FR2735772A1 - CIS-2-AMINOCYCLOPENTANE-1-CARBOXYLIC ACID DERIVATIVES, PROCESS FOR THEIR PREPARATION, COMPOSITIONS CONTAINING THEM, AND THEIR USE - Google Patents
CIS-2-AMINOCYCLOPENTANE-1-CARBOXYLIC ACID DERIVATIVES, PROCESS FOR THEIR PREPARATION, COMPOSITIONS CONTAINING THEM, AND THEIR USE Download PDFInfo
- Publication number
- FR2735772A1 FR2735772A1 FR9507583A FR9507583A FR2735772A1 FR 2735772 A1 FR2735772 A1 FR 2735772A1 FR 9507583 A FR9507583 A FR 9507583A FR 9507583 A FR9507583 A FR 9507583A FR 2735772 A1 FR2735772 A1 FR 2735772A1
- Authority
- FR
- France
- Prior art keywords
- compound
- formula
- compounds
- present
- cis
- Prior art date
- Legal status (The legal status is an assumption and is not a legal conclusion. Google has not performed a legal analysis and makes no representation as to the accuracy of the status listed.)
- Pending
Links
Classifications
-
- A—HUMAN NECESSITIES
- A01—AGRICULTURE; FORESTRY; ANIMAL HUSBANDRY; HUNTING; TRAPPING; FISHING
- A01N—PRESERVATION OF BODIES OF HUMANS OR ANIMALS OR PLANTS OR PARTS THEREOF; BIOCIDES, e.g. AS DISINFECTANTS, AS PESTICIDES OR AS HERBICIDES; PEST REPELLANTS OR ATTRACTANTS; PLANT GROWTH REGULATORS
- A01N37/00—Biocides, pest repellants or attractants, or plant growth regulators containing organic compounds containing a carbon atom having three bonds to hetero atoms with at the most two bonds to halogen, e.g. carboxylic acids
- A01N37/44—Biocides, pest repellants or attractants, or plant growth regulators containing organic compounds containing a carbon atom having three bonds to hetero atoms with at the most two bonds to halogen, e.g. carboxylic acids containing at least one carboxylic group or a thio analogue, or a derivative thereof, and a nitrogen atom attached to the same carbon skeleton by a single or double bond, this nitrogen atom not being a member of a derivative or of a thio analogue of a carboxylic group, e.g. amino-carboxylic acids
-
- C—CHEMISTRY; METALLURGY
- C07—ORGANIC CHEMISTRY
- C07C—ACYCLIC OR CARBOCYCLIC COMPOUNDS
- C07C229/00—Compounds containing amino and carboxyl groups bound to the same carbon skeleton
- C07C229/46—Compounds containing amino and carboxyl groups bound to the same carbon skeleton having amino or carboxyl groups bound to carbon atoms of rings other than six-membered aromatic rings of the same carbon skeleton
- C07C229/48—Compounds containing amino and carboxyl groups bound to the same carbon skeleton having amino or carboxyl groups bound to carbon atoms of rings other than six-membered aromatic rings of the same carbon skeleton with amino groups and carboxyl groups bound to carbon atoms of the same non-condensed ring
-
- C—CHEMISTRY; METALLURGY
- C07—ORGANIC CHEMISTRY
- C07C—ACYCLIC OR CARBOCYCLIC COMPOUNDS
- C07C309/00—Sulfonic acids; Halides, esters, or anhydrides thereof
- C07C309/01—Sulfonic acids
- C07C309/28—Sulfonic acids having sulfo groups bound to carbon atoms of six-membered aromatic rings of a carbon skeleton
- C07C309/29—Sulfonic acids having sulfo groups bound to carbon atoms of six-membered aromatic rings of a carbon skeleton of non-condensed six-membered aromatic rings
- C07C309/30—Sulfonic acids having sulfo groups bound to carbon atoms of six-membered aromatic rings of a carbon skeleton of non-condensed six-membered aromatic rings of six-membered aromatic rings substituted by alkyl groups
- C07C309/31—Sulfonic acids having sulfo groups bound to carbon atoms of six-membered aromatic rings of a carbon skeleton of non-condensed six-membered aromatic rings of six-membered aromatic rings substituted by alkyl groups by alkyl groups containing at least three carbon atoms
Landscapes
- Chemical & Material Sciences (AREA)
- Organic Chemistry (AREA)
- Life Sciences & Earth Sciences (AREA)
- Agronomy & Crop Science (AREA)
- Pest Control & Pesticides (AREA)
- Plant Pathology (AREA)
- Health & Medical Sciences (AREA)
- Engineering & Computer Science (AREA)
- Dentistry (AREA)
- General Health & Medical Sciences (AREA)
- Wood Science & Technology (AREA)
- Zoology (AREA)
- Environmental Sciences (AREA)
- Agricultural Chemicals And Associated Chemicals (AREA)
- Organic Low-Molecular-Weight Compounds And Preparation Thereof (AREA)
Abstract
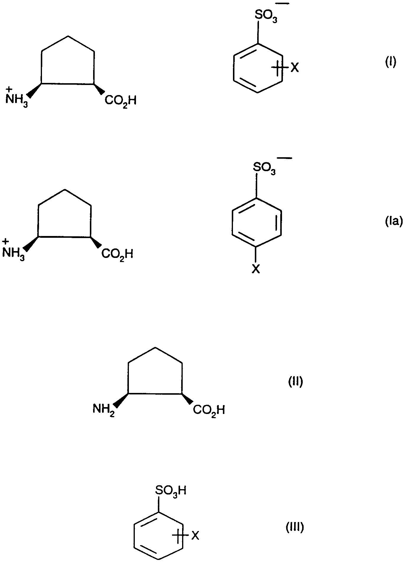
L'invention concerne un composé de formule (I): (CF DESSIN DANS BOPI) dans laquelle X représente un halogène ou un groupe alkyle, sous réserve que X ne représente pas un groupe p-méthyle. Des compositions fongicides comprenant un composé de formule (I) et un procédé de préparation de composés de formule (I) sont décrits. APPLICATION: Utilisation des composés ou des compositions pour combattre des champignons, notamment des infections fongiques de végétaux.The invention relates to a compound of formula (I): (CF DRAWING IN BOPI) wherein X represents a halogen or an alkyl group, with the proviso that X does not represent a p-methyl group. Fungicidal compositions comprising a compound of formula (I) and a process for preparing compounds of formula (I) are described. APPLICATION: Use of compounds or compositions for combating fungi, in particular fungal infections of plants.
Description
La présente invention a pour objet des dérivés d'acide cis-2-aminocyclopentane-1-carboxylique, un procédé pour leur préparation, des compositions les contenant et une méthode pour leur utilisation afin de combattre des champignons, notamment des infections fongiques de végétaux. The subject of the present invention is derivatives of cis-2-aminocyclopentane-1-carboxylic acid, a process for their preparation, compositions containing them and a method for their use in order to combat fungi, in particular fungal infections of plants.
L'acide (lR,2S) -cis-2-aminocyclopentane-l- carboxylique est connu et décrit, par exemple dans J. (1R, 2S) -cis-2-aminocyclopentane-1- carboxylic acid is known and described, for example in J.
Antibiotics, vol. XLII, nO 12, 1749 et 1756 (1989) ; J.Antibiotics, vol. XLII, No. 12, 1749 and 1756 (1989); J.
Antibiotics vol. XLIII, nO 1, 1(1990) et J. Antibiotics vol.Antibiotics vol. XLIII, No. 1, 1 (1990) and J. Antibiotics vol.
XLIII, nO 5, 513(1990). Son activité antifongique est également décrite.XLIII, No. 5, 513 (1990). Its antifungal activity is also described.
L'utilisation de l'acide cis-2-aminocyclopentane-l-carboxylique et de ses sels et esters comme microbicides destinés à l'agriculture est décrite dans les documents JP 63083004 et JP 63287753, dans lesquels des tests sont décrits pour mettre en évidence spécifiquement leur activité microbicide contre les agents pathogènes
Phytophthora infestans (mildiou de la tomate), Pyricularia oryzae (brunissure du riz), Pseudoperonospora cubensis (mildiou des cucurbitacées), Fusarium oxysporum f. sD. The use of cis-2-aminocyclopentane-1-carboxylic acid and its salts and esters as microbicides intended for agriculture is described in documents JP 63083004 and JP 63287753, in which tests are described to demonstrate specifically their microbicidal activity against pathogens
Phytophthora infestans (downy mildew of tomatoes), Pyricularia oryzae (rice browning), Pseudoperonospora cubensis (downy mildew of cucurbits), Fusarium oxysporum f. sD.
cucumerium (fusariose des cucurbitacées) et Alternaria brassicicola (maladie des taches noires du chou chinois).cucumerium (Fusarium wilt of cucurbits) and Alternaria brassicicola (black spot disease of Chinese cabbage).
Un procédé pour combattre l'agent pathogène
Plasmopara viticola par application d'acide cis-2-aminocyclopentane-l-carboxylique ou d'un de ses sels ou esters à une plante ou un milieu dans lequel se trouve une plante est décrit dans le document WO 94/03061. A method of combating the pathogen
Plasmopara viticola by application of cis-2-aminocyclopentane-1-carboxylic acid or one of its salts or esters to a plant or an environment in which a plant is found is described in document WO 94/03061.
La présente invention propose un composé de formule (I), dans laquelle X représente un halogène ou un groupe alkyle, sous réserve que X ne représente pas un groupe p-méthyle. The present invention provides a compound of formula (I), in which X represents a halogen or an alkyl group, provided that X does not represent a p-methyl group.
Le terme "halogène" désigne le fluor, le chrome, le brome et l'iode. The term "halogen" refers to fluorine, chromium, bromine and iodine.
Le groupe alkyle contient avantageusement 1 à 24, de préférence 6 à 20, notamment 10 à 15, atomes de carbone et peut être à chaîne droite ou à chaîne ramifiée. Il s'agit, par exemple, d'un groupe n-C12H23 ou CH3(C(CH3)2)3(CH2)2. The alkyl group advantageously contains 1 to 24, preferably 6 to 20, especially 10 to 15, carbon atoms and can be straight chain or branched chain. It is, for example, a group n-C12H23 or CH3 (C (CH3) 2) 3 (CH2) 2.
Dans un aspect, la présente invention propose un composé de formule (I), dans laquelle X représente un groupe alkyle. In one aspect, the present invention provides a compound of formula (I), wherein X represents an alkyl group.
Dans un autre aspect, la présente invention propose un composé de formule (I), dans laquelle X est en position para par rapport au groupe acide sulfonique. In another aspect, the present invention provides a compound of formula (I), wherein X is in the para position relative to the sulfonic acid group.
Dans un aspect supplémentaire, la présente invention propose un composé de formule (Ia), dans laquelle
X représente un groupe alkyle en C2 à C24 (notamment alkyle en C12 sous des formes à chaîne droite ou à chaîne ramifiée, tel qu'un groupe n-C12H23 ou CH3(C(CH3)2)3(CH2)2).In a further aspect, the present invention provides a compound of formula (Ia), in which
X represents a C2 to C24 alkyl group (especially C12 alkyl in straight chain or branched chain forms, such as an n-C12H23 or CH3 (C (CH3) 2) 3 (CH2) 2) group.
Dans un autre aspect, la présente invention propose un composé de formule (Ia) dans laquelle X représente un groupe alkyle en C8 à C24 (notamment alkyle en C10 à C15) sous une forme à chaîne droite ou à chaîne ramifiée (mais de préférence sous une forme à chaîne droite). In another aspect, the present invention provides a compound of formula (Ia) in which X represents a C8 to C24 alkyl group (in particular C10 to C15 alkyl) in a straight chain or branched chain form (but preferably in a straight chain shape).
Dans un autre aspect, la présente invention propose un composé de formule (Ia) dans laquelle X représente un groupe alkyle en C8 à C24 (de préférence alkyle en C10 à
C15) de préférence sous une forme à chaîne droite qui est présent en mélange avec un autre composé de formule (Ia) dans laquelle X représente un groupe alkyle en C8 à C24 (de préférence alkyle en C10 à C15) et de préférence sous forme d'une chaîne droite.In another aspect, the present invention provides a compound of formula (Ia) in which X represents a C8 to C24 alkyl group (preferably C10 to
C15) preferably in a straight chain form which is present in admixture with another compound of formula (Ia) in which X represents a C8 to C24 alkyl group (preferably C10 to C15 alkyl) and preferably in the form of 'a straight chain.
Les composés de formule (Ia) peuvent être préparés en faisant réagir un composé de formule (II) avec un composé de formule (III) de préférence dans un solvant (qui peut consister en un mélange de deux solvants différents) et dans la plage de températures de O à 500C (par exemple la température ambiante). The compounds of formula (Ia) can be prepared by reacting a compound of formula (II) with a compound of formula (III) preferably in a solvent (which may consist of a mixture of two different solvents) and in the range of temperatures from 0 to 500C (for example ambient temperature).
Ainsi, dans un aspect supplémentaire, la présente invention propose un procédé de préparation d'un composé de formule (I). Thus, in a further aspect, the present invention provides a process for the preparation of a compound of formula (I).
Le composé de formule (II) peut être préparé par des procédés connus dans la littérature. The compound of formula (II) can be prepared by methods known in the literature.
Les composés de formule (III) sont connus dans la littérature et peuvent être préparés par des procédés connus dans la littérature ou par adaptation de procédés figurant dans la littérature. En variante, un composé de formule (III) peut être acquis à l'état pur ou en mélange avec un ou plusieurs autres composés de formule (III). Par exemple le
NANSA 1393 (disponible auprès de Albright and Wilson) consiste en acide p-dodécylphénylsulfonique dans lequel le groupe dodécyle à chaîne droite prédomine ; ou le ARYLAN SBC (disponible auprès de Akcros Chemicals Limited ou de Harcros
Chemicals UK Limited) consiste en acide p- (dodécyle essentiellement à chaîne droite)phénylsulfonique.The compounds of formula (III) are known in the literature and can be prepared by methods known in the literature or by adaptation of methods appearing in the literature. Alternatively, a compound of formula (III) can be acquired in pure form or as a mixture with one or more other compounds of formula (III). For example the
NANSA 1393 (available from Albright and Wilson) consists of p-dodecylphenylsulfonic acid in which the straight chain dodecyl group predominates; or ARYLAN SBC (available from Akcros Chemicals Limited or Harcros
Chemicals UK Limited) consists of p- (essentially straight chain dodecyl) phenylsulfonic acid.
Un mélange de composés de formule (III) peut être purifié par des procédés classiques de la littérature tels qu'une association de distillation (par exemple au moyen d'une colonne à âme tournante), de chromatographie (par exemple la chromatographie en phase liquide sous haute pression) et de transformation en dérivé (telle qu'une estérification - l'acide étant régénéré une fois achevée la purification). A mixture of compounds of formula (III) can be purified by conventional methods of the literature such as a combination of distillation (for example by means of a rotating column), of chromatography (for example liquid chromatography under high pressure) and transformation into derivative (such as an esterification - the acid being regenerated once the purification is completed).
Les composés de formule (I) présentent une activité fongicide contre une gamme de maladies de végétaux. The compounds of formula (I) exhibit fungicidal activity against a range of plant diseases.
Cependant, ils sont particulièrement actifs contre la catégorie d'agents pathogènes connus sous le nom de phycomycètes (équivalents aux oomycètes). Ces agents comprennent des espèces des genres Phytophthora, Plasmopara, Peronospora et
Pseudoperonospora. Des exemples d'agents pathogènes pour lesquels les composés de la présente invention sont particulièrement utiles à des fins de lutte sont Plasmopara viticola sur la vigne ; d'autres mildious tels que Bremia lactucae sur la laitue ;PeronosDora spp. sur le soja, le tabac, les oignons et d'autres hôtes ; Pseudoperonospora humuli sur le houblon et Pseudoperonospora cubensis sur les cucurbitacées Phytohthora infestans sur les pommes de terre et les tomates et d'autres Phytophthora spp. sur des légumes, les fraises, les avocatiers, le cresson, des plantes ornementales, le tabac, les cacaoyers et d'autres hôtes ; et
Pythium spp. sur le riz, des plantes d'horticulture, des légumes et le gazon.However, they are particularly active against the category of pathogens known as phycomycetes (equivalent to oomycetes). These agents include species of the genera Phytophthora, Plasmopara, Peronospora and
Pseudoperonospora. Examples of pathogens for which the compounds of the present invention are particularly useful for control purposes are Plasmopara viticola on the vine; other downy mildew such as Bremia lactucae on lettuce; PeronosDora spp. on soy, tobacco, onions and other hosts; Pseudoperonospora humuli on hops and Pseudoperonospora cubensis on cucurbits Phytohthora infestans on potatoes and tomatoes and other Phytophthora spp. on vegetables, strawberries, avocado, watercress, ornamental plants, tobacco, cocoa trees and other hosts; and
Pythium spp. on rice, horticultural plants, vegetables and lawn.
Les composés peuvent migrer par voie acropète/locale dans le tissu de la plante. En outre, les composés peuvent être suffisamment volatils pour être actifs en phase vapeur contre des champignons présents sur la plante. The compounds can migrate acropetally / locally into the plant tissue. In addition, the compounds can be sufficiently volatile to be active in the vapor phase against fungi present on the plant.
En conséquence, la présente invention propose un procédé pour combattre des champignons, qui comprend l'application à une plante, aux semences d'une plante ou au milieu dans lequel se trouve la plante ou les semences d'une quantité efficace du point de vue fongicide d'un composé répondant à la définition précitée, ou d'une composition contenant ce composé. Accordingly, the present invention provides a method of combating fungi, which comprises applying to a plant, the seeds of a plant or the environment in which the plant or seeds is found in a quantity effective from the point of view fungicide of a compound corresponding to the above definition, or of a composition containing this compound.
Les composés peuvent être utilisés directement en agriculture mais sont formulés plus commodément en compositions au moyen d'un support ou diluant. Ainsi, la présente invention propose des compositions fongicides comprenant un composé répondant à la définition précitée et un support ou diluant acceptable. Il est préféré que toutes les compositions, consistant en formulations solides et formulations liquides, comprennent 0,0001 à 95 %, de préférence 1 à 85 %, par exemple 1 à 25 ou 25 à 60 %, d'un composé répondant à la définition précitée. The compounds can be used directly in agriculture but are more conveniently formulated into compositions using a carrier or diluent. Thus, the present invention provides fungicidal compositions comprising a compound meeting the above definition and an acceptable carrier or diluent. It is preferred that all the compositions, consisting of solid formulations and liquid formulations, comprise 0.0001 to 95%, preferably 1 to 85%, for example 1 to 25 or 25 to 60%, of a compound corresponding to the definition cited above.
Lorsqu'ils sont appliqués au feuillage de plantes, les composés de la présente invention sont appliqués à des taux de 0,1 g à 10 kg, avantageusement de 1 g à 8 kg, de préférence de 10 g à 4 kg, d'ingrédient actif (composé de la présente invention) par hectare. When applied to plant foliage, the compounds of the present invention are applied at rates of 0.1 g to 10 kg, preferably 1 g to 8 kg, preferably 10 g to 4 kg, of ingredient active (compound of the present invention) per hectare.
Lorsqu'ils sont utilisés comme agents de désinfection des semences, les composés de la présente invention sont utilisés à des taux de 0,0001 g (par exemple 0,001 g ou 0,05 g) à 10 g, avantageusement de 0,005 g à 8 g, de préférence de 0,005 g à 4 g, d'ingrédient actif (composé de la présente invention) par kilogramme de semences. When used as seed disinfectants, the compounds of the present invention are used at rates from 0.0001 g (e.g. 0.001 g or 0.05 g) to 10 g, preferably from 0.005 g to 8 g , preferably from 0.005 g to 4 g, of active ingredient (compound of the present invention) per kilogram of seeds.
Les composés peuvent être appliqués d'un certain nombre de manières. Par exemple, ils peuvent être appliqués, à l'état formulé ou non formulé, directement au feuillage d'une plante, aux semences ou à un autre milieu dans lequel les plantes poussent ou doivent être plantées, ou bien ils peuvent être pulvérisés, appliqués par poudrage ou appliqués sous forme d'une crème ou d'une pâte, ou bien ils peuvent être appliqués sous forme d'une vapeur ou sous forme de granules à libération lente. The compounds can be applied in a number of ways. For example, they can be applied, in the formulated or unformulated state, directly to the foliage of a plant, to seeds or to another medium in which the plants grow or must be planted, or they can be sprayed, applied by dusting or applied in the form of a cream or paste, or they can be applied in the form of a vapor or in the form of slow-release granules.
L'application peut être effectuée à n'importe quelle partie de la plante, comprenant le feuillage, les tiges, les branches ou les racines, ou au sol entourant les racines, ou bien aux semences avant leur semis, ou au sol de manière générale, à l'eau des rizières ou à des systèmes de culture hydroponique. Les composés de la présente invention peuvent également être injectés dans des plantes ou pulvérisés sur la végétation au moyen de techniques de pulvérisation électrodynamique ou d'autres procédés à bas volume. Application can be made to any part of the plant, including foliage, stems, branches or roots, or to the soil surrounding the roots, or to seeds before sowing, or to the soil generally , rice paddy water or hydroponics systems. The compounds of the present invention can also be injected into plants or sprayed onto vegetation using electrodynamic spraying techniques or other low volume methods.
Le terme "plante", tel qu'il est utilisé dans la présente invention, comprend des plantes de semis, des buissons et des arbres. En outre, le procédé fongicide de la présente invention comprend des traitements préventifs, protecteurs, prophylactiques, systémiques et éradicants. The term "plant" as used in the present invention includes seedlings, bushes and trees. Furthermore, the fungicidal method of the present invention includes preventive, protective, prophylactic, systemic and eradicating treatments.
Les composés sont de préférence utilisés en agriculture et en horticulture sous forme d'une composition. The compounds are preferably used in agriculture and horticulture in the form of a composition.
Le type de composition utilisée dans n'importe quel cas dépend de l'application particulière envisagée.The type of composition used in any case depends on the particular application envisaged.
Les compositions peuvent être sous forme de poudres pour poudrage ou de granules comprenant l'ingrédient actif (composé de la présente invention) et un diluant ou support solide, par exemple des charges telles que le kaolin, la bentonite, le kieselguhr, la dolomite, le carbonate de calcium, le talc, la magnésie pulvérisée, l'argile à foulon, le gypse, la terre de diatomées et la terre à porcelaine. Ces granules peuvent être des granules préformés convenables pour une application au sol sans autre traitement. Ces granules peuvent être préparés en imprégnant des pastilles de charge avec l'ingrédient actif ou bien en granulant un mélange de l'ingrédient actif et d'une charge pulvérisée.Les compositions pour la désinfection des semences peuvent comprendre un agent (par exemple une huile minérale) destiné à faciliter l'adhérence de la composition aux semences ; en variante, l'ingrédient actif peut être formulé à des fins de désinfection des semences en utilisant un solvant organique (par exemple la N-méthylpyrrolidone, le propylèneglycol ou le N,N-diméthylformamide). Les compositions peuvent être également sous forme de poudres mouillables ou de granules dispersables dans l'eau comprenant des agents mouillants ou dispersants destinés à faciliter la dispersion dans des liquides. Les poudres et les granules peuvent contenir également des charges et des agents de mise en suspension. The compositions may be in the form of powders for dusting or of granules comprising the active ingredient (compound of the present invention) and a diluent or solid support, for example fillers such as kaolin, bentonite, kieselguhr, dolomite, calcium carbonate, talc, pulverized magnesia, fuller's clay, gypsum, diatomaceous earth and porcelain earth. These granules can be preformed granules suitable for application to the soil without further treatment. These granules can be prepared by impregnating filler tablets with the active ingredient or by granulating a mixture of the active ingredient and a sprayed filler. The compositions for seed disinfection can comprise an agent (for example an oil mineral) intended to facilitate the adhesion of the composition to seeds; alternatively, the active ingredient can be formulated for seed disinfection using an organic solvent (e.g. N-methylpyrrolidone, propylene glycol or N, N-dimethylformamide). The compositions can also be in the form of wettable powders or water-dispersible granules comprising wetting or dispersing agents intended to facilitate dispersion in liquids. Powders and granules can also contain fillers and suspending agents.
Les compositions peuvent être également sous forme de poudres ou granules solubles, ou sous forme de solutions dans des solvants polaires. The compositions can also be in the form of soluble powders or granules, or in the form of solutions in polar solvents.
Des poudres solubles peuvent être préparées en mélangeant l'ingrédient actif à un sel hydrosoluble tel que le bicarbonate de sodium, le carbonate de sodium, le sulfate de magnésium ou un polysaccharide, et à un agent mouillant ou dispersant pour améliorer la dispersibilité/solubilité dans l'eau. Le mélange peut être ensuite broyé en une poudre fine. Soluble powders can be prepared by mixing the active ingredient with a water-soluble salt such as sodium bicarbonate, sodium carbonate, magnesium sulfate or a polysaccharide, and with a wetting or dispersing agent to improve dispersibility / solubility in the water. The mixture can then be ground into a fine powder.
Des compositions similaires peuvent également être granulées pour former des granules hydrosolubles. Des solutions peuvent être préparées en dissolvant l'ingrédient actif dans des solvants polaires tels que des cétones, des alcools et des éthers de glycols. Ces solutions peuvent contenir des agents tensio-actifs destinés à améliorer la dilution dans l'eau et à empêcher la cristallisation dans un réservoir de pulvérisation.Similar compositions can also be granulated to form water-soluble granules. Solutions can be prepared by dissolving the active ingredient in polar solvents such as ketones, alcohols and glycol ethers. These solutions may contain surfactants to improve dilution in water and to prevent crystallization in a spray tank.
Des concentrés émulsionnables ou des émulsions peuvent être préparés en dissolvant l'ingrédient actif dans un solvant organique contenant facultativement un agent mouillant ou émulsionnant, puis en ajoutant le mélange à de l'eau qui peut contenir également un agent mouillant ou émulsionnant. Des solvants organiques convenables sont des solvants aromatiques tels que des alkylbenzènes et alkylnaphtalènes, des cétones telles que la cyclohexanone et la méthylcyclohexanone, des hydrocarbures chlorés tels que le chlorobenzène et le trichloréthane, et des alcools tels que l'alcool benzylique, l'alcool furfurylique, le butanol et des éthers de glycols. Emulsifiable concentrates or emulsions can be prepared by dissolving the active ingredient in an organic solvent optionally containing a wetting or emulsifying agent, then adding the mixture to water which may also contain a wetting or emulsifying agent. Suitable organic solvents are aromatic solvents such as alkylbenzenes and alkylnaphthalenes, ketones such as cyclohexanone and methylcyclohexanone, chlorinated hydrocarbons such as chlorobenzene and trichloroethane, and alcohols such as benzyl alcohol, furfuryl alcohol , butanol and glycol ethers.
Des concentrés de suspensions de substances solides essentiellement insolubles peuvent être préparés par broyage dans un broyeur à boulets ou un broyeur à billes avec un agent dispersant, un agent de mise en suspens ion étant incorporé pour interrompre la sédimentation des matières solides. Essentially insoluble solid suspension concentrates can be prepared by grinding in a ball mill or a ball mill with a dispersing agent, a suspending agent being incorporated to interrupt the sedimentation of the solids.
Les compositions destinées à être utilisées sous forme de liquides de pulvérisation peuvent être sous forme d'aérosols dans lesquels la formulation est maintenue dans un récipient sous la pression d'un gaz propulseur, par exemple le fluorotrichlorométhane ou le dichlorodifluorométhane. The compositions intended to be used in the form of spray liquids can be in the form of aerosols in which the formulation is kept in a container under the pressure of a propellant gas, for example fluorotrichloromethane or dichlorodifluoromethane.
Les composés de la présente invention peuvent être mélangés à l'état sec avec un mélange pyrotechnique pour former une composition permettant d'engendrer dans des espaces clos une fumée contenant les composés. The compounds of the present invention can be mixed in the dry state with a pyrotechnic mixture to form a composition making it possible to generate in enclosed spaces a smoke containing the compounds.
En variante, les composés peuvent être utilisés sous forme micro-encapsulée. Ils peuvent également être préparés en formulations polymériques biodégradables pour parvenir à une libération contrôlée lente de la substance active. Alternatively, the compounds can be used in micro-encapsulated form. They can also be prepared in biodegradable polymeric formulations to achieve slow controlled release of the active substance.
Par incorporation d'additifs convenables, par exemple d'additifs destinés à améliorer l'absorption, la distribution, le pouvoir adhésif et la résistance à la pluie sur les surfaces traitées, les différentes compositions peuvent être mieux adaptées à diverses utilisations. D'autres additifs peuvent être incorporés pour améliorer l'efficacité biologique des diverses formulations. Ces additifs peuvent être des matières tensio-actives destinées à améliorer le mouillage et la rétention sur les surfaces traitées avec la formulation et également l'absorption et la mobilité de la substance active, ou peuvent comprendre en outre des additifs de pulvérisation à base d'huile, par exemple certaines huiles minérales et huiles végétales naturelles (telles que l'huile de soja et l'huile de colza) ou des mélanges de ces additifs avec d'autres adjuvants. By incorporating suitable additives, for example additives intended to improve absorption, distribution, adhesive power and resistance to rain on the treated surfaces, the different compositions can be better adapted to various uses. Other additives can be incorporated to improve the biological efficacy of the various formulations. These additives may be surface-active materials intended to improve wetting and retention on the surfaces treated with the formulation and also the absorption and mobility of the active substance, or may also comprise spraying additives based on oil, for example certain mineral oils and natural vegetable oils (such as soybean oil and rapeseed oil) or mixtures of these additives with other adjuvants.
Les composés de la présente invention peuvent être utilisés sous forme de mélanges avec des engrais (par exemple des engrais contenant de l'azote, du potassium ou du phosphore). Des compositions comprenant seulement des granules d'engrais renfermant, par exemple par enrobage, un composé de formule (I) sont préférées. Ces granules contiennent convenablement jusqu'à 25 % en poids du composé. En conséquence, la présente invention propose également une composition d'engrais comprenant un engrais et le composé de formule générale (I) ou un de ses sels ou complexes métalliques. The compounds of the present invention can be used in the form of mixtures with fertilizers (for example fertilizers containing nitrogen, potassium or phosphorus). Compositions comprising only fertilizer granules containing, for example by coating, a compound of formula (I) are preferred. These granules suitably contain up to 25% by weight of the compound. Consequently, the present invention also provides a fertilizer composition comprising a fertilizer and the compound of general formula (I) or one of its salts or metal complexes.
Les poudres mouillables, les concentrés émulsionnables et les concentrés de suspensions contiennent habituellement des surfactants, par exemple un agent mouillant, un agent dispersant, un agent émulsionnant ou un agent de mise en suspension. Ces agents peuvent être des agents cationiques, anioniques ou non ioniques. Wettable powders, emulsifiable concentrates and suspension concentrates usually contain surfactants, for example a wetting agent, a dispersing agent, an emulsifying agent or a suspending agent. These agents can be cationic, anionic or nonionic agents.
Des agents cationiques convenables sont des composés d'ammonium quaternaire, par exemple le bromure de cétyltriméthylammonium. Des agents anioniques convenables sont des savons, des sels de monoesters aliphatiques de l'acide sulfurique (par exemple le laurylsulfate de sodium), et des sels de composés aromatiques sulfonés (par exemple le dodécylbenzènesulfonate de sodium, le lignosulfonate de sodium, de calcium ou d'ammonium, un butylnaphtalènesulfonate, et un mélange de diisopropyl- et triisopropylnaphtalènesulfonates de sodium). Suitable cationic agents are quaternary ammonium compounds, for example cetyltrimethylammonium bromide. Suitable anionic agents are soaps, salts of aliphatic monoesters of sulfuric acid (e.g. sodium lauryl sulfate), and salts of sulfonated aromatic compounds (e.g. sodium dodecylbenzenesulfonate, sodium lignosulfonate, calcium or ammonium, butylnaphthalenesulfonate, and a mixture of diisopropyl- and triisopropylnaphthalenesulfonates).
Des agents non ioniques convenables sont les produits de condensation de l'oxyde d'éthylène avec des alcools gras tels que l'alcool oléylique ou l'alcool cétylique, ou avec des alkylphénols tels que l'octyl- ou le nonylphénol et l'octylcrésol. D'autres agents non ioniques sont les esters partiels dérivés d'acides gras à chaîne longue et d'anhydrides d'hexitol, les produits de condensation desdits esters partiels avec l'oxyde d'éthylène, et les lécithines. Des agents de mise en suspension convenables sont des colloïdes hydrophiles (par exemple la polyvinylpyrrolidone et la carboxyméthylcellulose sodique), et des argiles aptes au gonflement telles que la bentonite ou l'attapulgite. Suitable nonionic agents are the condensation products of ethylene oxide with fatty alcohols such as oleyl alcohol or cetyl alcohol, or with alkylphenols such as octyl- or nonylphenol and octylcresol . Other nonionic agents are the partial esters derived from long chain fatty acids and hexitol anhydrides, the condensation products of the said partial esters with ethylene oxide, and the lecithins. Suitable suspending agents are hydrophilic colloids (eg polyvinylpyrrolidone and sodium carboxymethylcellulose), and swellable clays such as bentonite or attapulgite.
Les compositions destinées à être utilisées sous forme de dispersions ou émulsions aqueuses sont généralement fournies sous forme d'un concentré contenant une forte proportion de l'ingrédient actif, le concentré étant dilué avec de l'eau avant utilisation. Ces concentrés doivent de préférence pouvoir supporter un entreposage pendant des temps prolongés et, après un tel entreposage, pouvoir être dilués avec de l'eau afin de former des préparations aqueuses qui restent homogènes pendant un temps suffisant pour permettre leur application au moyen d'un appareil classique de pulvérisation. Les concentrés peuvent contenir commodément jusqu'à 95 %, convenablement 1 à 85 %, par exemple 1 à 25 W ou 25 à 60 , en poids de l'ingrédient actif.Après dilution pour former des préparations aqueuses, ces préparations peuvent contenir des quantités variables de l'ingrédient actif en fonction du but envisagé, mais une préparation aqueuse contenant 0,0001 à 10 %, par exemple 0,005 à 10 %, en poids d'ingrédient actif peut être utilisée. The compositions intended to be used in the form of aqueous dispersions or emulsions are generally supplied in the form of a concentrate containing a high proportion of the active ingredient, the concentrate being diluted with water before use. These concentrates should preferably be able to withstand storage for long periods of time and, after such storage, be able to be diluted with water in order to form aqueous preparations which remain homogeneous for a sufficient time to allow their application by means of a conventional spraying device. Concentrates can conveniently contain up to 95%, suitably 1 to 85%, for example 1 to 25 W or 25 to 60, by weight of the active ingredient. After dilution to form aqueous preparations, these preparations may contain amounts variables of the active ingredient depending on the intended purpose, but an aqueous preparation containing 0.0001 to 10%, for example 0.005 to 10%, by weight of active ingredient can be used.
Les compositions de la présente invention peuvent contenir d'autres composés doués d'activité biologique, par exemple des composés ayant une activité fongicide similaire ou complémentaire ou qui possèdent une activité de régulation de croissance des plantes, herbicide, ou insecticide. The compositions of the present invention can contain other compounds endowed with biological activity, for example compounds having a similar or complementary fungicidal activity or which possess a activity of regulation of plant growth, herbicide, or insecticide.
Un composé fongicide supplémentaire peut être présent dans la composition de la présente invention. Par incorporation d'un autre fongicide, la composition résultante peut avoir un plus large spectre d'activité ou un plus haut degré d'activité intrinsèque que le composé de formule générale (I) seul. En outre, l'autre fongicide peut avoir un effet synergique sur l'activité fongicide du composé de formule générale (I).Des exemples de composés fongicides qui peuvent être incorporés à la composition de la présente invention sont l'acide (RS)-l-aminopropylphosphonique, le (RS)-4-(4-chlorophényl)-2-phényl-2-(lH-1,2,4-triazole-1-yl- méthyl)butyronitrile, le (Z)-N-but-2-ényloxyméthyl-2- chloro-2',6'-diéthylacétanilide, la 1- (2-cyano-2-méthoxy- iminoacétyl)-3-éthylurée, le 4-(2,2-difluoro-1,3-benzo dioxole-4-yl)pyrrole- 3-carbonitrile, 1e4-bromo-2-cyano-N,N- diméthyl-6-trifluorométhylbenzimidazole-1-sulfamide,l'acide 5-éthyl-5,8-dihydro- 8-oxo(1,3)-dioxol-(4,5-g)quinoléine7-carboxylique, l'v-[N- (3-chloro-2,6-xylyl)-2-méthoxyacéta- mido]-g-butyrolactone, le N-(2-méthoxy-5-pyridyl)-cyclopropanecarboxamide, l'alanycarbe, l'aldimorphe, l'ampropylfos, l'anilazine, l'azaconazole, le BAS 490F, le bénalaxyl, le bénomyl, le biloxazole, le binapacryl, le bitertanol, la blasticidine S, le bromuconazole, le bupirimate, le buténachlore, le buthiobate, le captafol, le captan, le carbendazime, le chlorhydrate de carbendazime, la carboxine, le quinométhionate, la chlorbenzthiazone, le chloronèbe, le chlorothalonil, le chlorozolinate, le clozylacon, des composés contenant du cuivre tels que l'oxychlorure de cuivre, l'oxyquinolate de cuivre, le sulfate de cuivre, le tallate de cuivre et la bouillie bordelaise, le cycloheximide, le cymoxanil, le cyproconazole, le cyprofurame, le débacarbe, le l,l'-dioxyde de disulfure de di-2-pyridyle, le dichlofluanide, la dichlone, le diclobutrazole, la diclomézine, le dicloran, le chlorure de didécyldiméthylammonium, le diéthofencarbe, le difénoconazole, le 0,0-di-iso-propyl-5-benzyl-thiophosphate, lediméfluazole, le dimetconazole, le diméthomorphe, le diméthirimol, le diniconazole, le dinocap, la dipyrithione, le ditalimfos, le dithianon, le dodémorphe, la dodine, la doguadine, l'édifenphos, l'épiconazole, l'étaconazole, l'éthirimol, 1 'éthoxy- quine, le (Z) -N-benzyl -N- ( [méthyl (méthyl - thioéthyl idèneamino- oxycarbonyl) amino] thio) -B-alaninate d'éthyle, l'étridiazole, le fénaminosulph, le fénapanil, le fénarimol, le fenbuconazole, le fenfurame, le fenpiclonil, la fenpropidine, le fenpropimorphe, le fentine-acétate, le fentine-hydroxyde, le ferbam, la ferimzone, le fluazinam, le fludioxonil, le fluoroimide, le fluquinconazole, le flusilazole, le flutolanil, le flutriafol, le folpet, le fubéridazole, le furalaxyl, le furconazole-cis, la guazatine, l'hexaconazole, l'hydroxyisoxazole, l'hymexazole, le ICIA5504, l'imazalil, l'imibenconazole, l'ipconazole, l'iprobenfos, l'iprodione, 1' isopropa- nylbutylcarbamate, l'isoprothiolane, la kasugamycine, le mancozèbe, le manèbe, le mépanipyrim, le mépronil, le métalaxyl, le metconazole, le methfuroxame, le métirame, le métirame-zinc, le metsulfovax, le myclobutanil, le NTN0301, la néoasozine, le diméthyldithiocarbamate de nickel, le nitrothal-isopropyl, le nuarimol, l'ofurace, des composés organiques de mercure, l'oxadixyl, l'acide oxolinique, l'oxycarboxine, le péfurazoate, le penconazole, le pencycuron, le phénazine-oxyde, le phosétyl-Al, des acides dérivés du phosphore, le phtalide, la polyoxine D, le polyrame, le probénazole, le prochloraz, la procymidone, la propamocarbe, le chlorhydrate de propamocarbe, le propiconazole, le propinèbe, l'acide propionique, le prothiocarbe, le pyracarbolid, le pyrazophos, le pyrifénox, le pyriméthanil, le pyroquilon, le pyroxyfur, la pyrrolnitrine, des composés d'ammonium quaternaire, le quinconazole, le quinométhionate, le quintozène, le rabénazole, le pentachlorophénate de sodium, la streptomycine, le soufre, le tébuconazole, le techlofthalam, le tecnazène, le tétraconazole, le thiabendazole, le thicyofène, le thifluzamide, le 2-(thiocyanométhylthio)benzothiazole, le thiophanate-méthyl, le thirame, le timibenconazole, le tolclofos-méthyl, le tolylfluanide, le triacétate de 1,1'-iminodi(octaméthylène)diguanidine, le triadiméfon, le triadiménol, le triazbutyl, le triazoxide, le tricyclazole, le tridémorphe, la triforine, le triflumizole, le triticonazole, la validamycine A, le vapam, la vinclozoline, le XRD-563, le zinèbe et le zirame. Les composés de formule générale (I) peuvent être mélangés à de la terre, de la tourbe ou d'autres milieux d'enracinement pour protéger des plantes contre des maladies fongiques transmises par les semences, transmises par le sol ou foliaires. An additional fungicidal compound may be present in the composition of the present invention. By incorporating another fungicide, the resulting composition may have a broader spectrum of activity or a higher degree of intrinsic activity than the compound of general formula (I) alone. In addition, the other fungicide can have a synergistic effect on the fungicidal activity of the compound of general formula (I). Examples of fungicidal compounds which can be incorporated into the composition of the present invention are acid (RS) - l-aminopropylphosphonique, le (RS) -4- (4-chlorophényl) -2-phenyl-2- (1H-1,2,4-triazole-1-yl-methyl) butyronitrile, le (Z) -N-but -2-enyloxymethyl-2-chloro-2 ', 6'-diethylacetanilide, 1- (2-cyano-2-methoxyiminoacetyl) -3-ethylurea, 4- (2,2-difluoro-1,3- benzo dioxole-4-yl) pyrrole- 3-carbonitrile, 1e4-bromo-2-cyano-N, N- dimethyl-6-trifluoromethylbenzimidazole-1-sulfamide, 5-ethyl-5,8-dihydro- 8- acid oxo (1,3) -dioxol- (4,5-g) quinoline7-carboxylic, v- [N- (3-chloro-2,6-xylyl) -2-methoxyacéta- mido] -g-butyrolactone, N- (2-methoxy-5-pyridyl) -cyclopropanecarboxamide, alanycarb, aldimorph, ampropylfos, anilazine, azaconazole, BAS 490F, benalaxyl, benomyl, biloxazole, binapacryl , bitertanol, blasticidin S, bromuconazole, bupirimate, butenachlor, buthiobate, captafol, captan, carbendazim, carbendazim hydrochloride, carboxin, quinomethionate, chlorbenzthiazone, chloroneb, chlorothalonil, chlorozolinacon , copper-containing compounds such as copper oxychloride, copper oxyquinolate, copper sulfate, copper tallate and Bordeaux mixture, cycloheximide, cymoxanil, cyproconazole, cyprofuram, debacarb, 1, di-2-pyridyl disulfide dioxide, dichlofluanide, dichlone, diclobutrazole, diclomezin, dicloran, didecyldimethylammonium chloride, diethofencarb, difenoconazole, 0,0-di-iso- propyl-5-benzyl-thiophosphate, ledimefluazole, dimetconazole, dimethomorph, dimethirimol, diniconazole, dinocap, dipyrithione, ditalimfos, dithianon, dodemorph, dodine, doguadine, edifenphos zole, etaconazole, ethirimol, ethoxyquin, (Z) -N-benzyl -N- ([methyl (methyl - thioethyl ideneaminooxycarbonyl) amino] thio) -B-alaninate, etridiazole, fenaminosulph, fenapanil, fenarimol, fenbuconazole, fenfuram, fenpiclonil, fenpropidine, fenpropimorph, fentine acetate, fentine hydroxide, ferbam, ferimzone, fluazinam, fludiox fluoroimide, fluquinconazole, flusilazole, flutolanil, flutriafol, folpet, fuberidazole, furalaxyl, furconazole-cis, guazatine, hexaconazole, hydroxyisoxazole, hymexazole, ICIA5504, imazil , imibenconazole, ipconazole, iprobenfos, iprodione, isopropanylbutylcarbamate, isoprothiolane, kasugamycin, mancozeb, maneb, mepanipyrim, mepronil, metalaxyl, metconazole, methfox , metiram, metiram-zinc, metsulfovax, myclobutanil, NTN0301, neoasozine, dimethyldi nickel thiocarbamate, nitrothal-isopropyl, nuarimol, ofurace, organic mercury compounds, oxadixyl, oxolinic acid, oxycarboxin, pefurazoate, penconazole, pencycuron, phenazine-oxide, phosetyl-Al, phosphorus-derived acids, phthalide, polyoxin D, polyram, probenazole, prochloraz, procymidone, propamocarb, propamocarb hydrochloride, propiconazole, propineb, propionic acid, prothiocarb , pyracarbolid, pyrazophos, pyrifenox, pyrimethanil, pyroquilon, pyroxyfur, pyrrolnitrine, quaternary ammonium compounds, quinconazole, quinomethionate, quintozene, rabenazole, sodium pentachlorophenate, streptom sulfur, tebuconazole, techlofthalam, tecnazene, tetaconazole, thiabendazole, thicyofene, thifluzamide, 2- (thiocyanomethylthio) benzothiazole, thiophanate-methyl, thiram, timibenconazole, tol clofos-methyl, tolylfluanide, 1,1'-iminodi (octamethylene) diguanidine triacetate, triadimefon, triadimenol, triazbutyl, triazoxide, tricyclazole, tridemorph, triforine, triflumizole, triticonazole A, vapam, vinclozoline, XRD-563, zineb and ziram. The compounds of general formula (I) can be mixed with soil, peat or other rooting media to protect plants from seed, soil or leaf fungal diseases.
Les exemples suivants illustrent la présente invention. Dans tous les exemples, l'abréviation suivante est utilisée
P.F. = point de fusion.The following examples illustrate the present invention. In all examples, the following abbreviation is used
PF = melting point.
EXEMPLE 1
Cet exemple illustre la préparation d'un 4-dodécylphénylsulfonate d'acide cis-2-amino-cyclopentane-lcarboxylique.EXAMPLE 1
This example illustrates the preparation of a cis-2-amino-cyclopentane-lcarboxylic acid 4-dodecylphenylsulfonate.
On ajoute à une solution d'acide cis-2-aminocyclopentane-l-carboxylique (3,00 g) dans de l'eau (20 ml) à 200C, sous agitation, du ARYLAN SBC Acid (disponible auprès de Akcros Chemicals Limited) (7,58 g) dans du 1,4-dioxanne (20 ml). La solution limpide résultante a été agitée à 200C pendant 1,5 heures, temps au bout duquel elle a été concentrée sous pression réduite, ce qui a laissé une huile mobile épaisse qui a donné progressivement au repos une substance semi-solide. Une trituration avec de l'acétone a donné le composé indiqué dans le titre sous forme d'une substance solide blanche (8,221 g, P.F. 141-30C). ARYLAN SBC Acid (available from Akcros Chemicals Limited) is added to a solution of cis-2-aminocyclopentane-1-carboxylic acid (3.00 g) in water (20 ml) at 200 ° C., with stirring. (7.58 g) in 1,4-dioxane (20 ml). The resulting clear solution was stirred at 200C for 1.5 hours, after which time it was concentrated under reduced pressure, leaving a thick mobile oil which gradually gave a semi-solid substance at rest. Trituration with acetone gave the title compound as a white solid (8.221 g, m.p. 141-30C).
EXEMPLE 2
Cet exemple illustre la préparation d'un 4-dodé cylphénylsulfonate d'acide cis-2-aminocyclo-pentane-lcarboxylique.EXAMPLE 2
This example illustrates the preparation of a 4-dodé cylphenylsulfonate of cis-2-aminocyclo-pentane-lcarboxylic acid.
On a ajouté à une solution de NANSA 1393 (disponible auprès de Albright and Wilson) (3,79 g) dans du dichlorométhane anhydre (50 ml) à 200C, par portions et sous agitation, de l'acide cis-2-aminocyclopentane-l-carboxylique (1,5 g). Un léger dégagement de chaleur a été noté. Le mélange réactionnel a été agité à 200C pendant 2 heures, temps au bout duquel il a été concentré sous pression réduite, ce qui a laissé une huile. L'huile a été triturée avec de l'éther diéthylique, ce qui a donné le composé indiqué dans le titre sous forme d'une substance solide blanche (3,86 g, P.F. 130,5-133,50C). To a solution of NANSA 1393 (available from Albright and Wilson) (3.79 g) in anhydrous dichloromethane (50 ml) at 200C was added, in portions and with stirring, cis-2-aminocyclopentane acid. l-carboxylic (1.5 g). A slight release of heat was noted. The reaction mixture was stirred at 200C for 2 hours, after which time it was concentrated under reduced pressure, leaving an oil. The oil was triturated with diethyl ether to give the title compound as a white solid (3.86 g, m.p. 130.5-133.50C).
EXEMPLE 3
Les produits des exemples 1 et 2 ont été testés contre l'agent pathogène Plasmopara viticola par le procédé général suivant.EXAMPLE 3
The products of Examples 1 and 2 were tested against the pathogenic agent Plasmopara viticola by the following general method.
Des plants de vigne ont été cultivés dans du compost de mise en pot sans terre dans des pots de 7 cm de diamètre. Les composés ont été dilués dans de l'eau à la concentration requise immédiatement avant utilisation. Les formulations (300 millionièmes de base libre, c'est-à-dire 300 millionièmes d'acide cis-2-aminocyclopentane-1-carboxylique) ont été pulvérisées sur le feuillage des jeunes plants (5 ou 6 feuilles) dans le compost. Les liquides de pulvérisation ont été appliqués à la rétention maximale. Vine plants were grown in soilless potting compost in 7 cm diameter pots. The compounds were diluted in water to the required concentration immediately before use. The formulations (300 millionths of free base, i.e. 300 millionths of cis-2-aminocyclopentane-1-carboxylic acid) were sprayed on the foliage of young plants (5 or 6 leaves) in the compost. Spray liquids were applied for maximum retention.
Les composés ont été appliqués au feuillage (par pulvérisation) 7 jours avant ensemencement de la plante avec l'agent pathogène. L'agent pathogène foliaire Plasmopara viticola a été appliqué par pulvérisation d'une suspension de zoosporanges sur les feuilles des plantes d'essai. Après ensemencement, les plantes ont été placées dans un environnement approprié pour permettre à l'infection de s'effectuer et ont été mises en incubation jusqu'à ce que la maladie soit prête à l'évaluation. La période entre l'ensemencement et l'évaluation était égale à 6 jours. The compounds were applied to the foliage (by spraying) 7 days before seeding the plant with the pathogen. The leaf pathogen Plasmopara viticola was applied by spraying a suspension of zoosporangia on the leaves of the test plants. After seeding, the plants were placed in an appropriate environment to allow the infection to take place and were incubated until the disease was ready for evaluation. The period between seeding and evaluation was 6 days.
L'étendue de la maladie (c'est-à-dire la surface foliaire couverte par l'agent pathogène sporulant activement) sur la troisième feuille (feuille qui est la plus âgée) de chacune des plantes traitées a été notée. The extent of the disease (i.e. the leaf area covered by the actively sporulating pathogen) on the third leaf (which leaf is the oldest) of each of the treated plants was noted.
Chaque évaluation a été ensuite exprimée par le pourcentage de l'étendue de la maladie présente sur les plantes témoins non traitées. Each assessment was then expressed as the percentage of the extent of the disease present on the untreated control plants.
Produit de l'exemple % de la maladie sur le témoin
1 94
2 99
COMPOSES CHIMIQUES (FIGURANT DANS LA DESCRIPTION)
Example product% of disease on control
1 94
2 99
CHEMICAL COMPOUNDS (APPEARING IN THE DESCRIPTION)
Il va de soi que la présente invention n'a été décrite qu'à titre explicatif, mais nullement limitatif, et que de nombreuses modifications peuvent y être apportées sans sortir de son cadre. It goes without saying that the present invention has only been described for explanatory purposes, but in no way limiting, and that numerous modifications can be made thereto without departing from its scope.
Claims (7)
Priority Applications (4)
| Application Number | Priority Date | Filing Date | Title |
|---|---|---|---|
| GB9412312A GB9412312D0 (en) | 1994-06-20 | 1994-06-20 | Chemical compounds |
| GB9510747A GB2290540B (en) | 1994-06-20 | 1995-05-26 | Fungicidal salt of cis-2-amino-cyclopentane-1-carboxylic acid with a substituted benzenesulphonic acid |
| IT95MI001259A IT1279009B1 (en) | 1994-06-20 | 1995-06-14 | Chemical compounds |
| FR9507583A FR2735772A1 (en) | 1995-05-26 | 1995-06-23 | CIS-2-AMINOCYCLOPENTANE-1-CARBOXYLIC ACID DERIVATIVES, PROCESS FOR THEIR PREPARATION, COMPOSITIONS CONTAINING THEM, AND THEIR USE |
Applications Claiming Priority (2)
| Application Number | Priority Date | Filing Date | Title |
|---|---|---|---|
| GB9510747A GB2290540B (en) | 1994-06-20 | 1995-05-26 | Fungicidal salt of cis-2-amino-cyclopentane-1-carboxylic acid with a substituted benzenesulphonic acid |
| FR9507583A FR2735772A1 (en) | 1995-05-26 | 1995-06-23 | CIS-2-AMINOCYCLOPENTANE-1-CARBOXYLIC ACID DERIVATIVES, PROCESS FOR THEIR PREPARATION, COMPOSITIONS CONTAINING THEM, AND THEIR USE |
Publications (1)
| Publication Number | Publication Date |
|---|---|
| FR2735772A1 true FR2735772A1 (en) | 1996-12-27 |
Family
ID=26232052
Family Applications (1)
| Application Number | Title | Priority Date | Filing Date |
|---|---|---|---|
| FR9507583A Pending FR2735772A1 (en) | 1994-06-20 | 1995-06-23 | CIS-2-AMINOCYCLOPENTANE-1-CARBOXYLIC ACID DERIVATIVES, PROCESS FOR THEIR PREPARATION, COMPOSITIONS CONTAINING THEM, AND THEIR USE |
Country Status (1)
| Country | Link |
|---|---|
| FR (1) | FR2735772A1 (en) |
Citations (4)
| Publication number | Priority date | Publication date | Assignee | Title |
|---|---|---|---|---|
| JPS6383004A (en) * | 1986-09-26 | 1988-04-13 | Kumiai Chem Ind Co Ltd | Fungicide for agricultural and horticultural use |
| WO1994003061A1 (en) * | 1992-08-03 | 1994-02-17 | Zeneca Limited | Fungicidal process |
| WO1995007022A1 (en) * | 1993-09-07 | 1995-03-16 | Zeneca Limited | Fungicides |
| GB2290540A (en) * | 1994-06-20 | 1996-01-03 | Zeneca Ltd | Fungicidal salt of cis-2-amino-cyclopentane-1-carboxylic acid with a substituted benzenesulphonic acid |
-
1995
- 1995-06-23 FR FR9507583A patent/FR2735772A1/en active Pending
Patent Citations (4)
| Publication number | Priority date | Publication date | Assignee | Title |
|---|---|---|---|---|
| JPS6383004A (en) * | 1986-09-26 | 1988-04-13 | Kumiai Chem Ind Co Ltd | Fungicide for agricultural and horticultural use |
| WO1994003061A1 (en) * | 1992-08-03 | 1994-02-17 | Zeneca Limited | Fungicidal process |
| WO1995007022A1 (en) * | 1993-09-07 | 1995-03-16 | Zeneca Limited | Fungicides |
| GB2290540A (en) * | 1994-06-20 | 1996-01-03 | Zeneca Ltd | Fungicidal salt of cis-2-amino-cyclopentane-1-carboxylic acid with a substituted benzenesulphonic acid |
Non-Patent Citations (1)
| Title |
|---|
| PATENT ABSTRACTS OF JAPAN vol. 12, no. 312 (C - 523) 24 August 1988 (1988-08-24) * |
Similar Documents
| Publication | Publication Date | Title |
|---|---|---|
| DE69306592T2 (en) | OXA AND THIADIAZOLE DERIVATIVES AND THEIR USE AS INSECTICIDES AND FUNGICIDES | |
| WO1995004718A1 (en) | 4-methyleneproline derivatives as fungicides | |
| HU204168B (en) | Fungicide, insecticide, acaricide and nematocide compositions containing acrylic acid derivatives as active components and process for producing the active components | |
| JP3868481B2 (en) | Pyrimidine fungicides | |
| US6207695B1 (en) | Chiral imidazole fungicidal compositions and methods for their use | |
| AU665088B2 (en) | Fungicidal composition | |
| RU2119483C1 (en) | Derivatives of acrylic acid, methods of their synthesis (variants), fungicide composition, method of fungi control | |
| JPH0215049A (en) | Sterilizable compound, its production and sterilizing composition containing the same | |
| JP3273787B2 (en) | Benzoxazole, benzothiazole and benzimidazole derivatives as fungicides | |
| FR2735772A1 (en) | CIS-2-AMINOCYCLOPENTANE-1-CARBOXYLIC ACID DERIVATIVES, PROCESS FOR THEIR PREPARATION, COMPOSITIONS CONTAINING THEM, AND THEIR USE | |
| DE69314352T2 (en) | ARALKYLOXY AND ARALKYLTHIO ALKOXIMINO DERIVATIVES AND THEIR USE AS FUNGICIDES | |
| FR2590573A1 (en) | HETEROCYCLIC COMPOUNDS, PROCESS FOR THE PRODUCTION THEREOF AND FUNGICIDE APPLICATIONS THEREOF | |
| JPS61275255A (en) | Novel amide compound, herbicide and weeding method | |
| JP4021959B2 (en) | Fungicide | |
| KR0143778B1 (en) | Benzo-1,2,3-thiadiazole-7-carboxylic acid ester and preparation method thereof | |
| JP2001510454A (en) | Fungicidal composition containing acylaminobenzamide (compound A) and method for producing compound A | |
| GB2290540A (en) | Fungicidal salt of cis-2-amino-cyclopentane-1-carboxylic acid with a substituted benzenesulphonic acid | |
| FR2583263A1 (en) | FUNGICIDAL COMPOSITIONS BASED ON AMINO COMPOUNDS AND THEIR APPLICATIONS | |
| WO1998004520A1 (en) | Fungicides | |
| WO1994003061A1 (en) | Fungicidal process | |
| ITMI951259A1 (en) | CHEMICAL COMPOUNDS | |
| JPH09110604A (en) | Agricultural germicidal powder | |
| WO2025088130A1 (en) | Method of controlling phytopathogenic fungi | |
| GB2276381A (en) | Fungicidal compounds containing a phenylsulphurpentafluoride group | |
| GB2276380A (en) | Fungicidal and insecticidal compounds containing a phenylsulphurpentafluoride group |




