EP2393982B1 - Method for producing paper, card and board with high dry strength - Google Patents
Method for producing paper, card and board with high dry strength Download PDFInfo
- Publication number
- EP2393982B1 EP2393982B1 EP10703443A EP10703443A EP2393982B1 EP 2393982 B1 EP2393982 B1 EP 2393982B1 EP 10703443 A EP10703443 A EP 10703443A EP 10703443 A EP10703443 A EP 10703443A EP 2393982 B1 EP2393982 B1 EP 2393982B1
- Authority
- EP
- European Patent Office
- Prior art keywords
- acid
- weight
- polymer
- process according
- anionic
- Prior art date
- Legal status (The legal status is an assumption and is not a legal conclusion. Google has not performed a legal analysis and makes no representation as to the accuracy of the status listed.)
- Not-in-force
Links
- 238000004519 manufacturing process Methods 0.000 title claims description 13
- 239000000178 monomer Substances 0.000 claims description 78
- 229920000642 polymer Polymers 0.000 claims description 64
- 229920006317 cationic polymer Polymers 0.000 claims description 43
- PPBRXRYQALVLMV-UHFFFAOYSA-N Styrene Chemical compound C=CC1=CC=CC=C1 PPBRXRYQALVLMV-UHFFFAOYSA-N 0.000 claims description 42
- 239000000123 paper Substances 0.000 claims description 41
- 238000000034 method Methods 0.000 claims description 40
- 229920002472 Starch Polymers 0.000 claims description 33
- 229920000126 latex Polymers 0.000 claims description 33
- 235000019698 starch Nutrition 0.000 claims description 33
- 229920006318 anionic polymer Polymers 0.000 claims description 32
- NIXOWILDQLNWCW-UHFFFAOYSA-N 2-Propenoic acid Natural products OC(=O)C=C NIXOWILDQLNWCW-UHFFFAOYSA-N 0.000 claims description 31
- 125000000129 anionic group Chemical group 0.000 claims description 31
- 230000008569 process Effects 0.000 claims description 29
- SMZOUWXMTYCWNB-UHFFFAOYSA-N 2-(2-methoxy-5-methylphenyl)ethanamine Chemical compound COC1=CC=C(C)C=C1CCN SMZOUWXMTYCWNB-UHFFFAOYSA-N 0.000 claims description 23
- CERQOIWHTDAKMF-UHFFFAOYSA-N Methacrylic acid Chemical compound CC(=C)C(O)=O CERQOIWHTDAKMF-UHFFFAOYSA-N 0.000 claims description 23
- 239000008107 starch Substances 0.000 claims description 23
- NLHHRLWOUZZQLW-UHFFFAOYSA-N Acrylonitrile Chemical compound C=CC#N NLHHRLWOUZZQLW-UHFFFAOYSA-N 0.000 claims description 21
- 239000006185 dispersion Substances 0.000 claims description 21
- 239000004816 latex Substances 0.000 claims description 19
- 235000011007 phosphoric acid Nutrition 0.000 claims description 18
- 150000003016 phosphoric acids Chemical class 0.000 claims description 17
- UYMKPFRHYYNDTL-UHFFFAOYSA-N ethenamine Chemical group NC=C UYMKPFRHYYNDTL-UHFFFAOYSA-N 0.000 claims description 12
- VZCYOOQTPOCHFL-UHFFFAOYSA-N trans-butenedioic acid Natural products OC(=O)C=CC(O)=O VZCYOOQTPOCHFL-UHFFFAOYSA-N 0.000 claims description 12
- OFOBLEOULBTSOW-UHFFFAOYSA-N Propanedioic acid Natural products OC(=O)CC(O)=O OFOBLEOULBTSOW-UHFFFAOYSA-N 0.000 claims description 10
- VZCYOOQTPOCHFL-OWOJBTEDSA-N Fumaric acid Chemical compound OC(=O)\C=C\C(O)=O VZCYOOQTPOCHFL-OWOJBTEDSA-N 0.000 claims description 9
- JAHNSTQSQJOJLO-UHFFFAOYSA-N 2-(3-fluorophenyl)-1h-imidazole Chemical compound FC1=CC=CC(C=2NC=CN=2)=C1 JAHNSTQSQJOJLO-UHFFFAOYSA-N 0.000 claims description 8
- 229920002774 Maltodextrin Polymers 0.000 claims description 8
- GYCMBHHDWRMZGG-UHFFFAOYSA-N Methylacrylonitrile Chemical compound CC(=C)C#N GYCMBHHDWRMZGG-UHFFFAOYSA-N 0.000 claims description 8
- GOOHAUXETOMSMM-UHFFFAOYSA-N Propylene oxide Chemical group CC1CO1 GOOHAUXETOMSMM-UHFFFAOYSA-N 0.000 claims description 8
- 150000001252 acrylic acid derivatives Chemical class 0.000 claims description 8
- 238000001035 drying Methods 0.000 claims description 8
- VZCYOOQTPOCHFL-UPHRSURJSA-N maleic acid Chemical compound OC(=O)\C=C/C(O)=O VZCYOOQTPOCHFL-UPHRSURJSA-N 0.000 claims description 8
- 239000011976 maleic acid Substances 0.000 claims description 8
- LVHBHZANLOWSRM-UHFFFAOYSA-N methylenebutanedioic acid Natural products OC(=O)CC(=C)C(O)=O LVHBHZANLOWSRM-UHFFFAOYSA-N 0.000 claims description 8
- NBIIXXVUZAFLBC-UHFFFAOYSA-N Phosphoric acid Chemical group OP(O)(O)=O NBIIXXVUZAFLBC-UHFFFAOYSA-N 0.000 claims description 7
- 239000005913 Maltodextrin Substances 0.000 claims description 6
- 229940035034 maltodextrin Drugs 0.000 claims description 6
- 230000032050 esterification Effects 0.000 claims description 5
- 238000005886 esterification reaction Methods 0.000 claims description 5
- 239000011111 cardboard Substances 0.000 claims description 4
- 239000001530 fumaric acid Substances 0.000 claims description 4
- LDHQCZJRKDOVOX-NSCUHMNNSA-N crotonic acid Chemical compound C\C=C\C(O)=O LDHQCZJRKDOVOX-NSCUHMNNSA-N 0.000 claims description 3
- LDHQCZJRKDOVOX-UHFFFAOYSA-N trans-crotonic acid Natural products CC=CC(O)=O LDHQCZJRKDOVOX-UHFFFAOYSA-N 0.000 claims description 3
- PSZAEHPBBUYICS-UHFFFAOYSA-N 2-methylidenepropanedioic acid Chemical compound OC(=O)C(=C)C(O)=O PSZAEHPBBUYICS-UHFFFAOYSA-N 0.000 claims description 2
- YYPNJNDODFVZLE-UHFFFAOYSA-N 3-methylbut-2-enoic acid Chemical compound CC(C)=CC(O)=O YYPNJNDODFVZLE-UHFFFAOYSA-N 0.000 claims description 2
- HNEGQIOMVPPMNR-IHWYPQMZSA-N citraconic acid Chemical compound OC(=O)C(/C)=C\C(O)=O HNEGQIOMVPPMNR-IHWYPQMZSA-N 0.000 claims description 2
- 229940018557 citraconic acid Drugs 0.000 claims description 2
- HNEGQIOMVPPMNR-NSCUHMNNSA-N mesaconic acid Chemical compound OC(=O)C(/C)=C/C(O)=O HNEGQIOMVPPMNR-NSCUHMNNSA-N 0.000 claims description 2
- HNEGQIOMVPPMNR-UHFFFAOYSA-N methylfumaric acid Natural products OC(=O)C(C)=CC(O)=O HNEGQIOMVPPMNR-UHFFFAOYSA-N 0.000 claims description 2
- 125000004178 (C1-C4) alkyl group Chemical group 0.000 claims 2
- 150000002734 metacrylic acid derivatives Chemical class 0.000 claims 2
- ABLZXFCXXLZCGV-UHFFFAOYSA-N Phosphorous acid Chemical compound OP(O)=O ABLZXFCXXLZCGV-UHFFFAOYSA-N 0.000 claims 1
- 150000001253 acrylic acids Chemical class 0.000 claims 1
- 239000000243 solution Substances 0.000 description 44
- -1 polyvinylamine Polymers 0.000 description 38
- NIXOWILDQLNWCW-UHFFFAOYSA-M Acrylate Chemical compound [O-]C(=O)C=C NIXOWILDQLNWCW-UHFFFAOYSA-M 0.000 description 30
- HEMHJVSKTPXQMS-UHFFFAOYSA-M Sodium hydroxide Chemical compound [OH-].[Na+] HEMHJVSKTPXQMS-UHFFFAOYSA-M 0.000 description 30
- 239000000203 mixture Substances 0.000 description 30
- 239000002253 acid Substances 0.000 description 23
- 125000002091 cationic group Chemical group 0.000 description 23
- 150000001875 compounds Chemical class 0.000 description 23
- CHQMHPLRPQMAMX-UHFFFAOYSA-L sodium persulfate Chemical compound [Na+].[Na+].[O-]S(=O)(=O)OOS([O-])(=O)=O CHQMHPLRPQMAMX-UHFFFAOYSA-L 0.000 description 20
- 239000007787 solid Substances 0.000 description 20
- XLYOFNOQVPJJNP-UHFFFAOYSA-N water Substances O XLYOFNOQVPJJNP-UHFFFAOYSA-N 0.000 description 20
- 229920001577 copolymer Polymers 0.000 description 18
- 238000006116 polymerization reaction Methods 0.000 description 16
- 238000007720 emulsion polymerization reaction Methods 0.000 description 15
- 239000000047 product Substances 0.000 description 15
- 239000000725 suspension Substances 0.000 description 15
- 230000009477 glass transition Effects 0.000 description 14
- CIHOLLKRGTVIJN-UHFFFAOYSA-N tert‐butyl hydroperoxide Chemical compound CC(C)(C)OO CIHOLLKRGTVIJN-UHFFFAOYSA-N 0.000 description 14
- 238000007792 addition Methods 0.000 description 13
- CSCPPACGZOOCGX-UHFFFAOYSA-N Acetone Chemical compound CC(C)=O CSCPPACGZOOCGX-UHFFFAOYSA-N 0.000 description 12
- HRPVXLWXLXDGHG-UHFFFAOYSA-N Acrylamide Chemical compound NC(=O)C=C HRPVXLWXLXDGHG-UHFFFAOYSA-N 0.000 description 11
- 238000006243 chemical reaction Methods 0.000 description 11
- 150000002148 esters Chemical class 0.000 description 11
- 229920001519 homopolymer Polymers 0.000 description 11
- 239000003999 initiator Substances 0.000 description 11
- 239000000126 substance Substances 0.000 description 11
- CQEYYJKEWSMYFG-UHFFFAOYSA-N butyl acrylate Chemical compound CCCCOC(=O)C=C CQEYYJKEWSMYFG-UHFFFAOYSA-N 0.000 description 10
- 125000004432 carbon atom Chemical group C* 0.000 description 10
- 239000002245 particle Substances 0.000 description 10
- 238000002360 preparation method Methods 0.000 description 10
- 230000000052 comparative effect Effects 0.000 description 9
- 239000008367 deionised water Substances 0.000 description 9
- 229910021641 deionized water Inorganic materials 0.000 description 9
- 230000007062 hydrolysis Effects 0.000 description 9
- 238000006460 hydrolysis reaction Methods 0.000 description 9
- ZQXSMRAEXCEDJD-UHFFFAOYSA-N n-ethenylformamide Chemical compound C=CNC=O ZQXSMRAEXCEDJD-UHFFFAOYSA-N 0.000 description 9
- 239000004971 Cross linker Substances 0.000 description 8
- DBMJMQXJHONAFJ-UHFFFAOYSA-M Sodium laurylsulphate Chemical compound [Na+].CCCCCCCCCCCCOS([O-])(=O)=O DBMJMQXJHONAFJ-UHFFFAOYSA-M 0.000 description 8
- 239000003795 chemical substances by application Substances 0.000 description 8
- 235000019333 sodium laurylsulphate Nutrition 0.000 description 8
- 125000003277 amino group Chemical group 0.000 description 7
- 150000003839 salts Chemical class 0.000 description 7
- 238000003756 stirring Methods 0.000 description 7
- ATVJXMYDOSMEPO-UHFFFAOYSA-N 3-prop-2-enoxyprop-1-ene Chemical compound C=CCOCC=C ATVJXMYDOSMEPO-UHFFFAOYSA-N 0.000 description 6
- OKKJLVBELUTLKV-UHFFFAOYSA-N Methanol Chemical compound OC OKKJLVBELUTLKV-UHFFFAOYSA-N 0.000 description 6
- 229910052783 alkali metal Inorganic materials 0.000 description 6
- 150000001735 carboxylic acids Chemical class 0.000 description 6
- 239000000945 filler Substances 0.000 description 6
- 125000002924 primary amino group Chemical group [H]N([H])* 0.000 description 6
- 229920002554 vinyl polymer Polymers 0.000 description 6
- 229920001131 Pulp (paper) Polymers 0.000 description 5
- 150000007513 acids Chemical class 0.000 description 5
- 150000001298 alcohols Chemical class 0.000 description 5
- 239000002585 base Substances 0.000 description 5
- 238000007334 copolymerization reaction Methods 0.000 description 5
- 239000000839 emulsion Substances 0.000 description 5
- 125000000999 tert-butyl group Chemical group [H]C([H])([H])C(*)(C([H])([H])[H])C([H])([H])[H] 0.000 description 5
- 125000000391 vinyl group Chemical group [H]C([*])=C([H])[H] 0.000 description 5
- MYRTYDVEIRVNKP-UHFFFAOYSA-N 1,2-Divinylbenzene Chemical compound C=CC1=CC=CC=C1C=C MYRTYDVEIRVNKP-UHFFFAOYSA-N 0.000 description 4
- QGZKDVFQNNGYKY-UHFFFAOYSA-N Ammonia Chemical compound N QGZKDVFQNNGYKY-UHFFFAOYSA-N 0.000 description 4
- NOWKCMXCCJGMRR-UHFFFAOYSA-N Aziridine Chemical compound C1CN1 NOWKCMXCCJGMRR-UHFFFAOYSA-N 0.000 description 4
- KAKZBPTYRLMSJV-UHFFFAOYSA-N Butadiene Chemical compound C=CC=C KAKZBPTYRLMSJV-UHFFFAOYSA-N 0.000 description 4
- LFQSCWFLJHTTHZ-UHFFFAOYSA-N Ethanol Chemical compound CCO LFQSCWFLJHTTHZ-UHFFFAOYSA-N 0.000 description 4
- 239000004793 Polystyrene Substances 0.000 description 4
- QYKIQEUNHZKYBP-UHFFFAOYSA-N Vinyl ether Chemical class C=COC=C QYKIQEUNHZKYBP-UHFFFAOYSA-N 0.000 description 4
- DOIVYCGEMZQLTR-UHFFFAOYSA-N [Na].C(CCCCCCCCCCC)C=1C(=C(C(=CC1)S(=O)(=O)O)S(=O)(=O)O)OC1=CC=CC=C1 Chemical compound [Na].C(CCCCCCCCCCC)C=1C(=C(C(=CC1)S(=O)(=O)O)S(=O)(=O)O)OC1=CC=CC=C1 DOIVYCGEMZQLTR-UHFFFAOYSA-N 0.000 description 4
- 125000005396 acrylic acid ester group Chemical group 0.000 description 4
- WNLRTRBMVRJNCN-UHFFFAOYSA-N adipic acid Chemical compound OC(=O)CCCCC(O)=O WNLRTRBMVRJNCN-UHFFFAOYSA-N 0.000 description 4
- 150000001340 alkali metals Chemical class 0.000 description 4
- 229910052784 alkaline earth metal Inorganic materials 0.000 description 4
- 150000001342 alkaline earth metals Chemical class 0.000 description 4
- 150000001409 amidines Chemical group 0.000 description 4
- 150000001412 amines Chemical class 0.000 description 4
- 150000008064 anhydrides Chemical class 0.000 description 4
- 150000001541 aziridines Chemical class 0.000 description 4
- WERYXYBDKMZEQL-UHFFFAOYSA-N butane-1,4-diol Chemical compound OCCCCO WERYXYBDKMZEQL-UHFFFAOYSA-N 0.000 description 4
- 150000001732 carboxylic acid derivatives Chemical class 0.000 description 4
- DLTISZOGPVEGJT-UHFFFAOYSA-L disodium;4-dodecyl-3-phenoxybenzene-1,2-disulfonate Chemical compound [Na+].[Na+].CCCCCCCCCCCCC1=CC=C(S([O-])(=O)=O)C(S([O-])(=O)=O)=C1OC1=CC=CC=C1 DLTISZOGPVEGJT-UHFFFAOYSA-L 0.000 description 4
- 239000004815 dispersion polymer Substances 0.000 description 4
- 239000003995 emulsifying agent Substances 0.000 description 4
- 239000000835 fiber Substances 0.000 description 4
- 229920000578 graft copolymer Polymers 0.000 description 4
- 229910052739 hydrogen Inorganic materials 0.000 description 4
- 229910052500 inorganic mineral Inorganic materials 0.000 description 4
- 239000000463 material Substances 0.000 description 4
- 239000011707 mineral Substances 0.000 description 4
- 150000002763 monocarboxylic acids Chemical class 0.000 description 4
- 150000003009 phosphonic acids Chemical class 0.000 description 4
- 229920002223 polystyrene Polymers 0.000 description 4
- 238000005956 quaternization reaction Methods 0.000 description 4
- CWERGRDVMFNCDR-UHFFFAOYSA-N thioglycolic acid Chemical compound OC(=O)CS CWERGRDVMFNCDR-UHFFFAOYSA-N 0.000 description 4
- CFVWNXQPGQOHRJ-UHFFFAOYSA-N 2-methylpropyl prop-2-enoate Chemical compound CC(C)COC(=O)C=C CFVWNXQPGQOHRJ-UHFFFAOYSA-N 0.000 description 3
- BRLQWZUYTZBJKN-UHFFFAOYSA-N Epichlorohydrin Chemical compound ClCC1CO1 BRLQWZUYTZBJKN-UHFFFAOYSA-N 0.000 description 3
- MUBZPKHOEPUJKR-UHFFFAOYSA-N Oxalic acid Natural products OC(=O)C(O)=O MUBZPKHOEPUJKR-UHFFFAOYSA-N 0.000 description 3
- KWYUFKZDYYNOTN-UHFFFAOYSA-M Potassium hydroxide Chemical compound [OH-].[K+] KWYUFKZDYYNOTN-UHFFFAOYSA-M 0.000 description 3
- QAOWNCQODCNURD-UHFFFAOYSA-L Sulfate Chemical compound [O-]S([O-])(=O)=O QAOWNCQODCNURD-UHFFFAOYSA-L 0.000 description 3
- 150000003863 ammonium salts Chemical class 0.000 description 3
- 239000012736 aqueous medium Substances 0.000 description 3
- 229910052799 carbon Inorganic materials 0.000 description 3
- 150000008050 dialkyl sulfates Chemical class 0.000 description 3
- FQPSGWSUVKBHSU-UHFFFAOYSA-N methacrylamide Chemical class CC(=C)C(N)=O FQPSGWSUVKBHSU-UHFFFAOYSA-N 0.000 description 3
- 125000005397 methacrylic acid ester group Chemical group 0.000 description 3
- 125000004108 n-butyl group Chemical group [H]C([H])([H])C([H])([H])C([H])([H])C([H])([H])* 0.000 description 3
- 150000002924 oxiranes Chemical class 0.000 description 3
- 239000011087 paperboard Substances 0.000 description 3
- 229920000058 polyacrylate Polymers 0.000 description 3
- 230000035484 reaction time Effects 0.000 description 3
- 239000011734 sodium Substances 0.000 description 3
- HRZFUMHJMZEROT-UHFFFAOYSA-L sodium disulfite Chemical compound [Na+].[Na+].[O-]S(=O)S([O-])(=O)=O HRZFUMHJMZEROT-UHFFFAOYSA-L 0.000 description 3
- 235000010262 sodium metabisulphite Nutrition 0.000 description 3
- 229920001567 vinyl ester resin Polymers 0.000 description 3
- DNIAPMSPPWPWGF-VKHMYHEASA-N (+)-propylene glycol Chemical compound C[C@H](O)CO DNIAPMSPPWPWGF-VKHMYHEASA-N 0.000 description 2
- MTCFGRXMJLQNBG-REOHCLBHSA-N (2S)-2-Amino-3-hydroxypropansäure Chemical compound OC[C@H](N)C(O)=O MTCFGRXMJLQNBG-REOHCLBHSA-N 0.000 description 2
- OOCCDEMITAIZTP-QPJJXVBHSA-N (E)-cinnamyl alcohol Chemical compound OC\C=C\C1=CC=CC=C1 OOCCDEMITAIZTP-QPJJXVBHSA-N 0.000 description 2
- YPFDHNVEDLHUCE-UHFFFAOYSA-N 1,3-propanediol Substances OCCCO YPFDHNVEDLHUCE-UHFFFAOYSA-N 0.000 description 2
- OZAIFHULBGXAKX-UHFFFAOYSA-N 2-(2-cyanopropan-2-yldiazenyl)-2-methylpropanenitrile Chemical compound N#CC(C)(C)N=NC(C)(C)C#N OZAIFHULBGXAKX-UHFFFAOYSA-N 0.000 description 2
- OEPOKWHJYJXUGD-UHFFFAOYSA-N 2-(3-phenylmethoxyphenyl)-1,3-thiazole-4-carbaldehyde Chemical compound O=CC1=CSC(C=2C=C(OCC=3C=CC=CC=3)C=CC=2)=N1 OEPOKWHJYJXUGD-UHFFFAOYSA-N 0.000 description 2
- VVJKKWFAADXIJK-UHFFFAOYSA-N Allylamine Chemical compound NCC=C VVJKKWFAADXIJK-UHFFFAOYSA-N 0.000 description 2
- QGZKDVFQNNGYKY-UHFFFAOYSA-O Ammonium Chemical compound [NH4+] QGZKDVFQNNGYKY-UHFFFAOYSA-O 0.000 description 2
- CIWBSHSKHKDKBQ-JLAZNSOCSA-N Ascorbic acid Chemical compound OC[C@H](O)[C@H]1OC(=O)C(O)=C1O CIWBSHSKHKDKBQ-JLAZNSOCSA-N 0.000 description 2
- IJGRMHOSHXDMSA-UHFFFAOYSA-N Atomic nitrogen Chemical compound N#N IJGRMHOSHXDMSA-UHFFFAOYSA-N 0.000 description 2
- RPNUMPOLZDHAAY-UHFFFAOYSA-N Diethylenetriamine Chemical compound NCCNCCN RPNUMPOLZDHAAY-UHFFFAOYSA-N 0.000 description 2
- ROSDSFDQCJNGOL-UHFFFAOYSA-N Dimethylamine Chemical compound CNC ROSDSFDQCJNGOL-UHFFFAOYSA-N 0.000 description 2
- 241000196324 Embryophyta Species 0.000 description 2
- GLZPCOQZEFWAFX-UHFFFAOYSA-N Geraniol Chemical compound CC(C)=CCCC(C)=CCO GLZPCOQZEFWAFX-UHFFFAOYSA-N 0.000 description 2
- DHMQDGOQFOQNFH-UHFFFAOYSA-N Glycine Chemical compound NCC(O)=O DHMQDGOQFOQNFH-UHFFFAOYSA-N 0.000 description 2
- VEXZGXHMUGYJMC-UHFFFAOYSA-N Hydrochloric acid Chemical compound Cl VEXZGXHMUGYJMC-UHFFFAOYSA-N 0.000 description 2
- UFHFLCQGNIYNRP-UHFFFAOYSA-N Hydrogen Chemical compound [H][H] UFHFLCQGNIYNRP-UHFFFAOYSA-N 0.000 description 2
- MHAJPDPJQMAIIY-UHFFFAOYSA-N Hydrogen peroxide Chemical compound OO MHAJPDPJQMAIIY-UHFFFAOYSA-N 0.000 description 2
- DGAQECJNVWCQMB-PUAWFVPOSA-M Ilexoside XXIX Chemical compound C[C@@H]1CC[C@@]2(CC[C@@]3(C(=CC[C@H]4[C@]3(CC[C@@H]5[C@@]4(CC[C@@H](C5(C)C)OS(=O)(=O)[O-])C)C)[C@@H]2[C@]1(C)O)C)C(=O)O[C@H]6[C@@H]([C@H]([C@@H]([C@H](O6)CO)O)O)O.[Na+] DGAQECJNVWCQMB-PUAWFVPOSA-M 0.000 description 2
- XEEYBQQBJWHFJM-UHFFFAOYSA-N Iron Chemical compound [Fe] XEEYBQQBJWHFJM-UHFFFAOYSA-N 0.000 description 2
- RRHGJUQNOFWUDK-UHFFFAOYSA-N Isoprene Chemical compound CC(=C)C=C RRHGJUQNOFWUDK-UHFFFAOYSA-N 0.000 description 2
- BAPJBEWLBFYGME-UHFFFAOYSA-N Methyl acrylate Chemical compound COC(=O)C=C BAPJBEWLBFYGME-UHFFFAOYSA-N 0.000 description 2
- VVQNEPGJFQJSBK-UHFFFAOYSA-N Methyl methacrylate Chemical compound COC(=O)C(C)=C VVQNEPGJFQJSBK-UHFFFAOYSA-N 0.000 description 2
- 238000006845 Michael addition reaction Methods 0.000 description 2
- 240000007594 Oryza sativa Species 0.000 description 2
- 235000007164 Oryza sativa Nutrition 0.000 description 2
- 229920001744 Polyaldehyde Polymers 0.000 description 2
- FAPWRFPIFSIZLT-UHFFFAOYSA-M Sodium chloride Chemical compound [Na+].[Cl-] FAPWRFPIFSIZLT-UHFFFAOYSA-M 0.000 description 2
- QAOWNCQODCNURD-UHFFFAOYSA-N Sulfuric acid Chemical compound OS(O)(=O)=O QAOWNCQODCNURD-UHFFFAOYSA-N 0.000 description 2
- MOYAFQVGZZPNRA-UHFFFAOYSA-N Terpinolene Chemical compound CC(C)=C1CCC(C)=CC1 MOYAFQVGZZPNRA-UHFFFAOYSA-N 0.000 description 2
- 241000209140 Triticum Species 0.000 description 2
- 235000021307 Triticum Nutrition 0.000 description 2
- BZHJMEDXRYGGRV-UHFFFAOYSA-N Vinyl chloride Chemical compound ClC=C BZHJMEDXRYGGRV-UHFFFAOYSA-N 0.000 description 2
- 150000001338 aliphatic hydrocarbons Chemical class 0.000 description 2
- 150000001348 alkyl chlorides Chemical class 0.000 description 2
- XXROGKLTLUQVRX-UHFFFAOYSA-N allyl alcohol Chemical compound OCC=C XXROGKLTLUQVRX-UHFFFAOYSA-N 0.000 description 2
- XYLMUPLGERFSHI-UHFFFAOYSA-N alpha-Methylstyrene Chemical compound CC(=C)C1=CC=CC=C1 XYLMUPLGERFSHI-UHFFFAOYSA-N 0.000 description 2
- 229910021529 ammonia Inorganic materials 0.000 description 2
- 150000001450 anions Chemical class 0.000 description 2
- 239000007864 aqueous solution Substances 0.000 description 2
- KCXMKQUNVWSEMD-UHFFFAOYSA-N benzyl chloride Chemical compound ClCC1=CC=CC=C1 KCXMKQUNVWSEMD-UHFFFAOYSA-N 0.000 description 2
- 229940073608 benzyl chloride Drugs 0.000 description 2
- 230000015572 biosynthetic process Effects 0.000 description 2
- UTOVMEACOLCUCK-PLNGDYQASA-N butyl maleate Chemical compound CCCCOC(=O)\C=C/C(O)=O UTOVMEACOLCUCK-PLNGDYQASA-N 0.000 description 2
- 150000004649 carbonic acid derivatives Chemical class 0.000 description 2
- 230000015556 catabolic process Effects 0.000 description 2
- 229920006319 cationized starch Polymers 0.000 description 2
- 239000007795 chemical reaction product Substances 0.000 description 2
- QMVPMAAFGQKVCJ-UHFFFAOYSA-N citronellol Chemical compound OCCC(C)CCC=C(C)C QMVPMAAFGQKVCJ-UHFFFAOYSA-N 0.000 description 2
- 239000000084 colloidal system Substances 0.000 description 2
- 238000006731 degradation reaction Methods 0.000 description 2
- ZQMIGQNCOMNODD-UHFFFAOYSA-N diacetyl peroxide Chemical compound CC(=O)OOC(C)=O ZQMIGQNCOMNODD-UHFFFAOYSA-N 0.000 description 2
- 150000001991 dicarboxylic acids Chemical class 0.000 description 2
- 238000002296 dynamic light scattering Methods 0.000 description 2
- JBKVHLHDHHXQEQ-UHFFFAOYSA-N epsilon-caprolactam Chemical compound O=C1CCCCCN1 JBKVHLHDHHXQEQ-UHFFFAOYSA-N 0.000 description 2
- 238000007046 ethoxylation reaction Methods 0.000 description 2
- 125000001495 ethyl group Chemical group [H]C([H])([H])C([H])([H])* 0.000 description 2
- LYCAIKOWRPUZTN-UHFFFAOYSA-N ethylene glycol Natural products OCCO LYCAIKOWRPUZTN-UHFFFAOYSA-N 0.000 description 2
- 238000010528 free radical solution polymerization reaction Methods 0.000 description 2
- 229930195733 hydrocarbon Natural products 0.000 description 2
- 150000002430 hydrocarbons Chemical class 0.000 description 2
- 150000004679 hydroxides Chemical class 0.000 description 2
- 125000002887 hydroxy group Chemical group [H]O* 0.000 description 2
- 230000014759 maintenance of location Effects 0.000 description 2
- BDAGIHXWWSANSR-UHFFFAOYSA-N methanoic acid Natural products OC=O BDAGIHXWWSANSR-UHFFFAOYSA-N 0.000 description 2
- 125000002496 methyl group Chemical group [H]C([H])([H])* 0.000 description 2
- WDQKICIMIPUDBL-UHFFFAOYSA-N n-[2-(dimethylamino)ethyl]prop-2-enamide Chemical compound CN(C)CCNC(=O)C=C WDQKICIMIPUDBL-UHFFFAOYSA-N 0.000 description 2
- 230000007935 neutral effect Effects 0.000 description 2
- 150000002825 nitriles Chemical class 0.000 description 2
- 229910052757 nitrogen Inorganic materials 0.000 description 2
- 238000007254 oxidation reaction Methods 0.000 description 2
- WXZMFSXDPGVJKK-UHFFFAOYSA-N pentaerythritol Chemical compound OCC(CO)(CO)CO WXZMFSXDPGVJKK-UHFFFAOYSA-N 0.000 description 2
- 229920000962 poly(amidoamine) Polymers 0.000 description 2
- 229920002401 polyacrylamide Polymers 0.000 description 2
- 229920000166 polytrimethylene carbonate Polymers 0.000 description 2
- QTECDUFMBMSHKR-UHFFFAOYSA-N prop-2-enyl prop-2-enoate Chemical compound C=CCOC(=O)C=C QTECDUFMBMSHKR-UHFFFAOYSA-N 0.000 description 2
- BDERNNFJNOPAEC-UHFFFAOYSA-N propan-1-ol Chemical compound CCCO BDERNNFJNOPAEC-UHFFFAOYSA-N 0.000 description 2
- 238000010526 radical polymerization reaction Methods 0.000 description 2
- 150000003254 radicals Chemical class 0.000 description 2
- 230000002829 reductive effect Effects 0.000 description 2
- 235000009566 rice Nutrition 0.000 description 2
- 229910052708 sodium Inorganic materials 0.000 description 2
- KDYFGRWQOYBRFD-UHFFFAOYSA-N succinic acid Chemical compound OC(=O)CCC(O)=O KDYFGRWQOYBRFD-UHFFFAOYSA-N 0.000 description 2
- 238000010557 suspension polymerization reaction Methods 0.000 description 2
- 125000003396 thiol group Chemical group [H]S* 0.000 description 2
- ZICNIEOYWVIEQJ-UHFFFAOYSA-N (2-methylbenzoyl) 2-methylbenzenecarboperoxoate Chemical compound CC1=CC=CC=C1C(=O)OOC(=O)C1=CC=CC=C1C ZICNIEOYWVIEQJ-UHFFFAOYSA-N 0.000 description 1
- 239000001124 (E)-prop-1-ene-1,2,3-tricarboxylic acid Substances 0.000 description 1
- QMVPMAAFGQKVCJ-SNVBAGLBSA-N (R)-(+)-citronellol Natural products OCC[C@H](C)CCC=C(C)C QMVPMAAFGQKVCJ-SNVBAGLBSA-N 0.000 description 1
- DNIAPMSPPWPWGF-GSVOUGTGSA-N (R)-(-)-Propylene glycol Chemical compound C[C@@H](O)CO DNIAPMSPPWPWGF-GSVOUGTGSA-N 0.000 description 1
- BQCIDUSAKPWEOX-UHFFFAOYSA-N 1,1-Difluoroethene Chemical compound FC(F)=C BQCIDUSAKPWEOX-UHFFFAOYSA-N 0.000 description 1
- MWZJGRDWJVHRDV-UHFFFAOYSA-N 1,4-bis(ethenoxy)butane Chemical compound C=COCCCCOC=C MWZJGRDWJVHRDV-UHFFFAOYSA-N 0.000 description 1
- CGHMMUAOPPRRMX-UHFFFAOYSA-N 1,4-bis(ethenoxy)cyclohexane Chemical compound C=COC1CCC(OC=C)CC1 CGHMMUAOPPRRMX-UHFFFAOYSA-N 0.000 description 1
- JOSFJABFAXRZJQ-UHFFFAOYSA-N 1,6-bis(ethenoxy)hexane Chemical compound C=COCCCCCCOC=C JOSFJABFAXRZJQ-UHFFFAOYSA-N 0.000 description 1
- QOVCUELHTLHMEN-UHFFFAOYSA-N 1-butyl-4-ethenylbenzene Chemical compound CCCCC1=CC=C(C=C)C=C1 QOVCUELHTLHMEN-UHFFFAOYSA-N 0.000 description 1
- DMADTXMQLFQQII-UHFFFAOYSA-N 1-decyl-4-ethenylbenzene Chemical compound CCCCCCCCCCC1=CC=C(C=C)C=C1 DMADTXMQLFQQII-UHFFFAOYSA-N 0.000 description 1
- OZCMOJQQLBXBKI-UHFFFAOYSA-N 1-ethenoxy-2-methylpropane Chemical compound CC(C)COC=C OZCMOJQQLBXBKI-UHFFFAOYSA-N 0.000 description 1
- BDHGFCVQWMDIQX-UHFFFAOYSA-N 1-ethenyl-2-methylimidazole Chemical compound CC1=NC=CN1C=C BDHGFCVQWMDIQX-UHFFFAOYSA-N 0.000 description 1
- NEWDOBPJIKOWPV-UHFFFAOYSA-N 1-ethenyl-3-oxidoimidazol-3-ium Chemical compound [O-][N+]=1C=CN(C=C)C=1 NEWDOBPJIKOWPV-UHFFFAOYSA-N 0.000 description 1
- DJABNVJZYFGAJE-UHFFFAOYSA-N 1-ethenyl-5-ethylpyrrolidin-2-one Chemical compound CCC1CCC(=O)N1C=C DJABNVJZYFGAJE-UHFFFAOYSA-N 0.000 description 1
- HQGPZXPTJWUDQR-UHFFFAOYSA-N 1-ethenyl-5-methylpyrrolidin-2-one Chemical compound CC1CCC(=O)N1C=C HQGPZXPTJWUDQR-UHFFFAOYSA-N 0.000 description 1
- GIQLJJKZKUIRIU-UHFFFAOYSA-N 1-ethenyl-6-ethylpiperidin-2-one Chemical compound CCC1CCCC(=O)N1C=C GIQLJJKZKUIRIU-UHFFFAOYSA-N 0.000 description 1
- FFDNCQYZAAVSSF-UHFFFAOYSA-N 1-ethenyl-6-methylpiperidin-2-one Chemical compound CC1CCCC(=O)N1C=C FFDNCQYZAAVSSF-UHFFFAOYSA-N 0.000 description 1
- JWYVGKFDLWWQJX-UHFFFAOYSA-N 1-ethenylazepan-2-one Chemical compound C=CN1CCCCCC1=O JWYVGKFDLWWQJX-UHFFFAOYSA-N 0.000 description 1
- OSSNTDFYBPYIEC-UHFFFAOYSA-N 1-ethenylimidazole Chemical class C=CN1C=CN=C1 OSSNTDFYBPYIEC-UHFFFAOYSA-N 0.000 description 1
- PBGPBHYPCGDFEZ-UHFFFAOYSA-N 1-ethenylpiperidin-2-one Chemical compound C=CN1CCCCC1=O PBGPBHYPCGDFEZ-UHFFFAOYSA-N 0.000 description 1
- RTBFRGCFXZNCOE-UHFFFAOYSA-N 1-methylsulfonylpiperidin-4-one Chemical compound CS(=O)(=O)N1CCC(=O)CC1 RTBFRGCFXZNCOE-UHFFFAOYSA-N 0.000 description 1
- VILCJCGEZXAXTO-UHFFFAOYSA-N 2,2,2-tetramine Chemical compound NCCNCCNCCN VILCJCGEZXAXTO-UHFFFAOYSA-N 0.000 description 1
- YAJYJWXEWKRTPO-UHFFFAOYSA-N 2,3,3,4,4,5-hexamethylhexane-2-thiol Chemical compound CC(C)C(C)(C)C(C)(C)C(C)(C)S YAJYJWXEWKRTPO-UHFFFAOYSA-N 0.000 description 1
- PUGOMSLRUSTQGV-UHFFFAOYSA-N 2,3-di(prop-2-enoyloxy)propyl prop-2-enoate Chemical compound C=CC(=O)OCC(OC(=O)C=C)COC(=O)C=C PUGOMSLRUSTQGV-UHFFFAOYSA-N 0.000 description 1
- OVSKIKFHRZPJSS-UHFFFAOYSA-N 2,4-D Chemical compound OC(=O)COC1=CC=C(Cl)C=C1Cl OVSKIKFHRZPJSS-UHFFFAOYSA-N 0.000 description 1
- DIOZVWSHACHNRT-UHFFFAOYSA-N 2-(2-prop-2-enoxyethoxy)ethanol Chemical compound OCCOCCOCC=C DIOZVWSHACHNRT-UHFFFAOYSA-N 0.000 description 1
- GOXQRTZXKQZDDN-UHFFFAOYSA-N 2-Ethylhexyl acrylate Chemical compound CCCCC(CC)COC(=O)C=C GOXQRTZXKQZDDN-UHFFFAOYSA-N 0.000 description 1
- LZDXRPVSAKWYDH-UHFFFAOYSA-N 2-ethyl-2-(prop-2-enoxymethyl)propane-1,3-diol Chemical compound CCC(CO)(CO)COCC=C LZDXRPVSAKWYDH-UHFFFAOYSA-N 0.000 description 1
- WROUWQQRXUBECT-UHFFFAOYSA-N 2-ethylacrylic acid Chemical compound CCC(=C)C(O)=O WROUWQQRXUBECT-UHFFFAOYSA-N 0.000 description 1
- OWHSTLLOZWTNTQ-UHFFFAOYSA-N 2-ethylhexyl 2-sulfanylacetate Chemical compound CCCCC(CC)COC(=O)CS OWHSTLLOZWTNTQ-UHFFFAOYSA-N 0.000 description 1
- 125000000954 2-hydroxyethyl group Chemical group [H]C([*])([H])C([H])([H])O[H] 0.000 description 1
- RCEJCSULJQNRQQ-UHFFFAOYSA-N 2-methylbutanenitrile Chemical compound CCC(C)C#N RCEJCSULJQNRQQ-UHFFFAOYSA-N 0.000 description 1
- HVVPYFQMCGANJX-UHFFFAOYSA-N 2-methylprop-2-enyl prop-2-enoate Chemical compound CC(=C)COC(=O)C=C HVVPYFQMCGANJX-UHFFFAOYSA-N 0.000 description 1
- BOZBBKZCBLPUSG-UHFFFAOYSA-N 2-prop-1-enyl-1h-imidazole Chemical class CC=CC1=NC=CN1 BOZBBKZCBLPUSG-UHFFFAOYSA-N 0.000 description 1
- GCYHRYNSUGLLMA-UHFFFAOYSA-N 2-prop-2-enoxyethanol Chemical compound OCCOCC=C GCYHRYNSUGLLMA-UHFFFAOYSA-N 0.000 description 1
- BQKZEKVKJUIRGH-UHFFFAOYSA-N 2-prop-2-enoxypropan-1-ol Chemical compound OCC(C)OCC=C BQKZEKVKJUIRGH-UHFFFAOYSA-N 0.000 description 1
- IGDCJKDZZUALAO-UHFFFAOYSA-N 2-prop-2-enoxypropane-1,3-diol Chemical compound OCC(CO)OCC=C IGDCJKDZZUALAO-UHFFFAOYSA-N 0.000 description 1
- 125000003903 2-propenyl group Chemical group [H]C([*])([H])C([H])=C([H])[H] 0.000 description 1
- UKFYDINYKVWFAH-UHFFFAOYSA-N 2-sulfanylethynol Chemical compound OC#CS UKFYDINYKVWFAH-UHFFFAOYSA-N 0.000 description 1
- KGIGUEBEKRSTEW-UHFFFAOYSA-N 2-vinylpyridine Chemical compound C=CC1=CC=CC=N1 KGIGUEBEKRSTEW-UHFFFAOYSA-N 0.000 description 1
- FRIBMENBGGCKPD-UHFFFAOYSA-N 3-(2,3-dimethoxyphenyl)prop-2-enal Chemical compound COC1=CC=CC(C=CC=O)=C1OC FRIBMENBGGCKPD-UHFFFAOYSA-N 0.000 description 1
- QOXOZONBQWIKDA-UHFFFAOYSA-N 3-hydroxypropyl Chemical group [CH2]CCO QOXOZONBQWIKDA-UHFFFAOYSA-N 0.000 description 1
- FYRWKWGEFZTOQI-UHFFFAOYSA-N 3-prop-2-enoxy-2,2-bis(prop-2-enoxymethyl)propan-1-ol Chemical compound C=CCOCC(CO)(COCC=C)COCC=C FYRWKWGEFZTOQI-UHFFFAOYSA-N 0.000 description 1
- UUEWCQRISZBELL-UHFFFAOYSA-N 3-trimethoxysilylpropane-1-thiol Chemical compound CO[Si](OC)(OC)CCCS UUEWCQRISZBELL-UHFFFAOYSA-N 0.000 description 1
- MKTOIPPVFPJEQO-UHFFFAOYSA-N 4-(3-carboxypropanoylperoxy)-4-oxobutanoic acid Chemical compound OC(=O)CCC(=O)OOC(=O)CCC(O)=O MKTOIPPVFPJEQO-UHFFFAOYSA-N 0.000 description 1
- OSWFIVFLDKOXQC-UHFFFAOYSA-N 4-(3-methoxyphenyl)aniline Chemical compound COC1=CC=CC(C=2C=CC(N)=CC=2)=C1 OSWFIVFLDKOXQC-UHFFFAOYSA-N 0.000 description 1
- JLBJTVDPSNHSKJ-UHFFFAOYSA-N 4-Methylstyrene Chemical compound CC1=CC=C(C=C)C=C1 JLBJTVDPSNHSKJ-UHFFFAOYSA-N 0.000 description 1
- KRFXUBMJBAXOOZ-UHFFFAOYSA-N 4-ethenyl-1-oxidopyridin-1-ium Chemical class [O-][N+]1=CC=C(C=C)C=C1 KRFXUBMJBAXOOZ-UHFFFAOYSA-N 0.000 description 1
- KFDVPJUYSDEJTH-UHFFFAOYSA-N 4-ethenylpyridine Chemical class C=CC1=CC=NC=C1 KFDVPJUYSDEJTH-UHFFFAOYSA-N 0.000 description 1
- SXIFAEWFOJETOA-UHFFFAOYSA-N 4-hydroxy-butyl Chemical group [CH2]CCCO SXIFAEWFOJETOA-UHFFFAOYSA-N 0.000 description 1
- JHWGFJBTMHEZME-UHFFFAOYSA-N 4-prop-2-enoyloxybutyl prop-2-enoate Chemical compound C=CC(=O)OCCCCOC(=O)C=C JHWGFJBTMHEZME-UHFFFAOYSA-N 0.000 description 1
- KWSLGOVYXMQPPX-UHFFFAOYSA-N 5-[3-(trifluoromethyl)phenyl]-2h-tetrazole Chemical compound FC(F)(F)C1=CC=CC(C2=NNN=N2)=C1 KWSLGOVYXMQPPX-UHFFFAOYSA-N 0.000 description 1
- FIHBHSQYSYVZQE-UHFFFAOYSA-N 6-prop-2-enoyloxyhexyl prop-2-enoate Chemical compound C=CC(=O)OCCCCCCOC(=O)C=C FIHBHSQYSYVZQE-UHFFFAOYSA-N 0.000 description 1
- 239000004925 Acrylic resin Substances 0.000 description 1
- VHUUQVKOLVNVRT-UHFFFAOYSA-N Ammonium hydroxide Chemical compound [NH4+].[OH-] VHUUQVKOLVNVRT-UHFFFAOYSA-N 0.000 description 1
- 229920000945 Amylopectin Polymers 0.000 description 1
- 239000004475 Arginine Substances 0.000 description 1
- DCXYFEDJOCDNAF-UHFFFAOYSA-N Asparagine Natural products OC(=O)C(N)CC(N)=O DCXYFEDJOCDNAF-UHFFFAOYSA-N 0.000 description 1
- OMPJBNCRMGITSC-UHFFFAOYSA-N Benzoylperoxide Chemical compound C=1C=CC=CC=1C(=O)OOC(=O)C1=CC=CC=C1 OMPJBNCRMGITSC-UHFFFAOYSA-N 0.000 description 1
- BVKZGUZCCUSVTD-UHFFFAOYSA-M Bicarbonate Chemical class OC([O-])=O BVKZGUZCCUSVTD-UHFFFAOYSA-M 0.000 description 1
- LMYMMDKQLDSLQQ-UHFFFAOYSA-N C(C)(C)(C)OO.C(C)(C)(CC)OOC(C)(C)CC Chemical compound C(C)(C)(C)OO.C(C)(C)(CC)OOC(C)(C)CC LMYMMDKQLDSLQQ-UHFFFAOYSA-N 0.000 description 1
- 229920001661 Chitosan Polymers 0.000 description 1
- JWOWFSLPFNWGEM-UHFFFAOYSA-N Cl.Cl.NC(=N)C(C)CN=NCC(C)C(N)=N Chemical compound Cl.Cl.NC(=N)C(C)CN=NCC(C)C(N)=N JWOWFSLPFNWGEM-UHFFFAOYSA-N 0.000 description 1
- 229920002261 Corn starch Polymers 0.000 description 1
- 229910017489 Cu I Inorganic materials 0.000 description 1
- SJIXRGNQPBQWMK-UHFFFAOYSA-N DEAEMA Natural products CCN(CC)CCOC(=O)C(C)=C SJIXRGNQPBQWMK-UHFFFAOYSA-N 0.000 description 1
- 229920002245 Dextrose equivalent Polymers 0.000 description 1
- GDFCSMCGLZFNFY-UHFFFAOYSA-N Dimethylaminopropyl Methacrylamide Chemical compound CN(C)CCCNC(=O)C(C)=C GDFCSMCGLZFNFY-UHFFFAOYSA-N 0.000 description 1
- 239000004908 Emulsion polymer Substances 0.000 description 1
- VGGSQFUCUMXWEO-UHFFFAOYSA-N Ethene Chemical group C=C VGGSQFUCUMXWEO-UHFFFAOYSA-N 0.000 description 1
- IMROMDMJAWUWLK-UHFFFAOYSA-N Ethenol Chemical compound OC=C IMROMDMJAWUWLK-UHFFFAOYSA-N 0.000 description 1
- JIGUQPWFLRLWPJ-UHFFFAOYSA-N Ethyl acrylate Chemical compound CCOC(=O)C=C JIGUQPWFLRLWPJ-UHFFFAOYSA-N 0.000 description 1
- 239000005977 Ethylene Substances 0.000 description 1
- IAYPIBMASNFSPL-UHFFFAOYSA-N Ethylene oxide Chemical compound C1CO1 IAYPIBMASNFSPL-UHFFFAOYSA-N 0.000 description 1
- 239000005792 Geraniol Substances 0.000 description 1
- GLZPCOQZEFWAFX-YFHOEESVSA-N Geraniol Natural products CC(C)=CCC\C(C)=C/CO GLZPCOQZEFWAFX-YFHOEESVSA-N 0.000 description 1
- WQZGKKKJIJFFOK-GASJEMHNSA-N Glucose Natural products OC[C@H]1OC(O)[C@H](O)[C@@H](O)[C@@H]1O WQZGKKKJIJFFOK-GASJEMHNSA-N 0.000 description 1
- 239000004471 Glycine Substances 0.000 description 1
- 240000000797 Hibiscus cannabinus Species 0.000 description 1
- WOBHKFSMXKNTIM-UHFFFAOYSA-N Hydroxyethyl methacrylate Chemical compound CC(=C)C(=O)OCCO WOBHKFSMXKNTIM-UHFFFAOYSA-N 0.000 description 1
- ONIBWKKTOPOVIA-BYPYZUCNSA-N L-Proline Chemical compound OC(=O)[C@@H]1CCCN1 ONIBWKKTOPOVIA-BYPYZUCNSA-N 0.000 description 1
- QNAYBMKLOCPYGJ-REOHCLBHSA-N L-alanine Chemical compound C[C@H](N)C(O)=O QNAYBMKLOCPYGJ-REOHCLBHSA-N 0.000 description 1
- ODKSFYDXXFIFQN-BYPYZUCNSA-P L-argininium(2+) Chemical compound NC(=[NH2+])NCCC[C@H]([NH3+])C(O)=O ODKSFYDXXFIFQN-BYPYZUCNSA-P 0.000 description 1
- DCXYFEDJOCDNAF-REOHCLBHSA-N L-asparagine Chemical compound OC(=O)[C@@H](N)CC(N)=O DCXYFEDJOCDNAF-REOHCLBHSA-N 0.000 description 1
- ZDXPYRJPNDTMRX-VKHMYHEASA-N L-glutamine Chemical compound OC(=O)[C@@H](N)CCC(N)=O ZDXPYRJPNDTMRX-VKHMYHEASA-N 0.000 description 1
- HNDVDQJCIGZPNO-YFKPBYRVSA-N L-histidine Chemical compound OC(=O)[C@@H](N)CC1=CN=CN1 HNDVDQJCIGZPNO-YFKPBYRVSA-N 0.000 description 1
- ROHFNLRQFUQHCH-YFKPBYRVSA-N L-leucine Chemical compound CC(C)C[C@H](N)C(O)=O ROHFNLRQFUQHCH-YFKPBYRVSA-N 0.000 description 1
- KDXKERNSBIXSRK-YFKPBYRVSA-N L-lysine Chemical compound NCCCC[C@H](N)C(O)=O KDXKERNSBIXSRK-YFKPBYRVSA-N 0.000 description 1
- COLNVLDHVKWLRT-QMMMGPOBSA-N L-phenylalanine Chemical compound OC(=O)[C@@H](N)CC1=CC=CC=C1 COLNVLDHVKWLRT-QMMMGPOBSA-N 0.000 description 1
- AYFVYJQAPQTCCC-GBXIJSLDSA-N L-threonine Chemical compound C[C@@H](O)[C@H](N)C(O)=O AYFVYJQAPQTCCC-GBXIJSLDSA-N 0.000 description 1
- QIVBCDIJIAJPQS-VIFPVBQESA-N L-tryptophane Chemical compound C1=CC=C2C(C[C@H](N)C(O)=O)=CNC2=C1 QIVBCDIJIAJPQS-VIFPVBQESA-N 0.000 description 1
- KZSNJWFQEVHDMF-BYPYZUCNSA-N L-valine Chemical compound CC(C)[C@H](N)C(O)=O KZSNJWFQEVHDMF-BYPYZUCNSA-N 0.000 description 1
- YIVJZNGAASQVEM-UHFFFAOYSA-N Lauroyl peroxide Chemical compound CCCCCCCCCCCC(=O)OOC(=O)CCCCCCCCCCC YIVJZNGAASQVEM-UHFFFAOYSA-N 0.000 description 1
- ROHFNLRQFUQHCH-UHFFFAOYSA-N Leucine Natural products CC(C)CC(N)C(O)=O ROHFNLRQFUQHCH-UHFFFAOYSA-N 0.000 description 1
- KDXKERNSBIXSRK-UHFFFAOYSA-N Lysine Natural products NCCCCC(N)C(O)=O KDXKERNSBIXSRK-UHFFFAOYSA-N 0.000 description 1
- 239000004472 Lysine Substances 0.000 description 1
- 235000019759 Maize starch Nutrition 0.000 description 1
- 240000003183 Manihot esculenta Species 0.000 description 1
- 235000016735 Manihot esculenta subsp esculenta Nutrition 0.000 description 1
- WHNWPMSKXPGLAX-UHFFFAOYSA-N N-Vinyl-2-pyrrolidone Chemical compound C=CN1CCCC1=O WHNWPMSKXPGLAX-UHFFFAOYSA-N 0.000 description 1
- 229910019142 PO4 Inorganic materials 0.000 description 1
- 235000008331 Pinus X rigitaeda Nutrition 0.000 description 1
- 235000011613 Pinus brutia Nutrition 0.000 description 1
- 241000018646 Pinus brutia Species 0.000 description 1
- 239000005062 Polybutadiene Substances 0.000 description 1
- 229920002873 Polyethylenimine Polymers 0.000 description 1
- ONIBWKKTOPOVIA-UHFFFAOYSA-N Proline Natural products OC(=O)C1CCCN1 ONIBWKKTOPOVIA-UHFFFAOYSA-N 0.000 description 1
- 240000000111 Saccharum officinarum Species 0.000 description 1
- 235000007201 Saccharum officinarum Nutrition 0.000 description 1
- MTCFGRXMJLQNBG-UHFFFAOYSA-N Serine Natural products OCC(N)C(O)=O MTCFGRXMJLQNBG-UHFFFAOYSA-N 0.000 description 1
- CDBYLPFSWZWCQE-UHFFFAOYSA-L Sodium Carbonate Chemical compound [Na+].[Na+].[O-]C([O-])=O CDBYLPFSWZWCQE-UHFFFAOYSA-L 0.000 description 1
- 244000061456 Solanum tuberosum Species 0.000 description 1
- 235000002595 Solanum tuberosum Nutrition 0.000 description 1
- 240000006394 Sorghum bicolor Species 0.000 description 1
- 235000011684 Sorghum saccharatum Nutrition 0.000 description 1
- AYFVYJQAPQTCCC-UHFFFAOYSA-N Threonine Natural products CC(O)C(N)C(O)=O AYFVYJQAPQTCCC-UHFFFAOYSA-N 0.000 description 1
- 239000004473 Threonine Substances 0.000 description 1
- ZJCCRDAZUWHFQH-UHFFFAOYSA-N Trimethylolpropane Chemical compound CCC(CO)(CO)CO ZJCCRDAZUWHFQH-UHFFFAOYSA-N 0.000 description 1
- QIVBCDIJIAJPQS-UHFFFAOYSA-N Tryptophan Natural products C1=CC=C2C(CC(N)C(O)=O)=CNC2=C1 QIVBCDIJIAJPQS-UHFFFAOYSA-N 0.000 description 1
- KZSNJWFQEVHDMF-UHFFFAOYSA-N Valine Natural products CC(C)C(N)C(O)=O KZSNJWFQEVHDMF-UHFFFAOYSA-N 0.000 description 1
- XTXRWKRVRITETP-UHFFFAOYSA-N Vinyl acetate Chemical compound CC(=O)OC=C XTXRWKRVRITETP-UHFFFAOYSA-N 0.000 description 1
- 229920002486 Waxy potato starch Polymers 0.000 description 1
- 240000008042 Zea mays Species 0.000 description 1
- 235000016383 Zea mays subsp huehuetenangensis Nutrition 0.000 description 1
- 235000002017 Zea mays subsp mays Nutrition 0.000 description 1
- 230000002378 acidificating effect Effects 0.000 description 1
- 229940091181 aconitic acid Drugs 0.000 description 1
- 150000003926 acrylamides Chemical class 0.000 description 1
- 239000001361 adipic acid Substances 0.000 description 1
- 235000011037 adipic acid Nutrition 0.000 description 1
- 230000002411 adverse Effects 0.000 description 1
- 235000004279 alanine Nutrition 0.000 description 1
- 239000003513 alkali Substances 0.000 description 1
- 150000008044 alkali metal hydroxides Chemical class 0.000 description 1
- 150000004703 alkoxides Chemical class 0.000 description 1
- 125000003545 alkoxy group Chemical group 0.000 description 1
- 125000000217 alkyl group Chemical group 0.000 description 1
- 150000001350 alkyl halides Chemical class 0.000 description 1
- 125000002947 alkylene group Chemical group 0.000 description 1
- OOCCDEMITAIZTP-UHFFFAOYSA-N allylic benzylic alcohol Natural products OCC=CC1=CC=CC=C1 OOCCDEMITAIZTP-UHFFFAOYSA-N 0.000 description 1
- 229910000147 aluminium phosphate Inorganic materials 0.000 description 1
- 150000001408 amides Chemical class 0.000 description 1
- 125000000320 amidine group Chemical group 0.000 description 1
- 235000001014 amino acid Nutrition 0.000 description 1
- 229940024606 amino acid Drugs 0.000 description 1
- 150000001413 amino acids Chemical class 0.000 description 1
- 150000001414 amino alcohols Chemical class 0.000 description 1
- 150000003868 ammonium compounds Chemical class 0.000 description 1
- 239000000908 ammonium hydroxide Substances 0.000 description 1
- ROOXNKNUYICQNP-UHFFFAOYSA-N ammonium persulfate Chemical class [NH4+].[NH4+].[O-]S(=O)(=O)OOS([O-])(=O)=O ROOXNKNUYICQNP-UHFFFAOYSA-N 0.000 description 1
- 235000019395 ammonium persulphate Nutrition 0.000 description 1
- JFCQEDHGNNZCLN-UHFFFAOYSA-N anhydrous glutaric acid Natural products OC(=O)CCCC(O)=O JFCQEDHGNNZCLN-UHFFFAOYSA-N 0.000 description 1
- 150000001449 anionic compounds Chemical class 0.000 description 1
- 229920006320 anionic starch Polymers 0.000 description 1
- ODKSFYDXXFIFQN-UHFFFAOYSA-N arginine Natural products OC(=O)C(N)CCCNC(N)=N ODKSFYDXXFIFQN-UHFFFAOYSA-N 0.000 description 1
- 235000010323 ascorbic acid Nutrition 0.000 description 1
- 229960005070 ascorbic acid Drugs 0.000 description 1
- 239000011668 ascorbic acid Substances 0.000 description 1
- 229960001230 asparagine Drugs 0.000 description 1
- 235000009582 asparagine Nutrition 0.000 description 1
- 238000010923 batch production Methods 0.000 description 1
- 230000008901 benefit Effects 0.000 description 1
- 235000019400 benzoyl peroxide Nutrition 0.000 description 1
- JGQFVRIQXUFPAH-UHFFFAOYSA-N beta-citronellol Natural products OCCC(C)CCCC(C)=C JGQFVRIQXUFPAH-UHFFFAOYSA-N 0.000 description 1
- 239000003139 biocide Substances 0.000 description 1
- LOFFYVIZWSPGIT-UHFFFAOYSA-N bis(prop-2-enyl) 2-methylidenebutanedioate Chemical compound C=CCOC(=O)CC(=C)C(=O)OCC=C LOFFYVIZWSPGIT-UHFFFAOYSA-N 0.000 description 1
- 125000001246 bromo group Chemical group Br* 0.000 description 1
- 244000309464 bull Species 0.000 description 1
- 125000000484 butyl group Chemical group [H]C([*])([H])C([H])([H])C([H])([H])C([H])([H])[H] 0.000 description 1
- 150000001720 carbohydrates Chemical class 0.000 description 1
- 235000014633 carbohydrates Nutrition 0.000 description 1
- 125000002843 carboxylic acid group Chemical group 0.000 description 1
- 150000001767 cationic compounds Chemical class 0.000 description 1
- 229920003118 cationic copolymer Polymers 0.000 description 1
- 150000001805 chlorine compounds Chemical class 0.000 description 1
- 125000001309 chloro group Chemical group Cl* 0.000 description 1
- YACLQRRMGMJLJV-UHFFFAOYSA-N chloroprene Chemical compound ClC(=C)C=C YACLQRRMGMJLJV-UHFFFAOYSA-N 0.000 description 1
- GTZCVFVGUGFEME-IWQZZHSRSA-N cis-aconitic acid Chemical compound OC(=O)C\C(C(O)=O)=C\C(O)=O GTZCVFVGUGFEME-IWQZZHSRSA-N 0.000 description 1
- 235000000484 citronellol Nutrition 0.000 description 1
- 238000003776 cleavage reaction Methods 0.000 description 1
- 239000007859 condensation product Substances 0.000 description 1
- XJOBOFWTZOKMOH-UHFFFAOYSA-N decanoyl decaneperoxoate Chemical compound CCCCCCCCCC(=O)OOC(=O)CCCCCCCCC XJOBOFWTZOKMOH-UHFFFAOYSA-N 0.000 description 1
- 230000018044 dehydration Effects 0.000 description 1
- 238000006297 dehydration reaction Methods 0.000 description 1
- LSXWFXONGKSEMY-UHFFFAOYSA-N di-tert-butyl peroxide Chemical compound CC(C)(C)OOC(C)(C)C LSXWFXONGKSEMY-UHFFFAOYSA-N 0.000 description 1
- 125000005265 dialkylamine group Chemical group 0.000 description 1
- BUACSMWVFUNQET-UHFFFAOYSA-H dialuminum;trisulfate;hydrate Chemical compound O.[Al+3].[Al+3].[O-]S([O-])(=O)=O.[O-]S([O-])(=O)=O.[O-]S([O-])(=O)=O BUACSMWVFUNQET-UHFFFAOYSA-H 0.000 description 1
- IOMDIVZAGXCCAC-UHFFFAOYSA-M diethyl-bis(prop-2-enyl)azanium;chloride Chemical compound [Cl-].C=CC[N+](CC)(CC)CC=C IOMDIVZAGXCCAC-UHFFFAOYSA-M 0.000 description 1
- 238000000113 differential scanning calorimetry Methods 0.000 description 1
- GQOKIYDTHHZSCJ-UHFFFAOYSA-M dimethyl-bis(prop-2-enyl)azanium;chloride Chemical compound [Cl-].C=CC[N+](C)(C)CC=C GQOKIYDTHHZSCJ-UHFFFAOYSA-M 0.000 description 1
- SZXQTJUDPRGNJN-UHFFFAOYSA-N dipropylene glycol Chemical compound OCCCOCCCO SZXQTJUDPRGNJN-UHFFFAOYSA-N 0.000 description 1
- WNAHIZMDSQCWRP-UHFFFAOYSA-N dodecane-1-thiol Chemical compound CCCCCCCCCCCCS WNAHIZMDSQCWRP-UHFFFAOYSA-N 0.000 description 1
- 229940043264 dodecyl sulfate Drugs 0.000 description 1
- 239000000975 dye Substances 0.000 description 1
- 230000007515 enzymatic degradation Effects 0.000 description 1
- 125000004185 ester group Chemical group 0.000 description 1
- GLVVKKSPKXTQRB-UHFFFAOYSA-N ethenyl dodecanoate Chemical compound CCCCCCCCCCCC(=O)OC=C GLVVKKSPKXTQRB-UHFFFAOYSA-N 0.000 description 1
- UIWXSTHGICQLQT-UHFFFAOYSA-N ethenyl propanoate Chemical compound CCC(=O)OC=C UIWXSTHGICQLQT-UHFFFAOYSA-N 0.000 description 1
- SUPCQIBBMFXVTL-UHFFFAOYSA-N ethyl 2-methylprop-2-enoate Chemical compound CCOC(=O)C(C)=C SUPCQIBBMFXVTL-UHFFFAOYSA-N 0.000 description 1
- DNJIEGIFACGWOD-UHFFFAOYSA-N ethyl mercaptane Natural products CCS DNJIEGIFACGWOD-UHFFFAOYSA-N 0.000 description 1
- STVZJERGLQHEKB-UHFFFAOYSA-N ethylene glycol dimethacrylate Chemical compound CC(=C)C(=O)OCCOC(=O)C(C)=C STVZJERGLQHEKB-UHFFFAOYSA-N 0.000 description 1
- 150000002191 fatty alcohols Chemical class 0.000 description 1
- 125000001153 fluoro group Chemical group F* 0.000 description 1
- XUCNUKMRBVNAPB-UHFFFAOYSA-N fluoroethene Chemical compound FC=C XUCNUKMRBVNAPB-UHFFFAOYSA-N 0.000 description 1
- 235000019253 formic acid Nutrition 0.000 description 1
- 239000012458 free base Substances 0.000 description 1
- 238000005227 gel permeation chromatography Methods 0.000 description 1
- 229940113087 geraniol Drugs 0.000 description 1
- 239000008103 glucose Substances 0.000 description 1
- 125000002791 glucosyl group Chemical group C1([C@H](O)[C@@H](O)[C@H](O)[C@H](O1)CO)* 0.000 description 1
- ZDXPYRJPNDTMRX-UHFFFAOYSA-N glutamine Natural products OC(=O)C(N)CCC(N)=O ZDXPYRJPNDTMRX-UHFFFAOYSA-N 0.000 description 1
- 150000004676 glycans Chemical class 0.000 description 1
- 229940093915 gynecological organic acid Drugs 0.000 description 1
- FIKFOOMAUXPBJM-UHFFFAOYSA-N hepta-2,5-dienediamide Chemical compound NC(=O)C=CCC=CC(N)=O FIKFOOMAUXPBJM-UHFFFAOYSA-N 0.000 description 1
- YJSSCAJSFIGKSN-UHFFFAOYSA-N hex-1-en-2-ylbenzene Chemical compound CCCCC(=C)C1=CC=CC=C1 YJSSCAJSFIGKSN-UHFFFAOYSA-N 0.000 description 1
- XXMIOPMDWAUFGU-UHFFFAOYSA-N hexane-1,6-diol Chemical compound OCCCCCCO XXMIOPMDWAUFGU-UHFFFAOYSA-N 0.000 description 1
- 125000004051 hexyl group Chemical group [H]C([H])([H])C([H])([H])C([H])([H])C([H])([H])C([H])([H])C([H])([H])* 0.000 description 1
- HNDVDQJCIGZPNO-UHFFFAOYSA-N histidine Natural products OC(=O)C(N)CC1=CN=CN1 HNDVDQJCIGZPNO-UHFFFAOYSA-N 0.000 description 1
- 239000001257 hydrogen Substances 0.000 description 1
- WGCNASOHLSPBMP-UHFFFAOYSA-N hydroxyacetaldehyde Natural products OCC=O WGCNASOHLSPBMP-UHFFFAOYSA-N 0.000 description 1
- 125000002768 hydroxyalkyl group Chemical group 0.000 description 1
- 230000006872 improvement Effects 0.000 description 1
- 229910052742 iron Inorganic materials 0.000 description 1
- BAUYGSIQEAFULO-UHFFFAOYSA-L iron(2+) sulfate (anhydrous) Chemical compound [Fe+2].[O-]S([O-])(=O)=O BAUYGSIQEAFULO-UHFFFAOYSA-L 0.000 description 1
- 229910000359 iron(II) sulfate Inorganic materials 0.000 description 1
- 125000000959 isobutyl group Chemical group [H]C([H])([H])C([H])(C([H])([H])[H])C([H])([H])* 0.000 description 1
- IQPQWNKOIGAROB-UHFFFAOYSA-N isocyanate group Chemical group [N-]=C=O IQPQWNKOIGAROB-UHFFFAOYSA-N 0.000 description 1
- 125000001449 isopropyl group Chemical group [H]C([H])([H])C([H])(*)C([H])([H])[H] 0.000 description 1
- 239000002655 kraft paper Substances 0.000 description 1
- 150000003951 lactams Chemical class 0.000 description 1
- 230000000670 limiting effect Effects 0.000 description 1
- 239000007788 liquid Substances 0.000 description 1
- 229920002521 macromolecule Polymers 0.000 description 1
- 235000009973 maize Nutrition 0.000 description 1
- FPYJFEHAWHCUMM-UHFFFAOYSA-N maleic anhydride Chemical compound O=C1OC(=O)C=C1 FPYJFEHAWHCUMM-UHFFFAOYSA-N 0.000 description 1
- 238000005259 measurement Methods 0.000 description 1
- 239000002609 medium Substances 0.000 description 1
- XJRBAMWJDBPFIM-UHFFFAOYSA-N methyl vinyl ether Chemical compound COC=C XJRBAMWJDBPFIM-UHFFFAOYSA-N 0.000 description 1
- 239000010812 mixed waste Substances 0.000 description 1
- 238000002156 mixing Methods 0.000 description 1
- 150000005673 monoalkenes Chemical class 0.000 description 1
- DNIAPMSPPWPWGF-UHFFFAOYSA-N monopropylene glycol Natural products CC(O)CO DNIAPMSPPWPWGF-UHFFFAOYSA-N 0.000 description 1
- 238000000569 multi-angle light scattering Methods 0.000 description 1
- GVBMMNAPRZDGEY-UHFFFAOYSA-N n-[2-(diethylamino)ethyl]-2-methylprop-2-enamide Chemical compound CCN(CC)CCNC(=O)C(C)=C GVBMMNAPRZDGEY-UHFFFAOYSA-N 0.000 description 1
- CXSANWNPQKKNJO-UHFFFAOYSA-N n-[2-(diethylamino)ethyl]prop-2-enamide Chemical compound CCN(CC)CCNC(=O)C=C CXSANWNPQKKNJO-UHFFFAOYSA-N 0.000 description 1
- DCBBWYIVFRLKCD-UHFFFAOYSA-N n-[2-(dimethylamino)ethyl]-2-methylprop-2-enamide Chemical compound CN(C)CCNC(=O)C(C)=C DCBBWYIVFRLKCD-UHFFFAOYSA-N 0.000 description 1
- ADTJPOBHAXXXFS-UHFFFAOYSA-N n-[3-(dimethylamino)propyl]prop-2-enamide Chemical compound CN(C)CCCNC(=O)C=C ADTJPOBHAXXXFS-UHFFFAOYSA-N 0.000 description 1
- LKZTYRFSAJOGIT-UHFFFAOYSA-N n-[4-(dimethylamino)butyl]-2-methylprop-2-enamide Chemical compound CN(C)CCCCNC(=O)C(C)=C LKZTYRFSAJOGIT-UHFFFAOYSA-N 0.000 description 1
- QYMUDOWMRHNHHP-UHFFFAOYSA-N n-[4-(dimethylamino)butyl]prop-2-enamide Chemical compound CN(C)CCCCNC(=O)C=C QYMUDOWMRHNHHP-UHFFFAOYSA-N 0.000 description 1
- GORGQKRVQGXVEB-UHFFFAOYSA-N n-ethenyl-n-ethylacetamide Chemical compound CCN(C=C)C(C)=O GORGQKRVQGXVEB-UHFFFAOYSA-N 0.000 description 1
- PNLUGRYDUHRLOF-UHFFFAOYSA-N n-ethenyl-n-methylacetamide Chemical compound C=CN(C)C(C)=O PNLUGRYDUHRLOF-UHFFFAOYSA-N 0.000 description 1
- OFESGEKAXKKFQT-UHFFFAOYSA-N n-ethenyl-n-methylformamide Chemical compound C=CN(C)C=O OFESGEKAXKKFQT-UHFFFAOYSA-N 0.000 description 1
- DSENQNLOVPYEKP-UHFFFAOYSA-N n-ethenyl-n-methylpropanamide Chemical compound CCC(=O)N(C)C=C DSENQNLOVPYEKP-UHFFFAOYSA-N 0.000 description 1
- RQAKESSLMFZVMC-UHFFFAOYSA-N n-ethenylacetamide Chemical compound CC(=O)NC=C RQAKESSLMFZVMC-UHFFFAOYSA-N 0.000 description 1
- HAZULKRCTMKQAS-UHFFFAOYSA-N n-ethenylbutanamide Chemical compound CCCC(=O)NC=C HAZULKRCTMKQAS-UHFFFAOYSA-N 0.000 description 1
- IUWVWLRMZQHYHL-UHFFFAOYSA-N n-ethenylpropanamide Chemical compound CCC(=O)NC=C IUWVWLRMZQHYHL-UHFFFAOYSA-N 0.000 description 1
- 125000004123 n-propyl group Chemical group [H]C([H])([H])C([H])([H])C([H])([H])* 0.000 description 1
- SLCVBVWXLSEKPL-UHFFFAOYSA-N neopentyl glycol Chemical compound OCC(C)(C)CO SLCVBVWXLSEKPL-UHFFFAOYSA-N 0.000 description 1
- 238000006386 neutralization reaction Methods 0.000 description 1
- QIQXTHQIDYTFRH-UHFFFAOYSA-N octadecanoic acid Chemical compound CCCCCCCCCCCCCCCCCC(O)=O QIQXTHQIDYTFRH-UHFFFAOYSA-N 0.000 description 1
- SRSFOMHQIATOFV-UHFFFAOYSA-N octanoyl octaneperoxoate Chemical compound CCCCCCCC(=O)OOC(=O)CCCCCCC SRSFOMHQIATOFV-UHFFFAOYSA-N 0.000 description 1
- 230000003287 optical effect Effects 0.000 description 1
- 150000007524 organic acids Chemical class 0.000 description 1
- 235000005985 organic acids Nutrition 0.000 description 1
- 150000001451 organic peroxides Chemical class 0.000 description 1
- 235000006408 oxalic acid Nutrition 0.000 description 1
- 230000003647 oxidation Effects 0.000 description 1
- 238000004806 packaging method and process Methods 0.000 description 1
- 230000036961 partial effect Effects 0.000 description 1
- PNJWIWWMYCMZRO-UHFFFAOYSA-N pent‐4‐en‐2‐one Natural products CC(=O)CC=C PNJWIWWMYCMZRO-UHFFFAOYSA-N 0.000 description 1
- COLNVLDHVKWLRT-UHFFFAOYSA-N phenylalanine Natural products OC(=O)C(N)CC1=CC=CC=C1 COLNVLDHVKWLRT-UHFFFAOYSA-N 0.000 description 1
- 235000021317 phosphate Nutrition 0.000 description 1
- XNQULTQRGBXLIA-UHFFFAOYSA-O phosphonic anhydride Chemical compound O[P+](O)=O XNQULTQRGBXLIA-UHFFFAOYSA-O 0.000 description 1
- 125000001476 phosphono group Chemical group [H]OP(*)(=O)O[H] 0.000 description 1
- 239000000049 pigment Substances 0.000 description 1
- 229920000371 poly(diallyldimethylammonium chloride) polymer Polymers 0.000 description 1
- 229920001515 polyalkylene glycol Polymers 0.000 description 1
- 229920000768 polyamine Polymers 0.000 description 1
- 229920002857 polybutadiene Polymers 0.000 description 1
- 238000006068 polycondensation reaction Methods 0.000 description 1
- 229920005862 polyol Polymers 0.000 description 1
- 150000003077 polyols Chemical class 0.000 description 1
- 229920001282 polysaccharide Polymers 0.000 description 1
- 239000005017 polysaccharide Substances 0.000 description 1
- 235000012015 potatoes Nutrition 0.000 description 1
- 238000012673 precipitation polymerization Methods 0.000 description 1
- FBCQUCJYYPMKRO-UHFFFAOYSA-N prop-2-enyl 2-methylprop-2-enoate Chemical compound CC(=C)C(=O)OCC=C FBCQUCJYYPMKRO-UHFFFAOYSA-N 0.000 description 1
- HJWLCRVIBGQPNF-UHFFFAOYSA-N prop-2-enylbenzene Chemical compound C=CCC1=CC=CC=C1 HJWLCRVIBGQPNF-UHFFFAOYSA-N 0.000 description 1
- DQJSKCFIYCTPBV-UHFFFAOYSA-N propan-2-yl n-(propan-2-yloxycarbonylamino)peroxycarbamate Chemical compound CC(C)OC(=O)NOONC(=O)OC(C)C DQJSKCFIYCTPBV-UHFFFAOYSA-N 0.000 description 1
- 235000013772 propylene glycol Nutrition 0.000 description 1
- 230000001681 protective effect Effects 0.000 description 1
- 125000001453 quaternary ammonium group Chemical group 0.000 description 1
- 239000012966 redox initiator Substances 0.000 description 1
- 230000001105 regulatory effect Effects 0.000 description 1
- XWGJFPHUCFXLBL-UHFFFAOYSA-M rongalite Chemical compound [Na+].OCS([O-])=O XWGJFPHUCFXLBL-UHFFFAOYSA-M 0.000 description 1
- 229920006395 saturated elastomer Polymers 0.000 description 1
- 230000007017 scission Effects 0.000 description 1
- 125000000467 secondary amino group Chemical group [H]N([*:1])[*:2] 0.000 description 1
- 238000010517 secondary reaction Methods 0.000 description 1
- 238000010008 shearing Methods 0.000 description 1
- 239000002002 slurry Substances 0.000 description 1
- 239000011780 sodium chloride Substances 0.000 description 1
- 229910001379 sodium hypophosphite Inorganic materials 0.000 description 1
- 239000002904 solvent Substances 0.000 description 1
- 239000003381 stabilizer Substances 0.000 description 1
- 238000003860 storage Methods 0.000 description 1
- 125000001424 substituent group Chemical group 0.000 description 1
- 238000006467 substitution reaction Methods 0.000 description 1
- 239000001384 succinic acid Substances 0.000 description 1
- LSNNMFCWUKXFEE-UHFFFAOYSA-L sulfite Chemical compound [O-]S([O-])=O LSNNMFCWUKXFEE-UHFFFAOYSA-L 0.000 description 1
- 150000003464 sulfur compounds Chemical class 0.000 description 1
- 229910021653 sulphate ion Inorganic materials 0.000 description 1
- 239000004094 surface-active agent Substances 0.000 description 1
- OPQYOFWUFGEMRZ-UHFFFAOYSA-N tert-butyl 2,2-dimethylpropaneperoxoate Chemical compound CC(C)(C)OOC(=O)C(C)(C)C OPQYOFWUFGEMRZ-UHFFFAOYSA-N 0.000 description 1
- WYKYCHHWIJXDAO-UHFFFAOYSA-N tert-butyl 2-ethylhexaneperoxoate Chemical compound CCCCC(CC)C(=O)OOC(C)(C)C WYKYCHHWIJXDAO-UHFFFAOYSA-N 0.000 description 1
- GJBRNHKUVLOCEB-UHFFFAOYSA-N tert-butyl benzenecarboperoxoate Chemical compound CC(C)(C)OOC(=O)C1=CC=CC=C1 GJBRNHKUVLOCEB-UHFFFAOYSA-N 0.000 description 1
- SWAXTRYEYUTSAP-UHFFFAOYSA-N tert-butyl ethaneperoxoate Chemical compound CC(=O)OOC(C)(C)C SWAXTRYEYUTSAP-UHFFFAOYSA-N 0.000 description 1
- UBLMWQYLVOVZMT-UHFFFAOYSA-N tert-butyl n-(3-acetylphenyl)carbamate Chemical compound CC(=O)C1=CC=CC(NC(=O)OC(C)(C)C)=C1 UBLMWQYLVOVZMT-UHFFFAOYSA-N 0.000 description 1
- WMXCDAVJEZZYLT-UHFFFAOYSA-N tert-butylthiol Chemical compound CC(C)(C)S WMXCDAVJEZZYLT-UHFFFAOYSA-N 0.000 description 1
- GTZCVFVGUGFEME-UHFFFAOYSA-N trans-aconitic acid Natural products OC(=O)CC(C(O)=O)=CC(O)=O GTZCVFVGUGFEME-UHFFFAOYSA-N 0.000 description 1
- 239000004474 valine Substances 0.000 description 1
- 229960000834 vinyl ether Drugs 0.000 description 1
- 239000002699 waste material Substances 0.000 description 1
- 229920003176 water-insoluble polymer Polymers 0.000 description 1
- 229920003169 water-soluble polymer Polymers 0.000 description 1
- 239000013585 weight reducing agent Substances 0.000 description 1
- DGVVWUTYPXICAM-UHFFFAOYSA-N β‐Mercaptoethanol Chemical compound OCCS DGVVWUTYPXICAM-UHFFFAOYSA-N 0.000 description 1
Classifications
-
- D—TEXTILES; PAPER
- D21—PAPER-MAKING; PRODUCTION OF CELLULOSE
- D21H—PULP COMPOSITIONS; PREPARATION THEREOF NOT COVERED BY SUBCLASSES D21C OR D21D; IMPREGNATING OR COATING OF PAPER; TREATMENT OF FINISHED PAPER NOT COVERED BY CLASS B31 OR SUBCLASS D21G; PAPER NOT OTHERWISE PROVIDED FOR
- D21H17/00—Non-fibrous material added to the pulp, characterised by its constitution; Paper-impregnating material characterised by its constitution
- D21H17/20—Macromolecular organic compounds
- D21H17/33—Synthetic macromolecular compounds
- D21H17/34—Synthetic macromolecular compounds obtained by reactions only involving carbon-to-carbon unsaturated bonds
- D21H17/41—Synthetic macromolecular compounds obtained by reactions only involving carbon-to-carbon unsaturated bonds containing ionic groups
- D21H17/42—Synthetic macromolecular compounds obtained by reactions only involving carbon-to-carbon unsaturated bonds containing ionic groups anionic
-
- D—TEXTILES; PAPER
- D21—PAPER-MAKING; PRODUCTION OF CELLULOSE
- D21H—PULP COMPOSITIONS; PREPARATION THEREOF NOT COVERED BY SUBCLASSES D21C OR D21D; IMPREGNATING OR COATING OF PAPER; TREATMENT OF FINISHED PAPER NOT COVERED BY CLASS B31 OR SUBCLASS D21G; PAPER NOT OTHERWISE PROVIDED FOR
- D21H17/00—Non-fibrous material added to the pulp, characterised by its constitution; Paper-impregnating material characterised by its constitution
- D21H17/20—Macromolecular organic compounds
- D21H17/33—Synthetic macromolecular compounds
- D21H17/34—Synthetic macromolecular compounds obtained by reactions only involving carbon-to-carbon unsaturated bonds
- D21H17/41—Synthetic macromolecular compounds obtained by reactions only involving carbon-to-carbon unsaturated bonds containing ionic groups
- D21H17/44—Synthetic macromolecular compounds obtained by reactions only involving carbon-to-carbon unsaturated bonds containing ionic groups cationic
-
- D—TEXTILES; PAPER
- D21—PAPER-MAKING; PRODUCTION OF CELLULOSE
- D21H—PULP COMPOSITIONS; PREPARATION THEREOF NOT COVERED BY SUBCLASSES D21C OR D21D; IMPREGNATING OR COATING OF PAPER; TREATMENT OF FINISHED PAPER NOT COVERED BY CLASS B31 OR SUBCLASS D21G; PAPER NOT OTHERWISE PROVIDED FOR
- D21H21/00—Non-fibrous material added to the pulp, characterised by its function, form or properties; Paper-impregnating or coating material, characterised by its function, form or properties
- D21H21/14—Non-fibrous material added to the pulp, characterised by its function, form or properties; Paper-impregnating or coating material, characterised by its function, form or properties characterised by function or properties in or on the paper
- D21H21/18—Reinforcing agents
Definitions
- the invention relates to a process for the production of paper, cardboard and cardboard with high dry strength by adding water-soluble cationic polymers and anionic polymers to a pulp, draining the pulp and drying the paper products.
- a dry strength agent may either be applied to the surface of already dried paper or added to a stock prior to sheet formation.
- the dry strength agents are usually used in the form of a 1 to 10% aqueous solution. If such a solution of a dry strength agent is applied to the surface of a paper, considerable amounts of water must be evaporated during the subsequent drying process. Since the drying step is very energy consuming and since the capacity of the usual drying equipment on paper machines is usually not so large that you can drive at the maximum possible production speed of the paper machine, the production speed of the paper machine must be lowered so that dried dry-treated paper dried sufficiently becomes.
- Suitable water-soluble anionic polymers are, for example, homopolymers or copolymers of ethylenically unsaturated C 3 - to C 5 -carboxylic acids.
- the copolymers contain, for example, from 35 to 99% by weight of an ethylenically unsaturated C 3 - to C 5 -carboxylic acid, for example acrylic acid.
- WO 04/061235 A1 discloses a process for the production of paper, in particular tissue, with particularly high wet and / or dry strengths, in which the first admixture of a water-soluble cationic polymer which contains at least 1.5 meq / g of polymer to primary amino functionalities and a molecular weight of at least 10,000 daltons. Particularly emphasized here are partially and fully hydrolyzed homopolymers of N-vinylformamide. Subsequently, a water-soluble anionic polymer is added, which contains anionic and / or aldehydic groups.
- the advantage of this method is mainly the variability of the two-component systems described in terms of various paper properties, including wet and dry strength, exposed.
- EP 09 150 237.7 discloses a process for producing high dry strength paper by separately adding a water-soluble cationic polymer and an anionic polymer to a stock, said anionic polymer being an aqueous dispersion of a water-insoluble polymer having an acid group content of at most 10 mol% or one anionic adjusted aqueous dispersion of a nonionic polymer is. Subsequently, the dehydration of the pulp and the drying of the paper products.
- the invention has for its object to provide a further process for the production of paper with high dry strength and lowest possible wet strength available, the dry strength of the paper products over the prior art is further improved as possible.
- the object is achieved by a method according to claim 1 for the production of paper, paperboard and cardboard with high dry strength by adding a water-soluble cationic polymer and an anionic polymer to a paper stock, draining the stock and drying the paper products, being an anionic polymer aqueous dispersion of at least one anionic latex and at least one degraded starch.
- the cationic polymer is added to the stock in the form of dilute aqueous solutions having a polymer content of e.g. 0.1 to 10 wt .-% is added, the addition of the anionic polymer is always carried out as an aqueous dispersion.
- the polymer concentration of the aqueous dispersion can be varied within a wide range.
- the aqueous dispersions of the anionic polymer are preferably metered in diluted form; for example, the polymer concentration of the anionic dispersions is 0.5 to 10% by weight.
- Suitable cationic polymers are all water-soluble cationic polymers mentioned in the cited prior art. It is z. B. to amino or ammonium compounds carrying compounds. The amino groups may be primary, secondary, tertiary or quaternary groups.
- the polymers are essentially polymers, polyaddition compounds or polycondensates into consideration, wherein the polymers may have a linear or branched structure up to hyperbranched or dendritic structures.
- graft polymers are also applicable.
- the cationic polymers are referred to in the present context as water-soluble, if their solubility in water under normal conditions (20 ° C, 1013 mbar) and pH 7.0, for example, at least 10% by weight.
- the molecular weights M w of the cationic polymers are, for example, at least 1000 g / mol. For example, they are mostly in the range of 5,000 to 5 million g / mol.
- the charge densities of the cationic polymers are, for example, 0.5 to 23 meq / g of polymer, preferably 3 to 22 meq / g of polymer and most often 6 to 20 meq / g of polymer.
- Suitable monomers are furthermore N-vinylimidazoles, alkylvinylimidazoles, in particular methylvinylimidazoles such as 1-vinyl-2-methylimidazole, 3-vinylimidazole N-oxide, 2- and 4-vinylpyridines, 2- and 4-vinylpyridine N-oxides and betainic derivatives and Quaternization products of these monomers.
- Monomers or monomer mixtures in which in the above formula (II) the number average of m is at least 2.1, usually 2.1 to 8, are preferred.
- she are obtainable by reacting an ethylenically unsaturated carboxylic acid with an oligoalkyleneimine, preferably in the form of an oligomer mixture.
- the resulting product may optionally be converted with a mineral acid HY in the acid addition salt.
- Such monomers can be polymerized in an aqueous medium in the presence of an initiator which initiates a free radical polymerization to cationic homo- and copolymers.
- the abovementioned monomers can be polymerized to water-soluble cationic homopolymers alone or together with at least one other neutral monomer to form water-soluble cationic copolymers or with at least one acid group-containing monomers to form amphoteric copolymers which carry a total cationic charge in a molar excess of copolymerized cationic monomers.
- Suitable neutral monomers which are copolymerized with the abovementioned cationic monomers for the preparation of cationic polymers are, for example, esters of ⁇ , ⁇ -ethylenically unsaturated mono- and dicarboxylic acids with C 1 -C 30 -alkanols, C 2 -C 30 -alkanediols, Amides of ⁇ , ⁇ -ethylenically unsaturated monocarboxylic acids and their N-alkyl and N, N-dialkyl derivatives, esters of vinyl alcohol and allyl alcohol with saturated C 1 -C 30 monocarboxylic acids, vinyl aromatics, vinyl halides, vinylidene halides, C 2 -C 8 monoolefins and Mixtures thereof.
- Suitable comonomers are, for example, methyl (meth) acrylate, methyl methacrylate, ethyl (meth) acrylate, ethyl methacrylate, n-butyl (meth) acrylate, isobutyl (meth) acrylate, tert-butyl (meth) acrylate, tert-butyl ethacrylate, n-octyl (meth) acrylate, 1,1,3,3-tetramethylbutyl (meth) acrylate, ethylhexyl (meth) acrylate, and mixtures thereof.
- acrylamide, substituted acrylamides, methacrylamide, substituted methacrylamides such as, for example, acrylamide, methacrylamide, N-methyl (meth) acrylamide, N-ethyl (meth) acrylamide, N-propyl (meth) acrylamide, N- (n-butyl) ( meth) acrylamide, tert-butyl (meth) acrylamide, n-octyl (meth) acrylamide, 1,1,3,3-tetramethylbutyl (meth) acrylamide and ethylhexyl (meth) acrylamide and also acrylonitrile and methacrylonitrile and mixtures of the stated monomers.
- Further monomers for modifying the cationic polymers are 2-hydroxyethyl (meth) acrylate, 2-hydroxyethyl methacrylate, 2-hydroxypropyl (meth) acrylate, 3-hydroxypropyl (meth) acrylate, 3-hydroxybutyl (meth) acrylate, 4-hydroxybutyl (meth) acrylate, 6-hydroxyhexyl (meth) acrylate, etc., and mixtures thereof.
- N-vinyllactams and derivatives thereof which contain, for example, one or more C 1 -C 6 -alkyl substituents, such as methyl, ethyl, n-propyl, isopropyl, n-butyl, sec. Butyl, tert-butyl, etc. may have.
- N-vinylpyrrolidone N-vinylpiperidone, N-vinylcaprolactam
- N-vinyl-5-methyl-2-pyrrolidone N-vinyl-5-ethyl-2-pyrrolidone
- N-vinyl-6-methyl-2-piperidone N-vinyl-6-ethyl-2-piperidone
- N-vinyl-7-methyl-2-caprolactam N-vinyl-7-ethyl-2-caprolactam, etc.
- Suitable comonomers for the copolymerization with the abovementioned cationic monomers are furthermore ethylene, propylene, isobutylene, butadiene, styrene, ⁇ -methylstyrene, vinyl chloride, vinylidene chloride, vinyl fluoride, vinylidene fluoride and mixtures thereof.
- Another group of comonomers are ethylenically unsaturated compounds bearing a moiety from which an amino group can be formed in a polymer-analogous reaction.
- These include, for example, N-vinylformamide, N-vinyl-N-methylformamide, N-vinylacetamide, N-vinyl-N-methylacetamide, N-vinyl-N-ethylacetamide, N-vinylpropionamide, N-vinyl-N-methylpropionamide and N-vinylbutyramide and mixtures thereof.
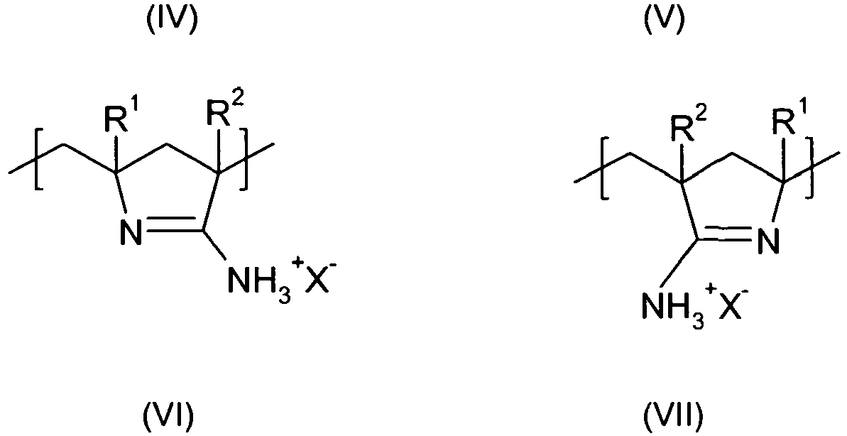
- the polymers formed therefrom can, as in EP 0 438 744 A1 described, by acidic or basic hydrolysis in vinylamine and amidine units (formulas IV - VII) containing polymers are transferred.
- the substituents R 1 , R 2 are H, C 1 - to C 6 -alkyl and X - is an anion equivalent of an acid, preferably a mineral acid.
- polyvinylamines polyvinylmethylamines or polyvinylethylamines are formed during the hydrolysis.
- the monomers of this group may be polymerized in any manner with the cationic monomers and / or the above-mentioned comonomers.
- Cationic polymers in the context of the present invention are also to be understood as meaning amphoteric polymers which carry a total cationic charge.
- the content of cationic groups is, for example, at least 5 mol% higher than the content of anionic groups in the polymer.
- Such polymers are z. B. accessible by copolymerizing a cationic monomer such as N, N-dimethyl-aminoethylacrylamide in the form of the free base, partially neutralized with an acid or in quaternized form with at least one acid group-containing monomer, wherein the cationic monomer in a molar excess is used so that the resulting polymers carry a total cationic charge.
- the hydrolysis of the copolymers can be carried out in the presence of acids or bases or else enzymatically.
- the vinylamine groups formed from the vinylcarboxamide units are present in salt form.
- the hydrolysis of vinylcarboxylic acid amide copolymers is described in U.S. Pat EP 0 438 744 A1 , Page 8, line 20 to page 10, line 3, described in detail. The statements made there apply correspondingly to the preparation of the amphoteric polymers to be used according to the invention having a total cationic charge.
- These polymers have, for example, K values (determined according to H. Fikentscher in 5% aqueous saline solution at pH 7, a polymer concentration of 0.5% by weight and a temperature of 25 ° C.) in the range from 20 to 250, preferably 50 to 150.
- the cationic homopolymers and copolymers can be prepared by solution, precipitation, suspension or emulsion polymerization. Preference is given to solution polymerization in aqueous media.
- Suitable aqueous media are water and mixtures of water and at least one water-miscible solvent, e.g. As an alcohol such as methanol, ethanol, n-propanol, etc.
- the polymerization temperatures are preferably in a range of about 30 to 200 ° C, more preferably 40 to 110 ° C.
- the polymerization is usually carried out under atmospheric pressure, but it can also proceed under reduced or elevated pressure.
- a suitable pressure range is between 0.1 and 5 bar.
- the monomers can be polymerized by means of free-radical initiators.
- the peroxo and / or azo compounds customary for this purpose can be used, for example alkali or ammonium peroxydisulfates, diacetyl peroxide, dibenzoyl peroxide, succinyl peroxide, di-tert-butyl peroxide, tert-butyl perbenzoate, tert-butyl perpivalate, tert-butyl peroxy-2-ethylhexanoate, tert-butyl permalate, cumene hydroperoxide, diisopropyl peroxydicarbamate, bis (o-toluoyl) peroxide, didecanoyl peroxide, dioctanoyl peroxide, dilauroyl peroxide, tert-butyl perisobutyrate, tert-butyl peracetate, di-tert-amyl peroxide tert-butyl hydroperoxide
- initiator mixtures or redox initiator systems such as, for example, ascorbic acid / iron (II) sulfate / sodium peroxodisulfate, tert-butyl hydroperoxide / sodium disulfite, tert-butyl hydroperoxide / sodium hydroxymethanesulfinate, H 2 O 2 / Cu-I or iron II -Links.
- the polymerization can be carried out in the presence of at least one regulator.
- a regulator the usual compounds known in the art, such.
- B. sulfur compounds for. As mercaptoethanol, 2-ethylhexyl thioglycolate, thioglycolic acid, sodium hypophosphite, formic acid or dodecyl mercaptan and Tribromchlormethan or other compounds which act regulating the molecular weight of the polymers obtained, are used.
- Cationic polymers such as polyvinylamines and their copolymers can also be prepared by Hofmann degradation of polyacrylamide or polymethacrylamide and their copolymers, cf. H. Tanaka, Journal of Polymer Science: Polymer Chemistry Edition 17,1239-1245 (1979 ) and EI Achari, X. Coqueret, A. Lablache-Combier, C. Loucheux, Makromol. Chem., Vol. 194, 1879-1891 (1993 ).
- All of the abovementioned cationic polymers can be modified by carrying out the polymerization of the cationic monomers and, if appropriate, of the mixtures of cationic monomers and the comonomers in the presence of at least one crosslinker.
- a crosslinker is understood as meaning those monomers which contain at least two double bonds in the molecule, e.g. Methylenbisacrylamid, glycol diacrylate, glycol dimethacrylate, glycerol triacrylate, pentaerythritol triallyl ether, at least two times with acrylic acid and / or methacrylic acid esterified polyalkylene glycols or polyols such as pentaerythritol, sobait or glucose. If at least one crosslinker is used in the copolymerization, the amounts used, for example, up to 2 mol%, z. B. 0.001 to 1 mol%.
- cationic compounds are polymers which can be produced by polyaddition reactions, in particular polymers based on aziridines. Both homopolymers can be formed but also graft polymers which are produced by grafting aziridines to other polymers. Again, it may be advantageous to add crosslinkers during or after the polyaddition which have at least two groups capable of reacting with the aziridines or the amino groups formed, e.g. Epichlorohydrin or dihaloalkanes (see Ullmann's Encyclopedia of Industrial Chemistry, VCH, Weinheim, 1992, chapter on aziridines).
- Preferred polymers of this type are based on ethyleneimine, e.g. homopolymers of ethyleneimine prepared by polymerization of ethyleneimine or polymers grafted with ethyleneimine such as polyamidoamines.
- Suitable cationic polymers are reaction products of dialkylamines with epichlorohydrin or with difunctional or polyfunctional epoxides, such as, for example, reaction products of dimethylamine with epichlorohydrin.
- cationic polymers are polycondensates, e.g. Homopolymers or copolymers of lysine, arginine and histidine. They can be used as homopolymers or as copolymers with other natural or synthetic amino acids or lactams. For example, glycine, alanine, valine, leucine, phenylalanine, tryptophan, proline, asparagine, glutamine, serine, threonine or else caprolactam are suitable for the copolymerization.
- cationic polymers it is also possible to use condensates of difunctional carboxylic acids with polyfunctional amines, the polyfunctional amines having at least two primary amino groups and at least one further less reactive, ie. secondary, tertiary or quaternary amino group wear.
- examples are the polycondensation products of diethylenetriamine or triethylenetetramine with adipic, malonic, glutaric, oxalic or succinic acid.
- amino-carrying polysaccharides such as Chitosan are suitable as cationic polymers.
- graft polymers which carry primary or secondary amino groups, can be modified by means of reactive oligoethyleneimines as in the older one EP application 07 150 232.2 described.
- graft polymers are described whose graft base is selected from the group of polymers comprising vinylamine units, polyamines, polyamidoamines and polymers of ethylenically unsaturated acids, and which contain exclusively oligoalkyleneimine side chains as side chains.
- the preparation of graft polymers with Oligoalkylenimintimketten done by grafting on one of said grafting at least one Oligoalkylenimin containing a terminal Aziridinruppe.
- the water-soluble cationic polymer used is a polymer containing vinylamine units.
- anionic polymers are also added to a paper stock in the process according to the invention.
- the anionic polymer according to the invention contains at least one anionic latex and at least one degraded starch.
- latex in the context of the present invention is understood to mean water-insoluble homopolymers and copolymers which are preferably used in the form of dispersions or emulsions.
- degraded starch is understood to mean starches which have an average molecular weight Mw of from 1,000 to 65,000.
- the latex is preferably at least 40 wt .-%, preferably at least 60 wt .-%, more preferably at least 80 wt .-% of so-called main monomers (a).
- the main monomers (a) are selected from C 1 -C 20 -alkyl (meth) acrylates, vinyl esters of carboxylic acids containing up to 20 C atoms, vinylaromatics having up to 20 C atoms, ethylenically unsaturated nitriles, vinyl halides, vinyl ethers of 1 to 10 C-containing alcohols, aliphatic hydrocarbons having 2 to 8 carbon atoms and one or two double bonds or mixtures of these monomers.
- (meth) acrylic acid alkyl ester having a C 1 -C 10 alkyl radical such as methyl methacrylate, methyl acrylate, n-butyl acrylate, isobutyl acrylate, ethyl acrylate and 2-ethylhexyl acrylate.
- mixtures of (meth) acrylic acid alkyl esters are also suitable.
- Vinyl esters of carboxylic acids having 1 to 20 carbon atoms are, for. As vinyl laurate, stearate, vinyl propionate, vinyl versatate and vinyl acetate.
- Suitable vinylaromatic compounds having up to 20 carbon atoms are vinyltoluene, ⁇ - and p-methylstyrene, ⁇ -butylstyrene, 4-n-butylstyrene, 4-n-decylstyrene and preferably styrene.
- Examples of ethylenically unsaturated nitriles are acrylonitrile and methacrylonitrile.
- the vinyl halides are chloro, fluoro or bromo substituted ethylenically unsaturated compounds, preferably vinyl chloride and vinylidene chloride.
- vinyl ethers of alcohols containing 1 to 10 carbon atoms are, for.
- vinyl methyl ether or vinyl isobutyl ether are, for.
- vinyl ethers of alcohols containing 1 to 4 carbon atoms are, for.
- vinyl methyl ether or vinyl isobutyl ether are, for.
- aliphatic hydrocarbons having 2 to 8 carbon atoms and one or two olefinic double bonds may be mentioned ethylene, propylene, butadiene, isoprene and chloroprene.
- Preferred main monomers (a) are C 1 -C 20 -alkyl (meth) acrylates and mixtures of the alkyl (meth) acrylates with vinylaromatics, especially styrene (collectively also referred to as polyacrylate latex) or hydrocarbons having 2 double bonds, especially butadiene, or mixtures of such hydrocarbons with vinyl aromatics, especially styrene (collectively referred to as polybutadiene latex).
- the latex may contain other monomers (b), e.g. Example, hydroxyl-containing monomers, in particular C 1 -C 10 hydroxyalkyl (meth) acrylates, and monomers having alkoxy groups, as they are obtainable by alkoxylation of hydroxyl-containing monomers with alkoxides, in particular ethylene oxide or propylene oxide.
- monomers (b) e.g. Example, hydroxyl-containing monomers, in particular C 1 -C 10 hydroxyalkyl (meth) acrylates, and monomers having alkoxy groups, as they are obtainable by alkoxylation of hydroxyl-containing monomers with alkoxides, in particular ethylene oxide or propylene oxide.
- Further monomers (b) are compounds which have at least two free-radically polymerizable double bonds, preferably 2 to 6, particularly preferably 2 to 4, very particularly preferably 2 to 3 and in particular 2. Such compounds are also referred to as crosslinkers.
- the at least two free-radically polymerizable double bonds of the crosslinkers (b) can be selected from the group consisting of (meth) acrylic, vinyl ether, vinyl ester, allyl ether and allyl ester groups.
- crosslinkers (b) are 1,2-ethanediol di (meth) acrylate, 1,3-propanediol di (meth) acrylate, 1,2-propanediol di (meth) acrylate, 1,4-butanediol di (meth) acrylate, 1.6 Hexanediol di (meth) acrylate, neopentyl glycol di (meth) acrylate, trimethylolpropane trioldi (meth) acrylate, pentaerythritol tetra (meth) acrylate, 1,4-butanediol divinyl ether, 1,6-hexanediol divinyl ether, 1,4-cyclo
- the anionic latex may contain other monomers (c), e.g. As monomers with carboxylic acid groups, their salts or anhydrides. Called z. For example, acrylic acid, methacrylic acid, itaconic acid, maleic acid or fumaric acid and aconitic acid.
- the content of ethylenically unsaturated acids in the latex is generally less than 10% by weight.
- the proportion of these monomers (c) is for example at least 1 wt .-%, preferably at least 2 wt .-% and particularly preferably at least 3 wt .-%.
- the acid groups of the latex may optionally be at least partially neutralized prior to later use.
- Suitable bases are volatile bases such as ammonia or non-volatile bases such as alkali metal hydroxides, in particular sodium hydroxide solution.
- the anionic latex consisting of the above-mentioned monomers has a glass transition temperature (measured by DSC) of -50 to +50 ° C, preferably -50 to +10 ° C, more preferably -40 to + 5 ° C and most preferably from -30 to 0 ° C on.
- the glass transition temperature T g is generally known to the person skilled in the art. This means the limit value of the glass transition temperature, according to which these G. Kanig (Colloid Journal & Zeitschrift fur Polymere, vol. 190, page 1, equation 1 ) tends with increasing molecular weight.
- the glass transition temperature is determined by the DSC method (differential scanning calorimetry, 20 K / min, midpoint measurement, DIN 53765).
- Tg n the glass transition temperatures of each of only one of the monomers 1, 2, .... n constructed polymers in degrees Kelvin.
- the T g values for the homopolymers of most monomers are known and z. In Ullmann's Encyclopedia of Industrial Chemistry, Vol. 5, Vol. A21, page 169, VCH Weinheim, 1992 listed. Other sources of glass transition temperatures of homopolymers form z. B. J. Brandrup, EH Immergut, Polymer Handbook, 1st Ed., J. Wiley, New York, 1966 . 2nd Ed., J. Wiley, New York, 1975 , and 3rd Ed., J. Wiley, New York, 1989 ,
- such particularly preferred polyacrylate latices contain 2-20% by weight of styrene, 2-20% by weight of acrylonitrile, 60-95% by weight of C 1 -C 4 -alkyl acrylates, preferably C 4 -acrylates such as n-butyl acrylate , Isobutyl acrylate and / or tert. Butyl acrylate and 0-5 wt .-% acrylic acid.
- the anionic latex comprises, in copolymerized form, at least one monomer comprising phosphono and / or phosphoric acid groups, both monomers having a free acid group and salts, esters and / or anhydrides thereof can.
- X is a straight-chain or branched C 2 -C 3 -alkylene oxide unit, and n is an integer between 5 and 15.
- X is an ethylene or propylene oxide unit, more preferably a propylene oxide unit.
- any mixtures of different optionally monoalkoxylated phosphonic acids and optionally monoalkoxylated phosphoric acids of the formula (VIII) for esterification with a monoethylenically unsaturated C 3 -C 8 carboxylic acid can be used.
- Preference is given to mixtures of monoalkoxylated Phosphoric acids of the formula (VIII) which contain the same alkylene oxide unit, preferably propylene oxide, but have a different degree of alkoxylation, preferably degree of propoxylation.
- Particularly preferred mixtures of monoalkoxylated phosphoric acids contain 5-15 units of propylene oxide, ie n is an integer between 5 and 15.
- monoethylenically unsaturated carboxylic acids having 3 to 8 carbon atoms are esterified with the abovementioned optionally monoalkoxylated phosphonic and / or phosphoric acids, preferably with the optionally monoalkoxylated phosphoric acids of the general formula (VIII).
- Such monoethylenically unsaturated C 3 -C 8 -carboxylic acids are, for example, acrylic acid, methacrylic acid, dimethylacrylic acid, ethacrylic acid, maleic acid, citraconic acid, methylenemalonic acid, crotonic acid, fumaric acid, mesaconic acid and itaconic acid. Preference is given to using acrylic acid and methacrylic acid.
- mixtures of monoethylenically unsaturated C 3 -C 8 carboxylic acids for esterification with optionally monoalkoxylated phosphonic and / or phosphoric acids, preferably with optionally monoalkoxylated phosphoric acids of the formula (VIII) can be used.
- such particularly preferred polyacrylate latexes contain 2-25% by weight of styrene, 2-25% by weight of acrylonitrile, 50-95% by weight of C 1 -C 4 -alkyl acrylates, preferably C 4 -acrylates such as n-butyl acrylate , Isobutyl acrylate and / or tert.
- the glass transition temperature (measured by DSC) of the anionic latices of the second embodiment is in the range of -40 to + 50 ° C.
- Anionic latices having a glass transition temperature of from -20 to +20 ° C. and particularly preferably from -10 to +10 ° C. are preferably used in the aqueous slurries of finely divided fillers according to the invention.
- the anionic latices are generally prepared by emulsion polymerization, and are therefore an emulsion polymer.
- the preparation of aqueous polymer dispersions by the process of free-radical emulsion polymerization is known per se (cf. Houben-Weyl, Methods of Organic Chemistry, Volume XIV, Macromolecular Substances, loc. cit., pages 133ff ).
- ionic and / or nonionic emulsifiers and / or protective colloids or stabilizers are used as surface-active compounds.
- the surface-active substance is usually used in amounts of from 0.1 to 10% by weight, in particular from 0.2 to 3% by weight, based on the monomers to be polymerized.
- Common emulsifiers are z. B. ammonium or alkali metal salts of higher fatty alcohol sulfates, such as Na-n-lauryl sulfate, fatty alcohol phosphates, ethoxylated C 8 - to C 10 alkylphenols having a degree of ethoxylation of 3 to 30 and ethoxylated C 8 - to C 25 -fatty alcohols having a degree of ethoxylation of 5 to 50. Also conceivable are mixtures of nonionic and ionic emulsifiers. Also suitable are phosphate- or sulfate-containing, ethoxylated and / or propoxylated alkylphenols and / or fatty alcohols. Other suitable emulsifiers are in Houben-Weyl, Methods of Organic Chemistry, Volume XIV, Macromolecular Materials, Georg Thieme Verlag, Stuttgart, 1961, pages 192 to 209 listed.
- Water-soluble initiators for the emulsion polymerization for the preparation of latices are, for.
- so-called reduction-oxidation (red-ox) initiator systems are also suitable.
- the amount of initiators is generally 0.1 to 10 wt .-%, preferably 0.5 to 5 wt .-%, based on the monomers to be polymerized. It is also possible to use a plurality of different initiators in the emulsion polymerization.
- emulsion polymerization regulators can be used, for. B. in amounts of 0 to 3 parts by weight, based on 100 parts by weight of the monomers to be polymerized, by which the molecular weight is reduced. Suitable z.
- B. Compounds with a thiol group such as tert-butylmercaptan, thioglycolic acid ethylacrylic ester, mercaptoethynol, mercaptopropyltrimethoxysilane or tert-dodecylmercaptan or regulator without thiol group, in particular z.
- the emulsion polymerization for preparing the latexes is generally carried out at 30 to 130 ° C, preferably at 50 to 100 ° C.
- the polymerization medium may consist of water only, as well as of mixtures of water and thus miscible liquids such as methanol. Preferably, only water is used.
- the emulsion polymerization can be carried out both as a batch process and in the form of a feed process, including a stepwise or gradient procedure.
- the feed process in which one submits a portion of the polymerization, heated to the polymerization, polymerized and then the rest of the polymerization, usually over several spatially separate feeds, one or more of which monomers in pure or in emulsified form, continuously , gradually or with the addition of a concentration gradient while maintaining the polymerization of the polymerization zone supplies.
- the polymerization can also z. B. be presented for better adjustment of the particle size of a polymer seed.
- the manner in which the initiator is added to the polymerization vessel in the course of the free radical aqueous emulsion polymerization is known to one of ordinary skill in the art. It can be introduced both completely into the polymerization vessel, or used continuously or in stages according to its consumption in the course of the free radical aqueous emulsion polymerization. In detail, this depends on the chemical nature of the initiator system as well as on the polymerization temperature. Preferably, a part is initially charged and the remainder supplied according to the consumption of the polymerization.
- the individual components can be added to the reactor in the feed process from above, in the side or from below through the reactor bottom.
- the acid groups contained in the latex can still be at least partially neutralized.
- This can be done, for example, with oxides, hydroxides, carbonates or bicarbonates of alkali metals or alkaline earth metals, preferably with hydroxides to which any one or more counterions may be associated, eg Li + , Na + , K + , Cs + , Mg 2+ , Ca 2 + or Ba 2+ .
- Also suitable for neutralization are ammonia or amines. Preference is given to aqueous ammonium hydroxide, sodium hydroxide or potassium hydroxide solutions.
- aqueous dispersions of the latex are generally obtained with solids contents of from 15 to 75% by weight, preferably from 40 to 75% by weight.
- the particle size of the latices is preferably in the range of 10 to 1000 nm, more preferably in the range of 50 to 300 nm (measured using a Malvern ® Autosizer 2 C).
- the anionic polymers which can be used according to the invention comprise at least one anionic latex and at least one degraded starch.
- the degraded starches have an average molecular weight M w of from 1,000 to 65,000 g / mol.
- the average molecular weights M.sub.w of the degraded starches can easily be determined by methods known to the person skilled in the art, eg. By gel permeation chromatography using a multi-angle light scattering detector.
- starch e.g. of native, anionic, cationic or amphoteric starch.
- the starch can e.g. derived from potatoes, maize, wheat, rice, tapioca, sorghum, or may be waxy starches having an amylopectin content of> 80, preferably> 95% by weight, such as waxy maize starch or waxy potato starch.
- the starches may be anionically and / or cationically modified, esterified, etherified and / or crosslinked. Preference is given to cationized starches.
- the molecular weight M w of the starches is not already in the range of 1,000 to 65,000 g / mol, they are subjected to molecular weight degradation. This molecular weight reduction can be carried out oxidatively, thermally, acidolytically or enzymatically. Preference is given to a procedure in which a starch is degraded enzymatically and / or oxidatively.
- the molecular weight Mw of the degraded starch is preferably in the range of 2,500 to 35,000 g / mol.
- anionic or cationic starches are known.
- Anionic starches are accessible, for example, by oxidation of native starches.
- Cationic starches are obtained, for example, by reacting native starch with at least one quaternizing agent, such as 2,3-Epoxipropyltrimethylammoniumchlorid prepared.
- the cationized starches contain quaternary ammonium groups.
- the proportion of cationic or anionic groups in substituted starch is indicated by means of the degree of substitution (DS). It is, for example, 0.005 to 1.0, preferably 0.01 to 0.4.
- maltodextrins are used as degraded starch.
- maltodextrins are water-soluble carbohydrates obtained by enzymatic degradation of starch, which consist of glucose units and have a dextrose equivalent.
- the anionic polymers may be prepared in various ways from the at least one anionic latex and the at least one degraded starch.
- the anionic latex is first prepared by emulsion polymerization from the aforementioned monomers.
- the degraded starch is added and the components are mixed together.
- the addition of the degraded starch is usually carried out at room temperature. It is also possible that the degraded starch is added to the aforementioned monomers and the emulsion polymerization thereby takes place in the presence of the degraded starch.
- Wood pulp includes, for example, groundwood, thermomechanical pulp (TMP), chemo-thermo-mechanical pulp (CTMP), pressure groundwood, semi-pulp, high yield pulp, and refiner mechanical pulp (RMP).
- TMP thermomechanical pulp
- CMP chemo-thermo-mechanical pulp
- RMP refiner mechanical pulp
- pulp for example, sulphate, sulphite and soda pulps come into consideration.
- unbleached pulp also referred to as unbleached kraft pulp
- Suitable annual plants for the production of pulps are, for example, rice, wheat, sugar cane and kenaf.
- Waste pulp is most often used to make the pulps, either alone or in admixture with other pulps, or by starting from fiber blends of primary and recycled coated broke, e.g. bleached pine sulfate in admixture with reclaimed coated broke.
- the process according to the invention is of technical interest for the production of paper and board from recycled paper, because it significantly increases the strength properties of the recycled fibers and has special significance for the improvement Strength properties of graphic papers and packaging papers.
- the papers obtainable by the process according to the invention surprisingly have a higher dry strength than those according to the process of the earlier European application with the file reference 09 150 237.7 manufacturable papers.
- the retention of the fillers and fillers from the material used for the production is significantly increased by the inventive method, without the strength properties of the paper are adversely affected.
- the pH of the stock suspension is, for example, in the range of 4.5 to 8, usually 6 to 7.5.
- an acid such as sulfuric acid or aluminum sulphate.
- the cationic polymer is preferably first metered to the paper stock.
- the cationic polymer can be added to the thick material (fiber concentration> 15 g / l, for example in the range from 25 to 40 g / l up to 60 g / l) or preferably to a thin material (fiber concentration ⁇ 15 g / l, eg in in the range of 5 to 12 g / l).
- the point of addition is preferably in front of the screens, but may also be between a shearing stage and a screen or afterwards.
- the anionic polymer is preferably added to the paper stock only after the cationic polymer has been added, but it may also be metered into the stock at the same time but separately from the cationic polymer. Furthermore, it is also possible first to add the anionic and subsequently the cationic polymer.
- the cationic polymer is used, for example, in an amount of 0.03 to 2.0 wt .-%, preferably 0.1 to 0.5 wt .-%, based on dry pulp.
- the water-insoluble anionic polymer is e.g. in an amount of 0.5 to 10 wt .-%, preferably 1 to 6 wt .-%, in particular from 2.5 to 5.5 wt .-%, based on dry pulp, used.
- the weight ratio of water-soluble cationic polymer to water-insoluble anionic polymer is, for example, 1: 5 to 1:20, based on the solids content, and is preferably in the range of 1:10 to 1:15, and more preferably in the range of 1:10 to 1:12.
- the process chemicals commonly used in papermaking can be used in the usual amounts, for example retention agents, dehydrating agents, other dry strength agents such as starch, pigments, fillers, optical brighteners, defoamers, biocides and paper dyes.
- the K value of the polymers was after Fikentscher, Cellulose-Chemie, Vol. 13, 58-64 and 71-74 (1932 ) at a temperature of 20 ° C in 5 wt .-% saline solutions at a pH of 7 and a polymer concentration of 0.5%.
- K k ⁇ 1000.
- This polymer was prepared by hydrolysis of a poly-N-vinylformamide with hydrochloric acid.
- the degree of hydrolysis of the polymer was 50 mole%, i. the polymer contained 50 mole% of N-vinylformamide units and 50 mole% of vinylamine units in salt form.
- the K value of the water-soluble cationic polymer was 90.
- the water-soluble cationic polymer B contained 70 mol% of N-vinylformamide units and 30 mol% of vinylamine units in salt form.
- the K value of the water-soluble cationic polymer was 90.
- a previously prepared monomer emulsion consisting of 534.4 g of deionized water, 22.4 g of a 15 wt .-% solution of sodium lauryl sulfate (Disponil ® SDS 15, Cognis), 8 g of a 45 wt .-% Solution of Dodecylphenoxybenzoldisulfonklare sodium salt (Dowfax ® 2A1, Dow Chemicals), 12 g of a 10 wt .-% solution of sodium hydroxide, 35 g of acrylic acid, 168 g of styrene, 829 g of n-butyl acrylate and 168 g of acrylonitrile uniformly within 2 hours and 45 Minutes added.
- a practically coagulate-free polymer dispersion having a solids content of 51% by weight was obtained.
- the polymer had a TLC measured glass transition temperature of + 5 ° C.
- the resulting blend had a solids content of 30% by weight and a pH of 6.5.
- Polymer 2 was prepared analogously to polymer 1, but a mixture of maltodextrin diluted to 30% by weight (from Cerestar, strength 019 S1) was used in the blending.
- a practically coagulate-free polymer dispersion having a solids content of 50% by weight was obtained.
- the polymer had a glass transition temperature of -25 ° C as measured by DSC.
- the resulting blend had a solids content of 30% by weight and a pH of 6.4.
- a practically coagulate-free polymer dispersion having a solids content of 50% by weight was obtained.
- the polymer had a TLC measured glass transition temperature of + 4 ° C.
- the resulting blend had a solids content of 30% by weight, a pH of 6.5 and a particle size of 137 nm measured by dynamic light scattering (Malvern HPPS).
- the polymer had a DSC measured Glass transition temperature of + 5 ° C.
- the particle size measured by dynamic light scattering (Malvern HPPS) was 149 nm.
- a 0.5% aqueous pulp suspension was prepared.
- the pH of the suspension was 7.1, the freeness of the substance 50 ° Schopper-Riegler (° SR).
- the stock suspension was then divided into eight equal parts and in Examples 1 to 6 and in Comparative Examples 1 and 2 under the conditions specified in the Examples and Comparative Examples on a Rapid Köthen sheet former according to ISO 5269/2 to sheets of a basis weight of 120 gsm processed.
- the temperature of the paper stock suspension was about 20 ° C.
- To the stock suspension was added 0.25% of polymer A (polymer, based on dry pulp). After a reaction time of 5 minutes, the dispersion of the anionic polymer 1 was diluted by a factor of 10. The diluted dispersion was then metered into the pulp suspension with gentle stirring. The amount of anionic polymer 1 used was 5% (polymer solid, based on dry pulp). After an exposure time of 1 minute leaves were formed, which were then dried at 90 ° C for 7 minutes.
- the temperature of the paper stock suspension was about 20 ° C.
- 0.25% of polymer B (polymer, based on dry pulp) was added to the stock suspension.
- the dispersion of the anionic polymer 1 was diluted by a factor of 10.
- the diluted dispersion was then metered into the pulp suspension with gentle stirring.
- the amount of anionic polymer 1 used was 5% (polymer solid, based on dry pulp). After an exposure time of 1 minute leaves were formed, which were then dried at 90 ° C for 7 minutes.
- Example 3 was carried out analogously to Example 2, but the anionic polymer 2 was used.
- Example 4 was carried out analogously to Example 2, but the anionic polymer 3 was used.
- Example 5 was carried out analogously to Example 2, but the anionic polymer 4 was used.
- Example 6 was carried out analogously to Example 2, but the anionic polymer 5 was used.
- the stock was heated to a temperature of 50 ° C.
- polymer B polymer, based on dry pulp.
- the dispersion of an anionic acrylate resin (solid content 50%) obtainable by the suspension polymerization of 68 mol% of n-butyl acrylate, 14 mol% of styrene, 14 mol% of acrylonitrile and 4 mol% of acrylic acid was increased by a factor 10 diluted.
- the mean particle size of the dispersed polymer particles was 192 nm.
- the dilute dispersion was metered into the pulp suspension heated to 50 ° C. with gentle stirring.
- the amount of acrylate used was 5% (polymer solid, based on dry pulp). After an exposure time of 1 minute leaves were formed, which were then dried at 90 ° C for 7 minutes.
- the examples and comparative examples show that the sheets according to the comparative examples have inferior strength properties despite lower filler content.
Landscapes
- Chemical & Material Sciences (AREA)
- Chemical Kinetics & Catalysis (AREA)
- Paper (AREA)
- Addition Polymer Or Copolymer, Post-Treatments, Or Chemical Modifications (AREA)
- Compositions Of Macromolecular Compounds (AREA)
Description
Die Erfindung betrifft ein Verfahren zur Herstellung von Papier, Pappe und Karton mit hoher Trockenfestigkeit durch Zugabe von wasserlöslichen kationischen Polymerisaten und anionischen Polymerisaten zu einem Papierstoff, Entwässern des Papierstoffs und Trocknen der Papierprodukte.The invention relates to a process for the production of paper, cardboard and cardboard with high dry strength by adding water-soluble cationic polymers and anionic polymers to a pulp, draining the pulp and drying the paper products.
Um die Trockenfestigkeit von Papier zu erhöhen, kann man einen Trockenverfestiger entweder auf die Oberfläche eines bereits getrockneten Papiers auftragen oder einem Papierstoff vor der Blattbildung zusetzen. Die Trockenverfestiger werden üblicherweise in Form einer 1 bis 10 %igen wässrigen Lösung angewendet. Trägt man eine solche Lösung eines Trockenverfestigers auf die Oberfläche eines Papiers auf, so sind bei dem anschließenden Trocknungsprozess beträchtliche Mengen an Wasser zu verdampfen. Da der Trocknungsschritt sehr energieaufwendig ist und da die Kapazität der üblichen Trocknungseinrichtungen an Papiermaschinen meistens nicht so groß ist, dass man bei der maximal möglichen Produktionsgeschwindigkeit der Papiermaschine fahren kann, muss die Produktionsgeschwindigkeit der Papiermaschine erniedrigt werden, damit das trockenfest ausgerüstete Papier in ausreichendem Maße getrocknet wird.To increase the dry strength of paper, a dry strength agent may either be applied to the surface of already dried paper or added to a stock prior to sheet formation. The dry strength agents are usually used in the form of a 1 to 10% aqueous solution. If such a solution of a dry strength agent is applied to the surface of a paper, considerable amounts of water must be evaporated during the subsequent drying process. Since the drying step is very energy consuming and since the capacity of the usual drying equipment on paper machines is usually not so large that you can drive at the maximum possible production speed of the paper machine, the production speed of the paper machine must be lowered so that dried dry-treated paper dried sufficiently becomes.
Setzt man den Trockenverfestiger dagegen einem Papierstoff vor der Blattbildung zu, so muss das ausgerüstete Papier nur einmal getrocknet werden. Aus der
Aus
Aus der
mindestens einem N-Vinylcarbonsäureamid der Formel
mindestens einem Säuregruppen enthaltenden monoethylenisch ungesättigten Monomeren und/oder dessen Alkalimetall-, Erdalkalimetall- oder Ammoniumsalzen, und gegebenenfalls
anderen monoethylenisch ungesättigten Monomeren, und gegebenenfalls Verbindungen, die mindestens zwei ethylenisch ungesättigte Doppelbindungen im Molekül aufweisen.From the
at least one N-vinylcarboxamide of the formula
at least one acid group-containing monoethylenically unsaturated monomer and / or its alkali metal, alkaline earth metal or ammonium salts, and optionally
other monoethylenically unsaturated monomers, and optionally compounds which have at least two ethylenically unsaturated double bonds in the molecule.
Aus der älteren europäischen Anmeldung mit dem Aktenzeichen
Der Erfindung liegt die Aufgabe zugrunde, ein weiteres Verfahren zur Herstellung von Papier mit hoher Trockenfestigkeit und möglichst niedriger Nassfestigkeit zur Verfügung zu stellen, wobei die Trockenfestigkeit der Papierprodukte gegenüber dem Stand der Technik möglichst weiter verbessert ist.The invention has for its object to provide a further process for the production of paper with high dry strength and lowest possible wet strength available, the dry strength of the paper products over the prior art is further improved as possible.
Die Aufgabe wird erfindungsgemäß gelöst mit einem Verfahren gemäß Anspruch 1 zur Herstellung von Papier, Pappe und Karton mit hoher Trockenfestigkeit durch Zugabe eines wasserlöslichen kationischen Polymerisats und eines anionischen Polymersats zu einem Papierstoff, Entwässern des Papierstoffs und Trocknen der Papierprodukte, wobei man als anionisches Polymerisat eine wässrige Dispersion mindestens eines anionischen Latices und mindestens einer abgebauten Stärke einsetzt.The object is achieved by a method according to claim 1 for the production of paper, paperboard and cardboard with high dry strength by adding a water-soluble cationic polymer and an anionic polymer to a paper stock, draining the stock and drying the paper products, being an anionic polymer aqueous dispersion of at least one anionic latex and at least one degraded starch.
Während das kationische Polymere dem Papierstoff in Form von verdünnten wässrigen Lösungen mit einem Polymergehalt von z.B. 0,1 bis 10 Gew.-% zugesetzt wird, erfolgt die Zugabe des anionischen Polymerisats immer als wässrige Dispersion. Die Polymerkonzentration der wässrigen Dispersion kann dabei innerhalb eines weiten Bereichs variiert werden. Vorzugsweise dosiert man die wässrigen Dispersionen des anionischen Polymerisats in verdünnter Form, beispielsweise beträgt die Polymerkonzentration der anionischen Dispersionen 0,5 bis 10 Gew.-%.While the cationic polymer is added to the stock in the form of dilute aqueous solutions having a polymer content of e.g. 0.1 to 10 wt .-% is added, the addition of the anionic polymer is always carried out as an aqueous dispersion. The polymer concentration of the aqueous dispersion can be varied within a wide range. The aqueous dispersions of the anionic polymer are preferably metered in diluted form; for example, the polymer concentration of the anionic dispersions is 0.5 to 10% by weight.
Als kationische Polymere kommen alle im eingangs zitierten Stand der Technik genannten wasserlöslichen kationischen Polymeren in Betracht. Es handelt sich dabei z. B. um Amino- bzw. Ammoniumgruppen tragende Verbindungen. Bei den Aminogruppen kann es sich um primäre, sekundäre, tertiäre oder quarternäre Gruppen handeln. Für die Polymer kommen im Wesentlichen Polymerisate, Polyadditionsverbindungen oder Polykondensate in Betracht, wobei die Polymere eine lineare oder verzweigte Struktur bis hin zu hyperverzweigten oder dendritischen Strukturen aufweisen können. Weiterhin sind auch Pfropfpolymere anwendbar. Die kationischen Polymeren werden im vorliegenden Zusammenhang als wasserlöslich bezeichnet, wenn ihre Löslichkeit in Wasser unter Normalbedingungen (20 °C, 1013 mbar) und pH 7,0 beispielsweise mindestens 10 Gew-% beträgt.Suitable cationic polymers are all water-soluble cationic polymers mentioned in the cited prior art. It is z. B. to amino or ammonium compounds carrying compounds. The amino groups may be primary, secondary, tertiary or quaternary groups. For the polymers are essentially polymers, polyaddition compounds or polycondensates into consideration, wherein the polymers may have a linear or branched structure up to hyperbranched or dendritic structures. Furthermore, graft polymers are also applicable. The cationic polymers are referred to in the present context as water-soluble, if their solubility in water under normal conditions (20 ° C, 1013 mbar) and pH 7.0, for example, at least 10% by weight.
Die Molmassen Mw der kationischen Polymeren betragen z.B. mindestens 1.000 g/mol. Sie liegen beispielsweise meistens in dem Bereich von 5.000 bis 5 Millionen g/mol. Die Ladungsdichten der kationischen Polymeren betragen beispielsweise 0,5 bis 23 meq/g Polymer, vorzugsweise 3 bis 22 meq/g Polymer und meistens 6 bis 20 meq/g Polymer.The molecular weights M w of the cationic polymers are, for example, at least 1000 g / mol. For example, they are mostly in the range of 5,000 to 5 million g / mol. The charge densities of the cationic polymers are, for example, 0.5 to 23 meq / g of polymer, preferably 3 to 22 meq / g of polymer and most often 6 to 20 meq / g of polymer.
Geeignete Monomere zur Herstellung von kationischen Polymerisaten sind beispielsweise:
- Ester von α,β-ethylenisch ungesättigten Mono- und Dicarbonsäuren mit Aminoalkoholen, vorzugsweise C2-C12-Aminoalkoholen. Diese können am Aminstickstoff C1-C8-monoalkyliert oder dialkyliert sein. Als Säurekomponente dieser Ester eignen sich z. B. Acrylsäure, Methacrylsäure, Fumarsäure, Maleinsäure, Itaconsäure, Crotonsäure, Maleinsäureanhydrid, Monobutylmaleat und Gemische davon. Bevorzugt werden Acrylsäure, Methacrylsäure und deren Gemische eingesetzt. Dazu zählen beispielsweise N-Methylaminomethyl(meth)acrylat, N-Methylaminoethyl(meth)acrylat, N,N-Dimethylaminomethyl(meth)acrylat, N,N-Dimethylaminoethyl(meth)acrylat, N,N-Diethylaminoethyl(meth)acrylat, N,N-Dimethylaminopropyl(meth)acrylat, N,N-Diethylaminopropyl(meth)acrylat und N,N-Dimethylaminocyclohexyl(meth)acrylat.
- Esters of α, β-ethylenically unsaturated mono- and dicarboxylic acids with aminoalcohols, preferably C 2 -C 12 -aminoalcohols. These may be C 1 -C 8 monoalkylated or dialkylated on the amine nitrogen. As the acid component of these esters are z. For example, acrylic acid, methacrylic acid, fumaric acid, maleic acid, itaconic acid, crotonic acid, maleic anhydride, monobutyl maleate and mixtures thereof. Preference is given to using acrylic acid, methacrylic acid and mixtures thereof. These include, for example, N-methylaminomethyl (meth) acrylate, N-methylaminoethyl (meth) acrylate, N, N-dimethylaminomethyl (meth) acrylate, N, N-dimethylaminoethyl (meth) acrylate, N, N-diethylaminoethyl (meth) acrylate, N, N-dimethylaminopropyl (meth) acrylate, N, N-diethylaminopropyl (meth) acrylate and N, N-dimethylaminocyclohexyl (meth) acrylate.
Ebenfalls geeignet sind die Quarternierungsprodukte der vorstehenden Verbindungen mit C1-C8-Alkylchloriden, C1-C8-Dialkylsulfaten, C1-C16-Epoxiden oder Benzylchlorid.Also suitable are the quaternization products of the above compounds with C 1 -C 8 alkyl chlorides, C 1 -C 8 dialkyl sulfates, C 1 -C 16 epoxides or benzyl chloride.
Darüber hinaus sind als weitere Monomere N-[2-(Dimethylamino)ethyl]acrylamid, N-[2-(Dimethylamino)ethyl]methacrylamid, N-[3-(Dimethylamino)propyl]acrylamid, N-[3-(Dimethylamino)propyl]methacrylamid, N-[4-(Dimethylamino)butyl]acrylamid, N-[4-(Dimethylamino)butyl]methacrylamid, N-[2-(Diethylamino)ethyl]acrylamid, N-[2-(Diethylamino)ethyl]methacrylamid und Mischungen davon geeignet.In addition, as further monomers N- [2- (dimethylamino) ethyl] acrylamide, N- [2- (dimethylamino) ethyl] methacrylamide, N- [3- (dimethylamino) propyl] acrylamide, N- [3- (dimethylamino) propyl] methacrylamide, N- [4- (dimethylamino) butyl] acrylamide, N- [4- (dimethylamino) butyl] methacrylamide, N- [2- (diethylamino) ethyl] acrylamide, N- [2- (diethylamino) ethyl] methacrylamide and mixtures thereof.
Ebenfalls geeignet sind die Quarternierungsprodukte der vorstehenden Verbindungen mit C1-C8 Alkylchlorid, C1-C8-Dialkylsulfat, C1-C16-Epoxiden oder Benzylchlorid.Also suitable are the quaternization products of the above compounds with C 1 -C 8 alkyl chloride, C 1 -C 8 dialkyl sulfate, C 1 -C 16 epoxides or benzyl chloride.
Geeignete Monomere sind weiterhin N-Vinylimidazole, Alkylvinylimidazole, insbesondere Methylvinylimidazole wie 1-Vinyl-2-methylimidazol, 3-Vinylimidazol-N-oxid, 2- und 4-Vinylpyridine, 2- und 4-Vinylpyridin-N-oxide sowie betainische Derivate und Quaternisierungsprodukte dieser Monomere.Suitable monomers are furthermore N-vinylimidazoles, alkylvinylimidazoles, in particular methylvinylimidazoles such as 1-vinyl-2-methylimidazole, 3-vinylimidazole N-oxide, 2- and 4-vinylpyridines, 2- and 4-vinylpyridine N-oxides and betainic derivatives and Quaternization products of these monomers.
Weitere geeignete Monomere sind Allylamin, Dialkyldiallylammoniumchloride, insbesondere Dimethyldiallylammoniumchlorid und Diethyldiallylammoniumchlorid sowie die aus der
- R
- für Wasserstoff oder C1- bis C4-Alkyl steht,
- -[Al-]m
- eine lineare oder verzweigte Oligoalkyleniminkette mit m Alkylenimineinheiten bedeutet,
- m
- für eine ganze Zahl im Bereich von 1 bis 20 steht, und das Zahlenmittel m in den Oligoalkyleniminketten wenigstens 1,5 beträgt,
- Y
- das Anionäquivalent einer Mineralsäure bedeutet und
- n
- für eine Zahl von 1 ≤ n ≤ m steht.
- R
- is hydrogen or C 1 - to C 4 -alkyl,
- - [Al-] m
- a linear or branched oligoalkylenimine chain with m alkyleneimine units,
- m
- is an integer in the range of 1 to 20, and the number average m in the oligoalkyleneimine chains is at least 1.5,
- Y
- the anion equivalent of a mineral acid means and
- n
- is a number of 1 ≤ n ≤ m.
Monomere bzw. Monomergemische, bei denen in der oben angegebenen Formel (II) das Zahlenmittel von m wenigstens 2,1, meistens 2,1 bis 8 beträgt, sind bevorzugt. Sie sind dadurch erhältlich, dass man eine ethylenisch ungesättigte Carbonsäure mit einem Oligoalkylenimin, vorzugsweise in Form eines Oligomerengemisches, umsetzt. Das dabei anfallende Produkt kann gegebenenfalls mit einer Mineralsäure HY in das Säureadditionssalz überführt werden. Solche Monomere können in einem wässrigen Medium in Gegenwart eines Initiators, der eine radikalische Polymerisation auslöst, zu kationischen Homo- und Copolymerisaten polymerisiert werden.Monomers or monomer mixtures in which in the above formula (II) the number average of m is at least 2.1, usually 2.1 to 8, are preferred. she are obtainable by reacting an ethylenically unsaturated carboxylic acid with an oligoalkyleneimine, preferably in the form of an oligomer mixture. The resulting product may optionally be converted with a mineral acid HY in the acid addition salt. Such monomers can be polymerized in an aqueous medium in the presence of an initiator which initiates a free radical polymerization to cationic homo- and copolymers.
Weitere geeignete kationische Monomere sind aus der älteren
H2C= CH-O-X- NH- [Al-]n-H (III),
worin
- [Al-]n
- für eine lineare oder verzweigte Oligoalkyleniminkette mit n Alkylenimineinheiten steht,
- n
- eine Zahl von mindestens 1 bedeutet und
- X
- für eine geradkettige oder verzweigte C2- bis C6-Alkylengruppe steht sowie
H 2 C = CH-OX-NH- [Al-] n -H (III),
wherein
- [Al-] n
- represents a linear or branched oligoalkyleneimine chain having n alkyleneimine units,
- n
- a number of at least 1 means and
- X
- represents a straight-chain or branched C 2 - to C 6 -alkylene group and
Salze der Monomeren (III) mit Mineralsäuren oder organischen Säuren und Quaternierungsprodukte der Monomeren (III) mit Alkylhalogeniden oder Dialkylsulfaten. Diese Verbindungen sind durch Addition von Alkyleniminen an Amino-C2- bis C6-alkylvinylether zugänglich.Salts of the monomers (III) with mineral acids or organic acids and quaternization products of the monomers (III) with alkyl halides or dialkyl sulfates. These compounds are accessible by addition of alkyleneimines to amino C 2 to C 6 alkyl vinyl ethers.
Die zuvor genannten Monomere können allein zu wasserlöslichen kationischen Homopolymeren oder zusammen mit mindestens einem anderen neutralen Monomeren zu wasserlöslichen kationischen Copolymerisaten oder mit mindestens einem Säuregruppen aufweisenden Monomeren zu amphoteren Copolymerisaten, die bei einem molaren Überschuss an einpolymerisierten kationischen Monomeren eine kationische Gesamtladung tragen, polymerisiert werden.The abovementioned monomers can be polymerized to water-soluble cationic homopolymers alone or together with at least one other neutral monomer to form water-soluble cationic copolymers or with at least one acid group-containing monomers to form amphoteric copolymers which carry a total cationic charge in a molar excess of copolymerized cationic monomers.
Als neutrale Monomere, die mit den obengenannten kationischen Monomeren zur Herstellung von kationischen Polymerisaten copolymerisiert werden, eignen sich beispielsweise Ester von α,β-ethylenisch ungesättigten Mono- und Dicarbonsäuren mit C1-C30-Alkanolen, C2-C30-Alkandiolen, Amide α,β-ethylenisch ungesättigter Monocarbonsäuren und deren N-Alkyl- und N,N-Dialkylderivate, Ester von Vinylalkohol und Allylalkohol mit gesättigten C1-C30-Monocarbonsäuren, Vinylaromaten, Vinylhalogenide, Vinylidenhalogenide, C2- C8-Monoolefine und Mischungen davon.Suitable neutral monomers which are copolymerized with the abovementioned cationic monomers for the preparation of cationic polymers are, for example, esters of α, β-ethylenically unsaturated mono- and dicarboxylic acids with C 1 -C 30 -alkanols, C 2 -C 30 -alkanediols, Amides of α, β-ethylenically unsaturated monocarboxylic acids and their N-alkyl and N, N-dialkyl derivatives, esters of vinyl alcohol and allyl alcohol with saturated C 1 -C 30 monocarboxylic acids, vinyl aromatics, vinyl halides, vinylidene halides, C 2 -C 8 monoolefins and Mixtures thereof.
Weitere geeignete Comonomere sind z.B. Methyl(meth)acrylat, Methylethacrylat, Ethyl(meth)acrylat, Ethylethacrylat, n-Butyl(meth)acrylat, Isobutyl(meth)acrylat, tert.-Butyl(meth)acrylat, tert.-Butylethacrylat, n-Octyl(meth)acrylat, 1,1,3,3-Tetramethylbutyl(meth)acrylat, Ethylhexyl(meth)acrylat und Mischungen davon.Further suitable comonomers are, for example, methyl (meth) acrylate, methyl methacrylate, ethyl (meth) acrylate, ethyl methacrylate, n-butyl (meth) acrylate, isobutyl (meth) acrylate, tert-butyl (meth) acrylate, tert-butyl ethacrylate, n-octyl (meth) acrylate, 1,1,3,3-tetramethylbutyl (meth) acrylate, ethylhexyl (meth) acrylate, and mixtures thereof.
Geeignet sind außerdem Acrylamid, substituierte Acrylamide, Methacrylamid, substituierte Methacrylamide wie beispielsweise Acrylsäureamid, Methacrylsäureamid, N-Methyl(meth)acrylamid, N-Ethyl(meth)acrylamid, N-Propyl(meth)acrylamid, N-(n-Butyl)(meth)acrylamid, tert.-Butyl(meth)acrylamid, n-Octyl(meth)acrylamid, 1,1,3,3-Tetramethylbutyl(meth)acrylamid und Ethylhexyl(meth)acrylamid sowie Acrylnitril und Methacrylnitril und Mischungen der genannten Monomeren.Also suitable are acrylamide, substituted acrylamides, methacrylamide, substituted methacrylamides such as, for example, acrylamide, methacrylamide, N-methyl (meth) acrylamide, N-ethyl (meth) acrylamide, N-propyl (meth) acrylamide, N- (n-butyl) ( meth) acrylamide, tert-butyl (meth) acrylamide, n-octyl (meth) acrylamide, 1,1,3,3-tetramethylbutyl (meth) acrylamide and ethylhexyl (meth) acrylamide and also acrylonitrile and methacrylonitrile and mixtures of the stated monomers.
Weitere Monomere zur Modifizierung der kationischen Polymerisate sind 2-Hydroxyethyl(meth)acrylat, 2-Hydroxyethylethacrylat, 2-Hydroxypropyl(meth)acrylat, 3-Hydroxypropyl(meth)acrylat, 3-Hydroxybutyl(meth)acrylat, 4-Hydroxybutyl(meth)acrylat, 6-Hydroxyhexyl(meth)acrylat etc. und Mischungen davon.Further monomers for modifying the cationic polymers are 2-hydroxyethyl (meth) acrylate, 2-hydroxyethyl methacrylate, 2-hydroxypropyl (meth) acrylate, 3-hydroxypropyl (meth) acrylate, 3-hydroxybutyl (meth) acrylate, 4-hydroxybutyl (meth) acrylate, 6-hydroxyhexyl (meth) acrylate, etc., and mixtures thereof.
Weitere geeignete Monomere für die Copolymerisation mit den obengenannten kationischen Monomeren sind N-Vinyllactame und deren Derivate, die z.B. einen oder mehrere C1-C6-Alkylsubstituenten, wie Methyl, Ethyl, n-Propyl, Isopropyl, n-Butyl, sec.-Butyl, tert.-Butyl etc. aufweisen können. Dazu zählen z.B. N-Vinylpyrrolidon, N-Vinylpiperidon, N-Vinylcaprolactam, N-Vinyl-5-methyl-2-pyrrolidon, N-Vinyl-5-ethyl-2-pyrrolidon, N-Vinyl-6-methyl-2-piperidon, N-Vinyl-6-ethyl-2-piperidon, N-Vinyl-7-methyl-2-caprolactam, N-Vinyl-7-ethyl-2-caprolactam etc.Further suitable monomers for the copolymerization with the abovementioned cationic monomers are N-vinyllactams and derivatives thereof which contain, for example, one or more C 1 -C 6 -alkyl substituents, such as methyl, ethyl, n-propyl, isopropyl, n-butyl, sec. Butyl, tert-butyl, etc. may have. These include, for example, N-vinylpyrrolidone, N-vinylpiperidone, N-vinylcaprolactam, N-vinyl-5-methyl-2-pyrrolidone, N-vinyl-5-ethyl-2-pyrrolidone, N-vinyl-6-methyl-2-piperidone , N-vinyl-6-ethyl-2-piperidone, N-vinyl-7-methyl-2-caprolactam, N-vinyl-7-ethyl-2-caprolactam, etc.
Geeignete Comonomere für die Copolymerisation mit den obengenannten kationischen Monomeren sind weiterhin Ethylen, Propylen, Isobutylen, Butadien, Styrol, α-Methylstyrol, Vinylchlorid, Vinylidenchlorid, Vinylfluorid, Vinylidenfluorid und Mischungen davon.Suitable comonomers for the copolymerization with the abovementioned cationic monomers are furthermore ethylene, propylene, isobutylene, butadiene, styrene, α-methylstyrene, vinyl chloride, vinylidene chloride, vinyl fluoride, vinylidene fluoride and mixtures thereof.
Eine weitere Gruppe von Comonomeren sind ethylenisch ungesättigte Verbindungen, die eine Gruppierung tragen, aus der in einer polymeranalogen Reaktion eine Aminogruppe gebildet werden kann. Hierzu zählen beispielsweise N-Vinylformamid, N-Vinyl-N-methylformamid, N-Vinylacetamid, N-Vinyl-N-methylacetamid, N-Vinyl-N-ethylacetamid, N-Vinylpropionamid, N-Vinyl-N-methylpropionamid und N-Vinylbutyramid und Mischungen davon. Die daraus gebildeten Polymere können, wie in
In den Formeln IV - VII stehen die Substituenten R1, R2 für H, C1- bis C6-Alkyl und X- für ein Anionäquivalent einer Säure, vorzugsweise einer Mineralsäure.In the formulas IV-VII, the substituents R 1 , R 2 are H, C 1 - to C 6 -alkyl and X - is an anion equivalent of an acid, preferably a mineral acid.
Bei der Hydrolyse entstehen beispielsweise Polyvinylamine, Poylvinylmethylamine bzw. Polyvinylethylamine. Die Monomeren dieser Gruppe können in beliebiger Weise mit den kationischen Monomeren und/oder den obengenannten Comonomeren polymerisiert werden.For example, polyvinylamines, polyvinylmethylamines or polyvinylethylamines are formed during the hydrolysis. The monomers of this group may be polymerized in any manner with the cationic monomers and / or the above-mentioned comonomers.
Unter kationischen Polymerisaten im Sinne der vorliegenden Erfindung sollen auch amphotere Polymerisate verstanden werden, die eine kationische Gesamtladung tragen. Bei den amphoteren Polymerisaten liegt der Gehalt an kationischen Gruppen beispielsweise um mindestens 5 Mol-% über dem Gehalt an anionischen Gruppen im Polymerisat. Solche Polymerisate sind z. B. dadurch zugänglich, dass man ein kationisches Monomer wie N,N-Dimethyl-aminoethylacrylamid in Form der freien Base, in partiell mit einer Säure neutralisierten oder in quaternierter Form mit mindestens einem Säuregruppen enthaltendem Monomeren copolymerisiert, wobei das kationische Monomer in einem molaren Überschuß eingesetzt wird, damit die entstehenden Polymeren eine kationische Gesamtladung tragen.Cationic polymers in the context of the present invention are also to be understood as meaning amphoteric polymers which carry a total cationic charge. In the case of the amphoteric polymers, the content of cationic groups is, for example, at least 5 mol% higher than the content of anionic groups in the polymer. Such polymers are z. B. accessible by copolymerizing a cationic monomer such as N, N-dimethyl-aminoethylacrylamide in the form of the free base, partially neutralized with an acid or in quaternized form with at least one acid group-containing monomer, wherein the cationic monomer in a molar excess is used so that the resulting polymers carry a total cationic charge.
Amphotere Polymerisate sind auch erhältlich durch Copolymerisieren von
- (a) mindestens einem N-Vinylcarbonsäureamid der Formel (I)
in der R1, R2 = H oder C1- bis C6-Alkyl bedeuten, - (b) mindestens einer monoethylenisch ungesättigten Carbonsäure mit 3 bis 8 C-Atomen im Molekül und/oder deren Alkalimetall-, Erdalkalimetall- oder Ammoniumsalzen und gegebenenfalls
- (c) anderen monoethylenisch ungesättigten Monomeren, und gegebenenfalls
- (d) Verbindungen, die mindestens zwei ethylenisch ungesättigte Doppelbindungen im Molekül aufweisen,
- (a) at least one N-vinylcarboxamide of the formula (I)
in which R 1 , R 2 = H or C 1 - to C 6 -alkyl, - (B) at least one monoethylenically unsaturated carboxylic acid having 3 to 8 carbon atoms in the molecule and / or their alkali metal, alkaline earth metal or ammonium salts and optionally
- (c) other monoethylenically unsaturated monomers, and optionally
- (d) compounds which have at least two ethylenically unsaturated double bonds in the molecule,
Die so erhältlichen amphoteren Verbindungen enthalten beispielsweise
- (a1) gegebenenfalls nicht hydrolysierte Einheiten der Formel (I)
- (a2) Vinylamin- und Amidineinheiten, wobei der Gehalt an Amino- plus Amidingruppen im Copolymerisat mindestens 5 Mol-% über dem Gehalt an einpolymerisierten Säuregruppen enthaltenden Monomeren liegt,
- (b) Einheiten eines Säuregruppen enthaltenden monoethylenisch ungesättigten Monomeren und/oder deren Alkalimetall-, Erdalkalimetall- oder Ammoniumsalzen,
- (c) 0 bis 30 Mol-% Einheiten mindestens eines anderen monoethylenisch ungesättigten Monomeren und
- (d) 0 bis 2 Mol-% mindestens einer Verbindung, die mindestens zwei ethylenisch ungesättigte Doppelbindungen in Molekül aufweist.
- (a 1 ) optionally unhydrolyzed units of the formula (I)
- (a 2 ) vinylamine and amidine units, wherein the content of amino plus amidine groups in the copolymer is at least 5 mol% above the content of polymerized monomers containing copolymerized groups,
- (b) units of an acid group-containing monoethylenically unsaturated monomer and / or their alkali metal, alkaline earth metal or ammonium salts,
- (c) 0 to 30 mol% of units of at least one other monoethylenically unsaturated monomer and
- (d) 0 to 2 mol% of at least one compound having at least two ethylenically unsaturated double bonds in molecule.
Die Hydrolyse der Copolymerisate kann in Gegenwart von Säuren oder Basen oder auch enzymatisch durchgeführt werden. Bei der Hydrolyse mit Säuren liegen die aus den Vinylcarbonsäureamideinheiten entstehenden Vinylamingruppen in Salzform vor. Die Hydrolyse von Vinylcarbonsäureamidcopolymerisaten ist in der
Diese Polymeren haben beispielsweise K-Werte (bestimmt nach H. Fikentscher in 5 %iger wässriger Kochsalzlösung bei pH 7, einer Polymerkonzentration von 0,5 Gew.-% und einer Temperatur von 25 °C) in dem Bereich von 20 bis 250, vorzugsweise 50 bis 150.These polymers have, for example, K values (determined according to H. Fikentscher in 5% aqueous saline solution at pH 7, a polymer concentration of 0.5% by weight and a temperature of 25 ° C.) in the range from 20 to 250, preferably 50 to 150.
Die Herstellung der kationischen Homo- und Copolymerisate kann durch Lösungs-, Fällungs-, Suspensions- oder Emulsionspolymerisation erfolgen. Bevorzugt ist die Lösungspolymerisation in wässrigen Medien. Geeignete wässrige Medien sind Wasser und Gemische aus Wasser und mindestens einem wassermischbaren Lösungsmittel, z. B. einem Alkohol, wie Methanol, Ethanol, n-Propanol, etc.The cationic homopolymers and copolymers can be prepared by solution, precipitation, suspension or emulsion polymerization. Preference is given to solution polymerization in aqueous media. Suitable aqueous media are water and mixtures of water and at least one water-miscible solvent, e.g. As an alcohol such as methanol, ethanol, n-propanol, etc.
Die Polymerisationstemperaturen liegen vorzugsweise in einem Bereich von etwa 30 bis 200 °C, besonders bevorzugt 40 bis 110 °C. Die Polymerisation erfolgt üblicherweise unter atmosphärischem Druck, sie kann jedoch auch unter vermindertem oder erhöhtem Druck ablaufen. Ein geeigneter Druckbereich liegt zwischen 0,1 und 5 bar.The polymerization temperatures are preferably in a range of about 30 to 200 ° C, more preferably 40 to 110 ° C. The polymerization is usually carried out under atmospheric pressure, but it can also proceed under reduced or elevated pressure. A suitable pressure range is between 0.1 and 5 bar.
Zur Herstellung der kationischen Polymerisate können die Monomeren mit Hilfe von Radikale bildenden Initiatoren polymerisiert werden.To prepare the cationic polymers, the monomers can be polymerized by means of free-radical initiators.
Als Initiatoren für die radikalische Polymerisation können die hierfür üblichen Peroxo- und/oder Azo-Verbindungen eingesetzt werden, beispielsweise Alkali- oder Ammoniumperoxidisulfate, Diacetylperoxid, Dibenzoylperoxid, Succinylperoxid, Di-tert.-butylperoxid, tert.-Butylperbenzoat, tert.-Butylperpivalat, tert.-Butylperoxy-2-ethylhexanoat, tert.-Butylpermaleinat, Cumolhydroperoxid, Diisopropylperoxidicarbamat, Bis-(o-toluoyl)-peroxid, Didecanoylperoxid, Dioctanoylperoxid, Dilauroylperoxid, tert.-Butylperisobutyrat, tert.-Butylperacetat, Di-tert.-Amylperoxid, tert.-Butylhydroperoxid, Azo-bis-isobutyronitril, Azo-bis-(2-amidinopropan)dihydrochlorid oder 2-2'-Azo-bis-(2-methyl-butyronitril). Geeignet sind auch Initiatormischungen oder Redox-Initiator-Systeme, wie z.B. Ascorbinsäure/Eisen(II)sulfat/Natriumperoxodisulfat, tert.-Butylhydroperoxid/Natriumdisulfit, tert.-Butylhydroperoxid/Natriumhydroxymethansulfinat, H2O2/Cu-I- oder Eisen-II-Verbindungen.As initiators for the radical polymerization, the peroxo and / or azo compounds customary for this purpose can be used, for example alkali or ammonium peroxydisulfates, diacetyl peroxide, dibenzoyl peroxide, succinyl peroxide, di-tert-butyl peroxide, tert-butyl perbenzoate, tert-butyl perpivalate, tert-butyl peroxy-2-ethylhexanoate, tert-butyl permalate, cumene hydroperoxide, diisopropyl peroxydicarbamate, bis (o-toluoyl) peroxide, didecanoyl peroxide, dioctanoyl peroxide, dilauroyl peroxide, tert-butyl perisobutyrate, tert-butyl peracetate, di-tert-amyl peroxide tert-butyl hydroperoxide, azo-bis-isobutyronitrile, azo-bis (2-amidinopropane) dihydrochloride or 2-2'-azobis (2-methyl-butyronitrile). Also suitable are initiator mixtures or redox initiator systems, such as, for example, ascorbic acid / iron (II) sulfate / sodium peroxodisulfate, tert-butyl hydroperoxide / sodium disulfite, tert-butyl hydroperoxide / sodium hydroxymethanesulfinate, H 2 O 2 / Cu-I or iron II -Links.
Zur Einstellung des Molekulargewichts kann die Polymerisation in Gegenwart wenigstens eines Reglers erfolgen. Als Regler können die üblichen, dem Fachmann bekannten Verbindungen, wie z. B. Schwefelverbindungen, z. B. Mercaptoethanol, 2-Ethylhexylthioglycolat, Thioglycolsäure, Natriumhypophosphit, Ameisensäure oder Dodecylmercaptan sowie Tribromchlormethan oder andere Verbindungen, die regelnd auf das Molekulargewicht der erhaltenen Polymerisate wirken, eingesetzt werden.To adjust the molecular weight, the polymerization can be carried out in the presence of at least one regulator. As a regulator, the usual compounds known in the art, such. B. sulfur compounds, for. As mercaptoethanol, 2-ethylhexyl thioglycolate, thioglycolic acid, sodium hypophosphite, formic acid or dodecyl mercaptan and Tribromchlormethan or other compounds which act regulating the molecular weight of the polymers obtained, are used.
Kationische Polymere wie Polyvinylamine und deren Copolymere, können auch durch Hofmann-Abbau von Polyacrylamid oder Polymethacrylamid und deren Copolymeren hergestellt werden, vgl.
Alle vorgenannten kationischen Polymerisate können dadurch modifiziert werden, dass man die Polymerisation der kationischen Monomeren und gegebenenfalls der Mischungen aus kationischen Monomeren und den Comonomeren in Gegenwart mindestens eines Vernetzers durchführt. Unter einem Vernetzer werden solche Monomere verstanden, die mindestens zwei Doppelbindungen im Molekül enthalten, z.B. Methylenbisacrylamid, Glykoldiacrylat, Glykoldimethacrylat, Glycerintriacrylat, Pentaerythrittriallylether, mindestens zweifach mit Acrylsäure und/oder Methacrylsäure veresterte Polyalkylenglykole oder Polyole wie Pentaerythrit, Sobit oder Glukose. Falls mindestens ein Vernetzer bei der Copolymerisation eingesetzt wird, so betragen die angewendeten Mengen beispielsweise bis zu 2 Mol-%, z. B. 0,001 bis 1 Mol-%.All of the abovementioned cationic polymers can be modified by carrying out the polymerization of the cationic monomers and, if appropriate, of the mixtures of cationic monomers and the comonomers in the presence of at least one crosslinker. A crosslinker is understood as meaning those monomers which contain at least two double bonds in the molecule, e.g. Methylenbisacrylamid, glycol diacrylate, glycol dimethacrylate, glycerol triacrylate, pentaerythritol triallyl ether, at least two times with acrylic acid and / or methacrylic acid esterified polyalkylene glycols or polyols such as pentaerythritol, sobait or glucose. If at least one crosslinker is used in the copolymerization, the amounts used, for example, up to 2 mol%, z. B. 0.001 to 1 mol%.
Weiterhin können die kationischen Polymerisate durch den nachträglichen Zusatz von Vernetzern modifiziert werden, d.h. durch den Zusatz von Verbindungen, die mindestens zwei gegenüber Aminogruppen reaktive Gruppen aufweisen, wie z.B.
- Di- und Polyglycidylverbindungen,
- Di- und Polyhalogenverbindungen,
- Verbindungen mit zwei oder mehr Isocyanatgruppen, eventuell blockierte Kohlensäurederivate,
- Verbindungen, die zwei oder mehrer Doppelbindungen aufweisen, die für eine Michael-Addition geeignet sind,
- Di-und Polyaldehyde,
- monoethylenisch ungesättigte Carbonsäuren, deren Ester und Anhydride.
- Di- and polyglycidyl compounds,
- Di- and polyhalogen compounds,
- Compounds with two or more isocyanate groups, possibly blocked carbonic acid derivatives,
- Compounds having two or more double bonds suitable for Michael addition,
- Di- and polyaldehydes,
- monoethylenically unsaturated carboxylic acids, their esters and anhydrides.
Als kationische Verbindungen kommen außerdem Polymere in Betracht, die durch Polyadditionsreaktionen erzeugt werden können, wie insbesondere Polymere auf Basis von Aziridinen. Dabei können sowohl Homopolymere entstehen aber auch Pfropfpolymerisate, die durch Pfropfung von Aziridinen auf andere Polymere erzeugt werden. Auch hier kann es vorteilhaft sein, während der oder nach der Polyaddition Vernetzer zuzusetzen, die mindestens zwei Gruppen aufweisen, die mit den Aziridinen oder den gebildeten Aminogruppen reagieren können, wie z.B. Epichlorhydrin oder Dihalogenalkane (s. Ullmann's Encyclopedia of Industrial Chemistry, VCH, Weinheim, 1992, Kapitel über Aziridine).Also suitable as cationic compounds are polymers which can be produced by polyaddition reactions, in particular polymers based on aziridines. Both homopolymers can be formed but also graft polymers which are produced by grafting aziridines to other polymers. Again, it may be advantageous to add crosslinkers during or after the polyaddition which have at least two groups capable of reacting with the aziridines or the amino groups formed, e.g. Epichlorohydrin or dihaloalkanes (see Ullmann's Encyclopedia of Industrial Chemistry, VCH, Weinheim, 1992, chapter on aziridines).
Bevorzugte Polymere dieser Art basieren auf Ethylenimin, z.B. durch Polymerisation von Ethylenimin hergestellte Homopolymerisate von Ethylenimin oder mit Ethylenimin gepfropfte Polymere wie Polyamidoamine.Preferred polymers of this type are based on ethyleneimine, e.g. homopolymers of ethyleneimine prepared by polymerization of ethyleneimine or polymers grafted with ethyleneimine such as polyamidoamines.
Weitere geeignete kationische Polymere sind Umsetzungsprodukte von Dialkylaminen mit Epichlorhydrin oder mit di- oder multifunktionellen Epoxiden wie z.B. Umsetzungsprodukte von Dimethylamin mit Epichlorhydrin.Further suitable cationic polymers are reaction products of dialkylamines with epichlorohydrin or with difunctional or polyfunctional epoxides, such as, for example, reaction products of dimethylamine with epichlorohydrin.
Als kationische Polymere eignen sich auch Polykondensate, z.B. Homo- oder Copolymere von Lysin, Arginin und Histidin. Sie können als Homopolymere oder als Copolymeren mit anderen natürlichen oder synthetischen Aminosäuren oder Lactamen eingesetzt werden. Beispielsweise eignen sich zur Copolymerisation Glycin, Alanin, Valin, Leucin, Phenylalanin, Tryptophan, Prolin, Asparagin, Glutamin, Serin, Threonin oder auch Caprolactam.Also suitable as cationic polymers are polycondensates, e.g. Homopolymers or copolymers of lysine, arginine and histidine. They can be used as homopolymers or as copolymers with other natural or synthetic amino acids or lactams. For example, glycine, alanine, valine, leucine, phenylalanine, tryptophan, proline, asparagine, glutamine, serine, threonine or else caprolactam are suitable for the copolymerization.
Als kationische Polymerisate können weiterhin Kondensate von difunktionellen Carbonsäuren mit multifunktionellen Aminen eingesetzt werden, wobei die multifunktionellen Amine mindestens zwei primäre Aminogruppen und mindestens eine weitere weniger reaktive, d.h. sekundäre, tertiäre oder quaternäre Aminogruppe tragen. Beispiele sind die Polykondensationsprodukte von Diethylentriamin oder Triethylentetramin mit Adipin-, Malon, Glutar- , Oxal- oder Bernsteinsäure.As cationic polymers it is also possible to use condensates of difunctional carboxylic acids with polyfunctional amines, the polyfunctional amines having at least two primary amino groups and at least one further less reactive, ie. secondary, tertiary or quaternary amino group wear. Examples are the polycondensation products of diethylenetriamine or triethylenetetramine with adipic, malonic, glutaric, oxalic or succinic acid.
Auch Aminogruppen tragende Polysaccharide wie z.B. Chitosan sind als kationische Polymerisate geeignet.Also amino-carrying polysaccharides such. Chitosan are suitable as cationic polymers.
Weiterhin können alle vorstehend beschriebenen Polymere, die primäre oder sekundäre Aminogruppen tragen, mittels reaktiven Oligoethyleniminen modifiziert werden wie in der älteren
In einer bevorzugten Ausführungsform des erfindungsgemäßen Verfahren wird als wasserlösliches kationisches Polymerisat ein Vinylamineinheiten aufweisendes Polymerisat eingesetzt.In a preferred embodiment of the process according to the invention, the water-soluble cationic polymer used is a polymer containing vinylamine units.
In dem erfindungsgemäßen Verfahren werden neben zuvor beschriebenen wasserlöslichen kationischen Polymerisaten auch anionischen Polymerisate zu einem Papierstoff gegeben.In addition to the water-soluble cationic polymers described above, anionic polymers are also added to a paper stock in the process according to the invention.
Dabei enthält das anionische Poylmerisat erfindungsgemäß mindestens einen anionischen Latex und mindestens eine abgebaute Stärke.The anionic polymer according to the invention contains at least one anionic latex and at least one degraded starch.
Unter dem Begriff Latex im Sinne der vorliegenden Erfindung werden wasserunlösliche Homo- und Copolymerisate verstanden, die vorzugsweise in Form von Dispersionen oder Emulsionen eingesetzt werden.The term latex in the context of the present invention is understood to mean water-insoluble homopolymers and copolymers which are preferably used in the form of dispersions or emulsions.
Unter dem Begriff abgebaute Stärke im Sinne der vorliegenden Erfindung werden Stärken verstanden, die ein mittleres Molekulargewicht Mw von 1 000 bis 65 000 aufweisen.For the purposes of the present invention, the term degraded starch is understood to mean starches which have an average molecular weight Mw of from 1,000 to 65,000.
Der Latex besteht vorzugsweise zu mindestens 40 Gew.-%, bevorzugt zu mindestens 60 Gew.-%, besonders bevorzugt zu mindestens 80 Gew.-% aus sogenannten Hauptmonomeren (a).The latex is preferably at least 40 wt .-%, preferably at least 60 wt .-%, more preferably at least 80 wt .-% of so-called main monomers (a).
Die Hauptmonomeren (a) sind ausgewählt aus C1-C20-Alkyl(meth)acrylaten, Vinylestern von bis zu 20 C-Atome enthaltenden Carbonsäuren, Vinylaromaten mit bis zu 20 C-Atomen, ethylenisch ungesättigten Nitrilen, Vinylhalogeniden, Vinylethern von 1 bis 10 C-Atome enthaltenden Alkoholen, aliphatischen Kohlenwasserstoffen mit 2 bis 8 C-Atomen und ein oder zwei Doppelbindungen oder Mischungen dieser Monomeren.The main monomers (a) are selected from C 1 -C 20 -alkyl (meth) acrylates, vinyl esters of carboxylic acids containing up to 20 C atoms, vinylaromatics having up to 20 C atoms, ethylenically unsaturated nitriles, vinyl halides, vinyl ethers of 1 to 10 C-containing alcohols, aliphatic hydrocarbons having 2 to 8 carbon atoms and one or two double bonds or mixtures of these monomers.
Zu nennen sind z. B. (Meth)acrylsäurealkylester mit einem C1-C10-Alkylrest, wie Methylmethacrylat, Methylacrylat, n-Butylacrylat, Isobutylacrylat, Ethylacrylat und 2-Ethylhexylacrylat.To name a few are z. B. (meth) acrylic acid alkyl ester having a C 1 -C 10 alkyl radical, such as methyl methacrylate, methyl acrylate, n-butyl acrylate, isobutyl acrylate, ethyl acrylate and 2-ethylhexyl acrylate.
Insbesondere sind auch Mischungen der (Meth)acrylsäurealkylester geeignet.In particular, mixtures of (meth) acrylic acid alkyl esters are also suitable.
Vinylester von Carbonsäuren mit 1 bis 20 C-Atomen sind z. B. Vinyllaurat, -stearat, Vinylpropionat, Versaticsäurevinylester und Vinylacetat.Vinyl esters of carboxylic acids having 1 to 20 carbon atoms are, for. As vinyl laurate, stearate, vinyl propionate, vinyl versatate and vinyl acetate.
Als vinylaromatische Verbindungen mit bis zu 20 C-Atomen kommen Vinyltoluol, α- und p-Methylstyrol, α-Butylstyrol, 4-n-Butylstyrol, 4-n-Decylstyrol und vorzugsweise Styrol in Betracht. Beispiele für ethylenisch ungesättigte Nitrile sind Acrylnitril und Methacrylnitril.Suitable vinylaromatic compounds having up to 20 carbon atoms are vinyltoluene, α- and p-methylstyrene, α-butylstyrene, 4-n-butylstyrene, 4-n-decylstyrene and preferably styrene. Examples of ethylenically unsaturated nitriles are acrylonitrile and methacrylonitrile.
Die Vinylhalogenide sind mit Chlor, Fluor oder Brom substituierte ethylenisch ungesättigte Verbindungen, bevorzugt Vinylchlorid und Vinylidenchlorid.The vinyl halides are chloro, fluoro or bromo substituted ethylenically unsaturated compounds, preferably vinyl chloride and vinylidene chloride.
Als Vinylether von 1 bis 10 C-Atomen enthaltenden Alkoholen zu nennen sind z. B. Vinylmethylether oder Vinylisobutylether. Bevorzugt sind Vinylether von 1 bis 4 C-Atome enthaltenden Alkoholen.To name as vinyl ethers of alcohols containing 1 to 10 carbon atoms are, for. As vinyl methyl ether or vinyl isobutyl ether. Preferred are vinyl ethers of alcohols containing 1 to 4 carbon atoms.
Als aliphatische Kohlenwasserstoffe mit 2 bis 8 C-Atomen und ein oder zwei olefinischen Doppelbindungen seien Ethylen, Propylen, Butadien, Isopren und Chloropren genannt.As aliphatic hydrocarbons having 2 to 8 carbon atoms and one or two olefinic double bonds may be mentioned ethylene, propylene, butadiene, isoprene and chloroprene.
Bevorzugte Hauptmonomere (a) sind C1-C20-Alkyl(meth)acrylate und Mischungen der Alkyl(meth)acrylate mit Vinylaromaten, insbesondere Styrol (zusammenfassend auch als Polyacrylat-Latex bezeichnet) oder Kohlenwasserstoffe mit 2 Doppelbindungen, insbesondere Butadien, oder Gemische von derartigen Kohlenwasserstoffen mit Vinylaromaten, insbesondere Styrol (zusammenfassend auch als Polybutadien-Latex bezeichnet).Preferred main monomers (a) are C 1 -C 20 -alkyl (meth) acrylates and mixtures of the alkyl (meth) acrylates with vinylaromatics, especially styrene (collectively also referred to as polyacrylate latex) or hydrocarbons having 2 double bonds, especially butadiene, or mixtures of such hydrocarbons with vinyl aromatics, especially styrene (collectively referred to as polybutadiene latex).
Neben den Hauptmonomeren (a) kann der Latex weitere Monomere (b) enthalten, z. B. Hydroxylgruppen enthaltende Monomere, insbesondere C1-C10-Hydroxyalkyl(meth)acrylate, und Monomere mit Alkoxygruppen, wie sie durch Alkoxylierung von Hydroxygruppen enthaltenden Monomeren mit Alkoxyden, insbesondere Ethylenoxid oder Propylenoxid, erhältlich sind.In addition to the main monomers (a), the latex may contain other monomers (b), e.g. Example, hydroxyl-containing monomers, in particular C 1 -C 10 hydroxyalkyl (meth) acrylates, and monomers having alkoxy groups, as they are obtainable by alkoxylation of hydroxyl-containing monomers with alkoxides, in particular ethylene oxide or propylene oxide.
Weitere Monomere (b) sind Verbindungen die mindestens zwei radikalisch polymerisierbare Doppelbindungen aufweisen, bevorzugt 2 bis 6, besonders bevorzugt 2 bis 4, ganz besonders bevorzugt 2 bis 3 und insbesondere 2. Derartige Verbindungen werden auch als Vernetzer bezeichnet.Further monomers (b) are compounds which have at least two free-radically polymerizable double bonds, preferably 2 to 6, particularly preferably 2 to 4, very particularly preferably 2 to 3 and in particular 2. Such compounds are also referred to as crosslinkers.
Die mindestens zwei radikalisch polymerisierbaren Doppelbindungen der Vernetzer (b) können dabei ausgewählt sein aus der Gruppe bestehend aus (Meth)acryl-, Vinylether-, Vinylester-, Allylether- und Allylestergruppen. Beispiele für Vernetzer (b) sind 1,2-Ethandioldi(meth)acrylat, 1,3-Propandioldi(meth)acrylat, 1,2-Propandioldi(meth)acrylat, 1,4-Butandioldi(meth)acrylat, 1,6-Hexandioldi(meth)acrylat, Neopentylglykol-di(meth)acrylat, Trimethylolpropantrioldi(meth)acrylat, Pentaerythrittetra(meth)acrylat, 1,4-Butandioldivinylether, 1,6-Hexandioldivinylether, 1,4-Cyclohexandioldivinylether, Divinylbenzol, Allylacrylat, Allylmethacrylat, Methallylacrylat, Methallylmethacrylat, (Meth)Acrylsäure but-3-en-2-ylester, (Meth)Acrylsäure but-2-en-1-ylester, (Meth)Acrylsäure 3-methyl-but-2-en-1-ylester, Ester der (Meth)Acrylsäure mit Geraniol, Citronellol, Zimtalkohol, Glycerinmono- oder -diallylether, Trimethylolpropanmono- oder -diallylether, Ethylenglykolmonoallylether, Diethylenglykolmonoallylether, Propylenglykolmonoallylether, Dipropylenglykolmonoallylether, 1,3-Propandiolmonoallylether, 1,4-Butandiolmonoallylether sowie ferner Itaconsäurediallylester. Bevorzugt sind Allylacrylat, Divinylbenzol, 1,4-Butandioldiacrylat und 1,6-Hexandioldiacrylat.The at least two free-radically polymerizable double bonds of the crosslinkers (b) can be selected from the group consisting of (meth) acrylic, vinyl ether, vinyl ester, allyl ether and allyl ester groups. Examples of crosslinkers (b) are 1,2-ethanediol di (meth) acrylate, 1,3-propanediol di (meth) acrylate, 1,2-propanediol di (meth) acrylate, 1,4-butanediol di (meth) acrylate, 1.6 Hexanediol di (meth) acrylate, neopentyl glycol di (meth) acrylate, trimethylolpropane trioldi (meth) acrylate, pentaerythritol tetra (meth) acrylate, 1,4-butanediol divinyl ether, 1,6-hexanediol divinyl ether, 1,4-cyclohexanediol divinyl ether, divinylbenzene, allyl acrylate, allyl methacrylate , Methallyl acrylate, methallyl methacrylate, (meth) acrylic acid but-3-en-2-yl ester, (meth) acrylic acid but-2-en-1-yl ester, (meth) acrylic acid 3-methyl-but-2-en-1-yl ester Esters of (meth) acrylic acid with geraniol, citronellol, cinnamyl alcohol, glycerol mono- or diallyl ether, trimethylolpropane mono- or diallyl ether, ethylene glycol monoallyl ether, diethylene glycol monoallyl ether, propylene glycol monoallyl ether, dipropylene glycol monoallyl ether, 1,3-propanediol monoallyl ether, 1,4-butanediol monoallyl ether and furthermore itaconic acid diallyl ester. Allyl acrylate, divinylbenzene, 1,4-butanediol diacrylate and 1,6-hexanediol diacrylate are preferred.
Darüber hinaus kann der anionische Latex weitere Monomere (c) enthalten, z. B. Monomere mit Carbonsäuregruppen, deren Salze oder Anhydride. Genannt seien z. B. Acrylsäure, Methacrylsäure, Itaconsäure, Maleinsäure oder Fumarsäure und Aconitsäure. Der Gehalt an ethylenisch ungesättigten Säuren im Latex ist im Allgemeinen kleiner 10 Gew.-%. Der Anteil an diesen Monomeren (c) beträgt beispielsweise mindestens 1 Gew.-%, bevorzugt mindestens 2 Gew.-% und besonders bevorzugt mindestens 3 Gew.-%. Die Säuregruppen des Latices können gegebenenfalls vor der späteren Anwendung zumindest teilweise neutralisiert sein. Vorzugsweise werden mindestens 30 mol-%, besonders bevorzugt 50 -100 mol-% der Säuregruppen neutralisiert. Als Base eignen sich flüchtige Basen wie Ammoniak oder nicht-flüchtige Basen wie Alkalihydroxide, insbesondere Natronlauge.In addition, the anionic latex may contain other monomers (c), e.g. As monomers with carboxylic acid groups, their salts or anhydrides. Called z. For example, acrylic acid, methacrylic acid, itaconic acid, maleic acid or fumaric acid and aconitic acid. The content of ethylenically unsaturated acids in the latex is generally less than 10% by weight. The proportion of these monomers (c) is for example at least 1 wt .-%, preferably at least 2 wt .-% and particularly preferably at least 3 wt .-%. The acid groups of the latex may optionally be at least partially neutralized prior to later use. Preferably, at least 30 mol%, particularly preferably 50-100 mol% of the acid groups are neutralized. Suitable bases are volatile bases such as ammonia or non-volatile bases such as alkali metal hydroxides, in particular sodium hydroxide solution.
In einer ersten Ausführungsform der vorliegenden Erfindung weist der anionische Latex bestehend aus den oben genannten Monomeren eine Glasübergangstemperatur (gemessen mittels DSC) von -50 bis +50 °C, bevorzugt von -50 bis +10 °C, besonders bevorzugt von -40 bis +5 °C und ganz besonders bevorzugt von -30 bis 0 °C auf.In a first embodiment of the present invention, the anionic latex consisting of the above-mentioned monomers has a glass transition temperature (measured by DSC) of -50 to +50 ° C, preferably -50 to +10 ° C, more preferably -40 to + 5 ° C and most preferably from -30 to 0 ° C on.
Die Glasübergangstemperatur Tg ist dem Fachmann allgemein bekannt. Damit ist der Grenzwert der Glasübergangstemperatur gemeint, dem diese gemäß
Nach Fox (
wobei x1, x2, .... xn die Massenbrüche der Monomeren 1, 2, .... n und Tg 1, Tg 2, .... Tgn die Glasübergangstemperaturen der jeweils nur aus einem der Monomeren 1, 2, .... n aufgebauten Polymerisaten in Grad Kelvin bedeuten. Die Tg-Werte für die Homopolymerisate der meisten Monomeren sind bekannt und z. B. in
where x 1 , x 2 , .... x n are the mass fractions of the monomers 1, 2, .... n and T g 1 , T g 2 , .... Tg n the glass transition temperatures of each of only one of the monomers 1, 2, .... n constructed polymers in degrees Kelvin. The T g values for the homopolymers of most monomers are known and z. In
Dem Fachmann ist mit Hilfe der zuvor genannten Literatur bekannt, wie durch die Auswahl der Monomere anionische Latices mit der entsprechenden Glasübergangstemperatur erhalten werden.A person skilled in the art is familiar with the aid of the abovementioned literature on how anionic latices having the corresponding glass transition temperature are obtained by the choice of monomers.
Bevorzugt eingesetzte anionische Latices dieser ersten Ausführungsform sind beispielsweise wässrige Dispersionen aus
- (1) Styrol und/oder Acrylnitril oder Methacrylnitril,
- (2) Acrylsäureestern und/oder Methacrylsäureestern von C1- bis C10-Alkoholen, und gegebenenfalls
- (3) Acrylsäure, Methacrylsäure, Maleinsäure und/oder Itaconsäure.
- (1) styrene and / or acrylonitrile or methacrylonitrile,
- (2) acrylic acid esters and / or methacrylic acid esters of C 1 to C 10 alcohols, and optionally
- (3) acrylic acid, methacrylic acid, maleic acid and / or itaconic acid.
Besonders bevorzugt sind wässrige Dispersionen von anionischen Latices aus
- (1) Styrol und/oder Acrylnitril,
- (2) Acrylsäureestern von C1- bis C4-Alkoholen, und gegebenenfalls
- (3) Acrylsäure.
- (1) styrene and / or acrylonitrile,
- (2) acrylic acid esters of C 1 to C 4 alcohols, and optionally
- (3) acrylic acid.
Beispielsweise enthalten derartige besonders bevorzugte Polyacrylat-Latices 2 - 20 Gew.-% Styrol, 2-20 Gew.-% Acrylnitril, 60 - 95 Gew.-% C1-C4-Alkylacrylate, bevorzugt C4-Acrylate wie n-Butylacrylat, Isobutylacrylat und/oder tert. Butylacrylat und 0-5 Gew.-% Acrylsäure.For example, such particularly preferred polyacrylate latices contain 2-20% by weight of styrene, 2-20% by weight of acrylonitrile, 60-95% by weight of C 1 -C 4 -alkyl acrylates, preferably C 4 -acrylates such as n-butyl acrylate , Isobutyl acrylate and / or tert. Butyl acrylate and 0-5 wt .-% acrylic acid.
In einer zweiten Ausführungsform der vorliegenden Erfindung enthält der anionische Latex neben den oben genannten Monomeren mindestens ein Phosphon- und/oder Phosphorsäuregruppen-enthaltendes Monomer einpolymerisiert, wobei es sich sowohl um Monomere mit einer freien Säuregruppe als auch deren Salze, Ester und/oder Anhydride handeln kann.In a second embodiment of the present invention, in addition to the abovementioned monomers, the anionic latex comprises, in copolymerized form, at least one monomer comprising phosphono and / or phosphoric acid groups, both monomers having a free acid group and salts, esters and / or anhydrides thereof can.
Bevorzugt werden Phosphon- und/oder Phosphorsäuregruppen-enthaltende Monomere verwendet, die durch Veresterung von monoethylenisch ungesättigten C3-C8-Carbonsäuren mit gegebenenfalls monoalkoxylierten Phosphon- und/oder Phosphorsäuren erhältlich sind. Besonders bevorzugt sind gegebenenfalls monoalkoxylierte Phosphorsäuregruppen-enthaltende Monomere, die durch Veresterung von monoethylenisch ungesättigten C3-C8-Carbonsäuren mit gegebenenfalls monoalkoxylierten Phosphorsäuren der allgemeinen Formel (VIII)
H-[X]n-P(O)(OH)2 (VIII)
erhältlich sind, worin
- X
- eine geradkettige oder verzweigte C2-C6-Alkylenoxideinheit und
- n
- eine ganze Zahl von 0 bis 20
H- [X] n -P (O) (OH) 2 (VIII)
are available in which
- X
- a straight-chain or branched C 2 -C 6 -alkylene oxide unit and
- n
- an integer from 0 to 20
Bevorzugt werden monoalkoxylierte Phosphorsäuren der Formel (VIII) verwendet, in denen X eine geradkettige oder verzweigte C2-C3-Alkylenoxideinheit ist, und n eine ganze Zahl zwischen 5 und 15 ist. Besonders bevorzugt handelt es sich bei X um eine Ethylen- oder Propylenoxideinheit, insbesondere bevorzugt um eine Propylenoxideinheit.Preference is given to using monoalkoxylated phosphoric acids of the formula (VIII) in which X is a straight-chain or branched C 2 -C 3 -alkylene oxide unit, and n is an integer between 5 and 15. Particularly preferably, X is an ethylene or propylene oxide unit, more preferably a propylene oxide unit.
Selbstverständlich können auch beliebige Mischungen von verschiedenen gegebenenfalls monoalkoxylierten Phosphonsäuren und gegebenenfalls monoalkoxylierten Phosphorsäuren der Formel (VIII) zur Veresterung mit einer monoethylenisch ungesättigten C3-C8-Carbonsäure eingesetzt werden. Bevorzugt werden Mischungen von monoalkoxylierten Phosphorsäuren der Formel (VIII) eingesetzt, die dieselbe Alkylenoxideinheit, bevorzugt Propylenoxid, enthalten, jedoch eine unterschiedlichen Alkoxylierungsgrad, bevorzugt Propoxylierungsgrad, aufweisen. Besonders bevorzugte Mischungen von monoalkoxylierten Phosphorsäuren enthalten 5-15 Einheiten Propylenoxid, d.h. n ist eine ganze Zahl zwischen 5 und 15.Of course, any mixtures of different optionally monoalkoxylated phosphonic acids and optionally monoalkoxylated phosphoric acids of the formula (VIII) for esterification with a monoethylenically unsaturated C 3 -C 8 carboxylic acid can be used. Preference is given to mixtures of monoalkoxylated Phosphoric acids of the formula (VIII) are used which contain the same alkylene oxide unit, preferably propylene oxide, but have a different degree of alkoxylation, preferably degree of propoxylation. Particularly preferred mixtures of monoalkoxylated phosphoric acids contain 5-15 units of propylene oxide, ie n is an integer between 5 and 15.
Zur Herstellung der Phosphon- und/oder Phosphorsäuregruppen-enthaltenden Monomere werden monoethylenisch ungesättigten Carbonsäuren mit 3 bis 8 C-Atomen mit den oben genannten gegebenenfalls monoalkoxylierten Phosphon- und/oder Phosphorsäuren, bevorzugt mit den gegebenenfalls monoalkoxylierten Phosphorsäuren der allgemeinen Formel (VIII) verestert. Derartige monoethylenisch ungesättigte C3-C8-Carbonsäuren sind beispielsweise Acrylsäure, Methacrylsäure, Dimethylacrylsäure, Ethacrylsäure, Maleinsäure, Citraconsäure, Methylenmalonsäure, Crotonsäure, Fumarsäure, Mesaconsäure und Itaconsäure. Bevorzugt werden Acrylsäure und Methacrylsäure verwendet.For the preparation of the monomers containing phosphonic and / or phosphoric acid groups, monoethylenically unsaturated carboxylic acids having 3 to 8 carbon atoms are esterified with the abovementioned optionally monoalkoxylated phosphonic and / or phosphoric acids, preferably with the optionally monoalkoxylated phosphoric acids of the general formula (VIII). Such monoethylenically unsaturated C 3 -C 8 -carboxylic acids are, for example, acrylic acid, methacrylic acid, dimethylacrylic acid, ethacrylic acid, maleic acid, citraconic acid, methylenemalonic acid, crotonic acid, fumaric acid, mesaconic acid and itaconic acid. Preference is given to using acrylic acid and methacrylic acid.
Selbstverständlich können auch Mischungen von monoethylenisch ungesättigten C3-C8-Carbonsäuren zur Veresterung mit gegebenenfalls monoalkoxylierten Phosphon- und/oder Phosphorsäuren, bevorzugt mit gegebenenfalls monoalkoxylierten Phosphorsäuren der Formel (VIII), eingesetzt werden. Bevorzugt wird jedoch nur eine monoethylenisch ungesättigte Carbonsäure, beispielsweise Acrylsäure oder Methacrylsäure, verwendet.Of course, mixtures of monoethylenically unsaturated C 3 -C 8 carboxylic acids for esterification with optionally monoalkoxylated phosphonic and / or phosphoric acids, preferably with optionally monoalkoxylated phosphoric acids of the formula (VIII) can be used. However, preference is given to using only one monoethylenically unsaturated carboxylic acid, for example acrylic acid or methacrylic acid.
Bevorzugt eingesetzte anionische Latices dieser zweiten Ausführungsform sind beispielsweise wässrige Dispersionen aus
- (1) Styrol und/oder Acrylnitril oder Methacrylnitril,
- (2) Acrylsäureestern und/oder Methacrylsäureestern von C1- bis C10-Alkoholen, und gegebenenfalls
- (3) Acrylsäure, Methacrylsäure, Maleinsäure und/oder Itaconsäure, und
- (4) (Meth)acrylsäureestern von gegebenenfalls monoalkyoxylierten Phosphorsäuren der Formel (VIII), worin X und n die zuvor genannte Bedeutung haben.
- (1) styrene and / or acrylonitrile or methacrylonitrile,
- (2) acrylic acid esters and / or methacrylic acid esters of C 1 to C 10 alcohols, and optionally
- (3) acrylic acid, methacrylic acid, maleic acid and / or itaconic acid, and
- (4) (meth) acrylic esters of optionally monoalkyoxylated phosphoric acids of the formula (VIII) in which X and n have the abovementioned meaning.
Besonders bevorzugt sind wässrige Dispersionen von anionischen Latices aus
- (1) Styrol und/oder Acrylnitril,
- (2) Acrylsäureestern von C1- bis C4-Alkoholen, und gegebenenfalls
- (3) Acrylsäure, und
- (4) (Meth)acrylsäureestern von monoalkoxylierten Phosphorsäuren der Formel (VIII), worin X eine Propylenoxideinheit ist, und n eine ganze Zahl zwischen 5 und 15 ist.
- (1) styrene and / or acrylonitrile,
- (2) acrylic acid esters of C 1 to C 4 alcohols, and optionally
- (3) acrylic acid, and
- (4) (meth) acrylic acid esters of monoalkoxylated phosphoric acids of the formula (VIII), wherein X is a propylene oxide unit, and n is an integer between 5 and 15.
Beispielsweise enthalten derartige besonders bevorzugte Polyacrylat-Latices 2 - 25 Gew.-% Styrol, 2-25 Gew.-% Acrylnitril, 50 - 95 Gew.-% C1-C4-Alkylacrylate, bevorzugt C4-Acrylate wie n-Butylacrylat, Isobutylacrylat und/oder tert. Butylacrylat, 0 - 5 Gew.-% Acrylsäure und 0,1-5 Gew.-% (Meth)acrylsäureester von monoalkoxylierten Phosphorsäuren der Formel (VIII), worin X eine Propylenoxideinheit ist, und n eine ganze Zahl zwischen 5 und 15 ist.For example, such particularly preferred polyacrylate latexes contain 2-25% by weight of styrene, 2-25% by weight of acrylonitrile, 50-95% by weight of C 1 -C 4 -alkyl acrylates, preferably C 4 -acrylates such as n-butyl acrylate , Isobutyl acrylate and / or tert. Butyl acrylate, 0-5% by weight of acrylic acid and 0.1-5% by weight of (meth) acrylic acid esters of monoalkoxylated phosphoric acids of the formula (VIII) wherein X is a propylene oxide unit, and n is an integer between 5 and 15.
Üblicherweise liegt die Glasübergangstemperatur (gemessen mittels DSC) der anionischen Latices der zweiten Ausführungsform im Bereich von -40 bis +50 °C. Bevorzugt werden anionische Latices mit einer Glasübergangstemperatur von -20 bis +20 °C und besonders bevorzugt von -10 bis +10 °C in den erfindungsgemäßen wässrigen Anschlämmungen feinteiliger Füllstoffe eingesetzt.Usually, the glass transition temperature (measured by DSC) of the anionic latices of the second embodiment is in the range of -40 to + 50 ° C. Anionic latices having a glass transition temperature of from -20 to +20 ° C. and particularly preferably from -10 to +10 ° C. are preferably used in the aqueous slurries of finely divided fillers according to the invention.
Die Herstellung der anionischen Latices erfolgt unabhängig von den zuvor genannten beiden Ausführungsformen in der Regel durch Emulsionspolymerisation, es handelt sich daher um ein Emulsionspolymerisat. Die Herstellung wässriger Polymerisatdispersionen nach dem Verfahren der radikalischen Emulsionspolymerisation ist an sich bekannt (vgl.
Bei der Emulsionspolymerisation zur Herstellung der Latices werden ionische und/oder nicht-ionische Emulgatoren und/oder Schutzkolloide bzw. Stabilisatoren als grenzflächenaktive Verbindungen verwendet. Die grenzflächenaktive Substanz wird üblicherweise in Mengen von 0,1 bis 10 Gew.-%, insbesondere von 0,2 bis 3 Gew.-% bezogen auf die zu polymerisierenden Monomeren verwendet.In the emulsion polymerization for the preparation of latices, ionic and / or nonionic emulsifiers and / or protective colloids or stabilizers are used as surface-active compounds. The surface-active substance is usually used in amounts of from 0.1 to 10% by weight, in particular from 0.2 to 3% by weight, based on the monomers to be polymerized.
Gebräuchliche Emulgatoren sind z. B. Ammonium- oder Alkalimetallsalze höherer Fettalkoholsulfate, wie Na-n-Laurylsulfat, Fettalkoholphosphate, ethoxylierte C8- bis C10-Alkylphenole mit einem Ethoxylierungsgrad von 3 bis 30 sowie ethoxylierte C8- bis C25-Fettalkohole mit einem Ethoxylierungsgrad von 5 bis 50. Denkbar sind auch Gemische aus nichtionischen und ionischen Emulgatoren. Ferner geeignet sind phosphat- oder sulfatgruppenhaltige, ethoxylierte und/oder propoxylierte Alkylphenole und/oder Fettalkohole. Weitere geeignete Emulgatoren sind in
Wasserlösliche Initiatoren für die Emulsionspolymerisation zur Herstellung der Latices sind z. B. Ammonium- und Alkalimetallsalze der Peroxidischwefelsäure, z. B. Natriumperoxodisulfat, Wasserstoffperoxid oder organische Peroxide, z. B. tert-Butylhydroperoxid. Geeignet sind auch sogenannte Reduktions-Oxidations(Red-Ox)-Initiator Systeme.Water-soluble initiators for the emulsion polymerization for the preparation of latices are, for. For example, ammonium and alkali metal salts of peroxodisulfuric, z. For example, sodium peroxodisulfate, hydrogen peroxide or organic peroxides, z. B. tert-butyl hydroperoxide. Also suitable are so-called reduction-oxidation (red-ox) initiator systems.
Die Menge der Initiatoren beträgt im Allgemeinen 0,1 bis 10 Gew.-%, bevorzugt 0,5 bis 5 Gew.-%, bezogen auf die zu polymerisierenden Monomeren. Es können auch mehrere, verschiedene Initiatoren bei der Emulsionspolymerisation Verwendung finden.The amount of initiators is generally 0.1 to 10 wt .-%, preferably 0.5 to 5 wt .-%, based on the monomers to be polymerized. It is also possible to use a plurality of different initiators in the emulsion polymerization.
Bei der Emulsionspolymerisation können Regler eingesetzt werden, z. B. in Mengen von 0 bis 3 Gew.-Teile, bezogen auf 100 Gew.-Teile der zu polymerisierenden Monomeren, durch die die Molmasse verringert wird. Geeignet sind z. B. Verbindungen mit einer Thiolgruppe wie tert.-Butylmercaptan, Thioglycolsäureethylacrylester, Mercaptoethynol, Mercaptopropyltrimethoxysilan oder tert.-Dodecylmercaptan oder Regler ohne Thiolgruppe, insbesondere z. B. Terpinolen.In the emulsion polymerization regulators can be used, for. B. in amounts of 0 to 3 parts by weight, based on 100 parts by weight of the monomers to be polymerized, by which the molecular weight is reduced. Suitable z. B. Compounds with a thiol group such as tert-butylmercaptan, thioglycolic acid ethylacrylic ester, mercaptoethynol, mercaptopropyltrimethoxysilane or tert-dodecylmercaptan or regulator without thiol group, in particular z. B. terpinolene.
Die Emulsionspolymerisation zur Herstellung der Latices erfolgt in der Regel bei 30 bis 130 °C, vorzugsweise bei 50 bis 100 °C. Das Polymerisationsmedium kann sowohl nur aus Wasser, als auch aus Mischungen aus Wasser und damit mischbaren Flüssigkeiten wie Methanol bestehen. Vorzugsweise wird nur Wasser verwendet. Die Emulsionspolymerisation kann sowohl als Batchprozess als auch in Form eines Zulaufverfahrens, einschließlich Stufen- oder Gradientenfahrweise, durchgeführt werden. Bevorzugt ist das Zulaufverfahren, bei dem man einen Teil des Polymerisationsansatzes vorlegt, auf die Polymerisationstemperatur erhitzt, anpolymerisiert und anschließend den Rest des Polymerisationsansatzes, üblicherweise über mehrere räumlich getrennte Zuläufe, von denen einer oder mehrere die Monomeren in reiner oder in emulgierter Form enthalten, kontinuierlich, stufenweise oder unter Überlagerung eines Konzentrationsgefälles unter Aufrechterhaltung der Polymerisation der Polymerisationszone zuführt. Bei der Polymerisation kann auch z. B. zur besseren Einstellung der Teilchengröße eine Polymersaat vorgelegt werden.The emulsion polymerization for preparing the latexes is generally carried out at 30 to 130 ° C, preferably at 50 to 100 ° C. The polymerization medium may consist of water only, as well as of mixtures of water and thus miscible liquids such as methanol. Preferably, only water is used. The emulsion polymerization can be carried out both as a batch process and in the form of a feed process, including a stepwise or gradient procedure. Preferably, the feed process in which one submits a portion of the polymerization, heated to the polymerization, polymerized and then the rest of the polymerization, usually over several spatially separate feeds, one or more of which monomers in pure or in emulsified form, continuously , gradually or with the addition of a concentration gradient while maintaining the polymerization of the polymerization zone supplies. In the polymerization can also z. B. be presented for better adjustment of the particle size of a polymer seed.
Die Art und Weise, in der der Initiator im Verlauf der radikalischen wässrigen Emulsionspolymerisation dem Polymerisationsgefäß zugegeben wird, ist dem Durchschnittsfachmann bekannt. Es kann sowohl vollständig in das Polymerisationsgefäß vorgelegt, als auch nach Maßgabe seines Verbrauchs im Verlauf der radikalischen wässrigen Emulsionspolymerisation kontinuierlich oder stufenweise eingesetzt werden. Im Einzelnen hängt dies von der chemischen Natur des Initiatorsystems als auch von der Polymerisationstemperatur ab. Vorzugsweise wird ein Teil vorgelegt und der Rest nach Maßgabe des Verbrauchs der Polymerisationszone zugeführt.The manner in which the initiator is added to the polymerization vessel in the course of the free radical aqueous emulsion polymerization is known to one of ordinary skill in the art. It can be introduced both completely into the polymerization vessel, or used continuously or in stages according to its consumption in the course of the free radical aqueous emulsion polymerization. In detail, this depends on the chemical nature of the initiator system as well as on the polymerization temperature. Preferably, a part is initially charged and the remainder supplied according to the consumption of the polymerization.
Zur Entfernung der Restmonomeren wird üblicherweise auch nach dem Ende der eigentlichen Emulsionspolymerisation, d. h. nach einem Umsatz der Monomeren von mindestens 95 %, Initiator zugesetzt.To remove the residual monomers is usually after the end of the actual emulsion polymerization, d. H. after a conversion of the monomers of at least 95%, initiator added.
Die einzelnen Komponenten können dem Reaktor beim Zulaufverfahren von oben, in der Seite oder von unten durch den Reaktorboden zugegeben werden.The individual components can be added to the reactor in the feed process from above, in the side or from below through the reactor bottom.
Im Anschluss an die CoPolymerisation können die im Latex enthaltenen Säuregruppen noch zumindest teilweise neutralisiert werden. Dies kann beispielsweise erfolgen mit Oxiden, Hydroxiden, Carbonaten oder Hydrogencarbonaten von Alkalimetallen oder Erdalkalimetallen, bevorzugt mit Hydroxiden, denen ein beliebiges Gegenion oder mehrere assoziiert sein kann, z.B. Li+, Na+, K+, Cs+, Mg2+, Ca2+ oder Ba2+. Weiterhin zur Neutralisierung geeignet sind Ammoniak oder Amine. Bevorzugt sind wässrige Ammoniumhydroxid-, Natriumhydroxid- oder Kaliumhydroxidlösungen.Following the copolymerization, the acid groups contained in the latex can still be at least partially neutralized. This can be done, for example, with oxides, hydroxides, carbonates or bicarbonates of alkali metals or alkaline earth metals, preferably with hydroxides to which any one or more counterions may be associated, eg Li + , Na + , K + , Cs + , Mg 2+ , Ca 2 + or Ba 2+ . Also suitable for neutralization are ammonia or amines. Preference is given to aqueous ammonium hydroxide, sodium hydroxide or potassium hydroxide solutions.
Bei der Emulsionspolymerisation werden wässrige Dispersionen des Latices in der Regel mit Feststoffgehalten von 15 bis 75 Gew.-%, bevorzugt von 40 bis 75 Gew.-% erhalten.In the emulsion polymerization, aqueous dispersions of the latex are generally obtained with solids contents of from 15 to 75% by weight, preferably from 40 to 75% by weight.
Die Partikelgröße der Latices liegt vorzugsweise im Bereich von 10 bis 1000 nm, besonders bevorzugt im Bereich von 50 bis 300 nm (gemessen mit einem Malvern® Autosizer 2 C).The particle size of the latices is preferably in the range of 10 to 1000 nm, more preferably in the range of 50 to 300 nm (measured using a Malvern ® Autosizer 2 C).
Die erfindungsgemäß einsetzbaren anionischen Polymerisate enthalten mindestens einen anionischen Latex und mindestens eine abgebaute Stärke. Wie zuvor beschrieben weisen die abgebauten Stärken ein mittleres Molekulargewicht Mw von 1 000 bis 65 000 g/mol auf. Die mittleren Molekulargewichte Mw der abgebauten Stärken können leicht durch dem Fachmann bekannte Methoden ermittelt werden, z. B. mittels Gelpermeationschromatographie unter Verwendung eines Vielwinkellichtstreudetektors.The anionic polymers which can be used according to the invention comprise at least one anionic latex and at least one degraded starch. As described above, the degraded starches have an average molecular weight M w of from 1,000 to 65,000 g / mol. The average molecular weights M.sub.w of the degraded starches can easily be determined by methods known to the person skilled in the art, eg. By gel permeation chromatography using a multi-angle light scattering detector.
Um eine solche Stärke zu erhalten, kann man von sämtlichen Stärkesorten ausgehen, z.B. von nativer, anionischer, kationischer oder amphoterer Stärke. Die Stärke kann z.B. aus Kartoffeln, Mais, Weizen, Reis, Tapioka, Sorghum stammen oder es kann sich um Wachsstärken handeln, die einen Gehalt an Amylopektin von > 80, vorzugsweise > 95 Gew.-% haben wie Wachsmaisstärke oder Wachskartoffelstärke. Die Stärken können anionisch und/oder kationisch modifiziert, verestert, verethert und/oder vernetzt sein. Bevorzugt werden kationisierte Stärken.To obtain such a starch, one can start with all types of starch, e.g. of native, anionic, cationic or amphoteric starch. The starch can e.g. derived from potatoes, maize, wheat, rice, tapioca, sorghum, or may be waxy starches having an amylopectin content of> 80, preferably> 95% by weight, such as waxy maize starch or waxy potato starch. The starches may be anionically and / or cationically modified, esterified, etherified and / or crosslinked. Preference is given to cationized starches.
Sofern das Molekulargewicht Mw der Stärken nicht bereits in dem Bereich von 1 000 bis 65 000 g/mol liegt, werden sie einem Molekulargewichtsabbau unterworfen. Dieser Molekulargewichtsabbau kann oxidativ, thermisch, acidolytisch oder enzymatisch vorgenommen werden. Bevorzugt ist eine Vorgehensweise, bei der man eine Stärke enzymatisch und/oder oxidativ abbaut. Die Molmasse Mw der abgebauten Stärke liegt vorzugsweise in dem Bereich von 2 500 bis 35 000 g/mol.If the molecular weight M w of the starches is not already in the range of 1,000 to 65,000 g / mol, they are subjected to molecular weight degradation. This molecular weight reduction can be carried out oxidatively, thermally, acidolytically or enzymatically. Preference is given to a procedure in which a starch is degraded enzymatically and / or oxidatively. The molecular weight Mw of the degraded starch is preferably in the range of 2,500 to 35,000 g / mol.
Besonders bevorzugt ist die Verwendung von anionischen oder von kationischen Stärken. Solche Stärken sind bekannt. Anionische Stärken sind beispielsweise durch Oxidation von nativen Stärken zugänglich. Kationische Stärken werden beispielsweise durch Umsetzung von nativer Stärke mit mindestens einem Quaternierungsmittel wie 2,3-Epoxipropyltrimethylammoniumchlorid hergestellt. Die kationisierten Stärken enthalten quaternäre Ammoniumgruppen.Particularly preferred is the use of anionic or cationic starches. Such strengths are known. Anionic starches are accessible, for example, by oxidation of native starches. Cationic starches are obtained, for example, by reacting native starch with at least one quaternizing agent, such as 2,3-Epoxipropyltrimethylammoniumchlorid prepared. The cationized starches contain quaternary ammonium groups.
Der Anteil von kationischen oder anionischen Gruppen in substituierter Stärke wird mit Hilfe des Substitutionsgrades (DS) angegeben. Er beträgt beispielweise 0,005 bis 1,0 vorzugsweise 0,01 bis 0,4.The proportion of cationic or anionic groups in substituted starch is indicated by means of the degree of substitution (DS). It is, for example, 0.005 to 1.0, preferably 0.01 to 0.4.
Man kann eine einzige abgebaute Stärke oder auch Mischungen aus zwei oder mehreren abgebauten Stärken einsetzen.You can use a single degraded starch or mixtures of two or more degraded starches.
In einer besonders bevorzugten Form werden als abgebaute Stärke Maltodextrine eingesetzt. Maltodextrine im Sinne der vorliegenden Erfindung sind durch enzymatischen Abbau von Stärke gewonnene wasserlösliche Kohlenhydrate, die aus Glucose-Einheiten bestehen und ein Dextrose-Äquivalent besitzen.In a particularly preferred form, maltodextrins are used as degraded starch. For the purposes of the present invention, maltodextrins are water-soluble carbohydrates obtained by enzymatic degradation of starch, which consist of glucose units and have a dextrose equivalent.
Die anionischen Poylmerisate können auf unterschiedliche Weise aus dem mindestens einen anionischen Latex und der mindestens einen abgebauten Stärke hergestellt werden. Beispielsweise wird zunächst aus den zuvor genannten Monomeren der anionische Latex durch Emulsionspolymerisation hergestellt. Anschließend wird die abgebaute Stärke zugeben und die Komponenten werden miteinander vermischt. Die Zugabe der abgebauten Stärke erfolgt üblicherweise bei Raumtemperatur. Ebenfalls möglich ist, dass die abgebaute Stärke zu den zuvor genannten Monomeren zugegeben wird und die Emulsionspolymerisation dadurch in Gegenwart der abgebauten Stärke stattfindet.The anionic polymers may be prepared in various ways from the at least one anionic latex and the at least one degraded starch. For example, the anionic latex is first prepared by emulsion polymerization from the aforementioned monomers. Subsequently, the degraded starch is added and the components are mixed together. The addition of the degraded starch is usually carried out at room temperature. It is also possible that the degraded starch is added to the aforementioned monomers and the emulsion polymerization thereby takes place in the presence of the degraded starch.
Als Faserstoffe zur Herstellung der Pulpen kommen sämtliche dafür gebräuchlichen Qualitäten in Betracht, z.B. Holzstoff, gebleichter und ungebleichter Zellstoff sowie Papierstoffe aus allen Einjahrespflanzen. Zu Holzstoff gehören beispielsweise Holzschliff, thermomechanischer Stoff (TMP), chemo-thermomechanischer Stoff (CTMP), Druckschliff, Halbzellstoff, Hochausbeute-Zellstoff und Refiner Mechanical Pulp (RMP). Als Zellstoff kommen beispielsweise Sulfat-, Sulfit- und Natronzellstoffe in Betracht. Vorzugsweise verwendet man ungebleichten Zellstoff, der auch als ungebleichter Kraftzellstoff bezeichnet wird. Geeignete Einjahrespflanzen zur Herstellung von Papierstoffen sind beispielsweise Reis, Weizen, Zuckerrohr und Kenaf. Zur Herstellung der Pulpen wird meistens Altpapier verwendet, das entweder allein oder in Mischung mit anderen Faserstoffen eingesetzt wird oder man geht von Fasermischungen aus einem Primärstoff und zurückgeführtem gestrichenem Ausschuss aus, z.B. gebleichtes Kiefernsulfat in Mischung mit zurückgeführtem gestrichenem Ausschuss.As pulps for the production of the pulps, all qualities which are customary for this purpose can be considered, e.g. Pulp, bleached and unbleached pulp and pulps from all annual plants. Wood pulp includes, for example, groundwood, thermomechanical pulp (TMP), chemo-thermo-mechanical pulp (CTMP), pressure groundwood, semi-pulp, high yield pulp, and refiner mechanical pulp (RMP). As pulp, for example, sulphate, sulphite and soda pulps come into consideration. Preferably, unbleached pulp, also referred to as unbleached kraft pulp, is used. Suitable annual plants for the production of pulps are, for example, rice, wheat, sugar cane and kenaf. Waste pulp is most often used to make the pulps, either alone or in admixture with other pulps, or by starting from fiber blends of primary and recycled coated broke, e.g. bleached pine sulfate in admixture with reclaimed coated broke.
Das erfindungsgemäße Verfahren ist für die Herstellung von Papier und Pappe aus Altpapier von technischem Interesse, weil es die Festigkeitseigenschaften der zurückgeführten Fasern deutlich erhöht und hat besondere Bedeutung für die Verbesserung von Festigkeitseigenschaften von graphischen Papieren und von Verpackungspapieren. Die nach dem erfindungsgemäßen Verfahren erhältlichen Papiere haben überraschenderweise eine höhere Trockenfestigkeit als die nach dem Verfahren der älteren europäischen Anmeldung mit dem Aktenzeichen
Der pH-Wert der Stoffsuspension liegt beispielsweise in dem Bereich von 4,5 bis 8, meistens bei 6 bis 7,5. Zur Einstellung des pH-Wertes kann man beispielsweise eine Säure wie Schwefelsäure oder Aluminiumsulfat verwenden.The pH of the stock suspension is, for example, in the range of 4.5 to 8, usually 6 to 7.5. To adjust the pH, it is possible to use, for example, an acid, such as sulfuric acid or aluminum sulphate.
Bei dem erfindungsgemäßen Verfahren wird vorzugsweise zunächst das kationische Polymerisat zum Papierstoff dosiert. Die Zugabe des kationischen Polymeren kann dabei zum Dickstoff (Faserkonzentration > 15 g/l, z.B. in dem Bereich von 25 bis 40 g/l bis zu 60 g/l) oder vorzugsweise zu einem Dünnstoff (Faserkonzentration < 15 g/l, z.B. in dem Bereich von 5 bis 12 g/l) erfolgen. Die Zugabestelle liegt vorzugsweise vor den Sieben, kann jedoch auch zwischen einer Scherstufe und einem Screen oder danach liegen. Das anionische Poylmerisat wird vorzugsweise erst nach der Zugabe des kationischen Polymeren zum Papierstoff zugegeben, kann aber auch gleichzeitig, jedoch getrennt von dem kationischen Polymerisat zum Papierstoff dosiert werden. Weiterhin ist es auch möglich zuerst das anionische und nachfolgend das kationische Polymerisat zuzugeben.In the method according to the invention, the cationic polymer is preferably first metered to the paper stock. The cationic polymer can be added to the thick material (fiber concentration> 15 g / l, for example in the range from 25 to 40 g / l up to 60 g / l) or preferably to a thin material (fiber concentration <15 g / l, eg in in the range of 5 to 12 g / l). The point of addition is preferably in front of the screens, but may also be between a shearing stage and a screen or afterwards. The anionic polymer is preferably added to the paper stock only after the cationic polymer has been added, but it may also be metered into the stock at the same time but separately from the cationic polymer. Furthermore, it is also possible first to add the anionic and subsequently the cationic polymer.
Das kationische Polymer wird beispielsweise in einer Menge von 0,03 bis 2,0 Gew.-%, vorzugsweise 0,1 bis 0,5 Gew.-%, bezogen auf trockenen Papierstoff, eingesetzt. Das wasserunlösliche anionische Polymerisat wird z.B. in einer Menge von 0,5 bis 10 Gew.-%, vorzugsweise 1 bis 6 Gew.-%, insbesondere von 2,5 bis 5,5 Gew.-%, bezogen auf trockenen Papierstoff, eingesetzt.The cationic polymer is used, for example, in an amount of 0.03 to 2.0 wt .-%, preferably 0.1 to 0.5 wt .-%, based on dry pulp. The water-insoluble anionic polymer is e.g. in an amount of 0.5 to 10 wt .-%, preferably 1 to 6 wt .-%, in particular from 2.5 to 5.5 wt .-%, based on dry pulp, used.
Das Gewichtsverhältnis von wasserlöslichem kationischen Polymer zu wasserunlöslichem anionischen Polymer beträgt, bezogen auf den Feststoffgehalt, beispielsweise 1 : 5 bis 1 : 20 und liegt vorzugsweise in dem Bereich von 1 : 10 bis 1 : 15 und besonders bevorzugt in dem Bereich von 1 : 10 bis 1 : 12.The weight ratio of water-soluble cationic polymer to water-insoluble anionic polymer is, for example, 1: 5 to 1:20, based on the solids content, and is preferably in the range of 1:10 to 1:15, and more preferably in the range of 1:10 to 1:12.
Bei dem erfindungsgemäßen Verfahren können die üblicherweise bei der Papierherstellung verwendeten Prozeßchemikalien in den üblichen Mengen eingesetzt werden, z.B. Retentionsmittel, Entwässerungsmittel, andere Trockenverfestiger wie beispielsweise Stärke, Pigmente, Füllstoffe, optische Aufheller, Entschäumer, Biozide und Papierfarbstoffe.In the method according to the invention, the process chemicals commonly used in papermaking can be used in the usual amounts, for example retention agents, dehydrating agents, other dry strength agents such as starch, pigments, fillers, optical brighteners, defoamers, biocides and paper dyes.
Die Erfindung wird anhand der folgenden, nicht einschränkenden Beispiele näher erläutert.The invention will be further illustrated by the following non-limiting examples.
Die Prozentangaben in den Beispielen bedeuten Gewichtsprozent, sofern aus dem Zusammenhang nichts anderes hervorgeht.The percentages in the examples are by weight unless otherwise indicated in the context.
Der K-Wert der Polymerisate wurde nach
Dieses Polymer wurde durch Hydrolyse eines Poly-N-Vinylformamids mit Salzsäure hergestellt. Der Hydrolysegrad des Polymeren betrug 50 Mol-%, d.h. das Polymer enthielt 50 Mol-% N-Vinylformamideinheiten und 50 Mol-% Vinylamineinheiten in Salzform. Der K-Wert des wasserlöslichen kationischen Polymeren betrug 90.This polymer was prepared by hydrolysis of a poly-N-vinylformamide with hydrochloric acid. The degree of hydrolysis of the polymer was 50 mole%, i. the polymer contained 50 mole% of N-vinylformamide units and 50 mole% of vinylamine units in salt form. The K value of the water-soluble cationic polymer was 90.
Herstellung wie unter kationischem Polymer A beschrieben, jedoch mit der Ausnahme, dass der Hydrolysegrad des Polymeren 30 Mol-% betrug. Das wasserlösliche kationische Polymer B enthielt 70 Mol-% N-Vinylformamideinheiten und 30 Mol-% Vinylamineinheiten in Salzform. Der K-Wert des wasserlöslichen kationischen Polymeren betrug 90.Preparation as described under cationic polymer A, except that the degree of hydrolysis of the polymer was 30 mol%. The water-soluble cationic polymer B contained 70 mol% of N-vinylformamide units and 30 mol% of vinylamine units in salt form. The K value of the water-soluble cationic polymer was 90.
In einem mit Ankerrührer ausgestatteten 41-Planschliffgefäß wurden 411,6 g vollentsalztes Wasser, 14,6 g einer Polystyrolsaat (Feststoffgehalt 33 %, mittlere Teilchengröße 29 nm) und 1,4 g einer 45 Gew.-% igen Lösung von Dodecylphenoxybenzoldisulfonsäure-Natriumsalz (Dowfax® 2A1, Dow Chemicals) sowie 15,4 g einer 7 Gew.-%igen Lösung von Natriumperoxidisulfat vorgelegt. Über ein geregeltes, außenliegendes Ölbad wurde das Reaktionsgefäß unter Rühren auf 93 °C aufgeheizt. Nach Erreichen der Temperatur wurde eine zuvor hergestellte Monomeremulsion bestehend aus 534,4 g vollentsalztem Wasser, 22,4 g einer 15 Gew.-%igen Lösung von Natriumlaurylsulfat (Disponil® SDS 15, Cognis), 8 g einer 45 Gew.-% igen Lösung von Dodecylphenoxybenzoldisulfonsäure-Natriumsalz (Dowfax® 2A1, Dow Chemicals), 12 g einer 10 Gew.-% igen Lösung von Natriumhydroxid, 35 g Acrylsäure, 168 g Styrol, 829 g n-Butylacrylat und 168 g Acrylnitril gleichmäßig innerhalb von 2 Stunden und 45 Minuten zudosiert. Parallel dazu wurden 49,7 g einer 7 Gew.-%igen Lösung von Natriumperoxidisulfat zudosiert. Der Ansatz wurde unter Konstanthaltung der Temperatur für weitere 45 Minuten gerührt. Anschließend wurden 93,6 g einer 10 Gew.-%igen Lösung von Natriumhydroxid zugegeben, und der Reaktionsinhalt auf 60 °C abgekühlt. Anschließend wurden parallel zwei Zuläufe bestehend aus a) 24 g einer 10 Gew.-%igen Lösung von tert-Butylhydroperoxid und b) 33 g einer 13 Gew.-%igen Lösung enthaltend das Additionsprodukt aus 2,67 g Natriumdisulfit und 1,62 g Aceton innerhalb von 30 Minuten zudosiert. Der Reaktorinhalt wurde auf Raumtemperatur abgekühlt.411.6 g of demineralized water, 14.6 g of a polystyrene seed (solids content 33%, mean particle size 29 nm) and 1.4 g of a 45% strength by weight solution of dodecylphenoxybenzenedisulfonic acid sodium salt (in an anchor plate stirrer equipped with anchor stirrer ( Dowfax® 2A1, Dow Chemicals) and 15.4 g of a 7 wt .-% solution of sodium peroxydisulfate submitted. Via a controlled, external oil bath, the reaction vessel was heated to 93 ° C. with stirring. After reaching the temperature, a previously prepared monomer emulsion consisting of 534.4 g of deionized water, 22.4 g of a 15 wt .-% solution of sodium lauryl sulfate (Disponil ® SDS 15, Cognis), 8 g of a 45 wt .-% Solution of Dodecylphenoxybenzoldisulfonsäure sodium salt (Dowfax ® 2A1, Dow Chemicals), 12 g of a 10 wt .-% solution of sodium hydroxide, 35 g of acrylic acid, 168 g of styrene, 829 g of n-butyl acrylate and 168 g of acrylonitrile uniformly within 2 hours and 45 Minutes added. In parallel, 49.7 g of a 7 wt .-% solution of sodium peroxydisulfate were added. The batch was stirred while maintaining the temperature for a further 45 minutes. Subsequently, 93.6 g of a 10% by weight solution of sodium hydroxide were added and the reaction contents were cooled to 60 ° C. Subsequently, two feeds were in parallel consisting of a) 24 g of a 10 wt .-% solution of tert-butyl hydroperoxide and b) 33 g of a 13 wt .-% solution containing the addition product of 2.67 g of sodium and 1.62 g Acetone added within 30 minutes. The reactor contents were cooled to room temperature.
Erhalten wurde eine praktisch koagulatfreie Polymerdispersion mit einem Feststoffgehalt von 51 Gew.-%. Das Polymer wies eine über DSC gemessene Glasübergangstemperatur von +5°C auf.A practically coagulate-free polymer dispersion having a solids content of 51% by weight was obtained. The polymer had a TLC measured glass transition temperature of + 5 ° C.
Durch Zugabe von 810 g vollentsalztem Wasser wurde der Feststoffgehalt auf 30 Gew.-% gesenkt. Anschließend wurden 404 g einer 30 Gew.-% Lösung eines Maltodextrins (Fa. Cargill, MD® 09015) zugemischt.By adding 810 g of deionized water, the solids content was lowered to 30% by weight. Subsequently, 404 g of a 30 wt .-% solution of a maltodextrin (Fa. Cargill MD 09015 ®) were added.
Die erhaltene Abmischung wies einen Feststoffgehalt von 30 Gew.-% und einen pH Wert von 6,5 auf.The resulting blend had a solids content of 30% by weight and a pH of 6.5.
Polymer 2 wurde analog Polymer 1 hergestellt, jedoch wurde bei der Abmischung eine auf 30 Gew.-% verdünnte Lösung eines Maltodextrins (Fa. Cerestar, Stärke 019 S1) verwendet.Polymer 2 was prepared analogously to polymer 1, but a mixture of maltodextrin diluted to 30% by weight (from Cerestar, strength 019 S1) was used in the blending.
In einem mit Ankerrührer ausgestatteten 41-Planschliffgefäß wurden 411,6 g vollentsalztes Wasser, 14,6 g einer Polystyrolsaat (Feststoffgehalt 33 %, mittlere Teilchengröße 29 nm) und 1,4 g einer 45 Gew.-% igen Lösung von Dodecylphenoxybenzoldisulfonsäure-Natriumsalz (Dowfax® 2A1, Dow Chemicals) sowie 15,4 g einer 7 Gew.-%igen Lösung von Natriumperoxidisulfat vorgelegt. Über ein geregeltes, außenliegendes Ölbad wurde das Reaktionsgefäß unter Rühren auf 93 °C aufgeheizt. Nach Erreichen der Temperatur wurde eine zuvor hergestellte Monomeremulsion bestehend aus 534,4 g vollentsalztem Wasser, 22,4 g einer 15 Gew.-%igen Lösung von Natriumlaurylsulfat (Disponil® SDS 15, Cognis), 8 g einer 45 Gew.-% igen Lösung von Dodecylphenoxybenzoldisulfonsäure-Natriumsalz (Dowfax® 2A1, Dow Chemicals ), 12 g einer 10 Gew.-% igen Lösung von Natriumhydroxid, 36 g Acrylsäure, 60 g Styrol, 1044 g n-Butylacrylat und 60 g Acrylnitril gleichmäßig innerhalb von 2 Stunden zudosiert. Parallel dazu wurden in 2,5 Stunden 49,8 g einer 7 Gew.-%igen Lösung von Natriumperoxidisulfat zudosiert. Der Ansatz wurde unter Konstanthaltung der Temperatur für weitere 45 Minuten gerührt. Anschließend wurden 93,6 g einer 10 Gew.-%igen Lösung von Natriumhydroxid zugegeben, und der Reaktionsinhalt auf 60 °C abgekühlt. Anschließend wurden parallel zwei Zuläufe bestehend aus a) 24 g einer 10 Gew.-%igen Lösung von tert-Butylhydroperoxid und b) 33 g einer 13 Gew.-%igen Lösung enthaltend das Additionsprodukt aus 2,67 g Natriumdisulfit und 1,62 g Aceton innerhalb von 30 Minuten zudosiert. Der Reaktorinhalt wurde auf Raumtemperatur abgekühlt.411.6 g of demineralized water, 14.6 g of a polystyrene seed (solids content 33%, mean particle size 29 nm) and 1.4 g of a 45% strength by weight solution of sodium dodecylphenoxybenzenedisulfonate (in FIG. Dowfax ® 2A1, Dow Chemicals) and 15.4 g of a 7 wt .-% solution of sodium peroxydisulfate presented. Via a controlled, external oil bath, the reaction vessel was heated to 93 ° C. with stirring. After reaching the temperature, a previously prepared monomer emulsion consisting of 534.4 g of deionized water, 22.4 g of a 15 wt .-% solution of sodium lauryl sulfate (Disponil ® SDS 15, Cognis), 8 g of a 45 wt .-% Solution of Dodecylphenoxybenzoldisulfonsäure sodium salt (Dowfax ® 2A1, Dow Chemicals), 12 g of a 10 wt .-% solution of sodium hydroxide, 36 g of acrylic acid, 60 g of styrene, 1044 g of n-butyl acrylate and 60 g of acrylonitrile dosed evenly over 2 hours , In parallel, 49.8 g of a 7 wt .-% solution of sodium peroxydisulfate were added in 2.5 hours. The approach was keeping the temperature constant stirred for another 45 minutes. Subsequently, 93.6 g of a 10% by weight solution of sodium hydroxide were added and the reaction contents were cooled to 60 ° C. Subsequently, two feeds were in parallel consisting of a) 24 g of a 10 wt .-% solution of tert-butyl hydroperoxide and b) 33 g of a 13 wt .-% solution containing the addition product of 2.67 g of sodium and 1.62 g Acetone added within 30 minutes. The reactor contents were cooled to room temperature.
Erhalten wurde eine praktisch koagulatfreie Polymerdispersion mit einem Feststoffgehalt von 50 Gew.-%. Das Polymer wies eine über DSC gemessene Glasübergangstemperatur von -25°C.A practically coagulate-free polymer dispersion having a solids content of 50% by weight was obtained. The polymer had a glass transition temperature of -25 ° C as measured by DSC.
Durch Zugabe von 810 g vollentsalztem Wasser wurde der Feststoffgehalt auf 30 Gew.-% gesenkt. Anschließend wurden 404 g einer 30 Gew.-% Lösung eines Maltodextrins (Fa. Cargill, MD® 09015) zugemischt.By adding 810 g of deionized water, the solids content was lowered to 30% by weight. Subsequently, 404 g of a 30 wt .-% solution of a maltodextrin (Fa. Cargill MD 09015 ®) were added.
Die erhaltene Abmischung wies einen Feststoffgehalt von 30 Gew.-% und einen pH Wert von 6,4 auf.The resulting blend had a solids content of 30% by weight and a pH of 6.4.
In einem mit Ankerrührer ausgestatteten 41-Planschliffgefäß wurden 340,8 g vollentsalztes Wasser, 14,6 g einer Polystyrolsaat (Feststoffgehalt 33 %, mittlere Teilchengröße 29 nm) und 1,4 g einer 45 Gew.-% igen Lösung von Dodecylphenoxybenzoldisulfonsäure-Natriumsalz (Dowfax® 2A1, Dow Chemicals) sowie 15,4 g einer 7 Gew.-%igen Lösung von Natriumperoxidisulfat vorgelegt. Über ein geregeltes, außenliegendes Ölbad wurde das Reaktionsgefäß unter Rühren auf 93 °C aufgeheizt. Nach Erreichen der Temperatur wurde eine zuvor hergestellte Monomeremulsion bestehend aus 483,6 g vollentsalztem Wasser, 22,4 g einer 15 Gew.-%igen Lösung von Natriumlaurylsulfat (Disponil® SDS 15, Cognis), 8 g einer 45 Gew.-% igen Lösung von Dodecylphenoxybenzoldisulfonsäure-Natriumsalz (Dowfax® 2A1, Dow Chemicals), 12 g einer 10 Gew.-% igen Lösung von Natriumhydroxid, 12 g eines Methacrylsäureesters mit einem endständig mit Phosphorsäure veresterten Oligopropylenoxid (Sipomer® PAM 200: CH2=C(CH3)-COO-(CH2CH(CH3)O)8-10-P(O)(OH)2, Rhodia), 24 g Acrylsäure, 168 g Styrol, 828 g n-Butylacrylat und 168 g Acrylnitril gleichmäßig innerhalb von 2 Stunden und 45 Minuten zudosiert. Parallel dazu wurden 87 g einer 4 Gew.-%igen Lösung von Natriumperoxidisulfat zudosiert. Der Ansatz wurde unter Konstanthaltung der Temperatur für weitere 45 Minuten gerührt. Anschließend wurden 62,4 g einer 10 Gew.-%igen Lösung von Natriumhydroxid zugegeben, und der Reaktionsinhalt auf 60 °C abgekühlt. Anschließend wurden parallel zwei Zuläufe bestehend aus a) 80 g einer 3 Gew.-%igen Lösung von tert-Butylhydroperoxid und b) 53,4 g vollentsalztes Wasser mit 33 g einer 13 Gew.-%igen Lösung enthaltend das Additionsprodukt aus 2,67 g Natriumdisulfit und 1,62 g Aceton innerhalb von 30 Minuten zudosiert. Der Reaktorinhalt wurde auf Raumtemperatur abgekühlt.In a 41 flattened vessel equipped with anchor stirrer, 340.8 g of demineralized water, 14.6 g of a polystyrene seed (solids content 33%, mean particle size 29 nm) and 1.4 g of a 45% strength by weight solution of sodium dodecylphenoxybenzenedisulfonate ( Dowfax ® 2A1, Dow Chemicals) and 15.4 g of a 7 wt .-% solution of sodium peroxydisulfate presented. Via a controlled, external oil bath, the reaction vessel was heated to 93 ° C. with stirring. After reaching the temperature, a previously prepared monomer emulsion consisting of 483.6 g of deionized water, 22.4 g of a 15 wt .-% solution of sodium lauryl sulfate (Disponil ® SDS 15, Cognis), 8 g of a 45 wt .-% solution of Dodecylphenoxybenzoldisulfonsäure sodium salt (Dowfax ® 2A1, Dow Chemicals), 12 g of a 10 wt .-% solution of sodium hydroxide, 12 g of a methacrylic acid ester having a terminally esterified with phosphoric acid Oligopropylenoxid (Sipomer ® PAM 200: CH 2 = C (CH 3 ) -COO- (CH 2 CH (CH 3 ) O) 8-10 -P (O) (OH) 2 , Rhodia), 24 g of acrylic acid, 168 g of styrene, 828 g of n-butyl acrylate and 168 g of acrylonitrile uniformly within metered in from 2 hours and 45 minutes. In parallel, 87 g of a 4 wt .-% solution of sodium peroxydisulfate were added. The batch was stirred while maintaining the temperature for a further 45 minutes. Subsequently, 62.4 g of a 10 wt .-% solution of sodium hydroxide was added, and the reaction contents cooled to 60 ° C. Subsequently, two feeds consisting of a) 80 g of a 3 wt .-% solution of tert-butyl hydroperoxide and b) 53.4 g of deionized water with 33 g of a 13 wt .-% solution containing the addition product of parallel 2.67 g of sodium disulfite and 1.62 g of acetone added within 30 minutes. The reactor contents were cooled to room temperature.
Erhalten wurde eine praktisch koagulatfreie Polymerdispersion mit einem Feststoffgehalt von 50 Gew.-%. Das Polymer wies eine über DSC gemessene Glasübergangstemperatur von +4°C.A practically coagulate-free polymer dispersion having a solids content of 50% by weight was obtained. The polymer had a TLC measured glass transition temperature of + 4 ° C.
Durch Zugabe von 810 g vollentsalztem Wasser wurde der Feststoffgehalt auf 30 Gew.-% gesenkt. Anschließend wurden 404 g einer 30 Gew.-% Lösung eines Maltodextrins (Fa. Cargill, MD® 09015) zugemischt.By adding 810 g of deionized water, the solids content was lowered to 30% by weight. Subsequently, 404 g of a 30 wt .-% solution of a maltodextrin (Fa. Cargill MD 09015 ®) were added.
Die erhaltene Abmischung wies einen Feststoffgehalt von 30 Gew.-%, einen pH Wert von 6,5 und eine durch dynamische Lichtstreuung (Malvern HPPS) gemessene Teilchengröße von 137 nm.The resulting blend had a solids content of 30% by weight, a pH of 6.5 and a particle size of 137 nm measured by dynamic light scattering (Malvern HPPS).
In einem mit Ankerrührer ausgestatteten 41-Planschliffgefäß wurden 1064,6 g vollentsalztes Wasser, 7,2 g einer Polystyrolsaat (Feststoffgehalt 33 %, mittlere Teilchengröße 29 nm), 0,6 g einer 45 Gew.-% igen Lösung von Dodecylphenoxybenzoldisulfonsäure-Natriumsalz (Dowfax® 2A1, Dow Chemicals) und 240,0 g Maltodextrin (Fa. Cargill, MD® 09015) sowie 7,8 g einer 7 Gew.-%igen Lösung von Natriumperoxidisulfat vorgelegt. Über ein geregeltes, außenliegendes Ölbad wurde das Reaktionsgefäß unter Rühren auf 93 °C aufgeheizt. Nach Erreichen der Temperatur wurde eine zuvor hergestellte Monomeremulsion bestehend aus 267,2 g vollentsalztem Wasser, 11,2 g einer 15 Gew.-%igen Lösung von Natriumlaurylsulfat (Disponil® SDS 15, Cognis), 4 g einer 45 Gew.-% igen Lösung von Dodecylphenoxybenzoldisulfonsäure-Natriumsalz (Dowfax® 2A1, Dow Chemicals ), 6 g einer 10 Gew.-% igen Lösung von Natriumhydroxid, 18 g Acrylsäure, 84 g Styrol, 414 g n-Butylacrylat und 84 g Acrylnitril gleichmäßig innerhalb von 2 Stunden zudosiert. Parallel dazu wurden innerhalb von 2,5 Stunden 34,8 g einer 2,5 Gew.-%igen Lösung von Natriumperoxidisulfat zudosiert. Der Ansatz wurde unter Konstanthaltung der Temperatur für weitere 45 Minuten gerührt. Anschließend wurden 46,8 g einer 10 Gew.-%igen Lösung von Natriumhydroxid zugegeben, und der Reaktionsinhalt auf 60 °C abgekühlt. Anschließend wurden parallel zwei Zuläufe bestehend aus a) 30 g einer 2 Gew.-%igen Lösung von tert-Butylhydroperoxid und b) 55,6g vollentsalztes Wasser mit 16,4 g einer 13 Gew.-%igen Lösung enthaltend das Additionsprodukt aus 2,67 g Natriumdisulfit und 1,62 g Aceton innerhalb von 30 Minuten zudosiert. Der Reaktorinhalt wurde auf Raumtemperatur abgekühlt.In a 41 flattened vessel equipped with anchor stirrer, 1064.6 g of demineralized water, 7.2 g of a polystyrene seed (solids content 33%, mean particle size 29 nm), 0.6 g of a 45% strength by weight solution of sodium dodecylphenoxybenzenedisulfonate ( submitted Dowfax ® 2A1, Dow Chemicals) and 240.0 g maltodextrin (Fa. Cargill MD 09015 ®) and 7.8 g of a 7 wt .-% solution of sodium peroxodisulfate. Via a controlled, external oil bath, the reaction vessel was heated to 93 ° C. with stirring. After reaching the temperature, a previously prepared monomer emulsion consisting of 267.2 g of deionized water, 11.2 g of a 15 wt .-% solution of sodium lauryl sulfate (Disponil ® SDS 15, Cognis), 4 g of a 45 wt .-% Solution of Dodecylphenoxybenzoldisulfonsäure sodium salt (Dowfax ® 2A1, Dow Chemicals), 6 g of a 10 wt .-% solution of sodium hydroxide, 18 g of acrylic acid, 84 g of styrene, 414 g of n-butyl acrylate and 84 g of acrylonitrile dosed evenly over 2 hours , In parallel, 34.8 g of a 2.5 wt .-% solution of sodium peroxydisulfate were added within 2.5 hours. The batch was stirred while maintaining the temperature for a further 45 minutes. Subsequently, 46.8 g of a 10% by weight solution of sodium hydroxide were added and the reaction contents were cooled to 60 ° C. Subsequently, two feeds were in parallel consisting of a) 30 g of a 2 wt .-% solution of tert-butyl hydroperoxide and b) 55.6 g of deionized water with 16.4 g of a 13 wt .-% solution containing the addition product of 2, 67 g of sodium disulfite and 1.62 g of acetone added within 30 minutes. The reactor contents were cooled to room temperature.
Erhalten wurde eine praktisch koagulatfreie Polymerdispersion mit einem Feststoffgehalt von 29,3 Gew.%, einem pH-Wert von 6,1. Das Polymer wies eine über DSC gemessene Glasübergangstemperatur von +5°C auf. Die durch dynamische Lichstreuung (Malvern HPPS) gemessene Teilchengröße betrug 149 nm.A practically coagulate-free polymer dispersion having a solids content of 29.3% by weight, a pH of 6.1, was obtained. The polymer had a DSC measured Glass transition temperature of + 5 ° C. The particle size measured by dynamic light scattering (Malvern HPPS) was 149 nm.
Aus 100% gemischtem Altpapier wurde eine 0,5 %ige wässrige Stoffsuspension hergestellt. Der pH-Wert der Suspension betrug 7,1, der Mahlgrad des Stoffs 50° Schopper-Riegler (°SR). Die Stoffsuspension wurde dann in acht gleiche Teile geteilt und in den Beispielen 1 bis 6 sowie in den Vergleichsbeispielen 1 und 2 unter den in den Beispielen und Vergleichsbeispielen jeweils angegebenen Bedingungen auf einem Rapid-Köthen-Blattbildner nach ISO 5269/2 zu Blättern einer Flächenmasse von 120 g/qm verarbeitet.From 100% mixed waste paper, a 0.5% aqueous pulp suspension was prepared. The pH of the suspension was 7.1, the freeness of the substance 50 ° Schopper-Riegler (° SR). The stock suspension was then divided into eight equal parts and in Examples 1 to 6 and in Comparative Examples 1 and 2 under the conditions specified in the Examples and Comparative Examples on a Rapid Köthen sheet former according to ISO 5269/2 to sheets of a basis weight of 120 gsm processed.
Die Temperatur der Paperstoffsuspension lag bei ca. 20 °C. Zu der Stoffsuspension gab man 0,25 % Polymer A (Polymer fest, bezogen auf trockenen Faserstoff). Nach einer Einwirkzeit von 5 Minuten wurde die Dispersion des anionischen Polymeren 1 um einen Faktor 10 verdünnt. Anschließend dosierte man die verdünnte Dispersion unter leichtem Rühren zu der Faserstoffsuspension. Die eingesetzte Menge des anionischen Polymeren 1 betrug 5 % (Polymer fest, bezogen auf trockenen Faserstoff). Nach einer Einwirkungszeit von 1 Minute wurden Blätter gebildet, die man anschließend 7 Minuten bei 90 °C trocknete.The temperature of the paper stock suspension was about 20 ° C. To the stock suspension was added 0.25% of polymer A (polymer, based on dry pulp). After a reaction time of 5 minutes, the dispersion of the anionic polymer 1 was diluted by a factor of 10. The diluted dispersion was then metered into the pulp suspension with gentle stirring. The amount of anionic polymer 1 used was 5% (polymer solid, based on dry pulp). After an exposure time of 1 minute leaves were formed, which were then dried at 90 ° C for 7 minutes.
Die Temperatur der Paperstoffsuspension lag bei ca. 20 °C. Zu der Stoffsuspension gab man 0,25 % Polymer B (Polymer fest, bezogen auf trockenen Faserstoff). Nach einer Einwirkzeit von 5 Minuten wurde die Dispersion des anionischen Polymeren 1 um einen Faktor 10 verdünnt. Anschließend dosierte man die verdünnte Dispersion unter leichtem Rühren zu der Faserstoffsuspension. Die eingesetzte Menge des anionischen Polymeren 1 betrug 5 % (Polymer fest, bezogen auf trockenen Faserstoff). Nach einer Einwirkungszeit von 1 Minute wurden Blätter gebildet, die man anschließend 7 Minuten bei 90 °C trocknete.The temperature of the paper stock suspension was about 20 ° C. 0.25% of polymer B (polymer, based on dry pulp) was added to the stock suspension. After a reaction time of 5 minutes, the dispersion of the anionic polymer 1 was diluted by a factor of 10. The diluted dispersion was then metered into the pulp suspension with gentle stirring. The amount of anionic polymer 1 used was 5% (polymer solid, based on dry pulp). After an exposure time of 1 minute leaves were formed, which were then dried at 90 ° C for 7 minutes.
Beispiel 3 wurde analog zu Beispiel 2 durchgeführt, jedoch wurde das anionsche Polymer 2 eingesetzt.Example 3 was carried out analogously to Example 2, but the anionic polymer 2 was used.
Beispiel 4 wurde analog zu Beispiel 2 durchgeführt, jedoch wurde das anionsche Polymer 3 eingesetzt.Example 4 was carried out analogously to Example 2, but the anionic polymer 3 was used.
Beispiel 5 wurde analog zu Beispiel 2 durchgeführt, jedoch wurde das anionsche Polymer 4 eingesetzt.Example 5 was carried out analogously to Example 2, but the anionic polymer 4 was used.
Beispiel 6 wurde analog zu Beispiel 2 durchgeführt, jedoch wurde das anionsche Polymer 5 eingesetzt.Example 6 was carried out analogously to Example 2, but the anionic polymer 5 was used.
Der Papierstoff wurde auf eine Temperatur von 50 °C erhitzt. Zu der so erhitzten Stoffsuspension gab man 0,25 % Polymer B (Polymer fest, bezogen auf trockenen Faserstoff). Nach einer Einwirkzeit von 5 Minuten wurde die Dispersion eines anionischen Acrylatharzes (Feststoffgehalt 50 %) erhältlich durch die Suspensionspolymerisation von 68 mol-% n-Butylacrylat, 14 mol-% Styrol, 14 mol-% Acrylnitril und 4 mol-% Acrylsäure um einen Faktor 10 verdünnt. Die mittlere Teilchengröße der dispergierten Polymerteilchen betrug 192 nm. Anschließend dosierte man die verdünnte Dispersion unter leichtem Rühren zu der auf 50 °C erhitzten Faserstoffsuspension. Die eingesetzte Acrylatharzmenge betrugt 5 % (Polymer fest, bezogen auf trockenen Faserstoff). Nach einer Einwirkungszeit von 1 Minute wurden Blätter gebildet, die man anschließend 7 Minuten bei 90 °C trocknete.The stock was heated to a temperature of 50 ° C. To the thus heated stock suspension was added 0.25% of polymer B (polymer, based on dry pulp). After a reaction time of 5 minutes, the dispersion of an anionic acrylate resin (solid content 50%) obtainable by the suspension polymerization of 68 mol% of n-butyl acrylate, 14 mol% of styrene, 14 mol% of acrylonitrile and 4 mol% of acrylic acid was increased by a factor 10 diluted. The mean particle size of the dispersed polymer particles was 192 nm. Subsequently, the dilute dispersion was metered into the pulp suspension heated to 50 ° C. with gentle stirring. The amount of acrylate used was 5% (polymer solid, based on dry pulp). After an exposure time of 1 minute leaves were formed, which were then dried at 90 ° C for 7 minutes.
Aus der oben beschriebenen Stoffsuspension, die eine Temperatur von 20 °C hatte, wurde ohne weitere Zusätze ein Blatt gebildet.From the stock suspension described above, which had a temperature of 20 ° C, a sheet was formed without further additions.
Nach einer Lagerzeit der nach den Beispielen 1 bis 6 und Vergleichsbeispielen 1 und 2 hergestellten Blätter im Klimaraum bei konstant 23 °C und 50 % Luftfeuchtigkeit für 12 Stunden wurde jeweils die Trockenreißlänge der Blätter nach DIN 54540 ermittelt. Die Bestimmung des CMT-Wertes der klimatisierten Blätter erfolgte nach DIN 53143, der Trockenberstdruck der Blätter wurde nach DIN 53141 ermittelt. Die Ergebnisse sind in Tabelle 1 angegeben.
Die Beispiele und Vergleichsbeispiele zeigen, dass die Blätter nach den Vergleichsbeispielen trotz geringeren Füllstoffgehalts schlechtere Festigkeitseigenschaften aufweisen. The examples and comparative examples show that the sheets according to the comparative examples have inferior strength properties despite lower filler content.
Claims (13)
- A process for the production of paper, board and cardboard having high dry strength by addition of a water-soluble cationic polymer and of an anionic polymer to a paper stock, draining of the paper stock and drying of the paper products, wherein an aqueous dispersion of at least one anionic latex and at least one degraded starch which has an average molecular weight Mw of from 1000 to 65 000 g/mol is used as the anionic polymer.
- The process according to claim 1, wherein the molar mass Mw of the cationic polymers is in the range from 5000 to 5 million g/mol.
- The process according to claim 1 or 2, wherein the charge densities of the cationic polymers are in the range from 0.5 to 23 meq/g of polymer.
- The process according to any of the preceding claims, wherein the water-soluble cationic polymer used is a polymer having vinylamine units.
- The process according to any of claims 1 to 4, wherein the anionic latices consist ofa) styrene and/or acrylonitrile or methacrylonitrile,b) acrylates and/or methacrylates of C1- to C10-alcohols and optionallyc) acrylic acids, methacrylic acid, maleic acid and/or itaconic acid.
- The process according to claim 5, wherein the anionic latices consist of 2 - 20% by weight of styrene, 2 - 20% by weight of acrylonitrile, 60 - 95% by weight of C1-C4-alkyl acrylates and 0 - 5% by weight of acrylic acid.
- The process according to any of claims 1 to 4, wherein the anionic latex comprises at least one monomer comprising phosphonic and/or phosphoric acid groups, incorporated in the form of polymerized units.
- The process according to claim 7, wherein monomers which comprise phosphoric acid groups and are obtainable by esterification of monoethylenically unsaturated C3-C8-carboxylic acids with optionally monoalkoxylated phosphoric acids of the general formula (VIII)
H-[X]n-P(O) (OH)2 (VIII)
where
X is a straight-chain or branched C2-C6-alkylene oxide unit and
n is an integer from 0 to 20,
are used. - The process according to claim 8, wherein monoalkoxylated phosphoric acids of the formula (VIII), where X is a straight-chain or branched C2-C3-alkylene oxide unit and n is an integer from 5 to 15 are used.
- The process according to claim 8, wherein the monoethylenically unsaturated C3-C8-carboxylic acid is acrylic acid, methacrylic acid, dimethylacrylic acid, methacrylic acid, maleic acid, citraconic acid, methylenemalonic acid, crotonic acid, fumaric acid, mesaconic acid and/or itaconic acid.
- The process according to any of claims 7 to 10, wherein the anionic latices consist of(1) styrene and/or acrylonitrile or methacrylonitrile,(2) acrylates and/or methacrylates of C1- to C10-alcohols and optionally(3) acrylic acid, methacrylic acid, maleic acid and/or itaconic acid and(4) (meth)acrylates of optionally monoalkoxylated phosphoric acids of the formula (VIII), where X and n have the abovementioned meaning.
- The process according to claim 11, wherein the anionic latices consist of 2 - 25% by weight of styrene, 2 - 25% by weight of acrylonitrile, 50 - 95% by weight of C1-C4-alkyl acrylates, 0 - 5% by weight of acrylic acid and 0.1 - 5% by weight of (meth)acrylates of monoalkoxylated phosphoric acids of the formula (VIII), where X is a propylene oxide unit and n is an integer from 5 to 15.
- The process according to claim 12, wherein the degraded starch is a maltodextrin.
Priority Applications (1)
| Application Number | Priority Date | Filing Date | Title |
|---|---|---|---|
| EP10703443A EP2393982B1 (en) | 2009-02-05 | 2010-02-04 | Method for producing paper, card and board with high dry strength |
Applications Claiming Priority (3)
| Application Number | Priority Date | Filing Date | Title |
|---|---|---|---|
| EP09152163 | 2009-02-05 | ||
| EP10703443A EP2393982B1 (en) | 2009-02-05 | 2010-02-04 | Method for producing paper, card and board with high dry strength |
| PCT/EP2010/051330 WO2010089334A1 (en) | 2009-02-05 | 2010-02-04 | Method for producing paper, card and board with high dry strength |
Publications (2)
| Publication Number | Publication Date |
|---|---|
| EP2393982A1 EP2393982A1 (en) | 2011-12-14 |
| EP2393982B1 true EP2393982B1 (en) | 2012-10-24 |
Family
ID=42077092
Family Applications (1)
| Application Number | Title | Priority Date | Filing Date |
|---|---|---|---|
| EP10703443A Not-in-force EP2393982B1 (en) | 2009-02-05 | 2010-02-04 | Method for producing paper, card and board with high dry strength |
Country Status (8)
| Country | Link |
|---|---|
| US (1) | US8529732B2 (en) |
| EP (1) | EP2393982B1 (en) |
| JP (1) | JP2012516950A (en) |
| CN (1) | CN102369323A (en) |
| CA (1) | CA2750671A1 (en) |
| ES (1) | ES2393909T3 (en) |
| PT (1) | PT2393982E (en) |
| WO (1) | WO2010089334A1 (en) |
Families Citing this family (12)
| Publication number | Priority date | Publication date | Assignee | Title |
|---|---|---|---|---|
| US8613834B2 (en) | 2008-04-03 | 2013-12-24 | Basf Se | Paper coating or binding formulations and methods of making and using same |
| EP2393982B1 (en) * | 2009-02-05 | 2012-10-24 | Basf Se | Method for producing paper, card and board with high dry strength |
| CN102666984A (en) | 2009-10-20 | 2012-09-12 | 巴斯夫欧洲公司 | Process for the manufacture of paper, board and cardboard with high dry strength |
| CN102947506A (en) * | 2010-05-17 | 2013-02-27 | 巴斯夫欧洲公司 | Method of making paper |
| US8916024B2 (en) | 2011-12-01 | 2014-12-23 | Buckman Laboratories International, Inc. | Method and system for producing market pulp and products thereof |
| CA2875659A1 (en) * | 2012-06-15 | 2013-12-19 | Nanopaper, Llc | Additives for papermaking |
| CN104452455B (en) | 2013-09-12 | 2019-04-05 | 艺康美国股份有限公司 | The method that paper making auxiliary agent composition and increase are stayed at paper ash code insurance |
| CN104452463B (en) | 2013-09-12 | 2017-01-04 | 艺康美国股份有限公司 | Papermaking process and compositions |
| EP3122937B1 (en) * | 2014-03-28 | 2019-01-02 | Basf Se | Method for producing corrugated cardboard |
| FI127348B (en) * | 2014-08-18 | 2018-04-13 | Kemira Oyj | Strengthener, its use and a method for increasing the strength properties of paper |
| WO2017057239A1 (en) * | 2015-09-30 | 2017-04-06 | 富士フイルム株式会社 | Paper medium for image recording, production method for same, and image recording method |
| CN119736814B (en) * | 2025-03-06 | 2025-05-02 | 浙江九本环保技术有限公司 | Emulsion type anion dry strength agent for papermaking and preparation method thereof |
Family Cites Families (36)
| Publication number | Priority date | Publication date | Assignee | Title |
|---|---|---|---|---|
| US4121966A (en) * | 1975-02-13 | 1978-10-24 | Mitsubishi Paper Mills, Ltd. | Method for producing fibrous sheet |
| US4263094A (en) * | 1978-05-22 | 1981-04-21 | Basf Wyandotte Corporation | Polyester-starch sized paper, sizing composition, and process therefor |
| US4445970A (en) * | 1980-10-22 | 1984-05-01 | Penntech Papers, Inc. | High mineral composite fine paper |
| DE3506832A1 (en) | 1985-02-27 | 1986-08-28 | Basf Ag, 6700 Ludwigshafen | METHOD FOR PRODUCING PAPER WITH HIGH DRY RESISTANCE |
| GB8531558D0 (en) * | 1985-12-21 | 1986-02-05 | Wiggins Teape Group Ltd | Loaded paper |
| DE3724646A1 (en) * | 1987-07-25 | 1989-02-02 | Basf Ag | METHOD FOR PRODUCING PAPER, CARDBOARD AND CARDBOARD WITH HIGH DRY RESISTANCE |
| DE4001808A1 (en) | 1990-01-23 | 1991-07-25 | Basf Ag | Water sol co-polymer for water treatment - from unsatd. carboxylic acid and vinyl:amide deriv. |
| DE4438708A1 (en) * | 1994-10-29 | 1996-05-02 | Basf Ag | Process for the cationic modification of starch and use of the cationically modified starch |
| FR2726828A1 (en) | 1994-11-10 | 1996-05-15 | Rohm & Haas France | DISPERSING ADDITIVES IMPROVING THE VISCOSITY INDEX FOR LUBRICATING OILS |
| DE4442498A1 (en) | 1994-11-30 | 1996-06-05 | Hochtief Ag Hoch Tiefbauten | Mobile concreting machine |
| DE19719059A1 (en) * | 1997-05-06 | 1998-11-12 | Basf Ag | Process for the production of paper, cardboard and cardboard |
| DE29719599U1 (en) | 1997-11-05 | 1997-12-18 | Pfankuch Maschinen GmbH, 22926 Ahrensburg | Packed with a hanger card |
| DE19850817A1 (en) * | 1998-11-04 | 2000-05-11 | Basf Ag | Modified cationic polymers, processes for their manufacture and their use in papermaking |
| NZ514892A (en) * | 1999-04-01 | 2003-08-29 | Basf Ag | Modifying starch with cationic polymers and use of the modified starches as dry-strength agent |
| DE19955804A1 (en) | 1999-11-19 | 2001-05-23 | Basf Ag | Process for the preparation of water-soluble polymers with oligoalkylenimine side chains |
| US6521088B1 (en) * | 1999-11-23 | 2003-02-18 | National Starch And Chemical Investment Holding Corporation | Degraded hydrophobic, particulate starches and their use in paper sizing |
| US6843888B2 (en) * | 2001-03-13 | 2005-01-18 | National Starch And Chemical Investment Holding Corporation | Starches for use in papermaking |
| US6710175B2 (en) * | 2001-08-31 | 2004-03-23 | Kevin Ray Anderson | Compositions suitable as additives in the paper industry, preparation; use; and, paper comprising such |
| DE60321329D1 (en) * | 2002-04-09 | 2008-07-10 | Fpinnovations | POPULAR STARCH LATEX COMPOSITIONS FOR USE IN PAPER MANUFACTURING |
| US20040118540A1 (en) | 2002-12-20 | 2004-06-24 | Kimberly-Clark Worlwide, Inc. | Bicomponent strengtheninig system for paper |
| DE102004013007A1 (en) * | 2004-03-16 | 2005-10-06 | Basf Ag | Process for the production of paper, cardboard and cardboard |
| DE102004056551A1 (en) * | 2004-11-23 | 2006-05-24 | Basf Ag | Process for the production of paper, cardboard and cardboard with high dry strength |
| CA2685377C (en) * | 2007-06-08 | 2014-05-27 | Fpinnovations | Latex-treated filler slurries for use in papermaking |
| US8227529B2 (en) | 2007-07-05 | 2012-07-24 | Basf Se | Aqueous slurries of finely divided fillers, a process for their preparation and their use for the production of papers having a high filler content and high dry strength |
| JP5284353B2 (en) | 2007-07-05 | 2013-09-11 | ビーエーエスエフ ソシエタス・ヨーロピア | Method for producing an aqueous slurry of fine-grain filler and its use for the production of paper with high filler content and high dry strength |
| JP2010533214A (en) | 2007-07-05 | 2010-10-21 | ビーエーエスエフ ソシエタス・ヨーロピア | Aqueous suspension of particulate filler, process for its production, and its use for producing paper with high filler content and high dry strength |
| JP2010532404A (en) | 2007-07-05 | 2010-10-07 | ビーエーエスエフ ソシエタス・ヨーロピア | Method for producing an aqueous slurry of fine filler and use of said aqueous slurry for producing paper with high filler content and high dry strength |
| WO2009043860A1 (en) | 2007-10-04 | 2009-04-09 | Basf Se | Amino alkyl vinyl ethers containing ethylene imine units, method for the production thereof, and the use thereof |
| WO2009080613A1 (en) | 2007-12-20 | 2009-07-02 | Basf Se | Graft polymers having oligoalkylene imine side chains, method for the production thereof, and use thereof |
| CN102027170B (en) | 2008-05-15 | 2012-11-21 | 巴斯夫欧洲公司 | Method for producing paper, paperboard and cardboard with a high dry strength |
| EP2304106B1 (en) | 2008-06-24 | 2018-09-12 | Basf Se | Production of paper |
| EP2297251A1 (en) | 2008-07-03 | 2011-03-23 | Basf Se | Aqueous suspensions of fine-particulate fillers, method for the manufacture thereof and use thereof for the manufacture of fluid-containing papers |
| BRPI0914101A8 (en) | 2008-07-03 | 2017-12-05 | Basf Se | AQUEOUS PASTE OF FINELY DIVIDED FILLERS, PROCESS FOR THE PREPARATION OF A AQUEOUS PASTE, AND USE OF AQUEOUS PASTES |
| TR201908012T4 (en) * | 2008-12-03 | 2019-06-21 | Omya Int Ag | Aqueous slurries of fine-grained fillers, method for its production and use for producing papers containing fillers. |
| EP2393982B1 (en) * | 2009-02-05 | 2012-10-24 | Basf Se | Method for producing paper, card and board with high dry strength |
| PL2556191T3 (en) * | 2010-04-07 | 2017-04-28 | Solenis Technologies Cayman, L.P. | Stable and aqueous compositions of polyvinylamines with catlonic starch, and utility for papermaking |
-
2010
- 2010-02-04 EP EP10703443A patent/EP2393982B1/en not_active Not-in-force
- 2010-02-04 PT PT107034431T patent/PT2393982E/en unknown
- 2010-02-04 JP JP2011548678A patent/JP2012516950A/en not_active Withdrawn
- 2010-02-04 CA CA2750671A patent/CA2750671A1/en not_active Abandoned
- 2010-02-04 CN CN2010800153806A patent/CN102369323A/en active Pending
- 2010-02-04 ES ES10703443T patent/ES2393909T3/en active Active
- 2010-02-04 WO PCT/EP2010/051330 patent/WO2010089334A1/en not_active Ceased
- 2010-02-04 US US13/147,623 patent/US8529732B2/en not_active Expired - Fee Related
Also Published As
| Publication number | Publication date |
|---|---|
| JP2012516950A (en) | 2012-07-26 |
| CA2750671A1 (en) | 2010-08-12 |
| US20110308752A1 (en) | 2011-12-22 |
| WO2010089334A1 (en) | 2010-08-12 |
| CN102369323A (en) | 2012-03-07 |
| US8529732B2 (en) | 2013-09-10 |
| PT2393982E (en) | 2012-12-06 |
| ES2393909T3 (en) | 2012-12-28 |
| EP2393982A1 (en) | 2011-12-14 |
Similar Documents
| Publication | Publication Date | Title |
|---|---|---|
| EP2491177B1 (en) | Process for fabricating paper, paperboard and cardboard with high wet strength | |
| EP2393982B1 (en) | Method for producing paper, card and board with high dry strength | |
| EP2288750B1 (en) | Method for producing paper, paperboard and cardboard with a high dry strength | |
| EP2443284B1 (en) | Method for increasing dry strength of paper, paperboard and cardboard | |
| EP2315875B1 (en) | Method for increasing the dry strength of paper, paperboard and cardboard | |
| EP2304106B1 (en) | Production of paper | |
| EP2164907B1 (en) | Aqueous suspensions of fine particulate fillers, method for producing the same and use thereof for producing papers having a high filler content and a high dry strength | |
| EP2373745B1 (en) | Aqueous suspensions of fine-particulate fillers, method for the manufacture thereof and use thereof for the manufacture of papers containing fillers | |
| EP2164906B1 (en) | Aqueous suspensions of fine particulate fillers, method for producing the same and use thereof for producing papers having a high filler content and a high dry strength | |
| DE3929226A1 (en) | NEUTRALIZER FOR RAW PAPER DIMENSIONS USING CATIONIC PLASTIC DISPERSIONS | |
| EP2443282A1 (en) | Method for reducing deposits in the drying section in the manufacture of paper, paperboard, and cardboard | |
| EP3332063B1 (en) | Method for producing paper | |
| EP2723943B1 (en) | Method for producing paper, paperboard, and cardboard | |
| EP3234259A1 (en) | Method for producing paper and cardboard | |
| EP3207178A1 (en) | Solidifying composition for paper and cardboard |
Legal Events
| Date | Code | Title | Description |
|---|---|---|---|
| PUAI | Public reference made under article 153(3) epc to a published international application that has entered the european phase |
Free format text: ORIGINAL CODE: 0009012 |
|
| 17P | Request for examination filed |
Effective date: 20110905 |
|
| AK | Designated contracting states |
Kind code of ref document: A1 Designated state(s): AT BE BG CH CY CZ DE DK EE ES FI FR GB GR HR HU IE IS IT LI LT LU LV MC MK MT NL NO PL PT RO SE SI SK SM TR |
|
| DAX | Request for extension of the european patent (deleted) | ||
| GRAP | Despatch of communication of intention to grant a patent |
Free format text: ORIGINAL CODE: EPIDOSNIGR1 |
|
| GRAS | Grant fee paid |
Free format text: ORIGINAL CODE: EPIDOSNIGR3 |
|
| GRAA | (expected) grant |
Free format text: ORIGINAL CODE: 0009210 |
|
| AK | Designated contracting states |
Kind code of ref document: B1 Designated state(s): AT BE BG CH CY CZ DE DK EE ES FI FR GB GR HR HU IE IS IT LI LT LU LV MC MK MT NL NO PL PT RO SE SI SK SM TR |
|
| REG | Reference to a national code |
Ref country code: GB Ref legal event code: FG4D Free format text: NOT ENGLISH |
|
| REG | Reference to a national code |
Ref country code: CH Ref legal event code: EP |
|
| REG | Reference to a national code |
Ref country code: AT Ref legal event code: REF Ref document number: 581035 Country of ref document: AT Kind code of ref document: T Effective date: 20121115 |
|
| REG | Reference to a national code |
Ref country code: IE Ref legal event code: FG4D Free format text: LANGUAGE OF EP DOCUMENT: GERMAN |
|
| REG | Reference to a national code |
Ref country code: PT Ref legal event code: SC4A Free format text: AVAILABILITY OF NATIONAL TRANSLATION Effective date: 20121120 |
|
| REG | Reference to a national code |
Ref country code: DE Ref legal event code: R096 Ref document number: 502010001505 Country of ref document: DE Effective date: 20121220 |
|
| REG | Reference to a national code |
Ref country code: ES Ref legal event code: FG2A Ref document number: 2393909 Country of ref document: ES Kind code of ref document: T3 Effective date: 20121228 |
|
| REG | Reference to a national code |
Ref country code: SE Ref legal event code: TRGR |
|
| REG | Reference to a national code |
Ref country code: NL Ref legal event code: T3 |
|
| PG25 | Lapsed in a contracting state [announced via postgrant information from national office to epo] |
Ref country code: IS Free format text: LAPSE BECAUSE OF FAILURE TO SUBMIT A TRANSLATION OF THE DESCRIPTION OR TO PAY THE FEE WITHIN THE PRESCRIBED TIME-LIMIT Effective date: 20130224 Ref country code: HR Free format text: LAPSE BECAUSE OF FAILURE TO SUBMIT A TRANSLATION OF THE DESCRIPTION OR TO PAY THE FEE WITHIN THE PRESCRIBED TIME-LIMIT Effective date: 20121024 Ref country code: NO Free format text: LAPSE BECAUSE OF FAILURE TO SUBMIT A TRANSLATION OF THE DESCRIPTION OR TO PAY THE FEE WITHIN THE PRESCRIBED TIME-LIMIT Effective date: 20130124 |
|
| PGFP | Annual fee paid to national office [announced via postgrant information from national office to epo] |
Ref country code: ES Payment date: 20130325 Year of fee payment: 4 Ref country code: CZ Payment date: 20130128 Year of fee payment: 4 Ref country code: SE Payment date: 20130228 Year of fee payment: 4 Ref country code: FR Payment date: 20130325 Year of fee payment: 4 Ref country code: FI Payment date: 20130221 Year of fee payment: 4 |
|
| PG25 | Lapsed in a contracting state [announced via postgrant information from national office to epo] |
Ref country code: LV Free format text: LAPSE BECAUSE OF FAILURE TO SUBMIT A TRANSLATION OF THE DESCRIPTION OR TO PAY THE FEE WITHIN THE PRESCRIBED TIME-LIMIT Effective date: 20121024 Ref country code: GR Free format text: LAPSE BECAUSE OF FAILURE TO SUBMIT A TRANSLATION OF THE DESCRIPTION OR TO PAY THE FEE WITHIN THE PRESCRIBED TIME-LIMIT Effective date: 20130125 Ref country code: SI Free format text: LAPSE BECAUSE OF FAILURE TO SUBMIT A TRANSLATION OF THE DESCRIPTION OR TO PAY THE FEE WITHIN THE PRESCRIBED TIME-LIMIT Effective date: 20121024 Ref country code: PL Free format text: LAPSE BECAUSE OF FAILURE TO SUBMIT A TRANSLATION OF THE DESCRIPTION OR TO PAY THE FEE WITHIN THE PRESCRIBED TIME-LIMIT Effective date: 20121024 |
|
| PGFP | Annual fee paid to national office [announced via postgrant information from national office to epo] |
Ref country code: NL Payment date: 20130222 Year of fee payment: 4 |
|
| PGFP | Annual fee paid to national office [announced via postgrant information from national office to epo] |
Ref country code: PT Payment date: 20130124 Year of fee payment: 4 |
|
| PG25 | Lapsed in a contracting state [announced via postgrant information from national office to epo] |
Ref country code: DK Free format text: LAPSE BECAUSE OF FAILURE TO SUBMIT A TRANSLATION OF THE DESCRIPTION OR TO PAY THE FEE WITHIN THE PRESCRIBED TIME-LIMIT Effective date: 20121024 Ref country code: BG Free format text: LAPSE BECAUSE OF FAILURE TO SUBMIT A TRANSLATION OF THE DESCRIPTION OR TO PAY THE FEE WITHIN THE PRESCRIBED TIME-LIMIT Effective date: 20130124 Ref country code: SK Free format text: LAPSE BECAUSE OF FAILURE TO SUBMIT A TRANSLATION OF THE DESCRIPTION OR TO PAY THE FEE WITHIN THE PRESCRIBED TIME-LIMIT Effective date: 20121024 Ref country code: EE Free format text: LAPSE BECAUSE OF FAILURE TO SUBMIT A TRANSLATION OF THE DESCRIPTION OR TO PAY THE FEE WITHIN THE PRESCRIBED TIME-LIMIT Effective date: 20121024 |
|
| PGFP | Annual fee paid to national office [announced via postgrant information from national office to epo] |
Ref country code: BE Payment date: 20130327 Year of fee payment: 4 |
|
| PG25 | Lapsed in a contracting state [announced via postgrant information from national office to epo] |
Ref country code: RO Free format text: LAPSE BECAUSE OF FAILURE TO SUBMIT A TRANSLATION OF THE DESCRIPTION OR TO PAY THE FEE WITHIN THE PRESCRIBED TIME-LIMIT Effective date: 20121024 |
|
| PLBE | No opposition filed within time limit |
Free format text: ORIGINAL CODE: 0009261 |
|
| STAA | Information on the status of an ep patent application or granted ep patent |
Free format text: STATUS: NO OPPOSITION FILED WITHIN TIME LIMIT |
|
| PG25 | Lapsed in a contracting state [announced via postgrant information from national office to epo] |
Ref country code: MC Free format text: LAPSE BECAUSE OF NON-PAYMENT OF DUE FEES Effective date: 20130228 |
|
| 26N | No opposition filed |
Effective date: 20130725 |
|
| REG | Reference to a national code |
Ref country code: DE Ref legal event code: R097 Ref document number: 502010001505 Country of ref document: DE Effective date: 20130725 |
|
| PG25 | Lapsed in a contracting state [announced via postgrant information from national office to epo] |
Ref country code: CY Free format text: LAPSE BECAUSE OF FAILURE TO SUBMIT A TRANSLATION OF THE DESCRIPTION OR TO PAY THE FEE WITHIN THE PRESCRIBED TIME-LIMIT Effective date: 20121024 |
|
| REG | Reference to a national code |
Ref country code: IE Ref legal event code: MM4A |
|
| PG25 | Lapsed in a contracting state [announced via postgrant information from national office to epo] |
Ref country code: IE Free format text: LAPSE BECAUSE OF NON-PAYMENT OF DUE FEES Effective date: 20130204 |
|
| PG25 | Lapsed in a contracting state [announced via postgrant information from national office to epo] |
Ref country code: LT Free format text: LAPSE BECAUSE OF FAILURE TO SUBMIT A TRANSLATION OF THE DESCRIPTION OR TO PAY THE FEE WITHIN THE PRESCRIBED TIME-LIMIT Effective date: 20121024 Ref country code: MT Free format text: LAPSE BECAUSE OF FAILURE TO SUBMIT A TRANSLATION OF THE DESCRIPTION OR TO PAY THE FEE WITHIN THE PRESCRIBED TIME-LIMIT Effective date: 20121024 |
|
| REG | Reference to a national code |
Ref country code: PT Ref legal event code: MM4A Free format text: LAPSE DUE TO NON-PAYMENT OF FEES Effective date: 20140804 |
|
| PGFP | Annual fee paid to national office [announced via postgrant information from national office to epo] |
Ref country code: DE Payment date: 20130429 Year of fee payment: 4 |
|
| BERE | Be: lapsed |
Owner name: BASF SE Effective date: 20140228 |
|
| REG | Reference to a national code |
Ref country code: DE Ref legal event code: R119 Ref document number: 502010001505 Country of ref document: DE |
|
| REG | Reference to a national code |
Ref country code: NL Ref legal event code: V1 Effective date: 20140901 |
|
| REG | Reference to a national code |
Ref country code: SE Ref legal event code: EUG Ref country code: CH Ref legal event code: PL |
|
| GBPC | Gb: european patent ceased through non-payment of renewal fee |
Effective date: 20140204 |
|
| PG25 | Lapsed in a contracting state [announced via postgrant information from national office to epo] |
Ref country code: LI Free format text: LAPSE BECAUSE OF NON-PAYMENT OF DUE FEES Effective date: 20140228 Ref country code: NL Free format text: LAPSE BECAUSE OF NON-PAYMENT OF DUE FEES Effective date: 20140901 Ref country code: CZ Free format text: LAPSE BECAUSE OF NON-PAYMENT OF DUE FEES Effective date: 20140204 Ref country code: CH Free format text: LAPSE BECAUSE OF NON-PAYMENT OF DUE FEES Effective date: 20140228 Ref country code: FI Free format text: LAPSE BECAUSE OF NON-PAYMENT OF DUE FEES Effective date: 20140204 |
|
| REG | Reference to a national code |
Ref country code: FR Ref legal event code: ST Effective date: 20141031 |
|
| PG25 | Lapsed in a contracting state [announced via postgrant information from national office to epo] |
Ref country code: SE Free format text: LAPSE BECAUSE OF NON-PAYMENT OF DUE FEES Effective date: 20140205 |
|
| REG | Reference to a national code |
Ref country code: DE Ref legal event code: R119 Ref document number: 502010001505 Country of ref document: DE Effective date: 20140902 |
|
| PG25 | Lapsed in a contracting state [announced via postgrant information from national office to epo] |
Ref country code: PT Free format text: LAPSE BECAUSE OF NON-PAYMENT OF DUE FEES Effective date: 20140804 |
|
| PG25 | Lapsed in a contracting state [announced via postgrant information from national office to epo] |
Ref country code: DE Free format text: LAPSE BECAUSE OF NON-PAYMENT OF DUE FEES Effective date: 20140902 Ref country code: BE Free format text: LAPSE BECAUSE OF NON-PAYMENT OF DUE FEES Effective date: 20140228 Ref country code: GB Free format text: LAPSE BECAUSE OF NON-PAYMENT OF DUE FEES Effective date: 20140204 Ref country code: FR Free format text: LAPSE BECAUSE OF NON-PAYMENT OF DUE FEES Effective date: 20140228 |
|
| REG | Reference to a national code |
Ref country code: ES Ref legal event code: FD2A Effective date: 20150527 |
|
| PG25 | Lapsed in a contracting state [announced via postgrant information from national office to epo] |
Ref country code: SM Free format text: LAPSE BECAUSE OF FAILURE TO SUBMIT A TRANSLATION OF THE DESCRIPTION OR TO PAY THE FEE WITHIN THE PRESCRIBED TIME-LIMIT Effective date: 20121024 |
|
| PG25 | Lapsed in a contracting state [announced via postgrant information from national office to epo] |
Ref country code: HU Free format text: LAPSE BECAUSE OF FAILURE TO SUBMIT A TRANSLATION OF THE DESCRIPTION OR TO PAY THE FEE WITHIN THE PRESCRIBED TIME-LIMIT; INVALID AB INITIO Effective date: 20100204 Ref country code: ES Free format text: LAPSE BECAUSE OF NON-PAYMENT OF DUE FEES Effective date: 20140205 Ref country code: LU Free format text: LAPSE BECAUSE OF NON-PAYMENT OF DUE FEES Effective date: 20130204 Ref country code: MK Free format text: LAPSE BECAUSE OF FAILURE TO SUBMIT A TRANSLATION OF THE DESCRIPTION OR TO PAY THE FEE WITHIN THE PRESCRIBED TIME-LIMIT Effective date: 20121024 |
|
| REG | Reference to a national code |
Ref country code: AT Ref legal event code: MM01 Ref document number: 581035 Country of ref document: AT Kind code of ref document: T Effective date: 20150204 |
|
| PG25 | Lapsed in a contracting state [announced via postgrant information from national office to epo] |
Ref country code: AT Free format text: LAPSE BECAUSE OF NON-PAYMENT OF DUE FEES Effective date: 20150204 |
|
| PG25 | Lapsed in a contracting state [announced via postgrant information from national office to epo] |
Ref country code: IT Free format text: LAPSE BECAUSE OF NON-PAYMENT OF DUE FEES Effective date: 20140204 |
|
| PG25 | Lapsed in a contracting state [announced via postgrant information from national office to epo] |
Ref country code: TR Free format text: LAPSE BECAUSE OF NON-PAYMENT OF DUE FEES Effective date: 20140204 |




