぼ同時に塗布する。
Examples of the apparatus and method for applying a magnetic recording medium having a multilayer structure as described above include the following methods and apparatuses.
1. First, a nonmagnetic layer is applied by a gravure coating, a roll coating, a blade coating, an extrusion coating device or the like generally used for coating a magnetic layer coating solution. The magnetic layer is applied by a support pressure type extrusion coating apparatus disclosed in Japanese Patent No. 46186, Japanese Patent Laid-Open No. 60-238179, and Japanese Patent Laid-Open No. 2-265672.
2. The upper and lower layers are substantially separated by one coating head having two slits for passing coating liquid as disclosed in JP-A-63-88080, JP-A-2-17971, and JP-A-2-265672. Apply at the same time.
3. The upper and lower layers are applied almost simultaneously by an extrusion coating apparatus with a backup roll disclosed in JP-A-2-174965.
強磁性粉末の凝集による磁気記録媒体の電磁変換特性等の低下を防止するため、特開昭62−95174号公報や特開平1−236968号公報に開示されているような方法により塗布ヘッド内部の塗布液にせん断を付与することが望ましい。さらに、塗布液の粘度については、特開平3−8471号公報に開示されている数値範囲を満足することが適当である。
さらに、スムージング処理は、例えば、ステンレス板をウェブ上の塗布層表面に当てて行うことができ、これ以外に、特公昭60−57387号公報に記載されているような固体スムーザーによる方法、静止しているか、またはウェブ走行方向と逆方向に回転しているロッドで塗布液を掻き落とし計量する方法、塗布液膜の表面にフレキシブルなシートを面接触させて平滑化する方法等を採用することもできる。
また、磁場配向には、1000G(0.1T)以上のソレノイドと2000G(0.2T)以上のコバルト磁石を同極対向で併用することが好ましい。また、本発明の磁気記録媒体がディスク状媒体である場合は、むしろ配向をランダマイズするような配向法を用いることが好ましい。
In order to prevent a decrease in electromagnetic conversion characteristics and the like of the magnetic recording medium due to aggregation of the ferromagnetic powder, a method such as disclosed in Japanese Patent Application Laid-Open Nos. 62-95174 and 1-2236968 can be used. It is desirable to apply shear to the coating solution. Furthermore, it is appropriate for the viscosity of the coating solution to satisfy the numerical range disclosed in JP-A-3-8471.
Furthermore, the smoothing treatment can be performed, for example, by applying a stainless steel plate to the surface of the coating layer on the web. Besides this, a method using a solid smoother as described in JP-B-60-57387, Or a method of scraping and measuring the coating liquid with a rod rotating in the direction opposite to the web traveling direction, a method of smoothing the surface of the coating liquid film by contacting a flexible sheet, etc. it can.
For magnetic field orientation, it is preferable to use a solenoid of 1000 G (0.1 T) or more and a cobalt magnet of 2000 G (0.2 T) or more in the same pole facing each other. When the magnetic recording medium of the present invention is a disk-like medium, it is preferable to use an orientation method that randomizes the orientation.
カレンダ処理ロールとしては、エポキシ、ポリイミド、ポリアミド、ポリイミドアミド等の耐熱性のあるプラスチックロールを使用することができる。また、金属ロール同士で処理することも出来る。処理温度は、好ましくは30℃以上、さらに好ましくは35℃以上100℃以下である。線圧力は、好ましくは200kg/cm、さらに好ましくは300kg/cm以上である。本発明の磁気記録媒体の磁性層面およびその反対面のSUS420Jに対する摩擦係数は、好ましくは0.5以下、さらに0.3以下、表面固有抵抗は好ましくは104〜1012オーム/sq、磁性層の0.5%伸びでの弾性率は走行方向、幅方向とも好ましくは100〜2000kg/mm2(≒0.98〜19.6GPa)、破断強度は好ましくは1〜30kg/cm2(≒0.098〜2.94MPa)、磁気記録媒体の弾性率は、走行方向、長手方向とも、好ましくは100〜1500kg/mm2(≒49〜735MPa)、残留伸びは好ましくは0.5%以下、100℃以下のあらゆる温度での熱収縮率は好ましくは1%以下、さらに好ましくは0.5%以下、最も好ましくは0.1%以下である。磁性層のガラス転移温度(110Hzで測定した動的粘弾性測定の損失弾性率の極大点)は50℃以上120℃以下であることが好ましく、非磁性層のそれは0℃〜100℃であることが好ましい。損失弾性率は1×108〜8×109dyne/cm2(1×107〜8×108Pa)の範囲にあることが好ましく、損失正接は0.2以下であることが好ましい。損失正接が大きすぎると粘着故障が出やすい。 As the calendering roll, a heat-resistant plastic roll such as epoxy, polyimide, polyamide, polyimide amide or the like can be used. Moreover, it can also process with metal rolls. The treatment temperature is preferably 30 ° C. or higher, more preferably 35 ° C. or higher and 100 ° C. or lower. The linear pressure is preferably 200 kg / cm, more preferably 300 kg / cm or more. The friction coefficient with respect to SUS420J on the magnetic layer surface and the opposite surface of the magnetic recording medium of the present invention is preferably 0.5 or less, more preferably 0.3 or less, the surface resistivity is preferably 10 4 to 10 12 ohm / sq, and the magnetic layer The elastic modulus at 0.5% elongation is preferably 100 to 2000 kg / mm 2 (≈0.98 to 19.6 GPa) in both the running direction and the width direction, and the breaking strength is preferably 1 to 30 kg / cm 2 (≈0). 0.098-2.94 MPa), the elastic modulus of the magnetic recording medium is preferably 100-1500 kg / mm 2 (≈49-735 MPa) in both the running direction and the longitudinal direction, and the residual elongation is preferably 0.5% or less, 100 The thermal shrinkage at any temperature below 0 ° C. is preferably 1% or less, more preferably 0.5% or less, and most preferably 0.1% or less. The glass transition temperature of the magnetic layer (maximum point of loss elastic modulus in dynamic viscoelasticity measurement measured at 110 Hz) is preferably 50 ° C. or higher and 120 ° C. or lower, and that of the nonmagnetic layer is 0 ° C. to 100 ° C. Is preferred. The loss elastic modulus is preferably in the range of 1 × 10 8 to 8 × 10 9 dyne / cm 2 (1 × 10 7 to 8 × 10 8 Pa), and the loss tangent is preferably 0.2 or less. If the loss tangent is too large, adhesion failure is likely to occur.
磁性層中に含まれる残留溶媒は、好ましくは100mg/m2以下、さらに好ましくは10mg/m2以下である。磁性層が有する空隙率は非磁性層、磁性層とも好ましくは30容量%以下、さらに好ましくは20容量%以下である。高出力を果たすためには空隙率は小さい方が好ましいが、目的によってはある値を確保した方が良い場合がある。例えば、繰り返し用途が重視されるデータ記録用磁気記録媒体では空隙率が大きい方が走行耐久性は好ましいことが多い。本発明の磁気記録媒体の磁気特性は磁場398kA/m(5KOe)で測定した場合、テープ走行方向の角形比は0.70以上であることができ、好ましくは0.80以上さらに好ましくは0.90以上である。
テープ走行方向に直角な二つの方向の角型比は走行方向の角型比の80%以下となることが好ましい。前述のように、磁性層のSFD(Swiching Field Distribution)は0.6以下であることが好ましい。
The residual solvent contained in the magnetic layer is preferably 100 mg / m 2 or less, more preferably 10 mg / m 2 or less. The porosity of the magnetic layer is preferably 30% by volume or less, and more preferably 20% by volume or less for both the nonmagnetic layer and the magnetic layer. In order to achieve high output, it is preferable that the porosity is small, but it may be better to ensure a certain value depending on the purpose. For example, in a data recording magnetic recording medium in which repetitive use is important, a larger porosity is often preferable for running durability. When the magnetic characteristics of the magnetic recording medium of the present invention are measured at a magnetic field of 398 kA / m (5 KOe), the squareness ratio in the tape running direction can be 0.70 or more, preferably 0.80 or more, more preferably 0.8. 90 or more.
The squareness ratio in the two directions perpendicular to the tape running direction is preferably 80% or less of the squareness ratio in the running direction. As described above, the SFD (Switching Field Distribution) of the magnetic layer is preferably 0.6 or less.
本発明の磁気記録媒体は、非磁性層と磁性層とを有するものであることができ、目的に応じ非磁性層と磁性層とでこれらの物理特性を変えることができることは容易に推定されることである。例えば、磁性層の弾性率を高くし走行耐久性を向上させると同時に非磁性層の弾性率を磁性層より低くして磁気記録媒体のヘッドへの当りを良くするなどである。磁性層は二層以上であることもでき、二層以上の磁性層にそれぞれどのような物理特性をもたらすかは、公知の磁性層重層に関する技術を参考にすることができる。例えば上層磁性層のHcを下層磁性層のHcより高くすることは、特公昭37−2218号公報、特開昭58−56228号公報等をはじめ多くの文献に記載されており、本発明のように磁性層を薄層にすることにより、より高いHcの磁性層でも記録が可能になる。 The magnetic recording medium of the present invention can have a nonmagnetic layer and a magnetic layer, and it is easily estimated that these physical characteristics can be changed between the nonmagnetic layer and the magnetic layer according to the purpose. That is. For example, the elastic modulus of the magnetic layer is increased to improve running durability, and at the same time, the elastic modulus of the nonmagnetic layer is made lower than that of the magnetic layer to improve the contact of the magnetic recording medium with the head. There can be two or more magnetic layers, and it is possible to refer to a known technique related to the magnetic layer multilayer to determine what physical characteristics are brought about by each of the two or more magnetic layers. For example, making Hc of the upper magnetic layer higher than Hc of the lower magnetic layer is described in many documents including Japanese Patent Publication No. 37-2218, Japanese Patent Application Laid-Open No. 58-56228, and the like. Further, by making the magnetic layer thin, recording can be performed even with a magnetic layer having a higher Hc.
次に、実施例、比較例により本発明を具体的に説明する。実施例中、「部」との表示は「質量部」を表す。
[実験例1]
非磁性層塗布液
α−Fe2O3 (非磁性粉体ヘマタイト) 80部
平均長軸長:0.15μm
BET法による比表面積:52m2/g
pH:8
タップ密度:0.8g/ml
DBP吸油量:7〜38g/100g
表面処理剤:Al2O3、SiO2
カーボンブラック 20部
平均一次粒子径:16nm
DBP吸油量:76ml/100g
pH:8
BET法による比表面積:250m2/g
揮発分:1.5%
塩化ビニル系共重合体 12部
日本ゼオン製MR−104
ポリエステルポリウレタン樹脂 5部
ネオペンチルグリコール/カプロラクトンポリオール/MDI
=0.9/2.6/1、−SO3Na基:1×10-4eq/g
α−Al2O3(平均粒径0.2μm) 1部
ブチルステアレート 1部
ステアリン酸 1部
メチルエチルケトン 100部
シクロヘキサノン 50部
トルエン 50部
Next, the present invention will be specifically described with reference to Examples and Comparative Examples. In the examples, the display of “parts” represents “parts by mass”.
[Experimental Example 1]
Nonmagnetic layer coating solution α-Fe 2 O 3 (nonmagnetic powder hematite) 80 parts
Average long axis length: 0.15 μm
Specific surface area by BET method: 52 m 2 / g
pH: 8
Tap density: 0.8g / ml
DBP oil absorption: 7 to 38 g / 100 g
Surface treatment agent: Al 2 O 3 , SiO 2
20 parts of carbon black
Average primary particle size: 16 nm
DBP oil absorption: 76ml / 100g
pH: 8
Specific surface area by BET method: 250 m 2 / g
Volatile content: 1.5%
12 parts of vinyl chloride copolymer MR-104 manufactured by Nippon Zeon
Polyester polyurethane resin 5 parts
Neopentyl glycol / Caprolactone polyol / MDI
= 0.9 / 2.6 / 1, -SO 3 Na group: 1 × 10 -4 eq / g
α-Al 2 O 3 (average particle size 0.2 μm) 1 part butyl stearate 1 part stearic acid 1 part methyl ethyl ketone 100 parts cyclohexanone 50 parts toluene 50 parts
磁性層塗布液
強磁性金属粉末 100部
組成 Fe/Co=100/30
Hc:183kA/m(2300Oe)
BET法による比表面積:68m2/g
結晶子サイズ:125Å
表面処理剤:Al2O3、Y2O3
粒子サイズ(長軸長):60nm
σs:125A・m2/kg
ポリエステルポリウレタン樹脂 12部
ネオペンチルグリコール/カプロラクトンポリオール/MDI
=0.9/2.6/1、−SO3Na基:1×10-4eq/g
α−Al2O3(平均粒径0.15μm) 5部
カーボンブラック(平均粒径0.08μm) 0.5部
ブチルステアレート 1部
ステアリン酸 5部
メチルエチルケトン 90部
シクロヘキサノン 30部
トルエン 60部
Magnetic layer coating solution 100 parts of ferromagnetic metal powder
Composition Fe / Co = 100/30
Hc: 183 kA / m (2300 Oe)
Specific surface area by BET method: 68 m 2 / g
Crystallite size: 125Å
Surface treatment agent: Al 2 O 3 , Y 2 O 3
Particle size (major axis length): 60nm
σs: 125 A · m 2 / kg
Polyester polyurethane resin 12 parts Neopentyl glycol / Caprolactone polyol / MDI
= 0.9 / 2.6 / 1, -SO 3 Na group: 1 × 10 -4 eq / g
α-Al 2 O 3 (average particle size 0.15 μm) 5 parts Carbon black (average particle size 0.08 μm) 0.5 part Butyl stearate 1 part Stearic acid 5 parts Methyl ethyl ketone 90 parts Cyclohexanone 30 parts Toluene 60 parts
上記の塗布液のそれぞれについて、各成分をオープンニーダで混練した後、サンドミルを用いて分散させた。その後、ポリイソシアネート(日本ポリウレタン(株)製 コロネートL)を、非磁性層塗布液には5部加え、磁性層塗布液には、5部加えて、更にそれぞれにメチルエチルケトン、シクロヘキサノン混合溶媒(混合比率5:5)を40部を加え、1μmの平均孔径を有するフィルターを用いて濾過し、非磁性層塗布液、磁性層塗布液をそれぞれ調製した。 About each of said coating liquid, after kneading | mixing each component with an open kneader, it was disperse | distributed using the sand mill. Then, 5 parts of polyisocyanate (Coronate L manufactured by Nippon Polyurethane Co., Ltd.) is added to the non-magnetic layer coating solution and 5 parts to the magnetic layer coating solution, and each is further mixed with methyl ethyl ketone and cyclohexanone mixed solvent (mixing ratio). 40 parts of 5: 5) was added and filtered using a filter having an average pore diameter of 1 μm to prepare a nonmagnetic layer coating solution and a magnetic layer coating solution, respectively.
バックコート層
微粒子状カーボンブラック粉末(平均粒子径:38nm) 100部
粗粒子状カーボンブラック粉末(平均粒子径80nm) 5部
分散剤(表1参照) 3部
ニトロセルロース樹脂 67部
ポリウレタン樹脂 47部
ポリイソシアネート 25部
メチルエチルケトン 1330部
シクロヘキサノン 420部
Back coat layer Fine particle carbon black powder (average particle diameter: 38 nm) 100 parts Coarse particle carbon black powder (average particle diameter 80 nm) 5 parts Dispersant (see Table 1) 3 parts Nitrocellulose resin 67 parts Polyurethane resin 47 parts Poly Isocyanate 25 parts Methyl ethyl ketone 1330 parts Cyclohexanone 420 parts
微粒子カーボンブラック粉体、粗粒子状カーボンブラック粉体、分散剤、処方量の50%ポリウレタン樹脂をメチルエチルケトン300部、シクロヘキサノン200部と共に混練した後、サンドミル(分散メディア:ジルコニアφ0.5μm)を用いて6時間一次分散した。
次いで更に処方量の50%ポリウレタン樹脂とメチルエチルケトン130部を添加した後サンドミル(分散メディア:ジルコニアφ0.5μm)を用いて6時間二次分散した。
得られた二次分散液に、更にニトロセルロース樹脂とメチルエチルケトン200部を添加した後、サンドミル(分散メディア:ジルコニアφ0.5μm)を用いて3時間三次分散した。
得られた三次分散液にポリイソシアネートとメチルエチルケトン700部、シクロヘキサノン220部を添加した後、サンドミル(分散メディア:ジルコニアφ0.5μm)を用いて1時間四次分散した。得られた分散液を、平均孔径1μmのフィルターを用いて濾過することにより、バックコート層塗布液を調製した。
After kneading fine particle carbon black powder, coarse carbon black powder, dispersant, and prescribed amount of 50% polyurethane resin with 300 parts of methyl ethyl ketone and 200 parts of cyclohexanone, using a sand mill (dispersion medium: zirconia φ0.5 μm) Primary dispersion for 6 hours.
Subsequently, a 50% polyurethane resin in a prescribed amount and 130 parts of methyl ethyl ketone were added, followed by secondary dispersion for 6 hours using a sand mill (dispersion medium: zirconia φ0.5 μm).
Nitrocellulose resin and 200 parts of methyl ethyl ketone were further added to the obtained secondary dispersion, followed by tertiary dispersion for 3 hours using a sand mill (dispersion medium: zirconia φ0.5 μm).
After adding polyisocyanate, 700 parts of methyl ethyl ketone, and 220 parts of cyclohexanone to the resulting tertiary dispersion, quaternary dispersion was performed for 1 hour using a sand mill (dispersion medium: zirconia φ0.5 μm). The obtained dispersion was filtered using a filter having an average pore diameter of 1 μm to prepare a backcoat layer coating solution.
非磁性層塗布液を、乾燥後の厚さが1μmになるように、さらにその直後にその上に磁性層の厚さが0.12μmになるように、厚さ6μmで磁性層塗布面の中心線表面粗さが0.002μmかつ長手方向のヤング率が6.86GPa(700kg/mm2)、幅方向のヤング率が4.9GPa(500kg/mm2)のポリエチレンナフタレート支持体上に同時重層塗布し、両層がまだ湿潤状態にあるうちに、3000G(0.3T)の磁力をもつコバルト磁石と1500G(0.15T)の磁力をもつソレノイドにより配向させ乾燥させた。その後、金属ロールとエポキシ樹脂ロールから構成される7段のカレンダで温度40℃にて分速200m/min.で処理を行った。その後、厚み0.5μmのバックコート層を塗布した。次いで該ロールを1/2インチ幅にスリットし、スリット後のテープをDLT型システム対応のカートリッジ(Compact TapeIV)に557m巻き込み、DLT4000用コンピュータデータ記録用磁気テープを製造した。 The non-magnetic layer coating solution is 6 μm thick so that the thickness after drying is 1 μm and immediately after that the magnetic layer thickness is 0.12 μm. Simultaneous layering on a polyethylene naphthalate support having a linear surface roughness of 0.002 μm, a Young's modulus in the longitudinal direction of 6.86 GPa (700 kg / mm 2 ), and a Young's modulus in the width direction of 4.9 GPa (500 kg / mm 2 ) While the two layers were still wet, they were oriented and dried by a cobalt magnet having a magnetic force of 3000 G (0.3 T) and a solenoid having a magnetic force of 1500 G (0.15 T). Thereafter, a seven-stage calendar composed of a metal roll and an epoxy resin roll at a temperature of 40 ° C. and a speed of 200 m / min. The process was performed. Thereafter, a backcoat layer having a thickness of 0.5 μm was applied. Next, the roll was slit to a width of 1/2 inch, and the tape after slitting was wound around a DLT type system compatible cartridge (Compact Tape IV) by 557 m to produce a DLT4000 computer data recording magnetic tape.
[実施例2]
バックコート層に使用する粗粒子状カーボンブラックの平均粒径を90nmに変更した以外は実験例1と同様に作製した。
[Example 2]
It was produced in the same manner as in Experimental Example 1 except that the average particle size of coarse particulate carbon black used for the backcoat layer was changed to 90 nm.
[比較例1]
バックコート層に分散剤を用いなかった。また、バックコート層塗布液の調製は、以下のように行った。
微粒子カーボンブラック粉体、粗粒子状カーボンブラック粉体、処方量のポリウレタン樹脂とニトロセルロース樹脂、メチルエチルケトン630部、シクロヘキサノン200部と共にディスパーで攪拌後、サンドミル(分散メディア:ガラスビーズφ2μm)を用いて6時間一次分散した。得られた分散液にポリイソシアネートとメチルエチルケトン700部、シクロヘキサノン220部添加後ディスパ(分散メディア:ジルコニアφ0.5μm)を用いて30分攪拌した。平均孔径1μmのフィルターを用いて濾過することにより、バックコート層塗布液を調製した。
[Comparative Example 1]
No dispersant was used in the backcoat layer. The backcoat layer coating solution was prepared as follows.
Fine particle carbon black powder, coarse particle carbon black powder, prescription amount of polyurethane resin and nitrocellulose resin, 630 parts of methyl ethyl ketone, 200 parts of cyclohexanone and stirred with a disper, then 6 using a sand mill (dispersion media: glass beads φ2 μm) Dispersed primarily by time. After adding 700 parts of polyisocyanate, methyl ethyl ketone and 220 parts of cyclohexanone to the obtained dispersion, the mixture was stirred for 30 minutes using a disperser (dispersion medium: zirconia φ0.5 μm). A backcoat layer coating solution was prepared by filtering using a filter having an average pore diameter of 1 μm.
[比較例2]
分散剤を塩基性高分子系分散剤アジスパーPB711(味の素ファインテクノ(株))に変更した以外は、実施例1と同様に作成した。
[Comparative Example 2]
It was prepared in the same manner as in Example 1 except that the dispersant was changed to the basic polymer dispersant Azisper PB711 (Ajinomoto Fine Techno Co., Ltd.).
[比較例3]
表1に示す分散剤を使用し、かつ、バックコート層に使用する微粒子カーボンブラック粉末の平均粒径を17nmに、粗粒子カーボンブラック粉末の平均粒径を270nmに変更した以外は、比較例1と同様に作成した。
[Comparative Example 3]
Comparative Example 1 except that the dispersant shown in Table 1 was used, and the average particle size of the fine particle carbon black powder used in the backcoat layer was changed to 17 nm, and the average particle size of the coarse particle carbon black powder was changed to 270 nm. Created in the same way.
実施例1および2ならびに比較例3において使用した分散剤の構造式を以下に示す。 The structural formulas of the dispersants used in Examples 1 and 2 and Comparative Example 3 are shown below.
評価方法
(1)バック層突起個数および磁性層凹み個数
バックコート層の自乗平均表面から50nm以上の高さを有する突起個数を、ZYGO社製の表面粗さ計(NewView5000)を使用して265μm×350μmの範囲を測定し、画像解析ソフトにより自乗平均表面から50nm以上の高さの領域の個数を積算して求めた。また、磁性層の凹み個数も、同様の方法で測定した。
(2)SNR
LTOドライブを用い、ECMA規格に準じてSNRskを測定した。再生ヘッドは、幅3μmのMR素子を用いた。比較例1の測定値を0dBとした。
(3)巻き姿
LTO1のカートリッジテープにテープを600m巻き取り、同ドライブ(IBM社製)で搬送速度5m/secで全長記録し、巻き取ったテープの巻き面を観察した。テープ巻き面の飛び出し箇所を数えた。飛び出し箇所が3箇所以下の場合を「良」とし、飛び出し箇所が3箇所を超える場合を「不良」とした。
測定結果を表1に示した。
Evaluation Method (1) Number of Back Layer Protrusions and Number of Magnetic Layer Recesses The number of protrusions having a height of 50 nm or more from the root mean square surface of the backcoat layer was 265 μm using a surface roughness meter (NewView 5000) manufactured by ZYGO. The range of 350 μm was measured, and the number of regions having a height of 50 nm or more from the root mean square surface was calculated by image analysis software. The number of dents in the magnetic layer was also measured by the same method.
(2) SNR
Using an LTO drive, SNRsk was measured according to ECMA standards. As the reproducing head, an MR element having a width of 3 μm was used. The measured value of Comparative Example 1 was set to 0 dB.
(3) Winding form The tape was wound up on a cartridge tape of LTO1 by 600 m, and the full length was recorded with the same drive (manufactured by IBM) at a conveyance speed of 5 m / sec, and the wound surface of the wound tape was observed. The protruding part of the tape winding surface was counted. The case where the number of jumping out points was 3 or less was determined as “good”, and the case where the number of popping out points exceeded 3 was determined as “bad”.
The measurement results are shown in Table 1.
バックコート層に一般式(I)で示される化合物を含有し、バックコート層表面の50nm以上の高さを持つ突起個数が250個/265×350μm2以下の実施例1および2は、磁性層表面の深さ20nm以上の凹み個数が50個/265×350μm2以下であり、SNRが高く、また、走行後の巻き姿も良好であった。
バックコート層に分散剤を含まず、分散方法が実施例1および2とは異なる比較例1では、バックコート層表面の50nm以上の高さを持つ突起個数が250個/265×350μm2を超えた。比較例1では、磁性層表面の深さ20nm以上の凹み個数が50個/265×350μm2を超え、実施例1および2と比べてSNRが低かった。
一般式(I)で示される化合物以外の分散剤を使用した比較例2では、バックコート層表面の50nm以上の高さを持つ突起個数が250個/265×350μm2を超えた。比較例2では、磁性層表面の深さ20nm以上の凹み個数が50個/265×350μm2を超え、実施例1および2と比べてSNRが低く、また走行後のテープ巻き面の飛び出しも多く、走行性に劣るものであった。
バックコート層に使用するカーボンブラックを変更した以外は比較例1と同様の分散方法で作製した比較例3では、バックコート層表面の50nm以上の高さを持つ突起個数が250個/265×350μm2を超えた。比較例3では、SNRがきわめて低く、また走行後のテープ巻き面の飛び出しも多く、走行性に劣るものであった。
Examples 1 and 2 in which the backcoat layer contains the compound represented by the general formula (I) and the number of protrusions having a height of 50 nm or more on the surface of the backcoat layer is 250/265 × 350 μm 2 or less are magnetic layers The number of recesses having a surface depth of 20 nm or more was 50/265 × 350 μm 2 or less, the SNR was high, and the winding shape after running was also good.
In Comparative Example 1 in which the backcoat layer does not contain a dispersant and the dispersion method is different from those in Examples 1 and 2, the number of protrusions having a height of 50 nm or more on the surface of the backcoat layer exceeds 250/265 × 350 μm 2 . It was. In Comparative Example 1, the number of recesses having a depth of 20 nm or more on the surface of the magnetic layer exceeded 50/265 × 350 μm 2 , and the SNR was lower than those in Examples 1 and 2.
In Comparative Example 2 using a dispersant other than the compound represented by the general formula (I), the number of protrusions having a height of 50 nm or more on the surface of the backcoat layer exceeded 250/265 × 350 μm 2 . In Comparative Example 2, the number of recesses with a depth of 20 nm or more on the surface of the magnetic layer exceeds 50/265 × 350 μm 2 , the SNR is lower than those in Examples 1 and 2, and the tape winding surface after running has a lot of protrusion. The running performance was inferior.
In Comparative Example 3 produced by the same dispersion method as in Comparative Example 1 except that the carbon black used in the backcoat layer was changed, the number of protrusions having a height of 50 nm or more on the surface of the backcoat layer was 250 pieces / 265 × 350 μm. 2 exceeded. In Comparative Example 3, the SNR was very low, and the tape winding surface after running was often popped out, resulting in poor running performance.
本発明の磁気記録媒体は、高密度デジタル記録用磁気記録媒体として好適に用いることができる。 The magnetic recording medium of the present invention can be suitably used as a magnetic recording medium for high density digital recording.
Claims (4)
前記バックコート層は、下記一般式(I)で示される化合物を含有し、
前記バックコート層表面の50nm以上の高さを持つ突起個数が250個/265×350μm2以下であることを特徴とする磁気記録媒体。
The back coat layer contains a compound represented by the following general formula (I):
The number of protrusions having a height of 50 nm or more on the surface of the backcoat layer is 250/265 × 350 μm 2 or less.
The magnetic recording according to any one of claims 1 to 3, wherein the ferromagnetic powder is a ferromagnetic hexagonal ferrite powder having an average plate diameter of 10 to 40 nm or a ferromagnetic metal powder having an average major axis length of 20 to 70 nm. Medium.
Priority Applications (1)
| Application Number | Priority Date | Filing Date | Title |
|---|---|---|---|
| JP2004086083A JP2005276285A (en) | 2004-03-24 | 2004-03-24 | Magnetic recording medium |
Applications Claiming Priority (1)
| Application Number | Priority Date | Filing Date | Title |
|---|---|---|---|
| JP2004086083A JP2005276285A (en) | 2004-03-24 | 2004-03-24 | Magnetic recording medium |
Publications (1)
| Publication Number | Publication Date |
|---|---|
| JP2005276285A true JP2005276285A (en) | 2005-10-06 |
Family
ID=35175797
Family Applications (1)
| Application Number | Title | Priority Date | Filing Date |
|---|---|---|---|
| JP2004086083A Pending JP2005276285A (en) | 2004-03-24 | 2004-03-24 | Magnetic recording medium |
Country Status (1)
| Country | Link |
|---|---|
| JP (1) | JP2005276285A (en) |
Cited By (19)
| Publication number | Priority date | Publication date | Assignee | Title |
|---|---|---|---|---|
| JP2020155190A (en) * | 2019-03-22 | 2020-09-24 | 富士フイルム株式会社 | Magnetic tape, magnetic tape cartridge and magnetic recording / playback device |
| US11355146B2 (en) | 2019-01-31 | 2022-06-07 | Fujifilm Corporation | Magnetic tape, magnetic tape cartridge, and magnetic tape apparatus |
| US11355142B2 (en) | 2019-01-31 | 2022-06-07 | Fujifilm Corporation | Magnetic tape, magnetic tape cartridge, and magnetic tape apparatus |
| US11355148B2 (en) | 2019-05-15 | 2022-06-07 | Fujifilm Corporation | Magnetic recording medium and magnetic recording and reproducing apparatus |
| US11367460B2 (en) | 2018-03-29 | 2022-06-21 | Fujifilm Corporation | Magnetic recording medium and magnetic recording and reproducing device |
| US11367461B2 (en) | 2019-04-26 | 2022-06-21 | Fujifilm Corporation | Magnetic recording medium having characterized magnetic layer, and magnetic recording and reproducing apparatus |
| US11423934B2 (en) | 2019-03-28 | 2022-08-23 | Fujifilm Corporation | Magnetic tape, magnetic tape cartridge, and magnetic recording and reproducing apparatus |
| US12300288B2 (en) | 2021-09-29 | 2025-05-13 | Fujifilm Corporation | Magnetic tape having characterized magnetic layer surface, magnetic tape cartridge, and magnetic tape device |
| US12300287B2 (en) | 2021-07-26 | 2025-05-13 | Fujifilm Corporation | Magnetic tape having characterized magnetic layer, magnetic tape cartridge, and magnetic tape apparatus |
| US12300276B2 (en) | 2021-07-26 | 2025-05-13 | Fujifilm Corporation | Magnetic tape having characterized magnetic layer, magnetic tape cartridge, and magnetic tape apparatus |
| US12300286B2 (en) | 2021-09-29 | 2025-05-13 | Fujifilm Corporation | Magnetic tape having characterized magnetic layer surface, magnetic tape cartridge, and magnetic tape device |
| US12308057B2 (en) | 2021-09-29 | 2025-05-20 | Fujifilm Corporation | Magnetic tape having characterized magnetic layer surface, magnetic tape cartridge, and magnetic tape device |
| US12308060B2 (en) | 2021-09-29 | 2025-05-20 | Fujifilm Corporation | Magnetic tape having characterized magnetic layer surface, magnetic tape cartridge, and magnetic tape device |
| US12308059B2 (en) | 2021-09-29 | 2025-05-20 | Fujifilm Corporation | Magnetic tape having characterized magnetic layer surface, magnetic tape cartridge, and magnetic tape device |
| US12308054B2 (en) | 2021-09-29 | 2025-05-20 | Fujifilm Corporation | Magnetic tape having characterized magnetic layer surface, magnetic tape cartridge, and magnetic tape device |
| US12308058B2 (en) | 2021-09-29 | 2025-05-20 | Fujifilm Corporation | Magnetic tape having characterized magnetic layer surface, magnetic tape cartridge, and magnetic tape device |
| US12322425B2 (en) | 2021-09-29 | 2025-06-03 | Fujifilm Corporation | Magnetic tape having characterized magnetic layer, magnetic tape cartridge, and magnetic tape device |
| US12334125B2 (en) | 2021-12-02 | 2025-06-17 | Fujifilm Corporation | Magnetic tape having characterized magnetic layer, magnetic tape cartridge, and magnetic tape device |
| US12380924B2 (en) | 2022-09-15 | 2025-08-05 | Fujifilm Corporation | Magnetic tape with characterized AlFeSil abrasion value, magnetic tape cartridge, and magnetic tape apparatus |
-
2004
- 2004-03-24 JP JP2004086083A patent/JP2005276285A/en active Pending
Cited By (23)
| Publication number | Priority date | Publication date | Assignee | Title |
|---|---|---|---|---|
| US11367460B2 (en) | 2018-03-29 | 2022-06-21 | Fujifilm Corporation | Magnetic recording medium and magnetic recording and reproducing device |
| US11423932B2 (en) | 2019-01-31 | 2022-08-23 | Fujifilm Corporation | Magnetic tape, magnetic tape cartridge, and magnetic tape apparatus |
| US11355142B2 (en) | 2019-01-31 | 2022-06-07 | Fujifilm Corporation | Magnetic tape, magnetic tape cartridge, and magnetic tape apparatus |
| US11355146B2 (en) | 2019-01-31 | 2022-06-07 | Fujifilm Corporation | Magnetic tape, magnetic tape cartridge, and magnetic tape apparatus |
| US11380357B2 (en) | 2019-01-31 | 2022-07-05 | Fujifilm Corporation | Magnetic tape, magnetic tape cartridge, and magnetic tape apparatus |
| US11355147B2 (en) | 2019-03-22 | 2022-06-07 | Fujifilm Corporation | Magnetic tape having characterized back coating layer, magnetic tape cartridge, and magnetic recording and reproducing apparatus |
| JP7098562B2 (en) | 2019-03-22 | 2022-07-11 | 富士フイルム株式会社 | Magnetic tape, magnetic tape cartridge and magnetic recording / playback device |
| JP2020155190A (en) * | 2019-03-22 | 2020-09-24 | 富士フイルム株式会社 | Magnetic tape, magnetic tape cartridge and magnetic recording / playback device |
| US11423934B2 (en) | 2019-03-28 | 2022-08-23 | Fujifilm Corporation | Magnetic tape, magnetic tape cartridge, and magnetic recording and reproducing apparatus |
| US11367461B2 (en) | 2019-04-26 | 2022-06-21 | Fujifilm Corporation | Magnetic recording medium having characterized magnetic layer, and magnetic recording and reproducing apparatus |
| US11355148B2 (en) | 2019-05-15 | 2022-06-07 | Fujifilm Corporation | Magnetic recording medium and magnetic recording and reproducing apparatus |
| US12300287B2 (en) | 2021-07-26 | 2025-05-13 | Fujifilm Corporation | Magnetic tape having characterized magnetic layer, magnetic tape cartridge, and magnetic tape apparatus |
| US12300276B2 (en) | 2021-07-26 | 2025-05-13 | Fujifilm Corporation | Magnetic tape having characterized magnetic layer, magnetic tape cartridge, and magnetic tape apparatus |
| US12300288B2 (en) | 2021-09-29 | 2025-05-13 | Fujifilm Corporation | Magnetic tape having characterized magnetic layer surface, magnetic tape cartridge, and magnetic tape device |
| US12300286B2 (en) | 2021-09-29 | 2025-05-13 | Fujifilm Corporation | Magnetic tape having characterized magnetic layer surface, magnetic tape cartridge, and magnetic tape device |
| US12308057B2 (en) | 2021-09-29 | 2025-05-20 | Fujifilm Corporation | Magnetic tape having characterized magnetic layer surface, magnetic tape cartridge, and magnetic tape device |
| US12308060B2 (en) | 2021-09-29 | 2025-05-20 | Fujifilm Corporation | Magnetic tape having characterized magnetic layer surface, magnetic tape cartridge, and magnetic tape device |
| US12308059B2 (en) | 2021-09-29 | 2025-05-20 | Fujifilm Corporation | Magnetic tape having characterized magnetic layer surface, magnetic tape cartridge, and magnetic tape device |
| US12308054B2 (en) | 2021-09-29 | 2025-05-20 | Fujifilm Corporation | Magnetic tape having characterized magnetic layer surface, magnetic tape cartridge, and magnetic tape device |
| US12308058B2 (en) | 2021-09-29 | 2025-05-20 | Fujifilm Corporation | Magnetic tape having characterized magnetic layer surface, magnetic tape cartridge, and magnetic tape device |
| US12322425B2 (en) | 2021-09-29 | 2025-06-03 | Fujifilm Corporation | Magnetic tape having characterized magnetic layer, magnetic tape cartridge, and magnetic tape device |
| US12334125B2 (en) | 2021-12-02 | 2025-06-17 | Fujifilm Corporation | Magnetic tape having characterized magnetic layer, magnetic tape cartridge, and magnetic tape device |
| US12380924B2 (en) | 2022-09-15 | 2025-08-05 | Fujifilm Corporation | Magnetic tape with characterized AlFeSil abrasion value, magnetic tape cartridge, and magnetic tape apparatus |
Similar Documents
| Publication | Publication Date | Title |
|---|---|---|
| JP4365547B2 (en) | Magnetic recording / reproducing method | |
| US7995309B2 (en) | Magnetic recording medium, magnetic signal reproduction method and magnetic signal reproduction system | |
| JP2004213828A (en) | Magnetic recording medium | |
| JP2005243063A (en) | Magnetic recording medium | |
| JP2004227703A (en) | Magnetic recording medium | |
| JP2005276285A (en) | Magnetic recording medium | |
| JP2006079691A (en) | Magnetic recording medium | |
| JP3669520B2 (en) | Magnetic recording medium | |
| US6475598B1 (en) | Magnetic recording medium | |
| US6663955B2 (en) | Magnetic recording medium | |
| US6428884B1 (en) | Magnetic recording medium | |
| US6316077B1 (en) | Magnetic recording medium | |
| US20030157372A1 (en) | Magnetic recording medium | |
| JP2002015415A (en) | Magnetic disk | |
| JP3821731B2 (en) | Disk-shaped magnetic recording medium | |
| US20020028352A1 (en) | Magnetic Recording Medium | |
| JP4090523B2 (en) | Magnetic recording medium | |
| JP4037292B2 (en) | Magnetic recording medium | |
| JP2007048427A (en) | Magnetic recording medium and method for manufacturing the same | |
| JP2005115988A (en) | Magnetic recording medium | |
| JP2004152326A (en) | Cleaning method of magnetic head | |
| JP2004164799A (en) | Magnetic disk medium | |
| JP2005222609A (en) | Cleaning tape | |
| JP2005092958A (en) | Magnetic recording medium | |
| JP2002367140A (en) | Magnetic recording medium |
Legal Events
| Date | Code | Title | Description |
|---|---|---|---|
| A711 | Notification of change in applicant |
Free format text: JAPANESE INTERMEDIATE CODE: A712 Effective date: 20061211 |
