EP2906674B1 - Liquid detergent compositions with soap, sulfo-estolide surfactant and cellulase - Google Patents
Liquid detergent compositions with soap, sulfo-estolide surfactant and cellulase Download PDFInfo
- Publication number
- EP2906674B1 EP2906674B1 EP13770686.7A EP13770686A EP2906674B1 EP 2906674 B1 EP2906674 B1 EP 2906674B1 EP 13770686 A EP13770686 A EP 13770686A EP 2906674 B1 EP2906674 B1 EP 2906674B1
- Authority
- EP
- European Patent Office
- Prior art keywords
- substituted
- liquid detergent
- detergent composition
- surfactants
- sulfo
- Prior art date
- Legal status (The legal status is an assumption and is not a legal conclusion. Google has not performed a legal analysis and makes no representation as to the accuracy of the status listed.)
- Active
Links
- 0 COC(*)OC(C*)C(*C(OC(C*)C(*C(ON)=O)S(O)(=O)=O)=O)S(O)(=O)=O Chemical compound COC(*)OC(C*)C(*C(OC(C*)C(*C(ON)=O)S(O)(=O)=O)=O)S(O)(=O)=O 0.000 description 5
- PFJPRLKWFSJWBG-UHFFFAOYSA-N CC(C)(C=O)[NH+](C)[O-] Chemical compound CC(C)(C=O)[NH+](C)[O-] PFJPRLKWFSJWBG-UHFFFAOYSA-N 0.000 description 1
Classifications
-
- C—CHEMISTRY; METALLURGY
- C11—ANIMAL OR VEGETABLE OILS, FATS, FATTY SUBSTANCES OR WAXES; FATTY ACIDS THEREFROM; DETERGENTS; CANDLES
- C11D—DETERGENT COMPOSITIONS; USE OF SINGLE SUBSTANCES AS DETERGENTS; SOAP OR SOAP-MAKING; RESIN SOAPS; RECOVERY OF GLYCEROL
- C11D3/00—Other compounding ingredients of detergent compositions covered in group C11D1/00
- C11D3/16—Organic compounds
- C11D3/38—Products with no well-defined composition, e.g. natural products
- C11D3/386—Preparations containing enzymes, e.g. protease or amylase
- C11D3/38645—Preparations containing enzymes, e.g. protease or amylase containing cellulase
-
- C—CHEMISTRY; METALLURGY
- C11—ANIMAL OR VEGETABLE OILS, FATS, FATTY SUBSTANCES OR WAXES; FATTY ACIDS THEREFROM; DETERGENTS; CANDLES
- C11D—DETERGENT COMPOSITIONS; USE OF SINGLE SUBSTANCES AS DETERGENTS; SOAP OR SOAP-MAKING; RESIN SOAPS; RECOVERY OF GLYCEROL
- C11D10/00—Compositions of detergents, not provided for by one single preceding group
- C11D10/04—Compositions of detergents, not provided for by one single preceding group based on mixtures of surface-active non-soap compounds and soap
- C11D10/042—Compositions of detergents, not provided for by one single preceding group based on mixtures of surface-active non-soap compounds and soap based on anionic surface-active compounds and soap
-
- C—CHEMISTRY; METALLURGY
- C11—ANIMAL OR VEGETABLE OILS, FATS, FATTY SUBSTANCES OR WAXES; FATTY ACIDS THEREFROM; DETERGENTS; CANDLES
- C11D—DETERGENT COMPOSITIONS; USE OF SINGLE SUBSTANCES AS DETERGENTS; SOAP OR SOAP-MAKING; RESIN SOAPS; RECOVERY OF GLYCEROL
- C11D3/00—Other compounding ingredients of detergent compositions covered in group C11D1/00
- C11D3/16—Organic compounds
- C11D3/38—Products with no well-defined composition, e.g. natural products
- C11D3/386—Preparations containing enzymes, e.g. protease or amylase
- C11D3/38663—Stabilised liquid enzyme compositions
-
- C—CHEMISTRY; METALLURGY
- C11—ANIMAL OR VEGETABLE OILS, FATS, FATTY SUBSTANCES OR WAXES; FATTY ACIDS THEREFROM; DETERGENTS; CANDLES
- C11D—DETERGENT COMPOSITIONS; USE OF SINGLE SUBSTANCES AS DETERGENTS; SOAP OR SOAP-MAKING; RESIN SOAPS; RECOVERY OF GLYCEROL
- C11D1/00—Detergent compositions based essentially on surface-active compounds; Use of these compounds as a detergent
- C11D1/02—Anionic compounds
- C11D1/12—Sulfonic acids or sulfuric acid esters; Salts thereof
- C11D1/28—Sulfonation products derived from fatty acids or their derivatives, e.g. esters, amides
Definitions
- the present invention relates to a liquid composition comprising sulfo-estolide surfactant, soap and cellulase enzyme(s).
- the present invention also describes the use of sulfo-estolide surfactants for increasing the cleaning power of enzymes.
- Sulfo-estolide surfactants and light duty liquid detergents containing them are known in the art. These surfactants have good cleaning and foaming capabilities and provide less negative environmental impact.
- liquid detergent composition comprising:
- liquid compositions in which the cleaning power of the enzymes is increased.
- preferred embodiments of the present invention are liquid compositions further containing enzymes from other groups.
- the sulfo-estolide surfactant(s) having the general formula I are present within smaller ranges.
- Preferred liquid detergent compositions are characterized in that the composition comprises 1 to 35 %, preferably 2 to 30 %, more preferably 3 to 25 %, more preferably 4 to 20 %, more preferably 5 to 15 % and particularly 7.5 to 11.5 %, by weight of the liquid detergent composition, of a sulfo-estolide surfactant(s) having the general formula I.
- each repeating unit one of X and Y is SO 3 - Z + , the other of X and Y is H. In each repeating unit, X and Y are independently assigned.
- Preferred sulfo-estolide surfactants with units of the formulae (la-1) or (la-2) are chosen from
- Preferred liquid detergent compositions contain one or more sulfo-estolide surfactant(s) of formulae (I-1) to (1-14) above, wherein
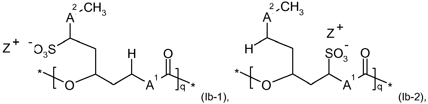
- liquid detergent compositions contain sulfo-estolide surfactant(s) which comprise(s) units of general formula Ib-1 and/or Ib-2 wherein
- Preferred sulfo-estolide surfactants with units of the formulae (lb-1) or (lb-2) are chosen from
- Preferred liquid detergent compositions contain one or more sulfo-estolide surfactant(s) of formulae (I-15) to (I-28) above, wherein
- liquid detergent compositions contain sulfo-estolide surfactant(s) which comprise(s) units of general formula Ic-1 and/or Ic-2 wherein
- Preferred sulfo-estolide surfactants with units of the formulae (lc-1) or (lc-2) are chosen from
- Preferred liquid detergent compositions contain one or more sulfo-estolide surfactant(s) of formulae (I-29) to (1-42) above, wherein
- the liquid detergent compositions of this invention contain at least one cellulase enzyme.
- the cellulase remains stable in the compositions of this invention, even without the use of additional enzyme stabilizers.
- the cleaning power and the inhibition of graying of the cellulase are also improved in the sulfo-estolide surfactant containing detergents of this invention.
- the cleaning power and the stability of other enzymes are also enhanced in the liquid detergents of this invention. It is preferred that the compositions of this invention contain further enzyme(s), preferably more than one other enzyme.
- Preferred liquid detergent compositions contain at least one amylase enzyme.
- liquid detergent compositions contain at least one lipase enzyme.
- Particular preferred liquid detergent compositions contain at least one amylase enzyme and at least one lipase enzyme.
- liquid detergent compositions contain at least one mannanase enzyme.
- Particular preferred liquid detergent compositions contain at least one amylase enzyme and at least one lipase enzyme and at least one mannanase enzyme.
- liquid detergent compositions contain at least one protease enzyme.
- Particular preferred liquid detergent compositions contain at least one amylase enzyme and at least one lipase enzyme and at least one protease enzyme.
- Most preferred liquid detergent compositions contain at least one amylase enzyme and at least one lipase enzyme and at least one mannanase enzyme and at least one protease enzyme.
- Soap as defined herein includes fatty acids and soluble salts thereof. Soaps are commonly neutralized or partially neutralized in-situ in the formulation using neutralizers such as sodium hydroxide, potassium hydroxide and/or alkanolamines such as monoethanolamine.
- the soap may have any suitable cation as counterion. Mixtures of cations are also possible. Illustrative examples of suitable cations for the soap include, sodium, potassium, ammonium, substituted ammonium, amino functional cations, such as alkanolammonium and the like, and mixtures thereof.
- Any soluble soap or fatty acid is suitable for use herein, including, lauric, myristic, palmitic stearic, oleic, linoleic, linolenic acid, and mixtures thereof.
- Naturally obtainable fatty acids which are usually complex mixtures, are also suitable, such as tallow, coconut, and palm kernel fatty acids.
- soaps have a positive effect on the foaming power of the liquid detergent composition, on the cleaning power of the liquid detergent composition especially with regard to fatty/oily stains and on the whiteness maintenance of textiles treated with the liquid detergent composition
- preferred liquid detergent compositions contain at least 1.0 %, preferably at least 1.5 %, more preferably at least 2 % and particularly preferred at least 2.5 %, by weight of the liquid detergent composition, soap(s).
- Preferred liquid detergents contain additional anionic surfactant(s) besides the sulfo-estolides.
- Anionic surfactants are important ingredients of laundry detergents because of their cleansing and emulsifying properties. Anionic surfactants are particularly good at keeping the dirt away from fabrics, and removing oily soil residues from fabrics. It has surprisingly been found that anionic surfactants can be used in high amounts without being detrimental to the stability of the enzymes.
- the additional anionic surfactant is present at a level of from 1 % up to 15 % by weight of said composition and, preferably, at a level of from 2 % up to 10 % by weight of said composition.
- More preferred liquid detergent compositions are characterized in that the composition contains a surfactant of the following general formula II: R 1 -O-(AO) n -SO 3 - X + (II), wherein
- Liquid detergents containing sulfo-estolides and fatty alcohol ether sulphates wherein the sulfo-estolides form the major part of these two surfactants have been found to have a very high detergency while being highly efficient on enzymatic stains.
- R 1 is a linear or branched, substituted or unsubstituted alkyl-, aryl- or alkylaryl group, preferably a linear, unsubstituted alkyl group, more preferably a fatty alcohol residue.
- Preferred residues R 1 are chosen from decyl-, undecyl-, dodecyl-, tridecyl-, tetradecyl, pentadecyl-, hexadecyl-, heptadecyl-, octadecyl-, nonadecyl-, eicosyl residues und their mixtures, wherein the residues with an even number of carbon atoms are preferred.
- Particularly preferred residues R 1 are derived from C 12 -C 18 -fatty alcohols, for example from coconut fatty alcohol, tallow fatty alcohol, lauryl-, myristyl-, cetyl- or stearyl alcohol or from C 10 -C 20 -oxo alcohols.
- AO is an ethylene oxide (EO) or propylene oxide (PO) group, preferably an ethylene oxide group.
- the index n is an integral number from 1 to 50, preferably from 1 to 20 und most preferably from 2 to 10. Particularly preferred, n is 2, 3, 4, 5, 6, 7 or 8.
- X is a monovalent cation or the n-th part of an n-valent cation
- preferred cations are alkali metal ions, especially Na + or K + , wherein Na + is particularly preferred.
- Further cations X+ can be chosen from NH 4 + , 1 ⁇ 2Zn 2+ , 1 ⁇ 2Mg 2+ , 1 ⁇ 2Ca 2+ , 1 ⁇ 2Mn 2+ , and their mixtures.
- the cleaning power can be further enhanced by incorporating nonionic surfactants.
- the liquid composition can comprise nonionic surfactant(s) at a level of from 1 % up to 15 % by weight of the liquid detergent composition.
- the nonionic surfactants used are by preference alkoxylated, advantageously ethoxylated, in particular primary alcohols having by preference 8 to 18 carbon atoms and an average of 1 to 12 mol ethylene oxide (EO) per mol of alcohol, in which the alcohol residue can be linear or preferably methyl-branched in the 2- position, or can contain mixed linear and methyl-branched residues, such as those that are usually present in oxo alcohol residues.
- the preferred ethoxylated alcohols include, for example, C 12-14 alcohols with 3 EO, 4 EO, 5 EO, or 7 EO, C 9-11 alcohols with 7 EO, C 13-15 alcohols with 3 EO, 5 EO, 7 EO, or 8 EO, C 12-18 alcohols with 3 EO, 5 EO, or 7 EO, and mixtures thereof, such as mixtures of C 12-14 alcohol with 3 EO and C 12-18 alcohol with 7 EO.
- the degrees of ethoxylation indicated represent statistical averages, which can correspond to an integral or a fractional number for a specific product..
- fatty alcohols with more than 12 EO can also be used.
- Nonionic surfactants that contain EO and PO groups together in the molecule are also usable according to the present invention.
- mixed alkoxylated nonionic surfactants in which EO and PO units are distributed statistically rather than in block fashion. Such products are obtainable by the simultaneous action of ethylene oxide and propylene oxide on fatty alcohols.
- These nonionic surfactants are obtainable, for example, under the commercial name Dehydol® (from BASF).
- nonionic surfactants are mixtures of a (more) branched ethoxylated fatty alcohol and a non-branched ethoxylated fatty alcohol, such as mixtures of C 16-18 fatty alcohol having 7 EO and 2-propylheptanol having 7 EO.
- nonionic surfactants used in preferred fashion are alkoxylated fatty acid alkyl esters, surfactants of the amine oxide type, polyhydroxy fatty acid amides or alkylpolyglucosides.
- liquid composition comprises a C 12-18 fatty alcohol having 7 EO or a C 13-15 oxo alcohol having 7 EO as nonionic surfactant.
- Highly preferred liquid detergent compositions according to this invention contain a surfactant of the following general formula III: R 2 -O-(AO) m -H (III), wherein
- R 2 is a linear or branched, substituted or unsubstituted alkyl-, aryl- or alkylaryl group, preferably a linear, unsubstituted alkyl group, more preferably a fatty alcohol residue.
- Preferred residues R 1 are chosen from decyl-, undecyl-, dodecyl-, tridecyl-, tetradecyl, pentadecyl-, hexadecyl-, heptadecyl-, octadecyl-, nonadecyl-, eicosyl residues und their mixtures, wherein the residues with an even number of carbon atoms are preferred.
- Particularly preferred residues R 1 are derived from C 12 -C 18 -fatty alcohols, for example from coconut fatty alcohol, tallow fatty alcohol, lauryl-, myristyl-, cetyl- or stearyl alcohol or from C 10 -C 20 -oxo alcohols.
- AO is an ethylene oxide (EO) or propylene oxide (PO) group, preferably an ethylene oxide group.
- the index n is an integral number from 1 to 50, preferably from 1 to 20 und most preferably from 2 to 10. Particularly preferred, n is 2, 3, 4, 5, 6, 7 or 8.
- liquid detergent compositions contain a surfactant of the following general formula IV: R 3 -A-SO 3 - Y + (IV), wherein
- weight ratio of surfactants of formula (I) to surfactants of formula (IV) is in the range from 1 : 4 to 4 : 1.
- R 3 is a linear or branched, substituted or unsubstituted alkyl-, aryl- or alkylaryl group, preferably a linear, unsubstituted alkyl group, more preferably a fatty alcohol residue.
- Preferred residues R 1 are chosen from decyl-, undecyl-, dodecyl-, tridecyl-, tetradecyl, pentadecyl-, hexadecyl-, heptadecyl-, octadecyl-, nonadecyl-, eicosyl residues und their mixtures, wherein the residues with an even number of carbon atoms are preferred.
- Particularly preferred residues R 1 are derived from C 12 -C 18 -fatty alcohols, for example from coconut fatty alcohol, tallow fatty alcohol, lauryl-, myristyl-, cetyl- or stearyl alcohol or from C 10 -C 20 -oxo alcohols.
- A is -O- or a chemical bond.
- X is a monovalent cation or the n-th part of an n-valent cation, preferred cations are alkali metal ions, especially Na + or K + , wherein Na + is particularly preferred.
- X+ can be chosen from NH 4 + , 1 ⁇ 2Zn 2+ , 1 ⁇ 2Mg 2+ , 1 ⁇ 2Ca 2+ , 1 ⁇ 2Mn 2+ , and their mixtures.
- formula (IV) describes sulphate surfactants or sulfonate surfactants.
- R 3 preferably is a linear or branched unsubstituted alkylaryl residue.
- X is a monovalent cation or the n-th part of an n-valent cation, preferred cations are alkali metal ions, especially Na + or K + , wherein Na + is particularly preferred. Further cations X+ can be chosen from NH 4 + , 1 ⁇ 2Zn 2+ , 1 ⁇ 2Mg 2+ , 1 ⁇ 2Ca 2+ , 1 ⁇ 2Mn 2+ , and their mixtures.
- Such most preferred surfactants are chosen from linear or branched alkyl benzene sulfonates of formula C-2
- R' and R" together have 9 to 19, preferably 11 to 15 and most preferably 11 to 13 C-atoms.
- a particularly preferred representative of this formula can be described by formula C-2a:
- the liquid detergent may contain further ingredients that further improve the technical or aesthetic properties of the product.
- the liquid detergent by preference additionally contains one or more substances from the group of the detergency builders, bleaching agents, bleach activators, bleach catalysts, non-aqueous solvents, pH adjusting agents, free perfumes, fluorescing agents, dyes, hydrotopes, silicone oils, anti-redeposition agents, anti-gray agents, shrinkage preventers, wrinkle protection agents, dye transfer inhibitors, antimicrobial active substances, germicides, fungicides, antioxidants, preservatives, corrosion inhibitors, antistatic agents, bittering agents, ironing adjuvants, proofing and impregnation agents, swelling and anti-slip agents, softening compounds, complexing agents and UV absorbers.
- detergency builders non-aqueous solvents, pH adjusting agents, free perfumes, fluorescing agents, dyes, silicone oils, soil-release polymers, anti-gray agents, dye transfer inhibitors, and preservatives are most preferred included into a liquid washing or cleaning composition.
- the liquid detergent composition in particular the liquid washing or cleaning composition, according to the present invention can be used to wash and/or clean textile fabrics.
- the liquid composition is manufactured using usual and known methods and processes.
- the constituents of the liquid composition can be simply mixed in agitator vessels, the water, non-aqueous solvent, and surfactants usefully being prepared first.
- the fatty acid component if present, is then saponified at 50 to 60°C.
- the further constituents, including the structurant, preferably in the form of an o/w emulsion, are then added in portions.
- the encapsulated active is added and evenly distributed within the liquid composition.
- Yet another object of the present invention is the use of sulfo-estolide surfactants having the following general formula I: wherein one of X and Y is SO 3 - Z + , the other of X and Y is H, and X and Y are independently assigned in each repeating unit;
- Normal household washing machines (Miele W 1514) were loaded with the textiles and the graying swatch, 5 stain textiles (SBL 2004) and 2 normed test textiles (Wfk 10A and EMPA 221). 80 grams / 75 ml of the respective detergent were dosed and a 40°C program (duration 70 minutes) was started. After the washing cycle, the graying swatch, 5 stain textiles (SBL 2004) and 2 normed test textiles (Wfk 10A and EMPA 221) were taken out and replaced by fresh ones and a new washing cycle was started.
- test textiles were line-dried and ironed and the Y value of the test textiles was measured spectrographically (Minolta CR200-1, spectral measurement, band elimination filter 420 nm without UV, 30 mm, aperture, without shine).
- compositions according to the invention exhibit better cellulase performance (less graying) than the reference.
- the detergent compositions were used for washing textile pieces with standardized stains on them. Normal household washing machines (Miele W 1514) were loaded with 3.5 kg of accompanying textiles and the stained textile pieces. 80 grams / 75 ml of the respective detergent were dosed and a 40°C program (duration 70 minutes) was started. After line-drying and ironing the whiteness of the formerly stained textiles was measured spectrographically (Minolta CR200-1).
- the table shows that the cleaning power of the amylase and the lipase present in the compositions according to the invention is also enhanced.
Landscapes
- Chemical & Material Sciences (AREA)
- Life Sciences & Earth Sciences (AREA)
- Engineering & Computer Science (AREA)
- Chemical Kinetics & Catalysis (AREA)
- Oil, Petroleum & Natural Gas (AREA)
- Wood Science & Technology (AREA)
- Organic Chemistry (AREA)
- Detergent Compositions (AREA)
Description
- The present invention relates to a liquid composition comprising sulfo-estolide surfactant, soap and cellulase enzyme(s). The present invention also describes the use of sulfo-estolide surfactants for increasing the cleaning power of enzymes.
- Sulfo-estolide surfactants and light duty liquid detergents containing them are known in the art. These surfactants have good cleaning and foaming capabilities and provide less negative environmental impact.
- As disclosed in
WO2010/085279 A1 enzyme-containing liquid detergents with sulfo-estolide surfactants are known in the art. While only proteases, amylases and lipases are mentioned there, the document is also silent on the problem of enzyme stability in liquid formulations. - One problem encountered with liquid detergents comprising enzymes is the stability of the enzymes in the matrix of the liquid detergent. To solve this problem, many enzyme-stabilizing systems have been developed, some of them bringing higher production costs and environmental problems back into the formula.
- It is an object of the present invention to provide a liquid detergent comprising enzymes, wherein the enzyme remains stable even without added stabilizing agents and which is environmentally friendly and wherein the liquid detergent has high cleaning and foaming power.
- This object is achieved by a liquid detergent composition, comprising:
- a) 0.5 to 40 % by weight of the total composition of at least one sulfo-estolide surfactant having the following general formula I:
wherein
one of X and Y is SO3 - Z+, the other of X and Y is H, and X and Y are independently assigned in each repeating unit;- n
- is an integer from 1 to 30;
- A1 and A2
- are linear or branched, saturated or unsaturated, substituted or un-substituted alkyl diradicals wherein the total number of carbon atoms for each repeating unit is independent and in the range of C8 to C22;
- a
- is 0, 1 or 2 and is independently assigned in each repeating unit;
- R
- is linear or branched, saturated or unsaturated, substituted or un-substituted hydrocarbon wherein the total number of carbon atoms is from 1 to 24;
- W
- is H or a monovalent or divalent metal cation, ammonium cation, substituted ammonium cation, or an alkyl or substituted alkyl group; and
- Z
- is H or a monovalent or divalent metal cation, ammonium cation, substituted ammonium cation, or an alkyl or substituted alkyl group;
- b) at least one cellulase enzyme; and
- c) a soap.
- It has surprisingly been found that the combination of sulfo-estolide-surfactants with soap and cellulase enzymes leads to a liquid composition in which the cleaning power of the enzymes is increased. This also applies to other enzymes than cellulase. Accordingly, preferred embodiments of the present invention are liquid compositions further containing enzymes from other groups.
- It is preferred that the sulfo-estolide surfactant(s) having the general formula I are present within smaller ranges. Preferred liquid detergent compositions are characterized in that the composition comprises 1 to 35 %, preferably 2 to 30 %, more preferably 3 to 25 %, more preferably 4 to 20 %, more preferably 5 to 15 % and particularly 7.5 to 11.5 %, by weight of the liquid detergent composition, of a sulfo-estolide surfactant(s) having the general formula I.
- Sulfo-estolide surfactants and methods of making them are described in detail in the state of the art, for example in the document cited above.
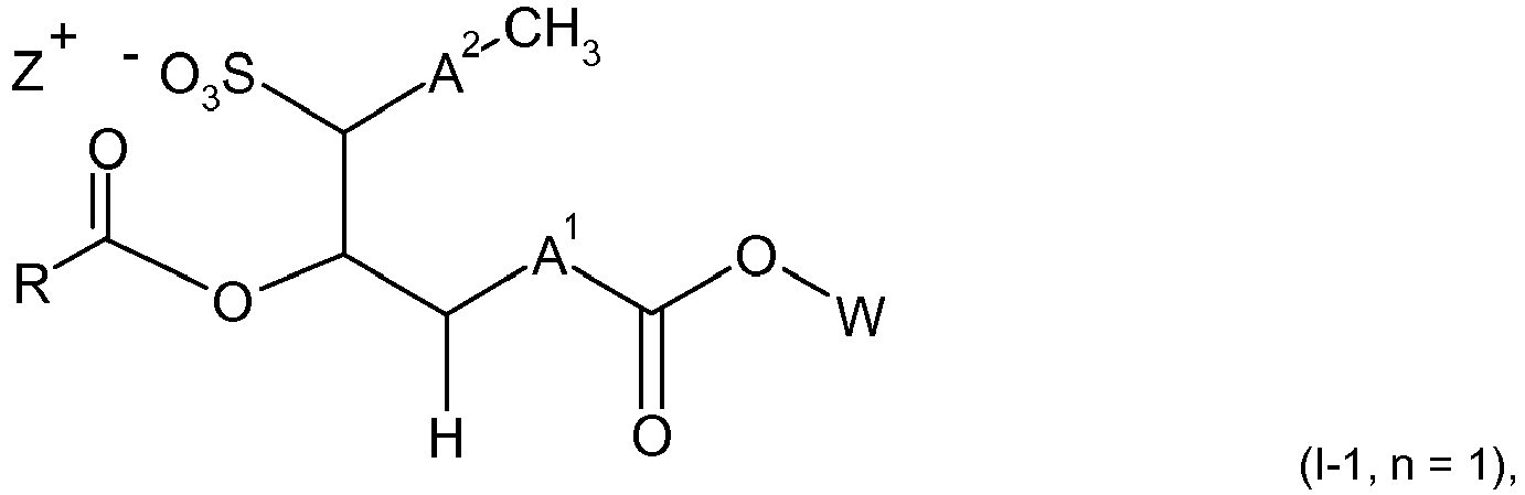
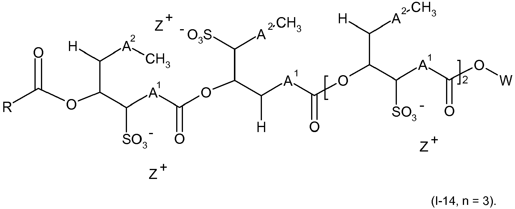
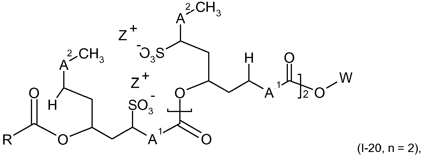
- The sulfo-estolide surfactants used in this invention contain one to thirty repeating units (n = 1 to 30). It is preferred that n is 1, 2, 3, 4, 5, 6, 7, 8, 9 or 10 with n = 1, 2, 3, or 4 preferred and n = 1, 2 or 3 more preferred an n = 1 or 2 particularly preferred.
- In each repeating unit, one of X and Y is SO3 - Z+, the other of X and Y is H. In each repeating unit, X and Y are independently assigned.
-
- p is an integer from 1 to 30, preferably 1, 2, 3, 4, 5, 6, 7, 8, 9 or 10, more preferably = 1, 2, 3, or 4 and particularly 1 or 2 and
- A1 and A2, X and Y are defined as above.
-
- Preferred liquid detergent compositions contain one or more sulfo-estolide surfactant(s) of formulae (I-1) to (1-14) above, wherein
- A1 and A2
- are linear or branched, saturated or unsaturated, substituted or un-substituted alkyl diradicals wherein the total number of carbon atoms for each repeating unit is independent and in the range of C8 to C22;
- R
- is linear or branched, saturated or unsaturated, substituted or un-substituted hydrocarbon wherein the total number of carbon atoms is from 1 to 24;
- W
- is H or a monovalent or divalent metal cation, ammonium cation, substituted ammonium cation, or an alkyl or substituted alkyl group; and
- Z
- is H or a monovalent or divalent metal cation, ammonium cation, substituted ammonium cation, or an alkyl or substituted alkyl group.
-
- q is an integer from 1 to 30, preferably 1, 2, 3, 4, 5, 6, 7, 8, 9 or 10, more preferably = 1, 2, 3, or 4 and particularly 1 or 2; and
- A1 and A2, X and Y are defined as above.
-
- Preferred liquid detergent compositions contain one or more sulfo-estolide surfactant(s) of formulae (I-15) to (I-28) above, wherein
- A1 and A2
- are linear or branched, saturated or unsaturated, substituted or un-substituted alkyl diradicals wherein the total number of carbon atoms for each repeating unit is independent and in the range of C8 to C22;
- R
- is linear or branched, saturated or unsaturated, substituted or un-substituted hydrocarbon wherein the total number of carbon atoms is from 1 to 24;
- W
- is H or a monovalent or divalent metal cation, ammonium cation, substituted ammonium cation, or an alkyl or substituted alkyl group; and
- Z
- is H or a monovalent or divalent metal cation, ammonium cation, substituted ammonium cation, or an alkyl or substituted alkyl group.
-
- r is an integer from 1 to 30, preferably 1, 2, 3, 4, 5, 6, 7, 8, 9 or 10, more preferably = 1, 2, 3, or 4 and particularly 1 or 2; and
- A1 and A2, X and Y are defined as above.
-
- Preferred liquid detergent compositions contain one or more sulfo-estolide surfactant(s) of formulae (I-29) to (1-42) above, wherein
- A1 and A2
- are linear or branched, saturated or unsaturated, substituted or un-substituted alkyl diradicals wherein the total number of carbon atoms for each repeating unit is independent and in the range of C8 to C22;
- R
- is linear or branched, saturated or unsaturated, substituted or un-substituted hydrocarbon wherein the total number of carbon atoms is from 1 to 24;
- W
- is H or a monovalent or divalent metal cation, ammonium cation, substituted ammonium cation, or an alkyl or substituted alkyl group; and
- Z
- is H or a monovalent or divalent metal cation, ammonium cation, substituted ammonium cation, or an alkyl or substituted alkyl group.
- The liquid detergent compositions of this invention contain at least one cellulase enzyme. The cellulase remains stable in the compositions of this invention, even without the use of additional enzyme stabilizers. Surprisingly, the cleaning power and the inhibition of graying of the cellulase are also improved in the sulfo-estolide surfactant containing detergents of this invention.
The cleaning power and the stability of other enzymes are also enhanced in the liquid detergents of this invention. It is preferred that the compositions of this invention contain further enzyme(s), preferably more than one other enzyme. - Preferred liquid detergent compositions contain at least one amylase enzyme.
- Further preferred liquid detergent compositions contain at least one lipase enzyme.
- Particular preferred liquid detergent compositions contain at least one amylase enzyme and at least one lipase enzyme.
- Further preferred liquid detergent compositions contain at least one mannanase enzyme.
- Particular preferred liquid detergent compositions contain at least one amylase enzyme and at least one lipase enzyme and at least one mannanase enzyme.
- Further preferred liquid detergent compositions contain at least one protease enzyme.
- Particular preferred liquid detergent compositions contain at least one amylase enzyme and at least one lipase enzyme and at least one protease enzyme.
- Most preferred liquid detergent compositions contain at least one amylase enzyme and at least one lipase enzyme and at least one mannanase enzyme and at least one protease enzyme.
- Soap as defined herein includes fatty acids and soluble salts thereof. Soaps are commonly neutralized or partially neutralized in-situ in the formulation using neutralizers such as sodium hydroxide, potassium hydroxide and/or alkanolamines such as monoethanolamine. The soap may have any suitable cation as counterion. Mixtures of cations are also possible. Illustrative examples of suitable cations for the soap include, sodium, potassium, ammonium, substituted ammonium, amino functional cations, such as alkanolammonium and the like, and mixtures thereof. Any soluble soap or fatty acid is suitable for use herein, including, lauric, myristic, palmitic stearic, oleic, linoleic, linolenic acid, and mixtures thereof. Naturally obtainable fatty acids, which are usually complex mixtures, are also suitable, such as tallow, coconut, and palm kernel fatty acids.
- It has been found, that even higher amounts of soap(s) are not detrimental to the stability of enzymes in liquid detergent compositions. Since soaps have a positive effect on the foaming power of the liquid detergent composition, on the cleaning power of the liquid detergent composition especially with regard to fatty/oily stains and on the whiteness maintenance of textiles treated with the liquid detergent composition preferred liquid detergent compositions contain at least 1.0 %, preferably at least 1.5 %, more preferably at least 2 % and particularly preferred at least 2.5 %, by weight of the liquid detergent composition, soap(s).
- Preferred liquid detergents contain additional anionic surfactant(s) besides the sulfo-estolides. Anionic surfactants are important ingredients of laundry detergents because of their cleansing and emulsifying properties. Anionic surfactants are particularly good at keeping the dirt away from fabrics, and removing oily soil residues from fabrics. It has surprisingly been found that anionic surfactants can be used in high amounts without being detrimental to the stability of the enzymes.
- It is preferred that the additional anionic surfactant is present at a level of from 1 % up to 15 % by weight of said composition and, preferably, at a level of from 2 % up to 10 % by weight of said composition. More preferred liquid detergent compositions are characterized in that the composition contains a surfactant of the following general formula II:
R1-O-(AO)n-SO3 -X+ (II),
wherein - R1
- is linear or branched, saturated or unsaturated, substituted or un-substituted hydrocarbon wherein the total number of carbon atoms is from 1 to 24;
- AO
- is an ethylene oxide- (EO) or propylene oxide- (PO) group;
- n
- is an integer from 1 to 50;
- X
- is a monovalent metal cation, the n-th part of an n-valent metal cation, an ammonium cation or a substituted ammonium cation,
- Liquid detergents containing sulfo-estolides and fatty alcohol ether sulphates wherein the sulfo-estolides form the major part of these two surfactants have been found to have a very high detergency while being highly efficient on enzymatic stains.
- In formula (II) R1 is a linear or branched, substituted or unsubstituted alkyl-, aryl- or alkylaryl group, preferably a linear, unsubstituted alkyl group, more preferably a fatty alcohol residue. Preferred residues R1 are chosen from decyl-, undecyl-, dodecyl-, tridecyl-, tetradecyl, pentadecyl-, hexadecyl-, heptadecyl-, octadecyl-, nonadecyl-, eicosyl residues und their mixtures, wherein the residues with an even number of carbon atoms are preferred. Particularly preferred residues R1 are derived from C12-C18-fatty alcohols, for example from coconut fatty alcohol, tallow fatty alcohol, lauryl-, myristyl-, cetyl- or stearyl alcohol or from C10-C20-oxo alcohols.
AO is an ethylene oxide (EO) or propylene oxide (PO) group, preferably an ethylene oxide group. The index n is an integral number from 1 to 50, preferably from 1 to 20 und most preferably from 2 to 10. Particularly preferred, n is 2, 3, 4, 5, 6, 7 or 8. X is a monovalent cation or the n-th part of an n-valent cation, preferred cations are alkali metal ions, especially Na+ or K+, wherein Na+ is particularly preferred. Further cations X+ can be chosen from NH4 +, ½Zn2+, ½Mg2+, ½Ca2+, ½Mn2+, and their mixtures.
Particularly preferred surfactants of formula (II) are chosen from fatty alcohol ether sulphates of formula A-1 with k = 11 to 19, n = 2, 3, 4, 5, 6, 7 or 8. Most preferred representatives of this formula are Na-C12-14 fatty alcohol ether sulphates with 2 EO (k = 11-13, n = 3 in formula A-1). - The cleaning power can be further enhanced by incorporating nonionic surfactants.
The liquid composition can comprise nonionic surfactant(s) at a level of from 1 % up to 15 % by weight of the liquid detergent composition. - The nonionic surfactants used are by preference alkoxylated, advantageously ethoxylated, in particular primary alcohols having by preference 8 to 18 carbon atoms and an average of 1 to 12 mol ethylene oxide (EO) per mol of alcohol, in which the alcohol residue can be linear or preferably methyl-branched in the 2- position, or can contain mixed linear and methyl-branched residues, such as those that are usually present in oxo alcohol residues. Particularly preferred, however, are alcohol ethoxylates having linear residues made up of alcohols of natural origin having 12 to 18 carbon atoms, e.g. from coconut, palm, tallow, or oleyl alcohol, and an average of 2 to 8 EO per mol of alcohol. The preferred ethoxylated alcohols include, for example, C12-14 alcohols with 3 EO, 4 EO, 5 EO, or 7 EO, C9-11 alcohols with 7 EO, C13-15 alcohols with 3 EO, 5 EO, 7 EO, or 8 EO, C12-18 alcohols with 3 EO, 5 EO, or 7 EO, and mixtures thereof, such as mixtures of C12-14 alcohol with 3 EO and C12-18 alcohol with 7 EO. The degrees of ethoxylation indicated represent statistical averages, which can correspond to an integral or a fractional number for a specific product.. In addition to these nonionic surfactants, fatty alcohols with more than 12 EO can also be used. Examples of these are tallow fatty alcohol with 14 EO, 25 EO, 30 EO, or 40 EO. Nonionic surfactants that contain EO and PO groups together in the molecule are also usable according to the present invention. Block copolymers having EO-PO block units or PO-EO block units, but also EO-PO-EO copolymers or PO-EO-PO copolymers, can be used in this context. Also usable, of course, are mixed alkoxylated nonionic surfactants in which EO and PO units are distributed statistically rather than in block fashion. Such products are obtainable by the simultaneous action of ethylene oxide and propylene oxide on fatty alcohols. These nonionic surfactants are obtainable, for example, under the commercial name Dehydol® (from BASF).
- Also suitable nonionic surfactants are mixtures of a (more) branched ethoxylated fatty alcohol and a non-branched ethoxylated fatty alcohol, such as mixtures of C16-18 fatty alcohol having 7 EO and 2-propylheptanol having 7 EO.
- Further classes of nonionic surfactants used in preferred fashion are alkoxylated fatty acid alkyl esters, surfactants of the amine oxide type, polyhydroxy fatty acid amides or alkylpolyglucosides.
- Most preferred the liquid composition comprises a C12-18 fatty alcohol having 7 EO or a C13-15 oxo alcohol having 7 EO as nonionic surfactant.
- Highly preferred liquid detergent compositions according to this invention contain a surfactant of the following general formula III:
R2-O-(AO)m-H (III),
wherein - R2
- is linear or branched, saturated or unsaturated, substituted or un-substituted hydrocarbon wherein the total number of carbon atoms is from 1 to 24;
- AO
- is an ethylene oxide- (EO) or propylene oxide- (PO) group;
- m
- is an integer from 1 to 50;
- In formula (III) R2 is a linear or branched, substituted or unsubstituted alkyl-, aryl- or alkylaryl group, preferably a linear, unsubstituted alkyl group, more preferably a fatty alcohol residue. Preferred residues R1 are chosen from decyl-, undecyl-, dodecyl-, tridecyl-, tetradecyl, pentadecyl-, hexadecyl-, heptadecyl-, octadecyl-, nonadecyl-, eicosyl residues und their mixtures, wherein the residues with an even number of carbon atoms are preferred. Particularly preferred residues R1 are derived from C12-C18-fatty alcohols, for example from coconut fatty alcohol, tallow fatty alcohol, lauryl-, myristyl-, cetyl- or stearyl alcohol or from C10-C20-oxo alcohols. AO is an ethylene oxide (EO) or propylene oxide (PO) group, preferably an ethylene oxide group. The index n is an integral number from 1 to 50, preferably from 1 to 20 und most preferably from 2 to 10. Particularly preferred, n is 2, 3, 4, 5, 6, 7 or 8.
-
- It can be advantageous to incorporate further anionic surfactants into the liquid detergents. This further surfactants can be preferably chosen from fatty alcohol sulphates and/or alkyl benzene sulfonates. Preferred liquid detergent compositions according to this invention contain a surfactant of the following general formula IV:
R3-A-SO3 -Y+ (IV),
wherein - R3
- is linear or branched, saturated or unsaturated, substituted or un-substituted hydrocarbon wherein the total number of carbon atoms is from 1 to 24;
- A
- is -O- or a chemical bond;
- Y
- is a monovalent metal cation, the n-th part of an n-valent metal cation, an ammonium cation or a substituted ammonium cation,
- wherein the weight ratio of surfactants of formula (I) to surfactants of formula (IV) is in the range from 1 : 4 to 4 : 1.
- In formula (IV) R3 is a linear or branched, substituted or unsubstituted alkyl-, aryl- or alkylaryl group, preferably a linear, unsubstituted alkyl group, more preferably a fatty alcohol residue. Preferred residues R1 are chosen from decyl-, undecyl-, dodecyl-, tridecyl-, tetradecyl, pentadecyl-, hexadecyl-, heptadecyl-, octadecyl-, nonadecyl-, eicosyl residues und their mixtures, wherein the residues with an even number of carbon atoms are preferred. Particularly preferred residues R1 are derived from C12-C18-fatty alcohols, for example from coconut fatty alcohol, tallow fatty alcohol, lauryl-, myristyl-, cetyl- or stearyl alcohol or from C10-C20-oxo alcohols.
A is -O- or a chemical bond. X is a monovalent cation or the n-th part of an n-valent cation, preferred cations are alkali metal ions, especially Na+ or K+, wherein Na+ is particularly preferred. Further cations X+ can be chosen from NH4 +, ½Zn2+, ½Mg2+, ½Ca2+, ½Mn2+, and their mixtures.
Depending on whether A is a bridging oxygen or a chemical bond, formula (IV) describes sulphate surfactants or sulfonate surfactants. -
- Even more preferred surfactants of formula (IV) are sulfonate surfactants (A = chemical bond). Here, R3 preferably is a linear or branched unsubstituted alkylaryl residue.
- X is a monovalent cation or the n-th part of an n-valent cation, preferred cations are alkali metal ions, especially Na+ or K+, wherein Na+ is particularly preferred. Further cations X+ can be chosen from NH4 +, ½Zn2+, ½Mg2+, ½Ca2+, ½Mn2+, and their mixtures.
-
-
- The liquid detergent may contain further ingredients that further improve the technical or aesthetic properties of the product. In the context of the present invention, the liquid detergent by preference additionally contains one or more substances from the group of the detergency builders, bleaching agents, bleach activators, bleach catalysts, non-aqueous solvents, pH adjusting agents, free perfumes, fluorescing agents, dyes, hydrotopes, silicone oils, anti-redeposition agents, anti-gray agents, shrinkage preventers, wrinkle protection agents, dye transfer inhibitors, antimicrobial active substances, germicides, fungicides, antioxidants, preservatives, corrosion inhibitors, antistatic agents, bittering agents, ironing adjuvants, proofing and impregnation agents, swelling and anti-slip agents, softening compounds, complexing agents and UV absorbers.
- From the above mentioned further ingredients detergency builders, non-aqueous solvents, pH adjusting agents, free perfumes, fluorescing agents, dyes, silicone oils, soil-release polymers, anti-gray agents, dye transfer inhibitors, and preservatives are most preferred included into a liquid washing or cleaning composition.
- The liquid detergent composition, in particular the liquid washing or cleaning composition, according to the present invention can be used to wash and/or clean textile fabrics.
- The liquid composition is manufactured using usual and known methods and processes. For example, the constituents of the liquid composition can be simply mixed in agitator vessels, the water, non-aqueous solvent, and surfactants usefully being prepared first. The fatty acid component, if present, is then saponified at 50 to 60°C. The further constituents, including the structurant, preferably in the form of an o/w emulsion, are then added in portions. In a final stage, the encapsulated active is added and evenly distributed within the liquid composition.
-
- n
- is an integer from 1 to 30;
- A1 and A2
- are linear or branched, saturated or unsaturated, substituted or un-substituted alkyl diradicals wherein the total number of carbon atoms for each repeating unit is independent and in the range of C8 to C22;
- a
- is 0, 1 or 2 and is independently assigned in each repeating unit;
- R
- is linear or branched, saturated or unsaturated, substituted or un-substituted hydrocarbon wherein the total number of carbon atoms is from 1 to 24;
- W
- is H or a monovalent or divalent metal cation, ammonium cation, substituted ammonium cation, or an alkyl or substituted alkyl group; and
- Z
- is H or a monovalent or divalent metal cation, ammonium cation, substituted ammonium cation, or an alkyl or substituted alkyl group
- increasing the cleaning power and the inhibition of graying of the cellulase in a soap and cellulase containing liquid detergent composition.
- For preferred uses the preferred embodiments for the liquid detergents apply mutatis mutandis. The following examples further illustrate the present invention:
- The following detergent compositions (all amounts given in % by weight) were prepared:
reference I-1 I-2 I-3 I-4 Sodium laureth sulfate 9.0 4.5 - 4.5 - Sodium sulfo-estolides, palm based - 4.5 9.0 - - Sodium sulfo-estolides, tallow based - - - 4.5 9.0 Fatty alcohols, C12-18, ethoxylated (7 EO) 7.0 7.0 7.0 7.0 7.0 Alkyl benzene sulfonic acid 7.0 7.0 7.0 7.0 7.0 Palm kernel oil fatty acid 4.0 4.0 4.0 4.0 4.0 Ethanol 1.5 1.5 1.5 1.5 1.5 Cellulase 0.1 0.1 0.1 0.1 0.1 Alpha-Amylase 0.16 0.16 0.16 0.16 0.16 Lipase 0.06 0.06 0.06 0.06 0.06 Mannanase 0.25 0.25 0.25 0.25 0.25 NaOH, 50% 3.2 3.2 3.2 3.2 3.2 Propylene glycol 2.1 2.1 2.1 2.1 2.1 Diethylene triamine penta(methylene phosphonic acid) hepta sodium salt 0.3 0.3 0.3 0.3 0.3 Boric acid 1.0 1.0 1.0 1.0 1.0 Citric acid, anhydrous 2.3 2.3 2.3 2.3 2.3 Optical brightener 0.06 0.06 0.06 0.06 0.06 Fragrance 1.2 1.2 1.2 1.2 1.2 Colorant 0.0007 0.0007 0.0007 0.0007 0.0007 Water ad 100 pH value 8.4 8.4 8.4 8.4 8.4 - The reference composition did not contain any sulfo-estolide surfactants;
- In composition I-1 according to the invention half of the sodium laureth sulfate was substituted by palm based sodium sulfo-estolides;
- In composition I-2 according to the invention all of the sodium laureth sulfate was substituted by palm based sodium sulfo-estolides;
- In composition I-1 according to the invention half of the sodium laureth sulfate was substituted by tallow based sodium sulfo-estolides;
- In composition I-1 according to the invention all of the sodium laureth sulfate was substituted by tallow based sodium sulfo-estolides.
- For testing the cellulase cleaning power, graying measurements were taken: The detergent compositions were used for washing 3.5 kg of textile pieces:
- 4 pillow holsters, cotton
- 2 terrycloth towels, cotton
- 3 undershirts/tanktops, cotton
- 2 barleycorn towels, cotton
- 8 tea towels, cotton
- Normal household washing machines (Miele W 1514) were loaded with the textiles and the graying swatch, 5 stain textiles (SBL 2004) and 2 normed test textiles (Wfk 10A and EMPA 221). 80 grams / 75 ml of the respective detergent were dosed and a 40°C program (duration 70 minutes) was started. After the washing cycle, the graying swatch, 5 stain textiles (SBL 2004) and 2 normed test textiles (Wfk 10A and EMPA 221) were taken out and replaced by fresh ones and a new washing cycle was started.
- After 5 washing cycles, the test textiles were line-dried and ironed and the Y value of the test textiles was measured spectrographically (Minolta CR200-1, spectral measurement, band elimination filter 420 nm without UV, 30 mm, aperture, without shine).
- Shown is the difference of the inventive detergent (before - after washing) to the standard detergent (before - after washing) ΔΔY.
Higher values mean better performance.Reference I-1 I-2 I-3 I-4 WFK 10A 100% CO (no optical brightener) ΔΔY 2,1 2,4 1,3 1,2 EMPA 221 100% CO ΔΔY 1,0 1,8 1,2 1,5 - The table shows that the compositions according to the invention exhibit better cellulase performance (less graying) than the reference.
- The detergent compositions were used for washing textile pieces with standardized stains on them. Normal household washing machines (Miele W 1514) were loaded with 3.5 kg of accompanying textiles and the stained textile pieces. 80 grams / 75 ml of the respective detergent were dosed and a 40°C program (duration 70 minutes) was started. After line-drying and ironing the whiteness of the formerly stained textiles was measured spectrographically (Minolta CR200-1).
- The data given in the table below is the average value of 6 external replicates. In the table, the difference to the reference formula and the deviation between the 6 measurements is shown. Higher values mean better performance.
Stain I-1 I-2 I-3 I-4 LSD tapioca starch, colored 0,8 1,4 0,8 1,6 0,6 lard (blue colored) 1,3 3,4 2,6 3,6 1,5 - The table shows that the cleaning power of the amylase and the lipase present in the compositions according to the invention is also enhanced.
Claims (14)
- A liquid detergent composition, comprisinga) 0.5 to 40 % by weight of the total composition of at least one sulfo-estolide surfactant having the following general formula I:
wherein
one of X and Y is SO3 - Z+, the other of X and Y is H, and X and Y are independently assigned in each repeating unit;n is an integer from 1 to 30;A1 and A2 are linear or branched, saturated or unsaturated, substituted or un-substituted alkyl diradicals wherein the total number of carbon atoms for each repeating unit is independent and in the range of C8 to C22;a is 0, 1 or 2 and is independently assigned in each repeating unit;R is linear or branched, saturated or unsaturated, substituted or un-substituted hydrocarbon wherein the total number of carbon atoms is from 1 to 24;W is H or a monovalent or divalent metal cation, ammonium cation, substituted ammonium cation, or an alkyl or substituted alkyl group; andZ is H or a monovalent or divalent metal cation, ammonium cation, substituted ammonium cation, or an alkyl or substituted alkyl group;b) at least one cellulase enzyme; andc) a soap. - The liquid detergent composition according to claim 1, wherein the composition comprises 1 to 35 %, preferably 2 to 30 %, more preferably 3 to 25 %, more preferably 4 to 20 %, more preferably 5 to 15 % and particularly 7.5 to 11.5 %, by weight of the liquid detergent composition, of sulfo-estolide surfactant(s) having the general formula I.
- The liquid detergent composition according to claim 1 or 2, wherein the sulfo-estolide surfactant(s) comprise(s) units of general formula la-1 and/or la-2
whereinp is an integer from 1 to 30, preferably 1, 2, 3, 4, 5, 6, 7, 8, 9 or 10, more preferably = 1, 2, 3, or 4 and particularly 1 or 2; andA1 and A2, X and Y are defined as above. - The liquid detergent composition according to claim, 1, 2 or 3, wherein the sulfo-estolide surfactant(s) comprise(s) units of general formula Ib-1 and/or Ib-2
whereinq is an integer from 1 to 30, preferably 1, 2, 3, 4, 5, 6, 7, 8, 9 or 10, more preferably = 1, 2, 3, or 4 and particularly 1 or 2; andA1 and A2, X and Y are defined as above. - The liquid detergent composition according to claim 1, 2, 3 or 4, wherein the sulfo-estolide surfactant(s) comprise(s) units of general formula Ic-1 and/or Ic-2
whereinr is an integer from 1 to 30, preferably 1, 2, 3, 4, 5, 6, 7, 8, 9 or 10, more preferably = 1, 2, 3, or 4 and particularly 1 or 2; andA1 and A2, X and Y are defined as above. - The liquid detergent composition according to claim 1, 2, 3, 4 or 5, wherein the composition contains at least one amylase enzyme.
- The liquid detergent composition according to claim 1, 2, 3, 4, 5 or 6, wherein the composition contains at least one lipase enzyme.
- The liquid detergent composition according to claim 1, 2, 3, 4, 5, 6 or 7, wherein the composition contains at least one mannanase enzyme.
- The liquid detergent composition according to claim 1, 2, 3, 4, 5, 6, 7 or 8, wherein the composition contains at least one protease enzyme.
- The liquid detergent composition according to claim 1, 2, 3, 4, 5, 6, 7, 8 or 9, wherein the composition contains at least 1.0 %, preferably at least 1.5 %, more preferably at least 2 % and particularly preferred at least 2.5 %, by weight of the liquid detergent composition, soap(s).
- The liquid detergent composition according to claim 1, 2, 3, 4, 5, 6, 7, 8, 9 or 10, wherein the composition contains a surfactant of the following general formula II:
R1-O-(AO)n-SO3 - X+ (II),
whereinR1 is linear or branched, saturated or unsaturated, substituted or un-substituted hydrocarbon wherein the total number of carbon atoms is from 1 to 24;AO is an ethylene oxide- (EO) or propylene oxide- (PO) group;n is an integer from 1 to 50;X is a monovalent metal cation, the n-th part of an n-valent metal cation, an ammonium cation or a substituted ammonium cation,wherein the weight ratio of surfactants of formula (I) to surfactants of formula (II) is ≥ 1. - The liquid detergent composition according to claim 1, 2, 3, 4, 5, 6, 7, 8,9 ,10 or 11, wherein the composition contains a surfactant of the following general formula II:
R2-O-(AO)m-H (III),
whereinR2 is linear or branched, saturated or unsaturated, substituted or un-substituted hydrocarbon wherein the total number of carbon atoms is from 1 to 24;AO is an ethylene oxide- (EO) or propylene oxide- (PO) group;m is an integer from 1 to 50;wherein the weight ratio of surfactants of formula (I) to surfactants of formula (III) is in the range from 1 : 4 to 4 : 1. - The liquid detergent composition according to claim 1, 2, 3, 4, 5, 6, 7, 8, 9, 10, 11 or 12, wherein the composition contains a surfactant of the following general formula IV:
R3-A-SO3 -Y+ (IV),
whereinR3 is linear or branched, saturated or unsaturated, substituted or un-substituted hydrocarbon wherein the total number of carbon atoms is from 1 to 24;A is -O- or a chemical bond;Y is a monovalent metal cation, the n-th part of an n-valent metal cation, an ammonium cation or a substituted ammonium cation,wherein the weight ratio of surfactants of formula (I) to surfactants of formula (IV) is in the range from 1 : 4 to 4 : 1. - The use of sulfo-estolide surfactants having the following general formula I:
wherein
one of X and Y is SO3 - Z+, the other of X and Y is H, and X and Y are independently assigned in each repeating unit;n is an integer from 1 to 30;A1 and A2 are linear or branched, saturated or unsaturated, substituted or un-substituted alkyl diradicals wherein the total number of carbon atoms for each repeating unit is independent and in the range of C8 to C22;a is 0, 1 or 2 and is independently assigned in each repeating unit;R is linear or branched, saturated or unsaturated, substituted or un-substituted hydrocarbon wherein the total number of carbon atoms is from 1 to 24;W is H or a monovalent or divalent metal cation, ammonium cation, substituted ammonium cation, or an alkyl or substituted alkyl group; andZ is H or a monovalent or divalent metal cation, ammonium cation, substituted ammonium cation, or an alkyl or substituted alkyl groupfor increasing the cleaning power and the inhibition of graying of a cellulase in a soap(s) and cellulase containing liquid detergent composition.
Priority Applications (1)
| Application Number | Priority Date | Filing Date | Title |
|---|---|---|---|
| EP13770686.7A EP2906674B1 (en) | 2012-10-12 | 2013-09-27 | Liquid detergent compositions with soap, sulfo-estolide surfactant and cellulase |
Applications Claiming Priority (3)
| Application Number | Priority Date | Filing Date | Title |
|---|---|---|---|
| EP12188403 | 2012-10-12 | ||
| PCT/EP2013/070282 WO2014056743A1 (en) | 2012-10-12 | 2013-09-27 | Liquid detergent compositions with soap, sulfo-estolide surfactant and cellulase |
| EP13770686.7A EP2906674B1 (en) | 2012-10-12 | 2013-09-27 | Liquid detergent compositions with soap, sulfo-estolide surfactant and cellulase |
Publications (2)
| Publication Number | Publication Date |
|---|---|
| EP2906674A1 EP2906674A1 (en) | 2015-08-19 |
| EP2906674B1 true EP2906674B1 (en) | 2018-11-07 |
Family
ID=47049032
Family Applications (1)
| Application Number | Title | Priority Date | Filing Date |
|---|---|---|---|
| EP13770686.7A Active EP2906674B1 (en) | 2012-10-12 | 2013-09-27 | Liquid detergent compositions with soap, sulfo-estolide surfactant and cellulase |
Country Status (2)
| Country | Link |
|---|---|
| EP (1) | EP2906674B1 (en) |
| WO (1) | WO2014056743A1 (en) |
Families Citing this family (1)
| Publication number | Priority date | Publication date | Assignee | Title |
|---|---|---|---|---|
| WO2025252945A1 (en) * | 2024-06-06 | 2025-12-11 | Unilever Ip Holdings B.V. | Cleansing compositions containing nanoemulions of oligomers |
Family Cites Families (4)
| Publication number | Priority date | Publication date | Assignee | Title |
|---|---|---|---|---|
| DE4034840A1 (en) * | 1990-11-02 | 1992-05-07 | Henkel Kgaa | ENZYMATIC LIQUID DETERGENT |
| DE4344154A1 (en) * | 1993-12-23 | 1995-06-29 | Henkel Kgaa | Liquid detergent containing enzymes |
| US7666828B2 (en) * | 2008-01-22 | 2010-02-23 | Stepan Company | Sulfonated estolides and other derivatives of fatty acids, methods of making them, and compositions and processes employing them |
| BRPI0924129B1 (en) * | 2009-01-21 | 2019-09-17 | Stepan Company | AGRICULTURAL COMPOSITION OF SULFONED STOLIDES AND OTHER FATTY ACID DERIVATIVES |
-
2013
- 2013-09-27 WO PCT/EP2013/070282 patent/WO2014056743A1/en not_active Ceased
- 2013-09-27 EP EP13770686.7A patent/EP2906674B1/en active Active
Non-Patent Citations (1)
| Title |
|---|
| None * |
Also Published As
| Publication number | Publication date |
|---|---|
| WO2014056743A1 (en) | 2014-04-17 |
| EP2906674A1 (en) | 2015-08-19 |
Similar Documents
| Publication | Publication Date | Title |
|---|---|---|
| US20210071107A1 (en) | Cleaning compositions containing a branched alkyl sulfate surfactant and a short-chain nonionic surfactant | |
| US7001878B2 (en) | Liquid unit dose detergent composition | |
| US8729007B2 (en) | Acidic laundry detergent compositions comprising alkyl benzene sulfonate | |
| US11046919B2 (en) | Liquid laundry detergent composition | |
| US20170137747A1 (en) | Cleaning compositions containing branched alkyl sulfate surfactants and linear alkyl sulfate surfactants | |
| KR20160034969A (en) | Detergent containing amine oxide | |
| CN111492045B (en) | Liquid detergent compositions comprising alkyl ethoxylated sulfate surfactants | |
| EP3988635A1 (en) | Heavy duty laundry detergent | |
| US10647944B2 (en) | Cleaning compositions containing branched alkyl sulfate surfactant with little or no alkoxylated alkyl sulfate | |
| US20180216029A1 (en) | Concentrated surfactant composition | |
| CN118265767A (en) | Liquid detergent composition | |
| JP2024544942A (en) | Liquid detergent composition | |
| WO2014190128A1 (en) | Low ph multipurpose cleaning composition | |
| CN103930537A (en) | Liquid detergent composition | |
| US10066191B2 (en) | Washing or cleaning composition having improved foaming characteristics with a high level of soiling | |
| WO2013051610A1 (en) | Cleaning agent and liquid cleaning agent for textile product | |
| EP2906674B1 (en) | Liquid detergent compositions with soap, sulfo-estolide surfactant and cellulase | |
| JP2023048666A (en) | liquid detergent composition | |
| WO2013047103A1 (en) | Powder cleaning detergent composition for clothing | |
| CA3066105C (en) | Detergent compositions comprising aes surfactant having alkyl chain lengths of fourteen total carbons | |
| US9169457B2 (en) | Washing or cleaning agent with cellulose or a cellulose derivative | |
| JP7133954B2 (en) | Laundry detergent composition | |
| KR101421350B1 (en) | Liquid detergent composition |
Legal Events
| Date | Code | Title | Description |
|---|---|---|---|
| PUAI | Public reference made under article 153(3) epc to a published international application that has entered the european phase |
Free format text: ORIGINAL CODE: 0009012 |
|
| 17P | Request for examination filed |
Effective date: 20150325 |
|
| AK | Designated contracting states |
Kind code of ref document: A1 Designated state(s): AL AT BE BG CH CY CZ DE DK EE ES FI FR GB GR HR HU IE IS IT LI LT LU LV MC MK MT NL NO PL PT RO RS SE SI SK SM TR |
|
| AX | Request for extension of the european patent |
Extension state: BA ME |
|
| DAX | Request for extension of the european patent (deleted) | ||
| STAA | Information on the status of an ep patent application or granted ep patent |
Free format text: STATUS: EXAMINATION IS IN PROGRESS |
|
| 17Q | First examination report despatched |
Effective date: 20170824 |
|
| GRAP | Despatch of communication of intention to grant a patent |
Free format text: ORIGINAL CODE: EPIDOSNIGR1 |
|
| STAA | Information on the status of an ep patent application or granted ep patent |
Free format text: STATUS: GRANT OF PATENT IS INTENDED |
|
| INTG | Intention to grant announced |
Effective date: 20180612 |
|
| GRAS | Grant fee paid |
Free format text: ORIGINAL CODE: EPIDOSNIGR3 |
|
| GRAA | (expected) grant |
Free format text: ORIGINAL CODE: 0009210 |
|
| STAA | Information on the status of an ep patent application or granted ep patent |
Free format text: STATUS: THE PATENT HAS BEEN GRANTED |
|
| AK | Designated contracting states |
Kind code of ref document: B1 Designated state(s): AL AT BE BG CH CY CZ DE DK EE ES FI FR GB GR HR HU IE IS IT LI LT LU LV MC MK MT NL NO PL PT RO RS SE SI SK SM TR |
|
| REG | Reference to a national code |
Ref country code: GB Ref legal event code: FG4D |
|
| REG | Reference to a national code |
Ref country code: CH Ref legal event code: EP Ref country code: AT Ref legal event code: REF Ref document number: 1062074 Country of ref document: AT Kind code of ref document: T Effective date: 20181115 |
|
| REG | Reference to a national code |
Ref country code: IE Ref legal event code: FG4D |
|
| REG | Reference to a national code |
Ref country code: DE Ref legal event code: R096 Ref document number: 602013046348 Country of ref document: DE |
|
| REG | Reference to a national code |
Ref country code: NL Ref legal event code: MP Effective date: 20181107 |
|
| REG | Reference to a national code |
Ref country code: LT Ref legal event code: MG4D |
|
| REG | Reference to a national code |
Ref country code: AT Ref legal event code: MK05 Ref document number: 1062074 Country of ref document: AT Kind code of ref document: T Effective date: 20181107 |
|
| PG25 | Lapsed in a contracting state [announced via postgrant information from national office to epo] |
Ref country code: ES Free format text: LAPSE BECAUSE OF FAILURE TO SUBMIT A TRANSLATION OF THE DESCRIPTION OR TO PAY THE FEE WITHIN THE PRESCRIBED TIME-LIMIT Effective date: 20181107 Ref country code: LV Free format text: LAPSE BECAUSE OF FAILURE TO SUBMIT A TRANSLATION OF THE DESCRIPTION OR TO PAY THE FEE WITHIN THE PRESCRIBED TIME-LIMIT Effective date: 20181107 Ref country code: NO Free format text: LAPSE BECAUSE OF FAILURE TO SUBMIT A TRANSLATION OF THE DESCRIPTION OR TO PAY THE FEE WITHIN THE PRESCRIBED TIME-LIMIT Effective date: 20190207 Ref country code: BG Free format text: LAPSE BECAUSE OF FAILURE TO SUBMIT A TRANSLATION OF THE DESCRIPTION OR TO PAY THE FEE WITHIN THE PRESCRIBED TIME-LIMIT Effective date: 20190207 Ref country code: HR Free format text: LAPSE BECAUSE OF FAILURE TO SUBMIT A TRANSLATION OF THE DESCRIPTION OR TO PAY THE FEE WITHIN THE PRESCRIBED TIME-LIMIT Effective date: 20181107 Ref country code: FI Free format text: LAPSE BECAUSE OF FAILURE TO SUBMIT A TRANSLATION OF THE DESCRIPTION OR TO PAY THE FEE WITHIN THE PRESCRIBED TIME-LIMIT Effective date: 20181107 Ref country code: LT Free format text: LAPSE BECAUSE OF FAILURE TO SUBMIT A TRANSLATION OF THE DESCRIPTION OR TO PAY THE FEE WITHIN THE PRESCRIBED TIME-LIMIT Effective date: 20181107 Ref country code: AT Free format text: LAPSE BECAUSE OF FAILURE TO SUBMIT A TRANSLATION OF THE DESCRIPTION OR TO PAY THE FEE WITHIN THE PRESCRIBED TIME-LIMIT Effective date: 20181107 Ref country code: IS Free format text: LAPSE BECAUSE OF FAILURE TO SUBMIT A TRANSLATION OF THE DESCRIPTION OR TO PAY THE FEE WITHIN THE PRESCRIBED TIME-LIMIT Effective date: 20190307 |
|
| PG25 | Lapsed in a contracting state [announced via postgrant information from national office to epo] |
Ref country code: SE Free format text: LAPSE BECAUSE OF FAILURE TO SUBMIT A TRANSLATION OF THE DESCRIPTION OR TO PAY THE FEE WITHIN THE PRESCRIBED TIME-LIMIT Effective date: 20181107 Ref country code: NL Free format text: LAPSE BECAUSE OF FAILURE TO SUBMIT A TRANSLATION OF THE DESCRIPTION OR TO PAY THE FEE WITHIN THE PRESCRIBED TIME-LIMIT Effective date: 20181107 Ref country code: RS Free format text: LAPSE BECAUSE OF FAILURE TO SUBMIT A TRANSLATION OF THE DESCRIPTION OR TO PAY THE FEE WITHIN THE PRESCRIBED TIME-LIMIT Effective date: 20181107 Ref country code: GR Free format text: LAPSE BECAUSE OF FAILURE TO SUBMIT A TRANSLATION OF THE DESCRIPTION OR TO PAY THE FEE WITHIN THE PRESCRIBED TIME-LIMIT Effective date: 20190208 Ref country code: PT Free format text: LAPSE BECAUSE OF FAILURE TO SUBMIT A TRANSLATION OF THE DESCRIPTION OR TO PAY THE FEE WITHIN THE PRESCRIBED TIME-LIMIT Effective date: 20190307 Ref country code: AL Free format text: LAPSE BECAUSE OF FAILURE TO SUBMIT A TRANSLATION OF THE DESCRIPTION OR TO PAY THE FEE WITHIN THE PRESCRIBED TIME-LIMIT Effective date: 20181107 |
|
| PG25 | Lapsed in a contracting state [announced via postgrant information from national office to epo] |
Ref country code: CZ Free format text: LAPSE BECAUSE OF FAILURE TO SUBMIT A TRANSLATION OF THE DESCRIPTION OR TO PAY THE FEE WITHIN THE PRESCRIBED TIME-LIMIT Effective date: 20181107 Ref country code: PL Free format text: LAPSE BECAUSE OF FAILURE TO SUBMIT A TRANSLATION OF THE DESCRIPTION OR TO PAY THE FEE WITHIN THE PRESCRIBED TIME-LIMIT Effective date: 20181107 Ref country code: DK Free format text: LAPSE BECAUSE OF FAILURE TO SUBMIT A TRANSLATION OF THE DESCRIPTION OR TO PAY THE FEE WITHIN THE PRESCRIBED TIME-LIMIT Effective date: 20181107 |
|
| REG | Reference to a national code |
Ref country code: DE Ref legal event code: R097 Ref document number: 602013046348 Country of ref document: DE |
|
| PG25 | Lapsed in a contracting state [announced via postgrant information from national office to epo] |
Ref country code: SM Free format text: LAPSE BECAUSE OF FAILURE TO SUBMIT A TRANSLATION OF THE DESCRIPTION OR TO PAY THE FEE WITHIN THE PRESCRIBED TIME-LIMIT Effective date: 20181107 Ref country code: EE Free format text: LAPSE BECAUSE OF FAILURE TO SUBMIT A TRANSLATION OF THE DESCRIPTION OR TO PAY THE FEE WITHIN THE PRESCRIBED TIME-LIMIT Effective date: 20181107 Ref country code: SK Free format text: LAPSE BECAUSE OF FAILURE TO SUBMIT A TRANSLATION OF THE DESCRIPTION OR TO PAY THE FEE WITHIN THE PRESCRIBED TIME-LIMIT Effective date: 20181107 Ref country code: RO Free format text: LAPSE BECAUSE OF FAILURE TO SUBMIT A TRANSLATION OF THE DESCRIPTION OR TO PAY THE FEE WITHIN THE PRESCRIBED TIME-LIMIT Effective date: 20181107 |
|
| PLBE | No opposition filed within time limit |
Free format text: ORIGINAL CODE: 0009261 |
|
| STAA | Information on the status of an ep patent application or granted ep patent |
Free format text: STATUS: NO OPPOSITION FILED WITHIN TIME LIMIT |
|
| 26N | No opposition filed |
Effective date: 20190808 |
|
| PG25 | Lapsed in a contracting state [announced via postgrant information from national office to epo] |
Ref country code: SI Free format text: LAPSE BECAUSE OF FAILURE TO SUBMIT A TRANSLATION OF THE DESCRIPTION OR TO PAY THE FEE WITHIN THE PRESCRIBED TIME-LIMIT Effective date: 20181107 |
|
| PG25 | Lapsed in a contracting state [announced via postgrant information from national office to epo] |
Ref country code: TR Free format text: LAPSE BECAUSE OF FAILURE TO SUBMIT A TRANSLATION OF THE DESCRIPTION OR TO PAY THE FEE WITHIN THE PRESCRIBED TIME-LIMIT Effective date: 20181107 |
|
| PG25 | Lapsed in a contracting state [announced via postgrant information from national office to epo] |
Ref country code: MC Free format text: LAPSE BECAUSE OF FAILURE TO SUBMIT A TRANSLATION OF THE DESCRIPTION OR TO PAY THE FEE WITHIN THE PRESCRIBED TIME-LIMIT Effective date: 20181107 |
|
| REG | Reference to a national code |
Ref country code: CH Ref legal event code: PL |
|
| PG25 | Lapsed in a contracting state [announced via postgrant information from national office to epo] |
Ref country code: CH Free format text: LAPSE BECAUSE OF NON-PAYMENT OF DUE FEES Effective date: 20190930 Ref country code: LU Free format text: LAPSE BECAUSE OF NON-PAYMENT OF DUE FEES Effective date: 20190927 Ref country code: LI Free format text: LAPSE BECAUSE OF NON-PAYMENT OF DUE FEES Effective date: 20190930 Ref country code: IE Free format text: LAPSE BECAUSE OF NON-PAYMENT OF DUE FEES Effective date: 20190927 |
|
| REG | Reference to a national code |
Ref country code: BE Ref legal event code: MM Effective date: 20190930 |
|
| PG25 | Lapsed in a contracting state [announced via postgrant information from national office to epo] |
Ref country code: BE Free format text: LAPSE BECAUSE OF NON-PAYMENT OF DUE FEES Effective date: 20190930 |
|
| PG25 | Lapsed in a contracting state [announced via postgrant information from national office to epo] |
Ref country code: CY Free format text: LAPSE BECAUSE OF FAILURE TO SUBMIT A TRANSLATION OF THE DESCRIPTION OR TO PAY THE FEE WITHIN THE PRESCRIBED TIME-LIMIT Effective date: 20181107 |
|
| PG25 | Lapsed in a contracting state [announced via postgrant information from national office to epo] |
Ref country code: MT Free format text: LAPSE BECAUSE OF FAILURE TO SUBMIT A TRANSLATION OF THE DESCRIPTION OR TO PAY THE FEE WITHIN THE PRESCRIBED TIME-LIMIT Effective date: 20181107 Ref country code: HU Free format text: LAPSE BECAUSE OF FAILURE TO SUBMIT A TRANSLATION OF THE DESCRIPTION OR TO PAY THE FEE WITHIN THE PRESCRIBED TIME-LIMIT; INVALID AB INITIO Effective date: 20130927 |
|
| PG25 | Lapsed in a contracting state [announced via postgrant information from national office to epo] |
Ref country code: MK Free format text: LAPSE BECAUSE OF FAILURE TO SUBMIT A TRANSLATION OF THE DESCRIPTION OR TO PAY THE FEE WITHIN THE PRESCRIBED TIME-LIMIT Effective date: 20181107 |
|
| P01 | Opt-out of the competence of the unified patent court (upc) registered |
Effective date: 20230530 |
|
| PGFP | Annual fee paid to national office [announced via postgrant information from national office to epo] |
Ref country code: DE Payment date: 20250919 Year of fee payment: 13 |
|
| PGFP | Annual fee paid to national office [announced via postgrant information from national office to epo] |
Ref country code: IT Payment date: 20250923 Year of fee payment: 13 |
|
| PGFP | Annual fee paid to national office [announced via postgrant information from national office to epo] |
Ref country code: GB Payment date: 20250919 Year of fee payment: 13 |
|
| PGFP | Annual fee paid to national office [announced via postgrant information from national office to epo] |
Ref country code: FR Payment date: 20250922 Year of fee payment: 13 |























































