JP2004356411A - Position measurement method and apparatus, exposure method and apparatus, and program - Google Patents
Position measurement method and apparatus, exposure method and apparatus, and program Download PDFInfo
- Publication number
- JP2004356411A JP2004356411A JP2003152652A JP2003152652A JP2004356411A JP 2004356411 A JP2004356411 A JP 2004356411A JP 2003152652 A JP2003152652 A JP 2003152652A JP 2003152652 A JP2003152652 A JP 2003152652A JP 2004356411 A JP2004356411 A JP 2004356411A
- Authority
- JP
- Japan
- Prior art keywords
- contour
- wafer
- position information
- substrate
- imaging
- Prior art date
- Legal status (The legal status is an assumption and is not a legal conclusion. Google has not performed a legal analysis and makes no representation as to the accuracy of the status listed.)
- Granted
Links
Images
Landscapes
- Length Measuring Devices By Optical Means (AREA)
- Length Measuring Devices With Unspecified Measuring Means (AREA)
- Exposure And Positioning Against Photoresist Photosensitive Materials (AREA)
- Exposure Of Semiconductors, Excluding Electron Or Ion Beam Exposure (AREA)
Abstract
【課題】基板の表裏判別を高速且つ正確に行えるようにする。
【解決手段】ウエハWには直線状輪郭として従来から形成されているオリエンテーションフラットOF以外に、表裏判別用のサブオリエンテーションOF1,OF2が形成されている。まず、予め設定された位置関係で配置されたプリアライメントセンサ22a,22b,22cを用いてウエハWの外縁を撮像する。次に、プリアライメントセンサ22cの撮像結果からウエハWの輪郭に沿った複数の点からなる点群を抽出し、抽出した点群を最小二乗法により直線近似する。そして得られた近似直線に対する点群の位置関係を求めて、プリアライメントセンサ22cの真下に曲線状輪郭としての円弧エッジCEが配置されているのかサブオリエンテーションOF1が配置されているのかを判定してウエハWの表裏判別を行う。
【選択図】 図5An object of the present invention is to quickly and accurately determine the front and back of a substrate.
A wafer W is provided with sub-orientations OF1 and OF2 for discriminating front and back, in addition to an orientation flat OF conventionally formed as a linear contour. First, the outer edge of the wafer W is imaged using the pre-alignment sensors 22a, 22b, 22c arranged in a preset positional relationship. Next, a point group consisting of a plurality of points along the contour of the wafer W is extracted from the imaging result of the pre-alignment sensor 22c, and the extracted point group is linearly approximated by the least square method. Then, the positional relationship of the point group with respect to the obtained approximate straight line is obtained, and it is determined whether the arc edge CE as the curved contour or the sub-orientation OF1 is disposed immediately below the pre-alignment sensor 22c. The front and back of the wafer W are determined.
[Selection diagram] FIG.
Description
【0001】
【発明の属する技術分野】
本発明は、位置計測方法及び装置、露光方法及び装置、並びにプログラムに係り、特に基板等の物体の位置情報を計測する位置計測方法及び装置、当該位置計測方法を用いる露光方法及び当該位置計測装置を備える露光装置、並びに当該露光装置の制御用コンピュータに基板等の物体の位置情報を計測させるプログラムに関する。
【0002】
【従来の技術】
従来より、半導体素子、液晶表示素子、薄膜磁気ヘッド、その他のデバイスを製造するためのリソグラフィ工程では、マスク又はレチクル(以下、これらを総称する場合には「マスク」という)に形成されたパターンを投影光学系を介してレジスト等の感光剤が塗布されたウエハ又はガラスプレート等の基板上に転写する露光装置が用いられている。露光装置としては、いわゆるステッパ等の静止露光型の投影露光装置や、いわゆるスキャニング・ステッパ等の走査露光型の投影露光装置が主として用いられている。かかる露光装置においては、露光に先立ってレチクルとウエハとの位置合わせ(アライメント)を高精度に行う必要がある。この高精度な位置合わせを行うためには、高い精度でウエハの位置を計測する必要があり、このために種々の位置計測技術が提案されている。
【0003】
上述した露光装置においては、レチクルとマスクとの高い重ね合わせ精度を確保するために、エンハンスト・グローバル・アライメント(以下、「EGA」という)といわれるアライメント方法が用いられている。このEGAは、ウエハの移動を規定する基準座標系(ウエハステージの移動座標系)上におけるウエハ上の各ショット領域の配列座標位置を、該ウエハをウエハステージにのせた状態で高精度に計測し、この計測結果に基づいて位置合わせ(詳細(ファイン)アライメント)を行うものである。具体的には、ウエハ内の数箇所のファインアライメントマーク(回路パターンとともに転写された詳細位置合わせマーク)を計測し、この計測結果に対して最小二乗近似等の処理を施して各ショット領域の配列座標を求める。そして、露光時においては、得られた配列座標に応じてウエハステージをステッピング移動させ、ウエハステージの精度に任せてウエハステージの位置合わせを行う。
【0004】
上記のEGAのためには、ウエハ上の所定箇所に形成されたファインアライメントマークを高倍率で観測する必要があるが、高倍率で観測を行うときには必然的に観測視野が狭くなる。ところが、もしウエハをウエハステージにロードする際に、ウエハがウエハステージに対して大きくずれた状態でロードされると、ウエハ上のファインアライメントマークが観測視野内に入らないという問題がある。そこで、狭い観測視野で確実にファインアライメントマークを捉えるために(ウエハをウエハステージ上の所望の位置(向き)にロードするために)、ファインアライメントに先立ってウエハの外縁(エッジ)の位置を観察し、この観察結果に基づいてウエハの基準位置(例えば、中心位置)及びウエハの中心軸回りの回転量を計測し、この計測結果に基づいて所定の精度でウエハを位置合わせしながらウエハステージ上へロードするためのプリアライメントが行われる。
【0005】
ウエハの外縁の一部にはV字形状切り欠き(ノッチ)又は直線的な切り欠き(オリエンテーションフラット)が形成されており、プリアライメントではこれらを観察してウエハの基準位置及び回転量を計測している。なお、このプリアライメントは、露光装置のみならず、ウエハに形成されたパターンの重ね合わせ精度を検査する検査装置、ウエハに形成されたパターンの線幅を検査する検査装置、ウエハに形成されたパターンのマクロ的(巨視的)な欠陥を検査する検査装置、その他の検査装置において、検査対象のウエハを所定の精度で位置合わせするために用いられる。従来のプリアライメント方法の詳細は、例えば以下の特許文献1,2を参照されたい。
【0006】
【特許文献1】
国際公開第02/061367号パンフレット
【0007】
【特許文献2】
国際公開第02/033352号パンフレット
【0008】
【発明が解決しようとする課題】
ところで、近年のデバイスの製造においては、主として高集積化又は高機能化のために、ウエハの表面のみならずウエハの裏面に対しても露光処理(パターンの転写処理)が行われるようになってきた。上述した従来技術では、ウエハの表面に対するパターン転写のみを想定していたため、プリアライメントにおいては上述したノッチ又はオリエンテーションフラットを用いてウエハの基準位置及び回転量を計測するだけで充分であった。
【0009】
しかしながら、ウエハの表面及び裏面にパターンの転写が行われる状況では、ウエハの基準位置及び回転量の計測のみならずウエハの表裏の判別を行う必要がある。外縁の一箇所のみにオリエンテーションフラットが形成された従来のウエハは、その外形形状がウエハの中心を通りオリエンテーションフラットに対して直交する直線に関して対称であるため、プリアライメントにおいて外縁を観察するだけではウエハの表裏判別を行うことができない。
【0010】
そこで、近年においては、従来から形成されているオリエンテーションフラットの形成箇所以外の1箇所又は2箇所に表裏判別用として他のオリエンテーションフラット(サブオリエンテーションフラット)が形成されたウエハも使用されている。1つのウエハに形成される複数のオリエンテーションフラットは互いに異なる長さに設定されており、その外形形状がウエハ面内に含まれる任意の線に関して非対称であるため表裏判別が可能になる。
【0011】
このようなウエハを用いる場合には、前述したプリアライメント方法を用いてウエハの基準位置及び回転量を計測しているが、ウエハの表裏はプリアライメント用の撮像装置(カメラ)で撮像したウエハの外縁の画像を作業者が目視によって判別している。上述した通り、ウエハに形成された各オリエンテーションフラットの長さは互いに異なる長さに設定されているが、極端に長短に形成されている訳ではなくその差は僅かである。また、カメラで得られる画像は、検出範囲がそれほど大きくないため、その画像を目視しただけで、その画像部分がウエハの円弧部分であるのか、オリエンテーションフラット部分であるのかを見極めることは、容易なことではない。このため、作業者の目視による表裏判別は誤判別となる場合があり、また誤判別を少なくするためには熟練を要するという問題があった。
【0012】
本発明はこのような従来技術の問題点に鑑みてなされたものであり、直線状輪郭と曲線状輪郭とを有する基板の輪郭の一部の撮像結果から、当該撮像された一部が直線状輪郭であるのか又は曲線状輪郭であるのかを高速且つ正確に判別できるようにし、さらには基板の表裏判別を高速且つ正確に行えるようにすることを目的とする。
【0013】
【課題を解決するための手段】
以下、この項に示す説明では、本発明を、実施形態を表す図面に示す部材符号に対応付けて説明するが、本発明の各構成要件は、これら部材符号を付した図面に示す部材に限定されるものではない。
【0014】
上記課題を解決するために、本発明の第1の観点によると、直線状輪郭(OF、OF1、OF2)と曲線状輪郭(CE)とを有する物体(W)の位置情報を計測する位置計測方法であって、前記物体の輪郭の一部を撮像する撮像工程(S3)と、前記撮像工程の撮像結果に基づいて、前記物体の前記輪郭の一部に沿った複数の点からなる点群を抽出する点群抽出工程(S11)と、前記点群を直線近似する直線近似工程(S12)と、前記直線近似工程で得られた近似直線に対する前記点群の位置関係に応じて、前記輪郭の一部が前記直線状輪郭であるのか又は前記曲線状輪郭であるのかを判定する判定工程(S14)とを含む位置計測方法が提供される。
【0015】
この発明によると、撮像した物体の輪郭の一部に沿って点群を抽出し、抽出した点群に対して直線近似を行って近似直線を算出し、この近似直線と点群との位置関係に応じて上記輪郭の一部が直線状輪郭であるのか又は曲線状輪郭であるのかを判定しているため、撮像した物体の輪郭の一部が直線状輪郭であるのか又は曲線状輪郭であるのかを高速且つ正確に判定することができる。
【0016】
本発明の第1の観点に係る位置計測方法において、前記撮像工程を、前記物体としての基板の前記輪郭の一部を予め所定位置に配設された撮像装置で撮像する工程とし、前記撮像結果について前記判定を行って得られた判定結果に基づいて、前記基板の表裏を判別する表裏判別工程(S15)をさらに含むことができる。このようにすることにより、基板の輪郭の複数箇所での撮像結果に基づいて当該撮像箇所が直線状輪郭又は曲線状輪郭であるかの判定を高速且つ正確に行うことができ、加えてこれらの判定結果に基づいて基板の表裏を判別しているので、基板の表裏判別を高速且つ正確に行うことができるようになる。
【0017】
上記課題を解決するために、本発明の第2の観点によると、直線状輪郭(OF、OF1、OF2)と曲線状輪郭(CE)とを有する物体(W)の位置情報を計測する位置計測装置であって、前記物体の輪郭の一部を撮像する撮像装置(RAS、22a、22b、22c)と、前記撮像装置の撮像結果に基づいて前記物体の前記輪郭の一部に沿った複数の点からなる点群を抽出する点群抽出部(33)、前記点群を直線近似する直線近似部(34)、及び前記直線近似部で得られた近似直線に対する前記点群の位置関係に応じて前記輪郭の一部が前記直線状輪郭であるのか又は前記曲線状輪郭であるのかを判定する判定部(35)を有する制御装置とを備えた位置計測装置が提供される。
【0018】
この発明によると、制御装置が、撮像した物体の輪郭の一部に沿って点群を抽出し、抽出した点群に対して直線近似を行って近似直線を算出し、この近似直線と点群との位置関係に応じて上記輪郭の一部が直線状輪郭であるのか又は曲線状輪郭であるのかを判定しているため、撮像した物体の輪郭の一部が直線状輪郭であるのか又は曲線状輪郭であるのかを人手を介さずに高速且つ正確に判定することができる。
【0019】
本発明の第2の観点に係る位置計測装置において、前記撮像装置として、前記物体としての基板の前記輪郭の一部を予め設定された所定の位置関係を有する複数箇所において撮像する装置を用い、前記制御装置は前記複数箇所で得られた撮像結果の各々についての前記判定部の判定結果に基づいて、前記基板の表裏を判別する表裏判別部(35)をさらに有することができる。このようにすることにより、基板の輪郭の複数箇所での撮像結果に基づいて当該撮像箇所が直線状輪郭又は曲線状輪郭であるかの判定を人手を介さずに高速且つ正確に行うことができ、加えて制御装置がこれらの判定結果に基づいて基板の表裏を判別しているので、基板の表裏判別を人手を介さずに高速且つ正確に行うことができるようになる。
【0020】
本発明の第3の観点によると、物体としての基板(W)に所定のパターンを転写する露光方法であって、前記本発明の第1の観点に係る位置計測方法によって前記基板の位置情報、回転位置情報、及び表裏を示す情報を求める基板計測工程(S4、S5)と、前記基板計測工程において求められた前記基板の位置情報、回転位置情報、及び表裏を示す情報に基づいて、前記基板の位置制御を行いつつ、前記基板に前記パターンを転写する転写工(S6、S7)程とを含む露光方法が提供される。
【0021】
この発明によると、基板の表裏判別が高速且つ精確に行われた上で、計測された基板の位置情報及び回転位置情報に基づいて基板の位置制御を行いつつ基板上にパターンを転写しているため、例えば基板の表面に転写すべきパターンが基板の裏面に転写されるといった事態を防止することができ、高い歩留まりでデバイスを製造することができるようになる。
【0022】
本発明の第4の観点によると、物体としての基板(W)に所定のパターンを転写する露光装置(1)であって、前記基板の位置情報、回転位置情報、及び表裏を示す情報を求める前記本発明の第2の観点に係る位置計測装置と、前記位置計測装置により計測された前記基板を搭載するステージ(14)を有するステージ装置(16)とを備えた露光装置が提供される。
【0023】
この発明によると、前記本発明の第3の観点に係る露光方法と同様に、例えば基板の表面に転写すべきパターンが基板の裏面に転写されるといった事態を防止することができ、高い歩留まりでデバイスを製造することができるようになる。
【0024】
本発明の第5の観点によると、直線状輪郭(OF、OF1、OF2)と曲線状輪郭(CE)とを有する基板(W)に所定のパターンを転写する露光装置(1)の制御用コンピュータ(20)に、前記基板の位置情報を計測させるためのプログラムであって、前記基板の輪郭の一部を予め設定された所定の位置関係を有する複数箇所において撮像した撮像結果を取り込む取込工程(S3)と、前記取込工程で取り込んだ撮像結果の各々について、前記輪郭の一部が前記直線状輪郭であるのか、又は前記曲線状輪郭であるのかを判定する判定工程(S14)と、前記判定工程の判定結果に応じて、前記基板の表裏を判別する表裏判別工程(S15)とを前記制御用コンピュータに実行させるプログラムが提供される。
【0025】
この発明によると、コンピュータに、撮像した基板の輪郭の一部が直線状輪郭であるのか又は曲線状輪郭であるのかを高速且つ正確に判定させ、この判定結果に基づいて基板の表裏判別を高速且つ高精度に行わせる機能を付与することができる。
【0026】
【発明の実施の形態】
以下、図面を参照して本発明の実施形態について詳細に説明する。図1は、本発明の実施形態に係る位置計測装置を備えた露光装置の全体構成の概略を示す図である。図1に示す露光装置は、図1中の投影光学系PLに対してマスクとしてのレチクルRと基板としてのウエハWとを相対的に移動させつつ、レチクルRに形成されたパターンをウエハWに逐次転写して半導体素子を製造するステップ・アンド・スキャン方式の露光装置である。
【0027】
なお、以下の説明においては、図1中に示したXYZ直交座標系を設定し、このXYZ直交座標系を参照しつつ各部材の位置関係について説明する。XYZ直交座標系は、X軸及びY軸がウエハWに対して平行となるよう設定され、Z軸がウエハWに対して直交する方向に設定されている。図中のXYZ直交座標系は、実際にはXY平面が水平面に平行な面に設定され、Z軸が鉛直上方向に設定される。また、本実施形態ではレチクルR及びウエハWを同期移動させる方向(以下、走査方向という)をY方向に設定している。
【0028】
図1に示す露光装置1は、露光用照明光を射出する照明系10、マスクとしてのレチクルRを保持するマスクステージとしてのレチクルステージRST、投影光学系PL、基板としてのウエハWを保持してXY平面内をXY2次元方向に移動するステージとしての基板テーブル14を搭載するステージ装置としてのウエハステージ装置16、ウエハWの外縁形状を撮像する撮像装置としてのプリアライメント検出系RAS、ウエハステージ装置16上に搭載(ロード)されたウエハW上に形成されたマークを観察するアライメント検出系AS、及びこれらの制御系等を含んで構成される。
【0029】
上記照明系10は、光源ユニット、シャッタ、オプティカルインテグレータ、ビームスプリッタ、集光レンズ系、レチクルブラインド、及び結像レンズ系等(いずれも不図示)から構成されている。この照明系10の構成の詳細については、例えば特開平9−320956号公報並びに特開平6−349701号公報及びこれに対応する米国特許第5,534,970号等に開示されている。なお、本実施形態では、オプティカルインテグレータとしてフライアイレンズを備える場合を例に挙げて説明するが、これに限らずロッドインテグレータ(内面反射型インテグレータ)、又は回折光学素子等を用いることができる。
【0030】
ここで、上記光源ユニットとしては、KrFエキシマレーザ光源(発振波長248nm)若しくはArFエキシマレーザ光源(発振波長193nm)等のエキシマレーザ光源、又はF2レーザ光源(発振波長157nm)、Ar2レーザ光源(発振波長126nm)、銅蒸気レーザ光源やYAGレーザの高調波発生装置、又は超高圧水銀ランプ(g線、i線等)等を用いることができる。
【0031】
このようにして構成された照明系10の作用を簡単に説明すると、光源ユニットで発光された照明光は、シャッタが開いているとオプティカルインテグレータに入射する。オプティカルインテグレータとしてのフライアイレンズに照明光が入射すると、その射出側焦点面に多数の光源像からなる面光源、すなわち2次光源が形成される。
【0032】
オプティカルインテグレータとしてのフライアイレンズから射出された照明光は、ビームスプリッタ及び集光レンズ系を介してレチクルブラインドに至る。レチクルブラインドを通過した照明光は、結像レンズ系を介してミラー11へ向けて射出される。この後、照明光ILはミラー11によって光路が鉛直下方(−Z方向)に折り曲げられ、レチクルステージRST上に保持されたレチクルR上の矩形の照明領域IARを照明する。
【0033】
上記レチクルステージRST上にはレチクルRが、例えば真空吸着により固定されている。レチクルステージRSTは、レチクルRの位置決めのため、照明系10の光軸IX(後述する投影光学系PLの光軸AXに一致)に垂直な平面内で2次元的に(X方向及びこれに直交するY方向及びXY平面に直交するZ軸回りの回転方向に)移動可能に構成されている。
【0034】
また、このレチクルステージRSTは、不図示のレチクルベース上をリニアモータ等で構成されたレチクル駆動部(図示省略)により、走査方向(Y方向)に指定された走査速度で移動可能となっている。このレチクルステージRSTは、レチクルRの全面が少なくとも照明系10の光軸IXを横切ることができるだけの移動ストロークを有している。
【0035】
レチクルステージRST上にはレチクルレーザ干渉計(以下、「レチクル干渉計」という)13からのレーザビームを反射する移動鏡12が固定されており、レチクルステージRSTのステージ移動面内の位置はレチクル干渉計13によって、例えば0.5〜1nm程度の分解能で常時検出される。ここで、実際には、レチクルステージRST上には走査方向(Y方向)に直交する反射面を有する移動鏡(又は、少なくとも1つのコーナーキューブ型ミラー)と非走査方向(X方向)に直交する反射面を有する移動鏡とが設けられ、レチクル干渉計13も各移動鏡ごとに1軸分又は複数軸分設けられているが、図1ではこれらが代表的に移動鏡12、レチクル干渉計13としてそれぞれ示されている。
【0036】
レチクル干渉計13からのレチクルステージRSTの位置情報(速度情報)RPVはステージ制御系21及びこれを介して主制御系20に送られ、ステージ制御系21では主制御系20からの指示に応じてレチクルステージRSTの位置情報に基づいてレチクル駆動部(図示省略)を介してレチクルステージRSTを駆動する。
【0037】
投影光学系PLは、レチクルステージRSTの図1における下方(−Z方向)に配置され、その光軸AX(照明系10の光軸IXに一致)の方向がZ方向とされ、両側テレセントリックで所定の縮小倍率(例えば1/5、1/4、又は1/6)を有する屈折光学系が使用されている。このため、照明系10からの照明光ILによってレチクルRの照明領域IARが照明されると、このレチクルRを通過した照明光ILにより、投影光学系PLを介してその照明領域IAR内のレチクルRの回路パターンの縮小像(部分倒立像)が表面にフォトレジスト(感光剤)が塗布されたウエハW上の露光領域IAに投影される。
【0038】
ウエハステージWSTは、例えば2次元リニアアクチュエータにより、ベースBS上を走査方向であるY方向(図1における左右方向)及びY方向と直交するX方向(図1における紙面直交方向)に駆動されるようになっている。このウエハステージWST上には基板テーブル14が設けられている。また、基板テーブル14上にはウエハホルダ15が載置され、このウエハホルダ15によってウエハWが真空吸着により保持されている。なお、ウエハステージWST、基板テーブル14、及びウエハホルダ15でウエハステージ装置16が構成されている。
【0039】
基板テーブル14は、ウエハステージWST上にXY方向に位置決めされかつZ方向の移動及び傾斜が許容された状態で取り付けられている。そして、この基板テーブル14は、異なる3点の支持点で不図示の3本の軸によって支持されており、これら3本の軸が駆動機構としてのウエハ駆動装置17によって独立してZ方向に駆動され、これによって基板テーブル14上に保持されたウエハWの面位置(Z方向位置及びXY平面に対する傾斜)が所望の状態に設定されるようになっている。また、ウエハホルダ15は、Z軸回りの回転が可能になっている。したがって、ウエハホルダ15は、2次元リニアアクチュエータ及び駆動機構によって6自由度方向に駆動されるが、図1では2次元リニアアクチュエータ及び駆動機構がウエハ駆動装置17として代表的に示されている。
【0040】
なお、この基板テーブル14(ウエハホルダ15)のほぼ中心位置には、ウエハをウエハローダから受け取る又は受け渡すためのセンターテーブル(不図示)が設けられている。このセンターテーブルは、バキュームによる吸着機構を備えており、ウエハを吸着保持可能となっている。また、センターテーブルは、ウエハを保持した状態で上下動(Z方向への移動)及び回転(Z軸を中心として)動作が可能な構造となっている。ウエハを受け取るときには、センターテーブルは、上昇してウエハを受け取って、その後下降することにより、ウエハホルダ15(基板テーブル14)上にウエハを保持せしめるよう動作する。
【0041】
基板テーブル14上にはウエハレーザ干渉計(以下、「ウエハ干渉計」という)19からのレーザビームを反射する移動鏡18が固定され、外部に配置されたウエハ干渉計19により、基板テーブル14のXY面内での位置が例えば0.5〜1nm程度の分解能で常時検出されている。ここで、実際には、基板テーブル14上には走査方向であるY方向に直交する反射面を有する移動鏡18Yと非走査方向であるX方向に直交する反射面を有する移動鏡18Xとが設けられ、ウエハ干渉計19X,19Yは移動鏡ごとに1軸分あるいは複数軸分設けられている(図2参照)。しかしながら、図1ではこれらが代表的に移動鏡18、ウエハ干渉計19としてそれぞれ示されている。
【0042】
基板テーブル14の位置情報(又は速度情報)WPVはステージ制御系21及びこれを介して主制御系20に送られ、ステージ制御系21では主制御系20からの指示に応じて位置情報(又は速度情報)WPVに基づいて、ウエハ駆動装置17を介してウエハステージWSTを制御する。また、基板テーブル14上には、後述するオフアクシス方式のアライメント検出系ASの検出中心から投影光学系PLの光軸AXまでの距離を計測するベースライン計測等のための各種基準マークが形成された不図示の基準部材が固定されている。
【0043】
上記プリアライメント検出系RASは、ベースBS上方の投影光学系PLと離間した位置に、不図示の保持部材によって保持されている。このプリアライメント検出系RASは、不図示のウエハローダによって搬送され、ウエハホルダ15に保持されたウエハWの外緑部3箇所の位置を検出する3つのプリアライメントセンサ22a,22b,22cを備えている。ここで、プリアライメント検出系RASの構成について説明する。図2は、プリアライメント検出系RAS周辺の構成を概略的に示す平面図である。
【0044】
まず、図2を参照してウエハWの外縁形状について説明する。図2に示す通り、ウエハWは、直線的な切り欠き(直線状輪郭)としてオリエンテーションフラットOF、及びサブオリエンテーションフラットOF1,OF2が形成されている。オリエンテーションフラットOFは、従来から直線的な切り欠きとしてウエハWに形成されているオリエンテーションフラットであり、サブオリエンテーションフラットOF1,OF2は、ウエハWの表裏判別を行うために新たに形成された直線的な切り欠きである。つまり、本実施形態ではウエハWの表面と裏面との両面に対して露光処理が行われる。なお、オリエンテーションフラットOF及びサブオリエンテーションフラットOF1,OF2の長さは互いに異なる長さに設定されており、オリエンテーションフラットOFとサブオリエンテーションフラットOF1とは互いに直交する関係にある。
【0045】
これらのオリエンテーションフラットOF及びサブオリエンテーションフラットOF1,OF2は本発明にいう直線状輪郭に相当し、これら以外のウエハWの外縁は本発明にいう曲線状輪郭に相当する。なお、以下の説明においては、オリエンテーションフラットOF及びサブオリエンテーションフラットOF1,OF2が形成された箇所以外のウエハWの外縁を「円弧エッジ」といい、オリエンテーションフラットOFとサブオリエンテーションフラットOF2とに連続的につながる円弧エッジに符号CEを付して区別する。
【0046】
また、図2に示す通り、プリアライメントセンサ22a及びプリアライメントセンサ22bは、オリエンテーションフラットOFの両端付近を撮像する位置にそれぞれ配置されている。また、プリアライメントセンサ22cは、オリエンテーションフラットOFの形成部以外のウエハWの外縁位置の一部を撮像する位置に配置されている。図2に示す例では、オリエンテーションフラットOF及びサブオリエンテーションフラットOF2がそれぞれX軸に平行であり、サブオリエンテーションフラットOF1がY軸に平行であって、ウエハWの中心に対してオリエンテーションフラットOFが+Y方向、サブオリエンテーションフラットOF2が−Y方向、サブオリエンテーションフラットOFが+X方向にとなるよう配置されているときに、ウエハWの中心から−X方向に位置する円弧エッジCEの一部を撮像可能な位置に配置されている。なお、3つのプリアライメントセンサ22a,22b,22cのそれぞれの相対的な位置関係は、予め定められた位置関係にある。
【0047】
これらのプリアライメントセンサ22a,22b,22cとしては、撮像素子と画像処理回路とからなる画像処理方式のセンサが用いられている。以上の構成のプリアライメント検出系RASによるウエハWの外縁の撮像データD1は、主制御系20に供給されている。なお、撮像データD1は、プリアライメントセンサ22aによる撮像結果データDAと、プリアライメントセンサ22bによる撮像結果データDBと、プリアライメントセンサ22cによる撮像結果データDCとから構成されている。なお、ウエハWの外緑部を計測する場合には、ウエハWがウエハホルダ15(より正確に言えば、ウエハホルダ15のほぼ中央部に設けられ、ウエハを上下(Z方向)するための不図示のセンターテーブル)に載置された後ではなく、ウエハWがウエハホルダ15に載置される前、すなわちウエハローダに保持された状態で行っても良い。このような構成としてウエハをウエハホルダへ搬送する構成の一部として設けられている搬送アーム上にウエハを載置した状態でプリアライメントセンサ22により計測するようにしても良い。なお、このアームについては、例えば特開2002−280288号公報において公知であるので、ここでの詳細な説明は省略する。また、上記のセンターテーブルについても前記公報に開示されている。
【0048】
図1に戻り、アライメント検出系ASは、投影光学系PLの側面に配置されており、本実施形態ではウエハW上に形成されたストリートラインや位置検出用マーク(ファインアライメントマーク)を観測する撮像方式のアライメントセンサからなるオフアクシス方式のアラインメント顕微鏡が用いられている。このアライメント検出系ASの詳細な構成は、例えば特開平9−219354号公報及び米国特許5,859,707号等に開示されている。アライメント検出系ASで観測されたウエハWの像データD2は主制御系20に供給される。
【0049】
更に、本実施形態の露光装置には、露光領域IA(前述した照明領域IARと光学的に共役なウエハW上の領域)内及びその近傍領域にそれぞれ設定される計測点でウエハW表面のZ方向(光軸AX方向)の位置を検出するための斜入射方式のフォーカス検出系(焦点検出系)の一つである、多点フォーカス位置検出系(不図示)が設けられている。この多点フォーカス位置検出系は、光ファイバ束、集光レンズ、パターン形成板、レンズ、ミラー、及び照射対物レンズからなる照射光学系と、集光対物レンズ、回転方向振動板、結像レンズ、受光用スリット板、及び多数のフォトセンサを有する受光器からなる受光光学系と(いずれも不図示)から構成されている。この多点フォーカス位置検出系の詳細な構成等については、例えば特開平6−283403号公報及びこれに対応する米国特許第5,448,332号等に開示されている。
【0050】
次に、主制御系20について説明する。図3は、本発明の実施形態に係る露光装置が備える主制御系20の内部構成を示すブロック図である。図3に示す通り、主制御系20は、主制御装置30と記憶装置40とを備えている。主制御装置30は、制御部31、撮像データ収集部32、外縁抽出部33、直線近似部34、表裏判別部35、回転量算出部36、及び位置情報算出部37を含んで構成される。制御部31は、レチクルRの位置情報(速度情報)RPV及びウエハWの位置情報(速度情報)WPVに基づいて、ステージ制御系21にステージ制御データCDを供給する等して露光装置1の動作全体を制御する。
【0051】
撮像データ収集部32は、プリアライメント検出系RASから供給された撮像データD1を収集する。外縁抽出部33は、撮像データ収集部32によって収集された撮像データに基づきウエハWの外縁位置を抽出する。直線近似部34は外縁抽出部33によって抽出されたウエハWの外縁位置から、その外縁に沿った近似直線を求める。表裏判別部35は、直線近似部34によって求められた近似直線に基づいてウエハWの表裏判別を行う。回転位置情報算出部としての回転量算出部36は、オリエンテーションフラットOFの撮像結果に基づいてウエハWの回転量を算出する。位置情報算出部37は、回転量算出部36において算出されたウエハWの回転量とウエハWの外縁の撮像結果とに基づいて、ウエハWの基準位置(例えば、中心位置)を算出する。
【0052】
また、記憶装置40は、撮像データ格納領域41、外縁情報格納領域42、近似直線格納領域43、回転情報格納領域44、及び位置情報格納領域45を備えている。なお、図3においては、データの流れを実線矢印で示しており、制御の流れを点線矢印で示している。以上、主制御系20の構成について説明したが、主制御系20が備える各部の動作の詳細については後述する。
【0053】
なお、図3においては、各ブロックをハードウェア的に構成し、これらを組み合わせて主制御系20を構成する場合を例に挙げて図示している。しかしながら、ハードウェア的には主制御系20を計算機システムとして構成し、主制御装置30を構成する各ブロックの機能を主制御系20に内蔵されたプログラムによって実現することも可能である。
【0054】
また、主制御装置30を計算機システムとして構成した場合には、主制御装置30を構成する上記の各ブロックの後述する機能を実現するためのプログラムの全てを予め主制御装置30に内蔵することは必ずしも必須ではない。例えば、図1において点線で示されるように、上記の各ブロックの機能を実現するためのプログラムを格納した記録媒体26を用意するとともに、記録媒体26からプログラム内容を読み出し可能であり、かつ、記録媒体26を着脱可能な読取装置25を主制御系20に接続し、主制御系20が読取装置25に装填された記録媒体26から機能実現のために必要なプログラム内容を読み出し、読み出したプログラムを実行するように構成することができる。また、主制御系20が読取装置25に装填された記録媒体26からプログラム内容を読み出して、内部にインストールする構成とすることができる。さらに、インターネット等を利用し、通信ネットワークを介して機能実現のために必要となるプログラム内容を主制御系20にインストールする構成とすることもできる。
【0055】
なお、記録媒体26としては、磁気的に記録するもの(磁気ディスク、磁気テープ等)、電気的に記録するもの(PROM、バッテリ・バックアップ付RAM、EEPROM、その他の半導体メモリ等)、光磁気的に記録するもの(光磁気ディスク等)、電気磁気的に記録するもの(デジタルオーディオテープ(DAT)等)等、光学的に記録するもの(コンパクトディスク(CD)、DVD(登録商標))等の種々の記録形態で記録するものを採用することができる。以上のように、機能を実現するためのプログラム内容を記録した記録媒体を使用したり、インストールしたりすることが可能なように構成することにより、後におけるプログラム内容の修正や、性能向上のためのバージョンアップ等を容易に行うことができるようになる。
【0056】
次に、露光時の動作について説明する。図4は、本発明の実施形態に係る露光装置の露光時の動作の概略を示すフローチャートである。まず、不図示のレチクルローダを用いて不図示のレチクルライブラリから転写すべきパターンが形成されたレチクルRがレチクルステージRST上にロードされる。また、不図示のウエハローダにより、露光すべきウエハWが基板テーブル14上の前述したセンターテーブル上にロードされる。この時、センターテーブルはアップした状態(ウエハホルダ15の上面から突出した状態)にあり、この状態でセンターテーブルは、ウエハをバキュームで吸着保持する。つまり、この時は、ウエハはまだウエハホルダ15の上方に保持された状態にある(ステップS1)。ここで、本実施形態においては、ウエハWの表面及び裏面の両面に露光処理を行う場合を想定しているため、ウエハWは表面を上側にしてセンターテーブル上にロードされる場合もあり、裏面を上側にしてセンターテーブル上にロードされる場合もある。
【0057】
次に、主制御系20(より詳しくは、制御部31(図3参照))がステージ制御系21に制御信号を出力してウエハ駆動装置17を介してウエハステージWSTを(すなわちセンターテーブルも)駆動し、ウエハWをプリアライメントセンサ22a,22b,22cによる撮像位置へ移動する(ステップS2)。具体的には、ウエハWに形成されたオリエンテーションフラットOFがプリアライメントセンサ22a,22bの真下に位置し、円弧エッジCEの一部又はサブオリエンテーションフラットOF1がプリアライメントセンサ22cの真下に位置するようにウエハWを移動する。プリアライメントセンサ22a,22bの真下にオリエンテーションフラットOFが位置するようにウエハWを移動させることができるのは、オリエンテーションフラットOF及びサブオリエンテーションフラットOF1,OF2の長さが互いに異なる長さに設定されているためである。
【0058】
ここで、プリアライメントセンサ22a,22bの真下にオリエンテーションフラットOFが位置している状態において、ウエハWが表面を上側にしてセンターテーブル上にロードされているか、又は裏面を上側にしてセンターテーブル上にロードされているかに応じて、プリアライメントセンサ22cの真下に配置されるウエハWの外縁部分は変化する。
【0059】
図5は、プリアライメントセンサ22a,22b,22cの撮像位置へウエハWが配置された状態を示す上面図である。図5(a)に示す通り、ウエハWが表面を上側にしてセンターテーブル上にロードされている場合には、円弧エッジCEの一部がプリアライメントセンサ22cの真下に位置する。また、図5(b)に示す通り、ウエハWが裏面を上側にしてセンターテーブル上にロードされている場合には、サブオリエンテーションフラットOF1がプリアライメントセンサ22cの真下に位置する。
【0060】
このようにしてウエハWの移動が完了すると、プリアライメントセンサ22a,22b,22cを用いてウエハWの外縁近傍を撮像する(ステップS3)。図6は、ウエハWが表面を上側にして配置されているときのプリアライメントセンサ22a,22b,22cの撮像結果の一例を示す図である。また、図7は、ウエハWが裏面を上側にして配置されているときのプリアライメントセンサ22a,22b,22cの撮像結果の一例を示す図である。図6,図7において、Va〜Vcはプリアライメントセンサ22a,22b,22cそれぞれの計測視野を示しており、各々の計測視野Va〜VcにウエハWの像が示されている。
【0061】
図6を参照すると、プリアライメントセンサ22a,22bの計測視野Va,VbにはウエハWに形成されたオリエンテーションフラットOFの像が示されており、プリアライメントセンサ22cの視野Vcには、ウエハWの円弧エッジCEの一部の像が示されている。一方、図7を参照すると、プリアライメントセンサ22a,22bの計測視野Va,Vbには、図6と同様に、ウエハWに形成されたオリエンテーションフラットOFの像が示されているが、プリアライメントセンサ22cの視野Vcには、サブオリエンテーションフラットOF1の一部の像が示されている。図7に示す通り、ウエハWが裏面を上側にして配置されている状態においては、プリアライメントセンサ22a,22b,22cの計測視野Va,Vb,Vcには直線状の外縁のみが配置される。
【0062】
プリアライメントセンサ22a,22b,22cによって撮像されたウエハWの撮像データD1は、主制御系20に供給される。主制御系20では、撮像データ収集部32(図3参照)が撮像データD1を受信し、記憶装置40に設けられた撮像データ格納領域41に受信した撮像データD1を格納する。プリアライメントセンサ22a,22b,22cによるウエハWの撮像が終了して撮像データD1が得られると、撮像データ格納領域41に格納されたウエハWの外縁近傍の撮像データに基づいて、ウエハWの表裏判別が行われる(ステップS4)。
【0063】
ここで、図5〜図7を参照して説明した通り、ウエハWに形成されたオリエンテーションフラットOFは、ウエハWが基板テーブル14上に表面を上側にして配置されているか又は裏面を上側に配置されているかに拘わらず、常にプリアライメントセンサ22a,22bの真下に配置される。これに対し、ウエハWが基板テーブル14上に表面を上側にして配置されているか又は裏面を上側に配置されているかに応じて、プリアライメントセンサ22cの真下にはサブオリエンテーションフラットOF1又は円弧エッジCEが配置される。本実施形態では、プリアライメントセンサ22cの撮像結果を用いてウエハWの表裏判別を行っている。以下、表裏判別処理について詳細に説明する。
【0064】
図8は、ウエハWの表裏判別処理を示すフローチャートである。ウエハWの表裏判別処理が開始されると、主制御系20に設けられた制御部31の制御に従って、外縁抽出部33が記憶装置40に設けられた撮像データ格納領域41に格納された撮像データD1からプリアライメントセンサ22cの撮像データを読み出してウエハWの外縁に沿った複数の外縁点からなる点群を抽出し、それらの位置を求める(ステップS11)。こうして抽出された外縁点をPck(Xck,Yck)とする(図6,図7参照)。なお、kは1≦k≦n3(n3は2以上の整数である)を満たす整数である。抽出された外縁点Pckは記憶装置40に設けられた外縁情報格納領域42に格納される。
【0065】
次に、制御部31の制御に従って、直線近似部34が外縁情報格納領域42に格納された外縁点Pckを読み出し、最小二乗法を用いて直線近似を行う(ステップS12)。ここで、求める近似直線の式を変数「a」,「b」を用いて以下の(1)式で表す。
【0066】
【数1】
【0067】
上記の(1)式にn1個の外縁点PckのX座標Xck及びY座標Yckのそれぞれを代入して得られる連立式を行列の形式で表すと以下の(2)式となる。
【0068】
【数2】
【0069】
ここで、上記(2)式を以下の(3)式の通り表すと、
【0070】
【数3】
【0071】
求める解(上記(3)式における行列p)は最小二乗法により以下の(4)式から求められる。
【0072】
【数4】
【0073】
すなわち、上記(4)式を解いて得られる行列の第1行目が上記(1)式中の変数「a」であり、第2行目が上記(1)式中の変数「b」である。なお、上記(4)式においてAtは行列Aの転置行列である。
【0074】
外縁点Pckに対する近似直線が得られると、次に制御部31の制御に従って、表裏判別部35は以下の(5)式を用いて、ステップS11で抽出した外縁点PckとステップS12で求めた近似直線との距離、すなわち近似直線に対する各外縁点Pckの残差dを求める。
【0075】
【数5】
【0076】
上記(5)式中の変数「a」,「b」は、上記(4)式で求められた近似直線を表す変数であり、Xck,Yckはそれぞれ外縁点PckのX座標及びY座標である。なお、ここで求められる近似直線は、外縁点Pckの各々から近似直線までの距離の二乗の和を最小にする直交回帰直線である。外縁点Pckの全てについての残差dを求めると、表裏判別部35は残差dの最大値、又は分散若しくは標準偏差を求める。これにより、外縁点Pckと近似直線との位置関係が求められる(ステップS13)。
【0077】
ここで、円弧エッジから抽出された外縁点と近似直線との位置関係、及びサブオリエンテーションフラットOF1等の直線状の外縁から抽出された外縁点と近似直線との位置関係について考察する。図9は、円弧エッジ又は直線状の外縁と近似直線との位置関係を例示する図であり、(a)は円弧エッジCEから抽出された外縁点Pckと近似直線L1との位置関係を例示する図であって、(b)はサブオリエンテーションフラットOF1から抽出された外縁点Pckと近似直線L2との位置関係を例示する図である。
【0078】
図9に示す通り、プリアライメントセンサ22cが円弧エッジCEを撮像した場合、及びサブオリエンテーションフラットOF1を撮像した場合の何れの場合であっても、近似直線L1,L2が得られることが分かる。しかしながら、図9(a)を参照すると、近似直線L1に対する外縁点Pckの距離のばらつきが大きいため、残差dの最大値又は分散若しくは標準偏差が大きくなることが推定される。これに対し、図9(b)を参照するとサブオリエンテーションフラットOF1と近似直線L2とはほぼ一致し、近似直線L2に対する外縁点Pckの距離のばらつきは外縁抽出時のサンプリング誤差のみとなるため、残差dの最大値又は分散若しくは標準偏差が小さくなることが推定される。
【0079】
本実施形態では所定の閾値を設定し、残差dの最大値又は分散若しくは標準偏差が設定した閾値を越えているか否かを判断して、プリアライメントセンサ22cの真下に配置されたウエハWの外縁が円弧エッジCEであるのか、又はサブオリエンテーションフラットOF1であるのかを判定する(ステップS14)。ここで、残差dの最大値を用いて上記の判定を行う場合を例に挙げて説明する。図10は、撮像した外縁部が円弧エッジCEであるか否かの判定を行う際に設定する閾値の一例を説明するための図である。
【0080】
いま、図10に示す通り、プリアライメントセンサ22cの視野Vc内に円弧エッジCEの一部が配置されているとする。また、プリアライメントセンサ22cの視野Vcに対してウエハWの中心C1が図示の位置にあるとする。更に、図10中の破線で示した直線L1は、プリアライメントセンサ22cの撮像結果から求められた近似直線であるとする。プリアライメントセンサ22cの視野Vc内において円弧エッジCEから抽出される外縁点Pckが取りうるX座標の幅は、E1−E2で求められる。上記のE1はウエハWの中心C1からX座標の値が最も小さくなる外縁点P2までのX方向の距離であり、E2はウエハWの中心C1からX座標の値が最も大きくなる外縁点P1,P3までのX方向の距離である。
【0081】
ここで、図10中に示した近似直線L1に対して予想される最大残差dmaxは、dmax=(E1−E2)/2と推定される。つまり、外縁点Pckが取りうるX座標の幅の中間位置に近似直線L1があり、この近似直線L1に対してウエハWの中心C1からX座標の値が最も小さくなる外縁点P2までのX方向の距離、又は近似直線L1に対してウエハWの中心C1からX座標の値が最も大きくなる外縁点P1,P3までのX方向の距離が最大残差dmaxと推定される。
【0082】
ここで、ウエハWの半径をRとし、プリアライメントセンサ22cのY方向における計測視野Vcの長さをvとして、これらを用いて最大残差dmaxを表すと、以下の(6)式となる。なお、プリアライメントセンサ22cのY方向における計測視野Vcの長さは、プリアライメントセンサ22cで撮像された円弧エッジCEの弦の長さである。
【0083】
【数6】
【0084】
前述した通り、プリアライメントセンサ22cの真下にサブオリエンテーションフラットOF1が配置された場合よりも円弧エッジが配置された場合の方が残差dは大きくなり、また上述のように円弧エッジが配置された場合の最大残差dmaxは上記(6)式で表される。このため、プリアライメントセンサ22cの真下に円弧エッジが配置されているのか又はサブオリエンテーションフラットOF1が配置されているのかを判定するためには、0<dth<dmaxを満たす閾値dth、望ましくは(dmax/2)<dth<dmaxを満足する閾値dthを設定すれば良い。
【0085】
上記(6)式を参照すると最大残差dmaxは、ウエハWの半径及び計測視野VcのY方向における長さのみを用いて表されており、これらはウエハWの処理を行うに先だって予め得られている情報である。図3に示す表裏判別部35は予めこれらの情報を制御部31から得て閾値dthを設定している。表裏判別部35は、算出した残差dの最大値が以上説明した閾値dthを越えている場合(残差dが閾値dthよりも大きい場合)には、プリアライメントセンサ22cの真下には円弧エッジCEが配置されていると判断し、逆に残差dの最大値が以上説明した閾値dthを越えていない場合(残差dが閾値dth以下である場合)には、プリアライメントセンサ22cの真下にはサブオリエンテーションフラットOF1が配置されていると判定する。以上、残差dの最大値を用いて判定する場合を例に挙げて説明したが、残差dの分散若しくは標準偏差又はこれらの両者を用いて判定する場合も同様に閾値を設定して判定を行う。
【0086】
また、残差dの最大値dmaxのみを用いる場合のみに本発明は限定されるものではない。例えば、残差の大きいものを何点か選別し、それらの合計値が所定の閾値を越えていれば円弧であるという判別手法を用いるようにしても良い。例えば、残差dの大きい順にn点抽出し、それらの点の各残差(dmax〜dn)の合計値(dmax+dmax−1+…+dn)と所定の閾値とを比較するようにすれば良い。あるいは、残差dの最大値dmaxを用いるのではなく、n番目(例えば、2番目)に大きい残差(dmax−1)を用いて(n番目の残差とn番目残差用の閾値とを比較することによって)、円弧かオリエンテーションフラットかを判別するようにしても良い。以上のように、残差dの最大値dmaxのみでの判別ではなく、n番目に大きい残差を用いて判別することによって、例えば、ゴミ等の影響で測定値に「飛び」があった場合に、そのゴミの影響を受けた「飛び値」を最大残差dmaxと認識して、表裏を誤判別してしまうことを防止することができる。
【0087】
図5を参照して説明した通り、プリアライメントセンサ22a,22bの真下にオリエンテーションフラットOFが配置されている状態において、プリアライメントセンサ22cの真下に円弧エッジCEが配置されているか又はサブオリエンテーションフラットOF1が配置されているかを判定することができれば、センターテーブル上に表面を上側にして又は裏面を上側にしてウエハWが配置されているかを判別することができる。そこで、この関係を用いて表裏判別部35は基板テーブル14上に載置されたウエハWの表裏判別を行う(ステップS15)。ウエハWの表裏判別結果は、制御部31に出力される。以上の処理によりウエハWの表裏判別が終了し、処理は図4に示したメインルーチンにリターンする。
【0088】
処理がメインルーチンにリターンすると、ウエハWの位置情報を算出する処理が行われる(ステップS5)。図11は、ウエハWの位置情報を算出する処理を示すフローチャートである。ウエハWの位置情報算出処理が開始されると、まず主制御系20に設けられた制御部31が、表裏判別部35の判別結果に基づいて、基板テーブル14上のウエハWが表面を上側にして配置されているのか否かを判断する(ステップS21)。
【0089】
表面を上側にしてウエハWが基板テーブル14上に配置されていると判断された場合(判断結果が「YES」の場合)には、従来から用いられる周知の方法(例えば、前述の特許文献1又は2に記載の方法)を用いてウエハWの位置情報を算出する(ステップS22)。ここで、ウエハWが表面を上側にしてセンターテーブル上に載置されていると、ウエハWはプリアライメントセンサ22a,22b,22cに対して図5(a)に示す状態で配置されていることになり、図6に示す撮像データD1がプリアライメントセンサ22a,22b,22cの各々から得られる。
【0090】
前述した通り、ウエハWはオリエンテーションフラットOFが形成された従来から用いられているものに、サブオリエンテーションフラットOF1,OF2を新たに形成したものであり、オリエンテーションフラットOFと円弧エッジCEとを観察して得られた計測結果は従来のウエハWを観察して得られる計測結果と同じものとなる。このため、表面を上側にしてセンターテーブル上に載置されているウエハWの位置情報を算出する場合には、従来から用いられている方法を用いて位置情報の算出を行う。
【0091】
従来から用いられている位置情報の算出方法を簡単に説明すると以下の通りである。まず、図3に示した制御部31の制御の下で、外縁抽出部33が撮像データ格納領域41に格納されている撮像データD1を読み出してウエハWの外縁に沿った複数の外縁点からなる点群を抽出し、それらの位置を求める。ここで、抽出する点群は、図6に示した外縁点Pai、外縁点Pbj、及び外縁点Pckである。なお、iは1≦i≦n1を満たす整数であり、jは1≦j≦n2を満たす整数である。尚、n1,n2は2以上の整数である。抽出された外縁点の全ては外縁情報格納領域42に格納される。
【0092】
次に、制御部31の制御の下で、直線近似部34が外縁情報格納領域42から外縁点Pai及び外縁点Pbjを読み出し、各々について最小二乗法を用いて直線近似を行い、求めた近似直線を表す情報を近似直線格納領域43に格納する。そして、制御部31の制御の下で回転量算出部36が近似直線格納領域43に格納された近似直線を読み出し、X軸に対するウエハWの回転量を算出し、算出した回転量を回転情報格納領域44に格納する。
【0093】
以上の処理が終了すると、制御部31の制御の下で位置情報算出部37が、外縁情報格納領域42から外縁点Pckを読み出すとともに、回転情報格納領域44から回転量を読み出して、ウエハWの中心位置(基準位置)を算出する。なお、ウエハWの中心位置の算出にあたっては、ウエハWの回転量に代えて、外縁点Pai及び外縁点Pbjを用いてもよく、更にはオリエンテーションフラットOFの近似直線を用いても良い。また、ウエハWの中心位置を算出する際には、外縁点Pckの少なくとも1つを用いれば良く、必ずしも全てを用いなくても良い。
【0094】
このようにして算出されたウエハWの中心位置は位置情報格納領域45に格納される。以上の処理により、ウエハWが表面を上側にしてセンターテーブル上に載置されている場合のウエハWの位置情報を算出する処理が終了し、処理は図4に示したメインルーチンにリターンする。
【0095】
一方、ステップS21において、裏面を上側にしてウエハWがセンターテーブル上に配置されていると判断された場合(判断結果が「NO」の場合)には、処理がステップS23へ進む。ここで、ウエハWが裏面を上側にしてセンターテーブル上に配置されている場合には、図7に示した通り、プリアライメントセンサ22a,22b,22cの全てにおいて直線状の外縁が観察された状態となり、上述した従来の方法を用いてはウエハWの中心位置を求めることができない。そこで、本実施形態では以下の方法を用いてウエハWの中心位置を算出している。
【0096】
まず、ステップS23では、オリエンテーションフラットOFを直線近似する処理が行われる。この処理では、図3に示す制御部31の制御の下で、外縁抽出部33が撮像データ格納領域41に格納されている撮像データD1を読み出してウエハWの外縁に沿った複数の外縁点からなる点群を抽出し、それらの位置を求める。ここで、抽出する点群は、図7に示した外縁点Pai及び外縁点Pbjである。抽出された外縁点の全ては外縁情報格納領域42に格納される。なお、以下の説明において、外縁点Pai(Xai,Yai)及び外縁点Pbj(Xbj,Ybj)の全てを表す場合には、外縁点Pdm(Xdm,Ydm)と記すものとする。なお、mは1<m≦(n1+n2)を満たす整数である。
【0097】
次に、制御部31の制御に従って、直線近似部34が外縁情報格納領域42に格納された外縁点Pdmを読み出し、最小二乗法を用いて直線近似を行う。求めた近似直線を表す情報は近似直線格納領域43に格納される。
【0098】
以上の処理が終了すると、サブオリエンテーションフラットOF1を直線近似する処理が行われる(ステップS24)。この処理では、図3に示す制御部31の制御の下で、外縁抽出部33が撮像データ格納領域41に格納されている撮像データD1を読み出してウエハWの外縁に沿った複数の外縁点からなる点群を抽出し、それらの位置を求める。ここで、抽出する点群は、図7に示した外縁点Pckである。抽出された外縁点の全ては外縁情報格納領域42に格納される。次に、制御部31の制御に従って、直線近似部34が外縁情報格納領域42に格納された外縁点Pckを読み出し、最小二乗法を用いて直線近似を行う。求めた近似直線を表す情報は近似直線格納領域43に格納される。
【0099】
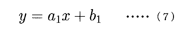
ここで、ステップS23で求められるオリエンテーションフラットOFの近似直線(直交回帰直線)の式を変数「a1」,「b1」を用いて以下の(7)式で表し、ステップS24で求められるサブオリエンテーションフラットOF1の近似直線(直交回帰直線)の式を変数「a2」,「b2」を用いて以下の(8)式で表す。
【0100】
【数7】
【0101】
【数8】
【0102】
上記の(7)式に(n1+n2)個の外縁点PdmのX座標Xdm及びY座標Ydmのそれぞれを代入して得られる連立式を行列の形式で表すと以下の(9)式となる。
【0103】
【数9】
【0104】
同様に、上記の(8)式にn3個の外縁点PckのX座標Xck及びY座標Yckのそれぞれを代入して得られる連立式を行列の形式で表すと以下の(10)式となる。
【0105】
【数10】
【0106】
ここで、上記(9)式を以下の(11)式の通り表し、上記(10)式を以下の(12)式の通り表す。
【0107】
【数11】
【0108】
【数12】
【0109】
求める解(上記(11)式における行列p1及び上記(12)式における行列p2)は最小二乗法により以下の(13)式及び(14)式からそれぞれ求められる。
【0110】
【数13】
【0111】
【数14】
【0112】
すなわち、上記(13)式を解いて得られる行列の第1行目が上記(7)式中の変数「a1」であり、第2行目が上記(7)式中の変数「b1」である。また、上記(14)式を解いて得られる行列の第1行目が上記(8)式中の変数「a2」であり、第2行目が上記(8)式中の変数「b2」である。なお、上記(13)式においてA1 tは行列A1の転置行列であり、上記(14)式においてA2 tは行列A2の転置行列である。
【0113】
以上の処理により、オリエンテーションフラットOFの近似直線L11及びサブオリエンテーションフラットの近似直線L12が求まり、これら近似直線L11,L12を表す情報が近似直線格納領域43に格納される。
【0114】
次に、これらの近似直線L11,L12を用いてウエハWの中心位置(基準位置)を求める処理が行われる。図12は、オリエンテーションフラットOFの近似直線L11とサブオリエンテーションOF1の近似直線L12とを用いてウエハWの中心位置を求める処理を説明するための図である。図12において、G1はウエハWの中心位置に対するオリエンテーションフラットOFの距離を示しており、G2はウエハWの中心位置に対するサブオリエンテーションフラットOF1の距離を示している。これら距離G1,G2は予め設計値から求められている。
【0115】
このため、本実施形態では、図12に示す通り、ステップS23で得られた近似直線L11をウエハWの中心方向に向けて距離G1だけ平行移動するとともに、ステップS24で得られた近似直線L12をウエハWの中心方向に向けて距離G2だけ平行移動する。そして、平行移動させた近似直線(以下、移動後直線という)の交点C2を算出し(ステップS25)、この交点C2をウエハWの中心位置として推定して(ステップS26)、ウエハWの中心位置を求めている。なお、図12においては、ウエハWの回転量を誇張して図示している。
【0116】
上記ステップS25においては、図3に示した制御部31の制御の下で、回転量算出部36が近似直線格納領域43に格納された近似直線L11に関する情報を読み出し、所定の基準としてのX軸に対する近似直線L11の傾きθ(ウエハWの回転量)を算出し、算出した傾きθを回転情報格納領域44に格納する。次に、制御部31の制御の下で、位置情報算出部37が近似直線格納領域43に格納された近似直線L11,L12に関する情報を読み出すとともに、回転情報格納領域44から近似直線L11の傾きθを読み出し、これらを用いてウエハWの中心位置と推定される交点C2を算出する。
【0117】
オリエンテーションフラットOFの近似直線L11は前述した(7)式で表されており、サブオリエンテーションフラットOF1の近似直線L12は前述した(8)式で表されている。近似直線L11をウエハWの中心に向けて距離G1だけ平行移動させた移動後直線は以下の(15)式で表され、近似直線L12をウエハWの中心に向けて距離G2だけ平行移動させた移動後直線は以下の(16)式で表される。
【0118】
【数15】
【0119】
【数16】
【0120】
上記(15)式と(16)式を用いれば交点C2を算出することができる。
【0121】
なお、以上説明した方法においては、近似直線L11,L12を共にウエハWの中心に向けて平行移動させて交点C2を算出したが、近似直線L11,L12の何れか一方のみをウエハWの中心に向けて平行移動させるだけでも上記の交点C2を算出することができる。この方法においては、例えば、近似直線L11のみをウエハWの中心に向けて移動させ、この移動後直線と平行移動を行っていない近似直線L12との交点C3(図12参照)を求めてから交点C2を算出する。
【0122】
近似直線L11をウエハWの中心に向けて平行移動させた移動後直線は上記(15)式で表される。この移動後直線を平行移動を行っていない近似直線L12((8)式の近似直線)に代入して求められる交点C3の座標(X3,Y3)は、以下の(17)式で表される。
【0123】
【数17】
【0124】
上記(17)式で表される交点C3の座標(X3,Y3)から求められる交点C2の座標(X2,Y2)は、以下の(18)式で表される。
【0125】
【数18】
【0126】
以上説明した処理を行って求められた交点C2の座標座標(X2,Y2)は、位置情報として位置情報格納領域45に格納される。以上の処理によりウエハWが裏面を上側にしてセンターテーブル上に載置されている場合のウエハWの位置情報を算出する処理が終了し、処理は図4に示したメインルーチンにリターンする。
【0127】
処理がメインルーチンにリターンすると、上記サブルーチンS5で算出されたウエハの回転量を補正するようにセンターテーブルを回転させながら下降させて、ウエハを基板ホルダ15上に吸着保持させる。なお、サブルーチンS5で求めたウエハ中心は、オフセット情報として保持しておき、各ショット領域の位置合わせを行う際のオフセットとして使用される。次に、制御部31は、上記で求めたウエハWの形状測定以外の露光準備用計測を行う(ステップS6)。すなわち、制御部31は、基板テーブル14上に配置された不図示の基準部材を使用したレチクルアライメント、及びアライメント検出系ASのベースライン量の測定等の準備作業を行う。なお、上記のレチクルアライメント、ベースライン計測等の準備作業については、例えば特開平4−324923号公報及びこれに対応する米国特許第5,243,195号に詳細に開示されている。
【0128】
また、ウエハWに対する露光が、第2層目以降の露光であるときには、既にウエハW上に形成されている回路パターンと、重ね合わせ精度良く回路パターンを形成するため、上述のウエハWの位置情報計測結果に基づいて、前述した基準座標系における、ウエハW上の回路パターンの配列、すなわちショット領域の配列に関する配列座標位置情報が、アライメント検出系ASを使用して高精度で検出される。
【0129】
以上の処理が完了すると、ウエハWに対する露光が行われる(ステップS7)。この露光動作にあたっては、まず、ウエハWのXY位置がウエハW上の最初のショット領域(ファースト・ショット)の露光のための走査開始位置となるように、基板テーブル14が移動される。この移動は、位置情報格納領域45から読み出された上述のウエハWの位置情報計測結果(主にサブルーチンS5で求めたウエハ中心位置情報(オフセット情報))、及びウエハ干渉計19からの位置情報(速度情報)等(第2層目以降の露光の場合には、基準座標系上での配列座標位置情報の検出結果及びウエハ干渉計19からの位置情報(速度情報)及び上記オフセット情報等)に基づき、主制御系20によりステージ制御系21及びウエハ駆動装置17等を介して行われる。同時に、レチクルRのXY位置が、走査開始位置となるように、レチクルステージRSTが移動される。この移動は、主制御系20によりステージ制御系21及び不図示のレチクル駆動部等を介して行われる。
【0130】
次に、ステージ制御系21が、主制御系20からの制御命令に応じて、多点フォーカス位置検出系によって検出されたウエハWのZ位置情報、レチクル干渉計13によって計測されたレチクルRのXY位置情報、ウエハ干渉計19によって計測されたウエハWのXY位置情報に基づき、不図示のレチクル駆動部及びウエハ駆動装置17を介して、ウエハWの面位置の調整を行いつつ、レチクルRとウエハWとを相対移動させて走査露光を行う。
【0131】
こうして、最初のショット領域の露光が終了すると、次のショット領域の露光のための走査開始位置となるように、基板テーブル14が移動されるとともに、レチクルRのXY位置が、走査開始位置となるように、レチクルステージRSTが移動される。そして、このショット領域に関する走査露光が上述の最初のショット領域と同様にして行われる。以後、同様にして各ショット領域について走査露光が行われ、露光が完了する。ウエハWの露光が完了すると、ウエハステージWSTがアンロード位置に移動された後、不図示のウエハアンローダにより、ウエハWが基板テーブル14からアンロードされる(ステップS8)。こうして、ウエハ1枚についての露光処理が終了する。
【0132】
なお、以上の露光処理が第1層目の走査露光である場合は、前述の位置計測結果に基づいて、ウエハW上におけるショット領域の位置が補正され、結果としてショット領域の配列座標系は設計上の座標系に対する座標原点のシフト量や回転量がほぼ零となるが、ウエハWの中心位置のずれ量(シフト量)及び回転量が小さいときは、その位置情報計測結果に基づくショット位置の補正は行わなくともよい。また、上記露光処理が第2層目以降の走査露光である場合は、走査露光に先立ってファインアライメントが行われるので、走査露光におけるレチクルステージRST及びウエハステージWSTの同期移動で前述の位置情報計測結果を用いる必要はなく、ファインアライメント時におけるウエハステージWSTの移動のみでその位置情報計測結果が用いられることになる。
【0133】
さらに、第1層目ではその走査露光、第2層目ではファインアライメントに先立ち、前述の位置情報計測結果に基づいて、例えばウエハW又はウエハホルダ15を回転させるようにしてもよい。この場合は、第1層目の走査露光や第2層目以降のファインアライメントにおいて、前述の位置情報計測結果すなわち回転量を用いる必要がなくなる。このとき、ウエハWの回転量の代わりに、又はそれに加えて、前述の位置計測により得られたウエハWの中心位置を示す情報に基づいてウエハホルダ15上におけるウエハWの位置を微調整することにより、以降の動作で中心位置を示す情報を用いる必要がなくなる。
【0134】
以上説明したように、本実施形態によれば、プリアライメントセンサ22cの撮像結果に基づいて、プリアライメントセンサ22cの真下に円弧エッジCEが位置しているのか、又はサブオリエンテーションフラットOF1が位置しているのかを判定し、この判定結果に基づいてウエハWの表裏判断を行っているため、高速且つ正確にウエハWの表裏判別を行うことができる。この結果、例えばウエハWの表面に転写すべきパターンがウエハWの裏面に転写されるといった事態を防止することができ、高い歩留まりでデバイスを製造することができる。
【0135】
また、オリエンテーションフラットOFの近似直線及びサブオリエンテーションフラットOF1の近似直線を求め、これらをウエハWの中心に向かって平行移動し、移動後直線の交点をウエハWの中心と推定しているため、プリアライメントセンサ22a,22bの真下にオリエンテーションフラットOFが位置し、プリアライメントセンサ22cの真下にサブオリエンテーションフラットOF1が位置する場合のように、プリアライメントセンサ22a,22b,22cの全てが直線状の外縁を観察するような状況においてもウエハWの位置情報を求めることができる。
【0136】
なお、以上説明した実施形態は、本発明の理解を容易にするために記載されたものであって、本発明を限定するために記載されたものではない。したがって、上記の実施形態に開示された各要素は、本発明の技術的範囲に属する全ての設計変更や均等物をも含む趣旨である。
【0137】
例えば、上記実施形態では、図4に示したウエハWの表裏判別を行うステップS4とウエハWの位置情報を算出するステップS5とにおいて、説明の便宜上、個別に外縁に沿った点群を抽出して近似直線を求めていた。しかしながら、ステップS3の撮像を行って得られた撮像データD1(プリアライメントセンサ22a,22b,22cの撮像データ)各々に対して一括して点群抽出処理及び直線近似処理を行って、図3に示す外縁情報格納領域42及び近似直線格納領域43に各々の処理結果を格納しておき、必要になったときに必要な情報を読み出すようにすることで、処理の効率化を図ることができる。
【0138】
また、上記実施形態においては、プリアライメントセンサ22cの真下に円弧エッジCEが配置されているのか又はサブオリエンテーションフラットOF1が配置されているのかを判定し、この判定結果のみに基づいてウエハWの表裏判別を行っていたが、プリアライメントセンサ22a,22b,22cの全てについて各々の真下に位置しているのが直線状輪郭であるのか曲線状輪郭であるのかを判定し、これらの判定結果に基づいて表裏判定を行うようにしても良い。
【0139】
また、上述した実施形態においては、露光装置で用いる場合を例に挙げて説明したが、本発明は露光装置のみならず、ウエハに形成されたパターンの重ね合わせ精度を検査する検査装置、ウエハに形成されたパターンの線幅を検査する検査装置、ウエハに形成されたパターンのマクロ的(巨視的)な欠陥を検査する検査装置、その他の検査装置にも検査対象のウエハを所定の精度で位置合わせするために用いることができる。
【0140】
なお、上述した実施形態では、ウエハ(基板)を検査対象として説明したが、検査対象としては、円弧状の輪郭と直線上の輪郭とをあわせ持つ物体であれば、ウエハに限られるものではない。
【0141】
また、上記実施形態においては、本発明をステップ・アンド・スキャン方式の露光装置に適用した場合を例に挙げて説明したが、ステップ・アンド・リピート方式の露光装置(ステッパー)にも適用することができる。また、上記実施形態では、照明光ILとしてArFエキシマレーザ等から射出されるレーザ光を用いていたが、レーザプラズマ光源、又はSORから発生する軟X線領域、例えば波長13.4nm、又は11.5nmのEUV(Extreme Ultra Violet)光を用いるようにしてもよい。さらに、電子線又はイオンビームなどの荷電粒子線を用いてもよい。また、投影光学系は、反射光学系、屈折光学系、及び反射屈折光学系のいずれを用いてもよい。
【0142】
また、DFB半導体レーザ又はファイバーレーザから発振される赤外域、又は可視域の単一波長レーザを、例えばエルビウム(又はエルビウムとイットリビウムの両方)がドープされたファイバーアンプで増幅し、非線形光学結晶を用いて紫外光に波長変換した高調波を用いてもよい。
【0143】
さらに、半導体素子の製造に用いられるデバイスパターンをウエハ上に転写する露光装置だけでなく、液晶表示素子などを含むディスプレイの製造に用いられるデバイスパターンをガラスプレート上に転写する露光装置、薄膜磁気ヘッドの製造に用いられるデバイスパターンをセラミックウエハ上に転写する露光装置、撮像素子(CCDなど)、マイクロマシン、及びDNAチップなどの製造に用いられる露光装置等にも本発明を適用することができる。
【0144】
ところで、EUV光を用いる露光装置では反射型マスクが用いられ、電子線露光装置などでは透過型マスク(ステンシルマスク、メンブレンマスク)が用いられるので、マスクの原版としてはシリコンウエハなどが用いられる。
【0145】
複数のレンズから構成される照明光学系、投影光学系を露光装置本体に組み込み光学調整をするとともに、多数の機械部品からなるレチクルステージや基板ステージを露光装置本体に取り付けて配線や配管を接続し、さらに総合調整(電気調整、動作確認等)をすることにより本実施形態の露光装置を製造することができる。なお、露光装置の製造は温度及びクリーン度等が管理されたクリーンルーム内で行うことが望ましい。
【0146】
半導体素子は、デバイスの機能・性能設計を行うステップ、この設計ステップに基づいて、レチクルを製造するステップ、シリコン材料からウエハを製造するステップ、上述した実施形態の露光装置等によりレチクルのパターンをウエハに露光転写するステップ、デバイス組み立てステップ(ダイシング工程、ボンディング工程、パッケージ工程を含む)、検査ステップ等を経て製造される。
【0147】
【発明の効果】
本発明によると、撮像した物体の輪郭の一部に沿って点群を抽出し、抽出した点群に対して直線近似を行って近似直線を算出し、この近似直線と点群との位置関係に応じて上記輪郭の一部が直線状輪郭であるのか又は曲線状輪郭であるのかを判定しているため、撮像した物体の輪郭の一部が直線状輪郭であるのか又は曲線状輪郭であるのかを高速且つ正確に判定することができるという効果がある。
【0148】
また、本発明によると、所定の位置に配設された撮像装置の撮像結果について直線状輪郭であるのか又は曲線状輪郭であるのかを高速且つ正確に判定し、これらの判定結果に基づいて物体の表裏を判別しているため、物体の表裏判別を高速且つ正確に行うことができるという効果がある。
【0149】
さらに、本発明によると、物体としての基板の表裏判別が高速且つ正確に行われた上で、計測された基板の位置情報及び回転位置情報に基づいて基板の位置制御を行いつつ基板上にパターンを転写しているため、例えば基板の表面に転写すべきパターンが基板の裏面に転写されるといった事態を防止することができ、高い歩留まりでデバイスを製造することができるという効果がある。
【図面の簡単な説明】
【図1】本発明の実施形態に係る露光装置の全体構成の概略を示す図である。
【図2】プリアライメント検出系の周辺の構成を概略的に示す平面図である。
【図3】本発明の実施形態に係る露光装置が備える主制御系の内部構成を示すブロック図である。
【図4】本発明の実施形態に係る露光装置の露光時の動作の概略を示すフローチャートである。
【図5】プリアライメントセンサの撮像位置へウエハが配置された状態を示す上面図である。
【図6】ウエハが表面を上側にして配置されているときのプリアライメントセンサの撮像結果の一例を示す図である。
【図7】ウエハが裏面を上側にして配置されているときのプリアライメントセンサの撮像結果の一例を示す図である。
【図8】ウエハの表裏判別処理を示すフローチャートである。
【図9】円弧エッジ又は直線状の外縁と近似直線との位置関係を例示する図である。
【図10】撮像した外縁部が円弧エッジであるか否かの判定を行う際に設定する閾値の一例を説明するための図である。
【図11】ウエハの位置情報を算出する処理を示すフローチャートである。
【図12】オリエンテーションフラットの近似直線とサブオリエンテーションの近似直線とを用いてウエハの中心位置を求める処理を説明するための図である。
【符号の説明】
1…露光装置
14…基板テーブル(ステージ)
16…ウエハステージ装置(ステージ装置)
20…主制御系(制御装置、制御用コンピュータ)
22a〜22c…プリアライメントセンサ(撮像装置)
33…外縁抽出部(点群抽出部)
34…直線近似部
35…表裏判別部(判定部)
CE…円弧エッジ(曲線状輪郭)
OF…オリエンテーションフラット(直線状輪郭)
OF1…サブオリエンテーションフラット(直線状輪郭)
OF2…サブオリエンテーションフラット(直線状輪郭)
RAS…プリアライメント検出系(撮像装置)
W…ウエハ(基板)[0001]
TECHNICAL FIELD OF THE INVENTION
The present invention relates to a position measurement method and apparatus, an exposure method and apparatus, and a program, and in particular, a position measurement method and apparatus for measuring position information of an object such as a substrate, an exposure method using the position measurement method, and the position measurement apparatus And a program for causing a control computer of the exposure apparatus to measure positional information of an object such as a substrate.
[0002]
[Prior art]
2. Description of the Related Art Conventionally, in a lithography process for manufacturing a semiconductor element, a liquid crystal display element, a thin film magnetic head, and other devices, a pattern formed on a mask or reticle (hereinafter, collectively referred to as a “mask”) is used. 2. Description of the Related Art There is used an exposure apparatus that transfers a photosensitive agent such as a resist onto a substrate such as a wafer or a glass plate via a projection optical system. As the exposure apparatus, a static exposure type projection exposure apparatus such as a so-called stepper and a scanning exposure type projection exposure apparatus such as a so-called scanning stepper are mainly used. In such an exposure apparatus, it is necessary to perform high-precision alignment (alignment) between the reticle and the wafer prior to exposure. In order to perform this high-accuracy alignment, it is necessary to measure the position of the wafer with high accuracy. For this purpose, various position measurement techniques have been proposed.
[0003]
In the above-described exposure apparatus, an alignment method called enhanced global alignment (hereinafter, referred to as “EGA”) is used in order to ensure high overlay accuracy between the reticle and the mask. This EGA measures the arrangement coordinate position of each shot area on a wafer on a reference coordinate system (movement coordinate system of the wafer stage) defining the movement of the wafer with high accuracy while the wafer is placed on the wafer stage. The positioning (detailed (fine) alignment) is performed based on the measurement result. More specifically, several fine alignment marks (detailed alignment marks transferred together with the circuit pattern) in the wafer are measured, and a processing such as least square approximation is performed on the measurement result to arrange each shot area. Find coordinates. Then, at the time of exposure, the wafer stage is stepped and moved according to the obtained arrangement coordinates, and the position of the wafer stage is adjusted depending on the accuracy of the wafer stage.
[0004]
For the above-mentioned EGA, it is necessary to observe a fine alignment mark formed at a predetermined position on a wafer at a high magnification, but when observing at a high magnification, the observation field of view is necessarily narrowed. However, if the wafer is loaded on the wafer stage in a state where the wafer is largely displaced from the wafer stage, there is a problem that the fine alignment mark on the wafer does not enter the observation field. Therefore, in order to reliably capture the fine alignment mark in a narrow observation field (to load the wafer to a desired position (orientation) on the wafer stage), observe the position of the outer edge of the wafer prior to fine alignment. Then, a reference position (for example, a center position) of the wafer and a rotation amount around the center axis of the wafer are measured based on the observation result, and based on the measurement result, the wafer is aligned on the wafer stage with predetermined accuracy. The pre-alignment for loading into is performed.
[0005]
A V-shaped notch (notch) or a linear notch (orientation flat) is formed at a part of the outer edge of the wafer. In pre-alignment, these are observed to measure the reference position and the amount of rotation of the wafer. ing. This pre-alignment is performed not only by the exposure apparatus, but also by an inspection apparatus for inspecting the overlay accuracy of the pattern formed on the wafer, an inspection apparatus for inspecting the line width of the pattern formed on the wafer, and the pattern formed on the wafer. In an inspection apparatus for inspecting a macro (macroscopic) defect and other inspection apparatuses, the inspection apparatus is used to align a wafer to be inspected with a predetermined accuracy. For details of the conventional pre-alignment method, refer to, for example,
[0006]
[Patent Document 1]
WO 02/061367 pamphlet
[0007]
[Patent Document 2]
WO 02/033352 pamphlet
[0008]
[Problems to be solved by the invention]
In recent years, in the manufacture of devices, exposure processing (pattern transfer processing) has been performed not only on the front surface of a wafer but also on the back surface of the wafer, mainly for high integration or high functionality. Was. In the above-described prior art, since only the pattern transfer to the surface of the wafer is assumed, in the pre-alignment, it is sufficient to measure the reference position and the rotation amount of the wafer using the above-described notch or orientation flat.
[0009]
However, in a situation where the pattern is transferred to the front and back surfaces of the wafer, it is necessary to determine not only the reference position and the rotation amount of the wafer but also the front and back of the wafer. In a conventional wafer having an orientation flat formed only at one position of the outer edge, the external shape is symmetrical with respect to a straight line passing through the center of the wafer and orthogonal to the orientation flat. Cannot be determined.
[0010]
Therefore, in recent years, a wafer having another orientation flat (sub-orientation flat) formed at one or two places other than the conventionally formed orientation flat for discrimination between front and back has been used. The plurality of orientation flats formed on one wafer are set to different lengths, and the outer shape is asymmetric with respect to an arbitrary line included in the wafer surface, so that the front and back can be distinguished.
[0011]
When such a wafer is used, the reference position and the amount of rotation of the wafer are measured using the pre-alignment method described above, but the front and back of the wafer are imaged by a pre-alignment imaging device (camera). The operator visually determines the outer edge image. As described above, the length of each of the orientation flats formed on the wafer is set to be different from each other, but the length is not extremely long and the difference is slight. Further, since the image obtained by the camera has a detection range not so large, it is easy to determine whether the image portion is an arc portion of the wafer or an orientation flat portion only by looking at the image. Not that. For this reason, there is a problem that the discrimination between the front and the back by the visual inspection of the operator may be erroneous, and skill is required to reduce the erroneous discrimination.
[0012]
The present invention has been made in view of such a problem of the related art, and based on an imaging result of a part of a contour of a substrate having a linear contour and a curvilinear contour, a part of the imaged part is formed into a linear shape. An object of the present invention is to enable high-speed and accurate discrimination between a contour and a curvilinear contour, and to perform high-speed and accurate discrimination between front and back of a substrate.
[0013]
[Means for Solving the Problems]
Hereinafter, in the description given in this section, the present invention will be described in association with member numbers shown in the drawings representing the embodiments, but each constituent requirement of the present invention is limited to the members shown in the drawings with these member numbers. It is not done.
[0014]
In order to solve the above problem, according to a first aspect of the present invention, position measurement for measuring position information of an object (W) having a linear contour (OF, OF1, OF2) and a curved contour (CE). An imaging step (S3) of imaging a part of an outline of the object, and a point group including a plurality of points along the part of the outline of the object based on an imaging result of the imaging step. A point group extraction step (S11) of extracting the point group, a straight line approximation step (S12) of linearly approximating the point group, and the contour according to a positional relationship of the point group with respect to the approximate straight line obtained in the line approximation step. A determination step (S14) of determining whether a part of is a straight-line contour or a curved-line contour.
[0015]
According to the present invention, a point group is extracted along a part of the contour of the imaged object, a straight line approximation is performed on the extracted point group to calculate an approximate straight line, and a positional relationship between the approximate straight line and the point group is calculated. It is determined whether a part of the contour is a linear contour or a curvilinear contour according to the above. Therefore, a part of the contour of the imaged object is a linear contour or a curvilinear contour. Can be quickly and accurately determined.
[0016]
In the position measurement method according to the first aspect of the present invention, the imaging step is a step of imaging a part of the contour of the substrate as the object by an imaging device disposed in a predetermined position in advance, and the imaging result The method may further include a front / back discrimination step (S15) of discriminating between front and back of the substrate based on a result of the above-described determination. By doing so, it is possible to quickly and accurately determine whether or not the imaging location is a linear contour or a curved contour based on the imaging results at a plurality of locations on the contour of the substrate. Since the front and back sides of the board are determined based on the determination result, the front and back sides of the board can be quickly and accurately determined.
[0017]
To solve the above problem, according to a second aspect of the present invention, position measurement for measuring position information of an object (W) having a linear contour (OF, OF1, OF2) and a curved contour (CE). An imaging device (RAS, 22a, 22b, 22c) for imaging a part of an outline of the object; and a plurality of imaging devices along the part of the outline of the object based on an imaging result of the imaging device. A point group extraction unit (33) for extracting a point group consisting of points, a straight line approximation unit (34) for linearly approximating the point group, and a positional relationship of the point group with respect to an approximate line obtained by the straight line approximation unit. And a controller having a determination unit (35) for determining whether a part of the contour is the linear contour or the curved contour.
[0018]
According to the present invention, the control device extracts a point group along a part of the contour of the imaged object, calculates a straight line by performing linear approximation on the extracted point group, and calculates the approximate straight line and the point group. It is determined whether a part of the contour is a linear contour or a curved contour in accordance with the positional relationship with, and thus, a part of the contour of the imaged object is a linear contour or a curved part. It is possible to quickly and accurately determine whether the contour is a contour without human intervention.
[0019]
In the position measurement device according to the second aspect of the present invention, as the imaging device, using a device that images a part of the contour of the substrate as the object at a plurality of locations having a predetermined positional relationship set in advance, The control device may further include a front / back discrimination unit (35) for discriminating between the front and back of the board based on the determination result of the determination unit for each of the imaging results obtained at the plurality of locations. With this configuration, it is possible to quickly and accurately determine whether or not the imaging location is a linear contour or a curved contour based on the imaging results at a plurality of locations on the board contour without manual intervention. In addition, since the control device determines the front and back of the board based on these determination results, the front and back of the board can be quickly and accurately determined without manual intervention.
[0020]
According to a third aspect of the present invention, there is provided an exposure method for transferring a predetermined pattern onto a substrate (W) as an object, wherein the position measurement method according to the first aspect of the present invention uses the position information of the substrate, A substrate measuring step (S4, S5) for obtaining rotation position information and information indicating front and back; and a method for measuring the position of the substrate, the rotation position information, and information indicating front and back obtained in the substrate measurement step. And a transfer step (S6, S7) of transferring the pattern onto the substrate while controlling the position of the substrate.
[0021]
According to the present invention, the pattern is transferred onto the substrate while performing the position control of the substrate based on the measured position information and rotational position information of the substrate after the front / back discrimination of the substrate is performed quickly and accurately. Therefore, for example, a situation in which a pattern to be transferred to the front surface of the substrate is transferred to the back surface of the substrate can be prevented, and the device can be manufactured with a high yield.
[0022]
According to a fourth aspect of the present invention, there is provided an exposure apparatus (1) for transferring a predetermined pattern onto a substrate (W) as an object, wherein position information, rotational position information, and information indicating front and back of the substrate are obtained. An exposure apparatus is provided, comprising: a position measuring device according to the second aspect of the present invention; and a stage device (16) having a stage (14) on which the substrate measured by the position measuring device is mounted.
[0023]
According to the present invention, similarly to the exposure method according to the third aspect of the present invention, for example, it is possible to prevent a situation in which a pattern to be transferred to the front surface of the substrate is transferred to the back surface of the substrate, and to achieve a high yield. Devices can be manufactured.
[0024]
According to a fifth aspect of the present invention, a computer for controlling an exposure apparatus (1) for transferring a predetermined pattern onto a substrate (W) having a linear contour (OF, OF1, OF2) and a curved contour (CE). (20) A capturing step, which is a program for measuring positional information of the substrate, wherein the capturing result is obtained by capturing a part of an outline of the substrate at a plurality of locations having a predetermined positional relationship set in advance. (S3) and a determining step (S14) of determining, for each of the imaging results captured in the capturing step, whether a part of the contour is the linear contour or the curved contour. A program is provided for causing the control computer to execute a front / back discrimination step (S15) of discriminating between front and back of the substrate according to a result of the judgment in the judgment step.
[0025]
According to the present invention, a computer is made to quickly and accurately determine whether a part of a contour of a board imaged is a linear contour or a curved contour, and based on the result of the determination, it is possible to quickly determine front / back of a board. In addition, it is possible to provide a function of performing the operation with high accuracy.
[0026]
BEST MODE FOR CARRYING OUT THE INVENTION
Hereinafter, embodiments of the present invention will be described in detail with reference to the drawings. FIG. 1 is a diagram schematically illustrating an overall configuration of an exposure apparatus including a position measuring device according to an embodiment of the present invention. The exposure apparatus shown in FIG. 1 moves a reticle R as a mask and a wafer W as a substrate relative to the projection optical system PL in FIG. This is a step-and-scan exposure apparatus that manufactures semiconductor elements by sequentially transferring.
[0027]
In the following description, the XYZ rectangular coordinate system shown in FIG. 1 is set, and the positional relationship of each member will be described with reference to the XYZ rectangular coordinate system. The XYZ orthogonal coordinate system is set so that the X axis and the Y axis are parallel to the wafer W, and the Z axis is set in a direction orthogonal to the wafer W. In the XYZ orthogonal coordinate system in the figure, the XY plane is actually set to a plane parallel to the horizontal plane, and the Z axis is set vertically upward. In the present embodiment, the direction in which the reticle R and the wafer W are synchronously moved (hereinafter, referred to as a scanning direction) is set in the Y direction.
[0028]
An
[0029]
The
[0030]
Here, as the light source unit, an excimer laser light source such as a KrF excimer laser light source (oscillation wavelength 248 nm) or an ArF excimer laser light source (oscillation wavelength 193 nm), or F2Laser light source (oscillation wavelength: 157 nm), Ar2A laser light source (having an oscillation wavelength of 126 nm), a copper vapor laser light source, a harmonic generator of a YAG laser, an ultra-high pressure mercury lamp (g-line, i-line, or the like) can be used.
[0031]
The operation of the
[0032]
Illumination light emitted from a fly-eye lens as an optical integrator reaches a reticle blind via a beam splitter and a condenser lens system. The illumination light having passed through the reticle blind is emitted toward the
[0033]
A reticle R is fixed on the reticle stage RST by, for example, vacuum suction. The reticle stage RST is two-dimensionally (X direction and orthogonal thereto) in a plane perpendicular to an optical axis IX of the illumination system 10 (coincident with an optical axis AX of a projection optical system PL described later) for positioning the reticle R. (In the rotation direction about the Z axis orthogonal to the Y direction and the XY plane).
[0034]
The reticle stage RST can be moved on a reticle base (not shown) at a scanning speed designated in a scanning direction (Y direction) by a reticle driving unit (not shown) composed of a linear motor or the like. . The reticle stage RST has a movement stroke that allows the entire surface of the reticle R to cross at least the optical axis IX of the
[0035]
A
[0036]
The position information (velocity information) RPV of the reticle stage RST from the
[0037]
The projection optical system PL is arranged below (in the −Z direction) of the reticle stage RST in FIG. 1, the direction of its optical axis AX (coinciding with the optical axis IX of the illumination system 10) is the Z direction, and is predetermined by telecentric on both sides. (For example, 1/5, 1/4, or 1/6) is used. Therefore, when the illumination area IAR of the reticle R is illuminated by the illumination light IL from the
[0038]
Wafer stage WST is driven by, for example, a two-dimensional linear actuator on base BS in the Y direction (left-right direction in FIG. 1), which is the scanning direction, and in the X direction orthogonal to the Y direction (a direction orthogonal to the plane of FIG. 1). It has become. Substrate table 14 is provided on wafer stage WST. A wafer holder 15 is placed on the substrate table 14, and the wafer W is held by the wafer holder 15 by vacuum suction. The wafer stage WST, the substrate table 14, and the wafer holder 15 constitute a
[0039]
Substrate table 14 is mounted on wafer stage WST in a state where it is positioned in the XY directions and allowed to move and tilt in the Z direction. The substrate table 14 is supported by three shafts (not shown) at three different support points, and these three shafts are independently driven in the Z direction by a
[0040]
At a substantially central position of the substrate table 14 (wafer holder 15), a center table (not shown) for receiving or transferring a wafer from a wafer loader is provided. The center table is provided with a suction mechanism by vacuum, and can hold a wafer by suction. In addition, the center table has a structure capable of vertically moving (moving in the Z direction) and rotating (about the Z axis) while holding the wafer. When receiving the wafer, the center table moves up to receive the wafer, and then moves down to hold the wafer on the wafer holder 15 (substrate table 14).
[0041]
A
[0042]
The position information (or speed information) WPV of the substrate table 14 is sent to the
[0043]
The pre-alignment detection system RAS is held by a holding member (not shown) at a position separated from the projection optical system PL above the base BS. The pre-alignment detection system RAS includes three
[0044]
First, the outer edge shape of the wafer W will be described with reference to FIG. As shown in FIG. 2, the wafer W has an orientation flat OF and sub-orientation flats OF1 and OF2 formed as straight notches (linear contours). The orientation flat OF is an orientation flat conventionally formed on the wafer W as a linear notch, and the sub-orientation flats OF1 and OF2 are newly formed linear flats for discriminating the front and back of the wafer W. It is a notch. That is, in the present embodiment, the exposure processing is performed on both the front surface and the back surface of the wafer W. The lengths of the orientation flat OF and the sub-orientation flats OF1 and OF2 are set to different lengths, and the orientation flat OF and the sub-orientation flat OF1 are in a relationship orthogonal to each other.
[0045]
These orientation flat OF and sub-orientation flats OF1 and OF2 correspond to the linear contour according to the present invention, and the other outer edge of the wafer W corresponds to the curved contour according to the present invention. In the following description, the outer edge of the wafer W other than where the orientation flat OF and the sub-orientation flats OF1 and OF2 are formed is referred to as an "arc edge", and is continuously connected to the orientation flat OF and the sub-orientation flat OF2. The connected arc edges are distinguished by attaching a symbol CE.
[0046]
Further, as shown in FIG. 2, the
[0047]
As these
[0048]
Returning to FIG. 1, the alignment detection system AS is arranged on the side surface of the projection optical system PL, and in the present embodiment, an imaging for observing a street line and a position detection mark (fine alignment mark) formed on the wafer W. An off-axis type alignment microscope including an alignment sensor of a type is used. The detailed configuration of the alignment detection system AS is disclosed in, for example, Japanese Patent Application Laid-Open No. 9-219354 and US Pat. No. 5,859,707. Image data D2 of the wafer W observed by the alignment detection system AS is supplied to the
[0049]
Further, the exposure apparatus according to the present embodiment includes a measurement point Z on the surface of the wafer W at the measurement points set in the exposure area IA (the area on the wafer W optically conjugate with the illumination area IAR described above) and in the vicinity thereof. A multipoint focus position detection system (not shown), which is one of oblique incidence type focus detection systems (focus detection systems) for detecting a position in the direction (optical axis AX direction), is provided. The multi-point focus position detection system includes an irradiation optical system including an optical fiber bundle, a condenser lens, a pattern forming plate, a lens, a mirror, and an irradiation objective lens, a condenser objective lens, a rotational diaphragm, an imaging lens, It comprises a light receiving slit system, a light receiving optical system including a light receiving device having a large number of photo sensors, and a light receiving optical system (both are not shown). The detailed configuration and the like of this multipoint focus position detection system are disclosed in, for example, Japanese Patent Application Laid-Open No. Hei 6-283403 and U.S. Pat. No. 5,448,332 corresponding thereto.
[0050]
Next, the
[0051]
The imaging data collection unit 32 collects the imaging data D1 supplied from the pre-alignment detection system RAS. The outer
[0052]
Further, the
[0053]
Note that FIG. 3 shows an example in which each block is configured as hardware and the
[0054]
When the
[0055]
The
[0056]
Next, the operation at the time of exposure will be described. FIG. 4 is a flowchart showing an outline of the operation at the time of exposure of the exposure apparatus according to the embodiment of the present invention. First, a reticle R on which a pattern to be transferred is formed from a reticle library (not shown) is loaded onto a reticle stage RST using a reticle loader (not shown). Further, a wafer W to be exposed is loaded onto the above-described center table on the substrate table 14 by a wafer loader (not shown). At this time, the center table is in an up state (a state protruding from the upper surface of the wafer holder 15), and in this state, the center table sucks and holds the wafer by vacuum. That is, at this time, the wafer is still held above the wafer holder 15 (step S1). Here, in the present embodiment, since it is assumed that the exposure process is performed on both the front surface and the back surface of the wafer W, the wafer W may be loaded on the center table with the front surface facing upward. May be loaded on the center table with the upper side facing up.
[0057]
Next, main control system 20 (more specifically, control unit 31 (see FIG. 3)) outputs a control signal to stage
[0058]
Here, in a state where the orientation flat OF is located directly below the
[0059]
FIG. 5 is a top view showing a state where the wafer W is arranged at the imaging position of the
[0060]
When the movement of the wafer W is completed in this way, the vicinity of the outer edge of the wafer W is imaged using the
[0061]
Referring to FIG. 6, images of the orientation flat OF formed on the wafer W are shown in the measurement visual fields Va and Vb of the
[0062]
Image data D1 of the wafer W imaged by the
[0063]
Here, as described with reference to FIGS. 5 to 7, the orientation flat OF formed on the wafer W is such that the wafer W is disposed on the substrate table 14 with the front surface facing upward, or the rear surface is disposed with the rear surface facing upward. Irrespective of whether or not the
[0064]
FIG. 8 is a flowchart illustrating the front / back discrimination processing of the wafer W. When the front / back discrimination processing of the wafer W is started, the outer
[0065]
Next, under the control of the
[0066]
(Equation 1)
[0067]
In the above equation (1), n1 outer edge points PckX coordinate of XckAnd Y coordinate YckIs expressed in the form of a matrix, and the simultaneous equation obtained by substituting each of the above is given by the following equation (2).
[0068]
(Equation 2)
[0069]
Here, if the above equation (2) is expressed as the following equation (3),
[0070]
(Equation 3)
[0071]
The solution to be obtained (matrix p in the above equation (3)) is obtained from the following equation (4) by the least square method.
[0072]
(Equation 4)
[0073]
That is, the first row of the matrix obtained by solving the above equation (4) is the variable “a” in the above equation (1), and the second row is the variable “b” in the above equation (1). is there. In the above equation (4), AtIs the transpose of matrix A.
[0074]
Outer edge point PckIs obtained, the front /
[0075]
(Equation 5)
[0076]
The variables “a” and “b” in the above equation (5) are variables representing the approximate straight line obtained in the above equation (4), and Xck, YckAre the respective outer edge points PckAre the X and Y coordinates. The approximate straight line determined here is the outer edge point PckIs an orthogonal regression line that minimizes the sum of the squares of the distances from each to the approximate line. Outer edge point PckIs obtained, the front /
[0077]
Here, the positional relationship between the outer edge point extracted from the arc edge and the approximate straight line, and the positional relationship between the outer edge point extracted from the linear outer edge such as the sub-orientation flat OF1 and the approximate straight line will be considered. FIG. 9 is a diagram illustrating a positional relationship between an arc edge or a linear outer edge and an approximate straight line. FIG. 9A illustrates an outer edge point Pc extracted from the arc edge CE.kFIG. 9B is a diagram illustrating a positional relationship between the sub-orientation flat OF1 and the approximate line L1.kFIG. 9 is a diagram illustrating a positional relationship between the approximate straight line L2 and the approximate straight line L2.
[0078]
As shown in FIG. 9, it can be seen that the approximate straight lines L1 and L2 can be obtained both in the case where the
[0079]
In the present embodiment, a predetermined threshold is set, and it is determined whether or not the maximum value or the variance or the standard deviation of the residual d exceeds the set threshold, to determine whether or not the wafer W disposed immediately below the
[0080]
Now, as shown in FIG. 10, it is assumed that a part of the arc edge CE is arranged in the visual field Vc of the
[0081]
Here, the maximum residual d expected with respect to the approximate straight line L1 shown in FIG.maxIs dmax= (E1-E2) / 2. That is, the outer edge point PckThere is an approximate straight line L1 at an intermediate position of the width of the X coordinate that can be taken, and the distance in the X direction from the center C1 of the wafer W to the outer edge point P2 where the value of the X coordinate becomes the smallest with respect to the approximate straight line L1 The distance in the X direction from the center C1 of the wafer W to the outer edge points P1 and P3 where the value of the X coordinate is the largest with respect to the straight line L1 is the maximum residual d.maxIt is estimated to be.
[0082]
Here, R is the radius of the wafer W, v is the length of the measurement visual field Vc in the Y direction of the
[0083]
(Equation 6)
[0084]
As described above, the residual d is larger when the arc edge is arranged than when the sub-orientation flat OF1 is arranged immediately below the
[0085]
Referring to the above equation (6), the maximum residual dmaxAre expressed using only the radius of the wafer W and the length of the measurement visual field Vc in the Y direction, and these are information obtained in advance before the processing of the wafer W. The front /
[0086]
Also, the maximum value d of the residual dmaxThe present invention is not limited only to the case of using only. For example, some points having a large residual may be selected, and if the total value of the points exceeds a predetermined threshold, a discrimination method of determining that the arc is an arc may be used. For example, n points are extracted in descending order of the residual d, and each residual (dmax~ Dn) (Dmax+ Dmax-1+ ... + dn) May be compared with a predetermined threshold. Alternatively, the maximum value d of the residual dmax, The n-th (eg, second) largest residual (dmax-1) (By comparing the n-th residual with a threshold for the n-th residual) to determine whether the arc is an arc or an orientation flat. As described above, the maximum value d of the residual dmaxBy using the n-th largest residual instead of using only the difference, for example, if there is a “jump” in the measured value due to the influence of dust or the like, the “jump value” affected by the dust Is the maximum residual dmax, It is possible to prevent erroneous determination of the front and back.
[0087]
As described with reference to FIG. 5, in a state where the orientation flat OF is disposed immediately below the
[0088]
When the process returns to the main routine, a process of calculating the position information of the wafer W is performed (Step S5). FIG. 11 is a flowchart illustrating a process of calculating the position information of the wafer W. When the position information calculation process of the wafer W is started, first, the
[0089]
When it is determined that the wafer W is placed on the substrate table 14 with the front side up (when the determination result is “YES”), a well-known method conventionally used (for example,
[0090]
As described above, the wafer W is obtained by newly forming the sub-orientation flats OF1 and OF2 on the conventional one having the orientation flat OF formed thereon, and observing the orientation flat OF and the arc edge CE. The obtained measurement result is the same as the measurement result obtained by observing the conventional wafer W. For this reason, when calculating the position information of the wafer W placed on the center table with the front surface facing upward, the position information is calculated using a conventionally used method.
[0091]
The following is a brief description of a conventionally used method for calculating position information. First, under the control of the
[0092]
Next, under the control of the
[0093]
When the above processing is completed, under the control of the
[0094]
The center position of the wafer W thus calculated is stored in the position
[0095]
On the other hand, when it is determined in step S21 that the wafer W is placed on the center table with the back surface facing upward (when the determination result is “NO”), the process proceeds to step S23. Here, when the wafer W is placed on the center table with the back surface facing upward, as shown in FIG. 7, a state in which a linear outer edge is observed in all of the
[0096]
First, in step S23, a process of linearly approximating the orientation flat OF is performed. In this process, under the control of the
[0097]
Next, under the control of the
[0098]
When the above process is completed, a process of linearly approximating the sub-orientation flat OF1 is performed (step S24). In this process, under the control of the
[0099]
Here, the equation of the approximate straight line (orthogonal regression line) of the orientation flat OF obtained in step S23 is changed to a variable “a”.1”,“ B1And the expression of the approximate straight line (orthogonal regression line) of the sub-orientation flat OF1 obtained in step S24 by using the variable “a”.2”,“ B2And is expressed by the following equation (8).
[0100]
(Equation 7)
[0101]
(Equation 8)
[0102]
In the above equation (7), (n1 + n2) outer edge points PdmX coordinate of XdmAnd Y coordinate YdmIs expressed in the form of a matrix, and the simultaneous equations obtained by substituting each of the following equations are given by the following equation (9).
[0103]
(Equation 9)
[0104]
Similarly, in the above equation (8), n3 outer edge points PckX coordinate of XckAnd Y coordinate YckAre expressed in the form of a matrix, and the simultaneous equations obtained by substituting each of the above are given by the following equation (10).
[0105]
(Equation 10)
[0106]
Here, the above equation (9) is represented as the following equation (11), and the above equation (10) is represented as the following equation (12).
[0107]
(Equation 11)
[0108]
(Equation 12)
[0109]
The solution to be sought (matrix p in equation (11) above)1And the matrix p in the above equation (12)2) Is obtained from the following equations (13) and (14) by the least square method.
[0110]
(Equation 13)
[0111]
[Equation 14]
[0112]
That is, the first row of the matrix obtained by solving the above equation (13) is the variable “a” in the above equation (7).1, And the second line is the variable “b” in the above equation (7).1". The first row of the matrix obtained by solving the above equation (14) is the variable “a” in the above equation (8).2, And the second line is the variable “b” in the above equation (8).2". Note that, in the above equation (13), A1 tIs the matrix A1, And in the above equation (14), A2 tIs the matrix A2Is the transposed matrix of.
[0113]
Through the above processing, the approximate straight line L11 of the orientation flat OF and the approximate straight line L12 of the sub-orientation flat are obtained, and information representing these approximate straight lines L11 and L12 is stored in the approximate straight
[0114]
Next, a process of obtaining the center position (reference position) of the wafer W using these approximate straight lines L11 and L12 is performed. FIG. 12 is a diagram for explaining a process of obtaining the center position of the wafer W using the approximate straight line L11 of the orientation flat OF and the approximate straight line L12 of the sub-orientation OF1. 12, G1 indicates the distance of the orientation flat OF to the center position of the wafer W, and G2 indicates the distance of the sub-orientation flat OF1 to the center position of the wafer W. These distances G1 and G2 are obtained in advance from design values.
[0115]
Therefore, in the present embodiment, as shown in FIG. 12, the approximate straight line L11 obtained in step S23 is translated in parallel toward the center of the wafer W by the distance G1, and the approximate straight line L12 obtained in step S24 is The wafer W is translated in the direction of the center of the wafer W by a distance G2. Then, an intersection C2 of an approximated straight line (hereinafter, referred to as a post-movement straight line) that has been translated is calculated (step S25), and the intersection C2 is estimated as the center position of the wafer W (step S26). Seeking. In FIG. 12, the amount of rotation of the wafer W is exaggerated.
[0116]
In the above step S25, under the control of the
[0117]
The approximate straight line L11 of the orientation flat OF is represented by the above-described equation (7), and the approximate straight line L12 of the sub-orientation flat OF1 is represented by the above-described equation (8). The moved straight line obtained by translating the approximate straight line L11 toward the center of the wafer W by the distance G1 is expressed by the following equation (15), and the approximate straight line L12 is translated by the distance G2 toward the center of the wafer W. The straight line after the movement is represented by the following equation (16).
[0118]
(Equation 15)
[0119]
(Equation 16)
[0120]
The intersection C2 can be calculated by using the above equations (15) and (16).
[0121]
In the method described above, the intersection C2 is calculated by moving the approximate straight lines L11 and L12 together toward the center of the wafer W, but only one of the approximate straight lines L11 and L12 is positioned at the center of the wafer W. The crossing point C2 can be calculated simply by performing the parallel movement. In this method, for example, only the approximate straight line L11 is moved toward the center of the wafer W, and after this movement, an intersection C3 (see FIG. 12) between the straight line and the approximate straight line L12 that has not been translated is obtained, and then the intersection is obtained. Calculate C2.
[0122]
The moved straight line obtained by translating the approximate straight line L11 toward the center of the wafer W is represented by the above equation (15). After this movement, the coordinates (X) of the intersection C3 obtained by substituting the straight line into the approximate straight line L12 (approximate straight line of equation (8)) that has not been translated.3, Y3) Is represented by the following equation (17).
[0123]
[Equation 17]
[0124]
The coordinates (X3, Y3), The coordinates (X2, Y2) Is represented by the following equation (18).
[0125]
(Equation 18)
[0126]
The coordinates of the intersection C2 (X2, Y2) Are stored in the position
[0127]
When the process returns to the main routine, the center table is rotated and lowered so as to correct the rotation amount of the wafer calculated in the subroutine S5, and the wafer is suction-held on the substrate holder 15. Note that the wafer center obtained in the subroutine S5 is held as offset information, and is used as an offset when positioning each shot area. Next, the
[0128]
When the exposure of the wafer W is the exposure of the second and subsequent layers, the circuit pattern already formed on the wafer W and the circuit pattern with high overlay accuracy are formed. Based on the measurement result, array coordinate position information on the arrangement of the circuit patterns on the wafer W, that is, the arrangement of the shot areas in the above-described reference coordinate system is detected with high accuracy using the alignment detection system AS.
[0129]
When the above process is completed, the wafer W is exposed (Step S7). In this exposure operation, first, the substrate table 14 is moved so that the XY position of the wafer W becomes a scanning start position for exposing the first shot area (first shot) on the wafer W. This movement corresponds to the position information measurement result of the wafer W (mainly the wafer center position information (offset information) obtained in the subroutine S5) read from the position
[0130]
Next, the
[0131]
When the exposure of the first shot area is completed in this way, the substrate table 14 is moved so as to be a scanning start position for exposure of the next shot area, and the XY position of the reticle R becomes a scanning start position. Thus, reticle stage RST is moved. Then, scanning exposure for this shot area is performed in the same manner as in the first shot area described above. Thereafter, scanning exposure is performed for each shot area in the same manner, and the exposure is completed. When the exposure of the wafer W is completed, the wafer stage WST is moved to the unload position, and then the wafer W is unloaded from the substrate table 14 by a wafer unloader (not shown) (Step S8). Thus, the exposure processing for one wafer is completed.
[0132]
If the above exposure processing is the first layer scanning exposure, the position of the shot area on the wafer W is corrected based on the above-described position measurement result, and as a result, the arrangement coordinate system of the shot area is designed. Although the shift amount and the rotation amount of the coordinate origin with respect to the upper coordinate system become substantially zero, when the shift amount (shift amount) and the rotation amount of the center position of the wafer W are small, the shot position based on the position information measurement result is determined. The correction need not be performed. Further, when the exposure processing is scanning exposure for the second and subsequent layers, fine alignment is performed prior to scanning exposure, so that the above-described positional information measurement is performed by synchronous movement of the reticle stage RST and wafer stage WST in scanning exposure. There is no need to use the result, and only the movement of wafer stage WST during fine alignment uses the position information measurement result.
[0133]
Further, prior to the scanning exposure for the first layer and the fine alignment for the second layer, for example, the wafer W or the wafer holder 15 may be rotated based on the above-described position information measurement result. In this case, it is not necessary to use the position information measurement result, that is, the rotation amount, in the scanning exposure of the first layer and the fine alignment of the second and subsequent layers. At this time, instead of or in addition to the rotation amount of the wafer W, the position of the wafer W on the wafer holder 15 is finely adjusted based on the information indicating the center position of the wafer W obtained by the above-described position measurement. Therefore, it is not necessary to use information indicating the center position in subsequent operations.
[0134]
As described above, according to the present embodiment, based on the imaging result of the
[0135]
Further, since the approximate straight line of the orientation flat OF and the approximate straight line of the sub-orientation flat OF1 are obtained, these are translated toward the center of the wafer W, and the intersection of the straight line after the movement is estimated as the center of the wafer W. All of the
[0136]
The embodiments described above are described for facilitating the understanding of the present invention, and are not described for limiting the present invention. Therefore, each element disclosed in the above embodiment is intended to include all design changes and equivalents belonging to the technical scope of the present invention.
[0137]
For example, in the above embodiment, for the sake of convenience, in step S4 for discriminating the front and back of the wafer W and step S5 for calculating the position information of the wafer W shown in FIG. To find an approximate straight line. However, the point cloud extraction processing and the linear approximation processing are collectively performed on each of the imaging data D1 (imaging data of the
[0138]
Further, in the above embodiment, it is determined whether the arc edge CE is disposed immediately below the
[0139]
Further, in the above-described embodiment, the case where the present invention is used in an exposure apparatus has been described as an example. However, the present invention is not limited to an exposure apparatus, but also an inspection apparatus for inspecting the overlay accuracy of a pattern formed on a wafer, a An inspection device for inspecting a line width of a formed pattern, an inspection device for inspecting a macro (macroscopic) defect of a pattern formed on a wafer, and a position of a wafer to be inspected with a predetermined accuracy in other inspection devices. Can be used to match.
[0140]
In the above-described embodiment, the wafer (substrate) has been described as an inspection target. However, the inspection target is not limited to the wafer as long as the object has both an arc-shaped contour and a linear contour. .
[0141]
In the above embodiment, the case where the present invention is applied to a step-and-scan type exposure apparatus has been described as an example. However, the present invention is also applicable to a step-and-repeat type exposure apparatus (stepper). Can be. In the above embodiment, the laser light emitted from the ArF excimer laser or the like is used as the illumination light IL. However, a soft X-ray region generated from a laser plasma light source or SOR, for example, a wavelength of 13.4 nm, or 11.3. EUV (Extreme Ultra Violet) light of 5 nm may be used. Further, a charged particle beam such as an electron beam or an ion beam may be used. Further, the projection optical system may use any one of a reflection optical system, a refractive optical system, and a catadioptric optical system.
[0142]
Further, a single-wavelength laser in the infrared or visible range oscillated from a DFB semiconductor laser or a fiber laser is amplified by, for example, a fiber amplifier doped with erbium (or both erbium and yttrium), and a nonlinear optical crystal is used. Alternatively, a harmonic converted to ultraviolet light may be used.
[0143]
Further, not only an exposure apparatus for transferring a device pattern used for manufacturing a semiconductor element onto a wafer, but also an exposure apparatus for transferring a device pattern used for manufacturing a display including a liquid crystal display element onto a glass plate, a thin film magnetic head The present invention can also be applied to an exposure apparatus for transferring a device pattern used for manufacturing a semiconductor wafer onto a ceramic wafer, an exposure apparatus used for manufacturing an imaging device (such as a CCD), a micromachine, a DNA chip, and the like.
[0144]
By the way, a reflection type mask is used in an exposure apparatus using EUV light, and a transmission type mask (stencil mask, membrane mask) is used in an electron beam exposure apparatus or the like. Therefore, a silicon wafer or the like is used as an original mask.
[0145]
The illumination optical system and projection optical system composed of multiple lenses are incorporated into the exposure apparatus body for optical adjustment, and a reticle stage and substrate stage consisting of many mechanical parts are attached to the exposure apparatus body to connect wiring and piping. The exposure apparatus according to the present embodiment can be manufactured by performing overall adjustment (electric adjustment, operation check, and the like). It is desirable that the manufacture of the exposure apparatus be performed in a clean room in which the temperature, cleanliness, and the like are controlled.
[0146]
The semiconductor element has a step of designing the function and performance of the device, a step of manufacturing a reticle based on this design step, a step of manufacturing a wafer from a silicon material, and a step of manufacturing the reticle pattern by the exposure apparatus of the above-described embodiment. It is manufactured through a step of exposing and transferring to a device, a step of assembling a device (including a dicing step, a bonding step, and a package step), an inspection step, and the like.
[0147]
【The invention's effect】
According to the present invention, a point group is extracted along a part of the contour of an imaged object, a straight line approximation is performed on the extracted point group to calculate an approximate straight line, and a positional relationship between the approximate straight line and the point group is calculated. It is determined whether a part of the contour is a linear contour or a curvilinear contour according to the above. Therefore, a part of the contour of the imaged object is a linear contour or a curvilinear contour. This has the effect that it can be determined quickly and accurately.
[0148]
Further, according to the present invention, it is possible to quickly and accurately determine whether an imaging result of an imaging device disposed at a predetermined position is a straight contour or a curved contour, and based on these determination results, Since the front and back sides are determined, there is an effect that the front and back sides of the object can be quickly and accurately determined.
[0149]
Further, according to the present invention, the front and back of the substrate as an object are quickly and accurately determined, and the pattern on the substrate is controlled while performing the position control of the substrate based on the measured position information and rotation position information of the substrate. Is transferred, for example, it is possible to prevent a situation where a pattern to be transferred to the front surface of the substrate is transferred to the back surface of the substrate, and it is possible to manufacture a device with a high yield.
[Brief description of the drawings]
FIG. 1 is a diagram schematically illustrating an overall configuration of an exposure apparatus according to an embodiment of the present invention.
FIG. 2 is a plan view schematically showing a configuration around a pre-alignment detection system.
FIG. 3 is a block diagram illustrating an internal configuration of a main control system provided in the exposure apparatus according to the embodiment of the present invention.
FIG. 4 is a flowchart illustrating an outline of an operation at the time of exposure of the exposure apparatus according to the embodiment of the present invention.
FIG. 5 is a top view showing a state where a wafer is arranged at an imaging position of a pre-alignment sensor.
FIG. 6 is a diagram illustrating an example of an imaging result of a pre-alignment sensor when a wafer is arranged with its front side facing upward.
FIG. 7 is a diagram illustrating an example of an imaging result of a pre-alignment sensor when a wafer is placed with its back surface facing upward.
FIG. 8 is a flowchart illustrating a front / back discrimination process of a wafer.
FIG. 9 is a diagram exemplifying a positional relationship between an arc edge or a linear outer edge and an approximate straight line.
FIG. 10 is a diagram for explaining an example of a threshold value set when determining whether or not the captured outer edge is an arc edge.
FIG. 11 is a flowchart illustrating a process for calculating wafer position information.
FIG. 12 is a diagram for explaining a process of obtaining a center position of a wafer using an approximate straight line of an orientation flat and an approximate straight line of a sub-orientation.
[Explanation of symbols]
1. Exposure equipment
14 ... Substrate table (stage)
16. Wafer stage device (stage device)
20: Main control system (control device, control computer)
22a to 22c: Pre-alignment sensor (imaging device)
33 ... Outer edge extraction unit (point group extraction unit)
34 linear approximation unit
35 front / back discrimination unit (judgment unit)
CE: Arc edge (curved contour)
OF: Orientation flat (straight contour)
OF1 ... Sub-orientation flat (linear contour)
OF2: Sub-orientation flat (linear contour)
RAS: Pre-alignment detection system (imaging device)
W: Wafer (substrate)
Claims (18)
前記物体の輪郭の一部を撮像する撮像工程と、
前記撮像工程の撮像結果に基づいて、前記物体の前記輪郭の一部に沿った複数の点からなる点群を抽出する点群抽出工程と、
前記点群を直線近似する直線近似工程と、
前記直線近似工程で得られた近似直線に対する前記点群の位置関係に応じて、前記輪郭の一部が前記直線状輪郭であるのか又は前記曲線状輪郭であるのかを判定する判定工程と
を含むことを特徴とする位置計測方法。A position measurement method for measuring position information of an object having a linear contour and a curved contour,
An imaging step of imaging a part of the contour of the object,
A point group extraction step of extracting a point group consisting of a plurality of points along a part of the contour of the object based on an imaging result of the imaging step;
A linear approximation step of linearly approximating the point group,
A determining step of determining whether a part of the contour is the linear contour or the curvilinear contour according to a positional relationship of the point group with respect to the approximate straight line obtained in the straight line approximating step. A position measuring method, characterized in that:
前記距離の最大値が前記閾値よりも大である場合には前記輪郭の一部が曲線状輪郭であり、前記距離の最大値が前記閾値以下である場合には前記輪郭の一部が直線状輪郭であると判断する判断工程と
を含むことを特徴とする請求項3に記載の位置計測方法。The determination step, a threshold setting step of setting a threshold value according to the curvature of the curved contour and the length of a chord of a part of the contour imaged in the imaging step,
When the maximum value of the distance is larger than the threshold, a part of the contour is a curved contour, and when the maximum value of the distance is equal to or less than the threshold, a part of the contour is linear. 4. The position measuring method according to claim 3, further comprising a determining step of determining that the position is a contour.
前記統計分布の標準偏差及び分散の少なくとも一方が前記閾値よりも大である場合には前記輪郭の一部が曲線状輪郭であり、前記標準偏差及び分散の少なくとも一方が前記閾値以下である場合には前記輪郭の一部が直線状輪郭であると判断する判断工程と
を含むことを特徴とする請求項5に記載の位置計測方法。The determination step, a threshold setting step of setting a threshold value according to the curvature of the curved contour and the length of a chord of a part of the contour imaged in the imaging step,
When at least one of the standard deviation and the variance of the statistical distribution is larger than the threshold, a part of the contour is a curved contour, and when at least one of the standard deviation and the variance is equal to or less than the threshold. 6. The method according to claim 5, further comprising: determining that a part of the contour is a linear contour.
前記撮像結果について前記判定を行って得られた判定結果に基づいて、前記基板の表裏を判別する表裏判別工程を含むことを特徴とする請求項1〜7の何れか一項に記載の位置計測方法。The image capturing step is a step of capturing an image of a part of the contour of the substrate as the object using an image capturing device disposed at a predetermined position in advance,
The position measurement according to any one of claims 1 to 7, further comprising: a front / back discrimination step of discriminating between front and back of the substrate based on a determination result obtained by performing the determination on the imaging result. Method.
前記複数箇所で得られた撮像結果の各々について前記判定工程及び前記位置情報算出工程を行って得られた各位置情報及び傾きに基づいて、前記物体の回転位置情報を求める回転位置情報算出工程を含むことを特徴とする請求項9に記載の位置計測方法。The imaging step is a step of imaging a part of the contour of the object at a plurality of locations having a predetermined positional relationship set in advance,
A rotation position information calculation step of obtaining rotation position information of the object based on each position information and inclination obtained by performing the determination step and the position information calculation step for each of the imaging results obtained at the plurality of locations. The position measuring method according to claim 9, further comprising:
前記物体の輪郭の一部を撮像する撮像装置と、
前記撮像装置の撮像結果に基づいて、前記物体の前記輪郭の一部に沿った複数の点からなる点群を抽出する点群抽出部、前記点群を直線近似する直線近似部、及び前記直線近似部で得られた近似直線に対する前記点群の位置関係に応じて前記輪郭の一部が前記直線状輪郭であるのか又は前記曲線状輪郭であるのかを判定する判定部を有する制御装置と
を備えることを特徴とする位置計測装置。A position measuring device that measures position information of an object having a linear contour and a curved contour,
An imaging device for imaging a part of the contour of the object,
A point group extraction unit configured to extract a point group including a plurality of points along a part of the outline of the object based on an imaging result of the imaging device, a straight line approximation unit that linearly approximates the point group, and the straight line A control device having a determination unit that determines whether a part of the contour is the linear contour or the curved contour according to the positional relationship of the point group with respect to the approximate straight line obtained by the approximating unit. A position measuring device comprising:
前記制御装置は、前記複数箇所で得られた撮像結果の各々についての前記判定部の判定結果に基づいて、前記基板の表裏を判別する表裏判別部を有することを特徴とする請求項12に記載の位置計測装置。The imaging device is a device that images a part of the contour of the substrate as the object at a plurality of locations having a predetermined positional relationship set in advance,
13. The control device according to claim 12, wherein the control device includes a front / back determination unit configured to determine the front / back of the substrate based on a determination result of the determination unit for each of the imaging results obtained at the plurality of locations. Position measuring device.
前記複数箇所で得られた前記輪郭の一部のそれぞれについて、前記判定部の判定結果が前記直線状輪郭である場合には前記輪郭の一部を代表する位置情報及び所定の基準に対する前記直線状輪郭の傾きを求め、前記判定部の判定結果が前記曲線状輪郭である場合には前記輪郭の一部を代表する位置情報を求める位置情報算出部、
及び前記位置情報算出部の算出結果に基づいて、前記基板の回転位置情報を求める回転位置情報算出部
を有することを特徴とする請求項13に記載の位置計測装置。The control device includes:
For each of a part of the contour obtained at the plurality of locations, when the determination result of the determination unit is the linear contour, the position information representing a part of the contour and the linear shape with respect to a predetermined reference Calculating a slope of the contour, and a position information calculation unit for obtaining position information representing a part of the contour when the determination result of the determination unit is the curved contour;
14. The position measuring device according to claim 13, further comprising: a rotation position information calculation unit that obtains rotation position information of the substrate based on a calculation result of the position information calculation unit.
請求項10に記載の位置計測方法によって前記物体としての基板の位置情報、回転位置情報、及び表裏を示す情報を求める基板計測工程と、
前記基板計測工程において求められた前記基板の位置情報、回転位置情報、及び表裏を示す情報に基づいて、前記基板の位置制御を行いつつ、前記基板に前記パターンを転写する転写工程と
を含むことを特徴とする露光方法。An exposure method for transferring a predetermined pattern to a substrate,
A substrate measurement step of obtaining position information, rotation position information, and information indicating front and back of the substrate as the object by the position measurement method according to claim 10,
A transfer step of transferring the pattern to the substrate while controlling the position of the substrate based on the position information of the substrate obtained in the substrate measurement step, the rotational position information, and the information indicating the front and back. Exposure method characterized by the above-mentioned.
前記物体としての基板の位置情報、回転位置情報、及び表裏を示す情報を求める請求項14に記載の位置計測装置と、
前記位置計測装置により計測された前記基板を搭載するステージを有するステージ装置と
を備えることを特徴とする露光装置。An exposure apparatus that transfers a predetermined pattern onto a substrate,
The position measurement device according to claim 14, wherein position information of the substrate as the object, rotational position information, and information indicating front and back are obtained.
An exposure apparatus, comprising: a stage device having a stage on which the substrate measured by the position measurement device is mounted.
前記基板の輪郭の一部を予め設定された所定の位置関係を有する複数箇所において撮像した撮像結果を取り込む取込工程と、
前記取込工程で取り込んだ撮像結果の各々について、前記輪郭の一部が前記直線状輪郭であるのか、又は前記曲線状輪郭であるのかを判定する判定工程と、
前記判定工程の判定結果に応じて、前記基板の表裏を判別する表裏判別工程と
を前記制御用コンピュータに実行させることを特徴とするプログラム。A program for causing a control computer of an exposure apparatus that transfers a predetermined pattern to a substrate having a linear contour and a curved contour to measure position information of the substrate,
A capturing step of capturing an imaging result obtained by imaging a part of the contour of the substrate at a plurality of locations having a predetermined positional relationship set in advance,
For each of the imaging results captured in the capturing step, whether a part of the contour is the linear contour, or a determination step of determining whether the curved contour,
A program for causing the control computer to execute a front / back discrimination step of discriminating between front and back of the substrate in accordance with a result of the determination in the determination step.
前記判定工程の判定結果及び前記位置情報算出工程で得られた位置情報及び傾きに基づいて、前記基板の回転位置情報を求める回転位置情報算出工程と
を前記制御用コンピュータに実行させることを特徴とする請求項17に記載のプログラム。Position information calculating step of calculating the inclination of the linear outline with respect to a predetermined reference and position information representing a part of the outline according to the determination result of the determination step,
The control computer executes a rotation position information calculation step of obtaining rotation position information of the substrate based on the determination result of the determination step and the position information and the inclination obtained in the position information calculation step. The program according to claim 17, which performs the program.
Priority Applications (1)
| Application Number | Priority Date | Filing Date | Title |
|---|---|---|---|
| JP2003152652A JP4269782B2 (en) | 2003-05-29 | 2003-05-29 | Position measuring method and apparatus, exposure method and apparatus, and program |
Applications Claiming Priority (1)
| Application Number | Priority Date | Filing Date | Title |
|---|---|---|---|
| JP2003152652A JP4269782B2 (en) | 2003-05-29 | 2003-05-29 | Position measuring method and apparatus, exposure method and apparatus, and program |
Publications (2)
| Publication Number | Publication Date |
|---|---|
| JP2004356411A true JP2004356411A (en) | 2004-12-16 |
| JP4269782B2 JP4269782B2 (en) | 2009-05-27 |
Family
ID=34047809
Family Applications (1)
| Application Number | Title | Priority Date | Filing Date |
|---|---|---|---|
| JP2003152652A Expired - Fee Related JP4269782B2 (en) | 2003-05-29 | 2003-05-29 | Position measuring method and apparatus, exposure method and apparatus, and program |
Country Status (1)
| Country | Link |
|---|---|
| JP (1) | JP4269782B2 (en) |
Cited By (7)
| Publication number | Priority date | Publication date | Assignee | Title |
|---|---|---|---|---|
| EP1669724A2 (en) | 2004-12-09 | 2006-06-14 | Mitutoyo Corporation | Photoelectric encoder, scale therefor and method for manufacturing the same |
| JP2008242218A (en) * | 2007-03-28 | 2008-10-09 | Fujifilm Corp | Drawing apparatus and drawing method |
| US20100249986A1 (en) * | 2009-03-31 | 2010-09-30 | Tokyo Electron Limited | Method for appointing orientation flat, apparatus for detecting orientation flat, and program for appointing orientation flat |
| JP2016205975A (en) * | 2015-04-21 | 2016-12-08 | 国際航業株式会社 | 3D model creation program |
| CN107504930A (en) * | 2017-08-10 | 2017-12-22 | 苏州玻色智能科技有限公司 | The detection device and method of curved surface or globoidal glass panel |
| US10163674B2 (en) * | 2014-11-27 | 2018-12-25 | National Institute Of Advanced Industrial Science And Technology | Circular support substrate for semiconductor |
| WO2024225767A1 (en) * | 2023-04-26 | 2024-10-31 | 에스케이실트론 주식회사 | Wafer and shape analysis method therefor |
-
2003
- 2003-05-29 JP JP2003152652A patent/JP4269782B2/en not_active Expired - Fee Related
Cited By (11)
| Publication number | Priority date | Publication date | Assignee | Title |
|---|---|---|---|---|
| EP1669724A2 (en) | 2004-12-09 | 2006-06-14 | Mitutoyo Corporation | Photoelectric encoder, scale therefor and method for manufacturing the same |
| JP2008242218A (en) * | 2007-03-28 | 2008-10-09 | Fujifilm Corp | Drawing apparatus and drawing method |
| US20100249986A1 (en) * | 2009-03-31 | 2010-09-30 | Tokyo Electron Limited | Method for appointing orientation flat, apparatus for detecting orientation flat, and program for appointing orientation flat |
| JP2010239060A (en) * | 2009-03-31 | 2010-10-21 | Tokyo Electron Ltd | Orientation flat designation method, orientation flat detection device, and program for designation of orientation flat |
| KR101300852B1 (en) * | 2009-03-31 | 2013-08-27 | 도쿄엘렉트론가부시키가이샤 | Method for appointing orientation flat, apparatus for detecting orientation flat, and recording medium having program for appointing orientation flat recorded therein |
| US8700206B2 (en) | 2009-03-31 | 2014-04-15 | Tokyo Electron Limited | Method for appointing orientation flat, apparatus for detecting orientation flat, and program for appointing orientation flat |
| US10163674B2 (en) * | 2014-11-27 | 2018-12-25 | National Institute Of Advanced Industrial Science And Technology | Circular support substrate for semiconductor |
| JP2016205975A (en) * | 2015-04-21 | 2016-12-08 | 国際航業株式会社 | 3D model creation program |
| CN107504930A (en) * | 2017-08-10 | 2017-12-22 | 苏州玻色智能科技有限公司 | The detection device and method of curved surface or globoidal glass panel |
| CN107504930B (en) * | 2017-08-10 | 2019-11-26 | 苏州玻色智能科技有限公司 | The detection device of curved surface or globoidal glass panel |
| WO2024225767A1 (en) * | 2023-04-26 | 2024-10-31 | 에스케이실트론 주식회사 | Wafer and shape analysis method therefor |
Also Published As
| Publication number | Publication date |
|---|---|
| JP4269782B2 (en) | 2009-05-27 |
Similar Documents
| Publication | Publication Date | Title |
|---|---|---|
| JP4029183B2 (en) | Projection exposure apparatus and projection exposure method | |
| TWI539239B (en) | Mobile body driving method and moving body driving system, pattern forming method and apparatus, exposure method and apparatus, component manufacturing method, and measuring method | |
| JP5464155B2 (en) | Exposure apparatus and exposure method | |
| JP4345098B2 (en) | Exposure apparatus, exposure method, and device manufacturing method | |
| JP5273163B2 (en) | Exposure apparatus, exposure method, and device manufacturing method | |
| JP4539877B2 (en) | Measuring method, exposure method, and device manufacturing method | |
| WO2008038751A1 (en) | Line width measuring method, image forming status detecting method, adjusting method, exposure method and device manufacturing method | |
| JP5278719B2 (en) | Measuring method and exposure method | |
| US6985209B2 (en) | Position detecting method, position detecting apparatus, exposure method, exposure apparatus, making method thereof, and device and device manufacturing method | |
| JPWO2005038885A1 (en) | Optical characteristic measuring apparatus, optical characteristic measuring method, exposure apparatus, exposure method, and device manufacturing method | |
| JPH10223528A (en) | Projection exposure apparatus and alignment method | |
| TWI267939B (en) | Alignment method and apparatus, lithographic apparatus, device manufacturing method, and alignment tool | |
| JPWO2002025711A1 (en) | Measurement method of exposure characteristics and exposure method | |
| JP2002170754A (en) | Exposure apparatus, optical property detection method and exposure method | |
| JP2006157013A (en) | Substrate table, method for measuring position of substrate, and lithography equipment | |
| JP2002231616A (en) | Position measuring apparatus and method, exposure apparatus and method, and device manufacturing method | |
| JP4269782B2 (en) | Position measuring method and apparatus, exposure method and apparatus, and program | |
| WO1999050893A1 (en) | Exposure method and exposure system | |
| JP2001250760A (en) | Aberration measurement method, mark detection method using the method, and exposure method | |
| KR101205262B1 (en) | Exposure device | |
| JP2004356414A (en) | Position measurement method and apparatus, exposure method and apparatus, and program | |
| JP4311713B2 (en) | Exposure equipment | |
| JP2006030021A (en) | Position detection apparatus and position detection method | |
| JP3904110B2 (en) | Optical characteristic measuring method, optical characteristic measuring apparatus, optical system adjusting method, and exposure apparatus | |
| JP4332891B2 (en) | Position detection apparatus, position detection method, exposure method, and device manufacturing method |
Legal Events
| Date | Code | Title | Description |
|---|---|---|---|
| A621 | Written request for application examination |
Free format text: JAPANESE INTERMEDIATE CODE: A621 Effective date: 20060404 |
|
| A977 | Report on retrieval |
Free format text: JAPANESE INTERMEDIATE CODE: A971007 Effective date: 20071116 |
|
| A131 | Notification of reasons for refusal |
Free format text: JAPANESE INTERMEDIATE CODE: A131 Effective date: 20080527 |
|
| A521 | Written amendment |
Free format text: JAPANESE INTERMEDIATE CODE: A523 Effective date: 20080725 |
|
| TRDD | Decision of grant or rejection written | ||
| A01 | Written decision to grant a patent or to grant a registration (utility model) |
Free format text: JAPANESE INTERMEDIATE CODE: A01 Effective date: 20090203 |
|
| A01 | Written decision to grant a patent or to grant a registration (utility model) |
Free format text: JAPANESE INTERMEDIATE CODE: A01 |
|
| A61 | First payment of annual fees (during grant procedure) |
Free format text: JAPANESE INTERMEDIATE CODE: A61 Effective date: 20090216 |
|
| FPAY | Renewal fee payment (event date is renewal date of database) |
Free format text: PAYMENT UNTIL: 20120306 Year of fee payment: 3 |
|
| R150 | Certificate of patent or registration of utility model |
Free format text: JAPANESE INTERMEDIATE CODE: R150 |
|
| FPAY | Renewal fee payment (event date is renewal date of database) |
Free format text: PAYMENT UNTIL: 20120306 Year of fee payment: 3 |
|
| FPAY | Renewal fee payment (event date is renewal date of database) |
Free format text: PAYMENT UNTIL: 20150306 Year of fee payment: 6 |
|
| S531 | Written request for registration of change of domicile |
Free format text: JAPANESE INTERMEDIATE CODE: R313531 |
|
| FPAY | Renewal fee payment (event date is renewal date of database) |
Free format text: PAYMENT UNTIL: 20150306 Year of fee payment: 6 |
|
| R350 | Written notification of registration of transfer |
Free format text: JAPANESE INTERMEDIATE CODE: R350 |
|
| FPAY | Renewal fee payment (event date is renewal date of database) |
Free format text: PAYMENT UNTIL: 20150306 Year of fee payment: 6 |
|
| LAPS | Cancellation because of no payment of annual fees |
