EP1865756A1 - Lighting system - Google Patents
Lighting system Download PDFInfo
- Publication number
- EP1865756A1 EP1865756A1 EP06388040A EP06388040A EP1865756A1 EP 1865756 A1 EP1865756 A1 EP 1865756A1 EP 06388040 A EP06388040 A EP 06388040A EP 06388040 A EP06388040 A EP 06388040A EP 1865756 A1 EP1865756 A1 EP 1865756A1
- Authority
- EP
- European Patent Office
- Prior art keywords
- monitoring unit
- time
- light sources
- time frame
- alert
- Prior art date
- Legal status (The legal status is an assumption and is not a legal conclusion. Google has not performed a legal analysis and makes no representation as to the accuracy of the status listed.)
- Withdrawn
Links
- 238000012544 monitoring process Methods 0.000 claims abstract description 368
- 238000004891 communication Methods 0.000 claims abstract description 99
- 230000004044 response Effects 0.000 claims abstract description 74
- 230000007547 defect Effects 0.000 claims description 63
- 238000005259 measurement Methods 0.000 claims description 59
- 238000000034 method Methods 0.000 claims description 44
- 230000008859 change Effects 0.000 claims description 26
- 230000002950 deficient Effects 0.000 claims description 23
- DGAQECJNVWCQMB-PUAWFVPOSA-M Ilexoside XXIX Chemical compound C[C@@H]1CC[C@@]2(CC[C@@]3(C(=CC[C@H]4[C@]3(CC[C@@H]5[C@@]4(CC[C@@H](C5(C)C)OS(=O)(=O)[O-])C)C)[C@@H]2[C@]1(C)O)C)C(=O)O[C@H]6[C@@H]([C@H]([C@@H]([C@H](O6)CO)O)O)O.[Na+] DGAQECJNVWCQMB-PUAWFVPOSA-M 0.000 claims description 9
- 238000005286 illumination Methods 0.000 claims description 9
- 229910052708 sodium Inorganic materials 0.000 claims description 9
- 239000011734 sodium Substances 0.000 claims description 9
- 229910052754 neon Inorganic materials 0.000 claims description 8
- GKAOGPIIYCISHV-UHFFFAOYSA-N neon atom Chemical compound [Ne] GKAOGPIIYCISHV-UHFFFAOYSA-N 0.000 claims description 8
- 230000001413 cellular effect Effects 0.000 claims description 7
- 238000010586 diagram Methods 0.000 description 35
- 238000006243 chemical reaction Methods 0.000 description 22
- 230000006870 function Effects 0.000 description 15
- 230000001276 controlling effect Effects 0.000 description 12
- 230000007257 malfunction Effects 0.000 description 11
- 238000001514 detection method Methods 0.000 description 6
- 230000003247 decreasing effect Effects 0.000 description 5
- 230000009471 action Effects 0.000 description 4
- 238000012423 maintenance Methods 0.000 description 4
- 238000004353 relayed correlation spectroscopy Methods 0.000 description 4
- 238000004088 simulation Methods 0.000 description 4
- 230000008901 benefit Effects 0.000 description 3
- 238000004364 calculation method Methods 0.000 description 3
- 239000003990 capacitor Substances 0.000 description 3
- 230000007423 decrease Effects 0.000 description 3
- 238000012546 transfer Methods 0.000 description 3
- XLYOFNOQVPJJNP-UHFFFAOYSA-N water Substances O XLYOFNOQVPJJNP-UHFFFAOYSA-N 0.000 description 3
- 238000001914 filtration Methods 0.000 description 2
- 230000008569 process Effects 0.000 description 2
- 230000036413 temperature sense Effects 0.000 description 2
- 241001481828 Glyptocephalus cynoglossus Species 0.000 description 1
- 101000746134 Homo sapiens DNA endonuclease RBBP8 Proteins 0.000 description 1
- 101000969031 Homo sapiens Nuclear protein 1 Proteins 0.000 description 1
- 241001465754 Metazoa Species 0.000 description 1
- 102100021133 Nuclear protein 1 Human genes 0.000 description 1
- 238000004458 analytical method Methods 0.000 description 1
- 230000005540 biological transmission Effects 0.000 description 1
- PZTQVMXMKVTIRC-UHFFFAOYSA-L chembl2028348 Chemical compound [Ca+2].[O-]S(=O)(=O)C1=CC(C)=CC=C1N=NC1=C(O)C(C([O-])=O)=CC2=CC=CC=C12 PZTQVMXMKVTIRC-UHFFFAOYSA-L 0.000 description 1
- 230000001010 compromised effect Effects 0.000 description 1
- 230000008878 coupling Effects 0.000 description 1
- 238000010168 coupling process Methods 0.000 description 1
- 238000005859 coupling reaction Methods 0.000 description 1
- 238000013461 design Methods 0.000 description 1
- VPWFPZBFBFHIIL-UHFFFAOYSA-L disodium 4-[(4-methyl-2-sulfophenyl)diazenyl]-3-oxidonaphthalene-2-carboxylate Chemical compound [Na+].[Na+].[O-]S(=O)(=O)C1=CC(C)=CC=C1N=NC1=C(O)C(C([O-])=O)=CC2=CC=CC=C12 VPWFPZBFBFHIIL-UHFFFAOYSA-L 0.000 description 1
- 238000009499 grossing Methods 0.000 description 1
- 230000000977 initiatory effect Effects 0.000 description 1
- 238000002955 isolation Methods 0.000 description 1
- 230000008635 plant growth Effects 0.000 description 1
- 230000001681 protective effect Effects 0.000 description 1
- KXXXUIKPSVVSAW-UHFFFAOYSA-K pyranine Chemical compound [Na+].[Na+].[Na+].C1=C2C(O)=CC(S([O-])(=O)=O)=C(C=C3)C2=C2C3=C(S([O-])(=O)=O)C=C(S([O-])(=O)=O)C2=C1 KXXXUIKPSVVSAW-UHFFFAOYSA-K 0.000 description 1
- 230000001105 regulatory effect Effects 0.000 description 1
- 238000012360 testing method Methods 0.000 description 1
- 230000001131 transforming effect Effects 0.000 description 1
- 238000011179 visual inspection Methods 0.000 description 1
Images
Classifications
-
- H—ELECTRICITY
- H05—ELECTRIC TECHNIQUES NOT OTHERWISE PROVIDED FOR
- H05B—ELECTRIC HEATING; ELECTRIC LIGHT SOURCES NOT OTHERWISE PROVIDED FOR; CIRCUIT ARRANGEMENTS FOR ELECTRIC LIGHT SOURCES, IN GENERAL
- H05B47/00—Circuit arrangements for operating light sources in general, i.e. where the type of light source is not relevant
- H05B47/20—Responsive to malfunctions or to light source life; for protection
- H05B47/21—Responsive to malfunctions or to light source life; for protection of two or more light sources connected in parallel
-
- H—ELECTRICITY
- H05—ELECTRIC TECHNIQUES NOT OTHERWISE PROVIDED FOR
- H05B—ELECTRIC HEATING; ELECTRIC LIGHT SOURCES NOT OTHERWISE PROVIDED FOR; CIRCUIT ARRANGEMENTS FOR ELECTRIC LIGHT SOURCES, IN GENERAL
- H05B47/00—Circuit arrangements for operating light sources in general, i.e. where the type of light source is not relevant
- H05B47/20—Responsive to malfunctions or to light source life; for protection
-
- H—ELECTRICITY
- H05—ELECTRIC TECHNIQUES NOT OTHERWISE PROVIDED FOR
- H05B—ELECTRIC HEATING; ELECTRIC LIGHT SOURCES NOT OTHERWISE PROVIDED FOR; CIRCUIT ARRANGEMENTS FOR ELECTRIC LIGHT SOURCES, IN GENERAL
- H05B47/00—Circuit arrangements for operating light sources in general, i.e. where the type of light source is not relevant
- H05B47/20—Responsive to malfunctions or to light source life; for protection
- H05B47/21—Responsive to malfunctions or to light source life; for protection of two or more light sources connected in parallel
- H05B47/22—Responsive to malfunctions or to light source life; for protection of two or more light sources connected in parallel with communication between the lamps and a central unit
-
- H—ELECTRICITY
- H05—ELECTRIC TECHNIQUES NOT OTHERWISE PROVIDED FOR
- H05B—ELECTRIC HEATING; ELECTRIC LIGHT SOURCES NOT OTHERWISE PROVIDED FOR; CIRCUIT ARRANGEMENTS FOR ELECTRIC LIGHT SOURCES, IN GENERAL
- H05B47/00—Circuit arrangements for operating light sources in general, i.e. where the type of light source is not relevant
- H05B47/20—Responsive to malfunctions or to light source life; for protection
- H05B47/24—Circuit arrangements for protecting against overvoltage
-
- H—ELECTRICITY
- H05—ELECTRIC TECHNIQUES NOT OTHERWISE PROVIDED FOR
- H05B—ELECTRIC HEATING; ELECTRIC LIGHT SOURCES NOT OTHERWISE PROVIDED FOR; CIRCUIT ARRANGEMENTS FOR ELECTRIC LIGHT SOURCES, IN GENERAL
- H05B47/00—Circuit arrangements for operating light sources in general, i.e. where the type of light source is not relevant
- H05B47/20—Responsive to malfunctions or to light source life; for protection
- H05B47/25—Circuit arrangements for protecting against overcurrent
Definitions
- the invention relates to a lighting system, and in particular to a road lighting system suitable for use where access to the lights is difficult or dangerous.
- the invention relates to a lighting monitoring system and a method of controlling lighting.
- a road lighting system is known from the publication WO 02/067637 A1 .
- Reliable lighting at public places or in an environment where many people pass by or stay is also important for reasons of personal comfort and to avoid theft and attack in a else more dark environment. Accordingly, there is a also here a need to monitor and replace light sources when a significant number of them have failed or has a malfunction, e.g. provides too little light.
- the lamps used in lighting heads of conventional road lights and in public areas have a limited, and variable, life span so there is inevitably a trade-off between replacing failed lamps to maximise road-user and personal safety / comfort and minimising the number of maintenance actions required in order to minimise cost and disruption. It is a known and cumbersome practise that the number of failed lamps within a given stretch of motorway is determined by a manual visual inspection.
- lamp is taken to mean any lamp, bulb, fluorescent lamp, neon light, Hg lamp, sodium street lamp, light emitting diode or light emitting diodes light source or any other source or sources of light suitable for adequate illumination of areas, e.g. in the evening and/or during night hours.
- a first aspect of the present invention is a lighting system comprising:
- the monitoring unit further determining a first time difference between the first and second points of time, and determining a ratio of the load resistance change over time as the difference between the first and second load resistance divided by the determined time difference between the first and second points of time, and provided the ratio of the load resistance over time exceeds a second specific level the monitoring unit generating a second alert message and the communication unit of the monitoring unit sending the second alert message to the alert receiving unit, and the alert receiving unit further acting or alerting in response to the reception of the second alert message.
- the monitoring unit defining a third time frame and a third point of time during the third time frame, during the third time frame a third steady state situation for the plurality of light sources is achieved, the monitoring unit measuring at the third point of time a third voltage level by means of the voltage measuring circuit, the monitoring unit measuring at the third point of time a third current level by means of the current measuring circuit, the monitoring unit determining a first power level representing the power for the plurality of light sources being active during the third time frame based on the third voltage level and the third current level, the monitoring unit defining a fourth time frame and a fourth point of time during the fourth time frame, during the fourth time frame a fourth steady state situation for the plurality of light sources is achieved, the fourth time frame being defined to take place after the third time frame has expired, the monitoring unit measuring at the fourth point of time a fourth voltage level by means of the voltage measuring circuit, the monitoring unit measuring at the fourth point of time a fourth current level by means of the current measuring circuit, the monitoring unit determining a second
- the monitoring unit further determining a second time difference between the third and fourth points of time, and determining a ratio of the power level change over time as the difference between the first and second power levels divided by the determined time difference between the third and fourth points of time, and provided the ratio of the power levels over time exceeds a third specific level the monitoring unit generating a fourth alert message, the communication unit of the monitoring unit sending the fourth alert message to the alert receiving unit, and the alert receiving unit further acting or alerting in response to the reception of the fourth alert message.
- the first and second alert message each indicates one of following alert situations: one light source being defect or malfunctioning, two light sources being defect or malfunctioning, the plurality of light sources has a defect among some of them or being malfunctioning, the plurality of light sources being defect or being malfunctioning, or the supply line being defective.
- the third and fourth alert message each indicates one of following alert situations: one light source being defect or malfunctioning, two light sources being defect or malfunctioning, the plurality of light sources has a defect among some of them or being malfunctioning, the plurality of light sources being defect or being malfunctioning, the supply line being defective, or current running to ground.
- the first time frame being identical to the third time frame and the second point of time being identical to the fourth point of time.
- the electrical power being an AC power
- the first and second voltage level and the first and second current levels are substantially AC levels.
- the plurality of light sources being selected among a incandescent lamp, a bulb, a fluorescent lamp, a neon light, a Hg lamp, a sodium street lamp, a light emitting diode or a light emitting diodes light source and other sources of light suitable for illumination of areas.
- the first time frame representing a period of a learn session.
- the second time frame representing a period of an operating system with the possibility that one or more of the light sources being defective.
- the monitoring unit being a lighting controller, a street light station or a client.
- the alert receiving unit being a server.
- the alert receiving unit being cellular phone.
- the lighting system comprising two pairs of power supply lines and two of the voltage and current measurement circuits.
- the lighting system comprising three pairs of power supply lines and three of the voltage and current measurement circuits.
- the lighting system further comprising a plurality of the monitoring unit.
- the communication unit sending the alert messages through the pair of power supply lines.
- the communication unit sending the alert messages through means of a wireless communication, e.g. via GSM.
- the alert messages are textual messages, e.g. in the form of a SMS.
- the communication unit receiving commands through the pair of power supply lines.
- the commands being instruction to switch on or off the plurality of the light sources.
- the return line being common for two of the pair of power supply lines.
- the return line being common for three of the pair of power supply lines.
- the invention comprises a lighting monitoring system comprising:
- the monitoring unit further determining the time difference between the first and second points of time, and determining a ratio of the load resistance change over time as the difference between the first and second load resistance divided by the determined time difference between the first and second points of time, and provided the ratio of the load resistance over time exceeds a second specific level the monitoring unit generating a second alert message, the communication unit of the monitoring unit sending the second alert message to the alert receiving unit, and the alert receiving unit further acting or alerting in response to the reception of the second alert message.
- the monitoring unit defining a third time frame and a third point of time during the third time frame, during the third time frame a third steady state situation for the plurality of light sources is achieved, the monitoring unit measuring at the third point of time a third voltage level by means of the voltage measuring circuit, the monitoring unit measuring at the third point of time a third current level by means of the current measuring circuit, the monitoring unit determining a first power level representing the power for the plurality of light sources being active during the third time frame based on the third voltage level and the third current level, the monitoring unit defining a fourth time frame and a fourth point of time during the fourth time frame, during the fourth time frame a fourth steady state situation for the plurality of light sources is achieved, the fourth time frame being defined to take place after the third time frame has expired, the monitoring unit measuring at the fourth point of time a fourth voltage level by means of the voltage measuring circuit, the monitoring unit measuring at the fourth point of time a fourth current level by means of the current measuring circuit, the monitoring unit determining a second
- the monitoring unit further determining a second time difference between the third and fourth points of time, and determining a ratio of the power level change over time as the difference between the first and second power levels divided by the determined time difference between the third and fourth points of time, and provided the ratio of the power levels over time exceeds a third specific level the monitoring unit generating a fourth alert message, the communication unit of the monitoring unit sending the fourth alert message to the alert receiving unit, and the alert receiving unit further acting or alerting in response to the reception of the fourth alert message.
- the first and second alert message each indicates one of following alert situations: one light source being defect or malfunctioning, two light sources being defect or malfunctioning, the plurality of light sources has a defect among some of them or being malfunctioning, the plurality of light sources being defect or being malfunctioning, or the supply line being defective.
- the third and fourth alert message each indicates one of following alert situations: one light source being defect or malfunctioning, two light sources being defect or malfunctioning, the plurality of light sources has a defect among some of them or being malfunctioning, the plurality of light sources being defect or being malfunctioning, the supply line being defective, or current running to ground.
- the first time frame being identical to the third time frame and the second point of time being identical to the fourth point of time.
- the electrical power being an AC power
- the first and second voltage level and the first and second current levels being substantially AC levels.
- the plurality of light sources being selected among a incandescent lamp, a bulb, a fluorescent lamp, a neon light, a Hg lamp, a sodium street lamp, a light emitting diode or a light emitting diodes light source and other sources of light suitable for illumination of areas.
- the first time frame representing a period of a learn session.
- the second time frame representing a period of an operating system with the possibility that one or more of the light sources being defective.
- the monitoring unit being a lighting controller, a street light station or a client.
- the alert receiving unit being a server.
- the alert receiving unit being a cellular phone.
- the monitoring unit having two pairs of input connectors and two pairs of output connectors for connecting two pairs of power supply lines to respective two of the voltage and current measurement circuits.
- the monitoring unit having three pairs of input connectors and three pairs of output connectors for interconnecting three pairs of power supply lines to respective three of the voltage and current measurement circuits.
- the communication unit sending the alert messages through the pair of power supply lines.
- the communication unit sending the alert messages through means of a wireless communication, e.g. via GSM.
- the alert messages being textual messages, e.g. in the form of a SMS.
- the communication unit receiving commands through the pair of power supply lines.
- the received commands being instructions to switch on or off the plurality of the light sources.
- the invention comprising a method of controlling a lighting system comprising:
- the method further comprising determining by the monitoring unit the time difference between the first and second points of time, and determining a ratio of the load resistance change over time as the difference between the first and second load resistance divided by the determined time difference between the first and second points of time, and provided the ratio of the load resistance over time exceeds a second specific level generating by the monitoring unit a second alert message, sending by the communication unit the second alert message to the alert receiving unit, and the alert receiving unit further acting or alerting in response to the received second alert message.
- the method further comprising defining in the monitoring unit a third time frame and a third point of time during the third time frame, during the third time frame a third steady state situation for the plurality of light sources is achieved, measuring in the monitoring unit at the third point of time a third voltage level by means of the voltage measuring circuit, measuring in the monitoring unit at the third point of time a third current level by means of the current measuring circuit, determining in the monitoring unit a first power level representing the power for the plurality of light sources being active during the third time frame based on the third voltage level and the third current level, defining in the monitoring unit a fourth time frame and a fourth point of time during the fourth time frame, during the fourth time frame a fourth steady state situation for the plurality of light sources is achieved, the fourth time frame being defined to take place after the third time frame has expired, measuring in the monitoring unit at the fourth point of time a fourth voltage level by means of the voltage measuring circuit, measuring in the monitoring unit at the fourth point of time a fourth current level by means of
- the monitoring unit further determining a second time difference between the third and fourth points of time, and determining a ratio of the power level change over time as the difference between the first and second power levels divided by the determined time difference between the third and fourth points of time, and provided the ratio of the power levels over time exceeds a third specific level the monitoring unit generating a fourth alert message, the communication unit of the monitoring unit sending the fourth alert message to the alert receiving unit, and the alert receiving unit further acting or alerting in response to the reception of the fourth alert message.
- the first and second alert message each indicates one of following alert situations: one light source being defect or malfunctioning, two light sources being defect or malfunctioning, the plurality of light sources has a defect among some of them or being malfunctioning, the plurality of light sources being defect or being malfunctioning, or the supply line being defective.
- the third and fourth alert message each indicates one of following alert situations: one light source being defect or malfunctioning, two light sources being defect or malfunctioning, the plurality of light sources has a defect among some of them or being malfunctioning, the plurality of light sources being defect or being malfunctioning, the supply line being defective, or current running to ground.
- the first time frame being identical to the third time frame and the second point of time being identical to the fourth point of time.
- the electrical power being an AC power
- the measured first and second voltage level and the measured first and second current levels being substantially AC levels.
- the plurality of light sources being selected among a incandescent lamp, a bulb, a fluorescent lamp, a neon light, a Hg lamp, a sodium street lamp, a light emitting diode or a light emitting diodes light source and other sources of light suitable for illumination of areas.
- the first time frame representing a period of a learn session.
- the second time frame representing a period of an operating system with the possibility that one or more of the light sources being defective.
- the monitoring unit being a lighting controller, a street light station or a client.
- the alert receiving unit being a server.
- the alert receiving unit being a cellular phone.
- the method of controlling a lighting system applying two pairs of power supply lines and respective two of the voltage and current measurement circuits.
- the method of controlling a lighting system applying three pairs of power supply lines and respective three of the voltage and current measurement circuits.
- the method of controlling a lighting system applying a plurality of the monitoring unit applying a plurality of the monitoring unit.
- the method of controlling a lighting system sending by the communication unit the alert messages through the pair of power supply lines.
- the method of controlling a lighting system sending by the communication unit the alert messages through means of a wireless communication, e.g. via GSM.
- the alert messages being textual messages, e.g. in the form of a SMS.
- the method of controlling a lighting system receiving by the communication unit commands through the pair of power supply lines.
- the received commands being instructions to switch on or off the plurality of the light sources.
- the invention as will be discussed in the following may equally well be applied in an airport, e.g. for the lights on the runways or for the airport building.
- the invention may be applied for light-sources applied to lit up supermarket stores and storage areas as well. It may be applied for other building complexes such as apartments e.g. for staircases or other access areas, where for maintenance or for security reasons there is a need to know if a light source or more light sources has/have malfunction.
- an application of light sources may be diode lights in a green house use to enhance growth of plant, alternatively or additionally light of different wave length may be use to warm up the greenhouse. Furthermore light from various light source may also be applied to provide warm to animals e.g. in a farm.
- fig. 1 is a system overview of an alert receiving unit and three monitoring units and examples of the communication there between.
- the communication between the alert receiving unit and any monitoring unit is handled by means of a build in communication unit, e.g. a modem integral to the monitoring unit.
- the monitoring unit 30 is a device measuring on one, two or three 230V AC lines used for lighting, e.g. street light. It measures on the power line or lines, and can detect if one or more bulbs of e.g. the street light just has blown or e.g. was blown the day before.
- the monitoring unit 30 is measuring the voltage and current, and calculates the resistance on the one, two or three 230V AC lines, and the power used. In general, depending on the changes on the resistance and power over time, the monitoring unit 30 can detect if one or more bulbs has/have blown or is/are defective.
- the monitoring unit 30 is typical in Europe supplied by a 230V AC line, alternatively the monitoring unit 30 is in USA supplied by a 110V AC line.
- a communication unit e.g. a GSM modem is used. Data is send to a phone number predefined in the modem. It is also possible for the user to control the monitoring unit 30 through this data channel.
- An extra CAN port is added for service use. A technician can used this port instead of using the modem connection.
- the alert receiving unit may be a server and is denoted 40, whereas the three monitoring units each individually is denoted 30.
- the monitoring unit 30 may be seen as a client served by the server.
- the network of the alert receiving unit 40 and monitoring units 30 is build as a distributed master slave network with the server as master. However, this does mean that the slave or the monitoring unit 30 may perform their own task for longer periods without communicating with the master, server or the alert receiving unit. SMS messaging is e.g. chosen as communication form and/or medium.
- the monitoring units 30 each is provided with a communication unit 32 (see figure 2), which e.g. is a GSM modem.
- the communication unit 32 communicates, i.e. sends e.g. alert messages and receives commands through a pair of power supply lines 14, which supplies the monitoring unit 30 and on which lines the monitoring unit 30 measures the voltage across and current flowing through the lines.
- alert receiving unit 40 may be a server and the monitoring unit 30 may be a client.
- the alert receiving unit 40 communicating with a plurality of monitoring units 30 may be considered as a network.
- the monitoring unit or units 30 communicate(s) with the alert receiving unit 40, e.g. the server system through a protocol converter, i.e. the communication unit as denoted 32 in figure 2.
- the communication medium between the server system and the monitoring unit or units 30 is/are transparent, why a new communication medium easily can be implemented by simply exchanging the communication unit.
- the monitoring unit 30 communicates via a CAN network to the communication unit 32.
- the network is build as a distributed master slave network with the server as master and the client as the slave.
- SMS messaging is in a preferred embodiment of the invention chosen as communication medium, why the communication unit 32 is equipped with a GSM modem.
- the communication unit is transparent for the server, i.e. the alert receiving unit 40.
- the network is addressed with the actual phone number and the CAN ID for the unit.
- the protocol for the system implements the Physical Layer the Data Link Layer and the Application Layer.
- the other layers of the OSI model as well known in the art is not discussed for the application.
- the physical layer carrying the communication between the server 40 and the monitoring unit or monitoring units 30 is based on SMS messaging in the first generation of the system.
- the Data Link layer handles all acknowledging between the server 40 and the monitoring unit or monitoring units 30.
- All packages from the monitoring unit or monitoring units 30 to the server 40 need to be acknowledged by the server 40. If acknowledge has not been received in 2 minutes the package is transmitted once again. This is repeated 3 times before the package is flushed.
- the sending unit is responsible for retransmission and keeps track on the different acknowledges.
- All server requests initiates a response from the requested unit, why an acknowledge is not necessary.
- the server 40 also retransmits packages on no response 3 times with 2 minutes interval.
- the Application layer handles the protocol conversion from server messages to CAN packages and vice versa. This is done due to the fact that a CAN package only carries e.g. 8 bytes of data.
- All server messages is repacked in the communication unit 30 and in the receiving unit 40 or server 40.
- the application layer handles the address checking and generation when sending and receiving server messages.
- the communication unit 32 flushes messages from other phone numbers than these of the server system. Equally, all messages from the monitoring unit 32 is send to a specific phone number.
- All messages between the server 40 and the monitoring unit or monitoring units 30 are transferred as raw binary data or ASCII characters. All numbers is presented by means of little endian except timestamps or points of time, which is presented by means of big endian.
- a server message should not be deleted before an acknowledgement or a response has been received. If this ack or response has not been received within 2 minutes the server message is retransmitted.
- An alarm-message has priority over a response-message, therefore if an alarm occurs and response on a request is to be sent, the response is deleted and the alarm is transmitted instead. There are no message-queue, if a request-message is received before the last one is handled the last request is not processed.
- serv12 Set Power Thresholds Set alarm threshold for Power alarm serv13 Power Threshold Status Response on serv12 message including actual threshold.
- serv14 Communication Error Communication error sent from Communication Unit.
- serv15 Set watch intervals Message setting the ON/OFF intervals for the watch functionality.
- serv16 Watch Interval status Response on serv15 message including actual settings.
- serv17 Single Lamp Fail Send on single lamp fail occurrences
- Voltage Line Fault SERV19 & SERV11 Line voltage is low on the indicated line. Fault is only detected, if the line is detected active during the last Learn session. Message is only send on the first occurrence.
- a new measurement scenario is started after a Initiate Learn or a Reset Command. Message is acknowledged by the server.
- Light Sensor Fault SERV20 & SERV11 Light Sensor Fault is send when one of the following situations arises: 1. Light Sensor is ON - Output Voltage is OFF. 2. Light Sensor is OFF - Output Voltage is ON. Message is only send on the first occurrence.
- a new measurement scenario is started after a Initiate Learn or a Reset Command. Message is acknowledged by the server.
- a SERV14 message indicates that the module has detected several recurring SMS messages which is aborted before transmission. Module is probably defect and must be send to service. Operational Messages ON/OFF Relay SERV5 & SERV6 Command operating the ON/OFF relay. Relay is set according to command, but automatically turns OFF next time either the Light Sensor or the Watch turns lamps OFF. Status is responded as acknowledge. Watch Control SERV3 & SERV4 Command enabling/disabling the internal Watch steering. If Watch Steering is enabled the Watch relay is operated according to the actual time and the programmed ON/OFF times. Command is acknowledged with the actual status. Reset alarms SERV7 & SERV8 Resets the different alarm flags allowing the module to transmit a new alarm message when an alarm threshold is exceeded next time.
- Initiate Learn SERV9 & SERV10 Command initiates a learn-session forcing the module to use the actual situation as full load and to evaluate which lines is active. Lamps must be turned on during the Learn Session. When the learn-session ends the result is returned as acknowledge. The learn-session takes 30 minutes.
- Configuration Messages Set Power Thresholds SERV12 & SERV13 Used to program the threshold levels for detection of Single Lamp Fail and Multi Lamp Fail. Message is acknowledged with the programmed levels.
- Set Watch Intervals SERV15 & SERV16 Message used to program the ON and OFF times in the internal Watch. Command is acknowledged with the actual settings. Status Messages System status SERV1 & SERV2 System status message is used to poll the unit for the actual status just now. Response includes status for all inputs, outputs and calculations.
- Multilamp and singlelamp fails indicate that two or more light sources and one light source, respectively possibly have a fail.
- the communication between the alert receiving unit 40, e.g. the server and the monitoring unit 30, e.g. the client is implemented:
- ASCII IL - Encoding - > No alarm S > Single Lamp fail detected M > Multi Lamp Fail detected I1,I2,I3 2 Average RMS current value. Averaged over 30 sec. Binary - Range: 0 - 650A - Resolution: 0,01A - Presentation: unsigned 16 bit Amp with 2 decimal places little endian Example: - 6, 5A > 028Ah U1,U2,U3 2 Average RMS voltage value. Averaged over 30 sec. Binary - Range: 0 - 650V - Resolution: 0,01 V - Presentation: unsigned 16 bit Volt with 2 decimal places little endian Example: - 225V -> 57E4h US1,US2 1 Learn Status per line - One character per line.
- ASCII US3 - encoding A - Line is Active I - Line is Inactive L - Line is in Learn Mode ULF1, 1 Voltage line fault indication. One byte per phase.
- ASCII ULF2, - Encoding: - > No alarm ULF3 A > line fault present LSS 1 Light sensor status.
- EXT_MSG -> Ack is lost Status is interfaced for SCADA system.
- EXT_MSG ⁇ - After 2 min. and still no ack, the status-sms is retransmitted. Acknowledge on serv2 message serv11 -> SMS to CAN conversion.
- EXT_MSG -> Unit #y returns Bay Status is interfaced for SCADA system.
- EXT_MSG ⁇ - Alarm occurs in unit #y and the response is dropped and alarm-sms is transmitted instead Acknowledge on serv8 message serv11 -> SMS to CAN conversion.
- EXT_MSG -> Unit #y returns Bay Status is interfaced for SCADA system.
- EXT_MSG ⁇ - status for server system. Acknowledge on serv2 message serv11 -> SMS to CAN conversion..
- Monitoring unit units 30 are registered manually at the server. Only the phone number and the CAN ID are used as the identification.
- fig. 2 is a block diagram of the monitoring unit. As can be seen in the figure the monitoring unit 30 is provided with a communication unit - denoted 32 - equipped with a GSM modem.
- one or more sets of power supply lines 14 is/are provided.
- three sets of AC power supply lines 14 are provided, denoted R, S and D.
- two sets of AC power supply lines 14 are provided or only one set of AC power supply lines 14 is provided.
- the corresponding common return line is not shown. It may alternatively be the case that the return line is not common, or it is common for two or three sets of power supply lines.
- the electrical power supply provides electrical power, e.g. 230 V or 110 VAC power to - as an exemplary embodiment to a string of 6 light sources 16, typically the light sources are connected in parallel along the pair of the two supply lines.
- any other connection e.g. a series connection of two or more light sources are equally well possible, moreover the series connection may be combined with one or more parallel couplings of light sources.
- the AC electrical power may alternatively be a DC power or a combination of the AC and the DC power.
- the monitoring unit 30 may be supplied with a light sensor which controls a relay to make it possible to switch on the light sources 16 during evening and night hours.
- fig. 3 is another block diagram of the monitoring unit.
- the monitoring unit 30 has a build in / integral communication unit 32 denoted "modem".
- the modem communicates with the monitoring unit 32 by means of a CAN bus as well known in the art.
- the modem 32 is provided with an internally generated 5 VDC of the monitoring unit 30.
- Figure 5 shows how the CAN bus is protected, e.g. against overvoltage.
- fig. 4 is a block diagram of a CAN bus connection of the monitoring unit. It shows a block diagram of the CAN bus connection of the monitoring unit 30.
- the protection circuit denoted “protection” can be seen in the next figure.
- the CAN bus connection is connected to the integral communication unit 32 denoted "modem” of the monitoring unit 30.
- Light diodes "3 x LED” are applied to show status information from the modem.
- the CAN block is used for converting data from a SPI bus to a CAN bus.
- the SPI bus is used for communication between the communication unit 32 , e.g. a modem and the CAN controller.
- a protection circuit must be placed on its outputs. This circuit must protect against incorrect wire connections, ESD and over current.
- fig. 5 is a diagram of protection of the CAN bus connector of the monitoring unit 30. The figure shows how the CAN bus of the monitoring unit 30 from figure 3 is protected. D25 and D26 each works as an over voltage protection in connection with the coil L5 on the CAN bus lines: CANH and CANL.
- the CAN connector is used for service purpose.
- the service employee can connect to this port, instead of communication to the monitoring unit 32 by using a GSM modem.
- CAN bus signals Before the CAN bus signal can be used, they have to be converted to logic level signals. A CAN driver may do this.
- a CAN controller To convert the CAN protocol to a SPI protocol, a CAN controller must be used. The CAN controller is supplied by the same 4VDC supply as the modem. This is done to ensure that the CAN controller and the Modems i/o's have the same voltage level. 5VDC supply the rest of the system.
- the modem is used for wireless communication between the monitoring unit 30 and the alert receiving unit 40, e.g. a GSM server.
- fig. 6 is a diagram of a modem of the monitoring unit.
- the modem 32 is an example of the communication unit of the monitoring unit 30.
- the circuit exemplifies how the applicant has implemented the modem 32, the chips in the middle of the figure has the function of an UART, which is well known in the art.
- the circuit consists of the following:
- the modem can be connected to connector J12.
- a connector J 8 is connected to the modem, and is used for debugging purpose.
- a CAN controller called MCP2515 from Microchip, is used for converting the SPI protocol to a CAN protocol.
- MCP2551 for level converting the CAN signals a driver called MCP2551, also from Microchip, is used. Because the signal RXCAN on the controller and the RXD on the driver isn't compatible, an AND gate is applied as a level converter. The two devices are not compatible since they are supplied at two different DC voltage levels.
- the SPI bus from the modem could be connected directly to the controller.
- the modem is connected to 3 different LED. They are used for indication. Two of the LED's are a double diode. It has a red and a green led. If both of the LED is turned on, the colour is yellow. The third LED is green, and is used for indicating when the modem is communicating, and is online. When the modem is online, the LED it turned on. When the modem is communicating, the LED is flashing.
- fig. 7 is a detailed block diagram of the monitoring unit.
- the monitoring unit 30 which is designed to measure on three pairs of the power supply lines 14, the monitoring unit 30 is thus provided with three sets of the current measurement circuit 36 and the voltage measurement circuit 34.
- Each set of a current measurement circuit 36 and a voltage measurement circuit 34 measures the current flowing to the light sources 16 and the voltages across the light sources 16, respectively.
- the I/O is used for connect to external signals.
- the following i/o's be available:
- the 4 - 20mA input is a temperature sense input, used for connecting an external temperature sensor.
- the temperature sensor is used for measuring the temperature inside the monitoring unit 30.
- the input signal has to be converted from a current signal to a voltage signal, before is can be used.
- the 230VAC input is used for detecting the status on a light detector.
- the light detector is used for detecting if the light source, e.g. the street light has to be turned on or off.
- the 230VAC input must be galvanic isolated from the rest of the electronics.
- 3 different analogue inputs must be available. These inputs must be able to measure on 3 x 0.4kV lines, in the interval 200VAC to 260VAC, with the resolution of 1mVAC. The inputs must be able to measure the phase on a voltage line, with the accuracy of ⁇ 200 ⁇ s.
- Each the inputs must be protected against ESD, and transformed to a lower voltage before it can be used.
- the 230VAC must also be galvanic isolated from the rest of the electronics.
- the AC signal must be send through a band pass filter, to correct the shape of the AC signal. This must be done, because the AC signal can contain a lot of harmonic noise.
- the AC signals must be sent through a band pass filter, to correct the shape of the AC signal. This must be done, because the AC signal can contain a lot of harmonic noise.
- the current measurements must have an accuracy of 1mAAC. The range must be from 30mAAC to 50AAC.
- a relay output must be available to activate or deactivate light source, e.g. the street light lamp.
- the relay is used for handling an external relay and must be able to handle 250VAC / 10A.
- 230VAC input PARAMETERS SYMBOL MIN TYP MAX UNITS Voltage V 230VAC 200 230 250 VAC ESD protection V ESD,230 - - 8 kV Frequency f 230 - 50 - Hz
- Relay output PARAMETERS SYMBOL MIN TYP MAX UNITS Voltage V Relay - 230 300 VAC Current l Relay - 10 12 AAC ESD protection V ESD,230 - - 8 kV
- fig. 8 is a temperature sensor input circuit of the monitoring unit.
- the monitoring unit 30 is provided with a temperature sensor, which can be seen in the figure.
- the 4 - 20 mA input is used for measuring the temperature using an external temperature sensor.
- the temperature sensor has to be placed inside the monitoring unit 30.
- the 5VDC output is used as supply for the temperature sensor. It is protected against over current by e.g. the 62mA fuse F4.
- the sense input is protected against wrong polarisation by using the diode D8.
- a current represents the temperature from 4mA to 20mA. This current is converted to a voltage so it's possible to measure the value with an Analogue to Digital Converter. A 5V supply is available for the temperature sensor. It can deliver 62mA.
- fig. 9 is a electrical power detection diagram of the monitoring unit.
- the monitoring unit 30 need know when there is electrical power provided. To this end the diagram shown is applied.
- the power is galvanic separated by means of the opto coupler D24. From D24 a digital signal "Dig input" is generated indicating whether or not 230 V AC electrical power is present.
- a circuit detecting 110 V AC e.g. for USA is possible to implement, e.g. by selecting for example a lower resistor value for R81 and/or another type for the opto coupler D24.
- the 230 VAC input is used for detecting the state on an external relay.
- the input is galvanic separated by an opto coupler.
- the opto coupler also works as a level converter.
- the 3 x 230 VAC inputs are used for measuring the voltage on e.g. 3 different street light voltage lines.
- Each of the 230VAC, zero and ground inputs is protected against spikes. If a spike larger than 4kV occurs between zero and ground, a protection circuit is protecting the inputs. The protection circuit is shown on the figure. If a spike larger than e.g. 4kV occurs, a spark will appear between the PCB tracks at the air gab and the resistor R59 then transfers it to ground. The air gab is drawn as two triangles with a rectangle between them on the schematic of the figure.
- the spark gab works as an over-voltage protection in connection with the fuse F1.
- fig. 10 is a diagram of the protection circuit for the electrical power supplied.
- the protection circuit may be used to individually protect the current measurement circuit 36 and the voltage measurement circuit 34 of figure 7.
- the two circuits 36 and 34 measure the current flowing to the light sources 16 and the voltages across the light sources 16, respectively.
- fig. 11 is a diagram of electrical power conversion into current and voltage signal levels.
- the lines “Current” and “Voltage” to the right in the figure is the result of the measurement of current and voltage by means of the current measurement circuit 36 and the voltage measurement circuit 34, respectively.
- These twp circuits are integral to the monitoring unit 30.
- the monitoring unit In case the monitoring unit is to measure on two pairs of power supply lines, it is provided with respective two current measurement circuits 36 and two voltage measurement circuits 34. Accordingly, as an alternative when the monitoring unit is to measure on three pairs of power supply lines it is provided with respective three current measurement circuits 36 and three voltage measurement circuits 34.
- the voltages of three supply lines - of three corresponding 230 V AC electrical power sources connected to the connector J13 - are converted to the lower AC voltages by means of three respective transformers or set of coils, L2, L3 and L4 respectively.
- three respective transformers or set of coils In series with the three respective transformers or set of coils is three respective over voltage protective circuits connected to a common ground or return line.
- each of the 230VAC inputs is converted to a lower voltage with e.g. a 19:1 transformer.
- the transformer is also used as a galvanic isolator.
- Each output on the secondary sides of the transformers has a protection diode to protect against voltage spikes.
- a capacitor is used for changing the DC offsets to 2,048V DC. This is done to generate a zero crossing value for all AC measurements.
- a multiplexer is used for selecting which input is being measured. The multiplexer has been selected in order to for minimising the amount of used components. In this way only one filter is needed for 3 voltage measurements, and accordingly only one AD converter is needed.
- fig. 12 is a diagram of band pass filter filtering the electrical power supplied.
- the voltage output on the multiplexer is connected to the band pass filter.
- the band pass filter is used to limit the input frequency band. This is done to remove unwanted frequency information from the input.
- fig. 13 is a schematic showing the band pass filter characteristic. Here the band pass filter characteristics from the foregoing figure is shown graphically.
- fig. 14 is a schematic showing a current transformer.
- the first configuration for the inductor, used for measuring the current was to use an inductor made on a flexible PCB, with a PCB layout as a Rogowski inductor known in the art.
- the applicant chose to drop the first configuration due to a large deviation in the measurement at the connection point between the edges of the PCB.
- the schematic shows the original layout.
- the inputs have a resistor in parallel.
- the resistor on each input is e.g. 0.5 ⁇ / 2W. This means that when the coil is measuring 10A, the voltage on the resistor is 50mV.
- a multiplexer is used for selecting which current input is being measured.
- the multiplexer is added for minimizing the amount of used components. This way only one filter is needed for all 3 current measurements, and only one AD converter is needed.
- the current output on the multiplexer is connected to a band pass filter.
- the band pass filter is used to limit the input frequency band. This is done to remove unwanted frequency information from the input.
- the output of the band pass filter is connected to an amplifier.
- the amplifier has two different gains. The first gain is 1.83, see figure 16 for the current filter with the low gain. The second gain is 11.83, see figure 17 for the current filter with the high gain. The gain can be selected on a multiplexer. These gain values is not calculated, but defined by testing. The amplifier is inserted to increase the resolution at lower current measurements.
- the filter is with the high gain.
- the gain difference between the two filters should be 6.45, according to the 3 resistors R17, R18 and R19 in the last gain shift.
- the simulations confirm that the gain difference is identical to the calculated.
- a MOSFET are used on each relay. This is done to operate the relays at TTL level.
- a 250V/10A fuse protects each of the outputs.
- fig. 19 is an AD converter block diagram.
- the AD converter is user for measuring the voltages and current. To make sure that the phase accuracy on a 50Hz voltage or current measurement 1 , the AD converter must be able to sample more than 5000 smpl/sec. The AD converter must be able to measure from the 3 voltage and the 3 current inputs. To read from the AD converter a SPI bus must be used. A controller handles the SPI bus.
- Analogue inputs PARAMETERS SYMBOL MIN TYP MAX UNITS Input voltage range Va,in 0 - V supply,5 V Input current la,in,max - - 1 mA
- SPI bus PARAMETERS SYMBOL MIN TYP MAX UNITS Voltage range V SPI 0 - V d V I/O current I SPI -10 - 10 mA
- fig. 20 is an AD converter circuit diagram. The figure is an implementation of the previous figure.
- a 16 bit AD converter with 2 inputs is chosen. An input is for the voltage measurement, and the other one is for the current measurement. Since the 3 current- and the 3 voltage measurements are multiplexed only 2 inputs is needed on the AD converter.
- the 16 bit AD converter can not meet the 1mVAC demands for the voltage resolutions it self. A gain shift has to be made, or an AD converter with a higher resolution has to be used.
- AD converter with a higher resolution could be chosen, but the 16bit is selected because of price and speed, and the voltage resolution is then compromised.
- fig. 21 is a controller block diagram.
- the controller equals the CPU shown in e.g. figure 3.
- the main CPU in the monitoring unit 30 handles all the digital and analogue I/O's and accordingly computes thereon.
- a PIC18F8585 micro controller from microchip is used. This is selected because of its high speed and large memory, and especially because it has a CAN bus. A controller with a fewer I/O's and a smaller memory may be used.
- fig. 22 is a diagram showing use of the controller. The figure is an implementation of the previous figure.
- a PIC18F8585 is chosen a controller. On the schematic above is written PIC18F8X20 but should read PIC18F8585.
- the reset circuit holds the reset input on the ⁇ Controller, until the digital power (+5) is stable.
- the LED D17 is turned off when the ⁇ Controller is being reset.
- the connector ICSP1 is used for debugging and programming the ⁇ Controller.
- System OK/Fail Red/Green (Double LED) 2.
- Light sensor Green 3.
- Time / Sensor Green 4.
- L1 Active Red 5.
- L2 Active Red 6.
- L3 Active Red 7.
- SMS Relay Green 8.
- Timer Relay Green
- the ⁇ Controller is measuring the voltage level on the output on the DC/DC converter, the +5V and +4V supply. This is done to be able to indicate if something is wrong with the supply.
- a temperature sensor (R52) is also mounted on the PCB. This is done to be able to measure the temperature in the box in which the monitoring unit is located.
- an output driver MCP2551 is used to communicate on the CAN bus. It is used for communication to the modem.
- An external CAN port is available on the connector J11. It may be used for service purpose.
- fig. 23 is a power supply block diagram.
- the supply and reference delivers supply voltages and references voltages.
- the input is protected against ESD, over current, over voltage and by a fuse.
- the 230VAC may be converted to 12VAC by a 38:1 transformer; this also works as a galvanic isolation.
- the AC is rectified to DC witch is converted to a 4VDC and 5VDC.
- the 4V DC is for the communication unit, e.g. the modem and the 5 VDC is for the rest of monitoring unit.
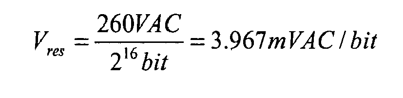
- the 4.096VDC reference is used because the ADC has a resolution of 2 16 bits (The reference must be dividable by 2 16 bits, to produce a simple LSB), which gives a LSB of 63 ⁇ V
- This reference is used to remove the negative part of the AC signal by creating a DC- offset. This is selected as the half of the 4.096V reference, which is 2.048V.
- fig. 24 is a diagram showing implementation of the power supply.
- the figure is an implementation of the previous figure.
- the monitoring unit is supplied by 230 VAC when implemented in most European countries. Alternatively, for the United States 230 VAC supply the monitoring unit.
- the supply input may have 4 different inputs:
- Zero 1 is the zero for the 230VAC supply.
- the zero 2 input is the zero line for the 3 x 230VAC inputs, connected to the transformers. Earth is used for protection. It is only used for protecting against voltage spikes higher than 4kV.
- a 1.6A fuse is connected in series with the phase, e.g. a power supply line.
- a resistor and a Varistor are used for protecting against higher voltages between the phase and zero, e.g. a power return line. If the input voltage gets too high, the resistance in the Varistor decreases and the input voltage on the transformer is limited.
- the transformer may be used for transforming the 230VAC voltage to a 6VAC voltage.
- the AC voltage is send through a rectifier, and 3 electrolytic capacitors are used for smoothing the ripple voltage.
- Two different voltage regulators are used for converting the rectified AC voltage into two different DC voltage supplies.
- the first voltage supply is a 5V DC supply.
- the other is a 4V Dc supply.
- the 5V Dc supply is used by the electronic in the monitoring unit.
- the 4V DC supply is used by the modem. Because the 4V DC supply has to be very stable, 4 electrolytic capacitors with a low ESR are used.
- a LM4120AIM5-4.1 U12
- U12 LM4120AIM5-4.1
- the system is using another reference voltage that is exact the half of this voltage. This voltage is generated by means of two identical resistors.
- a buffer B1 is used, to be able to deliver enough current on the output.
- An operational amplifier U4 is used for regulating the output buffer, because the input and output on the buffer, is not totally identical.
- the invention may be applied in a lighting monitoring system having two basic elements: the monitoring unit 30 and the alert receiving unit 40.
- the monitoring unit 30 has the build in communication unit 32, which transfers alerts via SMS to the alert receiving unit 40.
- the alert receiving unit 40 can transfer commands back to the monitoring unit 30 via the communication unit 32.
- the invention may also be applied in a bigger system - the lighting system - using the lighting monitoring system as discussed above.
- the lighting monitoring system is connected to one, two or three pairs of power supply line and to the plurality of light sources, which thereby may be monitored.
- the monitoring unit 30 has at least two pairs of connectors.
- the two pair of connectors constitutes a pair of input connectors and a pair of output connectors.
- a respective pair of power supply lines constituting a supply line and a return line may be connected to the pair of input connectors.
- the supply line provides 230 V AC, where the return line may be denoted 0 V AC.
- the monitoring unit 30 then is provided with four pairs of connectors.
- the four pair of connectors then constitutes two pair of input connectors and two pair of output connectors.
- a respective 230 V AC with its return line 0 V AC is connected to each pair of input connectors.
- the 230 V AC with its return line 0 V AC is connected to respective light sources.
- the light sources may be connected between the two phases or some of them between the first phase and a corresponding return line, and correspondingly other light sources being connected between the second phase and the return line associated with the second phase.
- the return line or the two return lines may be common for the two phases.
- the monitoring unit 30 then may be provided with six pairs of connectors.
- the six pair of connectors then constitutes three pair of input connectors and three pair of output connectors.
- To the three pair of the input connectors three respective set of 230 V AC with their return lines, 0 V AC are connected. Accordingly, from every of the three pair of output connectors the 230 V AC with its respective return line 0 V AC is connected to respective light sources.
- R denotes a supply line with it return line
- S and T each also denotes the respective supply line and return line.
- the three return lines may be common for the three supply lines.
- the applicant has provided the monitoring unit 30 with four input connectors for the three phases, 3 x 230 VAC and the common return line. Accordingly, the applicant has provided the monitoring unit 30 with output connectors for the three phases having the same common return line wired through the monitoring unit. It is hereby an advantage that a technician in the field can choose to apply one, two or three phases to the input connectors. Accordingly, one, two or three phases leaves the output connectors, which may be connected to a desired number of light sources, which are to be monitored by means of the monitoring unit.
- the monitoring unit 30 has a voltage measuring circuit 34 measuring the voltage, e.g. AC voltage across the pair of power supply lines connected to it. The measurement takes place either across the pair of input connectors or across the pair of output connectors used.
- a voltage measuring circuit 34 measuring the voltage, e.g. AC voltage across the pair of power supply lines connected to it. The measurement takes place either across the pair of input connectors or across the pair of output connectors used.
- the monitoring unit is provided with a current measuring circuit 36.
- the circuit measures the current flowing through the supply line or the return line in response to the electrical power, e.g. 230 V AC or 110 V AC, which is provided to the plurality of light sources connected to the output connectors.
- the monitoring unit has a microcontroller/ ⁇ Controller or a CPU.
- ⁇ controller or the CPU are discussed in terms of the monitoring unit, since the steps are perform within this unit.
- the monitoring unit controls the following steps aiming to detect whether light sources are defect::
- the monitoring unit defines a first time frame and a first point of time during the first time frame. Measurements during the first time frame are e.g. used for learning how the impedance, in particular the resistance is of the light sources. It is thus assumed that measurements during the first time frame represent the status of the light sources at that time. For example if all light sources at that time work properly, i.e. they all draw current to lit up, the status from the first time frame then represents a set of error free and properly working light sources. In practice the status for the light sources is obtained by measuring the voltage over the lines powering the light sources and the current flowing through the line. From these two factors, the total power consumption in the line may be determined. The power consumption can be separated into an active and reactive part, where the reactive part is an expression of the load of the light sources in terms of the resistance.
- the monitoring unit measures at the first point of time a first voltage level by means of the voltage measuring circuit and measures at the same point of time, i.e. at the first point of time a first current level by means of the current measuring circuit.
- the monitoring unit determines a first load resistance representing the active load resistance for the plurality of light sources being active, i.e. turned on during the first time frame of the learn session.
- the first load resistance is determined and based on the measured first voltage level and the measured first current level.
- the power consumption in terms of the current be separated into an active and reactive part, where the reactive part is an expression of the load of the light sources in terms of the first load resistance.
- the monitoring unit defines a second time frame and a second point of time during the second time frame in which measurements are to take place.
- Measurements during the second and later time frame are e.g. used for determining how the impedance, in particular the resistance is of the light sources - and possible also including the resistance of the connection between the light sources - when powered also in a steady state situation. It is assumed that measurements during the second time frame represent the status of the light sources at the time of an operating system, e.g. an operating lighting system.
- the status from the second time frame then represents a set working light sources having a faulty light source. Accordingly, more faulty light sources may be detected.
- the monitoring unit measures at the second point of time a second voltage level by means of the voltage measuring circuit as used before. Moreover, the monitoring unit measures at the second point of time a second current level by means of the current measuring circuit used to measure during the first time frame.
- the monitoring unit may determine a second load resistance representing the active load resistance for the plurality of light sources being powered and active during the second time frame.
- the second load resistance is based on the second voltage and current level.
- the monitoring unit has information about the first and second load resistance from the measured voltages and current, i.e. the load resistance from the learn session and another load resistance from the later period of the operating lighting system.
- the latter may have errors or defects on the light sources powered.
- the monitoring unit computes the difference between the first and second load resistance, and in case the difference exceeds a specific threshold, i.e. the difference is too big and thus could represent an increase in the load resistance between the two time frames, e.g. due to a non connected or blown bulb in a light source, the monitoring unit generates a first alert message. Subsequently, the monitoring unit sends or transmits e.g. by means of a SMS the first alert message through means of the communication unit to the alert receiving unit. For example if the difference exceeds a specific threshold, it may indicate an increased load resistance, it may be due to an open circuit and / or circuit parts leading to that too small current runs.
- the difference exceeds a specific threshold it may additionally be due to a poor connection to or among light sources, or du to that one, too, three, etc light sources do/does not draw current since it or they are burned off and/or has/have malfunction(s).
- the alert receiving unit acts, e.g. breaks a power line or more power lines and /or provides another alert message.
- the another alert message is e.g. provided by means of a pictogram indicating a malfunctioning light source or light sources, a text message or in the form of LEDS being powered, e.g. on a panel in which the LEDS are mounted close to a supporting text.
- alert messages each may indicate one of following alert situations: one light source being defect or malfunctioning, two light sources being defect or malfunctioning, the plurality of light sources has a defect among some of them or being malfunctioning, the plurality of light sources is defect or is malfunctioning, or the supply line or even the return line is somehow defective, e.g. wrongly connected or misconnected.
- the monitoring unit may further determine the time difference between the first and second point of time. This is used to determine the relative load resistance change over time, and is expressed as a ratio of the load resistance change over time. It is computed as the difference between the first and second load resistance divided by the determined time difference between the first and second point of time.
- the ratio of the load resistance change over time reveals as compared to difference between the first and second load resistance whether the load resistance changes rapidly up and down. Since the first and second load resistance in both cases expresses a steady state situation for the light sources a resistance change - in e.g. ohm/sec - for an increasing load resistance and a decreasing load resistance as well indicate a malfunction somehow among the light sources and/or in the circuitry and lines connecting the light sources.
- a rapidly decreasing load resistance may indicate a short circuit and / or that a current erroneously, e.g. due to moist, water, etc. runs to ground instead of running properly back in the return line from the supply line.
- a rapidly increasing load resistance could indicate that e.g. a circuit of the return line and the supply line somewhere has a burnt over connection, a burnt off igniter, poor or missing connection and / or that a filament of a bulb of a light source is off.
- the monitoring unit In all cases when the ratio of the load resistance over time exceeds a second specific level the monitoring unit then generates a second alert message.
- the communication unit e.g. the modem embedded in the monitoring unit sends the second alert message to the alert receiving unit.
- the alert receiving unit acts accordingly, i.e. it presents an alert or alarm or does something to avoid further errors, e.g. switches off a power line or power lines etc.
- the alert or alarm in the form of an alert message may e.g. be provided by means of a pictogram on a display or a screen, where the pictogram indicates a malfunctioning light source or light sources or a malfunctioning circuitry.
- the message is e.g. provided in the form of a text message or in the form of LEDS being powered.
- the method of controlling the lighting system or lighting monitoring system may perform the following steps:
- a set-up in the monitoring unit may be made to combine the computations which resulted in respective first, second and third alert messages, if e.g. all three are determined it may indicate severe faults in light sources powered.
- the method of controlling the lighting system or lighting monitoring system may further perform the following steps:
- the monitoring unit further determines a time difference between the third and fourth points of time, and then determines the ratio of the power level change over time as the difference between the above computed first and second power levels divided by the time difference between the third and fourth points of time, and in case the computed ratio of the power levels over time exceeds a third specific level the monitoring unit in turn generates a fourth alert message which message subsequently the communication unit of the monitoring unit sends to the alert receiving unit, and the alert receiving unit then further acts or alerts in response to its the reception of the fourth alert message.
- a rapidly increasing power level may indicate a short circuit and / or that a current erroneously, e.g. due to moist, water, etc. runs to ground instead of running properly back in the return line from the supply line, moreover the rapidly increasing power consumption may indicate that an active ballast or other circuitry controlling lamps or bulbs, etc attempts to counter react an decreasing voltage - measured by active ballast or other circuitry - by providing or allowing excessive currents to flow with the inevitable result that the power consumption is increased over time and also a total measure.
- the alert messages as discussed may each indicate one of following alert situations: one light source being defect or malfunctioning, two, three, four, etc light sources being defect or malfunctioning, said plurality of light sources has a defect among some of them or being malfunctioning, said plurality of light sources being defect or being malfunctioning, or said supply line being defective.
- the measurements taking place prior to the generation of the first, second, third and fourth alert message may be applied to detect the same types of malfunctions and/or defects.
- one of the four ways (with corresponding resulting first, second, third and fourth alert messages) of interpreting current and voltage data e.g. the load resistance change and the relative load resistance change (load resistance change over time) turns out to be the fastest or most reliable one to detect a certain malfunction or defect.
- the applicant over time compiles current and voltage data these data may be subject to advanced analyses in order to spot certain malfunctions or defects rather early in the data gathering process
- phase or supply line provides electrical power such as AC power, consequently the voltage levels being measured along with the current levels also being measured are substantially AC levels in terms of volt and amperes.
- the plurality of light sources or just a single light source is to be selected among a incandescent lamp, a bulb, a fluorescent lamp, a neon light, a Hg lamp, a sodium street lamp, a light emitting diode or a light emitting diodes light source and other sources of light suitable for illumination of areas.
- the monitoring unit in a street light application being, a street light station, alternatively a lighting controller or a client.
- the alert receiving unit may be a server or a cellular phone.
- the communication unit may transmit or send the discussed alert messages through means of the pair of power supply lines, e.g. by superimposing a communication signal in the sinus wave of 50 or 60 cycles per second.
- the communication unit may alternatively or additionally send the alert messages through means of a wireless communication, e.g. via a GSM network for example by means of textual messages, e.g. SMS messages.
- a wireless communication e.g. via a GSM network
- textual messages e.g. SMS messages.
- the communication unit may receive commands from the alert receiving unit through means of the one or two of the pair of power supply lines or by means of a textual message, e.g. a SMS message.
- a textual message e.g. a SMS message.
- the implemented way of communicating forth and back between the alert receiving unit and the monitoring unit is chosen to be identical.
- the commands may be instructions to the monitoring unit to switch on or off one, two, three, etc or all of the light sources connected to the monitoring unit.
- commands may be instructions to the monitoring unit to switch completely on or off one, two, three of the phases connected to light sources powered via the monitoring unit.
Landscapes
- Circuit Arrangement For Electric Light Sources In General (AREA)
Abstract
Description
- The invention relates to a lighting system, and in particular to a road lighting system suitable for use where access to the lights is difficult or dangerous.
- Moreover, the invention relates to a lighting monitoring system and a method of controlling lighting.
- A road lighting system is known from the publication
.WO 02/067637 A1 - Good, reliable lighting especially at and near road or street junctions is vital for improving road safety. Accordingly, there is a need to monitor and replace lamps when a significant number have failed.
- Reliable lighting at public places or in an environment where many people pass by or stay is also important for reasons of personal comfort and to avoid theft and attack in a else more dark environment. Accordingly, there is a also here a need to monitor and replace light sources when a significant number of them have failed or has a malfunction, e.g. provides too little light.
- The lamps used in lighting heads of conventional road lights and in public areas have a limited, and variable, life span so there is inevitably a trade-off between replacing failed lamps to maximise road-user and personal safety / comfort and minimising the number of maintenance actions required in order to minimise cost and disruption. It is a known and cumbersome practise that the number of failed lamps within a given stretch of motorway is determined by a manual visual inspection.
- As an example, many road lights are located in positions where it is difficult, dangerous or expensive to reach those lights. For example, lights located on the central reservation of motorways are difficult, dangerous and expensive to access, since extensive traffic management is required which can significantly disrupt normal traffic flow.
- Accordingly, there is a need to minimise the maintenance required for lighting at such locations at locations at public places as well. Furthermore, automatic detection of failure is more complicated than it might at first sight appear. Total failure of a light source may be relatively easy to detect if the light source then draws too little current, but even this is not a reliable measurement to detect the failure, since the light source may be packaged together with ballast, igniter and other controlling components. There are however other failure modes in which light source, e.g. a lamp still draws current but does not provide adequate illumination. For example, sodium street lamps can fail in such a way that they become so-called "red burners", that is lamps that continue to glow red and never warm up to glow bright orange- yellow. Lamps may also start to flicker, which also can be difficult to detect by means of a current measurement.
- Thus, there remains a need for a lighting system and method that can improve lighting reliability whilst keeping maintenance costs at as low a level as possible.
- The term lamp is taken to mean any lamp, bulb, fluorescent lamp, neon light, Hg lamp, sodium street lamp, light emitting diode or light emitting diodes light source or any other source or sources of light suitable for adequate illumination of areas, e.g. in the evening and/or during night hours.
- It is an object of the present invention to provide an alert in case that an increased or decreased load resistance is detected. Accordingly, it is an object of the present invention to provide an alert due to an open circuit and / or circuit parts leading to that either too small or too excessive current runs to light sources connected.
- It is an object of the present invention to provide an alert when a poor connection to or among light sources is detected.
- It is an object of the present invention to provide an alert when one, too, three, etc light sources do/does not draw current. E.g. too little current drawn could be caused if any of the light sources has burned off and/or has some malfunction.
- It is an object of the present invention to provide an alert when one or more light sources is/are defective or malfunctioning.
- It is an object of the present invention to provide an alert when the supply line powering the light source or light source is defective, e.g. due to a short circuit or due to that current erroneously runs to ground, e.g. due to moist or due to that water penetrated the system, e.g. into the electronic circuitry or between lines.
- It is an object of the present invention to provide an alert when the circuitry and/or the lines connecting the light sources has or have some defect.
- It is an object of the present invention to provide an alert when a circuit of the return line and the supply line somewhere has a burnt over connection, a burnt off igniter, a poor or a missing connection and in case when a filament of a bulb or of a light source is off.
- The above object, the above advantage, and the above feature together with numerous other objects, advantages, and features which will be evident from the below detailed description of the present invention and are in accordance with the teaching of the present invention obtained by the following three aspects of the invention, where a first aspect of the present invention is a lighting system comprising:
- a pair of power supply lines,
- a plurality of light sources connected to the pair of supply lines,
- a monitoring unit, and
- an alert receiving unit communicating with the monitoring unit,
- According to the first aspect of the present invention, the monitoring unit further determining a first time difference between the first and second points of time, and determining a ratio of the load resistance change over time as the difference between the first and second load resistance divided by the determined time difference between the first and second points of time, and provided the ratio of the load resistance over time exceeds a second specific level the monitoring unit generating a second alert message and the communication unit of the monitoring unit sending the second alert message to the alert receiving unit, and the alert receiving unit further acting or alerting in response to the reception of the second alert message.
- According to the first aspect of the present invention, the monitoring unit defining a third time frame and a third point of time during the third time frame, during the third time frame a third steady state situation for the plurality of light sources is achieved, the monitoring unit measuring at the third point of time a third voltage level by means of the voltage measuring circuit,
the monitoring unit measuring at the third point of time a third current level by means of the current measuring circuit,
the monitoring unit determining a first power level representing the power for the plurality of light sources being active during the third time frame based on the third voltage level and the third current level,
the monitoring unit defining a fourth time frame and a fourth point of time during the fourth time frame, during the fourth time frame a fourth steady state situation for the plurality of light sources is achieved, the fourth time frame being defined to take place after the third time frame has expired,
the monitoring unit measuring at the fourth point of time a fourth voltage level by means of the voltage measuring circuit,
the monitoring unit measuring at the fourth point of time a fourth current level by means of the current measuring circuit,
the monitoring unit determining a second power level representing the power for the plurality of light sources being active during the fourth time frame based on the fourth voltage level and the fourth current level,
the monitoring unit generating a third alert message provided a second alert criterion is also met as the difference between the first and second power levels exceeding a third specific threshold. - According to the first aspect of the present invention, the monitoring unit further determining a second time difference between the third and fourth points of time, and determining a ratio of the power level change over time as the difference between the first and second power levels divided by the determined time difference between the third and fourth points of time, and provided the ratio of the power levels over time exceeds a third specific level the monitoring unit generating a fourth alert message, the communication unit of the monitoring unit sending the fourth alert message to the alert receiving unit, and the alert receiving unit further acting or alerting in response to the reception of the fourth alert message.
- According to the first aspect of the present invention, the first and second alert message each indicates one of following alert situations: one light source being defect or malfunctioning, two light sources being defect or malfunctioning, the plurality of light sources has a defect among some of them or being malfunctioning, the plurality of light sources being defect or being malfunctioning, or the supply line being defective.
- According to the first aspect of the present invention, the third and fourth alert message each indicates one of following alert situations: one light source being defect or malfunctioning, two light sources being defect or malfunctioning, the plurality of light sources has a defect among some of them or being malfunctioning, the plurality of light sources being defect or being malfunctioning, the supply line being defective, or current running to ground.
- According to the first aspect of the present invention, the first time frame being identical to the third time frame and the second point of time being identical to the fourth point of time.
- According to the first aspect of the present invention, the electrical power being an AC power, the first and second voltage level and the first and second current levels are substantially AC levels.
- According to the first aspect of the present invention, the plurality of light sources being selected among a incandescent lamp, a bulb, a fluorescent lamp, a neon light, a Hg lamp, a sodium street lamp, a light emitting diode or a light emitting diodes light source and other sources of light suitable for illumination of areas.
- According to the first aspect of the present invention, the first time frame representing a period of a learn session.
- According to the first aspect of the present invention, the second time frame representing a period of an operating system with the possibility that one or more of the light sources being defective.
- According to the first aspect of the present invention, the monitoring unit being a lighting controller, a street light station or a client.
- According to the first aspect of the present invention, the alert receiving unit being a server.
- According to the first aspect of the present invention, the alert receiving unit being cellular phone.
- According to the first aspect of the present invention, the lighting system comprising two pairs of power supply lines and two of the voltage and current measurement circuits.
- According to the first aspect of the present invention, the lighting system comprising three pairs of power supply lines and three of the voltage and current measurement circuits.
- According to the first aspect of the present invention, the lighting system further comprising a plurality of the monitoring unit.
- According to the first aspect of the present invention, the communication unit sending the alert messages through the pair of power supply lines.
- According to the first aspect of the present invention, the communication unit sending the alert messages through means of a wireless communication, e.g. via GSM.
- According to the first aspect of the present invention, the alert messages are textual messages, e.g. in the form of a SMS.
- According to the first aspect of the present invention, the communication unit receiving commands through the pair of power supply lines.
- According to the first aspect of the present invention, the commands being instruction to switch on or off the plurality of the light sources.
- According to the first aspect of the present invention, the return line being common for two of the pair of power supply lines.
- According to the first aspect of the present invention, the return line being common for three of the pair of power supply lines.
- According to a second aspect of the present invention, the invention comprises a lighting monitoring system comprising:
- a monitoring unit and
- an alert receiving unit,
- the monitoring unit comprising a communication unit communicating with the alert receiving unit,
- According to the second aspect of the present invention, the monitoring unit further determining the time difference between the first and second points of time, and determining a ratio of the load resistance change over time as the difference between the first and second load resistance divided by the determined time difference between the first and second points of time, and provided the ratio of the load resistance over time exceeds a second specific level the monitoring unit generating a second alert message, the communication unit of the monitoring unit sending the second alert message to the alert receiving unit, and the alert receiving unit further acting or alerting in response to the reception of the second alert message.
- According to the second aspect of the present invention, the monitoring unit defining a third time frame and a third point of time during the third time frame, during the third time frame a third steady state situation for the plurality of light sources is achieved,
the monitoring unit measuring at the third point of time a third voltage level by means of the voltage measuring circuit,
the monitoring unit measuring at the third point of time a third current level by means of the current measuring circuit,
the monitoring unit determining a first power level representing the power for the plurality of light sources being active during the third time frame based on the third voltage level and the third current level,
the monitoring unit defining a fourth time frame and a fourth point of time during the fourth time frame, during the fourth time frame a fourth steady state situation for the plurality of light sources is achieved, the fourth time frame being defined to take place after the third time frame has expired,
the monitoring unit measuring at the fourth point of time a fourth voltage level by means of the voltage measuring circuit,
the monitoring unit measuring at the fourth point of time a fourth current level by means of the current measuring circuit,
the monitoring unit determining a second power level representing the power for the plurality of light sources being active during the fourth time frame based on the fourth voltage level and the fourth current level,
the monitoring unit generating a third alert message provided a second alert criterion is also met as the difference between the first and second power levels exceeding a third specific threshold. - According to the second aspect of the present invention, the monitoring unit further determining a second time difference between the third and fourth points of time, and determining a ratio of the power level change over time as the difference between the first and second power levels divided by the determined time difference between the third and fourth points of time, and provided the ratio of the power levels over time exceeds a third specific level the monitoring unit generating a fourth alert message, the communication unit of the monitoring unit sending the fourth alert message to the alert receiving unit, and the alert receiving unit further acting or alerting in response to the reception of the fourth alert message.
- According to the second aspect of the present invention, the first and second alert message each indicates one of following alert situations: one light source being defect or malfunctioning, two light sources being defect or malfunctioning, the plurality of light sources has a defect among some of them or being malfunctioning, the plurality of light sources being defect or being malfunctioning, or the supply line being defective.
- According to the second aspect of the present invention, the third and fourth alert message each indicates one of following alert situations: one light source being defect or malfunctioning, two light sources being defect or malfunctioning, the plurality of light sources has a defect among some of them or being malfunctioning, the plurality of light sources being defect or being malfunctioning, the supply line being defective, or current running to ground.
- According to the second aspect of the present invention, the first time frame being identical to the third time frame and the second point of time being identical to the fourth point of time.
- According to the second aspect of the present invention, the electrical power being an AC power, the first and second voltage level and the first and second current levels being substantially AC levels.
- According to the second aspect of the present invention, the plurality of light sources being selected among a incandescent lamp, a bulb, a fluorescent lamp, a neon light, a Hg lamp, a sodium street lamp, a light emitting diode or a light emitting diodes light source and other sources of light suitable for illumination of areas.
- According to the second aspect of the present invention, the first time frame representing a period of a learn session.
- According to the second aspect of the present invention, the second time frame representing a period of an operating system with the possibility that one or more of the light sources being defective.
- According to the second aspect of the present invention, the monitoring unit being a lighting controller, a street light station or a client.
- According to the second aspect of the present invention, the alert receiving unit being a server.
- According to the second aspect of the present invention, the alert receiving unit being a cellular phone.
- According to the second aspect of the present invention, the monitoring unit having two pairs of input connectors and two pairs of output connectors for connecting two pairs of power supply lines to respective two of the voltage and current measurement circuits.
- According to the second aspect of the present invention, the monitoring unit having three pairs of input connectors and three pairs of output connectors for interconnecting three pairs of power supply lines to respective three of the voltage and current measurement circuits.
- According to the second aspect of the present invention, the communication unit sending the alert messages through the pair of power supply lines.
- According to the second aspect of the present invention, the communication unit sending the alert messages through means of a wireless communication, e.g. via GSM.
- According to the second aspect of the present invention, the alert messages being textual messages, e.g. in the form of a SMS.
- According to the second aspect of the present invention, the communication unit receiving commands through the pair of power supply lines.
- According to the second aspect of the present invention, the received commands being instructions to switch on or off the plurality of the light sources.
- According to a third aspect of the present invention, the invention comprising a method of controlling a lighting system comprising:
- a pair of power supply lines,
- a plurality of light sources,
- a monitoring unit, and
- an alert receiving unit communicating with the monitoring unit, the method comprising the steps of:
- providing the pair of power supply lines constituting a supply line and a return line, connecting the supply line and the return line to the plurality of light sources through the monitoring unit,
- providing electrical power to the plurality of light sources by means of the pair of
- power supply lines,
- providing a voltage measuring circuit measuring the voltage across the pair of power supply lines in the monitoring unit,
- providing a current measuring circuit measuring the current flowing through the supply line or the return line in response to the electrical power provided to the plurality of light sources in the monitoring unit,
- defining in the monitoring unit a first time frame and a first point of time during the first time frame and achieving during the first time frame a first steady state situation for the plurality of light sources,
- measuring in the monitoring unit at the first point of time a first voltage level by means of the voltage measuring circuit,
- measuring in the monitoring unit at the first point of time a first current level by means of the current measuring circuit,
- determining in the monitoring unit a first load resistance representing the active load resistance for the plurality of light sources being active during the first time frame based on the measured first voltage level and the measured first current level, defining in the monitoring unit a second time frame and a second point of time during the second time frame, achieving during the second time frame a second steady state situation for the plurality of light sources, defining the second time frame being to take place after the first time frame has expired,
- measuring in the monitoring unit at the second point of time a second voltage level by means of the voltage measuring circuit,
- measuring in the monitoring unit at the second point of time a second current level by means of the current measuring circuit,
- determining in the monitoring unit a second load resistance representing the active load resistance for the plurality of light sources being active during the second time frame based on the measured second voltage level and the measured second current level,
- generating in the monitoring unit a first alert message provided the difference between the first and second load resistance exceeds a first specific threshold constituting a first alert criterion,
- providing in the monitoring unit a communication unit, and sending by means of the communication unit the first alert message to the alert receiving unit, and
- receiving in the alert receiving unit the first alert message and the alert receiving unit acting or alerting in response to the reception of the first alert message.
- According to the third aspect of the present invention, the method further comprising determining by the monitoring unit the time difference between the first and second points of time, and determining a ratio of the load resistance change over time as the difference between the first and second load resistance divided by the determined time difference between the first and second points of time, and provided the ratio of the load resistance over time exceeds a second specific level generating by the monitoring unit a second alert message, sending by the communication unit the second alert message to the alert receiving unit, and the alert receiving unit further acting or alerting in response to the received second alert message.
- According to the third aspect of the present invention, the method, further comprising defining in the monitoring unit a third time frame and a third point of time during the third time frame, during the third time frame a third steady state situation for the plurality of light sources is achieved,
measuring in the monitoring unit at the third point of time a third voltage level by means of the voltage measuring circuit,
measuring in the monitoring unit at the third point of time a third current level by means of the current measuring circuit,
determining in the monitoring unit a first power level representing the power for the plurality of light sources being active during the third time frame based on the third voltage level and the third current level,
defining in the monitoring unit a fourth time frame and a fourth point of time during the fourth time frame, during the fourth time frame a fourth steady state situation for the plurality of light sources is achieved, the fourth time frame being defined to take place after the third time frame has expired,
measuring in the monitoring unit at the fourth point of time a fourth voltage level by means of the voltage measuring circuit,
measuring in the monitoring unit at the fourth point of time a fourth current level by means of the current measuring circuit,
determining in the monitoring unit a second power level representing the power for the plurality of light sources being active during the fourth time frame based on the fourth voltage level and the fourth current level,
generating in the monitoring unit a third alert message provided a second alert criterion is also met as the difference between the first and second power levels exceeding a third specific threshold. - According to the third aspect of the present invention, the monitoring unit further determining a second time difference between the third and fourth points of time, and determining a ratio of the power level change over time as the difference between the first and second power levels divided by the determined time difference between the third and fourth points of time, and provided the ratio of the power levels over time exceeds a third specific level the monitoring unit generating a fourth alert message, the communication unit of the monitoring unit sending the fourth alert message to the alert receiving unit, and the alert receiving unit further acting or alerting in response to the reception of the fourth alert message.
- According to the third aspect of the present invention, the first and second alert message each indicates one of following alert situations: one light source being defect or malfunctioning, two light sources being defect or malfunctioning, the plurality of light sources has a defect among some of them or being malfunctioning, the plurality of light sources being defect or being malfunctioning, or the supply line being defective.
- According to the third aspect of the present invention, the third and fourth alert message each indicates one of following alert situations: one light source being defect or malfunctioning, two light sources being defect or malfunctioning, the plurality of light sources has a defect among some of them or being malfunctioning, the plurality of light sources being defect or being malfunctioning, the supply line being defective, or current running to ground.
- According to the third aspect of the present invention, the first time frame being identical to the third time frame and the second point of time being identical to the fourth point of time.
- According to the third aspect of the present invention, the electrical power being an AC power, the measured first and second voltage level and the measured first and second current levels being substantially AC levels.
- According to the third aspect of the present invention, the plurality of light sources being selected among a incandescent lamp, a bulb, a fluorescent lamp, a neon light, a Hg lamp, a sodium street lamp, a light emitting diode or a light emitting diodes light source and other sources of light suitable for illumination of areas.
- According to the third aspect of the present invention, the first time frame representing a period of a learn session.
- According to the third aspect of the present invention, the second time frame representing a period of an operating system with the possibility that one or more of the light sources being defective.
- According to the third aspect of the present invention, the monitoring unit being a lighting controller, a street light station or a client.
- According to the third aspect of the present invention, the alert receiving unit being a server.
- According to the third aspect of the present invention, the alert receiving unit being a cellular phone.
- According to the third aspect of the present invention, the method of controlling a lighting system applying two pairs of power supply lines and respective two of the voltage and current measurement circuits.
- According to the third aspect of the present invention, the method of controlling a lighting system applying three pairs of power supply lines and respective three of the voltage and current measurement circuits.
- According to the third aspect of the present invention, the method of controlling a lighting system applying a plurality of the monitoring unit.
- According to the third aspect of the present invention, the method of controlling a lighting system sending by the communication unit the alert messages through the pair of power supply lines.
- According to the third aspect of the present invention, the method of controlling a lighting system sending by the communication unit the alert messages through means of a wireless communication, e.g. via GSM.
- According to the third aspect of the present invention, the alert messages being textual messages, e.g. in the form of a SMS.
- According to the third aspect of the present invention, the method of controlling a lighting system receiving by the communication unit commands through the pair of power supply lines.
- According to the third aspect of the present invention, the received commands being instructions to switch on or off the plurality of the light sources.
- The invention will be explained in more detail below in connection with the preferred embodiments and with reference to the drawings, in which:
- fig. 1 is a system overview of an alert receiving unit and three monitoring units and examples of the communication there between,
- fig. 2 is a block diagram of the monitoring unit,
- fig. 3 is another block diagram of the monitoring unit,
- fig. 4 is a block diagram of a CAN bus connection of the monitoring unit,
- fig. 5 is a diagram of protection of the CAN bus connector of the monitoring unit,
- fig. 6 is a diagram of a modem of the monitoring unit,
- fig. 7 is a detailed block diagram of the monitoring unit,
- fig. 8 is a temperature sensor input circuit of the monitoring unit,
- fig. 9 is a electrical power detection diagram of the monitoring unit,
- fig. 10 is a diagram of the protection circuit for the electrical power supplied,
- fig. 11 is a diagram of electrical power conversion into current and voltage signal levels,
- fig. 12 is a diagram of band pass filter filtering the electrical power supplied,
- fig. 13 is a schematic showing the band pass filter characteristic,
- fig. 14 is a schematic showing a current transformer,
- fig. 15 is a schematic showing a current filter,
- fig. 16 is a schematic showing a current filter with low gain,
- fig. 17 is a schematic showing a current filter with high gain,
- fig. 18 is a schematic showing relay outputs,
- fig. 19 is an AD converter block diagram,
- fig. 20 is an AD converter circuit diagram,
- fig. 21 is a controller block diagram,
- fig. 22 is a diagram showing use of the controller,
- fig. 23 is a power supply block diagram, and
- fig. 24 is a diagram showing implementation of the power supply.
- Throughout the drawings, the same reference numerals indicate identical elements or components, In the present specification, components or elements identical to components or elements, respectively, described previously with reference to a preceding figure are designated the same reference numerals and components or elements differing from previously described components or elements, respectively, however serving the same overall purpose, are designated the same integer as the previously described component or element, however, added a marking for identifying the structural difference from the previously described component or element.
- The invention as will be discussed in the following may equally well be applied in an airport, e.g. for the lights on the runways or for the airport building. The invention may be applied for light-sources applied to lit up supermarket stores and storage areas as well. It may be applied for other building complexes such as apartments e.g. for staircases or other access areas, where for maintenance or for security reasons there is a need to know if a light source or more light sources has/have malfunction.
- Further example an application of light sources may be diode lights in a green house use to enhance growth of plant, alternatively or additionally light of different wave length may be use to warm up the greenhouse. Furthermore light from various light source may also be applied to provide warm to animals e.g. in a farm.
- fig. 1 is a system overview of an alert receiving unit and three monitoring units and examples of the communication there between.
- The communication between the alert receiving unit and any monitoring unit is handled by means of a build in communication unit, e.g. a modem integral to the monitoring unit.
- The
monitoring unit 30 is a device measuring on one, two or three 230V AC lines used for lighting, e.g. street light. It measures on the power line or lines, and can detect if one or more bulbs of e.g. the street light just has blown or e.g. was blown the day before. Themonitoring unit 30 is measuring the voltage and current, and calculates the resistance on the one, two or three 230V AC lines, and the power used. In general, depending on the changes on the resistance and power over time, themonitoring unit 30 can detect if one or more bulbs has/have blown or is/are defective. - The
monitoring unit 30 is typical in Europe supplied by a 230V AC line, alternatively themonitoring unit 30 is in USA supplied by a 110V AC line. To send or receive data from themonitoring unit 30, a communication unit (see figure 2), e.g. a GSM modem is used. Data is send to a phone number predefined in the modem. It is also possible for the user to control themonitoring unit 30 through this data channel. An extra CAN port is added for service use. A technician can used this port instead of using the modem connection. - The alert receiving unit may be a server and is denoted 40, whereas the three monitoring units each individually is denoted 30. In a client server relation the
monitoring unit 30 may be seen as a client served by the server. The network of thealert receiving unit 40 andmonitoring units 30 is build as a distributed master slave network with the server as master. However, this does mean that the slave or themonitoring unit 30 may perform their own task for longer periods without communicating with the master, server or the alert receiving unit. SMS messaging is e.g. chosen as communication form and/or medium. For these reasons themonitoring units 30 each is provided with a communication unit 32 (see figure 2), which e.g. is a GSM modem. Alternatively, thecommunication unit 32 communicates, i.e. sends e.g. alert messages and receives commands through a pair ofpower supply lines 14, which supplies themonitoring unit 30 and on which lines themonitoring unit 30 measures the voltage across and current flowing through the lines. - As discussed the
alert receiving unit 40 may be a server and themonitoring unit 30 may be a client. Thealert receiving unit 40 communicating with a plurality ofmonitoring units 30 may be considered as a network. - The monitoring unit or
units 30 communicate(s) with thealert receiving unit 40, e.g. the server system through a protocol converter, i.e. the communication unit as denoted 32 in figure 2. The communication medium between the server system and the monitoring unit orunits 30 is/are transparent, why a new communication medium easily can be implemented by simply exchanging the communication unit. Internally themonitoring unit 30 communicates via a CAN network to thecommunication unit 32. - The network is build as a distributed master slave network with the server as master and the client as the slave.
- SMS messaging is in a preferred embodiment of the invention chosen as communication medium, why the
communication unit 32 is equipped with a GSM modem. - The communication unit is transparent for the server, i.e. the
alert receiving unit 40. - The network is addressed with the actual phone number and the CAN ID for the unit.
- The protocol for the system implements the Physical Layer the Data Link Layer and the Application Layer. The other layers of the OSI model as well known in the art is not discussed for the application.
- The physical layer carrying the communication between the
server 40 and the monitoring unit ormonitoring units 30 is based on SMS messaging in the first generation of the system. - The Data Link layer handles all acknowledging between the
server 40 and the monitoring unit ormonitoring units 30. - All packages from the monitoring unit or
monitoring units 30 to theserver 40 need to be acknowledged by theserver 40. If acknowledge has not been received in 2 minutes the package is transmitted once again. This is repeated 3 times before the package is flushed. The sending unit is responsible for retransmission and keeps track on the different acknowledges. - All server requests initiates a response from the requested unit, why an acknowledge is not necessary. The
server 40 also retransmits packages on noresponse 3 times with 2 minutes interval. - The Application layer handles the protocol conversion from server messages to CAN packages and vice versa. This is done due to the fact that a CAN package only carries e.g. 8 bytes of data.
- All server messages is repacked in the
communication unit 30 and in the receivingunit 40 orserver 40. - The application layer handles the address checking and generation when sending and receiving server messages.
- Due to security reasons the
communication unit 32 flushes messages from other phone numbers than these of the server system. Equally, all messages from themonitoring unit 32 is send to a specific phone number. - It is possible to change the approved phone numbers via a TTY interface, through a GPRS channel and in some constellations through the CAN network.
- All messages between the
server 40 and the monitoring unit ormonitoring units 30 are transferred as raw binary data or ASCII characters. All numbers is presented by means of little endian except timestamps or points of time, which is presented by means of big endian. - Generally speaking a server message should not be deleted before an acknowledgement or a response has been received. If this ack or response has not been received within 2 minutes the server message is retransmitted. An alarm-message has priority over a response-message, therefore if an alarm occurs and response on a request is to be sent, the response is deleted and the alarm is transmitted instead. There are no message-queue, if a request-message is received before the last one is handled the last request is not processed.
- The following commands are applied:
Msg. type Description Description serv1 Get System status Request from server on system status. serv2 System status Response on serv1 message and alarm situations. serv3 Operate Watch Function Enabling/disabling of watch functionality. serv4 Watch status Response on serv3 message including watch status. serv5 Operate Output Enabling/disabling of ON/OFF relay. serv6 Output Status Response on serv5 message including relay status. serv7 Reset alarms Reset alarm flags. serv8 Alarms reset Response on serv7 message. serv9 Initiate Learn Initiate Learn function. serv10 Learn Result Response on serv9 message when learn situation has completed. serv11 Acknowledge Message Acknowledge message on messages without automatic response. serv12 Set Power Thresholds Set alarm threshold for Power alarm serv13 Power Threshold Status Response on serv12 message including actual threshold. serv14 Communication Error Communication error sent from Communication Unit. serv15 Set watch intervals Message setting the ON/OFF intervals for the watch functionality. serv16 Watch Interval status Response on serv15 message including actual settings. serv17 Single Lamp Fail Send on single lamp fail occurrences serv18 Multi Lamp Fail Send on multi lamp fail occurrences serv19 Voltage Line Fault Send on detection of low voltage on a active Line serv20 Light Sensor Fault Send on inconsistency between Light Sensor status an output voltage status. - In the following sections each command and use is described. The generic fields are described in the section after.
- In the following the most common communication scenarios is mentioned:
Usecase description Message Type Alarm Messages Single Lamp Fail SERV17 & SERV11 Module has detected a load loss bigger than the Single Lamp Threshold and smaller than the Multi Lamp Threshold. Message is only send on the first occurrence. A new measurement scenario is started after a Initiate Learn or a Reset command. Multi Lamp Fail also blocks for Single Lamp Fails until next Initiate Learn or Reset Command. Message is acknowledged by the server. Multi Lamp Fail SERV18 & SERV11 Module has detected an accumulated load loss bigger than the Multi Lamp Threshold. Message is only send on the first occurrence. A new measurement scenario is started after a Initiate Learn or a Reset Command. Message is acknowledged by the server. Voltage Line Fault SERV19 & SERV11 Line voltage is low on the indicated line. Fault is only detected, if the line is detected active during the last Learn session. Message is only send on the first occurrence. A new measurement scenario is started after a Initiate Learn or a Reset Command. Message is acknowledged by the server. Light Sensor Fault SERV20 & SERV11 Light Sensor Fault is send when one of the following situations arises: 1. Light Sensor is ON - Output Voltage is OFF. 2. Light Sensor is OFF - Output Voltage is ON. Message is only send on the first occurrence. A new measurement scenario is started after a Initiate Learn or a Reset Command. Message is acknowledged by the server. Communication Error SERV14 A SERV14 message indicates that the module has detected several recurring SMS messages which is aborted before transmission. Module is probably defect and must be send to service. Operational Messages ON/OFF Relay SERV5 & SERV6 Command operating the ON/OFF relay. Relay is set according to command, but automatically turns OFF next time either the Light Sensor or the Watch turns lamps OFF. Status is responded as acknowledge. Watch Control SERV3 & SERV4 Command enabling/disabling the internal Watch steering. If Watch Steering is enabled the Watch relay is operated according to the actual time and the programmed ON/OFF times. Command is acknowledged with the actual status. Reset alarms SERV7 & SERV8 Resets the different alarm flags allowing the module to transmit a new alarm message when an alarm threshold is exceeded next time. Initiate Learn SERV9 & SERV10 Command initiates a learn-session forcing the module to use the actual situation as full load and to evaluate which lines is active. Lamps must be turned on during the Learn Session. When the learn-session ends the result is returned as acknowledge. The learn-session takes 30 minutes. Configuration Messages Set Power Thresholds SERV12 & SERV13 Used to program the threshold levels for detection of Single Lamp Fail and Multi Lamp Fail. Message is acknowledged with the programmed levels. Set Watch Intervals SERV15 & SERV16 Message used to program the ON and OFF times in the internal Watch. Command is acknowledged with the actual settings. Status Messages System status SERV1 & SERV2 System status message is used to poll the unit for the actual status just now. Response includes status for all inputs, outputs and calculations. - Multilamp and singlelamp fails indicate that two or more light sources and one light source, respectively possibly have a fail.
- In the following is shown how the communication between the alert receiving
unit 40, e.g. the server and themonitoring unit 30, e.g. the client is implemented: - serv1: Get System Status
- Request from server to unit, which generates an serv2 message from unit as response.
-
Msg. no. Description Datafield serv1 Get System status <MSGIN> <EQTY> <DUMMY> <CANID> 01 h <MSG#> <SC> -
Example:Field Len (byte) Description Notation MSGIN 1 Message Indication. - encoding: ? > Request which requires response. ASCII EQTY CANID MSG# SC na Defined in Generic Field section na DUMMY 5 Dummy characters to place CAN ID as character number 13 in the message.na - Data on 8 bit PDU format:
- ?,741002,-----,04,01,0999,SC
- System status response on serv1 message or Alarm request.
-
Msg. no. Description Datafield serv2 System status <MSGIN> <EQTY> <DUMMY> <CANID> 02h <MSG#> <TS> <RS1> <RS2> <RS3> <RL1 > <RL2> <RL3> <PS1 > <PS2> <PS3> <PL1 > <PL2> <PL3> <PD1> <PD2> <PD3> <RD1 > <RD2> <RD3> <SINGLE_PWR> <MULTI_PWR> <LAMPFAIL> <I1> <I2> <I3> <U1> <U2> <U3> <US1> <US2> <US3> <ULF1> <ULF2> <ULF3> <LSS> <LSF> <SC> -
Scenario Description:Field Len (byte) Description Notation MSGlN 1 Message Indication. ASCII - encoding: ! > Alarm message. : > Response on message EQTY CANID MSG# SC na Defined in Generic Field section na DUMMY 5 Dummy characters to place CAN ID as character number 13 in the message.na TS 5 Timestamp for the enclosed alarm. Binary Timestamp on the following format YYMMDDHHMM Example: - kl. 21.27 d. 21/10-2003 > 030A15151Bh RS1, RS2 2 Average RMS resistance value. Binary RS3 & - Name: RSx - Resistance, short average time RL1 RLx - Resistance, long average time RL2,RL3 RDx - Resistance, delta value & RD1 - Range: 0 - 6500hm RD2, - Resolution: 0,01Ohm RD3 - Presentation: unsigned 16 bit Ohm with 2 decimal places little endian Example: - 26,45Ohm > OA55h PS1, PS2 2 Average Power value. Binary PS3 & - Name: PSx - Power, short average time PL1,PL2 PLx - Power, long average time PL3 & PDx - Power, delta value PD1,PD2 - Range: -32kW - +32kW PD3 - Resolution: 1W - Presentation: signed 16 bit Watt with 0 decimal places little endian Example: - 490W > 01EAh SINGLE - 1 Set thresholds for lamp fails. Binary PWR, - Range: 0 - 250 W MULTI_ - Resolution: 1W PWR - Presentation: unsigned 8 bit 1W 0 requests actual level without change Example: - 40W > 28h LAMPFA 1 Lamp Fail indication. ASCII IL - Encoding: - > No alarm S > Single Lamp fail detected M > Multi Lamp Fail detected I1,I2, I3 2 Average RMS current value. Averaged over 30 sec. Binary - Range: 0 - 650A - Resolution: 0,01A - Presentation: unsigned 16 bit Amp with 2 decimal places little endian Example: - 6, 5A > 028Ah U1,U2, U3 2 Average RMS voltage value. Averaged over 30 sec. Binary - Range: 0 - 650V - Resolution: 0,01 V - Presentation: unsigned 16 bit Volt with 2 decimal places little endian Example: - 225V -> 57E4h US1,US2 1 Learn Status per line - One character per line. ASCII US3 - encoding: A - Line is Active I - Line is Inactive L - Line is in Learn Mode ULF1, 1 Voltage line fault indication. One byte per phase. ASCII ULF2, - Encoding: - > No alarm ULF3 A > line fault present LSS 1 Light sensor status. ASCII - Encoding: A > Light sensor active I > Light sensor inactive LSF 1 Light sensor fault indication. ASCII - Encoding: - > No alarm A > Light sensor fault present
Request situation:SERVER -> serv1 -> UNIT <- serv2 <- - Use:
- Request from server to unit, which enables/disables Watch Functionality according to STATUS. Unit responds with serv4 message.
-
Msg. no. Description Datafield serv3 Operate Watch <MSGIN> <EQTY> <DUMMY> <CANID> 03h Function <MSG#> <STATUS> <SC> -
Scenario Description:Field Len (byte) Description Notation MSGIN 1 Message Indication. ASCII - encoding: ? > Request which requires response. EQTY CANID MSG# SC na Defined in Generic Field section na DUMMY 5 Dummy characters to place CAN ID as character number 13 in the message.na STATUS 1 Requested status. ASCII - encoding: E - Enable functionality D - Disable functionality F - Feedback status without change
Request situation: Serv4: Watch StatusSERVER -> serv3 -> UNIT <- serv4 <-
Use: - Response from Unit to Server including status of Watch Functionality.
-
Msg. no. Description Datafield serv4 Watch Status <MSGIN> <EQTY> <DUMMY> <CANID> 04h <MSG#> <STATUS> <RELAY> <SC> -
Scenario Description:Field Len (byte) Description Notation MSGIN 1 Message Indication. ASCII - encoding: : > Response on message EQTY CANID MSG# SC na Defined in Generic Field section na DUMMY 5 Dummy characters to place CAN ID as character number 13 in the message.na STATUS 1 Requested status. ASCII - encoding: E - Enable functionality D - Disable functionality RELAY 1 Relay status. ASCII - encoding: A - Watch relay is Active I- Watch relay is Inactive
Request situation: Serv5: Operate OutputSERVER -> serv3 -> UNIT <- serv4 <-
Use: - Request from server to unit, to operate ON/OFF relay according to STATUS. Unit replies with serv6 message.
-
Msg. no. Description Datafield serv5 Operate Output <MSGIN> <EQTY> <DUMMY> <CANID> 05h <MSG#> <STATUS> <SC> -
Scenario Description:Field Len (byte) Description Notation MSGIN 1 Message Indication. ASCII - encoding: ? > Response on message EQTY CANID MSG# SC na Defined in Generic Field section na DUMMY 5 Dummy characters to place CAN ID as character number 13 in the message.na STATUS 1 Requested status. ASCII - encoding: A - Set relay Active I - Set relay Inactive F - Feedback status without change
Request situation: Serv6: Output StatusSERVER -> serv5 -> UNIT <- serv6 <-
Use: - Response from Unit to Server including status of ON/OFF Relay.
-
Msg. no. Description Datafield serv6 Output Status <MSGIN> <EQTY> <DUMMY> <CANID> 06h <MSG#> <RELAY> <SC> -
Scenario Description:Field Len (byte) Description Notation MSGIN 1 Message Indication. ASCII - encoding: : > Response on message EQTY CANID MSG# SC na Defined in Generic Field section na DUMMY 5 Dummy characters to place CAN ID as character number 13 in the message.na RELAY 1 Relay status. ASCII - encoding: A - ON/OFF relay is Active I - ON/OFF relay is Inactive
Request situation: Serv7: Reset AlarmsSERVER -> serv5 -> UNIT <- serv6 <-
Use: - Request from server to unit, resetting all alarm flags.
-
Msg. no. Description Datafield serv7 Reset Alarms <MSGIN> <EQTY> <DUMMY> <CANID> 07h <MSG#> <SC> -
Scenario Description:Field Len (byte) Description Notation MSGIN 1 Message Indication. ASCII - encoding: ? > Request which requires response. EQTY CANID MSG# SC na Defined in Generic Field section na DUMMY 5 Dummy characters to place CAN ID as character number 13 in the message.na Serv8: Alarms ResetSERVER -> serv7 -> UNIT <- serv8 <-
Use: - Response on reset alarm request.
-
Msg. no. Description Datafield serv8 Alarms Reset <MSGIN> <EQTY> <DUMMY> <CANID> 08h <MSG#> <SC> -
Scenario Description:Field Len (byte) Description Notation MSGIN 1 Message Indication. ASCII - encoding: : > Response on message EQTY CANID MSG# SC na Defined in Generic Field section na DUMMY 5 Dummy characters to place CAN ID as character number 13 in the message.na Serv9: Initiate LearnSERVER -> serv7 -> UNIT <- serv8 <-
Use: - Request from Server to Unit initiating learn sequence. Unit responds with result after Learn Sequence has been fulfilled.
-
Msg. no. Description Datafield serv9 Initiate Learn <MSGIN> <EQTY> <DUMMY> <CANID> 09h <MSG#> <SC> -
Scenario Description:Field Len (byte) Description Notation MSGlN 1 Message Indication. ASCII - encoding: ? > Request which requires response. EQTY CANID MSG# SC na Defined in Generic Field section na DUMMY 5 Dummy characters to place CAN ID as character number 13 in the message.na
Request situation: Serv10: Learn ResultSERVER -> serv9 -> UNIT <- serv10 <-
Use: - Response from Unit to Server including result of learn session.
-
Msg. no. Description Datafield serv10 Learn Result <MSGIN> <EQTY> <DUMMY> <CANID> 0Ah <MSG#> <US1> <US2> <US3> <SC> -
Scenario Description:Field Len (byte) Description Notation MSGIN 1 Message Indication. ASCII - encoding: : > Response on message EQTY CANID MSG# SC na Defined in Generic Field section na DUMMY 5 Dummy characters to place CAN ID as character number 13 in the message.na US1, 1 Learn Status per line - One character per line. ASCII US2, - encoding: A - Line is Active US3 I - Line is Inactive L - Line is in Learn Mode
Request situation: Comment:SERVER -> serv9 -> UNIT <- serv11 <- <- serv10 <- -> serv11 -> - Messages is responded with acknowledge due to long process time of learn function (30 minutes). If Learn function is active while a new request is initiated, message is acknowledged, and the learn session continued.
- Acknowledge on messages without response.
-
Msg. no. Description Datafield serv11 Acknowledge Message <MSGIN> <EQTY> <DUMMY> <CANID> OBh <MSG#> <ACKMSG#> <SC> -
Scenario Description:Field Len (byte) Description Notation MSGIN 1 Message Indication. ASCII - encoding: . > ACK on message without response EQTY CANID MSG# SC na Defined in Generic Field section na DUMMY 5 Dummy characters to place CAN ID as character number 13 in the message.na ACKMSG# 2 MSG# on the message which is ACK'ed Binary
Request situation: Serv12: Set Min. PowerSERVER <- serv2 <- UNIT -> serv11 ->
Use: - Request from server to unit, setting threshold level for Power Alarms. Unit responds with serv13 message.
-
Msg. no. Description Datafield serv12 Set Power Thresholds <MSGIN> <EQTY> <DUMMY> <CANID> 0Ch <MSG#> <SINGLE_PWR> <MULTI_PWR> <SC> -
Scenario Description:Field Len (byte) Description Notation MSGIN 1 Message Indication. ASCII - encoding: ? > Request which requires response. EQTY CANID MSG# SC na Defined in Generic Field section na DUMMY 5 Dummy characters to place CAN ID as character number 13 in the message.na SINGLE -1 Set thresholds for lamp fails. Binary PWR, - Range: 0 - 250 W MULTI - Resolution: 1W PWR - Presentation: unsigned 8 bit 1W 0 requests actual level without change Example: - 40W > 28h Serv13: Min. Power SetSERVER -> serv12 -> UNIT <- serv13 <-
Use: - Response on serv12 message including present level.
-
Msg. no. Description Datafield serv13 Min. power set <MSGIN> <EQTY> <DUMMY> <CANID> 0Dh <MSG#> <SINGLE_PWR> <MULTI_PWR> <SC> -
Scenario Description:Field Len (byte) Description Notation MSGIN 1 Message Indication. ASCII - encoding: : > Response on message EQTY CANID MSG# SC na Defined in Generic Field section na DUMMY 5 Dummy characters to place CAN ID as character number 13 in the message.na SINGLE_ 1 Returns actual threshold levels for lamp fails. Binary PWR, - Range: 0-250W MULTI_ - Resolution: 1W PWR - Presentation: unsigned 8 bit 1W Example: - 40W > 28h Serv14: Communication ErrorSERVER -> serv12 -> UNIT <- serv13 <-
Use: - Communication error sent from Communication Unit to Server if internal bus problems appear.
-
Msg. no. Description Datafield serv14 Communication Error <MSGIN> <DUMMY> <CANID> 0Eh <SC> -
Scenario Description:Field Len (byte) Description Notation MSGIN 1 Message Indication. ASCII - encoding: ! > Alarm message. CANID SC na Defined in Generic Field section na DUMMY 11 Dummy characters to place CAN ID as character number 13 in the message.na
Request situation: Serv15: Set Timer IntervalsSERVER <- serv14 <- UNIT -> serv11 ->
Use: - Request from Server to Unit setting actual On/Off intervals for Watch function.
-
Msg. no. Description Datafield serv15 Set timer intervals <MSGIN> <EQTY> <DUMMY> <CANID> 0Fh <MSG#> <ON1> <OFF1> <ON2> <OFF2> <SC> -
Scenario Description:Field Len (byte) Description Notation MSGIN 1 Message Indication. ASCII - encoding: ? > Request which requires response. EQTY CANID MSG# SC na Defined in Generic Field section na DUMMY 5 Dummy characters to place CAN ID as character number 13 in the message.na ON1 4 On/Off time for watch functionality. Each time fills one byte. Binary OFF1 - Range: 0-24 time on day. ON2 - Resolution: 1 hour OFF2 - Presentation: unsigned 8 bit 1 hour 25 is OFF. 26 requests status without change Example: - turn On at 6PM, Off at 2AM, On at 5AM and Off at 9AM -> 02050912h Serv16: Timer Interval StatusSERVER -> serv15 -> UNIT <- serv16 <-
Use: - Response on serv16 message including present level.
-
Msg. no. Description Datafield serv16 Timer Interval status <MSGIN> <EQTY> <DUMMY> <CANID> 10h <MSG#> <ON 1 > <OFF1 > <ON2> <OFF2> <SC> -
Scenario Description:Field Len (byte) Description Notation MSGlN 1 Message Indication. ASCII - encoding: : > Response on message EQTY CANID MSG# SC na Defined in Generic Field section na DUMMY 5 Dummy characters to place CAN ID as character number 13 in the message.na ON1 4 On/Off time for watch functionality. Each time fills one byte. Binary OFF1 - Range: 0-24 time on day. ON2 - Resolution: 1 hour OFF2 - Presentation: unsigned 8 bit 1 hour 25 is OFF. Example: - turn On at 6PM, Off at 2AM, On at 5AM and Off at 9AM -> 02050912h Serv17: Single Lamp FailSERVER -> serv15 -> UNIT <- serv16 <-
Use: - Alarm messages from module to server send when a Single Lamp Fail occurs.
-
Msg. no. Description Datafield serv17 Single Lamp Fail <MSGIN> <EQTY> <DUMMY> <CANID> 11 h <MSG#> <PWR> <SC> -
Scenario Description:Field Len (byte) Description Notation MSGIN 1 Message Indication. ASCII - encoding: ! > Alarm message EQTY CANID MSG# SC na Defined in Generic Field section na DUMMY 5 Dummy characters to place CAN ID as character number 13 in the message.na PWR 1 Amount of lost power. Binary - Range: 0-250 W - Resolution: 1W - Presentation: unsigned 8 bit 1W Example: - 40W > 28h
Request situation: Serv18: Multi Lamp FailSERVER <- serv17 <- UNIT -> serv11 ->
Use: - Alarm messages from module to server, send when a Multi Lamp Fail occurs.
-
Msg. no. Description Datafield serv18 Multi Lamp Fail <MSGIN> <EQTY> <DUMMY> <CANID> 12h <MSG#> <PWR> <SC> -
Scenario Description:Field Len (byte) Description Notation MSGIN 1 Message Indication. ASCII - encoding: ! > Alarm message EQTY CANID MSG# SC na Defined in Generic Field section na DUMMY 5 Dummy characters to place CAN ID as character number 13 in the message.na PWR 1 Amount of lost power. Binary - Range: 0 - 250 W - Resolution: 1W - Presentation: unsigned 8 bit 1W Example: - 40W > 28h
Request situation: Serv19: Voltage Line FaultSERVER <- serv18 <- UNIT -> serv11 ->
Use: - Alarm messages from module to server, send when voltage is detected low on an active line.
-
Msg. no. Description Datafield serv19 Voltage Line Fault <MSGIN> <EQTY> <DUMMY> <CANID> 13h <MSG#> <ULF1> <ULF2> <ULF3> <SC> -
Scenario Description:Field Len (byte) Description Notation MSGIN 1 Message Indication. ASCII - encoding: ! > Alarm message EQTY CANID MSG# SC na Defined in Generic Field section na DUMMY 5 Dummy characters to place CAN ID as character number 13 in the message.na ULF1, 1 Voltage line fault indication. One byte per phase. ASCII ULF2, - Encoding: - > No alarm ULF3 A > line fault present
Request situation: Serv20: Light Sensor Fault Use:SERVER <- serv19 <- UNIT -> serv11 -> - Alarm messages from module to server send on inconsistency between Light Sensor output and voltage output.
-
Msg. no. Description Datafield serv20 Light Sensor Fault <MSGIN> <EQTY> <DUMMY> <CANID> 14h <MSG#> <FAULT> <SC> -
Scenario Description:Field Len (byte) Description Notation MSGIN 1 Message Indication. ASCII - encoding: ! > Alarm message EQTY CANID MSG# SC na Defined in Generic Field section na DUMMY 5 Dummy characters to place CAN ID as character number 13 in the message.na FAULT 1 Fault type. ASCII - encoding: 1 - Sensor is ON, Voltage is OFF 2 - Sensor is OFF, Voltage is ON
Request situation:SERVER <- serv20 <- UNIT -> serv11 -> -
Field Len (byte) Description Notation MSGIN 1 Message Indication. ASCII - encoding: ? > Request which requires response. ! > Alarm message. . > ACK on message without response : > Response on message EQTY 6 Equipment Type. Search string to server to make it possible to distinguish between different system types. ASCII Example: - NESA Monitoring unit Street Lighting Surveillance > 741002 > 373431303032h DUMMY <12 Place holders to position CAN ID at right position in message. Need to be placed as character number 13.Don't care CANID 1 CAN-address in the actual Monitoring unit. Always 04 in Monitoring unit. Binary MSG# 2 Message number on the actual number. All server messages are numbered. Rolls over to zero at 1.000. Binary - Range: 0-1.000 - Presentation: little endian Example: - Message number 447 > 1BFh SC 1 Sum check. Sum of total message including SC must equal zero Binary - Examples on handling of errors during SMS communication Handling is similar for the monitoring unit.
Server action SMS msg#-dir. Communication Unit action CAN msg#-dir. DISCOS unit action (Unit: Optl, Master,...) Multiple BAY STATUS REQUEST Get Bay status, Unit #y serv1 -> SMS to CAN conversion. EXT_MSG -> Unit #y returns Bay Get Bay status, Unit #y serv1 -> SMS to CAN conversion. EXT_MSG -> Unit #y drops request, because only one sms is handled at a time. Status is interfaced for SCADA system. serv2 <- CAN to SMS conversion. EXT _MSG <- Status data for server system (response on 1 st request). Acknowledge on serv2 message serv11 -> SMS to CAN conversion. EXT_MSG -> Removal of message from buffer BAY STATUS Respond lost Get unit status, Unit #y serv1 -> SMS to CAN conversion. EXT_MSG -> Unit #y returns unit Status is lost serv2 <- CAN to SMS conversion. EXT_MSG <- status for server system. Status is interfaced for SCADA system. serv2 <- CAN to SMS conversion. EXT_MSG <- After 2 min. and still no ack, the status-sms is retransmitted. Acknowledge on serv2 message serv11 -> SMS to CAN conversion. EXT_MSG -> Removal of message from buffer Ack lost Get Bay status, Unit #y serv1 -> SMS to CAN conversion.. EXT_MSG -> Unit #y returns Bay Status is interfaced for SCADA system. serv2 <- CAN to SMS conversion.. EXT_MSG <- status for server system. Acknowledge on serv2 message serv11 -> SMS to CAN conversion. EXT_MSG -> Ack is lost Status is interfaced for SCADA system. serv2 <- CAN to SMS conversion. EXT_MSG <- After 2 min. and still no ack, the status-sms is retransmitted. Acknowledge on serv2 message serv11 -> SMS to CAN conversion. EXT_MSG -> Removal of message from buffer BAY STATUS Get Bay status, Unit #y serv1 -> SMS to CAN conversion. EXT_MSG -> Unit #y returns Bay Status is interfaced for SCADA system. serv2 <- CAN to SMS conversion.. EXT_MSG <- Alarm occurs in unit #y and the response is dropped and alarm-sms is transmitted instead Acknowledge on serv8 message serv11 -> SMS to CAN conversion. EXT_MSG -> Removal of message from buffer 2 min. after the 1 st Get Bay status, the request is retransmitted serv1 -> SMS to CAN conversion. EXT_MSG -> Unit #y returns Bay Status is interfaced for SCADA system. serv2 <- CAN to SMS conversion. EXT_MSG <- status for server system. Acknowledge on serv2 message serv11 -> SMS to CAN conversion.. EXT_MSG -> Removal of message from buffer -
Monitoring unit units 30 are registered manually at the server. Only the phone number and the CAN ID are used as the identification.
fig. 2 is a block diagram of the monitoring unit. As can be seen in the figure themonitoring unit 30 is provided with a communication unit - denoted 32 - equipped with a GSM modem. - To and through the
monitoring unit 30 one or more sets ofpower supply lines 14 is/are provided. Here in an exemplary embodiment three sets of ACpower supply lines 14 are provided, denoted R, S and D. Alternatively, two sets of ACpower supply lines 14 are provided or only one set of ACpower supply lines 14 is provided. The corresponding common return line is not shown. It may alternatively be the case that the return line is not common, or it is common for two or three sets of power supply lines. The electrical power supply provides electrical power, e.g. 230 V or 110 VAC power to - as an exemplary embodiment to a string of 6light sources 16, typically the light sources are connected in parallel along the pair of the two supply lines. However, any other connection, e.g. a series connection of two or more light sources are equally well possible, moreover the series connection may be combined with one or more parallel couplings of light sources. - The AC electrical power may alternatively be a DC power or a combination of the AC and the DC power.
- Further, the
monitoring unit 30 may be supplied with a light sensor which controls a relay to make it possible to switch on thelight sources 16 during evening and night hours. - fig. 3 is another block diagram of the monitoring unit. The
monitoring unit 30 has a build in /integral communication unit 32 denoted "modem". The modem communicates with themonitoring unit 32 by means of a CAN bus as well known in the art. Themodem 32 is provided with an internally generated 5 VDC of themonitoring unit 30. Figure 5 shows how the CAN bus is protected, e.g. against overvoltage. - fig. 4 is a block diagram of a CAN bus connection of the monitoring unit. It shows a block diagram of the CAN bus connection of the
monitoring unit 30. The protection circuit denoted "protection" can be seen in the next figure. The CAN bus connection is connected to theintegral communication unit 32 denoted "modem" of themonitoring unit 30. Light diodes "3 x LED" are applied to show status information from the modem. - The CAN block is used for converting data from a SPI bus to a CAN bus. The SPI bus is used for communication between the
communication unit 32 , e.g. a modem and the CAN controller. To protect the CAN bus i/o's, a protection circuit must be placed on its outputs. This circuit must protect against incorrect wire connections, ESD and over current. - fig. 5 is a diagram of protection of the CAN bus connector of the
monitoring unit 30. The figure shows how the CAN bus of themonitoring unit 30 from figure 3 is protected. D25 and D26 each works as an over voltage protection in connection with the coil L5 on the CAN bus lines: CANH and CANL. - To protect the CAN bus connector against ESD, two protection diodes are used. If a spike larger than 9V, the diodes is clamping to 0V. To remove common-mode noise a filter is used.
- The CAN connector is used for service purpose. The service employee can connect to this port, instead of communication to the
monitoring unit 32 by using a GSM modem. - Before the CAN bus signal can be used, they have to be converted to logic level signals. A CAN driver may do this. To convert the CAN protocol to a SPI protocol, a CAN controller must be used. The CAN controller is supplied by the same 4VDC supply as the modem. This is done to ensure that the CAN controller and the Modems i/o's have the same voltage level. 5VDC supply the rest of the system. The modem is used for wireless communication between the monitoring
unit 30 and thealert receiving unit 40, e.g. a GSM server. - 3 different LED may be available for the modem. These are:
- 1. Modem OK. (Green)
- 2. Modem Fail (Red)
- 3. Online/Communicating (Green)
- fig. 6 is a diagram of a modem of the monitoring unit. The
modem 32 is an example of the communication unit of themonitoring unit 30. The circuit exemplifies how the applicant has implemented themodem 32, the chips in the middle of the figure has the function of an UART, which is well known in the art. The circuit consists of the following: - The modem can be connected to connector J12. A
connector J 8 is connected to the modem, and is used for debugging purpose.
A CAN controller called MCP2515, from Microchip, is used for converting the SPI protocol to a CAN protocol. For level converting the CAN signals a driver called MCP2551, also from Microchip, is used. Because the signal RXCAN on the controller and the RXD on the driver isn't compatible, an AND gate is applied as a level converter. The two devices are not compatible since they are supplied at two different DC voltage levels.
The SPI bus from the modem could be connected directly to the controller. - The modem is connected to 3 different LED. They are used for indication. Two of the LED's are a double diode. It has a red and a green led. If both of the LED is turned on, the colour is yellow. The third LED is green, and is used for indicating when the modem is communicating, and is online. When the modem is online, the LED it turned on. When the modem is communicating, the LED is flashing.
-
Pin Fun Pin Function Pin Function Pin Function Pin Function Pin Function 1 4VDC 11 0VDC 21 UART1_T XD1 31 0VDC 41 NC 51 LED1 2 4VDC 12 0VDC 22 NC 32 NC 42 0VDC 52 NC 3 4VDC 13 3V3_EXT 23 UART1_R TS1 33 NC 43 SI 53 LED2 4 4VDC 14 3V3_EXT 24 UART1_R XD1 34 NC 44 SO 54 NC 5 4VDC 15 0VDC 25 Reset 35 NC 45 !CS 55 NC 6 4VDC 16 0VDC 26 UART0_C TS1 36 NC 46 INT 56 NC 7 0VDC 17 NC 27 NC 37 UART0_ TXD0 47 NC 57 NC 8 0VDC 18 NC 28 NC 38 UART0R_XD0 48 NC 58 NC 9 0VDC 19 NC 29 NC 39 NC 49 NC 59 0VDC 10 0VDC 20 0VDC 30 NC 40 NC 50 NC 60 0VDC -
Pin Function Pin Function 1 3V3_EXT 11 UARTO_C TS1 2 UART1_T XD1 12 UART0_T XD0 3 UART1_R TS1 13 UART0_R XD0 4 UART1_R XD1 14 0VDC - fig. 7 is a detailed block diagram of the monitoring unit. Here is an embodiment of the
monitoring unit 30 which is designed to measure on three pairs of thepower supply lines 14, themonitoring unit 30 is thus provided with three sets of thecurrent measurement circuit 36 and thevoltage measurement circuit 34. - Each set of a
current measurement circuit 36 and avoltage measurement circuit 34 measures the current flowing to thelight sources 16 and the voltages across thelight sources 16, respectively. - The I/O is used for connect to external signals. The following i/o's be available:
- A 4-20mA temperature sense input
- A 230VAC detection input.
- 3 x inputs for 230VAC measurements.
- 3 x input for current measurements.
- A relay output.
- The 4 - 20mA input is a temperature sense input, used for connecting an external temperature sensor. The temperature sensor is used for measuring the temperature inside the
monitoring unit 30. - The input signal has to be converted from a current signal to a voltage signal, before is can be used.
- The 230VAC input is used for detecting the status on a light detector. The light detector is used for detecting if the light source, e.g. the street light has to be turned on or off. The 230VAC input must be galvanic isolated from the rest of the electronics.
- To measure the power supply line voltage, e.g. the street light voltage lines, 3 different analogue inputs must be available. These inputs must be able to measure on 3 x 0.4kV lines, in the interval 200VAC to 260VAC, with the resolution of 1mVAC. The inputs must be able to measure the phase on a voltage line, with the accuracy of ±200µs.
- Each the inputs must be protected against ESD, and transformed to a lower voltage before it can be used. The 230VAC must also be galvanic isolated from the rest of the electronics. The AC signal must be send through a band pass filter, to correct the shape of the AC signal. This must be done, because the AC signal can contain a lot of harmonic noise.
- To measure the AC current from power lines, e.g. the street light voltage lines, 3 current inputs must be available. These current inputs must be able to measure a current from an inductor, and convert it to a voltage. The AC signals must be sent through a band pass filter, to correct the shape of the AC signal. This must be done, because the AC signal can contain a lot of harmonic noise. The current measurements must have an accuracy of 1mAAC. The range must be from 30mAAC to 50AAC.
- A relay output must be available to activate or deactivate light source, e.g. the street light lamp. The relay is used for handling an external relay and must be able to handle 250VAC / 10A.
- In the design of the circuit discussed above the applicant has used the following specification:
PARAMETERS SYMBOL MIN TYP MAX UNITS Max. input voltage V4-20 0 - 5 V Input current max. I4-20 0 - 40 mA - 230VAC input:
PARAMETERS SYMBOL MIN TYP MAX UNITS Voltage V 230VAC 200 230 250 VAC ESD protection VESD,230 - - 8 kV Frequency f230 - 50 - Hz - 3 x 230VAC:
PARAMETERS SYMBOL MIN TYP MAX UNITS Voltage VVoltage 150 230 300 VAC Accuracy AVoltage - 1 mVAC ESD protection VESD,230 - - 8 kV Frequency f230 - 50 - Hz - 3 x AC current:
PARAMETERS SYMBOL MIN TYP MAX UNITS Voltage VCurrent - - 5 VDC Current ICurrent 0,03 - 50 AAC Accuracy A Current 1 mAAC - Relay output:
PARAMETERS SYMBOL MIN TYP MAX UNITS Voltage VRelay - 230 300 VAC Current lRelay - 10 12 AAC ESD protection VESD,230 - - 8 kV - fig. 8 is a temperature sensor input circuit of the monitoring unit. In an embodiment of the invention, the
monitoring unit 30 is provided with a temperature sensor, which can be seen in the figure. - The 4 - 20 mA input is used for measuring the temperature using an external temperature sensor. The temperature sensor has to be placed inside the
monitoring unit 30. - The 5VDC output is used as supply for the temperature sensor. It is protected against over current by e.g. the 62mA fuse F4.
- The sense input is protected against wrong polarisation by using the diode D8.
- A current represents the temperature from 4mA to 20mA. This current is converted to a voltage so it's possible to measure the value with an Analogue to Digital Converter. A 5V supply is available for the temperature sensor. It can deliver 62mA.
- fig. 9 is a electrical power detection diagram of the monitoring unit. The
monitoring unit 30 need know when there is electrical power provided. To this end the diagram shown is applied. The power is galvanic separated by means of the opto coupler D24. From D24 a digital signal "Dig input" is generated indicating whether or not 230 V AC electrical power is present. In the spirit of the invention a circuit detecting 110 V AC, e.g. for USA is possible to implement, e.g. by selecting for example a lower resistor value for R81 and/or another type for the opto coupler D24. - The 230 VAC input is used for detecting the state on an external relay. The input is galvanic separated by an opto coupler. The opto coupler also works as a level converter.
- The 3 x 230 VAC inputs are used for measuring the voltage on e.g. 3 different street light voltage lines.
- Each of the 230VAC, zero and ground inputs is protected against spikes. If a spike larger than 4kV occurs between zero and ground, a protection circuit is protecting the inputs. The protection circuit is shown on the figure. If a spike larger than e.g. 4kV occurs, a spark will appear between the PCB tracks at the air gab and the resistor R59 then transfers it to ground. The air gab is drawn as two triangles with a rectangle between them on the schematic of the figure.
- In particular SG1, the spark gab works as an over-voltage protection in connection with the fuse F1.
- fig. 10 is a diagram of the protection circuit for the electrical power supplied. In an embodiment of the invention, the protection circuit may be used to individually protect the
current measurement circuit 36 and thevoltage measurement circuit 34 of figure 7. The two 36 and 34 measure the current flowing to thecircuits light sources 16 and the voltages across thelight sources 16, respectively. - fig. 11 is a diagram of electrical power conversion into current and voltage signal levels. The lines "Current" and "Voltage" to the right in the figure is the result of the measurement of current and voltage by means of the
current measurement circuit 36 and thevoltage measurement circuit 34, respectively. These twp circuits are integral to themonitoring unit 30. In case the monitoring unit is to measure on two pairs of power supply lines, it is provided with respective twocurrent measurement circuits 36 and twovoltage measurement circuits 34. Accordingly, as an alternative when the monitoring unit is to measure on three pairs of power supply lines it is provided with respective threecurrent measurement circuits 36 and threevoltage measurement circuits 34. - As can be seen in the figure the voltages of three supply lines - of three corresponding 230 V AC electrical power sources connected to the connector J13 - are converted to the lower AC voltages by means of three respective transformers or set of coils, L2, L3 and L4 respectively. In series with the three respective transformers or set of coils is three respective over voltage protective circuits connected to a common ground or return line. As a result the voltage and current levels for a selected one of the three electrical power sources, i.e. the selected supply line, is provided to the right in the figure. The selection of the supply line measured upon is performed by means of the two digital inputs "select A0" and "select A1" and the two analogue results of the current and Voltage measurements can be obtained from the lines denoted 8 "Current" and 9 "Voltage", respectively.
- If a spike occurs between 230VAC input and zero, the resistance in the varistor on the input will decrease. This means that the voltage on the primary side of the transformer also decreases. Each of the 230VAC inputs is converted to a lower voltage with e.g. a 19:1 transformer. The transformer is also used as a galvanic isolator. Each output on the secondary sides of the transformers has a protection diode to protect against voltage spikes.
- A capacitor is used for changing the DC offsets to 2,048V DC. This is done to generate a zero crossing value for all AC measurements. A multiplexer is used for selecting which input is being measured. The multiplexer has been selected in order to for minimising the amount of used components. In this way only one filter is needed for 3 voltage measurements, and accordingly only one AD converter is needed.
- fig. 12 is a diagram of band pass filter filtering the electrical power supplied.
- The voltage output on the multiplexer is connected to the band pass filter. The band pass filter is used to limit the input frequency band. This is done to remove unwanted frequency information from the input.
- fig. 13 is a schematic showing the band pass filter characteristic. Here the band pass filter characteristics from the foregoing figure is shown graphically.
- fig. 14 is a schematic showing a current transformer. The first configuration for the inductor, used for measuring the current, was to use an inductor made on a flexible PCB, with a PCB layout as a Rogowski inductor known in the art. As an alternative the applicant chose to drop the first configuration due to a large deviation in the measurement at the connection point between the edges of the PCB.
- Another configuration was then selected. The new solution was to connect a HF3A current transformer from EATON | Holec on each input. The coil is working as a current to current converter. If it is measuring 100A, it will deliver 1A on its output.
- The schematic shows the original layout. The inputs have a resistor in parallel. The resistor on each input is e.g. 0.5Ω / 2W. This means that when the coil is measuring 10A, the voltage on the resistor is 50mV.
- Calculation:
fig. 15 is a schematic showing a current filter. A multiplexer is used for selecting which current input is being measured. The multiplexer is added for minimizing the amount of used components. This way only one filter is needed for all 3 current measurements, and only one AD converter is needed. - The current output on the multiplexer is connected to a band pass filter. The band pass filter is used to limit the input frequency band. This is done to remove unwanted frequency information from the input. The output of the band pass filter is connected to an amplifier. The amplifier has two different gains. The first gain is 1.83, see figure 16 for the current filter with the low gain. The second gain is 11.83, see figure 17 for the current filter with the high gain. The gain can be selected on a multiplexer. These gain values is not calculated, but defined by testing. The amplifier is inserted to increase the resolution at lower current measurements.
fig. 16 is a schematic showing a current filter with low gain.
Gain = 1.83 @ 50Hz equ. 19.278dB - On the figure, a simulation of the filter is shown. The filter is with the low gain. The simulation shows that the centre frequency is almost at 50Hz. It also shows that the filter is decreasing the low- and high frequencies by 40dB/decade.
fig. 17 is a schematic showing a current filter with high gain,
Gain = 11.83 @ 50Hz equ. 35.475dB - On the figure, a simulation of the filter is shown. The filter is with the high gain.
- The gain difference between the two filters should be 6.45, according to the 3 resistors R17, R18 and R19 in the last gain shift. The simulations confirm that the gain difference is identical to the calculated.
-
- To operate the relays, a MOSFET are used on each relay. This is done to operate the relays at TTL level. The 2 outputs on connector J3, work as an on/off switch. A 250V/10A fuse protects each of the outputs.
- fig. 19 is an AD converter block diagram. The AD converter is user for measuring the voltages and current. To make sure that the phase accuracy on a 50Hz voltage or current measurement1, the AD converter must be able to sample more than 5000 smpl/sec. The AD converter must be able to measure from the 3 voltage and the 3 current inputs. To read from the AD converter a SPI bus must be used. A controller handles the SPI bus.
-
-
- Analogue inputs:
PARAMETERS SYMBOL MIN TYP MAX UNITS Input voltage range Va,in 0 - Vsupply,5 V Input current la,in,max - - 1 mA - SPI bus:
PARAMETERS SYMBOL MIN TYP MAX UNITS Voltage range VSPI 0 - Vd V I/O current ISPI -10 - 10 mA - fig. 20 is an AD converter circuit diagram. The figure is an implementation of the previous figure. A 16 bit AD converter with 2 inputs is chosen. An input is for the voltage measurement, and the other one is for the current measurement. Since the 3 current- and the 3 voltage measurements are multiplexed only 2 inputs is needed on the AD converter.
The 16 bit AD converter can not meet the 1mVAC demands for the voltage resolutions it self. A gain shift has to be made, or an AD converter with a higher resolution has to be used. - No gain shift is used on the current input. This result in the resolution for the current input, still fulfil the demands in the specification for the current resolution. Possibly noise then has a big affect on the measured signal.
- Another AD converter with a higher resolution could be chosen, but the 16bit is selected because of price and speed, and the voltage resolution is then compromised.
-
-
- fig. 21 is a controller block diagram. The controller equals the CPU shown in e.g. figure 3. The main CPU in the
monitoring unit 30 handles all the digital and analogue I/O's and accordingly computes thereon. - A PIC18F8585 micro controller from microchip is used. This is selected because of its high speed and large memory, and especially because it has a CAN bus.
A controller with a fewer I/O's and a smaller memory may be used. - Minimum specification for microcontroller/µController or CPU:
- A CAN bus.
- A voltage ref. input for the 4.096V reference.
- 3 x Analog inputs
- A SPI bus.
- 1 x Digital input.
- fig. 22 is a diagram showing use of the controller. The figure is an implementation of the previous figure. A PIC18F8585 is chosen a controller. On the schematic above is written PIC18F8X20 but should read PIC18F8585.
- The reset circuit holds the reset input on the µController, until the digital power (+5) is stable. The LED D17 is turned off when the µController is being reset.
The connector ICSP1 is used for debugging and programming the µController. - The 9 LED's to the right, are used for different indications.
1. System OK/Fail : Red/Green (Double LED) 2. Light sensor : Green 3. Time / Sensor : Green 4. L1 Active : Red 5. L2 Active : Red 6. L3 Active : Red 7. SMS Relay : Green 8. Timer Relay : Green - The µController is measuring the voltage level on the output on the DC/DC converter, the +5V and +4V supply. This is done to be able to indicate if something is wrong with the supply.
- A temperature sensor (R52) is also mounted on the PCB. This is done to be able to measure the temperature in the box in which the monitoring unit is located.
- To communicate on the CAN bus, an output driver MCP2551 is used. It is used for communication to the modem. An external CAN port is available on the connector J11. It may be used for service purpose.
- fig. 23 is a power supply block diagram. The supply and reference delivers supply voltages and references voltages.
- The input is protected against ESD, over current, over voltage and by a fuse.
- The 230VAC may be converted to 12VAC by a 38:1 transformer; this also works as a galvanic isolation. The AC is rectified to DC witch is converted to a 4VDC and 5VDC.
- The 4V DC is for the communication unit, e.g. the modem and the 5 VDC is for the rest of monitoring unit.
- To make all AD measurements more precise, a stable voltage reference is used. The 4.096VDC reference is used because the ADC has a resolution of 216 bits (The reference must be dividable by 216 bits, to produce a simple LSB), which gives a LSB of 63µV
- Another voltage references must be used when measuring AC signals. This reference is used to remove the negative part of the AC signal by creating a DC- offset. This is selected as the half of the 4.096V reference, which is 2.048V.
- Voltage references for 4V:
PARAMETERS SYMBOL MIN TYP MAX UNITS Output voltage Vsupply,4 V Source and sink current output I supply,4 mA Output voltage Temperature Coefficient TCV supply,4 PPM/°C - Voltage references for 5V:
PARAMETERS SYMBOL MIN TYP MAX UNITS Output voltage Vsupply,5 V Source and sink current output I supply,5 mA Output voltage Temperature Coefficient TCV supply,5 PPM/°C - Voltage references for 4.096V:
PARAMETERS SYMBOL MIN TYP MAX UNITS Output voltage Vref,4 4.010 4.096 4.180 V Source and sink current output Iref,4 -5 - 5 mA Output voltage Temperature Coefficient TCVref,4 - - 50 PPM/°C - Voltage references for 2.048V:
PARAMETERS SYMBOL MIN TYP MAX UNITS Output voltage Vref,2 4.010 2.048 4.180 V Source and sink current output Iref,2 -5 - 5 mA Output voltage Temperature Coefficient TCVref,2 - - 50 PPM/°C - fig. 24 is a diagram showing implementation of the power supply. The figure is an implementation of the previous figure. The monitoring unit is supplied by 230 VAC when implemented in most European countries. Alternatively, for the United States 230 VAC supply the monitoring unit. The supply input may have 4 different inputs:
- 1. Earth
- 2. 230VAC Phase as an example of a supply line
- 3. Zero 1 as an example of a return line
- 4.
Zero 2 -
Zero 1 is the zero for the 230VAC supply. The zero 2 input is the zero line for the 3 x 230VAC inputs, connected to the transformers. Earth is used for protection. It is only used for protecting against voltage spikes higher than 4kV. - To protect the 230VAC-supply input on the monitoring unit, a 1.6A fuse is connected in series with the phase, e.g. a power supply line. A resistor and a Varistor are used for protecting against higher voltages between the phase and zero, e.g. a power return line. If the input voltage gets too high, the resistance in the Varistor decreases and the input voltage on the transformer is limited. The transformer may be used for transforming the 230VAC voltage to a 6VAC voltage. The AC voltage is send through a rectifier, and 3 electrolytic capacitors are used for smoothing the ripple voltage. Two different voltage regulators are used for converting the rectified AC voltage into two different DC voltage supplies. The first voltage supply is a 5V DC supply. The other is a 4V Dc supply. The 5V Dc supply is used by the electronic in the monitoring unit. The 4V DC supply is used by the modem. Because the 4V DC supply has to be very stable, 4 electrolytic capacitors with a low ESR are used. To create a reference voltage at 4.096V DC a LM4120AIM5-4.1 (U12) may be used. It creates a reference voltage, used for AD measurements. The system is using another reference voltage that is exact the half of this voltage. This voltage is generated by means of two identical resistors. A buffer B1 is used, to be able to deliver enough current on the output. An operational amplifier U4 is used for regulating the output buffer, because the input and output on the buffer, is not totally identical.
- A more detailed discussion of how to detect light source faults or malfunctions and providing related alert messages now follows.
- The invention may be applied in a lighting monitoring system having two basic elements: the monitoring
unit 30 and thealert receiving unit 40. Themonitoring unit 30 has the build incommunication unit 32, which transfers alerts via SMS to thealert receiving unit 40. Thealert receiving unit 40 can transfer commands back to themonitoring unit 30 via thecommunication unit 32. - The invention may also be applied in a bigger system - the lighting system - using the lighting monitoring system as discussed above. The lighting monitoring system is connected to one, two or three pairs of power supply line and to the plurality of light sources, which thereby may be monitored.
- The
monitoring unit 30 has at least two pairs of connectors. The two pair of connectors constitutes a pair of input connectors and a pair of output connectors. - To the pair of input connectors a respective pair of power supply lines constituting a supply line and a return line may be connected. Typically the supply line provides 230 V AC, where the return line may be denoted 0 V AC.
- In case an application is needed where it is required supply two phase to some light sources, accordingly there is a need to measure on two phases, i.e. on two
times 230 V AC, themonitoring unit 30 then is provided with four pairs of connectors. The four pair of connectors then constitutes two pair of input connectors and two pair of output connectors. To each pair of input connectors a respective 230 V AC with its return line 0 V AC is connected. Accordingly, from each pair of output connectors the 230 V AC with its return line 0 V AC is connected to respective light sources. In this case the light sources may be connected between the two phases or some of them between the first phase and a corresponding return line, and correspondingly other light sources being connected between the second phase and the return line associated with the second phase. Alternatively or additionally, the return line or the two return lines may be common for the two phases. - In case an application is needed where it is required to provide high power to some light sources, e.g. to supply three supply lines to some light sources, voltage and current measurements are required on 3 phases, i.e. on three
times 230 V AC. Themonitoring unit 30 then may be provided with six pairs of connectors. The six pair of connectors then constitutes three pair of input connectors and three pair of output connectors. To the three pair of the input connectors three respective set of 230 V AC with their return lines, 0 V AC are connected. Accordingly, from every of the three pair of output connectors the 230 V AC with its respective return line 0 V AC is connected to respective light sources. This embodiments can be seen in figure 2 where R denotes a supply line with it return line, likewise S and T each also denotes the respective supply line and return line. Alternatively or additionally, the three return lines may be common for the three supply lines. - In a practical application the applicant has provided the
monitoring unit 30 with four input connectors for the three phases, 3 x 230 VAC and the common return line. Accordingly, the applicant has provided themonitoring unit 30 with output connectors for the three phases having the same common return line wired through the monitoring unit. It is hereby an advantage that a technician in the field can choose to apply one, two or three phases to the input connectors. Accordingly, one, two or three phases leaves the output connectors, which may be connected to a desired number of light sources, which are to be monitored by means of the monitoring unit. - The
monitoring unit 30 has avoltage measuring circuit 34 measuring the voltage, e.g. AC voltage across the pair of power supply lines connected to it. The measurement takes place either across the pair of input connectors or across the pair of output connectors used. - Correspondingly, the monitoring unit is provided with a
current measuring circuit 36. The circuit measures the current flowing through the supply line or the return line in response to the electrical power, e.g. 230 V AC or 110 V AC, which is provided to the plurality of light sources connected to the output connectors. - As discussed the monitoring unit has a microcontroller/µController or a CPU. In general the task of the microcontroller, µcontroller or the CPU are discussed in terms of the monitoring unit, since the steps are perform within this unit. The monitoring unit controls the following steps aiming to detect whether light sources are defect::
- The monitoring unit defines a first time frame and a first point of time during the first time frame. Measurements during the first time frame are e.g. used for learning how the impedance, in particular the resistance is of the light sources. It is thus assumed that measurements during the first time frame represent the status of the light sources at that time. For example if all light sources at that time work properly, i.e. they all draw current to lit up, the status from the first time frame then represents a set of error free and properly working light sources. In practice the status for the light sources is obtained by measuring the voltage over the lines powering the light sources and the current flowing through the line. From these two factors, the total power consumption in the line may be determined. The power consumption can be separated into an active and reactive part, where the reactive part is an expression of the load of the light sources in terms of the resistance.
- In order to measure correctly it is a prequisite during the first time frame that a steady state situation for the plurality of light sources is achieved. This means the light sources with igniters and ballasts, etc have heated up and have a stable power consumption, i.e. they draws a stable current. Typically 30 minutes are sufficient time to reach the steady state situation.
- Accordingly during the learn session, the monitoring unit measures at the first point of time a first voltage level by means of the voltage measuring circuit and measures at the same point of time, i.e. at the first point of time a first current level by means of the current measuring circuit.
- Hereby it is possible for the monitoring unit to determine a first load resistance representing the active load resistance for the plurality of light sources being active, i.e. turned on during the first time frame of the learn session. The first load resistance is determined and based on the measured first voltage level and the measured first current level. The power consumption in terms of the current be separated into an active and reactive part, where the reactive part is an expression of the load of the light sources in terms of the first load resistance.
- Later on, i.e. after learn session new measurements of the current drawn and the voltage supplied are performed, i.e. the monitoring unit defines a second time frame and a second point of time during the second time frame in which measurements are to take place. Measurements during the second and later time frame are e.g. used for determining how the impedance, in particular the resistance is of the light sources - and possible also including the resistance of the connection between the light sources - when powered also in a steady state situation. It is assumed that measurements during the second time frame represent the status of the light sources at the time of an operating system, e.g. an operating lighting system. Due to wear, poor electrical connections, a "red burner" light source, flickering light sources, lamps that never reach operating temperature due to an internal error or malfunction, etc it is now possible that fewer light sources work properly, i.e. draws less than the expected correct current, i.e. less than the current as compared to that in the first time frame.
- For example if just one of the light sources at this point of time does not work properly, i.e. it draws to little current to lit up, the status from the second time frame then represents a set working light sources having a faulty light source. Accordingly, more faulty light sources may be detected.
- In order to also here to measure correctly it is a precondition that during the second time frame another and second steady state situation for the plurality of light sources powered is achieved. This means that the light sources have had sufficient time to warm up and to enter a stable current consumption. The second time frame of course is defined to take place after the first time frame of the learning session has gone.
- Accordingly, the monitoring unit measures at the second point of time a second voltage level by means of the voltage measuring circuit as used before. Moreover, the monitoring unit measures at the second point of time a second current level by means of the current measuring circuit used to measure during the first time frame.
- The monitoring unit may determine a second load resistance representing the active load resistance for the plurality of light sources being powered and active during the second time frame. The second load resistance is based on the second voltage and current level.
- Now the monitoring unit has information about the first and second load resistance from the measured voltages and current, i.e. the load resistance from the learn session and another load resistance from the later period of the operating lighting system. The latter may have errors or defects on the light sources powered.
- At this stage the monitoring unit computes the difference between the first and second load resistance, and in case the difference exceeds a specific threshold, i.e. the difference is too big and thus could represent an increase in the load resistance between the two time frames, e.g. due to a non connected or blown bulb in a light source, the monitoring unit generates a first alert message. Subsequently, the monitoring unit sends or transmits e.g. by means of a SMS the first alert message through means of the communication unit to the alert receiving unit.
For example if the difference exceeds a specific threshold, it may indicate an increased load resistance, it may be due to an open circuit and / or circuit parts leading to that too small current runs. If the difference exceeds a specific threshold it may additionally be due to a poor connection to or among light sources, or du to that one, too, three, etc light sources do/does not draw current since it or they are burned off and/or has/have malfunction(s). - In response to the reception of the first alert message the alert receiving unit acts, e.g. breaks a power line or more power lines and /or provides another alert message. The another alert message is e.g. provided by means of a pictogram indicating a malfunctioning light source or light sources, a text message or in the form of LEDS being powered, e.g. on a panel in which the LEDS are mounted close to a supporting text.
- In general, when alert messages are discussed herein each may indicate one of following alert situations: one light source being defect or malfunctioning, two light sources being defect or malfunctioning, the plurality of light sources has a defect among some of them or being malfunctioning, the plurality of light sources is defect or is malfunctioning, or the supply line or even the return line is somehow defective, e.g. wrongly connected or misconnected.
- Moreover, the monitoring unit may further determine the time difference between the first and second point of time. This is used to determine the relative load resistance change over time, and is expressed as a ratio of the load resistance change over time. It is computed as the difference between the first and second load resistance divided by the determined time difference between the first and second point of time.
- The ratio of the load resistance change over time reveals as compared to difference between the first and second load resistance whether the load resistance changes rapidly up and down. Since the first and second load resistance in both cases expresses a steady state situation for the light sources a resistance change - in e.g. ohm/sec - for an increasing load resistance and a decreasing load resistance as well indicate a malfunction somehow among the light sources and/or in the circuitry and lines connecting the light sources.
- For example, a rapidly decreasing load resistance may indicate a short circuit and / or that a current erroneously, e.g. due to moist, water, etc. runs to ground instead of running properly back in the return line from the supply line.
- Conversely, a rapidly increasing load resistance could indicate that e.g. a circuit of the return line and the supply line somewhere has a burnt over connection, a burnt off igniter, poor or missing connection and / or that a filament of a bulb of a light source is off.
- In all cases when the ratio of the load resistance over time exceeds a second specific level the monitoring unit then generates a second alert message.
- Subsequently, the communication unit e.g. the modem embedded in the monitoring unit sends the second alert message to the alert receiving unit.
- In response to the reception of the second alert message the alert receiving unit acts accordingly, i.e. it presents an alert or alarm or does something to avoid further errors, e.g. switches off a power line or power lines etc. The alert or alarm in the form of an alert message may e.g. be provided by means of a pictogram on a display or a screen, where the pictogram indicates a malfunctioning light source or light sources or a malfunctioning circuitry. Alternative the message is e.g. provided in the form of a text message or in the form of LEDS being powered.
- In addition or as a substitute how to generate the first or second alert message, the method of controlling the lighting system or lighting monitoring system may perform the following steps:
- defining in the monitoring unit a third time frame and a third point of time during the third time frame, during the third time frame a third steady state situation for the light sources powered is achieved,
in order to measure correctly it is a prequisite during the third time frame that a steady state situation for the light sources being powered is achieved. This means the light sources with igniters and ballasts, etc have heated up and have a stable power consumption, i.e. they draws a stable current. Typically 30 minutes are sufficient time to reach the third steady state situation being comparable with the very first steady state situation discussed. - measuring in the monitoring unit at the third point of time as defined a third voltage level by means of the voltage measuring circuit,
- measuring in the monitoring unit at the third point of time a third current level by means of the current measuring circuit, now the current and voltages levels again are available for the discussed steady state situation,
- determining in the monitoring unit a first power level representing the power for the plurality of light sources being active during the third time frame based on the third voltage level and the third current level, e.g. by the product of the third voltage level and the third current level to obtain the first power level,
- defining in the monitoring unit a fourth time frame and a fourth point of time during the fourth time frame, during the fourth time frame a fourth steady state situation for the plurality of light sources is achieved, the fourth time frame being defined to take place after the third time frame has expired, the fourth steady state situation represents a period of the lighting system being in a stable operating mode, e.g. after more than 30 minutes have gone since the powering of the light sources and this steady stable situation is comparable with the discussed second steady state situation,
- measuring in the monitoring unit at the fourth point of time a fourth voltage level by means of the voltage measuring circuit already used for voltage measurements,
- measuring in the monitoring unit at the same point of time, i.e. at the fourth point of time a fourth current level by means of the current measuring circuit as already used for current measurements,
- determining in the monitoring unit a second power level representing the power for the plurality of light sources being active (i.e. powered) during the fourth time frame based on the fourth voltage level and the fourth current level, e.g. by the product of the fourth voltage level and the fourth current level to obtain the second power level,
- generating in the monitoring unit a third alert message provided a second alert criterion is also met, i.e. if the difference between the first and second power levels exceeding a third specific threshold,
- A set-up in the monitoring unit may be made to combine the computations which resulted in respective first, second and third alert messages, if e.g. all three are determined it may indicate severe faults in light sources powered.
- In addition or as a substitute how to generate the first, second or third alert message, the method of controlling the lighting system or lighting monitoring system may further perform the following steps:
- the monitoring unit further determines a time difference between the third and fourth points of time, and then determines the ratio of the power level change over time as the difference between the above computed first and second power levels divided by the time difference between the third and fourth points of time, and in case the computed ratio of the power levels over time exceeds a third specific level the monitoring unit in turn generates a fourth alert message which message subsequently the communication unit of the monitoring unit sends to the alert receiving unit, and the alert receiving unit then further acts or alerts in response to its the reception of the fourth alert message.
- For example, a rapidly increasing power level may indicate a short circuit and / or that a current erroneously, e.g. due to moist, water, etc. runs to ground instead of running properly back in the return line from the supply line, moreover the rapidly increasing power consumption may indicate that an active ballast or other circuitry controlling lamps or bulbs, etc attempts to counter react an decreasing voltage - measured by active ballast or other circuitry - by providing or allowing excessive currents to flow with the inevitable result that the power consumption is increased over time and also a total measure.
- The alert messages as discussed may each indicate one of following alert situations: one light source being defect or malfunctioning, two, three, four, etc light sources being defect or malfunctioning, said plurality of light sources has a defect among some of them or being malfunctioning, said plurality of light sources being defect or being malfunctioning, or said supply line being defective.
- In principle, the measurements taking place prior to the generation of the first, second, third and fourth alert message may be applied to detect the same types of malfunctions and/or defects. However, it may be the case that one of the four ways (with corresponding resulting first, second, third and fourth alert messages) of interpreting current and voltage data - e.g. the load resistance change and the relative load resistance change (load resistance change over time) turns out to be the fastest or most reliable one to detect a certain malfunction or defect. However, when the applicant over time compiles current and voltage data these data may be subject to advanced analyses in order to spot certain malfunctions or defects rather early in the data gathering process
- In general for the systems discussed and for the monitoring unit as well, the phase or supply line provides electrical power such as AC power, consequently the voltage levels being measured along with the current levels also being measured are substantially AC levels in terms of volt and amperes.
- The plurality of light sources or just a single light source is to be selected among a incandescent lamp, a bulb, a fluorescent lamp, a neon light, a Hg lamp, a sodium street lamp, a light emitting diode or a light emitting diodes light source and other sources of light suitable for illumination of areas.
- The monitoring unit in a street light application being, a street light station, alternatively a lighting controller or a client. The alert receiving unit may be a server or a cellular phone.
- Moreover, the communication unit may transmit or send the discussed alert messages through means of the pair of power supply lines, e.g. by superimposing a communication signal in the sinus wave of 50 or 60 cycles per second.
- The communication unit may alternatively or additionally send the alert messages through means of a wireless communication, e.g. via a GSM network for example by means of textual messages, e.g. SMS messages.
- Conversely, the communication unit may receive commands from the alert receiving unit through means of the one or two of the pair of power supply lines or by means of a textual message, e.g. a SMS message.
- Appropriately, the implemented way of communicating forth and back between the alert receiving unit and the monitoring unit is chosen to be identical.
- The commands may be instructions to the monitoring unit to switch on or off one, two, three, etc or all of the light sources connected to the monitoring unit.
- Alternatively, or additionally the commands may be instructions to the monitoring unit to switch completely on or off one, two, three of the phases connected to light sources powered via the monitoring unit.
- In the following section the applicant provides the software implementation of the invention. When the term "Rimfaxe" or similar is applied it is equivalent with the monitoring unit. Correspondingly, when the terms "Loke", "Loke modem" or "modem" is applied it is equivalent with the communication unit.
the supply line and the return line being connected to the plurality of light sources and through the monitoring unit,
the pair of power supply lines providing electrical power to the plurality of light sources,
the monitoring unit comprising a voltage measuring circuit measuring the voltage across the pair of power supply lines,
the monitoring unit comprising a current measuring circuit measuring the current flowing through the supply line or the return line in response to the electrical power
provided to the plurality of light sources,
the monitoring unit defining a first time frame and a first point of time during the first time frame, during the first time frame a first steady state situation for the plurality of light sources is achieved,
the monitoring unit measuring at the first point of time a first voltage level by means of the voltage measuring circuit,
the monitoring unit measuring at the first point of time a first current level by means of the current measuring circuit,
the monitoring unit determining a first load resistance representing the active load resistance for the plurality of light sources being active during the first time frame based on the first voltage level and the first current level,
the monitoring unit defining a second time frame and a second point of time during the second time frame, during the second time frame a second steady state situation for the plurality of light sources is achieved, the second time frame being defined to take place after the first time frame has expired,
the monitoring unit measuring at the second point of time a second voltage level by means of the voltage measuring circuit,
the monitoring unit measuring at the second point of time a second current level by means of the current measuring circuit,
the monitoring unit determining a second load resistance representing the active load resistance for the plurality of light sources being active during the second time frame based on the second voltage level and the second current level,
the monitoring unit generating a first alert message provided the difference between the first and second load resistance exceeds a first specific threshold constituting a first alert criterion,
the monitoring unit comprising a communication unit for sending the first alert message to the alert receiving unit, and
the alert receiving unit acting or alerting in response to the reception of the first alert message.
the pair of input connectors being connectable to a pair of power supply lines constituting a supply line and a return line,
the pair of power supply lines providing electrical power,
the pair of output connectors being connectable to a plurality of light sources,
the pair of power supply lines providing an electrical power to the plurality of light sources through the monitoring unit,
the monitoring unit comprising a voltage measuring circuit measuring the voltage across the pair of power supply lines across the pair of input connectors or across the pair of output connectors,
the monitoring unit comprising a current measuring circuit measuring the current flowing through the supply line or the return line in response to the electrical power provided to the plurality of light sources, the current flowing between one of the pair of input connectors and one of the pair of output connectors,
the monitoring unit defining a first time frame and a first point of time during the first time frame, during the first time frame a first steady state situation for the plurality of light sources is achieved,
the monitoring unit measuring at the first point of time a first voltage level by means of the voltage measuring circuit,
the monitoring unit measuring at the first point of time a first current level by means of the current measuring circuit,
the monitoring unit determining a first load resistance representing the active load resistance for the plurality of light sources being active during the first time frame based on the first voltage level and the first current level,
the monitoring unit defining a second time frame and a second point of time during the second time frame, during the second time frame a second steady state situation for the plurality of light sources is achieved, the second time frame being defined to take place after the first time frame has expired,
the monitoring unit measuring at the second point of time a second voltage level by means of the voltage measuring circuit,
the monitoring unit measuring at the second point of time a second current level by means of the current measuring circuit,
the monitoring unit determining a second load resistance representing the active load resistance for the plurality of light sources being active during the second time frame based on the second voltage level and the second current level,
the monitoring unit generating a first alert message provided the difference between the first and second load resistance exceeds a first specific threshold constituting a first alert criterion,
the monitoring unit sending the first alert message through means of the communication unit to the alert receiving unit, and
the alert receiving unit acting or alerting in response to the reception of the first alert message.
| SERVER | -> serv1 -> | UNIT |
| <- serv2 <- |
Use:
Use:
Claims (67)
said pair of power supply lines constituting a supply line and a return line,
said supply line and said return line being connected to said plurality of light sources and through said monitoring unit,
said pair of power supply lines providing electrical power to said plurality of light sources,
said monitoring unit comprising a voltage measuring circuit measuring the voltage across said pair of power supply lines,
said monitoring unit comprising a current measuring circuit measuring the current flowing through said supply line or said return line in response to the electrical power provided to said plurality of light sources,
said monitoring unit defining a first time frame and a first point of time during said first time frame, during said first time frame a first steady state situation for said plurality of light sources is achieved,
said monitoring unit measuring at said first point of time a first voltage level by means of said voltage measuring circuit,
said monitoring unit measuring at said first point of time a first current level by means of said current measuring circuit,
said monitoring unit determining a first load resistance representing the active load resistance for said plurality of light sources being active during said first time frame based on said first voltage level and said first current level,
said monitoring unit defining a second time frame and a second point of time during said second time frame, during said second time frame a second steady state situation for said plurality of light sources is achieved, said second time frame being defined to take place after said first time frame has expired,
said monitoring unit measuring at said second point of time a second voltage level by means of said voltage measuring circuit,
said monitoring unit measuring at said second point of time a second current level by means of said current measuring circuit,
said monitoring unit determining a second load resistance representing the active load resistance for said plurality of light sources being active during said second time frame based on said second voltage level and said second current level,
said monitoring unit generating a first alert message provided the difference between said first and second load resistance exceeds a first specific threshold constituting a first alert criterion,
said monitoring unit comprising a communication unit for sending said first alert message to said alert receiving unit, and
said alert receiving unit acting or alerting in response to the reception of said first alert message.
said first and second points of time, and provided said ratio of said load resistance over time exceeds a second specific level said monitoring unit generating a second alert message and said communication unit of said monitoring unit sending said second alert message to said alert receiving unit, and said alert receiving unit further acting or alerting in response to the reception of said second alert message.
said monitoring unit having two pairs of connectors constituting a pair of input connectors and a pair of output connectors,
said pair of input connectors being connectable to a pair of power supply lines constituting a supply line and a return line,
said pair of power supply lines providing electrical power,
said pair of output connectors being connectable to a plurality of light sources,
said pair of power supply lines providing an electrical power to said plurality of light sources through said monitoring unit,
said monitoring unit comprising a voltage measuring circuit measuring the voltage across said pair of power supply lines across said pair of input connectors or across said pair of output connectors,
said monitoring unit comprising a current measuring circuit measuring the current flowing through said supply line or said return line in response to the electrical power provided to said plurality of light sources, the current flowing between one of said pair of input connectors and one of said pair of output connectors,
said monitoring unit defining a first time frame and a first point of time during said first time frame, during said first time frame a first steady state situation for said plurality of light sources is achieved,
said monitoring unit measuring at said first point of time a first voltage level by means of said voltage measuring circuit,
said monitoring unit measuring at said first point of time a first current level by means of said current measuring circuit,
said monitoring unit determining a first load resistance representing the active load resistance for said plurality of light sources being active during said first time frame based on said first voltage level and said first current level,
said monitoring unit defining a second time frame and a second point of time during said second time frame, during said second time frame a second steady state situation for said plurality of light sources is achieved, said second time frame being defined to take place after said first time frame has expired,
said monitoring unit measuring at said second point of time a second voltage level by means of said voltage measuring circuit,
said monitoring unit measuring at said second point of time a second current level by means of said current measuring circuit,
said monitoring unit determining a second load resistance representing the active load resistance for said plurality of light sources being active during said second time frame based on said second voltage level and said second current level,
said monitoring unit generating a first alert message provided the difference between said first and second load resistance exceeds a first specific threshold constituting a first alert criterion,
said monitoring unit sending said first alert message through means of said communication unit to said alert receiving unit, and
said alert receiving unit acting or alerting in response to the reception of said first alert message.
Priority Applications (2)
| Application Number | Priority Date | Filing Date | Title |
|---|---|---|---|
| EP06388040A EP1865756A1 (en) | 2006-06-06 | 2006-06-06 | Lighting system |
| PCT/DK2007/000268 WO2007140779A1 (en) | 2006-06-06 | 2007-06-06 | Lighting system |
Applications Claiming Priority (1)
| Application Number | Priority Date | Filing Date | Title |
|---|---|---|---|
| EP06388040A EP1865756A1 (en) | 2006-06-06 | 2006-06-06 | Lighting system |
Publications (1)
| Publication Number | Publication Date |
|---|---|
| EP1865756A1 true EP1865756A1 (en) | 2007-12-12 |
Family
ID=37136652
Family Applications (1)
| Application Number | Title | Priority Date | Filing Date |
|---|---|---|---|
| EP06388040A Withdrawn EP1865756A1 (en) | 2006-06-06 | 2006-06-06 | Lighting system |
Country Status (2)
| Country | Link |
|---|---|
| EP (1) | EP1865756A1 (en) |
| WO (1) | WO2007140779A1 (en) |
Cited By (5)
| Publication number | Priority date | Publication date | Assignee | Title |
|---|---|---|---|---|
| EP2572558A4 (en) * | 2010-05-19 | 2014-07-02 | Lsi Industries Inc | METHOD AND SYSTEM FOR MONITORING AND MONITORING LIGHTING SYSTEMS |
| CN104994665A (en) * | 2015-07-31 | 2015-10-21 | 中达电通股份有限公司 | Method for realizing partition control of centralized DC street lamps and system thereof |
| EP2950421A1 (en) * | 2014-06-01 | 2015-12-02 | Ifotec | Device for monitoring electrical parameters connected to the internet |
| US11762039B2 (en) | 2019-03-11 | 2023-09-19 | Crouzet Automatismes | Electrical installation comprising a monitoring module |
| US11914002B2 (en) | 2019-03-11 | 2024-02-27 | Crouzet Automatismes | Electrical installation comprising a monitoring module |
Families Citing this family (3)
| Publication number | Priority date | Publication date | Assignee | Title |
|---|---|---|---|---|
| US9008992B2 (en) | 2011-03-25 | 2015-04-14 | Thomas & Betts International, Inc. | Testing and monitoring an electrical system |
| CN105122949B (en) | 2013-04-26 | 2018-03-02 | 飞利浦灯具控股公司 | DSS for lighting mains |
| US9835672B1 (en) * | 2016-12-06 | 2017-12-05 | Elecsys International Corporation | Power line assessment using a virtual circuit |
Citations (5)
| Publication number | Priority date | Publication date | Assignee | Title |
|---|---|---|---|---|
| US5479159A (en) * | 1991-03-08 | 1995-12-26 | Mutual Systems Ltd. | Apparatus and system for street light monitoring |
| WO2000024229A1 (en) * | 1998-10-22 | 2000-04-27 | Safegate International Ab | Deteriorated filament detection |
| WO2002067637A1 (en) * | 2001-02-16 | 2002-08-29 | Raynesway Construction Southern Ltd | Road lighting system |
| US20040204917A1 (en) * | 1997-04-16 | 2004-10-14 | A.L. Air Data | Lamp monitoring and control system and method |
| GB2403357A (en) * | 2003-06-25 | 2004-12-29 | Lighthouse Data Man Ltd | Monitoring system for public lighting |
-
2006
- 2006-06-06 EP EP06388040A patent/EP1865756A1/en not_active Withdrawn
-
2007
- 2007-06-06 WO PCT/DK2007/000268 patent/WO2007140779A1/en not_active Ceased
Patent Citations (5)
| Publication number | Priority date | Publication date | Assignee | Title |
|---|---|---|---|---|
| US5479159A (en) * | 1991-03-08 | 1995-12-26 | Mutual Systems Ltd. | Apparatus and system for street light monitoring |
| US20040204917A1 (en) * | 1997-04-16 | 2004-10-14 | A.L. Air Data | Lamp monitoring and control system and method |
| WO2000024229A1 (en) * | 1998-10-22 | 2000-04-27 | Safegate International Ab | Deteriorated filament detection |
| WO2002067637A1 (en) * | 2001-02-16 | 2002-08-29 | Raynesway Construction Southern Ltd | Road lighting system |
| GB2403357A (en) * | 2003-06-25 | 2004-12-29 | Lighthouse Data Man Ltd | Monitoring system for public lighting |
Cited By (5)
| Publication number | Priority date | Publication date | Assignee | Title |
|---|---|---|---|---|
| EP2572558A4 (en) * | 2010-05-19 | 2014-07-02 | Lsi Industries Inc | METHOD AND SYSTEM FOR MONITORING AND MONITORING LIGHTING SYSTEMS |
| EP2950421A1 (en) * | 2014-06-01 | 2015-12-02 | Ifotec | Device for monitoring electrical parameters connected to the internet |
| CN104994665A (en) * | 2015-07-31 | 2015-10-21 | 中达电通股份有限公司 | Method for realizing partition control of centralized DC street lamps and system thereof |
| US11762039B2 (en) | 2019-03-11 | 2023-09-19 | Crouzet Automatismes | Electrical installation comprising a monitoring module |
| US11914002B2 (en) | 2019-03-11 | 2024-02-27 | Crouzet Automatismes | Electrical installation comprising a monitoring module |
Also Published As
| Publication number | Publication date |
|---|---|
| WO2007140779A1 (en) | 2007-12-13 |
Similar Documents
| Publication | Publication Date | Title |
|---|---|---|
| US6441565B1 (en) | Intelligent outdoor lighting control system | |
| US5962991A (en) | Intelligent outdoor lighting control system | |
| US9521733B2 (en) | Dual-mode luminaire controllers | |
| WO2007140779A1 (en) | Lighting system | |
| US6841944B2 (en) | Luminaire diagnostic and configuration identification system | |
| US6791284B1 (en) | Intelligent outdoor lighting control system | |
| CA2417913C (en) | System for monitoring and testing of light sources | |
| US20050190078A1 (en) | Lighting System | |
| CA2329621A1 (en) | Lighting installation, for instance, airport or road navigation lights | |
| WO2016064542A1 (en) | Detection and correction of faulty photo controls in outdoor luminaires | |
| AU2002311963A1 (en) | Distributed track network control system | |
| EP1404563A2 (en) | Distributed track network control system | |
| GB2390203A (en) | Electronic control system uses two command strings for a single system command | |
| CN106793421A (en) | A kind of navaid loop fault register control, method and navaid lamp control system | |
| US20070228223A1 (en) | Device for activation and monitoring of a light-signal system for railway traffic | |
| DE3313489A1 (en) | DEVICE FOR REMOTELY DETECTING A DAMAGED LAMP IN A LIGHTING SYSTEM WITH A MULTIPLE LAMP OF PARALLELS | |
| EP2482621A2 (en) | Light and method for controlling same | |
| NL1033581C2 (en) | Detection device of a short-circuit bridge. | |
| TWM437587U (en) | Remote streetlamp monitoring system | |
| CN102017537A (en) | Device management system | |
| CN116234095A (en) | Signal lamp control system and control method | |
| KR102103879B1 (en) | Control Device of Street Lighting for function of fault detection Using in Safe Voltage | |
| WO2006047583A2 (en) | A system for rapid remote management of equipment | |
| EP1935747B1 (en) | Device for detecting a short-circuit bridge | |
| CN104684225A (en) | Street lamp remote control system |
Legal Events
| Date | Code | Title | Description |
|---|---|---|---|
| PUAI | Public reference made under article 153(3) epc to a published international application that has entered the european phase |
Free format text: ORIGINAL CODE: 0009012 |
|
| AK | Designated contracting states |
Kind code of ref document: A1 Designated state(s): AT BE BG CH CY CZ DE DK EE ES FI FR GB GR HU IE IS IT LI LT LU LV MC NL PL PT RO SE SI SK TR |
|
| AX | Request for extension of the european patent |
Extension state: AL BA HR MK YU |
|
| RAP1 | Party data changed (applicant data changed or rights of an application transferred) |
Owner name: POWERSENSE A/S |
|
| AKX | Designation fees paid | ||
| REG | Reference to a national code |
Ref country code: DE Ref legal event code: 8566 |
|
| STAA | Information on the status of an ep patent application or granted ep patent |
Free format text: STATUS: THE APPLICATION IS DEEMED TO BE WITHDRAWN |
|
| 18D | Application deemed to be withdrawn |
Effective date: 20080613 |





