EP3546558A1 - Laundry detergent composition - Google Patents
Laundry detergent composition Download PDFInfo
- Publication number
- EP3546558A1 EP3546558A1 EP18164656.3A EP18164656A EP3546558A1 EP 3546558 A1 EP3546558 A1 EP 3546558A1 EP 18164656 A EP18164656 A EP 18164656A EP 3546558 A1 EP3546558 A1 EP 3546558A1
- Authority
- EP
- European Patent Office
- Prior art keywords
- composition
- group
- alkyl
- amino acid
- identity
- Prior art date
- Legal status (The legal status is an assumption and is not a legal conclusion. Google has not performed a legal analysis and makes no representation as to the accuracy of the status listed.)
- Withdrawn
Links
- 0 CC(C)(N*(*)*O*[N+](C)[N-])O* Chemical compound CC(C)(N*(*)*O*[N+](C)[N-])O* 0.000 description 3
Classifications
-
- C—CHEMISTRY; METALLURGY
- C11—ANIMAL OR VEGETABLE OILS, FATS, FATTY SUBSTANCES OR WAXES; FATTY ACIDS THEREFROM; DETERGENTS; CANDLES
- C11D—DETERGENT COMPOSITIONS; USE OF SINGLE SUBSTANCES AS DETERGENTS; SOAP OR SOAP-MAKING; RESIN SOAPS; RECOVERY OF GLYCEROL
- C11D17/00—Detergent materials or soaps characterised by their shape or physical properties
- C11D17/06—Powder; Flakes; Free-flowing mixtures; Sheets
-
- C—CHEMISTRY; METALLURGY
- C11—ANIMAL OR VEGETABLE OILS, FATS, FATTY SUBSTANCES OR WAXES; FATTY ACIDS THEREFROM; DETERGENTS; CANDLES
- C11D—DETERGENT COMPOSITIONS; USE OF SINGLE SUBSTANCES AS DETERGENTS; SOAP OR SOAP-MAKING; RESIN SOAPS; RECOVERY OF GLYCEROL
- C11D1/00—Detergent compositions based essentially on surface-active compounds; Use of these compounds as a detergent
- C11D1/02—Anionic compounds
- C11D1/12—Sulfonic acids or sulfuric acid esters; Salts thereof
- C11D1/22—Sulfonic acids or sulfuric acid esters; Salts thereof derived from aromatic compounds
-
- C—CHEMISTRY; METALLURGY
- C11—ANIMAL OR VEGETABLE OILS, FATS, FATTY SUBSTANCES OR WAXES; FATTY ACIDS THEREFROM; DETERGENTS; CANDLES
- C11D—DETERGENT COMPOSITIONS; USE OF SINGLE SUBSTANCES AS DETERGENTS; SOAP OR SOAP-MAKING; RESIN SOAPS; RECOVERY OF GLYCEROL
- C11D3/00—Other compounding ingredients of detergent compositions covered in group C11D1/00
- C11D3/02—Inorganic compounds ; Elemental compounds
- C11D3/04—Water-soluble compounds
- C11D3/06—Phosphates, including polyphosphates
-
- C—CHEMISTRY; METALLURGY
- C11—ANIMAL OR VEGETABLE OILS, FATS, FATTY SUBSTANCES OR WAXES; FATTY ACIDS THEREFROM; DETERGENTS; CANDLES
- C11D—DETERGENT COMPOSITIONS; USE OF SINGLE SUBSTANCES AS DETERGENTS; SOAP OR SOAP-MAKING; RESIN SOAPS; RECOVERY OF GLYCEROL
- C11D3/00—Other compounding ingredients of detergent compositions covered in group C11D1/00
- C11D3/02—Inorganic compounds ; Elemental compounds
- C11D3/04—Water-soluble compounds
- C11D3/08—Silicates
-
- C—CHEMISTRY; METALLURGY
- C11—ANIMAL OR VEGETABLE OILS, FATS, FATTY SUBSTANCES OR WAXES; FATTY ACIDS THEREFROM; DETERGENTS; CANDLES
- C11D—DETERGENT COMPOSITIONS; USE OF SINGLE SUBSTANCES AS DETERGENTS; SOAP OR SOAP-MAKING; RESIN SOAPS; RECOVERY OF GLYCEROL
- C11D3/00—Other compounding ingredients of detergent compositions covered in group C11D1/00
- C11D3/02—Inorganic compounds ; Elemental compounds
- C11D3/04—Water-soluble compounds
- C11D3/10—Carbonates ; Bicarbonates
-
- C—CHEMISTRY; METALLURGY
- C11—ANIMAL OR VEGETABLE OILS, FATS, FATTY SUBSTANCES OR WAXES; FATTY ACIDS THEREFROM; DETERGENTS; CANDLES
- C11D—DETERGENT COMPOSITIONS; USE OF SINGLE SUBSTANCES AS DETERGENTS; SOAP OR SOAP-MAKING; RESIN SOAPS; RECOVERY OF GLYCEROL
- C11D3/00—Other compounding ingredients of detergent compositions covered in group C11D1/00
- C11D3/02—Inorganic compounds ; Elemental compounds
- C11D3/12—Water-insoluble compounds
- C11D3/124—Silicon containing, e.g. silica, silex, quartz or glass beads
- C11D3/1246—Silicates, e.g. diatomaceous earth
- C11D3/128—Aluminium silicates, e.g. zeolites
-
- C—CHEMISTRY; METALLURGY
- C11—ANIMAL OR VEGETABLE OILS, FATS, FATTY SUBSTANCES OR WAXES; FATTY ACIDS THEREFROM; DETERGENTS; CANDLES
- C11D—DETERGENT COMPOSITIONS; USE OF SINGLE SUBSTANCES AS DETERGENTS; SOAP OR SOAP-MAKING; RESIN SOAPS; RECOVERY OF GLYCEROL
- C11D3/00—Other compounding ingredients of detergent compositions covered in group C11D1/00
- C11D3/16—Organic compounds
- C11D3/20—Organic compounds containing oxygen
- C11D3/2075—Carboxylic acids-salts thereof
-
- C—CHEMISTRY; METALLURGY
- C11—ANIMAL OR VEGETABLE OILS, FATS, FATTY SUBSTANCES OR WAXES; FATTY ACIDS THEREFROM; DETERGENTS; CANDLES
- C11D—DETERGENT COMPOSITIONS; USE OF SINGLE SUBSTANCES AS DETERGENTS; SOAP OR SOAP-MAKING; RESIN SOAPS; RECOVERY OF GLYCEROL
- C11D3/00—Other compounding ingredients of detergent compositions covered in group C11D1/00
- C11D3/16—Organic compounds
- C11D3/38—Products with no well-defined composition, e.g. natural products
- C11D3/386—Preparations containing enzymes, e.g. protease or amylase
- C11D3/38609—Protease or amylase in solid compositions only
Definitions
- the present invention relates to a solid free flowing particulate laundry detergent composition having a low pH profile.
- the compositions of the present invention provide good solubility profile, good cleaning profile, good stability profile and good fabric care profile.
- Laundry detergent powder manufacturers seek to provide solid free-flowing particulate laundry detergent compositions that have good solubility profile, good cleaning profile, good stability profile and good fabric care profile. Typically, a performance balance is required between the chosen formulation to ensure that these profile requirements are met.
- the pH profile of a typical laundry detergent powder is quite high, around pH 10.5 and sometimes even higher. This pH profile ensures the good performance of historic cleaning mechanisms: such as grease saponification mechanisms and/or fabric fibre swelling mechanisms. However, this high pH profile also means that the detergent formulators are having to address problems with improving the fabric care profile, and ensuring fabric appearance performance and/or fabric shape retention performance is still adequate.
- This low pH laundry detergent powder formulation approach ensures good fabric appearance and good fabric care profiles, but careful attention is needed to ensure good cleaning performance, and especially to address any undesirable cleaning performance skews that result due to the low pH profile.
- the inventors have found that the cleaning performance of low pH laundry detergent powders can be improved by careful formulation of specific technologies as defined by the present invention.
- the inventors have found that a good cleaning performance is achieved by the combination of a low pH solid laundry detergent powder when formulated using the formulation features required by the present invention and a specific enzyme.
- the present invention relates to a solid free flowing particulate laundry detergent composition
- a solid free flowing particulate laundry detergent composition comprising:
- the solid free flowing particulate laundry detergent composition comprises:
- the protease is a variant of a parent protease.
- the parent protease has the amino acid sequence of SEQ ID NO:15.
- the variant protease has at least 90%, preferably at least 95% and more preferably at least 97% identity with the amino acid sequence of SEQ ID NO:15.
- the variant protease comprises at least one aspartic acid residue in the active site loop region from position 95 to 103, preferably from position 96 to 102 and more preferably from position 97 to 101 and especially in position 99 (BPN' numbering).
- the aspartic acid residue can be introduced by either substitution or insertion, preferably by insertion, more preferably by insertion in position 99.
- the protease is selected from the group consisting of a variant comprising one or more of the following amino acid insertions: X95XD, X96XD, X97XD, X98XD, X99XD, X100XD, X101XD, X102XD, X103XD versus SEQ ID 15, preferably X99XD.
- the protease is selected from the group consisting of a variant comprising one or more of the following amino acid insertions: V95VD, L96LD, G97GD, A98AD, S99SD, G100GD, S101SD, G102GD, S103SD versus SEQ ID NO:15, preferably S99SD.
- variants further comprises an amino acid substitution at position S99, preferably S99A
- specially preferred variants are variants of the parent protease of SEQ ID 15 having the following amino acid substitution and insertion: S99A + S99SD vs SEQ ID 15 using BPN' numbering system.
- a suitable protease is Ovozyme, supplied by Novozymes.
- G195E a glycine to glutamic acid substitution in position 195
- G195* A deletion of glycine in the same position
- G195GK insertion of an additional amino acid residue such as lysine
- *36D insertion of an aspartic acid in position 36.
- V102 ⁇ N,I ⁇ valine substitution to either asparagine or isoleucine at position 102.
- the accepted IUPAC single letter or triple letter amino acid abbreviation is employed.
- the relatedness between two amino acid sequences is described by the parameter "identity".
- the alignment of two amino acid sequences is determined by using the Needle program from the EMBOSS package (http://emboss.org) version 2.8.0.
- the Needle program implements the global alignment algorithm described in Needleman, S. B. and Wunsch, C. D. (1970) J. Mol. Biol. 48, 443-453 .
- the substitution matrix used is BLOSUM62, gap opening penalty is 10, and gap extension penalty is 0.5.
- invention sequence The degree of identity between an amino acid sequence of an enzyme used herein
- foreign sequence is calculated as the number of exact matches in an alignment of the two sequences, divided by the length of the "invention sequence” or the length of the "foreign sequence", whichever is the shortest. The result is expressed in percent identity.
- An exact match occurs when the "invention sequence” and the “foreign sequence” have identical amino acid residues in the same positions of the overlap.
- the length of a sequence is the number of amino acid residues in the sequence.
- Solid free-flowing particulate laundry detergent composition is a fully formulated laundry detergent composition, not a portion thereof such as a spray-dried, extruded or agglomerate particle that only forms part of the laundry detergent composition.
- the solid composition comprises a plurality of chemically different particles, such as spray-dried base detergent particles and/or agglomerated base detergent particles and/or extruded base detergent particles, in combination with one or more, typically two or more, or five or more, or even ten or more particles selected from: surfactant particles, including surfactant agglomerates, surfactant extrudates, surfactant needles, surfactant noodles, surfactant flakes; phosphate particles; zeolite particles; polymer particles such as carboxylate polymer particles, cellulosic polymer particles, starch particles, polyester particles, polyamine particles, terephthalate polymer particles, polyethylene glycol particles; aesthetic particles such as coloured noodles, needles, lamellae particles and ring particles; enzyme particles such as protease granulates, amylase granulates, lipase granulates, cellulase granulates, mannanase granulates, pectate lyase gran
- the solid free flowing particulate laundry detergent composition comprises:
- the composition at 1wt% dilution in deionized water at 20°C has an equilibrium pH in the range of from 6.5 to 9.5, preferably from 6.5 to 8.5, more preferably from 7.0 to 8.0.
- the composition at 1wt% dilution in deionized water at 20°C has a reserve alkalinity to pH 7.0 of less than 4.0gNaOH/100g, preferably less than 3.0gNaOH/100g, or even less than 2.0gNaOH/100g.
- the composition comprises from 30wt% to 90wt% base detergent particle, wherein the base detergent particle comprising (by weight of the base detergent particle): (a) from 4wt% to 35wt% anionic detersive surfactant; (b) optionally, from 1wt% to 8wt% zeolite builder; (c) from 0wt% to 4wt% phosphate builder; (d) from 0wt% to 8wt%, preferably from 0wt% to 4wt%, sodium carbonate; (e) from 0wt% to 8wt%, preferably from 0wt% to 4wt%, sodium silicate; (f) from 1wt% to 10wt% organic acid; and (g) optionally, from 1wt% to 10wt% magnesium sulphate.
- the base detergent particle is in the form of a spray-dried particle.
- the organic acid comprises citric acid and the base detergent particle comprises from 1wt% to 10wt% citric acid.
- the organic acid may be at least partially coated, or even completely coated, by a water-dispersible material.
- Water-dispersible material also typically includes water-soluble material.
- a suitable water-dispersible material is wax.
- a suitable water-soluble material is citrate.
- the anionic detersive surfactant comprises alkyl benzene sulphonate and wherein the base detergent particle comprises from 4wt% to 35wt% alkyl benzene sulphonate.
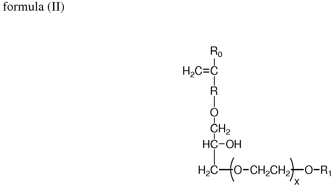
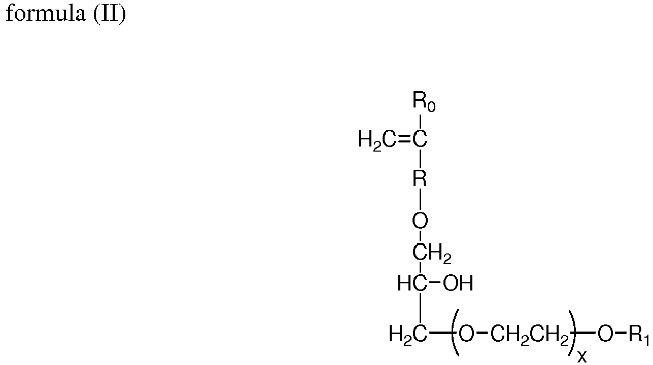
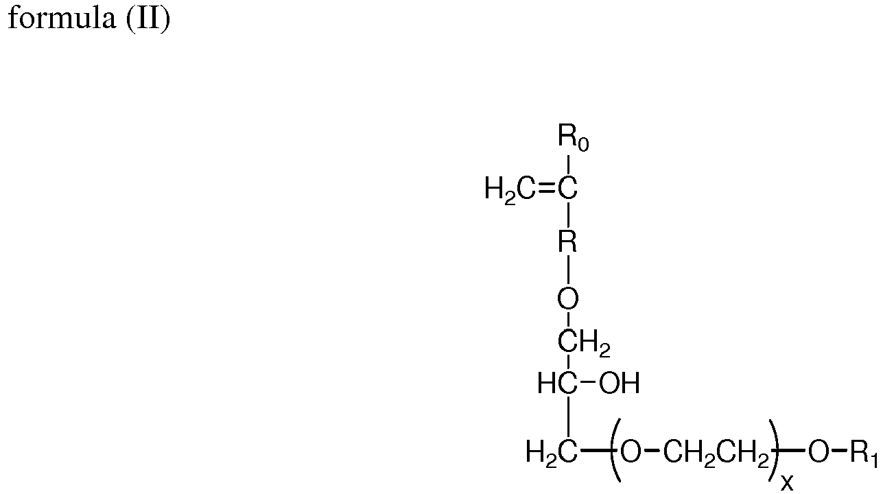
- the base detergent particle comprises from 0.5wt% to 5wt% carboxylate co-polymer, wherein the carboxylate co-polymer comprises: (i) from 50 to less than 98 wt% structural units derived from one or more monomers comprising carboxyl groups; (ii) from 1 to less than 49 wt% structural units derived from one or more monomers comprising sulfonate moieties; and (iii) from 1 to 49 wt% structural units derived from one or more types of monomers selected from ether bond-containing monomers represented by formulas (I) and (II): wherein in formula (I), R 0 represents a hydrogen atom or CH 3 group, R represents a CH 2 group, CH 2 CH 2 group or single bond, X represents a number 0-5 provided X represents a number 1-5 when R is a single bond, and R 1 is a hydrogen atom or C 1 to C 20 organic group; wherein in formula (II), R 0 represents a hydrogen atom or CH
- the base detergent particle comprises from 30wt% to 70wt% sodium sulphate.
- the composition comprises from 1wt% to 20wt% co-surfactant particle, wherein the co-surfactant particle comprises: (a) from 25wt% to 60wt% co-surfactant; (b) from 10wt% to 50wt% carbonate salt; and (c) from 1wt% to 30wt% silica.
- the co-surfactant particle is in the form of an agglomerate.
- the co-surfactant comprises alkyl ethoxylated sulphate having an average degree of ethoxylation of from 0.5 to 2.5, and wherein the co-surfactant particle comprises from 25wt% to 60wt% alkyl ethoxylated sulphate having an average degree of ethoxylation of from 0.5 to 2.5.
- the co-surfactant particle may comprise linear alkyl benzene sulphonate and alkyl ethoxylated sulphate having an average degree of ethoxylation of from 0.5 to 2.5.
- composition at 1wt% dilution in deionized water at 20°C may have an equilibrium pH in the range of from 6.5 to 8.5.
- the composition may have a reserve alkalinity to pH 7.5 of less than 3.0gNaOH/100g.
- the composition may comprise from 0wt% to 6wt%, preferably from 0wt% to 4wt%, sodium bicarbonate.
- the composition may comprise from 0wt% to 4wt% sodium carbonate.
- the composition may comprise from 0wt% to 4wt% sodium silicate.
- the composition may comprise from 0wt% to 4wt% phosphate builder.
- composition is preferably substantially free of phosphate builder.
- the composition may be substantially free of sodium carbonate.
- the composition may be substantially free of sodium bicarbonate.
- the composition may be substantially free of sodium silicate.
- composition may comprise the combination of lipase enzyme and soil release polymer.
- the composition comprises alkyl benzene sulphonate, wherein the alkyl benzene sulphonate comprises at least 25wt% of the 2-phenyl isomer.
- a suitable alkyl benzene sulphonate having this feature is obtained by DETAL synthesis.
- the composition may comprises alkyl amine oxide.
- the composition may comprises from 0.5wt% to 8wt% carboxylate co-polymer, wherein the carboxylate co-polymer comprises: (i) from 50 to less than 98 wt% structural units derived from one or more monomers comprising carboxyl groups; (ii) from 1 to less than 49 wt% structural units derived from one or more monomers comprising sulfonate moieties; and (iii) from 1 to 49 wt% structural units derived from one or more types of monomers selected from ether bond-containing monomers represented by formulas (I) and (II): wherein in formula (I), R 0 represents a hydrogen atom or CH 3 group, R represents a CH 2 group, CH 2 CH 2 group or single bond, X represents a number 0-5 provided X represents a number 1-5 when R is a single bond, and R 1 is a hydrogen atom or C 1 to C 20 organic group; wherein in formula (II), R 0 represents a hydrogen atom or CH 3
- composition may comprise a polyester soil release polymer having the structure:
- composition may comprise a polyester soil release polymer consisting of structure units (1) to (3): wherein:
- the composition may comprise carboxymethyl cellulose having a degree of substitution greater than 0.65 and a degree of blockiness greater than 0.45.
- the composition may comprise an alkoxylated polyalkyleneimine, wherein said alkoxylated polyalkyleneimine has a polyalkyleneimine core with one or more side chains bonded to at least one nitrogen atom in the polyalkyleneimine core, wherein said alkoxylated polyalkyleneimine has an empirical formula (I) of (PEI) a -(EO) b -R 1 , wherein a is the average number-average molecular weight (MW PEI ) of the polyalkyleneimine core of the alkoxylated polyalkyleneimine and is in the range of from 100 to 100,000 Daltons, wherein b is the average degree of ethoxylation in said one or more side chains of the alkoxylated polyalkyleneimine and is in the range of from 5 to 40, and wherein R 1 is independently selected from the group consisting of hydrogen, C 1 -C 4 alkyls, and combinations thereof.
- PEI average number-average molecular weight
- the composition may comprise an alkoxylated polyalkyleneimine, wherein said alkoxylated polyalkyleneimine has a polyalkyleneimine core with one or more side chains bonded to at least one nitrogen atom in the polyalkyleneimine core, wherein the alkoxylated polyalkyleneimine has an empirical formula (II) of (PEI) o -(EO) m (PO) n -R 2 or (PEI) o -(PO) n (EO) m -R 2 , wherein o is the average number-average molecular weight (MW PEI ) of the polyalkyleneimine core of the alkoxylated polyalkyleneimine and is in the range of from 100 to 100,000 Daltons, wherein m is the average degree of ethoxylation in said one or more side chains of the alkoxylated polyalkyleneimine which ranges from 10 to 50, wherein n is the average degree of propoxylation in said one or more side chains of the
- composition may comprise the combination of a non-ionic soil release polymer and an anionic soil release polymer.
- the composition is substantially free of pre-formed peracid.
- composition may comprise:
- the bleach activator may comprise sodium tetraacetylethylenediamine, and wherein the composition may comprise from 0.5wt% to 5wt% sodium tetraacetylethylenediamine.
- the chelant may comprise sodium salt of methylglycine diacetic acid (MGDA), and wherein the composition may comprise from 0.5wt% to 5wt% sodium salt of methylglycine diacetic acid (MGDA).
- MGDA methylglycine diacetic acid
- the chelant may comprise ethylenediamine disuccinic acid (EDDS), and wherein the composition may comprise from 0.5wt% to 5wt% ethylenediamine disuccinic acid (EDDS).
- EDDS ethylenediamine disuccinic acid
- the chelant may comprise disodium 4,5-dihydroxy-1,3-benzenedisulfonate, and wherein the composition may comprise from 0.5wt% to 5wt% disodium 4,5-dihydroxy-1,3-benzenedisulfonate.
- the composition may comprises 4,4'-bis-(triazinylamino)-stilbene-2,2'-disulfonic acid brightener and/or 4,4'-distyryl biphenyl brightener.
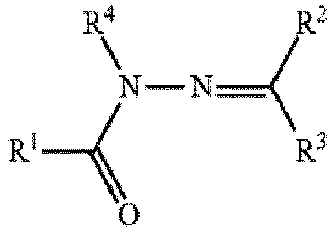
- composition may comprises an acyl hydrazone bleach catalyst, wherein the acyl hydrazone bleach catalyst has the formula I:
- composition may comprise a hueing agent having the following structure: wherein:
- composition may comprise a hueing agent having the following structure: wherein the index values x and y are independently selected from 1 to 10.
- the composition may comprise a hueing agent selected from Acid Violet 50, Direct Violet 9, 66 and 99, Solvent Violet 13 and any combination thereof.
- composition may comprise a protease having at least 90% identity to the amino acid sequence of Bacillus amyloliquefaciens as shown in SEQ ID NO:9
- the composition may comprise a protease having at least 90% identity to the amino acid sequence of Bacillus amyloliquefaciens BPN' as shown in SEQ ID NO:10, and which comprises one or more mutations selected from group consisting of V4I, S9R, A15T, S24G, S33T, S53G, V68A, N76D, S78N, S101M/N, Y167F, and Y217Q.
- composition may comprise a protease having at least 90% identity to the amino acid sequence of Bacillus thermoproteolyticus as shown in SEQ ID NO:11.
- composition may comprise a protease having at least 90% identity to the amino acid sequence of Bacillus lentus as shown in SEQ IS NO:12, and which comprises one or mutations selected from the group consisting of S3T, V4I, A194P, V199M, V205I, and L217D.
- composition may comprise a protease having at least 90% identity to the amino acid sequence of Bacillus sp. TY145 as shown in SEQ ID NO:13.
- composition may comprises a protease having at least 90% identity to the amino acid sequence of Bacillus sp. KSM-KP43 as shown in SEQ ID NO:14.
- the composition may comprise a variant of the wild-type amylase from Bacillus sp. which has at least 90% identity for amino acid sequence SEQ ID NO:5, and which comprises one or more mutations at positions N195, G477, G304, W140, W189, D134, V206, Y243, E260, F262, W284, W347, W439, W469 and/or G476, and optionally which comprises the deletions of D183* and/or G184*.
- the composition may comprise a variant of the wild-type amylase from Bacillus sp. which has at least 90% identity for amino acid sequence SEQ ID NO:6, and which comprises one or more mutations at positions 9, 26, 30, 33, 82, 37, 106, 118, 128, 133, 149, 150, 160, 178, 182, 186, 193, 195, 202, 214, 231, 256, 257, 258, 269, 270, 272, 283, 295, 296, 298, 299, 303, 304, 305, 311, 314, 315, 318, 319, 320, 323, 339, 345, 361, 378, 383, 419, 421, 437, 441, 444, 445, 446, 447, 450, 458, 461, 471, 482 and/or 484, preferably that also contain the deletions of D183* and G184*.
- composition may comprise a variant of the wild-type amylase from Bacillus sp. KSM- K38 which has at least 90% identity for amino acid sequence SEQ ID NO:7.
- composition may comprise a variant of the wild-type amylase from Cytophaga sp. which has at least 60% identity for amino acid sequence SEQ ID NO:8.
- composition may comprise a variant of the wild-type lipase from Thermomyces lanuginosus which has at least 90% identity for amino acid sequence SEQ ID NO:1.
- composition may comprise a variant of the wild-type lipase from Thermomyces lanuginosus which has at least 90% identity for amino acid sequence SEQ ID NO:1, and which comprises T231R and/or N233R mutations.
- composition may comprise a variant of the wild-type lipase from Thermomyces lanuginosus which has at least 90% identity for amino acid sequence SEQ ID NO:1, and which comprises G91A, D96G, G225R, T231R and/or N233R mutations.
- the composition may comprise a cellulase that is a wild-type or variant of a microbially-derived endoglucanase endogenous to Bacillus sp. exhibiting endo-beta-1,4-glucanase activity (E.C. 3.2.1.4) which has at least 90% identity to the amino acid sequence SEQ ID NO:2.
- the composition may comprise cellulase that is a wild-type or variant of a microbially-derived endoglucanase endogenous to Paenibacillus polymyxa exhibiting endo-beta-1,4-glucanase activity (E.C. 3.2.1.4) which has at least 90% identity to amino acid sequence SEQ ID NO:3.
- the composition may comprise a cellulase that is a hybrid fusion endoglucanase comprising a Glycosyl Hydrolase Family 45 catalytic domain that is a wild-type or variant of a microbially-derived endoglucanase endogenous to Melanocarpus albomyces, and a carbohydrate binding module that is a wild-type or variant of a carbohydrate binding module endogenous to Trichoderma reesei, and which has at least 90% identity to amino acid sequence SEQ ID NO:4.
- composition may comprise an enzyme selected from mannanase, pectate lyase, laccase, polyesterase, galactanase, acyltransferase, and any combination thereof.
- the composition may comprise a perfume, wherein the perfume comprises from 60wt% to 85wt% ester perfume raw materials having the structure: wherein R1 and R2 are independently selected from C1 to C30 linear or branched, cyclic or non-cyclic, aromatic or non-aromatic, saturated or un-saturated, substituted or unsubstituted alkyl.
- the composition may comprise: (a) alkyl ethoxylated sulphate having an average degree of ethoxylation of from 0.5 to 2.0; (b) perfume, wherein the perfume comprises from 60wt% to 85wt% ester perfume raw materials having the structure: wherein R1 and R2 are independently selected from C1 to C30 linear or branched, cyclic or non-cyclic, aromatic or non-aromatic, saturated or un-saturated, substituted or unsubstituted alkyl.
- the composition may comprise polyvinyl N oxide polymer.
- the composition may comprise: silicate salt particles, especially sodium silicate particles; and/or carbonate salt particles, especially sodium bicarbonate particles. However it may be preferred for the composition to be free of silicate salt particles, especially free of sodium silicate particles. It may also be preferred for the composition to be free of carbonate salt particles, especially free of sodium carbonate particles.
- the composition comprises from 1wt% to 10wt% dry-added acid particles, preferably from 2wt% to 8wt% dry-added acid particles.
- a suitable dry-added acid is an organic acid, preferably a carboxylic acid, preferably cirtric acid.
- the solid free-flowing particulate laundry detergent composition typically comprises a base detergent particle.
- the base detergent particle may be in the form of spray-dried particle, or an agglomerate, preferably the base particle is in the form of a spray-dried particle.
- the composition comprises from 30wt% to 90wt% base detergent particle, preferably from 40wt% to 80wt%, more preferably from 50wt% to 70wt% base detergent particle.
- the base detergent particle typically comprises from 1wt% to 10wt% organic acid, preferably from 2wt% to 8wt%, or from 3wt% to 7wt% organic acid.
- a preferred organic acid is a carboxylic acid, preferably citric acid.
- the base detergent particle typically comprises from 1wt% to 10wt% magnesium sulphate, preferably from 2wt% to 8wt%, or from 3wt% to 6wt% magnesium sulphate.
- the base detergent particle typically comprises from 1wt% to 8wt%, preferably from 2wt% to 6wt% or from 2wt% to 4wt% zeolite.
- a preferred zeolite is zeolite A, especially zeolite 4A.
- the base detergent particle typically comprises from 5wt% to 40wt%, preferably from 10wt% to 30wt% anionic detersive surfactant.
- a preferred anionic detersive surfactant is alkyl benzene sulphonate.
- the base detergent particle typically comprises from 0.5wt% to 5wt% polymer, preferably from 1wt% to 3wt% polymer.
- a preferred polymer is a carboxylate polymer, more preferably a co-polymer that comprises: (i) from 50 to less than 98 wt% structural units derived from one or more monomers comprising carboxyl groups; (ii) from 1 to less than 49 wt% structural units derived from one or more monomers comprising sulfonate moieties; and (iii) from 1 to 49 wt% structural units derived from one or more types of monomers selected from ether bond-containing monomers represented by formulas (I) and (II): wherein in formula (I), R 0 represents a hydrogen atom or CH 3 group, R represents a CH 2 group, CH 2 CH 2 group or single bond, X represents a number 0-5 provided X represents a number 1-5 when R is a single bond, and R 1 is a hydrogen atom or C 1
- the base detergent particle comprises from 30wt% to 70wt%, or from 40wt% to 70wt% sodium sulphate.
- the detergent composition comprises a co-surfactant particle.
- the composition comprises from 1wt% to 20wt%, or from 2wt% to 15wt%, or from 3wt% to 10wt% co-surfactant particle.
- the co-surfactant particle is in the form of an agglomerate, extrudate, needle, noodle, flake or any combination thereof.
- the co-surfactant particle is in the form of an agglomerate.
- the co-surfactant particle typically comprises from 25wt% to 60wt% co-surfactant, preferably from 30wt% to 50wt% co-surfactant.
- a preferred co-surfactant is alkyl alkoxy sulphate, preferably a C 10 -C 20 alkyl ethoxylated sulphate having an average degree of ethoxylation of from 0.5 to 2.0.
- the co-surfactant particle comprises from 10wt% to 50wt% carbonate salt.
- a preferred carbonate salt is sodium carbonate and/or sodium bicarbonate.
- the co-surfactant particle comprises from 1wt% to 30wt% silica, preferably from 5wt% to 20wt% silica.
- Suitable laundry detergent compositions comprise a detergent ingredient selected from: detersive surfactant, such as anionic detersive surfactants, non-ionic detersive surfactants, cationic detersive surfactants, zwitterionic detersive surfactants and amphoteric detersive surfactants; polymers, such as carboxylate polymers, soil release polymer, anti-redeposition polymers, cellulosic polymers and care polymers; bleach, such as sources of hydrogen peroxide, bleach activators, bleach catalysts and pre-formed peracids; photobleach, such as such as zinc and/or aluminium sulphonated phthalocyanine; enzymes, such as proteases, amylases, cellulases, lipases; zeolite builder; phosphate builder; co-builders, such as citric acid and citrate; sulphate salt, such as sodium sulphate; chloride salt, such as sodium chloride; brighteners; chelants; hueing
- the composition may comprise: silicate salt, especially sodium silicate; and/or carbonate salt, especially sodium bicarbonate and/or sodium carbonate.
- silicate salt especially sodium silicate
- carbonate salt especially sodium bicarbonate and/or sodium carbonate.
- silicate salt especially sodium silicate
- carbonate salt especially free of sodium carbonate and/or sodium bicarbonate.
- the composition may have a pH profile such that upon dilution in de-ionized water at a concentration of 1g/L at a temperature of 20oC, the composition has a pH in the range of from 6.5 to 8.5, preferably from 7.0 to 8.0.
- Suitable laundry detergent compositions may have a low buffering capacity.
- Such laundry detergent compositions typically have a reserve alkalinity to pH 7.5 of less than 5.0gNaOH/100g, preferably less than 3.0gNaOH/100g.
- the composition is preferably substantially free of pre-formed peracid.
- the composition is prerferably substantially free of phthalimido-peroxycaproic acid. Substantially free means no deliberately added.
- Suitable detersive surfactants include anionic detersive surfactants, non-ionic detersive surfactant, cationic detersive surfactants, zwitterionic detersive surfactants and amphoteric detersive surfactants.
- Suitable detersive surfactants may be linear or branched, substituted or un-substituted, and may be derived from petrochemical material or biomaterial.
- Anionic detersive surfactant Suitable anionic detersive surfactants include sulphonate and sulphate detersive surfactants.
- Suitable sulphonate detersive surfactants include methyl ester sulphonates, alpha olefin sulphonates, alkyl benzene sulphonates, especially alkyl benzene sulphonates, preferably C 10-13 alkyl benzene sulphonate.
- Suitable alkyl benzene sulphonate (LAS) is obtainable, preferably obtained, by sulphonating commercially available linear alkyl benzene (LAB); suitable LAB includes low 2-phenyl LAB, other suitable LAB include high 2-phenyl LAB, such as those supplied by Sasol under the tradename Hyblene®.
- Suitable sulphate detersive surfactants include alkyl sulphate, preferably C 8-18 alkyl sulphate, or predominantly C 12 alkyl sulphate.
- a preferred sulphate detersive surfactant is alkyl alkoxylated sulphate, preferably alkyl ethoxylated sulphate, preferably a C 8-18 alkyl alkoxylated sulphate, preferably a C 8-18 alkyl ethoxylated sulphate, preferably the alkyl alkoxylated sulphate has an average degree of alkoxylation of from 0.5 to 20, preferably from 0.5 to 10, preferably the alkyl alkoxylated sulphate is a C 8-18 alkyl ethoxylated sulphate having an average degree of ethoxylation of from 0.5 to 10, preferably from 0.5 to 5, more preferably from 0.5 to 3 and most preferably from 0.5 to 1.5.
- alkyl sulphate, alkyl alkoxylated sulphate and alkyl benzene sulphonates may be linear or branched, substituted or un-substituted, and may be derived from petrochemical material or biomaterial.
- anionic detersive surfactants include alkyl ether carboxylates.
- Suitable anionic detersive surfactants may be in salt form, suitable counter-ions include sodium, calcium, magnesium, amino alcohols, and any combination thereof.
- suitable counter-ions include sodium, calcium, magnesium, amino alcohols, and any combination thereof.
- a preferred counter-ion is sodium.
- Non-ionic detersive surfactant Suitable non-ionic detersive surfactants are selected from the group consisting of: C 8 -C 18 alkyl ethoxylates, such as, NEODOL® non-ionic surfactants from Shell; C 6 -C 12 alkyl phenol alkoxylates wherein preferably the alkoxylate units are ethyleneoxy units, propyleneoxy units or a mixture thereof; C 12 -C 18 alcohol and C 6 -C 12 alkyl phenol condensates with ethylene oxide/propylene oxide block polymers such as Pluronic® from BASF; alkylpolysaccharides, preferably alkylpolyglycosides; methyl ester ethoxylates; polyhydroxy fatty acid amides; ether capped poly(oxyalkylated) alcohol surfactants; and mixtures thereof.
- C 8 -C 18 alkyl ethoxylates such as, NEODOL® non-ionic surfactants from Shell
- Suitable non-ionic detersive surfactants are alkylpolyglucoside and/or an alkyl alkoxylated alcohol.
- Suitable non-ionic detersive surfactants include alkyl alkoxylated alcohols, preferably C 8-18 alkyl alkoxylated alcohol, preferably a C 8-18 alkyl ethoxylated alcohol, preferably the alkyl alkoxylated alcohol has an average degree of alkoxylation of from 1 to 50, preferably from 1 to 30, or from 1 to 20, or from 1 to 10, preferably the alkyl alkoxylated alcohol is a C 8-18 alkyl ethoxylated alcohol having an average degree of ethoxylation of from 1 to 10, preferably from 1 to 7, more preferably from 1 to 5 and most preferably from 3 to 7.
- the alkyl alkoxylated alcohol can be linear or branched, and substituted or un-substituted.
- Suitable nonionic detersive surfactants include secondary alcohol-based detersive surfactants.
- Cationic detersive surfactant Suitable cationic detersive surfactants include alkyl pyridinium compounds, alkyl quaternary ammonium compounds, alkyl quaternary phosphonium compounds, alkyl ternary sulphonium compounds, and mixtures thereof.
- Preferred cationic detersive surfactants are quaternary ammonium compounds having the general formula: (R)(R 1 )(R 2 )(R 3 )N + X - wherein, R is a linear or branched, substituted or unsubstituted C 6-18 alkyl or alkenyl moiety, R 1 and R 2 are independently selected from methyl or ethyl moieties, R 3 is a hydroxyl, hydroxymethyl or a hydroxyethyl moiety, X is an anion which provides charge neutrality, preferred anions include: halides, preferably chloride; sulphate; and sulphonate.
- Suitable zwitterionic detersive surfactants include amine oxides and/or betaines.
- Suitable polymers include carboxylate polymers, soil release polymers, anti-redeposition polymers, cellulosic polymers, care polymers and any combination thereof.
- Carboxylate polymer The composition may comprise a carboxylate polymer, such as a maleate/acrylate random copolymer or polyacrylate homopolymer.
- Suitable carboxylate polymers include: polyacrylate homopolymers having a molecular weight of from 4,000 Da to 9,000 Da; maleate/acrylate random copolymers having a molecular weight of from 50,000 Da to 100,000 Da, or from 60,000 Da to 80,000 Da.
- Another suitable carboxylate polymer is a co-polymer that comprises: (i) from 50 to less than 98 wt% structural units derived from one or more monomers comprising carboxyl groups; (ii) from 1 to less than 49 wt% structural units derived from one or more monomers comprising sulfonate moieties; and (iii) from 1 to 49 wt% structural units derived from one or more types of monomers selected from ether bond-containing monomers represented by formulas (I) and (II): wherein in formula (I), R 0 represents a hydrogen atom or CH 3 group, R represents a CH 2 group, CH 2 CH 2 group or single bond, X represents a number 0-5 provided X represents a number 1-5 when R is a single bond, and R 1 is a hydrogen atom or C 1 to C 20 organic group; wherein in formula (II), R 0 represents a hydrogen atom or CH 3 group, R represents a CH 2 group, CH 2 CH 2 group or single bond,
- Soil release polymer The composition may comprise a soil release polymer.
- a suitable soil release polymer has a structure as defined by one of the following structures (I), (II) or (III): (I) -[(OCHR 1 -CHR 2 ) a -O-OC-Ar-CO-] d (II) -[(OCHR 3 -CHR 4 ) b -O-OC-sAr-CO-] e (III) -[(OCHR 5 -CHR 6 ) c -OR 7 ] f wherein:
- Suitable soil release polymers are sold by Clariant under the TexCare® series of polymers, e.g. TexCare® SRN240 and TexCare® SRA300.
- Other suitable soil release polymers are sold by Solvay under the Repel-o-Tex® series of polymers, e.g. Repel-o-Tex® SF2 and Repel-o-Tex® Crystal.
- Anti-redeposition polymer examples include polyethylene glycol polymers and/or polyethyleneimine polymers.
- Suitable polyethylene glycol polymers include random graft co-polymers comprising: (i) hydrophilic backbone comprising polyethylene glycol; and (ii) hydrophobic side chain(s) selected from the group consisting of: C 4 -C 25 alkyl group, polypropylene, polybutylene, vinyl ester of a saturated C 1 -C 6 mono-carboxylic acid, C 1 -C 6 alkyl ester of acrylic or methacrylic acid, and mixtures thereof.
- Suitable polyethylene glycol polymers have a polyethylene glycol backbone with random grafted polyvinyl acetate side chains.
- the average molecular weight of the polyethylene glycol backbone can be in the range of from 2,000 Da to 20,000 Da, or from 4,000 Da to 8,000 Da.
- the molecular weight ratio of the polyethylene glycol backbone to the polyvinyl acetate side chains can be in the range of from 1:1 to 1:5, or from 1:1.2 to 1:2.
- the average number of graft sites per ethylene oxide units can be less than 1, or less than 0.8, the average number of graft sites per ethylene oxide units can be in the range of from 0.5 to 0.9, or the average number of graft sites per ethylene oxide units can be in the range of from 0.1 to 0.5, or from 0.2 to 0.4.
- a suitable polyethylene glycol polymer is Sokalan HP22. Suitable polyethylene glycol polymers are described in WO08/007320 .
- Cellulosic polymer Suitable cellulosic polymers are selected from alkyl cellulose, alkyl alkoxyalkyl cellulose, carboxyalkyl cellulose, alkyl carboxyalkyl cellulose, sulphoalkyl cellulose, more preferably selected from carboxymethyl cellulose, methyl cellulose, methyl hydroxyethyl cellulose, methyl carboxymethyl cellulose, and mixures thereof.
- Suitable carboxymethyl celluloses have a degree of carboxymethyl substitution from 0.5 to 0.9 and a molecular weight from 100,000 Da to 300,000 Da. Suitable carboxymethyl celluloses have a degree of substitution greater than 0.65 and a degree of blockiness greater than 0.45, e.g. as described in WO09/154933 .
- Suitable care polymers include cellulosic polymers that are cationically modified or hydrophobically modified. Such modified cellulosic polymers can provide anti-abrasion benefits and dye lock benefits to fabric during the laundering cycle. Suitable cellulosic polymers include cationically modified hydroxyethyl cellulose.
- Suitable care polymers include dye lock polymers, for example the condensation oligomer produced by the condensation of imidazole and epichlorhydrin, preferably in ratio of 1:4:1.
- a suitable commercially available dye lock polymer is Polyquart® FDI (Cognis).
- Suitable care polymers include amino-silicone, which can provide fabric feel benefits and fabric shape retention benefits.
- Suitable bleach includes sources of hydrogen peroxide, bleach activators, bleach catalysts, pre-formed peracids and any combination thereof.
- a particularly suitable bleach includes a combination of a source of hydrogen peroxide with a bleach activator and/or a bleach catalyst.
- Source of hydrogen peroxide include sodium perborate and/or sodium percarbonate.
- Suitable bleach activators include tetra acetyl ethylene diamine and/or alkyl oxybenzene sulphonate.
- the composition may comprise a bleach catalyst.
- Suitable bleach catalysts include oxaziridinium bleach catalysts, transistion metal bleach catalysts, especially manganese and iron bleach catalysts.
- a suitable bleach catalyst has a structure corresponding to general formula below: wherein R 13 is selected from the group consisting of 2-ethylhexyl, 2-propylheptyl, 2-butyloctyl, 2-pentylnonyl, 2-hexyldecyl, n-dodecyl, n-tetradecyl, n-hexadecyl, n-octadecyl, iso-nonyl, isodecyl, iso-tridecyl and iso-pentadecyl.
- Pre-formed peracid Suitable pre-form peracids include phthalimido-peroxycaproic acid. However, it is preferred that the composition is substantially free of pre-formed peracid. By: “substantially free” it is meant: “no deliberately added”.
- Enzymes include lipases, proteases, cellulases, amylases and any combination thereof.
- Suitable proteases include metalloproteases and/or serine proteases.
- suitable neutral or alkaline proteases include: subtilisins (EC 3.4.21.62); trypsin-type or chymotrypsin-type proteases; and metalloproteases.
- the suitable proteases include chemically or genetically modified mutants of the aforementioned suitable proteases.
- protease enzymes include those sold under the trade names Alcalase®, Savinase®, Primase®, Durazym®, Polarzyme®, Kannase®, Liquanase®, Liquanase Ultra®, Savinase Ultra®, Ovozyme®, Neutrase®, Everlase® and Esperase® by Novozymes A/S (Denmark), those sold under the tradename Maxatase®, Maxacal®, Maxapem®, Preferenz P® series of proteases including Preferenz® P280, Preferenz® P281, Preferenz® P2018-C, Preferenz® P2081-WE, Preferenz® P2082-EE and Preferenz® P2083-A/J, Properase®, Purafect®, Purafect Prime®, Purafect Ox®, FN3® , FN4®, Excellase® and Purafect OXP® by DuPont, those
- a suitable protease is described in WO11/140316 and WO11/072117 .
- Amylase Suitable amylases are derived from AA560 alpha amylase endogenous to Bacillus sp. DSM 12649, preferably having the following mutations: R118K, D183*, G184*, N195F, R320K, and/or R458K.
- Suitable commercially available amylases include Stainzyme®, Stainzyme® Plus, Natalase, Termamyl®, Termamyl® Ultra, Liquezyme® SZ, Duramyl®, Everest® (all Novozymes) and Spezyme® AA, Preferenz S® series of amylases, Purastar® and Purastar® Ox Am, Optisize® HT Plus (all Du Pont).
- a suitable amylase is described in WO06/002643 .
- Suitable cellulases include those of bacterial or fungal origin. Chemically modified or protein engineered mutants are also suitable. Suitable cellulases include cellulases from the genera Bacillus, Pseudomonas, Humicola, Fusarium, Thielavia, Acremonium, e.g., the fungal cellulases produced from Humicola insolens, Myceliophthora thermophila and Fusarium oxysporum.
- cellulases include Celluzyme®, Carezyme®, and Carezyme® Premium, Celluclean® and Whitezyme® (Novozymes A/S), Revitalenz® series of enzymes (Du Pont), and Biotouch® series of enzymes (AB Enzymes).
- Suitable commercially available cellulases include Carezyme® Premium, Celluclean® Classic. Suitable cellulases are described in WO07/144857 and WO10/056652 .
- Suitable lipases include those of bacterial, fungal or synthetic origin, and variants thereof. Chemically modified or protein engineered mutants are also suitable. Examples of suitable lipases include lipases from Humicola (synonym Thermomyces ), e.g., from H. lanuginosa (T. lanuginosus).
- the lipase may be a "first cycle lipase", e.g. such as those described in WO06/090335 and WO13/116261 .
- the lipase is a first-wash lipase, preferably a variant of the wild-type lipase from Thermomyces lanuginosus comprising T231R and/or N233R mutations.
- Preferred lipases include those sold under the tradenames Lipex®, Lipolex® and Lipoclean® by Novozymes, Bagsvaerd, Denmark.
- Liprl 139 e.g. as described in WO2013/171241
- TfuLip2 e.g. as described in WO2011/084412 and WO2013/033318 .
- Other enzymes are bleaching enzymes, such as peroxidases/oxidases, which include those of plant, bacterial or fungal origin and variants thereof.
- bleaching enzymes such as peroxidases/oxidases, which include those of plant, bacterial or fungal origin and variants thereof.
- commercially available peroxidases include Guardzyme® (Novozymes A/S).
- Other suitable enzymes include choline oxidases and perhydrolases such as those used in Gentle Power BleachTM.
- Suitable enzymes include pectate lyases sold under the tradenames X-Pect®, Pectaway® (from Novozymes A/S, Bagsvaerd, Denmark) and PrimaGreen® (DuPont) and mannanases sold under the tradenames Mannaway® (Novozymes A/S, Bagsvaerd, Denmark), and Mannastar® (Du Pont).
- identity refers to the relatedness between two amino acid sequences.
- the degree of sequence identity between two amino acid sequences is determined using the Needleman-Wunsch algorithm ( Needleman and Wunsch, 1970, J. Mol. Biol. 48: 443-453 ) as implemented in the Needle program of the EMBOSS package ( EMBOSS: The European Molecular Biology Open Software Suite, Rice et al., 2000, Trends Genet. 16: 276-277 ), preferably version 3.0.0 or later.
- the optional parameters used are gap open penalty of 10, gap extension penalty of 0.5, and the EBLOSUM62 (EMBOSS version of BLOSUM62) substitution matrix.
- Zeolite builder The composition may comprise zeolite builder.
- the composition may comprise from 0wt% to 5wt% zeolite builder, or 3wt% zeolite builder.
- the composition may even be substantially free of zeolite builder; substantially free means "no deliberately added".
- Typical zeolite builders include zeolite A, zeolite P and zeolite MAP.
- the composition may comprise phosphate builder.
- the composition may comprise from 0wt% to 5wt% phosphate builder, or to 3wt%, phosphate builder.
- the composition may even be substantially free of phosphate builder; substantially free means "no deliberately added".
- a typical phosphate builder is sodium tri-polyphosphate.
- Carbonate salt The composition may comprise carbonate salt.
- the composition may comprise from 0wt% to 5wt% carbonate salt.
- the composition may even be substantially free of carbonate salt; substantially free means "no deliberately added".
- Suitable carbonate salts include sodium carbonate and sodium bicarbonate.
- Silicate salt The composition may comprise silicate salt.
- the composition may comprise from 0wt% to 5wt% silicate salt.
- the composition may even be substantially free of silicate salt; substantially free means "no deliberately added".
- a preferred silicate salt is sodium silicate, especially preferred are sodium silicates having a Na 2 O:SiO 2 ratio of from 1.0 to 2.8, preferably from 1.6 to 2.0.
- Sulphate salt A suitable sulphate salt is sodium sulphate.
- Suitable fluorescent brighteners include: di-styryl biphenyl compounds, e.g. Tinopal® CBS-X, di-amino stilbene di-sulfonic acid compounds, e.g. Tinopal® DMS pure Xtra and Blankophor® HRH, and Pyrazoline compounds, e.g. Blankophor® SN, and coumarin compounds, e.g. Tinopal® SWN.
- Preferred brighteners are: sodium 2 (4-styryl-3-sulfophenyl)-2H-napthol[1,2-d]triazole, disodium 4,4'-bis ⁇ [(4-anilino-6-(N methyl-N-2 hydroxyethyl)amino 1 ,3,5- triazin-2-yl)] amino ⁇ stilbene-2-2' disulfonate, disodium 4,4'-bis ⁇ [(4-anilino-6-morpholino-1,3,5-triazin-2-yl)]amino ⁇ stilbene-2-2' disulfonate, and disodium 4,4'- bis(2-sulfostyryl)biphenyl.
- a suitable fluorescent brightener is C.I. Fluorescent Brightener 260, which may be used in its beta or alpha crystalline forms, or a mixture of these forms.
- the composition may also comprise a chelant selected from: diethylene triamine pentaacetate, diethylene triamine penta(methyl phosphonic acid), ethylene diamine-N'N'-disuccinic acid, ethylene diamine tetraacetate, ethylene diamine tetra(methylene phosphonic acid) and hydroxyethane di(methylene phosphonic acid).
- a preferred chelant is ethylene diamine-N'N'-disuccinic acid (EDDS) and/or hydroxyethane diphosphonic acid (HEDP).
- the composition preferably comprises ethylene diamine-N'N'- disuccinic acid or salt thereof.
- the ethylene diamine-N'N'-disuccinic acid is in S,S enantiomeric form.
- the composition comprises 4,5-dihydroxy-m-benzenedisulfonic acid disodium salt.
- Preferred chelants may also function as calcium carbonate crystal growth inhibitors such as: 1-hydroxyethanediphosphonic acid (HEDP) and salt thereof; N,N-dicarboxymethyl-2-aminopentane-1,5-dioic acid and salt thereof; 2-phosphonobutane-1,2,4-tricarboxylic acid and salt thereof; and combination thereof.
- Hueing agent Suitable hueing agents include small molecule dyes, typically falling into the Colour Index (C.I.) classifications of Acid, Direct, Basic, Reactive (including hydrolysed forms thereof) or Solvent or Disperse dyes, for example classified as Blue, Violet, Red, Green or Black, and provide the desired shade either alone or in combination.
- C.I. Colour Index
- Solvent or Disperse dyes for example classified as Blue, Violet, Red, Green or Black, and provide the desired shade either alone or in combination.
- Preferred such hueing agents include Acid Violet 50, Direct Violet 9, 66 and 99, Solvent Violet 13 and any combination thereof.
- hueing agents are known and described in the art which may be suitable for the present invention, such as hueing agents described in WO2014/089386 .
- Suitable hueing agents include phthalocyanine and azo dye conjugates, such as described in WO2009/069077 .
- Suitable hueing agents may be alkoxylated. Such alkoxylated compounds may be produced by organic synthesis that may produce a mixture of molecules having different degrees of alkoxylation. Such mixtures may be used directly to provide the hueing agent, or may undergo a purification step to increase the proportion of the target molecule.
- Suitable hueing agents include alkoxylated bis-azo dyes, such as described in WO2012/054835 , and/or alkoxylated thiophene azo dyes, such as described in WO2008/087497 and WO2012/166768 .
- the hueing agent may be incorporated into the detergent composition as part of a reaction mixture which is the result of the organic synthesis for a dye molecule, with optional purification step(s).
- reaction mixtures generally comprise the dye molecule itself and in addition may comprise un-reacted starting materials and/or by-products of the organic synthesis route.
- Suitable hueing agents can be incorporated into hueing dye particles, such as described in WO 2009/069077 .
- Suitable dye transfer inhibitors include polyamine N-oxide polymers, copolymers of N-vinylpyrrolidone and N-vinylimidazole, polyvinylpyrrolidone, polyvinyloxazolidone, polyvinylimidazole and mixtures thereof.
- Preferred are poly(vinyl pyrrolidone), poly(vinylpyridine betaine), poly(vinylpyridine N-oxide), poly(vinyl pyrrolidone-vinyl imidazole) and mixtures thereof.
- Suitable commercially available dye transfer inhibitors include PVP-K15 and K30 (Ashland), Sokalan® HP165, HP50, HP53, HP59, HP56K, HP56, HP66 (BASF), Chromabond® S-400, S403E and S-100 (Ashland).
- Suitable perfumes comprise perfume materials selected from the group: (a) perfume materials having a ClogP of less than 3.0 and a boiling point of less than 250°C (quadrant 1 perfume materials); (b) perfume materials having a ClogP of less than 3.0 and a boiling point of 250°C or greater (quadrant 2 perfume materials); (c) perfume materials having a ClogP of 3.0 or greater and a boiling point of less than 250°C (quadrant 3 perfume materials); (d) perfume materials having a ClogP of 3.0 or greater and a boiling point of 250°C or greater (quadrant 4 perfume materials); and (e) mixtures thereof.
- the perfume may be in the form of a perfume delivery technology. Such delivery technologies further stabilize and enhance the deposition and release of perfume materials from the laundered fabric. Such perfume delivery technologies can also be used to further increase the longevity of perfume release from the laundered fabric. Suitable perfume delivery technologies include: perfume microcapsules, pro-perfumes, polymer assisted deliveries, molecule assisted deliveries, fiber assisted deliveries, amine assisted deliveries, cyclodextrin, starch encapsulated accord, zeolite and other inorganic carriers, and any mixture thereof. A suitable perfume microcapsule is described in WO2009/101593 .
- Suitable silicones include polydimethylsiloxane and amino-silicones. Suitable silicones are described in WO05075616 .
- the particles of the composition can be prepared by any suitable method. For example: spray-drying, agglomeration, extrusion and any combination thereof.
- a suitable spray-drying process comprises the step of forming an aqueous slurry mixture, transferring it through at least one pump, preferably two pumps, to a pressure nozzle. Atomizing the aqueous slurry mixture into a spray-drying tower and drying the aqueous slurry mixture to form spray-dried particles.
- the spray-drying tower is a counter-current spray-drying tower, although a co-current spray-drying tower may also be suitable.
- the spray-dried powder is subjected to cooling, for example an air lift.
- the spray-drying powder is subjected to particle size classification, for example a sieve, to obtain the desired particle size distribution.
- the spray-dried powder has a particle size distribution such that weight average particle size is in the range of from 300 micrometers to 500 micrometers, and less than 10wt% of the spray-dried particles have a particle size greater than 2360 micrometers.
- aqueous slurry mixture may be heated to elevated temperatures prior to atomization into the spray-drying tower, such as described in WO2009/158162 .
- anionic surfactant such as linear alkyl benzene sulphonate
- anionic surfactant such as linear alkyl benzene sulphonate
- a gas such as air
- a gas such as air
- any inorganic ingredients such as sodium sulphate and sodium carbonate, if present in the aqueous slurry mixture, to be micronized to a small particle size such as described in WO2012/134969 .
- a suitable agglomeration process comprises the step of contacting a detersive ingredient, such as a detersive surfactant, e.g. linear alkyl benzene sulphonate (LAS) and/or alkyl alkoxylated sulphate, with an inorganic material, such as sodium carbonate and/or silica, in a mixer.
- a detersive ingredient such as a detersive surfactant, e.g. linear alkyl benzene sulphonate (LAS) and/or alkyl alkoxylated sulphate
- LAS linear alkyl benzene sulphonate
- an inorganic material such as sodium carbonate and/or silica
- the agglomeration process may also be an in-situ neutralization agglomeration process wherein an acid precursor of a detersive surfactant, such as LAS, is contacted with an alkaline material, such as carbonate and/or sodium hydroxide, in a mixer, and wherein the acid precursor of a detersive surfactant is neutralized by the alkaline material to form a detersive surfactant during the agglomeration process.
- a detersive surfactant such as LAS
- Suitable detergent ingredients include polymers, chelants, bleach activators, silicones and any combination thereof.
- the agglomeration process may be a high, medium or low shear agglomeration process, wherein a high shear, medium shear or low shear mixer is used accordingly.
- the agglomeration process may be a multi-step agglomeration process wherein two or more mixers are used, such as a high shear mixer in combination with a medium or low shear mixer.
- the agglomeration process can be a continuous process or a batch process.
- the agglomerates may be subjected to a drying step, for example to a fluid bed drying step. It may also be preferred for the agglomerates to be subjected to a cooling step, for example a fluid bed cooling step.
- the agglomerates are subjected to particle size classification, for example a fluid bed elutriation and/or a sieve, to obtain the desired particle size distribution.
- particle size classification for example a fluid bed elutriation and/or a sieve
- the agglomerates have a particle size distribution such that weight average particle size is in the range of from 300 micrometers to 800 micrometers, and less than 10wt% of the agglomerates have a particle size less than 150 micrometers and less than 10wt% of the agglomerates have a particle size greater than 1200 micrometers.
- fines and over-sized agglomerates may be recycled back into the agglomeration process.
- over-sized particles are subjected to a size reduction step, such as grinding, and recycled back into an appropriate place in the agglomeration process, such as the mixer.
- fines are recycled back into an appropriate place in the agglomeration process, such as the mixer.
- ingredients such as polymer and/or non-ionic detersive surfactant and/or perfume to be sprayed onto base detergent particles, such as spray-dried base detergent particles and/or agglomerated base detergent particles.
- base detergent particles such as spray-dried base detergent particles and/or agglomerated base detergent particles.
- this spray-on step is carried out in a tumbling drum mixer.
- the method of laundering fabric comprises the step of contacting the solid composition to water to form a wash liquor, and laundering fabric in said wash liquor.
- the wash liquor has a temperature of above 0°C to 90°C, or to 60°C, or to 40°C, or to 30°C, or to 20°C.
- the fabric may be contacted to the water prior to, or after, or simultaneous with, contacting the solid composition with water.
- the wash liquor is formed by contacting the laundry detergent to water in such an amount so that the concentration of laundry detergent composition in the wash liquor is from 0.2g/l to 20g/l, or from 0.5g/l to 10g/l, or to 5.0g/l.
- the method of laundering fabric can be carried out in a front-loading automatic washing machine, top loading automatic washing machines, including high efficiency automatic washing machines, or suitable hand-wash vessels.
- the wash liquor comprises 90 litres or less, or 60 litres or less, or 15 litres or less, or 10 litres or less of water.
- 200g or less, or 150g or less, or 100g or less, or 50g or less of laundry detergent composition is contacted to water to form the wash liquor.
- Solid free-flowing particulate laundry detergent composition illustrative examples:
- Anionic detersive surfactant such as alkyl benzene sulphonate, alkyl ethoxylated sulphate and mixtures thereof
- Non-ionic detersive surfactant such as alkyl ethoxylated alcohol
- Cationic detersive surfactant such as quaternary ammonium compounds
- Other detersive surfactant such as zwiterionic detersive surfactants, amphoteric surfactants and mixtures thereof
- Carboxylate polymer such as co-polymers of maleic acid and acrylic acid and/or carboxylate polymers comprising ether moieties and sulfonate moieties
- Polyethylene glycol polymer such as a polyethylene glycol polymer comprising polyviny
- fluorescent brightener 260 or C.I. fluorescent brightener 351 from 0.1wt% to 0.4wt% Protease (such as Ovozyme) from 0.1wt% to 0.4wt% Amylase (such as Termamyl, Termamyl ultra, Natalase, Optisize, Stainzyme, Stainzyme Plus and any combination thereof) from 0wt% to 0.2wt% Cellulase (such as Carezyme and/or Celluclean) from 0wt% to 0.2wt% Lipase (such as Lipex, Lipolex, Lipoclean and any combination thereof) from 0wt% to 1wt% Other enzyme (such as xyloglucanase, cutinase, pectate lyase, mannanase, bleaching enzyme) from 0wt% to 2wt% Fabric softener (such as montmorillonite clay and/or polydimethylsiloxane (PDMS)) from
- a low pH base powder was prepared by mixing the ingredients together.
- the composition of the base powder was: Ingredient Amount (wt% of base powder) Alkyl benzene sulphonate anionic detersive surfactant 18.22 Sodium sulphate 75.23 Citric acid 6.54 Water & miscellaneous to 100wt%
- the composition had an equilibrium pH at 1wt% dilution in deionized water at 20°C of 7.0.
- the compositon had a reserve alkalinity to pH 7 at 1wt% dilution in deionized water at 20°C of 2.0.
Landscapes
- Chemical & Material Sciences (AREA)
- Life Sciences & Earth Sciences (AREA)
- Engineering & Computer Science (AREA)
- Chemical Kinetics & Catalysis (AREA)
- Oil, Petroleum & Natural Gas (AREA)
- Wood Science & Technology (AREA)
- Organic Chemistry (AREA)
- Inorganic Chemistry (AREA)
- Health & Medical Sciences (AREA)
- Emergency Medicine (AREA)
- Detergent Compositions (AREA)
Abstract
The present invention relates to a solid free flowing particulate laundry detergent composition comprising:
(a) anionic detersive surfactant;
(b) from 0wt% to 8wt% zeolite builder;
(c) from 0wt% to 4wt% phosphate builder;
(d) from 0wt% to 8wt% sodium carbonate;
(e) from 0wt% to 8wt% sodium silicate;
(f) from 4wt% to 20wt% organic acid; and
(g) protease having at least 90% identity to the amino acid sequence of Bacillus lentus as shown in SEQ ID NO:15, wherein the protease comprises at least one aspartic acid residue in the active site loop region from positions 95 to 103 (BPN' numbering);
wherein the composition at 1wt% dilution in deionized water at 20°C, has an equilibrium pH in the range of from 6.5 to 9.5.
(a) anionic detersive surfactant;
(b) from 0wt% to 8wt% zeolite builder;
(c) from 0wt% to 4wt% phosphate builder;
(d) from 0wt% to 8wt% sodium carbonate;
(e) from 0wt% to 8wt% sodium silicate;
(f) from 4wt% to 20wt% organic acid; and
(g) protease having at least 90% identity to the amino acid sequence of Bacillus lentus as shown in SEQ ID NO:15, wherein the protease comprises at least one aspartic acid residue in the active site loop region from positions 95 to 103 (BPN' numbering);
wherein the composition at 1wt% dilution in deionized water at 20°C, has an equilibrium pH in the range of from 6.5 to 9.5.
Description
- The present invention relates to a solid free flowing particulate laundry detergent composition having a low pH profile. The compositions of the present invention provide good solubility profile, good cleaning profile, good stability profile and good fabric care profile.
- Laundry detergent powder manufacturers seek to provide solid free-flowing particulate laundry detergent compositions that have good solubility profile, good cleaning profile, good stability profile and good fabric care profile. Typically, a performance balance is required between the chosen formulation to ensure that these profile requirements are met.
- The pH profile of a typical laundry detergent powder is quite high, around pH 10.5 and sometimes even higher. This pH profile ensures the good performance of historic cleaning mechanisms: such as grease saponification mechanisms and/or fabric fibre swelling mechanisms. However, this high pH profile also means that the detergent formulators are having to address problems with improving the fabric care profile, and ensuring fabric appearance performance and/or fabric shape retention performance is still adequate.
- The inventors have found that an alternative approach to this historic dichotomy of formulating high pH detergent powders to ensure good cleaning performance whilst needing to balance the formulation so as to also provide good fabric care performance, is to formulate the solid detergent powder at a lower pH and then to balance the formulation so as to also provide good cleaning performance.
- This low pH laundry detergent powder formulation approach ensures good fabric appearance and good fabric care profiles, but careful attention is needed to ensure good cleaning performance, and especially to address any undesirable cleaning performance skews that result due to the low pH profile.
- The inventors have found that the cleaning performance of low pH laundry detergent powders can be improved by careful formulation of specific technologies as defined by the present invention.
- In particular, the inventors have found that a good cleaning performance is achieved by the combination of a low pH solid laundry detergent powder when formulated using the formulation features required by the present invention and a specific enzyme.
- The present invention relates to a solid free flowing particulate laundry detergent composition comprising:
- (a) anionic detersive surfactant;
- (b) from 0wt% to 8wt% zeolite builder;
- (c) from 0wt% to 4wt% phosphate builder;
- (d) from 0wt% to 8wt% sodium carbonate;
- (e) from 0wt% to 8wt% sodium silicate;
- (f) from 4wt% to 20wt% organic acid; and
- (g) protease having at least 90% identity to the amino acid sequence of Bacillus lentus as shown in SEQ ID NO:15, wherein the protease comprises at least one aspartic acid residue in the active site loop region from positions 95 to 103 (BPN' numbering);
- The solid free flowing particulate laundry detergent composition comprises:
- (a) anionic detersive surfactant;
- (b) from 0wt% to 8wt% zeolite builder;
- (c) from 0wt% to 4wt% phosphate builder;
- (d) from 0wt% to 8wt% sodium carbonate;
- (e) from 0wt% to 8wt% sodium silicate;
- (f) from 4wt% to 20wt% organic acid; and
- (g) protease having at least 90% identity to the amino acid sequence of Bacillus lentus as shown in SEQ ID NO:15, wherein the protease comprises at least one aspartic acid residue in the active site loop region from positions 95 to 103 (BPN' numbering);
- Preferably, the protease is a variant of a parent protease. The parent protease has the amino acid sequence of SEQ ID NO:15. The variant protease has at least 90%, preferably at least 95% and more preferably at least 97% identity with the amino acid sequence of SEQ ID NO:15. The variant protease comprises at least one aspartic acid residue in the active site loop region from position 95 to 103, preferably from position 96 to 102 and more preferably from position 97 to 101 and especially in position 99 (BPN' numbering). The aspartic acid residue can be introduced by either substitution or insertion, preferably by insertion, more preferably by insertion in position 99.
- Preferably, the protease is selected from the group consisting of a variant comprising one or more of the following amino acid insertions: X95XD, X96XD, X97XD, X98XD, X99XD, X100XD, X101XD, X102XD, X103XD versus SEQ ID 15, preferably X99XD.
- More preferably, the protease is selected from the group consisting of a variant comprising one or more of the following amino acid insertions: V95VD, L96LD, G97GD, A98AD, S99SD, G100GD, S101SD, G102GD, S103SD versus SEQ ID NO:15, preferably S99SD.
- Most preferably the variant further comprises an amino acid substitution at position S99, preferably S99A, specially preferred variants are variants of the parent protease of SEQ ID 15 having the following amino acid substitution and insertion: S99A + S99SD vs SEQ ID 15 using BPN' numbering system.
- A suitable protease is Ovozyme, supplied by Novozymes.
- In describing enzyme variants herein, the following nomenclature is used for ease of reference: Original amino acid(s):position(s):substituted amino acid(s).
- According to this nomenclature, for instance a glycine to glutamic acid substitution in position 195 is shown as G195E. A deletion of glycine in the same position is shown as G195*, and insertion of an additional amino acid residue such as lysine is shown as G195GK. Where a specific enzyme contains a "deletion" in comparison with other enzyme and an insertion is made in such a position this is indicated as *36D for insertion of an aspartic acid in position 36. Multiple mutations are separated by pluses, i.e.: S99G+V102N, representing serine to glycine and valine to asparagine substitutions in positions 99 and 102, respectively. Where the amino acid in a position (e.g. 102) may be substituted by another amino acid selected from a group of amino acids, e.g. the group consisting of N and I, this will be indicated by V102{N,I} representing valine substitution to either asparagine or isoleucine at position 102.
In all cases, the accepted IUPAC single letter or triple letter amino acid abbreviation is employed. - The numbering used in this patent is the BPN' numbering system which is commonly used in the art. An alternative numbering scheme is numbering the specific amino acid sequence of the protease (GG36)-listed as SEQ ID NO:1. For convenience the two different numbering schemes are compared below in Table 1:
Table 1 - Protease Mutation numbering GG36 numbering (numbering versus SEQ ID NO:1) Equivalent BPN' numbering of this patent N74D + S85R + G116R + S126L + P127Q + S128A N76D + S87R + G118R + S128L + P129Q + S130A N74D + S85R + G116R + S126L + P127Q + S128A + S182D + V238R N76D + S87R + G118R + S128L + P129Q + S130A + S188D + V244R - The relatedness between two amino acid sequences is described by the parameter "identity". For purposes of the present invention, the alignment of two amino acid sequences is determined by using the Needle program from the EMBOSS package (http://emboss.org) version 2.8.0. The Needle program implements the global alignment algorithm described in Needleman, S. B. and Wunsch, C. D. (1970) J. Mol. Biol. 48, 443-453. The substitution matrix used is BLOSUM62, gap opening penalty is 10, and gap extension penalty is 0.5.
- The degree of identity between an amino acid sequence of an enzyme used herein ("invention sequence") and a different amino acid sequence ("foreign sequence") is calculated as the number of exact matches in an alignment of the two sequences, divided by the length of the "invention sequence" or the length of the "foreign sequence", whichever is the shortest. The result is expressed in percent identity. An exact match occurs when the "invention sequence" and the "foreign sequence" have identical amino acid residues in the same positions of the overlap. The length of a sequence is the number of amino acid residues in the sequence.
- Solid free-flowing particulate laundry detergent composition: Typically, the solid free-flowing particulate laundry detergent composition is a fully formulated laundry detergent composition, not a portion thereof such as a spray-dried, extruded or agglomerate particle that only forms part of the laundry detergent composition. Typically, the solid composition comprises a plurality of chemically different particles, such as spray-dried base detergent particles and/or agglomerated base detergent particles and/or extruded base detergent particles, in combination with one or more, typically two or more, or five or more, or even ten or more particles selected from: surfactant particles, including surfactant agglomerates, surfactant extrudates, surfactant needles, surfactant noodles, surfactant flakes; phosphate particles; zeolite particles; polymer particles such as carboxylate polymer particles, cellulosic polymer particles, starch particles, polyester particles, polyamine particles, terephthalate polymer particles, polyethylene glycol particles; aesthetic particles such as coloured noodles, needles, lamellae particles and ring particles; enzyme particles such as protease granulates, amylase granulates, lipase granulates, cellulase granulates, mannanase granulates, pectate lyase granulates, xyloglucanase granulates, bleaching enzyme granulates and co- granulates of any of these enzymes, preferably these enzyme granulates comprise sodium sulphate; bleach particles, such as percarbonate particles, especially coated percarbonate particles, such as percarbonate coated with carbonate salt, sulphate salt, silicate salt, borosilicate salt, or any combination thereof, perborate particles, bleach activator particles such as tetra acetyl ethylene diamine particles and/or alkyl oxybenzene sulphonate particles, bleach catalyst particles such as transition metal catalyst particles, and/or isoquinolinium bleach catalyst particles, pre-formed peracid particles, especially coated pre-formed peracid particles; filler particles such as sulphate salt particles and chloride particles; clay particles such as montmorillonite particles and particles of clay and silicone; flocculant particles such as polyethylene oxide particles; wax particles such as wax agglomerates; silicone particles, brightener particles; dye transfer inhibition particles; dye fixative particles; perfume particles such as perfume microcapsules and starch encapsulated perfume accord particles, or pro-perfume particles such as Schiff base reaction product particles; hueing dye particles; chelant particles such as chelant agglomerates; and any combination thereof.
- Typically, the solid free flowing particulate laundry detergent composition comprises:
- (a) anionic detersive surfactant;
- (b) from 0wt% to 8wt% zeolite builder;
- (c) from 0wt% to 4wt% phosphate builder;
- (d) from 0wt% to 8wt% sodium carbonate;
- (e) from 0wt% to 8wt% sodium silicate; and (f) from 4wt% to 20wt% organic acid.
- Typically, the composition at 1wt% dilution in deionized water at 20°C, has an equilibrium pH in the range of from 6.5 to 9.5, preferably from 6.5 to 8.5, more preferably from 7.0 to 8.0.
- Typically, the composition at 1wt% dilution in deionized water at 20°C, has a reserve alkalinity to pH 7.0 of less than 4.0gNaOH/100g, preferably less than 3.0gNaOH/100g, or even less than 2.0gNaOH/100g.
- As used herein, the term "reserve alkalinity" is a measure of the buffering capacity of the detergent composition (g/NaOH/100g detergent composition) determined by titrating a 1% (w/v) solution of detergent composition with hydrochloric acid to pH 7.0 i.e. in order to calculate Reserve Alkalinity as defined herein:
- T
- = titre (ml) to pH 7.0
- M
- = Molarity of HCl = 0.2
- 40
- = Molecular weight of NaOH
- Vol
- = Total volume (ie. 1000 ml)
- W
- = Weight of product (10 g)
- Aliquot
- = (100 ml)
- Obtain a 10g sample accurately weighed to two decimal places, of fully formulated detergent composition. The sample should be obtained using a Pascall sampler in a dust cabinet. Add the 10g sample to a plastic beaker and add 200 ml of carbon dioxide-free de-ionised water. Agitate using a magnetic stirrer on a stirring plate at 150 rpm until fully dissolved and for at least 15 minutes. Transfer the contents of the beaker to a 1 litre volumetric flask and make up to 1 litre with deionised water. Mix well and take a 100 mls ± 1 ml aliquot using a 100 mls pipette immediately. Measure and record the pH and temperature of the sample using a pH meter capable of reading to ±0.01pH units, with stirring, ensuring temperature is 21°C +/- 2°C. Titrate whilst stirring with 0.2M hydrochloric acid until pH measures exactly 7.0. Note the millilitres of hydrochloric acid used. Take the average titre of three identical repeats. Carry out the calculation described above to calculate the reserve alkalinity to pH 7.0.
- Typically, the composition comprises from 30wt% to 90wt% base detergent particle, wherein the base detergent particle comprising (by weight of the base detergent particle): (a) from 4wt% to 35wt% anionic detersive surfactant; (b) optionally, from 1wt% to 8wt% zeolite builder; (c) from 0wt% to 4wt% phosphate builder; (d) from 0wt% to 8wt%, preferably from 0wt% to 4wt%, sodium carbonate; (e) from 0wt% to 8wt%, preferably from 0wt% to 4wt%, sodium silicate; (f) from 1wt% to 10wt% organic acid; and (g) optionally, from 1wt% to 10wt% magnesium sulphate. Typically, the base detergent particle is in the form of a spray-dried particle.
- Typically, the organic acid comprises citric acid and the base detergent particle comprises from 1wt% to 10wt% citric acid.
- The organic acid may be at least partially coated, or even completely coated, by a water-dispersible material. Water-dispersible material also typically includes water-soluble material. A suitable water-dispersible material is wax. A suitable water-soluble material is citrate.
- Typically, the anionic detersive surfactant comprises alkyl benzene sulphonate and wherein the base detergent particle comprises from 4wt% to 35wt% alkyl benzene sulphonate.
- Typically, the base detergent particle comprises from 0.5wt% to 5wt% carboxylate co-polymer, wherein the carboxylate co-polymer comprises: (i) from 50 to less than 98 wt% structural units derived from one or more monomers comprising carboxyl groups; (ii) from 1 to less than 49 wt% structural units derived from one or more monomers comprising sulfonate moieties; and (iii) from 1 to 49 wt% structural units derived from one or more types of monomers selected from ether bond-containing monomers represented by formulas (I) and (II):
wherein in formula (I), R0 represents a hydrogen atom or CH3 group, R represents a CH2 group, CH2CH2 group or single bond, X represents a number 0-5 provided X represents a number 1-5 when R is a single bond, and R1 is a hydrogen atom or C1 to C20 organic group; wherein in formula (II), R0 represents a hydrogen atom or CH3 group, R represents a CH2 group, CH2CH2 group or single bond, X represents a number 0-5, and R1 is a hydrogen atom or C1 to C20 organic group. - Typically, the base detergent particle comprises from 30wt% to 70wt% sodium sulphate.
- Typically, the composition comprises from 1wt% to 20wt% co-surfactant particle, wherein the co-surfactant particle comprises: (a) from 25wt% to 60wt% co-surfactant; (b) from 10wt% to 50wt% carbonate salt; and (c) from 1wt% to 30wt% silica. Typically, the co-surfactant particle is in the form of an agglomerate.
- Typically, the co-surfactant comprises alkyl ethoxylated sulphate having an average degree of ethoxylation of from 0.5 to 2.5, and wherein the co-surfactant particle comprises from 25wt% to 60wt% alkyl ethoxylated sulphate having an average degree of ethoxylation of from 0.5 to 2.5.
- The co-surfactant particle may comprise linear alkyl benzene sulphonate and alkyl ethoxylated sulphate having an average degree of ethoxylation of from 0.5 to 2.5.
- The composition at 1wt% dilution in deionized water at 20°C, may have an equilibrium pH in the range of from 6.5 to 8.5.
- The composition may have a reserve alkalinity to pH 7.5 of less than 3.0gNaOH/100g.
- The composition may comprise from 0wt% to 6wt%, preferably from 0wt% to 4wt%, sodium bicarbonate.
- The composition may comprise from 0wt% to 4wt% sodium carbonate.
- The composition may comprise from 0wt% to 4wt% sodium silicate.
- The composition may comprise from 0wt% to 4wt% phosphate builder.
- The composition is preferably substantially free of phosphate builder.
- The composition may be substantially free of sodium carbonate.
- The composition may be substantially free of sodium bicarbonate.
- The composition may be substantially free of sodium silicate.
- By "substantially free" it is typically meant herein to mean: "comprises no deliberately added".
- The composition may comprise the combination of lipase enzyme and soil release polymer.
- Preferably, the composition comprises alkyl benzene sulphonate, wherein the alkyl benzene sulphonate comprises at least 25wt% of the 2-phenyl isomer. A suitable alkyl benzene sulphonate having this feature is obtained by DETAL synthesis.
- The composition may comprises alkyl amine oxide.
- The composition may comprises from 0.5wt% to 8wt% carboxylate co-polymer, wherein the carboxylate co-polymer comprises: (i) from 50 to less than 98 wt% structural units derived from one or more monomers comprising carboxyl groups;
(ii) from 1 to less than 49 wt% structural units derived from one or more monomers comprising sulfonate moieties; and (iii) from 1 to 49 wt% structural units derived from one or more types of monomers selected from ether bond-containing monomers represented by formulas (I) and (II): wherein in formula (I), R0 represents a hydrogen atom or CH3 group, R represents a CH2 group, CH2CH2 group or single bond, X represents a number 0-5 provided X represents a number 1-5 when R is a single bond, and R1 is a hydrogen atom or C1 to C20 organic group; wherein in formula (II), R0 represents a hydrogen atom or CH3 group, R represents a CH2 group, CH2CH2 group or single bond, X represents a number 0-5, and R1 is a hydrogen atom or C1 to C20 organic group.
The composition may comprise polyethylene glycol polymer, wherein the polyethylene glycol polymer comprises a polyethylene glycol backbone with grafted polyvinyl acetate side chains. -
- wherein n is from 1 to 10; m is from 1 to 15 ;
- X is H or SO3Me;
- wherein Me is H, Na+, Li+, K+, Mg2+, Ca2+, Al3+, ammonium, mono-, di-, tri-, or tetraalkylammonium; wherein the alkyl groups are C1-C18 alkyl or C2-C10 hydroxyalkyl, or any mixture thereof;
- R1 are independently selected from H or C1-C18 n- or iso-alkyl.
-
- a, b and c are from 1 to 10;
- x, y is from 1 to 10;
- z is from 0.1 to 10;
- Me is H, Na+, Li+, K+, Mg2+, Ca2+, Al3+, ammonium, mono-, di-, tri-, or tetraalkylammonium wherein the alkyl groups are C1-C18 alkyl or C2-C10 hydroxyalkyl, or any mixture thereof;
- R1, are independently selected from H or C1-C18 n- or iso-alkyl;
- R2 is a linear or branched C1-C18 alkyl, or a linear or branched C2-C30 alkenyl, or a cycloalkyl group with 5 to 9 carbon atoms, or a C6-C30 aryl group, or a C6-C30 arylalkyl group.
- The composition may comprise carboxymethyl cellulose having a degree of substitution greater than 0.65 and a degree of blockiness greater than 0.45.
- The composition may comprise an alkoxylated polyalkyleneimine, wherein said alkoxylated polyalkyleneimine has a polyalkyleneimine core with one or more side chains bonded to at least one nitrogen atom in the polyalkyleneimine core, wherein said alkoxylated polyalkyleneimine has an empirical formula (I) of (PEI)a-(EO)b-R1, wherein a is the average number-average molecular weight (MWPEI) of the polyalkyleneimine core of the alkoxylated polyalkyleneimine and is in the range of from 100 to 100,000 Daltons, wherein b is the average degree of ethoxylation in said one or more side chains of the alkoxylated polyalkyleneimine and is in the range of from 5 to 40, and wherein R1 is independently selected from the group consisting of hydrogen, C1-C4 alkyls, and combinations thereof.
- The composition may comprise an alkoxylated polyalkyleneimine, wherein said alkoxylated polyalkyleneimine has a polyalkyleneimine core with one or more side chains bonded to at least one nitrogen atom in the polyalkyleneimine core, wherein the alkoxylated polyalkyleneimine has an empirical formula (II) of (PEI)o-(EO)m(PO)n-R2 or (PEI)o-(PO)n(EO)m-R2, wherein o is the average number-average molecular weight (MWPEI) of the polyalkyleneimine core of the alkoxylated polyalkyleneimine and is in the range of from 100 to 100,000 Daltons, wherein m is the average degree of ethoxylation in said one or more side chains of the alkoxylated polyalkyleneimine which ranges from 10 to 50, wherein n is the average degree of propoxylation in said one or more side chains of the alkoxylated polyalkyleneimine which ranges from 1 to 50, and wherein R2 is independently selected from the group consisting of hydrogen, C1-C4 alkyls, and combinations thereof.
- The composition may comprise the combination of a non-ionic soil release polymer and an anionic soil release polymer.
- Highly preferably, the composition is substantially free of pre-formed peracid.
- The composition may comprise:
- (a) from 1wt% to 20wt% sodium percarbonate;
- (b) from 0.5wt% to 5wt% bleach activator; and
- (c) from 0.5wt% to 5wt% chelant.
- The bleach activator may comprise sodium tetraacetylethylenediamine, and wherein the composition may comprise from 0.5wt% to 5wt% sodium tetraacetylethylenediamine.
- The chelant may comprise sodium salt of methylglycine diacetic acid (MGDA), and wherein the composition may comprise from 0.5wt% to 5wt% sodium salt of methylglycine diacetic acid (MGDA).
- The chelant may comprise ethylenediamine disuccinic acid (EDDS), and wherein the composition may comprise from 0.5wt% to 5wt% ethylenediamine disuccinic acid (EDDS).
- The chelant may comprise disodium 4,5-dihydroxy-1,3-benzenedisulfonate, and wherein the composition may comprise from 0.5wt% to 5wt% disodium 4,5-dihydroxy-1,3-benzenedisulfonate.
- The composition may comprises 4,4'-bis-(triazinylamino)-stilbene-2,2'-disulfonic acid brightener and/or 4,4'-distyryl biphenyl brightener.
-
- wherein, R1 is selected from the groups comprising CF3, C1-28 alkyl, C2-28 alkenyl, C2-22 alkynyl, C3-12 cycloalkyl, C3-12 cycloalkenyl, phenyl, naphthyl, C7-9 aralkyl, C3-20 heteroalkyl, C3-12 cycloheteroalkyl or a mixture thereof;
- R2 and R3 are independently selected from the group comprising hydrogen, substituted C1-28 alkyl, C2-28 alkenyl, C2-22 alkynyl, C3-12 cycloalkyl, C3-12 cycloalkenyl, C7-9 aralkyl, C3-28 heteroalkyl, C3-12 cycloheteroalkyl, C5-16 heteroaralkyl, phenyl, naphthyl, heteroaryl or a mixture thereof;
- or R2 and R3 are linked to form a substituted 5-, 6-, 7-, 8- or 9-membered ring that optionally comprises heteroatoms;
- and R4 is selected from the groups comprising hydrogen, C1-28 alkyl, C2-28 alkenyl, C2-22 alkynyl, C3-12 cycloalkyl, C3-12 cycloalkenyl, C7-9 aralkyl, C3-20 heteroalkyl, C3-12 cycloheteroalkyl, C5-16 heteroaralkyl, substituted phenyl, naphthyl, heteroaryl or a mixture thereof.
-
- R1 and R2 are independently selected from the group consisting of: H; alkyl; alkoxy; alkyleneoxy; alkyl capped alkyleneoxy; urea; and amido;
- R3 is a substituted aryl group;
- X is a substituted group comprising sulfonamide moiety and optionally an alkyl and/or aryl moiety, and wherein the substituent group comprises at least one alkyleneoxy chain that comprises an average molar distribution of at least four alkyleneoxy moieties.
-
- The composition may comprise a hueing agent selected from Acid Violet 50, Direct Violet 9, 66 and 99, Solvent Violet 13 and any combination thereof.
- The composition may comprise a protease having at least 90% identity to the amino acid sequence of Bacillus amyloliquefaciens as shown in SEQ ID NO:9
- The composition may comprise a protease having at least 90% identity to the amino acid sequence of Bacillus amyloliquefaciens BPN' as shown in SEQ ID NO:10, and which comprises one or more mutations selected from group consisting of V4I, S9R, A15T, S24G, S33T, S53G, V68A, N76D, S78N, S101M/N, Y167F, and Y217Q.
- The composition may comprise a protease having at least 90% identity to the amino acid sequence of Bacillus thermoproteolyticus as shown in SEQ ID NO:11.
- The composition may comprise a protease having at least 90% identity to the amino acid sequence of Bacillus lentus as shown in SEQ IS NO:12, and which comprises one or mutations selected from the group consisting of S3T, V4I, A194P, V199M, V205I, and L217D.
- The composition may comprise a protease having at least 90% identity to the amino acid sequence of Bacillus sp. TY145 as shown in SEQ ID NO:13.
- The composition may comprises a protease having at least 90% identity to the amino acid sequence of Bacillus sp. KSM-KP43 as shown in SEQ ID NO:14.
- The composition may comprise a variant of the wild-type amylase from Bacillus sp. which has at least 90% identity for amino acid sequence SEQ ID NO:5, and which comprises one or more mutations at positions N195, G477, G304, W140, W189, D134, V206, Y243, E260, F262, W284, W347, W439, W469 and/or G476, and optionally which comprises the deletions of D183* and/or G184*.
- The composition may comprise a variant of the wild-type amylase from Bacillus sp. which has at least 90% identity for amino acid sequence SEQ ID NO:6, and which comprises one or more mutations at positions 9, 26, 30, 33, 82, 37, 106, 118, 128, 133, 149, 150, 160, 178, 182, 186, 193, 195, 202, 214, 231, 256, 257, 258, 269, 270, 272, 283, 295, 296, 298, 299, 303, 304, 305, 311, 314, 315, 318, 319, 320, 323, 339, 345, 361, 378, 383, 419, 421, 437, 441, 444, 445, 446, 447, 450, 458, 461, 471, 482 and/or 484, preferably that also contain the deletions of D183* and G184*.
- The composition may comprise a variant of the wild-type amylase from Bacillus sp. KSM-K38 which has at least 90% identity for amino acid sequence SEQ ID NO:7.
- The composition may comprise a variant of the wild-type amylase from Cytophaga sp. which has at least 60% identity for amino acid sequence SEQ ID NO:8.
- The composition may comprise a variant of the wild-type lipase from Thermomyces lanuginosus which has at least 90% identity for amino acid sequence SEQ ID NO:1.
- The composition may comprise a variant of the wild-type lipase from Thermomyces lanuginosus which has at least 90% identity for amino acid sequence SEQ ID NO:1, and which comprises T231R and/or N233R mutations.
- The composition may comprise a variant of the wild-type lipase from Thermomyces lanuginosus which has at least 90% identity for amino acid sequence SEQ ID NO:1, and which comprises G91A, D96G, G225R, T231R and/or N233R mutations.
- The composition may comprise a cellulase that is a wild-type or variant of a microbially-derived endoglucanase endogenous to Bacillus sp. exhibiting endo-beta-1,4-glucanase activity (E.C. 3.2.1.4) which has at least 90% identity to the amino acid sequence SEQ ID NO:2.
- The composition may comprise cellulase that is a wild-type or variant of a microbially-derived endoglucanase endogenous to Paenibacillus polymyxa exhibiting endo-beta-1,4-glucanase activity (E.C. 3.2.1.4) which has at least 90% identity to amino acid sequence SEQ ID NO:3.
- The composition may comprise a cellulase that is a hybrid fusion endoglucanase comprising a Glycosyl Hydrolase Family 45 catalytic domain that is a wild-type or variant of a microbially-derived endoglucanase endogenous to Melanocarpus albomyces, and a carbohydrate binding module that is a wild-type or variant of a carbohydrate binding module endogenous to Trichoderma reesei, and which has at least 90% identity to amino acid sequence SEQ ID NO:4.
- The composition may comprise an enzyme selected from mannanase, pectate lyase, laccase, polyesterase, galactanase, acyltransferase, and any combination thereof.
- The composition may comprise a perfume, wherein the perfume comprises from 60wt% to 85wt% ester perfume raw materials having the structure:
wherein R1 and R2 are independently selected from C1 to C30 linear or branched, cyclic or non-cyclic, aromatic or non-aromatic, saturated or un-saturated, substituted or unsubstituted alkyl. - The composition may comprise: (a) alkyl ethoxylated sulphate having an average degree of ethoxylation of from 0.5 to 2.0; (b) perfume, wherein the perfume comprises from 60wt% to 85wt% ester perfume raw materials having the structure:
wherein R1 and R2 are independently selected from C1 to C30 linear or branched, cyclic or non-cyclic, aromatic or non-aromatic, saturated or un-saturated, substituted or unsubstituted alkyl. - The composition may comprise polyvinyl N oxide polymer.
- The composition may comprise: silicate salt particles, especially sodium silicate particles; and/or carbonate salt particles, especially sodium bicarbonate particles. However it may be preferred for the composition to be free of silicate salt particles, especially free of sodium silicate particles. It may also be preferred for the composition to be free of carbonate salt particles, especially free of sodium carbonate particles.
- Preferably, the composition comprises from 1wt% to 10wt% dry-added acid particles, preferably from 2wt% to 8wt% dry-added acid particles. A suitable dry-added acid is an organic acid, preferably a carboxylic acid, preferably cirtric acid.
- Base detergent particle: The solid free-flowing particulate laundry detergent composition typically comprises a base detergent particle. The base detergent particle may be in the form of spray-dried particle, or an agglomerate, preferably the base particle is in the form of a spray-dried particle. Typically, the composition comprises from 30wt% to 90wt% base detergent particle, preferably from 40wt% to 80wt%, more preferably from 50wt% to 70wt% base detergent particle.
- The base detergent particle typically comprises from 1wt% to 10wt% organic acid, preferably from 2wt% to 8wt%, or from 3wt% to 7wt% organic acid. A preferred organic acid is a carboxylic acid, preferably citric acid.
- The base detergent particle typically comprises from 1wt% to 10wt% magnesium sulphate, preferably from 2wt% to 8wt%, or from 3wt% to 6wt% magnesium sulphate.
- The base detergent particle typically comprises from 1wt% to 8wt%, preferably from 2wt% to 6wt% or from 2wt% to 4wt% zeolite. A preferred zeolite is zeolite A, especially zeolite 4A.
- The base detergent particle typically comprises from 5wt% to 40wt%, preferably from 10wt% to 30wt% anionic detersive surfactant. A preferred anionic detersive surfactant is alkyl benzene sulphonate.
- The base detergent particle typically comprises from 0.5wt% to 5wt% polymer, preferably from 1wt% to 3wt% polymer. A preferred polymer is a carboxylate polymer, more preferably a co-polymer that comprises: (i) from 50 to less than 98 wt% structural units derived from one or more monomers comprising carboxyl groups; (ii) from 1 to less than 49 wt% structural units derived from one or more monomers comprising sulfonate moieties; and (iii) from 1 to 49 wt% structural units derived from one or more types of monomers selected from ether bond-containing monomers represented by formulas (I) and (II):
wherein in formula (I), R0 represents a hydrogen atom or CH3 group, R represents a CH2 group, CH2CH2 group or single bond, X represents a number 0-5 provided X represents a number 1-5 when R is a single bond, and R1 is a hydrogen atom or C1 to C20 organic group; wherein in formula (II), R0 represents a hydrogen atom or CH3 group, R represents a CH2 group, CH2CH2 group or single bond, X represents a number 0-5, and R1 is a hydrogen atom or C1 to C20 organic group.
It may be preferred that the polymer has a weight average molecular weight of at least 50kDa, or even at least 70kDa. - Typically, the base detergent particle comprises from 30wt% to 70wt%, or from 40wt% to 70wt% sodium sulphate.
- Co-surfactant particle: Typically, the detergent composition comprises a co-surfactant particle. Typically, the composition comprises from 1wt% to 20wt%, or from 2wt% to 15wt%, or from 3wt% to 10wt% co-surfactant particle. Typically, the co-surfactant particle is in the form of an agglomerate, extrudate, needle, noodle, flake or any combination thereof. Preferably, the co-surfactant particle is in the form of an agglomerate.
- The co-surfactant particle typically comprises from 25wt% to 60wt% co-surfactant, preferably from 30wt% to 50wt% co-surfactant. A preferred co-surfactant is alkyl alkoxy sulphate, preferably a C10-C20 alkyl ethoxylated sulphate having an average degree of ethoxylation of from 0.5 to 2.0.
- Typically, the co-surfactant particle comprises from 10wt% to 50wt% carbonate salt. A preferred carbonate salt is sodium carbonate and/or sodium bicarbonate. However, it may be preferred for the co-surfactant particle to be free of carbonate salt, especially free of sodium carbonate.
- Typically, the co-surfactant particle comprises from 1wt% to 30wt% silica, preferably from 5wt% to 20wt% silica.
- Detergent Ingredients: Suitable laundry detergent compositions comprise a detergent ingredient selected from: detersive surfactant, such as anionic detersive surfactants, non-ionic detersive surfactants, cationic detersive surfactants, zwitterionic detersive surfactants and amphoteric detersive surfactants; polymers, such as carboxylate polymers, soil release polymer, anti-redeposition polymers, cellulosic polymers and care polymers; bleach, such as sources of hydrogen peroxide, bleach activators, bleach catalysts and pre-formed peracids; photobleach, such as such as zinc and/or aluminium sulphonated phthalocyanine; enzymes, such as proteases, amylases, cellulases, lipases; zeolite builder; phosphate builder; co-builders, such as citric acid and citrate; sulphate salt, such as sodium sulphate; chloride salt, such as sodium chloride; brighteners; chelants; hueing agents; dye transfer inhibitors; dye fixative agents; perfume; silicone; fabric softening agents, such as clay; flocculants, such as polyethyleneoxide; suds supressors; and any combination thereof.
- The composition may comprise: silicate salt, especially sodium silicate; and/or carbonate salt, especially sodium bicarbonate and/or sodium carbonate. However it may be preferred for the composition to be free of silicate salt, especially free of sodium silicate. It may also be preferred for the composition to be free of carbonate salt, especially free of sodium carbonate and/or sodium bicarbonate.
- The composition may have a pH profile such that upon dilution in de-ionized water at a concentration of 1g/L at a temperature of 20oC, the composition has a pH in the range of from 6.5 to 8.5, preferably from 7.0 to 8.0.
- Suitable laundry detergent compositions may have a low buffering capacity. Such laundry detergent compositions typically have a reserve alkalinity to pH 7.5 of less than 5.0gNaOH/100g, preferably less than 3.0gNaOH/100g.
- The composition is preferably substantially free of pre-formed peracid. The composition is prerferably substantially free of phthalimido-peroxycaproic acid. Substantially free means no deliberately added.
- Detersive Surfactant: Suitable detersive surfactants include anionic detersive surfactants, non-ionic detersive surfactant, cationic detersive surfactants, zwitterionic detersive surfactants and amphoteric detersive surfactants. Suitable detersive surfactants may be linear or branched, substituted or un-substituted, and may be derived from petrochemical material or biomaterial.
- Anionic detersive surfactant: Suitable anionic detersive surfactants include sulphonate and sulphate detersive surfactants.
- Suitable sulphonate detersive surfactants include methyl ester sulphonates, alpha olefin sulphonates, alkyl benzene sulphonates, especially alkyl benzene sulphonates, preferably C10-13 alkyl benzene sulphonate. Suitable alkyl benzene sulphonate (LAS) is obtainable, preferably obtained, by sulphonating commercially available linear alkyl benzene (LAB); suitable LAB includes low 2-phenyl LAB, other suitable LAB include high 2-phenyl LAB, such as those supplied by Sasol under the tradename Hyblene®.
- Suitable sulphate detersive surfactants include alkyl sulphate, preferably C8-18 alkyl sulphate, or predominantly C12 alkyl sulphate.
- A preferred sulphate detersive surfactant is alkyl alkoxylated sulphate, preferably alkyl ethoxylated sulphate, preferably a C8-18 alkyl alkoxylated sulphate, preferably a C8-18 alkyl ethoxylated sulphate, preferably the alkyl alkoxylated sulphate has an average degree of alkoxylation of from 0.5 to 20, preferably from 0.5 to 10, preferably the alkyl alkoxylated sulphate is a C8-18 alkyl ethoxylated sulphate having an average degree of ethoxylation of from 0.5 to 10, preferably from 0.5 to 5, more preferably from 0.5 to 3 and most preferably from 0.5 to 1.5.
- The alkyl sulphate, alkyl alkoxylated sulphate and alkyl benzene sulphonates may be linear or branched, substituted or un-substituted, and may be derived from petrochemical material or biomaterial.
- Other suitable anionic detersive surfactants include alkyl ether carboxylates.
- Suitable anionic detersive surfactants may be in salt form, suitable counter-ions include sodium, calcium, magnesium, amino alcohols, and any combination thereof. A preferred counter-ion is sodium.
- Non-ionic detersive surfactant: Suitable non-ionic detersive surfactants are selected from the group consisting of: C8-C18 alkyl ethoxylates, such as, NEODOL® non-ionic surfactants from Shell; C6-C12 alkyl phenol alkoxylates wherein preferably the alkoxylate units are ethyleneoxy units, propyleneoxy units or a mixture thereof; C12-C18 alcohol and C6-C12 alkyl phenol condensates with ethylene oxide/propylene oxide block polymers such as Pluronic® from BASF; alkylpolysaccharides, preferably alkylpolyglycosides; methyl ester ethoxylates; polyhydroxy fatty acid amides; ether capped poly(oxyalkylated) alcohol surfactants; and mixtures thereof.
- Suitable non-ionic detersive surfactants are alkylpolyglucoside and/or an alkyl alkoxylated alcohol.
- Suitable non-ionic detersive surfactants include alkyl alkoxylated alcohols, preferably C8-18 alkyl alkoxylated alcohol, preferably a C8-18 alkyl ethoxylated alcohol, preferably the alkyl alkoxylated alcohol has an average degree of alkoxylation of from 1 to 50, preferably from 1 to 30, or from 1 to 20, or from 1 to 10, preferably the alkyl alkoxylated alcohol is a C8-18 alkyl ethoxylated alcohol having an average degree of ethoxylation of from 1 to 10, preferably from 1 to 7, more preferably from 1 to 5 and most preferably from 3 to 7. The alkyl alkoxylated alcohol can be linear or branched, and substituted or un-substituted.
- Suitable nonionic detersive surfactants include secondary alcohol-based detersive surfactants.
- Cationic detersive surfactant: Suitable cationic detersive surfactants include alkyl pyridinium compounds, alkyl quaternary ammonium compounds, alkyl quaternary phosphonium compounds, alkyl ternary sulphonium compounds, and mixtures thereof.
- Preferred cationic detersive surfactants are quaternary ammonium compounds having the general formula:
(R)(R1)(R2)(R3)N+ X-
wherein, R is a linear or branched, substituted or unsubstituted C6-18 alkyl or alkenyl moiety, R1 and R2 are independently selected from methyl or ethyl moieties, R3 is a hydroxyl, hydroxymethyl or a hydroxyethyl moiety, X is an anion which provides charge neutrality, preferred anions include: halides, preferably chloride; sulphate; and sulphonate. - Zwitterionic detersive surfactant: Suitable zwitterionic detersive surfactants include amine oxides and/or betaines.
- Polymer: Suitable polymers include carboxylate polymers, soil release polymers, anti-redeposition polymers, cellulosic polymers, care polymers and any combination thereof.
- Carboxylate polymer: The composition may comprise a carboxylate polymer, such as a maleate/acrylate random copolymer or polyacrylate homopolymer. Suitable carboxylate polymers include: polyacrylate homopolymers having a molecular weight of from 4,000 Da to 9,000 Da; maleate/acrylate random copolymers having a molecular weight of from 50,000 Da to 100,000 Da, or from 60,000 Da to 80,000 Da.
- Another suitable carboxylate polymer is a co-polymer that comprises: (i) from 50 to less than 98 wt% structural units derived from one or more monomers comprising carboxyl groups; (ii) from 1 to less than 49 wt% structural units derived from one or more monomers comprising sulfonate moieties; and (iii) from 1 to 49 wt% structural units derived from one or more types of monomers selected from ether bond-containing monomers represented by formulas (I) and (II):
wherein in formula (I), R0 represents a hydrogen atom or CH3 group, R represents a CH2 group, CH2CH2 group or single bond, X represents a number 0-5 provided X represents a number 1-5 when R is a single bond, and R1 is a hydrogen atom or C1 to C20 organic group; wherein in formula (II), R0 represents a hydrogen atom or CH3 group, R represents a CH2 group, CH2CH2 group or single bond, X represents a number 0-5, and R1 is a hydrogen atom or C1 to C20 organic group.
It may be preferred that the polymer has a weight average molecular weight in the range of from 20kDa to 70kDa. - Soil release polymer: The composition may comprise a soil release polymer. A suitable soil release polymer has a structure as defined by one of the following structures (I), (II) or (III):
(I) -[(OCHR1-CHR2)a-O-OC-Ar-CO-]d
(II) -[(OCHR3-CHR4)b-O-OC-sAr-CO-]e
(III) -[(OCHR5-CHR6)c-OR7]f
wherein: - a, b and c are from 1 to 200;
- d, e and f are from 1 to 50;
- Ar is a 1,4-substituted phenylene;
- sAr is 1,3-substituted phenylene substituted in position 5 with SO3Me;
- Me is Li, K, Mg/2, Ca/2, Al/3, ammonium, mono-, di-, tri-, or tetraalkylammonium wherein the alkyl groups are C1-C18 alkyl or C2-C10 hydroxyalkyl, or mixtures thereof;
- R1, R2, R3, R4, R5 and R6 are independently selected from H or C1-C18 n- or iso-alkyl; and
- R7 is a linear or branched C1-C18 alkyl, or a linear or branched C2-C30 alkenyl, or a cycloalkyl group with 5 to 9 carbon atoms, or a C8-C30 aryl group, or a C6-C30 arylalkyl group.
- Suitable soil release polymers are sold by Clariant under the TexCare® series of polymers, e.g. TexCare® SRN240 and TexCare® SRA300. Other suitable soil release polymers are sold by Solvay under the Repel-o-Tex® series of polymers, e.g. Repel-o-Tex® SF2 and Repel-o-Tex® Crystal.
- Anti-redeposition polymer: Suitable anti-redeposition polymers include polyethylene glycol polymers and/or polyethyleneimine polymers.
- Suitable polyethylene glycol polymers include random graft co-polymers comprising: (i) hydrophilic backbone comprising polyethylene glycol; and (ii) hydrophobic side chain(s) selected from the group consisting of: C4-C25 alkyl group, polypropylene, polybutylene, vinyl ester of a saturated C1-C6 mono-carboxylic acid, C1-C6 alkyl ester of acrylic or methacrylic acid, and mixtures thereof. Suitable polyethylene glycol polymers have a polyethylene glycol backbone with random grafted polyvinyl acetate side chains. The average molecular weight of the polyethylene glycol backbone can be in the range of from 2,000 Da to 20,000 Da, or from 4,000 Da to 8,000 Da. The molecular weight ratio of the polyethylene glycol backbone to the polyvinyl acetate side chains can be in the range of from 1:1 to 1:5, or from 1:1.2 to 1:2. The average number of graft sites per ethylene oxide units can be less than 1, or less than 0.8, the average number of graft sites per ethylene oxide units can be in the range of from 0.5 to 0.9, or the average number of graft sites per ethylene oxide units can be in the range of from 0.1 to 0.5, or from 0.2 to 0.4. A suitable polyethylene glycol polymer is Sokalan HP22. Suitable polyethylene glycol polymers are described in
.WO08/007320 - Cellulosic polymer: Suitable cellulosic polymers are selected from alkyl cellulose, alkyl alkoxyalkyl cellulose, carboxyalkyl cellulose, alkyl carboxyalkyl cellulose, sulphoalkyl cellulose, more preferably selected from carboxymethyl cellulose, methyl cellulose, methyl hydroxyethyl cellulose, methyl carboxymethyl cellulose, and mixures thereof.
- Suitable carboxymethyl celluloses have a degree of carboxymethyl substitution from 0.5 to 0.9 and a molecular weight from 100,000 Da to 300,000 Da.
Suitable carboxymethyl celluloses have a degree of substitution greater than 0.65 and a degree of blockiness greater than 0.45, e.g. as described in .WO09/154933 - Care polymers: Suitable care polymers include cellulosic polymers that are cationically modified or hydrophobically modified. Such modified cellulosic polymers can provide anti-abrasion benefits and dye lock benefits to fabric during the laundering cycle. Suitable cellulosic polymers include cationically modified hydroxyethyl cellulose.
- Other suitable care polymers include dye lock polymers, for example the condensation oligomer produced by the condensation of imidazole and epichlorhydrin, preferably in ratio of 1:4:1. A suitable commercially available dye lock polymer is Polyquart® FDI (Cognis).
- Other suitable care polymers include amino-silicone, which can provide fabric feel benefits and fabric shape retention benefits.
- Bleach: Suitable bleach includes sources of hydrogen peroxide, bleach activators, bleach catalysts, pre-formed peracids and any combination thereof. A particularly suitable bleach includes a combination of a source of hydrogen peroxide with a bleach activator and/or a bleach catalyst.
- Source of hydrogen peroxide: Suitable sources of hydrogen peroxide include sodium perborate and/or sodium percarbonate.
- Bleach activator: Suitable bleach activators include tetra acetyl ethylene diamine and/or alkyl oxybenzene sulphonate.
- Bleach catalyst: The composition may comprise a bleach catalyst. Suitable bleach catalysts include oxaziridinium bleach catalysts, transistion metal bleach catalysts, especially manganese and iron bleach catalysts. A suitable bleach catalyst has a structure corresponding to general formula below:
wherein R13 is selected from the group consisting of 2-ethylhexyl, 2-propylheptyl, 2-butyloctyl, 2-pentylnonyl, 2-hexyldecyl, n-dodecyl, n-tetradecyl, n-hexadecyl, n-octadecyl, iso-nonyl, isodecyl, iso-tridecyl and iso-pentadecyl. - Pre-formed peracid: Suitable pre-form peracids include phthalimido-peroxycaproic acid. However, it is preferred that the composition is substantially free of pre-formed peracid. By: "substantially free" it is meant: "no deliberately added".
- Enzymes: Suitable enzymes include lipases, proteases, cellulases, amylases and any combination thereof.
- Protease: Suitable proteases include metalloproteases and/or serine proteases. Examples of suitable neutral or alkaline proteases include: subtilisins (EC 3.4.21.62); trypsin-type or chymotrypsin-type proteases; and metalloproteases. The suitable proteases include chemically or genetically modified mutants of the aforementioned suitable proteases.
- Suitable commercially available protease enzymes include those sold under the trade names Alcalase®, Savinase®, Primase®, Durazym®, Polarzyme®, Kannase®, Liquanase®, Liquanase Ultra®, Savinase Ultra®, Ovozyme®, Neutrase®, Everlase® and Esperase® by Novozymes A/S (Denmark), those sold under the tradename Maxatase®, Maxacal®, Maxapem®, Preferenz P® series of proteases including Preferenz® P280, Preferenz® P281, Preferenz® P2018-C, Preferenz® P2081-WE, Preferenz® P2082-EE and Preferenz® P2083-A/J, Properase®, Purafect®, Purafect Prime®, Purafect Ox®, FN3® , FN4®, Excellase® and Purafect OXP® by DuPont, those sold under the tradename Opticlean® and Optimase® by Solvay Enzymes, those available from Henkel/ Kemira, namely BLAP (sequence shown in Figure 29 of
US 5,352,604 with the folowing mutations S99D + S101 R + S103A + V104I + G159S, hereinafter referred to as BLAP), BLAP R (BLAP with S3T + V4I + V199M + V205I + L217D), BLAP X (BLAP with S3T + V4I + V205I) and BLAP F49 (BLAP with S3T + V4I + A194P + V199M + V205I + L217D) - all from Henkel/Kemira; and KAP (Bacillus alkalophilus subtilisin with mutations A230V + S256G + S259N) from Kao. - A suitable protease is described in
andWO11/140316 .WO11/072117 - Amylase: Suitable amylases are derived from AA560 alpha amylase endogenous to Bacillus sp. DSM 12649, preferably having the following mutations: R118K, D183*, G184*, N195F, R320K, and/or R458K. Suitable commercially available amylases include Stainzyme®, Stainzyme® Plus, Natalase, Termamyl®, Termamyl® Ultra, Liquezyme® SZ, Duramyl®, Everest® (all Novozymes) and Spezyme® AA, Preferenz S® series of amylases, Purastar® and Purastar® Ox Am, Optisize® HT Plus (all Du Pont).
A suitable amylase is described in .WO06/002643 - Cellulase: Suitable cellulases include those of bacterial or fungal origin. Chemically modified or protein engineered mutants are also suitable. Suitable cellulases include cellulases from the genera Bacillus, Pseudomonas, Humicola, Fusarium, Thielavia, Acremonium, e.g., the fungal cellulases produced from Humicola insolens, Myceliophthora thermophila and Fusarium oxysporum.
- Commercially available cellulases include Celluzyme®, Carezyme®, and Carezyme® Premium, Celluclean® and Whitezyme® (Novozymes A/S), Revitalenz® series of enzymes (Du Pont), and Biotouch® series of enzymes (AB Enzymes). Suitable commercially available cellulases include Carezyme® Premium, Celluclean® Classic. Suitable cellulases are described in
andWO07/144857 .WO10/056652 - Lipase: Suitable lipases include those of bacterial, fungal or synthetic origin, and variants thereof. Chemically modified or protein engineered mutants are also suitable. Examples of suitable lipases include lipases from Humicola (synonym Thermomyces), e.g., from H. lanuginosa (T. lanuginosus).
- The lipase may be a "first cycle lipase", e.g. such as those described in
andWO06/090335 . In one aspect, the lipase is a first-wash lipase, preferably a variant of the wild-type lipase from Thermomyces lanuginosus comprising T231R and/or N233R mutations. Preferred lipases include those sold under the tradenames Lipex®, Lipolex® and Lipoclean® by Novozymes, Bagsvaerd, Denmark.WO13/116261 - Other suitable lipases include: Liprl 139, e.g. as described in
WO2013/171241 ; and TfuLip2, e.g. as described inWO2011/084412 andWO2013/033318 . - Other enzymes: Other suitable enzymes are bleaching enzymes, such as peroxidases/oxidases, which include those of plant, bacterial or fungal origin and variants thereof. Commercially available peroxidases include Guardzyme® (Novozymes A/S). Other suitable enzymes include choline oxidases and perhydrolases such as those used in Gentle Power Bleach™.
- Other suitable enzymes include pectate lyases sold under the tradenames X-Pect®, Pectaway® (from Novozymes A/S, Bagsvaerd, Denmark) and PrimaGreen® (DuPont) and mannanases sold under the tradenames Mannaway® (Novozymes A/S, Bagsvaerd, Denmark), and Mannastar® (Du Pont).
- Identity: When used herein identity or sequence identity refers to the relatedness between two amino acid sequences.
- For purposes of the present invention, the degree of sequence identity between two amino acid sequences is determined using the Needleman-Wunsch algorithm (Needleman and Wunsch, 1970, J. Mol. Biol. 48: 443-453) as implemented in the Needle program of the EMBOSS package (EMBOSS: The European Molecular Biology Open Software Suite, Rice et al., 2000, Trends Genet. 16: 276-277), preferably version 3.0.0 or later. The optional parameters used are gap open penalty of 10, gap extension penalty of 0.5, and the EBLOSUM62 (EMBOSS version of BLOSUM62) substitution matrix. The output of Needle labeled "longest identity" (obtained using the -nobrief option) is used as the percent identity and is calculated as follows:
- Zeolite builder: The composition may comprise zeolite builder. The composition may comprise from 0wt% to 5wt% zeolite builder, or 3wt% zeolite builder. The composition may even be substantially free of zeolite builder; substantially free means "no deliberately added". Typical zeolite builders include zeolite A, zeolite P and zeolite MAP.
- Phosphate builder: The composition may comprise phosphate builder. The composition may comprise from 0wt% to 5wt% phosphate builder, or to 3wt%, phosphate builder. The composition may even be substantially free of phosphate builder; substantially free means "no deliberately added". A typical phosphate builder is sodium tri-polyphosphate.
- Carbonate salt: The composition may comprise carbonate salt. The composition may comprise from 0wt% to 5wt% carbonate salt. The composition may even be substantially free of carbonate salt; substantially free means "no deliberately added". Suitable carbonate salts include sodium carbonate and sodium bicarbonate.
- Silicate salt: The composition may comprise silicate salt. The composition may comprise from 0wt% to 5wt% silicate salt. The composition may even be substantially free of silicate salt; substantially free means "no deliberately added". A preferred silicate salt is sodium silicate, especially preferred are sodium silicates having a Na2O:SiO2 ratio of from 1.0 to 2.8, preferably from 1.6 to 2.0.
- Sulphate salt: A suitable sulphate salt is sodium sulphate.
- Brightener: Suitable fluorescent brighteners include: di-styryl biphenyl compounds, e.g. Tinopal® CBS-X, di-amino stilbene di-sulfonic acid compounds, e.g. Tinopal® DMS pure Xtra and Blankophor® HRH, and Pyrazoline compounds, e.g. Blankophor® SN, and coumarin compounds, e.g. Tinopal® SWN.
Preferred brighteners are: sodium 2 (4-styryl-3-sulfophenyl)-2H-napthol[1,2-d]triazole, disodium 4,4'-bis{[(4-anilino-6-(N methyl-N-2 hydroxyethyl)amino 1 ,3,5- triazin-2-yl)] amino }stilbene-2-2' disulfonate, disodium 4,4'-bis{[(4-anilino-6-morpholino-1,3,5-triazin-2-yl)]amino}stilbene-2-2' disulfonate, and disodium 4,4'- bis(2-sulfostyryl)biphenyl. A suitable fluorescent brightener is C.I. Fluorescent Brightener 260, which may be used in its beta or alpha crystalline forms, or a mixture of these forms. - Chelant: The composition may also comprise a chelant selected from: diethylene triamine pentaacetate, diethylene triamine penta(methyl phosphonic acid), ethylene diamine-N'N'-disuccinic acid, ethylene diamine tetraacetate, ethylene diamine tetra(methylene phosphonic acid) and hydroxyethane di(methylene phosphonic acid). A preferred chelant is ethylene diamine-N'N'-disuccinic acid (EDDS) and/or hydroxyethane diphosphonic acid (HEDP). The composition preferably comprises ethylene diamine-N'N'- disuccinic acid or salt thereof. Preferably the ethylene diamine-N'N'-disuccinic acid is in S,S enantiomeric form. Preferably the composition comprises 4,5-dihydroxy-m-benzenedisulfonic acid disodium salt. Preferred chelants may also function as calcium carbonate crystal growth inhibitors such as: 1-hydroxyethanediphosphonic acid (HEDP) and salt thereof; N,N-dicarboxymethyl-2-aminopentane-1,5-dioic acid and salt thereof; 2-phosphonobutane-1,2,4-tricarboxylic acid and salt thereof; and combination thereof.
- Hueing agent: Suitable hueing agents include small molecule dyes, typically falling into the Colour Index (C.I.) classifications of Acid, Direct, Basic, Reactive (including hydrolysed forms thereof) or Solvent or Disperse dyes, for example classified as Blue, Violet, Red, Green or Black, and provide the desired shade either alone or in combination. Preferred such hueing agents include Acid Violet 50, Direct Violet 9, 66 and 99, Solvent Violet 13 and any combination thereof.
- Many hueing agents are known and described in the art which may be suitable for the present invention, such as hueing agents described in
WO2014/089386 . - Suitable hueing agents include phthalocyanine and azo dye conjugates, such as described in
WO2009/069077 . - Suitable hueing agents may be alkoxylated. Such alkoxylated compounds may be produced by organic synthesis that may produce a mixture of molecules having different degrees of alkoxylation. Such mixtures may be used directly to provide the hueing agent, or may undergo a purification step to increase the proportion of the target molecule. Suitable hueing agents include alkoxylated bis-azo dyes, such as described in
WO2012/054835 , and/or alkoxylated thiophene azo dyes, such as described inWO2008/087497 andWO2012/166768 . - The hueing agent may be incorporated into the detergent composition as part of a reaction mixture which is the result of the organic synthesis for a dye molecule, with optional purification step(s). Such reaction mixtures generally comprise the dye molecule itself and in addition may comprise un-reacted starting materials and/or by-products of the organic synthesis route. Suitable hueing agents can be incorporated into hueing dye particles, such as described in
WO 2009/069077 . - Dye transfer inhibitors: Suitable dye transfer inhibitors include polyamine N-oxide polymers, copolymers of N-vinylpyrrolidone and N-vinylimidazole, polyvinylpyrrolidone, polyvinyloxazolidone, polyvinylimidazole and mixtures thereof. Preferred are poly(vinyl pyrrolidone), poly(vinylpyridine betaine), poly(vinylpyridine N-oxide), poly(vinyl pyrrolidone-vinyl imidazole) and mixtures thereof. Suitable commercially available dye transfer inhibitors include PVP-K15 and K30 (Ashland), Sokalan® HP165, HP50, HP53, HP59, HP56K, HP56, HP66 (BASF), Chromabond® S-400, S403E and S-100 (Ashland).
- Perfume: Suitable perfumes comprise perfume materials selected from the group: (a) perfume materials having a ClogP of less than 3.0 and a boiling point of less than 250°C (quadrant 1 perfume materials); (b) perfume materials having a ClogP of less than 3.0 and a boiling point of 250°C or greater (quadrant 2 perfume materials); (c) perfume materials having a ClogP of 3.0 or greater and a boiling point of less than 250°C (quadrant 3 perfume materials); (d) perfume materials having a ClogP of 3.0 or greater and a boiling point of 250°C or greater (quadrant 4 perfume materials); and (e) mixtures thereof.
- It may be preferred for the perfume to be in the form of a perfume delivery technology. Such delivery technologies further stabilize and enhance the deposition and release of perfume materials from the laundered fabric. Such perfume delivery technologies can also be used to further increase the longevity of perfume release from the laundered fabric. Suitable perfume delivery technologies include: perfume microcapsules, pro-perfumes, polymer assisted deliveries, molecule assisted deliveries, fiber assisted deliveries, amine assisted deliveries, cyclodextrin, starch encapsulated accord, zeolite and other inorganic carriers, and any mixture thereof. A suitable perfume microcapsule is described in
WO2009/101593 . - Silicone: Suitable silicones include polydimethylsiloxane and amino-silicones. Suitable silicones are described in
.WO05075616 - Process for making the solid composition: Typically, the particles of the composition can be prepared by any suitable method. For example: spray-drying, agglomeration, extrusion and any combination thereof.
- Typically, a suitable spray-drying process comprises the step of forming an aqueous slurry mixture, transferring it through at least one pump, preferably two pumps, to a pressure nozzle. Atomizing the aqueous slurry mixture into a spray-drying tower and drying the aqueous slurry mixture to form spray-dried particles. Preferably, the spray-drying tower is a counter-current spray-drying tower, although a co-current spray-drying tower may also be suitable.
- Typically, the spray-dried powder is subjected to cooling, for example an air lift. Typically, the spray-drying powder is subjected to particle size classification, for example a sieve, to obtain the desired particle size distribution. Preferably, the spray-dried powder has a particle size distribution such that weight average particle size is in the range of from 300 micrometers to 500 micrometers, and less than 10wt% of the spray-dried particles have a particle size greater than 2360 micrometers.
- It may be preferred to heat the aqueous slurry mixture to elevated temperatures prior to atomization into the spray-drying tower, such as described in
WO2009/158162 . - It may be preferred for anionic surfactant, such as linear alkyl benzene sulphonate, to be introduced into the spray-drying process after the step of forming the aqueous slurry mixture: for example, introducing an acid precursor to the aqueous slurry mixture after the pump, such as described in
.WO 09/158449 - It may be preferred for a gas, such as air, to be introduced into the spray-drying process after the step of forming the aqueous slurry, such as described in
WO2013/181205 . - It may be preferred for any inorganic ingredients, such as sodium sulphate and sodium carbonate, if present in the aqueous slurry mixture, to be micronized to a small particle size such as described in
WO2012/134969 . - Typically, a suitable agglomeration process comprises the step of contacting a detersive ingredient, such as a detersive surfactant, e.g. linear alkyl benzene sulphonate (LAS) and/or alkyl alkoxylated sulphate, with an inorganic material, such as sodium carbonate and/or silica, in a mixer. The agglomeration process may also be an in-situ neutralization agglomeration process wherein an acid precursor of a detersive surfactant, such as LAS, is contacted with an alkaline material, such as carbonate and/or sodium hydroxide, in a mixer, and wherein the acid precursor of a detersive surfactant is neutralized by the alkaline material to form a detersive surfactant during the agglomeration process.
- Other suitable detergent ingredients that may be agglomerated include polymers, chelants, bleach activators, silicones and any combination thereof.
- The agglomeration process may be a high, medium or low shear agglomeration process, wherein a high shear, medium shear or low shear mixer is used accordingly. The agglomeration process may be a multi-step agglomeration process wherein two or more mixers are used, such as a high shear mixer in combination with a medium or low shear mixer. The agglomeration process can be a continuous process or a batch process.
- It may be preferred for the agglomerates to be subjected to a drying step, for example to a fluid bed drying step. It may also be preferred for the agglomerates to be subjected to a cooling step, for example a fluid bed cooling step.
- Typically, the agglomerates are subjected to particle size classification, for example a fluid bed elutriation and/or a sieve, to obtain the desired particle size distribution. Preferably, the agglomerates have a particle size distribution such that weight average particle size is in the range of from 300 micrometers to 800 micrometers, and less than 10wt% of the agglomerates have a particle size less than 150 micrometers and less than 10wt% of the agglomerates have a particle size greater than 1200 micrometers.
- It may be preferred for fines and over-sized agglomerates to be recycled back into the agglomeration process. Typically, over-sized particles are subjected to a size reduction step, such as grinding, and recycled back into an appropriate place in the agglomeration process, such as the mixer. Typically, fines are recycled back into an appropriate place in the agglomeration process, such as the mixer.
- It may be preferred for ingredients such as polymer and/or non-ionic detersive surfactant and/or perfume to be sprayed onto base detergent particles, such as spray-dried base detergent particles and/or agglomerated base detergent particles. Typically, this spray-on step is carried out in a tumbling drum mixer.
- Method of laundering fabric: The method of laundering fabric comprises the step of contacting the solid composition to water to form a wash liquor, and laundering fabric in said wash liquor. Typically, the wash liquor has a temperature of above 0°C to 90°C, or to 60°C, or to 40°C, or to 30°C, or to 20°C. The fabric may be contacted to the water prior to, or after, or simultaneous with, contacting the solid composition with water. Typically, the wash liquor is formed by contacting the laundry detergent to water in such an amount so that the concentration of laundry detergent composition in the wash liquor is from 0.2g/l to 20g/l, or from 0.5g/l to 10g/l, or to 5.0g/l. The method of laundering fabric can be carried out in a front-loading automatic washing machine, top loading automatic washing machines, including high efficiency automatic washing machines, or suitable hand-wash vessels._Typically, the wash liquor comprises 90 litres or less, or 60 litres or less, or 15 litres or less, or 10 litres or less of water. Typically, 200g or less, or 150g or less, or 100g or less, or 50g or less of laundry detergent composition is contacted to water to form the wash liquor.
-
Ingredient Amount (in wt%) Anionic detersive surfactant (such as alkyl benzene sulphonate, alkyl ethoxylated sulphate and mixtures thereof) from 8wt% to 15wt% Non-ionic detersive surfactant (such as alkyl ethoxylated alcohol) from 0.1wt% to 4wt% Cationic detersive surfactant (such as quaternary ammonium compounds) from 0wt% to 4wt% Other detersive surfactant (such as zwiterionic detersive surfactants, amphoteric surfactants and mixtures thereof) from 0wt% to 4wt% Carboxylate polymer (such as co-polymers of maleic acid and acrylic acid and/or carboxylate polymers comprising ether moieties and sulfonate moieties) from 0.1wt% to 4wt% Polyethylene glycol polymer (such as a polyethylene glycol polymer comprising polyvinyl acetate side chains) from 0wt% to 4wt% Polyester soil release polymer (such as Repel-o-tex and/or Texcare polymers) from 0wt% to 2wt% Cellulosic polymer (such as carboxymethyl cellulose, methyl cellulose and combinations thereof) from 0.5wt% to 2wt% Other polymer (such as care polymers) from 0wt% to 4wt% Zeolite builder and phosphate builder (such as zeolite 4A and/or sodium tripolyphosphate) from 0wt% to 4wt% Other co-builder (such as sodium citrate and/or citric acid) from 0wt% to 3wt% Citric Acid from 4wt% to 16wt% Magnesium Sulphate from 1wt% to 4wt% Carbonate salt (such as sodium carbonate and/or sodium bicarbonate) from 0wt% to 4wt% Silicate salt (such as sodium silicate) from 0wt% to 4wt% Filler (such as sodium sulphate and/or bio-fillers) from 10wt% to 70wt% Source of hydrogen peroxide (such as sodium percarbonate) from 0wt% to 20wt% Bleach activator (such as tetraacetylethylene diamine (TAED) and/or nonanoyloxybenzenesulphonate (NOBS)) from 0wt% to 8wt% Bleach catalyst (such as oxaziridinium-based bleach catalyst and/or transition metal bleach catalyst) from 0wt% to 0.1wt% Other bleach (such as reducing bleach and/or pre-formed peracid) from 0wt% to 10wt% Photobleach (such as zinc and/or aluminium sulphonated phthalocyanine) from 0wt% to 0.1wt% Chelant (such as ethylenediamine-N'N'-disuccinic acid (EDDS) and/or hydroxyethane diphosphonic acid (HEDP)) from 0.2wt% to 1wt% Hueing agent (such as direct violet 9, 66, 99, acid red 50, solvent violet 13 and any combination thereof) from 0wt% to 1wt% Brightener (C.I. fluorescent brightener 260 or C.I. fluorescent brightener 351) from 0.1wt% to 0.4wt% Protease (such as Ovozyme) from 0.1wt% to 0.4wt% Amylase (such as Termamyl, Termamyl ultra, Natalase, Optisize, Stainzyme, Stainzyme Plus and any combination thereof) from 0wt% to 0.2wt% Cellulase (such as Carezyme and/or Celluclean) from 0wt% to 0.2wt% Lipase (such as Lipex, Lipolex, Lipoclean and any combination thereof) from 0wt% to 1wt% Other enzyme (such as xyloglucanase, cutinase, pectate lyase, mannanase, bleaching enzyme) from 0wt% to 2wt% Fabric softener (such as montmorillonite clay and/or polydimethylsiloxane (PDMS)) from 0wt% to 15wt% Flocculant (such as polyethylene oxide) from 0wt% to 1wt% Suds suppressor (such as silicone and/or fatty acid) from 0wt% to 4wt% Perfume (such as perfume microcapsule, spray-on perfume, starch encapsulated perfume accords, perfume loaded zeolite, and any combination thereof) from 0.1wt% to 1wt% Aesthetics (such as coloured soap rings and/or coloured speckles/noodles) from 0wt% to 1wt% Miscellaneous balance to 100wt% - A low pH base powder was prepared by mixing the ingredients together. The composition of the base powder was:
Ingredient Amount (wt% of base powder) Alkyl benzene sulphonate anionic detersive surfactant 18.22 Sodium sulphate 75.23 Citric acid 6.54 Water & miscellaneous to 100wt% - 143g Sodium sulphate, 18g sodium carbonate, 18g sodium silicate and 0.47g enzyme prill containing 0.4g active Ovozyme (in accordance with claim 1) were added to the 321g base powder to form 500.47g of solid free-flowing particulate laundry detergent composition (in accordance with the present invention) having the following formulation:
Ingredient Amount (wt% of composition) Alkyl benzene sulphonate anionic detersive surfactant 11.7 Sodium sulphate 76.806 Citric acid 4.2 Sodium carbonate 3.6 Sodium silicate 3.6 Ovozyme 0.094 Water & miscellaneous to 100wt% - The composition had an equilibrium pH at 1wt% dilution in deionized water at 20°C of 7.0. The compositon had a reserve alkalinity to pH 7 at 1wt% dilution in deionized water at 20°C of 2.0.
- The dimensions and values disclosed herein are not to be understood as being strictly limited to the exact numerical values recited. Instead, unless otherwise specified, each such dimension is intended to mean both the recited value and a functionally equivalent range surrounding that value. For example, a dimension disclosed as "40 mm" is intended to mean "about 40 mm".
Claims (20)
- A solid free flowing particulate laundry detergent composition comprising:(a) anionic detersive surfactant;(b) from 0wt% to 8wt% zeolite builder;(c) from 0wt% to 4wt% phosphate builder;(d) from 0wt% to 8wt% sodium carbonate;(e) from 0wt% to 8wt% sodium silicate;(f) from 4wt% to 20wt% organic acid; and(g) protease having at least 90% identity to the amino acid sequence of Bacillus lentus as shown in SEQ ID NO:15, wherein the protease comprises at least one aspartic acid residue in the active site loop region from positions 95 to 103 (BPN' numbering),wherein the composition at 1wt% dilution in deionized water at 20°C, has an equilibrium pH in the range of from 6.5 to 9.0.
- A composition according to claim 1, wherein the composition comprises:(a) the combination of:(i) protease having at least 90% identity to the amino acid sequence of Bacillus amyloliquefaciens as shown in SEQ ID NO:9; and (ii) protease having at least 90% identity to the amino acid sequence of Bacillus amyloliquefaciens BPN' as shown in SEQ ID NO:10, and which comprises one or more mutations selected from group consisting of V4I, S9R, A15T, S24G, S33T, S53G, V68A, N76D, S78N, S101M/N, Y167F, and Y217Q; and/or(b) the combination of:(i) protease having at least 90% identity to the amino acid sequence of Bacillus amyloliquefaciens BPN' as shown in SEQ ID NO:10, and which comprises one or more mutations selected from group consisting of V4I, S9R, A15T, S24G, S33T, S53G, V68A, N76D, S78N, S101M/N, Y167F, and Y217Q; and (ii) protease having at least 90% identity to the amino acid sequence of Bacillus thermoproteolyticus as shown in SEQ ID NO:11.
- A composition according to any preceding claim, wherein the composition comprises from 30wt% to 90wt% base detergent particle, wherein the base detergent particle comprising (by weight of the base detergent particle):(a) from 4wt% to 35wt% anionic detersive surfactant;(b) optionally, from 1wt% to 8wt% zeolite builder;(c) from 0wt% to 4wt% phosphate builder;(d) from 0wt% to 8wt% sodium carbonate;(e) from 0wt% to 8wt% sodium silicate;(f) from 1wt% to 10wt% organic acid; and(g) optionally, from 1wt% to 10wt% magnesium sulphate,wherein optionally, the organic acid comprises citric acid, and wherein optionally the base detergent particle comprises from 1wt% to 10wt% citric acid, and wherein optionally the organic acid is at least partially coated with a water-dispersible material.
- A composition according to any preceding claim, wherein:(a) the anionic detersive surfactant comprises alkyl benzene sulphonate and wherein the base detergent particle comprises from 4wt% to 35wt% alkyl benzene sulphonate; and/or(b) the base detergent particle comprises from 0.5wt% to 5wt% carboxylate co-polymer, wherein the carboxylate co-polymer comprises:(i) from 50 to less than 98 wt% structural units derived from one or more monomers comprising carboxyl groups;(ii) from 1 to less than 49 wt% structural units derived from one or more monomers comprising sulfonate moieties; and(iii) from 1 to 49 wt% structural units derived from one or more types of monomers selected from ether bond-containing monomers represented by formulas (I) and (II):
wherein in formula (I), R0 represents a hydrogen atom or CH3 group, R represents a CH2 group, CH2CH2 group or single bond, X represents a number 0-5 provided X represents a number 1-5 when R is a single bond, and R1 is a hydrogen atom or C1 to C20 organic group; wherein in formula (II), R0 represents a hydrogen atom or CH3 group, R represents a CH2 group, CH2CH2 group or single bond, X represents a number 0-5, and R1 is a hydrogen atom or C1 to C20 organic group; and/or(c) wherein the base detergent particle comprises from 30wt% to 70wt% sodium sulphate. - A composition according to any preceding claim, wherein the composition comprises from 1wt% to 20wt% co-surfactant particle, wherein the co-surfactant particle comprises:(a) from 25wt% to 60wt% co-surfactant;(b) from 10wt% to 50wt% carbonate salt; and(c) from 1wt% to 30wt% silica,and wherein optionally:(a) the co-surfactant particle is in the form of an agglomerate; and/or(b) the co-surfactant comprises alkyl ethoxylated sulphate having an average degree of ethoxylation of from 0.5 to 2.5, and wherein the co-surfactant particle comprises from 25wt% to 60wt% alkyl ethoxylated sulphate having an average degree of ethoxylation of from 0.5 to 2.5; and/or(c) the co-surfactant particle comprises linear alkyl benzene sulphonate and alkyl ethoxylated sulphate having an average degree of ethoxylation of from 0.5 to 2.5.
- A composition according to any preceding claim wherein the composition at 1wt% dilution in deionized water at 20°C, has an equilibrium pH in the range of from 6.5 to 8.5, and wherein optionally the composition has a reserve alkalinity to pH 7.0 of less than 3.0gNaOH/100g.
- A composition according to any preceding claim, wherein the composition comprises:(a) from 0wt% to 6wt% sodium bicarbonate;(b) from 0wt% to 4wt% sodium carbonate;(c) from 0wt% to 4wt% sodium silicate; and(d) from 0wt% to 4wt% phosphate builder,and optionally wherein the composition is substantially free of phosphate builder,
and optionally wherein the composition is substantially free of sodium carbonate,
and optionally wherein the composition is substantially free of sodium bicarbonate,
and optionally wherein the composition is substantially free of sodium silicate. - A composition according to any preceding claim, wherein the composition comprises the combination of a lipase enzyme and soil release polymer.
- A composition according to any preceding claim wherein the composition comprises:(a) alkyl benzene sulphonate, wherein the alkyl benzene sulphonate comprises at least 25wt% of the combined total of 2-phenyl isomer and 3-phenyl isomer; and/or(b) alkyl amine oxide.
- A composition according to any preceding claim, wherein the composition comprises:(a) from 0.5wt% to 8wt% carboxylate co-polymer, wherein the carboxylate co-polymer comprises:(i) from 50 to less than 98 wt% structural units derived from one or more monomers comprising carboxyl groups;(ii) from 1 to less than 49 wt% structural units derived from one or more monomers comprising sulfonate moieties; and(iii) from 1 to 49 wt% structural units derived from one or more types of monomers selected from ether bond-containing monomers represented by formulas (I) and (II):
wherein in formula (I), R0 represents a hydrogen atom or CH3 group, R represents a CH2 group, CH2CH2 group or single bond, X represents a number 0-5 provided X represents a number 1-5 when R is a single bond, and R1 is a hydrogen atom or C1 to C20 organic group; wherein in formula (II), R0 represents a hydrogen atom or CH3 group, R represents a CH2 group, CH2CH2 group or single bond, X represents a number 0-5, and R1 is a hydrogen atom or C1 to C20 organic group; and/or(b) polyethylene glycol polymer, wherein the polyethylene glycol polymer comprises a polyethylene glycol backbone with grafted polyvinyl acetate side chains; and/or(c) polyester soil release polymer having the structure:wherein n is from 1 to 10; m is from 1 to 15 ;X is H or SO3Me;wherein Me is H, Na+, Li+, K+, Mg2+, Ca2+, Al3+, ammonium, mono-, di-, tri-, or tetraalkylammonium; wherein the alkyl groups are C1-C18 alkyl or C2-C10 hydroxyalkyl, or any mixture thereof;R1 are independently selected from H or C1-C18 n- or iso-alkyl; and/or(d) polyester soil release polymer consisting of structure units (1) to (3): wherein:a, b and c are from 1 to 10;x, y is from 1 to 10;z is from 0.1 to 10;Me is H, Na+, Li+, K+, Mg2+, Ca2+, Al3+ , ammonium, mono-, di-, tri-, or tetraalkylammonium wherein the alkyl groups are C1-C18 alkyl or C2-C10 hydroxyalkyl, or any mixture thereof;R1, are independently selected from H or C1-C18 n- or iso-alkyl;R2 is a linear or branched C1-C18 alkyl, or a linear or branched C2-C30 alkenyl, or a cycloalkyl group with 5 to 9 carbon atoms, or a C6-C30 aryl group, or a C6-C30 arylalkyl group; and/or(e) carboxymethyl cellulose having a degree of substitution greater than 0.65 and a degree of blockiness greater than 0.45; and/or(f) alkoxylated polyalkyleneimine, wherein said alkoxylated polyalkyleneimine has a polyalkyleneimine core with one or more side chains bonded to at least one nitrogen atom in the polyalkyleneimine core, wherein said alkoxylated polyalkyleneimine has an empirical formula (I) of (PEI)a-(EO)b-R1, wherein a is the average number-average molecular weight (MWPEI) of the polyalkyleneimine core of the alkoxylated polyalkyleneimine and is in the range of from 100 to 100,000 Daltons, wherein b is the average degree of ethoxylation in said one or more side chains of the alkoxylated polyalkyleneimine and is in the range of from 5 to 40, and wherein R1 is independently selected from the group consisting of hydrogen, C1-C4 alkyls, and combinations thereof; and/or(g) alkoxylated polyalkyleneimine, wherein said alkoxylated polyalkyleneimine has a polyalkyleneimine core with one or more side chains bonded to at least one nitrogen atom in the polyalkyleneimine core, wherein the alkoxylated polyalkyleneimine has an empirical formula (II) of (PEI)o-(EO)m(PO)n-R2 or (PEI)o-(PO)n(EO)m-R2, wherein o is the average number-average molecular weight (MWPEI) of the polyalkyleneimine core of the alkoxylated polyalkyleneimine and is in the range of from 100 to 100,000 Daltons, wherein m is the average degree of ethoxylation in said one or more side chains of the alkoxylated polyalkyleneimine which ranges from 10 to 50, wherein n is the average degree of propoxylation in said one or more side chains of the alkoxylated polyalkyleneimine which ranges from 1 to 50, and wherein R2 is independently selected from the group consisting of hydrogen, C1-C4 alkyls, and combinations thereof; and/or(h) the combination of a non-ionic soil release polymer and an anionic soil release polymer. - A composition according to any preceding claim, wherein the composition is substantially free of pre-formed peracid.
- A composition according to any preceding claim, wherein the composition comprises:(a) from 1wt% to 20wt% sodium percarbonate;(b) from 0.5wt% to 5wt% bleach activator; and(c) from 0.5wt% to 5wt% chelant.
- A composition according to any preceding claim, wherein the composition comprises from 0.5wt% to 5wt% sodium tetraacetylethylenediamine.
- A composition according to any preceding claim, wherein the composition comprises:(a) from 0.5wt% to 5wt% tri sodium salt of methylglycine diacetic acid (MGDA); and/or(b) from 0.5wt% to 5wt% ethylenediamine disuccinic acid (EDDS).
- A composition according to any preceding claim, wherein the composition comprises 4,4'-bis-(triazinylamino)-stilbene-2,2'-disulfonic acid brightener and/or 4,4'-distyryl biphenyl brightener.
- A composition according to any preceding claim, wherein the composition comprises from 0.5wt% to 4wt% disodium 4,5-dihydroxy-1,3-benzenedisulfonate.
- A composition according to any preceding claim, wherein the composition comprises acyl hydrazone bleach catalyst, wherein the acyl hydrazone bleach catalyst has the formula I:wherein, R1 is selected from the groups comprising CF3, C1-28 alkyl, C2-28 alkenyl, C2-22 alkynyl, C3-12 cycloalkyl, C3-12 cycloalkenyl, phenyl, naphthyl, C7-9 aralkyl, C3-20 heteroalkyl, C3-12 cycloheteroalkyl or a mixture thereof;R2 and R3 are independently selected from the group comprising hydrogen, substituted C1-28 alkyl, C2-28 alkenyl, C2-22 alkynyl, C3-12 cycloalkyl, C3-12 cycloalkenyl, C7-9 aralkyl, C3-28 heteroalkyl, C3-12 cycloheteroalkyl, C5-16 heteroaralkyl, phenyl, naphthyl, heteroaryl or a mixture thereof;or R2 and R3 are linked to form a substituted 5-, 6-, 7-, 8- or 9-membered ring that optionally comprises heteroatoms;and R4 is selected from the groups comprising hydrogen, C1-28 alkyl, C2-28 alkenyl, C2-22 alkynyl, C3-12 cycloalkyl, C3-12 cycloalkenyl, C7-9 aralkyl, C3-20 heteroalkyl, C3-12 cycloheteroalkyl, C5-16 heteroaralkyl, substituted phenyl, naphthyl, heteroaryl or a mixture thereof.
- A composition according to any preceding claim, wherein the composition comprises:(a) hueing agent having the following structure:
wherein:R1 and R2 are independently selected from the group consisting of: H; alkyl; alkoxy; alkyleneoxy; alkyl capped alkyleneoxy; urea; and amido;R3 is a substituted aryl group;X is a substituted group comprising sulfonamide moiety and optionally an alkyl and/or aryl moiety, and wherein the substituent group comprises at least one alkyleneoxy chain that comprises an average molar distribution of at least four alkyleneoxy moieties; and/or(b) hueing agent having the following structure: wherein the index values x and y are independently selected from 1 to 10; and/or(c) hueing agent selected from Acid Violet 50, Direct Violet 9, 66 and 99, Solvent Violet 13 and any combination thereof. - A composition according to any preceding claim, wherein the composition comprises an enzyme selected from:(a) protease having at least 90% identity to the amino acid sequence of Bacillus lentus as shown in SEQ IS NO:12, and which comprises one or mutations selected from the group consisting of S3T, V4I, A194P, V199M, V205I, and L217D;(b) protease having at least 90% identity to the amino acid sequence of Bacillus sp. TY145 as shown in SEQ ID NO:13;(c) protease having at least 90% identity to the amino acid sequence of Bacillus sp. KSM-KP43 as shown in SEQ ID NO:14;(d) a variant of the wild-type amylase from Bacillus sp. which has at least 90% identity for amino acid sequence SEQ ID NO:5, and which comprises one or more mutations at positions N195, G477, G304, W140, W189, D134, V206, Y243, E260, F262, W284, W347, W439, W469 and/or G476, and optionally wherein the amylase comprises the deletions of D183* and/or G184*;(e) variant of the wild-type amylase from Bacillus sp. which has at least 90% identity for amino acid sequence SEQ ID NO:6, and which comprises one or more mutations at positions 9, 26, 30, 33, 82, 37, 106, 118, 128, 133, 149, 150, 160, 178, 182, 186, 193, 195, 202, 214, 231, 256, 257, 258, 269, 270, 272, 283, 295, 296, 298, 299, 303, 304, 305, 311, 314, 315, 318, 319, 320, 323, 339, 345, 361, 378, 383, 419, 421, 437, 441, 444, 445, 446, 447, 450, 458, 461, 471, 482 and/or 484, preferably that also contain the deletions of D183* and G184*;(f) variant of the wild-type amylase from Bacillus sp. KSM-K38 which has at least 90% identity for amino acid sequence SEQ ID NO:7;(g) variant of the wild-type amylase from Cytophaga sp. which has at least 60% identity for amino acid sequence SEQ ID NO:8;(h) a variant of the wild-type lipase from Thermomyces lanuginosus which has at least 90% identity for amino acid sequence SEQ ID NO:1;(i) variant of the wild-type lipase from Thermomyces lanuginosus which has at least 90% identity for amino acid sequence SEQ ID NO:1, and which comprises T231R and/or N233R mutations;(j) variant of the wild-type lipase from Thermomyces lanuginosus which has at least 90% identity for amino acid sequence SEQ ID NO:1, and which comprises G91A, D96G, G225R, T231R and/or N233R mutations;(k) cellulase that is a wild-type or variant of a microbially-derived endoglucanase endogenous to Bacillus sp. exhibiting endo-beta-1,4-glucanase activity (E.C. 3.2.1.4) which has at least 90% identity to the amino acid sequence SEQ ID NO:2;(l) cellulase that is a wild-type or variant of a microbially-derived endoglucanase endogenous to Paenibacillus polymyxa exhibiting endo-beta-1,4-glucanase activity (E.C. 3.2.1.4) which has at least 90% identity to amino acid sequence SEQ ID NO:3;(m) cellulase that is a hybrid fusion endoglucanase comprising a Glycosyl Hydrolase Family 45 catalytic domain that is a wild-type or variant of a microbially-derived endoglucanase endogenous to Melanocarpus albomyces, and a carbohydrate binding module that is a wild-type or variant of a carbohydrate binding module endogenous to Trichoderma reesei, and which has at least 90% identity to amino acid sequence SEQ ID NO:4;(n) an enzyme selected from mannanase, pectate lyase, laccase, polyesterase, galactanase, acyltransferase, and any combination thereof; and(o) any combination thereof.
- A composition according to any preceding claim, wherein the composition comprises a perfume, wherein the perfume comprises from 60wt% to 85wt% ester perfume raw materials having the structure:
wherein R1 and R2 are independently selected from C1 to C30 linear or branched, cyclic or non-cyclic, aromatic or non-aromatic, saturated or un-saturated, substituted or unsubstituted alkyl,
and optionally wherein the composition comprises alkyl ethoxylated sulphate having an average degree of ethoxylation of from 0.5 to 2.0.
Priority Applications (2)
| Application Number | Priority Date | Filing Date | Title |
|---|---|---|---|
| EP18164656.3A EP3546558A1 (en) | 2018-03-28 | 2018-03-28 | Laundry detergent composition |
| PCT/US2019/024195 WO2019191170A1 (en) | 2018-03-28 | 2019-03-27 | Laundry detergent composition |
Applications Claiming Priority (1)
| Application Number | Priority Date | Filing Date | Title |
|---|---|---|---|
| EP18164656.3A EP3546558A1 (en) | 2018-03-28 | 2018-03-28 | Laundry detergent composition |
Publications (1)
| Publication Number | Publication Date |
|---|---|
| EP3546558A1 true EP3546558A1 (en) | 2019-10-02 |
Family
ID=61832434
Family Applications (1)
| Application Number | Title | Priority Date | Filing Date |
|---|---|---|---|
| EP18164656.3A Withdrawn EP3546558A1 (en) | 2018-03-28 | 2018-03-28 | Laundry detergent composition |
Country Status (2)
| Country | Link |
|---|---|
| EP (1) | EP3546558A1 (en) |
| WO (1) | WO2019191170A1 (en) |
Cited By (2)
| Publication number | Priority date | Publication date | Assignee | Title |
|---|---|---|---|---|
| GB2593781A (en) * | 2020-04-03 | 2021-10-06 | One Home Brands Inc | Stable Anhydrous Laundry Detergent Concentrate and Method of making same |
| US11359168B2 (en) | 2020-04-03 | 2022-06-14 | One Home Brands, Inc. | Stable anhydrous laundry detergent concentrate and method of making same |
Citations (30)
| Publication number | Priority date | Publication date | Assignee | Title |
|---|---|---|---|---|
| WO1991017232A1 (en) * | 1990-05-08 | 1991-11-14 | The Procter & Gamble Company | Low ph granular laundry detergent compositions containing aluminosilicate, citric acid and carbonate builders |
| US5352604A (en) | 1989-08-25 | 1994-10-04 | Henkel Research Corporation | Alkaline proteolytic enzyme and method of production |
| WO1995012658A1 (en) * | 1993-11-03 | 1995-05-11 | The Procter & Gamble Company | LAUNDRY DETERGENTS CONTAINING A COATED PERCARBONATE AND AN ACIDIFICATION AGENT TO PROVIDE DELAYED LOWERED pH |
| WO2003038028A2 (en) * | 2001-10-30 | 2003-05-08 | Henkel Kommanditgesellschaft Auf Aktien | Detergent or cleanser that can be dispersed in an essentially sediment-free manner |
| WO2005075616A1 (en) | 2004-02-03 | 2005-08-18 | The Procter & Gamble Company | A composition for use in the laundering or treatment of fabrics |
| WO2006002643A2 (en) | 2004-07-05 | 2006-01-12 | Novozymes A/S | Alpha-amylase variants with altered properties |
| WO2006090335A1 (en) | 2005-02-22 | 2006-08-31 | The Procter & Gamble Company | Detergent compositions |
| WO2007144857A1 (en) | 2006-06-16 | 2007-12-21 | The Procter & Gamble Company | Detergent compositions |
| WO2008007320A2 (en) | 2006-07-07 | 2008-01-17 | The Procter & Gamble Company | Detergent compositions |
| WO2008087497A1 (en) | 2007-01-19 | 2008-07-24 | The Procter & Gamble Company | Laundry care composition comprising a whitening agent for cellulosic substrates |
| WO2009069077A2 (en) | 2007-11-26 | 2009-06-04 | The Procter & Gamble Company | Detergent compositions |
| WO2009101593A2 (en) | 2008-02-15 | 2009-08-20 | The Procter & Gamble Company | Delivery particle |
| WO2009154933A2 (en) | 2008-06-20 | 2009-12-23 | The Procter & Gamble Company | Laundry composition |
| WO2009158449A1 (en) | 2008-06-25 | 2009-12-30 | The Procter & Gamble Company | A spray-drying process |
| WO2009158162A1 (en) | 2008-06-25 | 2009-12-30 | The Procter & Gamble Company | Spray-drying process |
| WO2010056652A1 (en) | 2008-11-14 | 2010-05-20 | The Procter & Gamble Company | Composition comprising polymer and enzyme |
| WO2011072117A1 (en) | 2009-12-09 | 2011-06-16 | The Procter & Gamble Company | Fabric and home care products |
| WO2011084412A1 (en) | 2009-12-21 | 2011-07-14 | Danisco Us Inc. | Detergent compositions containing thermobifida fusca lipase and methods of use thereof |
| US20110257064A1 (en) * | 2010-04-19 | 2011-10-20 | Alan Thomas Brooker | Solid Laundry Detergent Composition Having a Dynamic In-Wash PH Profile |
| WO2011140316A1 (en) | 2010-05-06 | 2011-11-10 | The Procter & Gamble Company | Consumer products with protease variants |
| WO2012054835A1 (en) | 2010-10-22 | 2012-04-26 | The Procter & Gamble Company | Bis-azo colorants for use as bluing agents |
| WO2012134969A1 (en) | 2011-03-25 | 2012-10-04 | The Procter & Gamble Company | Spray-dried laundry detergent particles |
| WO2012166768A1 (en) | 2011-06-03 | 2012-12-06 | The Procter & Gamble Company | Laundry care compositions containing dyes |
| WO2013033318A1 (en) | 2011-08-31 | 2013-03-07 | Danisco Us Inc. | Compositions and methods comprising a lipolytic enzyme variant |
| WO2013116261A2 (en) | 2012-02-03 | 2013-08-08 | The Procter & Gamble Company | Compositions and methods for surface treatment with lipases |
| WO2013171241A1 (en) | 2012-05-16 | 2013-11-21 | Novozymes A/S | Compositions comprising lipase and methods of use thereof |
| WO2013181205A1 (en) | 2012-06-01 | 2013-12-05 | The Procter & Gamble Company | Spray-drying process |
| WO2014055782A1 (en) * | 2012-10-03 | 2014-04-10 | Agrivida, Inc. | Intein-modified proteases, their production and industrial applications |
| WO2014089386A1 (en) | 2012-12-06 | 2014-06-12 | The Procter & Gamble Company | Soluble pouch comprising hueing dye |
| EP3275988A1 (en) * | 2016-07-26 | 2018-01-31 | The Procter and Gamble Company | Automatic dishwashing detergent composition |
-
2018
- 2018-03-28 EP EP18164656.3A patent/EP3546558A1/en not_active Withdrawn
-
2019
- 2019-03-27 WO PCT/US2019/024195 patent/WO2019191170A1/en not_active Ceased
Patent Citations (30)
| Publication number | Priority date | Publication date | Assignee | Title |
|---|---|---|---|---|
| US5352604A (en) | 1989-08-25 | 1994-10-04 | Henkel Research Corporation | Alkaline proteolytic enzyme and method of production |
| WO1991017232A1 (en) * | 1990-05-08 | 1991-11-14 | The Procter & Gamble Company | Low ph granular laundry detergent compositions containing aluminosilicate, citric acid and carbonate builders |
| WO1995012658A1 (en) * | 1993-11-03 | 1995-05-11 | The Procter & Gamble Company | LAUNDRY DETERGENTS CONTAINING A COATED PERCARBONATE AND AN ACIDIFICATION AGENT TO PROVIDE DELAYED LOWERED pH |
| WO2003038028A2 (en) * | 2001-10-30 | 2003-05-08 | Henkel Kommanditgesellschaft Auf Aktien | Detergent or cleanser that can be dispersed in an essentially sediment-free manner |
| WO2005075616A1 (en) | 2004-02-03 | 2005-08-18 | The Procter & Gamble Company | A composition for use in the laundering or treatment of fabrics |
| WO2006002643A2 (en) | 2004-07-05 | 2006-01-12 | Novozymes A/S | Alpha-amylase variants with altered properties |
| WO2006090335A1 (en) | 2005-02-22 | 2006-08-31 | The Procter & Gamble Company | Detergent compositions |
| WO2007144857A1 (en) | 2006-06-16 | 2007-12-21 | The Procter & Gamble Company | Detergent compositions |
| WO2008007320A2 (en) | 2006-07-07 | 2008-01-17 | The Procter & Gamble Company | Detergent compositions |
| WO2008087497A1 (en) | 2007-01-19 | 2008-07-24 | The Procter & Gamble Company | Laundry care composition comprising a whitening agent for cellulosic substrates |
| WO2009069077A2 (en) | 2007-11-26 | 2009-06-04 | The Procter & Gamble Company | Detergent compositions |
| WO2009101593A2 (en) | 2008-02-15 | 2009-08-20 | The Procter & Gamble Company | Delivery particle |
| WO2009154933A2 (en) | 2008-06-20 | 2009-12-23 | The Procter & Gamble Company | Laundry composition |
| WO2009158162A1 (en) | 2008-06-25 | 2009-12-30 | The Procter & Gamble Company | Spray-drying process |
| WO2009158449A1 (en) | 2008-06-25 | 2009-12-30 | The Procter & Gamble Company | A spray-drying process |
| WO2010056652A1 (en) | 2008-11-14 | 2010-05-20 | The Procter & Gamble Company | Composition comprising polymer and enzyme |
| WO2011072117A1 (en) | 2009-12-09 | 2011-06-16 | The Procter & Gamble Company | Fabric and home care products |
| WO2011084412A1 (en) | 2009-12-21 | 2011-07-14 | Danisco Us Inc. | Detergent compositions containing thermobifida fusca lipase and methods of use thereof |
| US20110257064A1 (en) * | 2010-04-19 | 2011-10-20 | Alan Thomas Brooker | Solid Laundry Detergent Composition Having a Dynamic In-Wash PH Profile |
| WO2011140316A1 (en) | 2010-05-06 | 2011-11-10 | The Procter & Gamble Company | Consumer products with protease variants |
| WO2012054835A1 (en) | 2010-10-22 | 2012-04-26 | The Procter & Gamble Company | Bis-azo colorants for use as bluing agents |
| WO2012134969A1 (en) | 2011-03-25 | 2012-10-04 | The Procter & Gamble Company | Spray-dried laundry detergent particles |
| WO2012166768A1 (en) | 2011-06-03 | 2012-12-06 | The Procter & Gamble Company | Laundry care compositions containing dyes |
| WO2013033318A1 (en) | 2011-08-31 | 2013-03-07 | Danisco Us Inc. | Compositions and methods comprising a lipolytic enzyme variant |
| WO2013116261A2 (en) | 2012-02-03 | 2013-08-08 | The Procter & Gamble Company | Compositions and methods for surface treatment with lipases |
| WO2013171241A1 (en) | 2012-05-16 | 2013-11-21 | Novozymes A/S | Compositions comprising lipase and methods of use thereof |
| WO2013181205A1 (en) | 2012-06-01 | 2013-12-05 | The Procter & Gamble Company | Spray-drying process |
| WO2014055782A1 (en) * | 2012-10-03 | 2014-04-10 | Agrivida, Inc. | Intein-modified proteases, their production and industrial applications |
| WO2014089386A1 (en) | 2012-12-06 | 2014-06-12 | The Procter & Gamble Company | Soluble pouch comprising hueing dye |
| EP3275988A1 (en) * | 2016-07-26 | 2018-01-31 | The Procter and Gamble Company | Automatic dishwashing detergent composition |
Non-Patent Citations (3)
| Title |
|---|
| NEEDLEMAN, S. B.; WUNSCH, C. D., J. MOL. BIOL., vol. 48, 1970, pages 443 - 453 |
| NEEDLEMAN; WUNSCH, J. MOL. BIOL., vol. 48, 1970, pages 443 - 453 |
| RICE ET AL.: "EMBOSS: The European Molecular Biology Open Software Suite", TRENDS GENET, vol. 16, 2000, pages 276 - 277, XP004200114, DOI: doi:10.1016/S0168-9525(00)02024-2 |
Cited By (5)
| Publication number | Priority date | Publication date | Assignee | Title |
|---|---|---|---|---|
| GB2593781A (en) * | 2020-04-03 | 2021-10-06 | One Home Brands Inc | Stable Anhydrous Laundry Detergent Concentrate and Method of making same |
| US11359168B2 (en) | 2020-04-03 | 2022-06-14 | One Home Brands, Inc. | Stable anhydrous laundry detergent concentrate and method of making same |
| US12006491B2 (en) | 2020-04-03 | 2024-06-11 | One Home Brands, Inc. | Stable anhydrous laundry detergent concentrate and method of making same |
| GB2593781B (en) * | 2020-04-03 | 2024-07-17 | One Home Brands Inc | Stable Anhydrous Laundry Detergent Concentrate and Method of making same |
| US12467019B2 (en) | 2020-04-03 | 2025-11-11 | One Home Brands, Inc. | Stable anhydrous laundry detergent concentrate and method of making same |
Also Published As
| Publication number | Publication date |
|---|---|
| WO2019191170A1 (en) | 2019-10-03 |
Similar Documents
| Publication | Publication Date | Title |
|---|---|---|
| EP3301154B1 (en) | Laundry detergent composition | |
| EP3301152B1 (en) | Spray-dried base detergent particle giving rise to a low ph in the wash | |
| EP3301168B1 (en) | Laundry detergent composition | |
| EP3301158B1 (en) | Laundry detergent composition | |
| EP3301155A1 (en) | Laundry detergent composition | |
| EP3301162A1 (en) | Low ph laundry detergent composition | |
| US20180094228A1 (en) | Laundry detergent composition | |
| EP3301156A1 (en) | Laundry detergent composition | |
| EP3301163A1 (en) | Low ph laundry detergent composition | |
| WO2019191174A1 (en) | Laundry detergent composition | |
| EP3301148A1 (en) | Low ph laundry detergent composition | |
| EP3301161A1 (en) | Laundry detergent composition | |
| EP3301164A1 (en) | Low ph laundry detergent composition | |
| EP3301169A1 (en) | Laundry detergent composition | |
| EP3301145A1 (en) | Low ph laundry detergent composition | |
| EP3301147A1 (en) | Low ph laundry detergent composition | |
| EP3301157B1 (en) | Low ph laundry detergent composition | |
| EP3301146A1 (en) | Low ph laundry detergent composition | |
| EP3301160A1 (en) | Low ph laundry detergent composition | |
| EP3301149A1 (en) | Low ph laundry detergent composition | |
| EP3301159B1 (en) | Laundry detergent composition | |
| WO2019191170A1 (en) | Laundry detergent composition | |
| EP3301150A1 (en) | Low ph laundry detergent composition | |
| EP3301165A1 (en) | Low ph laundry detergent composition |
Legal Events
| Date | Code | Title | Description |
|---|---|---|---|
| PUAI | Public reference made under article 153(3) epc to a published international application that has entered the european phase |
Free format text: ORIGINAL CODE: 0009012 |
|
| AK | Designated contracting states |
Kind code of ref document: A1 Designated state(s): AL AT BE BG CH CY CZ DE DK EE ES FI FR GB GR HR HU IE IS IT LI LT LU LV MC MK MT NL NO PL PT RO RS SE SI SK SM TR |
|
| AX | Request for extension of the european patent |
Extension state: BA ME |
|
| STAA | Information on the status of an ep patent application or granted ep patent |
Free format text: STATUS: THE APPLICATION IS DEEMED TO BE WITHDRAWN |
|
| 18D | Application deemed to be withdrawn |
Effective date: 20200603 |
























































