EP0443530B1 - Photographic material and process comprising wash-out naphtholic coupler - Google Patents
Photographic material and process comprising wash-out naphtholic coupler Download PDFInfo
- Publication number
- EP0443530B1 EP0443530B1 EP19910102367 EP91102367A EP0443530B1 EP 0443530 B1 EP0443530 B1 EP 0443530B1 EP 19910102367 EP19910102367 EP 19910102367 EP 91102367 A EP91102367 A EP 91102367A EP 0443530 B1 EP0443530 B1 EP 0443530B1
- Authority
- EP
- European Patent Office
- Prior art keywords
- group
- photographic
- coupler
- coupling
- naphtholic
- Prior art date
- Legal status (The legal status is an assumption and is not a legal conclusion. Google has not performed a legal analysis and makes no representation as to the accuracy of the status listed.)
- Expired - Lifetime
Links
- 239000000463 material Substances 0.000 title claims description 24
- 238000000034 method Methods 0.000 title claims description 15
- 230000008569 process Effects 0.000 title claims description 9
- -1 silver halide Chemical class 0.000 claims description 45
- 239000003795 chemical substances by application Substances 0.000 claims description 38
- 229910052709 silver Inorganic materials 0.000 claims description 30
- 239000004332 silver Substances 0.000 claims description 30
- 239000000839 emulsion Substances 0.000 claims description 23
- 238000012545 processing Methods 0.000 claims description 22
- 229910052739 hydrogen Inorganic materials 0.000 claims description 20
- 238000011161 development Methods 0.000 claims description 16
- 239000001257 hydrogen Substances 0.000 claims description 14
- 239000003112 inhibitor Substances 0.000 claims description 14
- 238000005691 oxidative coupling reaction Methods 0.000 claims description 9
- 125000001424 substituent group Chemical group 0.000 claims description 9
- 239000002243 precursor Substances 0.000 claims description 8
- 125000003118 aryl group Chemical group 0.000 claims description 7
- 239000007844 bleaching agent Substances 0.000 claims description 6
- 125000000547 substituted alkyl group Chemical group 0.000 claims description 4
- 125000004429 atom Chemical group 0.000 claims description 2
- 230000008878 coupling Effects 0.000 claims description 2
- 238000010168 coupling process Methods 0.000 claims description 2
- 238000005859 coupling reaction Methods 0.000 claims description 2
- 125000000623 heterocyclic group Chemical group 0.000 claims description 2
- 125000005647 linker group Chemical group 0.000 claims description 2
- 239000004848 polyfunctional curative Substances 0.000 claims description 2
- 239000003381 stabilizer Substances 0.000 claims description 2
- 239000006097 ultraviolet radiation absorber Substances 0.000 claims description 2
- 125000004435 hydrogen atom Chemical class [H]* 0.000 claims 1
- 150000001875 compounds Chemical class 0.000 description 63
- 239000000975 dye Substances 0.000 description 44
- XEKOWRVHYACXOJ-UHFFFAOYSA-N Ethyl acetate Chemical compound CCOC(C)=O XEKOWRVHYACXOJ-UHFFFAOYSA-N 0.000 description 39
- OKKJLVBELUTLKV-UHFFFAOYSA-N Methanol Chemical compound OC OKKJLVBELUTLKV-UHFFFAOYSA-N 0.000 description 39
- 239000010410 layer Substances 0.000 description 28
- WEVYAHXRMPXWCK-UHFFFAOYSA-N Acetonitrile Chemical compound CC#N WEVYAHXRMPXWCK-UHFFFAOYSA-N 0.000 description 24
- RTZKZFJDLAIYFH-UHFFFAOYSA-N Diethyl ether Chemical compound CCOCC RTZKZFJDLAIYFH-UHFFFAOYSA-N 0.000 description 24
- 238000006243 chemical reaction Methods 0.000 description 22
- 239000000047 product Substances 0.000 description 19
- CSNNHWWHGAXBCP-UHFFFAOYSA-L Magnesium sulfate Chemical compound [Mg+2].[O-][S+2]([O-])([O-])[O-] CSNNHWWHGAXBCP-UHFFFAOYSA-L 0.000 description 18
- WYURNTSHIVDZCO-UHFFFAOYSA-N Tetrahydrofuran Chemical compound C1CCOC1 WYURNTSHIVDZCO-UHFFFAOYSA-N 0.000 description 16
- 125000004432 carbon atom Chemical group C* 0.000 description 16
- XLYOFNOQVPJJNP-UHFFFAOYSA-N water Substances O XLYOFNOQVPJJNP-UHFFFAOYSA-N 0.000 description 14
- 125000000217 alkyl group Chemical group 0.000 description 13
- JUJWROOIHBZHMG-UHFFFAOYSA-N Pyridine Chemical compound C1=CC=NC=C1 JUJWROOIHBZHMG-UHFFFAOYSA-N 0.000 description 10
- YMWUJEATGCHHMB-UHFFFAOYSA-N Dichloromethane Chemical compound ClCCl YMWUJEATGCHHMB-UHFFFAOYSA-N 0.000 description 9
- ZMXDDKWLCZADIW-UHFFFAOYSA-N N,N-Dimethylformamide Chemical compound CN(C)C=O ZMXDDKWLCZADIW-UHFFFAOYSA-N 0.000 description 9
- 229910052943 magnesium sulfate Inorganic materials 0.000 description 9
- 235000019341 magnesium sulphate Nutrition 0.000 description 9
- 239000000203 mixture Substances 0.000 description 9
- 230000002829 reductive effect Effects 0.000 description 9
- UFHFLCQGNIYNRP-UHFFFAOYSA-N Hydrogen Chemical compound [H][H] UFHFLCQGNIYNRP-UHFFFAOYSA-N 0.000 description 8
- KWYUFKZDYYNOTN-UHFFFAOYSA-M potassium hydroxide Inorganic materials [OH-].[K+] KWYUFKZDYYNOTN-UHFFFAOYSA-M 0.000 description 8
- 238000003756 stirring Methods 0.000 description 8
- YLQBMQCUIZJEEH-UHFFFAOYSA-N tetrahydrofuran Natural products C=1C=COC=1 YLQBMQCUIZJEEH-UHFFFAOYSA-N 0.000 description 8
- 229910052757 nitrogen Inorganic materials 0.000 description 7
- 125000001997 phenyl group Chemical group [H]C1=C([H])C([H])=C(*)C([H])=C1[H] 0.000 description 7
- 239000011541 reaction mixture Substances 0.000 description 7
- 108010010803 Gelatin Proteins 0.000 description 6
- IMNFDUFMRHMDMM-UHFFFAOYSA-N N-Heptane Chemical compound CCCCCCC IMNFDUFMRHMDMM-UHFFFAOYSA-N 0.000 description 6
- 239000003570 air Substances 0.000 description 6
- 229910052799 carbon Inorganic materials 0.000 description 6
- 125000001495 ethyl group Chemical group [H]C([H])([H])C([H])([H])* 0.000 description 6
- 229920000159 gelatin Polymers 0.000 description 6
- 239000008273 gelatin Substances 0.000 description 6
- 235000019322 gelatine Nutrition 0.000 description 6
- 235000011852 gelatine desserts Nutrition 0.000 description 6
- 238000011160 research Methods 0.000 description 6
- 239000002904 solvent Substances 0.000 description 6
- 229910052717 sulfur Inorganic materials 0.000 description 6
- 230000015572 biosynthetic process Effects 0.000 description 5
- 125000000484 butyl group Chemical group [H]C([*])([H])C([H])([H])C([H])([H])C([H])([H])[H] 0.000 description 5
- 150000002431 hydrogen Chemical class 0.000 description 5
- UMJSCPRVCHMLSP-UHFFFAOYSA-N pyridine Natural products COC1=CC=CN=C1 UMJSCPRVCHMLSP-UHFFFAOYSA-N 0.000 description 5
- 238000003786 synthesis reaction Methods 0.000 description 5
- 230000002411 adverse Effects 0.000 description 4
- 125000002496 methyl group Chemical group [H]C([H])([H])* 0.000 description 4
- 241001479434 Agfa Species 0.000 description 3
- BQCADISMDOOEFD-UHFFFAOYSA-N Silver Chemical compound [Ag] BQCADISMDOOEFD-UHFFFAOYSA-N 0.000 description 3
- YXFVVABEGXRONW-UHFFFAOYSA-N Toluene Chemical compound CC1=CC=CC=C1 YXFVVABEGXRONW-UHFFFAOYSA-N 0.000 description 3
- 125000003178 carboxy group Chemical group [H]OC(*)=O 0.000 description 3
- 238000006073 displacement reaction Methods 0.000 description 3
- 238000004090 dissolution Methods 0.000 description 3
- 239000002024 ethyl acetate extract Substances 0.000 description 3
- 238000003818 flash chromatography Methods 0.000 description 3
- 229910052736 halogen Inorganic materials 0.000 description 3
- 150000002367 halogens Chemical class 0.000 description 3
- 229910052751 metal Inorganic materials 0.000 description 3
- 239000002184 metal Substances 0.000 description 3
- 239000012299 nitrogen atmosphere Substances 0.000 description 3
- 230000000269 nucleophilic effect Effects 0.000 description 3
- 239000000123 paper Substances 0.000 description 3
- NLKNQRATVPKPDG-UHFFFAOYSA-M potassium iodide Chemical compound [K+].[I-] NLKNQRATVPKPDG-UHFFFAOYSA-M 0.000 description 3
- 238000010992 reflux Methods 0.000 description 3
- ZUNKMNLKJXRCDM-UHFFFAOYSA-N silver bromoiodide Chemical compound [Ag].IBr ZUNKMNLKJXRCDM-UHFFFAOYSA-N 0.000 description 3
- 229910000033 sodium borohydride Inorganic materials 0.000 description 3
- 239000012279 sodium borohydride Substances 0.000 description 3
- 239000001043 yellow dye Substances 0.000 description 3
- GGZHVNZHFYCSEV-UHFFFAOYSA-N 1-Phenyl-5-mercaptotetrazole Chemical compound SC1=NN=NN1C1=CC=CC=C1 GGZHVNZHFYCSEV-UHFFFAOYSA-N 0.000 description 2
- JAAIPIWKKXCNOC-UHFFFAOYSA-N 1h-tetrazol-1-ium-5-thiolate Chemical class SC1=NN=NN1 JAAIPIWKKXCNOC-UHFFFAOYSA-N 0.000 description 2
- PAYRUJLWNCNPSJ-UHFFFAOYSA-N Aniline Chemical compound NC1=CC=CC=C1 PAYRUJLWNCNPSJ-UHFFFAOYSA-N 0.000 description 2
- IJGRMHOSHXDMSA-UHFFFAOYSA-N Atomic nitrogen Chemical compound N#N IJGRMHOSHXDMSA-UHFFFAOYSA-N 0.000 description 2
- IAZDPXIOMUYVGZ-UHFFFAOYSA-N Dimethylsulphoxide Chemical compound CS(C)=O IAZDPXIOMUYVGZ-UHFFFAOYSA-N 0.000 description 2
- LFQSCWFLJHTTHZ-UHFFFAOYSA-N Ethanol Chemical compound CCO LFQSCWFLJHTTHZ-UHFFFAOYSA-N 0.000 description 2
- 230000009471 action Effects 0.000 description 2
- 125000004414 alkyl thio group Chemical group 0.000 description 2
- 230000008901 benefit Effects 0.000 description 2
- RWCCWEUUXYIKHB-UHFFFAOYSA-N benzophenone Chemical compound C=1C=CC=CC=1C(=O)C1=CC=CC=C1 RWCCWEUUXYIKHB-UHFFFAOYSA-N 0.000 description 2
- 125000001246 bromo group Chemical group Br* 0.000 description 2
- 125000002915 carbonyl group Chemical group [*:2]C([*:1])=O 0.000 description 2
- 230000008859 change Effects 0.000 description 2
- 239000003153 chemical reaction reagent Substances 0.000 description 2
- 125000001309 chloro group Chemical group Cl* 0.000 description 2
- 238000003776 cleavage reaction Methods 0.000 description 2
- DOIRQSBPFJWKBE-UHFFFAOYSA-N dibutyl phthalate Chemical compound CCCCOC(=O)C1=CC=CC=C1C(=O)OCCCC DOIRQSBPFJWKBE-UHFFFAOYSA-N 0.000 description 2
- 229960001760 dimethyl sulfoxide Drugs 0.000 description 2
- 238000001035 drying Methods 0.000 description 2
- 230000000694 effects Effects 0.000 description 2
- 150000002148 esters Chemical class 0.000 description 2
- IPNPIHIZVLFAFP-UHFFFAOYSA-N phosphorus tribromide Chemical compound BrP(Br)Br IPNPIHIZVLFAFP-UHFFFAOYSA-N 0.000 description 2
- 230000009257 reactivity Effects 0.000 description 2
- 230000007017 scission Effects 0.000 description 2
- 230000003381 solubilizing effect Effects 0.000 description 2
- 239000011877 solvent mixture Substances 0.000 description 2
- 239000000725 suspension Substances 0.000 description 2
- 238000005406 washing Methods 0.000 description 2
- 239000004711 α-olefin Substances 0.000 description 2
- PNVPNXKRAUBJGW-UHFFFAOYSA-N (2-chloroacetyl) 2-chloroacetate Chemical compound ClCC(=O)OC(=O)CCl PNVPNXKRAUBJGW-UHFFFAOYSA-N 0.000 description 1
- GVEYRUKUJCHJSR-UHFFFAOYSA-N (4-azaniumyl-3-methylphenyl)-ethyl-(2-hydroxyethyl)azanium;sulfate Chemical compound OS(O)(=O)=O.OCCN(CC)C1=CC=C(N)C(C)=C1 GVEYRUKUJCHJSR-UHFFFAOYSA-N 0.000 description 1
- ILKZXYARHQNMEF-UHFFFAOYSA-N (4-azaniumyl-3-methylphenyl)-ethyl-(2-methoxyethyl)azanium;4-methylbenzenesulfonate Chemical compound CC1=CC=C(S(O)(=O)=O)C=C1.CC1=CC=C(S(O)(=O)=O)C=C1.COCCN(CC)C1=CC=C(N)C(C)=C1 ILKZXYARHQNMEF-UHFFFAOYSA-N 0.000 description 1
- YXIWHUQXZSMYRE-UHFFFAOYSA-N 1,3-benzothiazole-2-thiol Chemical class C1=CC=C2SC(S)=NC2=C1 YXIWHUQXZSMYRE-UHFFFAOYSA-N 0.000 description 1
- YHMYGUUIMTVXNW-UHFFFAOYSA-N 1,3-dihydrobenzimidazole-2-thione Chemical class C1=CC=C2NC(S)=NC2=C1 YHMYGUUIMTVXNW-UHFFFAOYSA-N 0.000 description 1
- 150000005208 1,4-dihydroxybenzenes Chemical class 0.000 description 1
- 125000006219 1-ethylpentyl group Chemical group [H]C([H])([H])C([H])([H])C([H])([H])C([H])([H])C([H])(*)C([H])([H])C([H])([H])[H] 0.000 description 1
- BAXOFTOLAUCFNW-UHFFFAOYSA-N 1H-indazole Chemical class C1=CC=C2C=NNC2=C1 BAXOFTOLAUCFNW-UHFFFAOYSA-N 0.000 description 1
- OQNCPSHYLBEOGZ-UHFFFAOYSA-N 2,3-didodecylbenzene-1,4-diol Chemical compound CCCCCCCCCCCCC1=C(O)C=CC(O)=C1CCCCCCCCCCCC OQNCPSHYLBEOGZ-UHFFFAOYSA-N 0.000 description 1
- CDAWCLOXVUBKRW-UHFFFAOYSA-N 2-aminophenol Chemical class NC1=CC=CC=C1O CDAWCLOXVUBKRW-UHFFFAOYSA-N 0.000 description 1
- FLFWJIBUZQARMD-UHFFFAOYSA-N 2-mercapto-1,3-benzoxazole Chemical class C1=CC=C2OC(S)=NC2=C1 FLFWJIBUZQARMD-UHFFFAOYSA-N 0.000 description 1
- UDAIGHZFMLGNDQ-UHFFFAOYSA-N 2-nitroquinoline Chemical compound C1=CC=CC2=NC([N+](=O)[O-])=CC=C21 UDAIGHZFMLGNDQ-UHFFFAOYSA-N 0.000 description 1
- XRZDIHADHZSFBB-UHFFFAOYSA-N 3-oxo-n,3-diphenylpropanamide Chemical class C=1C=CC=CC=1NC(=O)CC(=O)C1=CC=CC=C1 XRZDIHADHZSFBB-UHFFFAOYSA-N 0.000 description 1
- HETBKLHJEWXWBM-UHFFFAOYSA-N 4-chloro-3-nitrobenzaldehyde Chemical compound [O-][N+](=O)C1=CC(C=O)=CC=C1Cl HETBKLHJEWXWBM-UHFFFAOYSA-N 0.000 description 1
- XTBFKMDOQMQYPP-UHFFFAOYSA-N 4-n,4-n-diethylbenzene-1,4-diamine;hydron;chloride Chemical compound Cl.CCN(CC)C1=CC=C(N)C=C1 XTBFKMDOQMQYPP-UHFFFAOYSA-N 0.000 description 1
- GONFBOIJNUKKST-UHFFFAOYSA-N 5-ethylsulfanyl-2h-tetrazole Chemical compound CCSC=1N=NNN=1 GONFBOIJNUKKST-UHFFFAOYSA-N 0.000 description 1
- RGCKGOZRHPZPFP-UHFFFAOYSA-N Alizarin Natural products C1=CC=C2C(=O)C3=C(O)C(O)=CC=C3C(=O)C2=C1 RGCKGOZRHPZPFP-UHFFFAOYSA-N 0.000 description 1
- USFZMSVCRYTOJT-UHFFFAOYSA-N Ammonium acetate Chemical compound N.CC(O)=O USFZMSVCRYTOJT-UHFFFAOYSA-N 0.000 description 1
- 239000005695 Ammonium acetate Substances 0.000 description 1
- VHUUQVKOLVNVRT-UHFFFAOYSA-N Ammonium hydroxide Chemical compound [NH4+].[OH-] VHUUQVKOLVNVRT-UHFFFAOYSA-N 0.000 description 1
- GAWIXWVDTYZWAW-UHFFFAOYSA-N C[CH]O Chemical group C[CH]O GAWIXWVDTYZWAW-UHFFFAOYSA-N 0.000 description 1
- 229940090898 Desensitizer Drugs 0.000 description 1
- 241000273402 Eupithecia tantillaria Species 0.000 description 1
- DGAQECJNVWCQMB-PUAWFVPOSA-M Ilexoside XXIX Chemical compound C[C@@H]1CC[C@@]2(CC[C@@]3(C(=CC[C@H]4[C@]3(CC[C@@H]5[C@@]4(CC[C@@H](C5(C)C)OS(=O)(=O)[O-])C)C)[C@@H]2[C@]1(C)O)C)C(=O)O[C@H]6[C@@H]([C@H]([C@@H]([C@H](O6)CO)O)O)O.[Na+] DGAQECJNVWCQMB-PUAWFVPOSA-M 0.000 description 1
- 101100440286 Mus musculus Cntrl gene Proteins 0.000 description 1
- CWNSVVHTTQBGQB-UHFFFAOYSA-N N,N-Diethyldodecanamide Chemical compound CCCCCCCCCCCC(=O)N(CC)CC CWNSVVHTTQBGQB-UHFFFAOYSA-N 0.000 description 1
- 239000000020 Nitrocellulose Substances 0.000 description 1
- YGYAWVDWMABLBF-UHFFFAOYSA-N Phosgene Chemical compound ClC(Cl)=O YGYAWVDWMABLBF-UHFFFAOYSA-N 0.000 description 1
- 239000004698 Polyethylene Substances 0.000 description 1
- 239000004743 Polypropylene Substances 0.000 description 1
- 239000007868 Raney catalyst Substances 0.000 description 1
- NPXOKRUENSOPAO-UHFFFAOYSA-N Raney nickel Chemical compound [Al].[Ni] NPXOKRUENSOPAO-UHFFFAOYSA-N 0.000 description 1
- 229910000564 Raney nickel Inorganic materials 0.000 description 1
- 229910021607 Silver chloride Inorganic materials 0.000 description 1
- YSMRWXYRXBRSND-UHFFFAOYSA-N TOTP Chemical compound CC1=CC=CC=C1OP(=O)(OC=1C(=CC=CC=1)C)OC1=CC=CC=C1C YSMRWXYRXBRSND-UHFFFAOYSA-N 0.000 description 1
- FJWGYAHXMCUOOM-QHOUIDNNSA-N [(2s,3r,4s,5r,6r)-2-[(2r,3r,4s,5r,6s)-4,5-dinitrooxy-2-(nitrooxymethyl)-6-[(2r,3r,4s,5r,6s)-4,5,6-trinitrooxy-2-(nitrooxymethyl)oxan-3-yl]oxyoxan-3-yl]oxy-3,5-dinitrooxy-6-(nitrooxymethyl)oxan-4-yl] nitrate Chemical compound O([C@@H]1O[C@@H]([C@H]([C@H](O[N+]([O-])=O)[C@H]1O[N+]([O-])=O)O[C@H]1[C@@H]([C@@H](O[N+]([O-])=O)[C@H](O[N+]([O-])=O)[C@@H](CO[N+]([O-])=O)O1)O[N+]([O-])=O)CO[N+](=O)[O-])[C@@H]1[C@@H](CO[N+]([O-])=O)O[C@@H](O[N+]([O-])=O)[C@H](O[N+]([O-])=O)[C@H]1O[N+]([O-])=O FJWGYAHXMCUOOM-QHOUIDNNSA-N 0.000 description 1
- MPLZNPZPPXERDA-UHFFFAOYSA-N [4-(diethylamino)-2-methylphenyl]azanium;chloride Chemical compound [Cl-].CC[NH+](CC)C1=CC=C(N)C(C)=C1 MPLZNPZPPXERDA-UHFFFAOYSA-N 0.000 description 1
- SJOOOZPMQAWAOP-UHFFFAOYSA-N [Ag].BrCl Chemical compound [Ag].BrCl SJOOOZPMQAWAOP-UHFFFAOYSA-N 0.000 description 1
- HOLVRJRSWZOAJU-UHFFFAOYSA-N [Ag].ICl Chemical compound [Ag].ICl HOLVRJRSWZOAJU-UHFFFAOYSA-N 0.000 description 1
- 238000010521 absorption reaction Methods 0.000 description 1
- 125000002777 acetyl group Chemical group [H]C([H])([H])C(*)=O 0.000 description 1
- HFVAFDPGUJEFBQ-UHFFFAOYSA-M alizarin red S Chemical compound [Na+].O=C1C2=CC=CC=C2C(=O)C2=C1C=C(S([O-])(=O)=O)C(O)=C2O HFVAFDPGUJEFBQ-UHFFFAOYSA-M 0.000 description 1
- 125000003545 alkoxy group Chemical group 0.000 description 1
- 125000004448 alkyl carbonyl group Chemical group 0.000 description 1
- 125000003277 amino group Chemical group 0.000 description 1
- 125000004397 aminosulfonyl group Chemical group NS(=O)(=O)* 0.000 description 1
- 229940043376 ammonium acetate Drugs 0.000 description 1
- 235000019257 ammonium acetate Nutrition 0.000 description 1
- 239000000908 ammonium hydroxide Substances 0.000 description 1
- 229940051880 analgesics and antipyretics pyrazolones Drugs 0.000 description 1
- PYKYMHQGRFAEBM-UHFFFAOYSA-N anthraquinone Natural products CCC(=O)c1c(O)c2C(=O)C3C(C=CC=C3O)C(=O)c2cc1CC(=O)OC PYKYMHQGRFAEBM-UHFFFAOYSA-N 0.000 description 1
- 150000004056 anthraquinones Chemical class 0.000 description 1
- 125000001204 arachidyl group Chemical group [H]C([*])([H])C([H])([H])C([H])([H])C([H])([H])C([H])([H])C([H])([H])C([H])([H])C([H])([H])C([H])([H])C([H])([H])C([H])([H])C([H])([H])C([H])([H])C([H])([H])C([H])([H])C([H])([H])C([H])([H])C([H])([H])C([H])([H])C([H])([H])[H] 0.000 description 1
- 125000005110 aryl thio group Chemical group 0.000 description 1
- 125000004104 aryloxy group Chemical group 0.000 description 1
- QVQLCTNNEUAWMS-UHFFFAOYSA-N barium oxide Chemical compound [Ba]=O QVQLCTNNEUAWMS-UHFFFAOYSA-N 0.000 description 1
- 230000004888 barrier function Effects 0.000 description 1
- 229910001864 baryta Inorganic materials 0.000 description 1
- 239000012965 benzophenone Substances 0.000 description 1
- 125000003354 benzotriazolyl group Chemical class N1N=NC2=C1C=CC=C2* 0.000 description 1
- 238000004061 bleaching Methods 0.000 description 1
- 238000010504 bond cleavage reaction Methods 0.000 description 1
- 125000004106 butoxy group Chemical group [*]OC([H])([H])C([H])([H])C(C([H])([H])[H])([H])[H] 0.000 description 1
- 125000003917 carbamoyl group Chemical group [H]N([H])C(*)=O 0.000 description 1
- 239000003054 catalyst Substances 0.000 description 1
- 229920002678 cellulose Polymers 0.000 description 1
- 229920002301 cellulose acetate Polymers 0.000 description 1
- 239000007795 chemical reaction product Substances 0.000 description 1
- 239000011248 coating agent Substances 0.000 description 1
- 238000000576 coating method Methods 0.000 description 1
- 239000000084 colloidal system Substances 0.000 description 1
- 239000008139 complexing agent Substances 0.000 description 1
- 238000007796 conventional method Methods 0.000 description 1
- 238000001816 cooling Methods 0.000 description 1
- 229920001577 copolymer Polymers 0.000 description 1
- 239000012043 crude product Substances 0.000 description 1
- 239000013078 crystal Substances 0.000 description 1
- 238000003379 elimination reaction Methods 0.000 description 1
- 125000001301 ethoxy group Chemical group [H]C([H])([H])C([H])([H])O* 0.000 description 1
- RIFGWPKJUGCATF-UHFFFAOYSA-N ethyl chloroformate Chemical compound CCOC(Cl)=O RIFGWPKJUGCATF-UHFFFAOYSA-N 0.000 description 1
- 125000004705 ethylthio group Chemical group C(C)S* 0.000 description 1
- 239000010408 film Substances 0.000 description 1
- 239000000706 filtrate Substances 0.000 description 1
- 238000001914 filtration Methods 0.000 description 1
- 125000001153 fluoro group Chemical group F* 0.000 description 1
- 239000011521 glass Substances 0.000 description 1
- 238000010438 heat treatment Methods 0.000 description 1
- 125000005842 heteroatom Chemical group 0.000 description 1
- 150000002391 heterocyclic compounds Chemical class 0.000 description 1
- YOSVFFVBSPQTTP-UHFFFAOYSA-N hexadecane-1-sulfonyl chloride Chemical compound CCCCCCCCCCCCCCCCS(Cl)(=O)=O YOSVFFVBSPQTTP-UHFFFAOYSA-N 0.000 description 1
- XMBWDFGMSWQBCA-UHFFFAOYSA-N hydrogen iodide Chemical compound I XMBWDFGMSWQBCA-UHFFFAOYSA-N 0.000 description 1
- 125000002768 hydroxyalkyl group Chemical group 0.000 description 1
- 125000004029 hydroxymethyl group Chemical group [H]OC([H])([H])* 0.000 description 1
- 238000003384 imaging method Methods 0.000 description 1
- 239000012535 impurity Substances 0.000 description 1
- RSAZYXZUJROYKR-UHFFFAOYSA-N indophenol Chemical compound C1=CC(O)=CC=C1N=C1C=CC(=O)C=C1 RSAZYXZUJROYKR-UHFFFAOYSA-N 0.000 description 1
- 230000002401 inhibitory effect Effects 0.000 description 1
- 239000011229 interlayer Substances 0.000 description 1
- 238000004519 manufacturing process Methods 0.000 description 1
- 230000000873 masking effect Effects 0.000 description 1
- 238000005259 measurement Methods 0.000 description 1
- 125000001160 methoxycarbonyl group Chemical group [H]C([H])([H])OC(*)=O 0.000 description 1
- 230000004048 modification Effects 0.000 description 1
- 238000012986 modification Methods 0.000 description 1
- 239000012452 mother liquor Substances 0.000 description 1
- AJDUTMFFZHIJEM-UHFFFAOYSA-N n-(9,10-dioxoanthracen-1-yl)-4-[4-[[4-[4-[(9,10-dioxoanthracen-1-yl)carbamoyl]phenyl]phenyl]diazenyl]phenyl]benzamide Chemical compound O=C1C2=CC=CC=C2C(=O)C2=C1C=CC=C2NC(=O)C(C=C1)=CC=C1C(C=C1)=CC=C1N=NC(C=C1)=CC=C1C(C=C1)=CC=C1C(=O)NC1=CC=CC2=C1C(=O)C1=CC=CC=C1C2=O AJDUTMFFZHIJEM-UHFFFAOYSA-N 0.000 description 1
- QRBFSNYYMHZRGU-UHFFFAOYSA-N n-[2-(4-amino-n-ethyl-3-methylanilino)ethyl]methanesulfonamide;sulfuric acid;hydrate Chemical compound O.OS(O)(=O)=O.CS(=O)(=O)NCCN(CC)C1=CC=C(N)C(C)=C1 QRBFSNYYMHZRGU-UHFFFAOYSA-N 0.000 description 1
- 125000004108 n-butyl group Chemical group [H]C([H])([H])C([H])([H])C([H])([H])C([H])([H])* 0.000 description 1
- 150000004780 naphthols Chemical class 0.000 description 1
- 125000001624 naphthyl group Chemical group 0.000 description 1
- 125000000449 nitro group Chemical group [O-][N+](*)=O 0.000 description 1
- 229920001220 nitrocellulos Polymers 0.000 description 1
- 150000002894 organic compounds Chemical class 0.000 description 1
- 125000000962 organic group Chemical group 0.000 description 1
- 239000012044 organic layer Substances 0.000 description 1
- 150000004866 oxadiazoles Chemical class 0.000 description 1
- 150000004989 p-phenylenediamines Chemical class 0.000 description 1
- 230000000737 periodic effect Effects 0.000 description 1
- 150000002989 phenols Chemical class 0.000 description 1
- XDUXGEPGVNWEBQ-UHFFFAOYSA-N phenyl 1,4-dihydroxynaphthalene-2-carboxylate Chemical compound OC=1C2=CC=CC=C2C(O)=CC=1C(=O)OC1=CC=CC=C1 XDUXGEPGVNWEBQ-UHFFFAOYSA-N 0.000 description 1
- 150000004986 phenylenediamines Chemical class 0.000 description 1
- 239000001007 phthalocyanine dye Substances 0.000 description 1
- 229920006289 polycarbonate film Polymers 0.000 description 1
- 229920000573 polyethylene Polymers 0.000 description 1
- 229920000139 polyethylene terephthalate Polymers 0.000 description 1
- 239000005020 polyethylene terephthalate Substances 0.000 description 1
- 229920000642 polymer Polymers 0.000 description 1
- 229920000098 polyolefin Polymers 0.000 description 1
- 229920001155 polypropylene Polymers 0.000 description 1
- 125000001436 propyl group Chemical group [H]C([*])([H])C([H])([H])C([H])([H])[H] 0.000 description 1
- 230000001681 protective effect Effects 0.000 description 1
- JEXVQSWXXUJEMA-UHFFFAOYSA-N pyrazol-3-one Chemical class O=C1C=CN=N1 JEXVQSWXXUJEMA-UHFFFAOYSA-N 0.000 description 1
- NDGRWYRVNANFNB-UHFFFAOYSA-N pyrazolidin-3-one Chemical class O=C1CCNN1 NDGRWYRVNANFNB-UHFFFAOYSA-N 0.000 description 1
- MCSKRVKAXABJLX-UHFFFAOYSA-N pyrazolo[3,4-d]triazole Chemical class N1=NN=C2N=NC=C21 MCSKRVKAXABJLX-UHFFFAOYSA-N 0.000 description 1
- 230000005855 radiation Effects 0.000 description 1
- 239000002516 radical scavenger Substances 0.000 description 1
- 239000012260 resinous material Substances 0.000 description 1
- ADZWSOLPGZMUMY-UHFFFAOYSA-M silver bromide Chemical compound [Ag]Br ADZWSOLPGZMUMY-UHFFFAOYSA-M 0.000 description 1
- HKZLPVFGJNLROG-UHFFFAOYSA-M silver monochloride Chemical compound [Cl-].[Ag+] HKZLPVFGJNLROG-UHFFFAOYSA-M 0.000 description 1
- 229910052708 sodium Inorganic materials 0.000 description 1
- 239000011734 sodium Substances 0.000 description 1
- 239000007787 solid Substances 0.000 description 1
- 241000894007 species Species 0.000 description 1
- 230000003595 spectral effect Effects 0.000 description 1
- 238000001228 spectrum Methods 0.000 description 1
- 239000000126 substance Substances 0.000 description 1
- 125000003107 substituted aryl group Chemical group 0.000 description 1
- 125000004964 sulfoalkyl group Chemical group 0.000 description 1
- 125000005420 sulfonamido group Chemical group S(=O)(=O)(N*)* 0.000 description 1
- 150000003457 sulfones Chemical class 0.000 description 1
- 125000000542 sulfonic acid group Chemical group 0.000 description 1
- 125000000999 tert-butyl group Chemical group [H]C([H])([H])C(*)(C([H])([H])[H])C([H])([H])[H] 0.000 description 1
- 125000003831 tetrazolyl group Chemical group 0.000 description 1
- 150000003568 thioethers Chemical class 0.000 description 1
Classifications
-
- G—PHYSICS
- G03—PHOTOGRAPHY; CINEMATOGRAPHY; ANALOGOUS TECHNIQUES USING WAVES OTHER THAN OPTICAL WAVES; ELECTROGRAPHY; HOLOGRAPHY
- G03C—PHOTOSENSITIVE MATERIALS FOR PHOTOGRAPHIC PURPOSES; PHOTOGRAPHIC PROCESSES, e.g. CINE, X-RAY, COLOUR, STEREO-PHOTOGRAPHIC PROCESSES; AUXILIARY PROCESSES IN PHOTOGRAPHY
- G03C7/00—Multicolour photographic processes or agents therefor; Regeneration of such processing agents; Photosensitive materials for multicolour processes
- G03C7/30—Colour processes using colour-coupling substances; Materials therefor; Preparing or processing such materials
- G03C7/305—Substances liberating photographically active agents, e.g. development-inhibiting releasing couplers
- G03C7/30511—Substances liberating photographically active agents, e.g. development-inhibiting releasing couplers characterised by the releasing group
- G03C7/30517—2-equivalent couplers, i.e. with a substitution on the coupling site being compulsory with the exception of halogen-substitution
- G03C7/30523—Phenols or naphtols couplers
Definitions
- This invention relates to a new photographic naphtholic coupler capable upon oxidative coupling of forming a dye that is capable of being washed out of the photographic material containing the coupler upon processing and to photographic materials and processes comprising the naphtholic coupler.
- couplers are known in photographic materials and processes.
- One of the classes of photographic couplers includes naphtholic couplers that typically form cyan dyes upon oxidative coupling in photographic materials and processes. These naphtholic couplers typically form cyan dyes upon oxidative coupling with color developing agents.
- Such naphtholic couplers are also known which are capable of forming dyes upon oxidative coupling that can be washed out of the photographic material upon processing. These naphtholic couplers are described in, for example, U.S. Patent 4,482,629.
- the naphtholic couplers that are capable of forming dyes that can be washed out of the photographic material upon photographic processing contain a water solubilizing group, such as a carboxy group or sulfonic acid group, substituted on a group in the 2- position of the naphtholic coupler. It has been desirable to provide a naphtholic coupler that is not as expensive to manufacture as the described naphtholic couplers and still provides a useful dye that can be washed out of the photographic material with the added advantage that the coupler enables a lower concentration of coupler to be used in a photographic element without significantly changing imaging results.
- a water solubilizing group such as a carboxy group or sulfonic acid group
- the present invention solves these problems by providing a photographic material comprising a support bearing at least one photographic silver halide emulsion layer and having in or adjacent the emulsion layer an immobile naphtholic coupler capable upon oxidative coupling of forming a dye that is capable of being washed out of the photographic element upon photographic processing, wherein the immobile naphtholic coupler comprises a ballast free naphtholic coupler moiety comprising a -CONH2 group in the 2- position and a ballasted coupling-off group in the 4- position.
- the ballasted coupling-off group preferably comprises a releasable photographically useful group (PUG).
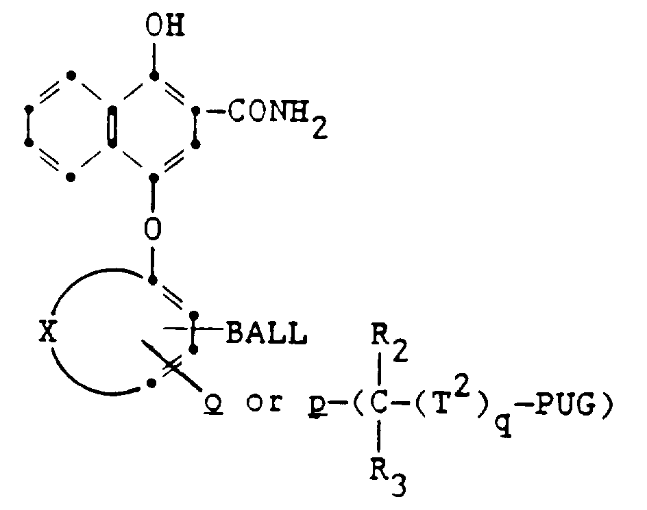
- the immobile naphtholic coupler is typically represented by the formula: wherein Z is a ballasted coupling-off group, R1 is a ballast-free substituent that does not adversely affect the desired properties of the coupler and dye, and z is 0, 1, 2 or 3. R1 does not comprise a ballast group because such a group adversely affects wash-out properties of the dye formed from the naphtholic coupler.
- the ballasted coupling-off group (Z) enables the naphtholic coupler to be immobile in the photographic material prior to exposure and processing.
- the naphtholic coupler reacts with oxidized color developing agent to form a dye that is washed out of the element during processing.
- the coupling-off group is released during processing.
- the portion of the coupling-off group containing the ballast group remains in the location in which it was coated.
- the coupling-off group preferably comprises a releasable photographically useful group (PUG) which is released upon photographic processing.
- the PUG either is immobilized to remain in the location of the element in which it was coated or the PUG is mobile to allow it, after release, to move to a location in the element at which it can serve its intended function.
- a preferred naphtholic coupler as described comprises a coupling-off group represented by the formula: -(LINK) n -(TIME) m -PUG wherein
- a process of forming an image having the described advantages comprises developing an exposed photographic element as described by means of a color developing agent in the presence of the described naphtholic coupler and washing-out the dye formed from the naphtholic coupler.
- Any naphtholic coupler moiety is useful that can contain the -CONH2 group in the 2- position and a coupling-off group in the 4- position and can form a compound, especially a dye, that can be washed out of the element upon oxidative coupling of the coupler. It will be appreciated that depending upon the particular developing agent and the particular type of processing, the reaction product of the coupler moiety and the oxidized developing agent can be colored or colorless. Examples of useful naphtholic coupler moieties can be unsubstituted except for the required substituents in the 2- and 4- positions as described.
- the naphtholic coupler moieties in addition to the substituents in the 2- and 4- positions can contain other substituents that do not adversely affect the desired properties of the element and coupler.
- substituents include 5-NHSO2CH3, 5-NHCOCH3 or 6-NHSO2CH3.
- Useful naphtholic coupler moieties include those described in, for example, the following patents in which the group described in the 2- position is replaced with -CONH2, especially those having a ballasted coupling-off group: U.S. Patents 4,840,884; 4,861,701; 2,474,293; 3,227,554; 4,482,629 and 4,857,447.
- any coupling-off group containing a ballast group known in the photographic art is useful in the 4- position of the described naphtholic coupler moiety.
- Examples of useful coupling-off groups are described in, for example, U.S. Patent 4,861,701.
- Preferred coupling-off groups are those that enable release of a PUG upon photographic processing, especially those that have a releasable timing group between the bond to the coupling position of the coupler and the releasable PUG.
- Preferred timing groups are described in, for example, U.S. Patents 4,861,701; 4,248,962; 4,409,323; 4,482,629 and 4,857,447.
- a preferred naphtholic coupler is represented by formula: wherein
- T is, for example, a group that enables release of PUG by means of intramolecular nucleophilic displacement, such as described in U.S. 4,248,962 and U.S. 4,861,701.
- reaction of the coupler with oxidized color developing agent cleaves the bond between the coupler and the coupling-off group. Then the bond between the PUG and the remainder of the coupling-off group is cleaved. Bond cleavage between the PUG and the remainder of the coupling-off group preferably does not involve the action of oxidized color developing agent.
- the cleavage of the bond between the PUG and the remainder of the coupling-off group can involve any reaction known in the photographic art for cleavage of such groups, for example an intramolecular nucleophilic displacement reaction or other elimination reaction.
- ballast group any ballast group known in the photographic art can be useful on the coupling-off group.
- the ballast group (BALL) herein means an organic group of such size and configuration as to confer on the coupler molecule sufficient bulk to render the coupler substantially non-diffusible from the layer in which it is coated in a photographic element prior to exposure and processing.
- Representative ballast groups include substituted or unsubstituted alkyl or aryl groups containing, for example, 8 to 40 carbon atoms.
- Other useful ballast groups include sulfonamido groups containing 8 to 40 carbon atoms, carbonamido, carbamoyl, sulfamoyl, ester, sulfone, ether, thioether and amino groups.
- a typical timing group T is a group that enables release of a PUG by means of intramolecular nucleophilic displacement, such as described in U.S. Patents 4,861,701; 4,857,440; 4,847,185 and 4,248,962.
- Illustrative timing groups T are as follows: and other illustrative groups described in U.S. Patent 4,857,447.
- R4, R5, R6, R 6a , R7, R8, R9, R10, R11, R12, R13, R14, R15, R16, R17, R18, R19, R20, R21, R22, R23 and R24 individually are hydrogen or substituents that do not adversely affect the desired properties of the naphtholic coupler or dye formed, such as unsubstituted or substituted alkyl, for example, methyl, ethyl, propyl, n-butyl, t-butyl and eicosyl, or unsubstituted or substituted aryl, such as phenyl, or substituted phenyl, and PUG is a releasable photographically useful group. At least one of the described groups on the coupling-off group is a ballast group.
- naphtholic coupler refers to the entire compound including the coupler moiety and the coupling-off group.
- naphtholic coupler moiety refers to that portion of the coupler other than the coupling-off group.
- the PUG can be any group that is typically made available in a photographic element in an imagewise fashion.
- the PUG can be a photographic reagent or a photographic dye.
- a photographic reagent herein is a moiety that upon release further reacts with components in the photographic element, such as a development inhibitor, a development accelerator, a bleach inhibitor, a bleach accelerator, a coupler (for example, a competing coupler, a dye-forming coupler, or a development inhibitor releasing coupler (DIR coupler)), a dye precursor, a dye, a developing agent (for example, a competing developing agent, a dye-forming developing agent, or a silver halide developing agent), a silver complexing agent, a fixing agent, an image toner, a stabilizer, a hardener, a tanning agent, a fogging agent, an ultraviolet radiation absorber, an antifoggant, a nucleator, a chemical or spectral sensitizer or a desensitizer.
- a development inhibitor
- the PUG can be present in the coupling-off group as a preformed species or it can be present in a blocked form or as a precursor.
- the PUG can be for example a preformed development inhibitor or the development inhibiting function can be blocked by being the point of attachment to the carbonyl group bonded to PUG in the coupling-off group.
- Other examples are a preformed dye, a dye that is blocked to shift its absorption, and a leuco dye.
- a preferred naphtholic coupler as described is a photographic coupler containing a naphtholic coupler moiety and a PUG containing a hetero atom from VIb or Vb of the Periodic Table having a negative valence of 2 or 3 bonded to a carbonyl group of the coupling-off group.
- Couplers which form cyan dyes upon reaction with oxidized color developing agents are described in such representative patents and publications as: U.S. Pat. Nos. 2,772,162; 2,895,826; 3,002,836; 3,034,892; 2,474,293; 2,423,730; 2,367,531; 3,041,236; 4,333,999 and "Farbkuppler-eine LiteraturREMsicht,” published in Agfa Mitannonen, Band III, pp. 156-175 (1961).
- couplers are phenols and naphthols that form cyan dyes on reaction with oxidized color developing agents.
- Couplers which form magenta dyes upon reaction with oxidized color developing agent are described in such representative patents and publications as: U.S. Pat. Nos. 2,600,788; 2,369,489; 2,343,703; 2,311,082; 3,152,896; 3,519,429; 3,062,653; 2,908,573 and "Farbkuppler-eine Literaturschreibsicht,” published in Agfa Mitannonen,Band III, pp. 126-156 (1961).
- couplers are pyrazolones and pyrazolotriazoles that form magenta dyes upon reaction with oxidized color developing agents.
- Couplers which form yellow dyes upon reaction with oxidized and color developing agent are described in such representative patents and publications as: U.S. Pat. Nos. 2,875,057; 2,407,210; 3,265,506; 2,298,443; 3,048,194; 3,447,928 and "Farbkuppler-eine Literaturschreibsicht,” published in Agfa Mitannonen, Band III, pp. 112-126 (1961).
- couplers are acylacetamides, such as benzoylacetanilides and pivaloylacetanilides that form yellow dyes upon reaction with oxidized color developing agents.
- Couplers which form colorless products upon reaction with oxidized color developing agent are described in such representative patents as: U.K. Patent No. 861,138; U.S. Pat. Nos. 3,632,345; 3,928,041; 3,958,993 and 3,961,959.
- couplers are cyclic carbonyl containing compounds which form colorless products on reaction with oxidized color developing agent.
- Preferred development inhibitors are iodide and heterocyclic compounds such as mercaptotetrazoles, selenotetrazoles, mercaptobenzothiazoles, selenobenzothiazoles, mercaptobenzoxazoles, selenobenzoxazoles, mercaptobenzimidazoles, selenobenzimidazoles, oxadiazoles, benzotriazoles and benzodiazoles.
- R29 is unsubstituted or substituted alkyl, such as butyl, 1-ethylpentyl, and 2-ethoxyethyl, or alkylthio, such as butylthio and octylthio;
- R25 and R26 individually are hydrogen, alkyl of 1 to 8 carbon atoms such as methyl, ethyl, or butyl, phenyl or substituted phenyl; and
- R27 and R28 individually are hydrogen or one or more halogen such as chloro, fluoro or bromo; alkyl of 1 to 4 carbon atoms, carboxyl, esters, such as -COOCH3, or other substituents such as -NHCOOCH3, -SO2OCH3, -OCH2CH2SO2CH3, or nitro groups.
- Suitable dyes and dye precursors include azo, azomethine, azopyrazolone, indoaniline, indophenol, anthraquinone, triarylmethane, alizarin, nitro, quinoline, indigoid and phthalocyanine dyes or precursors of such dyes such as leuco dyes, tetrazolium salts or shifted dyes. These dyes can be metal complexed or metal complexable. Representative patents describing such dyes are U.S. Pat. Nos. 3,880,658; 3,931,144; 3,932,380; 3,932,381 and 3,942,987.
- Preferred dyes and dye precursors are azo, azomethine and indoaniline dyes and dye precursors. Structures of some preferred dyes and dye precursors are:
- Couplers released can be nondiffusible color-forming couplers, non-color forming couplers or diffusible competing couplers.
- Representative patents and publications describing competing couplers are: "On the Chemistry of White Couplers," by W. Püschel, Agfa-Gevaert AG Mitteilungen and der Anlagen Anlagens-Laboratorium der Agfa-Gevaert AG, Springer Verlag, 1954, pp. 352-367; U.S. Pat. Nos. 2,998,314; 2,808,329; 2,689,793; 2,742,832; German Pat. No. 1,168,769 and British Pat. No. 907,274.
- R32 is hydrogen or alkylcarbonyl, such as acetyl
- R33 and R34 are individually hydrogen or a solubilizing group, such as sulfo, aminosulfonyl, and carboxy
- R35 which is the same as R34 as defined above
- R36 is halogen, aryloxy, arylthio, or a development inhibitor, such as a mercaptotetrazole, such as phenylmercaptotetrazole or ethylmercaptotetrazole.
- Developing agents released can be color developing agents, black-and-white developing agents or cross-oxidizing developing agents. They include aminophenols, phenylene diamines, hydroquinones and pyrazolidones. Representative patents are: U.S. Pat. Nos. 2,193,015; 2,108,243; 2,592,364; 3,656,950; 3,658,525; 2,751,297; 2,289,367; 2,772,282; 2,743,279; 2,753,256 and 2,304,953.
- Structures of preferred developing agents are: where R37 is hydrogen or alkyl of 1 to 4 carbon atoms and R38 is hydrogen or one or more halogen such as chloro or bromo; or alkyl of 1 to 4 carbon atoms such as methyl, ethyl or butyl groups.
- R38 is as defined above.
- R39 is hydrogen or alkyl of 1 to 4 carbon atoms and R40, R41, R42, R43 and R44 are individually hydrogen, alkyl of 1 to 4 carbon atoms such as methyl or ethyl; hydroxyalkyl of 1 to 4 carbon atoms such as hydroxymethyl or hydroxyethyl or sulfoalkyl containing 1 to 4 carbon atoms.
- R46 is hydrogen, alkyl, such as ethyl and butyl, alkoxy, such as ethoxy and butoxy, or alkylthio, such as ethylthio and butylthio, for example containing 1 to 6 carbon atoms, and which may be unsubstituted or substituted
- R47 is hydrogen, alkyl or aryl, such as phenyl
- R48 and R49 are individually alkyl, such as alkyl containing 1 to 6 carbon atoms, for example ethyl and butyl
- z is 1 to 6.
- the image dye-forming couplers can be incorporated in photographic elements and/or in photographic processing solutions, such as developer solutions, so that upon development of an exposed photographic element they will be in reactive association with oxidized color developing agent.
- Coupler compounds incorporated in photographic processing solutions should be of such molecular size and configuration that they will diffuse through photographic layers with the processing solution.
- the coupler compounds should be nondiffusible, that is they should be of such molecular size and configuration that they will not significantly diffuse or wander from the layer in which they are coated.
- Photographic elements of this invention can be processed by conventional techniques in which color forming couplers and color developing agents are incorporated in separate processing solutions or compositions or in the element.
- Photographic elements in which the compounds of this invention are incorporated can be a simple element comprising a support and a single silver halide emulsion layer or they can be multilayer, multicolor elements.
- the compounds of this invention can be incorporated in at least one of the silver halide emulsion layers and/or in at least one other layer, such as an adjacent layer, where they will come into reactive association with oxidized color developing agent which has developed silver halide in the emulsion layer.
- the silver halide emulsion layer can contain or have associated with it, other photographic coupler compounds, such as dye-forming couplers, colored masking couplers, and/or competing couplers. These other photographic couplers can form dyes of the same or different color and hue as the photographic couplers of this invention.
- the silver halide emulsion layers and other layers of the photographic element can contain addenda conventionally contained in such layers.
- a typical multilayer, multicolor photographic element can comprise a support having thereon a red-sensitive silver halide emulsion unit having associated therewith a cyan dye image-providing material, a green-sensitive silver halide emulsion unit having associated therewith a magenta dye image-providing material and a blue-sensitive silver halide emulsion unit having associated therewith a yellow dye image-providing material, at least one of the silver halide emulsion units having associated therewith a photographic coupler of the invention.
- Each silver halide emulsion unit can be composed of one or more layers and the various units and layers can be arranged in different locations with respect to one another.
- the couplers of this invention can be incorporated in or associated with one or more layers or units of the photographic element.
- a layer or unit affected by PUG can be controlled by incorporating in appropriate locations in the element a scavenger layer which will confine the action of PUG to the desired layer or unit.
- At least one of the layers of the photographic element can be, for example, a mordant layer or a barrier layer.
- the light sensitive silver halide emulsions can include coarse, regular or fine grain silver halide crystals or mixtures thereof and can be comprised of such silver halides as silver chloride, silver bromide, silver bromoiodide, silver chlorobromide, silver chloroiodide, silver chlorobromoiodide and mixtures thereof.
- the emulsions can be negative-working or direct-positive emulsions. They can form latent images predominantly on the surface of the silver halide grains or predominantly on the interior of the silver halide grains. They can be chemically and spectrally sensitized.
- the emulsions typically will be gelatin emulsions although other hydrophilic colloids are useful.
- Tabular grain light sensitive silver halides are particularly useful such as described in Research Disclosure , January 1983, Item No. 22534 and U.S. Patent 4,434,226.
- the support can be any support used with photographic elements. Typical supports include cellulose nitrate film, cellulose acetate film, polyvinylacetal film, polyethylene terephthalate film, polycarbonate film and related films or resinous materials as well as glass, paper, metal and the like. Typically, a flexible support is employed, such as a polymeric film or paper support. Paper supports can be acetylated or coated with baryta and/or an ⁇ -olefin polymer, particularly a polymer of an ⁇ -olefin containing 2 to 10 carbon atoms such as polyethylene, polypropylene, ethylene-butene copolymers and the like.
- the coupling-off group contain a releasable PUG.
- the couplers can be incorporated in a photographic element for different purposes and in different locations.
- the photographic elements can be coated on a variety of supports as described in Research Disclosure Section XVII and the references described therein.
- Photographic elements can be exposed to actinic radiation, typically in the visible region of the spectrum, to form a latent image as described in Research Disclosure Section XVIII and then processed to form a visible dye image as described in Research Disclosure Section XIX.
- Processing to form a visible dye image includes the step of contacting the element with a color developing agent to reduce developable silver halide and oxidize the color developing agent. Oxidized color developing agent in turn reacts with the coupler to yield a dye.
- Preferred color developing agents useful in the invention are p-phenylene diamines.
- the processing step described above gives a negative image.
- this step can be preceded by development with a non-chromogenic developing agent to develop exposed silver halide, but not form a dye, and then uniformly fogging the element to render unexposed silver halide developable.
- a direct positive emulsion can be employed to obtain a positive image.
- Naphtholic couplers as described can be prepared by reactions and methods known in the organic compound synthesis art. Similar reactions and methods are described in U.S. Patent 4,482,629. Typically, the naphtholic coupler is prepared by the following method:
- Ph herein means phenyl
- Phenyl-1,4-dihydroxy-2-naphthoate (100.0 g, 356.78 mmol) was dissolved in deoxygenated tetrahydrofuran (500 mL) and deoxygenated methanol (500 mL) added. To this solution, stirred at room temperature under the nitrogen atmosphere, was added ammonium acetate (50.0 g, 648.63 mmol) followed by concentrated ammonium hydroxide (1.0 L). After stirring for 3 hours the reaction was then poured into ice cold 2N-HCl (4.0 L) and enough concentrated HCl added to bring the pH to 1. The resulting product, compound (A2) was filtered off, washed well with water and air dried. The crude product was washed with dichloromethane and air dried. Yield 62.0 g (72%).
- the oil was taken up in a mixture of ethyl acetate, dichloromethane, heptane and acetonitrile in the ratio of 20:20:56.4, respectively and subjected to flash chromatography eluting with the same solvent system to elute impurities from the column and then changed to a ratio of 27:50:20.4 to elute the product, compound (A12).
- the product could be recrystallized from acetonitrile. Yield 61.0 g (58%).
- Couplers that can be prepared by these methods of synthesis include, for example:
- Photographic elements were prepared by coating the following layers on a cellulose ester film support (amounts of each component are indicated in mg/m):
- Strips of each element were exposed to green light through a graduated density step tablet, or through a 35% modulation fringe chart for sharpness measurements, and then developed 3.25 minutes at 38°C in the following color developer, stopped, washed, bleached, fixed, washed and dried.
- a photographic film was prepared, exposed and processed like the film in Examples 1 - 3.
- the processed images were read with green light to determine the contrast. From plots of the logarithm of the contrast compared to the coated level of each DIR coupler, the reactivity was determined as the amount of DIR coupler in micromoles per square meter to reduce the contrast (gamma) to half (0.5) compared to its original contrast without the presence of the DIR coupler. The smaller the amount of the DIR compound required, the higher was the reactivity of the DIR coupler.
- Coupler 3 was as described in Example 3. The results are given in following Table II: TABLE II Example No. Coupler No. Amount of DIR Coupler to Reduce Gamma in Half (Micromoles Per Square Meter) 4 3 108 C (Comparison) C 157 D (Comparison) D 151
Landscapes
- Physics & Mathematics (AREA)
- General Physics & Mathematics (AREA)
- Silver Salt Photography Or Processing Solution Therefor (AREA)
Description
- This invention relates to a new photographic naphtholic coupler capable upon oxidative coupling of forming a dye that is capable of being washed out of the photographic material containing the coupler upon processing and to photographic materials and processes comprising the naphtholic coupler.
- Various couplers are known in photographic materials and processes. One of the classes of photographic couplers includes naphtholic couplers that typically form cyan dyes upon oxidative coupling in photographic materials and processes. These naphtholic couplers typically form cyan dyes upon oxidative coupling with color developing agents. Such naphtholic couplers are also known which are capable of forming dyes upon oxidative coupling that can be washed out of the photographic material upon processing. These naphtholic couplers are described in, for example, U.S. Patent 4,482,629.
- The naphtholic couplers that are capable of forming dyes that can be washed out of the photographic material upon photographic processing contain a water solubilizing group, such as a carboxy group or sulfonic acid group, substituted on a group in the 2- position of the naphtholic coupler. It has been desirable to provide a naphtholic coupler that is not as expensive to manufacture as the described naphtholic couplers and still provides a useful dye that can be washed out of the photographic material with the added advantage that the coupler enables a lower concentration of coupler to be used in a photographic element without significantly changing imaging results.
- It has also been desirable to provide such a naphtholic coupler that contains a coupling-off group that enables desired acutance and desired interimage effects in a color photographic silver halide material and process at lower concentrations of coupler.
- The present invention solves these problems by providing a photographic material comprising a support bearing at least one photographic silver halide emulsion layer and having in or adjacent the emulsion layer an immobile naphtholic coupler capable upon oxidative coupling of forming a dye that is capable of being washed out of the photographic element upon photographic processing, wherein the immobile naphtholic coupler comprises a ballast free naphtholic coupler moiety comprising a -CONH₂ group in the 2- position and a ballasted coupling-off group in the 4- position. The ballasted coupling-off group preferably comprises a releasable photographically useful group (PUG).
- The immobile naphtholic coupler is typically represented by the formula:
wherein Z is a ballasted coupling-off group, R₁ is a ballast-free substituent that does not adversely affect the desired properties of the coupler and dye, and z is 0, 1, 2 or 3. R₁ does not comprise a ballast group because such a group adversely affects wash-out properties of the dye formed from the naphtholic coupler. - The ballasted coupling-off group (Z) enables the naphtholic coupler to be immobile in the photographic material prior to exposure and processing. Upon exposure and processing of the described element the naphtholic coupler reacts with oxidized color developing agent to form a dye that is washed out of the element during processing. Also, the coupling-off group is released during processing. The portion of the coupling-off group containing the ballast group remains in the location in which it was coated. The coupling-off group preferably comprises a releasable photographically useful group (PUG) which is released upon photographic processing. The PUG either is immobilized to remain in the location of the element in which it was coated or the PUG is mobile to allow it, after release, to move to a location in the element at which it can serve its intended function.
- A preferred naphtholic coupler as described comprises a coupling-off group represented by the formula:
-(LINK)n-(TIME)m-PUG
wherein - TIME is a releasable timing group capable of being released from the LINK moiety during photographic processing;
- LINK is a releasable linking group capable of being released from the naphtholic coupler moiety upon oxidative coupling of the naphtholic coupler;
- n and m individually are 0, 1 or 2;
- PUG is a releasable photographically useful group, preferably a releasable development inhibitor group; and, preferably,
- at least one of n and m is 1 or 2.
- A process of forming an image having the described advantages comprises developing an exposed photographic element as described by means of a color developing agent in the presence of the described naphtholic coupler and washing-out the dye formed from the naphtholic coupler.
- Any naphtholic coupler moiety is useful that can contain the -CONH₂ group in the 2- position and a coupling-off group in the 4- position and can form a compound, especially a dye, that can be washed out of the element upon oxidative coupling of the coupler. It will be appreciated that depending upon the particular developing agent and the particular type of processing, the reaction product of the coupler moiety and the oxidized developing agent can be colored or colorless. Examples of useful naphtholic coupler moieties can be unsubstituted except for the required substituents in the 2- and 4- positions as described. Optionally the naphtholic coupler moieties in addition to the substituents in the 2- and 4- positions can contain other substituents that do not adversely affect the desired properties of the element and coupler. Examples of such substituents include 5-NHSO₂CH₃, 5-NHCOCH₃ or 6-NHSO₂CH₃. Useful naphtholic coupler moieties include those described in, for example, the following patents in which the group described in the 2- position is replaced with -CONH₂, especially those having a ballasted coupling-off group: U.S. Patents 4,840,884; 4,861,701; 2,474,293; 3,227,554; 4,482,629 and 4,857,447.
- Any coupling-off group containing a ballast group known in the photographic art is useful in the 4- position of the described naphtholic coupler moiety. Examples of useful coupling-off groups are described in, for example, U.S. Patent 4,861,701. Preferred coupling-off groups are those that enable release of a PUG upon photographic processing, especially those that have a releasable timing group between the bond to the coupling position of the coupler and the releasable PUG. Preferred timing groups are described in, for example, U.S. Patents 4,861,701; 4,248,962; 4,409,323; 4,482,629 and 4,857,447.
-
- X represents the atoms completing a 5-, 6- or 7-member ring, such as an aryl or heterocyclic group;
- R₁ is a ballast-free substituent;
- z is 0, 1, 2 or 3;
- BALL is a ballast group known in the photographic art;
- T is a releasable timing group;
- R₂ and R₃ individually are hydrogen,
unsubstituted or substituted alkyl or aryl, such as alkyl containing 1 to 40 carbon atoms or aryl containing 6 to 40 carbon atoms, such as a phenyl or naphthyl group; and, - q is 0, 1 or 2.
- T is, for example, a group that enables release of PUG by means of intramolecular nucleophilic displacement, such as described in U.S. 4,248,962 and U.S. 4,861,701.
- In the case of such couplers that release a PUG by means of a timing group, reaction of the coupler with oxidized color developing agent cleaves the bond between the coupler and the coupling-off group. Then the bond between the PUG and the remainder of the coupling-off group is cleaved. Bond cleavage between the PUG and the remainder of the coupling-off group preferably does not involve the action of oxidized color developing agent. The cleavage of the bond between the PUG and the remainder of the coupling-off group can involve any reaction known in the photographic art for cleavage of such groups, for example an intramolecular nucleophilic displacement reaction or other elimination reaction.
- Any ballast group known in the photographic art can be useful on the coupling-off group. The ballast group (BALL) herein means an organic group of such size and configuration as to confer on the coupler molecule sufficient bulk to render the coupler substantially non-diffusible from the layer in which it is coated in a photographic element prior to exposure and processing. Representative ballast groups include substituted or unsubstituted alkyl or aryl groups containing, for example, 8 to 40 carbon atoms. Other useful ballast groups include sulfonamido groups containing 8 to 40 carbon atoms, carbonamido, carbamoyl, sulfamoyl, ester, sulfone, ether, thioether and amino groups.
- A typical timing group T is a group that enables release of a PUG by means of intramolecular nucleophilic displacement, such as described in U.S. Patents 4,861,701; 4,857,440; 4,847,185 and 4,248,962.
-
- In the above structures, R₄, R₅, R₆, R6a, R₇, R₈, R₉, R₁₀, R₁₁, R₁₂, R₁₃, R₁₄, R₁₅, R₁₆, R₁₇, R₁₈, R₁₉, R₂₀, R₂₁, R₂₂, R₂₃ and R₂₄ individually are hydrogen or substituents that do not adversely affect the desired properties of the naphtholic coupler or dye formed, such as unsubstituted or substituted alkyl, for example, methyl, ethyl, propyl, n-butyl, t-butyl and eicosyl, or unsubstituted or substituted aryl, such as phenyl, or substituted phenyl, and PUG is a releasable photographically useful group. At least one of the described groups on the coupling-off group is a ballast group.
- As used herein the term "naphtholic coupler" refers to the entire compound including the coupler moiety and the coupling-off group. The term "naphtholic coupler moiety" herein refers to that portion of the coupler other than the coupling-off group.
- The PUG can be any group that is typically made available in a photographic element in an imagewise fashion. The PUG can be a photographic reagent or a photographic dye. A photographic reagent herein is a moiety that upon release further reacts with components in the photographic element, such as a development inhibitor, a development accelerator, a bleach inhibitor, a bleach accelerator, a coupler (for example, a competing coupler, a dye-forming coupler, or a development inhibitor releasing coupler (DIR coupler)), a dye precursor, a dye, a developing agent (for example, a competing developing agent, a dye-forming developing agent, or a silver halide developing agent), a silver complexing agent, a fixing agent, an image toner, a stabilizer, a hardener, a tanning agent, a fogging agent, an ultraviolet radiation absorber, an antifoggant, a nucleator, a chemical or spectral sensitizer or a desensitizer.
- The PUG can be present in the coupling-off group as a preformed species or it can be present in a blocked form or as a precursor. The PUG can be for example a preformed development inhibitor or the development inhibiting function can be blocked by being the point of attachment to the carbonyl group bonded to PUG in the coupling-off group. Other examples are a preformed dye, a dye that is blocked to shift its absorption, and a leuco dye.
- A preferred naphtholic coupler as described is a photographic coupler containing a naphtholic coupler moiety and a PUG containing a hetero atom from VIb or Vb of the Periodic Table having a negative valence of 2 or 3 bonded to a carbonyl group of the coupling-off group.
- Any couplers known to be useful in the photographic art can be used with the described naphtholic couplers and in various locations known in the art in a photographic element. There follows a listing of patents and publications that describe representative couplers that can be useful in combination with the described naphtholic couplers:
I. COUP's - A. Couplers which form cyan dyes upon reaction with oxidized color developing agents are described in such representative patents and publications as: U.S. Pat. Nos. 2,772,162; 2,895,826; 3,002,836; 3,034,892; 2,474,293; 2,423,730; 2,367,531; 3,041,236; 4,333,999 and "Farbkuppler-eine Literaturübersicht," published in Agfa Mitteilungen, Band III, pp. 156-175 (1961).
- Preferably such couplers are phenols and naphthols that form cyan dyes on reaction with oxidized color developing agents.
- B. Couplers which form magenta dyes upon reaction with oxidized color developing agent are described in such representative patents and publications as: U.S. Pat. Nos. 2,600,788; 2,369,489; 2,343,703; 2,311,082; 3,152,896; 3,519,429; 3,062,653; 2,908,573 and "Farbkuppler-eine Literaturübersicht," published in Agfa Mitteilungen,Band III, pp. 126-156 (1961).
- Preferably such couplers are pyrazolones and pyrazolotriazoles that form magenta dyes upon reaction with oxidized color developing agents.
- C. Couplers which form yellow dyes upon reaction with oxidized and color developing agent are described in such representative patents and publications as: U.S. Pat. Nos. 2,875,057; 2,407,210; 3,265,506; 2,298,443; 3,048,194; 3,447,928 and "Farbkuppler-eine Literaturübersicht," published in Agfa Mitteilungen, Band III, pp. 112-126 (1961).
- Preferably such couplers are acylacetamides, such as benzoylacetanilides and pivaloylacetanilides that form yellow dyes upon reaction with oxidized color developing agents.
- D. Couplers which form colorless products upon reaction with oxidized color developing agent are described in such representative patents as: U.K. Patent No. 861,138; U.S. Pat. Nos. 3,632,345; 3,928,041; 3,958,993 and 3,961,959. Preferably such couplers are cyclic carbonyl containing compounds which form colorless products on reaction with oxidized color developing agent.
- Any releasable PUG known in the photographic art is useful in the coupling-off group as described. Examples of useful PUG's are as follows:
PUG's - A. PUG's which form development inhibitors upon release are described in such representative patents as U.S. Pat. Nos. 3,227,554; 3,384,657; 3,615,506; 3,617,291; 3,733,201; 4,861,701 and U.K. Pat. No. 1,450,479. Preferred development inhibitors are iodide and heterocyclic compounds such as mercaptotetrazoles, selenotetrazoles, mercaptobenzothiazoles, selenobenzothiazoles, mercaptobenzoxazoles, selenobenzoxazoles, mercaptobenzimidazoles, selenobenzimidazoles, oxadiazoles, benzotriazoles and benzodiazoles. Structures of preferred development inhibitor moieties are:
where R₂₉ is unsubstituted or substituted alkyl, such as butyl, 1-ethylpentyl, and 2-ethoxyethyl, or alkylthio, such as butylthio and octylthio;
R₂₅ and R₂₆ individually are hydrogen, alkyl of 1 to 8 carbon atoms such as methyl, ethyl, or butyl, phenyl or substituted phenyl; and R₂₇ and R₂₈ individually are hydrogen or one or more halogen such as chloro, fluoro or bromo; alkyl of 1 to 4 carbon atoms, carboxyl, esters, such as -COOCH₃, or other substituents such as -NHCOOCH₃, -SO₂OCH₃, -OCH₂CH₂SO₂CH₃, or nitro groups. - B. PUG's which are, or form, dyes upon release:
Suitable dyes and dye precursors include azo, azomethine, azopyrazolone, indoaniline, indophenol, anthraquinone, triarylmethane, alizarin, nitro, quinoline, indigoid and phthalocyanine dyes or precursors of such dyes such as leuco dyes, tetrazolium salts or shifted dyes. These dyes can be metal complexed or metal complexable. Representative patents describing such dyes are U.S. Pat. Nos. 3,880,658; 3,931,144; 3,932,380; 3,932,381 and 3,942,987. Preferred dyes and dye precursors are azo, azomethine and indoaniline dyes and dye precursors. Structures of some preferred dyes and dye precursors are: - C. PUG's which are couplers:
Couplers released can be nondiffusible color-forming couplers, non-color forming couplers or diffusible competing couplers. Representative patents and publications describing competing couplers are: "On the Chemistry of White Couplers," by W. Püschel, Agfa-Gevaert AG Mitteilungen and der Forschungs-Laboratorium der Agfa-Gevaert AG, Springer Verlag, 1954, pp. 352-367; U.S. Pat. Nos. 2,998,314; 2,808,329; 2,689,793; 2,742,832; German Pat. No. 1,168,769 and British Pat. No. 907,274. Structures of preferred competing couplers are: where R₃₂ is hydrogen or alkylcarbonyl, such as acetyl, and R₃₃ and R₃₄ are individually hydrogen or a solubilizing group, such as sulfo, aminosulfonyl, and carboxy where R₃₅, which is the same as R₃₄ as defined above, and R₃₆ is halogen, aryloxy, arylthio, or a development inhibitor, such as a mercaptotetrazole, such as phenylmercaptotetrazole or ethylmercaptotetrazole. - D. PUG's which form developing agents:
Developing agents released can be color developing agents, black-and-white developing agents or cross-oxidizing developing agents. They include aminophenols, phenylene diamines, hydroquinones and pyrazolidones. Representative patents are: U.S. Pat. Nos. 2,193,015; 2,108,243; 2,592,364; 3,656,950; 3,658,525; 2,751,297; 2,289,367; 2,772,282; 2,743,279; 2,753,256 and 2,304,953. - Structures of preferred developing agents are:
where R₃₇ is hydrogen or alkyl of 1 to 4 carbon atoms and R₃₈ is hydrogen or one or more halogen such as chloro or bromo; or alkyl of 1 to 4 carbon atoms such as methyl, ethyl or butyl groups. where R₃₈ is as defined above. where R₃₉ is hydrogen or alkyl of 1 to 4 carbon atoms and R₄₀, R₄₁, R₄₂, R₄₃ and R₄₄ are individually hydrogen, alkyl of 1 to 4 carbon atoms such as methyl or ethyl; hydroxyalkyl of 1 to 4 carbon atoms such as hydroxymethyl or hydroxyethyl or sulfoalkyl containing 1 to 4 carbon atoms. -
- F. PUG's which are bleach accelerators:
-SCH₂CH₂COOH IIIF-5
wherein R₄₆ is hydrogen, alkyl, such as ethyl and butyl, alkoxy, such as ethoxy and butoxy, or alkylthio, such as ethylthio and butylthio, for example containing 1 to 6 carbon atoms, and which may be unsubstituted or substituted; R₄₇ is hydrogen, alkyl or aryl, such as phenyl; R₄₈ and R₄₉ are individually alkyl, such as alkyl containing 1 to 6 carbon atoms, for example ethyl and butyl; z is 1 to 6. - The image dye-forming couplers can be incorporated in photographic elements and/or in photographic processing solutions, such as developer solutions, so that upon development of an exposed photographic element they will be in reactive association with oxidized color developing agent. Coupler compounds incorporated in photographic processing solutions should be of such molecular size and configuration that they will diffuse through photographic layers with the processing solution. When incorporated in a photographic element, as a general rule, the coupler compounds should be nondiffusible, that is they should be of such molecular size and configuration that they will not significantly diffuse or wander from the layer in which they are coated.
- Photographic elements of this invention can be processed by conventional techniques in which color forming couplers and color developing agents are incorporated in separate processing solutions or compositions or in the element.
- Photographic elements in which the compounds of this invention are incorporated can be a simple element comprising a support and a single silver halide emulsion layer or they can be multilayer, multicolor elements. The compounds of this invention can be incorporated in at least one of the silver halide emulsion layers and/or in at least one other layer, such as an adjacent layer, where they will come into reactive association with oxidized color developing agent which has developed silver halide in the emulsion layer. The silver halide emulsion layer can contain or have associated with it, other photographic coupler compounds, such as dye-forming couplers, colored masking couplers, and/or competing couplers. These other photographic couplers can form dyes of the same or different color and hue as the photographic couplers of this invention. Additionally, the silver halide emulsion layers and other layers of the photographic element can contain addenda conventionally contained in such layers.
- A typical multilayer, multicolor photographic element can comprise a support having thereon a red-sensitive silver halide emulsion unit having associated therewith a cyan dye image-providing material, a green-sensitive silver halide emulsion unit having associated therewith a magenta dye image-providing material and a blue-sensitive silver halide emulsion unit having associated therewith a yellow dye image-providing material, at least one of the silver halide emulsion units having associated therewith a photographic coupler of the invention. Each silver halide emulsion unit can be composed of one or more layers and the various units and layers can be arranged in different locations with respect to one another.
- The couplers of this invention can be incorporated in or associated with one or more layers or units of the photographic element. For example, a layer or unit affected by PUG can be controlled by incorporating in appropriate locations in the element a scavenger layer which will confine the action of PUG to the desired layer or unit. At least one of the layers of the photographic element can be, for example, a mordant layer or a barrier layer.
- The light sensitive silver halide emulsions can include coarse, regular or fine grain silver halide crystals or mixtures thereof and can be comprised of such silver halides as silver chloride, silver bromide, silver bromoiodide, silver chlorobromide, silver chloroiodide, silver chlorobromoiodide and mixtures thereof. The emulsions can be negative-working or direct-positive emulsions. They can form latent images predominantly on the surface of the silver halide grains or predominantly on the interior of the silver halide grains. They can be chemically and spectrally sensitized. The emulsions typically will be gelatin emulsions although other hydrophilic colloids are useful. Tabular grain light sensitive silver halides are particularly useful such as described in Research Disclosure, January 1983, Item No. 22534 and U.S. Patent 4,434,226.
- The support can be any support used with photographic elements. Typical supports include cellulose nitrate film, cellulose acetate film, polyvinylacetal film, polyethylene terephthalate film, polycarbonate film and related films or resinous materials as well as glass, paper, metal and the like. Typically, a flexible support is employed, such as a polymeric film or paper support. Paper supports can be acetylated or coated with baryta and/or an α-olefin polymer, particularly a polymer of an α-olefin containing 2 to 10 carbon atoms such as polyethylene, polypropylene, ethylene-butene copolymers and the like.
- It is preferred that the coupling-off group contain a releasable PUG. Depending upon the nature of the particular PUG, the couplers can be incorporated in a photographic element for different purposes and in different locations.
- In the following discussion of suitable materials for use in the emulsions and elements of this invention, reference will be made to Research Disclosure. December 1978, Item 17643, published by Industrial Opportunities Ltd., Homewell Havant, Hampshire, PO9 1EF, U.K. This publication will be identified hereafter by the term "Research Disclosure".
- The photographic elements can be coated on a variety of supports as described in Research Disclosure Section XVII and the references described therein.
- Photographic elements can be exposed to actinic radiation, typically in the visible region of the spectrum, to form a latent image as described in Research Disclosure Section XVIII and then processed to form a visible dye image as described in Research Disclosure Section XIX. Processing to form a visible dye image includes the step of contacting the element with a color developing agent to reduce developable silver halide and oxidize the color developing agent. Oxidized color developing agent in turn reacts with the coupler to yield a dye.
- Preferred color developing agents useful in the invention are p-phenylene diamines. Especially preferred are 4-amino-N,N-diethylaniline hydrochloride; 4-amino-3-methyl-N,N-diethylaniline hydrochloride; 4-amino-3-methyl-N-ethyl-N-β-(methanesulfonamido)ethylaniline sulfate hydrate; 4-amino-3-methyl-N-ethyl-N-β-hydroxyethylaniline sulfate; 4-amino-3-β-(methanesulfonamido)-ethyl-N,N-diethylaniline hydrochloride; and 4-amino-N-ethyl-N-(2-methoxyethyl)-m-toluidine di-p-toluenesulfonic acid.
- With negative working silver halide the processing step described above gives a negative image. To obtain a positive (or reversal) image, this step can be preceded by development with a non-chromogenic developing agent to develop exposed silver halide, but not form a dye, and then uniformly fogging the element to render unexposed silver halide developable. Alternatively, a direct positive emulsion can be employed to obtain a positive image.
- Development is followed by the conventional steps of bleaching, fixing, or bleach-fixing, to remove silver and silver halide, washing and drying.
- Naphtholic couplers as described can be prepared by reactions and methods known in the organic compound synthesis art. Similar reactions and methods are described in U.S. Patent 4,482,629. Typically, the naphtholic coupler is prepared by the following method:
-
- Phenyl-1,4-dihydroxy-2-naphthoate (100.0 g, 356.78 mmol) was dissolved in deoxygenated tetrahydrofuran (500 mL) and deoxygenated methanol (500 mL) added. To this solution, stirred at room temperature under the nitrogen atmosphere, was added ammonium acetate (50.0 g, 648.63 mmol) followed by concentrated ammonium hydroxide (1.0 L). After stirring for 3 hours the reaction was then poured into ice cold 2N-HCl (4.0 L) and enough concentrated HCl added to bring the pH to 1. The resulting product, compound (A2) was filtered off, washed well with water and air dried. The crude product was washed with dichloromethane and air dried. Yield 62.0 g (72%).
- Compound (A2) (50.0 g, 0.246 mol) was dissolved in dry pyridine (150 mL) and acetonitrile (75 mL) added. The solution was stirred and cooled to -5 to 0°C. Ethyl chloroformate (50 mL, 0.523 mol) was then added dropwise with stirring while maintaining the temperature at 0°C. After the addition, the cooling bath was removed and the temperature allowed to reach room temperature. The reaction mixture was then gradually heated to reflux and the solvent allowed to distill off. This procedure was continued until the temperature had risen to approximately 120°C and 150 mL of solvent had been collected. Heating under reflux was continued for an additional 1 hour period. The reaction mixture was then cooled to approximately 50°C and poured into 2N-HCl, (3.0 L) held at room temperature. This suspension was then stirred for approximately 15 minutes, filtered and the residue washed well with water, acetonitrile and finally ether. This gave the product, compound (A3) sufficiently pure for the next step. Yield 43.5 g (77%).
- Compound (A3) (23.0 g, 100.35 mmol) was taken up in deoxygenated dimethylsulphoxide (250 mL) and deoxygenated water (25 mL) added. To this solution, stirred at room temperature under nitrogen, was added 85%-potassium hydroxide (9.9 g, 150.53 mmol) and stirring continued until dissolution, approximately 15 minutes. 4-Chloro-3-nitrobenzaldehyde (18.62 mmol) was then added all at once and the resulting solution stirred at 60°C for 1 hour. The reaction mixture was then poured into ice cold 2N-HCl (2.0 L) and filtered off. The product, compound (A4), was washed with water and, while still wet, slurried in methanol, filtered and washed with ether. This product was pure enough to be used in the next step. Yield 28.0 g (74%).
- Compound (A4) (28.0 g, 74.01 mmol), in a powdered form, was suspended in tetrahydrofuran (150 mL) and methanol (100 mL). Water (100 mL) was added followed by sodium borohydride (2.8 g, 74.01 mmol) in small portions. More tetrahydrofuran (50 mL) was added to aid stirring. At the end of the sodium borohydride addition complete dissolution had been achieved. The reaction was allowed to proceed for a further 15 minutes, then poured into ice cold 2N-HCl (2.0 L) and the product filtered off. The product compound (A5) was washed with methanol and while still wet with solvent, suspended in ethanol and heated to reflux. The solution was cooled, filtered, washed with methanol, ether and finally air dried. A second crop of material was obtained on concentrating the mother liquor. Total yield 19.5 g (67%).
- Compound (A5) (19.0 g, 50 mmol) was suspended in water (200 mL) containing 85%-potassium hydroxide (26.34 g, 400 mmol). To this mixture was added methanol (50 mL) and then heated to 80°C for 1 hour. The resulting dark yellow-brown solution was cooled and poured into ice cold 2N-HCl (2.0 L). The yellow product was filtered off, washed well with water and air dried. Yield 17.7 g (100%).
- Compound (A6) (17.7 g, 70 mmol) was dissolved in tetrahydrofuran (80 mL) and methanol (300 mL) added. Raney-Nickel which had been washed several times with water and then methanol was added and the solution hydrogenated at 55psi for 2 hours after which hydrogen up-take had ceased. The catalyst was filtered off, washed with methanol and the filtrate concentrated under reduced pressure to give the product, compound (A7). This product was deemed sufficiently pure to be carried on to the next step. Yield 100%.
- Compound (A7) (50.0 mmol) was dissolved in dry pyridine (150 mL) and hexadecylsulfonyl chloride (16.2 g, 50.0 mmol) added. The solution was stirred at room temperature under a nitrogen atmosphere for 30 minutes. The pyridine was concentrated under reduced pressure and the residue taken up in ethyl acetate. This ethyl acetate solution was then washed with 2N-HCl (X3), dried (MgSO₄), filtered and concentrated. The solvent was removed under reduced pressure and the residual oil crystallized from acetonitrile. After filtering, washing with acetonitrile and drying, the yield of product compound (A8) amounted to 16.3 g (53% calculated from compound (A5)).
- Compound (A8) (16.3 g, 26.6 mmol) was dissolved in tetrahydrofuran (150 mL) to which was added pyridine (3.2 mL, 39.90 mmol) followed by chloroacetic anhydride (6.82 g, 39.89 mmol) in tetrahydrofuran (30 mL) at a reasonably rapid rate. After stirring at room temperature for 30 minutes the solvent was removed under reduced pressure and the residue dissolved in ethyl acetate. The ethyl acetate solution was then washed with 2N-HCl (X2), dried (MgSO₄) and concentrated under reduced pressure. The residue crystallized from acetonitrile to give compound (A9) 12.2 g (66%).
- Compound (A9) (12.2 g, 17.7 mmol) was dissolved in dimethylformamide (150 mL) To which was added potassium iodide (4.4 g, 25.55 mmol) and aniline (8.2 mL, 88.5 mmol) and the reaction mixture heated to 60°C for 1.5 hours. The reaction was poured into 2N-HCl and extracted with ethyl acetate (X2). The combined ethyl acetate extracts were washed with 2N-HCl (X3), dried (MgSO₄), filtered and then concentrated. This residue was used as such in the next step of the reaction sequence but it could be crystallized from acetonitrile. Yield assumed to be 100%.
- Compound (A10) (83.0 g, 111.26 mmol) was dissolved in tetrahydrofuran (800 mL) and the solution stirred at room temperature. N,N-4-diethylaniline (17.7 mL, 111.26 mmol) was added followed by a solution of 12% phosgene in toluene (275 mL, 333.78 mmol). The reaction mixture was stirred at room temperature for 15 minutes, concentrated under reduced pressure and the residue used as such in the next step. The yield of the product, compound (A11), was assumed to be 100%.
- Compound (A11) as described above (111.26 mmol) was dissolved in dry pyridine (800 mL) and PMT (19.83 g, 111.26 mmol) added to the reaction solution. The mixture was stirred at room temperature for 1 hour. It was then concentrated under reduced pressure and the residue taken up in ethyl acetate. The ethyl acetate was washed with 2N-HCl (X3), dried (MgSO₄), filtered and concentrated to an oil. The oil was taken up in a mixture of ethyl acetate, dichloromethane, heptane and acetonitrile in the ratio of 20:20:56.4, respectively and subjected to flash chromatography eluting with the same solvent system to elute impurities from the column and then changed to a ratio of 27:50:20.4 to elute the product, compound (A12). The product could be recrystallized from acetonitrile. Yield 61.0 g (58%).
Calculated for C₅₀H₅₉N₇O₈S₂:
%C=63.20, %H=6.26, %N=10.32, %S=6.75
Found: %C=63.14, %H=6.29, %N=10.23, %S=6.62 - Compound (A8) (4.0 g, 6.53 mmol) was suspended in dry ether (30 mL) and phosphorous tribromide (0.68 mL, 7.18 mmol) in ether (20 mL) added dropwise over a 15 minute period. After the addition the reaction was diluted with ether and the ether solution washed with 2N-HCl (X1), dried (MgSO₄), filtered and concentrated to give compound (A13). The yield was 100%.
- Compound (A13) (6.53 mmol) was dissolved in dimethylformamide (40 mL) to which was added PMT (1.51 g, 7.54 mmol) and the resulting solution stirred at room temperature for 1 hour. The compound (A14) was isolated by pouring the reaction mixture into 2N-HCl and extracted with ethyl acetate (X2). The combined ethyl acetate extracts were then washed with 2N-HCl (X3), dried (MgSO₄), filtered and concentrated. The residue was taken up in a mixture of ethyl acetate, heptane and dichloromethane in the ratio of 15:30:5, respectively and subjected to flash chromatography eluting with the same solvent mixture. The first major band was collected to give the product. Yield 4.0 g (79%).
Calculated for C₄₁H₅₂N₆O₅S₂:
%C=63.70, %H=6.78, %N=10.87, %S=8.30
Found: %C=63.40, %H=6.80, %N=10.76, %S=8.14 PMT herein means phenylmercaptotetrazole. - Compound (A3) (3.4 g, 14.83 mmol) was dissolved in deoxygenated dimethylsulphoxide (100 mL) and stirred at room temperature under a nitrogen atmosphere. To this solution was added 85%-potassium hydroxide (1.71 g, 25.95 mmol) followed by deoxygenated water (10 mL). The reaction mixture was stirred at room temperature for 15 minutes and then the benzophenone (B15) (7.0 g, 14.83 mmol) was added as a solid in a single batch. The dark colored solution was then heated to 60°C and stirring continued for 2.5 hours. While still at 60°C the warm solution was poured into ice cold 2N-HCl (600 mL). The yellow product was filtered off, washed with water, methanol and air dried. Yield of compound (B16) 8.8 g (89%).
- Compound (B16) (8.8 g, 13.24 mmol) was dissolved in tetrahydrofuran (40 mL) to which was added methanol (20 mL) and water (20 mL). Sodium borohydride (0.5 g, 13.24 mmol) was added to the suspension portionwise with stirring. At the end of the addition dissolution was complete and the solution stirred continually for a further 15 minutes. The reaction solution was then poured into ice cold 2N-HCl (600 mL) and the product compound (B17) filtered off, washed with water, methanol and air dried. Yield 7.9 g (89%).
- Compound (B17) (10.0 g, 15.0 mmol) was suspended in water (70 mL) and 85%-potassium hydroxide (7.90 g, 120.0 mmol) added together with methanol (20 mL). This mixture was stirred at 80°C for 1 hour, cooled and poured into ice cold 2N-HCl and the mixture extracted with ethyl acetate (X2). The combined ethyl acetate extracts were then dried, (MgSO₄), filtered and concentrated. The residue compound (B18) was used as such in the next step of the reaction sequence. Yield (100%).
- Compound (B18) (15 mmol) was dissolved in ether (70 mL) and phosphorous tribromide (1.6 mL, 16.5 mmol) in ether (15 mL) added dropwise over a period of 15 minutes. At the end of the addition the reaction solution was stirred at room temperature for a further 15 minutes. The solution was then diluted with ether, washed with 2N-HCl (X3), dried (MgSO₄), filtered and concentrated under reduced pressure. This gave compound (B19), sufficiently pure to be used in the next step. Yield 100%.
- Compound (B19) (15.0 mmol) was dissolved in dimethylformamide (50 mL) and treated with sodium PMT (3.55 g, 17.73 mmol) while stirring at room temperature for a 1 hour period. The reaction solution was then diluted with ethyl acetate and washed with 2N-HCl (X4). The organic layer was then dried (MgSO₄), filtered and concentrated under reduced pressure. The oil was dissolved in 25% ethyl acetate in heptane and subjected to flash chromatography eluting with the same solvent mixture. The first major band was collected to give the product compound (B20). Yield 5.0 g [42% from compound (B17)].
Calculated for C₄₆H₅₂N₆O₅S :
%C=68.98, %H=6.54, %N=10.49, %S=4.00
Found: %C=69.07, %H=6.44, %N=10.31, %S=4.12 -
- The following examples further illustrate the invention.
- Photographic elements were prepared by coating the following layers on a cellulose ester film support (amounts of each component are indicated in mg/m):
- Emulsion layer 1:
- Gelatin -2420; red sensitized silver bromoiodide (as Ag) - 1615; yellow image coupler dispersed in dibutyl phthalate (RECEIVER LAYER)
- Interlayer:
- Gelatin - 860; didodecylhydroquinone - 113
- Emulsion layer 2:
- Gelatin - 2690; green sensitized silver bromoiodide (as Ag) - 1615; magenta image coupler dispersed in tritolyl phosphate; DIR compound of Table 1 dispersed in N,N-diethyl-dodecanamide and coated at a level sufficient to provide a contrast of 0.5 (half) of the original contrast after stepwise green light exposure and processing.(CAUSER LAYER)
- Protective Overcoat
- Gelatin - 5380; bisvinylsulfonylmethyl ether at 2% total gelatin.
- Structures of the image couplers are as follows:
-
-
-
- Processed images were read with green light to determine the contrast and AMT acutance. From plots of AMT acutance vs. the logarithm of the contrast for variations in the coated level of each development inhibitor releasing (DIR) compound, the acutance was determined at a contrast of 0.5 compared to its original contrast without the presence of the DIR compound. The acutance for the control DIR coupler was subtracted from each AMT value to provide the relative sharpness value reported as change in AMT in Table I. AMT calculations employed the following formula in which the cascaded area under the system modulation curve is shown in equation (21.104) on page 629 of the "Theory of the Photographic Process", 4th Edition, 1977, edited by T.H. James: AMT = 100+66Log[cascaded area/2.6696M] wherein th magnification factor M is 3.8 for the 35mm system AMT. The use of CMT acutance is described by R.G. Gendron in "An Improved Objective Method of Rating Picture Sharpness: CMT acutance" in the Journal of SMPTE, Vol. 82, pages 1009-12, (1973). AMT is a further modification of CMT useful for evaluating systems which include the viewing of a positive print made from a negative.
TABLE I Gamma Causer Example No./Coupler No. Change in AMT Gamma Receiver Cntrl Cplr 0 1.0 1 1.2 2.1 2 0 1.7 3 2.6 2.5 -
-
-
-
- Compared to the control coupler the couplers of Examples 1 - 3 provide improved acutance and interimage effects.
- A photographic film was prepared, exposed and processed like the film in Examples 1 - 3. The processed images were read with green light to determine the contrast. From plots of the logarithm of the contrast compared to the coated level of each DIR coupler, the reactivity was determined as the amount of DIR coupler in micromoles per square meter to reduce the contrast (gamma) to half (0.5) compared to its original contrast without the presence of the DIR coupler. The smaller the amount of the DIR compound required, the higher was the reactivity of the DIR coupler. Coupler 3 was as described in Example 3. The results are given in following Table II:
TABLE II Example No. Coupler No. Amount of DIR Coupler to Reduce Gamma in Half (Micromoles Per Square Meter) 4 3 108 C (Comparison) C 157 D (Comparison) D 151 -
-
Claims (8)
- A photographic silver halide material comprising a support bearing at least one photographic silver halide emulsion layer and in or adjacent the emulsion layer an immobile naphtholic coupler capable upon oxidative coupling of forming a dye that is capable of being washed out of the photographic element upon photographic processing, wherein the immobile naphtholic coupler comprises a ballast-free naphtholic coupler moiety comprising a -CONH₂ group in the 2- position and a ballasted coupling-off group in the 4- position.
- A photographic material as claimed in claim 1 wherein the coupling-off group is represented by the formula:
whereinTIME is a releasable timing group capable of being released from the LINK moiety during photographic processing of the element;LINK is a linking group capable of being released from the naphtholic coupler moiety upon oxidative coupling of the naphtholic coupler;n and m individually are 0, 1, or 2;PUG is a releasable photographically useful group; andat least one of n and m is 1 or 2. - A photographic material as claimed in claim 1 wherein the naphtholic coupler is represented by the formula:
whereinX represents the atoms completing a 5-, 6- or 7-member ring, such as an aryl or heterocyclic group;BALL is a ballast group;T is a releasable timing group;R₂ and R₃ individually are hydrogen,
unsubstituted or substituted alkyl or aryl;q is 0, 1 or 2; andPUG is a releasable photographically useful group. - A photographic material as claimed in claim 1 wherein the ballasted coupling-off group comprises a releasable photographically useful group that is a releasable development inhibitor, developing agent, development accelerator, bleacher inhibitor, bleach accelerator, dye, dye precursor, stabilizer, coupler, nucleator, fixing agent, image toner, hardener, antifoggant, or ultraviolet radiation absorber, directly or indirectly bonded to the coupling position of the naphtholic coupler moiety.
- A process of forming a photographic image in an exposed photographic material as defined in any of claims 1 - 6, which process comprises developing the exposed photographic silver halide material with a color developing.
- A photographic naphtholic coupler as defined in any of claims 1 - 6.
Applications Claiming Priority (2)
| Application Number | Priority Date | Filing Date | Title |
|---|---|---|---|
| US48360190A | 1990-02-22 | 1990-02-22 | |
| US483601 | 1990-02-22 |
Publications (3)
| Publication Number | Publication Date |
|---|---|
| EP0443530A2 EP0443530A2 (en) | 1991-08-28 |
| EP0443530A3 EP0443530A3 (en) | 1992-02-05 |
| EP0443530B1 true EP0443530B1 (en) | 1996-04-10 |
Family
ID=23920737
Family Applications (1)
| Application Number | Title | Priority Date | Filing Date |
|---|---|---|---|
| EP19910102367 Expired - Lifetime EP0443530B1 (en) | 1990-02-22 | 1991-02-19 | Photographic material and process comprising wash-out naphtholic coupler |
Country Status (4)
| Country | Link |
|---|---|
| EP (1) | EP0443530B1 (en) |
| JP (1) | JPH04356042A (en) |
| CA (1) | CA2036041A1 (en) |
| DE (1) | DE69118569T2 (en) |
Families Citing this family (18)
| Publication number | Priority date | Publication date | Assignee | Title |
|---|---|---|---|---|
| US5021322A (en) * | 1990-02-22 | 1991-06-04 | Eastman Kodak Company | Photographic element comprising a development inhibitor releasing compound having a linking group between the carrier and the inhibitor |
| US5234800A (en) * | 1990-02-22 | 1993-08-10 | Eastman Kodak Company | Photographic material and process comprising wash-out naphtholic coupler |
| JPH05188540A (en) * | 1991-06-28 | 1993-07-30 | Eastman Kodak Co | Manufacture of photograph coupler |
| US5250399A (en) * | 1991-06-28 | 1993-10-05 | Eastman Kodak Company | Photographic material and process comprising a universal coupler |
| US5250398A (en) * | 1991-06-28 | 1993-10-05 | Eastman Kodak Company | Photographic silver halide material and process comprising water-solubilized naphtholic coupler |
| US5264582A (en) * | 1991-07-01 | 1993-11-23 | Eastman Kodak Company | Method of forming a photographic coupler capable of forming a wash-out dye |
| US5630927A (en) * | 1992-04-13 | 1997-05-20 | Fuji Photo Film Co., Ltd. | Silver halide color light-sensitive material |
| US5288593A (en) * | 1992-06-24 | 1994-02-22 | Eastman Kodak Company | Photographic material and process comprising a coupler capable of forming a wash-out dye (Q/Q) |
| US5279929A (en) * | 1992-06-24 | 1994-01-18 | Eastman Kodak Company | Photographic material and process comprising a coupler capable of forming a wash-out dye (C/C) |
| EP0576089A3 (en) * | 1992-06-24 | 1995-02-08 | Eastman Kodak Co | Photographic material and process comprising a coupler capable of forming a wash-out dye. |
| EP0576087A1 (en) * | 1992-06-24 | 1993-12-29 | Eastman Kodak Company | Photographic material and process comprising a coupler capable of forming a wash-out dye (Q/C) |
| EP0577191B1 (en) * | 1992-06-29 | 1997-05-21 | Eastman Kodak Company | Photographic element and process comprising a bleach accelerator releasing compound and methods of making such compound |
| US5300406A (en) * | 1992-06-29 | 1994-04-05 | Eastman Kodak Company | Photographic element comprising a combination of a development inhibiting releasing coupler and a bleach accelerator releasing compound |
| US5318879A (en) * | 1992-06-29 | 1994-06-07 | Eastman Kodak Company | Photographic element comprising a bleach accelerator releasing compound |
| EP0577192B1 (en) * | 1992-06-29 | 2000-08-09 | Eastman Kodak Company | Photographic element comprising a dir coupler and a barc coupler containing an acid solubilizing group |
| JPH0659410A (en) * | 1992-08-12 | 1994-03-04 | Fuji Photo Film Co Ltd | Silver halide color photographic sensitive material |
| JPH08137065A (en) * | 1994-11-14 | 1996-05-31 | Fuji Photo Film Co Ltd | Silver halide color photographic material |
| US5932407A (en) * | 1997-04-30 | 1999-08-03 | Eastman Kodak Company | Color photographic element containing oxidized developer-scavenging naphtholic coupler forming wash-out dye |
Family Cites Families (4)
| Publication number | Priority date | Publication date | Assignee | Title |
|---|---|---|---|---|
| US4248962A (en) * | 1977-12-23 | 1981-02-03 | Eastman Kodak Company | Photographic emulsions, elements and processes utilizing release compounds |
| JPS58162949A (en) * | 1982-03-20 | 1983-09-27 | Konishiroku Photo Ind Co Ltd | Color photographic sensitive silver halide material |
| US4861701A (en) * | 1987-10-05 | 1989-08-29 | Eastman Kodak Company | Photographic element and process comprising a compound which comprises two timing groups in sequence |
| DE3823049A1 (en) * | 1988-07-07 | 1989-03-09 | Agfa Gevaert Ag | Colour-photographic recording material |
-
1991
- 1991-02-08 CA CA 2036041 patent/CA2036041A1/en not_active Abandoned
- 1991-02-19 EP EP19910102367 patent/EP0443530B1/en not_active Expired - Lifetime
- 1991-02-19 DE DE1991618569 patent/DE69118569T2/en not_active Expired - Fee Related
- 1991-02-22 JP JP2884391A patent/JPH04356042A/en active Pending
Also Published As
| Publication number | Publication date |
|---|---|
| EP0443530A2 (en) | 1991-08-28 |
| DE69118569T2 (en) | 1996-11-21 |
| JPH04356042A (en) | 1992-12-09 |
| CA2036041A1 (en) | 1991-08-23 |
| DE69118569D1 (en) | 1996-05-15 |
| EP0443530A3 (en) | 1992-02-05 |
Similar Documents
| Publication | Publication Date | Title |
|---|---|---|
| US5151343A (en) | Photographic material and process comprising wash-out naphtholic coupler | |
| EP0394974B1 (en) | Photographic material and process | |
| EP0443530B1 (en) | Photographic material and process comprising wash-out naphtholic coupler | |
| EP0444501B1 (en) | Photographic material and process comprising a compound capable of forming a wash-out dye | |
| EP0349330B1 (en) | Photographic material and process (B) | |
| EP0349332B1 (en) | Photographic material and process | |
| US5234800A (en) | Photographic material and process comprising wash-out naphtholic coupler | |
| EP0576088B1 (en) | Photographic material and process comprising a coupler capable of forming a wash-out dye | |
| EP0403018B1 (en) | Photographic elements containing removable couplers | |
| US5283163A (en) | Photographic material and process employing a development inhibitor releasing compound containing a fluorinated carbon alpha to an amide group | |
| US5021322A (en) | Photographic element comprising a development inhibitor releasing compound having a linking group between the carrier and the inhibitor | |
| US5334490A (en) | Magenta development inhibitor releasing coupler | |
| US5264583A (en) | Photographic coupler and method of making the same | |
| EP0577182B1 (en) | Photographic material and process comprising a coupler capable of forming a wash-out dye | |
| US5352570A (en) | Method and photographic material and process comprising a benzotriazole compound | |
| US5250398A (en) | Photographic silver halide material and process comprising water-solubilized naphtholic coupler | |
| US5306607A (en) | Photographic material and process comprising a pyrazolotriazole moiety | |
| US5362880A (en) | Method of preparing a magenta development inhibitor releasing coupler | |
| US5264582A (en) | Method of forming a photographic coupler capable of forming a wash-out dye | |
| EP0576087A1 (en) | Photographic material and process comprising a coupler capable of forming a wash-out dye (Q/C) | |
| JPH0651467A (en) | Formation of photograph element, washing photograph coupler and photograph picture |
Legal Events
| Date | Code | Title | Description |
|---|---|---|---|
| PUAI | Public reference made under article 153(3) epc to a published international application that has entered the european phase |
Free format text: ORIGINAL CODE: 0009012 |
|
| AK | Designated contracting states |
Kind code of ref document: A2 Designated state(s): AT BE CH DE DK ES FR GB GR IT LI LU NL SE |
|
| PUAL | Search report despatched |
Free format text: ORIGINAL CODE: 0009013 |
|
| AK | Designated contracting states |
Kind code of ref document: A3 Designated state(s): AT BE CH DE DK ES FR GB GR IT LI LU NL SE |
|
| 17P | Request for examination filed |
Effective date: 19920720 |
|
| 17Q | First examination report despatched |
Effective date: 19950725 |
|
| RBV | Designated contracting states (corrected) |
Designated state(s): DE FR GB |
|
| GRAH | Despatch of communication of intention to grant a patent |
Free format text: ORIGINAL CODE: EPIDOS IGRA |
|
| GRAA | (expected) grant |
Free format text: ORIGINAL CODE: 0009210 |
|
| AK | Designated contracting states |
Kind code of ref document: B1 Designated state(s): DE FR GB |
|
| REF | Corresponds to: |
Ref document number: 69118569 Country of ref document: DE Date of ref document: 19960515 |
|
| ET | Fr: translation filed | ||
| PLBE | No opposition filed within time limit |
Free format text: ORIGINAL CODE: 0009261 |
|
| STAA | Information on the status of an ep patent application or granted ep patent |
Free format text: STATUS: NO OPPOSITION FILED WITHIN TIME LIMIT |
|
| 26N | No opposition filed | ||
| PGFP | Annual fee paid to national office [announced via postgrant information from national office to epo] |
Ref country code: FR Payment date: 20000207 Year of fee payment: 10 |
|
| PG25 | Lapsed in a contracting state [announced via postgrant information from national office to epo] |
Ref country code: FR Free format text: LAPSE BECAUSE OF NON-PAYMENT OF DUE FEES Effective date: 20011031 |
|
| REG | Reference to a national code |
Ref country code: FR Ref legal event code: ST |
|
| REG | Reference to a national code |
Ref country code: GB Ref legal event code: IF02 |
|
| PGFP | Annual fee paid to national office [announced via postgrant information from national office to epo] |
Ref country code: GB Payment date: 20030106 Year of fee payment: 13 |
|
| PG25 | Lapsed in a contracting state [announced via postgrant information from national office to epo] |
Ref country code: GB Free format text: LAPSE BECAUSE OF NON-PAYMENT OF DUE FEES Effective date: 20040219 |
|
| GBPC | Gb: european patent ceased through non-payment of renewal fee |
Effective date: 20040219 |
|
| PGFP | Annual fee paid to national office [announced via postgrant information from national office to epo] |
Ref country code: DE Payment date: 20050228 Year of fee payment: 15 |
|
| PG25 | Lapsed in a contracting state [announced via postgrant information from national office to epo] |
Ref country code: DE Free format text: LAPSE BECAUSE OF NON-PAYMENT OF DUE FEES Effective date: 20060901 |






























































