DE60021903T2 - USE OF COMPOSITIONS FOR TEXTILE CARE - Google Patents
USE OF COMPOSITIONS FOR TEXTILE CARE Download PDFInfo
- Publication number
- DE60021903T2 DE60021903T2 DE60021903T DE60021903T DE60021903T2 DE 60021903 T2 DE60021903 T2 DE 60021903T2 DE 60021903 T DE60021903 T DE 60021903T DE 60021903 T DE60021903 T DE 60021903T DE 60021903 T2 DE60021903 T2 DE 60021903T2
- Authority
- DE
- Germany
- Prior art keywords
- use according
- polymer
- tissue
- fabric
- polymeric material
- Prior art date
- Legal status (The legal status is an assumption and is not a legal conclusion. Google has not performed a legal analysis and makes no representation as to the accuracy of the status listed.)
- Expired - Lifetime
Links
- 239000000203 mixture Substances 0.000 title claims description 77
- 239000004753 textile Substances 0.000 title description 3
- 229920000642 polymer Polymers 0.000 claims description 53
- 239000000463 material Substances 0.000 claims description 48
- 239000004744 fabric Substances 0.000 claims description 40
- 150000001875 compounds Chemical class 0.000 claims description 39
- 238000005406 washing Methods 0.000 claims description 34
- 125000000217 alkyl group Chemical group 0.000 claims description 20
- 239000003599 detergent Substances 0.000 claims description 18
- XLYOFNOQVPJJNP-UHFFFAOYSA-N water Substances O XLYOFNOQVPJJNP-UHFFFAOYSA-N 0.000 claims description 13
- 125000002947 alkylene group Chemical group 0.000 claims description 10
- 125000003277 amino group Chemical group 0.000 claims description 9
- 239000003431 cross linking reagent Substances 0.000 claims description 9
- 125000005702 oxyalkylene group Chemical group 0.000 claims description 9
- 238000006243 chemical reaction Methods 0.000 claims description 7
- 230000003750 conditioning effect Effects 0.000 claims description 7
- 229920001296 polysiloxane Polymers 0.000 claims description 6
- 229920003043 Cellulose fiber Polymers 0.000 claims description 5
- 239000000969 carrier Substances 0.000 claims description 5
- 229920002678 cellulose Polymers 0.000 claims description 4
- 239000001913 cellulose Substances 0.000 claims description 4
- 239000004593 Epoxy Substances 0.000 claims description 3
- 239000000654 additive Substances 0.000 claims description 3
- 230000000996 additive effect Effects 0.000 claims description 3
- 125000002843 carboxylic acid group Chemical group 0.000 claims description 3
- 238000004132 cross linking Methods 0.000 claims description 3
- 239000002304 perfume Substances 0.000 claims description 3
- 125000002924 primary amino group Chemical group [H]N([H])* 0.000 claims description 3
- 239000007787 solid Substances 0.000 claims description 3
- 125000000732 arylene group Chemical group 0.000 claims description 2
- 125000003700 epoxy group Chemical group 0.000 claims description 2
- 125000005647 linker group Chemical group 0.000 claims description 2
- 125000005373 siloxane group Chemical group [SiH2](O*)* 0.000 claims description 2
- 238000005303 weighing Methods 0.000 claims description 2
- 238000011282 treatment Methods 0.000 description 16
- 238000000034 method Methods 0.000 description 12
- 239000003795 chemical substances by application Substances 0.000 description 10
- 235000014113 dietary fatty acids Nutrition 0.000 description 10
- 239000000194 fatty acid Substances 0.000 description 10
- 229930195729 fatty acid Natural products 0.000 description 10
- 239000002979 fabric softener Substances 0.000 description 9
- 150000004665 fatty acids Chemical class 0.000 description 9
- -1 poly (oxybutylene) Polymers 0.000 description 9
- 125000003342 alkenyl group Chemical group 0.000 description 8
- 239000000047 product Substances 0.000 description 8
- 238000012546 transfer Methods 0.000 description 8
- 230000008901 benefit Effects 0.000 description 7
- 229920000768 polyamine Polymers 0.000 description 7
- 229920000742 Cotton Polymers 0.000 description 6
- 125000002091 cationic group Chemical group 0.000 description 6
- 230000008859 change Effects 0.000 description 6
- 230000008569 process Effects 0.000 description 6
- 125000001453 quaternary ammonium group Chemical group 0.000 description 6
- 239000002752 cationic softener Substances 0.000 description 5
- 239000003381 stabilizer Substances 0.000 description 5
- BRLQWZUYTZBJKN-UHFFFAOYSA-N Epichlorohydrin Chemical compound ClCC1CO1 BRLQWZUYTZBJKN-UHFFFAOYSA-N 0.000 description 4
- LFQSCWFLJHTTHZ-UHFFFAOYSA-N Ethanol Chemical compound CCO LFQSCWFLJHTTHZ-UHFFFAOYSA-N 0.000 description 4
- IAYPIBMASNFSPL-UHFFFAOYSA-N Ethylene oxide Chemical compound C1CO1 IAYPIBMASNFSPL-UHFFFAOYSA-N 0.000 description 4
- 229910000323 aluminium silicate Inorganic materials 0.000 description 4
- 150000002148 esters Chemical class 0.000 description 4
- 238000005259 measurement Methods 0.000 description 4
- 239000002736 nonionic surfactant Substances 0.000 description 4
- 150000003856 quaternary ammonium compounds Chemical class 0.000 description 4
- 239000000344 soap Substances 0.000 description 4
- 210000002268 wool Anatomy 0.000 description 4
- PEDCQBHIVMGVHV-UHFFFAOYSA-N Glycerine Chemical compound OCC(O)CO PEDCQBHIVMGVHV-UHFFFAOYSA-N 0.000 description 3
- 239000003945 anionic surfactant Substances 0.000 description 3
- 238000001035 drying Methods 0.000 description 3
- 239000000835 fiber Substances 0.000 description 3
- 238000009472 formulation Methods 0.000 description 3
- 239000003760 tallow Substances 0.000 description 3
- 238000010998 test method Methods 0.000 description 3
- 238000012360 testing method Methods 0.000 description 3
- 230000037303 wrinkles Effects 0.000 description 3
- VBICKXHEKHSIBG-UHFFFAOYSA-N 1-monostearoylglycerol Chemical compound CCCCCCCCCCCCCCCCCC(=O)OCC(O)CO VBICKXHEKHSIBG-UHFFFAOYSA-N 0.000 description 2
- XEEYBQQBJWHFJM-UHFFFAOYSA-N Iron Chemical compound [Fe] XEEYBQQBJWHFJM-UHFFFAOYSA-N 0.000 description 2
- 229910000503 Na-aluminosilicate Inorganic materials 0.000 description 2
- 108010081873 Persil Proteins 0.000 description 2
- 229910004298 SiO 2 Inorganic materials 0.000 description 2
- UIIMBOGNXHQVGW-UHFFFAOYSA-M Sodium bicarbonate Chemical compound [Na+].OC([O-])=O UIIMBOGNXHQVGW-UHFFFAOYSA-M 0.000 description 2
- FAPWRFPIFSIZLT-UHFFFAOYSA-M Sodium chloride Chemical compound [Na+].[Cl-] FAPWRFPIFSIZLT-UHFFFAOYSA-M 0.000 description 2
- KKEYFWRCBNTPAC-UHFFFAOYSA-N Terephthalic acid Chemical class OC(=O)C1=CC=C(C(O)=O)C=C1 KKEYFWRCBNTPAC-UHFFFAOYSA-N 0.000 description 2
- 150000001298 alcohols Chemical class 0.000 description 2
- 150000008051 alkyl sulfates Chemical group 0.000 description 2
- 239000002280 amphoteric surfactant Substances 0.000 description 2
- 125000000129 anionic group Chemical group 0.000 description 2
- 150000001768 cations Chemical class 0.000 description 2
- 239000008367 deionised water Substances 0.000 description 2
- 229910021641 deionized water Inorganic materials 0.000 description 2
- IQDGSYLLQPDQDV-UHFFFAOYSA-N dimethylazanium;chloride Chemical compound Cl.CNC IQDGSYLLQPDQDV-UHFFFAOYSA-N 0.000 description 2
- HNPSIPDUKPIQMN-UHFFFAOYSA-N dioxosilane;oxo(oxoalumanyloxy)alumane Chemical compound O=[Si]=O.O=[Al]O[Al]=O HNPSIPDUKPIQMN-UHFFFAOYSA-N 0.000 description 2
- POULHZVOKOAJMA-UHFFFAOYSA-N dodecanoic acid Chemical compound CCCCCCCCCCCC(O)=O POULHZVOKOAJMA-UHFFFAOYSA-N 0.000 description 2
- 239000000839 emulsion Substances 0.000 description 2
- 239000006260 foam Substances 0.000 description 2
- 239000003205 fragrance Substances 0.000 description 2
- 125000002768 hydroxyalkyl group Chemical group 0.000 description 2
- 239000004615 ingredient Substances 0.000 description 2
- 238000010409 ironing Methods 0.000 description 2
- 125000002496 methyl group Chemical group [H]C([H])([H])* 0.000 description 2
- 239000010445 mica Substances 0.000 description 2
- 229910052618 mica group Inorganic materials 0.000 description 2
- 229910052757 nitrogen Inorganic materials 0.000 description 2
- 125000004433 nitrogen atom Chemical group N* 0.000 description 2
- 239000003608 nonionic fabric softener Substances 0.000 description 2
- 150000002924 oxiranes Chemical class 0.000 description 2
- 239000000843 powder Substances 0.000 description 2
- 238000002360 preparation method Methods 0.000 description 2
- UMSVPCYSAUKCAZ-UHFFFAOYSA-N propane;hydrochloride Chemical compound Cl.CCC UMSVPCYSAUKCAZ-UHFFFAOYSA-N 0.000 description 2
- 230000009467 reduction Effects 0.000 description 2
- 229920006395 saturated elastomer Polymers 0.000 description 2
- 235000012217 sodium aluminium silicate Nutrition 0.000 description 2
- 239000002689 soil Substances 0.000 description 2
- 239000007921 spray Substances 0.000 description 2
- 239000000758 substrate Substances 0.000 description 2
- 239000004094 surface-active agent Substances 0.000 description 2
- 230000007704 transition Effects 0.000 description 2
- JNYAEWCLZODPBN-JGWLITMVSA-N (2r,3r,4s)-2-[(1r)-1,2-dihydroxyethyl]oxolane-3,4-diol Chemical class OC[C@@H](O)[C@H]1OC[C@H](O)[C@H]1O JNYAEWCLZODPBN-JGWLITMVSA-N 0.000 description 1
- 125000004178 (C1-C4) alkyl group Chemical group 0.000 description 1
- WRIDQFICGBMAFQ-UHFFFAOYSA-N (E)-8-Octadecenoic acid Natural products CCCCCCCCCC=CCCCCCCC(O)=O WRIDQFICGBMAFQ-UHFFFAOYSA-N 0.000 description 1
- LQJBNNIYVWPHFW-UHFFFAOYSA-N 20:1omega9c fatty acid Natural products CCCCCCCCCCC=CCCCCCCCC(O)=O LQJBNNIYVWPHFW-UHFFFAOYSA-N 0.000 description 1
- QSBYPNXLFMSGKH-UHFFFAOYSA-N 9-Heptadecensaeure Natural products CCCCCCCC=CCCCCCCCC(O)=O QSBYPNXLFMSGKH-UHFFFAOYSA-N 0.000 description 1
- 229910018072 Al 2 O 3 Inorganic materials 0.000 description 1
- 241000195940 Bryophyta Species 0.000 description 1
- GAWIXWVDTYZWAW-UHFFFAOYSA-N C[CH]O Chemical group C[CH]O GAWIXWVDTYZWAW-UHFFFAOYSA-N 0.000 description 1
- BHPQYMZQTOCNFJ-UHFFFAOYSA-N Calcium cation Chemical group [Ca+2] BHPQYMZQTOCNFJ-UHFFFAOYSA-N 0.000 description 1
- UXVMQQNJUSDDNG-UHFFFAOYSA-L Calcium chloride Chemical compound [Cl-].[Cl-].[Ca+2] UXVMQQNJUSDDNG-UHFFFAOYSA-L 0.000 description 1
- ZAMOUSCENKQFHK-UHFFFAOYSA-N Chlorine atom Chemical compound [Cl] ZAMOUSCENKQFHK-UHFFFAOYSA-N 0.000 description 1
- RKWGIWYCVPQPMF-UHFFFAOYSA-N Chloropropamide Chemical compound CCCNC(=O)NS(=O)(=O)C1=CC=C(Cl)C=C1 RKWGIWYCVPQPMF-UHFFFAOYSA-N 0.000 description 1
- 108090000790 Enzymes Proteins 0.000 description 1
- 102000004190 Enzymes Human genes 0.000 description 1
- FPVVYTCTZKCSOJ-UHFFFAOYSA-N Ethylene glycol distearate Chemical compound CCCCCCCCCCCCCCCCCC(=O)OCCOC(=O)CCCCCCCCCCCCCCCCC FPVVYTCTZKCSOJ-UHFFFAOYSA-N 0.000 description 1
- OAKJQQAXSVQMHS-UHFFFAOYSA-N Hydrazine Chemical compound NN OAKJQQAXSVQMHS-UHFFFAOYSA-N 0.000 description 1
- DGAQECJNVWCQMB-PUAWFVPOSA-M Ilexoside XXIX Chemical compound C[C@@H]1CC[C@@]2(CC[C@@]3(C(=CC[C@H]4[C@]3(CC[C@@H]5[C@@]4(CC[C@@H](C5(C)C)OS(=O)(=O)[O-])C)C)[C@@H]2[C@]1(C)O)C)C(=O)O[C@H]6[C@@H]([C@H]([C@@H]([C@H](O6)CO)O)O)O.[Na+] DGAQECJNVWCQMB-PUAWFVPOSA-M 0.000 description 1
- 239000004166 Lanolin Substances 0.000 description 1
- 239000005639 Lauric acid Substances 0.000 description 1
- 239000000232 Lipid Bilayer Substances 0.000 description 1
- 239000005642 Oleic acid Substances 0.000 description 1
- ZQPPMHVWECSIRJ-UHFFFAOYSA-N Oleic acid Natural products CCCCCCCCC=CCCCCCCCC(O)=O ZQPPMHVWECSIRJ-UHFFFAOYSA-N 0.000 description 1
- 229920003171 Poly (ethylene oxide) Polymers 0.000 description 1
- JUJWROOIHBZHMG-UHFFFAOYSA-N Pyridine Chemical class C1=CC=NC=C1 JUJWROOIHBZHMG-UHFFFAOYSA-N 0.000 description 1
- 229920000297 Rayon Polymers 0.000 description 1
- YIQKLZYTHXTDDT-UHFFFAOYSA-H Sirius red F3B Chemical compound C1=CC(=CC=C1N=NC2=CC(=C(C=C2)N=NC3=C(C=C4C=C(C=CC4=C3[O-])NC(=O)NC5=CC6=CC(=C(C(=C6C=C5)[O-])N=NC7=C(C=C(C=C7)N=NC8=CC=C(C=C8)S(=O)(=O)[O-])S(=O)(=O)[O-])S(=O)(=O)O)S(=O)(=O)O)S(=O)(=O)[O-])S(=O)(=O)[O-].[Na+].[Na+].[Na+].[Na+].[Na+].[Na+] YIQKLZYTHXTDDT-UHFFFAOYSA-H 0.000 description 1
- 239000004115 Sodium Silicate Substances 0.000 description 1
- 239000004902 Softening Agent Substances 0.000 description 1
- ULUAUXLGCMPNKK-UHFFFAOYSA-N Sulfobutanedioic acid Chemical class OC(=O)CC(C(O)=O)S(O)(=O)=O ULUAUXLGCMPNKK-UHFFFAOYSA-N 0.000 description 1
- GWEVSGVZZGPLCZ-UHFFFAOYSA-N Titan oxide Chemical compound O=[Ti]=O GWEVSGVZZGPLCZ-UHFFFAOYSA-N 0.000 description 1
- 238000005299 abrasion Methods 0.000 description 1
- 239000006096 absorbing agent Substances 0.000 description 1
- 239000013543 active substance Substances 0.000 description 1
- 230000002411 adverse Effects 0.000 description 1
- 125000001931 aliphatic group Chemical group 0.000 description 1
- 229910052783 alkali metal Inorganic materials 0.000 description 1
- 150000001336 alkenes Chemical class 0.000 description 1
- 150000005215 alkyl ethers Chemical class 0.000 description 1
- 230000029936 alkylation Effects 0.000 description 1
- 238000005804 alkylation reaction Methods 0.000 description 1
- ANBBXQWFNXMHLD-UHFFFAOYSA-N aluminum;sodium;oxygen(2-) Chemical compound [O-2].[O-2].[Na+].[Al+3] ANBBXQWFNXMHLD-UHFFFAOYSA-N 0.000 description 1
- 125000003368 amide group Chemical group 0.000 description 1
- 150000001412 amines Chemical class 0.000 description 1
- 229920013822 aminosilicone Polymers 0.000 description 1
- 230000001153 anti-wrinkle effect Effects 0.000 description 1
- 239000002518 antifoaming agent Substances 0.000 description 1
- 239000003963 antioxidant agent Substances 0.000 description 1
- 239000002216 antistatic agent Substances 0.000 description 1
- 239000003125 aqueous solvent Substances 0.000 description 1
- 230000001588 bifunctional effect Effects 0.000 description 1
- 230000015572 biosynthetic process Effects 0.000 description 1
- 238000004061 bleaching Methods 0.000 description 1
- 230000000740 bleeding effect Effects 0.000 description 1
- 229920001400 block copolymer Polymers 0.000 description 1
- 239000001110 calcium chloride Substances 0.000 description 1
- 229910001628 calcium chloride Inorganic materials 0.000 description 1
- 229910001424 calcium ion Inorganic materials 0.000 description 1
- 125000004432 carbon atom Chemical group C* 0.000 description 1
- 150000001767 cationic compounds Chemical class 0.000 description 1
- 239000004665 cationic fabric softener Substances 0.000 description 1
- 239000003093 cationic surfactant Substances 0.000 description 1
- 239000003518 caustics Substances 0.000 description 1
- 239000007795 chemical reaction product Substances 0.000 description 1
- 239000000460 chlorine Substances 0.000 description 1
- 229910052801 chlorine Inorganic materials 0.000 description 1
- 239000004927 clay Substances 0.000 description 1
- 238000004140 cleaning Methods 0.000 description 1
- 239000012459 cleaning agent Substances 0.000 description 1
- 239000011248 coating agent Substances 0.000 description 1
- 238000000576 coating method Methods 0.000 description 1
- 239000003086 colorant Substances 0.000 description 1
- 239000012141 concentrate Substances 0.000 description 1
- 239000007859 condensation product Substances 0.000 description 1
- 239000004035 construction material Substances 0.000 description 1
- 125000004122 cyclic group Chemical group 0.000 description 1
- 230000006378 damage Effects 0.000 description 1
- 230000008021 deposition Effects 0.000 description 1
- 150000004985 diamines Chemical class 0.000 description 1
- 235000013870 dimethyl polysiloxane Nutrition 0.000 description 1
- REZZEXDLIUJMMS-UHFFFAOYSA-M dimethyldioctadecylammonium chloride Chemical compound [Cl-].CCCCCCCCCCCCCCCCCC[N+](C)(C)CCCCCCCCCCCCCCCCCC REZZEXDLIUJMMS-UHFFFAOYSA-M 0.000 description 1
- 239000004664 distearyldimethylammonium chloride (DHTDMAC) Substances 0.000 description 1
- 238000010410 dusting Methods 0.000 description 1
- 230000000694 effects Effects 0.000 description 1
- 239000003792 electrolyte Substances 0.000 description 1
- 239000003995 emulsifying agent Substances 0.000 description 1
- 238000011156 evaluation Methods 0.000 description 1
- 239000000417 fungicide Substances 0.000 description 1
- 229940083124 ganglion-blocking antiadrenergic secondary and tertiary amines Drugs 0.000 description 1
- 230000002070 germicidal effect Effects 0.000 description 1
- 239000003292 glue Substances 0.000 description 1
- YQEMORVAKMFKLG-UHFFFAOYSA-N glycerine monostearate Natural products CCCCCCCCCCCCCCCCCC(=O)OC(CO)CO YQEMORVAKMFKLG-UHFFFAOYSA-N 0.000 description 1
- SVUQHVRAGMNPLW-UHFFFAOYSA-N glycerol monostearate Natural products CCCCCCCCCCCCCCCCC(=O)OCC(O)CO SVUQHVRAGMNPLW-UHFFFAOYSA-N 0.000 description 1
- 229910001385 heavy metal Inorganic materials 0.000 description 1
- WNLRTRBMVRJNCN-UHFFFAOYSA-N hexanedioic acid Chemical class OC(=O)CCCCC(O)=O WNLRTRBMVRJNCN-UHFFFAOYSA-N 0.000 description 1
- 125000001183 hydrocarbyl group Chemical group 0.000 description 1
- 239000003752 hydrotrope Substances 0.000 description 1
- 125000002887 hydroxy group Chemical group [H]O* 0.000 description 1
- MTNDZQHUAFNZQY-UHFFFAOYSA-N imidazoline Chemical compound C1CN=CN1 MTNDZQHUAFNZQY-UHFFFAOYSA-N 0.000 description 1
- 230000006872 improvement Effects 0.000 description 1
- 239000003112 inhibitor Substances 0.000 description 1
- 230000003993 interaction Effects 0.000 description 1
- 238000005342 ion exchange Methods 0.000 description 1
- 150000008040 ionic compounds Chemical class 0.000 description 1
- 229910052742 iron Inorganic materials 0.000 description 1
- QXJSBBXBKPUZAA-UHFFFAOYSA-N isooleic acid Natural products CCCCCCCC=CCCCCCCCCC(O)=O QXJSBBXBKPUZAA-UHFFFAOYSA-N 0.000 description 1
- 229940039717 lanolin Drugs 0.000 description 1
- 235000019388 lanolin Nutrition 0.000 description 1
- 239000000787 lecithin Substances 0.000 description 1
- 235000010445 lecithin Nutrition 0.000 description 1
- 239000007788 liquid Substances 0.000 description 1
- 230000008018 melting Effects 0.000 description 1
- 238000002844 melting Methods 0.000 description 1
- 235000011929 mousse Nutrition 0.000 description 1
- 239000003921 oil Substances 0.000 description 1
- JRZJOMJEPLMPRA-UHFFFAOYSA-N olefin Natural products CCCCCCCC=C JRZJOMJEPLMPRA-UHFFFAOYSA-N 0.000 description 1
- ZQPPMHVWECSIRJ-KTKRTIGZSA-N oleic acid Chemical compound CCCCCCCC\C=C/CCCCCCCC(O)=O ZQPPMHVWECSIRJ-KTKRTIGZSA-N 0.000 description 1
- 239000003605 opacifier Substances 0.000 description 1
- 230000003287 optical effect Effects 0.000 description 1
- 125000006353 oxyethylene group Chemical group 0.000 description 1
- 239000006174 pH buffer Substances 0.000 description 1
- 229940055076 parasympathomimetics choline ester Drugs 0.000 description 1
- 239000000049 pigment Substances 0.000 description 1
- 239000006187 pill Substances 0.000 description 1
- 239000004014 plasticizer Substances 0.000 description 1
- 229920000435 poly(dimethylsiloxane) Polymers 0.000 description 1
- 229920006294 polydialkylsiloxane Polymers 0.000 description 1
- 229920000728 polyester Polymers 0.000 description 1
- 229920000139 polyethylene terephthalate Polymers 0.000 description 1
- 229920002959 polymer blend Polymers 0.000 description 1
- 238000006116 polymerization reaction Methods 0.000 description 1
- 239000002243 precursor Substances 0.000 description 1
- 230000036316 preload Effects 0.000 description 1
- 150000003138 primary alcohols Chemical class 0.000 description 1
- 150000003141 primary amines Chemical class 0.000 description 1
- 238000000746 purification Methods 0.000 description 1
- 150000003242 quaternary ammonium salts Chemical class 0.000 description 1
- 239000002516 radical scavenger Substances 0.000 description 1
- 150000003254 radicals Chemical class 0.000 description 1
- 235000020095 red wine Nutrition 0.000 description 1
- 239000004627 regenerated cellulose Substances 0.000 description 1
- 239000011347 resin Substances 0.000 description 1
- 229920005989 resin Polymers 0.000 description 1
- 150000003839 salts Chemical class 0.000 description 1
- 150000004671 saturated fatty acids Chemical class 0.000 description 1
- 235000003441 saturated fatty acids Nutrition 0.000 description 1
- 150000003333 secondary alcohols Chemical class 0.000 description 1
- 239000003352 sequestering agent Substances 0.000 description 1
- 238000002791 soaking Methods 0.000 description 1
- 229910052708 sodium Inorganic materials 0.000 description 1
- 239000011734 sodium Substances 0.000 description 1
- 229910001388 sodium aluminate Inorganic materials 0.000 description 1
- 239000000429 sodium aluminium silicate Substances 0.000 description 1
- URGAHOPLAPQHLN-UHFFFAOYSA-N sodium aluminosilicate Chemical compound [Na+].[Al+3].[O-][Si]([O-])=O.[O-][Si]([O-])=O URGAHOPLAPQHLN-UHFFFAOYSA-N 0.000 description 1
- 235000017557 sodium bicarbonate Nutrition 0.000 description 1
- 229910000030 sodium bicarbonate Inorganic materials 0.000 description 1
- 239000011780 sodium chloride Substances 0.000 description 1
- 159000000000 sodium salts Chemical class 0.000 description 1
- NTHWMYGWWRZVTN-UHFFFAOYSA-N sodium silicate Chemical compound [Na+].[Na+].[O-][Si]([O-])=O NTHWMYGWWRZVTN-UHFFFAOYSA-N 0.000 description 1
- 229910052911 sodium silicate Inorganic materials 0.000 description 1
- 230000003381 solubilizing effect Effects 0.000 description 1
- 238000003756 stirring Methods 0.000 description 1
- TYFQFVWCELRYAO-UHFFFAOYSA-N suberic acid Chemical class OC(=O)CCCCCCC(O)=O TYFQFVWCELRYAO-UHFFFAOYSA-N 0.000 description 1
- 230000000475 sunscreen effect Effects 0.000 description 1
- 239000000516 sunscreening agent Substances 0.000 description 1
- 239000002352 surface water Substances 0.000 description 1
- KKEYFWRCBNTPAC-UHFFFAOYSA-L terephthalate(2-) Chemical compound [O-]C(=O)C1=CC=C(C([O-])=O)C=C1 KKEYFWRCBNTPAC-UHFFFAOYSA-L 0.000 description 1
- 230000000451 tissue damage Effects 0.000 description 1
- 231100000827 tissue damage Toxicity 0.000 description 1
- 150000004072 triols Chemical class 0.000 description 1
Classifications
-
- C—CHEMISTRY; METALLURGY
- C11—ANIMAL OR VEGETABLE OILS, FATS, FATTY SUBSTANCES OR WAXES; FATTY ACIDS THEREFROM; DETERGENTS; CANDLES
- C11D—DETERGENT COMPOSITIONS; USE OF SINGLE SUBSTANCES AS DETERGENTS; SOAP OR SOAP-MAKING; RESIN SOAPS; RECOVERY OF GLYCEROL
- C11D3/00—Other compounding ingredients of detergent compositions covered in group C11D1/00
- C11D3/16—Organic compounds
- C11D3/37—Polymers
- C11D3/3703—Macromolecular compounds obtained otherwise than by reactions only involving carbon-to-carbon unsaturated bonds
- C11D3/3707—Polyethers, e.g. polyalkyleneoxides
-
- C—CHEMISTRY; METALLURGY
- C11—ANIMAL OR VEGETABLE OILS, FATS, FATTY SUBSTANCES OR WAXES; FATTY ACIDS THEREFROM; DETERGENTS; CANDLES
- C11D—DETERGENT COMPOSITIONS; USE OF SINGLE SUBSTANCES AS DETERGENTS; SOAP OR SOAP-MAKING; RESIN SOAPS; RECOVERY OF GLYCEROL
- C11D3/00—Other compounding ingredients of detergent compositions covered in group C11D1/00
- C11D3/16—Organic compounds
- C11D3/20—Organic compounds containing oxygen
- C11D3/22—Carbohydrates or derivatives thereof
- C11D3/222—Natural or synthetic polysaccharides, e.g. cellulose, starch, gum, alginic acid or cyclodextrin
-
- C—CHEMISTRY; METALLURGY
- C11—ANIMAL OR VEGETABLE OILS, FATS, FATTY SUBSTANCES OR WAXES; FATTY ACIDS THEREFROM; DETERGENTS; CANDLES
- C11D—DETERGENT COMPOSITIONS; USE OF SINGLE SUBSTANCES AS DETERGENTS; SOAP OR SOAP-MAKING; RESIN SOAPS; RECOVERY OF GLYCEROL
- C11D3/00—Other compounding ingredients of detergent compositions covered in group C11D1/00
- C11D3/16—Organic compounds
- C11D3/37—Polymers
- C11D3/3703—Macromolecular compounds obtained otherwise than by reactions only involving carbon-to-carbon unsaturated bonds
- C11D3/3723—Polyamines or polyalkyleneimines
Landscapes
- Chemical & Material Sciences (AREA)
- Life Sciences & Earth Sciences (AREA)
- Engineering & Computer Science (AREA)
- Chemical Kinetics & Catalysis (AREA)
- Oil, Petroleum & Natural Gas (AREA)
- Wood Science & Technology (AREA)
- Organic Chemistry (AREA)
- Health & Medical Sciences (AREA)
- Molecular Biology (AREA)
- Emergency Medicine (AREA)
- Detergent Compositions (AREA)
- Treatments For Attaching Organic Compounds To Fibrous Goods (AREA)
Description
Technisches Gebiettechnical area
Diese Erfindung bezieht sich auf die Verwendung von Textilpflegezusammensetzungen, enthaltend polymere Materialien, zur Verbesserung der Oberflächenfarbendefinition eines Gewebes nach mehrmaligem Waschen und/oder dem Gewebe während des Waschens Pill- und Fusselbeständigkeit zu verleihen.These This invention relates to the use of fabric care compositions, containing polymeric materials to improve surface color definition a tissue after repeated washing and / or the tissue during the Washing Pill and Lint Resistance to rent.
Hintergrund und Stand der Technikbackground and state of the art
Das Waschverfahren weist im allgemeinen mehrere Vorteile für das Gewebe auf, der bekannteste ist die Entfernung von Schmutz und Flecken aus dem Gewebe während des Waschkreislaufs. Jedoch gibt es zahlreiche Nachteile, die mit der wiederholten Verwendung von konventionellen Waschbehandlungszusammensetzungen und/oder dem tatsächlichen Waschverfahren verbunden sind; einer davon ist eine ziemlich scharfe Behandlung von Gewebe in dem Waschverfahren.The Washing process generally has several advantages for the fabric The best known is the removal of dirt and stains out of the tissue during of the washing cycle. However, there are numerous disadvantages with the repeated use of conventional laundry treatment compositions and / or the actual Washing methods are connected; one of them is a pretty sharp one Treatment of tissue in the washing process.
Gewebe können auf mehrere Arten als Folge des wiederholten Waschens und/oder Tragens beschädigt werden. Gewebe-Pilling und Verlust des Gewebeoberflächenaussehens, beispielsweise Fusseln, Schrumpfen (oder Expansion), Verlust von Farbe aus dem Gewebe oder Verlaufen der Farbe auf dem Gewebe (normalerweise Farbstoffübertragung genannt) sind einige der bekannten Probleme, die mit wiederholtem Waschen verbunden sind. Diese Probleme können nur bei der wiederholten Handwäsche sowie dem kräftigerem Maschinenwaschverfahren auftreten. Außerdem sind die Probleme, die sich auf die Gewebeschäden über die Zeit hinweg durch normale Verwendung beziehen, wie Verlust der Form und erhöhte Wahrscheinlichkeit der Faltenbildung, ebenso signifikant.tissue can in several ways as a result of repeated washing and / or wearing damaged become. Tissue pilling and loss of tissue surface appearance, for example lint, shrinkage (or expansion), loss of Color from the tissue or bleeding of the color on the tissue (usually dye transfer called) are some of the known problems with repeated Washing are connected. These problems can only be repeated at the Handwash as well as the more powerful machine washing process occur. Furthermore The problems that are due to the tissue damage over time are due to normal Use, such as loss of shape and increased likelihood wrinkling, as significant.
Die vorliegende Erfindung ist auf die Linderung ein oder mehrerer Probleme, auf die man sich hierin oben bezieht, gerichtet.The present invention is directed to the alleviation of one or more problems, to which reference is made hereinabove.
Der Hauptvorteil der vorliegenden Erfindung bezieht sich auf die Verbesserung der Oberflächenfarbendefinition eines Gewebes nach mehrmaligem Waschen und/oder dem Gewebe während des Waschens Pill- und/oder Fusselbeständigkeit zu verleihen. Die Erfindung kann weitere Vorteile bei der Behandlung des Gewebes aufweisen. Beispielsweise können andere Aspekte der Gesamterscheinung des Gewebes verbessert werden, wie die Verringerung in der Neigung des Gewebes, geknittert und/oder gefaltet zu werden.Of the Main advantage of the present invention relates to the improvement the surface color definition a tissue after repeated washing and / or the tissue during the Washing to give pilling and / or lint resistance. The The invention may have further advantages in the treatment of the tissue. For example, you can other aspects of the overall appearance of the tissue are improved, like the reduction in the inclination of the tissue, wrinkled and / or to be folded.
Waschmittelzusammensetzungen, die Polyamid-Polyamin-Gewebebehandlungsmittel enthalten, werden in WO98/29530 beschrieben. Es wird beansprucht, daß die Zusammensetzungen den Geweben, die unter Verwendung der Waschmittelzusammensetzungen gewaschen wurden, in bezug auf die Oberflächenerscheinungseigenschaften, wie Pill/Fussel-Verringerung und Antiausbleichen, verbessertes Gesamtaussehen verleihen. Waschmittelzusammensetzungen, die Polyamid-Polyamin-Behandlungsmittel von ähnlichen Typen enthalten, werden in WO 97/42287 gelehrt.Detergent compositions, which contain polyamide-polyamine fabric treatment agents in WO98 / 29530. It is claimed that the compositions the tissues made using the detergent compositions were washed, in terms of surface appearance properties, such as pill / lint reduction and anti-bleaching, improved overall appearance to lend. Detergent compositions containing polyamide-polyamine treating agents of similar ones Types are taught in WO 97/42287.
Waschmittelzusammensetzungen, die Polyamid-Polyamin-Gewebebehandlungsmittel enthalten, können erhöhte Farbstoffaufnahme (d. h. erhöhte Farbstoffübertragung) und schlechte Fleckenentfernungseigenschaften im Vergleich zu anderen konventionellen Waschmittelzusammensetzungen aufweisen.Detergent compositions, containing polyamide-polyamine fabric treatment agents can increase dye uptake (ie increased Dye transfer) and poor stain removal properties compared to others have conventional detergent compositions.
Die
vorliegende Erfindung basiert auf den überraschenden Erkenntnissen,
daß bestimmte
polymere Materialien, einschließlich
denen, die in
Definition der Erfindungdefinition the invention
Gemäß der vorliegenden Erfindung wird die Verwendung einer Textilpflegezusammensetzung zur Verbesserung der Oberflächenfarbendefinition eines Gewebes nach mehrmaligem Waschen und/oder dem Gewebe während des Waschens Pill- und/oder Fusselbeständigkeit zu verleihen, bereitgestellt, wobei die Zusammensetzung ein polymeres Material umfaßt, das zum Selbstvernetzen und/oder Reagieren mit Cellulose zusammen mit ein oder mehreren gewebeverträglichen Trägern fähig ist, wobei das polymere Material ein oder mehrere Poly(oxyalkylen)gruppen mit einer Endgruppe umfaßt, die ein oder mehrere Aminogruppen oder Derivate dieser Aminogruppen umfaßt, und wobei, wenn der gewebeverträgliche Träger Wasser ist, ein weiteres Additiv, das zur Verwendung in Waschmittelzusammensetzungen geeignet ist, vorliegt.According to the present The invention will be the use of a fabric care composition to improve the surface color definition a tissue after repeated washing and / or the tissue during the Washing to provide pilling and / or lint resistance, provided, wherein the composition comprises a polymeric material, the for self-crosslinking and / or reacting with cellulose together with one or more tissue compatible carriers is capable wherein the polymeric material comprises one or more poly (oxyalkylene) groups comprising an end group, the one or more amino groups or derivatives of these amino groups comprises and where, if the tissue-compatible carrier Water is another additive used in detergent compositions is suitable, is present.
Ausführliche Beschreibung der ErfindungDetailed description of the invention
Die Zusammensetzungen zur Verwendung in der vorliegenden Erfindung umfassen ein polymeres Material, das zum Selbstvernetzen und/oder Reagieren mit Cellulose zusammen mit ein oder mehreren gewebeverträglichen Trägern fähig ist, wobei das polymere Material ein oder mehrere Poly(oxyalkylen)gruppen mit einer Endgruppe umfaßt, die ein oder mehrere Aminogruppen oder Derivate dieser Aminogruppen umfaßt.The Compositions for use in the present invention include a polymeric material capable of self-crosslinking and / or reacting with cellulose together with one or more tissue-compatible ones carriers is capable wherein the polymeric material comprises one or more poly (oxyalkylene) groups comprising an end group, the one or more amino groups or derivatives of these amino groups includes.
Die Zusammensetzungen zur Verwendung in der vorliegenden Erfindung weisen den überraschenden Vorteil auf, dem Gewebe Abriebbeständigkeit zu verleihen, und verursachen dadurch verbesserte Oberflächenfarbendefinition des Gewebes nach dem Waschen, speziell nach mehrmaligem Waschen. Außerdem verursachen die polymeren Materialien, die in den Zusammensetzungen enthalten sind, keine inakzeptable Farbstoffübertragung und/oder Fleckenentfernungsprobleme.The Compositions for use in the present invention exhibit the surprising advantage on, the fabric abrasion resistance to impart, thereby causing improved surface color definition tissue after washing, especially after repeated washing. Furthermore cause the polymeric materials used in the compositions no unacceptable dye transfer and / or stain removal problems.
Das
polymere Material, das in der vorliegenden Erfindung verwendet werden
kann, kann irgendeines der Polymere oder Präpolymere, die aus Polyoxyalkylenaminen
stammen, sein, die in
Die Aminogruppen in dem polymeren Material, das in der Erfindung verwendet wird, können ganz oder teilweise in Form von Derivaten von Aminogruppen vorliegen. Derivate umfassen beispielsweise Addukte, die durch die Alkylierung oder Hydroxyalkylierung an dem Stickstoffatom oder durch die Bildung einer Amidgruppe an dem Stickstoffatom gebildet wurden. Die Derivate können durch die Reaktion der Aminogruppen mit einem bifunktionellen brückenbildenden Mittel oder mit einem Vernetzungsmittel gebildet werden.The Amino groups in the polymeric material used in the invention will, can wholly or partly in the form of derivatives of amino groups. Derivatives include, for example, adducts obtained by the alkylation or hydroxyalkylation on the nitrogen atom or by formation an amide group were formed on the nitrogen atom. The derivatives can by the reaction of the amino groups with a bifunctional bridging Means or be formed with a crosslinking agent.
Vorzugsweise ist das polymere Material durch die Reaktion eines Polymers der Formel B(R)n erhältlich, worin n 1 bis 20 ist, B eine Hauptkettengruppe ist, an die jedes R kovalent gebunden ist, und R eine Gruppe ist, die eine Poly(oxyalkylen)kette umfaßt, wobei die Kette eine Aminoendgruppe umfaßt, wobei das Polymer gegebenenfalls mit einer brückenbildenden Verbindung mit einem Vernetzungsmittel umgesetzt wird. Es wird daher eingeschätzt, daß das polymere Material zur Verwendung in der Erfindung ein relativ komplexes Gemisch ist, das eine Vielzahl von unterschiedlichen Verbindungen umfaßt, von denen einige oder alle vernetzt sein können.Preferably, the polymeric material is obtainable by the reaction of a polymer of the formula B (R) n wherein n is 1 to 20, B is a backbone group to which each R is covalently bonded, and R is a group containing a poly (oxyalkylene ) chain, said chain comprising an amino end group, said polymer optionally being reacted with a bridging compound with a crosslinking agent. It is therefore appreciated that the polymeric material for use in the invention is a relatively complex mixture comprising a plurality of different compounds, some or all of which may be crosslinked.
Die Poly(oxyalkylen)kette, die einen Teil der R-Gruppe bildet, kann beispielsweise eine Poly(oxyethylen)-, Poly(oxybutylen)- oder Poly(oxyprop-1,2-ylen)kette sein. Die Länge der Kette kann von 2 bis 100 Wiederholungseinheiten variieren.The Poly (oxyalkylene) chain which forms part of the R group can for example, a poly (oxyethylene), poly (oxybutylene) or poly (oxyprop-1,2-ylene) chain be. The length the chain can vary from 2 to 100 repeat units.
Günstigerweise ist n 2 oder 3. Es wird eingeschätzt, daß n keine ganze Zahl sein kann, wo das polymere Material der Erfindung ein Gemisch aus unterschiedlichen Polymeren der Formel B(R)n umfaßt.Conveniently n is 2 or 3. It is appreciated that n can not be an integer where the polymeric material of the invention comprises a mixture of different polymers of formula B (R) n .
In einigen der polymeren Materialien, die in der Erfindung verwendet werden können, ist B m ist gleich zu n-2.In some of the polymeric materials that can be used in the invention, B is m is equal to n-2.
Jedoch kann B ebenso andere Werte darstellen, wie beispielsweise den Rest von anderen Triolen oder den Rest einer Di-, Tetra-, Penta- oder Hexahydroxyverbindung. Alternativ kann B den Rest eines Di-, Tri- oder Polyamins darstellen.however B can also represent other values, such as the rest from other triols or the rest of a di-, tetra-, penta- or Hexahydroxy. Alternatively, B can be the remainder of a di-, tri- or polyamine.
Vorzugsweise weist mindestens eine R-Gruppe die Formel -(CH2CH(R')(CH2)aO)p-A-NHR'' auf, worin: R' H oder CH3 ist; a 0, 1 oder 2 ist; p eine ganze Zahl von 5 bis 30 ist; A eine Alkylengruppe ist; und R'' H oder Alkyl ist. Stärker bevorzugt ist p 10 bis 25.Preferably, at least one R group has the formula - (CH 2 CH (R ') (CH 2 ) a O) p -A-NHR''wherein:R' is H or CH 3 ; a is 0, 1 or 2; p is an integer of 5 to 30; A is an alkylene group; and R "is H or alkyl. More preferably, p is 10 to 25.
Der Ausdruck „Alkyl", wie hierin verwendet, umfaßt C1- bis C6-Alkyl, gegebenenfalls substituiert an der Alkylkette, die verzweigt oder unverzweigt sein kann, und kann für C3- bis C6-Alkyl cyclisch sein. Der Ausdruck „Alkylen" wird ähnlich definiert, aber bezieht sich auf einen zweiwertigen Rest.The term "alkyl" as used herein includes C 1 to C 6 alkyl optionally substituted on the alkyl chain, which may be branched or unbranched, and may be cyclic of C 3 to C 6 alkyl. Alkylene "is similarly defined, but refers to a bivalent radical.
Es wird erkennbar sein, daß der Ausdruck „Endgruppe" sich auf die Gruppe an oder nahe dem Ende der Poly(oxyalkylen)kette bezieht, deren Ende, wenn das Polymer die Formel B(R)n aufweist, an dem anderen Ende der Polymerkette von dem Ende, das an B gebunden ist, vorliegt.It will be appreciated that the term "end group" refers to the group at or near the end of the poly (oxyalkylene) chain whose end, when the polymer has the formula B (R) n , at the other end of the polymer chain of the end attached to B is present.
Geeignete Polymere der Formel B(R)n umfassen die mit der folgenden Struktur: worin R' wie hierin zuvor definiert ist, p, q und r ganze Zahlen sind, die gleich oder unterschiedlich sein können und von 5 bis 30 sein können und A verzweigtes oder unverzweigtes Niederalkylen ist.Suitable polymers of the formula B (R) n include those having the following structure: wherein R 'is as hereinbefore defined, p, q and r are integers which may be the same or different and may be from 5 to 30 and A is branched or unbranched lower alkylene.
Andere geeignete Polymere der Formel B(R)n, worin n gleich 2 ist, umfassen die mit der folgenden Formel: H2N-(CH2)b-(O(CH2)4)d-O(CH2)cO-((CH2)4O)d2-(CH2)b-NH2 worin: b eine ganze Zahl von 1 bis 6, vorzugsweise 3 ist; c eine ganze Zahl von 1 bis 6, vorzugsweise 4 ist; und d und d2 gleich oder unterschiedlich sind und ganze Zahlen von 10 bis 15 sind.Other suitable polymers of the formula B (R) n wherein n is 2 include those having the following formula: H 2 N- (CH 2 ) b - (O (CH 2 ) 4 ) d -O (CH 2 ) c O - ((CH 2) 4 O) d2 - (CH 2) b -NH 2 wherein: b is an integer from 1 to 6, preferably 3; c is an integer from 1 to 6, preferably 4; and d and d2 are the same or different and are integers from 10 to 15.
Das Vernetzungsmittel, das verwendet wird, um das polymere Material, das in der Erfindung verwendet wird, durch die Reaktion mit dem Polymer oder dem Polymer nach der vorhergehenden Reaktion mit der brückenbildenden Verbindung zu bilden, umfaßt vorzugsweise ein Epihalogenhydrin. Das Epichlorhydrin ist ein geeignetes Epihalogenhydrin.The Crosslinking agent used to form the polymeric material, used in the invention by the reaction with the Polymer or the polymer after the previous reaction with the bridge-forming Compound includes preferably an epihalohydrin. The epichlorohydrin is a suitable one Epihalohydrin.
Vorzugsweise beträgt das Molverhältnis des Vernetzungsmittels zu dem Polymer der Formel B(R)n 0,5 : 1 bis 4 : 1. Andere Mengen an Vernetzungsmittel können in dem polymeren Material, das in der Erfindung verwendet wird, vorliegen.Preferably, the molar ratio of crosslinking agent to the polymer of formula B (R) n is 0.5: 1 to 4: 1. Other amounts of crosslinking agent may be present in the polymeric material used in the invention.
Geeignete
brückenbildende
Verbindungen umfassen zwei Epoxid- oder Carbonsäuregruppen. Die Epoxid- oder Carbonsäuregruppen
können
durch einen Linker, umfassend Alkylen-, Arylen-, Poly(oxyalkylen)- oder
Siloxangruppen oder Kombinationen davon, verbunden sein. Beispiele
von brückenbildenden
Verbindungen umfassen daher Benzol-1,4-dicarbonsäure, Hexan-1,6-dicarbonsäure und
Poly(oxyethylen)verbindungen, die an beiden Enden des Moleküls durch
eine Epoxidgruppe terminiert sind. Andere geeignete brückenbildende
Verbindungen werden in
Die erfindungsgemäße Zusammensetzung kann das polymere Material, gegebenenfalls zusammen mit anderen polymeren Materialien enthalten. Die Zusammensetzungen können außerdem ein Silikon umfassen, das zur Reaktion mit dem polymeren Material fähig ist. Geeignete reaktive Silikone umfassen die mit Amino- oder Hydroxylgruppen, die dem Fachmann allgemein bekannt sind.The Composition according to the invention may be the polymeric material, optionally together with others contain polymeric materials. The compositions may also include Silicone which is capable of reacting with the polymeric material. Suitable reactive silicones include those with amino or hydroxyl groups, which are generally known to the person skilled in the art.
Vorzugsweise ist das polymere Material zur Erhöhung der Naßfestigkeit von Papier um mindestens 200 % im Vergleich zu nicht-behandelte, Papier, wenn es auf Papier mit einem Gewicht von 80 g/m2 bei einem Niveau von 1 Gew.-% Feststoff, bezogen auf das Gewicht von Papier, aufgetragen wird, gemäß dem hierin nachstehend beschriebenen Testverfahren fähig.Preferably, the polymeric material for increasing the wet strength of paper is at least 200% compared to untreated paper when applied to paper weighing 80g / m 2 at a level of 1% solids by weight the weight of paper applied is capable of following the test procedure described hereinafter.
Polymere Materialien, die zur Verwendung in der vorliegenden Erfindung geeignet sind, sind von Precision Processes Textiles (Ambergate, Derbyshire, UK) unter den Markennamen POLYMER AM und POLYMER MRSM erhältlich. Die erfindungsgemäßen polymeren Materialien liegen vorzugsweise in Form von wässerigen Lösungen vor.Polymeric materials suitable for use in the present invention are available from Precision Processes Textiles (Ambergate, Derbyshire, UK) under the trade names POLYMER AM and POLYMER MRSM. The polymeric materials according to the invention are preferably in the form of was serigen solutions.
Polymer AM ist ein Polymer mit der folgenden Struktur: Polymer AM is a polymer having the following structure:
Polymer MRSM weist dieselben Strukturen wie Polymer AM auf, aber weist Silikon auf, das zu dem Polymergemisch zugegeben wird.polymer MRSM has the same structures as Polymer AM but has silicone which is added to the polymer mixture.
Die Beschaffenheit des gewebeverträglichen Trägers wird in hohem Maße durch die Stufe vorgeschrieben, bei der die erfindungsgemäße Zusammensetzung in einem Waschverfahren verwendet wird, wobei die Zusammensetzungen zur Verwendung in an sich jeder Stufe des Verfahrens fähig sind. Wo beispielsweise die Zusammensetzungen zur Verwendung als Hauptwaschmittelzusammensetzungen gedacht sind, umfassen ein oder mehrere gewebeverträgliche Träger eine waschaktive Verbindung. Wo die Zusammensetzungen zur Verwendung in dem Spülschritt eines Waschverfahrens gedacht sind, können der eine oder mehrere der gewebeverträglichen Träger eine Weichspül- und/oder Konditionierungsverbindung umfassen.The Texture of the tissue compatible carrier will be highly prescribed by the step at which the composition according to the invention is used in a washing process, wherein the compositions are capable of use in themselves at any stage of the process. For example where are the compositions for use as main detergent compositions one or more tissue-compatible carriers comprise one detergent-active compound. Where the compositions are for use in the rinsing step of a washing process, the one or more can the tissue-compatible carrier a fabric softening and / or conditioning compound.
Die Zusammensetzungen zur Verwendung in der Erfindung umfassen vorzugsweise einen Duftstoff, wie den Typ, der günstigerweise in Textilpflegezusammensetzungen verwendet wird. Die Zusammensetzungen können verpackt und zur Verwendung in einem Haushaltswaschverfahren etikettiert werden.The Compositions for use in the invention preferably comprise a fragrance, such as the type conveniently used in fabric care compositions is used. The compositions can be packaged and used be labeled in a household washing process.
Das polymere Material liegt vorzugsweise in dem Produkt in einer ausreichenden Menge vor, um eine Menge von 0,0005 bis 5 Gew.-% auf dem Gewebe, bezogen auf das Gewicht des Gewebes, stärker bevorzugt 0,001 bis 2 Gew.-% auf dem Gewebe zu erhalten. Die Menge des polymeren Materials in der Zusammensetzung, die erforderlich ist, um die obigen Gewichtsprozent auf dem Gewebe zu erreichen, wird typischerweise im Bereich von 0,01 bis 35 Gew.-%, vorzugsweise 0,1 bis 13,5 Gew.-% liegen.The polymeric material is preferably in the product in a sufficient Amount of from 0.0005 to 5% by weight on the fabric, based on the weight of the fabric, more preferably 0.001 to 2 % By weight on the fabric. The amount of polymeric material in the composition, which is required to the above percent by weight Reaching the tissue is typically in the range of 0.01 to 35 wt .-%, preferably 0.1 to 13.5 wt .-% are.
Die Zusammensetzungen zur Verwendung in der Erfindung können, wenn sie auf ein Gewebe aufgetragen werden, dem Gewebe Vorteile verleihen, wenn sie nicht gehärtet sind. Jedoch können sie durch einen Haushaltshärtungsschritt, einschließlich Bügeln und/oder im Automaten trocknen, vorzugsweise im Automaten trocknen, gehärtet werden. Das Härten wird vorzugsweise bei einer Temperatur zwischen 50 und 100 °C, stärker bevorzugt 80 und 100 °C durchgeführt.The Compositions for use in the invention may be used when they are applied to a tissue that gives benefits to tissue, if not cured are. However, you can through a household hardening step, including Iron and / or dry in the machine, preferably in an automatic machine, hardened become. The hardening is more preferably at a temperature between 50 and 100 ° C, more preferred 80 and 100 ° C carried out.
Im Rahmen der vorliegenden Erfindung ist der Ausdruck „gewebeverträglicher Träger" eine Komponente, die die Wechselwirkung der ersten Komponente mit dem Gewebe unterstützen kann. Der Träger kann ebenso Vorteile zusätzlich zu denen, die durch die erste Komponente bereitgestellt werden, bereitstellen, beispielsweise Erweichen, Reinigen usw. Der Träger kann Wasser sein, wobei in diesem Falle die erfindungsgemäße Zusammensetzung ein anderes Additiv enthält, das zur Verwendung in Waschmittelzusammensetzungen geeignet ist, wie beispielsweise Duftstoffe, oder der Träger kann eine waschaktive Verbindung oder eine Weichspül- oder Konditionierungsverbindung oder ein anderes geeignetes Reinigungsmittel oder Gewebebehandlungsmittel sein.in the In the context of the present invention, the term "tissue-compatible Carrier "a component, which can assist the interaction of the first component with the tissue. The carrier can also benefits in addition to those provided by the first component, provide, for example softening, cleaning, etc. The carrier can Be water, in which case the composition of the invention contains another additive, suitable for use in detergent compositions, such as fragrances, or the carrier may be a detergent-active compound or a fabric softening or conditioning compound or other suitable cleaning agent or fabric treatment agent.
Wenn die Zusammensetzung zur Verwendung in der Erfindung in einem Waschverfahren als ein Teil eines konventionellen Gewebebehandlungsproduktes, wie einer Waschmittelzusammensetzung, verwendet werden soll, wird der gewebeverträgliche Träger typischerweise eine waschaktive Verbindung sein. Während, wenn das Gewebebehandlungsprodukt ein Weichspüler ist, der gewebeverträgliche Träger eine Weichspüler- und/oder Konditionierungsverbindung sein wird.If the composition for use in the invention in a washing process as a part of a conventional fabric treatment product, such as a detergent composition to be used is the tissue-compatible carrier typically be a detergent-active compound. While, if the fabric treatment product is a fabric softener, the fabric-compatible carrier a Softener and / or Conditioning compound will be.
Wenn die Zusammensetzung zur Verwendung in der Erfindung vor oder nach dem Waschverfahren verwendet werden soll, kann sie in Form eines Spray- oder Schaumproduktes vorliegen.When the composition for use in the invention before or after the washing process may be used in the form of a spray or foam product.
Die Gewebe, die in der vorliegenden Erfindung behandelt werden sollen, umfassen die, die Cellulosefasern, vorzugsweise 1 % bis 100 % Cellulosefasern (stärker bevorzugt 5 % bis 100 % Cellulosefasern, am stärksten bevorzugt 40 % bis 100 %) umfassen. Das Gewebe kann in Form eines Kleidungsstückes vorliegen. Wenn das Gewebe weniger als 100 % Cellulosefasern enthält, umfaßt der Rest andere Fasern oder Gemische aus Fasern, die zur Verwendung in Kleidungsstücken geeignet sind, wie beispielsweise Polyester. Vorzugsweise sind die Cellulosefasern aus Baumwolle oder regenerierter Cellulose, wie Viskose.The Tissues to be treated in the present invention These include cellulose fibers, preferably 1% to 100% cellulosic fibers (stronger preferably 5% to 100% cellulose fibers, most preferably 40% to 100% %). The fabric may be in the form of a garment. If the tissue contains less than 100% cellulose fibers, the remainder comprises other fibers or blends of fibers suitable for use in garments are such as polyester. Preferably, the cellulose fibers made of cotton or regenerated cellulose, such as viscose.
Die erfindungsgemäßen Waschverfahren umfassen die Reinigung von Geweben in großem Maßstab und in kleinem Maßstab (beispielsweise Haushalt). Vorzugsweise sind die Verfahren auf den Haushalt bezogen.The washing process according to the invention include the purification of fabrics on a large scale and on a small scale (e.g. Household). Preferably, the methods are based on the budget.
In der Erfindung kann das polymere Material oder die Zusammensetzung, die in der Erfindung verwendet wird, in jeder Stufe des Waschverfahrens verwendet werden. Vorzugsweise wird die Zusammensetzung oder das polymere Material verwendet, um das Gewebe in dem Spülkreislauf eines Waschverfahrens zu behandeln. Der Spülkreislauf folgt vorzugsweise der Behandlung des Gewebes mit einer Waschmittelzusammensetzung.In of the invention, the polymeric material or composition, used in the invention at any stage of the washing process be used. Preferably, the composition or the polymeric material used to rinse the tissue in the rinse cycle to treat a washing process. The rinse cycle preferably follows treating the fabric with a detergent composition.
Waschaktive VerbindungenDetergent Active links
Wenn die Zusammensetzung zur Verwendung in der vorliegenden Erfindung in Form einer Waschmittelzusammensetzung vorliegt, kann der gewebeverträgliche Träger aus anionischen, kationischen, nicht-ionischen, amphoteren und zwitterionischen waschaktiven Seife- und Nicht-Seife-Verbindungen und Gemischen davon ausgewählt werden.If the composition for use in the present invention is in the form of a detergent composition, the tissue-compatible carrier may comprise anionic, cationic, nonionic, amphoteric and zwitterionic detergent soap and non-soap compounds and mixtures thereof selected become.
Viele geeignete waschaktive Verbindungen sind verfügbar und werden vollständig in der Literatur beschrieben, beispielsweise in „Surface-Active Agents and Detergents", Bände I und II, von Schwartz, Perry and Berch.Lots suitable detergent-active compounds are available and will be fully incorporated into literature, for example in "Surface-Active Agents and Detergents ", Volumes I and II, by Schwartz, Perry and Berch.
Die bevorzugten gewebeverträglichen Träger, die verwendet werden können, sind Seifen und synthetische anionische und nicht-ionische Nicht-Seife-Verbindungen.The preferred tissue-compatible Carrier, which can be used are soaps and synthetic anionic and non-ionic non-soap compounds.
Anionische oberflächenaktive Mittel sind dem Fachmann allgemein bekannt. Beispiele umfassen Alkylbenzolsulfonate, speziell lineare Alkylbenzolsulfonate mit einer Alkylkettenlänge von C8-C15; primäre und sekundäre Alkylsulfate, speziell primäre C8-C15-Alkylsulfate; Alkylethersulfate; Olefinsulfonate; Alkylxylolsulfonate; Dialkylsulfosuccinate und Fettsäureestersulfonate. Natriumsalze werden im allgemeinen bevorzugt.Anionic surfactants are well known to those skilled in the art. Examples include alkylbenzenesulfonates, especially linear alkylbenzenesulfonates having an alkyl chain length of C 8 -C 15 ; primary and secondary alkyl sulfates, especially C 8 -C 15 primary alkyl sulfates; alkyl ether; olefin; alkylxylenesulfonates; Dialkyl sulfosuccinates and fatty acid ester sulfonates. Sodium salts are generally preferred.
Nicht-ionische oberflächenaktive Mittel, die verwendet werden können, umfassen primäre und sekundäre Alkoholethoxylate, speziell die aliphatischen C8-C20-Alkohole, ethoxyliert mit durchschnittlich 1 bis 20 Mol Ethylenoxid pro Mol Alkohol, und spezieller die primären und sekundären aliphatischen C10-C15-Alkohole, ethoxyliert mit durchschnittlich 1 bis 10 Mol Ethylenoxid pro Mol Alkohol. Nicht-ethoxylierte, nicht-ionische oberflächenaktive Mittel umfassen Alkylpolyglykoside, Glycerolmonoether und Polyhydroxyamide (Glucamid).Nonionic surfactants that can be used include primary and secondary alcohol ethoxylates, especially the C 8 -C 20 aliphatic alcohols ethoxylated with an average of 1 to 20 moles of ethylene oxide per mole of alcohol, and more particularly the C 10 primary and secondary aliphatic alcohols. C 15 -alcohols, ethoxylated with an average of 1 to 10 moles of ethylene oxide per mole of alcohol. Non-ethoxylated nonionic surfactants include alkyl polyglycosides, glycerol monoethers and polyhydroxyamides (glucamide).
Kationische oberflächenaktive Mittel, die verwendet werden können, umfassen quartäre Ammoniumsalze der allgemeinen Formel R1R2R3R4N+ X-, worin die R-Gruppen unabhängig voneinander Hydrocarbylketten von C1-C22-Länge sind, typischerweise Alkyl-, Hydroxyalkyl- oder ethoxylierte Alkylgruppen, und X ein löslich machendes Kation ist (beispielsweise Verbindungen, worin R1 eine C8-C22-Alkylgruppe, vorzugsweise eine C8-C10- oder C12-C14-Alkylgruppe ist, R2 eine Methylgruppe ist, und R3 und R4, die gleich oder unterschiedlich sein können, Methyl- oder Hydroxyethylgruppen sind); und kationische Ester (beispielsweise Cholinester) und Pyridiniumsalze.Cationic surfactants that can be used include quaternary ammonium salts of the general formula R 1 R 2 R 3 R 4 N + X - , wherein the R groups are independently hydrocarbyl chains of C 1 -C 22 length, typically alkyl, Hydroxyalkyl or ethoxylated alkyl groups, and X is a solubilizing cation (for example, compounds wherein R 1 is a C 8 -C 22 alkyl group, preferably a C 8 -C 10 or C 12 -C 14 alkyl group, R 2 is one Methyl group, and R 3 and R 4 , which may be the same or different, are methyl or hydroxyethyl groups); and cationic esters (e.g., choline esters) and pyridinium salts.
Die Gesamtmenge an waschaktiver Substanz in der Zusammensetzung beträgt geeigneterweise 0,1 bis 60 Gew.-%, beispielsweise 0,5 bis 55 Gew.-%, wie 5 bis 50 Gew.-%.The Total amount of washing-active substance in the composition is suitably 0.1 to 60% by weight, for example 0.5 to 55% by weight, such as 5 to 50 Wt .-%.
Vorzugsweise beträgt die Menge des anionischen oberflächenaktiven Mittels (wenn vorhanden) 1 bis 50 Gew.-% der Gesamtzusammensetzung. Stärker bevorzugt beträgt die Menge des anionischen oberflächenaktiven Mittels 3 bis 35 Gew.-%, beispielsweise 5 bis 30 Gew.-%.Preferably is the amount of anionic surfactant By means (if present) 1 to 50% by weight of the total composition. Stronger is preferred the amount of anionic surfactant By means of 3 to 35 wt .-%, for example 5 to 30 wt .-%.
Vorzugsweise beträgt die Menge des nicht-ionischen oberflächenaktiven Mittels, wenn vorhanden, 2 bis 25 Gew.-%, stärker bevorzugt 5 bis 20 Gew.-%.Preferably, the amount of nonionic surfactant, if present, is 2 to 25% by weight, more preferably 5 to 20% by weight.
Amphotere oberflächenaktive Mittel können ebenso verwendet werden, beispielsweise Aminoxide oder Betaine.amphoteric surfactants Means can also be used, for example, amine oxides or betaines.
Die Zusammensetzungen können geeigneterweise 10 bis 70 Gew.-%, vorzugsweise 15 bis 70 Gew.-% eines Aufbaustoffes enthalten. Vorzugsweise beträgt die Menge des Aufbaustoffes 15 bis 50 Gew.-%.The Compositions can suitably 10 to 70% by weight, preferably 15 to 70% by weight of a Construction material included. Preferably, the amount of the builder is 15 to 50 wt .-%.
Die Waschmittelzusammensetzung kann als Aufbaustoff ein kristallines Alumosilikat, vorzugsweise ein Alkalimetallalumosilikat, stärker bevorzugt ein Natriumalumosilikat enthalten.The Detergent composition may be a crystalline builder Aluminosilicate, preferably an alkali metal aluminosilicate, more preferably a sodium aluminosilicate included.
Das
Alumosilikat kann im allgemeinen in Mengen von 10 bis 70 Gew.-%
(wasserfreie Basis), vorzugsweise 25 bis 50 Gew.-% aufgenommen werden.
Alumosilikate sind Materialien mit der allgemeinen Formel:
Weichspüler- und/oder KonditionierungsverbindungenSoftener and / or conditioning compounds
Wenn die Zusammensetzung zur Verwendung in der vorliegenden Erfindung in Form einer Weichspülerzusammensetzung vorliegt, wird der gewebeverträgliche Träger eine Weichspüler- und/oder Konditionierungsverbindung sein (hierin nachstehend als „Weichspülerverbindung" bezeichnet), die eine kationische oder nicht-ionische Verbindung sein kann.If the composition for use in the present invention in the form of a fabric softener composition is present, the tissue-compatible carrier a fabric softener and / or conditioning compound (hereinafter referred to as "fabric softening compound") which may be a cationic or non-ionic compound.
Die Weichspüler- und/oder Konditionierungsverbindungen können wasserunlösliche quartäre Ammoniumverbindungen sein. Die Verbindungen können in Mengen von bis zu 8 Gew.-% (bezogen auf die Gesamtmenge der Zusammensetzung), wobei in diesem Fall die Zusammensetzungen verdünnt sind, oder bei Niveaus von 8 bis etwa 50 Gew.-% vorliegen, wobei in diesem Fall die Zusammensetzungen Konzentrate sind.The fabric softener and / or conditioning compounds may be water-insoluble quaternary ammonium compounds be. The connections can in amounts of up to 8% by weight (based on the total amount of the composition), in which case the compositions are diluted, or at levels from 8 to about 50% by weight, in which case the compositions Concentrates are.
Die Zusammensetzungen, die zur Zufuhr während des Spülkreislaufes geeignet sind, können dem Gewebe ebenso in dem Trockenautomat zugeführt werden, wenn in einer geeigneten Form verwendet. Daher ist eine andere Produktform eine Zusammensetzung (beispielsweise eine Paste), geeignet zum Beschichten auf und zur Abgabe von einem Substrat, beispielsweise eine flexible Folie oder ein Schwamm oder ein geeigneten Spender während eines Trockenautomatenkreislaufes.The Compositions for delivery during the rinse cycle are suitable the tissue are also fed in the drying machine, if in a suitable Form used. Therefore, another product form is a composition (For example, a paste), suitable for coating on and to Delivery of a substrate, such as a flexible film or a sponge or suitable dispenser during a dry cycle of the machine.
Geeignete kationische Weichspülerverbindungen sind im wesentlichen wasserunlösliche quartäre Ammoniummaterialien, umfassend eine einzelne lange Alkyl- oder Alkenylkette mit einer durchschnittlichen Kettenlänge von größer als oder gleich C20, oder stärker bevorzugt Verbindungen, umfassend eine polare Kopfgruppe und zwei Alkyl- oder Alkenylketten mit einer durchschnittlichten Kettelänge von größer als oder gleich C14. Vorzugsweise weisen die Weichspülerverbindungen zwei langkettige Alkyl- oder Alkenylketten auf, die jeweils eine durchschnittliche Kettenlänge von größer als oder gleich C16 aufweisen. Am stärksten bevorzugt weisen mindestens 50% der langkettigen Alkyl- oder Alkenylgruppen eine Kettenlänge von C18 oder darüber auf. Es ist bevorzugt, wenn die langkettigen Alkyl- oder Alkenylgruppen der Weichspülerverbindungen überwiegend linear sind.Suitable cationic softener compounds are substantially water-insoluble quaternary ammonium materials comprising a single long alkyl or alkenyl chain having an average chain length of greater than or equal to C 20 , or more preferably compounds comprising a polar head group and two alkyl or alkenyl chains having an average chain length of greater than or equal to C 14 . Preferably the fabric softening compounds have two long chain alkyl or alkenyl chains each having an average chain length greater than or equal to C 16. Most preferably, at least 50% of the long chain alkyl or alkenyl groups have a chain length of C 18 or above. It is preferred if the long-chain alkyl or alkenyl groups of the fabric softening compounds are predominantly linear.
Quartäre Ammoniumverbindungen mit zwei langkettigen aliphatischen Gruppen, beispielsweise Distearyldimethylammoniumchlorid und Di(gehärtetes Talgalkyl)dimethylammoniumchlorid, werden weitgehend in kommerziell erhältlichen Weichspülerzusammensetzungen verwendet. Andere Beispiele von diesen kationischen Verbindungen sind in „Surface-Active Agents and Detergents", Bände I und II, von Schwartz, Perry and Berch zu finden. Irgendwelche der konventionellen Typen von solchen Verbindungen können in den erfindungsgemäßen Zusammensetzungen verwendet werden.Quaternary ammonium compounds with two long-chain aliphatic groups, for example distearyldimethylammonium chloride and di (hardened Tallow alkyl) dimethyl ammonium chloride, are largely in commercial available Fabric softener compositions used. Other examples of these cationic compounds are in "Surface-Active Agents and Detergents ", Volumes I and II, by Schwartz, Perry and Berch. Any of the Conventional types of such compounds can be used in the compositions of the invention be used.
Die Weichspülverbindungen sind vorzugsweise Verbindungen, die ausgezeichnetes Erweichen bereitstellen, und durch eine Kettenschmelz-Lβ bis Lα-Übergangstemperatur größer als 25 °C, vorzugsweise größer als 35 °C, am stärksten bevorzugt größer als 45 °C gekennzeichnet sind. Dieser Lβ- zu Lα-Übergang kann durch DSC gemessen werden, wie in „Handbook of Lipid Bilayers", D Marsh, CRC Press, Boca Raton, Florida, 1990 (Seiten 137 und 337) definiert. Die im wesentlichen wasserunlöslichen Weichspülerverbindungen werden als Weichspülerverbindungen mit einer Löslichkeit von weniger als 1 × 10-3 Gew.-% in vollentsalztem Wasser bei 20 °C definiert. Vorzugsweise weisen die Weichspülerverbindungen eine Löslichkeit von weniger als 1 × 10-4 Gew.-%, stärker bevorzugt weniger als 1 × 10-8 bis 1 × 10-6 Gew.-% auf.The fabric softening compounds are preferably compounds which provide excellent softening and are characterized by a chain melting Lβ to Lα transition temperature greater than 25 ° C, preferably greater than 35 ° C, most preferably greater than 45 ° C. This Lβ to Lα transition can by DSC as defined in Handbook of Lipid Bilayers, D Marsh, CRC Press, Boca Raton, Florida, 1990 (pages 137 and 337) The substantially water-insoluble fabric softening compounds are used as softener compounds having a solubility of less than 1x 10 -3 % by weight in deionized water at 20 ° C. Preferably, the fabric softening compounds have a solubility of less than 1 × 10 -4 % by weight, more preferably less than 1 × 10 -8 to 1 × 10 -6 Wt .-% on.
Besonderes bevorzugt sind kationische Weichspülerverbindungen, die wasserunlösliche quartäre Ammoniummaterialien mit zwei C12-22-Alkyl- oder -Alkenylgruppen sind, die an das Molekül über mindestens eine Esterverknüpfung, vorzugsweise zwei Esterverknüpfungen gebunden sind. Ein besonders bevorzugtes Ester-verknüpftes quartäres Ammoniummaterialkann durch die Formel II: dargestellt werden, worin jede R1-Gruppe unabhängig aus C1-4-Alkyl oder Hydroxyalkylgruppen oder C2-4-Alkenylgruppen ausgewählt ist; jede R2-Gruppe unabhängig aus C8-28-Alkyl oder -Alkenylgruppen ausgewählt ist; und worin R3 eine lineare oder verzweigte Alkylengruppe mit 1 bis 5 Kohlenstoffatomen ist, T ist, und p 0 oder eine ganze Zahl von 1 bis 5 ist.Particularly preferred are cationic softener compounds which are water-insoluble quaternary ammonium materials having two C 12-22 alkyl or alkenyl groups attached to the molecule via at least one ester linkage, preferably two ester linkages. A particularly preferred ester-linked quaternary ammonium material may be represented by Formula II: wherein each R 1 group is independently selected from C 1-4 alkyl or hydroxyalkyl groups or C 2-4 alkenyl groups; each R 2 group is independently selected from C 8-28 alkyl or alkenyl groups; and wherein R 3 is a linear or branched alkylene group having 1 to 5 carbon atoms, T is and p is 0 or an integer from 1 to 5.
Di(talgoxyloxyethyl)dimethylammoniumchlorid und/oder sein gehärtetes Talganalogon ist von den Verbindungen der Formel (II) besonders bevorzugt.Di (talgoxyloxyethyl) dimethyl ammonium chloride and / or its hardened Talganalogon is especially of the compounds of formula (II) prefers.
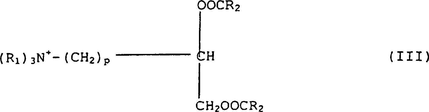
Ein zweiter bevorzugter Typ von quartärem Ammoniummaterial kann durch die Formel (III): dargestellt werden, worin R1, p und R2 wie oben definiert sind.A second preferred type of quaternary ammonium material may be represented by the formula (III): wherein R 1 , p and R 2 are as defined above.
Es ist vorteilhaft, wenn das quartäre Ammoniummaterial biologisch abbaubar ist.It is advantageous if the quaternary Ammonium material is biodegradable.
Bevorzugte
Materialien dieser Klasse, wie 1,2-Bis(gehärtes Talgoyloxy)-3-trimethylammoniumpropanchlorid
und ihre Herstellungsverfahren werden beispielsweise in
Andere nützliche kationische Weichmacher sind Alkylpyridiniumsalze und substituierte Imidazolinspezies. Ebenso nützlich sind primäre, sekundäre und tertiäre Amine und die Kondensationsprodukte von Fettsäuren mit Alkylpolyaminen.Other useful cationic plasticizers are alkylpyridinium salts and substituted ones Imidazoline. Equally useful are primary, secondary and tertiary Amines and the condensation products of fatty acids with alkyl polyamines.
Die
Zusammensetzungen können
alternativ oder zusätzlich
wasserlösliche
kationische Gewebeweichmacher enthalten, wie in
Die Zusammensetzungen können eine kationische Weichspülerverbindung und ein Öl umfassen, wie beispielsweise in EP-A-0829531 offenbart.The Compositions can a cationic softener compound and an oil as disclosed, for example, in EP-A-0829531.
Die Zusammensetzungen können alternativ oder zusätzlich nicht-ionische Weichspüler, wie Lanolin und Derivate davon enthalten.The Compositions can alternatively or additionally non-ionic fabric softener, such as lanolin and derivatives thereof.
Lezithine sind ebenso geeignete Weichspülerverbindungen.lecithins are also suitable softener compounds.
Nicht-ionische
Weichspüler
umfassen Lβ-Phasen-bildende
Zuckerester (wie in M Hato et al Langmuir 12, 1659, 1666, (1996)
beschrieben) und verwandte Materialien, wie Glycerolmonostearat
oder Sorbitanester. Oftmals werden diese Materialien zusammen mit
kationischen Materialien verwendet, um die Ablagerung zu unterstützen (siehe
beispielsweise
Die Zusammensetzungen können ebenso geeigneterweise ein nicht-ionisches Stabilisierungsmittel enthalten. Geeignete nicht-ionische Stabilisierungsmittel sind lineare C8- bis C22-Alkohole, die mit 10 bis 20 Mol Alkylenoxid alkoxyliert sind, C10- bis C20-Alkohole oder Gemische davon.The compositions may also suitably contain a nonionic stabilizer. Suitable nonionic stabilizers are linear C 8 to C 22 alcohols alkoxylated with 10 to 20 moles of alkylene oxide, C 10 to C 20 alcohols or mixtures thereof.
Vorteilhafterweise ist das nicht-ionische Stabilisierungsmittel ein linearer C8- bis C22-Alkohol, der mit 10 bis 20 Mol Alkylenoxid alkoxyliert ist. Vorzugsweise liegt das Niveau des nicht-ionischen Stabilisators zwischen 0,1 und 10 Gew.-%, stärker bevorzugt 0,5 und 5 Gew.-%, am stärksten bevorzugt 1 und 4 Gew.-%. Das Molverhältnis der quartären Ammoniumverbindung und/oder des anderen kationischen Weichspülers zu dem nicht-ionischen Stabilisierungsmittel liegt geeigneterweise im Bereich von 40 : 1 bis etwa 1 : 1, vorzugsweise im Bereich von 18 : 1 bis etwa 3 : 1.Advantageously, the nonionic stabilizer is a linear C 8 to C 22 alcohol alkoxylated with 10 to 20 moles of alkylene oxide. Preferably, the level of the nonionic stabilizer is between 0.1 and 10 wt%, more preferably 0.5 and 5 wt%, most preferably 1 and 4 wt%. The molar ratio of the quaternary ammonium compound and / or the other cationic softener to the nonionic stabilizer is suitably in the range of 40: 1 to about 1: 1, preferably in the range of 18: 1 to about 3: 1.
Die Zusammensetzung kann ebenso Fettsäuren enthalten, beispielsweise C8- bis C24-Alkyl- oder -Alkenylmonocarbonsäuren oder Polymere davon. Vorzugsweise werden gesättigte Fettsäuren verwendet, insbesondere gehärtete Talg-C16-C18-Fettsäuren. Vorzugsweise ist die Fettsäure nicht verseift, stärker bevorzugt ist die Fettsäure frei, beispielsweise Ölsäure, Laurinsäure oder Talgfettsäure. Das Niveau an Fettsäurematerial beträgt vorzugsweise mehr als 0,1 Gew.-%, stärker bevorzugt mehr als 0,2 Gew.-%. Konzentrierte Zusammensetzungen können 0,5 bis 20 Gew.-% Fettsäure, stärker bevorzugt 1 bis 10 Gew.-% umfassen. Das Gewichtsverhältnis des quartären Ammoniummaterials oder des anderen kationischen Weichspülers zu dem Fettsäurematerial beträgt vorzugsweise 10 : 1 bis 1 : 10.The composition may also contain fatty acids, for example C 8 to C 24 alkyl or alkenyl monocarboxylic acids or polymers thereof. Preferably, saturated fatty acids are used, especially hardened tallow C 16 -C 18 fatty acids. Preferably, the fatty acid is not saponified, more preferably the fatty acid is free, for example, oleic acid, lauric acid or tallow fatty acid. The level of fatty acid material is preferably more than 0.1% by weight, more preferably more than 0.2% by weight. Concentrated compositions may comprise from 0.5% to 20% by weight of fatty acid, more preferably from 1% to 10% by weight. The weight ratio of the quaternary ammonium or other cationic softener to the fatty acid material is preferably 10: 1 to 1:10.
Die Weichspülerzusammensetzungen können Silikone, wie überwiegend lineare Polydialkylsiloxane, beispielsweise Polydimethylsiloxane oder Aminosilikone, enthaltend Amin-funktionalisierte Seitenketten; Schmutzablösepolymere, wie Blockcopolymere von Polyethylenoxid und Terephthalat; amphotere oberflächenaktive Mittel; anor ganischen Ton vom Smectitetyp; zwitterionische quartäre Ammoniumverbindungen; und nicht-ionische oberflächenaktive Mittel umfassen.The Fabric softener compositions can Silicones, as predominantly linear polydialkylsiloxanes, for example polydimethylsiloxanes or aminosilicones containing amine-functionalized side chains; Soil release polymers, such as block copolymers of polyethylene oxide and terephthalate; amphoteric surfactants Medium; inorganic smectite-type clay; zwitterionic quaternary ammonium compounds; and nonionic surfactant Means include.
Die Weichspülerzusammensetzungen können ebenso ein Mittel umfassen, das ein Perlmuttaussehen erzeugt, beispielsweise eine organische Perlen-bildende Verbindung, wie Ethylenglykoldistearat, oder anorganische Perlenbildende Pigmente, wie mikrofeinen Glimmer oder Titandioxid (TiO2) beschichteten Glimmer.The fabric softener compositions may also comprise an agent which produces a pearlescent appearance, for example, an organic bead-forming compound such as ethylene glycol distearate, or inorganic bead-forming pigments such as microfine mica or titanium dioxide (TiO 2 ) coated mica.
Die Weichspülerzusammensetzungen können in Form von Emulsionen oder Emulsionspräkursorn davon vorliegen.The Fabric softener compositions can in the form of emulsions or emulsion precursors thereof.
Andere optionale Inhaltsstoffe umfassen Emulgatoren, Elektrolyte (beispielsweise Natriumchlorid oder Calciumchlorid), vorzugsweise im Bereich von 0,01 bis 5 Gew.-%, pH-Puffer und Duftstoffe (vorzugsweise von 0,1 bis 5 Gew.-%).Other optional ingredients include emulsifiers, electrolytes (e.g. Sodium chloride or calcium chloride), preferably in the range of 0.01 to 5 wt .-%, pH buffer and perfumes (preferably from 0.1 to 5% by weight).
Weitere optionale Inhaltsstoffe umfassen nicht-wässerige Lösungsmittel, Duftstoffträger, fluoreszierende Stoffe, Farbmittel, hydrotrope Verbindungen, Antischaummittel, Antivergrauungsmittel, Enzyme, optische Aufheller, Trübungsmittel, Farbstoffübertragungsinhibitoren, Antischrumpfmittel, Antifaltenmittel, Fleckenentferner, Germizide, Fungizide, Antioxidationsmittel, UV-Absorber (Sonnenschutzmittel), Schwermetallmaskierungsmittel, Chlorfänger, Farbstoffixierungsmittel, Antikorrosionsmittel, Faltenvermittler, Antistatikmittel und Bügelhilfen. Diese Liste sollte nicht erschöpfend sein.Further optional ingredients include non-aqueous solvents, perfume carriers, fluorescent Fabrics, colorants, hydrotropes, antifoam agents, anti-dusting agents, Enzymes, optical brighteners, opacifiers, Dye transfer inhibitors, Anti-shrink, anti-wrinkle agents, stain removers, germicides, Fungicides, antioxidants, UV absorbers (sunscreens), Heavy metal sequestering agent, chlorine scavenger, dye fixing agent, Anti-corrosive agents, wrinkle promoters, antistatic agents and ironing aids. This list should not be exhaustive be.
GewebebehandlungsprodukteFabric treatment products
Die Zusammensetzung zur Verwendung in der Erfindung kann in Form einer Flüssigkeit, eines Feststoffes (beispielsweise Pulver oder Tablette), eines Gels oder einer Paste, eines Sprays, eines Stiftes oder eines Schaums oder einer Mousse vorliegen. Beispiele umfassen ein Einweichprodukt, eine Spülbehandlung (beispielsweise Weichspüler oder Appreteur) oder ein Hauptwaschprodukt. Die Zusammensetzung kann ebenso auf ein Substrat, beispielsweise ein flexibles Tuch aufgetragen oder in einem Spender verwendet werden, der in dem Waschkreislauf, Spülkreislauf oder während des Trocknungskreislaufs verwendet werden kann.The Composition for use in the invention may take the form of a Liquid, a solid (for example, powder or tablet), a gel or a paste, spray, pen, or foam or a mousse. Examples include a soak product, a rinsing treatment (for example softener or appreteur) or a main wash product. The composition can also on a substrate, such as a flexible cloth applied or used in a dispenser in the washing cycle, rinse cycle or while of the drying cycle can be used.
Die Erfindung wird nun nur mittels Beispielen und in bezug auf die folgenden nicht-einschränkenden Beispiele beschrieben.The Invention will now be described by way of example only and with reference to the following non-limiting examples described.
BeispieleExamples
POLYMER AM (Markenname) und POLYMER MRSM (Markenname) sind polymere Materialien gemäß der Erfindung und wurden von Precision Processes Textiles of Ambergate, Derbyshire, UK erhalten.POLYMER AM (brand name) and POLYMER MRSM (brand name) are polymeric materials according to the invention and were produced by Precision Processes Textiles of Ambergate, Derbyshire, UK received.
Testverfahren zur Bewertung von Naßfestleim auf Papier durch ZugfestigkeitTest method for evaluation of wet strength glue on paper by tensile strength
Das
verwendete Testverfahren war wie folgt:
Ausgewähltes Papier
= 80 gsm White Copier Bond, 210 × 297 mm, Universal Office
Supplies ref UCOP80. Trockengewicht von einem A4-Blatt = 4,91 g.
Gewicht nach 30 Minuten Einweichen und Entfernen von überschüssigem Wasser
= 7,30 g. Aufnahme deshalb auf 50 % eingestellt.The test procedure used was as follows:
Selected Paper = 80 gsm White Copier Bond, 210 × 297 mm, Universal Office Supplies ref UCOP80. Dry weight of one A4 sheet = 4.91 g. Weight after soaking for 30 minutes and removing excess water = 7.30 g. Recording therefore set to 50%.
Für den nicht-behandelten Standard wurde das Papier in vollentsalztem Wasser für 10 Minuten in einer flachen Schale eingeweicht. Nach dieser Zeit wurden die Blätter entfernt und das überschüssige Wasser durch vorsichtiges Abtupfen mit Papiertüchern entfernt, bis das gesamte Oberflächenwasser entfernt worden ist. Das Papier wurde dann bei 110 °C für 10 Minuten in einem Gebläseofen getrocknet.For the non-treated Standard was the paper in demineralized water for 10 minutes soaked in a shallow dish. After that time, the leaves removed and the excess water through gently blotting with paper towels until the entire surface water has been removed. The paper was then at 110 ° C for 10 minutes in a fan oven dried.
Für die behandelte Probe wurde eine Lösung aus Polymer AM oder Polymer MRSM (Markenname) mit Wasser zusammen mit 2 g/l Natriumbicarbonat hergestellt, um ein Auftragungsniveau durch die Aufnahme von 1 % o.w.f. bereitzustellen.For the treated Sample became a solution from polymer AM or polymer MRSM (trade name) with water prepared with 2 g / L sodium bicarbonate to a level of application by the inclusion of 1% o.w.f. provide.
Wie bei der Referenz wurden die behandelten Proben für 10 Minuten in der Lösung eingeweicht, das überschüssige Wasser entfernt und dann wie oben getrocknet/gehärtet.As at the reference, the treated samples were soaked in the solution for 10 minutes, the excess water removed and then dried / cured as above.
Das Papier konnte dann für mindestens 24 Stunden stehen (wenn die Zugfestigkeitsmessungen auf gesättigtem Papier durchgeführt werden, ist es nicht notwendig, das Papier bei 65 % r. F. zu konditionieren).The Paper was then available for stand for at least 24 hours (when the tensile strength measurements on saturated Paper performed it is not necessary, the paper at 65% r. F. to condition).
Die Proben werden unter Verwendung einer Stanze auf 270 mm mal 67 mm geschnitten und Linien wurden parallel zu der kurzen Länge von 35 mm eingezeichnet, um als eine Führung zu dienen, wenn die Probe in Testometrische Backen geklemmt wird.The Samples are punched to 270 mm by 67 mm using a punch cut and lines were parallel to the short length of 35 mm drawn to serve as a guide when the sample clamped in testometric jaws.
Die Proben werden dann in vollentsalztem Wasser für 30 Minuten eingeweicht.The Samples are then soaked in deionized water for 30 minutes.
Nach dieser Zeit wurde die Mehrheit an Wasser abgezogen, um das Papier gesättigt zu lassen, während die Messungen durchgeführt werden. Bevor der Test durchgeführt wird, wird das überschüssige Wasser wie zuvor entfernt.To At that time, the majority of water was withdrawn to the paper saturated to let while the measurements were done become. Before the test was performed will, the excess water is like previously removed.
Testometrische Apparatur – 25 kgf Kraftmeßzelle, 100 mm/min Geschwindigkeit, Vorspannung 0,1 kgf, Probenlänge 200 mm, Probenbreite 67 mm.Testometrische Apparatus - 25 kgf load cell, 100 mm / min speed, preload 0.1 kgf, sample length 200 mm, sample width 67 mm.
Die
Ergebnisse der Tests waren wie folgt:
Beispiel 1example 1
Farbstoffübertragungsinhibierungdye transfer
Fünf Applikationen von 0,2 % Kenores 1440 (Markenname) Polyamin-epichlorhydrin-(PAE)-Harz (Akzo Nobel), wie in WO 97/42287 offenbart, (ein Polymer außerhalb des Umfangs dieser Erfindung) wurden mittels einer Waschmaschine (Zanussi (Markenname) automatische Waschmaschine, 40 °C Baumwollwaschkreislauf, Persil (Markenname), aufgetragen während des Waschkreislaufs) auf weiße gewebte Baumwollstoffe vorgenommen, eine theoretische maximale Applikation von 1,0 Gew.-% PAE, bezogen auf das Gewicht des Gewebes (owf). Ein ähnliches Verfahren wurde unter Verwendung von 0,2 % Polymer AM (Markenname) und 0,2 % Polymer MRSM (Markenname) durchgeführt. Die behandelten Gewebe wurden dann mit Direct Red 80 gefärbtem Gewebe, das dafür bekannt ist, den Farbstoff zu verlieren, gewaschen. Die resultierenden Gewebe wurden dann auf einem Spectroflash (Markenname) Spektrometer gemessen, um den Farbstoffübertragungsgrad zu bestimmen. Eine unbehandelte Gewebeprobe wurde als Referenz verwendet.
- ΔL = Veränderung der Helligkeit
- ΔE = Veränderung der Farbe
- ΔL = change in brightness
- ΔE = change in color
Daher gibt es wenig Veränderung der Farbe für das Gewebe, das mit einem Polymer gemäß der Erfindung behandelt wurde, und deshalb wenig Farbstoffübertragung.Therefore there is little change the color for the fabric treated with a polymer according to the invention and therefore little dye transfer.
Beispiel 2Example 2
KleidungsstückpflegeeigenschaftenGarment care properties
Spectroflash-(Markenname)-Messungen auf einem Standardtestgewebe mit schwarzen und roten Bereichen zeigen, daß die Gewebe, die mit Polymer AM (Markenname) und Polymer MRSM (Markenname) gemäß Beispiel 1 behandelt wurden, verringerte Schädigung zeigen.Spectroflash- (trade name) measurements on a standard test fabric with black and red areas, that the Fabrics made with Polymer AM (brand name) and Polymer MRSM (brand name) according to example 1, showed reduced damage.
Schwarzer Bereich: Black area:
Roter Bereich: Red area:
In beiden Fällen zeigen die behandelten Bereiche weniger Veränderung in bezug auf den Farbton als die nicht-behandelte Probe, was durch die kleineren ΔL- und ΔE-Werte angegeben wird.In both cases The treated areas show less change in hue as the non-treated Sample, which is due to the smaller ΔL and ΔE values is specified.
Beispiel 3Example 3
Schmutzentfernungsoil removal
1 ml Rotwein wurde auf die behandelte Baumwolle gemäß der in Beispiel 1 dargestellten Verfahrensweise aufgetragen (5 Spülapplikationen von 0,2 % pro Waschung). Der Fleck wurde auf einem Spectroflash- (Markenname) Spektrophotometer vor dem Waschen und nach dem Waschen bei 40 °C unter Verwendung von Persil Performance Biological Pulver (Markenname) gemessen. Die Veränderung der Farbentiefe an den Flecken in bezug auf die Probe vor dem Waschen war: One ml of red wine was applied to the treated cotton according to the procedure outlined in Example 1 (5 rinse applications of 0.2% per wash). The stain was measured on a Spectroflash (brand name) spectrophotometer before washing and after washing at 40 ° C using Persil Performance Biological Powder (trade name). The change in color depth at the spots with respect to the sample before washing was:
Nach dem Waschen waren die Farbmessungen: After washing, the color measurements were:
Polymer AM (Markenname) zeigt fast identische Fleckenentfernungseigenschaften zu dem nicht-behandelten Gewebe, während Polymer MRSM (Markenname) zwischen Polymer Am (Markenname) und Kenores 1440 (Markenname) liegt.polymer AM (brand name) shows almost identical stain removal properties to the non-treated tissue, while Polymer MRSM (brand name) between Polymer Am (trade name) and Kenores 1440 (trade name).
Der
Hintergrundbereich des Gewebes wurde ebenso gemessen, um die Anzeichen
jeglicher Tendenz der Behandlungen, Rückvergrauung zu verursachen,
bereitzustellen. Je kleiner die Sepktrometerwerte, desto weniger
Veränderung
der Farbe und desto weniger Rückvergrauung.
Obwohl die Unterschiede klein sind, gibt es noch Anzeichen, daß diese Polymere die Rückvergrauungseigenschaften des Gewebes in demselben Ausmaß erhöhen, wie es die Polymere vom PAE-Typ tun. Bei dem Polymer AM (Markenname) gibt es weniger Rückvergrauung als mit dem Weichspüler.Even though the differences are small, there are still signs that these Polymers have the redeposition properties of the tissue to the same extent as it does the PAE-type polymers. For the polymer AM (brand name) there is less redemption as with the softener.
Beispiel 4Example 4
Weichspülerformulierungsoftener formulation
Weichspülerformulierungen wurden durch Herstellen einer Standardweichspülerzusammensetzung, die die Komponenten 2 bis 8 nachstehend enthält, und Zugeben der Komponente 1 unter Rühren hergestellt. Die Zusammensetzungen wurden sowohl in verdünnten als auch konzentrierten Formen hergestellt.fabric softener formulations were prepared by preparing a standard softener composition containing the Components 2 to 8 below, and adding the component 1 with stirring produced. The compositions were diluted in both also produced in concentrated forms.
Die Formulierungen waren wie folgt:
- * ein primärer C12-Alkohol, ethoxyliert mit 20 Mol Ethylenoxid
- * a primary C 12 alcohol ethoxylated with 20 moles of ethylene oxide
Beispiel 5Example 5
Polymer AM wurde auf 2 % Resinatbaumwollpopelin-Kontrollstücke (40 × 40 cm) mit einem Polster aufgetragen, um ein Aufnahmeniveau von 0,5 % owf auf dem Gewebe zu erhalten. Die Kontrollstücke wurden dann im Automaten getrocknet. Dies wurde viermal durchgeführt, um ein Gesamtniveau von 2 % owf zu erhalten. Eine ähnliche Verfahrensweise wurde für Polymer MRSM und Kenores 1440 durchgeführt. Die Kontrollstücke wurden benetzt, zerknirscht (um die Faltenbildung in dem Waschverfahren zu simulieren), dann in einen Trockenautomaten (Miete) mit benetztem Baumwollstoffballast (1 kg, wenn trocken) gegeben. Die Ladung wurde dann getrocknet, bis die Antiknittereinstellung auf dem Trockner erreicht wurde. Die Kontrollstücke wurden dann gegenüber AATCC-Glättestandards bewertet, um das Knitterniveau zu bestimmen. Die Kontrollstücke wurden dann gebügelt und das Knitterverfahren wiederholt.polymer AM was grown on 2% Resinat cotton poplin control pieces (40 × 40 cm) applied with a pad to a take-up level of 0.5% owf to get on the tissue. The control pieces were then in the machine dried. This was done four times to a total level of To get 2% owf. A similar Procedure was for Polymer MRSM and Kenores 1440 performed. The control pieces were wetted, contrite (to wrinkle in the washing process to simulate), then in a drying machine (rent) with wetted Cotton ballast (1 kg if dry) given. The charge was then dried until the anti-crease setting on the dryer was achieved. The control pieces were then facing AATCC smoothness standards evaluated to determine the crumple level. The control pieces were then ironed and the creasing process repeated.
Polymer AM und Polymer MRSM werden beträchtlich weniger geknittert als die nicht-behandelte Kontrolle. Polymer MRSM behandelte Kontrollstücke werden noch weniger geknittert, wenn ein Bügelschritt einbezogen ist.polymer AM and polymer MRSM become considerable less wrinkled than the untreated control. Polymer MRSM treated controls will wrinkle even less if a ironing step is included.
Polymer AM und Polymer MRSM werden beträchtlich weniger geknittert als Kenores 1440, insbesondere bei dem Niveau von 0,5 % owf.polymer AM and polymer MRSM become considerable less wrinkled than Kenores 1440, especially at the level from 0.5% owf.
Claims (19)
Applications Claiming Priority (3)
| Application Number | Priority Date | Filing Date | Title |
|---|---|---|---|
| GBGB9923921.2A GB9923921D0 (en) | 1999-10-08 | 1999-10-08 | Fabric care composition |
| GB9923921 | 1999-10-08 | ||
| PCT/GB2000/003695 WO2001027232A1 (en) | 1999-10-08 | 2000-09-26 | Fabric care composition |
Publications (2)
| Publication Number | Publication Date |
|---|---|
| DE60021903D1 DE60021903D1 (en) | 2005-09-15 |
| DE60021903T2 true DE60021903T2 (en) | 2006-03-30 |
Family
ID=10862432
Family Applications (1)
| Application Number | Title | Priority Date | Filing Date |
|---|---|---|---|
| DE60021903T Expired - Lifetime DE60021903T2 (en) | 1999-10-08 | 2000-09-26 | USE OF COMPOSITIONS FOR TEXTILE CARE |
Country Status (16)
| Country | Link |
|---|---|
| EP (1) | EP1218477B1 (en) |
| CN (1) | CN100457881C (en) |
| AR (1) | AR025970A1 (en) |
| AT (1) | ATE301703T1 (en) |
| AU (1) | AU7305000A (en) |
| BR (1) | BR0014560B1 (en) |
| CA (1) | CA2386553C (en) |
| CZ (1) | CZ20021239A3 (en) |
| DE (1) | DE60021903T2 (en) |
| ES (1) | ES2245647T3 (en) |
| GB (1) | GB9923921D0 (en) |
| HU (1) | HUP0203581A2 (en) |
| PL (1) | PL354930A1 (en) |
| TR (1) | TR200200925T2 (en) |
| WO (1) | WO2001027232A1 (en) |
| ZA (1) | ZA200202685B (en) |
Families Citing this family (22)
| Publication number | Priority date | Publication date | Assignee | Title |
|---|---|---|---|---|
| EP1387878B1 (en) | 2001-05-17 | 2004-10-06 | Unilever Plc | Laundry composition |
| GB2378960A (en) * | 2001-08-22 | 2003-02-26 | Unilever Plc | Fabric care composition |
| GB0122825D0 (en) * | 2001-09-21 | 2001-11-14 | Unilever Plc | Fabric care composition |
| GB0201165D0 (en) | 2002-01-18 | 2002-03-06 | Unilever Plc | Azetidinium modidfied poymers and fabric treatment composition |
| CN1311003C (en) | 2002-03-20 | 2007-04-18 | Ge拜尔硅股份有限公司 | Branched polyorganosiloxane polymers |
| DE10316662A1 (en) | 2003-04-11 | 2004-11-11 | Ge Bayer Silicones Gmbh & Co. Kg | Reactive amino and / or ammonium polysiloxane compounds |
| WO2013032479A1 (en) * | 2011-09-01 | 2013-03-07 | Colgate-Palmolive Company | Method for providing fast dry to fabric |
| WO2013032480A1 (en) * | 2011-09-01 | 2013-03-07 | Colgate-Palmolive Company | Method for ease of ironing |
| US9758927B2 (en) | 2011-09-01 | 2017-09-12 | Colgate-Palmolive Company | Method for ease of ironing |
| WO2013032481A1 (en) * | 2011-09-01 | 2013-03-07 | Colgate-Palmolive Company | Method for increased fragrance release during ironing |
| AU2014241193B2 (en) | 2013-03-28 | 2016-10-20 | The Procter And Gamble Company | Cleaning compositions containing a polyetheramine |
| ES2728011T3 (en) | 2013-08-26 | 2019-10-21 | Procter & Gamble | Cleaning compositions containing a polyetheramine |
| EP3122849B1 (en) | 2014-03-27 | 2021-07-21 | The Procter & Gamble Company | Cleaning compositions containing a polyetheramine |
| JP6262365B2 (en) | 2014-03-27 | 2018-01-17 | ザ プロクター アンド ギャンブル カンパニー | Cleaning composition containing polyetheramine |
| MX368217B (en) * | 2014-08-18 | 2019-09-24 | Colgate Palmolive Co | Hair products containing polyetheramine. |
| US9617502B2 (en) | 2014-09-15 | 2017-04-11 | The Procter & Gamble Company | Detergent compositions containing salts of polyetheramines and polymeric acid |
| EP3197988B1 (en) | 2014-09-25 | 2018-08-01 | The Procter & Gamble Company | Cleaning compositions containing a polyetheramine |
| WO2016049388A1 (en) | 2014-09-25 | 2016-03-31 | The Procter & Gamble Company | Fabric care compositions containing a polyetheramine |
| US9631163B2 (en) | 2014-09-25 | 2017-04-25 | The Procter & Gamble Company | Liquid laundry detergent composition |
| US9752101B2 (en) | 2014-09-25 | 2017-09-05 | The Procter & Gamble Company | Liquid laundry detergent composition |
| US9388368B2 (en) | 2014-09-26 | 2016-07-12 | The Procter & Gamble Company | Cleaning compositions containing a polyetheramine |
| US20170275565A1 (en) | 2016-03-24 | 2017-09-28 | The Procter & Gamble Company | Compositions containing an etheramine |
Family Cites Families (6)
| Publication number | Priority date | Publication date | Assignee | Title |
|---|---|---|---|---|
| CH541595A (en) * | 1970-06-05 | 1973-09-15 | Sandoz Ag | Process for the production of new polyether amines |
| GB8916906D0 (en) * | 1989-07-24 | 1989-09-06 | Precision Proc Textiles Ltd | New prepolymers and their use in a method for the treatment of wool |
| US5858023A (en) * | 1990-10-15 | 1999-01-12 | Precision Processes Textiles | Softening agents |
| GB9022305D0 (en) * | 1990-10-15 | 1990-11-28 | Precision Proc Textiles Ltd | Softening agents |
| GB9626572D0 (en) * | 1996-12-20 | 1997-02-05 | Lucas Ind Plc | Control system |
| US6140292A (en) * | 1996-12-31 | 2000-10-31 | The Procter & Gamble Company | Laundry detergent compositions with polyamide-polyamines |
-
1999
- 1999-10-08 GB GBGB9923921.2A patent/GB9923921D0/en not_active Ceased
-
2000
- 2000-09-26 HU HU0203581A patent/HUP0203581A2/en unknown
- 2000-09-26 AT AT00960893T patent/ATE301703T1/en not_active IP Right Cessation
- 2000-09-26 EP EP00960893A patent/EP1218477B1/en not_active Expired - Lifetime
- 2000-09-26 TR TR2002/00925T patent/TR200200925T2/en unknown
- 2000-09-26 DE DE60021903T patent/DE60021903T2/en not_active Expired - Lifetime
- 2000-09-26 ES ES00960893T patent/ES2245647T3/en not_active Expired - Lifetime
- 2000-09-26 CN CNB008169055A patent/CN100457881C/en not_active Expired - Fee Related
- 2000-09-26 AU AU73050/00A patent/AU7305000A/en not_active Abandoned
- 2000-09-26 BR BRPI0014560-2A patent/BR0014560B1/en not_active IP Right Cessation
- 2000-09-26 PL PL00354930A patent/PL354930A1/en unknown
- 2000-09-26 WO PCT/GB2000/003695 patent/WO2001027232A1/en not_active Ceased
- 2000-09-26 CA CA2386553A patent/CA2386553C/en not_active Expired - Fee Related
- 2000-09-26 CZ CZ20021239A patent/CZ20021239A3/en unknown
- 2000-10-06 AR ARP000105268A patent/AR025970A1/en unknown
-
2002
- 2002-04-05 ZA ZA200202685A patent/ZA200202685B/en unknown
Also Published As
| Publication number | Publication date |
|---|---|
| EP1218477B1 (en) | 2005-08-10 |
| CA2386553C (en) | 2010-02-16 |
| ZA200202685B (en) | 2003-06-25 |
| DE60021903D1 (en) | 2005-09-15 |
| AU7305000A (en) | 2001-04-23 |
| CZ20021239A3 (en) | 2002-10-16 |
| PL354930A1 (en) | 2004-03-22 |
| TR200200925T2 (en) | 2002-06-21 |
| BR0014560B1 (en) | 2010-08-24 |
| WO2001027232A1 (en) | 2001-04-19 |
| GB9923921D0 (en) | 1999-12-08 |
| CA2386553A1 (en) | 2001-04-19 |
| ES2245647T3 (en) | 2006-01-16 |
| CN100457881C (en) | 2009-02-04 |
| ATE301703T1 (en) | 2005-08-15 |
| AR025970A1 (en) | 2002-12-26 |
| HUP0203581A2 (en) | 2003-03-28 |
| BR0014560A (en) | 2002-06-11 |
| CN1409753A (en) | 2003-04-09 |
| EP1218477A1 (en) | 2002-07-03 |
Similar Documents
| Publication | Publication Date | Title |
|---|---|---|
| DE60021903T2 (en) | USE OF COMPOSITIONS FOR TEXTILE CARE | |
| DE69924124T2 (en) | LAUNDRY CARE COMPOSITION | |
| DE60221571T2 (en) | AZETIDINUM-MODIFIED POLYMERS AND COMPOSITION FOR THE TREATMENT OF TEXTILE SURFACES | |
| EP2528660B1 (en) | Novel linear polydimethylsiloxane polyether copolymers having amino and/or quaternary ammonium groups and use thereof | |
| DE10036533B4 (en) | Use of polyquaternary polysiloxanes as washable hydrophilic plasticizers | |
| DE69208549T3 (en) | Detergent containing water-soluble or water-dispersible copolymer with UV-absorbing monomer | |
| DE69123869T2 (en) | Alkanol ammonium-functional siloxanes containing plasticizer composition | |
| DE60026333T2 (en) | COMPOSITION TO TEXTILE CARE | |
| DE102004002208B4 (en) | Preparations based on organopolysiloxane-polyammonium block copolymers and their use on textile substrates | |
| EP2363422A1 (en) | Silicon-organic graft copolymers containing nitrogen | |
| EP1148868A1 (en) | Detergent mixtures | |
| DE60313880T2 (en) | LIQUID DETERGENT COMPOSITIONS WITH SILICONE ADDITIVES | |
| DE60319857T2 (en) | FABRIC TREATMENT AGENT | |
| DE60107094T2 (en) | TEXTILE CARE | |
| DE60315005T2 (en) | TEXTILE CARE | |
| DE60033960T2 (en) | IMPROVEMENT OF CREATING RECREATION OF FABRICS | |
| DE60117845T2 (en) | TEXTILE CARE | |
| DE60312250T2 (en) | Amine-containing copolymers for the protection of textiles and fabrics | |
| EP3448973B1 (en) | Compositions containing carbamate functionalized organopolysiloxanes and cationic surfactants | |
| CN1402774A (en) | Fabric care composition | |
| DE60105053T2 (en) | COMPOSITIONS FOR TREATMENT OF TISSUE | |
| DE60105763T3 (en) | COMPOSITION TO TEXTILE CARE | |
| JP7788825B2 (en) | Washing Instructions | |
| DE60033181T2 (en) | TEXTILE MATERIAL | |
| DE60313759T2 (en) | TEXTILE CARE |
Legal Events
| Date | Code | Title | Description |
|---|---|---|---|
| 8364 | No opposition during term of opposition |













