DE10238045A1 - 2-Thio-substituierte Imidazolderivate und ihre Verwendung in der Pharmazie - Google Patents
2-Thio-substituierte Imidazolderivate und ihre Verwendung in der Pharmazie Download PDFInfo
- Publication number
- DE10238045A1 DE10238045A1 DE10238045A DE10238045A DE10238045A1 DE 10238045 A1 DE10238045 A1 DE 10238045A1 DE 10238045 A DE10238045 A DE 10238045A DE 10238045 A DE10238045 A DE 10238045A DE 10238045 A1 DE10238045 A1 DE 10238045A1
- Authority
- DE
- Germany
- Prior art keywords
- pyr
- mmol
- alkyl
- nmr
- ppm
- Prior art date
- Legal status (The legal status is an assumption and is not a legal conclusion. Google has not performed a legal analysis and makes no representation as to the accuracy of the status listed.)
- Withdrawn
Links
Classifications
-
- C—CHEMISTRY; METALLURGY
- C07—ORGANIC CHEMISTRY
- C07D—HETEROCYCLIC COMPOUNDS
- C07D401/00—Heterocyclic compounds containing two or more hetero rings, having nitrogen atoms as the only ring hetero atoms, at least one ring being a six-membered ring with only one nitrogen atom
- C07D401/02—Heterocyclic compounds containing two or more hetero rings, having nitrogen atoms as the only ring hetero atoms, at least one ring being a six-membered ring with only one nitrogen atom containing two hetero rings
- C07D401/04—Heterocyclic compounds containing two or more hetero rings, having nitrogen atoms as the only ring hetero atoms, at least one ring being a six-membered ring with only one nitrogen atom containing two hetero rings directly linked by a ring-member-to-ring-member bond
-
- C—CHEMISTRY; METALLURGY
- C07—ORGANIC CHEMISTRY
- C07D—HETEROCYCLIC COMPOUNDS
- C07D401/00—Heterocyclic compounds containing two or more hetero rings, having nitrogen atoms as the only ring hetero atoms, at least one ring being a six-membered ring with only one nitrogen atom
- C07D401/14—Heterocyclic compounds containing two or more hetero rings, having nitrogen atoms as the only ring hetero atoms, at least one ring being a six-membered ring with only one nitrogen atom containing three or more hetero rings
-
- A—HUMAN NECESSITIES
- A61—MEDICAL OR VETERINARY SCIENCE; HYGIENE
- A61P—SPECIFIC THERAPEUTIC ACTIVITY OF CHEMICAL COMPOUNDS OR MEDICINAL PREPARATIONS
- A61P1/00—Drugs for disorders of the alimentary tract or the digestive system
- A61P1/02—Stomatological preparations, e.g. drugs for caries, aphtae, periodontitis
-
- A—HUMAN NECESSITIES
- A61—MEDICAL OR VETERINARY SCIENCE; HYGIENE
- A61P—SPECIFIC THERAPEUTIC ACTIVITY OF CHEMICAL COMPOUNDS OR MEDICINAL PREPARATIONS
- A61P1/00—Drugs for disorders of the alimentary tract or the digestive system
- A61P1/04—Drugs for disorders of the alimentary tract or the digestive system for ulcers, gastritis or reflux esophagitis, e.g. antacids, inhibitors of acid secretion, mucosal protectants
-
- A—HUMAN NECESSITIES
- A61—MEDICAL OR VETERINARY SCIENCE; HYGIENE
- A61P—SPECIFIC THERAPEUTIC ACTIVITY OF CHEMICAL COMPOUNDS OR MEDICINAL PREPARATIONS
- A61P1/00—Drugs for disorders of the alimentary tract or the digestive system
- A61P1/16—Drugs for disorders of the alimentary tract or the digestive system for liver or gallbladder disorders, e.g. hepatoprotective agents, cholagogues, litholytics
-
- A—HUMAN NECESSITIES
- A61—MEDICAL OR VETERINARY SCIENCE; HYGIENE
- A61P—SPECIFIC THERAPEUTIC ACTIVITY OF CHEMICAL COMPOUNDS OR MEDICINAL PREPARATIONS
- A61P11/00—Drugs for disorders of the respiratory system
-
- A—HUMAN NECESSITIES
- A61—MEDICAL OR VETERINARY SCIENCE; HYGIENE
- A61P—SPECIFIC THERAPEUTIC ACTIVITY OF CHEMICAL COMPOUNDS OR MEDICINAL PREPARATIONS
- A61P17/00—Drugs for dermatological disorders
- A61P17/06—Antipsoriatics
-
- A—HUMAN NECESSITIES
- A61—MEDICAL OR VETERINARY SCIENCE; HYGIENE
- A61P—SPECIFIC THERAPEUTIC ACTIVITY OF CHEMICAL COMPOUNDS OR MEDICINAL PREPARATIONS
- A61P17/00—Drugs for dermatological disorders
- A61P17/14—Drugs for dermatological disorders for baldness or alopecia
-
- A—HUMAN NECESSITIES
- A61—MEDICAL OR VETERINARY SCIENCE; HYGIENE
- A61P—SPECIFIC THERAPEUTIC ACTIVITY OF CHEMICAL COMPOUNDS OR MEDICINAL PREPARATIONS
- A61P19/00—Drugs for skeletal disorders
- A61P19/02—Drugs for skeletal disorders for joint disorders, e.g. arthritis, arthrosis
-
- A—HUMAN NECESSITIES
- A61—MEDICAL OR VETERINARY SCIENCE; HYGIENE
- A61P—SPECIFIC THERAPEUTIC ACTIVITY OF CHEMICAL COMPOUNDS OR MEDICINAL PREPARATIONS
- A61P19/00—Drugs for skeletal disorders
- A61P19/06—Antigout agents, e.g. antihyperuricemic or uricosuric agents
-
- A—HUMAN NECESSITIES
- A61—MEDICAL OR VETERINARY SCIENCE; HYGIENE
- A61P—SPECIFIC THERAPEUTIC ACTIVITY OF CHEMICAL COMPOUNDS OR MEDICINAL PREPARATIONS
- A61P19/00—Drugs for skeletal disorders
- A61P19/08—Drugs for skeletal disorders for bone diseases, e.g. rachitism, Paget's disease
- A61P19/10—Drugs for skeletal disorders for bone diseases, e.g. rachitism, Paget's disease for osteoporosis
-
- A—HUMAN NECESSITIES
- A61—MEDICAL OR VETERINARY SCIENCE; HYGIENE
- A61P—SPECIFIC THERAPEUTIC ACTIVITY OF CHEMICAL COMPOUNDS OR MEDICINAL PREPARATIONS
- A61P25/00—Drugs for disorders of the nervous system
-
- A—HUMAN NECESSITIES
- A61—MEDICAL OR VETERINARY SCIENCE; HYGIENE
- A61P—SPECIFIC THERAPEUTIC ACTIVITY OF CHEMICAL COMPOUNDS OR MEDICINAL PREPARATIONS
- A61P25/00—Drugs for disorders of the nervous system
- A61P25/04—Centrally acting analgesics, e.g. opioids
-
- A—HUMAN NECESSITIES
- A61—MEDICAL OR VETERINARY SCIENCE; HYGIENE
- A61P—SPECIFIC THERAPEUTIC ACTIVITY OF CHEMICAL COMPOUNDS OR MEDICINAL PREPARATIONS
- A61P25/00—Drugs for disorders of the nervous system
- A61P25/08—Antiepileptics; Anticonvulsants
-
- A—HUMAN NECESSITIES
- A61—MEDICAL OR VETERINARY SCIENCE; HYGIENE
- A61P—SPECIFIC THERAPEUTIC ACTIVITY OF CHEMICAL COMPOUNDS OR MEDICINAL PREPARATIONS
- A61P25/00—Drugs for disorders of the nervous system
- A61P25/28—Drugs for disorders of the nervous system for treating neurodegenerative disorders of the central nervous system, e.g. nootropic agents, cognition enhancers, drugs for treating Alzheimer's disease or other forms of dementia
-
- A—HUMAN NECESSITIES
- A61—MEDICAL OR VETERINARY SCIENCE; HYGIENE
- A61P—SPECIFIC THERAPEUTIC ACTIVITY OF CHEMICAL COMPOUNDS OR MEDICINAL PREPARATIONS
- A61P29/00—Non-central analgesic, antipyretic or antiinflammatory agents, e.g. antirheumatic agents; Non-steroidal antiinflammatory drugs [NSAID]
-
- A—HUMAN NECESSITIES
- A61—MEDICAL OR VETERINARY SCIENCE; HYGIENE
- A61P—SPECIFIC THERAPEUTIC ACTIVITY OF CHEMICAL COMPOUNDS OR MEDICINAL PREPARATIONS
- A61P3/00—Drugs for disorders of the metabolism
- A61P3/08—Drugs for disorders of the metabolism for glucose homeostasis
- A61P3/10—Drugs for disorders of the metabolism for glucose homeostasis for hyperglycaemia, e.g. antidiabetics
-
- A—HUMAN NECESSITIES
- A61—MEDICAL OR VETERINARY SCIENCE; HYGIENE
- A61P—SPECIFIC THERAPEUTIC ACTIVITY OF CHEMICAL COMPOUNDS OR MEDICINAL PREPARATIONS
- A61P31/00—Antiinfectives, i.e. antibiotics, antiseptics, chemotherapeutics
- A61P31/12—Antivirals
- A61P31/14—Antivirals for RNA viruses
- A61P31/18—Antivirals for RNA viruses for HIV
-
- A—HUMAN NECESSITIES
- A61—MEDICAL OR VETERINARY SCIENCE; HYGIENE
- A61P—SPECIFIC THERAPEUTIC ACTIVITY OF CHEMICAL COMPOUNDS OR MEDICINAL PREPARATIONS
- A61P35/00—Antineoplastic agents
-
- A—HUMAN NECESSITIES
- A61—MEDICAL OR VETERINARY SCIENCE; HYGIENE
- A61P—SPECIFIC THERAPEUTIC ACTIVITY OF CHEMICAL COMPOUNDS OR MEDICINAL PREPARATIONS
- A61P37/00—Drugs for immunological or allergic disorders
-
- A—HUMAN NECESSITIES
- A61—MEDICAL OR VETERINARY SCIENCE; HYGIENE
- A61P—SPECIFIC THERAPEUTIC ACTIVITY OF CHEMICAL COMPOUNDS OR MEDICINAL PREPARATIONS
- A61P37/00—Drugs for immunological or allergic disorders
- A61P37/02—Immunomodulators
-
- A—HUMAN NECESSITIES
- A61—MEDICAL OR VETERINARY SCIENCE; HYGIENE
- A61P—SPECIFIC THERAPEUTIC ACTIVITY OF CHEMICAL COMPOUNDS OR MEDICINAL PREPARATIONS
- A61P37/00—Drugs for immunological or allergic disorders
- A61P37/02—Immunomodulators
- A61P37/06—Immunosuppressants, e.g. drugs for graft rejection
-
- A—HUMAN NECESSITIES
- A61—MEDICAL OR VETERINARY SCIENCE; HYGIENE
- A61P—SPECIFIC THERAPEUTIC ACTIVITY OF CHEMICAL COMPOUNDS OR MEDICINAL PREPARATIONS
- A61P37/00—Drugs for immunological or allergic disorders
- A61P37/08—Antiallergic agents
-
- A—HUMAN NECESSITIES
- A61—MEDICAL OR VETERINARY SCIENCE; HYGIENE
- A61P—SPECIFIC THERAPEUTIC ACTIVITY OF CHEMICAL COMPOUNDS OR MEDICINAL PREPARATIONS
- A61P9/00—Drugs for disorders of the cardiovascular system
-
- A—HUMAN NECESSITIES
- A61—MEDICAL OR VETERINARY SCIENCE; HYGIENE
- A61P—SPECIFIC THERAPEUTIC ACTIVITY OF CHEMICAL COMPOUNDS OR MEDICINAL PREPARATIONS
- A61P9/00—Drugs for disorders of the cardiovascular system
- A61P9/04—Inotropic agents, i.e. stimulants of cardiac contraction; Drugs for heart failure
-
- A—HUMAN NECESSITIES
- A61—MEDICAL OR VETERINARY SCIENCE; HYGIENE
- A61P—SPECIFIC THERAPEUTIC ACTIVITY OF CHEMICAL COMPOUNDS OR MEDICINAL PREPARATIONS
- A61P9/00—Drugs for disorders of the cardiovascular system
- A61P9/10—Drugs for disorders of the cardiovascular system for treating ischaemic or atherosclerotic diseases, e.g. antianginal drugs, coronary vasodilators, drugs for myocardial infarction, retinopathy, cerebrovascula insufficiency, renal arteriosclerosis
Landscapes
- Health & Medical Sciences (AREA)
- Chemical & Material Sciences (AREA)
- Organic Chemistry (AREA)
- Life Sciences & Earth Sciences (AREA)
- Engineering & Computer Science (AREA)
- Bioinformatics & Cheminformatics (AREA)
- Pharmacology & Pharmacy (AREA)
- Chemical Kinetics & Catalysis (AREA)
- General Chemical & Material Sciences (AREA)
- Medicinal Chemistry (AREA)
- Nuclear Medicine, Radiotherapy & Molecular Imaging (AREA)
- Veterinary Medicine (AREA)
- Public Health (AREA)
- Animal Behavior & Ethology (AREA)
- General Health & Medical Sciences (AREA)
- Immunology (AREA)
- Rheumatology (AREA)
- Biomedical Technology (AREA)
- Physical Education & Sports Medicine (AREA)
- Neurosurgery (AREA)
- Neurology (AREA)
- Cardiology (AREA)
- Pain & Pain Management (AREA)
- Heart & Thoracic Surgery (AREA)
- Diabetes (AREA)
- Orthopedic Medicine & Surgery (AREA)
- Virology (AREA)
- Dermatology (AREA)
- Hospice & Palliative Care (AREA)
- Pulmonology (AREA)
- Hematology (AREA)
- Psychiatry (AREA)
- Molecular Biology (AREA)
- AIDS & HIV (AREA)
- Communicable Diseases (AREA)
- Oncology (AREA)
- Vascular Medicine (AREA)
- Urology & Nephrology (AREA)
- Obesity (AREA)
- Tropical Medicine & Parasitology (AREA)
Abstract
Die Erfindung betrifft 2-Thio-substituierte Imidazolderivate der Formel I DOLLAR F1 worin die Reste R·1·, R·2·, R·3· und m die in der Beschreibung angegebene Bedeutung besitzen. Die erfindungsgemäßen Verbindungen besitzen eine immunmodulierende und/oder die Cytokinfreisetzung hemmende Wirkung und sind daher geeignet zur Behandlung von Erkrankungen, die mit einer Störung des Immunsystems im Zusammenhang stehen.
Description
- Die vorliegende Erfindung betrifft 2-Thio-substituierte Imidazolderivate mit immunmodulierender und die Cytokinfreisetzung hemmender Wirkung, pharmazeutische Mittel, welche diese Verbindungen enthalten, und ihre Verwendung in der Pharmazie.
- Pharmakologisch wirksame Imidazolverbindungen mit antiinflammatorischer Aktivität sind bereits bekannt. So wurden unter anderem Verbindungen mit 4,5-Di(hetero)arylimidazol-Elementen näher untersucht und verschiedene pharmazeutische Wirkungen davon beschrieben. Es sind auch Verbindungen bekannt, die an der 2-Position eine Substitution aufweisen. Das US-Patent 4,585,771 offenbart 4,5-Diphenylimidazolderivate, die an der 2-Position mit einem Pyrrolyl-, Indolyl-, Imidazolyl- oder Thiazolylrest substituiert sind und eine antiinflammatorische und antiallergische Aktivität besitzen. Die US-Patente 4,528,298 und 4,402,960 beschreiben 4,5-Di(hetero)arylimidazolderivate, die an der 2-Position über eine Thio-, Sulfinyl- oder Sulfonylgruppe mit einem Phenyl-, Pyridyl-, N-Oxypyridyl-, Pyrimidyl-, Thiazolyl- oder Thienylrest substituiert sind, und eine antiinflammatorische und antiallergische Aktivität besitzen. Die US-Patente 4,461,770 und 4,584,310 beschreiben 4-(5-Aryl)-5-(4-heteroaryl)-imidazolderivate, die an der 2-Position über eine Thio-, Sulfinyl- oder Sulfonylgruppe mit einem substituierten oder nicht-substituierten aliphatischen Kohlenwasserstoff substituiert sind, und unter anderem eine antiinflammatorische Wirkung haben. Imidazolverbindungen mit immunmodulierender und die Cytoxinfreisetzung hemmender Wirkung sind beschrieben in
DE 101 07 683 undDE 102 22 103 . - Die WO 00/17192 (
DE 198 42 833 ) betrifft 4-Heteroaryl-5-phenylimidazolderivate, die an der 2-Position mit einer Phenylalkylthiogruppe substituiert sind. Diese Verbindungen wirken als Entzündungshemmstofte und Hemmstoffe der Cytokinfreisetzung. Die WO 99/03837 und WO 93/14081 beschreiben 2-substituierte Imidazole, die die Synthese einer Anzahl inflammatorischer Cytokine hemmen. Die in der WO 93/14081 beschriebenen Verbindungen weisen in der 2-Position einen über ein Schwefelatom gebundenen, phosphorhaltigen Substituenten oder einen Aryl- oder Heteroarylsubstituenten auf. Die WO 91110662 beschreibt Imidazolderivate, welche die Acyl-Coenzyme A:Cholesterol-O-acyltransferase und die Bindung von Thromboxan TxA2 inhibieren. Die WO 95/00501 beschreibt Imidazolderivate, die als Cyclooxygenaseinhibitoren brauchbar sind. Die in derDE 28 23 197 A beschriebenen Imidazolderivate besitzen antiinflammatorische, antiallergische und immunstimulierende Wirkung. - J. Med. Chem. 1996, 39, 3927-37 beschreibt Verbindungen mit 5-Lipoxygenase- und Cyclooxygenase-inhibierender Wirkung, wobei 2-(4-Methylsulfinylphenyl)-4-(4-fluorphenyl-5-(pyrid-4-yl)-imidazol auch eine Cytokin-inhibierende Wirkung besitzt.
- Weitere 2-Thio-substituierte Imidazolderivate sind beschrieben in
, Acta Chim. 1969, 61, 69 – 77 und J. prakt. Chem. 1972, 314, 785 – 792 undJP 01-040 467 DE 101 14 775 . - Trotz der zahlreichen bekannten Verbindungen besteht daher weiterhin ein Bedarf nach Verbindungen mit antiinflammatorischer Wirkung, die die Cytokinfreisetzung hemmen.
- Die Aufgabe der Erfindung ist die Bereitstellung solcher Verbindungen.
- Überraschenderweise wurde nun gefunden, dass bestimmte 2-substituierte Imidazolderivate eine hohe immunmodulierende und/oder die Cytokinfreisetzung hemmende Wirksamkeit aufweisen.
-
- a) Aryl-C1-C4-alkyl, wobei der Arylrest ein, zwei oder drei Substituenten aufweisen kann, die unabhängig voneinander ausgewählt sind unter C1-C6-Alkyl, C1-C6-Alkoxy, Halogen, C1-C6-Alkylsulfanyl, C1-C6-Alkylsulfinyl, C1-C6-Alkylsulfonyl und Hydroxy, und
- b) C1-C6-Alkyl, das gegebenenfalls durch CN substituiert ist; und
- c) C3-C7-Cycloalkyl;
- a) NR4R10
- b) NR7COR8,
- c) Halogen und
- d) C1-C6-Alkoxy,
- e) C1-C6-Alkylthio
-
- Die Erfindung umfasst beide tautomeren Formen.
- Die Erfindung umfasst auch die physiologisch verträglichen Salze der Verbindungen der Formel I. Dabei handelt es sich im vorliegenden Fall insbesondere um Säureadditionssalze. Für Säureadditionssalze werden anorganische Säuren wie Salzsäure, Schwefelsäure oder Phosphorsäure oder organische Säuren wie Weinsäure, Citronensäure, Maleinsäure, Fumarsäure, Äpfelsäure, Mandelsäure, Ascorbinsäure, Gluconsäure und dergleichen, eingesetzt.
- Der Ausdruck „Alkyl" (auch in Verbindung mit anderen Gruppen, wie Phenylalkyl, Alkylsulfonyl etc.) umfasst geradkettige und verzweigte Alkylgruppen mit 1 bis 6 bzw. 1 bis 4 C-Atomen, wie Methyl, Ethyl, n- und i-Propyl, n-, i- und t-Butyl, sec-Butyl, n-Pentyl, Isoamyl, Neopentyl und n-Hexyl.
- Der Ausdruck „Aryl" umfasst aromatische Ringsysteme wie Phenyl oder Naphthyl.
- Der Ausdruck „Halogen" steht für ein Fluor-, Chlor-, Brom- oder Iodatom, insbesondere ein Fluor – oder Chloratom.
- C3-C7-Cycloalkylgruppen sind Cyclopropyl, Cyclobutyl, Cycloheptyl und insbesondere Cyclopentyl und Cyclohexyl.
- Phenyl-C1-C4-alkyl bedeutet insbesondere Benzyl oder Phenylethyl.
- R1 steht vorzugsweise für einen Phenylrest und insbesondere für einen Halogensubstituierten Phenylrest, wobei ein Fluor-substituierter Phenylrest besonders bevorzugt ist. Der Halogenrest steht vorzugsweise in 4-Position.
- R2 steht vorzugsweise für einen Benzyl- oder C1-C6-Alkylrest, wobei die Phenylgruppe des Benzylrests wie oben angegebenen substituiert sein kann. Bevorzugte Substituenten sind C1-C6-Alkylsulfanyl, C1-C6-Alkylsulfinyl und C1-C6-Alkylsulfonyl.
- R3 steht vorzugsweise für den Rest der Formel worin R4, R5 und R6 sowie A die oben angegebenen Bedeutungen besitzen. R5 und R6 stehen vorzugsweise für H, Methyl, Methoxy oder Chlor. Wenn der Phenylring dieser Gruppe substituiert ist, stehen die Reste R5 und R6 vorzugsweise in 3- und/oder 4-Position.
- A steht vorzugsweise für C1-C2-Alkylen und insbesondere für Ethyliden.
- m steht vorzugsweise für 0.
- Eine besonders bevorzugte Ausführungsform sind die Verbindungen der Formel I, worin R1 für 4-Fluorphenyl steht, R2 für C1-C6 oder Benzyl steht, wobei die Phenylgruppe des Benzylrests wie oben angegeben substituiert sein kann; R3 für den Rest der Formel steht, wobei R4, R5, R6 und A die oben angegebenen Bedeutungen besitzen und m für 0 steht.
- Die Herstellung der erfindungsgemäßen Verbindungen kann in entsprechender Weise nach den im eingangs erwähnten Stand der Technik, insbesondere der WO 00/17192 beschriebenen Verfahren erfolgen. Als besonders zweckmäßig hat sich die Herstellung gemäß folgendem zweistufigen Verfahren erwiesen. Im ersten Schritt wird zunächst ein substituiertes Imidazol-2-thion der allgemeinen Formel II hergestellt. Dieses wird dann im zweiten Schritt so umgesetzt, dass der gewünschte Substituen R2 eingeführt wird.
- Zur Herstellung der Imidazol-2-thione mit R3 = H wird nach Verfahren 1 vorgegangen. Das Verfahren wird beispielhaft an Verbindungen erläutert, worin R1 für 4-Fluorphenyl und R3 für H steht. Imidazol-2-thione mit anderen Resten R3 (R3 = F, Cl, Br) werden nach Verfahren 2 hergestellt.
- Verfahren 1
- Die Synthese der substituierten Imidazol-2-thione mit R3 = H erfolgt ausgehend von Isonicotinsäureethylester und 4-Fluorphenylacetonitril nach dem Reaktionsablauf in Schema 1.
- Die Ausgangsstoffe werden in einer Kondensationsreaktion mit Hilfe von metallischen Natrium in einem Alkohol, z. B. Ethanol, zu 2-Cyano-2-(4-fluorphenyl)-1-(4-pyridyl)-ethanon (Verbindung 1) umgesetzt. Anschließend wird die Cyanogruppe durch Hydrolyse, z. B. mit Bromwasserstoffsäure, und Decarboxylierung entfernt, so dass 2-(4-Fluorphenyl)-1-(4-pyridyl)-ethanon (Verbindung 2) entsteht. Im nächsten Schritt wird die Verbindung 2 durch Behandlung mit Ammoniumchlorid/Natriumacetat in einem alkoholischen Lösungsmittel, wie Methanol, in das Oxim (2a) überführen. Dieses wird durch Umsetzung mit p-Toluolsulfochlorid in Pyridin in das Tosylat überführt. Die Verbindung (5) erhält man aus dem Tosylat durch Behandlung mit Natriumethylat und Umsetzung des gebildeten Aziren-Intermediats mit Kaliumthiocyanat.
- Verfahren 2:
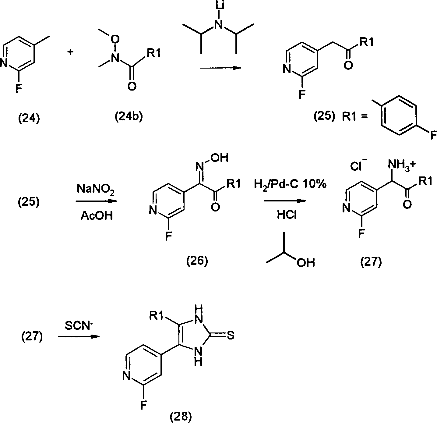
- Die Herstellung derjenigen erfindungsgemäßen Verbindungen, bei denen der Pyridinrest einen Amino- oder Amidosubstituenten aufweist, erfolgt gemäß Schema 2 über entsprechende 2-Halogenpyridyl-substituierte Imidazolthione (Verfahren 2). Die Herstellung dieser Imidazolthione wird am Beispiel der 2-Fluor-substituierten Pyridinverbindungen (R3 = 2-F) mit R1 = p-Fluorphenyl erläutert. Imidazolthiole, die in Position 4 Alkyl und Cycloalkyl-Reste tragen (R1 = C1-C4-Alkyl-, C3-C7-Cycloalkyl), werden ausgehend von den entsprechend substituierten 2-Fluor-γ-Picolinketonen in analoger Weise gewonnen.
- γ-Picolin (R3 = H), sowie die mit Halogen-(R3 = F (24), Cl, Br, I), Methoxy-(24, R3 = OCH3), und Methylthio-(24, R3 = SCH3) substituierten γ-Picoline werden unter Ausschluss von Feuchtigkeit in dafür geeigneten Lösemitteln, wie Kohlenwasserstoffe, Ether und deren Gemische (z.B. Hexan, Tetrahydrofuran, Ethylenglykoldimethylether), mit Lithium-diisopropylamid (LDA) in der γ-Methylgruppe lithiiert und anschließend mit geeigneten Carbonsäurederivaten (R1-OOOR, R1-CONR2, R1-CN, vgl. Beispiel 20) kondensiert. Als besonders geeignet zeigen sich hierbei die Amide des N,O-Dimethyl-hydroxylamins. Die gebildeten γ-Picolylketone (25) werden mit Salpetrigsäureestern und Basen z.B. Amylnitrit/Natriummethylat oder mit Alkalinitrit und Säure in der γ-Picolylposition nitrosiert. Als besonders vorteilhaft erweist sich die Umsetzung des in Eisessig gelösten γ-Picolylketons mit wässriger Natriumnitrit-Lösung. Die Nitrosoketone wandeln sich dabei vollständig in die tautomeren Oximketone (26) um.
- Die Oximketone werden in alkoholischer Lösung in Gegenwart von Wasserstoff und mineralischen Säuren, z.B. HCI, durch Palladium auf Aktivkohle in die Ammoniumsalze der Aminketone (27) reduziert (vgl. Beispiel 23b).
- Alternativ können andere Oximketone in alkoholischer Lösung in Gegenwart von mineralischen Säuren, z.B. H2SO4, mit Zinkstaub zu den entsprechenden Aminketonen reduziert werden (vgl. Beispiel 23f).
- Aus diesen Ammoniumketon-Verbindungen erhält man durch Einwirkung von Thiocyanaten, z.B. Kaliumrhodanid, in trockenem Dimethylformamid (DMF) beim Erhitzen unter Rückfluss die Imidazolthione der allgemeinen Formel II, mit R3 = F (28), Cl, Br, OR, oder SR als gelbgefärbte Feststoffe (vgl. Beispiel 24b).
- 2) Herstellung der 2-Thio-imidazolverbindung
- Die gemäß Verfahren 1 oder 2 erhaltenen Imidazol-thion-Verbindungen der allgemeinen Formel II werden durch Substitution des Schwefelatoms in der 2-Position zu den erfindungsgemäßen Verbindungen der Formel I umgesetzt. Die Substitutionen, wie beispielhaft für einige Verbindungen in Schema 3 gezeigt, erfolgen in bekannter Weise durch eine nukleophile Substitutionsreaktion. Die Verbindung 5 bzw. 28 wird dabei mit R2-X in einem inerten polaren Lösungsmittel, wie einem Alkohol, umgesetzt. X steht für eine leicht austauschbare Gruppe, wie Hal, insbesondere Cl, Br, I, Methylsulfonyl, Tosyl etc. Geeignete Verfahren sind dem Fachmann bekannt und beispielsweise beschrieben in WO 00/17192,
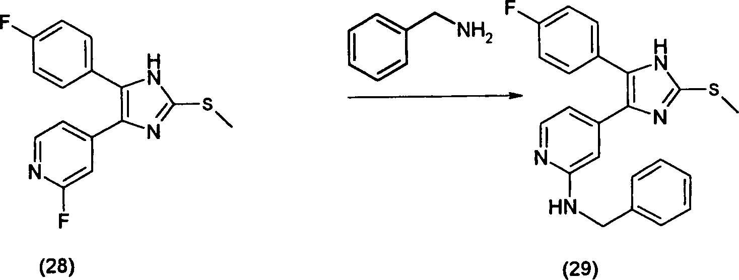
EP 0 372 445 undUS 4,440,776 . Die Verbindungen R2-X sind bekannt oder können nach bekannten Verfahren, wie sie z. B. in der WO 00/17192 beschrieben sind, hergestellt werden. - Die erfindungsgemäßen Verbindungen, bei denen R3 einen Amino- oder Amidosubstituenten bedeutet (R3 = NR4R10, NR7COR8), werden ausgehend von den 2-Thioimidazolen mit 4(5)-(2-Halogenpyridin-4-yl)-Substitution hergestellt. Das Verfahren ist am Beispiel der 2-Benzylamino- (R3 = NH-CH2Ph) und der 2-Benzamido-Pyridinverbindung (R3 = NH-COPh) mit R1 = p-Fluorphenyl in Schema 4 erläutert (vgl. Beispiel 25f).
- Die Ausgangsverbindungen (28) können nach den oben beschriebenen Verfahren hergestellt werden.
- Die Umsetzung erfolgt zweckmäßigerweise in dem jeweiligen Amin oder Amid, das man vorzugsweise in einer Menge von 5 bis 20 Moläquivalenten pro Moläquivalent der Verbindung (28) verwendet. Die Reaktionstemperatur liegt im Allgemeinen im Bereich von 100 bis 200 °C. Gewünschtenfalls können auch ein inertes Lösungsmittel, wie Dioxan, Dimethylformamid, Diethylacetamid, Methylpyrrolidon, etc. und entsprechende Zusätze wie Alkalicarbonate oder Kupferpulver, zur Neutralisation freiwerdender Säureäquivalente oder zur Katalyse des Halogenaustrittes, verwendet werden.
- Die erfindungsgemäßen Verbindungen, die in R3 einen Alkoxy-substituenten aufweisen (R3 = O-C1-C6-Alkyl), werden ausgehend von den 4(5)-(2-Halogenpyridin-4-yl)-substitutierten 2-Thioimidazolen hergestellt. Das Verfahren ist am Beispiel der 2-Isopropyloxy-Pyridinverbindungen (R3 = OCH(CH3)2) mit R1 = p-Fluorphenyl in Schema 5 erläutert.
- Die Ausgangsverbindungen (28) können nach den oben beschriebenen Verfahren hergestellt werden.
- Die Umsetzung erfolgt zweckmäßigerweise in dem Alkohol, den man vorzugsweise in einer Menge von 5 bis 20 Moläquivalenten pro Moläquivalent der Verbindung (28) verwendet, bei niederen Alkoholen auch bis zum Hundertfachen, in Anwesenheit einer starken Säure wie HCl oder Trifluoressigsäure, Methansulfonsäure etc.. Die Reaktionstemperatur liegt im Allgemeinen im Siedebereich der niederen Alkohole, bei höheren Alkoholen im Bereich von 100 bis 200 °C. Es hat sich als günstig erwiesen, den Alkohol z.B. mit gasförmiger HCl zu sättigen oder während der Umsetzung nachzusättigen.
- Der Austausch von Fluor gegen Alkoxy in Position 2 des Pyridylsubstituenten kann alternativ auf einer früheren Synthesezwischenstufe ausgeführt werden z.B. auf der Stufe der Oximketone oder der Aminketone. Die Umsetzungen laufen in diesen Fällen unter vergleichbaren Bedingungen zu den eben beschriebenen (vgl. Beispiel 22c) der Zwischenstufe 28.
- Die erfindungsgemäßen Verbindungen zeigen in vitro und in vivo immunmodulierende und die Cytokinfreisetzung hemmende Wirkung. Cytokine sind Proteine wie TNF-α und IL-β, die eine wichtige Rolle bei zahlreichen inflammatorischen Erkrankungen spielen. Die erfindungsgemäßen Verbindungen eignen sich durch ihre die Cytokinfreisetzung hemmende Wirkung zur Behandlung von Erkrankungen, die im Zusammenhang mit einer Störung des Immunsystems stehen. Sie eignen sich beispielsweise zur Behandlung von Autoimmunerkrankungen, Krebs, rheumatoider Arthritis, Gicht, septischem Schock, Osteoporosis, neuropathischem Schmerz, HIV- Ausbreitung, HIV-Demenz, viraler Myokarditis, insulinabhängiger Diabetis, Periodontalerkrankungen, Restenosis, Alopezie, T-Zell-Depletion bei HIV-Infektionen oder AIDS, Psoriasis, akuter Pankreatitis, Abstoßungsreaktionen bei allogenen Transplantaten, allergisch bedingter Lungenentzündung, Artheriosklerose, Multipler Sklerose, Kachexie, Alzheimer Erkrankung, Schlaganfall, Iktus, Colitis ulcerosa, Morbus Crohn, Inflammatory-Bowel-Disease (IBD), Ischämie, kongestive Herzinsuffizienz, Lungen-Fibrose, Hepatitis, Glioblastom, Guillain-Barre-Syndrom, systematischer Lupus erythematodes, Adult-respiratory-distress-Syndrom (ARDS) und Atemnotsyndrom.
- Die erfindungsgemäßen Verbindungen können entweder als einzelne therapeutische Wirkstoffe oder als Mischungen mit anderen therapeutischen Wirkstoffen verabreicht werden. Die Verbindungen können alleine verabreicht werden, im Allgemeinen werden sie jedoch in Form pharmazeutischer Mittel dosiert und verabreicht, d. h. als Mischungen der Wirkstoffe mit geeigneten pharmazeutischen Trägern oder Verdünnungsmittel. Die Verbindungen oder Mittel können oral oder parenteral verabreicht werden, vorzugsweise werden sie in oralen Dosierungsformen gegeben.
- Die Art des pharmazeutischen Mittels oder Trägers bzw. des Verdünnungsmittels hängt von der gewünschten Verabreichungsform ab. Orale Mittel können beispielsweise als Tabletten oder Kapseln vorliegen und können übliche Exzipienzien enthalten, wie Bindemittel (z. B. Sirup, Akazia, Gelatine, Sorbit, Tragant oder Polyvinylpyrrolidon), Füllstoffe (z. B. Lactose, Zucker, Maisstärke, Calciumphosphat, Sorbit oder Glycin), Gleitmittel (z. B. Magnesiumstearat, Talcum, Polyethylenglycol oder Siliciumdioxid), desintegrierende Mittel (z. B. Stärke) oder Netzmittel (z. B. Natriumlaurylsulfat). Flüssige Oralpräparate können in Form wässriger oder öliger Suspensionen, Lösungen, Emulsionen, Sirupe, Elixiere oder Sprays und dergleichen sein. Sie können auch als Trockenpulver vorliegen, das zur Rekonstitution mit Wasser oder einem anderen geeigneten Träger aufbereitet wird. Derartige flüssige Präparate können übliche Additive, beispielsweise Suspendiermittel, Geschmacksstoffe, Verdünnungsmittel oder Emulgatoren enthalten. Für die parenterale Verabreichung kann man Lösungen oder Suspensionen mit üblichen pharmazeutischen Trägern einsetzen.
- Die erfindungsgemäßen Verbindungen oder Mittel können an Säuger (Mensch oder Tier) in einer Dosis von etwa 0,5 mg bis 100 mg pro kg Körpergewicht pro Tag verabreicht werden. Sie können in einer Einzeldosis oder in mehreren Dosen gegeben werden. Das Wirkungsspektrum der Verbindungen als Inhibitoren der Cytokinfreisetzung wurde anhand nachstehender Testsysteme untersucht (C. Donat und S. Laufer in Arch. Pharm. Pharm. Med. Chem. 333, Suppl. 1, 1 – 40, 2000).
- In-vitro-Testverfahren mit humanem Vollblut
- Proben aus humanem Kalium-EDTA-Vollblut (à 400 μl) werden mit der Testsubstanz versetzt und 15 min bei 37 °C in einem CO2-Inkubator (5 % CO2; 95 % feuchtigkeitsgesättigte Luft) vorinkubiert. Danach werden die Proben 4 Stunden mit 1 μg/ml LPS (E.coli 026:B6) bei 37 °C in einem CO2-Inkubator (5 % CO2 ; 95 % feuchtigkeitsgesättigte Luft) stimuliert. Die Reaktion wird gestoppt, indem die Proben auf Eis gestellt, mit DPBS-Puffer versetzt und anschließend 15 min bei 1000*g zentrifugiert werden. Anschließend wird die Menge IL-1β und TNFα im Plasmaüberstand mittels ELISA ermittelt.
- In-vitro-Testverfahren mit PBMCs
-
- 1) Aus 1:3 verdünntem humanen Kalium-EDTA-Vollblut werden mittels Dichtegradientenzentrifugation (Histopaque®-1,077) die mononukleären Zellen (PBMCs) isoliert. Diese werden 2-mal mit DPBS-Puffer gewaschen, in Makrophagen-SFM-Medium resuspendiert und auf eine Zellzahl von 1*106 Zellen/ml eingestellt. Die erhaltene PBMCs-Suspension (à 390 μl Proben) wird mit der Testsubstanz 15 min bei 37 °C in einem CO2-Inkubator (5 % CO2 ; 95 feuchtigkeitsgesättigte Luft) vorinkubiert. Danach werden die Proben 4 Stunden mit jeweils 1 μl/ml LPS (E.coli 026:B6) bei 37 °C in einem CO-2 Inkubator (5 % CO2; 95 % feuchtigkeitsgesättigte Luft) stimuliert. Die Reaktion wird gestoppt, indem die Proben auf Eis gestellt, mit DPBS-Puffer versetzt und anschließend 12 min bei 15880*g zentrifugiert werden. Anschließend wird die Menge IL-1β und TNFα, im Plasmaüberstand mittels ELISA ermittelt.
- 2) Kinase-Assay Mikro-Titerplatten wurden mit 50 μl ATF2-Lösung (20 μg/ml) eine Stunde bei 37 °C beschichtet. Nach dreimaligem Waschen mit Wasser wurden 50 μl Kinase-Mischung (50 mM tris-HCl 10mM MgCl2, 10 mM β-Glyzerolphosphat, 10 μg/ml BSA, 1 mM DTT, 100 μM ATP, 100 μM Na3VO4, 10 ng aktiviertes p38α) mit oder ohne Inhibitor in die Vertiefungen gegeben und 1 Stunde bei 37 °C inkubiert. Nach dreimaligem Waschen wurden die Platten mit Phosphor-ATF-2-Antikörper eine Stunde bei 37 °C inkubiert. Nach erneutem dreimaligem Waschen wurde mit alkalischer Phosphatase markiertes Ziege-anti-Kaninchen-IgG eine Stunde bei 37 °C zugegeben (um den Antikörper phosphoryliertes Protein-Substrat-Komplex festzuhalten). Nach dreimaligem Waschen wurde die alkalische Phosphatase-Substratlösung (3mM 4-NPP, 50 mM NaHCO3, 50 mM MgCl2, 100 μl/Vertiefung) 1,5 Stunden bei 37 °C zugegeben. Die Bildung von 4-Nitrophenolat wurde bei 405 nm unter Verwendung eines Mikrotiterplatten-Lesers gemessen. Die IC50-Werte wurden berechnet.
- Die Ergebnisse der in-vitro-Tests sind in der nachstehenden Tabelle 1 gezeigt.
- Beispiele
- Beispiel 1
- a) 4-(4-Fluorphenyl)-5-pyridin-4-yl-1,3-dihydro-imidazol-2-thion
- 2-(4-Fluorphenyl)-3-hydroxy-3-pyridin-4-yl-acrylonitril (a1)
- Zu einer Lösung von metallischem Natrium (17,3 g; 0,7 mol) in absolutem Ethanol (250 mL) wurde ein Gemisch von Isonicotinsäureethylester (75,8 g; 0,5 mol) und 4-Fluorphenylacetonitril (67,6 g; 0,5 mol) zugetropft. Der Reaktionsansatz wurde 15 min bei 100 °C gerührt. Anschließend wurde im Eisbad abgekühlt und mit 600 mL destilliertem H2O versetzt. Beim Ansäuern mit konzentriertem HCl (90 mL) fiel das Hydrochlorid von a1 bei pH 1 als gelber Niederschlag aus. Der Niederschlag wurde abfiltriert, mit H2O gewaschen und im Vakuum über P2O5 getrocknet. Fp. 226 °C
- 2-(4-Fluorphenyl)-1-pyridin-4-yl-ethanon (a2)
- Eine Lösung von a1 (40,6 g; 0,15 mol) in 48%iger Bromwasserstoffsäure (130 mL) wurde 19 h unter Rückfluss gerührt. Der Ansatz wurde im Eisbad abgekühlt, der sich abscheidende Niederschlag (4-Fluorphenylessigsäure) abfiltriert und mit H2O gewaschen. Beim Neutralisieren des Filtrats mit Ammoniakwasser (80 mL) fiel a2 als dunkelgrüner Niederschlag aus, welcher abfiltriert, mit H2O gewaschen und im Vakuum über P2O5 getrocknet wurde: hellgrau-beiges Pulver. Fp. 215 °C
- 2-(4-Fluorphenyl)-1-pyridin-4-yl-ethanon-oxim (a3)
- In eine Suspension von a2 (21,5 g; 0,1 mol) in 50%igem Methanol (350 mL) wurden Natriumacetat (36,1 g; 0,44 mol) und Hydroxylaminhydrochlorid (22,0 g; 0,32 mol) eingetragen. Das Reaktionsgemisch wurde 1 h unter Rückfluss gerührt. Beim Abkühlen der klaren Lösung im Eisbad fiel a3 als beigefarbener Niederschlag aus, welcher abfiltriert, mit H2O gewaschen und im Vakuum über P2O5 getrocknet wurde. Fp. 155 °C 2-(4-Fluorphenyl)-1-pyridin-4-yl-ethanon, O-[(4-Methylphenyl)sulfonyl]oxim (a4) Unter Argonatmosphäre wurde a3 (10,1 g; 0,04 mol) in absolutem Pyridin (50 mL) gelöst. Die Lösung wurde auf 6 °C abgekühlt und portionsweise mit Toluolsulfonsäurechlorid (10,1 g; 0,05 mol) versetzt. Nach beendeter Zugabe wurde das Reaktionsgemisch 20 h bei Raumtemperatur gerührt. Anschließend wurde der Ansatz auf 500 mL Eiswasser gegossen. Der Niederschlag (a4) wurde abfiltriert, mit H2O kalt gewaschen und im Trockenschrank bei 50 °C getrocknet. Fp. 201 °C
- 4-(4-Fluorphenyl)-5-pyridin-4-y1-1,3-dihydro-imidazol-2-thion (1a).
- Unter Argonatmosphäre wurde eine Lösung von a4 (10,0 g; 0,03 mol) in absolutem Ethanol (56 mL) auf 5 °C abgekühlt und tropfenweise mit einer frisch hergestellten Lösung von metallischem Natrium (0,75 g; 0,03 mol) in absolutem Ethanol (30 mL) versetzt. Das Reaktionsgemisch wurde 5 h bei 5 °C gerührt. Nach Zugabe von Diethylether (500 mL) wurde weitere 30 min. gerührt. Der Niederschlag (TosOH) wurde abfiltriert und mit Diethylether (4 × 50 mL) gewaschen. Die vereinigte etherische Phase wurde mit 10%iger Salzsäure (3 × 90 mL) extrahiert. Der wässrige Extrakt wurde auf ein Volumen von ca. 40 mL eingeengt und mit Kaliumthiocyanat (5,0 g; 0,05 mol) versetzt. Das Reaktionsgemisch wurde 1 h unter Rückfluss gerührt. Beim Neutralisieren mit 5%iger Natriumhydrogencarbonat-Lösung (270 mL) fiel a5 als beiger Niederschlag aus, welcher abfiltriert, mit H2O gewaschen und im Trockenschrank bei 60 °C getrocknet wurde. Ausbeute 5,6 g (79 %); Fp. 382 °C
1H-NMR (DMSO-d6): δ (ppm) 7,1 (m, 2H, 4-F-Ph), 7,3 (m, 2H, 4-Pyr), 7,5 (m, 2H, 4-F-Ph), 8,5 (m, 2H, 4-Pyr), 12,7 (d, 2H, austauschbar, NH) - Auf entsprechende Weise wurden erhalten:
-
- 1c: 4-(4-Chlorphenyl)-5-pyridin-4-yl-1,3-dihydroimidazol-2-thion
- 1d: 4-(4-Bromphenyl)-5-pyridin-4-yl-1,3-dihydroimidazol-2-thion
- 1e: 4-Phenyl-5-pyridin-4-yl-1,3-dihydroimidazol-2-thion
- Beispiel 2
- 1-Chlormethyl-4-methylsulfanyl-benzol (2)
- 4-Methylsulfanylbenzylalkohol (30,5 g; 0,2 mol) wurde in Dichlormethan (180 mL) gelöst. Der unter Rückfluss gehaltenen Vorlage wurde eine Lösung von Thionylchlorid (23,8 g; 0,2 mol) in Dichlormethan (120 mL) zugetropft. Das Reaktionsgemisch wurde weitere 2 h unter Rückfluss gerührt. Die Lösung wurde auf Raumtemperatur abgekühlt, mit H2O (2 × 250 mL) gewaschen, über Na2SO4 getrocknet und eingeengt. Der ölige Rückstand (6) wurde säulenchromatographisch gereinigt (Al2O3, CH2Cl2).
1H-NMR (CDCl3): δ (ppm) 2,46 (s, 3H, CH3), 4,5 (s, 2H, CH2), 7,2-7,3 (q, 4H, 4-MeS-Ph) - Beispiel 3
- 1-Chlormethyl-4-methansulfinyl-benzol (3)
- Eine Lösung von 2 (17,3 g; 0,1 mol) in Eisessig (150 mL) wurde auf 10 °C abgekühlt. Der Vorlage wurde eine Lösung von H2O2 (35%ige Lösung; 13,1 g; 0,13 mol) in Eisessig (50 mL) zugetropft. Das Reaktionsgemisch wurde 2 h bei Raumtemperatur gerührt. Der Ansatz wurde im Eisbad abgekühlt, mit Eis (200 g) versetzt und mit Ammoniakwasser (290 mL) neutralisiert. Die wässrige Phase wurde mit Ethylacetat (2 × 300 mL) extrahiert. Die organische Phase wurde mit H2O (2 × 300 mL) gewaschen, über Na2SO4 getrocknet und eingeengt. Aus dem öligen Rückstand wurde 3 durch Anreiben und Abkühlen in kristalliner Form gewonnen.
1H-NMR (CDCl3): δ (ppm) 2,73 (s, 3H, CH3), 4,6 (s, 2H, CH2), 7,5 (d, 2H, 4-MeS(O)-Ph), 7,6 (d, 2H, 4-McS(O)-Ph) - Beispiel 4
- 1-Chlormethyl-4-methansulfonyl-benzol (4)
- In eine Lösung von 3 (3,0 g; 0,02 mol) in Chloroform (50 mL) wurde m-Chlorperbenzoesäure (70 %; 8,6 g; 0,04 mol) eingetragen. Das Reaktionsgemisch wurde 4 h unter Rückfluss gerührt. Der Ansatz wurde auf Raumtemperatur abgekühlt und filtriert. Das Filtrat wurde mit gesättigter NaHCO3-Lösung gewaschen (2 ×) und über Na2SO4 getrocknet. Nach dem Einengen der organischen Phase blieb 8 als kristalliner, weißer Feststoff zurück. Fp. 102 °C
1H-NMR (CDCl3): δ (ppm) 3,07 (s, 3H, CH3), 4,6 (s, 2H, CH2), 7,6 (d, 2H, 4-MeSO2-Ph), 7,9 (d, 2H, 4-MeSO2-Ph) - Beispiel 5
- 5-Chlorsulfonyl-2-hydroxy-benzoesäuremethylester (5a)
- 5a wurde ausgehend von Salicylsäuremethylester (10,0 g; 65,7 mmol) nach der in der Synthese von 5c beschriebenen Methode dargestellt.
1H-NMR (CDCl3): δ (ppm) 4,05 (s, 3H, CH3), 7,18 (d, 1H, 8,9 Hz, C3-H), 8,09 (dd, 1H, 2,5/9,0 Hz, C4-H), 8,57 (d, 1H, 2,5 Hz, C6-H), 11,55 (s, 1H, austauschbar, Phenol-OH) - 5-Chlor-3-chlorsulfonyl-2-hydroxy-benzoesäuremethylester (5b)
- 5b wurde ausgehend von 5-Chlorsalicylsäuremethylester (16,0 g; 85,7 mmol) nach der in der Synthese von 5c beschriebenen Methode dargestellt.
1H-NMR (CDCl3): δ(ppm) 4,06 (s, 3H, CH3), 8,11 (d, 1H, 2,7 Hz, C6-H), 8,19 (d, 1H, 2,7 Hz, C4-H), 12,09 (s, 1H, austauschbar, Phenol-OH) - 3-Chlorsulfonyl-4-methoxy-benzoesäureethylester (5c)
- Eine Lösung von 4-Methoxy-benzoesäureethylester (15,7 g; 87,2 mmol) in CCl4 (60 mL) wurde auf -15 °C abgekühlt und innerhalb von 15 min tropfenweise mit Chlorsulfonsäure (17,5 mL; 263 mmol) versetzt, wobei die Temperatur auf -10 °C anstieg. Nach beendeter Zugabe wurde das Reaktionsgemisch 2 h bei Raumtemperatur gerührt und anschließend auf 50 °C erwärmt, bis das Edukt dünnschichtchromatographisch nicht mehr nachweisbar war. Das Reaktionsgemisch wurde unter Eiskühlung und kräftigem Rühren auf eine Suspension von Eis (50 g) in CCl4 (100 mL) gegeben. Es wurde 3 min kräftig gerührt. Die organische Phase wurde abgetrennt und die wässrige Phase mit CH2Cl2 (3 × 100 mL) extrahiert. Die vereinigten organischen Extrakte wurden mit gesättigter NaCl-Lösung gewaschen (3 ×), über Na2SO4 getrocknet und eingeengt. Beim Verreiben des öligen, braunen Rückstands mit Diethylether fiel 5c als kristalliner, weißer Feststoff an.
1H-NMR (CDCl3): δ (ppm) 1,41 (t, 3H, 7,1 Hz, CH3), 4,14 (s, 3H, CH3), 4,42 (q, 2H, 7,1 Hz, CH2), 7,18 (d, 1H, 8,8 Hz, C5-H), 8,37 (dd, 1H, 2,1/8,8 Hz, C6-H), 8,63 (d, 1H, 2,1 Hz, C2-H) - Beispiel 6
- 2-Hydroxy-5-mercapto-benzoesäure (6a)
- 6a wurde ausgehend von 6a (0,50 g; 2,0 mmol) nach der in der Synthese von 7c beschriebenen Methode unter Verzicht auf die Alkylierung mit Dimethylsulfat erhalten.
1H-NMR (DMSO-d6): δ (ppm) 5,39 (bs, 1H, austauschbar, Carboxyl-OH), 6,90 (d, 1H, 8,7 Hz, C3-H), 7,45 (dd, 1H, 2,5/8,6 Hz, C4-H), 7,75 (d, 1H, 2,5 Hz, C6-H), Phenol-OH nicht sichtbar - Beispiel 7
- 2-Hydroxy-5-methylsulfanyl-benzoesäure (7a)
- 7a wurde ausgehend von 5a (10,0 g; 40,0 mmol) nach der in der Synthese von 7c beschriebenen Methode dargestellt.
1H-NMR (CDCl3): δ (ppm) 2,48 (s, 3H, CH3), 6,97 (d, 1H, 8,7 Hz, C3-H), 7,51h (dd, 1H, 2,5/8,7 Hz, C4-H), 6,97 (d, 1H, 8,7 Hz, C3-H), 7,87(d, 1H, 2,4 Hz, C6-H), 10,26 (bs, 1H, Phenol-OH), CO2H nicht sichtbar - 5-Chloro-2-hydroxy-3-methylsulfanyl-benzoesäure (7b)
- 7b wurde ausgehend von 5b (13,0 g; 45,6 mmol) nach der in der Synthese von 7c beschriebenen Methode dargestellt.
1H-NMR (CDCl3): δ (ppm) 2,47 (s, 3H, CH3), 7,33 (d, 1H, 2,4 Hz, C6-H), 7,52 (d, 1H, 2,4 Hz, C4-H), Phenol-OH und CO2H nicht sichtbar - 4-Methoxy-3-methylsulfanyl-benzoesäure (7c)
- In eine Lösung von 5c (5,1 g; 18,3 mmol) in Toluol (50 mL) wurde portionsweise Triphenylphosphan (20,5 g; 78,2 mmol) eingetragen. Das Reaktionsgemisch wurde 4,5 h bei Raumtemperatur gerührt. Vom Niederschlag (Triphenylphosphinoxid) wurde abfiltriert und das gelbe Filtrat mit 10%iger Natronlauge extrahiert (4 ×). Zum vereinigten wässrigen Extrakt wurde Dimethylsulfat (2 mL) zugegeben und das Reaktionsgemisch 2 h bei Raumtemperatur gerührt. Der sich abscheidende Niederschlag wurde durch Erwärmen auf Rückflusstemperatur aufgelöst. Die klare Lösung wurde abgekühlt und mit 20%iger Salzsäure auf pH 1 eingestellt. Der Niederschlag (7c) wurde abfiltriert, mit H2O gewaschen und im Vakuum über CaCl2 getrocknet.
1H-NMR (CDCl3): δ (ppm) 2,43 (s, 3H, S-CH3), 3,93 (s, 3H, O-CH3), 6,98 (d, 1H, 8,4 Hz, C5-H), 7,79-7,86 (m, 2H, C2-/C6-H) - 4-Hydroxy-3-methylsulfanyl-benzoesäure (7d)
- Eine Suspension von 7c (0,5 g; 2,5 mmol) in Eisessig/Bromwasserstoffsäure 48 % (1+1, 7 mL) wurde 6 h unter Rückfluss gerührt. Das Reaktionsgemisch wurde abgekühlt, auf H2O (20 mL) gegeben und mit 10%iger Na2CO3-Lösung auf pH 2 eingestellt. Die wässrige Lösung wurde mit Diethylether extrahiert (4 × 20 mL). Der vereinigte organische Extrakt wurde mit gesättigter NaCl-Lösung gewaschen (2 ×), über Na2SO4 getrocknet und eingeengt. Beim Stehenlassen bei Raumtemperatur kristallisierte der schmutzig-braune, ölige Rückstand (7d) aus. Das Kristallisat wurde mit H2O ausgerührt, abfiltriert und getrocknet.
1H-NMR (CDCl3): δ (ppm) 2,38 (s, 3H, CH3), 7,05 (d, 1H, 8,5 Hz, C5-H), 8,02 (dd, 1H, 2,2/8,5 Hz, C6-H), 8,29 (d, 1H, 2,2 Hz, C2-H), Phenol-OH und CO2H nicht sichtbar - Beispiel 8
- 2-Hydroxymethyl-4-methylsulfanyl-phenol (8a)
- 8a wurde ausgehend von 7a (1,5 g; 8,1 mmol) nach der in der Synthese von 8c beschriebenen Methode dargestellt.
1H-NMR (CDCl3): δ (ppm) 2,42 (s, 3H, CH3), 4,79 (s, 2H, CH2), 6,81 (d, 1H, 8,4 Hz, C6-H), 7,01 (d, 1H, 2,1 Hz, C3-H), 7,17 (dd, 1H, 2,3/8,4 Hz, C3-H), OH nicht sichtbar - 4-Chloro-2-hydroxymethyl-6-methylsulfanyl-phenol (8b)
- 8b wurde ausgehend von 7b (2,2 g; 10,1 mmol) nach der in der Synthese von 8c beschriebenen Methode dargestellt.
1H-NMR (CDCl3): δ (ppm) 2,38 (s, 3H, CH3), 4,52 (s, 2H, CH2), 5,3-5,5 (bs, 1H, austauschbar, Hydroxyl-OH), 7,03 (d, 1H, 2,6 Hz, C5-H), 7,11 (d, 2,4 Hz, C3-H), 9,02 (bs, 1H, austauschbar, Phenol-OH) - 4-Hydroxymethyl-2-methylsulfanyl-phenol (8c)
- Unter Eiskühlung wurde eine Lösung von 7d (1,37 g; 7,4 mmol) in abs. Tetrahydrofuran (THF; 15 mL) zu einer Suspension von 95%igem LiAlH4 (0,55 g; 14 mmol) in absolutem THF (10 mL) in einem ausgeheizten und mit Argon gespülten Dreihalskolben (DHK) so zugetropft, dass nur mäßige Gasentwicklung erfolgte. Nach beendeter Zugabe wurde die Kühlung entfernt und das Reaktionsgemisch 30 min bei Raumtemperatur und weitere 21 h bei 55 – 65 °C gerührt. Das Reaktionsgemisch wurde unter Eiskühlung mit Eiswasser versetzt. Der Niederschlag von Al(OH)3 wurde durch Zusatz von 10%iger Schwefelsäure aufgelöst und die wässrig-saure Lösung (pH 1) mit Diethylether (3 × 50 mL) extrahiert. Der vereinigte etherische Extrakt wurde mit 10%iger Natronlauge extrahiert (2 × 25 mL). Die vereinigte natronalkalische Lösung wurde mit 20%iger Salzsäure neutralisiert. Der Niederschlag (8c) wurde abfiltriert, mit H2O gewaschen und getrocknet. Eine weitere Menge an 8c wurde durch Extraktion der neutralen, wässrigen Lösung mit Diethylether gewonnen. Der etherische Extrakt wurde mit gesättigter NaCl-Lösung gewaschen, über Na2SO4 getrocknet und eingeengt: kristalliner, weißer Rückstand.
1H-NMR (CDCl3): δ (ppm) 2,34 (s, 3H, CH3), 4,60 (s, 2H, CH2), 6,97 (d, 1H, 8,3 Hz, C6-H), 7,24 (dd, 1H, 2,0/8,4 Hz, C5-H), 7,50 (d, 1H, 2,0 Hz, C3-H), OH nicht sichtbar - Beispiel 9
- 2-Hydroxy-5-methylsulfanyl-benzaldehyd (9a)
- Die Titelverbindung fiel als Nebenprodukt in der Synthese von 8a an.
1H-NMR (CDCl3): δ (ppm) 2,48 (s, 3H, CH3), 6,96 (d, 1H, 9,8 Hz, C3-H), 7,48-7,54 (m, 2H, C4-/C6-H), 9,87 (s, 1H, austauschbar, OH), 10,91 (s, 1H, Aldehyd-H) - Beispiel 10
- 4-(3-Chlorethyl)-benzolsulfonylchlorid (10a)
- Unter Eiskühlung wurde innerhalb von 40 min (2-Chlorethyl)benzol (14,0 g; 0,1 mol) zu Chlorsulfonsäure (72 g) zugetropft. Die braune Lösung wurde 24 h bei Raumtemperatur gerührt, im Eisbad abgekühlt und portionsweise auf Eis gegeben, wobei sich eine zähe, nicht filtrierbare Masse abschied. Die wässrige Lösung wurde mit Ethylacetat extrahiert (3 ×). Der vereinigte organische Extrakt wurde mit 10%iger NaHCO3-Lösung gewaschen, über Na2SO4 getrocknet und eingeengt Der ölige Rückstand wurde in tert-Butylmethylether/Petrolether aufgenommen. Die Lösung wurde mit einem Glasstab angerieben und abgekühlt. Das weiße Kristallisat wurde abfiltriert und getrocknet. Weiteres Reaktionsprodukt wurde aus der Mutterlauge gewonnen. Das Rohprodukt wurde ohne weitere Reinigung in der Synthese von 11 a eingesetzt.
1H-NMR (CDCl3): δ (ppm) 3,20 (t, 2H, 6,8 Hz, CH2), 3,79 (t, 2H; 6,8 Hz, CH2), 7,46-7,53 (m, 2H, Phenyl), 7,97-8,04 (m, 2H, Phenyl) - 4-(3-Chlorpropyl)-benzolsulfonylchlorid (10b)
- 10b wurde ausgehend von (3-Chlorpropyl)benzol (15,5 g; 0,1 mol) nach der in der Synthese von 10a beschriebenen Methode dargestellt. Das Rohprodukt wurde ohne weitere Reinigung in der Synthese von 11 b eingesetzt.
MS: m/z (%) 253 (90, M+), 217 (100, M+-Cl), 189 (35), 153 (97, M+-SO2Cl), 125 (94), 119 (65, Phenylpropylcarbenium+), 91(90), 77 (29, Phenyl+) - Beispiel 11
- 1-(3-Chlorethyl)-4-methylsulfanyl-benzol (11a)
- 11a wurde ausgehend von 10a (12,0 g; 0,05 mol) nach der in der Synthese von 11b beschriebenen Methode dargestellt.
1H-NMR (CDCl3): δ (ppm) 2,47 (s, 3H, CH3), 3,02 (t, 2H, 7,4 Hz, CH2), 3,68 (t, 2H, 7,5 Hz, CH2), 7,11-7,25 (m, 4H, Phenyl) - 1-(3-Chlorpropyl)-4-methylsulfanyl-benzol (11b)
- Bei Raumtemperatur wurde zu einer Suspension von LiAlH4 (2,9 g; 7,6 mmol) in Diethylether (50 mL) eine Lösung von 10b (12,7 g; 5,0 mmol) in Diethylether (75 mL) innerhalb von 2,5 h zugetropft. Nach beendeter Zugabe wurde das Reaktionsgemisch bei Raumtemperatur und gelegentlicher Zugabe von LiAlH4 gerührt, bis das Edukt dünnschichtchromatographisch nicht mehr nachweisbar war (2,5 h). In den Reaktionsansatz wurde unter Eiskühlung Eis eingetragen und die wässrige Phase mit 10%iger Salzsäure angesäuert (pH 1). Die organische Phase wurde abgetrennt und die wässrige Phase mit Diethylether extrahiert (3 ×). Der vereinigte organische Extrakt wurde mit 10%iger Natronlauge (4 × 50 mL) bis zur weitgehenden Farblosigkeit gewaschen. Der vereinigte natronalkalische Auszug wurde mit Dimethylsulfat (9,0 g; 7,0 mmol) versetzt und 16,5 h bei Raumtemperatur gerührt. Die ölige Ab-scheidung wurde in Diethylether aufgenommen. Die organische Phase wurde abgetrennt und die wässrige Phase erneut mit Diethylether extrahiert (2 ×). Der vereinigte organische Extrakt wurde über Na2SO4 getrocknet und eingeengt. Der braune, ölige Rückstand wurde am Kugelrohr destilliert (0,2 mbar, 250 °C).
1H-NMR (CDCl3): δ (ppm) 2,01-2,11 (m, 2H, CH2), 2,46 (s, 3H, CH3), 2,73 (t, 2H, 7,1 Hz, CH2), 3,51 (t, 2H, 6,5 Hz, CH2), 7,09-7,25 (m, 4H, Phenyl) - Beispiel 12
- 1-(2-Chlorethyl)-4-methansulfinyl-benzol (12a)
- Zu einer Lösung von 11a (1,5 g; 8,0 mmol) in Eisessig (20 mL) wurde unter Kühlung eine 35%ige Lösung von H2O2 (0,9 g; 9,3 mmol) zugegeben. Das Reaktionsgemisch wurde nach beendeter Zugabe 2,5 h bei Raumtemperatur gerührt, unter Kühlung mit Eiswasser verdünnt und mit 25%igem Ammoniakwasser auf pH 8 eingestellt. Die ölige, weiße Abscheidung wurde mit Diethylether aufgenommen und die wässrige Phase mit Diethylether extrahiert (3 ×). Der vereinigte organische Extrakt wurde über Na2SO4 getrocknet und eingeengt.
- 1H-NMR (CDCl3): δ (ppm) 2,73 (s, 3H, CH3), 3,14 (t, 2H, 7,1 Hz, CH2), 3,76 (t, 2H, 7,1 Hz, CH2), 7,38-7,42 (m, 2H, Phenyl), 7,60-7,64 (m, 2H, Phenyl)
- 1-(3-Chlorpropyl)-4-methansulfinyl-Benzol (12b)
- 12b wurde ausgehend von 11b (2,0 g; 10,0 mmol) nach der in der Synthese von 12a beschriebenen Methode dargestellt. Fp: 46 °C
- Allgemeine Methoden zur Herstellung der Verbindungen der Formel I:
- Herstellung der 2-Arylalkyl- oder Alkylsulfanylimidazole (Allgemeine Methode A)
- Eine Suspension des jeweiligen Imidazol-2-thions (1 Äquivalent), der jeweiligen Base (1,2 Äquivalente) und des jeweiligen Arylalkyl- oder Alkylhalogenids (1 Äquivalent) in Ethanol/THF (8 + 2) wurde solange unter Rückfluss gerührt, bis das Imidazol-2-thion dünnschichtchromatographisch nicht mehr nachweisbar war. Das Reaktionsgemisch wurde auf Raumtemperatur abgekühlt und filtriert. Das meist rot-orange gefärbte Filtrat wurde eingeengt und der Rückstand durch Säulenchromatographie, Umkristallisation oder Ausrühren gereinigt. Auf diese Weise wurden die Verbindungen 13a-e, 14a-e sowie 17a-m hergestellt.
- Herstellung der 2-Benzylsulfanylimidazole mit phenolischer Funktionalität im Rest R2 (Allgemeine Methode B)
- Durch Zusatz von 10%iger Salzsäure (10 – 15 Tropfen) wurde Imidazol-2-thion 1a (1 Äquivalent) in Eisessig (5 mL) aufgelöst. Der jeweilige Benzylalkohol (1 Äquivalent) wurde zur hellgelb gefärbten Vorlage zugegeben und das Reaktionsgemisch bei geeigneter Temperatur solange gerührt (Temperatur/Zeit), bis 1a dünnschichtchromatographisch nicht mehr nachweisbar war. Im Falle der Sulfoxide 18g-i wurde eine 35%ige H2O2-Lösung zugegeben und das Reaktionsgemisch weitere 4 h bei Raumtemperatur gerührt. Das Reaktionsgemisch wurde mit H2O (5 mL) verdünnt und mit 25%igem Ammoniakwasser auf pH 8 eingestellt. Der Niederschlag wurde abfiltriert und mit Wasser gewaschen. Das Rohprodukt wurde durch Säulenchromatographie, Umkristallisation oder Ausrühren gereinigt. Auf diese Weise wurden die Imidazol-2-ylsulfanylmethyl-phenole 18a-i hergestellt.
- Herstellung N-substituierter 2-Aminopyridine (Allgemeine Methode C)
- Unter Argon wurde das jeweilige 5-(2-Halogenopyridin-4-yl)-imidazol (1 Äquivalent) in dem jeweiligen Amin (ca. 10 Äquivalente) suspendiert. Das Reaktionsgemisch wurde bei der jeweiligen Temperatur solange gerührt, bis das Edukt dünnschichtchromatographisch nicht mehr nachweisbar war. Das Reaktionsgemisch wurde auf Raumtemperatur abgekühlt und in 10 % Zitronensäure aufgenommen, die zuvor mit 20 % NaOH auf pH 5 eingestellt worden war. Die wässrige Emulsion wurde mit Ethylacetat extrahiert (3 ×). Der vereinigte organische Extrakt wurde mit 10 % Zitronensäure/pH 5 (1 ×), 10 % Na2CO3-Lösung (2 ×) und gesättigter NaCl-Lösung (1 ×) gewaschen, über Na2SO4 getrocknet und eingeengt. Der ölige Rückstand wurde säulenchromatographisch getrennt. Auf diese Weise wurden die Aminopyridine 25f-p, 26e-e und 27c-d hergestellt.
- Beispiel 13
- 3-[5-(4-Fluorphenyl)-2-(4-methylsulfanyl-benzylsulfanyl)-3H-imidazol-4-yl]pyridin (13a)
- Nach der Allgemeinen Methode A wurde die Titelverbindung ausgehend von 1b (0,42 g; 1,5 mmol) und 2 (0,25 g; 1,4 mmol) nach 4,5-stündiger Reaktionszeit und säulenchromatographischer Trennung (SiO2 60, CH2Cl2/EtOH 9 + 1) erhalten. Fp. 163 °C
IR (ATR) (attenuated total reflection) 1506, 1493, 1222 (C-F), 837, 806 cm–1
1H-NMR (DMSO-d6): δ (ppm) 2,45 (s, 3H, CH3), 4,38 (s, 2H, CH2), 7,19-7,49 (m, 10H, 3-Pyr, 4-F-Ph und 4-MeS-Ph), 7,78-7,82 (m, 1H, 3-Pyr), 8,45-8,47 (m, 1H, 3-Pyr), 8,61 (s, 1H, 3-Pyr), 12,71 (bs, 1H, austauschbar, NH) - 3-[5-(4-Fluorphenyl)-2-(4-methansulfinyl-benzylsulfanyl)-3H-imidazol-4-yl]-pyridin (13b).
- Nach der Allgemeinen Methode A wurde die Titelverbindung ausgehend von 1b (0,42 g; 1,5 mmol) und 3 (0,27 g; 1,5 mmol) nach 8-stündiger Reaktionszeit und säulenchromatographischer Trennung (SiO2 60, CH2Cl2/EtOH 9+1) erhalten. Fp. 127 °C
IR (ATR): 1506, 1222 (C-F), 1027 (S=O), 1013, 838, 811 cm–1
1H-NMR (DMSO-d6): δ (ppm) 3,19 (s, 3H, CH3), 4,46 (s, 2H, CH2), 7,16-7,46 (m, 5H, 3-Pyr und 4-F-Ph), 7,56-7,66 (m, 4H, 4-MeS(O)-Ph), 7,72-7,81 (m, 1H, 3-Pyr), 8,41-8.62 (m, 2H, 3-Pyr), 12,77 (bs, 1H, austauschbar, NH) - 3-[5-(4-Fluorphenyl)-2-(4-methansulfonyl-benzylsulfanyl)-3H-imidazol-4-yl]-pyridin (13c).
- Nach der Allgemeinen Methode A wurde die Titelverbindung ausgehend von 1 b (0,42 g; 1,5 mmol) und 4 (0,29 g; 1,43 mmol) und unter Zusatz von Na2CO3 (0,43 g; 4,1 mmol) nach 6,5-stündiger Reaktionszeit und Ausrühren mit heißem Ethylacetat erhalten. Fp. 129 °C
IR (ATR): 1506, 1296 (SO2), 1222 (C-F), 1145 (SO2), 1089, 839, 812 cm–1
1H-NMR (DMSO-d6): δ (ppm) 3,19 (s, 3H, CH3), 4,50 (s, 2H, CH2), 7,17-7.45 (m, 5H, 3-Pyr und 4-F-Ph), 7,64-7,90 (m, 5H, 3-Pyr und 4-MeSO2-Ph), 8,43-8,61 (m, 2H, 3-Pyr), 12,78 (bs, 1H, austauschbar, NH) - Beispiel 14
- 4-[5-(4-Chlorphenyl)-2-(4-methylsulfanyl-benzylsulfanyl)-3H-imidazol-4-yl]-pyridin (14a)
- Nach der Allgemeinen Methode A wurde die Titelverbindung ausgehend von 1c (0,26 g; 0,9 mmol) und 6 (0,15 g; 0,87 mmol) und unter Zusatz von Na2CO3 (zwei Spatelspitzen) nach 6,5-stündiger Reaktionszeit und säulenchromatographischer Trennung (SiO2 60, CH2Cl2/EtOH 9+1) erhalten. Fp. 236 °C
IR (ATR): 1600, 1492, 1094, 1005, 968, 829, 684 (C-Cl), 561 cm–1
1H-NMR (DMSO-d6): δ (ppm) 2,44 (s, 3H, CH3), 4,38 (s, 2H, CH2), 7,18-7,56 (m, 10H, 4-Pyr, 4-Cl-Ph und 4-MeS-Ph), 8,45-8,55 (m, 2H, 4-Pyr), 12,86 (bs, 1H, austauschbar, NH) - 4-[5-(4-Chlorphenyl)-2-(4-methansulfinyl-benzylsulfanyl)-3H-imidazol-4-yl]-pyridin (14b)
- Nach der Allgemeinen Methode A wurde die Titelverbindung ausgehend von 1c (0,26 g; 0,9 mmol) und 3 (0,16 g; 0,85 mmol) und unter Zusatz von 6,5-stündiger Reaktionszeit und säulenchromatographischer Trennung (SiO2 60, CH2Cl2/EtOH 9+1) erhalten. Fp. 224 °C
IR (ATR): 1600, 1510, 1490, 1033 (S=O), 1001, 967, 829, 677 cm–1 (C-Cl)
1H-NMR (DMSO-d6): δ (ppm) 2,70 (s, 3H, CH3), 4,47 (s, 2H, CH2), 7,31-7,65 (m, 10H, 4-Pyr, 4-Cl-Ph und 4-MeS(O)-Ph), 8,44-8,54 (m, 2H, 4-Pyr), 12,87 (bs, 1H, austauschbar, NH) - 4-[5-(4-Chlorphenyl)-2-(4-methansulfonyl-benzylsulfanyl)-3H-imidazol-4-yl]-pyridin (14e)
- Nach der Allgemeinen Methode A wurde die Titelverbindung ausgehend von 1c (0,26 g; 0,9 mmol) und 4 (0,18 g; 0,9 mmol) und unter Zusatz von Na2CO3 (zwei Spatelspitzen) nach 6,5-stündiger Reaktionszeit und säulenchromatographischer Trennung (SiO2 60, CH2Cl2/EtON 9+1) erhalten. Fp. 232 °C
IR (ATR): 1603, 1490, 1300 (SO2), 1141 (SO2), 1086, 1002, 952, 829, 681 (C-Cl), 550 cm–1
1H-NMR (DMSO-d6): δ (ppm) 3,19 (s, 3H, CH3), 4,52 (s, 2H, CH2), 7,32-7,58 (m, 6H, 4-Pyr und 4-Cl-Ph), 7,67 (d, 2H, 8,2 Hz, 4-MeSO2-Ph), 7,88 (d, 2H, 8,3 Hz, 4-MeSO2- Ph), 8,45-8,55 (m, 2H, 4-Pyr), 12,89 (bs, 1H, austauschbar, NH) - Beispiel 15
- 4-[5-(4-Bromphenyl)-2-(4-methylsulfanyl-benzylsulfanyl)-3H-imidazol-4-yl]-pyridin (15a)
- Nach der Allgemeinen Methode A wurde die Titelverbindung ausgehend von 1d (0,25 g; 0,75 mmol) und 2 (0,13 g; 0,72 mmol) nach 5-stündiger Reaktionszeit und säulenchromatographischer Trennung (SiO2 60, CH2Cl2/EtOH 9+1) erhalten.
IR (ATR): 1600, 1517, 1490, 1089, 1069, 1003, 968, 826 cm–1
1H-NMR (DMSO-d6): δ (ppm) 2,43 (s, 3H, CH3), 4,36 (s, 2H, CH2), 7,16-7,87 (m, 10H, 4-Pyr, 4-Br-Ph und 4-MeS-Ph), 8,45-8,55 (m, 2H, 4-Pyr), 12,90 (bs, 1H, austauschbar, NH) - 4-[5-(4-Bromphenyl)-2-(4-methansulfinyl-benzylsulfanyl)-3H-imidazol-4-yl]-pyridin (15b)
- Nach der Allgemeinen Methode A wurde die Titelverbindung ausgehend von 1d (0,25 g; 0,75 mmol) und 3 (0,14 g; 0,72 mmol) nach 10-stündiger Reaktionszeit und säulenchromatographischer Trennung (SiO2 60, CH2Cl2/EtOH 9+1) erhalten. Fp. 222 °C
IR (ATR): 1604, 1487, 1035 (S=O), 1010, 1000, 966, 822 cm–1
1H-NMR (DMSO-d6): δ (ppm) 2,71 (s, 3H, CH3), 4,48 (s, 2H, CH2), 7,40-7,62 (m, 20H, 4-Pyr, 4-Br-Ph und 4-MeS(O)-Ph), 8,49-8,57 (m, 2H, 4-Pyr), 12,90 (bs, 1H, austauschbar, NH) - 4-[5-(4-Bromphenyl)-2-(4-methansulfonyl-benzylsulfanyl)-3H-imidazol-4-yl]-pyridin (15c)
- Nach der Allgemeinen Methode A wurde die Titelverbindung ausgehend von 1 d (0,25 g; 0,75 mmol) und 4 (0,15 g; 0,72 mmol) nach 5-stündiger Reaktionszeit und säulenchromatographischer Trennung (SiO2 60, CH2Cl2/EtOH 9+1) erhalten. Fp. 226 °C
IR (ATR): 1605, 1318, 1303 (SO2), 1145 (SO2), 1003, 967, 957, 827, 822 cm–1
1H-NMR (DMSO-d6): δ (ppm) 3,18 (s, 3H, CH3), 4,50 (s, 2H, CH2), 7,33-7,89 (m, 10H, 4-Pyr, 4-Br-Ph und 4-MeSO2-Ph), 8,45-8,54 (m, 2H, 4-Pyr), 12,91 (bs, 1H, austauschbar, NH) - Beispiel 16
- 4-[2-(4-Methylsulfanyl-benzylsulfanyl)-5-phenyl-3N-imidazol-4-yl]-pyridin (16a)
- Nach der Allgemeinen Methode A wurde die Titelverbindung ausgehend von 1e (0,38 g; 1,5 mmol) und 2 (0,25 g; 1,4 mmol) nach 5,75-stündiger Reaktionszeit und säulenchromatographischer Trennung (SiO2 60, CH2Cl2/EtOH 9+1) erhalten. Fp. 213 °C
IR (ATR): 1601, 1491, 1417, 1094, 1004, 967, 828, 771, 700 cm–1
1H-NMR (DMSO-d6): δ (ppm) 2,44 (s, 3H, CH3), 4,38 (s, 2H, CH2), 7,18-7,58 (m, 11H, 4-Pyr, Ph und 4-MeS-Ph), 8,44-8,47 (m, 2H, 4-Pyr), 12,82 (bs, 1H, austauschbar, NH) - 4-[2-(4-Methansulfinyl-benzylsulfanyl)-5-phenyl-3H-imidazol-4-yl]-pyridin (16b)
- Nach der Allgemeinen Methode A wurde die Titelverbindung ausgehend von 1e (0,38 g; 1,5 mmol) und 3 (0,27 g; 1,43 mmol) nach 5,5-stündiger Reaktionszeit und säulenchromatographischer Trennung (SiO2 60, CH2Cl2/EtOH 9+1) erhalten. Fp. 189 °C
IR (ATR): 1603, 1494, 1051 (S=O), 1003, 833, 701 cm–1
1H-NMR (DMSO-d6): δ (ppm) 2,71 (s, 3H, CH3), 4,48 (s, 2H, CH2), 7,32-7,52 (m, 7H, 4-Pyr und Ph), 7,57-7,67 (m, 4H, 4-McS(O)-Ph), 8.45-8,54 (m, 2H, 4-Pyr), 12,84 (bs, 1H, austauschbar, NH) - 4-[2-(4-Methansulfonyl-benzylsulfanyl)-5-phenyl-3H-imidazol-4-yl]-pyridin (16e)
- Nach der Allgemeinen Methode A wurde die Titelverbindung ausgehend von 1e (0,38 g; 1,5 mmol) und 4 (0,29 g; 1,43 mmol) nach 4,25-stündiger Reaktionszeit und säulenchromatographischer Trennung (SiO2 60, CH2Cl2/EtOH 9+1) erhalten. Fp. 247 °C
IR (ATR): 1602, 1298 (SO2), 1145 (SO2), 1006, 953, 827, 775, 701 cm–1
1H-NMR (DMSO-d6): δ (ppm) 3,21 (s, 3H, CH3), 4,54 (s, 2H, CH2), 7,31-7,58 (m, 7H, 4-Pyr und Ph), 7,70 (d, 2H, 8,3 Hz, 4-MeSO2-Ph}, 7,91 (d, 2H, 8,3 Hz, 4-MeSO2-Ph), 8,45-8,59 (m, 2H, 4-Pyr), 12,87 (bs, 1H, austauschbar, NH) - Beispiel 17
- 4-{5-(4-Fluorphenyl)-2-[2-(4-methansulfinyl-phenyl)-ethylsulfanyl]-1H-imidazol-4-yl}-pyridin (17a)
- Nach der Allgemeinen Methode A wurde die Titelverbindung ausgehend von 1a (0,25 g; 0,9 mmol) und 12a (0,22 g; 1,1 mmol) und unter Zusatz von Na2CO3 (1 Spatelspitze) sowie einer katalytischen Menge Nal nach 50-stündiger Reaktionszeit und säulenchromatographischer Reinigung (SiO2 60, CH2Cl2/EtOH 9+1) erhalten. Fp. 177 °C
IR (ATR): 1221 (C-F}, 1032 cm–1 (S=O)
1H-NMR (DMSO-d6): δ (ppm) 2,71 (s, 3H, CH3), 3,06-3,13 (m, 2H, CH2), 3,42-3,49 (m, 2H, CH2), 7,25-7,65 (m, 10H, 4-Pyr, 4-F-Ph und 4-MeS(O)-Ph), 8,40-8,58 (m, 2H, 4-Pyr), 12,80 (bs, 1H, austauschbar, NH) - 4-(5-(4-Fluorphenyl)-2-[2-(4-methansulfinyl-phenyl)-propylsulfanyl]-1H-imidazol-4-yl)-pyridin (17b)
- Nach der Allgemeinen Methode A wurde die Titelverbindung ausgehend von 1a (0,25 g; 0,9 mmol) und 12b (0,22 g; 1,0 mmol) und unter Zusatz von Na2CO3 (1 Spatelspitze) sowie einer katalytischen Menge Nal nach 40-stündiger Reaktionszeit und säulenchromatographischer Reinigung (SiO2 60, CH2Cl2/EtOH 9+1) erhalten. Fp. 142 °C
IR (ATR): 1222 (C-F), 1043 cm–1 (S=O)
1H-NMR (DMSO-d6): δ (ppm) 1,95-2,09 (m, 2H, CHn), 2,71 (s, 3H, CH3), 2,82 (t, 2H, 7,4 Hz, CH2), 3,15 (t, 2H, 7,0 Hz, CH2), 7,25-7,62 (m, 10H, 4-Pyr, 4-F-Ph und 4-MeS(O)-Ph), 8,46-8,49 (m, 2H, 4-Pyr), 12,86 (bs, 1H, austauschbar, NH) - 4-[2-Benzylsulfanyl-5-(4-fluorphenyl)-1H-imidazol-4-yl]-pyridin (17e)
- Nach der Allgemeinen Methode A wurde die Titelverbindung ausgehend von 1a (0,28 g; 1,0 mmol) und 1-Chlormethylbenzol (0,13 g; 1,0 mmol) nach 6-stündiger Reaktionszeit und Ausrühren mit MeOH erhalten. Fp. 223 °C
IR (ATR): 1233 cm–1 (C-F)
1H-NMR (DMSO-d6): δ (ppm) 4,41 (s, 2H, CH2), 7,23-7,51 (m, 11H, 4-Pyr, 4-F-Ph und Bz), 8,44-8,47 (m, 2H, 4-Pyr), 12,82 (bs; 1H, austauschbar, NH) - 4-[5-(4-Fluorphenyl)-2-phenethylsutfanyl-1H-imidazol-4-yl]-pyridin (17d)
- Nach der Allgemeinen Methode A wurde die Titelverbindung ausgehend von 1a (0,5 g; 1,9 mmol) und 2-Chlorethylbenzol (0,28 g; 2,0 mmol) und unter Zusatz von Na2CO3 (1 Spatelspitze) sowie einer katalytischen Menge Nal nach 70-stündiger Reaktionszeit und Ausrühren mit EtOH erhalten. Fp. 257 °C
IR (ATR): 1223 cm–1 (C-F)
1H-NMR (DMSO-d6): δ (ppm) 2,99 (t, 2H, 7,4 Hz, CH2), 3,40 (t, 2H, 7,5 Hz, CH2), 7,17-7,53 (m, 11H, 4-Pyr, 4-F-Ph und Bz), 8.44-8,46 (m, 2H, 4-Pyr), NH nicht sichtbar - 4-[5-(4-Fluorphenyl)-2-(3-phenyl-propylsulfanyl)-1H-imidazol-4-yl]-pyridin (17e)
- Nach der Allgemeinen Methode A wurde die Titelverbindung ausgehend von 1a (0,5 g; 1,9 mmol) und 3-Chlorpropylbenzol (0,31 g; 2,0 mmol) und unter Zusatz von Na2CO3 (1 Spatelspitze) sowie einer katalytischen Menge Nal nach 70-stündiger Reaktionszeit und Ausrühren mit EtOH erhalten. Fp. 183 °C
IR (ATR): 1226 cm–1 (C-F)
1H-NMR (DMSO-d6): δ (ppm) 1,90-2,04 (m, 2H, CH2), 2,72 (t, 2H, 7,4 Hz, CH2), 3,12 (t, 2H, 7,0 Hz, CH2), 7,18-7,51 (m, 11H, 4-Pyr, 4-F-Ph und Bz), 8,37-8,44 (m, 2H, 4-Pyr), 12,82 (bs, 1H, austauschbar, NH) - [5-(4-Fluorphenyl)-4-pyridin-4-y1-1H-imidazol-2-ylsulfanyl]-acetonitril (17f)
- Nach der Allgemeinen Methode A wurde die Titelverbindung ausgehend von 1a (1,1 g; 4,0 mmol) und Chloracetonitril (0,30; 4,0 mmol) nach 18-stündiger Reaktionszeit und säulenchromatographischer Reinigung (SiO2 60, Ethylacetat) erhalten. Fp. 219 °C
IR (ATR): 2243 (CN), 1226 cm–1 (C-F)
1H-NMR (DMSO-d6): δ (ppm) 4,32 (s, 2H, CH2), 7,34-7,57 (m, 6H, 4-Pyr und 4-F-Ph), 8,50-8,52 (m, 2H, 4-Pyr), 13,20 (bs, 1H, austauschbar, NH) - 4-[5-(4-Fluorphenyl)-2-(naphthalen-1-ylmethylsulfanyl)-1H-imidazol-4-yl]-pyridin (179)
- Nach der Allgemeinen Methode A wurde die Titelverbindung ausgehend von 1a (0,28 g; 1,0 mmol) und 1-Chlormethylnaphthol (0,18 g;, 1,0 mmol) nach 6,5-stündiger Reaktionszeit und säulenchromatographischer Reinigung (SiO2 60, Ethylacetat) erhalten. Fp. 364 °C
IR (ATR): 1225 cm–1 (C-F)
1H-NMR (DMSO-d6): δ (ppm) 4,90 (s, 2H, CH2), 7,25-7,62 (m, 10H, 4-Pyr, 4-F-Ph und Naphthyl), 7,80-7,98 (m, 2H, Naphthyl), 8,20-8,23 (m, 1H, Naphthyl), 8,48-8,52 (m, 2H, 4-Pyr), 12, (bs, 1H, austauschbar, NH) - 4-[2-Cyclohexylmethylsulfanyl-5-(4-fluorphenyl)-1H-imidazol-4-yl]-pyridin (17h)
- Nach der Allgemeinen Methode A wurde die Titelverbindung ausgehend von 1a (0,25 g; 0,9 mmol) und 1-Chlormethylcyclohexan (0,18 g; 1,0 mmol) und unter Zusatz von Na2CO3 (1 Spatelspitze) sowie einer katalytischen Menge Nal nach 47-stündiger Reaktionszeit und Ausrühren mit EtOH erhalten. Fp. 235 °C
IR (ATR): 2922, 2852 (c-Hex), 1222 cm–1 (C-F)
1H-NMR (DMSO-d6): δ (ppm) 0,95-1,23 (m, 5H, cyclo-Hex), 1,51-1,85 (m, 6H, cyclo-Hex), 3,06 (d, 2H, 6,7 Hz, CH2), 7,22-7,51 (m, 6H, 4-Pyr und 4-F-Ph), 8,43-8,45 (m, 2H, 4-Pyr), 12,76 (bs, 1H, austauschbar, NH) - 4-[5-(4-Fluorphenyl)-2-methylsulfanyl-1H-imidazol-4-yl]-pyridin (17i)
- Nach der Allgemeinen Methode A wurde die Titelverbindung ausgehend von 1a (0,41 g; 1,5 mmol) und Methyliodid (0,27 g; 1,9 mmol) nach 8-stündiger Reaktionszeit und Ausrühren mit EtON erhalten. Fp. 263 °C
IR (ATR): 1226 cm–1 (C-F)
1H-NMR (DMSO-d6): δ (ppm) 2,61 (s, 3H, CH3), 7,22-7,51 (m, 6H, 4-Pyr und 4-F-Ph), 8,42-8,45 (m, 2H, 4-Pyr), NH nicht sichtbar - 4-[5-(4-Fluorphenyl)-2-(2-methylsulfanyl-benzylsulfanyl)-1H-imidazot-4-yl]-pyridin (17j)
- Nach der Allgemeinen Methode A wurde die Titelverbindung ausgehend von 1a (0,28 g; 1,0 mmol) und 1-Chlormethyl-2-methylsulfanylbenzol (0,17 g; 1,0 mmol) nach 5,5-stündiger Reaktionszeit und säulenchromatographischer Reinigung (SiO2 60, Ethylacetat) erhalten. Fp. 223 °C
IR (ATR): 1228 cm–1 (C-F)
1H-NMR (CD3OD): δ (ppm) 2,51 (s, 3H, CH3), 4,44 (s, 2H, CH2), 7,13-7,48 (m, 10H, 4-Pyr, 4-F-Ph und 2-MeS-Ph), 8,43-8,46 (m, 2H, 4-Pyr) - 4-[5-(4-Fluorphenyl)-2-(2-methansulfinyl-benzylsulfanyl)-1H-imidazol-4-yl]-pyridin (17k)
- Nach der Allgemeinen Methode A wurde die Titelverbindung ausgehend von 1 a (0,28 g; 1,0 mmol) und 1-Chlormethyl-2-methansulfinylbenzol (0,18 g; 1,0 mmol) nach 4-stündiger Reaktionszeit und Umkristallisation aus Methanol/Ethylacetat (1+1) erhalten. Fp. 205 °C
IR (KBr): 1213 (C-F), 1033 cm–1 (S=O)
1H-NMR (CD3OD): δ (ppm) 2,87 (s, 3H, CH3), 4,50 (d, 1H, 13,6 Hz, CH2), 4,62 (d, 1H, 13,6 Hz, CH2), 7,24-7,33 (m, 2H, 4-F-Ph), 7,47-7,62 (m, 5H, 4-F-Ph, C4-/C5-/C6-H 2-MeS(O)-Ph), 7,95 (d, 1H, 7,2 Hz, C3-H 2-MeS(O)-Ph), 7,99-8,03 (m, 2H, 4-Pyr), 8,55-8,58 (m, 2H, 4-Pyr) - 4-[5-(4-Fluorphenyl)-2-(3-methylsulfanyl-benzylsulfanyl)-1H-imidazol-4-yl]-pyridin (171)
- Nach der Allgemeinen Methode A wurde die Titelverbindung ausgehend von 1 a (1,1 g; 4,1 mmol) und 1-Chlormethyl-3-methylsulfanylbenzol (0,7 g; 4,1 mmol) nach 11-stündiger Reaktionszeit und Umkristallisation aus EtOH erhalten. Fp. 218 °C
IR (KBr): 1225 cm–1 (C-F)
1H-NMR (DMSO-d6): δ (ppm) 2,40 (s, 3H, CH3), 4,46 (s, 2H, CH2), 7,16-7,43 (m, 6H, 4-F-Ph und 3-MeS-Ph), 7,56-7,63 (m, 2H, 4-F-Ph), 7,90-7,93 (m, 2H, 4-Pyr), 8,66-8,69 (m, 2H, 4-Pyr), NH nicht sichtbar - 4-[5-(4-Fluorphenyl)-2-(3-methansulfinyl-benzylsulfanyl)-1H-imidazol-4-yl]-pyridin (17m)
- Zu einer Suspension von 171 (0,50 g; 1,2 mmol) in Eisessig (7 mL) wurde eine 35%ige Lösung von H2O2 (0,13 mL; 1,3 mmol) zugetropft. Das Reaktionsgemisch wurde 20,5 h bei Raumtemperatur gerührt, mit H2O (5 mL) verdünnt, mit 25%igem Ammoniakwasser auf pH 9 eingestellt und mit Ethylacetat extrahiert (3 ×). Der vereinigte organische Extrakt wurde mit gesättigter NaCl-Lösung gewaschen (3 ×) und über Na2SO4 getrocknet. Das nach Entfernen des Lösemittels erhaltene ölige Rohprodukt wurde mit Diethylether/Ethylacetat (1+1) verrieben und der halbfeste Rückstand säulenchromatographisch gereinigt (RP-18, MeOH). Fp. 171 °C
IR (KBr): 1228 (C-F), 1019 cm–1 (S=O)
1H-NMR (CD3OD): δ (ppm) 2,67 (s, 3H, CH3), 4,37 (s, 2H, CH2), 7,13-7,21 (m, 2H, 4-F-Ph), 7,37-7,58 (m, 8H, 4-Pyr, 4-F-Ph und 3-MeS(O)-Ph), 8,40-8,43 (m, 2H, 4-Pyr) - Beispiel 18
- 2-[5-(4-Fluorphenyl)-4-pyridin-4-yl-1H-imidazol-2-ylsulfanylmethyl]-phenol (18a)
- Nach der Allgemeinen Methode B (23 h, Raumtemperatur) wurde die Titelverbindung ausgehend von 1a (0,20 g; 0,7 mmol) und 2-Hydroxymethylphenol (0,10 g; 0,8 mmol) nach Ausrühren mit EtON erhalten. Fp. 200 °C (Zersetzung)
IR (ATR): 1266 (OH bending), 1222 (C-F), 1005 (C-0)
1H-NMR (DMSO-d6): δ (ppm) 4,37 (s, 2H, CH2), 6,70-6,85 (m, 2H, 2-HO-Ph), 7,05-7,14 (m, 1H, 2-HO-Ph), 7,23-7,53 (m, 7H, 4-Pyr, 4-F-Ph und 2-HO-Ph), 8,46-8,49 (m, 2H, 4-Pyr), 9,95 (bs, 1H, austauschbar, OH), 12.81 (bs, 1H, austauschbar, NH) - 3-[5-(4-Fluorphenyl)-4-pyridin-4-yl-1H-imidazol-2-ylsulfanylmethyl]-phenol (18b)
- Nach der Allgemeinen Methode B (9 h, Rückfluss) wurde die Titelverbindung ausgehend von 1a (0,20 g; 0,7 mmol) und 3-Hydroxymethylphenol (0,10 g; 0,8 mmol) nach säulenchromatographischer Reinigung (SiO2 60, CH2Cl2/EtOH 9+1) erhalten. Fp. 230 °C
IR (ATR): 1287 (OH bending), 1241 (C-F), 1007 cm–1 (C-O)
1H-NMR (DMSO-d6): δ (ppm) 4,34 (s, 2H, CH2), 6,65 (dd, 1H, 1,4/8,0 Hz, 3-HO-Ph C4-H), 6,79-6,82 (m, 2H, 3-HO-Ph C2-/C6-H), 7,07-7,15 (m, 1H, 3-HO-Ph C5-H), 7,27-7,53 (m, 6H, 4-Pyr und 4-F-Ph), 9,45 (s, 1H, austauschbar, OH), 12,83 (bs, 1H, austauschbar, NH) - 4-[5-(4-Fluorphenyl)-4-pyridin-4-yl-1H-imidazol-2-ylsulfanylmethyl]-phenol (18e)
- Nach der Allgemeinen Methode B (14 h, Raumtemperatur) wurde die Titelverbindung ausgehend von 1a (0,20 g; 0,7 mmol) und 4-Hydroxymethylphenol (0,10 g; 0,8 mmol) nach säulenchromatographischer Reinigung (SiO2 60, CH2Cl2/EtOH 9+1) erhalten. Fp. 250 °C (Zersetzung}
IR (ATR): 1271 (OH bending), 1232 (C-F), 1004 cm–1 (C-O)
1H-NMR (DMSO-d6): δ (ppm) 4,32 (s, 2H, CH2), 6,69 (d, 2H, 7,5 Hz, 4-HO-Ph), 7,19 (d, 2H, 7,9 Hz, 4-HO-Ph), 7,27-7,51 (m, 6H, 4-Pyr und 4-F-Ph), 8,43-8,53 (m, 2H, 4-Pyr), 9,41 (s, 1H, austauschbar, OH), 12,79 (bs, 1H, austauschbar, NH) - 2-[5-(4-Fluorphenyl)-4-pyridin-4-yl-1H-imidazol-2-ytsulfanylmethyl]-4-methylsulfanyl-phenol (18d)
- Nach der Allgemeinen Methode B (1h, Raumtemperatur) wurde die Titelverbindung ausgehend von 1a (0,50 g; 2,9 mmol) und 8a (0,50 g; 2.9 mmol) nach Ausrühren mit MeOH erhalten. Fp. 243°C
IR (KBr): 1275 (OH bending), 1230 (C-F), 1005 cm–1 (C-O)
1H-NMR (DMSO-d7): δ (ppm) 2,36 (s, 3H, CH3), 4,46 (s, 2H, CH2), 6,90 (d, 1H, 8,4 Hz, 2-HO-Ph C3-H), 7,13 (dd, 1H, 2,3/8.3 Hz, 2-HO-Ph C4-H),7,27-7,35 (m, 3H, 4-F-Ph und 2-HO-Ph C6-H), 7,51-7,53 (m, 2H, 4-Pyr), 7,58-7,65 (m, 2H, 4-F-Ph), 8,52-8,55 (m, 2H, 4-Pyr), 10,30-10,70 (bs, 1H, austauschbar, NH), OH nicht sichtbar - 4-Chlor-2-[5-(4-fluorphenyl)-4-pyridin-4-yl-1H-imidazol-2-ylsulfanylmethyl]-6-methylsulfanylphenol (18e)
- Nach der Allgemeinen Methode B (1.5 h, 75 °C) wurde die Titelverbindung ausgehend von 1a (0,80 g; 3,0 mmol) und 8b (0,60 g; 3,0 mmol) nach Ausrühren mit MeOH erhalten. Fp. 220 °C (Zersetzung)
IR (KBr): 1259 (OH bending), 1225 (C-F), 1007 cm–1 (C-O)
1H-NMR (DMSO-d6): δ (ppm) 2,34 (s, 3H, CH3), 4,38 (s, 2H, CH2), 6,97 (d, 1H, 2,3 Hz, 3-Cl-Ph C2-H), 7,17 (d, 1H, 2,3-Hz, 3-Cl-Ph C4-H), 7,23-7,51 (m, 6H, 4-Pyr und 4-F-Ph), 8,48-8,50 (m, 2H, 4-Pyr), 12,74 (bs, 1H, austauschbar, NH), OH nicht sichtbar - 4-[5-(4-Fluorphenyl)-4-pyridin-4-yl-1H-imidazol-2-ylsulfanylmethyl]-2-methylsulfanyl-phenol (18f)
- Nach der Allgemeinen Methode B (2 h, Raumtemperatur) wurde die Titelverbindung ausgehend von 1a (0,20 g; 0,7 mmol) und 8c (0.14 g, 0.8 mmol) nach Ausrühren mit MeOH erhalten. Fp. 230 °C (Zersetzung)
IR (KBr): 1227 (C-F), 1019 cm–1 (C-O)
1H-NMR (CD3OD): δ (ppm) 2,21 (s, 3H, CH3), 4,17 (s, 2H, CH2), 6,69 (d, 1H, 8,0 Hz, 4-HO-Ph C3-H), 6,90-7,01 (m, 2H, 4-HO-Ph C2-/C6-H), 7,12-7,21 (m, 2H, 4-F-Ph), 7,32-7,53 (m, 4H, 4-Pyr und 4-F-Ph), 8,39-8,43 (m, 2H, 4-Pyr) - 2-[5-(4-Fluorphenyl)-4-pyridin-4-yl-1H-imidazol-2-ylsulfanylmethyl]-4-methansulfinylphenol (18g)
- sNach der Allgemeinen Methode B (1h, Raumtemperatur) wurde die Titelverbindung ausgehend von 1a (0,27 g; 1,0 mmol) und 8a (0,17 g; 1,0 mmol) unter Zusatz von 35%iger N2O2-Lösung nach Umkristallisation aus Toluol/THF (1+1) erhalten. Fp. 216 °C
IR (KBr): 1278 (OH bending), 1232 (C-F), 1031 (S=O), 1003 cm–1 (C-O)
1H-NMR (CD3OD): δ (ppm) 2,60 (s, 3H, CH3), 4,33 (s, 2H, CH2), 6,96 (d, 1H, 8,2 Nz, 2-HO-Ph C3-H), 7,11-7,21 (m, 2H, 4-F-Ph), 7,41-7,47 (m, 6H, 4-Pyr, 4-F-Ph und 2-HO-Ph C4-/C6-H), 8,39-8,42 (m, 2H, 4-Pyr) - 4-Chlor-2-[5-(4-fluorphenyl)-4-pyridin-4-yl-1H-imidazol-2-ylsulfanylmethyl]-6-methansulfinyl-phenol (18h)
- Nach der Allgemeinen Methode B (1,5 h, 75 °C) wurde die Titelverbindung ausgehend von 1a (0,27 g; 1,0 mmol) und 8b (0,21 g, 1,0 mmol) unter Zusatz von 35%iger H2O2-Lösung nach säulenchromatographischer Reinigung (SiO2 60, Aceton) erhalten. Fp. 175 °C (Zersetzung)
IR (KBr): 1265 (OH bending), 1236 (C-F), 1051 (S=O), 1005 cm–1 (C-O)
1H-NMR (CD3OD): δ (ppm) 2,72 (s, 3H, CH3), 4,39 (s, 2H, CH2), 7,14-7,23 (m, 2H, 4-F-Ph), 7,39 (d, 1H, 2,6 Hz, 3-Cl-Ph C2-H), 7,42-7,49 (m, 6H, 4-Pyr, 4-F-Ph und 3-Cl-Ph C4-H), 8,43-8,46 (m, 2H, 4-Pyr) - 4-[5-(4-Fluorphenyl)-4-pyridin-4-yl-1H-imidazol-2-ylsulfanylmethyl]-2-methansulfinyl-phenol (18i)
- Nach der Allgemeinen Methode B (2,5 h, Raumtemperatur) wurde die Titelverbindung ausgehend von 1a (0.20 g; 0,7 mmol) und 8c (0,14 g; 0,8 mmol) unter Zusatz von 35%iger H2O2-Lösung nach Ausrühren mit Aceton erhalten. Fp. 185 °C (Zersetzung)
IR (KBr): 1296 (OH bending), 1230 (C-F), 1062 (S=O), 1013 cm–1 (C-O)
1H-NMR (CD3OD): δ (ppm) 2,70 (s, 3H, CH3), 4,28 (s, 2H, CH2), 6,78 (d, 1H, 8,3 Hz, 4-HO-Ph C3-H), 7,12-7,21 (m, 2H, 4-F-Ph), 7,28 (dd, 1H, 2,2/8,3 Hz, 4-HO-Ph C2-H), 7,39-7,46 (m, 5H, 4-Pyr, 4-F-Ph und 4-NO-Ph C6-H), 8,40 (m, 2H, 4-Pyr) - Beispiel 20
- 4-Fluor-N-methoxy-N-methyl-benzamid (20)
- Eine Suspension von 4-Fluorbenzoesäure (20 g, 143 mmol) in Thionylchlorid (130 g; 1,1 mol) wurde 6 h unter Rückfluss gerührt: Heftige Gasentwicklung, klare Lösung nach ca. 10 min, Farbvertiefung von Gelb nach Orange. Das überschüssige Thionylchlorid wurde destillativ entfernt (zunächst Normaldruck/40 °C, dann Membranpumpenvakuum/40 °C). Aus dem Destillationsrückstand wurde 4-Fluorbenzoesäurechlorid im Membranpumpenvakuum bei 90 °C über eine kurze Kolonne abdestilliert. Das Reaktionsprodukt kristallisierte bei Aufbewahrung im Kühlschrank aus (n20 D 1,5315; F 9 °C, Ausbeute 20 g/89 %). Zu einer Suspension von N,O-Dimethylhydroxylaminhydrochlorid (9,0 g; 92 mmol) in CH2Cl2 (75 mL) wurde frisch destilliertes Triethylamin (29 mL) zugegeben. Das Reaktionsgemisch wurde 2 h bei Raumtemperatur gerührt und anschließend auf -10 °C abgekühlt. Innerhalb von 6 min wurde 4-Fluorbenzoesäurechlorid (13,5 g; 85 mmol) unter Kühlung zur Vorlage zugetropft. Nach beendeter Zugabe wurde die Kühlung entfernt und das Reaktionsgemisch 1,5 h bei Raumtemperatur nachgerührt. Die hellbraune Suspension wurde auf H2O (100 mL) gegeben. Die organische Phase wurde abgetrennt und die wässrige Phase mit Diethylether extrahiert (2 ×). Der vereinigte organische Extrakt wurde mit gesättigter NaCl-Lösung gewaschen, über NaSO4 getrocknet und eingeengt. Der ölige, braune Rückstand kristallisierte beim Abkühlen und Anreiben. Das Rohprodukt wurde an der Ölpumpe getrocknet (Triethylamin-Reste!) und ohne weitere Reinigung umgesetzt.
1N-NMR (CDCl3): δ (ppm) 3,37 (s, 3H, NCH3), 3,54 (s, 3H, OCH3), 7,04-7,13 (m, 2H, 4-F-Ph), 7,71-7,78 (m, 2H, 4-F-Ph) - Beispiel 21
- 2-(2-Chlorpyridin-4-yl)-1-(4-fluorphenyl)-ethanon (21a)
- Zu einer auf -85 °C abgekühlten Lösung von Diisopropylamin (15 mL, 106 mmol) in THF abs. (150 mL) wurde in einem ausgeheizten und mit Argon gespülten DHK n-BuLi (15%ige Lösung in n-Hexan, 45 mL, 104 mmol) zugetropft: Temperaturanstieg auf -50 °C. Nach beendeter Zugabe wurde die hellgelbe Lösung 55 min bei -85 °C gerührt. Zu dieser Vorlage wurde bei -85 °C eine Lösung von 2-Chlor-4-methylpyridin (2-Chlor-γ-picolin, 8,6 g; 68 mmol) in THF abs. (75 mL) zugetropft: Temperaturanstieg auf -50 °C, sofortige Purpurfärbung. Nach beendeter Zugabe wurde das Reaktionsgemisch 1 h bei -85 °C gerührt und bei dieser Temperatur innerhalb von 3 min mit einer Lösung von 20 (12,4 g; 68 mmol) in THF abs. (75 mL) versetzt: Temperaturanstieg auf -60 °C. Das purpurfarbene, breiige Reaktionsgemisch wurde 1 h bei -85 °C gerührt und anschließend innerhalb von 1 h auf 0 °C erwärmt. Der Ansatz wurde auf gesättigte NaCl-Lösung (300 mL) gegeben, die mit Ethylacetat (300 mL) überschichtet war. Die organische Phase wurde abgetrennt und die wässrige Phase mit Ethylacetat extrahiert (2 × 250 mL), wobei sich an der Phasengrenzfläche nur wenig brauner, schaumiger Niederschlag von 1,3-Bis-(2-chlorpyridin-4-yl)-2-(4-fluorphenyl)-propan-2-ol abschied. Der vereinigte organische Extrakt wurde mit gesättigter NaCl-Lösung gewaschen, über NaSO4 getrocknet und eingeengt. Der ölige Rückstand wurde in etwas tert-Butylmethylether aufgenommen und über Nacht bei 4 °C gelagert. Das Kristallisat wurde abfiltriert und getrocknet.
1N-NMR (CDCl3): δ (ppm) 4,26 (s, 2H, CH2), 7,11-7,26 (m, 4H, C3-/C5-N 2-Cl-Pyr und 4-F-Ph), 7,99-8,06 (m, 2H, 4-F-Ph), 8,35 (dd, 1H, 0,6/5,1 Hz, C6-H 2-Cl-Pyr) - 1-(4-Fluorphenyl)-2-(2-fluorpyridin-4-yl)-ethanon (21b)
- 21b wurde ausgehend von 2-Fluor-4-methyl-pyridin (13,9 g; 125 mmol) nach der in der Synthese von 21 a beschriebenen Methode dargestellt.
1N-NMR (CDCl3): δ (ppm) 4,32 (s, 2H, CH2), 6,85-6,86 (m, 1H, C3-H 2-F-Pyr), 7,08-7,19 (m, 3H, C5-H 2-F-Pyr und 4-F-Ph), 8,00-8,07 (m, 2H, 4-F-Ph), 8,18 (d, 1H, 5,1 Hz, C6-H 2-F-Pyr) - 2-(2-Brompyridin-4-yl)-1-(4-fluorphenyl)-ethanon (21c)
- 21c wurde ausgehend von 2-Brom-4-methyl-pyridin (9,6 g; 56 mmol) nach der in der Synthese von 21 a beschriebenen Methode dargestellt.
1N-NMR (CDCl3): δ (ppm) 4,35 (s, 2H, CH2), 7,17-7,37 (m, 3H, 2-Br-Pyr und 4-F-Ph), 7,50 (s, 1H, C3-H 2-Br-Pyr), 8,07-8,15 (m, 2H, 4-F-Ph), 8,42 (d, 1H, 5,1 Hz, C6-H 2-Br-Pyr) - Beispiel 22
- 1-(2-Chlorpyridin-4-yl)-2-(4-fluorphenyl)-ethan-1,2-dion-1-oxim (22a)
- Eine Lösung von 21 a (3,0 g; 12 mmol) in Eisessig (30 mL) wurde unter Rühren und Kühlung im Wasserbad (ca. 10 °C) innerhalb von 2,5 min tropfenweise mit einer Lösung von NaNO2 (0,85 g; 12,3 mmol) in H2O (10 mL) versetzt. Nach beendeter Zugabe wurde das Reaktionsgemisch 0,5 h bei Raumtemperatur gerührt, mit H2O (60 mL) ergänzt und weitere 3 h bei Raumtemperatur gerührt. Der hellbeige Niederschlag wurde abfiltriert, mit Wasser gewaschen und im Vakuum über CaCl2 getrocknet.
1H-NMR (DMSO-d6): δ (ppm) 7,34-7,52 (m, 4H, C3-/C5-H 2-Cl-Pyr und 4-F-Ph), 7,93-8,00 (m, 2H, 4-F-Ph), 8,47 (d, 1H, 5,2 Hz, C6-H 2-Cl-Pyr), 12,71 (bs, 1H, austauschbar, OH) - 1-(2-Fluorpyridin-4-yl)-2-(4-fluorphenyl)-ethan-1,2-dion-1-oxim (22b)
- 22b wurde ausgehend von 21b (10,0 g; 43 mmol) nach der in der Synthese von 22a beschriebenen Methode dargestellt.
1H-NMR (DMSO-d6): δ (ppm) 7,19-7,20 (m, 1H, C3-H 2-F-Pyr), 7,35-7,47 (m, 3H, C5-H 2-F-Pyr und 4-F-Ph), 7,91-7,98 (m, 2H, 4-F-Ph), 8,29 (d, 1H, 5,3 Hz, C6-H 2-F-Pyr), 12,69 (s, 1H, austauschbar, OH) - 1-(4-Fluorphenyl)-2-(2-isopropoxypyridin-4-yl)-ethan-1,2-dion-2-oxim (22c)
- Eine Lösung von 22b (200 mg; 0,76 mmol) in HCl-gesättigtem Isopropanol (15 mL) wurde 2,5 h unter Rückfluss gerührt. Die Lösung wurde eingeengt und der gelblich-weiße Rückstand mit wenig Ethanol ausgerührt, abfiltriert und getrocknet.
1H-NMR (DMSO-d6): δ (ppm) 1,24 (d, 6H, 6,2 Hz, 2 × CH3), 5,15-5,27 (m, 1H, Methin-H), 6,54 (s, 1H, C3-H 2-Iso-O-Pyr), 7,08 (dd, 1H, 1,2/5,3 Hz, C5-H 2-Iso-O-Pyr), 7,36-7,49 (m, 2H, 4-F-Ph), 7,88-7,97 (m, 2H, 4-F-Ph), 8,19 (d, 1H, 5,4 Hz, C6-H 2-Iso-O-Pyr), 12,44 (bs, 1H, austauschbar, OH) - 1-(2-Brompyridin-4-yl)-2-(4-fluorphenyl)-ethan-1,2-dion-1-oxim (22d)
- 22d wurde ausgehend von 21c (5,0 g; 17 mmol) nach der in der Synthese von 22a beschriebenen Methode dargestellt.
1H-NMR (DMSO-d6): δ (ppm) 7,40-7,48 (m, 3H, C3-H 2-Br-Pyr und 4-F-Ph), 7,65 (d, 1H, 0,8 Hz, C5-H 2-Br-Pyr), 7,93-8,01 (m, 2H, 4-F-Ph), 8,45 (d, 1H, 5,2 Hz, C6-H 2-Br-Pyr), 12,72 (bs, 1H, austauschbar, OH) - Beispiel 23
- 2-Amino-2-(2-chlorpyridin-4-yl)-1-(4-fluorphenyl)-ethanon-hydrochlorid (23a)
- 22a (1,5 g; 5,4 mmol) wurde unter leichtem Erwärmen in Methanol (15 mL) gelöst. Die Lösung wurde auf Raumtemperatur abgekühlt, mit salzsaurem Methanol (20 mL) ergänzt und in einen DHK überführt. In die Vorlage wurde Pd-C 10 % (150 mg) eingetragen. Das Reaktionsgefäß wurde an der Ölpumpe evakuiert und anschließend über eine Gaseinleitungskapillare mit H2 beschickt (4 ×). Die Suspension wurde bei Raumtemperatur im abgeschlossenen Dreihalskolben in H2-Atmosphäre geschüttelt (240 Hub/min), bis das Edukt dünnschichtchromatographisch nicht mehr nachweisbar war (6 h). Die Suspension wurde filtriert und der Katalysator mit reichlich Methanol gewaschen. Das vereinigte Filtrat wurde eingeengt und der senffarbene, fest-amorphe Rückstand an der Ölpumpe getrocknet. Das Rohprodukt wurde ohne weitere Aufreinigung im nächsten Reaktionsschritt eingesetzt.
1H-NMR (DMSO-d6): δ (ppm) 6,53 (bs, 1H, Methin-H), 7,35-7,45 (m, 2H, 4-F-Ph), 7,59 (dd, 1H, 1,5/5,2 Hz, C5-H 2-Cl-Pyr), 7,85 (d, 1H, 0,9 Hz, C3-H 2-Cl-Pyr), 8,17-8,25 (m, 2H, 4-F-Ph), 8,49 (d, 1H, 4,9 Hz, C6-H 2-Cl-Pyr), 9,33 (bs, 3H, austauschbar, NH3 +) - 2-Amino-2-(2-fluorpyridin-4-yl)-1-(4-fluorphenyl)-ethanon-hydrochlorid (23b)
- 22b (5,0 g; 19 mmol) wurde unter leichtem Erwärmen in salzsaurem Isopropanol (IsOH/HCl-gesättigter IsOH 1+1, 60 mL) gelöst. Die gelbliche Lösung wurde auf Raumtemperatur abgekühlt und in einen DHK (100 mL) überführt. In die Vorlage wurde Pd-C 10 % (1,5 g) eingetragen. Das Reaktionsgefäß wurde an der Ölpumpe evakuiert und anschließend über eine Gaseinleitungskapillare mit H2 beschickt (4 ×). Bei Raumtemperatur wurde die Suspension im abgeschlossenen Dreihalskolben in H2-Atmosphäre geschüttelt (240 Hub/min), bis das Edukt dünnschichtchromatographisch nicht mehr nachweisbar war (6,5 h). Es wurde vom Katalysator abfiltriert. Der Filtrationsrückstand wurde mit reichlich Methanol gewaschen (ca. 800 mL). Die vereinigten Filtrate wurden eingeengt und der festamorphe Rückstand an der Ölpumpe getrocknet. Das Rohprodukt wurde ohne weitere Aufreinigung im nächsten Reaktionsschritt eingesetzt.
1H-NMR (DMSO-d6): δ (ppm) 6,58 (bs, 1H, Methin-H), 7,33-7,41 (m, 2H, 4-F-Ph), 7,54 (m, 2H, C3-/C5-H 2-F-Pyr), 8,14-8,25 (m, 2H, 4-F-Ph), 8,30 (d, 1H, 5,5 Hz, C6-H 2-F-Pyr), 9,40 (bs, 3H, austauschbar, NH3 +) - 2-Amino-1-(4-fluorphenyl)-2-(2-isopropoxypyridin-4-yl)-ethanon-hydrochlorid (23c)
- 23c wurde ausgehend von 22c (2,0 g; 7,6 mmol) nach der in der Synthese von 23a beschriebenen Methode dargestellt.
1H-NMR (DMSO-d6): δ (ppm) 1,23 (d, 6H, 5,6 Hz, 2 × CH3), 5,09-5,22 (m, 1H, Methin-H CH(CH3)2), 6,38-6,41 (bs, 1H, Methin-H CH-NH3 +), 7,00-7,08 (m, 2H, 2-Iso-O-Pyr), 7,33-7,46 (m, 2H, 4-F-Ph), 8,14-8,23 (m, 3H, 2-Iso-O-Pyr und 4-F-Ph), 9,21 (bs, 3H, austauschbar, NH3 +) - 2-Amino-1-(4-fluorphenyl)-2-(2-methoxypyridin-4-yl)-ethanon-hydrochlorid (23d)
- 23d entstand durch Behandlung von 22b (7,5 g; 29 mmol) unter den in der Synthese von 23a beschriebenen Bedingungen.
1H-NMR (DMSO-d6): δ (ppm) 3,83 (s, 3H, CH3), 6,44 (bs, 1H, Methin-H), 7,13-7,16 (m, 2H, C3/C5-H 2-MeO-Pyr), 7,34-7,46 (m, 2H, 4-F-Ph), 8,16-8,25 (m, 3H, C6-H 2-MeO-Pyr und 4-F-Ph), 9,29 (bs, 3H, austauschbar, NH3 +) - 2-Amino-1-(4-fluorphenyl)-2-pyridin-4-yl-ethanon-hydrochlorid (23e)
- 23e entstand durch Behandlung von 22c (4,0 g; 12,4 mmol) unter den in der Synthese von 23b beschriebenen Bedingungen.
1H-NMR (DMSO-d6): δ (ppm) 6,78 (bs, 1H, Methin-H), 7,32-7,38 (m, 2H, 4-F-Ph), 8,07-8,13 (m, 2H, 4-Pyr), 8,17-8,27 (m, 2H, 4-F-Ph), 8,92-8,95 (m, 2H, 4-Pyr), 9,43 (bs, 3H, austauschbar, NH3 +) - 2-Amino-2-(2-brompyridin-4-yl)-1-(4-fluorphenyl)-ethanon-hydrochlorid (23f)
- Eine Lösung von 22d (1,8 g; 5,6 mmol) in Ethanol absolut (30 mL) wurde auf -10 °C abgekühlt und mit konzentrierter Schwefelsäure (1,3 mL) versetzt. Unter Kühlung wurde Zink-Staub (1,1 g) portionsweise in die Vorlage eingetragen. Das Reaktionsgemisch wurde 30 min bei -10 °C gerührt und anschließend auf Raumtemperatur erwärmt. Die grau-grüne Suspension wurde filtriert und der weiße Rückstand (ZnSO4) mit reichlich Ethanol gewaschen. Das vereinigte, gelbgefärbte Filtrat wurde eingeengt und der feste, gelbliche Rückstand an der Ölpumpe getrocknet.
1H-NMR (DMSO-d6): δ (ppm) 6,39 (bs, 1H, Methin-H), 7,35-7,44 (m, 2H, 4-F-Ph), 7,56 (dd, 1H, 1,4/5,1 Hz, C5-H 2-Br-Pyr), 7, 91 (s, 1H, C3-H2-Br-Pyr), 8,12-8,19 (m, 2H, 4-F-Ph), 8,46 (d, 1H, 5,1 Hz, C6-H2-Br-Pyr), 8,94 (bs, 3H, austauschbar, NH3 +) - Beispiel 24
- 4-(2-Chlorpyridin-4-yl)-5-(4-fluorphenyl)-1,3-dihydro-imidazol-2-thion (24a)
- 23a (2,9 g; ca. 9,6 mmol) wurde unter leichtem Erwärmen in DMF absolut (75 mL) gelöst. In die klare, orange-rote Lösung wurde Kaliumrhodanid (1,9 g; 19,6 mmol) eingetragen: Sofortige Trübung und Farbaufhellung. Das Reaktionsgemisch wurde 1,5 h unter Rückfluss gerührt. Die Suspension wurde auf Raumtemperatur abgekühlt und unter H2O-Kühlung tropfenweise mit H2O (ca. 140 mL) verdünnt. Der gelbe Niederschlag wurde abfiltriert, mit H2O gewaschen und im Vakuum über CaCl2 getrocknet.
1H-NMR (DMSO-d6): δ (ppm) 7,12-7,52 (m, 6H, C3-/C5-H 2-Cl-Pyr und 4-F-Ph), 8,27 (d, 1H, 5,2 Hz, C6-H 2-Cl-Pyr), 12,82 (bs, 2H, austauschbar, 2 × NH) - 4-(4-Fluorphenyl)-5-(2-fluorpyridin-4-yl)-1,3-dihydro-imidazol-2-thion (24b)
- 24b wurde ausgehend von 23b (6,1 g; 20 mmol) nach der in der Synthese von 24a beschriebenen Methode dargestellt.
1H-NMR (DMSO-d6): δ (ppm) 7,12-7,16 (m, 2H, C3-/C5-H 2-F-Pyr), 7,28-7,27 (m, 2H, 4-F-Ph), 7,46-7,55 (m, 2H, 4-F-Ph), 8,13 (d, 1H, 5,1 Hz, C6-H 2-F-Pyr), 12,85 (bs, 2H, austauschbar, 2 × NH) - 4-(4-Fluorphenyl)-5-(2-isopropoxypyridin-4-yl)-1,3-dihydro-imidazol-2-thion (24c)
- 24c wurde ausgehend von 23c (2,5 g; 7,6 mmol) nach der in der Synthese von 24a beschriebenen Methode dargestellt.
1H-NMR (DMSO-d6): δ (ppm) 1,24 (d, 6H, 6,2 Hz, 2 × CH3), 5,10-5,19 (m, 1H, Methin-H), 6,69-6,76 (m, 2H, 2-Iso-O-Pyr), 7,24-7,32 (m, 2H, 4-F-Ph), 7,42-7,49 (m ,2H, 4-F-Ph), 8,02 (d, 1H, 5,5 Hz, C6-H 2-Iso-O-Pyr), 12,68 (bs, 2H, austauschbar, 2 × NH) - 4-(4-Fluorphenyl)-5-(2-methoxypyridin-4-yl)-1,3-dihydro-imidazol-2-thion (24d)
- In eine Lösung von 23d (3,2 g; 10,8 mmol) in 10%iger Salzsäure (50 mL) wurde Kaliumrhodanid (2 g; 20,6 mmol) eingetragen. Das Reaktionsgemisch wurde 30 min unter Rückfluss gerührt. Die orangefarbene Lösung wurde abgekühlt und mit 10%iger NaHCO3-Lösung neutralisiert. Der Niederschlag wurde abfiltriert, mit H2O gewaschen und im Vakuum über CaCl2 getrocknet. Das Rohprodukt wurde mit Ethanol ausgerührt und vom unlöslichen Anteil abfiltriert. Aus dem ethanolischen Filtrat fiel 24d beim Stehenlassen aus.
1H-NMR (DMSO-d6): δ (ppm) 3,81 (s, 3H, OCH3), 6,79-6,82 (m, 2H, C3-/C5-H2-MeO-Pyr), 7,26-7,50 (m, 4H, 4-F-Ph), 8.06 (d, 1H, 5,3 Hz, C6-H 2-MeO-Pyr), 12,65 (bs, 2H, austauschbar, 2 × NH) - Beispiel 25
- 2-Chlor-4-[5-(4-fluorphenyl)-2-methylsulfanyl-3H-imidazol-4-yl]-pyridin (25a)
- Nach der Allgemeinen Methode A wurde die Titelverbindung ausgehend von 24a (0,5 g; 1,6 mmol) und Methyliodid (0,35 g; 2,5 mmol) nach 12-stündiger Reaktionszeit und säulenchromatographischer Reinigung (Al2O3, CH2Cl2/Ethylacetat 1+1) erhalten. Fp. 236 °C
IR (ATR): 3126, 3057, 2929, 1591, 1529, 1499, 1389, 1231 (C-F), 1159, 996, 976, 844, 780 cm–1
1H-NMR (DMSO-d6): δ (ppm) 2,62 (s, 1H, CH3), 7,27-7,36 (m, 3H, 2-Cl-Pyr und 4-F-Ph), 7,45-7,55 (m, 3H, 2-Cl-Pyr und 4-F-Ph), 8,24 (d, 1H, 5,1 Hz, C6-H 2-Cl-Pyr), 12,85 (bs, 1H, austauschbar, NH) - 2-Fluor-4-(5-(4-fluorphenyl)-2-methylsulfanyl-3H-imidazol-4-yl]-pyridin (25b)
- Nach der Allgemeinen Methode A wurde die Titelverbindung ausgehend von 24b (0,95 g; 3,3 mmol) und Methyliodid (1,4 g; 9,9 mmol) nach 40-stündiger Reaktionszeit erhalten. Das Rohprodukt wurde mit CH2Cl2/Ethylacetat (1+1) ausgekocht. Der vereinigte organische Extrakt wurde mit Al2O3 entfärbt und der nach Einengen des Filtrates erhaltene Rückstand mit wenig EtOH ausgerührt. Fp. 224 °C
IR (ATR): 3073, 1609, 1497, 1421, 1234, 1219 (C-F), 1159, 1002, 883, 851, 833, 815 cm–1
1H-NMR (DMSO-d6): δ (ppm) 2,62 (s, 3H, CH3), 7,08 (s, 1H, C3-H 2-F-Pyr), 7,26-7,35 (m, 3H, C5-H 2-F-Pyr und 4-F-Ph), 7,46-7,54 (m, 2H, 4-F-Ph), 8,08 (d, 1H, 5,3 Hz, C6-H 2-F-Pyr), 12,85 (bs, 1H, austauschbar, NH) - 4-[5-(4-Fluorphenyl)-2-methylsulfanyl-3H-imidazol-4-yl]-2-isopropoxypyridin (25c)
- In eine Lösung von 24c (4,0 g; 13,8 mmol) in THF absolut (60 mL) wurde NaH (55-65 %; 1,0 g; ca. 23 mmol) eingetragen. Diese Vorlage wurde 5 min bei Raumtemperatur gerührt und tropfenweise und unter H2O-Kühlung mit einer Lösung von Methyliodid (2,2 g; 17,3 mmol) in THF absolut (5 mL) versetzt. Das Reaktionsgemisch wurde 1 h bei Raumtemperatur gerührt. Die klare, braune Lösung wurde eingeengt und der Rückstand in H2O aufgenommen. Die wässrige Lösung wurde mit 10%iger Salzsäure neutralisiert und mit Ethylacetat extrahiert (2 ×). Der vereinigte organische Extrakt wurde mit gesättigter NaCl-Lösung gewaschen, über Na2SO4 getrocknet und eingeengt. Der halbfeste Rückstand wurde mit tert-Butylmethylether ausgekocht (2 ×) und filtriert. Das klare, etherische Filtrat wurde eingeengt und der feste Rückstand mit wenig tert-Butylmethylether ausgerührt, abfiltriert und getrocknet. Weiteres Reaktionsprodukt ließ sich durch säulenchromatographische Trennung der Mutterlauge gewinnen (SiO2 60, CH2Cl2/Ethylacetat 1+1). Fp. 141 °C
IR (ATR): 2928, 1610, 1544, 1509, 1412, 1314, 1222 (C-F), 1104, 1005, 954, 865, 843, 816 cm–1
1H-NMR (CD3OD): δ (ppm) 1,28 (d, 6H, 6,1 Hz, 2 × CH3), 2,63 (s, 3H, SCH3), 5,08-5,14 (m, 1H, Methin-H), 6,76 (s, 1H, C3-H 2-Iso-O-Pyr), 6,88 (dd, 1H, 1,4/5,4 Hz, C5-H 2-Iso-O-Pyr), 7,10-7,19 (m, 2H, 4-F-Ph), 7,40-7,47 (m, 2H, 4-F-Ph), 7,95 (dd, 1H, 0,7/5,4 Hz, C6-H 2-Iso-O-Pyr) - 4-[5-(4-Fluorphenyl)-2-methylsulfanyl-3H-imidazol-4-yl]-2-methoxypyridin (25d)
- Eine Lösung von 24d (1,0 g; 3,3 mmol) und Methyliodid (5,6 g; 39 mmol) in Methanol (50 mL) wurde 3 h unter Rückfluss gerührt. Das Reaktionsgemisch wurde abgekühlt und filtriert. Das Filtrat wurde eingeengt und der Rückstand in Ethanol aufgenommen. Vom unlöslichen Anteil wurde abfiltriert und das Filtrat eingeengt. Der Rückstand wurde in CH2Cl2/EtOH (9+1) aufgenommen. Vom unlöslichen Anteil wurde abfiltriert und das Filtrat säulenchromatographisch getrennt (SiO2 60, CH2Cl2/EtOH 9+1 ). Fp. 158 °C
IR (ATR): 1618, 1608, 1497, 1391, 1222 (C-F), 1212, 1036, 835, 825 cm–1
1H-NMR (CD3OD): δ (ppm) 2,67 (s, 3H, SCH3), 3,90 (s, 3H, OCH3), 6,87-6,89 (m, 1H, C3-N 2-MeO-Pyr), 6,98 (dd, 1H, 1,5/5,5 Hz, C5-H2-MeO-Pyr), 7,16-7,24 (m, 2H, 4-F-Ph), 7,46-7,53 (m, 2H, 4-F-Ph), 8,03 (dd, 1H, 0,7/5,5 Hz, C6-H 2-MeO-Pyr) - 4-[5-(4-Fluorphenyl)-2-methylsulfanyl-3H-imidazol-4-yl]-1H-pyridin-2-on (25e)
- 25e fiel als einziges Reaktionsprodukt bei der Behandlung von 23d (8,8 g; 31 mmol) mit Kaliumrhodanid in DMF in der Siedehitze analog der für 24a beschriebenen Methode an. Fp. 314 °C (Zersetzung). Nach Zyklisierung zum 1,3-dihydroimidazolthion erfolgt Übertragung der Methylgruppe aus dem Methoxysubstituenten auf das nukleophile Schwefelatom des Thions unter Bildung des 2-methylsulfanyl-3H-imidazols einerseits und des 2-Hydroxypyridin/1H-pyridin-2-ons andererseits.
IR (ATR): 1634 (Pyridon I), 1610, 1557 (Pyridon II), 1493, 1220 (C-F), 968, 837, 800 cm–1
1H-NMR (DMSO-d6): δ (ppm) 2,61 (s, 3H, SCH3), 6,16 (bs, 1H, C3-H Pyridon), 6,34 (s, 1H, C5-H Pyridon), 7,25-7,33 (m, 3H, C6-H Pyridon und 4-F-Ph), 7,46-7,53 (m, 2H, 4-F-Ph), 11,38 (bs, 1H, austauschbar, Pyridon-NH), 12,71 (bs, 1H, austauschbar, Imidazol-NH) - Benzyl-{4-[5-(4-fluorphenyl)-2-methylsulfanyl-3H-imidazol-4-yl]-pyridin-2-yl}-amin (25f)
- Nach der Allgemeinen Methode C wurde die Titelverbindung ausgehend von 25b (0,2 g; 0,7 mmol) und Benzylamin (0,8 g; 7,5 mmol) nach 5-stündiger Umsetzung bei 160 °C und säulenchromatographischer Trennung (Al2O3, CH2C12/Ethylacetat 1+1) erhalten. Fp. 152 °C (Zersetzung)
IR (ATR): 3234 (NH), 3006, 2916, 1601, 1583, 1501, 1451, 1432, 1353, 1225 (C-F), 1074, 844, 813, 729, 695 cm–1
1H-NMR (CD3OD): δ (ppm) 2,59 (s, 3H, CH3), 4,37 (s, 2H, CH2), 6,56-6,59 (m, 2H, C3-/C5-H 2-Amino-Pyr), 7,04-7,44 (m, 9H, Ph und 4-F-Ph), 7,83 (d, 1H, 5,6 Hz, C6-H 2-Amino-Pyr) - {4-[5-(4-Fluorphenyl)-2-methylsulfanyl-3H-imidazol-4-yl]-pyridin-2-yl}-(4-methoxybenzyl)-amin (25g)
- Nach der Allgemeinen Methode C wurde die Titelverbindung ausgehend von 25b (0,44 g; 1,5 mmol) und 4-Methoxybenzylamin (2,0 g; 14,6 mmol) nach 7-stündiger Umsetzung bei 160 °C und säulenchromatographischer Trennung (SiO2, CH2Cl2/EtOH 9+1) erhalten. Fp. 207 °C
IR (ATR): 1598, 1558, 1510, 1244, 1217 (C-F), 846, 812 cm–1
1H-NMR (CD3OD): δ (ppm) 2,61 (s, 3H, SCH3), 3,75 (s, 3H, OCH3), 4,30 (s, 2H, CH2), 6,56-6,59 (m, 2H, C3-/C5-H 2-Amino-Pyr), 6,81-7,30 (m, 6H, 4-MeO-Ph und 4-F-Ph), 7,39-7,46 (m, 2H, 4-F-Ph), 7,84 (d, 1H, 6,0 Hz, C6-H 2-Amino-Pyr) - {4-[5-(4-Fluorphenyl)-2-methylsulfanyl-3H-imidazol-4-yl]-pyridin-2-yl}-(4-methylbenzyl)-amin (25h)
- Nach der Allgemeinen Methode C wurde die Titelverbindung ausgehend von 25b (0,2 g; 0,7 mmol) und 4-Methylbenzylamin (0,85 g; 7,0 mmol) nach 6-stündiger Umsetzung bei 160 °C und säulenchromatographischer Trennung (SiO2 60, CH2Cl2/EtOH 9+1) erhalten. Fp.185 °C
IR (ATR): 1600, 1559, 1502, 1427, 1218 (C-F), 844, 809 cm–1
1H-NMR (CD3OD): δ (ppm) 2.29 (s, 3H, CH3), 2.60 (s, 3H, SCH3), 4.32 (s, 2H, CH2), 6.57-6.60 (m, 2H, C3-/C5-H 2-Amino-Pyr), 7.05-7.50 (m, 8H, 4-Me-Ph und 4-F-Ph), 7.83 (d, 1H, 5.3 Hz, C6-H2-Amino-Pyr) - (4-Chlorbenzyl)-{4-[5-(4-fluorphenyl)-2-methylsulfanyl-3H-imidazol-4-yl]-pyridin -2-yl}-amin (25i)
- Nach der Allgemeinen Methode C wurde die Titelverbindung ausgehend von 25b (0,2 g; 0,7 mmol) und 4-Chlorbenzylamin (1,0 g; 7,0 mmol) nach 5,5-stündiger Umsetzung unter Rückfluss und säulenchromatographischer Trennung (SiO2 60, CH2Cl2/EtOH 9+1) erhalten. Fp. 195 °C
IR (ATR): 3409, 1597, 1549, 1502, 1489, 1422, 1218 (C-F), 843, 814, 793 cm–1
1H-NMR (CD3OD): δ (ppm) 2,60 (s, 3H, SCH3), 4,38 (s, 2H, CH2), 6,57-6,60 (m, 2H, C3-/C5-H 2-Amino-Pyr), 7,05-7,14 (m, 2H, 4-F-Ph), 7,22-7,30 (m, 4H, 4-Cl-Ph), 7,38-7,45 (m, 2H, 4-F-Ph), 7,83 (d, 1H, 5,7 Hz, C6-H 2-Amino-Pyr) - (3,4-Dichlorbenzyl)-{4-[5-(4-fluorphenyl)-2-methylsulfanyl-3H-imidazol-4-yl]-pyridin-2-yl}-amin (25j)
- Nach der Allgemeinen Methode C wurde die Titelverbindung ausgehend von 25b (0,2 g; 0,7 mmol) und 3,4-Dichlorbenzylamin (1,2 g; 6,8 mmol) nach 7,5-stündiger Umsetzung bei 160 °C und säulenchromatographischer Trennung (SiO2 60, CH2Cl2/EtOH 9+1) erhalten. Fp. 212 °C
IR (ATR): 3409, 1600, 1552, 1509, 1490, 1424, 1225 (C-F), 842, 827, 813 cm–1
1H-NMR (CD3OD): δ (ppm) 2,60 (s, 3H, SCH3), 4,39 (s, 2H, CH2), 6,56-6,62 (m, 2H, C3-/C5-H 2-Amino-Pyr), 7,06-7,50 (m, 7H, 3,4-Di-Cl-Ph und 4-F-Ph), 7,84 (d, 1H, 5,5 Hz, C6-H 2-Amino-Pyr) - {4-[5-(4-Fluorphenyl)-2-methylsulfanyl-3H-imidazol-4-yl]-pyridin-2-yl}-phenylamin (25k)
- Nach der Allgemeinen Methode C wurde die Titelverbindung ausgehend von 25b (0,2 g; 0,7 mmol) und Anilin (0,65 g; 7,0 mmol) nach 6-stündiger Umsetzung unter Rückfluss und säulenchromatographischer Trennung (SiO2 60, CH2Cl2/EtOH 9+1) erhalten. Fp. 228 °C
IR (ATR): 3031, 1610, 1590, 1561, 1504, 1433, 1265, 1225 (C-F), 839, 827, 749, 695 cm–1
1H-NMR (DMSO-d6): δ (ppm) 2,62 (s, 3H, CH3), 5,95-6,13 (m, 2H, C3-/C5-H2-Amino-Pyr), 6,68-7,60 (m, 9H, Ph und 4-F-Ph), 7,97-8,01 (m, 1H, C6-H 2-Amino-Pyr), 8,99 (bs, 1H, austauschbar, Anilino-NH), 12,68 (bs, 1H, austauschbar, Imidazol-NH) - {4-[5-(4-Fluorphenyl)-2-methylsulfanyl-3H-imidazol-4-yl]-pyridin-2-yl}-phenethylamin (25l)
- Nach der Allgemeinen Methode C wurde die Titelverbindung ausgehend von 25b (0,2 g; 0,7 mmol) und 2-Phenylethylamin (0,85 g; 7,0 mmol) nach 5,5-stündiger Umsetzung bei 160 °C und säulenchromatographischer Trennung (SiO2 60, CH2Cl2/EtOH 9+1) erhalten. Fp. 99 °C
IR (ATR): 3409, 1604, 1546, 1504, 1220 (C-F), 838, 813, 698 cm–1
1H-NMR (CD3OD): δ (ppm) 2,61 (s, 3H, SCH3), 2,81 (t, 2H, 7,7 Hz, NCH2), 3,41 (t, 2H, 7,7 Hz, CH2Ph), 6,55-6,57 (m, 2H, C3-/C5-H 2-Amino-Pyr), 7,08-7,26 (m, 7H, Ph und 4-F-Ph), 7,42-7,49 (m, 2H, 4-F-Ph), 7,82 (d, 1H, 6,1 Hz, C6-H 2-Amino-Pyr) - (RS)-{4-[5-(4-Fluorphenyl)-2-methylsulfanyl-3H-imidazol-4-yl]-pyridin-2-yl}-(1-phenylethyl)-amin (25m).
- Nach der Allgemeinen Methode C wurde die Titelverbindung ausgehend von 25b (0,2 g; 0,7 mmol) und (RS)-1-Phenylethylamin (0,80 g; 6,6 mmol) nach 7-stündiger Umsetzung bei 160 °C und säulenchromatographischer Trennung (SiO2 60, CH2Cl2/EtOH 9+1) erhalten. Fp. 117 – 119 °C
IR (ATR): 2926, 1607, 1547, 1502, 1434, 1221 (C-F), 1157, 838, 814, 699 cm–1
1H-NMR (DMSO-d6): δ (ppm) 1,37 (d, 3H, 5,5 Hz, CH3), 2,58 (s, 3H, SCH3), 4,82-5,03 (m, 1H, Methin-H), 6,39-7,74 (m, 12H, Ph, 2-Amino-Pyr und 4-F-Ph), 12,57 (bs, 1H, austauschbar, NH) - (R)-{4-[5-(4-Fluorphenyl)-2-methylsulfanyl-3H-imidazol-4-yl]-pyridin-2-yl}-(1-phenylethyl)-amin (25n)
- Nach der Allgemeinen Methode C wurde die Titelverbindung ausgehend von 25b (0,2 g; 0,7 mmol) und (R)-1-Phenylethylamin (0,80 g; 6,6 mmol) nach 7-stündiger Umsetzung bei 170 °C und säulenchromatographischer Trennung (SiO2 60, CH2Cl2/Ethylacetat 1+1) erhalten. Fp. 117 – 119 °C
IR (ATR): 2926, 1607, 1547, 1502, 1434, 1221 (C-F), 1157, 838, 814, 699 cm–1
1H-NMR (CD3OD): δ (ppm) 1,44 (d, 3H, 6,9 Hz, CH3), 2,59 (s, 3H, SCH3), 4,62-4,69 (m, 1H, Methin-H), 6,47-6,57 (m, 2H, C3-/C5-H2-Amino-Pyr), 7,05-7,42 (m, 9H, Ph und 4-F-Ph), 7,80 (d, 1H, 5,5 Hz, C6-N 2-Amino-Pyr) - (S)-{4-[5-(4-Fluorphenyl)-2-methylsulfanyl-3H-imidazol-4-yl]-pyridin-2-yl}-(1-phenylethyl)-amin (25o)
- Nach der Allgemeinen Methode C wurde die Titelverbindung ausgehend von 25b (0,2 g; 0,7 mmol) und (S)-1-Phenylethylamin (0,80 g; 6,6 mmol) nach 13-stündiger Umsetzung bei 170 °C und säulenchromatographischer Trennung (SiO2 60, CH2Cl2/Ethylacetat 1+1) erhalten. Fp. 117 – 119 °C
IR (ATR): 2926, 1607, 1547, 1502, 1434, 1221 (C-F), 1157, 838, 814, 699 cm–1
1H-NMR (CD3OD): δ (ppm) 1,44 (d, 3H, 6,9 Hz, CH3), 2,59 (s, 3H, SCH3), 4,62-4,69 (m, 1H, Methin-H), 6,47-6,57 (m, 2H, C3-/C5-H2-Amino-Pyr), 7,05-7,42 (m, 9H, Ph und 4-F-Ph), 7,80 (dd, 1H, 0,5/5,5 Hz, C6-H 2-Amino-Pyr) - Benzyl-{4-[5-(4-fluorphenyl)-2-methylsulfanyl-3H-imidazol-4-yl]-pyridin-2-yl}methylamin (25p)
- Nach der Allgemeinen Methode C wurde die Titelverbindung ausgehend von 25b (0,2 g; 0,7 mmol) und N-Methylbenzylamin (0,85 g; 7,0 mmol) nach 7-stündiger Umsetzung bei 180 °C und zweimaliger säulenchromatographischer Trennung (SiO2 60, CH2Cl2/Ethylacetat 1+1) erhalten. Fp. 79 °C
IR (ATR): 2924, 1601, 1494, 1407, 1219 (C-F), 837, 810, 730, 696 cm–1
1H-NMR (CD3OD): δ (ppm) 2,60 (s, 3H, SCH3), 2,97 (s, 3H, NCH3), 4,64 (s, 2H, CH2), 6,64-6,66 (m, 2H, C3-/C5-H 2-Amino-Pyr), 7,02-7,45 (m, 9H, Ph und 4-F-Ph), 7,96 (d, 1H, 5,0 Hz, C6-H 2-Amino-Pyr) - Beispiel 26
- 4-[2-Benzylsulfanyl-5-(4-fluorphenyl)-3H-imidazol-4-yl]-2-chlorpyridin (26a)
- Nach der Allgemeinen Methode A wurde die Titelverbindung ausgehend von 24a (0,3 g; 1,0 mmol) und Benzylchlorid (0,12 g; 1,0 mmol) nach 6-stündiger Reaktionszeit und säulenchromatographischer Reinigung (SiO2 60, CH2Cl2/EtOH 9+1) erhalten. Fp. 223 °C
IR (ATR): 2939, 1591, 1530, 1505, 1233 (C-F), 997, 838, 782, 700 cm–1
1H-NMR (DMSO-d6): δ (ppm) 4,43 (s, 2H, CH2), 7,27-7,47 (m, 11H, 2-Cl-Pyr, Ph und 4-F-Ph), 8,26 (d, 1H, 5,2 Hz, C6-H 2-Cl-Pyr), 12,94 (bs, 1H, austauschbar, NH) - 4-[2-Benzylsulfanyl-5-(4-fluorphenyl)-3H-imidazol-4-yl]-2-fluorpyridin (26b)
- Nach der Allgemeinen Methode A wurde die Titelverbindung ausgehend von 24b (5,1 g; 17,6 mmol) und Benzylbromid (9,2 g; 54 mmol) nach 1,5-stündiger Reaktionszeit und säulenchromatographischer Trennung (Al2O3, CH2Cl2/Ethylacetat 1+1) erhalten. Fp. 174 °C
IR (ATR): 3028, 2948, 1611, 1496, 1413, 1228 (C-F), 1203, 1003, 879, 838, 698 cm–1
1H-NMR (DMSO-d6): δ (ppm) 4,43 (s, 2H, CH2), 7,11 (s, 1H, C3-H 2-F-Pyr), 7,25-7,51 (m, 10H, C5-H 2-F-Pyr, Ph und 4-F-Ph), 8,10 (d, 1H, 5,3 Hz, C6-H 2-F-Pyr), 12,93 (bs, 1H, austauschbar, NH) - Benzyl-{4-[2-benzylsulfanyl-5-(4-fluorphenyl)-3H-imidazol-4-yl]-pyridin-2-yl}-amin (26c)
- Nach der Allgemeinen Methode C wurde die Titelverbindung ausgehend von 26b (0,2 g; 0,53 mmol) und Benzylamin (0,60 g; 5,6 mmol) nach 6-stündiger Umsetzung bei 180 °C und säulenchromatographischer Trennung (SiO2 60, CH2Cl2/Ethylacetat 1+1) erhalten. Fp. 185 °C
IR (ATR): 3407 (NH), 3025, 2855, 2713, 1599, 1550, 1489, 1356, 1220 (C-F), 1155, 840, 814, 693 cm–1
1H-NMR (CD3OD): δ (ppm) 4,21 (s, 2H, NCH2), 4,38 (s, 2H, SCH2), 6,52-6,55 (m, 2H, C3-/C5-H 2-Amino-Pyr), 7,03-7,38 (m, 9H, Ph und 4-F-Ph), 7,83 (d, 1H, 5,7 Hz, C6-H 2-Amino-Pyr) - (RS)-{4-[2-Benzylsulfanyl-5-(4-fluorphenyl)-3H-imidazol-4-yl]-pyridin-2-yl}-(1-phenylethyl)-amin (26d)
- Nach der Allgemeinen Methode C wurde die Titelverbindung ausgehend von 26b (0,2 g; 0,53 mmol) und (RS)-1-Phenylethylamin (0,65 g; 5,4 mmol) nach 15-stündiger Umsetzung bei 150 °C und säulenchromatographischer Trennung (SiO2 60, CH2Cl2/Ethylacetat 1+1) erhalten. Fp. 145 °C
IR (ATR): 3028, 1606, 1546, 1494, 1450, 1221 (C-F), 1157, 837, 813, 697 cm–1
1H-NMR (CD3OD): δ (ppm) 1,44 (d, 3H, 6,8 Hz, CH3), 4,22 (s, 2H, CH2), 6,44-6,54 (m, 2H, C3-/C5-H 2-Amino-Pyr), 7,04-7,35 (m, 9H, Ph und 4-F-Ph), 7,80 (d, 1H, 5,4 Hz, C6-H 2-Amino-Pyr) - {4-[2-Benzylsulfanyl-5-(4-fluorphenyl)-3H-imidazol-4-yl]-pyridin-2-yl}-(4-methoxybenzyl)-amin (26e)
- Nach der Allgemeinen Methode D wurde die Titelverbindung ausgehend von 26a (0.2 g; 0,5 mmol) und 4-Methoxybenzylamin (2,0 g; 14,6 mmol) nach 22-stündiger Umsetzung unter Rückfluss und säulenchromatographischer Trennung (Al2O3, CH2Cl2/Ethylacetat 1+1) erhalten. Fp. 196 – 200 °C
IR (ATR): 1605, 1574, 1507, 1245, 1225 (C-F), 843, 814, 698
1H-NMR (DMSO-d6): δ (ppm) 4,29 (s, 2H Isomere „A" + „B", NCH2), 4,35 (s, 2H „A" + „B", SCH2), 6,43-6,47 (m, 1H „A" + 2H „B", C5-H "A" und C3-/C5-H "B" 2-Amino-Pyr), 6,65 (s, 1H "A", C3-H2-Amino-Pyr), 6,80-6,84 (m, 2H „A" + „B", 4-MeO-Ph), 7,14-7,51 (m, 11H „A" + „B", 4-MeO-Ph, Ph und 4-F-Ph), 7,79 (d, 1H "B", 5,4 Hz, C6-H 2-Amino-Pyr), 7,91 (d, 1H "A", 5,4 Hz, Cs-H 2-Amino-Pyr), 12,67 (bs, 1H, austauschbar, Imidazol-NH), Amino-NH nicht sichtbar - 4-[2-Benzylsulfanyl-5-(4-fluorphenyl)-3H-imidazol-4yl]-2-methoxy-pyridin (26f)
- Eine Suspension von 25a (0,1 g; 0,25 mmol) in methanolischer NaOCH3-Lösung (30 %, 2 mL) wurde mit Methanol (5 mL) verdünnt und 13 h unter Rückfluss gerührt. Das Reaktionsgemisch wurde mit H2O verdünnt und die wässrige Lösung mit CH2Cl2 extrahiert (3 ×). Der vereinigte organische Extrakt wurde mit gesättigter NaCl-Lösung gewaschen, über Na2SO4 getrocknet und eingeengt. Der ölige Rückstand wurde säulenchromatographisch gereinigt (SiO2 60, CH2Cl2/Ethylacetat 1+1 ).
1H-NMR (CDCl3): δ (ppm) 3,91 (s, 3H, OCH3), 4,29 (s, 2H, CH2), 6,91-6,95 (m, 1H, 2-MeO-Pyr), 7,02-7,11 (m, 2H, 4-F-Ph), 7,27-7,38 (m, 7H, Ph und 4-F-Ph), 8,05 (d, 1H, 5,4 Hz, C6-H 2-MeO-Pyr), NH nicht sichtbar - Beispiel 27
- 2-Chlor-4-[5-(4-fluorphenyl)-2-(4-methansulfinyl-benzylsulfanyl)-3H-imidazol-4-yl]-pyridin (27a)
- In eine Lösung von 24a (0,31 g; 1,0 mmol) in THF absolut (15 mL) wurde NaH (55 – 65 %; 0,1 g; ca. 2 mmol) eingetragen. Die Vorlage wurde 5 min bei Raumtemperatur gerührt und mit 4-Methylsulfinyl-benzylchlorid (3, 0,19 g; 1,0 mmol) versetzt. Das Reaktionsgemisch wurde 2 h bei Raumtemperatur gerührt. Die gelb-braune Lösung wurde mit H2O verdünnt und mit 10%iger Zitronensäure neutralisiert. Das THF wurde entfernt und die wässrige Lösung mit Ethylacetat (2 ×) extrahiert. Der vereinigte organische Extrakt wurde mit gesättigter NaCl-Lösung gewaschen (2 ×), über Na2SO4 getrocknet und eingeengt. Der feste Rückstand wurde säulenchromatographisch gereinigt (SiO2 60, CH2Cl2/EtOH 9,5+0,5). Fp. 179 °C
IR (ATR): 3049, 1592, 1505, 1374, 1224 (C-F), 1086, 1030 (S=O), 1014, 989, 839, 816, 781 cm–1 (C-Cl)
1H-NMR (DMSO-d6): δ (ppm) 2,71 (s, 3H, CH3), 4,48 (s, 2H, CH2), 7,25-8,24 (m, 10H, 2-Cl-Pyr, 4-MeS(O)-Ph und 4-F-Ph), 8,26 (d, 1H, 5,3 Hz, C6-H 2-Cl-Pyr), 12,94 (bs, 1H, austauschbar, NH) - 2-Fluor-4-[5-(4-fluorphenyl)-2-(4-methansulfinyl-benzylsulfanyl)-3H-imidazol-4-yl]-pyridin (27b)
- Nach der Allgemeinen Methode A wurde die Titelverbindung ausgehend von 24b (4,2 g; 14,5 mmol) und 3 (4,1 g; 22 mmol) nach 2-stündiger Reaktionszeit und säulenchromatographischer Trennung (1. Al2O3, CH2Cl2/Ethylacetat 1+1, 2. SiO2 60, CH2Cl2/EtOH 9+1) erhalten. Fp. 150 °C
IR (ATR): 3061, 1610, 1506, 1408, 1227 (C-F), 1030 (S=0), 1016, 995, 978, 882, 839, 815 cm–1
1H-NMR (DMSO-d6): δ (ppm) 2,71 (s, 3H, CH3), 4,49 (s, 2H, CH2), 7,10 (s, 1H, C3-H2-F-Pyr), 7,30-7,37 (m, 3H, C5-H 2-F-Pyr und 4-F-Ph), 7,47-7,67 (m, 6H, 4-F-Ph und 4-MeS(O)-Ph), 8,11 (d, 1H, 4,8 Hz, C6-H 2-F-Pyr), 12,95 (bs, 1H, austauschbar, NH) - Benzyl-{4-[5-(4-fluorphenyl)-2-(4-methansulfinyl-benzylsulfanyl)-3H-imidazol-4-yl]-pyridin-2-yl}-amin (27c)
- Nach der Allgemeinen Methode C wurde die Titelverbindung ausgehend von 27b (0,3 g; 0,68 mmol) und Benzylamin (0,75 g; 7,0 mmol) nach 7-stündiger Umsetzung bei 170 °C und säulenchromatographischer Trennung (SiO2 60, CH2Cl2/Ethanol 19+1) erhalten. Fp. 149 °C
IR (ATR): 3238, 3064, 1600, 1558, 1514, 1495, 1227 (C-F), 1034 (S=O), 1006, 982, 839, 814 cm–1
1H-NMR (CD3OD): δ (ppm) 2,70 (s, 3H, CH3), 4,21 (s, 2H, NCH2), 4,32 (s, 2H, SCH2), 6,51-6,55 (m, 2H, C3-/C5-H 2-Amino-Pyr), 7,03-7,42 (m, 13H. Ph, 4-MeS(O)-Ph und 4-F-Ph), 7,82 (d, 1H, 5,5 Hz, C6-H 2-Amino-Pyr) - (RS)-{4-[5-(4-Fluorphenyl)-2-(4-methansulfinyl-benzylsulfanyl)-3H-imidazol-4-yl]-pyridin-2-yl}-(1-phenylethyl)-amin (27d)
- Nach der Allgemeinen Methode C wurde die Titelverbindung ausgehend von 27b (0,3 g; 0,68 mmol) und (RS)-1-Phenylethylamin (0,85 g; 7,0 mmol) nach 10-stündiger Umsetzung bei 170 °C und säulenchromatographischer Trennung (SiO2 60, CH2Cl2/Ethanol 9+1) erhalten. Fp. 193 °C
IR (ATR): 2967, 1606, 1547, 1502, 1221 (C-F), 1085, 1031 (S=O), 1014, 838, 814, 670 cm–1
1H-NMR (CD3OD): δ (ppm) 1,45 (d, 3H, 6,8 Hz, CH3), 2,67 (s, 3H, S(O)CH3), 4,28 (s, 2H, CH2), 4,62-4,73 (m, 1H, Methin-H), 6,42-6,53 (m, 2H, C3-/C5-H 2-Amino-Pyr), 7,09-7,44 (m, 9H, Ph und 4-F-Ph), ), 8,21 (d, 1H, 5,0 Hz, C6-H 2-F-Pyr)
R3 ausgewählt ist unter
wobei R3 nicht für OH, Halogen C1-C6-Alkylthio oder C1-C6-Alkoxy steht, wenn R2 für Phenyl-C1-C4-alkyl steht und der Phenylrest einen C1-C6-Alkylsulfanyl-, C1-C6-Alkylsulfinyl- oder C1-C6-Alkylsulfonyl-Substituenten aufweist;
R4 für H steht;
R10 für
R5 und R6, die gleich oder verschieden sein können, für H, Halogen, C1-C6-Alkoxy oder C1-C6-Alkyl stehen;
R7 für H, C1-C6-Alkyl oder Benzyl steht;
R8 für C1-C4-Alkyl, C3-C6-Cycloalkyl oder Phenyl steht, wobei die Phenylgruppe einen oder zwei Substituenten aufweisen kann, die unabhängig voneinander ausgewählt sind unter C1-C4-Alkyl, C1-C4-Alkoxy und Halogen;
A für geradkettiges oder verzweigtes C1-C6-Alkylen, C2-C6-Alkenylen oder C3-Alkinylen steht und
m für 0,1 oder 2 steht.
Claims (11)
- 2-Thio-substituierte Imidazolderivate der Formel I worin R1 für C1-C6-Alkyl, C3-C7-Cycloalkyl oder Aryl steht, das gegebenenfalls durch ein Halogenatom substituiert ist; R2 ausgewählt ist unter a) Aryl-C1-C4-alkyl, wobei der Arylrest ein, zwei oder drei Substituenten aufweisen kann, die unabhängig voneinander ausgewählt sind unter C1-C6-Alkyl, C1-C6-Alkoxy, Halogen, C1-C6-Alkylsulfanyl, C1-C6-Alkylsulfinyl, C1-C6-Alkylsulfonyl und Hydroxy, und b) C1-C6-Alkyl, das gegebenenfalls durch CN substituiert ist; und c) C3-C7-Cycloalkyl; R3 ausgewählt ist unter a) NR4R10 b) NR7COR8, c) Halogen und d) C1-C6-Alkoxy, e) C1-C6-Alkylthio wobei R3 nicht für OH, Halogen C1-C6-Alkylthio oder C1-C6-Alkoxy steht, wenn R2 für Phenyl-C1-C4-alkyl steht und der Phenylrest einen C1-C6-Alkylsulfanyl-, C1-C6-Alkylsulfinyl- oder C1-C6-Alkylsulfonyl-Substituenten aufweist; R4 für H steht; R10 für R5 und R6, die gleich oder verschieden sein können, für N, Halogen, C1-C6-Alkoxy oder C1-C6-Alkyl stehen; R7 für H, C1-C6-Alkyl oder Benzyl steht; R8 für C1-C4-Alkyl, C3-C6-Cycloalkyl oder Phenyl steht, wobei die Phenylgruppe einen oder zwei Substituenten aufweisen kann, die unabhängig voneinander ausgewählt sind unter C1-C4-Alkyl, C1-C4-Alkoxy und Halogen; A für geradkettiges oder verzweigtes C1-C6-Alkylen, C2-C6--Alkenylen oder C3-Alkinylen steht und m für 0,1 oder 2 steht. und die Tautomere, optischen Isomere und physiologisch verträglichen Salze davon.
- Verbindungen nach einem der vorhergehenden Ansprüche, wobei A für C1-C2-Alkylen steht.
- Verbindungen nach einem der vorhergehenden Ansprüche, wobei A für Ethyliden steht.
- Verbindungen nach Anspruch 5, wobei R5 und R6 für H stehen.
- Verbindungen nach einem der vorhergehenden Ansprüche, wobei R1 für Halogen-substituiertes Phenyl steht.
- Verbindungen nach einem der vorhergehenden Ansprüche, wobei R2 für Benzyl oder C1-C6-Alkyl steht.
- Pharmazeutisches Mittel, enthaltend wenigstens eine Verbindung nach einem der Ansprüche 1 bis 8, gegebenenfalls zusammen mit ein oder mehreren pharmazeutisch akzeptablen Träger- und/oder Zusatzstoffen.
- Verwendung wenigstens einer Verbindung nach einem der Ansprüche 1 bis 8 zur Herstellung eines pharmazeutischen Mittels zur Behandlung von Erkrankungen, die mit einer Störung des Immunsystems im Zusammenhang stehen.
- Verfahren zur Behandlung von Erkrankungen, die mit einer Störung des Immunsystems im Zusammenhang stehen, wobei man einer Person, die einer derartigen Behandlung bedarf, eine immunmodulierend wirkende und/oder die Cytokinfreisetzung hemmende Menge einer Verbindung der Formel I nach einem der Ansprüche 1 bis 8 verabreicht.
Priority Applications (19)
| Application Number | Priority Date | Filing Date | Title |
|---|---|---|---|
| DE10238045A DE10238045A1 (de) | 2002-08-20 | 2002-08-20 | 2-Thio-substituierte Imidazolderivate und ihre Verwendung in der Pharmazie |
| BR0313277-3A BR0313277A (pt) | 2002-08-20 | 2003-08-20 | Composto, agente farmacêutico, uso de pelo menos um composto, e, método para tratar as doenças associadas com um distúrbio do sistema imune |
| CA002501849A CA2501849A1 (en) | 2002-08-20 | 2003-08-20 | 2-thio-substituted imidazole derivatives and their use in treating diseases associated with a disorder of the immune system |
| JP2004530221A JP2005539035A (ja) | 2002-08-20 | 2003-08-20 | 2−チオ置換イミダゾール誘導体および製薬におけるその使用 |
| MXPA05001985A MXPA05001985A (es) | 2002-08-20 | 2003-08-20 | Derivados de imidazol 2-tio-sustituidos y su uso en farmaceuticos. |
| PL03375793A PL375793A1 (en) | 2002-08-20 | 2003-08-20 | 2-thio-substituted imidazole derivatives and their use in pharmaceutics |
| KR1020057002947A KR20050058419A (ko) | 2002-08-20 | 2003-08-20 | 2-시오-치환된 이미다졸 유도체 및 이들의 약학적 용도 |
| YUP-2005/0131A RS20050131A (sr) | 2002-08-20 | 2003-08-20 | 2-tio-supstituisani derivati imidazola i njihova primena u farmaciji |
| CNB038197502A CN100396677C (zh) | 2002-08-20 | 2003-08-20 | 2-硫-取代的咪唑衍生物及其作为药物的用途 |
| AU2003267000A AU2003267000B2 (en) | 2002-08-20 | 2003-08-20 | 2-thio-substituted imidazole derivatives and their use in pharmaceutics |
| EP03747916A EP1539741A1 (de) | 2002-08-20 | 2003-08-20 | 2-thio-substituierte imidazolderivate und ihre verwendung in der pharmazie |
| PCT/EP2003/009219 WO2004018458A1 (de) | 2002-08-20 | 2003-08-20 | 2-thio-substituierte imidazolderivate und ihre verwendung in der pharmazie |
| US10/524,486 US7582660B2 (en) | 2002-08-20 | 2003-08-20 | 2-thio-substituted imidazole derivatives and their use in pharmaceutics |
| RU2005107726/04A RU2331638C2 (ru) | 2002-08-20 | 2003-08-20 | 2-тиозамещенные производные имидазола и их применение в фармацевтике |
| UAA200502484A UA80718C2 (en) | 2002-08-20 | 2003-08-20 | 2-thio-substituted imidazole derivatives and their use in pharmaceutics |
| HR20050239A HRP20050239A2 (en) | 2002-08-20 | 2003-08-20 | 2 thio-substituted imidazole derivates and their use in pharmacy |
| ZA200501455A ZA200501455B (en) | 2002-08-20 | 2005-02-18 | 2-thio-substituted imidazole derivatives and their use in pharmaceutics |
| IS7740A IS7740A (is) | 2002-08-20 | 2005-03-14 | 2-þíó-útskiptar ímídasólafleiður og notkun þeirraí lyfjafræði |
| NO20051477A NO20051477L (no) | 2002-08-20 | 2005-03-18 | 2-tio-substituerte imidazolderivater og anvendelse av disse innen farmasi |
Applications Claiming Priority (1)
| Application Number | Priority Date | Filing Date | Title |
|---|---|---|---|
| DE10238045A DE10238045A1 (de) | 2002-08-20 | 2002-08-20 | 2-Thio-substituierte Imidazolderivate und ihre Verwendung in der Pharmazie |
Publications (1)
| Publication Number | Publication Date |
|---|---|
| DE10238045A1 true DE10238045A1 (de) | 2004-03-04 |
Family
ID=31197117
Family Applications (1)
| Application Number | Title | Priority Date | Filing Date |
|---|---|---|---|
| DE10238045A Withdrawn DE10238045A1 (de) | 2002-08-20 | 2002-08-20 | 2-Thio-substituierte Imidazolderivate und ihre Verwendung in der Pharmazie |
Country Status (19)
| Country | Link |
|---|---|
| US (1) | US7582660B2 (de) |
| EP (1) | EP1539741A1 (de) |
| JP (1) | JP2005539035A (de) |
| KR (1) | KR20050058419A (de) |
| CN (1) | CN100396677C (de) |
| AU (1) | AU2003267000B2 (de) |
| BR (1) | BR0313277A (de) |
| CA (1) | CA2501849A1 (de) |
| DE (1) | DE10238045A1 (de) |
| HR (1) | HRP20050239A2 (de) |
| IS (1) | IS7740A (de) |
| MX (1) | MXPA05001985A (de) |
| NO (1) | NO20051477L (de) |
| PL (1) | PL375793A1 (de) |
| RS (1) | RS20050131A (de) |
| RU (1) | RU2331638C2 (de) |
| UA (1) | UA80718C2 (de) |
| WO (1) | WO2004018458A1 (de) |
| ZA (1) | ZA200501455B (de) |
Families Citing this family (5)
| Publication number | Priority date | Publication date | Assignee | Title |
|---|---|---|---|---|
| WO2006089798A1 (en) * | 2005-02-28 | 2006-08-31 | Merckle Gmbh | 2-sulfinyl- and 2-sulfonyl-substituted imidazole derivatives and their use as cytokine inhibitors |
| EP1894925A1 (de) * | 2006-08-24 | 2008-03-05 | Merckle Gmbh | Imidazol Derivate mit entzündungshemmender Wirkung |
| US8143294B2 (en) | 2007-12-31 | 2012-03-27 | Michael Burnet | 2-sulfanyl-substituted imidazole derivatives and their use as cytokine inhibitors |
| JP5912946B2 (ja) * | 2012-01-11 | 2016-04-27 | 株式会社Adeka | 感光性樹脂組成物 |
| WO2022067063A1 (en) * | 2020-09-25 | 2022-03-31 | Dana-Farber Cancer Institute, Inc. | Mutant selective egfr inhibitors and methods of use thereof |
Family Cites Families (21)
| Publication number | Priority date | Publication date | Assignee | Title |
|---|---|---|---|---|
| US4190666A (en) * | 1975-08-11 | 1980-02-26 | E. I. Du Pont De Nemours And Company | Anti-inflammatory 4,5-diarly-2-(substituted-thio)imidazoles and their corresponding sulfoxides and sulfones |
| CY1302A (en) * | 1978-04-11 | 1985-12-06 | Ciba Geigy Ag | Mercapto-imidazole derivatives,their preparation,their pharmaceutical compositions and applications |
| DE2823197A1 (de) | 1978-05-24 | 1979-11-29 | Schering Ag | Neue imidazolderivate, verfahren zu ihrer herstellung und diese enthaltende pharmazeutische praeparate |
| DE3025484A1 (de) * | 1980-07-03 | 1982-02-04 | Schering Ag, 1000 Berlin Und 4619 Bergkamen | Neue imidazol-derivate, verfahren zu ihrer herstellung und diese enthaltende pharmazeutische praeparate |
| DE3141063A1 (de) * | 1981-10-13 | 1983-04-28 | Schering Ag, 1000 Berlin Und 4619 Bergkamen | Neue imidazol-derivate, verfahren zu ihrer herstellung und diese enthaltende pharmazeutische praeparate |
| DE3504678A1 (de) | 1985-02-12 | 1986-08-14 | A. Nattermann & Cie GmbH, 5000 Köln | Neue imidazolyl-oxyalkansaeuren und -thioalkansaeuren, ihre derivate und verfahren zu ihrer herstellung |
| US4686231A (en) | 1985-12-12 | 1987-08-11 | Smithkline Beckman Corporation | Inhibition of 5-lipoxygenase products |
| SU1415725A1 (ru) | 1986-11-17 | 1996-10-10 | В.М. Виноградов | Дигидрохлорид 4-(4'-метоксифенил)-2-морфолиноэтилтио-5-фенилимидазола, повышающий физическую выносливость |
| JPS6440467A (en) | 1987-08-04 | 1989-02-10 | Hisamitsu Pharmaceutical Co | Novel substituted diphenylimidazole derivative |
| CA2003283A1 (en) | 1988-12-05 | 1990-06-05 | C. Anne Higley | Imidazoles for the treatment of atherosclerosis |
| MX9203711A (es) | 1990-01-12 | 1992-07-01 | Rhone Poulenc Rorer Sa | Derivados de imidazol y composiciones farmaceuticas que los contienen. |
| GB9005966D0 (en) | 1990-03-16 | 1990-05-09 | May & Baker Ltd | New compositions of matter |
| MX9300141A (es) * | 1992-01-13 | 1994-07-29 | Smithkline Beecham Corp | Compuestos de imidazol novedosos, procedimiento para su preparacion y composiciones farmaceuticas que lo contienen. |
| US5364875A (en) * | 1992-05-11 | 1994-11-15 | The Du Pont Merck Pharmaceutical Company | Imidazoles linked to bicyclic heterocyclic groups for the treatment of atherosclerosis |
| US5474995A (en) | 1993-06-24 | 1995-12-12 | Merck Frosst Canada, Inc. | Phenyl heterocycles as cox-2 inhibitors |
| US5620999A (en) | 1994-07-28 | 1997-04-15 | Weier; Richard M. | Benzenesulfonamide subtituted imidazolyl compounds for the treatment of inflammation |
| AU8757098A (en) * | 1997-06-30 | 1999-02-10 | Ortho-Mcneil Pharmaceutical, Inc. | 2-substituted imidazoles useful in the treatment of inflammatory diseases |
| DE19842833B4 (de) * | 1998-09-18 | 2005-04-14 | Merckle Gmbh | 2-Arylalkylthio-imidazole, 2-Arylalkenylthio-imidazole und 2-Arylalkinylthio-imidazole als Entzündungs-Hemmstoffe und Hemmstoffe der Cytokin-Freisetzung |
| DE10107683A1 (de) * | 2001-02-19 | 2002-08-29 | Merckle Gmbh Chem Pharm Fabrik | 2-Thio-substituierte Imidazolderivate und ihre Verwendung in der Pharmazie |
| DE10114775A1 (de) | 2001-03-26 | 2002-10-10 | Gerhard Dannhardt | 2-Mercapto-4,5-diarylimidazolderivate und ihre Verwendung in der Pharmazie |
| DE10222103A1 (de) | 2002-05-17 | 2003-11-27 | Merckle Gmbh Chem Pharm Fabrik | 2-Thio-substituierte Imidazolderivate und ihre Verwendung in der Pharmazie |
-
2002
- 2002-08-20 DE DE10238045A patent/DE10238045A1/de not_active Withdrawn
-
2003
- 2003-08-20 JP JP2004530221A patent/JP2005539035A/ja active Pending
- 2003-08-20 RU RU2005107726/04A patent/RU2331638C2/ru not_active IP Right Cessation
- 2003-08-20 AU AU2003267000A patent/AU2003267000B2/en not_active Ceased
- 2003-08-20 RS YUP-2005/0131A patent/RS20050131A/sr unknown
- 2003-08-20 WO PCT/EP2003/009219 patent/WO2004018458A1/de not_active Ceased
- 2003-08-20 EP EP03747916A patent/EP1539741A1/de not_active Withdrawn
- 2003-08-20 US US10/524,486 patent/US7582660B2/en not_active Expired - Fee Related
- 2003-08-20 PL PL03375793A patent/PL375793A1/xx not_active Application Discontinuation
- 2003-08-20 CA CA002501849A patent/CA2501849A1/en not_active Abandoned
- 2003-08-20 MX MXPA05001985A patent/MXPA05001985A/es active IP Right Grant
- 2003-08-20 HR HR20050239A patent/HRP20050239A2/hr not_active Application Discontinuation
- 2003-08-20 CN CNB038197502A patent/CN100396677C/zh not_active Expired - Fee Related
- 2003-08-20 BR BR0313277-3A patent/BR0313277A/pt not_active IP Right Cessation
- 2003-08-20 KR KR1020057002947A patent/KR20050058419A/ko not_active Ceased
- 2003-08-20 UA UAA200502484A patent/UA80718C2/uk unknown
-
2005
- 2005-02-18 ZA ZA200501455A patent/ZA200501455B/en unknown
- 2005-03-14 IS IS7740A patent/IS7740A/is unknown
- 2005-03-18 NO NO20051477A patent/NO20051477L/no not_active Application Discontinuation
Also Published As
| Publication number | Publication date |
|---|---|
| BR0313277A (pt) | 2005-06-21 |
| CN1675197A (zh) | 2005-09-28 |
| AU2003267000A1 (en) | 2004-03-11 |
| UA80718C2 (en) | 2007-10-25 |
| MXPA05001985A (es) | 2005-05-27 |
| RS20050131A (sr) | 2007-06-04 |
| ZA200501455B (en) | 2006-10-25 |
| PL375793A1 (en) | 2005-12-12 |
| US20060235054A1 (en) | 2006-10-19 |
| KR20050058419A (ko) | 2005-06-16 |
| US7582660B2 (en) | 2009-09-01 |
| NO20051477L (no) | 2005-05-19 |
| JP2005539035A (ja) | 2005-12-22 |
| RU2005107726A (ru) | 2006-01-20 |
| RU2331638C2 (ru) | 2008-08-20 |
| AU2003267000B2 (en) | 2009-05-28 |
| CN100396677C (zh) | 2008-06-25 |
| IS7740A (is) | 2005-03-14 |
| CA2501849A1 (en) | 2004-03-04 |
| EP1539741A1 (de) | 2005-06-15 |
| HRP20050239A2 (en) | 2005-10-31 |
| WO2004018458A1 (de) | 2004-03-04 |
Similar Documents
| Publication | Publication Date | Title |
|---|---|---|
| DE3781845T2 (de) | Benzimidazol-derivate. | |
| DE69724098T2 (de) | Chinolin- und benzimidazolderivate als bradykinin agonisten | |
| EP1362045B1 (de) | 2-thio-subsituierte imidazolderivative und ihre verwendung in der pharmazie | |
| DE69306792T2 (de) | Imidazol-derivate mit angiotensin ii antagonistischer wirkung | |
| EP0199845B1 (de) | Imidazolylalkylguanidinderivate, Verfahren zu ihrer Herstellung und diese Verbindungen enthaltende Arzneimittel | |
| CH666033A5 (de) | 1,4-dihydropyridinderivate und deren salze und hydrate, verfahren zur herstellung dieser verbindungen und solche verbindungen enthaltende pharmazeutische praeparate. | |
| EP0772593B1 (de) | Pyridylthioverbindungen zur bekämpfung von helicobacter-bakterien | |
| DE3601143C2 (de) | Cyclische Imidderivate von 2-(4-Butylpiperazin-1-yl)-pyridinen, Verfahren zu deren Herstellung und diese Verbindungen enthaltende pharmazeutische Mittel | |
| DE10237883A1 (de) | Substituierte Isoxazolderivate und ihre Verwendung in der Pharmazie | |
| CS210684B2 (en) | Manufacturing process of 2-aminopyrimidones | |
| DE10238045A1 (de) | 2-Thio-substituierte Imidazolderivate und ihre Verwendung in der Pharmazie | |
| DE69805033T2 (de) | Tetrazolderivate als LTD4 und H1 Antagonisten | |
| EP1506187A1 (de) | 2-thio-substituierte imidazolderivate und ihre verwendung in der pharmazie | |
| EP0302164A1 (de) | Guanidincarbonsäureester, Verfahren zu ihrer Herstellung und diese Verbindungen enthaltende Arzneimittel | |
| CA1178960A (en) | Pyrimidone derivatives | |
| NZ538222A (en) | 2-Thio-substituted imidazole derivatives and their use in pharmaceuticals | |
| DD273628A5 (de) | Verfahren zum herstellen eines autogonisten des plaettchenaktivierenden faktors |
Legal Events
| Date | Code | Title | Description |
|---|---|---|---|
| 8141 | Disposal/no request for examination |
















