EP0493716A1 - Functionalized heteroaromatic compounds for nonlinear optical applications - Google Patents
Functionalized heteroaromatic compounds for nonlinear optical applications Download PDFInfo
- Publication number
- EP0493716A1 EP0493716A1 EP91121269A EP91121269A EP0493716A1 EP 0493716 A1 EP0493716 A1 EP 0493716A1 EP 91121269 A EP91121269 A EP 91121269A EP 91121269 A EP91121269 A EP 91121269A EP 0493716 A1 EP0493716 A1 EP 0493716A1
- Authority
- EP
- European Patent Office
- Prior art keywords
- group
- compound
- attached
- nlo
- ring
- Prior art date
- Legal status (The legal status is an assumption and is not a legal conclusion. Google has not performed a legal analysis and makes no representation as to the accuracy of the status listed.)
- Withdrawn
Links
- 0 I[*+]C(CC1)C=CC1C=C[C@@]1SCCC1 Chemical compound I[*+]C(CC1)C=CC1C=C[C@@]1SCCC1 0.000 description 2
- MDSNFBJUSQBIKH-AATRIKPKSA-N CCCN(CC1)CCN1c1ccc(/C=C/C2SC=CC2)[s]1 Chemical compound CCCN(CC1)CCN1c1ccc(/C=C/C2SC=CC2)[s]1 MDSNFBJUSQBIKH-AATRIKPKSA-N 0.000 description 1
- UVMQTKAKQMRVBH-UHFFFAOYSA-N NC1=NCC([N+]([O-])=O)S1 Chemical compound NC1=NCC([N+]([O-])=O)S1 UVMQTKAKQMRVBH-UHFFFAOYSA-N 0.000 description 1
- VVKUXAWDRWQUJH-ONEGZZNKSA-N OCCN(CC1)CCN1c1ccc(/C=C/c2ccc[s]2)[s]1 Chemical compound OCCN(CC1)CCN1c1ccc(/C=C/c2ccc[s]2)[s]1 VVKUXAWDRWQUJH-ONEGZZNKSA-N 0.000 description 1
Images
Classifications
-
- C—CHEMISTRY; METALLURGY
- C07—ORGANIC CHEMISTRY
- C07D—HETEROCYCLIC COMPOUNDS
- C07D417/00—Heterocyclic compounds containing two or more hetero rings, at least one ring having nitrogen and sulfur atoms as the only ring hetero atoms, not provided for by group C07D415/00
- C07D417/02—Heterocyclic compounds containing two or more hetero rings, at least one ring having nitrogen and sulfur atoms as the only ring hetero atoms, not provided for by group C07D415/00 containing two hetero rings
- C07D417/12—Heterocyclic compounds containing two or more hetero rings, at least one ring having nitrogen and sulfur atoms as the only ring hetero atoms, not provided for by group C07D415/00 containing two hetero rings linked by a chain containing hetero atoms as chain links
-
- C—CHEMISTRY; METALLURGY
- C07—ORGANIC CHEMISTRY
- C07D—HETEROCYCLIC COMPOUNDS
- C07D333/00—Heterocyclic compounds containing five-membered rings having one sulfur atom as the only ring hetero atom
- C07D333/02—Heterocyclic compounds containing five-membered rings having one sulfur atom as the only ring hetero atom not condensed with other rings
- C07D333/04—Heterocyclic compounds containing five-membered rings having one sulfur atom as the only ring hetero atom not condensed with other rings not substituted on the ring sulphur atom
- C07D333/06—Heterocyclic compounds containing five-membered rings having one sulfur atom as the only ring hetero atom not condensed with other rings not substituted on the ring sulphur atom with only hydrogen atoms, hydrocarbon or substituted hydrocarbon radicals, directly attached to the ring carbon atoms
- C07D333/14—Radicals substituted by singly bound hetero atoms other than halogen
- C07D333/20—Radicals substituted by singly bound hetero atoms other than halogen by nitrogen atoms
-
- C—CHEMISTRY; METALLURGY
- C07—ORGANIC CHEMISTRY
- C07D—HETEROCYCLIC COMPOUNDS
- C07D333/00—Heterocyclic compounds containing five-membered rings having one sulfur atom as the only ring hetero atom
- C07D333/02—Heterocyclic compounds containing five-membered rings having one sulfur atom as the only ring hetero atom not condensed with other rings
- C07D333/04—Heterocyclic compounds containing five-membered rings having one sulfur atom as the only ring hetero atom not condensed with other rings not substituted on the ring sulphur atom
- C07D333/06—Heterocyclic compounds containing five-membered rings having one sulfur atom as the only ring hetero atom not condensed with other rings not substituted on the ring sulphur atom with only hydrogen atoms, hydrocarbon or substituted hydrocarbon radicals, directly attached to the ring carbon atoms
- C07D333/22—Radicals substituted by doubly bound hetero atoms, or by two hetero atoms other than halogen singly bound to the same carbon atom
-
- C—CHEMISTRY; METALLURGY
- C07—ORGANIC CHEMISTRY
- C07D—HETEROCYCLIC COMPOUNDS
- C07D333/00—Heterocyclic compounds containing five-membered rings having one sulfur atom as the only ring hetero atom
- C07D333/02—Heterocyclic compounds containing five-membered rings having one sulfur atom as the only ring hetero atom not condensed with other rings
- C07D333/04—Heterocyclic compounds containing five-membered rings having one sulfur atom as the only ring hetero atom not condensed with other rings not substituted on the ring sulphur atom
- C07D333/06—Heterocyclic compounds containing five-membered rings having one sulfur atom as the only ring hetero atom not condensed with other rings not substituted on the ring sulphur atom with only hydrogen atoms, hydrocarbon or substituted hydrocarbon radicals, directly attached to the ring carbon atoms
- C07D333/24—Radicals substituted by carbon atoms having three bonds to hetero atoms with at the most one bond to halogen, e.g. ester or nitrile radicals
-
- C—CHEMISTRY; METALLURGY
- C07—ORGANIC CHEMISTRY
- C07D—HETEROCYCLIC COMPOUNDS
- C07D333/00—Heterocyclic compounds containing five-membered rings having one sulfur atom as the only ring hetero atom
- C07D333/02—Heterocyclic compounds containing five-membered rings having one sulfur atom as the only ring hetero atom not condensed with other rings
- C07D333/04—Heterocyclic compounds containing five-membered rings having one sulfur atom as the only ring hetero atom not condensed with other rings not substituted on the ring sulphur atom
- C07D333/26—Heterocyclic compounds containing five-membered rings having one sulfur atom as the only ring hetero atom not condensed with other rings not substituted on the ring sulphur atom with hetero atoms or with carbon atoms having three bonds to hetero atoms with at the most one bond to halogen, e.g. ester or nitrile radicals, directly attached to ring carbon atoms
- C07D333/30—Hetero atoms other than halogen
- C07D333/36—Nitrogen atoms
-
- C—CHEMISTRY; METALLURGY
- C07—ORGANIC CHEMISTRY
- C07D—HETEROCYCLIC COMPOUNDS
- C07D333/00—Heterocyclic compounds containing five-membered rings having one sulfur atom as the only ring hetero atom
- C07D333/02—Heterocyclic compounds containing five-membered rings having one sulfur atom as the only ring hetero atom not condensed with other rings
- C07D333/04—Heterocyclic compounds containing five-membered rings having one sulfur atom as the only ring hetero atom not condensed with other rings not substituted on the ring sulphur atom
- C07D333/26—Heterocyclic compounds containing five-membered rings having one sulfur atom as the only ring hetero atom not condensed with other rings not substituted on the ring sulphur atom with hetero atoms or with carbon atoms having three bonds to hetero atoms with at the most one bond to halogen, e.g. ester or nitrile radicals, directly attached to ring carbon atoms
- C07D333/42—Heterocyclic compounds containing five-membered rings having one sulfur atom as the only ring hetero atom not condensed with other rings not substituted on the ring sulphur atom with hetero atoms or with carbon atoms having three bonds to hetero atoms with at the most one bond to halogen, e.g. ester or nitrile radicals, directly attached to ring carbon atoms with nitro or nitroso radicals directly attached to ring carbon atoms
- C07D333/44—Heterocyclic compounds containing five-membered rings having one sulfur atom as the only ring hetero atom not condensed with other rings not substituted on the ring sulphur atom with hetero atoms or with carbon atoms having three bonds to hetero atoms with at the most one bond to halogen, e.g. ester or nitrile radicals, directly attached to ring carbon atoms with nitro or nitroso radicals directly attached to ring carbon atoms attached in position 5
-
- G—PHYSICS
- G02—OPTICS
- G02F—OPTICAL DEVICES OR ARRANGEMENTS FOR THE CONTROL OF LIGHT BY MODIFICATION OF THE OPTICAL PROPERTIES OF THE MEDIA OF THE ELEMENTS INVOLVED THEREIN; NON-LINEAR OPTICS; FREQUENCY-CHANGING OF LIGHT; OPTICAL LOGIC ELEMENTS; OPTICAL ANALOGUE/DIGITAL CONVERTERS
- G02F1/00—Devices or arrangements for the control of the intensity, colour, phase, polarisation or direction of light arriving from an independent light source, e.g. switching, gating or modulating; Non-linear optics
- G02F1/35—Non-linear optics
- G02F1/355—Non-linear optics characterised by the materials used
- G02F1/361—Organic materials
-
- G—PHYSICS
- G02—OPTICS
- G02F—OPTICAL DEVICES OR ARRANGEMENTS FOR THE CONTROL OF LIGHT BY MODIFICATION OF THE OPTICAL PROPERTIES OF THE MEDIA OF THE ELEMENTS INVOLVED THEREIN; NON-LINEAR OPTICS; FREQUENCY-CHANGING OF LIGHT; OPTICAL LOGIC ELEMENTS; OPTICAL ANALOGUE/DIGITAL CONVERTERS
- G02F1/00—Devices or arrangements for the control of the intensity, colour, phase, polarisation or direction of light arriving from an independent light source, e.g. switching, gating or modulating; Non-linear optics
- G02F1/35—Non-linear optics
- G02F1/355—Non-linear optics characterised by the materials used
- G02F1/361—Organic materials
- G02F1/3611—Organic materials containing Nitrogen
- G02F1/3612—Heterocycles having N as heteroatom
-
- G—PHYSICS
- G02—OPTICS
- G02F—OPTICAL DEVICES OR ARRANGEMENTS FOR THE CONTROL OF LIGHT BY MODIFICATION OF THE OPTICAL PROPERTIES OF THE MEDIA OF THE ELEMENTS INVOLVED THEREIN; NON-LINEAR OPTICS; FREQUENCY-CHANGING OF LIGHT; OPTICAL LOGIC ELEMENTS; OPTICAL ANALOGUE/DIGITAL CONVERTERS
- G02F1/00—Devices or arrangements for the control of the intensity, colour, phase, polarisation or direction of light arriving from an independent light source, e.g. switching, gating or modulating; Non-linear optics
- G02F1/35—Non-linear optics
- G02F1/355—Non-linear optics characterised by the materials used
- G02F1/361—Organic materials
- G02F1/3613—Organic materials containing Sulfur
- G02F1/3614—Heterocycles having S as heteroatom
-
- G—PHYSICS
- G02—OPTICS
- G02F—OPTICAL DEVICES OR ARRANGEMENTS FOR THE CONTROL OF LIGHT BY MODIFICATION OF THE OPTICAL PROPERTIES OF THE MEDIA OF THE ELEMENTS INVOLVED THEREIN; NON-LINEAR OPTICS; FREQUENCY-CHANGING OF LIGHT; OPTICAL LOGIC ELEMENTS; OPTICAL ANALOGUE/DIGITAL CONVERTERS
- G02F1/00—Devices or arrangements for the control of the intensity, colour, phase, polarisation or direction of light arriving from an independent light source, e.g. switching, gating or modulating; Non-linear optics
- G02F1/35—Non-linear optics
- G02F1/355—Non-linear optics characterised by the materials used
- G02F1/361—Organic materials
- G02F1/3615—Organic materials containing polymers
-
- G—PHYSICS
- G02—OPTICS
- G02F—OPTICAL DEVICES OR ARRANGEMENTS FOR THE CONTROL OF LIGHT BY MODIFICATION OF THE OPTICAL PROPERTIES OF THE MEDIA OF THE ELEMENTS INVOLVED THEREIN; NON-LINEAR OPTICS; FREQUENCY-CHANGING OF LIGHT; OPTICAL LOGIC ELEMENTS; OPTICAL ANALOGUE/DIGITAL CONVERTERS
- G02F1/00—Devices or arrangements for the control of the intensity, colour, phase, polarisation or direction of light arriving from an independent light source, e.g. switching, gating or modulating; Non-linear optics
- G02F1/35—Non-linear optics
- G02F1/355—Non-linear optics characterised by the materials used
- G02F1/361—Organic materials
- G02F1/3615—Organic materials containing polymers
- G02F1/3616—Organic materials containing polymers having the non-linear optical group in the main chain
-
- G—PHYSICS
- G02—OPTICS
- G02F—OPTICAL DEVICES OR ARRANGEMENTS FOR THE CONTROL OF LIGHT BY MODIFICATION OF THE OPTICAL PROPERTIES OF THE MEDIA OF THE ELEMENTS INVOLVED THEREIN; NON-LINEAR OPTICS; FREQUENCY-CHANGING OF LIGHT; OPTICAL LOGIC ELEMENTS; OPTICAL ANALOGUE/DIGITAL CONVERTERS
- G02F1/00—Devices or arrangements for the control of the intensity, colour, phase, polarisation or direction of light arriving from an independent light source, e.g. switching, gating or modulating; Non-linear optics
- G02F1/35—Non-linear optics
- G02F1/355—Non-linear optics characterised by the materials used
- G02F1/361—Organic materials
- G02F1/3615—Organic materials containing polymers
- G02F1/3617—Organic materials containing polymers having the non-linear optical group in a side chain
Definitions
- the present invention relates to heteroaromatic compounds with nonlinear optical properties.
- the present invention relates to nonlinear optical materials having highly conjugated structures with two or more aromatic rings, at least one of which is a five-membered heteroaromatic ring.
- the compounds of the present invention once suitably oriented, are capable of highly efficient second harmonic generation (SHG) and electro-optic modulation of an electromagnetic wave whose wavelength may be between 300 nm and 2000 nm.
- SHG second harmonic generation
- the present invention further relates to the incorporation of the compounds of the present invention into polymeric matrices, including polymers having side chains of the disclosed compounds.
- Nonlinear optical (NLO) materials capable of doubling or tripling the frequency of incident light are currently of great scientific and technological interest for use in optical telecommunications, signal processing and the construction of optical computers.
- Nonlinear optics is concerned with the interaction of electromagnetic fields in various media to produce new fields which may be altered in phase, frequency or amplitude.
- P is the polarization of the material
- E is the intensity of the electric field
- the coefficients alpha, beta, gamma, etc. are indicative of the NLO susceptibility of the material.
- Such coefficients are constant for a given material, but vary from material to material.
- the second order coefficient, beta, for a given material is indicative of the SHG properties of the material, with SHG efficiencies increasing as the value of beta increases.
- Candidate NLO materials should possess good physical properties, such as high optical transparency, low dielectric constant, high laser damage threshold, good solubility in the solvents used for spin casting of optical materials, and the like.
- the materials should also possess the mechanical and thermal properties required of optical materials, in particular, high beta values, fast response times and nonlinear susceptibility over a broad range of wavelengths, particularly at wavelengths between about 300 nm and about 2000 nm.
- the first NLO materials were monocrystal minerals such as KH2PO4, LiNbO3, InSb and NH4H2PO4.
- KH2PO4, LiNbO3, InSb and NH4H2PO4 monocrystal minerals
- LiNbO3, InSb and NH4H2PO4 costly to grow in high optical quality and show relatively low SHG properties.
- These materials are expected to be replaced by organic and polymeric materials with large delocalized pi-electron systems, which not only exhibit greater nonlinear susceptibilities, but also can be varied to optimize the desired physical and mechanical properties.
- the chromophore side chain is covalently attached to the polymer by a reactive binding, typically a long chain alkyl group linking one of the aromatic rings of the chromophore to a reactive functional side chain of the polymer.
- a reactive binding typically a long chain alkyl group linking one of the aromatic rings of the chromophore to a reactive functional side chain of the polymer.
- the aromatic ring attached to the reactive binding is ring-substituted with an electron donating group while the aromatic ring at the end of the chromophore is ring-substituted with an electron accepting group, and the dipoles of the chromophores are aligned, in accordance with the method described by Williams and by U.S. Patent No. 4,935,292.
- Some azomethine derived chromophores which contain five-membered heteroaromatic rings, are disclosed as having third order NLO susceptibilities by Dirk, Proc. SPIE-Int. Soc. Opt. Eng. , 1147 , 18-25 (1989).
- the reported third order susceptibility of these materials is low, and second order properties cannot be reasonably predicted from third order susceptibilities, let alone from low-value third order susceptibility.
- U.S. Patent No. 4,894,263 discloses that either method of attachment may be used depending on the constituents of the material. It is further disclosed that the constituents of the chromophore may be assembled in one or more steps.
- the chromophores are covalently linked to polymer backbones because of their limited solubility in polymer matrices.
- the synthesis of polymers having polar side groups such as chromophores possessing a high degree of charge asymmetry can be problematic.
- the limited solubility is also exhibited by the chromophores and monomer-linked chromophores in polymerization solvents, and by the chromophores in reaction solvents for linking monomers and chromophores.
- the electron accepting groups of chromophores possess reactivity toward radicals that, together with the low monomer solubility, results in low yields of polymers having low broad molecular weights (typically less than 15,000 daltons), low Tg's and low chromophore incorporation.
- the number of electron-acceptor groups employed with NLO-chromophores is the tricyanovinyl functional group, which is preferred because it induces a large degree on nonlinearity. However, it is highly susceptible to polymerization conditions. This limits the incorporation of this functional group into polymers containing NLO-chromophores.
- the polymer is spin-cast to form a film, which is then heated to near its glass-rubber transition temperature (T g ) to enhance molecular motion, including rotation of the chromophore side chains.
- T g glass-rubber transition temperature
- An intense electric field is then applied to the heated film for a given length of time and the film is then cooled to well below the Tg in the presence of the electric field.
- NLO efficiency can be increased by repeatedly heating the material above and then cooling it below the Tg several times prior to applying the electric field. It is disclosed that this reduces the number of pinholes, voids, free volume and other anomalies that can cause short circuits during poling, and also removes residual stress from the film.
- NLO properties such as high second order susceptibilities, good solubility and ease of functionalization.
- These new compounds contain two or more aromatic rings, at least one of which is a five-membered heteroaromatic ring containing one heteroatom selected from O, N, S and Se and optionally including up to three additional N-heteroatoms.
- a nonlinear optical compound corresponding to the Formula I D-(Ar-(B-) n ) m Ar-A (I) wherein each Ar is an aromatic substituent independently selected from six-membered aromatic rings, five-membered heteroaromatic rings, fused ring systems containing at least one six-membered aromatic ring and fused ring systems containing at least one five-membered heteroaromatic ring; with the proviso that at least one Ar is selected from five-membered heteroaromatic rings and fused ring systems containing at least one five-membered heteroaromatic ring.
- the heteroaromatic rings contain one heteroatom selected from O, N, S and Se.
- B is a conjugated functional group
- D is a first electron donating group
- A is a first electron accepting group.
- n for each B is independently selected from zero, one, two and three, and m is from one to nine and B, D or A are attached to a member of the heteroaromatic ring alpha to a heteroatom, and when Ar is an aromatic ring, B is attached to a member of the aromatic ring para to D, A or another B.
- A is a tricyanovinyl electron accepting group that is attached to a heteroaromatic ring, alpha to the heteroatom of the ring.
- R7 is a five-membered heteroaromatic ring or a fused ring system containing at least one five-membered heteroaromatic ring, which heteroaromatic ring or rings have one heteroatom selected from O, N, S and Se.
- the tricyanovinyl group is substituted alpha to a heteroatom.
- One aspect of the present invention provides non-centrosymmetric crystals of the above mentioned compounds for use as second order nonlinear optical materials.
- Another aspect of the present invention provides a combination exhibiting second order nonlinear optical properties.
- Such a combination includes a chemically inert medium and the nonlinear optical compound of the present invention.
- the nonlinear optical compounds of these combinations preferably have an external field-induced molecular alignment.
- the nonlinear optical compound is disposed as a layer or layers on a substrate of the chemically inert medium, which chemically inert medium is selected from glass, silica, silicon and polymeric materials.
- the nonlinear optical compound is in the form of a blend of a guest compound in a host matrix, with the nonlinear optical compound of the present invention serving as the guest compound and the chemically inert medium serving as the host matrix, and preferably being a thermoplastic polymer, especially one selected from polyacrylates, polymethacrylates, polyacrylamides, polycarbonates, polyamides, polyesters, polystyrenes, polyimides, polyether ketones, polyether etherketones, polyphenylene ethers and copolymers thereof.
- pendant side chains of the nonlinear optical material of the present invention are covalently bonded to a chemically inert polymeric material so that a combination is provided corresponding to Formula II: wherein R1 and R3 are monomeric subunits independently selected from (meth)acrylate, imide, amide, (meth)acrylamide, styrene, ⁇ -alkyl styrene, vinyl halide, (meth)acrylonitrile, vinyl alcohol, vinyl acetate, polyester, polyphenylene ether, polyether ketone, polyether ether ketone, ethylene, propylene, isobutylene, isoprene, acid anhydride, and polycarbonate monomeric subunits, wherein each R1 subunit includes a functional group through which side chains may be attached; R2 is a straight-chained or branched alkyl, alkoxy, alkylthio or alkylamino group containing from one to ten carbon atom
- p is zero or one, provided that when p is zero, R2 is attached to the functional group by the alkyl moiety and R2 is an alkoxy, alkylthio or alkylamino group.
- Ar, B, D, A, m and n are as described above; and the ratio of a to b is between about 1:99 and about 50:50.
- A is a tricyanovinyl electron accepting group that is attached to a heteroaromatic ring, alpha to the heteroatom of the ring.
- a polymeric non-linear optical compound in accordance with this embodiment has a structure represented by Formula IIA: D, Ar, B, R7, m, n, and p are the same as described above with respect to Formula IA, R1, R2, R3 and the ratio of a to b is the same as described above with respect to Formula II.
- the tricyanovinyl group is substituted alpha to a heteroatom.
- R2 or D and B are attached to a member of the heteroaromatic ring of Ar or R7 alpha to a heteroatom, and when Ar is an aromatic ring, B is attached to a member of the aromatic ring para to R2 or D or another B.
- Another aspect of the present invention provides a method of preparing a polymer having second order non-linear optical properties.
- the method includes the steps of forming a reaction mixture of tetracyanoethylene and a base polymer having pendant side chains, which polymer has recurring structural units represented by Formula III: in a basic solvent at a temperature between about 0°C and about 150°C, so that R7 of the pendant side chain is tricyanovinylated; and recovering the resulting polymer having pendant tricyanovinylated side chains; R1, R2, R3, Ar, B, D, R7, m, n and p and the ratio of a to b are the same as described above with respect to Formula IIA.
- R7 is a five-membered heteroaromatic ring or a fused ring system containing at least one five-membered heteroaromatic ring, which heteroaromatic ring or rings have one heteroatom selected from O, N, S and Se; and R2 or D and B are attached to a member of the heteroaromatic ring of Ar or R7 alpha to a heteroatom, and when Ar is an aromatic ring, B is attached to a member of the aromatic ring para to R2 or another B.
- the base polymer includes recurring structural units represented by Formula III, in which R1, R2, R3, Ar, B, D, R7, m, n, p and the ratio of a to b are the same as described above with respect to Formula III.
- the NLO compounds of the present invention possess at least the second order NLO properties of the materials of the prior art, and in most instances demonstrate far superior second order NLO properties.
- Those compounds that possess equivalent second order NLO properties compared to the prior art have significantly increased solubility both in polymer matrices and in spin-casting solvents, attributable to the presence of five-membered heteroaromatic rings, making the compounds ideal candidates for NLO materials.
- the increase in solubility is so dramatic that it is now possible to include in polymer matrices or dissolve in spin-casting solvents compounds having three, four or even more heteroaromatic rings or ring systems. Without the presence of one or more five-membered heteroaromatic rings, the compounds would otherwise be completely insoluble.
- the additional five-membered heteroaromatic rings provide the compounds with superior second order NLO properties.
- the presence of the five-membered heteroaromatic ring increases the extent of the electron delocalization and facilitates the enhancement of the NLO activity as the number of aromatic rings increases.
- the NLO activity ceases to significantly increase when the total number of aromatic rings is more than two.
- the increased second order NLO properties of the NLO compounds of the present invention is also not simply the result of increasing the number of aromatic rings. While not being bound by any particular theory, it is believed that the increased efficiency of the second order NLO properties of the heteroaromatic NLO compounds of the present invention is attributable to the higher degree of pi-delocalization possessed by a five-membered heteroaromatic ring.
- the use of five-membered as opposed to six-membered heteroaromatic rings also eliminates the use of ionic heteroaromatic species that cause severe current leakage during the dipole-alignment electric field poling processes.
- the present invention further includes the discovery that the second order NLO properties of five-membered heteroaromatic ring compounds are significantly increased by the use of particularly strong electron donating groups such as pyrrolidine, tetrathiafulvalene and particularly strong electron accepting groups such as dicyanoethylene, tricyanoethylene, and dinitroethylene.
- the second order NLO properties improvement resulting from the use of strong electron donating and accepting groups with heteroaromatic compounds has been discovered to be significantly greater than the improvement resulting from the use of strong electron donating and accepting groups with compounds having only benzenoid-aromatic rings.
- the compounds of the present invention in addition to their improved SHG efficiencies, are also much easier to synthesize than their non-heteroaromatic counterparts.
- the present invention additionally includes the discovery that when the aromatic ring to which the electron accepting group is to be attached is a five-membered heteroaromatic ring, the strong electron accepting group tricyanoethylene can be readily attached to the heteroaromatic ring, by reacting the ring with tetracyanoethylene in a basic solvent at a given temperature. Tetracyanoethylene will not react with extended benzenoid structures under these conditions.
- the tricyanoethylene group is so readily attached that polymeric materials can first be synthesized from monomers having covalently bonded pendant side chains of the non-linear optical materials of the present invention having no electron accepting groups. This alleviates the solubility and reactivity problems associated with particularly strong electron accepting groups in polymerization reactions, resulting in polymers having high molecular weights and polymer yields as high as 100%.
- the base polymer is then easily reacted with tetracyanoethylene in a basic solvent at a given temperature to attach the tricyanoethylene group to the pendant side chain.
- Full attachment of the group is possible with copolymers having up to 40% monomeric subunits with pendant side chains of non-linear optical materials.
- the high molecular weight base polymer has good overall solubility and a low T g .
- the T g increases upon attachment of the tricyanoethylene group although the solubility does not significantly suffer.
- It is possible to take advantage of the low T g of the base polymer by first forming a thin film of the base polymer and then reacting the base polymer film with tetracyanoethylene to attach tricyanoethylene groups to the polymer and produce a film having non-linear optical properties. This is particularly desirable if the difference in T g between the base polymer and polymer having non-linear optical properties result in the base polymer having significantly superior mechanical properties over the polymer having non-linear optical properties.
- the compounds of the present invention are thermally stable, photochemically unreactive, have high laser damage thresholds, are easily synthesized and have well-known and understood chemical properties.
- heteroaromatic NLO compounds of the present invention once suitably oriented, exhibit a high second order NLO susceptibility.
- Compounds suitable for use as second order NLO chromophore materials according to the present invention have from two to ten five-membered heteroaromatic or six-membered aromatic rings and/or fused ring systems of five- and/or six-membered aromatic or heteroaromatic rings, with one or more pi-conjugated functional groups bridged between the rings or ring systems.
- aromatic are defined as aromatic carbocyclic rings such as phenyl groups.
- Heteroaromatic are defined as being limited to aromatic heterocyclic rings, thereby excluding carbocyclic rings such as phenyl groups.
- the bridged ring compounds will thus possess the structure of Formula I.
- the number of aromatic rings or fused ring systems, Ar, in a side chain is designated as m+1, and is from two to ten, and preferably from two to four. That is, m is from one to nine, and preferably from one to three.
- the aromatic rings or fused ring systems within each compound may be the same or different.
- At least one ring, Ar, alone, or within a fused ring system, is a five-membered heteroaromatic ring having one heteroatom selected from O, N, S and Se.
- the heteroaromatic ring may optionally include up to three additional N atoms.
- the NLO compounds contain two or more of the five-membered heteroaromatic rings, alone or as part of a ring system. Most preferably, all the rings in the NLO compounds are five-membered heteroaromatic rings, and all ring systems contain a five-membered heteroaromatic ring. When two or more heteroaromatic rings are present, the rings may have the same or different heteroatoms.
- Suitable rings and ring systems include, but are not limited to, pyrrole, furan, thiophene, imidazole, oxazole, thiazole, triazole, tetrazole, pyrazole, pyrimidine, purine, quinolines, carbazole, benzene, naphthalene, furazan, pyrazine, indole, isoindole, indazole, phenothiazine, benzotriazole, anthracene, phenanthrene, azophenanthrenes, and the like.
- fused ring systems should not be so large as to hinder the solubility of the NLO compounds in polymer matrices or spin-casting solvents.
- the point at which fused ring system size interferes with solubility is easily identified by those of ordinary skill in the art. Fused ring systems of two to three rings are preferred, and two ring systems are most preferred.
- the adjacent aromatic rings in each NLO compound are bridged by from one to three pi-electron conjugated functional groups such as carbon-carbon, carbon-nitrogen or nitrogen-nitrogen functional groups, depicted in the foregoing structure as B.
- the adjacent aromatic rings are bridged by one or two of the conjugated functional groups.
- the conjugated functional groups may be the same or different and the number of conjugated functional groups between adjacent aromatic rings may vary within an NLO compound.
- the aromatic ring is heteroaromatic, the functional group is substituted on the ring alpha to a heteroatom.
- the functional group is substituted para to another functional group, an electron donating group or an electron acceptor group.
- pi-electron conjugated functional groups to bridge adjacent aromatic rings in NLO compounds is essentially conventional to the art of NLO active organic materials.
- the aromatic or heteroaromatic rings at each end of the structure are substituted with an electron donating group, D, and an electron accepting or withdrawing group, A.
- the electron donating group is substituted alpha to the heteroatom, preferably the same heteroatom that a conjugated functional group is alpha to.
- the electron donating group is substituted para- to the functional group bridging the ring to the ring adjacent to it.
- the electron accepting groups are attached to the aromatic ring at the opposite end of the structure.
- the electron accepting groups are substituted alpha to a heteroatom in heteroaromatic rings, preferably the same heteroatom that a functional group is alpha to, and on rings having no heteroatom are substituted para- to a functional group bridging the ring to a ring adjacent to it.
- the electron donating and accepting groups that are used to induce charge asymmetry to the conjugated ring systems of these structures are essentially conventional to the art of NLO active organic materials. Any functional group capable of releasing electrons into such a conjugated ring system is suitable for use as an electron donating group.
- R8 is a methyl group
- R4 is either hydrogen or a methyl group
- R5 and R6 are methyl, ethyl, hexyl, cyclopentyl, cyclohexyl, pyrrolidine, piperidine, piperazine and morpholine.
- E and F are members of a saturated or unsaturated five- to eight-membered cyclic ring or two ring system having five- to eight-membered rings that are electron donating in nature.
- E, F, G, and H are heteroatoms independently selected from O, N, S, Se and Te. Whether or not a ring is electron donating in nature to meet the definition of membership within this group is understood by those of ordinary skill in the art.
- Any functional group capable of withdrawing electrons from a conjugated ring system is suitable for use as an electron accepting group.
- suitable electron accepting groups known in the art include -NO2, -CN, -CHO, -COR, -COOR, -PO(OR)2, -SO2R, -SO3R, -PO(R)2 and wherein X, Y and Z are independently selected from hydrogen, -CN, -NO2, -COR, -COOR, -SO2R, -PO(R)2 and -PO(OR)2 and R is an alkyl group containing up to 15 carbon atoms, and preferably a methyl group.
- Strong electron donating and electron accepting groups are preferred, which significantly increase the second order NLO properties of the compounds of the invention.
- Examples of strong electron donating groups are -N(CH3)2 , pyrrolidine, piperidine, piperazine and morpholine.
- the most preferred strong electron donating group is pyrrolidine
- the non-linear optical compounds of the present invention preferably have a structure represented by Formula IA, in which D, Ar, B, R7, m and n are the same as described above with respect to Formula IA.
- the tricyanovinyl group is substituted alpha to the heteroatom.
- a preferred embodiment of the present invention includes a second electron donating group substituted alpha to the electron donating group on the aromatic ring at one end of the structure, or a second electron accepting group alpha to the electron accepting group on the aromatic ring at the opposite end of the structure, or both.
- the second electron donating or accepting group may be the same or different from the corresponding first electron donating or accepting group.
- the inclusion of a second electron donating or electron accepting group in the alpha position increases the second order NLO properties of the resulting material as compared to materials having single-substitution of electron donating and electron accepting groups.
- aromatic rings of the NLO compounds of the present invention may optionally be further substituted. Any number of functional groups can be substituted on the rings, provided that the groups are not so large or so numerous to cause undesirable steric hindrance effects, the occurrence of which will be clear to those of ordinary skill in the art.
- the Wittig reaction can be performed by the reaction of a phosphonium salt or phosphonate ester with an aldehyde in the presence of a base.
- the Wittig condensation reaction is illustrated in Scheme 1: NLO compounds having -C ⁇ C- (acetylene) bridges are prepared from stilbene type compounds by conventional methods. The stilbene is brominated and subsequently dehydrobrominated to yield the desired acetylene. The preparation of acetylene compounds is illustrated in Scheme 2.
- the azo coupling is illustrated in Scheme 5:
- Any of the aromatic rings, electron donating groups or electron accepting groups disclosed as being suitable for use with the present invention may be substituted for the aromatic rings, electron donating groups or electron accepting groups depicted in the foregoing schemes without undue experimentation.
- the foregoing procedures can be combined sequentially to provide NLO materials combining various five- or six-membered aromatic rings bridged by one or more of the same or different stilbene, Schiff base, azomethine, azo, acetylene or alkene functional groups.
- the NLO compounds of the present invention can be formed into a nonlinear optical material by combining the NLO compounds with a chemically inert medium.
- the NLO compounds can be layered on a substrate such as glass, silica or polymeric materials, as described in U.S. Patent No. 4,894,186 to Gordon, the disclosure of which is hereby incorporated herein by reference thereto.
- a nonlinear optical medium can be formed by blending the NLO compounds of the present invention with a host thermoplastic polymer. Suitable host thermoplastic polymers include polyacrylates, polymethacrylates, polyacrylamides, polyimides, polycarbonates, polyesters, polyamides, polystyrenes and the like. This combination is also described in U.S. Patent No. 4,894,186, the disclosure of which is also hereby incorporated herein by reference thereto.
- NLO compounds of the present invention can also be covalently attached as side chains to the monomeric subunits of polymers.
- Polymers should be chosen for use with the present invention having monomeric subunits that have reactive functional groups for attachment of the side chains.
- the polymer should also have excellent optical transparency, good film-forming characteristics, a low dielectric constant and a relatively high T g for stable dipole orientation of the side chains.
- Other properties will come into consideration, depending upon the particular end use requirements of the materials; however, these properties are well understood by those of ordinary skill in the art.
- One class of polymers suitable for use with the present invention are polymers and copolymers, the monomeric subunits of which are derived from vinyl monomers such as acrylates, acrylamides, vinyl halides, acrylonitriles, ethylene, propylene, isobutylene, isoprene, acid anhydrides, styrenes, vinyl alcohols and vinyl acetates.
- Examples of other polymers suitable for use with the present invention include polyimides, polyamides, polycarbonates, polyesters, polyphenylene ethers, polyetherimides, polyether ketones and polyether etherketones.
- the polyacrylates suitable for use with the present invention include alkyl branched polyacrylates such as polymethyl methacrylate.
- the polyacrylamides suitable for use with the present invention include alkyl branched polyacrylamides such as polymethacrylamide, and the polyacrylonitriles include alkyl branched polyacrylonitriles such as polymethacrylonitrile.
- polyacrylates polyimides, polyamides, polyacrylamides, polyvinylhalides, polyacrylonitriles, polyvinyl alcohol, polyvinyl acetates, polyesters, polyphenylene ethers, polyetherimides, polyether ketones, polyether etherketones, poly (acid anhydrides) and polycarbonates to which the NLO compounds of the present invention can be attached to form side chains by conventional addition and condensation reactions.
- the monomeric subunits of polystyrene, polyethylene, polypropylene, polyisobutylene and polyisoprene do not have such functional groups
- such monomeric subunits can first be functionalized to provide a reactive group for the attachment of the NLO compound, such as the chloromethylation of polystyrene and the subsequent conversion to the more reactive iodomethyl derivative set forth in U.S. Patent No. 4,935,292 to Marks, the disclosure of which is herein incorporated by reference thereto.
- a functionalized derivative of these polymers can be used as a starting material, such as the poly(p-hydroxystyrene), the use of which is also disclosed by U.S. Patent No. 4,935,292.
- R1 and R3 represent the monomeric subunits of the above-described polymers, which may be the same or different, D, Ar, B and A are as described above with respect to Formula I, R2 is a straight-chained or branched alkyl, alkoxy, thioalkyl or aminoalkyl group containing from one to ten carbon atoms, n is from one to three, m is from one to nine, and p is zero or one. When p is zero, R2 is attached to the functional group by the alkyl moiety and R2 is an alkoxy, alkylthio or alkylamino group.
- the ratio of a to b represents the degree to which the monomeric subunits of the polymer are substituted by NLO side chains.
- the ratio of a to b is between about 1:99 and about 50:50.
- the ratio of a to b is between about 5:95 and about 40:60 and most preferably, it is about 25:75.
- the ratio of a to b should not substantially exceed 30:70 in order that the polymer remains soluble in solvents utilized in the preparation of NLO materials.
- R2 functions to attach the NLO compounds to the functional groups of the monomeric subunits of the polymers to form NLO side chains. While R2 is a straight-chained or branched alkyl, alkoxy, thioalkyl or aminoalkyl group containing from one to ten carbon atoms, preferably, R2 will contain from four to six carbon atoms.
- R2 is selected from (-CH2-) x , (-CH2-R9-) x , (-CH2-CH2-R9-) x/2 , (-CH2-CH2-CH2-R9-) x/3 , wherein R9 is selected from O, S and NH and x is from one to ten, preferably from four to six, with the proviso that for (-CH2-CH2-R9-), x is a multiple of two, and for (-CH2-CH2-CH2-R9-), x is a multiple of three.
- R2 additionally functions to increase the solubility of the polymer in the chemically inert medium or solvents utilized.
- Preferred NLO polymers have recurring structural units represented by Formula IIA wherein R1, R2, R3, Ar, B, D, R7, m, n and p are the same as described above with respect to Formula IIA.
- the tricyanovinyl group is attached alpha to the heteroatom of R7.
- the a to b monomer ratio is the same as described above with respect to Formula II.
- R1 and R3 are independently selected from monomers of ethylene, acrylates, alkyl-branched acrylates, acrylamides, alkyl-branched acrylamides, styrene, alpha-alkyl styrenes, vinyl acetate, ether ketones and ether etherketones.
- R1 or R3 is a styrene monomer
- the aromatic ring may be further substituted by one or more hydroxyl or alkyl groups, provided that the groups are not so large or so numerous to cause undesirable steric hindrance effects, the occurrence of which will be clear to those of ordinary skill in the art.
- R1 and R3 are independently selected from monomers of acrylates, methacrylates, etherketones and ether etherketones.
- base polymers of the present invention have recurring structural units corresponding to the recurring structural units of the NLO polymers of the present invention, but without the electron accepting groups. Therefore, base polymers in accordance with the present invention have recurring structural units represented by Formula III, in which R1, R2, R3, Ar, B, D, R7 m, n and p are the same as described above with respect to Formula III.
- R1 and R3 may be the same or different, as described above with respect to the NLO polymers of Formula IIA with the same a to b monomer ratio as described above with respect to Formula IIA.
- R1 and R3 are independently selected from monomers of ethylene, acrylate, alkyl-branched acrylates, acrylamides, alkyl-branched acrylamides, styrene, alpha-alkyl styrenes, vinyl acetate, ether ketones and ether etherketones.
- R1 and R3 for the most preferred base polymers are independently selected from monomers of acrylates, methacrylates, ether ketones and ether etherketones.
- the polymerization of the base polymers and polymeric NLO materials of the present invention is essentially conventional and is readily understood by those of ordinary skill in the art. Depending upon the material in question, in some cases it is preferable to first polymerize the polymer and then attach the side chains to the functional groups, in other cases it is preferable to synthesize a monomer having a NLO side chain covalently attached there to be copolymerized with monomer having no side chain.
- a preferred method for the preparation of the polymeric NLO materials of the present invention first synthesizes a monomer having a pre-NLO side chain covalently attached thereto.
- the pre-NLO side chain is defined as an NLO side chain having no electron accepting group.
- the synthesis of monomers having pre-NLO side chains and the copolymerization of same with a monomer having no NLO or pre-NLO side chains is essentially conventional and well-understood by those of ordinary skill in the art.
- the base copolymer is then preferably reacted with tetracyanoethylene to tricyanovinylate the pre-NLO side chains.
- the base polymer can be reacted with tetracyanoethylene in a basic solvent at an elevated temperature to achieve such tricyanovinylation.
- the pre-NLO side chain can be directly attached to the polymer, rather than first synthesizing a monomer having a pre-NLO side chain that is then polymerized with an unsubstituted monomer to form a pre-NLO base polymer.
- the base polymer can instead be reacted to attach electron accepting groups such as tricyanovinyl groups to the pre-NLO side chains to provide a polymeric NLO material.
- pre-NLO side chains can be reacted with poly(styrene maleic anhydride) to form a poly(styrene maleimide) having pre-NLO side chains.
- the method by which pre-NLO side chains can be directly attached to polymers is also essentially conventional and well-understood by those of ordinary skill in the art.
- Suitable basic solvents for the reaction of tetracyanoethylene and the base polymer include N, N-dimethylformamide (DMF), pyridine, N,N-dimethylacetamide, N-methyl pyrrolidone, tertiary amines and the like.
- the preferred solvent is DMF.
- a reaction mixture is prepared by dissolving the polymer and the tetracyanoethylene in one or more of the above solvents. The reaction mixture is heated to a temperature between about 50°C and about 140°C, and preferably about 100°C to obtain the tricyanovinylated polymers.
- the degree of tricyanovinylation of the polymer is limited only by the number of pendant pre-NLO groups available for tricyanovinylation. Therefore, a slight equivalent excess of the tetracyanoethylene over the polymer should be used.
- the reaction of the polymer and the tetracyanoethylene can be carried out at temperatures in the range of from about 50°C to about 140°C. Higher temperatures will result in an increased rate of reaction. And even higher rates can be achieved by pressurizing the reaction vessel to elevate the boiling point of the solvent, allowing the reaction to proceed at an even higher temperature. However, a reaction temperature of 100°C is preferred to minimize inter- and intra-molecular cross reactions.
- the reaction mixture should be maintained at a constant state of mild agitation. It is also preferred that the reaction mixture be maintained under an atmosphere of an inert gas.
- the NLO polymer is precipitated with a lower alkyl alcohol, such as methanol or isopropanol, filtered and dried under vacuum.
- a lower alkyl alcohol such as methanol or isopropanol
- the polymer can then be further purified by conventional methods, typically by repeated dissolution and reprecipitation from the lower alkyl alcohol.
- NLO side chains One key intermediate in the preparation of vinylic monomers such as an acrylate, with NLO side chains is 4-[(6-hydroxyhexyl) methylamino] benzaldehyde, the preparation of which is essentially conventional. Five-membered heterocyclic and/or six-membered aromatic aldehydes can be substituted for this compound for preparation of the other NLO side chains of the present invention.
- the polymeric materials having NLO active side chains are recovered and purified by conventional means known to those of ordinary skill in the art.
- Films of the polymers may be formed by spin coating, after which the films may be repetitively annealed prior to poling at an elevated temperature near the T g of the material. Following annealing, the dipoles of the side chains may be aligned by application of an intense electric field (0.2-1.0 MV cm ⁇ 1) at temperatures near the T g .
- an intense electric field 0.2-1.0 MV cm ⁇ 1
- the preferred base polymers and NLO-active polymeric materials of the present invention typically have weight-average molecular weights between about 5,000 and about 300,000 Daltons measured by GPC or light scattering.
- the incorporation of the tricyanovinyl group increases the Tg's of the precursor polymers.
- the electro-optic coefficient of an NLO-active poled polymer film is proportional to the product of the molecular second order nonlinear optical susceptibility coefficient, beta and the molecular ground state electric dipole moment, mu.
- the molecular beta is dependant on the frequency at which the measurement is performed due to the resonance effect near the absorption peak.
- a method to compare molecules with different absorbtion properties by extrapolation of the beta value measured at a specific frequency to zero frequency using a two-level model is disclosed by Singer, J. Opt. Soc. Am. , B6 , 1339-1350 (1989).
- the beta value at the extrapolated zero frequency is defined beta zero.
- the NLO active molecules of the present invention can exhibit values of the beta-mu product as high as about 15,000 in units of 10 ⁇ 48 esu measured at a wavelength of 1540 nm.
- the corresponding value of the product of beta-zero-mu is about 6000 in units of 10 ⁇ 48 esu.
- the present invention provides NLO compounds combining superior second order nonlinear optical properties with the physical, mechanical and optical properties required of an optical material.
- the following examples are further illustrative of the present invention, and are not to be construed as limiting the scope thereof.
- the reference numerals refer to the steps of reaction schemes. Unless otherwise indicated, materials were obtained from Aldrich Chemical Supply. All parts and percentages are by weight unless expressly indicated to be otherwise.
- a stilbene aldehyde was prepared by mixing p-N,N'-dimethyl benzaldehyde (14.9 g., 0.1 mol) was mixed with thiophene phosphonate ester (25.5 g., 0.12 mol.) and potassium t-butoxide(12.3 g., 0.12 mol.) in tetrahydrofuran (100 mL). The mixture was allowed to stir under argon for four hours. The mixture was concentrated, dissolved in methylene chloride and washed with water.
- Stilbene 1 (18.0 g., 0.078 mol) was dissolved in dry tetrahydrofuran (125 mL) and cooled to -78 o C and purged with argon. To this cooled solution was added n-BuLi (2.5 M, 34.3 mL, 0.086 mol) and the temperature was maintained for one hour. Dimethylformamide (10 mL, ex.) was added and the solution was slowly warmed to room temperature over a three hour period.
- the stilbene aldehyde 2 of Example 1 (2.57 g., 0.01 mol) was placed in methylene chloride (10 mL) and was treated with malononitrile (0.86 g., 0.01 mol) and pyridine (0.90 g., 0.012 mol), and stirred under argon for two hours.
- the methylene chloride was removed under reduced pressure and the resulting solid was washed with copious amounts of ice cold ether.
- the solid was then dried in a vacuum oven (65 o C, 0.1 torr) for one hour to yield 2.35 g. (77% yield) of pure dicyanovinyl stilbene 3 .
- the dicyanovinyl stilbene 3 of Example 2 (3.05 g., 0.01 mol) was placed in chloroform (20mL) and treated with bromine (1.7 gm., 0.01 mol.) and allowed to stir for one hour. At this time, the solution was treated with sodium methoxide (0.80 gm., 0.01 mol) and warmed to just above room temperature. The solution was washed with 10% HCl (2x100 mL), dried (Na2SO4), and concentrated to yield pure acetylene 4 (2.5 g., 83.3%)
- Hydrazone 8 (1.5 g., 8.77 mmols.) was mixed with the stilbene aldehyde 2 of Example 1 (2.31 g., 9.0 mmols.) in absolute ethanol (25 mL) and heated to reflux under an argon atmosphere. After 1-1.5 hours water was added to induce crystallization, and the solution was slowly cooled. The resulting solid was collected by vacuum filtration and dried under vacuum (1 torr., 60 o C) to yield azine 9 (3.5 g., 95% yield) as a red solid.
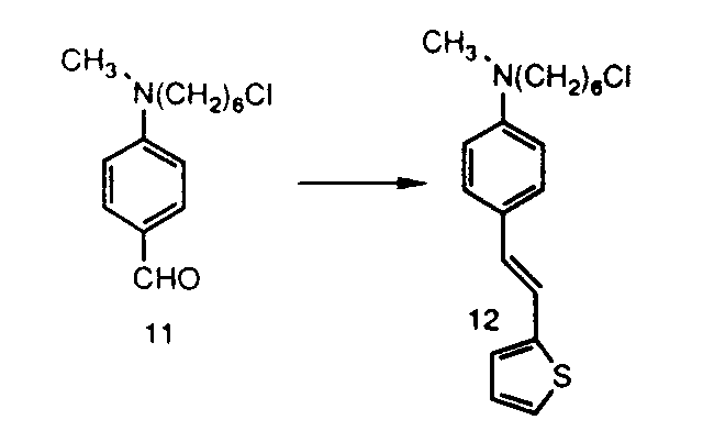
- Heterostilbene 11 was prepared by mixing 2-(N-pyrrolidino)thiophene-5-carboxaldehyde 10 (1.81 g., 0.010 mols.) and thiophene phosphonate ester (2.5 g., 0.012 mols.) with potassium t-butoxide (1.23 g., 0.012 mols.) in tetrahydrofuran (25 mL). The mixture was stirred under an argon atmosphere at room temperature for 4 hours. The tetrahydrofuran was removed at reduced pressure and the resulting gum was dissolved in methylene chloride (100 mL).
- the heterocyclic azine 12 was prepared by refluxing 2-(N-pyrrolidino)thiophene-5-carboxaldehyde 10 (1.81 g., 0.010 mols.) and hydrazine 8 (2.05 g., 0.012mols.) in ethanol (50 mL) under an argon atmosphere for 2.5 hours). At this time water was added until a solid began to precipitate. The solution was cooled slowly and the resulting solid was collected by vacuum filtration to yield heterocyclic azine 12 (2.83g., 85% yield) as a crystalline solid.
- the heterostilbene 14 was prepared by mixing 2-(N-pyrrolidino)-bisthiophene-5'-carboxaldehyde 13 (2.63 g., 0.010 mols.) and thiophene phosphonate ester (2.5 g., 0.012 mols.) with potassium t-butoxide (1.23 g., 0.012 mols.) in tetrahydrofuran (25 mL). The mixture was stirred under an argon atmosphere at room temperature for 12 hours. The tetrahydrofuran was removed at reduced pressure and the resulting gum was dissolved in methylene chloride (100 mL).
- heterocyclic NLO materials Another important aspect of the heterocyclic NLO materials is their amazing solubility in a variety of solvents as compared to only moderate solubility or no solubility of pure benzenoid aromatic compounds.
- Second order NLO properties of the structures disclosed in the present invention are determined by standard electric field induced second harmonic generation(EFISH) measurements.
- EFISH electric field induced second harmonic generation
- a static electric field is applied to align the NLO molecules which are dissolved in a suitable solvent.
- Measurement of the second harmonic which is generated by shining a single frequency laser beam through the electric field aligned solution, determines the value of beta-mu.
- the value of beta is frequency dependent and can be enhanced by resonance effects.
- the extrapolated beta-zero value is determined according to the disclosure of Singer, cited above, and is used to compare the NLO properties of molecules with different resonance behaviors.
- Table 2 demonstrates the increase of beta-mu values as the number of heteroaromatic ring increase.
- the first series employed NO2 as the acceptor and N(R)2 as the donor.
- Table 3 demonstrates the enhancement of beta-mu when the six-membered aromatic rings are replaced by five-membered heteroaromatic rings as can be seen by comparing compounds F and G in which more than a three fold increase in beta-mu and more than two fold increase in beta-zero-mu resulted from this replacement.
- the effect of a strong electron acceptor on the second order NLO property is depicted by the exceptionally large beta-mu value of compound I.
- Compound I shows significant enhancement in both beta-mu and beta-zero-mu values when compared to a compound disclosed by Singer in the above-cited J. Opt.Soc. Am. B6 article which contains the same electron donor and acceptor groups but consists of only six-membered aromatic rings.
- N-(6-hydroxyhexyl)-N-methylaniline 2 was prepared by mixing N-methylaniline (153 g, 1.43 mol.), 6-chlorohexanol (200 g, 1.46 mol.), potassium carbonate (200 g, 1.45 mol.) and potassium iodide (6 g, catalyst) in 750 mL of n-butanol. The mixture was heated to reflux under argon with vigorous external stirring for 96 hours. The solution was cooled, filtered, and the solvent was removed in vacuo . The residue was distilled under high vacuum to yield 2 (235 g, 79.5% yield) as a colorless oil, having a boiling point of 120-125°C (0.05 mm Hg).
- N-(6-acetoxyhexyl)-n-methylaniline 3 was prepared by heating a mixture of 2 of Example 12 (235 g, 1.13 mol.) and acetic anhydride (126 g, 1.24 mol.) in pyridine (97 g, 1.24 mol.) to reflux with stirring under argon for two hours. After cooling, the solution was poured into ice water with vigorous stirring and subsequently extracted with ethyl acetate (2 x 300 mL). The combined extracts were dried (Na2SO4), and the solvent was removed in vacuo . The residue was distilled to yield 3 (246 g, 89% yield) as a tan-colored oil having a boiling point of 145-147°C (0.15 mm Hg).
- Ethyl thiophene phosphonate ester was prepared by reacting 2-hydroxymethyl thiophene with thionyl chloride to form 2-chloromethyl thiophene.
- the 2-chloromethyl thiophene was then reacted with triethylphosphite at 140°C for 8 hours to form the ethyl thiophene phosphonate ester.
- the reaction was essentially quantitative under this condition.
- the reaction mixture of 4 and ethyl thiophene phosphonate ester was stirred in the absence of light for three hours. After this initial period, additional potassium t-butoxide (13 g, 0.117 mol.) was added to hydrolyze the acetate linkage. The resulting solution was stirred overnight under argon. The mixture was concentrated in vacuo , and the residue was dissolved in dichloromethane, washed with water (3 x 200 mL), dried (Na2SO4), and concentrated onto 30 g of silica. The silica was added to a medium pressure column packed with silica. The column was eluted with a 1:1 ratio blend of hexane and dichloromethane with a gradient to pure dichloromethane to obtain 5 (30 g, 83% yield) as a pale, yellow solid.
- Methylacrylate monomer having tricyanovinylated NLO side chains was polymerized to form an NLO polymer by first mixing the tricyanovinylthiophene 7 of Example 17, freshly distilled methylacrylate and 2,2'-azobis-(2-methylpropionitrile) (AIBN) free radical initiator in distilled toluene (5 mL). The combined molar quantity of the two monomers was 6.25 mmol. The molar ratios of the two monomers were varied in order to vary the ratios of the monomeric repeating units in the resulting copolymers, the molar ratios of which corresponded quantitatively to the molar ratios of the monomers.
- AIBN 2,2'-azobis-(2-methylpropionitrile)
- the mole fraction of NLO-monomer in the polymer was determined by 1H-NMR.
- the molar ratios of monomers used and the resulting mole fractions of NLO-monomer in the polymers synthesized are shown in Table I.
- the mole percent concentration of free radical initiator ranged from 2.5 to 5 mmol. percent, as also shown in Table I.
- the mixtures were degassed and then heated in stoppered tubes under argon at 80°C for 48 hours.
- the resulting solutions were poured into 50 mL quantities of swiftly stirred methanol to precipitate the polymers as amorphorus black solids.
- the polymers were purified by repeated re-precipitation from dichloromethane into methanol and dried in vacuo (30 millitorr) at 65°C for 24 hours.
- Molecular weights were estimated by gel permeation chromatography (GPC) in tetrahydrofuran using poly(methyl methacrylate) standards.
- Thermal properties were determined by differential scanning calorimetry (DSC).
- X represents the mole fraction of unsubstituted monomer in the polymer and Y represents the mole fraction of NLO-monomer in the polymer.
- Table I illustrates the problematic synthesis of polymers having polar side groups such as chromophores possessing a high degree of charge asymmetry, resulting in low yields of polymers having low broad molecular weight, low Tg's and low chromophore incorporation.
- non-tricyanovinylated monomer 6 of Example 16 was copolymerized with methyl methacrylate and then tricyanovinylated according to the procedure of Examples 18-21.
- Mixtures were prepared of the methacrylate 6, freshly distilled methyl acrylate and AIBN in 5 mL distilled toluene.
- the mole fractions of monomer and molar concentration of free radical initiator are depicted in Table II, essentially as depicted in Table I. Polymer yields and molecular weights were significantly higher, and T g increased as the degree of side-chain substitution increased.
- Example X Y Yield MW Initiator a T g c T g d 22 89 11 17 20,000 0.75 110°C 114°C 23 97 3 95 122,000 0.75 117°C 116°C 24 94 6 85 86,000 0.75 101°C 106°C 25 88 12 62 67,000 0.75 91°C 112°C 26 81 19 47 57,000 0.75 90°C 115°C 27 79 21 27 40,000 0.75 78°C 120°C 28 64 36 20 13,000 0.75 55°C 146°C 29 0 100 7.5 8,000 0.75 -73°C ----- a - Mole-percent of initiator.
- d - T g of tricyanovinylated polymer as determined by DSC.
- the polymers of Examples 22-28 were then tricyanovinylated. Solutions of the polymers of Examples 11-17 (100 mg) in dimethylformamide (2 mL) were prepared. To these solutions, tetracyanoethylene (20 mg, excess) was gradually added (approx. 5-10 min.), with stirring, at room temperature under argon. The reaction mixtures were warmed to 110°C for 6 hours. Upon cooling, the reaction mixtures were poured into 50 mL quantities of agitated water to precipitate the polymers as amorphous black solids. (Yields were quantitative.) The polymers were purified by repeated reprecipitation from dichloromethane into methanol, and were dried in vacuo (30 millitorr Hg) at 65°C for 48 hours. The molecular weight and thermal properties of the tricyanovinylated polymers are shown in Table II.
- Table II depicts increasing T g of the pre-NLO polymers upon tricyanovinylation.
- pre-NLO monomers that are first polymerized and then tricyanovinylated provide NLO polymers in significantly higher yields with significantly higher molecular weights and thermal properties than polymers derived from monomers that are first tricyanovinylated and then polymerized.
- [(6'-chlorohexyl) methylamino] benzaldehyde 11 was synthesized by adding phosphorous oxychloride (158 g, 1.03 mol.) dropwise at 0°C to 150 mL of N,N'-dimethylformamide and stirring the resulting mixture at 0°C for 2 hours.
- N-(6-hydroxyhexyl)-N-methylaniline 2 of Example 12 (100 g, 0.512 mol.) was added slowly, and the reaction mixture was heated to 90°C for 3 hours. After cooling, the solution was poured onto 1 kg of ice and the resulting material was hydrolyzed with potassium carbonate.
- the basic mixture was extracted with dichloromethane (3 x 200 mL), and the organic layers were combined, dried (Na2SO4), and the solvent was removed in vacuo .
- the residue was eluted with a blend of hexane and dichloromethane on a gradient beginning with a 5:1 ratio to a 1:1 ratio blend to yield 11 (110 g, 85% yield) as a colorless oil.
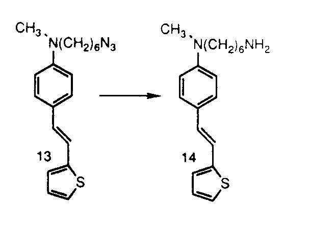
- the combined extracts were dried (Na2SO4), concentrated in vacuo and purified by elution from a medium pressure silica column with a blend of hexane and dichloromethane on a gradient from a 4:1 to a 1:1 ratio blend to yield the pure azide 13 (8.1 g, 79.5% yield) as a yellow oil which solidified in the freezer.
- the mixture was concentrated in vacuo , redissolved in a blend of dichloromethane and water (25 mL each) and acidified with concentrated hydrochloric acid.
- the aqueous layer was extracted with dichloromethane to remove any neutrals and then basified with 50% aqueous sodium hydroxide.
- the basic solution was extracted with dichloromethane (2 x 100 mL), dried (Na2SO4), and concentrated to yield pure amine 14 (1.84 g, 96% yield) as a pale, yellow solid.
- Example 29 The amine 14 of Example 29 was directly attached to a polymer.
- poly(styrene maleic anhydride) copolymers Arco Chemical having molecular weights of 10,000, 50,000 and 176,000 daltons were utilized.
- the maleic anhydride was completely substituted, so that the degree of NLO substitution reflects the mole percent of maleic anhydride in the starting material polymer, which is depicted in Table III.
- X represents the mole percentage of styrene in the starting polymer and Y represents the mole percentage of maleic anhydride in the starting polymer.
- the molecular weight listed is that represented by the manufacturer of the polymer. Thermal properties were determined by DSC.
- the polymers were substituted by slowly dropping a solution of the amine 14 of Example 40 in dry tetrahydrofuran into a stirred, dried tetrahydrofuran solution containing an equivalent quantity of poly(styrene-maleic anhydride) copolymer. After 5 hours at room temperature, the solutions of Examples 41 and 42 were poured into vigorously stirred solutions of hexane to precipitate the polymers as white amorphous solids. The polymers were then purified by reprecipitation from dichloromethane into hexane to give the resulting product, a poly-amic acid in quantitative yield. The polymers of Examples 43 and 44 were similarly poured into methanol to precipitate the polymers as white amorphous solids that were purified by reprecipitation from dichloromethane into methanol to give the corresponding poly-amic acid in quantitative yield.
- the poly(styrene-amic acid) copolymers of Examples 41 and 42 were converted to poly(styrene imides) by adding the polymers of Examples 41 and 42 (0.25 g) to solutions containing 3 mL of triethyl amine and 3 mL of acetic anhydride. The solutions were heated to 85-100°C for 12 hours and then poured into vigorously stirred solutions of methanol to precipitate the tan-colored polymers. The polymers were purified by reprecipitation from dichloromethane into methanol to quantitatively give the desired poly(styrene imides).
- the poly(styrene-amic acid) copolymers of Examples 43 and 44 were converted to poly(styrene imides) by adding dropwise to solutions of the polymers of Examples 43 and 44 (1 g) in dry tetrahydrofuran, a solution containing acetic acid (1 mL) and triethyl amine (1 mL). The mixtures were warmed to 45-50°C and stirred under argon overnight. The resulting solutions were cooled and slowly poured into vigorously stirred solutions of methanol to precipitate tan-colored polymers.
- the resulting poly(styrene imides) were purified by reprecipitation from dichloromethane into methanol to give the desired poly(styrene imides) in quantitative yield.
- the properties of the polymers of Examples 45-48 are depicted in Table III.
- the poly(styrene imides) of Examples 45-48 were tricyanovinylated by gradually adding (approx. 5-10 min.) quantities of tetracyanoethylene (0.64 g, excess) to stirred solutions of the poly(styrene imides) of Examples 45-48 (4.0 g) in dimethylformamide (25 mL) at room temperature under argon. The reaction mixtures were warmed to 110°C for 6 hours. Upon cooling, the reaction mixtures were poured into 250 mL quantities of agitated water to precipitate the polymers as amorphous jade green solids. Yields were quantitative.
- the polymers were purified by repeated reprecipitation from dichloromethane into methanol, and then dried in vacuo (30 millitorr) at 65°C for 48 hours.
- the molecular weight and thermal properties of the tricyanovinylated poly(styrene imides) are shown in Table III.
- 2-[1-(2'-hydroxyethyl)piperazino] thiophene 18 was prepared by warming a solution containing thiophene-2-thiol (1.16 g, 10.0 mmol.) and 1-(2-hydroxyethyl) piperazine (1.43 g, 11.0 mmol.) in toluene to reflux under an argon atmosphere for two hours. Completion of the reaction was confirmed by thin layer chromatography using a 4:1 ratio blend of hexane and ethyl acetate as the eluent. The reaction mixture was cooled to room temperature, and the solvent was removed in vacuo . The residue was then concentrated onto 5 g of silica.
- the silica was added to a medium pressure chromatography column packed with silica.
- the column was eluted with a 4:1 ratio blend of hexane and ethyl acetate to yield the pure piperazino-thiophene 18 (1.62 g, 76.4% yield) as a pale yellow solid.
- 5-formyl-2[1-(2'-hydroxyethyl) piperazino] thiophene 19 was prepared by adding n-butyl lithium (8.4 mL, 21 mmol.) to a stirred solution of the piperazino-thiophene 18 of Example 53 (2.12 g, 10 mmol.) in tetrahydrofuran (50 mL) at -30°C. The reaction mixture was allowed to warm to room temperature over a 30 minute period, with stirring. The reaction mixture was stirred for another hour and then dimethylformamide (5 mL, excess) was added. After an additional hour, the reaction was quenched with water. The solution was cooled, filtered, and the solvent was removed in vacuo .
- the residual oil was concentrated onto 5 g of silica.
- the silica was added to a medium pressure chromatography column packed with silica.
- the column was eluted with dichloromethane to yield aldehyde 19 (2.2 g, 92% yield) as a pale yellow solid.
- the mixture was then concentrated in vacuo , and the residue was dissolved in dichloromethane, washed with water (2 x 50 mL), dried (Na2SO4), and concentrated onto 5 g of silica.
- the silica was added to a medium pressure column packed with silica. The column was eluted with a 1:1 ratio blend of hexane and dichloromethane with a gradient to pure dichloromethane to obtain 20 (2.5 g, 94% yield) as a pale yellow solid.
- the basic mixture was extracted with dichloromethane (3 x 50 mL), and the organic layers were combined, dried (Na2SO4), and the solvent was removed in vacuo .
- the brown residue was concentrated onto 5 g of silica, which was added to a medium pressure chromatography column packed with silica. The column was eluted with a 5:1 ratio blend of hexane and dichloromethane with a gradient to a 1:1 ratio to yield 21 (2.40 g, 89% yield) as a white solid.
- the combined extracts were dried (Na2SO4), concentrated in vacuo and purified by elution from a medium pressure silica column with a blend of hexane and dichloromethane on a gradient from a 4:1 to a 1:1 ratio blend to yield the pure aside 22 (2.2 g, 87% yield) as a yellow solid.
- the mixture was concentrated in vacuo , redissolved in a blend of dichloromethane and water (25 mL each) and acidified with concentrated hydrochloric acid.
- the aqueous layer was extracted with dichloromethane to remove any neutrals and then basified with 50% aqueous sodium hydroxide.
- the basic solution was extracted with dichloromethane (2 x 100 mL), dried (Na2SO4), and concentrated to yield the pure amine 23 (1.84 g, 96% yield) as a colorless solid.
- Example 58 The amine 23 of Example 58 was directly attached to a poly(styrene maleic anhydride) copolymer having a molecular weight of 176,000 daltons following the procedure of Example 43 to form a poly(amic acid) 24 .
- the poly(amic acid) 24 was then converted to a poly(styrene imide) 25 following the procedure of Example 36.
- the poly(styrene imide) 25 was then tricyanovinylated to yield 26 , following the procedure of Example 51.
- the starting polymer had a styrene content of 93% and a T g of 113°C, as determined by DSC.
- the poly(amic acid) had a T g of 113°C
- the poly(styrene imide) had a T g of 119°C
- the tricyanovinylated poly(styrene imide) had a T g of 122°C.
Landscapes
- Physics & Mathematics (AREA)
- Nonlinear Science (AREA)
- Chemical & Material Sciences (AREA)
- Organic Chemistry (AREA)
- General Physics & Mathematics (AREA)
- Optics & Photonics (AREA)
- Plural Heterocyclic Compounds (AREA)
- Compositions Of Macromolecular Compounds (AREA)
- Heterocyclic Compounds Containing Sulfur Atoms (AREA)
- Furan Compounds (AREA)
- Other Resins Obtained By Reactions Not Involving Carbon-To-Carbon Unsaturated Bonds (AREA)
- Macromolecular Compounds Obtained By Forming Nitrogen-Containing Linkages In General (AREA)
Abstract
Heteroaromatic nonlinear optical compounds, alone, and in combination with a chemically inert medium to provide a combination exhibiting second order nonlinear optical properties, including combinations that dispose a layer of the nonlinear optical compounds on chemically inert substrates, blend guest molecules of the nonlinear optical compounds with a chemically inert host matrix of a thermoplastic polymer, or covalently bond pendant side chains of the nonlinear optical compounds to chemically inert polymers.
Description
- The present invention relates to heteroaromatic compounds with nonlinear optical properties. In particular, the present invention relates to nonlinear optical materials having highly conjugated structures with two or more aromatic rings, at least one of which is a five-membered heteroaromatic ring. The compounds of the present invention, once suitably oriented, are capable of highly efficient second harmonic generation (SHG) and electro-optic modulation of an electromagnetic wave whose wavelength may be between 300 nm and 2000 nm. The present invention further relates to the incorporation of the compounds of the present invention into polymeric matrices, including polymers having side chains of the disclosed compounds.
- High efficiency nonlinear optical (NLO) materials capable of doubling or tripling the frequency of incident light are currently of great scientific and technological interest for use in optical telecommunications, signal processing and the construction of optical computers. Nonlinear optics is concerned with the interaction of electromagnetic fields in various media to produce new fields which may be altered in phase, frequency or amplitude. The NLO effect of a material upon an electromagnetic field is a function of the second and higher order terms of the following equation:
P is the polarization of the material, E is the intensity of the electric field, and the coefficients alpha, beta, gamma, etc. are indicative of the NLO susceptibility of the material. Such coefficients are constant for a given material, but vary from material to material. The second order coefficient, beta, for a given material, is indicative of the SHG properties of the material, with SHG efficiencies increasing as the value of beta increases. - Candidate NLO materials should possess good physical properties, such as high optical transparency, low dielectric constant, high laser damage threshold, good solubility in the solvents used for spin casting of optical materials, and the like. The materials should also possess the mechanical and thermal properties required of optical materials, in particular, high beta values, fast response times and nonlinear susceptibility over a broad range of wavelengths, particularly at wavelengths between about 300 nm and about 2000 nm.
- The first NLO materials were monocrystal minerals such as KH₂PO₄, LiNbO₃, InSb and NH₄H₂PO₄. However, these materials are costly to grow in high optical quality and show relatively low SHG properties. These materials are expected to be replaced by organic and polymeric materials with large delocalized pi-electron systems, which not only exhibit greater nonlinear susceptibilities, but also can be varied to optimize the desired physical and mechanical properties.
- Early organic NLO materials were based upon conjugated pi-electron chromophores with charge asymmetry, such as 4-dimethylamino-4-nitrostilbene (DANS),dissolved in a suitable polymer matrix, which are disclosed by Williams, Angew. Chem. Int. Ed. Engl., 23, 690-703 (1984). However, such combinations were of limited solubility, resulting in crystallization of the guest chromophore molecule out of the host matrix, or mobility of the guest molecules in the matrix, resulting in a loss of SHG performance. Such materials are also exemplified by U.S. Patent No. 4,892,681 to Miyata and U.S. Patent No. 4,894,186 to Gordon.
- The insolubility of these materials in a polymer matrix was overcome by the covalent linking of the NLO chromophores to the polymer backbones. This is also disclosed by Williams, as well as U.S. Patent Nos. 4,894,263 to Dubois, 4,933,112 to DeMartino and 4,935,292 to Marks. These references disclose polymers having NLO chromophore side chains of a series of aromatic rings separated by pi-electron conjugated carbon-carbon, carbon-nitrogen and nitrogen-nitrogen bridges. The side chains utilize from two to four or greater aromatic ring/conjugated bridge combinations. The aromatic rings disclosed are based on six-membered rings such as benzene and pyridine. The chromophore side chain is covalently attached to the polymer by a reactive binding, typically a long chain alkyl group linking one of the aromatic rings of the chromophore to a reactive functional side chain of the polymer. To induce charge asymmetry, and consequently second order nonlinear polarizability, the aromatic ring attached to the reactive binding is ring-substituted with an electron donating group while the aromatic ring at the end of the chromophore is ring-substituted with an electron accepting group, and the dipoles of the chromophores are aligned, in accordance with the method described by Williams and by U.S. Patent No. 4,935,292.
- Some azomethine derived chromophores, which contain five-membered heteroaromatic rings, are disclosed as having third order NLO susceptibilities by Dirk, Proc. SPIE-Int. Soc. Opt. Eng., 1147, 18-25 (1989). However, the reported third order susceptibility of these materials is low, and second order properties cannot be reasonably predicted from third order susceptibilities, let alone from low-value third order susceptibility.
- Methods by which polymers having chromophore side chains may be prepared vary. U.S. Patent No. 4,933,112 discloses the attachment of the chromophore to a monomer that is then polymerized. U.S. Patent No. 4,935,292 discloses the attachment of the chromophore to a functionalized polymer.
- U.S. Patent No. 4,894,263 discloses that either method of attachment may be used depending on the constituents of the material. It is further disclosed that the constituents of the chromophore may be assembled in one or more steps.
- As noted above, the chromophores are covalently linked to polymer backbones because of their limited solubility in polymer matrices. However, the synthesis of polymers having polar side groups such as chromophores possessing a high degree of charge asymmetry can be problematic. The limited solubility is also exhibited by the chromophores and monomer-linked chromophores in polymerization solvents, and by the chromophores in reaction solvents for linking monomers and chromophores. The electron accepting groups of chromophores possess reactivity toward radicals that, together with the low monomer solubility, results in low yields of polymers having low broad molecular weights (typically less than 15,000 daltons), low Tg's and low chromophore incorporation. Among the number of electron-acceptor groups employed with NLO-chromophores is the tricyanovinyl functional group, which is preferred because it induces a large degree on nonlinearity. However, it is highly susceptible to polymerization conditions. This limits the incorporation of this functional group into polymers containing NLO-chromophores.
- The tricyanovinylation of poly (N-vinylindole) and poly (3-vinylcarbazole) at attachment yields of 35% to 50% have been reported. Oshiro et als., Polym. J., 6(5), 364-9 (1974) disclose the tricyanovinylation of poly (N-vinylindole) and U.S. Patent No. 3,978,029 discloses the tricyanovinylation of poly (3-vinyl-carbazole). In both publications the base polymer is reacted with tetracyanoethylene in N,N-dimethylformamide (DMF) at 50°-140°C. Yields of 35% to 50% have not been achieved to date with typical NLO chromophores.
- Once polymerized, the polymer is spin-cast to form a film, which is then heated to near its glass-rubber transition temperature (Tg) to enhance molecular motion, including rotation of the chromophore side chains. An intense electric field is then applied to the heated film for a given length of time and the film is then cooled to well below the Tg in the presence of the electric field. This results in alignment of the dipoles of the side chains, providing a system in which the NLO components are locked in a preferred orientation while at the same time covalently linked within a polymer matrix. According to U.S. Patent No. 4,935,292, NLO efficiency can be increased by repeatedly heating the material above and then cooling it below the Tg several times prior to applying the electric field. It is disclosed that this reduces the number of pinholes, voids, free volume and other anomalies that can cause short circuits during poling, and also removes residual stress from the film.
- Notwithstanding these advances, there remains a need for more efficient second-order nonlinear optically active materials and methods for preparing same.
- Compounds have been discovered having advantageous NLO properties such as high second order susceptibilities, good solubility and ease of functionalization. These new compounds contain two or more aromatic rings, at least one of which is a five-membered heteroaromatic ring containing one heteroatom selected from O, N, S and Se and optionally including up to three additional N-heteroatoms.
- In accordance with the present invention there is provided a nonlinear optical compound corresponding to the Formula I:
D-(Ar-(B-)n)mAr-A (I)
wherein each Ar is an aromatic substituent independently selected from six-membered aromatic rings, five-membered heteroaromatic rings, fused ring systems containing at least one six-membered aromatic ring and fused ring systems containing at least one five-membered heteroaromatic ring; with the proviso that at least one Ar is selected from five-membered heteroaromatic rings and fused ring systems containing at least one five-membered heteroaromatic ring. The heteroaromatic rings contain one heteroatom selected from O, N, S and Se. - B is a conjugated functional group, D is a first electron donating group and A is a first electron accepting group. The value of n for each B is independently selected from zero, one, two and three, and m is from one to nine and B, D or A are attached to a member of the heteroaromatic ring alpha to a heteroatom, and when Ar is an aromatic ring, B is attached to a member of the aromatic ring para to D, A or another B.
- In one embodiment of this aspect of the invention, A is a tricyanovinyl electron accepting group that is attached to a heteroaromatic ring, alpha to the heteroatom of the ring. A non-linear optical compound in accordance with this embodiment has a structure represented by Formula IA:
D-(Ar-(B-)n)mR₇-C(CN)=C(CN)₂ (IA)
D, Ar, B, m and n are the same as described above with respect to Formula I. R₇ is a five-membered heteroaromatic ring or a fused ring system containing at least one five-membered heteroaromatic ring, which heteroaromatic ring or rings have one heteroatom selected from O, N, S and Se. The tricyanovinyl group is substituted alpha to a heteroatom. - One aspect of the present invention provides non-centrosymmetric crystals of the above mentioned compounds for use as second order nonlinear optical materials.
- Another aspect of the present invention provides a combination exhibiting second order nonlinear optical properties. Such a combination includes a chemically inert medium and the nonlinear optical compound of the present invention. The nonlinear optical compounds of these combinations preferably have an external field-induced molecular alignment.
- In one embodiment of this aspect of the invention the nonlinear optical compound is disposed as a layer or layers on a substrate of the chemically inert medium, which chemically inert medium is selected from glass, silica, silicon and polymeric materials. In another embodiment of this aspect of the invention, the nonlinear optical compound is in the form of a blend of a guest compound in a host matrix, with the nonlinear optical compound of the present invention serving as the guest compound and the chemically inert medium serving as the host matrix, and preferably being a thermoplastic polymer, especially one selected from polyacrylates, polymethacrylates, polyacrylamides, polycarbonates, polyamides, polyesters, polystyrenes, polyimides, polyether ketones, polyether etherketones, polyphenylene ethers and copolymers thereof.
- In still another embodiment of this aspect of the present invention, pendant side chains of the nonlinear optical material of the present invention are covalently bonded to a chemically inert polymeric material so that a combination is provided corresponding to Formula II:
wherein R₁ and R₃ are monomeric subunits independently selected from (meth)acrylate, imide, amide, (meth)acrylamide, styrene, α-alkyl styrene, vinyl halide, (meth)acrylonitrile, vinyl alcohol, vinyl acetate, polyester, polyphenylene ether, polyether ketone, polyether ether ketone, ethylene, propylene, isobutylene, isoprene, acid anhydride, and polycarbonate monomeric subunits, wherein each R₁ subunit includes a functional group through which side chains may be attached;
R₂ is a straight-chained or branched alkyl, alkoxy, alkylthio or alkylamino group containing from one to ten carbon atoms attached to the monomeric subunit at the functional group of the subunit. The value of p is zero or one, provided that when p is zero, R₂ is attached to the functional group by the alkyl moiety and R₂ is an alkoxy, alkylthio or alkylamino group.
Ar, B, D, A, m and n are as described above; and the ratio of a to b is between about 1:99 and about 50:50. In one embodiment of this aspect of the invention, A is a tricyanovinyl electron accepting group that is attached to a heteroaromatic ring, alpha to the heteroatom of the ring. A polymeric non-linear optical compound in accordance with this embodiment has a structure represented by Formula IIA:
D, Ar, B, R₇, m, n, and p are the same as described above with respect to Formula IA, R₁, R₂, R₃ and the ratio of a to b is the same as described above with respect to Formula II. The tricyanovinyl group is substituted alpha to a heteroatom. R₂ or D and B are attached to a member of the heteroaromatic ring of Ar or R₇ alpha to a heteroatom, and when Ar is an aromatic ring, B is attached to a member of the aromatic ring para to R₂ or D or another B. - Another aspect of the present invention provides a method of preparing a polymer having second order non-linear optical properties. The method includes the steps of forming a reaction mixture of tetracyanoethylene and a base polymer having pendant side chains, which polymer has recurring structural units represented by Formula III:
in a basic solvent at a temperature between about 0°C and about 150°C, so that R₇ of the pendant side chain is tricyanovinylated; and
recovering the resulting polymer having pendant tricyanovinylated side chains;
R₁, R₂, R₃, Ar, B, D, R₇, m, n and p and the ratio of a to b are the same as described above with respect to Formula IIA. R₇ is a five-membered heteroaromatic ring or a fused ring system containing at least one five-membered heteroaromatic ring, which heteroaromatic ring or rings have one heteroatom selected from O, N, S and Se; and R₂ or D and B are attached to a member of the heteroaromatic ring of Ar or R₇ alpha to a heteroatom, and when Ar is an aromatic ring, B is attached to a member of the aromatic ring para to R₂ or another B. - Another aspect of the present invention provides a base polymer having pendant side chains capable of being tricyanovinylated to form a polymer having second order non-linear optical properties. The base polymer includes recurring structural units represented by Formula III, in which R₁, R₂, R₃, Ar, B, D, R₇, m, n, p and the ratio of a to b are the same as described above with respect to Formula III.
- The NLO compounds of the present invention, including the polymeric materials of the present invention, possess at least the second order NLO properties of the materials of the prior art, and in most instances demonstrate far superior second order NLO properties. Those compounds that possess equivalent second order NLO properties compared to the prior art have significantly increased solubility both in polymer matrices and in spin-casting solvents, attributable to the presence of five-membered heteroaromatic rings, making the compounds ideal candidates for NLO materials. The increase in solubility is so dramatic that it is now possible to include in polymer matrices or dissolve in spin-casting solvents compounds having three, four or even more heteroaromatic rings or ring systems. Without the presence of one or more five-membered heteroaromatic rings, the compounds would otherwise be completely insoluble. The additional five-membered heteroaromatic rings provide the compounds with superior second order NLO properties.
- The presence of the five-membered heteroaromatic ring increases the extent of the electron delocalization and facilitates the enhancement of the NLO activity as the number of aromatic rings increases. On the other hand it has been found that in the absence of the five-membered heteroaromatic rings the NLO activity ceases to significantly increase when the total number of aromatic rings is more than two.
- The increased second order NLO properties of the NLO compounds of the present invention is also not simply the result of increasing the number of aromatic rings. While not being bound by any particular theory, it is believed that the increased efficiency of the second order NLO properties of the heteroaromatic NLO compounds of the present invention is attributable to the higher degree of pi-delocalization possessed by a five-membered heteroaromatic ring. The use of five-membered as opposed to six-membered heteroaromatic rings also eliminates the use of ionic heteroaromatic species that cause severe current leakage during the dipole-alignment electric field poling processes.
- The present invention further includes the discovery that the second order NLO properties of five-membered heteroaromatic ring compounds are significantly increased by the use of particularly strong electron donating groups such as pyrrolidine, tetrathiafulvalene and particularly strong electron accepting groups such as dicyanoethylene, tricyanoethylene, and dinitroethylene. The second order NLO properties improvement resulting from the use of strong electron donating and accepting groups with heteroaromatic compounds has been discovered to be significantly greater than the improvement resulting from the use of strong electron donating and accepting groups with compounds having only benzenoid-aromatic rings. The compounds of the present invention, in addition to their improved SHG efficiencies, are also much easier to synthesize than their non-heteroaromatic counterparts.
- The present invention additionally includes the discovery that when the aromatic ring to which the electron accepting group is to be attached is a five-membered heteroaromatic ring, the strong electron accepting group tricyanoethylene can be readily attached to the heteroaromatic ring, by reacting the ring with tetracyanoethylene in a basic solvent at a given temperature. Tetracyanoethylene will not react with extended benzenoid structures under these conditions. The tricyanoethylene group is so readily attached that polymeric materials can first be synthesized from monomers having covalently bonded pendant side chains of the non-linear optical materials of the present invention having no electron accepting groups. This alleviates the solubility and reactivity problems associated with particularly strong electron accepting groups in polymerization reactions, resulting in polymers having high molecular weights and polymer yields as high as 100%.
- The base polymer is then easily reacted with tetracyanoethylene in a basic solvent at a given temperature to attach the tricyanoethylene group to the pendant side chain. Full attachment of the group is possible with copolymers having up to 40% monomeric subunits with pendant side chains of non-linear optical materials.
- The high molecular weight base polymer has good overall solubility and a low Tg. However, the Tg increases upon attachment of the tricyanoethylene group although the solubility does not significantly suffer. It is possible to take advantage of the low Tg of the base polymer by first forming a thin film of the base polymer and then reacting the base polymer film with tetracyanoethylene to attach tricyanoethylene groups to the polymer and produce a film having non-linear optical properties. This is particularly desirable if the difference in Tg between the base polymer and polymer having non-linear optical properties result in the base polymer having significantly superior mechanical properties over the polymer having non-linear optical properties.
- In addition to possessing greater second order NLO susceptibilities and improved solubility, the compounds of the present invention are thermally stable, photochemically unreactive, have high laser damage thresholds, are easily synthesized and have well-known and understood chemical properties.
- The heteroaromatic NLO compounds of the present invention, once suitably oriented, exhibit a high second order NLO susceptibility. Compounds suitable for use as second order NLO chromophore materials according to the present invention have from two to ten five-membered heteroaromatic or six-membered aromatic rings and/or fused ring systems of five- and/or six-membered aromatic or heteroaromatic rings, with one or more pi-conjugated functional groups bridged between the rings or ring systems. Within the present specification "aromatic" rings are defined as aromatic carbocyclic rings such as phenyl groups. "Heteroaromatic" rings are defined as being limited to aromatic heterocyclic rings, thereby excluding carbocyclic rings such as phenyl groups. The bridged ring compounds will thus possess the structure of Formula I.
- The number of aromatic rings or fused ring systems, Ar, in a side chain, is designated as m+1, and is from two to ten, and preferably from two to four. That is, m is from one to nine, and preferably from one to three. The aromatic rings or fused ring systems within each compound may be the same or different.
- At least one ring, Ar, alone, or within a fused ring system, is a five-membered heteroaromatic ring having one heteroatom selected from O, N, S and Se. The heteroaromatic ring may optionally include up to three additional N atoms. Preferably, the NLO compounds contain two or more of the five-membered heteroaromatic rings, alone or as part of a ring system. Most preferably, all the rings in the NLO compounds are five-membered heteroaromatic rings, and all ring systems contain a five-membered heteroaromatic ring. When two or more heteroaromatic rings are present, the rings may have the same or different heteroatoms.
- From the foregoing description, the aromatic, heteroaromatic and fused ring systems suitable for use with the present invention can be easily identified by those of ordinary skill in the art. Suitable rings and ring systems include, but are not limited to, pyrrole, furan, thiophene, imidazole, oxazole, thiazole, triazole, tetrazole, pyrazole, pyrimidine, purine, quinolines, carbazole, benzene, naphthalene, furazan, pyrazine, indole, isoindole, indazole, phenothiazine, benzotriazole, anthracene, phenanthrene, azophenanthrenes, and the like.
- The fused ring systems should not be so large as to hinder the solubility of the NLO compounds in polymer matrices or spin-casting solvents. The point at which fused ring system size interferes with solubility is easily identified by those of ordinary skill in the art. Fused ring systems of two to three rings are preferred, and two ring systems are most preferred.
- The adjacent aromatic rings in each NLO compound are bridged by from one to three pi-electron conjugated functional groups such as carbon-carbon, carbon-nitrogen or nitrogen-nitrogen functional groups, depicted in the foregoing structure as B. Preferably, the adjacent aromatic rings are bridged by one or two of the conjugated functional groups. When adjacent aromatic rings are bridged by two or three functional groups, the conjugated functional groups may be the same or different and the number of conjugated functional groups between adjacent aromatic rings may vary within an NLO compound. When the aromatic ring is heteroaromatic, the functional group is substituted on the ring alpha to a heteroatom. For six-membered aromatic rings, the functional group is substituted para to another functional group, an electron donating group or an electron acceptor group.
- The use of pi-electron conjugated functional groups to bridge adjacent aromatic rings in NLO compounds is essentially conventional to the art of NLO active organic materials. Examples of suitable aromatic ring-bridging functional groups known in the art include -N=N-, -CH=N-, -CH=N-N=CH-, -C≡C- and (̵CH=CH)̵j, with j being from one to three.
- To induce charge asymmetry, the aromatic or heteroaromatic rings at each end of the structure are substituted with an electron donating group, D, and an electron accepting or withdrawing group, A. For heteroaromatic rings, the electron donating group is substituted alpha to the heteroatom, preferably the same heteroatom that a conjugated functional group is alpha to. For rings with no heteroatoms, the electron donating group is substituted para- to the functional group bridging the ring to the ring adjacent to it.
- The electron accepting groups are attached to the aromatic ring at the opposite end of the structure. As with electron donating groups, the electron accepting groups are substituted alpha to a heteroatom in heteroaromatic rings, preferably the same heteroatom that a functional group is alpha to, and on rings having no heteroatom are substituted para- to a functional group bridging the ring to a ring adjacent to it.
- The electron donating and accepting groups that are used to induce charge asymmetry to the conjugated ring systems of these structures are essentially conventional to the art of NLO active organic materials. Any functional group capable of releasing electrons into such a conjugated ring system is suitable for use as an electron donating group. Examples of suitable electron donating groups known in the art include -OR₈, -SR₈, -TeR₈, -SeR₈, -NR₅R₆, -CH=NR₄, -CH=N-NH₂, -CH=N-N(R₅R₆) and -CH=C[N(R₅R₆)]₂, wherein R₄ is hydrogen or an alkyl group containing up to 10 carbon atoms, R₈ is an alkyl group containing up to 6 carbon atoms and R₅ and R₆ are independently selected from hydrogen, alkyl groups containing up to 12 carbon atoms and alkyl groups containing up to 12 carbon atoms having reactive functional groups selected from hydroxy, ethylene, acetylene, amine, thiol, sulfonic acid, carboxylic acid, or R₅ and R₆ together form a cyclic group containing up to 8 carbon atoms, including groups such as pyrrolidine, piperidine, piperazine and morpholine. Preferably, R₈ is a methyl group, R₄ is either hydrogen or a methyl group, and R₅ and R₆ are methyl, ethyl, hexyl, cyclopentyl, cyclohexyl, pyrrolidine, piperidine, piperazine and morpholine.
- Another example of suitable electron donating groups are the functional groups
wherein E and F are members of a saturated or unsaturated five- to eight-membered cyclic ring or two ring system having five- to eight-membered rings that are electron donating in nature. E, F, G, and H are heteroatoms independently selected from O, N, S, Se and Te. Whether or not a ring is electron donating in nature to meet the definition of membership within this group is understood by those of ordinary skill in the art. - Any functional group capable of withdrawing electrons from a conjugated ring system is suitable for use as an electron accepting group. Examples of suitable electron accepting groups known in the art include -NO₂, -CN, -CHO, -COR, -COOR, -PO(OR)₂, -SO₂R, -SO₃R, -PO(R)₂ and
wherein X, Y and Z are independently selected from hydrogen, -CN, -NO₂, -COR, -COOR, -SO₂R, -PO(R)₂ and -PO(OR)₂ and R is an alkyl group containing up to 15 carbon atoms, and preferably a methyl group. - Strong electron donating and electron accepting groups are preferred, which significantly increase the second order NLO properties of the compounds of the invention. Examples of strong electron donating groups are -N(CH₃)₂ , pyrrolidine, piperidine, piperazine and morpholine. The most preferred strong electron donating group is pyrrolidine Examples of strong electron accepting groups are -C(CN)=C(CN)₂, -NO₂, dicyanoethylene, dinitroethylene and nitroesterethylene. The most preferred strong electron accepting group is -C(CN)=C(CN)₂, a tricyanoethylene or tricyanovinyl group.
- When the electron accepting group is a tricyanovinyl group, the non-linear optical compounds of the present invention preferably have a structure represented by Formula IA, in which D, Ar, B, R₇, m and n are the same as described above with respect to Formula IA. As noted above, the tricyanovinyl group is substituted alpha to the heteroatom.
- A preferred embodiment of the present invention includes a second electron donating group substituted alpha to the electron donating group on the aromatic ring at one end of the structure, or a second electron accepting group alpha to the electron accepting group on the aromatic ring at the opposite end of the structure, or both. The second electron donating or accepting group may be the same or different from the corresponding first electron donating or accepting group. The inclusion of a second electron donating or electron accepting group in the alpha position increases the second order NLO properties of the resulting material as compared to materials having single-substitution of electron donating and electron accepting groups.
- The aromatic rings of the NLO compounds of the present invention may optionally be further substituted. Any number of functional groups can be substituted on the rings, provided that the groups are not so large or so numerous to cause undesirable steric hindrance effects, the occurrence of which will be clear to those of ordinary skill in the art.
- General procedures for the preparation of the NLO compounds of the present invention are illustrated by the following Schemes.
- NLO compounds having -CH=CH- (stilbene) functional groups are prepared by a Wittig reaction. The Wittig reaction can be performed by the reaction of a phosphonium salt or phosphonate ester with an aldehyde in the presence of a base. The Wittig condensation reaction is illustrated in Scheme 1:
NLO compounds having -C≡C- (acetylene) bridges are prepared from stilbene type compounds by conventional methods. The stilbene is brominated and subsequently dehydrobrominated to yield the desired acetylene. The preparation of acetylene compounds is illustrated inScheme 2.
NLO compounds having -CH=N- (azine or Schiff base) functional groups are prepared by refluxing an aromatic amine with the appropriate aldehyde or ketone in alcoholic solvents. The reaction times and temperatures vary with the substituents present on both the carbonyls and amines. A general procedure employed to synthesize Schiff base materials is illustrated in Scheme 3:
NLO compounds having -CH=N-N=CH- (azine) functional groups are prepared by the condensation of aromatic electron deficient aldehydes with hydrazine and the resulting hydrazone is condensed with an electron rich aldehyde. The hydrazine condensation is illustrated inScheme 4.
NLO compounds having -N=N- (azo) functional groups are prepared by conventional azo coupling reactions in which an aromatic ring substituted with a powerful electron donating group such as -N(CH₃)₂, is reacted with an aromatic diazonium salt in mildly acidic solution. The azo coupling is illustrated in Scheme 5:
NLO compounds having -CH=CH-CH=CH- (diene) bridges are prepared by a variety of ways. One such way is by a Wittig reaction with a conjugated aldehyde. This type of Wittig reaction is illustrated byScheme 6. - The synthesis of bridges is one important aspect of the NLO material. Another aspect is the extension of the conjugation. In the synthesis of these heterocyclic NLO materials, there are two separate ways of extending the conjugation : 1) sequential build-up of rings or 2) addition of multiple rings in one step, illustrated in Scheme 7:
A variety of electron acceptor groups such as tricyanoethylene, dicyanoethylene, cyanoesterethylene, etc., can be substituted to the heteroaromatic or aromatic ring using conventional methods. While the methods may be conventional, it has unexpectedly been discovered that the tricyanoethylene electron acceptor group can be directly attached to a heteroaromatic ring, a reaction that does not readily occur with benzene rings. - Any of the aromatic rings, electron donating groups or electron accepting groups disclosed as being suitable for use with the present invention may be substituted for the aromatic rings, electron donating groups or electron accepting groups depicted in the foregoing schemes without undue experimentation. The foregoing procedures can be combined sequentially to provide NLO materials combining various five- or six-membered aromatic rings bridged by one or more of the same or different stilbene, Schiff base, azomethine, azo, acetylene or alkene functional groups.
- The NLO compounds of the present invention can be formed into a nonlinear optical material by combining the NLO compounds with a chemically inert medium. For example, the NLO compounds can be layered on a substrate such as glass, silica or polymeric materials, as described in U.S. Patent No. 4,894,186 to Gordon, the disclosure of which is hereby incorporated herein by reference thereto. In another embodiment, a nonlinear optical medium can be formed by blending the NLO compounds of the present invention with a host thermoplastic polymer. Suitable host thermoplastic polymers include polyacrylates, polymethacrylates, polyacrylamides, polyimides, polycarbonates, polyesters, polyamides, polystyrenes and the like. This combination is also described in U.S. Patent No. 4,894,186, the disclosure of which is also hereby incorporated herein by reference thereto.
- The NLO compounds of the present invention can also be covalently attached as side chains to the monomeric subunits of polymers. Polymers should be chosen for use with the present invention having monomeric subunits that have reactive functional groups for attachment of the side chains.
- The polymer should also have excellent optical transparency, good film-forming characteristics, a low dielectric constant and a relatively high Tg for stable dipole orientation of the side chains. Other properties will come into consideration, depending upon the particular end use requirements of the materials; however, these properties are well understood by those of ordinary skill in the art.
- One class of polymers suitable for use with the present invention are polymers and copolymers, the monomeric subunits of which are derived from vinyl monomers such as acrylates, acrylamides, vinyl halides, acrylonitriles, ethylene, propylene, isobutylene, isoprene, acid anhydrides, styrenes, vinyl alcohols and vinyl acetates. Examples of other polymers suitable for use with the present invention include polyimides, polyamides, polycarbonates, polyesters, polyphenylene ethers, polyetherimides, polyether ketones and polyether etherketones.
- The polyacrylates suitable for use with the present invention include alkyl branched polyacrylates such as polymethyl methacrylate. Likewise, the polyacrylamides suitable for use with the present invention include alkyl branched polyacrylamides such as polymethacrylamide, and the polyacrylonitriles include alkyl branched polyacrylonitriles such as polymethacrylonitrile.
- Those of ordinary skill in the art are capable of identifying the functional groups of the polyacrylates, polyimides, polyamides, polyacrylamides, polyvinylhalides, polyacrylonitriles, polyvinyl alcohol, polyvinyl acetates, polyesters, polyphenylene ethers, polyetherimides, polyether ketones, polyether etherketones, poly (acid anhydrides) and polycarbonates to which the NLO compounds of the present invention can be attached to form side chains by conventional addition and condensation reactions. Although the monomeric subunits of polystyrene, polyethylene, polypropylene, polyisobutylene and polyisoprene do not have such functional groups, such monomeric subunits can first be functionalized to provide a reactive group for the attachment of the NLO compound, such as the chloromethylation of polystyrene and the subsequent conversion to the more reactive iodomethyl derivative set forth in U.S. Patent No. 4,935,292 to Marks, the disclosure of which is herein incorporated by reference thereto. Alternatively, a functionalized derivative of these polymers can be used as a starting material, such as the poly(p-hydroxystyrene), the use of which is also disclosed by U.S. Patent No. 4,935,292.
- Attachment of the NLO compounds to the monomeric subunits results in a polymer having side chains corresponding to Formula II, wherein R₁ and R₃ represent the monomeric subunits of the above-described polymers, which may be the same or different, D, Ar, B and A are as described above with respect to Formula I, R₂ is a straight-chained or branched alkyl, alkoxy, thioalkyl or aminoalkyl group containing from one to ten carbon atoms, n is from one to three, m is from one to nine, and p is zero or one. When p is zero, R₂ is attached to the functional group by the alkyl moiety and R₂ is an alkoxy, alkylthio or alkylamino group. The ratio of a to b represents the degree to which the monomeric subunits of the polymer are substituted by NLO side chains. In the present invention, the ratio of a to b is between about 1:99 and about 50:50. Preferably, the ratio of a to b is between about 5:95 and about 40:60 and most preferably, it is about 25:75. The ratio of a to b should not substantially exceed 30:70 in order that the polymer remains soluble in solvents utilized in the preparation of NLO materials.
- R₂ functions to attach the NLO compounds to the functional groups of the monomeric subunits of the polymers to form NLO side chains. While R₂ is a straight-chained or branched alkyl, alkoxy, thioalkyl or aminoalkyl group containing from one to ten carbon atoms, preferably, R₂ will contain from four to six carbon atoms. More preferably, R₂ is selected from (-CH₂-)x, (-CH₂-R₉-)x, (-CH₂-CH₂-R₉-)x/2, (-CH₂-CH₂-CH₂-R₉-)x/3, wherein R₉ is selected from O, S and NH and x is from one to ten, preferably from four to six, with the proviso that for (-CH₂-CH₂-R₉-), x is a multiple of two, and for (-CH₂-CH₂-CH₂-R₉-), x is a multiple of three. R₂ additionally functions to increase the solubility of the polymer in the chemically inert medium or solvents utilized.
- Preferred NLO polymers have recurring structural units represented by Formula IIA wherein R₁, R₂, R₃, Ar, B, D, R₇, m, n and p are the same as described above with respect to Formula IIA. The tricyanovinyl group is attached alpha to the heteroatom of R₇. The a to b monomer ratio is the same as described above with respect to Formula II. In even more preferred polymers, R₁ and R₃ are independently selected from monomers of ethylene, acrylates, alkyl-branched acrylates, acrylamides, alkyl-branched acrylamides, styrene, alpha-alkyl styrenes, vinyl acetate, ether ketones and ether etherketones. When R₁ or R₃ is a styrene monomer, the aromatic ring may be further substituted by one or more hydroxyl or alkyl groups, provided that the groups are not so large or so numerous to cause undesirable steric hindrance effects, the occurrence of which will be clear to those of ordinary skill in the art.
- In the most preferred NLO polymers, R₁ and R₃ are independently selected from monomers of acrylates, methacrylates, etherketones and ether etherketones.
- The base polymers of the present invention have recurring structural units corresponding to the recurring structural units of the NLO polymers of the present invention, but without the electron accepting groups. Therefore, base polymers in accordance with the present invention have recurring structural units represented by Formula III, in which R₁, R₂, R₃, Ar, B, D, R₇ m, n and p are the same as described above with respect to Formula III. R₁ and R₃ may be the same or different, as described above with respect to the NLO polymers of Formula IIA with the same a to b monomer ratio as described above with respect to Formula IIA. As with the polymers of Formula IIA, in even more preferred base polymers, R₁ and R₃ are independently selected from monomers of ethylene, acrylate, alkyl-branched acrylates, acrylamides, alkyl-branched acrylamides, styrene, alpha-alkyl styrenes, vinyl acetate, ether ketones and ether etherketones. R₁ and R₃ for the most preferred base polymers are independently selected from monomers of acrylates, methacrylates, ether ketones and ether etherketones.
- The polymerization of the base polymers and polymeric NLO materials of the present invention is essentially conventional and is readily understood by those of ordinary skill in the art. Depending upon the material in question, in some cases it is preferable to first polymerize the polymer and then attach the side chains to the functional groups, in other cases it is preferable to synthesize a monomer having a NLO side chain covalently attached there to be copolymerized with monomer having no side chain.
- A preferred method for the preparation of the polymeric NLO materials of the present invention, however, first synthesizes a monomer having a pre-NLO side chain covalently attached thereto. The pre-NLO side chain is defined as an NLO side chain having no electron accepting group. Once the monomer having a pre-NLO side chain is copolymerized with a monomer having no NLO or pre-NLO side chain, the resulting base polymer can be reacted to attach electron accepting groups to the pre-NLO side chains to provide a polymeric NLO material. The synthesis of monomers having pre-NLO side chains and the copolymerization of same with a monomer having no NLO or pre-NLO side chains is essentially conventional and well-understood by those of ordinary skill in the art. The base copolymer is then preferably reacted with tetracyanoethylene to tricyanovinylate the pre-NLO side chains. The base polymer can be reacted with tetracyanoethylene in a basic solvent at an elevated temperature to achieve such tricyanovinylation.
- For polymers having monomeric subunits such as acid anhydrides, epoxides, acid halides, isocyanates, carboxylic acids, esters, sulfonic acids and amines, the pre-NLO side chain can be directly attached to the polymer, rather than first synthesizing a monomer having a pre-NLO side chain that is then polymerized with an unsubstituted monomer to form a pre-NLO base polymer. The base polymer can instead be reacted to attach electron accepting groups such as tricyanovinyl groups to the pre-NLO side chains to provide a polymeric NLO material. For example, pre-NLO side chains can be reacted with poly(styrene maleic anhydride) to form a poly(styrene maleimide) having pre-NLO side chains. The method by which pre-NLO side chains can be directly attached to polymers is also essentially conventional and well-understood by those of ordinary skill in the art.
- Suitable basic solvents for the reaction of tetracyanoethylene and the base polymer include N, N-dimethylformamide (DMF), pyridine, N,N-dimethylacetamide, N-methyl pyrrolidone, tertiary amines and the like. The preferred solvent is DMF. A reaction mixture is prepared by dissolving the polymer and the tetracyanoethylene in one or more of the above solvents. The reaction mixture is heated to a temperature between about 50°C and about 140°C, and preferably about 100°C to obtain the tricyanovinylated polymers.
- The degree of tricyanovinylation of the polymer is limited only by the number of pendant pre-NLO groups available for tricyanovinylation. Therefore, a slight equivalent excess of the tetracyanoethylene over the polymer should be used.
- As noted above, the reaction of the polymer and the tetracyanoethylene can be carried out at temperatures in the range of from about 50°C to about 140°C. Higher temperatures will result in an increased rate of reaction. And even higher rates can be achieved by pressurizing the reaction vessel to elevate the boiling point of the solvent, allowing the reaction to proceed at an even higher temperature. However, a reaction temperature of 100°C is preferred to minimize inter- and intra-molecular cross reactions.
- To insure uniform mixing of the polymer and the tetracyanoethylene, the reaction mixture should be maintained at a constant state of mild agitation. It is also preferred that the reaction mixture be maintained under an atmosphere of an inert gas.
- Once the reaction is complete, the NLO polymer is precipitated with a lower alkyl alcohol, such as methanol or isopropanol, filtered and dried under vacuum. The polymer can then be further purified by conventional methods, typically by repeated dissolution and reprecipitation from the lower alkyl alcohol.
- One key intermediate in the preparation of vinylic monomers such as an acrylate, with NLO side chains is 4-[(6-hydroxyhexyl) methylamino] benzaldehyde, the preparation of which is essentially conventional. Five-membered heterocyclic and/or six-membered aromatic aldehydes can be substituted for this compound for preparation of the other NLO side chains of the present invention.
- A general procedure employed to synthesize acrylate monomers with stilbene type side chains, followed by copolymerization with unsubstituted acrylate monomer, is illustrated in Scheme 8:
A general procedure employed to synthesize acrylate monomers with stilbene-type pre-NLO side chains, followed by copolymerization with an unsubstituted acrylate monomer, is illustrated in Scheme 9:
The foregoing reactions can also be employed with a Schiff base, azomethine, azine, azo, acetylene or alkene functional group NLO compounds by using hydroxyalkyl-substituted starting materials. - The polymeric materials having NLO active side chains are recovered and purified by conventional means known to those of ordinary skill in the art. Films of the polymers may be formed by spin coating, after which the films may be repetitively annealed prior to poling at an elevated temperature near the Tg of the material. Following annealing, the dipoles of the side chains may be aligned by application of an intense electric field (0.2-1.0 MV cm⁻¹) at temperatures near the Tg. The foregoing sequence of spin coating, annealing and poling is essentially conventional and disclosed in U.S. Patent No. 4,935,292, the disclosure of which is hereby incorporated herein by reference thereto.
- It is disclosed in U.S. Patent No. 4,935,292 and SPIE Proceeding No. 1147, 74-83 (1989) that further stabilization of the NLO side chain alignment can be achieved by a radiation-induced or chemical-induced cross-linking of the polymer matrix. This process is also essentially conventional, the disclosure of which in U.S. Patent No. 4,935,292 is also hereby incorporated herein by reference thereto.
- The preferred base polymers and NLO-active polymeric materials of the present invention typically have weight-average molecular weights between about 5,000 and about 300,000 Daltons measured by GPC or light scattering. The incorporation of the tricyanovinyl group increases the Tg's of the precursor polymers.
- The electro-optic coefficient of an NLO-active poled polymer film is proportional to the product of the molecular second order nonlinear optical susceptibility coefficient, beta and the molecular ground state electric dipole moment, mu. The molecular beta is dependant on the frequency at which the measurement is performed due to the resonance effect near the absorption peak. A method to compare molecules with different absorbtion properties by extrapolation of the beta value measured at a specific frequency to zero frequency using a two-level model is disclosed by Singer, J. Opt. Soc. Am., B6, 1339-1350 (1989). The beta value at the extrapolated zero frequency is defined beta zero. The NLO active molecules of the present invention can exhibit values of the beta-mu product as high as about 15,000 in units of 10⁻⁴⁸ esu measured at a wavelength of 1540 nm. The corresponding value of the product of beta-zero-mu is about 6000 in units of 10⁻⁴⁸ esu.
- Thus, it can be appreciated that the present invention provides NLO compounds combining superior second order nonlinear optical properties with the physical, mechanical and optical properties required of an optical material. The following examples are further illustrative of the present invention, and are not to be construed as limiting the scope thereof. The reference numerals refer to the steps of reaction schemes. Unless otherwise indicated, materials were obtained from Aldrich Chemical Supply. All parts and percentages are by weight unless expressly indicated to be otherwise.
-
- A stilbene aldehyde was prepared by mixing p-N,N'-dimethyl benzaldehyde (14.9 g., 0.1 mol) was mixed with thiophene phosphonate ester (25.5 g., 0.12 mol.) and potassium t-butoxide(12.3 g., 0.12 mol.) in tetrahydrofuran (100 mL). The mixture was allowed to stir under argon for four hours. The mixture was concentrated, dissolved in methylene chloride and washed with water. The methylene chloride solution was dried (Na₂SO₄), concentrated, and chromatographed (CH₂Cl₂ : hexane, 1:1) to yield pure stilbene 1 (18.3 gm., 80%). Stilbene 1 (18.0 g., 0.078 mol) was dissolved in dry tetrahydrofuran (125 mL) and cooled to -78oC and purged with argon. To this cooled solution was added n-BuLi (2.5 M, 34.3 mL, 0.086 mol) and the temperature was maintained for one hour. Dimethylformamide (10 mL, ex.) was added and the solution was slowly warmed to room temperature over a three hour period. The reaction was then quenched by the addition of water (300 mL). The tetrahydrofuran was removed and the water solution was extracted with methylene chloride(3 x 200 mL). The organic layer was dried (Na₂SO₄), concentrated, and chromatographed (CH₂Cl₂ : hexane, 1:2) to yield pure stilbene aldehyde 2 (16.1 g., 82% yield).
-
- The
stilbene aldehyde 2 of Example 1 (2.57 g., 0.01 mol) was placed in methylene chloride (10 mL) and was treated with malononitrile (0.86 g., 0.01 mol) and pyridine (0.90 g., 0.012 mol), and stirred under argon for two hours. The methylene chloride was removed under reduced pressure and the resulting solid was washed with copious amounts of ice cold ether. The solid was then dried in a vacuum oven (65oC, 0.1 torr) for one hour to yield 2.35 g. (77% yield) ofpure dicyanovinyl stilbene 3. -
- The
dicyanovinyl stilbene 3 of Example 2 (3.05 g., 0.01 mol) was placed in chloroform (20mL) and treated with bromine (1.7 gm., 0.01 mol.) and allowed to stir for one hour. At this time, the solution was treated with sodium methoxide (0.80 gm., 0.01 mol) and warmed to just above room temperature. The solution was washed with 10% HCl (2x100 mL), dried (Na₂SO₄), and concentrated to yield pure acetylene 4 (2.5 g., 83.3%) -
- The
stilbene aldehyde 2 of Example 1 (15.0 g., 0.058 mol), thiophosphonate ester (14.8 g., 0.064 mol.), and potassium t-butoxide (7.17 g., 0.064 mol.), were mixed in tetrahydrofuran (200 mL) and stirred for two hours. After the reaction was complete the solvent was removed and the solid was disolved in methylene chloride, washed with water, concentrated and chromatographed (CH₂Cl₂ : hexane, 2:1) to yield trimer 5 (13.7 g., 70%). - The same procedure is followed to produce the tetramer with one modification. The thiophosphonate ester is replaced with thiophene-stilbene phosphonium salt. In the reaction to produce
tetramer 6, aldehyde 2 (10 g., 0.039 mol) and the phosphonium salt (44.0 g., 0.082 mol) were reacted with t-butoxide (9.18 g., 0.082 mol)of K in methylene chloride (200 mL). The work-up and purification remained the same. -
- The
stilbene aldehyde 2 of Example 1 (3.4 g., 0.014 mols.) and 2-amino-5-nitrothiazole (2.00 g., 0.014 mols.) were combined in ethanol (25 mL) and warmed to approximately 40-50oC. The solution was maintained for 1 hour at this temperature and water was added to induce crystallization. The mixture was allowed to cool and the resulting solid was collected by vacuum filtration to yield heterocylic stilbene 7 (4.71 g., 91% yield) in good yield. -
- 5-nitrothiophene-2-carboxaldehyde(3.0g., 0.014 mols.) and hydrazine (0.61 g., 0.019 mols.) were mixed in 95% ethanol (25 mL) and stirred under argon at room temperature for 2 hours. Water was added to this solution to induce crystallization, and the solid was filtered and dried to yield hydrazone 8 (1.85 g., 88% yield) as a pale yellow solid that was pure enough for use without further purification. Hydrazone 8 (1.5 g., 8.77 mmols.) was mixed with the
stilbene aldehyde 2 of Example 1 (2.31 g., 9.0 mmols.) in absolute ethanol (25 mL) and heated to reflux under an argon atmosphere. After 1-1.5 hours water was added to induce crystallization, and the solution was slowly cooled. The resulting solid was collected by vacuum filtration and dried under vacuum (1 torr., 60oC) to yield azine 9 (3.5 g., 95% yield) as a red solid. -
-
Heterostilbene 11 was prepared by mixing 2-(N-pyrrolidino)thiophene-5-carboxaldehyde 10 (1.81 g., 0.010 mols.) and thiophene phosphonate ester (2.5 g., 0.012 mols.) with potassium t-butoxide (1.23 g., 0.012 mols.) in tetrahydrofuran (25 mL). The mixture was stirred under an argon atmosphere at room temperature for 4 hours. The tetrahydrofuran was removed at reduced pressure and the resulting gum was dissolved in methylene chloride (100 mL). This solution was washed with water (2 x 200 mL), dried (Na₂SO₄) and concentrated to near dryness. This solution was chromatographed (methylene chloride/ hexane, 1/1) to yield heterostilbene 11 (1.95 g., 72 % yield) as an orange solid. -
- The
heterocyclic azine 12 was prepared by refluxing 2-(N-pyrrolidino)thiophene-5-carboxaldehyde 10 (1.81 g., 0.010 mols.) and hydrazine 8 (2.05 g., 0.012mols.) in ethanol (50 mL) under an argon atmosphere for 2.5 hours). At this time water was added until a solid began to precipitate. The solution was cooled slowly and the resulting solid was collected by vacuum filtration to yield heterocyclic azine 12 (2.83g., 85% yield) as a crystalline solid. -
- The
heterostilbene 14 was prepared by mixing 2-(N-pyrrolidino)-bisthiophene-5'-carboxaldehyde 13 (2.63 g., 0.010 mols.) and thiophene phosphonate ester (2.5 g., 0.012 mols.) with potassium t-butoxide (1.23 g., 0.012 mols.) in tetrahydrofuran (25 mL). The mixture was stirred under an argon atmosphere at room temperature for 12 hours. The tetrahydrofuran was removed at reduced pressure and the resulting gum was dissolved in methylene chloride (100 mL). This solution was washed with water (2 x 200 mL), dried (Na₂SO₄) and concentrated to near dryness. This solution was chromatographed (methylene chloride/hexane, 3/1) to yield heterostilbene 14 (2.5 gms, 76 % yield). -
- To determine the solubility of several heteroaromatic NLO compounds and their benzenoid analogues, 0.1 g of each of the above compounds was added to 10 mL of solvent. The results were compared in Table 1, illustrating the superior solubility of the heteroaromatic materials.
TABLE 1 Compound Dioxane DMF Acetone Chloroform DMSO 1 VS VS VS VS VS 2 VS VS VS VS VS 3 S VS VS VS S 4 S S S VS S 5 I I I I I DMF = Dimethyl formamide, DMSO = Dimethylsulfoxide VS = very soluble, S = soluble, I = insoluble - Second order NLO properties of the structures disclosed in the present invention are determined by standard electric field induced second harmonic generation(EFISH) measurements. In the measurement, a static electric field is applied to align the NLO molecules which are dissolved in a suitable solvent. Measurement of the second harmonic, which is generated by shining a single frequency laser beam through the electric field aligned solution, determines the value of beta-mu. The value of beta is frequency dependent and can be enhanced by resonance effects. The extrapolated beta-zero value is determined according to the disclosure of Singer, cited above, and is used to compare the NLO properties of molecules with different resonance behaviors.
- Representative beta-mu and beta-zero-mu values for structures disclosed in the present invention are depicted in Tables 2 and 3. Table 2 demonstrates the increase of beta-mu values as the number of heteroaromatic ring increase. Two series with different acceptors are presented here. The first series employed NO₂ as the acceptor and N(R)₂ as the donor. The second series employed -CH=C(CN)₂ as the acceptor and N(R)₂ as the donor. Both series show significant enhancement of second order NLO properties as the number of heteroaromatic rings is increased. Similar enhancement was not observed for structures containing only six-membered aromatic rings as disclosed by Chang in SPIE proceeding Vol. 1147, 61-72(1989).
- Table 3 demonstrates the enhancement of beta-mu when the six-membered aromatic rings are replaced by five-membered heteroaromatic rings as can be seen by comparing compounds F and G in which more than a three fold increase in beta-mu and more than two fold increase in beta-zero-mu resulted from this replacement. The importance of a suitable bridging group is demonstrated by comparing compounds G and H in Table III in which more than a two fold decrease in beta-zero-mu is observed when the bridging C=C group is removed while other structures remain unaltered. The effect of a strong electron acceptor on the second order NLO property is depicted by the exceptionally large beta-mu value of compound I. In compound I, the electron acceptor group employed is -C(CN)=C(CN)₂ group. Compound I shows significant enhancement in both beta-mu and beta-zero-mu values when compared to a compound disclosed by Singer in the above-cited J. Opt.Soc. Am. B6 article which contains the same electron donor and acceptor groups but consists of only six-membered aromatic rings.
- N-(6-hydroxyhexyl)-N-
methylaniline 2 was prepared by mixing N-methylaniline (153 g, 1.43 mol.), 6-chlorohexanol (200 g, 1.46 mol.), potassium carbonate (200 g, 1.45 mol.) and potassium iodide (6 g, catalyst) in 750 mL of n-butanol. The mixture was heated to reflux under argon with vigorous external stirring for 96 hours. The solution was cooled, filtered, and the solvent was removed in vacuo. The residue was distilled under high vacuum to yield 2 (235 g, 79.5% yield) as a colorless oil, having a boiling point of 120-125°C (0.05 mm Hg). - N-(6-acetoxyhexyl)-n-
methylaniline 3 was prepared by heating a mixture of 2 of Example 12 (235 g, 1.13 mol.) and acetic anhydride (126 g, 1.24 mol.) in pyridine (97 g, 1.24 mol.) to reflux with stirring under argon for two hours. After cooling, the solution was poured into ice water with vigorous stirring and subsequently extracted with ethyl acetate (2 x 300 mL). The combined extracts were dried (Na₂SO₄), and the solvent was removed in vacuo. The residue was distilled to yield 3 (246 g, 89% yield) as a tan-colored oil having a boiling point of 145-147°C (0.15 mm Hg). - 4'-[(6-acetoxyhexyl) methylamino]
benzaldehyde 4 was prepared by first adding phosphorous oxychloride (140 g, 0.92 mol.) dropwise to 270 mL of N,N'-dimethylformamide (DMF), with the resulting mixture being stirred for two hours at 0°C. To this mixture was added dropwise 50 mL of 3 of Example 13 (221 g, 0.91 mol.). The resulting mixture was heated to 90°C for three hours. After cooling, the solution was poured onto 1 L of ice water and the resulting material was hydrolyzed with potassium carbonate overnight. The basic mixture was extracted with dichloromethane (3 x 200 mL). The organic layers were combined, dried (Na₂SO₄), and the solvent was removed in vacuo to yield a brown residue which was distilled using a short-path Kugelrohr apparatus to yield 4 (195 g, 78% yield) as a yellow oil having a boiling point of 201°C (0.15 mm Hg). - (Trans)-7-[4-(1-)((6'-hydroxyhexyl) methylamino benzene))]
ethenyl thiophene 5 was prepared by adding potassium t-butoxide (13 g, 0.117 mol.) to a stirred solution of 4 of Example 14 (32 g, 0.115 mol.), and ethyl thiophene phosphonate ester (27 g, 0.117 mol.) in 150 mL of dry, freshly distilled tetrahydrofuran under argon at room temperature. Ethyl thiophene phosphonate ester was prepared by reacting 2-hydroxymethyl thiophene with thionyl chloride to form 2-chloromethyl thiophene. The 2-chloromethyl thiophene was then reacted with triethylphosphite at 140°C for 8 hours to form the ethyl thiophene phosphonate ester. The reaction was essentially quantitative under this condition. - The reaction mixture of 4 and ethyl thiophene phosphonate ester was stirred in the absence of light for three hours. After this initial period, additional potassium t-butoxide (13 g, 0.117 mol.) was added to hydrolyze the acetate linkage. The resulting solution was stirred overnight under argon. The mixture was concentrated in vacuo, and the residue was dissolved in dichloromethane, washed with water (3 x 200 mL), dried (Na₂SO₄), and concentrated onto 30 g of silica. The silica was added to a medium pressure column packed with silica. The column was eluted with a 1:1 ratio blend of hexane and dichloromethane with a gradient to pure dichloromethane to obtain 5 (30 g, 83% yield) as a pale, yellow solid.
- (Trans)-7-[4-(1-)(6'-methacryloxyhexyl) methylamino benzene))]
ethenyl thiophene 6 was prepared by cooling to 0°C a mixture of thethiophene stilbenoid 5 of Example 15 (20 g, 63.4 mmol.) and triethylamine (6.74 g, 66.6 mmol.) in 300 mL of dry dichloromethane. The mixture was treated under argon with a solution of freshly distilled methacryloyl chloride (7.3 g, 69.7 mmol.) in 100 mL of dichloromethane. The reaction mixture was stirred at 0°C for 2 hours and then room temperature for 48 hours. After washing with saturated sodium bicarbonate (2 x 200 mL), the solution was dried (Na₂SO₄) and the solvent was removed in vacuo. The resulting oil was redissolved in a minimum amount of dichloromethane and eluted with a 1:1 ratio blend of hexane and dichloromethane on a medium pressure silica column to yield 6 (19.1 g, 79% yield) as a pale, yellow oil that solidified upon cooling in the freezer. -
- (Trans)-7-[4-(1-)(6'-methacryloxyhexyl) methylamino benzene))] ethenyl-10-
tricyanovinyl thiophene 7 was prepared by gradually adding (approx. 5-10 min.) tetracyanoethylene (3.25 g, 25.37 mmol.) to a stirred solution ofmethacrylate 6 of Example 16 (9.91 g, 25.23 mmol.) in dimethylformamide (25 mL) at room temperature under argon. The reaction mixture was warmed to 70°C for 2 hours. Upon cooling, the reaction mixture was poured into water (150 mL) and extracted with dichloromethane (2 x 200 mL). The organic layer was washed with water (3 x 300 mL), dried (Na₂SO₄), concentrated in vacuo and eluted with dichloromethane on a medium pressure silica column to yield 7 (12.47 g, 99% yield) as a dark black solid. -
- Methylacrylate monomer having tricyanovinylated NLO side chains was polymerized to form an NLO polymer by first mixing the
tricyanovinylthiophene 7 of Example 17, freshly distilled methylacrylate and 2,2'-azobis-(2-methylpropionitrile) (AIBN) free radical initiator in distilled toluene (5 mL). The combined molar quantity of the two monomers was 6.25 mmol. The molar ratios of the two monomers were varied in order to vary the ratios of the monomeric repeating units in the resulting copolymers, the molar ratios of which corresponded quantitatively to the molar ratios of the monomers. The mole fraction of NLO-monomer in the polymer was determined by ¹H-NMR. The molar ratios of monomers used and the resulting mole fractions of NLO-monomer in the polymers synthesized are shown in Table I. The mole percent concentration of free radical initiator ranged from 2.5 to 5 mmol. percent, as also shown in Table I. - The mixtures were degassed and then heated in stoppered tubes under argon at 80°C for 48 hours. The resulting solutions were poured into 50 mL quantities of swiftly stirred methanol to precipitate the polymers as amorphorus black solids. The polymers were purified by repeated re-precipitation from dichloromethane into methanol and dried in vacuo (30 millitorr) at 65°C for 24 hours. Molecular weights were estimated by gel permeation chromatography (GPC) in tetrahydrofuran using poly(methyl methacrylate) standards. Thermal properties were determined by differential scanning calorimetry (DSC). X represents the mole fraction of unsubstituted monomer in the polymer and Y represents the mole fraction of NLO-monomer in the polymer.
TABLE I Example X Y Yield MW Initiator a T g 18 98 2 54.8 7000 5 108°C 19 78 22 60.0 5000 5 98°C 20 86 14 23.4 5000 5 111°C 21 0 100 3 <1000b 2.5 --- a - Mole-percent of initiator b - Distribution was very broad with significant low molecular weight tail. - The data in Table I illustrates the problematic synthesis of polymers having polar side groups such as chromophores possessing a high degree of charge asymmetry, resulting in low yields of polymers having low broad molecular weight, low Tg's and low chromophore incorporation.
- In the alternative, the
non-tricyanovinylated monomer 6 of Example 16 was copolymerized with methyl methacrylate and then tricyanovinylated according to the procedure of Examples 18-21. Mixtures were prepared of themethacrylate 6, freshly distilled methyl acrylate and AIBN in 5 mL distilled toluene. The mole fractions of monomer and molar concentration of free radical initiator are depicted in Table II, essentially as depicted in Table I. Polymer yields and molecular weights were significantly higher, and Tg increased as the degree of side-chain substitution increased.TABLE II Example X Y Yield MW Initiator a T g c T g d 22 89 11 17 20,000 0.75 110°C 114°C 23 97 3 95 122,000 0.75 117°C 116°C 24 94 6 85 86,000 0.75 101°C 106°C 25 88 12 62 67,000 0.75 91°C 112°C 26 81 19 47 57,000 0.75 90°C 115°C 27 79 21 27 40,000 0.75 78°C 120°C 28 64 36 20 13,000 0.75 55°C 146°C 29 0 100 7.5 8,000 0.75 -73°C ----- a - Mole-percent of initiator. c - Tg of non-tricyanovinylated polymer as determined by DSC. d - Tg of tricyanovinylated polymer as determined by DSC. - The polymers of Examples 22-28 were then tricyanovinylated. Solutions of the polymers of Examples 11-17 (100 mg) in dimethylformamide (2 mL) were prepared. To these solutions, tetracyanoethylene (20 mg, excess) was gradually added (approx. 5-10 min.), with stirring, at room temperature under argon. The reaction mixtures were warmed to 110°C for 6 hours. Upon cooling, the reaction mixtures were poured into 50 mL quantities of agitated water to precipitate the polymers as amorphous black solids. (Yields were quantitative.) The polymers were purified by repeated reprecipitation from dichloromethane into methanol, and were dried in vacuo (30 millitorr Hg) at 65°C for 48 hours. The molecular weight and thermal properties of the tricyanovinylated polymers are shown in Table II.
- Table II depicts increasing Tg of the pre-NLO polymers upon tricyanovinylation. The foregoing examples also illustrate that pre-NLO monomers that are first polymerized and then tricyanovinylated provide NLO polymers in significantly higher yields with significantly higher molecular weights and thermal properties than polymers derived from monomers that are first tricyanovinylated and then polymerized.
-
- [(6'-chlorohexyl) methylamino]
benzaldehyde 11 was synthesized by adding phosphorous oxychloride (158 g, 1.03 mol.) dropwise at 0°C to 150 mL of N,N'-dimethylformamide and stirring the resulting mixture at 0°C for 2 hours. N-(6-hydroxyhexyl)-N-methylaniline 2 of Example 12 (100 g, 0.512 mol.) was added slowly, and the reaction mixture was heated to 90°C for 3 hours. After cooling, the solution was poured onto 1 kg of ice and the resulting material was hydrolyzed with potassium carbonate. The basic mixture was extracted with dichloromethane (3 x 200 mL), and the organic layers were combined, dried (Na₂SO₄), and the solvent was removed in vacuo. The residue was eluted with a blend of hexane and dichloromethane on a gradient beginning with a 5:1 ratio to a 1:1 ratio blend to yield 11 (110 g, 85% yield) as a colorless oil. -
- (Trans)-7-[4-(1-)(6'-chlorohexyl) methylamino benzene))]
ethenyl thiophene 12 was prepared by adding a solution of thechloroaldehyde 11 of Example 37 (25 g, 100 mmol.) in 100 mL of dry tetrahydrofuran to a stirred solution of ethyl thiophene phosphonate ester (25 g, 98.2 mol.) and potassium t-butoxide (13 g, 0.117 mol.) in 300 mL of dry, freshly distilled tetrahydrofuran. The solution was warmed to 50°c for 6 hours under argon, cooled and then concentrated in vacuo. The residue was dissolved in dichloromethane, washed with water (3 x 200 mL), dried (Na₂SO₄), and concentrated onto 30 g of silica. This silica was added to a medium pressure silica column. The column was eluted with a blend of hexane and dichlormethane on a gradient from a 10:1 ratio blend to a 1:1 ratio blend to yield 12 (29.4 g, 90% yield) as a pale, yellow solid. -
- (Trans)-7-[4-(1-((6'-azohexyl) methylamino benzene))]
ethenyl thiophene 13 was synthesized by suspending sodium azide (2.9 g, 44.61 mmol.) in a solution of dimethylformamide containing thechloride 12 of Example 38 (10.0 g, 29.9 mmol.). The suspension was heated to 100°C under argon and then water was added until everything was in solution. The reaction was maintained at 100°C for 3 hours. After cooling, the solution was poured into water (1 L) and the resulting mixture was extracted with dichloromethane (2 x 250 mL). The combined extracts were dried (Na₂SO₄), concentrated in vacuo and purified by elution from a medium pressure silica column with a blend of hexane and dichloromethane on a gradient from a 4:1 to a 1:1 ratio blend to yield the pure azide 13 (8.1 g, 79.5% yield) as a yellow oil which solidified in the freezer. -
- (Trans)-7-(4-(1-((6'-aminohexyl) methylamino benzene))]
ethenyl thiophene 14 was synthesized by adding triphenylphosphine (1.54 g, 5.88 mmol.) to a stirred solution of azide 13 (2.0 g, 5.87 mmol.) in 30 mL of dry, freshly distilled tetrahydrofuran under argon at room temperature. The mixture was stirred for 5 hours, at whichtime 5 mL of water was added to hydrolyze the phosphoimine that had formed, and the resulting solution was stirred overnight. To this solution, potassium hydroxide (2 g, excess) was added and stirred for 1 hour. The mixture was concentrated in vacuo, redissolved in a blend of dichloromethane and water (25 mL each) and acidified with concentrated hydrochloric acid. The aqueous layer was extracted with dichloromethane to remove any neutrals and then basified with 50% aqueous sodium hydroxide. The basic solution was extracted with dichloromethane (2 x 100 mL), dried (Na₂SO₄), and concentrated to yield pure amine 14 (1.84 g, 96% yield) as a pale, yellow solid. -
- The
amine 14 of Example 29 was directly attached to a polymer. As shown in Table III, poly(styrene maleic anhydride) copolymers (Arco Chemical) having molecular weights of 10,000, 50,000 and 176,000 daltons were utilized. The maleic anhydride was completely substituted, so that the degree of NLO substitution reflects the mole percent of maleic anhydride in the starting material polymer, which is depicted in Table III. In Table III, X represents the mole percentage of styrene in the starting polymer and Y represents the mole percentage of maleic anhydride in the starting polymer. The molecular weight listed is that represented by the manufacturer of the polymer. Thermal properties were determined by DSC.TABLE III Example X Y MW T g c T g d T g e T g f 41 67 33 10,000 111 132 126 147 42 50 50 50,000 160 136 165 115&150 43 93 7 176,000 109 113 103 116 44 85 15 176,000 114 122 N/A N/A c - Tg of polyamic acid as determined by DSC. d - Tg of starting material as determined by DSC. e - Tg of polyimide as determined by DSC. f - Tg of tricyanovinylated polyimide as determined by DSC. - The polymers were substituted by slowly dropping a solution of the
amine 14 of Example 40 in dry tetrahydrofuran into a stirred, dried tetrahydrofuran solution containing an equivalent quantity of poly(styrene-maleic anhydride) copolymer. After 5 hours at room temperature, the solutions of Examples 41 and 42 were poured into vigorously stirred solutions of hexane to precipitate the polymers as white amorphous solids. The polymers were then purified by reprecipitation from dichloromethane into hexane to give the resulting product, a poly-amic acid in quantitative yield. The polymers of Examples 43 and 44 were similarly poured into methanol to precipitate the polymers as white amorphous solids that were purified by reprecipitation from dichloromethane into methanol to give the corresponding poly-amic acid in quantitative yield. - The poly(styrene-amic acid) copolymers of Examples 41 and 42 were converted to poly(styrene imides) by adding the polymers of Examples 41 and 42 (0.25 g) to solutions containing 3 mL of triethyl amine and 3 mL of acetic anhydride. The solutions were heated to 85-100°C for 12 hours and then poured into vigorously stirred solutions of methanol to precipitate the tan-colored polymers. The polymers were purified by reprecipitation from dichloromethane into methanol to quantitatively give the desired poly(styrene imides).
- The poly(styrene-amic acid) copolymers of Examples 43 and 44 were converted to poly(styrene imides) by adding dropwise to solutions of the polymers of Examples 43 and 44 (1 g) in dry tetrahydrofuran, a solution containing acetic acid (1 mL) and triethyl amine (1 mL). The mixtures were warmed to 45-50°C and stirred under argon overnight. The resulting solutions were cooled and slowly poured into vigorously stirred solutions of methanol to precipitate tan-colored polymers. The resulting poly(styrene imides) were purified by reprecipitation from dichloromethane into methanol to give the desired poly(styrene imides) in quantitative yield. The properties of the polymers of Examples 45-48 are depicted in Table III.
- The poly(styrene imides) of Examples 45-48 were tricyanovinylated by gradually adding (approx. 5-10 min.) quantities of tetracyanoethylene (0.64 g, excess) to stirred solutions of the poly(styrene imides) of Examples 45-48 (4.0 g) in dimethylformamide (25 mL) at room temperature under argon. The reaction mixtures were warmed to 110°C for 6 hours. Upon cooling, the reaction mixtures were poured into 250 mL quantities of agitated water to precipitate the polymers as amorphous jade green solids. Yields were quantitative. The polymers were purified by repeated reprecipitation from dichloromethane into methanol, and then dried in vacuo (30 millitorr) at 65°C for 48 hours. The molecular weight and thermal properties of the tricyanovinylated poly(styrene imides) are shown in Table III.
-
- 2-[1-(2'-hydroxyethyl)piperazino] thiophene 18 was prepared by warming a solution containing thiophene-2-thiol (1.16 g, 10.0 mmol.) and 1-(2-hydroxyethyl) piperazine (1.43 g, 11.0 mmol.) in toluene to reflux under an argon atmosphere for two hours. Completion of the reaction was confirmed by thin layer chromatography using a 4:1 ratio blend of hexane and ethyl acetate as the eluent. The reaction mixture was cooled to room temperature, and the solvent was removed in vacuo. The residue was then concentrated onto 5 g of silica. The silica was added to a medium pressure chromatography column packed with silica. The column was eluted with a 4:1 ratio blend of hexane and ethyl acetate to yield the pure piperazino-thiophene 18 (1.62 g, 76.4% yield) as a pale yellow solid.
-
- 5-formyl-2[1-(2'-hydroxyethyl) piperazino] thiophene 19 was prepared by adding n-butyl lithium (8.4 mL, 21 mmol.) to a stirred solution of the piperazino-thiophene 18 of Example 53 (2.12 g, 10 mmol.) in tetrahydrofuran (50 mL) at -30°C. The reaction mixture was allowed to warm to room temperature over a 30 minute period, with stirring. The reaction mixture was stirred for another hour and then dimethylformamide (5 mL, excess) was added. After an additional hour, the reaction was quenched with water. The solution was cooled, filtered, and the solvent was removed in vacuo. The residual oil was concentrated onto 5 g of silica. The silica was added to a medium pressure chromatography column packed with silica. The column was eluted with dichloromethane to yield aldehyde 19 (2.2 g, 92% yield) as a pale yellow solid.
-
- (Trans)-7-([1-(2'-hydroxyethyl)piperazino] thiophene) ethenyl thiophene 20 was prepared by adding potassium t-butoxide (0.93 g, 8.32 mmol.) to a stirred solution of the aldehyde 19 of Example 54 (2.0 g, 8.32 mmol.) and the ethyl thiophene phosphonate ester of Example 4 (1.9 g, 8.33 mmol.) in 25 mL of dry, freshly distilled tetrahydrofuran under argon at room temperature. The mixture was stirred in the absence of light for two to three hours. The mixture was then concentrated in vacuo, and the residue was dissolved in dichloromethane, washed with water (2 x 50 mL), dried (Na₂SO₄), and concentrated onto 5 g of silica. The silica was added to a medium pressure column packed with silica. The column was eluted with a 1:1 ratio blend of hexane and dichloromethane with a gradient to pure dichloromethane to obtain 20 (2.5 g, 94% yield) as a pale yellow solid.
-
- (Trans)-7-([1-(2'-chloroethyl)piperazino] thiophene)ethenyl thiophene 21 was prepared by first adding phosphorus oxychloride (1.2 g, 7.8 mmol.) dropwise at 0°C to 3 mL of N,N'-dimethylformamide, with the resulting mixture being stirred for two hours at 0°C. To this mixture was added slowly 20 of Example 55 92.5 g, 7.8 mmol.). The resulting mixture was heated to 90°C for three hours. After cooling, the solution was poured onto 50 g of ice and the resulting material was hydrolyzed with potassium carbonate overnight. The basic mixture was extracted with dichloromethane (3 x 50 mL), and the organic layers were combined, dried (Na₂SO₄), and the solvent was removed in vacuo. The brown residue was concentrated onto 5 g of silica, which was added to a medium pressure chromatography column packed with silica. The column was eluted with a 5:1 ratio blend of hexane and dichloromethane with a gradient to a 1:1 ratio to yield 21 (2.40 g, 89% yield) as a white solid.
-
- (Trans)-7-([1-(2'-azoethyl)piperazino] thiophene) ethenyl thiophene 22 was prepared by suspending sodium azide (0.66 g, 10.2 mmol.) and a solution of dimethylformamide containing the chloride 21 of Example 56 (2.4 g, 6.8 mmol.). The suspension was heated to 100°C under argon and then water was added until everything was in solution. The reaction was maintained at 100°C for three hours. After cooling, the solution was poured into water (100 mL) and the resulting mixture was extracted with dichloromethane (2 x 50 mL). The combined extracts were dried (Na₂SO₄), concentrated in vacuo and purified by elution from a medium pressure silica column with a blend of hexane and dichloromethane on a gradient from a 4:1 to a 1:1 ratio blend to yield the pure aside 22 (2.2 g, 87% yield) as a yellow solid.
-
- (Trans)-7-([1-(2'-aminoethyl)piperazino] thiophene)ethenyl thiophene 23 was prepared by adding triphenylphosphine (1.59 g, 6.08 mmol.) to a stirred solution of the azide 22 of Example 57 (2.2 g, 6.08 mmol.) in 30 mL of dry, freshly distilled tetrahydrofuran under argon at room temperature. The mixture was stirred for five hours, at which
time 5 mL of water was added to hydrolyze the phosphoimine that had formed, and the resulting solution was stirred overnight. To this solution, potassium hydroxide (2 g, excess) was added and stirred for one hour. The mixture was concentrated in vacuo, redissolved in a blend of dichloromethane and water (25 mL each) and acidified with concentrated hydrochloric acid. The aqueous layer was extracted with dichloromethane to remove any neutrals and then basified with 50% aqueous sodium hydroxide. The basic solution was extracted with dichloromethane (2 x 100 mL), dried (Na₂SO₄), and concentrated to yield the pure amine 23 (1.84 g, 96% yield) as a colorless solid. - The amine 23 of Example 58 was directly attached to a poly(styrene maleic anhydride) copolymer having a molecular weight of 176,000 daltons following the procedure of Example 43 to form a poly(amic acid) 24. The poly(amic acid) 24 was then converted to a poly(styrene imide) 25 following the procedure of Example 36.
- The poly(styrene imide) 25 was then tricyanovinylated to yield 26, following the procedure of Example 51. The starting polymer had a styrene content of 93% and a Tg of 113°C, as determined by DSC. The poly(amic acid) had a Tg of 113°C the poly(styrene imide) had a Tg of 119°C and the tricyanovinylated poly(styrene imide) had a Tg of 122°C.
- The foregoing examples demonstrate the versatility with which pre-NLO side chains can be attached to commercially available polymers and then tricyanovinylated to yield NLO polymers.
- The foregoing description of the preferred embodiment should be taken as illustrating, rather than as limiting, the present invention as defined by the claims. Numerous variations and combinations of the features described above can be utilized without departing from the present invention.
Claims (29)
- A non-linear optical compound of general formula (I)
D-(Ar-(B-)n)mAr-A (I)
wherein each Ar comprises an aromatic substituent independently selected from six-membered aromatic rings, five-membered heteroaromatic rings, fused ring systems containing at least one five-membered heteroaromatic ring and fused ring systems containing at least one six-membered aromatic ring; and said heteroaromatic rings contain one heteroatom selected from O, N, S and Se and optionally up to three (additional) nitrogen atoms;
B comprises a conjugated functional group;
D comprises a first electron donating group;
A comprises a first electron accepting group;
the value of n for each B is independently selected from zero, one, two and three;
and m is from one to nine; and
B, D and A are attached to a member of said heteroaromatic ring alpha to said heteroatom, and when Ar comprises an aromatic ring, B is attached to a member of the aromatic ring para to the ring member to which D, A or another B is attached. - The compound of claim 1, wherein m is from one to three; and/or n is from one to three.
- The compound of any one of claims 1 and 2, wherein two or more heteroaromatic rings are present, alone, or as part of a fused ring system.
- The compound of claim 3, wherein all of said rings are five-membered heteroaromatic rings, and all of said fused ring systems contain a five-membered heteroaromatic ring.
- The compound of any one of claims 1 to 4, wherein each Ar is independently selected from pyrrole, furan, thiophene, imidazole, oxazole, thiazole, triazole, tetrazole, pyrazole, pyrimidine, purine, quinoline, carbazole, benzene, naphthalene, furazan, pyrazine, indole, isoindole, indazole, phenothiazine, benzotriazole, anthracene, phenanthrene, and azophenanthrene groups, particularly from pyrrole, furan, thiophene, thiazole, and oxazole groups.
- The compound of claim 1, wherein at least one Ar is a fused ring system, at least one of said fused ring systems preferably containing from two to three rings.
- The compound of any one of claims 1 to 7, wherein said first electron donating group is selected from -NR₅R₆, -CH=NR₄, -CH=N-NH₂, -CH=N-NR₅R₆, -CH=C[N(R₅R₆)]₂, -OR₈, -SR₈, -TeR₈ and SeR₈, wherein R₄ is hydrogen or an alkyl group containing up to 10 carbon atoms, R₅ and R₆ are independently selected from hydrogen, alkyl groups containing up to 12 carbon atoms and alkyl groups containing up to 12 carbon atoms having reactive functional groups selected from hydroxy, ethylene, acetylene, amine, thiol, sulfonic acid and carboxylic acid, or R₅ and R₆ together with N form a cyclic group containing up to 12 carbon atoms, and R₈ is an alkyl group containing up to 6 carbon atoms.
- The compound of claim 8, wherein R₈ is a methyl group or R₄ is hydrogen or a methyl group, or R₅ and R₆ are independently selected from methyl, ethyl, hexyl, cyclopentyl and cyclohexyl or together with the N atom form a pyrrolidino, piperidino, piperazino or morpholino functional group.
- The compound of any one of claims 1 to 7, wherein said first electron donating group is selected from
wherein E and F are members of a saturated or unsaturated five- to eight-membered cyclic ring or two ring systems having five- to eight-membered rings, which are electron donating in nature, and E, F, G and H are heteroatoms independently selected from O, N, S, Se and Te. - The compound of any one of claims 1 to 10, wherein said first electron accepting group is selected from -NO₂, -CN, -CHO, -COR, -COOR, -PO(OR)₂, -SO₂R, -SO₃R, -PO(R)₂ and
wherein X, Y and Z are independently selected from hydrogen, -CN, -NO₂, -COR, -COOR, -SO₂R, -PO(R)₂ and -PO(OR)₂ and preferably are all -CN, and R is an alkyl group containing up to 15 carbon atoms, preferably methyl. - The compound of any one of claims 1 to 9 and 11, further including a second electron donating group attached to the Ar to which said first electron donating group is attached; and wherein said first and second electron donating groups are independently selected from -NR₅R₆, -CH=NR₄, -CH=N-NH₂, -CH=N-NR₅R₆, -CH=C[N(R₅R₆)]₂, -OR₈, -SR₈, -TeR₈ and -SeR₈, wherein R₄, R₅, R₆ and R₈ are as defined in any one of claims 8 and 9.
- The compound of any one of claims 1 to 12, further including a second electron accepting group attached to the Ar to which said first electron accepting group is attached; and wherein said first and second electron accepting groups are independently selected form -NO₂, -CN, -CHO, -COR, -COOR, -PO(OR)₂, -SO₂R, -SO₃R, -PO(R)₂ and
wherein R, X, Y and Z are defined as in claim 11. - Non-linear optical compound of claim 1, having the general formula (Ia):
D-(Ar-(B-)n)mR₇-C(CN)=C(CN)₂ (Ia)
wherein Ar, B, D, n and m are as defined in any one of claims 1 to 10 and 12; R₇ comprises a heteroaromatic substituent selected from five-membered heteroaromatic rings and fused ring systems containing at least one five-membered heteroaromatic ring; said heteroaromatic rings containing one heteroatom selected from O, N, S and Se and, optionally, up to three (additional) nitrogen atoms; and
B or D are attached to a member of said heteroaromatic ring alpha to said heteroatom, and when Ar comprises an aromatic ring, B is attached to a member of said aromatic ring para to D or another B; and
-C(CN)=(CN)₂ is attached alpha to said heteroatom of R₇. - A combination exhibiting second order non-linear optical properties comprising a chemically inert medium and a non-linear optical compound of any one of claims 1 to 14, said non-linear optical compound preferably having an external field-induced molecular alignment.
- The combination of claim 15, wherein said non-linear optical compound is disposed as a layer on a substrate of said chemically inert medium, said chemically inert medium being selected from glass, silica, silicon and polymeric materials.
- The combination of claim 15, comprising a blend of a guest compound in a host matrix, wherein said guest compound comprises said non-linear optical compound and said host matrix comprises said chemically inert medium, which chemically inert medium is a thermoplastic polymer preferably selected from polyacrylates, polymethacrylates, polyacrylamides, polyimides, polyamides, polyacrylamides, polystyrenes, polyvinyl halides, polyacrylonitriles, polyvinyl alcohols, polyvinyl acetates, polyesters, polyethylene, polypropylene, polyisobutylene, polyisoprene and polycarbonates.
- The combination of claim 15, wherein said chemically inert medium is a polymeric material to which pendant side chains of said non-linear optical material are covalently bonded, which combination corresponds to general formula (II):
wherein Ar, B, D, A, n and m are as defined in any one of claims 1 to 14; R₁ and R₃ are monomeric subunits independently selected from (meth)acrylate, imide, amide, (meth)acrylamide, styrene, α-alkyl styrene, vinyl halide, (meth)acrylonitrile, vinyl alcohol, vinyl acetate, polyester, polyphenylene ether, polyether ketone, polyether ether ketone, acid anhydride, ethylene, propylene, isobutylene, isoprene and polycarbonate monomeric subunits, wherein each R₁ subunit includes a functional group through which said side chains may be attached;
p is zero or one;
R₂ is a straight-chained or branched alkyl, alkoxy, thioalkyl, or aminoalkyl group containing from one to ten carbon atoms attached to said monomeric subunit at said functional group, with the proviso that when p is zero, R₂ is attached to said functional group by an alkyl moiety and R₂ is an alkoxy, thioalkyl or aminoalkyl functional group; and the ratio of a to b is from about 1:99 to about 50:50. - The combination of claim 18, wherein R₂ is selected from (-CH₂-)x, (-CH₂-R₉-)x, (-CH₂-CH₂-R₉-)x/2 and (-CH₂-CH₂-CH₂-R₉-)x/3, wherein R₉ is selected from 0, S and NH, and x is from 1 to 10 with the proviso that for (-CH₂-CH₂-R₉-), x is a multiple of two, and for (-CH₂-CH₂-CH₂-R₉-), x is a multiple of three.
- The combination of claim 18, wherein R₂ contains from four to six carbon atoms and/or is an alkylamino group, and/or the ratio of a to b is from about 5:95 to about 40:60, preferably about 25:75.
- The combination of claim 18, wherein said polymeric material to which pendant side chains of said non-linear optical material is covalently bonded thereto corresponds to general formula (IIA):
wherein Ar, B, D, n and m are as defined in any one of claims 1 to 14; R₁, R₂, R₃, p and the ratio a/b are as defined in any one of claims 18 to 20; and R₇ is as defined in claim 14. - A method of preparing a polymer having second order non-linear optical properties, which method comprises the steps of:
reacting a base polymer having pendant side chains and represented by general formula (III): with tetracyanoethylene in a basic solvent at a temperature of from about 0°C to about 150°C, so that R₇ of said pendant side chains is tricyanovinylated; and
recovering the resulting polymer having pendant tricyanovinylated side chains;
wherein Ar, B, D, n and m are as defined in any one of claims 1 to 14; R₁, R₂, R₃, p and the ratio a/b are as defined in any one of claims 18 to 20; and R₇ is as defined in claim 14;
R₂ or D or B being attached to a member of said heteroaromatic ring alpha to said heteroatom, and when Ar is an aromatic ring, B being attached to a member of said aromatic ring para to R₂ or D or another B. - The method of claim 22, wherein said basic solvent is selected from dimethylformamide (DMF), pyridine, N,N-dimethyl-acetamide, N-methylpyrrolidone, tertiary amines and mixtures thereof and particularly is DMF.
- The method of any one of claims 22 and 23, wherein the temperature of said reacting step is about 100°C.
- The method of any one of claims 22 to 24, wherein each Ar and R₇ are independently selected from pyrrole, furan, thiophene, imidazole, oxazole, thiazole, triazole, tetrazole, pyrazole, pyrimidine, purine, quinoline, carbazole, furazan, pyrazine, indole, isoindole, indazole, phenothiazine, benzotriazole and azophenanthrene groups; and each Ar may additionally be selected from benzene, naphthalene, anthracene and phenanthrene groups.
- The method of any one of claims 22 to 25, wherein at least one of Ar and R₇ is a fused ring system.
- The method of any one of claims 22 to 26, wherein a second tricyanovinyl group is attached to R₇ of said recurring structural unit.
- The method of any one of claims 22 to 27, wherein R₁ and R₃ are independently selected from (meth)acrylate, alkyl-branched (meth)acrylate, (meth)acrylamide, alkyl-branched (meth)acrylamide, styrene, alpha-alkyl styrene, vinyl acetate, polyether ketone, polyether etherketone and ethylene monomeric subunits, particularly from acrylate, methacrylate, polyether ketone and polyether etherketone monomeric subunits.
- A base polymer having pendant side chains capable of being tricyanovinylated to form a polymer having second order non-linear optical properties, said base polymer being represented by general formula (III):
wherein Ar, B, D, n and m are as defined in any one of claims 1 to 14; R₁, R₂, R₃, p and the ratio a/b are as defined in any one of claims 18 to 20;; and R₇ is as defined in claim 14;
and wherein Ar and R₇ may also have the meanings given in claim 25 and 26 and R₁ and R₃ may also be defined as in claim 28;
R₂ or B or D being attached to a member of said heteroaromatic ring alpha to said heteroatom, and when Ar is an aromatic ring, B being attached to a member of said aromatic ring para to R₂ or D or another B.
Applications Claiming Priority (4)
| Application Number | Priority Date | Filing Date | Title |
|---|---|---|---|
| US62635890A | 1990-12-12 | 1990-12-12 | |
| US626358 | 1990-12-12 | ||
| US773708 | 1991-10-09 | ||
| US07/773,708 US5395556A (en) | 1990-12-12 | 1991-10-09 | Tricyanovinyl substitution process for NLO polymers |
Publications (1)
| Publication Number | Publication Date |
|---|---|
| EP0493716A1 true EP0493716A1 (en) | 1992-07-08 |
Family
ID=27090146
Family Applications (1)
| Application Number | Title | Priority Date | Filing Date |
|---|---|---|---|
| EP91121269A Withdrawn EP0493716A1 (en) | 1990-12-12 | 1991-12-11 | Functionalized heteroaromatic compounds for nonlinear optical applications |
Country Status (4)
| Country | Link |
|---|---|
| US (2) | US5395556A (en) |
| EP (1) | EP0493716A1 (en) |
| JP (1) | JPH06157511A (en) |
| CA (1) | CA2057402A1 (en) |
Cited By (24)
| Publication number | Priority date | Publication date | Assignee | Title |
|---|---|---|---|---|
| EP0602654A1 (en) * | 1992-12-18 | 1994-06-22 | ENICHEM S.p.A. | Efficient electron-donating groups for nonlinear optical applictions |
| EP0637774A1 (en) * | 1993-08-02 | 1995-02-08 | ENICHEM S.p.A. | 1,1-Vinyl substituted nonlinear optical materials |
| EP0647874A1 (en) * | 1993-10-06 | 1995-04-12 | ENICHEM S.p.A. | Highly efficient nonlinear optical polyimides |
| WO1995028396A1 (en) * | 1994-04-15 | 1995-10-26 | Basf Aktiengesellschaft | Phenol derivatives, process for producing them and their use, especially in non-linear optics |
| WO1995030679A1 (en) * | 1994-05-10 | 1995-11-16 | Basf Aktiengesellschaft | Oligothiophenes |
| EP0729056A1 (en) * | 1995-02-24 | 1996-08-28 | ENICHEM S.p.A. | Polyquinoline-based nonlinear optical materials |
| US5588083A (en) * | 1993-09-29 | 1996-12-24 | Akzo Nobel N.V. | Non-linear optically active polycarbonate |
| EP0791849A1 (en) * | 1996-02-26 | 1997-08-27 | ENICHEM S.p.A. | Non-linear optical compounds |
| US5688896A (en) * | 1994-09-26 | 1997-11-18 | Akzo Nobel N.V. | Non-linear optically active polycarbonate |
| EP1547996A4 (en) * | 2002-08-30 | 2006-08-02 | Bf Res Inst Inc | DIAGNOSTIC PROBES AND REMEDIES FOR DISEASES HAVING PRION PROTEIN ACCUMULATION AND METHOD OF MARKING |
| US9852846B2 (en) | 2015-02-26 | 2017-12-26 | Capacitor Sciences Incorporated | Self-healing capacitor and methods of production thereof |
| US9899150B2 (en) | 2014-05-12 | 2018-02-20 | Capacitor Sciences Incorporated | Energy storage device and method of production thereof |
| US9916931B2 (en) | 2014-11-04 | 2018-03-13 | Capacitor Science Incorporated | Energy storage devices and methods of production thereof |
| US9932358B2 (en) | 2015-05-21 | 2018-04-03 | Capacitor Science Incorporated | Energy storage molecular material, crystal dielectric layer and capacitor |
| US9941051B2 (en) | 2015-06-26 | 2018-04-10 | Capactor Sciences Incorporated | Coiled capacitor |
| US9978517B2 (en) | 2016-04-04 | 2018-05-22 | Capacitor Sciences Incorporated | Electro-polarizable compound and capacitor |
| US10026553B2 (en) | 2015-10-21 | 2018-07-17 | Capacitor Sciences Incorporated | Organic compound, crystal dielectric layer and capacitor |
| US10153087B2 (en) | 2016-04-04 | 2018-12-11 | Capacitor Sciences Incorporated | Electro-polarizable compound and capacitor |
| US10305295B2 (en) | 2016-02-12 | 2019-05-28 | Capacitor Sciences Incorporated | Energy storage cell, capacitive energy storage module, and capacitive energy storage system |
| US10340082B2 (en) | 2015-05-12 | 2019-07-02 | Capacitor Sciences Incorporated | Capacitor and method of production thereof |
| US10347423B2 (en) | 2014-05-12 | 2019-07-09 | Capacitor Sciences Incorporated | Solid multilayer structure as semiproduct for meta-capacitor |
| US10395841B2 (en) | 2016-12-02 | 2019-08-27 | Capacitor Sciences Incorporated | Multilayered electrode and film energy storage device |
| US10872733B2 (en) | 2016-04-04 | 2020-12-22 | Capacitor Sciences Incorporated | YanLi material and dielectric and capacitor thereof |
| WO2021009506A1 (en) * | 2019-07-17 | 2021-01-21 | LightOx Limited | Fluorescent systems for biological imaging and uses thereof |
Families Citing this family (29)
| Publication number | Priority date | Publication date | Assignee | Title |
|---|---|---|---|---|
| US5928886A (en) * | 1995-06-07 | 1999-07-27 | Johnson & Johnson Clinical Diagnostics, Inc. | Reduction in first slide bias and improved enzyme stability by incorporation of diaryl tellurides in the gravure layer of dry-film, immunoassay elements |
| US5686254A (en) * | 1995-06-07 | 1997-11-11 | Johnson & Johnson Clinical Diagnostics, Inc. | Reduction in first slide bias and improved enzyme stability by the incorporation of diaryl tellurides in thin-film immunoassay elements |
| US5834575A (en) * | 1996-11-13 | 1998-11-10 | Hitachi Chemical Company, Ltd. | Compounds and polymers, resin compositions, nonlinear optical element and nonlinear optical devices, and production process therefor |
| US5970186A (en) * | 1997-03-11 | 1999-10-19 | Lightwave Microsystems Corporation | Hybrid digital electro-optic switch |
| US6144779A (en) | 1997-03-11 | 2000-11-07 | Lightwave Microsystems Corporation | Optical interconnects with hybrid construction |
| US6022671A (en) * | 1997-03-11 | 2000-02-08 | Lightwave Microsystems Corporation | Method of making optical interconnects with hybrid construction |
| US6361717B1 (en) * | 1998-07-27 | 2002-03-26 | Pacific Wave Industries, Inc. | Sterically stabilized second-order nonlinear optical chromophores and devices incorporating the same |
| US6652779B1 (en) | 1998-07-27 | 2003-11-25 | Pacific Wave Industries, Inc. | Polymers containing polyene-based second-order nonlinear optical chromophores and devices incorporating the same |
| US6348992B1 (en) | 1998-07-27 | 2002-02-19 | Pacific Wave Industries, Inc. | Sterically stabilized polyene-bridged second-order nonlinear optical chromophores and devices incorporating the same |
| US6616865B1 (en) | 1998-07-27 | 2003-09-09 | Pacific Wave Industries, Inc. | Sterically stabilized second-order nonlinear optical chromophores with improved stability and devices incorporating the same |
| US6555027B2 (en) | 1998-07-27 | 2003-04-29 | Pacific Wave Industries, Inc. | Second-order nonlinear optical chromophores containing dioxine and/or bithiophene as conjugate bridge and devices incorporating the same |
| CA2346130A1 (en) | 1998-11-10 | 2000-05-18 | Lightwave Microsystems Corporation | Photonic devices comprising thermo-optic polymer |
| US6623665B1 (en) | 2000-02-22 | 2003-09-23 | Lockheed Martin Corporation | Second-order nonlinear optics material, the devices using same and methods of preparing |
| JP2004508430A (en) * | 2000-07-24 | 2004-03-18 | ユニバーシティ オブ ワシントン | Hyperpolarizable organic chromophore |
| US6750603B2 (en) * | 2000-08-17 | 2004-06-15 | Lumera Corporation | Second order nonlinear optical chromophores and electro-optic devices therefrom |
| US7019453B2 (en) * | 2000-08-17 | 2006-03-28 | Lumera Corporation | Polymers having pendant nonlinear optical chromophores and electro-optic devices therefrom |
| WO2003003112A1 (en) | 2001-06-28 | 2003-01-09 | Kvh Industries, Inc. | Nonlinear optical chiral compounds and devices incorporating same |
| AU2002354688A1 (en) * | 2001-07-13 | 2003-01-29 | The University Of Chicago | Novel nonlinear optical compounds and polymers |
| US7601849B1 (en) | 2001-08-02 | 2009-10-13 | University Of Washington | Nonlinear optical compounds and related macrostructures |
| WO2004065384A1 (en) * | 2003-01-15 | 2004-08-05 | University Of Washington | Nonlinear optical compounds and methods for their preparation |
| US7425643B1 (en) | 2004-01-26 | 2008-09-16 | University Of Washington | Electron acceptors for nonlinear optical chromophores |
| WO2006016725A1 (en) | 2004-08-13 | 2006-02-16 | National Institute Of Advanced Industrial Scienceand Technology | Photosensitive heterocyclic azo compound, process for producing the same, and optical information recording medium |
| US7161726B2 (en) * | 2004-11-05 | 2007-01-09 | Lumera Corporation | Linear optical modulators and method of linear optical modulation |
| US8409713B2 (en) * | 2007-12-07 | 2013-04-02 | University Of Washington | Crosslinkable polymer host containing a nonlinear optical chromophore guest |
| US8394499B2 (en) | 2007-12-07 | 2013-03-12 | University Of Washington | Crosslinkable polymer host having pendant nonlinear optical chromophores and containing a nonlinear optical chromophore guest |
| US8173045B2 (en) | 2008-05-28 | 2012-05-08 | University Of Washington | Diels-Alder crosslinkable dendritic nonlinear optic chromophores and polymer composites |
| US8990854B2 (en) * | 2009-09-14 | 2015-03-24 | Broadcom Corporation | System and method in a television for providing user-selection of objects in a television program |
| JP6777983B2 (en) | 2014-11-04 | 2020-10-28 | 三星電子株式会社Samsung Electronics Co.,Ltd. | Compounds for organic photoelectric devices, organic photoelectric devices containing them, image sensors and electronic devices |
| CN115386081B (en) * | 2022-09-01 | 2023-07-28 | 武汉大学 | A method for constructing second-order nonlinear optical polymer materials by in-situ thermal crosslinking reaction |
Citations (8)
| Publication number | Priority date | Publication date | Assignee | Title |
|---|---|---|---|---|
| EP0271730A2 (en) * | 1986-11-21 | 1988-06-22 | Hoechst Celanese Corporation | Side chain liquid crystalline polymers exhibiting nonlinear optical properties |
| GB2204053A (en) * | 1987-02-27 | 1988-11-02 | Plessey Co Plc | Azo and stilbene compounds |
| US4892682A (en) * | 1986-11-07 | 1990-01-09 | Hoechst Celanese Corporation | Azomethine compositions having nonlinear optical properties |
| DE3930933A1 (en) * | 1988-09-17 | 1990-03-22 | Fuji Electric Co Ltd | PHOTOLEITER FOR ELECTROPHOTOGRAPHY |
| WO1990009616A1 (en) * | 1989-02-17 | 1990-08-23 | MERCK Patent Gesellschaft mit beschränkter Haftung | Non-linear optical materials with vicinal donor or acceptor groups |
| EP0384811A1 (en) * | 1989-02-22 | 1990-08-29 | Flamel Technologies | Triophene compounds having a non-linear optical activity, materials and devices containing them |
| EP0396172A1 (en) * | 1989-04-27 | 1990-11-07 | Koninklijke Philips Electronics N.V. | Nonlinear optical compound, nonlinear optical medium, method of manufacturing a nonlinear optical medium and device for doubling the frequency of a light wave |
| GB2237804A (en) * | 1989-11-09 | 1991-05-15 | Ici Plc | Infra-red absorbing azo compounds |
Family Cites Families (9)
| Publication number | Priority date | Publication date | Assignee | Title |
|---|---|---|---|---|
| AR206212A1 (en) * | 1973-06-27 | 1976-07-07 | Xerox Corp | PHOTOCONDUCTIVE COMPOSITION AND MEMBER THAT INCLUDES IT |
| EP0220042A3 (en) * | 1985-10-18 | 1990-01-17 | Imperial Chemical Industries Plc | Azo compound |
| FR2597109B1 (en) * | 1986-04-15 | 1988-06-17 | Thomson Csf | MESOMORPHIC POLYMERIC MATERIAL FOR USE IN NON-LINEAR OPTICS |
| JPS6385526A (en) * | 1986-09-30 | 1988-04-16 | Nippon Oil & Fats Co Ltd | Non-linear optical material |
| EP0268354A3 (en) * | 1986-10-07 | 1988-06-15 | Imperial Chemical Industries Plc | Substituted pyrazoline |
| US4933112A (en) * | 1986-11-21 | 1990-06-12 | Hoechst Celanese Corp. | Side chain liquid crystalline polymers exhibiting nonlinear optical properties |
| US4935292A (en) * | 1988-03-15 | 1990-06-19 | Northwestern University | Functionalized polymers for nonlinear optical application |
| DE3926691A1 (en) * | 1989-08-12 | 1991-02-14 | Merck Patent Gmbh | NLO ACTIVE POLYIMIDES |
| US5061404A (en) * | 1989-12-26 | 1991-10-29 | Allied-Signal Inc. | Electro-optical materials and light modulator devices containing same |
-
1991
- 1991-10-09 US US07/773,708 patent/US5395556A/en not_active Expired - Fee Related
- 1991-12-11 CA CA002057402A patent/CA2057402A1/en not_active Abandoned
- 1991-12-11 EP EP91121269A patent/EP0493716A1/en not_active Withdrawn
- 1991-12-12 JP JP3360918A patent/JPH06157511A/en active Pending
-
1995
- 1995-01-18 US US08/374,327 patent/US5718845A/en not_active Expired - Fee Related
Patent Citations (8)
| Publication number | Priority date | Publication date | Assignee | Title |
|---|---|---|---|---|
| US4892682A (en) * | 1986-11-07 | 1990-01-09 | Hoechst Celanese Corporation | Azomethine compositions having nonlinear optical properties |
| EP0271730A2 (en) * | 1986-11-21 | 1988-06-22 | Hoechst Celanese Corporation | Side chain liquid crystalline polymers exhibiting nonlinear optical properties |
| GB2204053A (en) * | 1987-02-27 | 1988-11-02 | Plessey Co Plc | Azo and stilbene compounds |
| DE3930933A1 (en) * | 1988-09-17 | 1990-03-22 | Fuji Electric Co Ltd | PHOTOLEITER FOR ELECTROPHOTOGRAPHY |
| WO1990009616A1 (en) * | 1989-02-17 | 1990-08-23 | MERCK Patent Gesellschaft mit beschränkter Haftung | Non-linear optical materials with vicinal donor or acceptor groups |
| EP0384811A1 (en) * | 1989-02-22 | 1990-08-29 | Flamel Technologies | Triophene compounds having a non-linear optical activity, materials and devices containing them |
| EP0396172A1 (en) * | 1989-04-27 | 1990-11-07 | Koninklijke Philips Electronics N.V. | Nonlinear optical compound, nonlinear optical medium, method of manufacturing a nonlinear optical medium and device for doubling the frequency of a light wave |
| GB2237804A (en) * | 1989-11-09 | 1991-05-15 | Ici Plc | Infra-red absorbing azo compounds |
Non-Patent Citations (1)
| Title |
|---|
| ANGEWANDTE CHEMIE, INT. ED. ENGL., vol. 23, 1984, pages 690-703, Weinheim, DE; D.J. WILLIAMS: "Organic polymeric and non-polymeric materials with large optical nonlinearities" * |
Cited By (34)
| Publication number | Priority date | Publication date | Assignee | Title |
|---|---|---|---|---|
| US5688906A (en) * | 1990-12-12 | 1997-11-18 | Enichem S.P.A. | Highly efficient nonlinear optical polyimides |
| EP0602654A1 (en) * | 1992-12-18 | 1994-06-22 | ENICHEM S.p.A. | Efficient electron-donating groups for nonlinear optical applictions |
| EP0637774A1 (en) * | 1993-08-02 | 1995-02-08 | ENICHEM S.p.A. | 1,1-Vinyl substituted nonlinear optical materials |
| US5588083A (en) * | 1993-09-29 | 1996-12-24 | Akzo Nobel N.V. | Non-linear optically active polycarbonate |
| EP0647874A1 (en) * | 1993-10-06 | 1995-04-12 | ENICHEM S.p.A. | Highly efficient nonlinear optical polyimides |
| SG90693A1 (en) * | 1993-10-06 | 2002-08-20 | Enichem Spa | Highly efficient nonlinear optical polyimides |
| WO1995028396A1 (en) * | 1994-04-15 | 1995-10-26 | Basf Aktiengesellschaft | Phenol derivatives, process for producing them and their use, especially in non-linear optics |
| US5777089A (en) * | 1994-04-15 | 1998-07-07 | Basf Aktiengesellschaft | Phenol derivatives, their preparation and their use, in particular in nonlinear optics |
| WO1995030679A1 (en) * | 1994-05-10 | 1995-11-16 | Basf Aktiengesellschaft | Oligothiophenes |
| US5688896A (en) * | 1994-09-26 | 1997-11-18 | Akzo Nobel N.V. | Non-linear optically active polycarbonate |
| EP0729056A1 (en) * | 1995-02-24 | 1996-08-28 | ENICHEM S.p.A. | Polyquinoline-based nonlinear optical materials |
| US5679763A (en) * | 1995-02-24 | 1997-10-21 | Enichem S.P.A. | Polyquinoline-based nonlinear optical materials |
| EP0791849A1 (en) * | 1996-02-26 | 1997-08-27 | ENICHEM S.p.A. | Non-linear optical compounds |
| EP1547996A4 (en) * | 2002-08-30 | 2006-08-02 | Bf Res Inst Inc | DIAGNOSTIC PROBES AND REMEDIES FOR DISEASES HAVING PRION PROTEIN ACCUMULATION AND METHOD OF MARKING |
| US10347423B2 (en) | 2014-05-12 | 2019-07-09 | Capacitor Sciences Incorporated | Solid multilayer structure as semiproduct for meta-capacitor |
| US9899150B2 (en) | 2014-05-12 | 2018-02-20 | Capacitor Sciences Incorporated | Energy storage device and method of production thereof |
| US10347424B2 (en) | 2014-05-12 | 2019-07-09 | Capacitor Sciences Incorporated | Energy storage device and method of production thereof |
| US10685782B2 (en) | 2014-05-12 | 2020-06-16 | Capacitor Sciences Incorporated | Capacitor and method of production thereof |
| US9916931B2 (en) | 2014-11-04 | 2018-03-13 | Capacitor Science Incorporated | Energy storage devices and methods of production thereof |
| US9852846B2 (en) | 2015-02-26 | 2017-12-26 | Capacitor Sciences Incorporated | Self-healing capacitor and methods of production thereof |
| US10340082B2 (en) | 2015-05-12 | 2019-07-02 | Capacitor Sciences Incorporated | Capacitor and method of production thereof |
| US9932358B2 (en) | 2015-05-21 | 2018-04-03 | Capacitor Science Incorporated | Energy storage molecular material, crystal dielectric layer and capacitor |
| US10672561B2 (en) | 2015-06-26 | 2020-06-02 | Capacitor Sciences Incorporated | Coiled capacitor |
| US9941051B2 (en) | 2015-06-26 | 2018-04-10 | Capactor Sciences Incorporated | Coiled capacitor |
| US10854386B2 (en) | 2015-06-26 | 2020-12-01 | Capacitor Sciences Incorporated | Coiled capacitor |
| US10026553B2 (en) | 2015-10-21 | 2018-07-17 | Capacitor Sciences Incorporated | Organic compound, crystal dielectric layer and capacitor |
| US10305295B2 (en) | 2016-02-12 | 2019-05-28 | Capacitor Sciences Incorporated | Energy storage cell, capacitive energy storage module, and capacitive energy storage system |
| US9978517B2 (en) | 2016-04-04 | 2018-05-22 | Capacitor Sciences Incorporated | Electro-polarizable compound and capacitor |
| US10672560B2 (en) | 2016-04-04 | 2020-06-02 | Capacitor Sciences Incorporated | Electro-polarizable compound and capacitor |
| US10707019B2 (en) | 2016-04-04 | 2020-07-07 | Capacitor Science Incorporated | Electro-polarizable compound and capacitor |
| US10153087B2 (en) | 2016-04-04 | 2018-12-11 | Capacitor Sciences Incorporated | Electro-polarizable compound and capacitor |
| US10872733B2 (en) | 2016-04-04 | 2020-12-22 | Capacitor Sciences Incorporated | YanLi material and dielectric and capacitor thereof |
| US10395841B2 (en) | 2016-12-02 | 2019-08-27 | Capacitor Sciences Incorporated | Multilayered electrode and film energy storage device |
| WO2021009506A1 (en) * | 2019-07-17 | 2021-01-21 | LightOx Limited | Fluorescent systems for biological imaging and uses thereof |
Also Published As
| Publication number | Publication date |
|---|---|
| US5718845A (en) | 1998-02-17 |
| JPH06157511A (en) | 1994-06-03 |
| CA2057402A1 (en) | 1992-06-13 |
| US5395556A (en) | 1995-03-07 |
Similar Documents
| Publication | Publication Date | Title |
|---|---|---|
| EP0493716A1 (en) | Functionalized heteroaromatic compounds for nonlinear optical applications | |
| US5514799A (en) | 1,1-vinyl substituted nonlinear optical materials | |
| EP0729056A1 (en) | Polyquinoline-based nonlinear optical materials | |
| Zhao et al. | Photorefractive polymer with side-chain second-order nonlinear optical and charge-transporting groups | |
| EP0602654A1 (en) | Efficient electron-donating groups for nonlinear optical applictions | |
| JP5584471B2 (en) | System and method for improving the performance of photorefractive devices | |
| US5688906A (en) | Highly efficient nonlinear optical polyimides | |
| JPH0655901B2 (en) | Photorefractive material | |
| EP0585999A1 (en) | Functional heteroaromatics for NLO applications | |
| EP0791849A1 (en) | Non-linear optical compounds | |
| KR100525700B1 (en) | Homopolymers with High Photoinduceable Double Refraction | |
| Van den Broeck et al. | High glass transition chromophore functionalised polyimides for second-order nonlinear optical applications | |
| Li et al. | New PVK‐based nonlinear optical polymers: Enhanced nonlinearity and improved transparency | |
| AU703872B2 (en) | Process for intramolecularly condensing a non-linear optical polyamic acid composition | |
| EP0402038A2 (en) | Polymeric charge transfer complexes for nonlinear optical applications | |
| EP0513247A4 (en) | Side chain copolymers exhibiting nonlinear optical response | |
| Angiolini et al. | Synthesis of Optically Active Photoresponsive Multifunctional Polymer Containing the Side‐Chain Azocarbazole Chromophore | |
| Bagheri et al. | Synthesis of polymers containing donor–acceptor Schiff base in side chain for nonlinear optics | |
| US5200481A (en) | Tetraazaporphyrin monomers and polymers | |
| Park et al. | Synthesis and characterization of photorefractive polymers with triphenylamine unit and NLO chromophore unit on a side chain | |
| US6894169B1 (en) | Zwitterionic chromophores and polymers containing such chromophores | |
| Ballet et al. | Poly (N-phenylmaleimide)-and poly (N-biphenylmaleimide)-urethanes, functionalised with NLO-phores for second-order nonlinear optical applications | |
| S'heeren et al. | Synthesis of frequency doubling nonlinear optical polymers, functionalized with aminonitro-stilbene dyes. Second harmonic generation in corona poled thin films | |
| US20030161605A1 (en) | Nonlinear optical chiral compounds and devices incorporating same | |
| US5408009A (en) | High polymer-nonlinear optical material |
Legal Events
| Date | Code | Title | Description |
|---|---|---|---|
| PUAI | Public reference made under article 153(3) epc to a published international application that has entered the european phase |
Free format text: ORIGINAL CODE: 0009012 |
|
| AK | Designated contracting states |
Kind code of ref document: A1 Designated state(s): AT BE CH DE DK ES FR GB GR IT LI LU NL SE |
|
| 17P | Request for examination filed |
Effective date: 19921009 |
|
| RAP1 | Party data changed (applicant data changed or rights of an application transferred) |
Owner name: ENICHEM S.P.A. |
|
| 17Q | First examination report despatched |
Effective date: 19950331 |
|
| STAA | Information on the status of an ep patent application or granted ep patent |
Free format text: STATUS: THE APPLICATION IS DEEMED TO BE WITHDRAWN |
|
| 18D | Application deemed to be withdrawn |
Effective date: 20000701 |













































