DE102019126683A1 - Copolymers for improving the storage stability of enzymes in detergents and cleaning agents - Google Patents
Copolymers for improving the storage stability of enzymes in detergents and cleaning agents Download PDFInfo
- Publication number
- DE102019126683A1 DE102019126683A1 DE102019126683.1A DE102019126683A DE102019126683A1 DE 102019126683 A1 DE102019126683 A1 DE 102019126683A1 DE 102019126683 A DE102019126683 A DE 102019126683A DE 102019126683 A1 DE102019126683 A1 DE 102019126683A1
- Authority
- DE
- Germany
- Prior art keywords
- group
- enzyme
- independently
- unsubstituted
- formula
- Prior art date
- Legal status (The legal status is an assumption and is not a legal conclusion. Google has not performed a legal analysis and makes no representation as to the accuracy of the status listed.)
- Withdrawn
Links
- 102000004190 Enzymes Human genes 0.000 title claims abstract description 105
- 108090000790 Enzymes Proteins 0.000 title claims abstract description 105
- 229920001577 copolymer Polymers 0.000 title claims abstract description 48
- 239000012459 cleaning agent Substances 0.000 title claims abstract description 39
- 239000003599 detergent Substances 0.000 title claims description 43
- 238000003860 storage Methods 0.000 title description 6
- 239000000203 mixture Substances 0.000 claims abstract description 127
- 239000003795 chemical substances by application Substances 0.000 claims abstract description 70
- 229920000642 polymer Polymers 0.000 claims abstract description 65
- 239000000178 monomer Substances 0.000 claims abstract description 53
- 238000005406 washing Methods 0.000 claims abstract description 37
- 238000009472 formulation Methods 0.000 claims abstract description 36
- 238000000034 method Methods 0.000 claims abstract description 36
- 239000004753 textile Substances 0.000 claims abstract description 20
- 238000004140 cleaning Methods 0.000 claims abstract description 17
- 239000003381 stabilizer Substances 0.000 claims abstract description 16
- -1 alkali metal salts Chemical class 0.000 claims description 66
- 108091005804 Peptidases Proteins 0.000 claims description 45
- 239000004365 Protease Substances 0.000 claims description 43
- 150000001875 compounds Chemical class 0.000 claims description 26
- 125000002496 methyl group Chemical group [H]C([H])([H])* 0.000 claims description 25
- 125000004432 carbon atom Chemical group C* 0.000 claims description 23
- 150000003254 radicals Chemical class 0.000 claims description 18
- 230000008569 process Effects 0.000 claims description 17
- 239000000126 substance Substances 0.000 claims description 13
- 125000001424 substituent group Chemical group 0.000 claims description 13
- 239000004094 surface-active agent Substances 0.000 claims description 13
- 125000001495 ethyl group Chemical group [H]C([H])([H])C([H])([H])* 0.000 claims description 12
- 238000012712 reversible addition−fragmentation chain-transfer polymerization Methods 0.000 claims description 12
- 125000003438 dodecyl group Chemical group [H]C([H])([H])C([H])([H])C([H])([H])C([H])([H])C([H])([H])C([H])([H])C([H])([H])C([H])([H])C([H])([H])C([H])([H])C([H])([H])C([H])([H])* 0.000 claims description 11
- 229910052760 oxygen Inorganic materials 0.000 claims description 11
- 239000004615 ingredient Substances 0.000 claims description 10
- 238000010526 radical polymerization reaction Methods 0.000 claims description 10
- 239000000654 additive Substances 0.000 claims description 8
- 125000002877 alkyl aryl group Chemical group 0.000 claims description 8
- 125000004178 (C1-C4) alkyl group Chemical group 0.000 claims description 7
- 150000001447 alkali salts Chemical class 0.000 claims description 7
- 150000004820 halides Chemical class 0.000 claims description 7
- 125000002887 hydroxy group Chemical group [H]O* 0.000 claims description 7
- 239000003999 initiator Substances 0.000 claims description 7
- 125000001449 isopropyl group Chemical group [H]C([H])([H])C([H])(*)C([H])([H])[H] 0.000 claims description 7
- 229910052783 alkali metal Inorganic materials 0.000 claims description 6
- 125000000753 cycloalkyl group Chemical group 0.000 claims description 6
- 238000001035 drying Methods 0.000 claims description 5
- 125000004123 n-propyl group Chemical group [H]C([H])([H])C([H])([H])C([H])([H])* 0.000 claims description 5
- 150000003839 salts Chemical class 0.000 claims description 5
- 125000004169 (C1-C6) alkyl group Chemical group 0.000 claims description 4
- 125000005915 C6-C14 aryl group Chemical group 0.000 claims description 4
- 125000000113 cyclohexyl group Chemical group [H]C1([H])C([H])([H])C([H])([H])C([H])(*)C([H])([H])C1([H])[H] 0.000 claims description 4
- 239000003112 inhibitor Substances 0.000 claims description 4
- 125000001997 phenyl group Chemical group [H]C1=C([H])C([H])=C(*)C([H])=C1[H] 0.000 claims description 4
- 125000003396 thiol group Chemical group [H]S* 0.000 claims description 4
- 125000004108 n-butyl group Chemical group [H]C([H])([H])C([H])([H])C([H])([H])C([H])([H])* 0.000 claims description 3
- 239000002304 perfume Substances 0.000 claims description 3
- 125000001436 propyl group Chemical group [H]C([*])([H])C([H])([H])C([H])([H])[H] 0.000 claims description 3
- 125000001637 1-naphthyl group Chemical group [H]C1=C([H])C([H])=C2C(*)=C([H])C([H])=C([H])C2=C1[H] 0.000 claims description 2
- AISZNMCRXZWVAT-UHFFFAOYSA-N 2-ethylsulfanylcarbothioylsulfanyl-2-methylpropanenitrile Chemical compound CCSC(=S)SC(C)(C)C#N AISZNMCRXZWVAT-UHFFFAOYSA-N 0.000 claims description 2
- 125000000954 2-hydroxyethyl group Chemical group [H]C([*])([H])C([H])([H])O[H] 0.000 claims description 2
- QOXOZONBQWIKDA-UHFFFAOYSA-N 3-hydroxypropyl Chemical group [CH2]CCO QOXOZONBQWIKDA-UHFFFAOYSA-N 0.000 claims description 2
- 125000000041 C6-C10 aryl group Chemical group 0.000 claims description 2
- 239000012987 RAFT agent Substances 0.000 claims description 2
- 239000012963 UV stabilizer Substances 0.000 claims description 2
- 230000007797 corrosion Effects 0.000 claims description 2
- 238000005260 corrosion Methods 0.000 claims description 2
- 239000000645 desinfectant Substances 0.000 claims description 2
- 125000000959 isobutyl group Chemical group [H]C([H])([H])C([H])(C([H])([H])[H])C([H])([H])* 0.000 claims description 2
- 125000001280 n-hexyl group Chemical group C(CCCCC)* 0.000 claims description 2
- 239000003002 pH adjusting agent Substances 0.000 claims description 2
- 239000003755 preservative agent Substances 0.000 claims description 2
- 230000006641 stabilisation Effects 0.000 claims description 2
- 238000011105 stabilization Methods 0.000 claims description 2
- 102100037486 Reverse transcriptase/ribonuclease H Human genes 0.000 claims 1
- 238000004851 dishwashing Methods 0.000 abstract description 5
- 229940088598 enzyme Drugs 0.000 description 92
- 102000035195 Peptidases Human genes 0.000 description 44
- 235000019419 proteases Nutrition 0.000 description 29
- XLYOFNOQVPJJNP-UHFFFAOYSA-N water Chemical compound O XLYOFNOQVPJJNP-UHFFFAOYSA-N 0.000 description 24
- 239000011734 sodium Substances 0.000 description 22
- 108090001060 Lipase Proteins 0.000 description 21
- 102000004882 Lipase Human genes 0.000 description 21
- 239000004367 Lipase Substances 0.000 description 21
- 235000019421 lipase Nutrition 0.000 description 21
- VVQNEPGJFQJSBK-UHFFFAOYSA-N Methyl methacrylate Chemical compound COC(=O)C(C)=C VVQNEPGJFQJSBK-UHFFFAOYSA-N 0.000 description 19
- 230000000694 effects Effects 0.000 description 19
- 239000000243 solution Substances 0.000 description 18
- 150000001768 cations Chemical class 0.000 description 15
- 239000007788 liquid Substances 0.000 description 14
- 239000004372 Polyvinyl alcohol Substances 0.000 description 13
- 229920002451 polyvinyl alcohol Polymers 0.000 description 13
- 108010059892 Cellulase Proteins 0.000 description 12
- ZMXDDKWLCZADIW-UHFFFAOYSA-N N,N-Dimethylformamide Chemical compound CN(C)C=O ZMXDDKWLCZADIW-UHFFFAOYSA-N 0.000 description 12
- 239000002253 acid Substances 0.000 description 12
- KRKNYBCHXYNGOX-UHFFFAOYSA-N citric acid Chemical compound OC(=O)CC(O)(C(O)=O)CC(O)=O KRKNYBCHXYNGOX-UHFFFAOYSA-N 0.000 description 12
- 150000002191 fatty alcohols Chemical class 0.000 description 12
- IAYPIBMASNFSPL-UHFFFAOYSA-N Ethylene oxide Chemical compound C1CO1 IAYPIBMASNFSPL-UHFFFAOYSA-N 0.000 description 10
- 230000015572 biosynthetic process Effects 0.000 description 10
- LYCAIKOWRPUZTN-UHFFFAOYSA-N ethylene glycol Natural products OCCO LYCAIKOWRPUZTN-UHFFFAOYSA-N 0.000 description 10
- 239000000463 material Substances 0.000 description 10
- CSCPPACGZOOCGX-UHFFFAOYSA-N Acetone Chemical compound CC(C)=O CSCPPACGZOOCGX-UHFFFAOYSA-N 0.000 description 9
- QGZKDVFQNNGYKY-UHFFFAOYSA-N Ammonia Chemical compound N QGZKDVFQNNGYKY-UHFFFAOYSA-N 0.000 description 9
- 229910052910 alkali metal silicate Inorganic materials 0.000 description 9
- RTZKZFJDLAIYFH-UHFFFAOYSA-N ether Substances CCOCC RTZKZFJDLAIYFH-UHFFFAOYSA-N 0.000 description 9
- 239000011572 manganese Substances 0.000 description 9
- 125000001421 myristyl group Chemical group [H]C([*])([H])C([H])([H])C([H])([H])C([H])([H])C([H])([H])C([H])([H])C([H])([H])C([H])([H])C([H])([H])C([H])([H])C([H])([H])C([H])([H])C([H])([H])C([H])([H])[H] 0.000 description 9
- 150000007513 acids Chemical class 0.000 description 8
- 125000000217 alkyl group Chemical group 0.000 description 8
- 239000003945 anionic surfactant Substances 0.000 description 8
- 125000003118 aryl group Chemical group 0.000 description 8
- 125000000913 palmityl group Chemical group [H]C([*])([H])C([H])([H])C([H])([H])C([H])([H])C([H])([H])C([H])([H])C([H])([H])C([H])([H])C([H])([H])C([H])([H])C([H])([H])C([H])([H])C([H])([H])C([H])([H])C([H])([H])C([H])([H])[H] 0.000 description 8
- 238000003786 synthesis reaction Methods 0.000 description 8
- IDSLBLWCPSAZBL-UHFFFAOYSA-N 2-cyanopropan-2-yl benzenecarbodithioate Chemical compound N#CC(C)(C)SC(=S)C1=CC=CC=C1 IDSLBLWCPSAZBL-UHFFFAOYSA-N 0.000 description 7
- PEDCQBHIVMGVHV-UHFFFAOYSA-N Glycerine Chemical compound OCC(O)CO PEDCQBHIVMGVHV-UHFFFAOYSA-N 0.000 description 7
- VEXZGXHMUGYJMC-UHFFFAOYSA-N Hydrochloric acid Chemical compound Cl VEXZGXHMUGYJMC-UHFFFAOYSA-N 0.000 description 7
- 108010056079 Subtilisins Proteins 0.000 description 7
- 102000005158 Subtilisins Human genes 0.000 description 7
- 159000000000 sodium salts Chemical class 0.000 description 7
- YOIZTLBZAMFVPK-UHFFFAOYSA-N 2-(3-ethoxy-4-hydroxyphenyl)-2-hydroxyacetic acid Chemical compound CCOC1=CC(C(O)C(O)=O)=CC=C1O YOIZTLBZAMFVPK-UHFFFAOYSA-N 0.000 description 6
- GOOHAUXETOMSMM-UHFFFAOYSA-N Propylene oxide Chemical compound CC1CO1 GOOHAUXETOMSMM-UHFFFAOYSA-N 0.000 description 6
- WYURNTSHIVDZCO-UHFFFAOYSA-N Tetrahydrofuran Chemical compound C1CCOC1 WYURNTSHIVDZCO-UHFFFAOYSA-N 0.000 description 6
- 108090000637 alpha-Amylases Proteins 0.000 description 6
- 102000004139 alpha-Amylases Human genes 0.000 description 6
- 235000014113 dietary fatty acids Nutrition 0.000 description 6
- DUDCYUDPBRJVLG-UHFFFAOYSA-N ethoxyethane methyl 2-methylprop-2-enoate Chemical compound CCOCC.COC(=O)C(C)=C DUDCYUDPBRJVLG-UHFFFAOYSA-N 0.000 description 6
- 239000000194 fatty acid Substances 0.000 description 6
- 229930195729 fatty acid Natural products 0.000 description 6
- 238000005227 gel permeation chromatography Methods 0.000 description 6
- 239000010410 layer Substances 0.000 description 6
- 229920001427 mPEG Polymers 0.000 description 6
- 239000002736 nonionic surfactant Substances 0.000 description 6
- GLDOVTGHNKAZLK-UHFFFAOYSA-N octadecan-1-ol Chemical compound CCCCCCCCCCCCCCCCCCO GLDOVTGHNKAZLK-UHFFFAOYSA-N 0.000 description 6
- 238000002360 preparation method Methods 0.000 description 6
- 102000004169 proteins and genes Human genes 0.000 description 6
- 108090000623 proteins and genes Proteins 0.000 description 6
- 239000007787 solid Substances 0.000 description 6
- 239000002904 solvent Substances 0.000 description 6
- 239000000758 substrate Substances 0.000 description 6
- OZAIFHULBGXAKX-UHFFFAOYSA-N 2-(2-cyanopropan-2-yldiazenyl)-2-methylpropanenitrile Chemical compound N#CC(C)(C)N=NC(C)(C)C#N OZAIFHULBGXAKX-UHFFFAOYSA-N 0.000 description 5
- WDQMWEYDKDCEHT-UHFFFAOYSA-N 2-ethylhexyl 2-methylprop-2-enoate Chemical compound CCCCC(CC)COC(=O)C(C)=C WDQMWEYDKDCEHT-UHFFFAOYSA-N 0.000 description 5
- 241000193422 Bacillus lentus Species 0.000 description 5
- DGAQECJNVWCQMB-PUAWFVPOSA-M Ilexoside XXIX Chemical compound C[C@@H]1CC[C@@]2(CC[C@@]3(C(=CC[C@H]4[C@]3(CC[C@@H]5[C@@]4(CC[C@@H](C5(C)C)OS(=O)(=O)[O-])C)C)[C@@H]2[C@]1(C)O)C)C(=O)O[C@H]6[C@@H]([C@H]([C@@H]([C@H](O6)CO)O)O)O.[Na+] DGAQECJNVWCQMB-PUAWFVPOSA-M 0.000 description 5
- KFZMGEQAYNKOFK-UHFFFAOYSA-N Isopropanol Chemical compound CC(C)O KFZMGEQAYNKOFK-UHFFFAOYSA-N 0.000 description 5
- 102000004316 Oxidoreductases Human genes 0.000 description 5
- 108090000854 Oxidoreductases Proteins 0.000 description 5
- 101710180319 Protease 1 Proteins 0.000 description 5
- 101710137710 Thioesterase 1/protease 1/lysophospholipase L1 Proteins 0.000 description 5
- 229910001413 alkali metal ion Inorganic materials 0.000 description 5
- 229940024171 alpha-amylase Drugs 0.000 description 5
- 229940106157 cellulase Drugs 0.000 description 5
- 238000006243 chemical reaction Methods 0.000 description 5
- 238000000502 dialysis Methods 0.000 description 5
- MTHSVFCYNBDYFN-UHFFFAOYSA-N diethylene glycol Chemical compound OCCOCCO MTHSVFCYNBDYFN-UHFFFAOYSA-N 0.000 description 5
- 238000006116 polymerization reaction Methods 0.000 description 5
- 229910052708 sodium Inorganic materials 0.000 description 5
- TYMLOMAKGOJONV-UHFFFAOYSA-N 4-nitroaniline Chemical compound NC1=CC=C([N+]([O-])=O)C=C1 TYMLOMAKGOJONV-UHFFFAOYSA-N 0.000 description 4
- 108010065511 Amylases Proteins 0.000 description 4
- 102000013142 Amylases Human genes 0.000 description 4
- 241000194110 Bacillus sp. (in: Bacteria) Species 0.000 description 4
- 101000740449 Bacillus subtilis (strain 168) Biotin/lipoyl attachment protein Proteins 0.000 description 4
- 108010084185 Cellulases Proteins 0.000 description 4
- 102000005575 Cellulases Human genes 0.000 description 4
- SNRUBQQJIBEYMU-UHFFFAOYSA-N Dodecane Natural products CCCCCCCCCCCC SNRUBQQJIBEYMU-UHFFFAOYSA-N 0.000 description 4
- DNIAPMSPPWPWGF-UHFFFAOYSA-N Propylene glycol Chemical compound CC(O)CO DNIAPMSPPWPWGF-UHFFFAOYSA-N 0.000 description 4
- 239000004115 Sodium Silicate Substances 0.000 description 4
- 239000013543 active substance Substances 0.000 description 4
- 239000003513 alkali Substances 0.000 description 4
- 229910000323 aluminium silicate Inorganic materials 0.000 description 4
- 150000001412 amines Chemical class 0.000 description 4
- 235000019418 amylase Nutrition 0.000 description 4
- 125000001797 benzyl group Chemical group [H]C1=C([H])C([H])=C(C([H])=C1[H])C([H])([H])* 0.000 description 4
- 239000003153 chemical reaction reagent Substances 0.000 description 4
- 125000002704 decyl group Chemical group [H]C([H])([H])C([H])([H])C([H])([H])C([H])([H])C([H])([H])C([H])([H])C([H])([H])C([H])([H])C([H])([H])C([H])([H])* 0.000 description 4
- 238000011161 development Methods 0.000 description 4
- 230000018109 developmental process Effects 0.000 description 4
- HNPSIPDUKPIQMN-UHFFFAOYSA-N dioxosilane;oxo(oxoalumanyloxy)alumane Chemical compound O=[Si]=O.O=[Al]O[Al]=O HNPSIPDUKPIQMN-UHFFFAOYSA-N 0.000 description 4
- 150000004665 fatty acids Chemical class 0.000 description 4
- 239000007789 gas Substances 0.000 description 4
- 239000008187 granular material Substances 0.000 description 4
- 125000002960 margaryl group Chemical group [H]C([*])([H])C([H])([H])C([H])([H])C([H])([H])C([H])([H])C([H])([H])C([H])([H])C([H])([H])C([H])([H])C([H])([H])C([H])([H])C([H])([H])C([H])([H])C([H])([H])C([H])([H])C([H])([H])C([H])([H])[H] 0.000 description 4
- 125000001196 nonadecyl group Chemical group [H]C([*])([H])C([H])([H])C([H])([H])C([H])([H])C([H])([H])C([H])([H])C([H])([H])C([H])([H])C([H])([H])C([H])([H])C([H])([H])C([H])([H])C([H])([H])C([H])([H])C([H])([H])C([H])([H])C([H])([H])C([H])([H])C([H])([H])[H] 0.000 description 4
- 125000002958 pentadecyl group Chemical group [H]C([*])([H])C([H])([H])C([H])([H])C([H])([H])C([H])([H])C([H])([H])C([H])([H])C([H])([H])C([H])([H])C([H])([H])C([H])([H])C([H])([H])C([H])([H])C([H])([H])C([H])([H])[H] 0.000 description 4
- 230000001681 protective effect Effects 0.000 description 4
- 150000004760 silicates Chemical class 0.000 description 4
- 125000004079 stearyl group Chemical group [H]C([*])([H])C([H])([H])C([H])([H])C([H])([H])C([H])([H])C([H])([H])C([H])([H])C([H])([H])C([H])([H])C([H])([H])C([H])([H])C([H])([H])C([H])([H])C([H])([H])C([H])([H])C([H])([H])C([H])([H])C([H])([H])[H] 0.000 description 4
- 238000003756 stirring Methods 0.000 description 4
- 125000002889 tridecyl group Chemical group [H]C([*])([H])C([H])([H])C([H])([H])C([H])([H])C([H])([H])C([H])([H])C([H])([H])C([H])([H])C([H])([H])C([H])([H])C([H])([H])C([H])([H])C([H])([H])[H] 0.000 description 4
- UZNHKBFIBYXPDV-UHFFFAOYSA-N trimethyl-[3-(2-methylprop-2-enoylamino)propyl]azanium;chloride Chemical compound [Cl-].CC(=C)C(=O)NCCC[N+](C)(C)C UZNHKBFIBYXPDV-UHFFFAOYSA-N 0.000 description 4
- 125000002948 undecyl group Chemical group [H]C([*])([H])C([H])([H])C([H])([H])C([H])([H])C([H])([H])C([H])([H])C([H])([H])C([H])([H])C([H])([H])C([H])([H])C([H])([H])[H] 0.000 description 4
- HLZKNKRTKFSKGZ-UHFFFAOYSA-N 1-Tetradecanol Natural products CCCCCCCCCCCCCCO HLZKNKRTKFSKGZ-UHFFFAOYSA-N 0.000 description 3
- ARXJGSRGQADJSQ-UHFFFAOYSA-N 1-methoxypropan-2-ol Chemical compound COCC(C)O ARXJGSRGQADJSQ-UHFFFAOYSA-N 0.000 description 3
- 238000005160 1H NMR spectroscopy Methods 0.000 description 3
- YXYJVFYWCLAXHO-UHFFFAOYSA-N 2-methoxyethyl 2-methylprop-2-enoate Chemical compound COCCOC(=O)C(C)=C YXYJVFYWCLAXHO-UHFFFAOYSA-N 0.000 description 3
- KFNGWPXYNSJXOP-UHFFFAOYSA-N 3-(2-methylprop-2-enoyloxy)propane-1-sulfonic acid Chemical compound CC(=C)C(=O)OCCCS(O)(=O)=O KFNGWPXYNSJXOP-UHFFFAOYSA-N 0.000 description 3
- QTBSBXVTEAMEQO-UHFFFAOYSA-N Acetic acid Chemical compound CC(O)=O QTBSBXVTEAMEQO-UHFFFAOYSA-N 0.000 description 3
- 239000004382 Amylase Substances 0.000 description 3
- IJGRMHOSHXDMSA-UHFFFAOYSA-N Atomic nitrogen Chemical compound N#N IJGRMHOSHXDMSA-UHFFFAOYSA-N 0.000 description 3
- 241000193744 Bacillus amyloliquefaciens Species 0.000 description 3
- 241000194108 Bacillus licheniformis Species 0.000 description 3
- 244000060011 Cocos nucifera Species 0.000 description 3
- 235000013162 Cocos nucifera Nutrition 0.000 description 3
- YMWUJEATGCHHMB-UHFFFAOYSA-N Dichloromethane Chemical compound ClCCl YMWUJEATGCHHMB-UHFFFAOYSA-N 0.000 description 3
- IAZDPXIOMUYVGZ-UHFFFAOYSA-N Dimethylsulphoxide Chemical compound CS(C)=O IAZDPXIOMUYVGZ-UHFFFAOYSA-N 0.000 description 3
- LFQSCWFLJHTTHZ-UHFFFAOYSA-N Ethanol Chemical compound CCO LFQSCWFLJHTTHZ-UHFFFAOYSA-N 0.000 description 3
- IMROMDMJAWUWLK-UHFFFAOYSA-N Ethenol Chemical compound OC=C IMROMDMJAWUWLK-UHFFFAOYSA-N 0.000 description 3
- CERQOIWHTDAKMF-UHFFFAOYSA-N Methacrylic acid Chemical compound CC(=C)C(O)=O CERQOIWHTDAKMF-UHFFFAOYSA-N 0.000 description 3
- 239000004435 Oxo alcohol Substances 0.000 description 3
- 229910019142 PO4 Inorganic materials 0.000 description 3
- KWYUFKZDYYNOTN-UHFFFAOYSA-M Potassium hydroxide Chemical compound [OH-].[K+] KWYUFKZDYYNOTN-UHFFFAOYSA-M 0.000 description 3
- HEMHJVSKTPXQMS-UHFFFAOYSA-M Sodium hydroxide Chemical compound [OH-].[Na+] HEMHJVSKTPXQMS-UHFFFAOYSA-M 0.000 description 3
- KDYFGRWQOYBRFD-UHFFFAOYSA-N Succinic acid Natural products OC(=O)CCC(O)=O KDYFGRWQOYBRFD-UHFFFAOYSA-N 0.000 description 3
- 239000007983 Tris buffer Substances 0.000 description 3
- 230000000845 anti-microbial effect Effects 0.000 description 3
- 239000003125 aqueous solvent Substances 0.000 description 3
- QVGXLLKOCUKJST-UHFFFAOYSA-N atomic oxygen Chemical compound [O] QVGXLLKOCUKJST-UHFFFAOYSA-N 0.000 description 3
- AOJOEFVRHOZDFN-UHFFFAOYSA-N benzyl 2-methylprop-2-enoate Chemical compound CC(=C)C(=O)OCC1=CC=CC=C1 AOJOEFVRHOZDFN-UHFFFAOYSA-N 0.000 description 3
- 239000000872 buffer Substances 0.000 description 3
- 239000003093 cationic surfactant Substances 0.000 description 3
- 229960000541 cetyl alcohol Drugs 0.000 description 3
- 239000002738 chelating agent Substances 0.000 description 3
- 239000011248 coating agent Substances 0.000 description 3
- 238000000576 coating method Methods 0.000 description 3
- 108010005400 cutinase Proteins 0.000 description 3
- 238000004925 denaturation Methods 0.000 description 3
- 230000036425 denaturation Effects 0.000 description 3
- 229910001873 dinitrogen Inorganic materials 0.000 description 3
- GMSCBRSQMRDRCD-UHFFFAOYSA-N dodecyl 2-methylprop-2-enoate Chemical compound CCCCCCCCCCCCOC(=O)C(C)=C GMSCBRSQMRDRCD-UHFFFAOYSA-N 0.000 description 3
- 235000011187 glycerol Nutrition 0.000 description 3
- WGCNASOHLSPBMP-UHFFFAOYSA-N hydroxyacetaldehyde Natural products OCC=O WGCNASOHLSPBMP-UHFFFAOYSA-N 0.000 description 3
- 239000011159 matrix material Substances 0.000 description 3
- 244000005700 microbiome Species 0.000 description 3
- 229940043348 myristyl alcohol Drugs 0.000 description 3
- GOQYKNQRPGWPLP-UHFFFAOYSA-N n-heptadecyl alcohol Natural products CCCCCCCCCCCCCCCCCO GOQYKNQRPGWPLP-UHFFFAOYSA-N 0.000 description 3
- BXWNKGSJHAJOGX-UHFFFAOYSA-N n-hexadecyl alcohol Natural products CCCCCCCCCCCCCCCCO BXWNKGSJHAJOGX-UHFFFAOYSA-N 0.000 description 3
- KCAMXZBMXVIIQN-UHFFFAOYSA-N octan-3-yl 2-methylprop-2-enoate Chemical compound CCCCCC(CC)OC(=O)C(C)=C KCAMXZBMXVIIQN-UHFFFAOYSA-N 0.000 description 3
- 239000001301 oxygen Substances 0.000 description 3
- 235000011837 pasties Nutrition 0.000 description 3
- 235000021317 phosphate Nutrition 0.000 description 3
- 150000003013 phosphoric acid derivatives Chemical class 0.000 description 3
- 239000011535 reaction buffer Substances 0.000 description 3
- 235000019351 sodium silicates Nutrition 0.000 description 3
- 238000001228 spectrum Methods 0.000 description 3
- 229940012831 stearyl alcohol Drugs 0.000 description 3
- 239000003760 tallow Substances 0.000 description 3
- RRHXZLALVWBDKH-UHFFFAOYSA-M trimethyl-[2-(2-methylprop-2-enoyloxy)ethyl]azanium;chloride Chemical compound [Cl-].CC(=C)C(=O)OCC[N+](C)(C)C RRHXZLALVWBDKH-UHFFFAOYSA-M 0.000 description 3
- LENZDBCJOHFCAS-UHFFFAOYSA-N tris Chemical compound OCC(N)(CO)CO LENZDBCJOHFCAS-UHFFFAOYSA-N 0.000 description 3
- 239000010457 zeolite Substances 0.000 description 3
- RWNUSVWFHDHRCJ-UHFFFAOYSA-N 1-butoxypropan-2-ol Chemical compound CCCCOCC(C)O RWNUSVWFHDHRCJ-UHFFFAOYSA-N 0.000 description 2
- SMZOUWXMTYCWNB-UHFFFAOYSA-N 2-(2-methoxy-5-methylphenyl)ethanamine Chemical compound COC1=CC=C(C)C=C1CCN SMZOUWXMTYCWNB-UHFFFAOYSA-N 0.000 description 2
- JAHNSTQSQJOJLO-UHFFFAOYSA-N 2-(3-fluorophenyl)-1h-imidazole Chemical compound FC1=CC=CC(C=2NC=CN=2)=C1 JAHNSTQSQJOJLO-UHFFFAOYSA-N 0.000 description 2
- HZAXFHJVJLSVMW-UHFFFAOYSA-N 2-Aminoethan-1-ol Chemical compound NCCO HZAXFHJVJLSVMW-UHFFFAOYSA-N 0.000 description 2
- XNWFRZJHXBZDAG-UHFFFAOYSA-N 2-METHOXYETHANOL Chemical compound COCCO XNWFRZJHXBZDAG-UHFFFAOYSA-N 0.000 description 2
- NIXOWILDQLNWCW-UHFFFAOYSA-N 2-Propenoic acid Natural products OC(=O)C=C NIXOWILDQLNWCW-UHFFFAOYSA-N 0.000 description 2
- OSCJHTSDLYVCQC-UHFFFAOYSA-N 2-ethylhexyl 4-[[4-[4-(tert-butylcarbamoyl)anilino]-6-[4-(2-ethylhexoxycarbonyl)anilino]-1,3,5-triazin-2-yl]amino]benzoate Chemical compound C1=CC(C(=O)OCC(CC)CCCC)=CC=C1NC1=NC(NC=2C=CC(=CC=2)C(=O)NC(C)(C)C)=NC(NC=2C=CC(=CC=2)C(=O)OCC(CC)CCCC)=N1 OSCJHTSDLYVCQC-UHFFFAOYSA-N 0.000 description 2
- SVTBMSDMJJWYQN-UHFFFAOYSA-N 2-methylpentane-2,4-diol Chemical compound CC(O)CC(C)(C)O SVTBMSDMJJWYQN-UHFFFAOYSA-N 0.000 description 2
- 102220560806 Acyl-CoA dehydrogenase family member 11_R99E_mutation Human genes 0.000 description 2
- 241000193830 Bacillus <bacterium> Species 0.000 description 2
- 241001328119 Bacillus gibsonii Species 0.000 description 2
- 241000194103 Bacillus pumilus Species 0.000 description 2
- 102100032487 Beta-mannosidase Human genes 0.000 description 2
- OKTJSMMVPCPJKN-UHFFFAOYSA-N Carbon Chemical group [C] OKTJSMMVPCPJKN-UHFFFAOYSA-N 0.000 description 2
- 108010025880 Cyclomaltodextrin glucanotransferase Proteins 0.000 description 2
- RGHNJXZEOKUKBD-SQOUGZDYSA-N D-gluconic acid Chemical compound OC[C@@H](O)[C@@H](O)[C@H](O)[C@@H](O)C(O)=O RGHNJXZEOKUKBD-SQOUGZDYSA-N 0.000 description 2
- 108010083608 Durazym Proteins 0.000 description 2
- 241000193385 Geobacillus stearothermophilus Species 0.000 description 2
- WQZGKKKJIJFFOK-GASJEMHNSA-N Glucose Natural products OC[C@H]1OC(O)[C@H](O)[C@@H](O)[C@@H]1O WQZGKKKJIJFFOK-GASJEMHNSA-N 0.000 description 2
- SXRSQZLOMIGNAQ-UHFFFAOYSA-N Glutaraldehyde Chemical compound O=CCCCC=O SXRSQZLOMIGNAQ-UHFFFAOYSA-N 0.000 description 2
- AEMRFAOFKBGASW-UHFFFAOYSA-N Glycolic acid Chemical compound OCC(O)=O AEMRFAOFKBGASW-UHFFFAOYSA-N 0.000 description 2
- 241001480714 Humicola insolens Species 0.000 description 2
- CPELXLSAUQHCOX-UHFFFAOYSA-N Hydrogen bromide Chemical class Br CPELXLSAUQHCOX-UHFFFAOYSA-N 0.000 description 2
- OFOBLEOULBTSOW-UHFFFAOYSA-N Malonic acid Chemical compound OC(=O)CC(O)=O OFOBLEOULBTSOW-UHFFFAOYSA-N 0.000 description 2
- ABLZXFCXXLZCGV-UHFFFAOYSA-N Phosphorous acid Chemical class OP(O)=O ABLZXFCXXLZCGV-UHFFFAOYSA-N 0.000 description 2
- 108010059820 Polygalacturonase Proteins 0.000 description 2
- 229910004298 SiO 2 Inorganic materials 0.000 description 2
- PPBRXRYQALVLMV-UHFFFAOYSA-N Styrene Chemical compound C=CC1=CC=CC=C1 PPBRXRYQALVLMV-UHFFFAOYSA-N 0.000 description 2
- QAOWNCQODCNURD-UHFFFAOYSA-N Sulfuric acid Chemical compound OS(O)(=O)=O QAOWNCQODCNURD-UHFFFAOYSA-N 0.000 description 2
- 241000223258 Thermomyces lanuginosus Species 0.000 description 2
- 229910021536 Zeolite Inorganic materials 0.000 description 2
- 230000009471 action Effects 0.000 description 2
- WNLRTRBMVRJNCN-UHFFFAOYSA-N adipic acid Chemical compound OC(=O)CCCCC(O)=O WNLRTRBMVRJNCN-UHFFFAOYSA-N 0.000 description 2
- 239000002280 amphoteric surfactant Substances 0.000 description 2
- 108010055059 beta-Mannosidase Proteins 0.000 description 2
- AFYNADDZULBEJA-UHFFFAOYSA-N bicinchoninic acid Chemical compound C1=CC=CC2=NC(C=3C=C(C4=CC=CC=C4N=3)C(=O)O)=CC(C(O)=O)=C21 AFYNADDZULBEJA-UHFFFAOYSA-N 0.000 description 2
- 239000002775 capsule Substances 0.000 description 2
- 150000001721 carbon Chemical group 0.000 description 2
- 229910052799 carbon Inorganic materials 0.000 description 2
- 150000004649 carbonic acid derivatives Chemical class 0.000 description 2
- 150000001732 carboxylic acid derivatives Chemical group 0.000 description 2
- 150000001805 chlorine compounds Chemical class 0.000 description 2
- 239000000470 constituent Substances 0.000 description 2
- 125000001511 cyclopentyl group Chemical group [H]C1([H])C([H])([H])C([H])([H])C([H])(*)C1([H])[H] 0.000 description 2
- 150000001991 dicarboxylic acids Chemical class 0.000 description 2
- RXKJFZQQPQGTFL-UHFFFAOYSA-N dihydroxyacetone Chemical compound OCC(=O)CO RXKJFZQQPQGTFL-UHFFFAOYSA-N 0.000 description 2
- 239000003814 drug Substances 0.000 description 2
- 239000000975 dye Substances 0.000 description 2
- 230000002255 enzymatic effect Effects 0.000 description 2
- 108010093305 exopolygalacturonase Proteins 0.000 description 2
- 238000001125 extrusion Methods 0.000 description 2
- 239000000499 gel Substances 0.000 description 2
- 239000011521 glass Substances 0.000 description 2
- 239000008103 glucose Substances 0.000 description 2
- 229930182470 glycoside Natural products 0.000 description 2
- 238000005469 granulation Methods 0.000 description 2
- 230000003179 granulation Effects 0.000 description 2
- 125000005842 heteroatom Chemical group 0.000 description 2
- 150000003840 hydrochlorides Chemical class 0.000 description 2
- 230000007062 hydrolysis Effects 0.000 description 2
- 238000006460 hydrolysis reaction Methods 0.000 description 2
- 230000006872 improvement Effects 0.000 description 2
- JVTAAEKCZFNVCJ-UHFFFAOYSA-N lactic acid Chemical compound CC(O)C(O)=O JVTAAEKCZFNVCJ-UHFFFAOYSA-N 0.000 description 2
- 229910052748 manganese Inorganic materials 0.000 description 2
- LVHBHZANLOWSRM-UHFFFAOYSA-N methylenebutanedioic acid Natural products OC(=O)CC(=C)C(O)=O LVHBHZANLOWSRM-UHFFFAOYSA-N 0.000 description 2
- 125000001624 naphthyl group Chemical group 0.000 description 2
- 238000004806 packaging method and process Methods 0.000 description 2
- 239000002245 particle Substances 0.000 description 2
- 125000001792 phenanthrenyl group Chemical group C1(=CC=CC=2C3=CC=CC=C3C=CC12)* 0.000 description 2
- 229910052615 phyllosilicate Inorganic materials 0.000 description 2
- 229920000747 poly(lactic acid) Polymers 0.000 description 2
- 125000003367 polycyclic group Chemical group 0.000 description 2
- 229920002689 polyvinyl acetate Polymers 0.000 description 2
- 239000011118 polyvinyl acetate Substances 0.000 description 2
- 239000001508 potassium citrate Substances 0.000 description 2
- QEEAPRPFLLJWCF-UHFFFAOYSA-K potassium citrate (anhydrous) Chemical class [K+].[K+].[K+].[O-]C(=O)CC(O)(CC([O-])=O)C([O-])=O QEEAPRPFLLJWCF-UHFFFAOYSA-K 0.000 description 2
- PNOXUQIZPBURMT-UHFFFAOYSA-M potassium;3-(2-methylprop-2-enoyloxy)propane-1-sulfonate Chemical compound [K+].CC(=C)C(=O)OCCCS([O-])(=O)=O PNOXUQIZPBURMT-UHFFFAOYSA-M 0.000 description 2
- 239000000843 powder Substances 0.000 description 2
- BDERNNFJNOPAEC-UHFFFAOYSA-N propan-1-ol Chemical compound CCCO BDERNNFJNOPAEC-UHFFFAOYSA-N 0.000 description 2
- 235000013772 propylene glycol Nutrition 0.000 description 2
- 229960004063 propylene glycol Drugs 0.000 description 2
- 235000019833 protease Nutrition 0.000 description 2
- 239000001509 sodium citrate Substances 0.000 description 2
- 230000000087 stabilizing effect Effects 0.000 description 2
- 238000006467 substitution reaction Methods 0.000 description 2
- 230000002195 synergetic effect Effects 0.000 description 2
- 108010075550 termamyl Proteins 0.000 description 2
- YLQBMQCUIZJEEH-UHFFFAOYSA-N tetrahydrofuran Natural products C=1C=COC=1 YLQBMQCUIZJEEH-UHFFFAOYSA-N 0.000 description 2
- BUHVIAUBTBOHAG-FOYDDCNASA-N (2r,3r,4s,5r)-2-[6-[[2-(3,5-dimethoxyphenyl)-2-(2-methylphenyl)ethyl]amino]purin-9-yl]-5-(hydroxymethyl)oxolane-3,4-diol Chemical compound COC1=CC(OC)=CC(C(CNC=2C=3N=CN(C=3N=CN=2)[C@H]2[C@@H]([C@H](O)[C@@H](CO)O2)O)C=2C(=CC=CC=2)C)=C1 BUHVIAUBTBOHAG-FOYDDCNASA-N 0.000 description 1
- 125000000008 (C1-C10) alkyl group Chemical group 0.000 description 1
- 125000004400 (C1-C12) alkyl group Chemical group 0.000 description 1
- DNIAPMSPPWPWGF-GSVOUGTGSA-N (R)-(-)-Propylene glycol Chemical compound C[C@@H](O)CO DNIAPMSPPWPWGF-GSVOUGTGSA-N 0.000 description 1
- BJEPYKJPYRNKOW-REOHCLBHSA-N (S)-malic acid Chemical compound OC(=O)[C@@H](O)CC(O)=O BJEPYKJPYRNKOW-REOHCLBHSA-N 0.000 description 1
- NPMRPDRLIHYOBW-UHFFFAOYSA-N 1-(2-butoxyethoxy)propan-2-ol Chemical compound CCCCOCCOCC(C)O NPMRPDRLIHYOBW-UHFFFAOYSA-N 0.000 description 1
- QWOZZTWBWQMEPD-UHFFFAOYSA-N 1-(2-ethoxypropoxy)propan-2-ol Chemical compound CCOC(C)COCC(C)O QWOZZTWBWQMEPD-UHFFFAOYSA-N 0.000 description 1
- JOLQKTGDSGKSKJ-UHFFFAOYSA-N 1-ethoxypropan-2-ol Chemical compound CCOCC(C)O JOLQKTGDSGKSKJ-UHFFFAOYSA-N 0.000 description 1
- FENFUOGYJVOCRY-UHFFFAOYSA-N 1-propoxypropan-2-ol Chemical compound CCCOCC(C)O FENFUOGYJVOCRY-UHFFFAOYSA-N 0.000 description 1
- OAYXUHPQHDHDDZ-UHFFFAOYSA-N 2-(2-butoxyethoxy)ethanol Chemical compound CCCCOCCOCCO OAYXUHPQHDHDDZ-UHFFFAOYSA-N 0.000 description 1
- XMNIXWIUMCBBBL-UHFFFAOYSA-N 2-(2-phenylpropan-2-ylperoxy)propan-2-ylbenzene Chemical compound C=1C=CC=CC=1C(C)(C)OOC(C)(C)C1=CC=CC=C1 XMNIXWIUMCBBBL-UHFFFAOYSA-N 0.000 description 1
- DJCYDDALXPHSHR-UHFFFAOYSA-N 2-(2-propoxyethoxy)ethanol Chemical compound CCCOCCOCCO DJCYDDALXPHSHR-UHFFFAOYSA-N 0.000 description 1
- IMSODMZESSGVBE-UHFFFAOYSA-N 2-Oxazoline Chemical compound C1CN=CO1 IMSODMZESSGVBE-UHFFFAOYSA-N 0.000 description 1
- COBPKKZHLDDMTB-UHFFFAOYSA-N 2-[2-(2-butoxyethoxy)ethoxy]ethanol Chemical compound CCCCOCCOCCOCCO COBPKKZHLDDMTB-UHFFFAOYSA-N 0.000 description 1
- CIEZZGWIJBXOTE-UHFFFAOYSA-N 2-[bis(carboxymethyl)amino]propanoic acid Chemical compound OC(=O)C(C)N(CC(O)=O)CC(O)=O CIEZZGWIJBXOTE-UHFFFAOYSA-N 0.000 description 1
- WMUYOHBROYONKV-UHFFFAOYSA-N 2-benzyl-3-methoxycarbonylbenzenecarbodithioic acid Chemical compound COC(=O)C1=C(C(=CC=C1)C(=S)S)CC2=CC=CC=C2 WMUYOHBROYONKV-UHFFFAOYSA-N 0.000 description 1
- GLQSCQVGVPUIPC-UHFFFAOYSA-N 2-cyanopropan-2-yl 4-cyanobenzenecarbodithioate Chemical compound N#CC(C)(C)SC(=S)C1=CC=C(C#N)C=C1 GLQSCQVGVPUIPC-UHFFFAOYSA-N 0.000 description 1
- QSVOWVXHKOQYIP-UHFFFAOYSA-N 2-dodecylsulfanylcarbothioylsulfanyl-2-methylpropanenitrile Chemical compound CCCCCCCCCCCCSC(=S)SC(C)(C)C#N QSVOWVXHKOQYIP-UHFFFAOYSA-N 0.000 description 1
- ZNQVEEAIQZEUHB-UHFFFAOYSA-N 2-ethoxyethanol Chemical compound CCOCCO ZNQVEEAIQZEUHB-UHFFFAOYSA-N 0.000 description 1
- QWGRWMMWNDWRQN-UHFFFAOYSA-N 2-methylpropane-1,3-diol Chemical compound OCC(C)CO QWGRWMMWNDWRQN-UHFFFAOYSA-N 0.000 description 1
- KRTGJZMJJVEKRX-UHFFFAOYSA-N 2-phenylethan-1-yl Chemical group [CH2]CC1=CC=CC=C1 KRTGJZMJJVEKRX-UHFFFAOYSA-N 0.000 description 1
- MSQCQZMTRWHMFQ-UHFFFAOYSA-N 3-(2-methylprop-2-enoyloxy)propane-1-sulfonic acid;sodium Chemical compound [Na].CC(=C)C(=O)OCCCS(O)(=O)=O MSQCQZMTRWHMFQ-UHFFFAOYSA-N 0.000 description 1
- QCAHUFWKIQLBNB-UHFFFAOYSA-N 3-(3-methoxypropoxy)propan-1-ol Chemical compound COCCCOCCCO QCAHUFWKIQLBNB-UHFFFAOYSA-N 0.000 description 1
- VFXXTYGQYWRHJP-UHFFFAOYSA-N 4,4'-azobis(4-cyanopentanoic acid) Chemical compound OC(=O)CCC(C)(C#N)N=NC(C)(CCC(O)=O)C#N VFXXTYGQYWRHJP-UHFFFAOYSA-N 0.000 description 1
- UHPMCKVQTMMPCG-UHFFFAOYSA-N 5,8-dihydroxy-2-methoxy-6-methyl-7-(2-oxopropyl)naphthalene-1,4-dione Chemical compound CC1=C(CC(C)=O)C(O)=C2C(=O)C(OC)=CC(=O)C2=C1O UHPMCKVQTMMPCG-UHFFFAOYSA-N 0.000 description 1
- 241001136792 Alle Species 0.000 description 1
- PNEYBMLMFCGWSK-UHFFFAOYSA-N Alumina Chemical compound [O-2].[O-2].[O-2].[Al+3].[Al+3] PNEYBMLMFCGWSK-UHFFFAOYSA-N 0.000 description 1
- 241000228245 Aspergillus niger Species 0.000 description 1
- 240000006439 Aspergillus oryzae Species 0.000 description 1
- 241000194102 Bacillus intermedius Species 0.000 description 1
- 108010073997 Bromide peroxidase Proteins 0.000 description 1
- KXDHJXZQYSOELW-UHFFFAOYSA-N Carbamic acid Chemical class NC(O)=O KXDHJXZQYSOELW-UHFFFAOYSA-N 0.000 description 1
- 108010053835 Catalase Proteins 0.000 description 1
- 102000016938 Catalase Human genes 0.000 description 1
- 108010031396 Catechol oxidase Proteins 0.000 description 1
- 102000030523 Catechol oxidase Human genes 0.000 description 1
- VEXZGXHMUGYJMC-UHFFFAOYSA-M Chloride anion Chemical compound [Cl-] VEXZGXHMUGYJMC-UHFFFAOYSA-M 0.000 description 1
- 108010035722 Chloride peroxidase Proteins 0.000 description 1
- FBPFZTCFMRRESA-FSIIMWSLSA-N D-Glucitol Natural products OC[C@H](O)[C@H](O)[C@@H](O)[C@H](O)CO FBPFZTCFMRRESA-FSIIMWSLSA-N 0.000 description 1
- FBPFZTCFMRRESA-KVTDHHQDSA-N D-Mannitol Chemical compound OC[C@@H](O)[C@@H](O)[C@H](O)[C@H](O)CO FBPFZTCFMRRESA-KVTDHHQDSA-N 0.000 description 1
- FBPFZTCFMRRESA-JGWLITMVSA-N D-glucitol Chemical compound OC[C@H](O)[C@@H](O)[C@H](O)[C@H](O)CO FBPFZTCFMRRESA-JGWLITMVSA-N 0.000 description 1
- RGHNJXZEOKUKBD-UHFFFAOYSA-N D-gluconic acid Natural products OCC(O)C(O)C(O)C(O)C(O)=O RGHNJXZEOKUKBD-UHFFFAOYSA-N 0.000 description 1
- 239000004375 Dextrin Substances 0.000 description 1
- 229920001353 Dextrin Polymers 0.000 description 1
- FEWJPZIEWOKRBE-JCYAYHJZSA-N Dextrotartaric acid Chemical compound OC(=O)[C@H](O)[C@@H](O)C(O)=O FEWJPZIEWOKRBE-JCYAYHJZSA-N 0.000 description 1
- RUPBZQFQVRMKDG-UHFFFAOYSA-M Didecyldimethylammonium chloride Chemical compound [Cl-].CCCCCCCCCC[N+](C)(C)CCCCCCCCCC RUPBZQFQVRMKDG-UHFFFAOYSA-M 0.000 description 1
- 102000016680 Dioxygenases Human genes 0.000 description 1
- 108010028143 Dioxygenases Proteins 0.000 description 1
- 239000012988 Dithioester Substances 0.000 description 1
- KCXVZYZYPLLWCC-UHFFFAOYSA-N EDTA Chemical compound OC(=O)CN(CC(O)=O)CCN(CC(O)=O)CC(O)=O KCXVZYZYPLLWCC-UHFFFAOYSA-N 0.000 description 1
- 101710121765 Endo-1,4-beta-xylanase Proteins 0.000 description 1
- 108010067770 Endopeptidase K Proteins 0.000 description 1
- 241000588722 Escherichia Species 0.000 description 1
- DBVJJBKOTRCVKF-UHFFFAOYSA-N Etidronic acid Chemical compound OP(=O)(O)C(O)(C)P(O)(O)=O DBVJJBKOTRCVKF-UHFFFAOYSA-N 0.000 description 1
- KRHYYFGTRYWZRS-UHFFFAOYSA-N Fluorane Chemical class F KRHYYFGTRYWZRS-UHFFFAOYSA-N 0.000 description 1
- 241000233866 Fungi Species 0.000 description 1
- 241000223218 Fusarium Species 0.000 description 1
- 241000427940 Fusarium solani Species 0.000 description 1
- 102220644676 Galectin-related protein_D96L_mutation Human genes 0.000 description 1
- 101001090860 Homo sapiens Myeloblastin Proteins 0.000 description 1
- 241000223198 Humicola Species 0.000 description 1
- 238000003109 Karl Fischer titration Methods 0.000 description 1
- 108010029541 Laccase Proteins 0.000 description 1
- 108010054320 Lignin peroxidase Proteins 0.000 description 1
- 101710098554 Lipase B Proteins 0.000 description 1
- 108010048733 Lipozyme Proteins 0.000 description 1
- WHXSMMKQMYFTQS-UHFFFAOYSA-N Lithium Chemical compound [Li] WHXSMMKQMYFTQS-UHFFFAOYSA-N 0.000 description 1
- 241000193386 Lysinibacillus sphaericus Species 0.000 description 1
- 108010059896 Manganese peroxidase Proteins 0.000 description 1
- 229930195725 Mannitol Natural products 0.000 description 1
- 241000183011 Melanocarpus Species 0.000 description 1
- 102100034681 Myeloblastin Human genes 0.000 description 1
- LRHPLDYGYMQRHN-UHFFFAOYSA-N N-Butanol Chemical class CCCCO LRHPLDYGYMQRHN-UHFFFAOYSA-N 0.000 description 1
- 229910000503 Na-aluminosilicate Inorganic materials 0.000 description 1
- GRYLNZFGIOXLOG-UHFFFAOYSA-N Nitric acid Chemical compound O[N+]([O-])=O GRYLNZFGIOXLOG-UHFFFAOYSA-N 0.000 description 1
- BPQQTUXANYXVAA-UHFFFAOYSA-N Orthosilicate Chemical compound [O-][Si]([O-])([O-])[O-] BPQQTUXANYXVAA-UHFFFAOYSA-N 0.000 description 1
- 102000004020 Oxygenases Human genes 0.000 description 1
- 108090000417 Oxygenases Proteins 0.000 description 1
- 108700020962 Peroxidase Proteins 0.000 description 1
- 102000003992 Peroxidases Human genes 0.000 description 1
- 229920000805 Polyaspartic acid Polymers 0.000 description 1
- 229920000388 Polyphosphate Polymers 0.000 description 1
- ZLMJMSJWJFRBEC-UHFFFAOYSA-N Potassium Chemical compound [K] ZLMJMSJWJFRBEC-UHFFFAOYSA-N 0.000 description 1
- WUGQZFFCHPXWKQ-UHFFFAOYSA-N Propanolamine Chemical compound NCCCO WUGQZFFCHPXWKQ-UHFFFAOYSA-N 0.000 description 1
- 241000589516 Pseudomonas Species 0.000 description 1
- 241000589755 Pseudomonas mendocina Species 0.000 description 1
- 101000968491 Pseudomonas sp. (strain 109) Triacylglycerol lipase Proteins 0.000 description 1
- 241001292348 Salipaludibacillus agaradhaerens Species 0.000 description 1
- 108010022999 Serine Proteases Proteins 0.000 description 1
- 102000012479 Serine Proteases Human genes 0.000 description 1
- CDBYLPFSWZWCQE-UHFFFAOYSA-L Sodium Carbonate Chemical compound [Na+].[Na+].[O-]C([O-])=O CDBYLPFSWZWCQE-UHFFFAOYSA-L 0.000 description 1
- 235000021355 Stearic acid Nutrition 0.000 description 1
- 241000122973 Stenotrophomonas maltophilia Species 0.000 description 1
- 241001045436 Stenotrophomonas maltophilia K279a Species 0.000 description 1
- 241000187747 Streptomyces Species 0.000 description 1
- 101710135785 Subtilisin-like protease Proteins 0.000 description 1
- FEWJPZIEWOKRBE-UHFFFAOYSA-N Tartaric acid Natural products [H+].[H+].[O-]C(=O)C(O)C(O)C([O-])=O FEWJPZIEWOKRBE-UHFFFAOYSA-N 0.000 description 1
- GSEJCLTVZPLZKY-UHFFFAOYSA-N Triethanolamine Chemical compound OCCN(CCO)CCO GSEJCLTVZPLZKY-UHFFFAOYSA-N 0.000 description 1
- 102000003425 Tyrosinase Human genes 0.000 description 1
- 108060008724 Tyrosinase Proteins 0.000 description 1
- QYKIQEUNHZKYBP-UHFFFAOYSA-N Vinyl ether Chemical class C=COC=C QYKIQEUNHZKYBP-UHFFFAOYSA-N 0.000 description 1
- YDONNITUKPKTIG-UHFFFAOYSA-N [Nitrilotris(methylene)]trisphosphonic acid Chemical compound OP(O)(=O)CN(CP(O)(O)=O)CP(O)(O)=O YDONNITUKPKTIG-UHFFFAOYSA-N 0.000 description 1
- 239000006096 absorbing agent Substances 0.000 description 1
- 238000010521 absorption reaction Methods 0.000 description 1
- 230000002378 acidificating effect Effects 0.000 description 1
- 150000001252 acrylic acid derivatives Chemical class 0.000 description 1
- 125000005396 acrylic acid ester group Chemical group 0.000 description 1
- 150000001253 acrylic acids Chemical class 0.000 description 1
- 239000004480 active ingredient Substances 0.000 description 1
- 238000012644 addition polymerization Methods 0.000 description 1
- 239000001361 adipic acid Substances 0.000 description 1
- 235000011037 adipic acid Nutrition 0.000 description 1
- 230000002411 adverse Effects 0.000 description 1
- 150000001298 alcohols Chemical class 0.000 description 1
- 229910001491 alkali aluminosilicate Inorganic materials 0.000 description 1
- 229910001854 alkali hydroxide Inorganic materials 0.000 description 1
- 150000008044 alkali metal hydroxides Chemical class 0.000 description 1
- 229910000272 alkali metal oxide Inorganic materials 0.000 description 1
- 150000001340 alkali metals Chemical class 0.000 description 1
- 229910001860 alkaline earth metal hydroxide Inorganic materials 0.000 description 1
- 150000004996 alkyl benzenes Chemical group 0.000 description 1
- 150000008051 alkyl sulfates Chemical class 0.000 description 1
- BJEPYKJPYRNKOW-UHFFFAOYSA-N alpha-hydroxysuccinic acid Natural products OC(=O)C(O)CC(O)=O BJEPYKJPYRNKOW-UHFFFAOYSA-N 0.000 description 1
- DCAYPVUWAIABOU-UHFFFAOYSA-N alpha-n-hexadecene Natural products CCCCCCCCCCCCCCCC DCAYPVUWAIABOU-UHFFFAOYSA-N 0.000 description 1
- 150000001413 amino acids Chemical class 0.000 description 1
- 229910021529 ammonia Inorganic materials 0.000 description 1
- 229940025131 amylases Drugs 0.000 description 1
- 230000003625 amylolytic effect Effects 0.000 description 1
- 125000000129 anionic group Chemical group 0.000 description 1
- 150000001450 anions Chemical class 0.000 description 1
- 125000002178 anthracenyl group Chemical group C1(=CC=CC2=CC3=CC=CC=C3C=C12)* 0.000 description 1
- 239000004599 antimicrobial Substances 0.000 description 1
- 239000003963 antioxidant agent Substances 0.000 description 1
- 229940027983 antiseptic and disinfectant quaternary ammonium compound Drugs 0.000 description 1
- 239000007864 aqueous solution Substances 0.000 description 1
- GLGAUBPACOBAMV-DOFZRALJSA-N arachidonylcyclopropylamide Chemical compound CCCCC\C=C/C\C=C/C\C=C/C\C=C/CCCC(=O)NC1CC1 GLGAUBPACOBAMV-DOFZRALJSA-N 0.000 description 1
- 125000001204 arachidyl group Chemical group [H]C([*])([H])C([H])([H])C([H])([H])C([H])([H])C([H])([H])C([H])([H])C([H])([H])C([H])([H])C([H])([H])C([H])([H])C([H])([H])C([H])([H])C([H])([H])C([H])([H])C([H])([H])C([H])([H])C([H])([H])C([H])([H])C([H])([H])C([H])([H])[H] 0.000 description 1
- VUEDNLCYHKSELL-UHFFFAOYSA-N arsonium Chemical group [AsH4+] VUEDNLCYHKSELL-UHFFFAOYSA-N 0.000 description 1
- 239000002585 base Substances 0.000 description 1
- WQZGKKKJIJFFOK-VFUOTHLCSA-N beta-D-glucose Chemical compound OC[C@H]1O[C@@H](O)[C@H](O)[C@@H](O)[C@@H]1O WQZGKKKJIJFFOK-VFUOTHLCSA-N 0.000 description 1
- 108010047754 beta-Glucosidase Proteins 0.000 description 1
- 102000006995 beta-Glucosidase Human genes 0.000 description 1
- 230000008033 biological extinction Effects 0.000 description 1
- 238000011138 biotechnological process Methods 0.000 description 1
- OHJMTUPIZMNBFR-UHFFFAOYSA-N biuret Chemical compound NC(=O)NC(N)=O OHJMTUPIZMNBFR-UHFFFAOYSA-N 0.000 description 1
- 238000004061 bleaching Methods 0.000 description 1
- 150000001649 bromium compounds Chemical class 0.000 description 1
- 239000006172 buffering agent Substances 0.000 description 1
- CDQSJQSWAWPGKG-UHFFFAOYSA-N butane-1,1-diol Chemical compound CCCC(O)O CDQSJQSWAWPGKG-UHFFFAOYSA-N 0.000 description 1
- KDYFGRWQOYBRFD-NUQCWPJISA-N butanedioic acid Chemical compound O[14C](=O)CC[14C](O)=O KDYFGRWQOYBRFD-NUQCWPJISA-N 0.000 description 1
- OCKPCBLVNKHBMX-UHFFFAOYSA-N butylbenzene Chemical group CCCCC1=CC=CC=C1 OCKPCBLVNKHBMX-UHFFFAOYSA-N 0.000 description 1
- 150000001735 carboxylic acids Chemical class 0.000 description 1
- 230000003197 catalytic effect Effects 0.000 description 1
- 125000002091 cationic group Chemical group 0.000 description 1
- 239000000919 ceramic Substances 0.000 description 1
- 159000000006 cesium salts Chemical class 0.000 description 1
- 150000001860 citric acid derivatives Chemical class 0.000 description 1
- 239000008139 complexing agent Substances 0.000 description 1
- 239000012141 concentrate Substances 0.000 description 1
- 239000011258 core-shell material Substances 0.000 description 1
- 238000004132 cross linking Methods 0.000 description 1
- 239000003431 cross linking reagent Substances 0.000 description 1
- FYACMHCOSCVNHO-UHFFFAOYSA-N cyanomethyl n-methyl-n-phenylcarbamodithioate Chemical compound N#CCSC(=S)N(C)C1=CC=CC=C1 FYACMHCOSCVNHO-UHFFFAOYSA-N 0.000 description 1
- UZILCZKGXMQEQR-UHFFFAOYSA-N decyl-Benzene Chemical group CCCCCCCCCCC1=CC=CC=C1 UZILCZKGXMQEQR-UHFFFAOYSA-N 0.000 description 1
- 239000013530 defoamer Substances 0.000 description 1
- 235000019425 dextrin Nutrition 0.000 description 1
- 229960004670 didecyldimethylammonium chloride Drugs 0.000 description 1
- XXJWXESWEXIICW-UHFFFAOYSA-N diethylene glycol monoethyl ether Chemical compound CCOCCOCCO XXJWXESWEXIICW-UHFFFAOYSA-N 0.000 description 1
- 229940079919 digestives enzyme preparation Drugs 0.000 description 1
- 238000007865 diluting Methods 0.000 description 1
- 239000012895 dilution Substances 0.000 description 1
- 238000010790 dilution Methods 0.000 description 1
- SZXQTJUDPRGNJN-UHFFFAOYSA-N dipropylene glycol Chemical compound OCCCOCCCO SZXQTJUDPRGNJN-UHFFFAOYSA-N 0.000 description 1
- 239000012153 distilled water Substances 0.000 description 1
- 239000012990 dithiocarbamate Substances 0.000 description 1
- 150000004659 dithiocarbamates Chemical class 0.000 description 1
- 125000005022 dithioester group Chemical group 0.000 description 1
- KWKXNDCHNDYVRT-UHFFFAOYSA-N dodecylbenzene Chemical group CCCCCCCCCCCCC1=CC=CC=C1 KWKXNDCHNDYVRT-UHFFFAOYSA-N 0.000 description 1
- SYELZBGXAIXKHU-UHFFFAOYSA-N dodecyldimethylamine N-oxide Chemical compound CCCCCCCCCCCC[N+](C)(C)[O-] SYELZBGXAIXKHU-UHFFFAOYSA-N 0.000 description 1
- 239000002552 dosage form Substances 0.000 description 1
- 239000000428 dust Substances 0.000 description 1
- NFDRPXJGHKJRLJ-UHFFFAOYSA-N edtmp Chemical compound OP(O)(=O)CN(CP(O)(O)=O)CCN(CP(O)(O)=O)CP(O)(O)=O NFDRPXJGHKJRLJ-UHFFFAOYSA-N 0.000 description 1
- 239000003480 eluent Substances 0.000 description 1
- 239000003995 emulsifying agent Substances 0.000 description 1
- 239000003623 enhancer Substances 0.000 description 1
- 150000002148 esters Chemical class 0.000 description 1
- 150000002169 ethanolamines Chemical class 0.000 description 1
- 150000002170 ethers Chemical class 0.000 description 1
- 230000003203 everyday effect Effects 0.000 description 1
- 239000002979 fabric softener Substances 0.000 description 1
- 238000000855 fermentation Methods 0.000 description 1
- 230000004151 fermentation Effects 0.000 description 1
- 239000000835 fiber Substances 0.000 description 1
- 239000000945 filler Substances 0.000 description 1
- 230000009969 flowable effect Effects 0.000 description 1
- 150000002222 fluorine compounds Chemical class 0.000 description 1
- 239000011888 foil Substances 0.000 description 1
- 238000004108 freeze drying Methods 0.000 description 1
- 230000002538 fungal effect Effects 0.000 description 1
- 230000004927 fusion Effects 0.000 description 1
- 108010061330 glucan 1,4-alpha-maltohydrolase Proteins 0.000 description 1
- 239000000174 gluconic acid Substances 0.000 description 1
- 235000012208 gluconic acid Nutrition 0.000 description 1
- 108010046301 glucose peroxidase Proteins 0.000 description 1
- 150000002338 glycosides Chemical class 0.000 description 1
- 125000005843 halogen group Chemical group 0.000 description 1
- 108010002430 hemicellulase Proteins 0.000 description 1
- 229940059442 hemicellulase Drugs 0.000 description 1
- PMYUVOOOQDGQNW-UHFFFAOYSA-N hexasodium;trioxido(trioxidosilyloxy)silane Chemical class [Na+].[Na+].[Na+].[Na+].[Na+].[Na+].[O-][Si]([O-])([O-])O[Si]([O-])([O-])[O-] PMYUVOOOQDGQNW-UHFFFAOYSA-N 0.000 description 1
- 229940051250 hexylene glycol Drugs 0.000 description 1
- 150000002430 hydrocarbons Chemical group 0.000 description 1
- XMBWDFGMSWQBCA-UHFFFAOYSA-N hydrogen iodide Chemical class I XMBWDFGMSWQBCA-UHFFFAOYSA-N 0.000 description 1
- 230000003301 hydrolyzing effect Effects 0.000 description 1
- 150000002440 hydroxy compounds Chemical class 0.000 description 1
- 238000011065 in-situ storage Methods 0.000 description 1
- 229910052500 inorganic mineral Inorganic materials 0.000 description 1
- 150000004694 iodide salts Chemical class 0.000 description 1
- MGFYSGNNHQQTJW-UHFFFAOYSA-N iodonium Chemical compound [IH2+] MGFYSGNNHQQTJW-UHFFFAOYSA-N 0.000 description 1
- 230000005865 ionizing radiation Effects 0.000 description 1
- 239000013038 irreversible inhibitor Substances 0.000 description 1
- 239000004310 lactic acid Substances 0.000 description 1
- 235000014655 lactic acid Nutrition 0.000 description 1
- 239000010985 leather Substances 0.000 description 1
- 229920005610 lignin Polymers 0.000 description 1
- FCCDDURTIIUXBY-UHFFFAOYSA-N lipoamide Chemical compound NC(=O)CCCCC1CCSS1 FCCDDURTIIUXBY-UHFFFAOYSA-N 0.000 description 1
- 239000008297 liquid dosage form Substances 0.000 description 1
- 239000012669 liquid formulation Substances 0.000 description 1
- 229910052744 lithium Inorganic materials 0.000 description 1
- 150000002689 maleic acids Chemical class 0.000 description 1
- 239000001630 malic acid Substances 0.000 description 1
- 235000011090 malic acid Nutrition 0.000 description 1
- 239000000594 mannitol Substances 0.000 description 1
- 235000010355 mannitol Nutrition 0.000 description 1
- 238000004519 manufacturing process Methods 0.000 description 1
- 238000005259 measurement Methods 0.000 description 1
- 230000007246 mechanism Effects 0.000 description 1
- 239000012528 membrane Substances 0.000 description 1
- 108010003855 mesentericopeptidase Proteins 0.000 description 1
- 150000002734 metacrylic acid derivatives Chemical class 0.000 description 1
- 229910052751 metal Inorganic materials 0.000 description 1
- 239000002184 metal Substances 0.000 description 1
- 125000005397 methacrylic acid ester group Chemical group 0.000 description 1
- 125000005395 methacrylic acid group Chemical class 0.000 description 1
- 150000004702 methyl esters Chemical class 0.000 description 1
- XJRBAMWJDBPFIM-UHFFFAOYSA-N methyl vinyl ether Chemical class COC=C XJRBAMWJDBPFIM-UHFFFAOYSA-N 0.000 description 1
- 229940100573 methylpropanediol Drugs 0.000 description 1
- 108010020132 microbial serine proteinases Proteins 0.000 description 1
- 239000011707 mineral Substances 0.000 description 1
- 235000010755 mineral Nutrition 0.000 description 1
- 238000002156 mixing Methods 0.000 description 1
- 230000004048 modification Effects 0.000 description 1
- 238000012986 modification Methods 0.000 description 1
- 125000002950 monocyclic group Chemical group 0.000 description 1
- 230000035772 mutation Effects 0.000 description 1
- IBOBFGGLRNWLIL-UHFFFAOYSA-N n,n-dimethylhexadecan-1-amine oxide Chemical compound CCCCCCCCCCCCCCCC[N+](C)(C)[O-] IBOBFGGLRNWLIL-UHFFFAOYSA-N 0.000 description 1
- 125000004923 naphthylmethyl group Chemical group C1(=CC=CC2=CC=CC=C12)C* 0.000 description 1
- 229920005615 natural polymer Polymers 0.000 description 1
- 230000007935 neutral effect Effects 0.000 description 1
- 229910017604 nitric acid Inorganic materials 0.000 description 1
- MGFYIUFZLHCRTH-UHFFFAOYSA-N nitrilotriacetic acid Chemical compound OC(=O)CN(CC(O)=O)CC(O)=O MGFYIUFZLHCRTH-UHFFFAOYSA-N 0.000 description 1
- 229910052757 nitrogen Inorganic materials 0.000 description 1
- 125000001400 nonyl group Chemical group [H]C([*])([H])C([H])([H])C([H])([H])C([H])([H])C([H])([H])C([H])([H])C([H])([H])C([H])([H])C([H])([H])[H] 0.000 description 1
- LIXVMPBOGDCSRM-UHFFFAOYSA-N nonylbenzene Chemical group CCCCCCCCCC1=CC=CC=C1 LIXVMPBOGDCSRM-UHFFFAOYSA-N 0.000 description 1
- QIQXTHQIDYTFRH-UHFFFAOYSA-N octadecanoic acid Chemical compound CCCCCCCCCCCCCCCCCC(O)=O QIQXTHQIDYTFRH-UHFFFAOYSA-N 0.000 description 1
- OQCDKBAXFALNLD-UHFFFAOYSA-N octadecanoic acid Natural products CCCCCCCC(C)CCCCCCCCC(O)=O OQCDKBAXFALNLD-UHFFFAOYSA-N 0.000 description 1
- 150000007524 organic acids Chemical class 0.000 description 1
- 235000005985 organic acids Nutrition 0.000 description 1
- 150000001451 organic peroxides Chemical class 0.000 description 1
- 239000003960 organic solvent Substances 0.000 description 1
- 230000001590 oxidative effect Effects 0.000 description 1
- TWNQGVIAIRXVLR-UHFFFAOYSA-N oxo(oxoalumanyloxy)alumane Chemical compound O=[Al]O[Al]=O TWNQGVIAIRXVLR-UHFFFAOYSA-N 0.000 description 1
- 230000036961 partial effect Effects 0.000 description 1
- HWGNBUXHKFFFIH-UHFFFAOYSA-I pentasodium;[oxido(phosphonatooxy)phosphoryl] phosphate Chemical compound [Na+].[Na+].[Na+].[Na+].[Na+].[O-]P([O-])(=O)OP([O-])(=O)OP([O-])([O-])=O HWGNBUXHKFFFIH-UHFFFAOYSA-I 0.000 description 1
- 150000004965 peroxy acids Chemical class 0.000 description 1
- UEZVMMHDMIWARA-UHFFFAOYSA-M phosphonate Chemical compound [O-]P(=O)=O UEZVMMHDMIWARA-UHFFFAOYSA-M 0.000 description 1
- XYFCBTPGUUZFHI-UHFFFAOYSA-O phosphonium Chemical compound [PH4+] XYFCBTPGUUZFHI-UHFFFAOYSA-O 0.000 description 1
- 238000006303 photolysis reaction Methods 0.000 description 1
- 230000015843 photosynthesis, light reaction Effects 0.000 description 1
- 239000000049 pigment Substances 0.000 description 1
- 229920003023 plastic Polymers 0.000 description 1
- 239000004033 plastic Substances 0.000 description 1
- 239000004014 plasticizer Substances 0.000 description 1
- 229920001467 poly(styrenesulfonates) Polymers 0.000 description 1
- 229920002401 polyacrylamide Polymers 0.000 description 1
- 108010064470 polyaspartate Proteins 0.000 description 1
- 229920000728 polyester Polymers 0.000 description 1
- 229920000570 polyether Polymers 0.000 description 1
- 239000004626 polylactic acid Substances 0.000 description 1
- 229920002959 polymer blend Polymers 0.000 description 1
- 239000003505 polymerization initiator Substances 0.000 description 1
- 239000001205 polyphosphate Substances 0.000 description 1
- 235000011176 polyphosphates Nutrition 0.000 description 1
- 239000011970 polystyrene sulfonate Substances 0.000 description 1
- 229920002635 polyurethane Polymers 0.000 description 1
- 239000004814 polyurethane Substances 0.000 description 1
- 229910052573 porcelain Inorganic materials 0.000 description 1
- 229910052700 potassium Inorganic materials 0.000 description 1
- 239000011591 potassium Substances 0.000 description 1
- 235000011082 potassium citrates Nutrition 0.000 description 1
- 159000000001 potassium salts Chemical class 0.000 description 1
- 239000002243 precursor Substances 0.000 description 1
- ULWHHBHJGPPBCO-UHFFFAOYSA-N propane-1,1-diol Chemical compound CCC(O)O ULWHHBHJGPPBCO-UHFFFAOYSA-N 0.000 description 1
- 238000003614 protease activity assay Methods 0.000 description 1
- 239000011241 protective layer Substances 0.000 description 1
- 150000003856 quaternary ammonium compounds Chemical class 0.000 description 1
- 239000002994 raw material Substances 0.000 description 1
- 238000006479 redox reaction Methods 0.000 description 1
- 230000009467 reduction Effects 0.000 description 1
- 230000002940 repellent Effects 0.000 description 1
- 239000005871 repellent Substances 0.000 description 1
- 238000005096 rolling process Methods 0.000 description 1
- 229910052701 rubidium Inorganic materials 0.000 description 1
- IGLNJRXAVVLDKE-UHFFFAOYSA-N rubidium atom Chemical compound [Rb] IGLNJRXAVVLDKE-UHFFFAOYSA-N 0.000 description 1
- 239000004576 sand Substances 0.000 description 1
- 238000009991 scouring Methods 0.000 description 1
- 125000002914 sec-butyl group Chemical group [H]C([H])([H])C([H])([H])C([H])(*)C([H])([H])[H] 0.000 description 1
- 238000000926 separation method Methods 0.000 description 1
- RYMZZMVNJRMUDD-HGQWONQESA-N simvastatin Chemical compound C([C@H]1[C@@H](C)C=CC2=C[C@H](C)C[C@@H]([C@H]12)OC(=O)C(C)(C)CC)C[C@@H]1C[C@@H](O)CC(=O)O1 RYMZZMVNJRMUDD-HGQWONQESA-N 0.000 description 1
- 235000012217 sodium aluminium silicate Nutrition 0.000 description 1
- 235000011083 sodium citrates Nutrition 0.000 description 1
- NTHWMYGWWRZVTN-UHFFFAOYSA-N sodium silicate Chemical compound [Na+].[Na+].[O-][Si]([O-])=O NTHWMYGWWRZVTN-UHFFFAOYSA-N 0.000 description 1
- 229910052911 sodium silicate Inorganic materials 0.000 description 1
- 235000019832 sodium triphosphate Nutrition 0.000 description 1
- RPACBEVZENYWOL-XFULWGLBSA-M sodium;(2r)-2-[6-(4-chlorophenoxy)hexyl]oxirane-2-carboxylate Chemical compound [Na+].C=1C=C(Cl)C=CC=1OCCCCCC[C@]1(C(=O)[O-])CO1 RPACBEVZENYWOL-XFULWGLBSA-M 0.000 description 1
- 239000002689 soil Substances 0.000 description 1
- 239000007909 solid dosage form Substances 0.000 description 1
- 239000000600 sorbitol Substances 0.000 description 1
- 235000010356 sorbitol Nutrition 0.000 description 1
- 238000002798 spectrophotometry method Methods 0.000 description 1
- 238000001694 spray drying Methods 0.000 description 1
- 230000003068 static effect Effects 0.000 description 1
- 239000008117 stearic acid Substances 0.000 description 1
- 239000004575 stone Substances 0.000 description 1
- 239000001384 succinic acid Substances 0.000 description 1
- 235000011044 succinic acid Nutrition 0.000 description 1
- 150000005846 sugar alcohols Polymers 0.000 description 1
- IIACRCGMVDHOTQ-UHFFFAOYSA-N sulfamic acid Chemical compound NS(O)(=O)=O IIACRCGMVDHOTQ-UHFFFAOYSA-N 0.000 description 1
- RWSOTUBLDIXVET-UHFFFAOYSA-O sulfonium Chemical compound [SH3+] RWSOTUBLDIXVET-UHFFFAOYSA-O 0.000 description 1
- 239000000725 suspension Substances 0.000 description 1
- 108010038851 tannase Proteins 0.000 description 1
- 239000011975 tartaric acid Substances 0.000 description 1
- 235000002906 tartaric acid Nutrition 0.000 description 1
- 125000000999 tert-butyl group Chemical group [H]C([H])([H])C(*)(C([H])([H])[H])C([H])([H])[H] 0.000 description 1
- 238000012360 testing method Methods 0.000 description 1
- 238000005979 thermal decomposition reaction Methods 0.000 description 1
- 108010031354 thermitase Proteins 0.000 description 1
- 230000001988 toxicity Effects 0.000 description 1
- 231100000419 toxicity Toxicity 0.000 description 1
- 238000012250 transgenic expression Methods 0.000 description 1
- MCVUKOYZUCWLQQ-UHFFFAOYSA-N tridecylbenzene Chemical group CCCCCCCCCCCCCC1=CC=CC=C1 MCVUKOYZUCWLQQ-UHFFFAOYSA-N 0.000 description 1
- JLGLQAWTXXGVEM-UHFFFAOYSA-N triethylene glycol monomethyl ether Chemical compound COCCOCCOCCO JLGLQAWTXXGVEM-UHFFFAOYSA-N 0.000 description 1
- 235000015870 tripotassium citrate Nutrition 0.000 description 1
- HRXKRNGNAMMEHJ-UHFFFAOYSA-K trisodium citrate Chemical compound [Na+].[Na+].[Na+].[O-]C(=O)CC(O)(CC([O-])=O)C([O-])=O HRXKRNGNAMMEHJ-UHFFFAOYSA-K 0.000 description 1
- 229940038773 trisodium citrate Drugs 0.000 description 1
- 239000012989 trithiocarbonate Substances 0.000 description 1
- XBEADGFTLHRJRB-QPXULEPBSA-N undecylbenzene Chemical group CCCCCCCCCCC[13C]1=[13CH][13CH]=[13CH][13CH]=[13CH]1 XBEADGFTLHRJRB-QPXULEPBSA-N 0.000 description 1
- 229920001567 vinyl ester resin Polymers 0.000 description 1
- 125000000391 vinyl group Chemical group [H]C([*])=C([H])[H] 0.000 description 1
- 238000009463 water soluble packaging Methods 0.000 description 1
- 239000002023 wood Substances 0.000 description 1
- 239000012991 xanthate Substances 0.000 description 1
- 108010083879 xyloglucan endo(1-4)-beta-D-glucanase Proteins 0.000 description 1
- 239000002888 zwitterionic surfactant Substances 0.000 description 1
Classifications
-
- C—CHEMISTRY; METALLURGY
- C11—ANIMAL OR VEGETABLE OILS, FATS, FATTY SUBSTANCES OR WAXES; FATTY ACIDS THEREFROM; DETERGENTS; CANDLES
- C11D—DETERGENT COMPOSITIONS; USE OF SINGLE SUBSTANCES AS DETERGENTS; SOAP OR SOAP-MAKING; RESIN SOAPS; RECOVERY OF GLYCEROL
- C11D3/00—Other compounding ingredients of detergent compositions covered in group C11D1/00
- C11D3/16—Organic compounds
- C11D3/38—Products with no well-defined composition, e.g. natural products
- C11D3/386—Preparations containing enzymes, e.g. protease or amylase
- C11D3/38663—Stabilised liquid enzyme compositions
-
- C—CHEMISTRY; METALLURGY
- C08—ORGANIC MACROMOLECULAR COMPOUNDS; THEIR PREPARATION OR CHEMICAL WORKING-UP; COMPOSITIONS BASED THEREON
- C08F—MACROMOLECULAR COMPOUNDS OBTAINED BY REACTIONS ONLY INVOLVING CARBON-TO-CARBON UNSATURATED BONDS
- C08F220/00—Copolymers of compounds having one or more unsaturated aliphatic radicals, each having only one carbon-to-carbon double bond, and only one being terminated by only one carboxyl radical or a salt, anhydride ester, amide, imide or nitrile thereof
- C08F220/02—Monocarboxylic acids having less than ten carbon atoms; Derivatives thereof
- C08F220/10—Esters
- C08F220/12—Esters of monohydric alcohols or phenols
- C08F220/14—Methyl esters, e.g. methyl (meth)acrylate
-
- C—CHEMISTRY; METALLURGY
- C08—ORGANIC MACROMOLECULAR COMPOUNDS; THEIR PREPARATION OR CHEMICAL WORKING-UP; COMPOSITIONS BASED THEREON
- C08F—MACROMOLECULAR COMPOUNDS OBTAINED BY REACTIONS ONLY INVOLVING CARBON-TO-CARBON UNSATURATED BONDS
- C08F220/00—Copolymers of compounds having one or more unsaturated aliphatic radicals, each having only one carbon-to-carbon double bond, and only one being terminated by only one carboxyl radical or a salt, anhydride ester, amide, imide or nitrile thereof
- C08F220/02—Monocarboxylic acids having less than ten carbon atoms; Derivatives thereof
- C08F220/10—Esters
- C08F220/12—Esters of monohydric alcohols or phenols
- C08F220/16—Esters of monohydric alcohols or phenols of phenols or of alcohols containing two or more carbon atoms
- C08F220/18—Esters of monohydric alcohols or phenols of phenols or of alcohols containing two or more carbon atoms with acrylic or methacrylic acids
- C08F220/1808—C8-(meth)acrylate, e.g. isooctyl (meth)acrylate or 2-ethylhexyl (meth)acrylate
-
- C—CHEMISTRY; METALLURGY
- C08—ORGANIC MACROMOLECULAR COMPOUNDS; THEIR PREPARATION OR CHEMICAL WORKING-UP; COMPOSITIONS BASED THEREON
- C08F—MACROMOLECULAR COMPOUNDS OBTAINED BY REACTIONS ONLY INVOLVING CARBON-TO-CARBON UNSATURATED BONDS
- C08F220/00—Copolymers of compounds having one or more unsaturated aliphatic radicals, each having only one carbon-to-carbon double bond, and only one being terminated by only one carboxyl radical or a salt, anhydride ester, amide, imide or nitrile thereof
- C08F220/02—Monocarboxylic acids having less than ten carbon atoms; Derivatives thereof
- C08F220/10—Esters
- C08F220/26—Esters containing oxygen in addition to the carboxy oxygen
- C08F220/28—Esters containing oxygen in addition to the carboxy oxygen containing no aromatic rings in the alcohol moiety
- C08F220/285—Esters containing oxygen in addition to the carboxy oxygen containing no aromatic rings in the alcohol moiety and containing a polyether chain in the alcohol moiety
- C08F220/286—Esters containing oxygen in addition to the carboxy oxygen containing no aromatic rings in the alcohol moiety and containing a polyether chain in the alcohol moiety and containing polyethylene oxide in the alcohol moiety, e.g. methoxy polyethylene glycol (meth)acrylate
-
- C—CHEMISTRY; METALLURGY
- C11—ANIMAL OR VEGETABLE OILS, FATS, FATTY SUBSTANCES OR WAXES; FATTY ACIDS THEREFROM; DETERGENTS; CANDLES
- C11D—DETERGENT COMPOSITIONS; USE OF SINGLE SUBSTANCES AS DETERGENTS; SOAP OR SOAP-MAKING; RESIN SOAPS; RECOVERY OF GLYCEROL
- C11D3/00—Other compounding ingredients of detergent compositions covered in group C11D1/00
- C11D3/16—Organic compounds
- C11D3/37—Polymers
- C11D3/3746—Macromolecular compounds obtained by reactions only involving carbon-to-carbon unsaturated bonds
- C11D3/3769—(Co)polymerised monomers containing nitrogen, e.g. carbonamides, nitriles or amines
-
- C—CHEMISTRY; METALLURGY
- C11—ANIMAL OR VEGETABLE OILS, FATS, FATTY SUBSTANCES OR WAXES; FATTY ACIDS THEREFROM; DETERGENTS; CANDLES
- C11D—DETERGENT COMPOSITIONS; USE OF SINGLE SUBSTANCES AS DETERGENTS; SOAP OR SOAP-MAKING; RESIN SOAPS; RECOVERY OF GLYCEROL
- C11D3/00—Other compounding ingredients of detergent compositions covered in group C11D1/00
- C11D3/16—Organic compounds
- C11D3/37—Polymers
- C11D3/3746—Macromolecular compounds obtained by reactions only involving carbon-to-carbon unsaturated bonds
- C11D3/378—(Co)polymerised monomers containing sulfur, e.g. sulfonate
Landscapes
- Chemical & Material Sciences (AREA)
- Chemical Kinetics & Catalysis (AREA)
- Organic Chemistry (AREA)
- Health & Medical Sciences (AREA)
- Medicinal Chemistry (AREA)
- Polymers & Plastics (AREA)
- Life Sciences & Earth Sciences (AREA)
- Engineering & Computer Science (AREA)
- Oil, Petroleum & Natural Gas (AREA)
- Wood Science & Technology (AREA)
- Detergent Compositions (AREA)
Abstract
Die vorliegende Erfindung betrifft Polymerzusammensetzungen umfassend mindestens ein aus den Monomeren (I), (II), (III) und (IV) sowie wahlweise Monomer (V) hergestelltes Copolymer, die Verwendung entsprechender Polymerzusammensetzungen als Enzymstabilisatoren in enzymhaltigen Formulierungen und Mitteln, enzymhaltige Formulierungen sowie Wasch- oder Reinigungsmittel umfassend mindestens eine solche Polymerzusammensetzung, sowie die Verwendung eines solchen Mittels zum Waschen von Textilien oder maschinellen Reinigen von Geschirr und ein Verfahren zum Waschen von Textilien oder maschinellen Geschirrspülen unter Verwendung eines solchen Mittels.The present invention relates to polymer compositions comprising at least one copolymer produced from monomers (I), (II), (III) and (IV) and optionally monomer (V), the use of corresponding polymer compositions as enzyme stabilizers in enzyme-containing formulations and agents, enzyme-containing formulations and Washing or cleaning agents comprising at least one such polymer composition, as well as the use of such an agent for washing textiles or machine cleaning of dishes and a method for washing textiles or machine dishwashing using such an agent.
Description
Die vorliegende Erfindung betrifft Polymerzusammensetzungen umfassend mindestens ein aus den Monomeren (I), (II), (III) und (IV) sowie wahlweise Monomer (V) hergestelltes Copolymer, die Verwendung entsprechender Polymerzusammensetzungen als Enzymstabilisatoren in enzymhaltigen Formulierungen und Mitteln, enzymhaltige Formulierungen sowie Wasch- oder Reinigungsmittel umfassend mindestens eine solche Polymerzusammensetzung, sowie die Verwendung eines solchen Mittels zum Waschen von Textilien oder maschinellen Reinigen von Geschirr und ein Verfahren zum Waschen von Textilien oder maschinellen Geschirrspülen unter Verwendung eines solchen Mittels.The present invention relates to polymer compositions comprising at least one copolymer produced from monomers (I), (II), (III) and (IV) and optionally monomer (V), the use of corresponding polymer compositions as enzyme stabilizers in enzyme-containing formulations and agents, enzyme-containing formulations and Washing or cleaning agents comprising at least one such polymer composition, as well as the use of such an agent for washing textiles or machine cleaning of dishes and a method for washing textiles or machine dishwashing using such an agent.
Enzyme sind wichtige Bestandteile moderner Wasch- und Reinigungsmitte, die signifikant zur Gesamtleistung der Produkte beitragen und insbesondere besondere Leistungsverbesserungen auf ausgewählten Flecken und Anschmutzungen bewirken. Allerdings verlieren Enzyme im Laufe ihrer Lagerung in Wasch- und Reinigungsmitteln allmählich an Aktivität, so dass die auf ihnen beruhende Leistungsverbesserung im Laufe der Zeit abnimmt.Enzymes are important components of modern washing and cleaning agents that contribute significantly to the overall performance of the products and, in particular, bring about particular performance improvements on selected stains and soiling. However, in the course of their storage in detergents and cleaning agents, enzymes gradually lose their activity, so that the improvement in performance based on them diminishes over time.
Um diesem Effekt entgegenzuwirken, werden enzymhaltigen Wasch- und Reinigungsmitteln üblicherweise sogenannte Enzymstabilisatoren zugesetzt. Geläufige Enzymstabilisatoren unterscheiden sich anhand ihrer Wirkungsweise. Bekannt ist beispielsweise der Einsatz von Glutaraldehyd. Aufgrund der Giftigkeit des Stabilisators, der Instabilität der Vernetzung in sauren Medien sowie darüber hinaus aufgrund des relativ aufwendigen Formulierungsverfahrens ist ein entsprechender Einsatz von Glutaraldehyd allerdings generell nachteilbehaftet. Geläufig ist weiterhin die Verwendung supramolekularer sowie niedermolekularer Stabilisierungsadditive, deren Wirkungsweise auf der Erhöhung der Oberflächenspannung des Proteins im Lösemittel beruht, wodurch die Denaturierung thermodynamisch weniger begünstigt wird. Allerdings sind hohe Einsatzmengen nötig und der Einsatz in organischen Lösemitteln ist aufgrund der bereits veränderten Oberflächenspannungen nur bedingt möglich. Ein weiteres Wirkprinzip der Enzymstabilisierung beruht auf der Ausbildung kovalenter Bindungen zwischen bestimmten Polymeren und Enzym. Nachteilig an diesem Verfahren ist zum einen eine allgemeine Verringerung der enzymatischen Aktivität aufgrund der sterischen Abschirmung durch die Polymere, zum anderen die Verursachung signifikanter Kosten, da die kovalente Modifikation einen zusätzlichen Syntheseschritt darstellt, der darüber hinaus für jeden Enzymtyp neu optimiert und durchgeführt werden muss.In order to counteract this effect, so-called enzyme stabilizers are usually added to enzyme-containing detergents and cleaning agents. Common enzyme stabilizers differ in their mode of action. The use of glutaraldehyde, for example, is known. However, due to the toxicity of the stabilizer, the instability of the crosslinking in acidic media and also due to the relatively complex formulation process, a corresponding use of glutaraldehyde is generally disadvantageous. The use of supramolecular and low molecular weight stabilizing additives, whose mode of action is based on increasing the surface tension of the protein in the solvent, so that denaturation is less favored thermodynamically, is also common. However, large amounts are required and use in organic solvents is only possible to a limited extent due to the already changed surface tensions. Another active principle of enzyme stabilization is based on the formation of covalent bonds between certain polymers and the enzyme. The disadvantage of this process is, on the one hand, a general reduction in enzymatic activity due to the steric shielding by the polymers, and, on the other hand, it causes significant costs, since the covalent modification represents an additional synthesis step that has to be re-optimized and carried out for each enzyme type.
Es besteht folglich weiterhin Bedarf an Enzymstabilisatoren für Wasch- und Reinigungsmittel, welche die vorgenannten Nachteile im Stand der Technik bekannter Enzymstabilisatoren zu überwinden vermögen.There is consequently still a need for enzyme stabilizers for detergents and cleaning agents which are able to overcome the aforementioned disadvantages of enzyme stabilizers known in the prior art.
Überraschenderweise wurde gefunden, dass spezielle Copolymere aus Acrylaten und/oder Methacrylaten in der Lage sind, Enzyme in Wasch- und Reinigungsmittelformulierungen gegen Denaturierung zu stabilisieren und so die Enzymaktivität über einen längeren Zeitraum hinweg zu bewahren. Entsprechende Copolymere sind insofern im Stand der Technik bekannten Enzymstabilisatoren überlegen, als dass sie weder kovalent an die zu stabilisierenden Enzyme gebunden werden müssen, noch die Enzymaktivität negativ beeinflussen.Surprisingly, it has been found that special copolymers made from acrylates and / or methacrylates are able to stabilize enzymes in detergent and cleaning agent formulations against denaturation and thus to preserve the enzyme activity over a longer period of time. Corresponding copolymers are superior to enzyme stabilizers known in the prior art insofar as they neither have to be covalently bound to the enzymes to be stabilized nor adversely affect the enzyme activity.
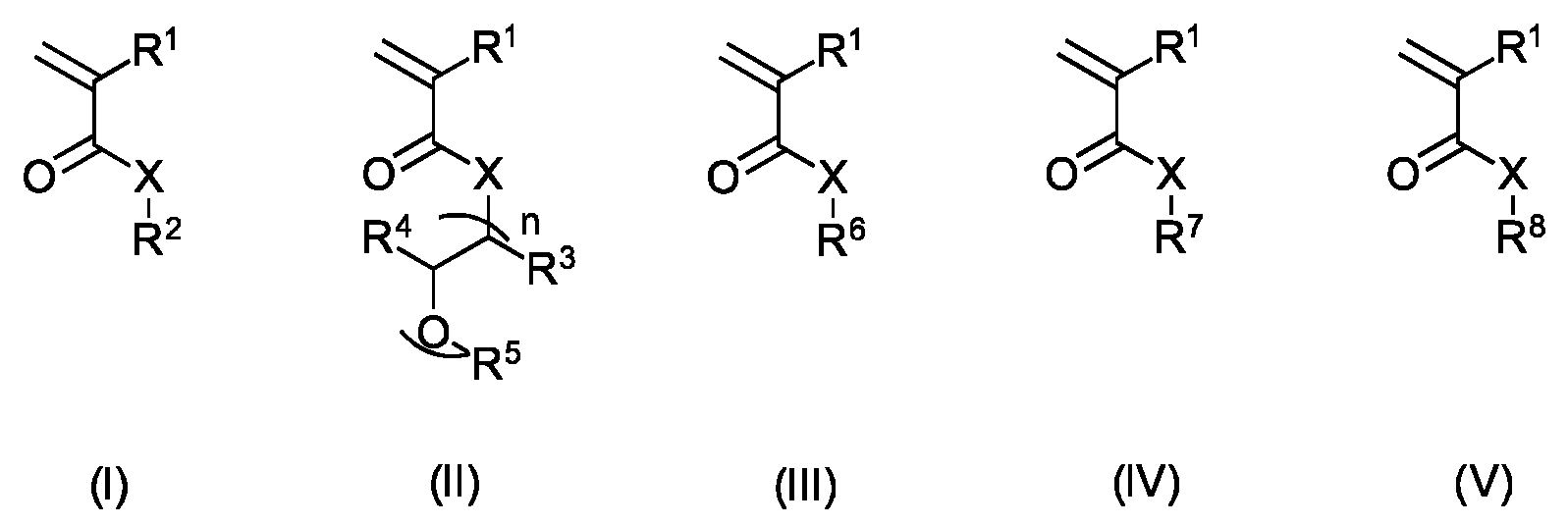
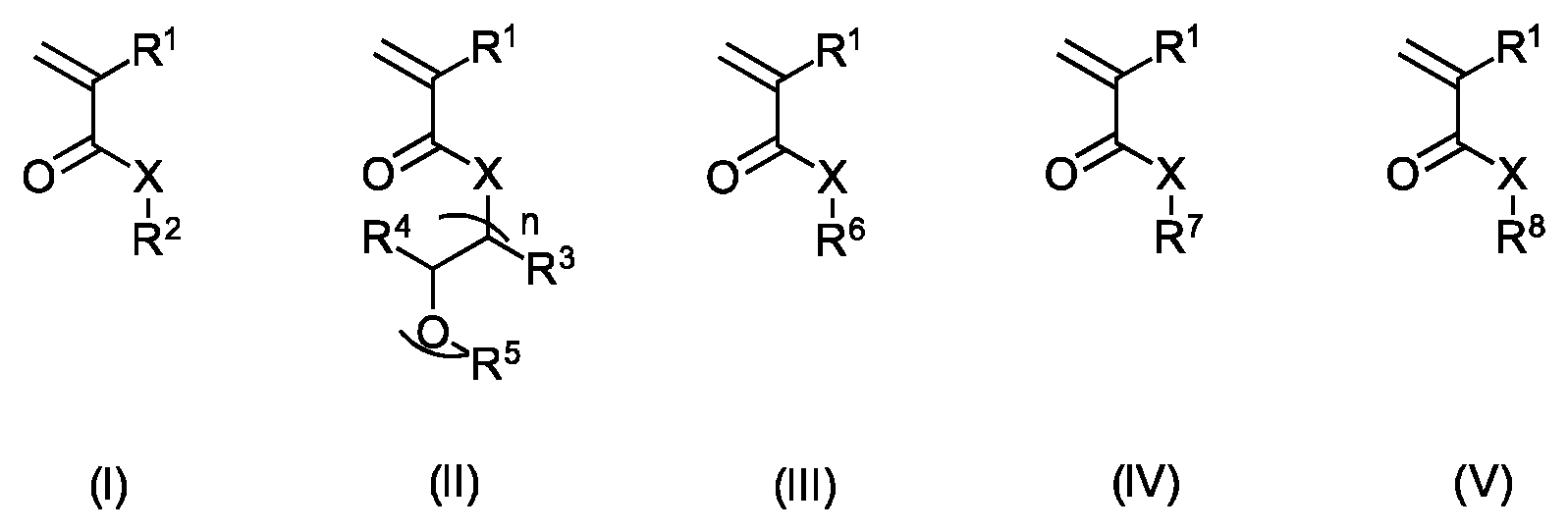
Ein erster Gegenstand der vorliegenden Erfindung ist daher eine Polymerzusammensetzung, umfassend mindestens ein aus jeweils mindestens einem der Monomere der Formeln (I), (II), (III) und (IV) sowie optional zusätzlich mindestens einem Monomer der Formel (V) hergestelltes Copolymer
wobei, in den Verbindungen der Formeln (I)-(V),
X, jeweils unabhängig, O oder NH;
R1, R3, R4 und R5, jeweils unabhängig, H oder eine lineare oder verzweigte, substituierte oder unsubstituierte C1-C6 Alkylgruppe;
R2 eine lineare oder verzweigte, substituierte oder unsubstituierte C1-C4 Alkylgruppe;
R6 eine lineare oder verzweigte, substituierte oder unsubstituierte C5-C12 Alkylgruppe oder substituierte oder unsubstituierte C5-C7 Cycloalkylgruppe;
R7 eine Gruppe der Formel -(CH2)mSO2OH (IV-1) mit m ausgewählt aus einer ganzen Zahl von 1 bis 4, einschließlich der Alkalisalze, beispielsweise Natriumsalze, der Formel (IV-1), oder eine Gruppe der Formel -(CH2)oN(R9)p (IV-2) mit o ausgewählt aus einer ganzen Zahl von 1 bis 10, p ausgewählt aus 2 oder 3 und R9 ausgewählt aus H, einer Methyl-, Ethyl-, n-Propyl und i-Propylgruppe, einschließlich der Hydrohalogenide und Halogenide der Formel (IV-2);
R8 eine substituierte oder unsubstituierte C6-C14 Arylgruppe oder eine substituierte oder unsubstituierte Alkylarylgruppe mit 7 bis 12 Kohlenstoffatomen bezeichnet,
wobei, wenn die vorgenannten Gruppen substituiert sind, die Substituenten jeweils unabhängig voneinander ausgewählt sind aus Hydroxyl- und Thiolgruppen, und
n ausgewählt ist aus einer ganzen Zahl von 1 bis 30.A first object of the present invention is therefore a polymer composition comprising at least one copolymer produced from at least one of the monomers of the formulas (I), (II), (III) and (IV) and optionally additionally at least one monomer of the formula (V)
where, in the compounds of formulas (I) - (V),
X, each independently, O or NH;
R 1 , R 3 , R 4 and R 5 , each independently, H or a linear or branched, substituted or unsubstituted C1-C6 alkyl group;
R 2 is a linear or branched, substituted or unsubstituted C1-C4 alkyl group;
R 6 is a linear or branched, substituted or unsubstituted C5-C12 alkyl group or substituted or unsubstituted C5-C7 cycloalkyl group;
R 7 is a group of the formula - (CH 2 ) m SO 2 OH (IV-1) with m selected from an integer from 1 to 4, including the alkali metal salts, for example sodium salts, of the formula (IV-1), or a group of the formula - (CH 2 ) o N (R 9 ) p (IV-2) with o selected from an integer from 1 to 10, p selected from 2 or 3 and R 9 selected from H, a methyl, ethyl , n-propyl and i-propyl groups, including the hydrohalides and halides of formula (IV-2);
R 8 denotes a substituted or unsubstituted C6-C14 aryl group or a substituted or unsubstituted alkylaryl group with 7 to 12 carbon atoms,
where, when the aforementioned groups are substituted, the substituents are each independently selected from hydroxyl and thiol groups, and
n is selected from an integer from 1 to 30.
In einem weiteren Aspekt betrifft die Erfindung auch die Verwendung einer solchen Polymerzusammensetzung als Enzymstabilisator in einer enzymhaltigen Formulierung oder in einem Wasch- und Reinigungsmittel, welches mindestens ein Enzym umfasst.In a further aspect, the invention also relates to the use of such a polymer composition as an enzyme stabilizer in an enzyme-containing formulation or in a washing and cleaning agent which comprises at least one enzyme.
Ebenso betrifft die vorliegende Erfindung eine enzymhaltige Formulierung, umfassend mindestens eine Polymerzusammensetzung, wie hierin beschrieben.The present invention also relates to an enzyme-containing formulation comprising at least one polymer composition, as described herein.
Ein weiterer Gegenstand der vorliegenden Erfindung ist ein Wasch- oder Reinigungsmittel umfassend mindestens ein Enzym, mindestens eine wie hierin beschriebene Polymerzusammensetzung oder mindestens eine wie hierin beschriebene enzymhaltige Formulierung.Another object of the present invention is a washing or cleaning agent comprising at least one enzyme, at least one polymer composition as described herein or at least one enzyme-containing formulation as described herein.
Schließlich betrifft die vorliegende Erfindung auch die Verwendung eines wie hierin beschriebenen Wasch- oder Reinigungsmittels zum Waschen von Textilien oder maschinellen Reinigen von Geschirr.Finally, the present invention also relates to the use of a washing or cleaning agent as described herein for washing textiles or machine cleaning of dishes.
Ein letzter Aspekt der folgenden Erfindung ist ein Verfahren zum Waschen von Textilien oder maschinellen Reinigen von Geschirr, dadurch gekennzeichnet, dass in mindestens einem Verfahrensschritt ein wie hierin beschriebenes Wasch- oder Reinigungsmittel angewendet wird.A final aspect of the following invention is a method for washing textiles or machine cleaning of dishes, characterized in that a washing or cleaning agent as described herein is used in at least one method step.
Diese und weitere Aspekte, Merkmale und Vorteile der Erfindung werden für den Fachmann aus dem Studium der folgenden detaillierten Beschreibung und Ansprüche ersichtlich. Dabei kann jedes Merkmal aus einem Aspekt der Erfindung in jedem anderen Aspekt der Erfindung eingesetzt werden. Ferner ist es selbstverständlich, dass die hierin enthaltenen Beispiele die Erfindung beschreiben und veranschaulichen sollen, diese aber nicht einschränken und insbesondere die Erfindung nicht auf diese Beispiele beschränkt ist.These and other aspects, features, and advantages of the invention will become apparent to those skilled in the art from a study of the following detailed description and claims. Each feature from one aspect of the invention can be used in any other aspect of the invention. Furthermore, it goes without saying that the examples contained herein are intended to describe and illustrate the invention, but not to restrict it, and in particular the invention is not limited to these examples.
Unter den Gegenstand der Erfindung fallen alle denkbaren Wasch- oder Reinigungsmittelarten, sowohl Konzentrate als auch unverdünnt anzuwendende Mittel, zum Einsatz im kommerziellen Maßstab, in der Waschmaschine oder bei der Handwäsche beziehungsweise -reinigung. Dazu gehören beispielsweise Waschmittel für Textilien, Teppiche, oder Naturfasern, für die die Bezeichnung Waschmittel verwendet wird. Dazu gehören beispielsweise auch Geschirrspülmittel für Geschirrspülmaschinen oder manuelle Geschirrspülmittel oder Reiniger für harte Oberflächen wie Metall, Glas, Porzellan, Keramik, Kacheln, Stein, lackierte Oberflächen, Kunststoffe, Holz oder Leder, für die die Bezeichnung Reinigungsmittel verwendet wird, also neben manuellen und maschinellen Geschirrspülmitteln beispielsweise auch Scheuermittel, Glasreiniger, WC-Duftspüler, usw. Zu den Wasch- und Reinigungsmitteln im Rahmen der Erfindung zählen ferner Waschhilfsmittel, die bei der manuellen oder maschinellen Textilwäsche zum eigentlichen Waschmittel hinzudosiert werden, um eine weitere Wirkung zu erzielen. Ferner zählen zu Wasch- und Reinigungsmittel im Rahmen der Erfindung auch Textilvor- und Nachbehandlungsmittel, also solche Mittel, mit denen das Wäschestück vor der eigentlichen Wäsche in Kontakt gebracht wird, beispielsweise zum Anlösen hartnäckiger Verschmutzungen, und auch solche Mittel, die in einem der eigentlichen Textilwäsche nachgeschalteten Schritt dem Waschgut weitere wünschenswerte Eigenschaften wie angenehmen Griff, Knitterfreiheit oder geringe statische Aufladung verleihen. Zu letztgenannten Mittel werden u.a. die Weichspüler gerechnet.The subject matter of the invention includes all conceivable types of detergent or cleaning agent, both concentrates and agents to be used undiluted, for use on a commercial scale, in the washing machine or for hand washing or cleaning. These include, for example, detergents for textiles, carpets, or natural fibers, for which the term detergent is used. This also includes, for example, dishwashing detergents for dishwashers or manual dishwashing detergents or cleaners for hard surfaces such as metal, glass, porcelain, ceramics, tiles, stone, painted surfaces, plastics, wood or leather, for which the term detergent is used, i.e. in addition to manual and mechanical ones Dishwashing detergents, for example, also scouring agents, glass cleaners, toilet scented rinsing agents, etc. The detergents and cleaning agents within the scope of the invention also include washing aids that are added to the actual washing agent during manual or machine laundry in order to achieve a further effect. Furthermore, laundry detergents and cleaning agents in the context of the invention also include textile pretreatment and aftertreatment agents, i.e. those agents with which the item of laundry is brought into contact before the actual washing, for example to loosen stubborn dirt, and also those agents that are in one of the actual Textile washing, the subsequent step, give the laundry further desirable properties such as a pleasant feel, freedom from creasing or low static charge. Fabric softeners, among others, are included in the latter means.
Alle Prozentangaben sind, sofern nicht anders angegeben, Gewichts-%. Numerische Bereiche, die in dem Format „von x bis y“ angegeben sind, schließen die genannten Werte ein. Wenn mehrere bevorzugte numerische Bereiche in diesem Format angegeben sind, ist es selbstverständlich, dass alle Bereiche, die durch die Kombination der verschiedenen Endpunkte entstehen, ebenfalls erfasst werden.Unless otherwise stated, all percentages are percentages by weight. Numeric ranges specified in the format “from x to y” include the stated values. If several preferred numerical ranges are given in this format, it goes without saying that all ranges that result from the combination of the various endpoints are also recorded.
„Mindestens ein“, wie hierin verwendet, schließt ein, ist aber nicht begrenzt auf 1, 2, 3, 4, 5, 6 und mehr. Bezogen auf einen Inhaltsstoff bezieht sich die Angabe auf die Art des Inhaltsstoffs und nicht auf die absolute Zahl der Moleküle. „Mindestens ein Tensid“ bedeutet somit beispielsweise mindestens eine Art von Tensid, d.h. dass eine Art von Tensid oder eine Mischung mehrerer verschiedener Tenside gemeint sein kann. Zusammen mit Gewichtsangaben bezieht sich die Angabe auf alle Verbindungen der angegebenen Art, die in der Zusammensetzung/Mischung enthalten sind, d.h. dass die Zusammensetzung über die angegebene Menge der entsprechenden Verbindungen hinaus keine weiteren Verbindungen dieser Art enthält."At least one" as used herein includes, but is not limited to, 1, 2, 3, 4, 5, 6, and more. In relation to an ingredient, the specification refers to the type of ingredient and not to the absolute number of molecules. “At least one surfactant” thus means, for example, at least one type of surfactant, i.e. that one type of surfactant or a mixture of several different surfactants can be meant. Together with weight information, the information relates to all compounds of the specified type that are contained in the composition / mixture, i.e. that the composition does not contain any further compounds of this type beyond the specified amount of the corresponding compounds.
„Ungefähr“, wie hierin in Bezug auf Zahlenwerte verwendet, bedeutet den entsprechenden Wert ±10%, vorzugsweise ±5%.“Approximately” as used herein in relation to numerical values means the corresponding value ± 10%, preferably ± 5%.
Wenn hierin auf Molmassen Bezug genommen wird, beziehen sich diese Angaben immer auf die zahlenmittlere Molmasse Mn, sofern nicht explizit anders angeben. Das Zahlenmittel der Molmasse kann beispielsweise mittels Gel-Permeations-Chromatographie (GPC) gemäß DIN 55672-1:2007-08 mit THF als Eluent bestimmt werden. Die massenmittlere Molmasse Mw kann ebenfalls mittels GPC bestimmt werden, wie für Mn beschrieben.If reference is made here to molar masses, these details always relate to the number-average molar mass M n , unless explicitly stated otherwise. The number average of the molar mass can be determined, for example, by means of gel permeation chromatography (GPC) according to DIN 55672-1: 2007-08 with THF as the eluent. The weight average molar mass M w can also be determined by means of GPC, as described for M n .
„Flüssig“, wie hierin verwendet, schließt Flüssigkeiten und Gele sowie auch pastöse Zusammensetzungen ein. Es ist bevorzugt, dass die flüssigen Zusammensetzungen bei Raumtemperatur fließfähig und gießbar sind, es ist aber auch möglich, dass sie eine Fließgrenze aufweisen.“Liquid” as used herein includes liquids and gels as well as pasty compositions. It is preferred that the liquid compositions are flowable and pourable at room temperature, but it is also possible that they have a yield point.
„Phosphatfrei“ und „phosphonatfrei“, wie hierin verwendet, bedeutet, dass die betreffende Zusammensetzung im Wesentlichen frei von Phosphaten bzw. Phosphonaten ist, d.h. insbesondere Phosphate bzw. Phosphonate in Mengen kleiner als 0,1 Gew.-%, vorzugsweise kleiner als 0,01 Gew.-%, bezogen auf die jeweilige Zusammensetzung, enthält.“Phosphate-free” and “phosphonate-free”, as used herein, means that the composition in question is essentially free of phosphates or phosphonates, ie in particular phosphates or phosphonates in quantities of less than 0.1% by weight, preferably less than 0 .01% by weight, based on the respective composition.
Da die Mittel in verschiedenen Ausführungsformen teilweise wasserarm bis wasserfrei sind, bezieht sich der angegebene pH-Wert in verschiedenen Ausführungsformen auf eine 1% Lösung der jeweiligen Zusammensetzung in destilliertem Wasser bei 25°C. „Wasserarm“ bezieht sich auf Wassergehalte von bis zu 20 Gew.-%, vorzugsweise bis 15 Gew.-%, noch bevorzugter bis 10 Gew.-%, und „wasserfrei“ bezieht sich auf Wassergehalte bis 5 Gew.-%, insbesondere Zusammensetzungen in denen Wasser nicht absichtlich zugesetzt wird, sondern maximal mit anderen Bestandteilen eingeschleppt wird. Der Wassergehalt kann mittels Karl-Fischer-Titration bestimmt werden.Since the agents in various embodiments are partially water-poor to anhydrous, the stated pH value in various embodiments relates to a 1% solution of the respective composition in distilled water at 25 ° C. “Low water” refers to water contents of up to 20% by weight, preferably up to 15% by weight, even more preferably up to 10% by weight, and “anhydrous” refers to water contents of up to 5% by weight, in particular compositions in which water is not intentionally added, but is only brought in with other components. The water content can be determined by means of Karl Fischer titration.
Der Ausdruck „räumlich getrennt“, wie hierin in Bezug auf manche Wasch- oder Reinigungsmittel verwendet, bedeutet, dass die jeweiligen enthaltenen Zusammensetzungen des Mittels vor der Verwendung desselben nicht miteinander in Kontakt kommen können. Üblicherweise wird das Mittel dazu in einer Mehrkammerverpackung, wie beispielsweise einer Flasche oder einem Pouch, bereitgestellt, insbesondere einer Zweikammerflasche oder einem Zweikammerpouch, wobei sich die jeweilige Zusammensetzung getrennt von der/den anderen Zusammensetzung(en) in einer separaten Kammer befindet. Alternativ kann das Mittel auch in Form einer Tablette vorliegen, wobei die räumliche Trennung einzelner Komponenten dadurch realisiert wird, dass die fraglichen Komponenten in jeweils unterschiedlichen Kompartimenten/Schichten der Tablette formuliert sind.The term “spatially separated”, as used herein in relation to some detergents or cleaning agents, means that the respective compositions contained in the agent cannot come into contact with one another before it is used. For this purpose, the agent is usually provided in a multi-chamber packaging, such as a bottle or a pouch, in particular a two-chamber bottle or a two-chamber pouch, the respective composition being separate from the other composition (s) in a separate chamber. Alternatively, the agent can also be in the form of a tablet, the spatial separation of individual components being realized in that the components in question are each formulated in different compartments / layers of the tablet.
Die erfindungsgemäße Polymerzusammensetzung zeichnet sich dadurch aus, dass sie mindestens ein Copolymer umfasst, welches aus jeweils mindestens einem der Monomere der Formeln (I), (II), (III) und (IV) sowie optional zusätzlich mindestens einem Monomer der Formel (V) hergestellt wird:
Dabei bezeichnet, in den obigen Verbindungen der Formeln (I)-(V),
X, jeweils unabhängig, O oder NH;
R1, R3, R4 und R5, jeweils unabhängig, H oder eine lineare oder verzweigte, substituierte oder unsubstituierte C1-C6 Alkylgruppe;
R2 eine lineare oder verzweigte, substituierte oder unsubstituierte C1-C4 Alkylgruppe;
R6eine lineare oder verzweigte, substituierte oder unsubstituierte C5-C12 Alkylgruppe oder substituierte oder unsubstituierte C5-C7 Cycloalkylgruppe;
R7 eine Gruppe der Formel -(CH2)mSO2OH (IV-1) mit m ausgewählt aus einer ganzen Zahl von 1 bis 4, einschließlich der Alkalisalze, beispielsweise Natriumsalze, der Formel (IV-1), oder eine Gruppe der Formel -(CH2)oN(R9)p (IV-2) mit o ausgewählt aus einer ganzen Zahl von 1 bis 10, p ausgewählt aus 2 oder 3 und R9 ausgewählt aus H, einer Methyl-, Ethyl-, n-Propyl und i-Propylgruppe, einschließlich der Hydrohalogenide und Halogenide der Formel (IV-2);
R8 eine substituierte oder unsubstituierte C6-C14 Arylgruppe oder eine substituierte oder unsubstituierte Alkylarylgruppe mit 7 bis 12 Kohlenstoffatomen,
wobei, wenn die vorgenannten Gruppen substituiert sind, die Substituenten jeweils unabhängig voneinander ausgewählt sind aus Hydroxyl- und Thiolgruppen, und
n ist eine ganze Zahl von 1 bis 30.In the above compounds of the formulas (I) - (V),
X, each independently, O or NH;
R 1 , R 3 , R 4 and R 5 , each independently, H or a linear or branched, substituted or unsubstituted C1-C6 alkyl group;
R 2 is a linear or branched, substituted or unsubstituted C1-C4 alkyl group;
R 6 is a linear or branched, substituted or unsubstituted C5-C12 alkyl group or substituted or unsubstituted C5-C7 cycloalkyl group;
R 7 is a group of the formula - (CH 2 ) m SO 2 OH (IV-1) with m selected from an integer from 1 to 4, including the alkali metal salts, for example sodium salts, of the formula (IV-1), or a group of the formula - (CH 2 ) o N (R 9 ) p (IV-2) with o selected from an integer from 1 to 10, p selected from 2 or 3 and R 9 selected from H, a methyl, ethyl , n-propyl and i-propyl groups, including the hydrohalides and halides of formula (IV-2);
R 8 is a substituted or unsubstituted C6-C14 aryl group or a substituted or unsubstituted alkylaryl group having 7 to 12 carbon atoms,
where, when the aforementioned groups are substituted, the substituents are each independently selected from hydroxyl and thiol groups, and
n is an integer from 1 to 30.
Dabei ist keines der Monomere (I), (II), (III), (IV) und (V) identisch zu einem anderen der Monomere (I), (II), (III), (IV) und (V). Dies bedeutet auch, dass ein Copolymer gemäß der folgenden Erfindung hergestellt ist aus mindestens vier voneinander verschiedenen Monomeren, wobei die mindestens vier unterschiedlichen Monomere ausgewählt werden aus mindestens einem Monomer gemäß Formel (I), mindestens einem Monomer gemäß Formel (II), mindestens einem Monomer gemäß Formel (III) und mindestens einem Monomer gemäß Formel (IV); bzw. wahlweise fünf unterschiedlichen Monomere, wobei die fünf unterschiedlichen Monomere ausgewählt werden aus mindestens einem Monomer gemäß Formel (I), mindestens einem Monomer gemäß Formel (II), mindestens einem Monomer gemäß Formel (III), mindestens einem Monomer gemäß Formel (IV) und mindestens einem Monomer gemäß Formel (V). In verschiedenen Ausführungsformen wird jeweils nur ein Monomer der Formeln (I)-(IV) und optional (V) für die Synthese des Copolymers eingesetzt.None of the monomers (I), (II), (III), (IV) and (V) are identical to any other of the monomers (I), (II), (III), (IV) and (V). This also means that a copolymer according to the following invention is produced from at least four different monomers, the at least four different monomers being selected from at least one monomer according to formula (I), at least one monomer according to formula (II), at least one monomer according to formula (III) and at least one monomer according to formula (IV); or optionally five different monomers, the five different monomers being selected from at least one monomer according to formula (I), at least one monomer according to formula (II), at least one monomer according to formula (III), at least one monomer according to formula (IV) and at least one monomer according to formula (V). In various embodiments, only one monomer of the formulas (I) - (IV) and optionally (V) is used for the synthesis of the copolymer.
Eine „C1-C6 Alkylgruppe“, „C1-C10 Alkylgruppe“, oder „C1-C12 Alkylgruppe“, wie hierin verwendet, bezeichnet eine Kohlenstoffgruppe, die 1 bis 6, 1-10, bzw. 1-12 Kohlenstoffatome enthält. Entsprechende Gruppen können linear oder verzweigt sein. Beispielhaft seien, ohne Einschränkung, unter diesem Begriff insbesondere Gruppen verstanden, welche ausgewählt werden aus der Gruppe bestehend aus Methyl-, Ethyl-, Propyl-, Isopropyl- (i-Propyl-), n-Butyl-, sec-Butyl-, Isobutyl- (i-Butyl-) und t-Butylgruppen. Entsprechende Gruppen können weiterhin substituiert oder unsubstituiert vorliegen, wobei entsprechende Substituenten wie nachfolgend definiert sind.A “C1-C6 alkyl group”, “C1-C10 alkyl group”, or “C1-C12 alkyl group” as used herein refers to a carbon group containing 1 to 6, 1-10, or 1-12 carbon atoms, respectively. Corresponding groups can be linear or branched. By way of example, without limitation, this term is to be understood in particular as groups which are selected from the group consisting of methyl, ethyl, propyl, isopropyl (i-propyl), n-butyl, sec-butyl, isobutyl - (i-butyl) and t-butyl groups. Corresponding groups can also be substituted or unsubstituted, with corresponding substituents being defined as follows.
Eine „C5-C7 Cycloalkylgruppe“, wie hierin verwendet, bezeichnet eine monocyclische oder eine polycyclische Kohlenstoffgruppe, welche 5 bis 7 Kohlenstoffatome enthält und in welcher der/die Ring(e) kein vollständiges konjugiertes π-Eiektronensystem besitzt/besitzen. Beispielhaft seien, ohne Einschränkung, unter diesem Begriff insbesondere Gruppen verstanden, welche ausgewählt werden aus der Gruppe bestehend aus Cyclopentyl (c-Pentyl) und Cyclohexyl (c-Hexyl). Entsprechende Gruppen können weiterhin substituiert oder unsubstituiert vorliegen. Wenn sie substituiert sind, werden die Substituenten aus den nachfolgend definierten Gruppen geeigneter Substituenten ausgewählt.A “C5-C7 cycloalkyl group” as used herein refers to a monocyclic or a polycyclic carbon group which contains 5 to 7 carbon atoms and in which the ring (s) do not have a complete conjugated π-electron system. By way of example, without limitation, this term is understood to mean in particular groups which are selected from the group consisting of cyclopentyl (c-pentyl) and cyclohexyl (c-hexyl). Corresponding groups can also be substituted or unsubstituted. When substituted, the substituents are selected from the groups of suitable substituents defined below.
Eine „C6-C14 Arylgruppe“, wie hierin verwendet, bezeichnet entweder eine monozyklische aromatische Gruppe, wie z.B. Phenyl, oder eine kondensierte (annellierte, mehrkernige) aromatische polyzyklische Gruppe, wie beispielsweise Naphthalinyl oder Phenanthrenyl, welche 6 bis 14 Kohlenstoffatome enthält. Ein kondensierter (annellierter, mehrkerniger) aromatischer Polyzyklus besteht im Sinne der vorliegenden Anmeldung aus zwei oder mehr miteinander kondensierten einfachen (einkernigen) aromatischen Ringen. Beispielhaft seien, ohne Einschränkung, unter dem Begriff „Arylgruppe“ insbesondere Gruppen verstanden, welche ausgewählt werden aus der Gruppe bestehend aus Phenyl, Naphthyl, Anthracenyl und Phenanthrenyl. Entsprechende Gruppen können substituiert oder unsubstituiert vorliegen. Wenn sie substituiert sind, werden die Substituenten aus den nachfolgend definierten Gruppen geeigneter Substituenten ausgewählt.A “C6-C14 aryl group” as used herein denotes either a monocyclic aromatic group, such as phenyl, or a fused (fused, polynuclear) aromatic polycyclic group, such as naphthalenyl or phenanthrenyl, which contains 6 to 14 carbon atoms. A For the purposes of the present application, condensed (fused, polynuclear) aromatic polycycle consists of two or more simple (mononuclear) aromatic rings condensed with one another. By way of example, without limitation, the term “aryl group” is understood to mean in particular groups which are selected from the group consisting of phenyl, naphthyl, anthracenyl and phenanthrenyl. Corresponding groups can be substituted or unsubstituted. When substituted, the substituents are selected from the groups of suitable substituents defined below.
Eine „Alkylarylgruppe“, wie hierin definiert, bezeichnet eine Alkylgruppe, wie hierin definiert, welche mit einer Arylgruppe, wie hierin definiert, substituiert ist. Eine Alkylarylgruppe, welche beispielsweise 7 bis 12 Kohlenstoffatome enthält, bezeichnet dementsprechend eine Aryl-substituierte Alkylgruppe, welche insgesamt 7 bis 12 Kohlenstoffatome, beispielsweise 6 Kohlenstoffatome in der Arylgruppe und 1 Kohlenstoffatom in der Alkylgruppe oder 10 Kohlenstoffatome in der Arylgruppe und 2 Kohlenstoffatome in der Alkylgruppe enthält. Beispielhaft seien, ohne Einschränkung, in diesem Zusammenhang insbesondere Benzyl, 2-Phenylethan-1-yl und Naphthylmethyl genannt. Entsprechende Gruppen 6 können substituiert oder unsubstituiert vorliegen. Wenn sie substituiert sind, werden die Substituenten aus den nachfolgend definierten Gruppen geeigneter Substituenten ausgewählt.An “alkylaryl group” as defined herein refers to an alkyl group, as defined herein, which is substituted with an aryl group as defined herein. An alkylaryl group which contains, for example, 7 to 12 carbon atoms, accordingly denotes an aryl-substituted alkyl group which has a total of 7 to 12 carbon atoms, for example 6 carbon atoms in the aryl group and 1 carbon atom in the alkyl group or 10 carbon atoms in the aryl group and 2 carbon atoms in the alkyl group contains. Benzyl, 2-phenylethan-1-yl and naphthylmethyl may be mentioned as examples in this context, without restriction. Corresponding groups 6 can be substituted or unsubstituted. When substituted, the substituents are selected from the groups of suitable substituents defined below.
Die vorgenannten Gruppen können, in einigen Ausführungsformen der vorliegenden Erfindung, substituiert oder unsubstituiert sein. Dabei sind die Substituenten entsprechender Gruppen, jeweils unabhängig voneinander, ausgewählt aus der Gruppe bestehend aus Hydroxylgruppen (-OH) und Thiolgruppen (-SH).The aforementioned groups can, in some embodiments of the present invention, be substituted or unsubstituted. The substituents of corresponding groups are each independently selected from the group consisting of hydroxyl groups (—OH) and thiol groups (—SH).
Der Begriff „Alkalisalze“, wie hierin verwendet, bezieht sich auf die Lithium-, Natrium-, Kalium-, Rubidium- und Caesiumsalze entsprechender Säuregruppen, vorzugsweise auf die Natrium- und Kaliumsalze der entsprechenden Säuregruppen. Ein Alkalisalz einer Gruppe der Formel -(CH2)mSO2OH (IV-1) kann beispielsweise eine Gruppe der Formel -(CH2)mSO2OK oder der Formel -(CH2)mSO2ON bezeichnen, wobei m jeweils wie hierin definiert ist. In verschiedenen Ausführungsformen handelt es sich um die Natriumsalze.The term “alkali salts” as used herein relates to the lithium, sodium, potassium, rubidium and cesium salts of corresponding acid groups, preferably to the sodium and potassium salts of the corresponding acid groups. An alkali salt of a group of the formula - (CH 2 ) m SO 2 OH (IV-1) can denote, for example, a group of the formula - (CH 2 ) m SO 2 OK or of the formula - (CH 2 ) m SO 2 ON, where each m is as defined herein. In various embodiments, these are the sodium salts.
Der Begriff „Hydrohalogenide“, wie hierin verwendet, bezieht sich auf die Hydrochloride, Hydrofluoride, Hydrobromide und Hydroiodide entsprechender Gruppen bzw. Verbindungen. So kann es sich bei einem Hydrohalogenid der Formel (IV-2) beispielsweise um eine Gruppe der Formel -(CH2)oN(R9)p*HCl oder der Formel -(CH2)oN(R9)p*HBr handeln, jeweils mit p = 2 und o wie hierin definiert. In einigen Ausführungsformen handelt es sich insbesondere um Hydrochloride entsprechender Gruppen bzw. Verbindungen.The term “hydrohalides”, as used herein, relates to the hydrochlorides, hydrofluorides, hydrobromides and hydroiodides of corresponding groups or compounds. For example, a hydrohalide of the formula (IV-2) can be a group of the formula - (CH 2 ) o N (R 9 ) p * HCl or of the formula - (CH 2 ) o N (R 9 ) p * HBr act, each with p = 2 and o as defined herein. In some embodiments, these are, in particular, hydrochlorides of corresponding groups or compounds.
Der Begriff „Halogenide“, wie hierin verwendet, bezieht sich auf die Chloride, Fluoride, Bromide und Iodide entsprechender Gruppen bzw. Verbindungen. So kann es sich bei einem Halogenid der Formel (IV-2) beispielsweise um eine Gruppe der Formel -(CH2)oN(R9)pCl, der Formel -(CH2)oN(R9)pBr oder der Formel -(CH2)oN(R9)pF handeln, jeweils mit p = 3 und o wie hierin definiert. In einigen Ausführungsformen handelt es sich insbesondere um Chloride entsprechender Gruppen bzw. Verbindungen.The term “halides”, as used herein, refers to the chlorides, fluorides, bromides and iodides of corresponding groups or compounds. For example, a halide of the formula (IV-2) can be a group of the formula - (CH 2 ) o N (R 9 ) p Cl, of the formula - (CH 2 ) o N (R 9 ) p Br or of the formula - (CH 2 ) o N (R 9 ) p F act, in each case with p = 3 and o as defined herein. In some embodiments, these are, in particular, chlorides of corresponding groups or compounds.
Erfindungsgemäße Polymerzusammensetzungen enthalten mindestens ein Copolymer, wie hierin definiert. In verschiedenen Ausführungsformen kann eine erfindungsgemäße Polymerzusammensetzung beispielsweise ein Copolymer, wie hierin definiert, enthalten. In anderen Ausführungsformen enthält eine erfindungsgemäße Polymerzusammensetzung mindestens zwei Copolymere, wie hierin definiert, beispielsweise zwei, drei, vier, fünf, sechs, sieben, acht, neun oder zehn Copolymere, wie hierin definiert, wobei die mindestens zwei Copolymere, beispielsweise zwei, drei, vier, fünf, sechs, sieben, acht, neun oder zehn Copolymere jeweils voneinander verschieden sind, d.h. nicht identisch zueinander sind.Polymer compositions according to the invention contain at least one copolymer as defined herein. In various embodiments, a polymer composition according to the invention can contain, for example, a copolymer as defined herein. In other embodiments, a polymer composition according to the invention contains at least two copolymers, as defined herein, for example two, three, four, five, six, seven, eight, nine or ten copolymers, as defined herein, wherein the at least two copolymers, for example two, three, four, five, six, seven, eight, nine or ten copolymers are each different from one another, ie are not identical to one another.
In einigen weiteren Ausführungsformen können erfindungsgemäße Polymerzusammensetzungen, neben dem mindestens einen Copolymer, wie hierin definiert, mindestens einen weiteren Inhaltsstoff enthalten. In diesem Zusammenhang geeignete weitere Inhaltsstoffe schließen ein, sind aber nicht beschränkt auf, zusätzliche von den erfindungsgemäßen unterschiedliche Enzymstabilisatoren und Lösungsmittel.In some further embodiments, polymer compositions according to the invention can contain at least one further ingredient in addition to the at least one copolymer, as defined herein. Other ingredients suitable in this connection include, but are not limited to, enzyme stabilizers and solvents other than those of the present invention.
In verschiedenen Ausführungsformen ist die erfindungsgemäße Polymerzusammensetzung insbesondere dadurch gekennzeichnet, dass, in den Verbindungen der Formeln (I)-(V),
X, jeweils unabhängig, O oder NH;
R1, R3, R4 und R5, jeweils unabhängig, H oder eine lineare unsubstituierte C1-C4 Alkylgruppe;
R2 eine lineare oder verzweigte, substituierte oder unsubstituierte C1-C4 Alkylgruppe;
R6 eine lineare oder verzweigte, substituierte oder unsubstituierte C6-C12 Alkylgruppe oder unsubstituierte C5-C7 Cycloalkylgruppe;
R7 eine Gruppe der Formel -(CH2)mSO2OH (IV-1) mit m ausgewählt aus einer ganzen Zahl von 2 bis 3, einschließlich der Alkalisalze, beispielsweise Natriumsalze, der Formel (IV-1), oder eine Gruppe der Formel -(CH2)oN(R9)p (IV-2) mit o ausgewählt aus einer ganzen Zahl von 2 bis 6, p ausgewählt aus 2 oder 3 und R9 ausgewählt aus H, einer Methyl-, Ethyl-, n-Propyl und i-Propylgruppe, einschließlich der Hydrohalogenide und Halogenide der Formel (IV-2);
R8 eine unsubstituierte C6-C10 Arylgruppe oder eine unsubstituierte Alkylarylgruppe mit 7 bis 10 Kohlenstoffatomen bezeichnet, wobei die Substituenten der vorgenannten Gruppen jeweils unabhängig voneinander eine Hydroxylgruppe bezeichnen. In diesen Ausführungsformen ist n ausgewählt aus einer ganzen Zahl von 1 bis 30.In various embodiments, the polymer composition according to the invention is in particular characterized in that, in the compounds of the formulas (I) - (V),
X, each independently, O or NH;
R 1 , R 3 , R 4 and R 5 , each independently, H or a linear unsubstituted C1-C4 alkyl group;
R 2 is a linear or branched, substituted or unsubstituted C1-C4 alkyl group;
R 6 is a linear or branched, substituted or unsubstituted C6-C12 alkyl group or unsubstituted C5-C7 cycloalkyl group;
R 7 is a group of the formula - (CH 2 ) m SO 2 OH (IV-1) with m selected from an integer from 2 to 3, including the alkali metal salts, for example sodium salts, of the formula (IV-1), or a group of the formula - (CH 2 ) o N (R 9 ) p (IV-2) with o selected from an integer from 2 to 6, p selected from 2 or 3 and R 9 selected from H, a methyl, ethyl , n-propyl and i-propyl groups, including the hydrohalides and halides of formula (IV-2);
R 8 denotes an unsubstituted C6-C10 aryl group or an unsubstituted alkylaryl group having 7 to 10 carbon atoms, the substituents of the aforementioned groups each independently denoting a hydroxyl group. In these embodiments, n is selected from an integer from 1 to 30.
In bevorzugten Ausführungsformen ist die erfindungsgemäße Polymerzusammensetzungen dadurch gekennzeichnet, dass, in den Verbindungen der Formeln (I)-(V),
X, jeweils unabhängig, O oder NH;
R1, jeweils unabhängig, H oder eine Methylgruppe;
R2 eine Methyl-, Ethyl-, 2-Hydroxyethyl-, 3-Hydroxypropyl-, Propyl-, n-Butyl-, oder i-Butylgruppe;
R3, jeweils unabhängig, H, eine Methyl- oder Ethylgruppe;
R4, jeweils unabhängig, H, eine Methyl- oder Ethylgruppe;
R5 H oder eine Methylgruppe;
R6 eine cyclo-Hexyl-, n-Hexyl, 2-Ethylhexyl-, Lauryl- oder i-Decylgruppe;
R7 eine Gruppe ausgewählt aus -(CH2)2NH2*HCl, -(CH2)2N(Me)2*HCl, -(CH2)2N(Et)2*HCl, -(CH2)2N(Me)3Cl, -(CH2)2N(i-Pr)2*HCl und -(CH2)3N(Me)3Cl oder eine 3-Sulfopropylgruppe, einschließlich der entsprechenden Alkalisalze, beispielsweise Natriumsalze; und
R8 eine Benzyl-, 1-Naphthyl- oder Phenylgruppe bezeichnet. In entsprechenden Ausführungsformen ist n wie voranstehend definiert.In preferred embodiments, the polymer composition according to the invention is characterized in that, in the compounds of the formulas (I) - (V),
X, each independently, O or NH;
R 1 , each independently, is H or a methyl group;
R 2 is a methyl, ethyl, 2-hydroxyethyl, 3-hydroxypropyl, propyl, n-butyl, or i-butyl group;
R 3 , each independently, is H, a methyl or ethyl group;
R 4 , each independently, is H, a methyl or ethyl group;
R 5 is H or a methyl group;
R 6 is a cyclo-hexyl, n-hexyl, 2-ethylhexyl, lauryl or i-decyl group;
R 7 is a group selected from - (CH 2 ) 2 NH 2 * HCl, - (CH 2 ) 2 N (Me) 2 * HCl, - (CH 2 ) 2 N (Et) 2 * HCl, - (CH 2 ) 2 N (Me) 3 Cl, - (CH 2 ) 2 N (i-Pr) 2 * HCl and - (CH 2 ) 3 N (Me) 3 Cl or a 3-sulfopropyl group, including the corresponding alkali salts, for example sodium salts; and
R 8 denotes a benzyl, 1-naphthyl or phenyl group. In corresponding embodiments, n is defined as above.
In weiteren bevorzugten Ausführungsformen ist die erfindungsgemäße Polymerzusammensetzung dadurch gekennzeichnet, dass, in den Verbindungen der Formeln (I)-(IV),
X, jeweils unabhängig, O;
R1, jeweils unabhängig, eine Methylgruppe;
R2 eine Methylgruppe;
R3, jeweils unabhängig, H;
R4, jeweils unabhängig, H oder eine Methylgruppe;
R5 eine Methylgruppe;
R6 eine 2-Ethylhexyl- oder Laurylgruppe;
R7 -(CH2)2N(Me)3Cl oder eine 3-Sulfopropylgruppe, einschließlich der entsprechenden Alkalisalze, beispielsweise Natriumsalze;
R8 eine Benzylgruppe bezeichnet und
n ausgewählt ist aus einer ganzen Zahl von 1 bis 15.In further preferred embodiments, the polymer composition according to the invention is characterized in that, in the compounds of the formulas (I) - (IV),
X, each independently, O;
R 1 , each independently, is a methyl group;
R 2 is a methyl group;
R 3 , each independently, H;
R 4 , each independently, is H or a methyl group;
R 5 is a methyl group;
R 6 is a 2-ethylhexyl or lauryl group;
R 7 - (CH 2 ) 2 N (Me) 3 Cl or a 3-sulfopropyl group, including the corresponding alkali salts, for example sodium salts;
R 8 denotes a benzyl group and
n is selected from an integer from 1 to 15.
In verschiedenen Ausführungsformen werden bevorzugte Monomere (I)-(V) insbesondere ausgewählt aus der Gruppe bestehend aus Methylmethacrylat, Poly(ethylenglycol)methylethermethacrylat, Ethylhexylmethacrylat, Laurylmethacrylat, [2-(Methacryloyloxy)ethyl]trimethylammoniumchlorid, Sulfopropylmethacrylat und Benzylmethacrylat.In various embodiments, preferred monomers (I) - (V) are selected in particular from the group consisting of methyl methacrylate, poly (ethylene glycol) methyl ether methacrylate, ethylhexyl methacrylate, lauryl methacrylate, [2- (methacryloyloxy) ethyl] trimethylammonium chloride, sulfopropyl methacrylate and benzyl methacrylate.
Gemäß der vorliegenden Erfindung werden die Copolymere aus den Monomeren (I), (II), (III) und (IV) sowie wahlweise zusätzlich Monomer (V), wie jeweils voranstehend definiert, hergestellt. Geeignete Polymerisationsverfahren sind im Stand der Technik bekannt und schließen beispielsweise freie radikalische Polymerisationsverfahren und kontrollierte radikalische Polymerisationsverfahren ein.According to the present invention, the copolymers are prepared from monomers (I), (II), (III) and (IV) and, optionally, additional monomer (V), as each defined above. Suitable polymerization processes are known in the art and include, for example, free radical polymerization processes and controlled radical polymerization processes.
In verschiedenen Ausführungsformen werden im Kontext der vorliegenden Erfindung geeignete Copolymere mittels freier radikalischer Polymerisation hergestellt. Derartige Polymerisationsverfahren und -techniken sind im Stand der Technik bekannt. In entsprechenden Verfahren werden Polymerisationsinitiatoren eingesetzt, welche unter geeigneten Bedingungen freie Radikale bilden, die wiederum die Additionspolymerisationsreaktion in Gang setzen. Die Bildung freier Radikale kann über verschiedene Mechanismen, beispielsweise thermische Zersetzung, Photolyse, Redox-Reaktionen und ionisierende Strahlung, erfolgen. Entsprechend variabel ist auch die Wahl geeigneter Radikalstarter (Initiatoren). Im Kontext der vorliegenden Erfindung geeignete Initiatorverbindungen schließen beispielsweise ein, sind aber nicht beschränkt auf, organische Peroxide (z.B. Dicumylperoxid) und AzoVerbindungen (z.B. Azobis(isobutyronitril) (AIBN) und 4,4'-Azobis(4-cyanopentansäure) (ACPA)).In various embodiments, in the context of the present invention, suitable copolymers are prepared by means of free radical polymerization. Such polymerization processes and techniques are known in the art. In appropriate processes, polymerization initiators are used which, under suitable conditions, form free radicals, which in turn start the addition polymerization reaction. The formation of free radicals can take place via various mechanisms, for example thermal decomposition, photolysis, redox reactions and ionizing radiation. The choice of suitable radical initiators (initiators) is also correspondingly variable. Initiator compounds suitable in the context of the present invention include, for example, but are not limited to, organic peroxides (e.g. dicumyl peroxide) and azo compounds (e.g. azobis (isobutyronitrile) (AIBN) and 4,4'-azobis (4-cyanopentanoic acid) (ACPA)) .
In verschiedenen Ausführungsformen, in denen das Copolymer mittels freier radikalischer Polymerisation hergestellt ist, liegt das Mol-Verhältnis der Menge aller Monomere zu Radikalstarter im Bereich von ungefähr 20:1 bis ungefähr 20000:1, bevorzugt im Bereich von ungefähr 50:1 bis ungefähr 5000:1, am meisten bevorzugt im Bereich von ungefähr 100:1 bis ungefähr 1000:1.In various embodiments in which the copolymer is prepared by means of free radical polymerization, the molar ratio of the amount of all monomers to free radical initiator is in the range from about 20: 1 to about 20,000: 1, preferably in the range from about 50: 1 to about 5000 : 1, most preferably in the range of about 100: 1 to about 1000: 1.
In verschiedenen anderen Ausführungsformen werden die Copolymere der vorliegenden Erfindung mittels kontrollierter radikalischer Polymerisation hergestellt. In entsprechenden Ausführungsformen werden die erfindungsgemäßen Copolymere insbesondere in einem RAFT (Reversible Addition Fragmentation Chain Transfer Polmerization) -Verfahren hergestellt. Die Polymerherstellung in einem RAFT-Verfahren benötigt ein spezielles System bestehend aus einer Radikalquelle, dem oder den Monomer(en), wahlweise Lösemittel und dem RAFT-Reagenz. Geeignete RAFT-Reagenzien sind insbesondere Verbindungen aus der Gruppe der Dithioester, der Trithiocarbonate, der Dithiocarbamate und der Xanthogenate. Beispielhaft seien an dieser Stelle, ohne Einschränkung, Methoxycarbonylphenylmethyldithiobenzoat, 2-Cyano-2-propylbenzodithioat, 2-Cyano-2-propyl-4-cyanobenzodithioat, 2-Cyano-2-propyldodecyltrithiocarbonat, Cyanomethyl methyl(phenyl)carbamodithioat und Cyanomethyldiphenylcarbamodithioat genannt.In various other embodiments, the copolymers of the present invention are made by controlled free radical polymerization. In corresponding embodiments, the copolymers according to the invention are produced in particular in an RAFT (Reversible Addition Fragmentation Chain Transfer Polymerization) process. Polymer production in a RAFT process requires a special system consisting of a radical source, the monomer (s), optionally a solvent and the RAFT reagent. Suitable RAFT reagents are, in particular, compounds from the group of dithioesters, trithiocarbonates, dithiocarbamates and xanthates. Methoxycarbonylphenylmethyldithiobenzoate, 2-cyano-2-propylbenzodithioate, 2-cyano-2-propyl-4-cyanobenzodithioate, 2-cyano-2-propyldodecyltrithiocarbonate, cyanomethyl-methyl (phenyl-2-propyl) carbamodithioate and cyanomethyl-methyl (phenyl) carbamodithioate may be mentioned here as examples, without limitation.
In verschiedenen Ausführungsformen, in denen das Copolymer mittels kontrollierter radikalischer Polymerisation in einem RAFT-Verfahren hergestellt ist, liegt das Mol-Verhältnis der Menge aller Monomere : RAFT-Agens : Radikalstarter im Bereich von ungefähr 50-1000:1:1, bevorzugt im Bereich von ungefähr 100-600:1:0,1-0,5, noch bevorzugter im Bereich von ungefähr 200-300:1:0,15-0,30.In various embodiments in which the copolymer is prepared by means of controlled radical polymerization in a RAFT process, the molar ratio of the amount of all monomers: RAFT agent: radical initiator is in the range of about 50-1000: 1: 1, preferably in the range from about 100-600: 1: 0.1-0.5, more preferably in the range of about 200-300: 1: 0.15-0.30.
Beispielhafte, den Gegenstand der vorliegenden Erfindung nicht einschränkende Synthesevorschriften zur Herstellung erfindungsgemäßer Copolymere können den Beispielen der vorliegenden Erfindung entnommen werden.Exemplary synthesis instructions, which do not restrict the subject matter of the present invention, for the preparation of copolymers according to the invention can be found in the examples of the present invention.
Unabhängig vom jeweiligen Polymerisationsverfahren werden die Monomere (I)-(V), wie voranstehend definiert, in bestimmten Verhältnissen eingesetzt, um entsprechend erfindungsgemäße Copolymere zu erhalten. So zeichnen sich die erfindungsgemäßen Copolymere in einigen Ausführungsformen dadurch aus, dass das Monomer (I) in einer Menge von 10-50 Mol%, beispielsweise 10, 11, 12, 13, 14, 15, 20, 25, 30, 35, 40, 45 oder 50 Mol%; das Monomer (II) in einer Menge von 15-45 Mol%, beispielsweise 15, 16, 17, 18, 19, 20, 25, 30, 35, 40 oder 45 Mol%; das Monomer (III) in einer Menge von 15-50 Mol%, beispielsweise 15, 16, 17, 18, 19, 20, 25, 30, 35, 40, 45 oder 50 Mol%; das Monomer (IV) in einer Menge von 0,5-20 Mol%, beispielsweise 0,5, 0,6, 0,7, 0,8, 0,9, 1,0, 1,1, 1,2, 1,3, 1,4, 1,5, 2, 3, 4, 5, 10, 15, 16, 17, 18, 19 oder 20 Mol%; und das Monomer (V) in einer Menge von 0-40 Mol%, beispielsweise 0, 0,05, 0,1, 0,2, 0,3, 0,4, 0,5, 0,6, 0,7, 0,8, 0,9, 1,0, 1,1, 1,5, 2, 3, 4, 5, 10, 11, 12, 13, 14, 15, 20, 25, 30, 35 oder 40 Mol% in dem jeweiligen Polymerisationsverfahren eingesetzt wird. In bevorzugten Ausführungsformen wird das Monomer (I) in einer Menge von 15-40 Mol%, das Monomer (II) in einer Menge von 20-35 Mol%, das Monomer (III) in einer Menge von 25-35 Mol%, das Monomer (IV) in einer Menge von 1-10 Mol% und das Monomer (V) in einer Menge von 0-20 Mol% eingesetzt.Regardless of the particular polymerization process, the monomers (I) - (V), as defined above, are used in certain ratios in order to obtain copolymers according to the invention accordingly. In some embodiments, the copolymers according to the invention are distinguished by the fact that the monomer (I) in an amount of 10-50 mol%, for example 10, 11, 12, 13, 14, 15, 20, 25, 30, 35, 40 , 45 or 50 mol%; the monomer (II) in an amount of 15-45 mol%, for example 15, 16, 17, 18, 19, 20, 25, 30, 35, 40 or 45 mol%; the monomer (III) in an amount of 15-50 mol%, for example 15, 16, 17, 18, 19, 20, 25, 30, 35, 40, 45 or 50 mol%; the monomer (IV) in an amount of 0.5-20 mol%, for example 0.5, 0.6, 0.7, 0.8, 0.9, 1.0, 1.1, 1.2, 1.3, 1.4, 1.5, 2, 3, 4, 5, 10, 15, 16, 17, 18, 19 or 20 mol%; and the monomer (V) in an amount of 0-40 mol%, for example 0, 0.05, 0.1, 0.2, 0.3, 0.4, 0.5, 0.6, 0.7 , 0.8, 0.9, 1.0, 1.1, 1.5, 2, 3, 4, 5, 10, 11, 12, 13, 14, 15, 20, 25, 30, 35 or 40 Mol% is used in the respective polymerization process. In preferred embodiments, the monomer (I) in an amount of 15-40 mol%, the monomer (II) in an amount of 20-35 mol%, the monomer (III) in an amount of 25-35 mol%, the Monomer (IV) is used in an amount of 1-10 mol% and the monomer (V) is used in an amount of 0-20 mol%.
Das Molekulargewicht wie voranstehend beschrieben hergestellter Copolymere liegt, in unterschiedlichen Ausführungsformen der vorliegenden Erfindung, im Bereich von ungefähr 1,5 bis 150 kDa, beispielsweise bei ungefähr 1,5; 1,6; 1,7; 1,8; 1,9; 2; 2,5; 3; 4; 5; 6; 7; 8; 9; 10; 15; 20; 25; 30; 50; 55; 60; 75; 90; 95; 100; 101; 102; 103; 104; 105; 110; 115; 120; 125; 130; 135; 140; 145 oder 150 kDa. In bevorzugten Ausführungsformen weisen die erfindungsgemäßen Copolymere ein Molekulargewicht im Bereich von ungefähr 1,5 bis 100 kDa, noch bevorzugter im Bereich von ungefähr 1,5 bis 50 kDa, am meisten bevorzugt im Bereich von ungefähr 1,5 bis 30 kDa auf.The molecular weight of copolymers prepared as described above is, in different embodiments of the present invention, in the range from approximately 1.5 to 150 kDa, for example approximately 1.5; 1.6; 1.7; 1.8; 1.9; 2; 2.5; 3; 4; 5; 6; 7; 8th; 9; 10; 15; 20; 25; 30; 50; 55; 60; 75; 90; 95; 100; 101; 102; 103; 104; 105; 110; 115; 120; 125; 130; 135; 140; 145 or 150 kDa. In preferred embodiments, the copolymers according to the invention have a molecular weight in the range from about 1.5 to 100 kDa, more preferably in the range from about 1.5 to 50 kDa, most preferably in the range from about 1.5 to 30 kDa.
Eine Polymerzusammensetzung, umfassend mindestens ein Copolymer, wie voranstehend beschrieben, ist geeignet, in Formulierung befindliche Enzyme, beispielsweise Enzyme formuliert in enzymhaltigen Formulierungen oder Enzyme als Bestandteil eines Wasch- oder Reinigungsmittels, gegen Denaturierung zu stabilisieren. Auf diese Weise bewahren entsprechende erfindungsgemäße Copolymere und Polymerzusammensetzungen umfassend mindestens ein Copolymer, wie hierin definiert, die Enzymaktivität über einen längeren Zeitraum, beispielsweise über die Dauer der Lagerung/Aufbewahrung eines solchen Mittels. Die vorliegende Erfindung richtet sich dementsprechend auch auf die Verwendung einer wie voranstehend beschriebenen Polymerzusammensetzung als Enzymstabilisator in einer enzymhaltigen Formulierung, wie nachfolgend definiert, oder in einem Wasch- und Reinigungsmittel, welches mindestens ein Enzym umfasst, wie nachfolgend beschrieben.A polymer composition comprising at least one copolymer, as described above, is suitable for stabilizing enzymes in the formulation, for example enzymes formulated in enzyme-containing formulations or enzymes as a component of a washing or cleaning agent, against denaturation. In this way, corresponding copolymers according to the invention and polymer compositions comprising at least one copolymer, as defined herein, preserve the enzyme activity over a longer period of time, for example over the duration of the storage / keeping of such an agent. The present invention is accordingly also directed to the use of a polymer composition as described above as an enzyme stabilizer in an enzyme-containing formulation, as defined below, or in a washing and cleaning agent which comprises at least one enzyme, as described below.
Demgemäß ist ein weiterer Gegenstand der vorliegenden Erfindung eine Zusammensetzung, wie beispielsweise ein Wasch- oder Reinigungsmittel, umfassend mindestens ein Enzym und mindestens eine Polymer oder eine Polymerzusammensetzung, wie voranstehend beschrieben.Accordingly, another subject matter of the present invention is a composition, such as, for example, a washing or cleaning agent, comprising at least one enzyme and at least one polymer or a polymer composition, as described above.
Enzyme, welche zur Verwendung in Wasch- oder Reinigungsmitteln geeignet sind und geläufig verwendet werden, sind im Stand der Technik bekannt. Das Enzym kann ein hydrolytisches Enzym oder ein anderes Enzym in einer für die Wirksamkeit des Mittels zweckmäßigen Konzentration sein. Eine Ausführungsform der Erfindung stellen somit Mittel dar, die ein oder mehrere Enzyme umfassen.Enzymes which are suitable for use in detergents or cleaning agents and are commonly used are known in the prior art. The enzyme can be a hydrolytic enzyme or another enzyme in a concentration suitable for the effectiveness of the agent. An embodiment of the invention thus represent agents which comprise one or more enzymes.
Bevorzugt einsetzbar sind alle Enzyme, die in dem erfindungsgemäßen Mittel eine katalytische Aktivität entfalten können, insbesondere eine Protease, Lipase, Amylase, Cellulase, Hemicellulase, Mannanase, Tannase, Xylanase, Xanthanase, Xyloglucanase, ß-Glucosidase, Pektinase, Carrageenase, Perhydrolase, Oxidase, oder Oxidoreduktase sowie deren Gemische.Preference is given to using all enzymes which can develop a catalytic activity in the agent according to the invention, in particular a protease, lipase, amylase, cellulase, hemicellulase, mannanase, tannase, xylanase, xanthanase, xyloglucanase, β-glucosidase, pectinase, carrageenase, perhydrolase, oxidase , or oxidoreductase and mixtures thereof.
Die Enzyme sind in dem Mittel vorteilhafterweise jeweils in einer Menge von 1 × 10-8 bis 5 Gew.-% bezogen auf aktives Protein enthalten, insbesondere in einer Menge von 1 × 10-7 bis 3 Gew.-%, von 0,00001 bis 1 Gew.-%, von 0,00005 bis 0,5 Gew.-%, von 0,0001 bis 0,1 Gew.-% und besonders bevorzugt von 0,0001 bis 0,05 Gew.-%, jeweils bezogen auf aktives Protein.The enzymes are advantageously each contained in the agent in an amount of 1 × 10 -8 to 5% by weight, based on active protein, in particular in an amount of 1 × 10 -7 to 3% by weight, of 0.00001 up to 1% by weight, from 0.00005 to 0.5% by weight, from 0.0001 to 0.1% by weight and particularly preferably from 0.0001 to 0.05% by weight, in each case based on on active protein.
Die Proteinkonzentration kann mit Hilfe bekannter Methoden, z.B. dem BCA-Verfahren (Bicinchoninsäure; 2,2'-Bichinolyl-4,4'-dicarbonsäure) oder dem Biuret-Verfahren (
Besonders bevorzugt zeigen die Enzyme synergistische Reinigungsleistungen gegenüber bestimmten Anschmutzungen oder Flecken, d.h. die in der Mittelzusammensetzung enthaltenen Enzyme unterstützen sich in ihrer Reinigungsleistung gegenseitig. Ganz besonders bevorzugt liegt ein solcher Synergismus vor zwischen einer Protease und einem weiteren Enzym eines erfindungsgemäßen Mittels, darunter insbesondere zwischen einer Protease und einer Amylase und/oder einer Lipase und/oder einer Mannanase und/oder einer Cellulase und/oder einer Pektinase. Synergistische Effekte können nicht nur zwischen verschiedenen Enzymen, sondern auch zwischen einem oder mehreren Enzymen und weiteren Inhaltsstoffen des erfindungsgemäßen Mittels auftreten.The enzymes particularly preferably show synergistic cleaning performance against certain soiling or stains, i.e. the enzymes contained in the agent composition mutually support each other in their cleaning performance. Such a synergism is very particularly preferably present between a protease and a further enzyme of an agent according to the invention, including in particular between a protease and an amylase and / or a lipase and / or a mannanase and / or a cellulase and / or a pectinase. Synergistic effects can occur not only between different enzymes, but also between one or more enzymes and other ingredients of the agent according to the invention.
Erfindungsgemäße Textilwaschmittel weisen insbesondere mindestens eine Protease und mindestens eine Amylase auf. In einer weiteren Ausführungsform der Erfindung weisen Textilwaschmittel mindestens eine Protease und mindestens eine Cellulase auf. In einer weiteren bevorzugten Ausführungsform weisen Textilwaschmittel mindestens eine Protease und mindestens eine Lipase auf. Besonders bevorzugt sind Textilwaschmittel, welche 3 bis 10 verschiedene Enzyme aufweisen, wobei Textilwaschmittel, welche 3 bis 10 unterschiedliche Enzymarten aufweisen, im Hinblick auf die Reinigungsleistung gegenüber einem sehr großen Fleckenspektrum von besonderer Bevorzugung sein können.Textile detergents according to the invention have in particular at least one protease and at least one amylase. In a further embodiment of the invention, laundry detergents have at least one protease and at least one cellulase. In a further preferred embodiment, laundry detergents have at least one protease and at least one lipase. Textile detergents which contain 3 to 10 different enzymes are particularly preferred, textile detergents which contain 3 to 10 different types of enzymes can be particularly preferred with regard to cleaning performance over a very large spectrum of stains.
Beispiele für Proteasen sind die Subtilisine BPN' aus Bacillus amyloliquefaciens und Carlsberg aus Bacillus licheniformis, die Protease PB92, die Subtilisine 147 und 309, die Protease aus Bacillus lentus, Subtilisin DY und die den Subtilasen, nicht mehr jedoch den Subtilisinen im engeren Sinne zuzuordnenden Enzyme Thermitase, Proteinase K und die Proteasen TW3 und TW7. Subtilisin Carlsberg ist in weiterentwickelter Form unter dem Handelsnamen Alcalase® von dem Unternehmen Novozymes erhältlich. Die Subtilisine 147 und 309 werden unter den Handelsnamen Esperase® bzw. Savinase® von dem Unternehmen Novozymes vertrieben. Von der Protease aus Bacillus lentus DSM 5483 leiten sich die unter der Bezeichnung BLAP® geführten Protease-Varianten ab. Weitere brauchbare Proteasen sind z.B. die unter den Handelsnamen Durazym®, Relase®, Everlase®, Nafizym®, Natalase®, Kannase® und Ovozyme® von dem Unternehmen Novozymes, die unter den Handelsnamen, Purafect®, Purafect® OxP, Purafect® Prime, Excellase® und Properase® von dem Unternehmen Danisco/Genencor, das unter dem Handelsnamen Protosol® von dem Unternehmen Advanced Biochemicals Ltd., das unter dem Handelsnamen Wuxi® von dem Unternehmen Wuxi Snyder Bioproducts Ltd., die unter den Handelsnamen Proleather® und Protease P® von dem Unternehmen Amano Pharmaceuticals Ltd., und das unter der Bezeichnung Proteinase K-16 von dem Unternehmen Kao Corp. erhältlichen Enzyme. Besonders bevorzugt eingesetzt werden auch die Proteasen aus Bacillus gibsonii und Bacillus pumilus, die offenbart sind in den internationalen Patentanmeldungen
Beispiele für Amylasen sind die α-Amylasen aus Bacillus licheniformis, Bacillus amyloliquefaciens oder Bacillus stearothermophilus sowie insbesondere auch deren für den Einsatz in Wasch- oder Reinigungsmitteln verbesserte Weiterentwicklungen. Das Enzym aus Bacillus licheniformis ist von dem Unternehmen Novozymes unter dem Namen Termamyl® und von dem Unternehmen Danisco/Genencor unter dem Namen Purastar® ST erhältlich. Weiterentwicklungsprodukte dieser α-Amylase sind von dem Unternehmen Novozymes unter den Handelsnamen Duramyl® und Termamyl® ultra, von dem Unternehmen Danisco/Genencor unter dem Namen Purastar® OxAm und von dem Unternehmen Daiwa Seiko Inc. als Keistase® erhältlich. Die α-Amylase von Bacillus amyloliquefaciens wird von dem Unternehmen Novozymes unter dem Namen BAN® vertrieben, und abgeleitete Varianten von der α-Amylase aus Bacillus stearothermophilus unter den Namen BSG® und Novamyl®, ebenfalls von dem Unternehmen Novozymes. Des Weiteren sind für diesen Zweck die α-Amylase aus Bacillus sp. A 7- 7 (DSM 12368) und die Cyclodextrin-Glucanotransferase (CGTase) aus Bacillus agaradherens (DSM 9948) hervorzuheben. Ferner sind die amylolytischen Enzyme einsetzbar, die in den internationalen Patentanmeldungen
Beispiele für Cellulasen (Endoglucanasen, EG) ist die pilzliche, Endoglucanase(EG)-reiche Cellulase-Präparation bzw. deren Weiterentwicklungen, die von dem Unternehmen Novozymes unter dem Handelsnamen Celluzyme® angeboten wird. Die ebenfalls von dem Unternehmen Novozymes erhältlichen Produkte Endolase® und Carezyme® basieren auf der 50 kD-EG, bzw. der 43 kD-EG aus Humicola insolens DSM 1800. Weitere einsetzbare Handelsprodukte dieses Unternehmens sind Cellusoft®, Renozyme® und Celluclean®. Weiterhin einsetzbar sind z.B. Cellulasen, die von dem Unternehmen AB Enzymes unter den Handelsnamen Ecostone® und Biotouch® erhältlich sind, und die zumindest zum Teil auf der 20 kD-EG aus Melanocarpus basieren. Weitere Cellulasen von dem Unternehmen AB Enzymes sind Econase® und Ecopulp®. Weitere geeignete Cellulasen sind aus Bacillus sp. CBS 670.93 und CBS 669.93, wobei die aus Bacillus sp. CBS 670.93 von dem Unternehmen Danisco/Genencor unter dem Handelsnamen Puradax® erhältlich ist. Weitere verwendbare Handelsprodukte des Unternehmens Danisco/Genencor sind „Genencor detergent cellulase L“ und lndiAge®Neutra.Examples of cellulases (endoglucanases, EG) is the fungal, endoglucanase (EG) -rich cellulase preparation or its further developments, which is offered by the Novozymes company under the trade name Celluzyme®. The products Endolase® and Carezyme®, also available from Novozymes, are based on the 50 kD EG and the 43 kD EG from Humicola insolens DSM 1800. Other commercial products from this company are Cellusoft®, Renozyme® and Celluclean®. Cellulases, for example, which are available from the company AB Enzymes under the trade names Ecostone® and Biotouch®, and which are at least partly based on the 20 kD EG from Melanocarpus, can also be used. Other cellulases from AB Enzymes are Econase® and Ecopulp®. Further suitable cellulases are from Bacillus sp. CBS 670.93 and CBS 669.93, the ones from Bacillus sp. CBS 670.93 is available from Danisco / Genencor under the trade name Puradax®. Other commercial products from Danisco / Genencor that can be used are “Genencor detergent cellulase L” and IndiAge®Neutra.
Bevorzugt einsetzbar sind z.B. Lipasen oder Cutinasen, insbesondere wegen ihrer Triglyceridspaltenden Aktivitäten, aber auch, um aus geeigneten Vorstufen in situ Persäuren zu erzeugen. Hierzu gehören z.B. die ursprünglich aus Humicola lanuginosa (Thermomyces lanuginosus) erhältlichen bzw. daraus weiterentwickelten Lipasen, insbesondere solche mit einem oder mehreren der folgenden Aminosäureaustausche ausgehend von der genannten Lipase in den Positionen D96L, T213R und/oder N233R, besonders bevorzugt T213R und N233R. Lipasen werden z.B. von dem Unternehmen Novozymes unter den Handelsnamen Lipolase®, Lipolase® Ultra, LipoPrime®, Lipozyme® und Lipex® vertrieben. Eine weitere vorteilhaft einsetzbare Lipase ist unter dem Handelsnamen Lipoclean® von dem Unternehmen Novozymes erhältlich. Des Weiteren sind z.B. die Cutinasen einsetzbar, die ursprünglich aus Fusarium solani pisi und Humicola insolens isoliert worden sind. Ebenso brauchbare Lipasen sind von dem Unternehmen Amano unter den Bezeichnungen Lipase CE®, Lipase P®, Lipase B®, bzw. Lipase CES®, Lipase AKG®, Bacillus sp. Lipase®, Lipase AP®, Lipase M-AP® und Lipase AML® erhältlich. Von dem Unternehmen Danisco/Genencor sind z.B. die Lipasen bzw. Cutinasen einsetzbar, deren Ausgangsenzyme ursprünglich aus Pseudomonas mendocina und Fusarium solanii isoliert worden sind. Als weitere wichtige Handelsprodukte sind die ursprünglich von dem Unternehmen Gist-Brocades (inzwischen Danisco/Genencor) vertriebenen Präparationen M1 Lipase® und Lipomax® und die von dem Unternehmen Meito Sangyo KK unter den Namen Lipase MY-30®, Lipase OF® und Lipase PL® vertriebenen Enzyme zu erwähnen, ferner das Produkt Lumafast® von dem Unternehmen Danisco/Genencor.Lipases or cutinases, for example, are preferably used, in particular because of their triglyceride-cleaving activities, but also to generate peracids in situ from suitable precursors. These include, for example, the lipases originally obtained from Humicola lanuginosa (Thermomyces lanuginosus) or further developed therefrom, in particular those with one or more of the following amino acid exchanges starting from the lipase mentioned in positions D96L, T213R and / or N233R, particularly preferably T213R and N233R. Lipases are sold, for example, by the Novozymes company under the trade names Lipolase®, Lipolase® Ultra, LipoPrime®, Lipozyme® and Lipex®. Another lipase that can be used advantageously is available from Novozymes under the trade name Lipoclean®. Furthermore, e.g. the cutinases that were originally isolated from Fusarium solani pisi and Humicola insolens can be used. Lipases which can also be used are available from Amano under the names Lipase CE®, Lipase P®, Lipase B®, or Lipase CES®, Lipase AKG®, Bacillus sp. Lipase®, Lipase AP®, Lipase M-AP® and Lipase AML® available. From the company Danisco / Genencor, for example, lipases or cutinases can be used whose starting enzymes were originally isolated from Pseudomonas mendocina and Fusarium solanii. Other important commercial products are the preparations M1 Lipase® and Lipomax® originally sold by the company Gist-Brocades (now Danisco / Genencor) and those from the company Meito Sangyo KK under the names Lipase MY-30®, Lipase OF® and Lipase PL ® should be mentioned as well as the product Lumafast® from Danisco / Genencor.
Zur Erhöhung der bleichenden Wirkung können erfindungsgemäß Oxidoreduktasen, z.B. Oxidasen, Oxygenasen, Katalasen, Peroxidasen, wie Halo-, Chloro-, Bromo-, Lignin-, Glucose- oder Manganperoxidasen, Dioxygenasen oder Laccasen (Phenoloxidasen, Polyphenoloxidasen) eingesetzt werden. Vorteilhafterweise werden zusätzlich vorzugsweise organische, besonders bevorzugt aromatische, mit den Enzymen wechselwirkende Verbindungen zugegeben, um die Aktivität der betreffenden Oxidoreduktasen zu verstärken (Enhancer) oder um bei stark unterschiedlichen Redoxpotentialen zwischen den oxidierenden Enzymen und den Anschmutzungen den Elektronenfluss zu gewährleisten (Mediatoren).According to the invention, oxidoreductases, for example oxidases, oxygenases, catalases, peroxidases such as halo-, chloro-, bromo-, lignin, glucose or manganese peroxidases, dioxygenases or laccases (phenol oxidases, polyphenol oxidases) can be used to increase the bleaching effect. Advantageously, preferably organic, particularly preferably aromatic, compounds interacting with the enzymes are added in order to increase the activity of the oxidoreductases in question (enhancers) or to ensure the flow of electrons (mediators) in the event of greatly differing redox potentials between the oxidizing enzymes and the soiling.
Die im Rahmen der vorliegenden Erfindung einzusetzenden Enzyme können z.B. ursprünglich aus Mikroorganismen, etwa der Gattungen Bacillus, Streptomyces, Humicola oder Pseudomonas, stammen und/oder nach an sich bekannten biotechnologischen Verfahren durch geeignete Mikroorganismen produziert werden, etwa durch transgene Expressionswirte, z.B. der Gattungen Escherichia, Bacillus oder durch filamentöse Pilze.The enzymes to be used in the context of the present invention can originate, for example, originally from microorganisms, for example of the genera Bacillus, Streptomyces, Humicola or Pseudomonas, and / or be produced by suitable microorganisms according to known biotechnological processes, for example by transgenic expression hosts, for example the genera Escherichia , Bacillus or filamentous fungi.
Es wird betont, dass es sich insbesondere auch um technische Enzympräparationen des jeweiligen Enzyms handeln kann, d.h. Begleitstoffe vorliegen können. Daher können die Enzyme zusammen mit Begleitstoffen, etwa aus der Fermentation oder mit weiteren Stabilisatoren, konfektioniert und eingesetzt werden. In flüssigen Formulierungen werden die Enzyme bevorzugt als Enzymflüssigformulierung(en) eingesetzt.It is emphasized that it can in particular also be technical enzyme preparations of the respective enzyme, i.e. accompanying substances can be present. The enzymes can therefore be packaged and used together with accompanying substances, for example from fermentation or with other stabilizers. In liquid formulations, the enzymes are preferably used as liquid enzyme formulation (s).
Die Enzyme werden in der Regel nicht in Form des reinen Proteins, sondern vielmehr in Form stabilisierter, lager- und transportfähiger Zubereitungen bereitgestellt. Zu diesen vorkonfektionierten Zubereitungen zählen z.B. die durch Granulation, Extrusion oder Lyophilisierung erhaltenen festen Präparationen oder, insbesondere bei flüssigen oder gelförmigen Mitteln, Lösungen der Enzyme, vorteilhafterweise möglichst konzentriert, wasserarm und/oder mit Stabilisatoren oder weiteren Hilfsmitteln versetzt.As a rule, the enzymes are not provided in the form of the pure protein, but rather in the form of stabilized, storable and transportable preparations. These pre-packaged preparations include, for example, the solid preparations obtained by granulation, extrusion or lyophilization or, especially in the case of liquid or gel-like agents, solutions of the enzymes, advantageously as concentrated as possible, with little water and / or with stabilizers or other auxiliaries.
Alternativ können die Enzyme sowohl für die feste als auch für die flüssige Darreichungsform verkapselt werden, z.B. durch Sprühtrocknung oder Extrusion der Enzymlösung zusammen mit einem vorzugsweise natürlichen Polymer oder in Form von Kapseln, z.B. solchen, bei denen die Enzyme wie in einem erstarrten Gel eingeschlossen sind oder in solchen vom Kern-Schale-Typ, bei dem ein enzymhaltiger Kern mit einer Wasser-, Luft- und/oder Chemikalien-undurchlässigen Schutzschicht überzogen ist. In aufgelagerten Schichten können zusätzlich weitere Wirkstoffe, z.B. Stabilisatoren, Emulgatoren, Pigmente, Bleich- oder Farbstoffe aufgebracht werden. Derartige Kapseln werden nach an sich bekannten Methoden, z.B. durch Schüttel- oder Rollgranulation oder in Fluid-bed-Prozessen aufgebracht. Vorteilhafterweise sind derartige Granulate, z.B. durch Aufbringen polymerer Filmbildner, staubarm und aufgrund der Beschichtung lagerstabil.Alternatively, the enzymes can be encapsulated both for the solid and for the liquid dosage form, for example by spray drying or extrusion of the enzyme solution together with a preferably natural polymer or in the form of capsules, for example those in which the enzymes are enclosed as in a solidified gel or in those of the core-shell type, in which an enzyme-containing core is coated with a protective layer which is impermeable to water, air and / or chemicals. Additional active ingredients, e.g. stabilizers, emulsifiers, pigments, bleaches or dyes can be applied in the layers. Such capsules are applied by methods known per se, e.g. by shaking or rolling granulation or in fluid-bed processes. Such granulates are advantageously low in dust, e.g. due to the application of polymeric film-forming agents, and due to the coating are stable in storage.
Weiterhin ist es insbesondere möglich, zwei oder mehrere Enzyme zusammen zu konfektionieren, so dass ein einzelnes Granulat mehrere Enzymaktivitäten aufweist, wie voranstehend erläutert.Furthermore, it is particularly possible to pack two or more enzymes together so that a single granulate has several enzyme activities, as explained above.
Eine enzymhaltige Formulierung, wie vorangehend beschrieben, enthält das mindestens eine Enzym üblicherweise in einer Menge von 0,1 bis 50 Gew.-%, vorzugsweise 0,1 bis 20 Gew.-%, bezogen auf das Gesamtgewicht der Formulierung.An enzyme-containing formulation, as described above, usually contains the at least one enzyme in an amount of 0.1 to 50% by weight, preferably 0.1 to 20% by weight, based on the total weight of the formulation.
Bevorzugt wird das geeignete Enzym oder die Mischung geeigneter Enzyme in Form einer enzymhaltigen Formulierung, wie voranstehend beschrieben, in das Wasch- oder Reinigungsmittel einformuliert. In derartigen Ausführungsformen ist auch die erfindungsgemäße Polymerzusammensetzung, wie voranstehend beschrieben, bzw. mindestens ein Copolymer, wie hierin beschrieben, Bestandteil entsprechender enzymhaltiger Formulierungen und dient der Stabilisierung der enthaltenen Enzyme.The suitable enzyme or the mixture of suitable enzymes is preferably formulated into the detergent or cleaning agent in the form of an enzyme-containing formulation, as described above. In such embodiments, the polymer composition according to the invention, as described above, or at least one copolymer, as described herein, is a component of corresponding enzyme-containing formulations and serves to stabilize the enzymes contained.
Ein weiterer Gegenstand der vorliegenden Erfindung ist demgemäß auch eine enzymhaltige Formulierung, umfassend mindestens eine erfindungsgemäße Polymerzusammensetzung, wie hierin beschrieben. In verschiedenen Ausführungsformen umfasst eine erfindungsgemäße enzymhaltige Formulierung vorzugsweise mindestens eine Protease. Bei der Protease handelt es sich, in verschiedenen Ausführungsformen, um eine Serin-Protease, insbesondere solche, die für den Einsatz in Wasch- und Reinigungsmittel geeignet oder optimiert sind. Beispiele für derartige Enzyme, die in den beschriebenen Formulierungen eingesetzt werden können, sind die oben konkret genannten Protease, beispielsweise die Proteasen aus Bacillus lentus DSM 5483 und davon abgeleitete Protease-Varianten, sowie die unter den Handelsnamen Durazym®, Relase®, Everlase®, Nafizym®, Natalase®, Kannase® und Ovozyme® von dem Unternehmen Novozymes, die unter den Handelsnamen, Purafect®, Purafect® OxP, Purafect® Prime, Excellase® und Properase® von dem Unternehmen Danisco/Genencor, das unter dem Handelsnamen Protosol® von dem Unternehmen Advanced Biochemicals Ltd., das unter dem Handelsnamen Wuxi® von dem Unternehmen Wuxi Snyder Bioproducts Ltd., die unter den Handelsnamen Proleather® und Protease P® von dem Unternehmen Amano Pharmaceuticals Ltd., und das unter der Bezeichnung Proteinase K-16 von dem Unternehmen Kao Corp. erhältliche(n) Enzym(e) und Proteasen aus Bacillus gibsonii und Bacillus pumilus und Varianten davon, die offenbart sind in den internationalen Patentanmeldungen
In derartigen enzymhaltigen Formulierungen sowie in den erfindungsgemäßen Wasch- oder Reinigungsmitteln, welche mindestens eine Polymerzusammensetzung, wie voranstehend definiert, oder mindestens eine enzymhaltige Formulierung, wie voranstehend definiert, umfassen, ist das mindestens eine Copolymer der Polymerzusammensetzung in einer Menge von ungefähr 1000 bis 5000 Gew.-%., beispielsweise in einer Menge von 1000, 1001, 1002, 1003, 1004, 1005, 1010, 1015, 1020, 1025, 1050, 1100, 1110, 1150, 1200, 1300, 1400, 1500, 1600, 1700, 1800, 1900, 2000, 2050, 2100, 2150, 2500, 2550, 2600, 2700, 2800, 2900, 3000, 3100, 3200, 3300, 3400, 3500, 4000, 4500 oder 5000 Gew.-%, vorzugsweise in einer Menge von ungefähr 1000 bis 4000 Gew.-%, noch bevorzugter in einer Menge von ungefähr 1000 bis 3500 Gew.-%, bezogen auf das Gesamtgewicht an Enzym(en) in der Formulierung oder dem Mittel, enthalten.In such enzyme-containing formulations and in the detergents or cleaning agents according to the invention which comprise at least one polymer composition, as defined above, or at least one enzyme-containing formulation, as defined above, the at least one copolymer of the polymer composition is in an amount of approximately 1000 to 5000 wt .-%., for example in an amount of 1000, 1001, 1002, 1003, 1004, 1005, 1010, 1015, 1020, 1025, 1050, 1100, 1110, 1150, 1200, 1300, 1400, 1500, 1600, 1700, 1800, 1900, 2000, 2050, 2100, 2150, 2500, 2550, 2600, 2700, 2800, 2900, 3000, 3100, 3200, 3300, 3400, 3500, 4000, 4500 or 5000% by weight, preferably in an amount from about 1000 to 4000% by weight, more preferably in an amount of from about 1000 to 3500% by weight, based on the total weight of enzyme (s) in the formulation or the agent.
In verschiedenen Ausführungsformen können erfindungsgemäße Wasch- oder Reinigungsmittel sowie erfindungsgemäße enzymhaltige Formulierungen weiterhin einen oder mehrere zusätzliche, im Stand der Technik bekannte Enzymstabilisatoren aufweisen.In various embodiments, washing or cleaning agents according to the invention and enzyme-containing formulations according to the invention can furthermore have one or more additional enzyme stabilizers known in the prior art.
Neben den bisher genannten Komponenten können die erfindungsgemäßen Mittel weitere Inhaltsstoffe, beispielsweise mindestens einen weiteren Bestandteil, vorzugsweise mindestens zwei weitere Bestandteile, enthalten, die die anwendungstechnischen und/oder ästhetischen Eigenschaften des Mittels weiter verbessern. Hierzu zählen beispielsweise insbesondere Tenside sowie weiterhin Additive zur Verbesserung des Ablauf- und Trocknungsverhaltens, zur Einstellung der Viskosität und/oder zur Stabilisierung, sowie weitere in Wasch- und Reinigungsmitteln übliche Hilfs- und Zusatzstoffe, etwa UV-Stabilisatoren, Perlglanzmittel, Korrosionsinhibitoren, Konservierungsmittel, Bitterstoffe, organische Salze, Desinfektionsmittel, (strukturgebende) Polymere, Entschäumer, verkapselte Inhaltsstoffe (z.B. verkapseltes Parfum), pH-Stellmittel sowie Hautgefühl-verbessernde oder pflegende Additive.In addition to the components mentioned above, the agents according to the invention can contain further ingredients, for example at least one further constituent, preferably at least two further constituents, which further improve the application-related and / or aesthetic properties of the agent. These include, for example, in particular surfactants and also additives to improve the drainage and drying behavior, to adjust the viscosity and / or to stabilize, as well as other auxiliaries and additives customary in detergents and cleaning agents, such as UV stabilizers, pearlescent agents, corrosion inhibitors, preservatives, Bitter substances, organic salts, disinfectants, (structuring) polymers, defoamers, encapsulated ingredients (e.g. encapsulated perfume), pH adjusters and additives that improve or care for the skin.
In verschiedenen Ausführungsformen umfasst ein wie hierin beschriebenes Wasch- oder Reinigungsmittel insbesondere mindestens ein Tensid. Als Tenside kommen insbesondere anionische Tenside, nichtionische Tenside und deren Gemische, aber auch kationische, zwitterionische und amphotere Tenside in Frage.In various embodiments, a washing or cleaning agent as described herein comprises in particular at least one surfactant. Particularly suitable surfactants are anionic surfactants, nonionic surfactants and mixtures thereof, but also cationic, zwitterionic and amphoteric surfactants.
Geeignete Verbindung aus der Klasse der anionischen Tenside sind solche der Formel (I)
In dieser Formel (I) steht R für einen linearen oder verzweigten unsubstituierten Alkylarylrest. X steht für ein einwertiges Kation oder den n-ten Teil eines n-wertigen Kations, bevorzugt sind dabei die Alkalimetallionen und darunter Na+ oder K+, wobei Na+ äußerst bevorzugt ist. Weitere Kationen X+ können ausgewählt sein aus NH4+, ½ Zn2+, ½ Mg2+, ½ Ca2+, ½ Mn2+, und deren Mischungen.In this formula (I), R stands for a linear or branched unsubstituted alkylaryl radical. X stands for a monovalent cation or the nth part of an n-valent cation, preferred are the alkali metal ions, including Na + or K + , Na + being extremely preferred. Further cations X + can be selected from NH4 + , ½ Zn 2+ , ½ Mg 2+ , ½ Ca 2+ , ½ Mn 2+ , and mixtures thereof.
„Alkylaryl“, wie hierin verwendet, bezieht sich auf organische Reste, die aus einem Alkylrest und einem aromatischen Rest bestehen. Typische Beispiele für derartige Reste schließen ein, sind aber nicht beschränkt auf Alkylbenzolreste, wie Benzyl, Butylbenzolreste, Nonylbenzolreste, Decylbenzolreste, Undecylbenzolreste, Dodecylbenzolreste, Tridecylbenzolreste und ähnliche.As used herein, “alkylaryl” refers to organic radicals consisting of an alkyl radical and an aromatic radical. Typical examples of such groups include, but are not limited to, alkylbenzene groups such as benzyl, butylbenzene groups, nonylbenzene groups, decylbenzene groups, undecylbenzene groups, dodecylbenzene groups, tridecylbenzene groups, and the like.
In verschiedenen Ausführungsformen sind derartige Tenside ausgewählt aus linearen oder verzweigten Alkylbenzolsulfonaten der Formel A-1:
In verschiedenen Ausführungsformen handelt es sich bei der Verbindung der Formel (I) vorzugsweise um das Natriumsalz eines linearen Alkylbenzolsulfonats.In various embodiments, the compound of the formula (I) is preferably the sodium salt of a linear alkylbenzenesulfonate.
Bevorzugte anionische Tenside sind solche der Formel (II)
In dieser Formel (II) steht R1 für einen linearen oder verzweigten, substituierten oder unsubstituierten Alkylrest, vorzugsweise für einen linearen, unsubstituierten Alkylrest, besonders bevorzugt für einen Fettalkoholrest. Bevorzugte Reste R1 sind ausgewählt aus Decyl-, Undecyl-, Dodecyl-, Tridecyl-, Tetradecyl, Pentadecyl-, Hexadecyl-, Heptadecyl-, Octadecyl-, Nonadecyl-, Eicosylresten und deren Mischungen, wobei die Vertreter mit gerader Anzahl an C-Atomen bevorzugt sind. Besonders bevorzugte Reste R1 sind abgeleitet von C12-C18-Fettalkoholen, beispielsweise von Kokosfettalkohol, Talgfettalkohol, Lauryl-, Myristyl-, Cetyl- oder Stearylalkohol oder von C10-C20-Oxoalkoholen. X steht für ein einwertiges Kation oder den n-ten Teil eines n-wertigen Kations, bevorzugt sind dabei die Alkalimetallionen und darunter Na+ oder K+, wobei Na+ äußerst bevorzugt ist. Weitere Kationen X+ können ausgewählt sein aus NH4+, ½ Zn2+, ½ Mg2+, ½ Ca2+, ½ Mn2+, und deren Mischungen.In this formula (II), R 1 represents a linear or branched, substituted or unsubstituted alkyl radical, preferably a linear, unsubstituted alkyl radical, particularly preferably a fatty alcohol radical. Preferred radicals R 1 are selected from decyl, undecyl, dodecyl, tridecyl, tetradecyl, pentadecyl, hexadecyl, heptadecyl, octadecyl, nonadecyl, eicosyl radicals and mixtures thereof, the representatives with an even number of C- Atoms are preferred. Particularly preferred radicals R 1 are derived from C 12 -C 18 fatty alcohols, for example from coconut fatty alcohol, tallow fatty alcohol, lauryl, myristyl, cetyl or stearyl alcohol or from C 10 -C 20 oxo alcohols. X stands for a monovalent cation or the nth part of an n-valent cation, preferred are the alkali metal ions, including Na + or K + , Na + being extremely preferred. Further cations X + can be selected from NH4 + , ½ Zn 2+ , ½ Mg 2+ , ½ Ca 2+ , ½ Mn 2+ , and mixtures thereof.
AO steht für eine Ethylenoxid- (EO) oder Propylenoxid- (PO) Gruppierung, vorzugsweise für eine Ethylenoxidgruppierung. Der Index n steht für eine ganze Zahl von 1 bis 50, vorzugsweise von 1 bis 20 und insbesondere von 2 bis 10. Ganz besonders bevorzugt steht n für die Zahlen 2, 3, 4, 5, 6, 7 oder 8. X steht für ein einwertiges Kation oder den n-ten Teil eines n-wertigen Kations, bevorzugt sind dabei die Alkalimetallionen und darunter Na+ oder K+, wobei Na+ äußerst bevorzugt ist. Weitere Kationen X+ können ausgewählt sein aus NH4+, ½ Zn2+, ½ Mg2+, ½ Ca2+, ½ Mn2+, und deren Mischungen.AO stands for an ethylene oxide (EO) or propylene oxide (PO) group, preferably for an ethylene oxide group. The index n stands for an integer from 1 to 50, preferably from 1 to 20 and in particular from 2 to 10. Very particularly preferably n stands for the numbers 2, 3, 4, 5, 6, 7 or 8. X stands for a monovalent cation or the n-th part of an n-valent cation, preferred are the alkali metal ions, including Na + or K + , Na + being extremely preferred. Further cations X + can be selected from NH4 + , ½ Zn 2+ , ½ Mg 2+ , ½ Ca 2+ , ½ Mn 2+ , and mixtures thereof.
Zusammenfassend können Mittel in verschiedenen Ausführungsformen somit mindestens ein anionisches Tensid enthalten ausgewählt aus Fettalkoholethersulfaten der Formel II-1
Weitere bevorzugt einsetzbare anionische Tenside sind die Alkylsulfate der Formel
In dieser Formel (III) steht R2 für einen linearen oder verzweigten, substituierten oder unsubstituierten Alkylrest, vorzugsweise für einen linearen, unsubstituierten Alkylrest, besonders bevorzugt für einen Fettalkoholrest. Bevorzugte Reste R2 sind ausgewählt aus Decyl-, Undecyl-, Dodecyl-, Tridecyl-, Tetradecyl, Pentadecyl-, Hexadecyl-, Heptadecyl-, Octadecyl-, Nonadecyl-, Eicosylresten und deren Mischungen, wobei die Vertreter mit gerader Anzahl an C-Atomen bevorzugt sind. Besonders bevorzugte Reste R2 sind abgeleitet von C12-C18-Fettalkoholen, beispielsweise von Kokosfettalkohol, Talgfettalkohol, Lauryl-, Myristyl-, Cetyl- oder Stearylalkohol oder von C10-C20-Oxoalkoholen. X steht für ein einwertiges Kation oder den n-ten Teil eines n-wertigen Kations, bevorzugt sind dabei die Alkalimetallionen und darunter Na+ oder K+, wobei Na+ äußerst bevorzugt ist. Weitere Kationen X+ können ausgewählt sein aus NH4+, ½ Zn2+, ½ Mg2+, ½ Ca2+, ½ Mn2+, und deren Mischungen.In this formula (III), R 2 represents a linear or branched, substituted or unsubstituted alkyl radical, preferably a linear, unsubstituted alkyl radical, particularly preferably a fatty alcohol radical. Preferred radicals R 2 are selected from decyl, undecyl, dodecyl, tridecyl, tetradecyl, pentadecyl, hexadecyl, heptadecyl, octadecyl, nonadecyl, eicosyl radicals and mixtures thereof, the representatives with an even number of C- Atoms are preferred. Particularly preferred radicals R 2 are derived from C 12 -C 18 fatty alcohols, for example from coconut fatty alcohol, tallow fatty alcohol, lauryl, myristyl, cetyl or stearyl alcohol or from C 10 -C 20 oxo alcohols. X stands for a monovalent cation or the nth part of an n-valent cation, preferred are the alkali metal ions, including Na + or K + , Na + being extremely preferred. Further cations X + can be selected from NH4 + , ½ Zn 2+ , ½ Mg 2+ , ½ Ca 2+ , ½ Mn 2+ , and mixtures thereof.
In verschiedenen Ausführungsformen sind diese Tenside ausgewählt aus Fettalkoholsulfaten der Formel III-1
Weitere einsetzbare anionische Tenside sind die Alkylestersulfonate, insbesondere solche der Formel IV:
In dieser Formel (IV) steht R1 für einen linearen oder verzweigten, substituierten oder unsubstituierten Alkylrest, vorzugsweise für einen linearen, unsubstituierten Alkylrest. Bevorzugte Reste R1 sind ausgewählt aus Nonyl-, Decyl-, Undecyl-, Dodecyl-, Tridecyl-, Tetradecyl, Pentadecyl-, Hexadecyl-, Heptadecyl-, Octadecyl-, Nonadecyl-, Eicosyl-, Heneicosylresten und deren Mischungen, wobei die Vertreter mit ungerader Anzahl an C-Atomen bevorzugt sind. Besonders bevorzugte Reste R1-CH sind abgeleitet von C12-C18-Fettsäuren, beispielsweise von Lauryl-, Myristyl-, Cetyl- oder Stearylsäure. R2 steht für einen linearen oder verzweigten, substituierten oder unsubstituierten Alkylrest, vorzugsweise für einen linearen, unsubstituierten Alkylrest. Bevorzugte Reste R2 sind C1-6 Alkylreste, insbesondere Methyl (=Methylestersulfonate). X steht für ein einwertiges Kation oder den n-ten Teil eines n-wertigen Kations, bevorzugt sind dabei die Alkalimetallionen und darunter Na+ oder K+, wobei Na+ äußerst bevorzugt ist. Weitere Kationen X+ können ausgewählt sein aus NH4+, ½ Zn2+, ½ Mg2+, ½ Ca2+, ½ Mn2+, und deren Mischungen.In this formula (IV), R 1 represents a linear or branched, substituted or unsubstituted alkyl radical, preferably a linear, unsubstituted alkyl radical. Preferred radicals R 1 are selected from nonyl, decyl, undecyl, dodecyl, tridecyl, tetradecyl, pentadecyl, hexadecyl, heptadecyl, octadecyl, nonadecyl, eicosyl, heneicosyl radicals and mixtures thereof, the representatives with an odd number of carbon atoms are preferred. Particularly preferred radicals R 1 —CH are derived from C 12 -C 18 fatty acids, for example from lauric, myristyl, cetyl or stearic acid. R 2 represents a linear or branched, substituted or unsubstituted alkyl radical, preferably a linear, unsubstituted alkyl radical. Preferred radicals R 2 are C 1-6 alkyl radicals, in particular methyl (= methyl ester sulfonate). X stands for a monovalent cation or the nth part of an n-valent cation, preferred are the alkali metal ions, including Na + or K + , Na + being extremely preferred. Further cations X + can be selected from NH4 + , ½ Zn 2+ , ½ Mg 2+ , ½ Ca 2+ , ½ Mn 2+ , and mixtures thereof.
Ebenfalls geeignet als anionische Tenside sind die sekundären Alkansulfonate. Diese weisen beispielsweise die Formel (V)
In verschiedenen bevorzugten Ausführungsform weist das mindestens eine sekundäre Alkansulfonat die nachstehende Formel (V-1)
Als nichtionische Tenside kommen insbesondere Fettalkoholalkoxylate in Betracht. In verschiedenen Ausführungsformen enthalten die Mittel daher mindestens ein nichtionisches Tensid der Formel
In der vorstehend genannten Formel (VI) steht R3 für einen linearen oder verzweigten, substituierten oder unsubstituierten Alkylrest, vorzugsweise für einen linearen, unsubstituierten Alkylrest, besonders bevorzugt für einen Fettalkoholrest. Bevorzugte Reste R2 sind ausgewählt aus Decyl-, Undecyl-, Dodecyl-, Tridecyl-, Tetradecyl, Pentadecyl-, Hexadecyl-, Heptadecyl-, Octadecyl-, Nonadecyl-, Eicosylresten und deren Mischungen, wobei die Vertreter mit gerader Anzahl an C-Atomen bevorzugt sind. Besonders bevorzugte Reste R3 sind abgeleitet von C12-C18-Fettalkoholen, beispielsweise von Kokosfettalkohol, Talgfettalkohol, Lauryl-, Myristyl-, Cetyl- oder Stearylalkohol oder von C10-C20-Oxoalkoholen.In the above formula (VI), R 3 represents a linear or branched, substituted or unsubstituted alkyl radical, preferably a linear, unsubstituted alkyl radical, particularly preferably a fatty alcohol radical. Preferred radicals R 2 are selected from decyl, undecyl, dodecyl, tridecyl, tetradecyl, pentadecyl, hexadecyl, heptadecyl, octadecyl, nonadecyl, eicosyl radicals and mixtures thereof, the representatives with an even number of C- Atoms are preferred. Particularly preferred radicals R 3 are derived from C 12 -C 18 fatty alcohols, for example from coconut fatty alcohol, tallow fatty alcohol, lauryl, myristyl, cetyl or stearyl alcohol or from C 10 -C 20 oxo alcohols.
AO steht für eine Ethylenoxid- (EO) oder Propylenoxid- (PO) Gruppierung, vorzugsweise für eine Ethylenoxidgruppierung. Der Index m steht für eine ganze Zahl von 1 bis 50, vorzugsweise von 1 bis 20 und insbesondere von 2 bis 10. Ganz besonders bevorzugt steht m für die Zahlen 2, 3, 4, 5, 6, 7 oder 8.AO stands for an ethylene oxide (EO) or propylene oxide (PO) group, preferably for an ethylene oxide group. The index m stands for an integer from 1 to 50, preferably from 1 to 20 and in particular from 2 to 10. m is very particularly preferably the numbers 2, 3, 4, 5, 6, 7 or 8.
Zusammenfassend handelt es sich bei vorzugsweise einzusetzenden Fettalkoholalkoxylaten um Verbindungen der Formel
Als nichtionische Tenside sind beispielsweise auch Aminoxide geeignet. Prinzipiell sind diesbezüglich alle im Stand der Technik für diese Zwecke etablierten Aminoxide, also Verbindungen, die die Formel R1R2R3NO aufweisen, worin jedes R1, R2 und R3 unabhängig von den anderen eine gegebenenfalls substituierte, beispielsweise Hydroxy-substituierte, C1-C30 Kohlenwasserstoffkette ist, einsetzbar. Besonders bevorzugt eingesetzte Aminoxide sind solche in denen R1 C12-C18 Alkyl und R2 und R3 jeweils unabhängig C1-C4 Alkyl sind, insbesondere C12-C18 Alkyldimethylaminoxide. Beispielhafte Vertreter geeigneter Aminoxide sind N-Kokosalkyl-N,N-dimethylaminoxid, N-Talgalkyl-N,N-dihydroxyethylaminoxid, Myristyl-/Cetyldimethylaminoxid oder Lauryldimethylaminoxid.Amine oxides, for example, are also suitable as nonionic surfactants. In principle, all amine oxides established in the prior art for these purposes, i.e. compounds which have the formula R 1 R 2 R 3 NO, in which each R 1 , R 2 and R 3 independently of the others is an optionally substituted, for example hydroxy- substituted, C 1 -C 30 hydrocarbon chain can be used. Amine oxides used with particular preference are those in which R 1 is C 12 -C 18 alkyl and R 2 and R 3 are each independently C 1 -C 4 alkyl, in particular C 12 -C 18 alkyldimethylamine oxides. Exemplary representatives of suitable amine oxides are N-cocoalkyl-N, N-dimethylamine oxide, N-tallowalkyl-N, N-dihydroxyethylamine oxide, myristyl / cetyldimethylamine oxide or lauryldimethylamine oxide.
Weitere nichtionische Tenside, die im Sinne der vorliegenden Erfindung in den beschriebenen Mitteln enthalten sein können, schließen ein, sind aber nicht beschränkt auf Alkylglykoside, alkoxylierte Fettsäurealkylester, Fettsäurealkanolamide, Hydroxymischether, Sorbitanfettsäurester, Polyhydroxyfettsäureamide und alkoxylierte Alkohole. Derartige Tenside sind im Stand der Technik bekannt.Further nonionic surfactants which can be contained in the agents described for the purposes of the present invention include, but are not limited to, alkyl glycosides, alkoxylated fatty acid alkyl esters, fatty acid alkanolamides, hydroxy mixed ethers, sorbitan fatty acid esters, polyhydroxy fatty acid amides and alkoxylated alcohols. Such surfactants are known in the prior art.
Geeignete Alkyl(poly)glykoside sind beispielsweise solche der Formel R2O-[G]p, in der R2 ein es oder verzweigtes Alkyl mit 12 bis 16 Kohlenstoffatomen, G ein Zuckerrest mit 5 oder 6 Kohlenstoffatomen, insbesondere Glucose, und der Index p 1 bis 10 ist.Suitable alkyl (poly) glycosides are, for example, those of the formula R 2 O- [G] p , in which R 2 is a branched or branched alkyl with 12 to 16 carbon atoms, G is a sugar residue with 5 or 6 carbon atoms, in particular glucose, and the index p is 1 to 10.
Geeignete Amphotenside sind beispielsweise Betaine der Formel (Riii)(Riv)(Rv)N+CH2COO-, in der Riii einen gegebenenfalls durch Heteroatome oder Heteroatomgruppen unterbrochenen Alkylrest mit 8 bis 25, vorzugsweise 10 bis 21 Kohlenstoffatomen und Riv sowie Rv gleichartige oder verschiedene Alkylreste mit 1 bis 3 Kohlenstoffatomen bedeuten, insbesondere C10-C18-Alkyl-dimethylcarboxymethylbetain und C11-C17-Alkylamidopropyl-dimethylcarboxymethylbetain.Suitable amphoteric surfactants are, for example, betaines of the formula (R iii ) (R iv ) (R v ) N + CH 2 COO-, in which R iii is an alkyl radical with 8 to 25, preferably 10 to 21 carbon atoms, optionally interrupted by heteroatoms or heteroatom groups, and R. iv and R v denote identical or different alkyl radicals with 1 to 3 carbon atoms, in particular C 10 -C 18 -alkyl-dimethylcarboxymethylbetaine and C 11 -C 17 -alkylamidopropyl-dimethylcarboxymethylbetaine.
Geeignete Kationtenside sind u.a. die quartären Ammoniumverbindungen der Formel (Rvi)(Rvii)(Rviii)(Rix)N+ X-, in der Rvi bis Rix für vier gleich- oder verschiedenartige, insbesondere zwei lang- und zwei kurzkettige, Alkylreste und X- für ein Anion, insbesondere ein Halogenidion, stehen, beispielsweise Didecyldimethylammoniumchlorid, Alkylbenzyldidecylammoniumchlorid und deren Mischungen. Weitere geeignete kationische Tenside sind die quaternären oberflächenaktiven Verbindungen, insbesondere mit einer Sulfonium-, Phosphonium-, Jodonium- oder Arsoniumgruppe, die auch als antimikrobielle Wirkstoffe bekannt sind. Durch den Einsatz von quaternären oberflächenaktiven Verbindungen mit antimikrobieller Wirkung kann das Mittel mit einer antimikrobiellen Wirkung ausgestaltet werden bzw. dessen gegebenenfalls aufgrund anderer Inhaltsstoffe bereits vorhandene antimikrobielle Wirkung verbessert werden.Suitable cationic surfactants include the quaternary ammonium compounds of the formula (R vi ) (R vii ) (R viii ) (R ix ) N + X - , in which R vi to R ix represent four identical or different types, in particular two long and two short-chain, alkyl radicals and X- stand for an anion, in particular a halide ion, for example didecyldimethylammonium chloride, alkylbenzyldidecylammonium chloride and mixtures thereof. Further suitable cationic surfactants are the quaternary surface-active compounds, in particular with a sulfonium, phosphonium, iodonium or arsonium group, which are also known as antimicrobial agents. By using quaternary surface-active compounds with an antimicrobial effect, the agent can be designed with an antimicrobial effect or its antimicrobial effect, which may already be present due to other ingredients, can be improved.
In verschiedenen Ausführungsformen beträgt die Gesamtmenge der Tenside, bezogen auf das Gesamtgewicht des Mittels, 5 bis 75 Gew.-%, vorzugsweise 5 bis 35 Gew.-%, noch bevorzugter 10 bis 30 Gew.-%.In various embodiments, the total amount of surfactants, based on the total weight of the agent, is 5 to 75% by weight, preferably 5 to 35% by weight, more preferably 10 to 30% by weight.
Ein erfindungsgemäßes Mittel enthält, in einigen Ausführungsformen, mindestens einen wasserlöslichen und/oder wasserunlöslichen, organischen und/oder anorganischen Builder (Gerüststoff).An agent according to the invention contains, in some embodiments, at least one water-soluble and / or water-insoluble, organic and / or inorganic builder (builder).
Zu den generell einsetzbaren Gerüststoffen zählen insbesondere die Aminocarbonsäuren und deren Salze, Zeolithe, Silikate, Carbonate, organische (Co)Builder und - wo keine ökologischen Vorurteile gegen ihren Einsatz bestehen - auch die Phosphate. Gemäß einigen Ausführungsformen sind die Mittel allerdings phosphatfrei.The builders that can generally be used include in particular the aminocarboxylic acids and their salts, zeolites, silicates, carbonates, organic (co) builders and - where there are no ecological prejudices against their use - also the phosphates. According to some embodiments, however, the agents are phosphate-free.
Zu den wasserlöslichen organischen Buildersubstanzen gehören Polycarbonsäuren, insbesondere Citronensäure und Zuckersäuren, monomere und polymere Aminopolycarbonsäuren, insbesondere Methylglycindiessigsäure, Nitrilotriessigsäure und Ethylendiamintetraessigsäure sowie Polyasparaginsäure, Polyphosphonsäuren, insbesondere Aminotris(methylenphosphonsäure), Ethylendiamintetrakis(methylenphosphonsäure) und 1-Hydroxyethan-1,1-diphosphonsäure, polymere Hydroxyverbindungen wie Dextrin sowie polymere (Poly-)carbonsäuren, polymere Acrylsäuren, Methacrylsäuren, Maleinsäuren und Mischpolymere aus diesen, die auch geringe Anteile polymerisierbarer Substanzen ohne Carbonsäurefunktionalität einpolymerisiert enthalten können. Weitere geeignete, wenn auch weniger bevorzugte Verbindungen dieser Klasse sind Copolymere der Acrylsäure oder Methacrylsäure mit Vinylethern, wie Vinylmethylethern, Vinylester, Ethylen, Propylen und Styrol, in denen der Anteil der Säure mindestens 50 Gew.-% beträgt. Alle genannten Säuren werden in der Regel in Form ihrer wasserlöslichen Salze, insbesondere ihre Alkalisalze, eingesetzt.The water-soluble organic builders include polycarboxylic acids, particularly citric acid and sugar acids, monomeric and polymeric aminopolycarboxylic acids, in particular methylglycinediacetic acid, nitrilotriacetic acid and ethylenediaminetetraacetic acid and polyaspartic acid, polyphosphonic acids, especially amino-tris (methylenephosphonic acid), ethylenediaminetetrakis (methylenephosphonic acid) and 1-hydroxyethane-1,1-diphosphonic acid, polymeric hydroxy compounds such as dextrin and polymeric (poly) carboxylic acids, polymeric acrylic acids, methacrylic acids, maleic acids and copolymers of these, which can also contain small amounts of polymerizable substances without carboxylic acid functionality in polymerized form. Further suitable, albeit less preferred, compounds of this class are copolymers of acrylic acid or methacrylic acid with vinyl ethers, such as vinyl methyl ethers, vinyl esters, ethylene, propylene and styrene, in which the acid makes up at least 50% by weight. All of the acids mentioned are generally used in the form of their water-soluble salts, in particular their alkali salts.
Als wasserlösliche anorganische Buildermaterialien kommen insbesondere Alkalisilikate und Polyphosphate, vorzugsweise Natriumtriphosphat, in Betracht. Als wasserunlösliche, wasserdispergierbare anorganische Buildermaterialien können insbesondere kristalline oder amorphe Alkalialumosilikate eingesetzt werden. Unter diesen sind die kristallinen Natriumalumosilikate in Waschmittelqualität, insbesondere Zeolith A, P und gegebenenfalls X, bevorzugt. Geeignete Alumosilikate weisen insbesondere keine Teilchen mit einer Korngröße über 30 µm auf und bestehen vorzugsweise zu wenigstens 80 Gew.-% aus Teilchen mit einer Größe unter 10 µm.Particularly suitable water-soluble inorganic builder materials are alkali metal silicates and polyphosphates, preferably sodium triphosphate. In particular, crystalline or amorphous alkali metal aluminosilicates can be used as water-insoluble, water-dispersible inorganic builder materials. Among these, the crystalline sodium aluminosilicates in detergent quality, in particular zeolite A, P and optionally X, are preferred. Suitable aluminosilicates in particular do not have any particles with a grain size of more than 30 μm and preferably consist of at least 80% by weight of particles with a size of less than 10 μm.
Geeignete Substitute beziehungsweise Teilsubstitute für das genannte Alumosilikat sind kristalline Alkalisilikate, die allein oder im Gemisch mit amorphen Silikaten vorliegen können. Die in den erfindungsgemäßen Mitteln als Gerüststoffe brauchbaren Alkalisilikate weisen vorzugsweise ein molares Verhältnis von Alkalioxid zu SiO2 unter 0,95, insbesondere von 1:1,1 bis 1:12 auf und können amorph oder kristallin vorliegen. Bevorzugte Alkalisilikate sind die Natriumsilikate, insbesondere die amorphen Natriumsilikate, mit einem molaren Verhältnis Na2O:SiO2 von 1:2 bis 1:2,8. Als kristalline Silikate, die allein oder im Gemisch mit amorphen Silikaten vorliegen können, werden vorzugsweise 22 kristalline Schichtsilikate der allgemeinen Formel Na2SixO2x+1 · y H2O eingesetzt, in der x, das sogenannte Modul, eine Zahl von 1,9 bis 4 und y eine Zahl von 0 bis 20 ist und bevorzugte Werte für x 2, 3 oder 4 sind. Bevorzugte kristalline Schichtsilikate sind solche, bei denen x in der genannten allgemeinen Formel die Werte 2 oder 3 annimmt. Insbesondere sind sowohl beta- als auch delta-Natriumdisilikate (Na2Si2O5 · y H2O) bevorzugt. Auch aus amorphen Alkalisilikaten hergestellte, praktisch wasserfreie kristalline Alkalisilikate der obengenannten allgemeinen Formel, in der x eine Zahl von 1,9 bis 2,1 bedeutet, können in erfindungsgemäßen Mitteln eingesetzt werden. In einer weiteren bevorzugten Ausführungsform erfindungsgemäßer Mittel wird ein kristallines Natriumschichtsilikat mit einem Modul von 2 bis 3 eingesetzt, wie es aus Sand und Soda hergestellt werden kann. Kristalline Natriumsilikate mit einem Modul im Bereich von 1,9 bis 3,5 werden in einer weiteren bevorzugten Ausführungsform erfindungsgemäßer Mittel eingesetzt. Falls als zusätzliche Buildersubstanz auch Alkalialumosilikat, insbesondere Zeolith, vorhanden ist, beträgt das Gewichtsverhältnis Alumosilikat zu Silikat, jeweils bezogen auf wasserfreie Aktivsubstanzen, vorzugsweise 1:10 bis 10:1. In Mitteln, die sowohl amorphe als auch kristalline Alkalisilikate enthalten, beträgt das Gewichtsverhältnis von amorphem Alkalisilikat zu kristallinem Alkalisilikat vorzugsweise 1:2 bis 2:1 und insbesondere 1:1 bis 2:1.Suitable substitutes or partial substitutes for said aluminosilicate are crystalline alkali metal silicates, which can be present alone or in a mixture with amorphous silicates. The alkali silicates usable as builders in the agents according to the invention preferably have a molar ratio of alkali oxide to SiO 2 below 0.95, in particular from 1: 1.1 to 1:12, and can be amorphous or crystalline. Preferred alkali silicates are the sodium silicates, in particular the amorphous sodium silicates, with a molar ratio Na 2 O: SiO 2 of 1: 2 to 1: 2.8. The crystalline silicates used alone or in a mixture with amorphous silicates are preferably 22 crystalline sheet silicates of the general formula Na 2 Si x O 2x + 1 y H 2 O, in which x, the so-called module, is a number of 1 , 9 to 4 and y is a number from 0 to 20 and preferred values for x are 2, 3 or 4. Preferred crystalline sheet silicates are those in which x in the general formula mentioned assumes the values 2 or 3. In particular, both beta and delta sodium disilicates (Na 2 Si 2 O 5 · y H 2 O) are preferred. Virtually anhydrous crystalline alkali silicates of the above general formula, in which x is a number from 1.9 to 2.1, prepared from amorphous alkali silicates, can also be used in agents according to the invention. In a further preferred embodiment of agents according to the invention, a crystalline layered sodium silicate with a module of 2 to 3, as can be produced from sand and soda, is used. Crystalline sodium silicates with a modulus in the range from 1.9 to 3.5 are used in a further preferred embodiment of agents according to the invention. If alkali aluminosilicate, in particular zeolite, is also present as an additional builder substance, the weight ratio of aluminosilicate to silicate, based in each case on anhydrous active substances, is preferably 1:10 to 10: 1. In agents containing both amorphous and crystalline alkali silicates, is the weight ratio of amorphous alkali metal silicate to crystalline alkali metal silicate is preferably 1: 2 to 2: 1 and in particular 1: 1 to 2: 1.
Die hierin beschriebenen Wasch- und Reinigungsmittel sind, in einigen Ausführungsformen, vorzugsweise flüssiger Natur und können insbesondere als homogene Lösungen oder Suspensionen vorliegen. In verschiedenen Ausführungsformen, welche eine enzymhaltige Formulierung, wie voranstehend beschrieben, umfassen, kann alternativ auch nur die vorgenannte Zusammensetzung in flüssiger Form vorliegen, während gegebenenfalls vorhandene weitere Zusammensetzungen in fester Form vorliegen können. „Fest“ bedeutet in diesem Kontext, dass die Zusammensetzung bei Standardbedingungen als Feststoff, insbesondere als Pulver oder Granulat oder Kompaktat vorliegt.The detergents and cleaning agents described herein are, in some embodiments, preferably of a liquid nature and can in particular be in the form of homogeneous solutions or suspensions. In various embodiments which comprise an enzyme-containing formulation, as described above, only the aforementioned composition can alternatively also be present in liquid form, while further compositions which may be present can be present in solid form. “Solid” in this context means that the composition is present under standard conditions as a solid, in particular as a powder or granulate or compact.
In einigen Ausführungsformen handelt es sich bei dem erfindungsgemäßen Mittel um ein Waschmittel, insbesondere ein flüssiges Waschmittel.In some embodiments, the agent according to the invention is a detergent, in particular a liquid detergent.
In einer Ausführungsform sind die Mittel gemäß der vorliegenden Erfindung flüssig und enthalten Wasser als Hauptlösungsmittel, d.h. es handelt sich um wässrige Mittel. Der Wassergehalt des erfindungsgemäßen wässrigen Mittels beträgt üblicherweise 15 bis 70 Gew.-%, vorzugsweise 20 bis 60 Gew.-%. In verschiedenen Ausführungsformen beträgt der Wassergehalt mehr als 5 Gew.-%, bevorzugt mehr als 15 Gew.-% und insbesondere bevorzugt mehr als 50 Gew.-%, jeweils bezogen auf die Gesamtmenge an Mittel.In one embodiment, the compositions according to the present invention are liquid and contain water as the main solvent, i.e. they are aqueous compositions. The water content of the aqueous agent according to the invention is usually 15 to 70% by weight, preferably 20 to 60% by weight. In various embodiments, the water content is more than 5% by weight, preferably more than 15% by weight and particularly preferably more than 50% by weight, based in each case on the total amount of agent.
Daneben können dem Mittel nichtwässrige Lösungsmittel zugesetzt werden. Geeignete nichtwässrige Lösungsmittel umfassen ein- oder mehrwertige Alkohole, Alkanolamine oder Glykolether, sofern sie im angegebenen Konzentrationsbereich mit Wasser mischbar sind. Vorzugsweise werden die Lösungsmittel ausgewählt aus Ethanol, n-Propanol, i-Propanol, Butanolen, Glykol, Propandiol, Butandiol, Methylpropandiol, Glycerin, Diglykol, Propyldiglycol, Butyldiglykol, Hexylenglycol, Ethylenglykolmethylether, Ethylenglykolethylether, Ethylenglykolpropylether, Ethylenglykolmono-n-23 butylether, Diethylenglykolmethylether, Diethylenglykolethylether, Propylenglykolmethylether, Propylenglykolethylether, Propylenglykolpropylether, Dipropylenglykolmonomethylether, Dipropylenglykolmonoethylether, Methoxytriglykol, Ethoxytriglykol, Butoxytriglykol, 1-Butoxyethoxy-2-propanol, 3-Methyl-3-methoxybutanol, Propylen-glykol-t-butylether, Di-n-octylether sowie Mischungen dieser Lösungsmittel.In addition, non-aqueous solvents can be added to the agent. Suitable non-aqueous solvents include monohydric or polyhydric alcohols, alkanolamines or glycol ethers, provided they are miscible with water in the specified concentration range. The solvents are preferably selected from ethanol, n-propanol, i-propanol, butanols, glycol, propanediol, butanediol, methylpropanediol, glycerol, diglycol, propyldiglycol, butyldiglycol, hexylene glycol, ethylene glycol methyl ether, ethylene glycol ethyl ether, ethylene glycol methyl ether, diethylene glycol propyl ether, ethylene glycol 233 ether, diethylene glycol ether , Diethylene glycol ethyl ether, propylene glycol methyl ether, propylene glycol ethyl ether, propylene glycol propyl ether, dipropylene glycol monomethyl ether, dipropylene glycol monoethyl ether, methoxy triglycol, ethoxy glycol, butoxy triglycol, 1-butoxyethoxy-2-propanol, propylene-butoxyethoxy-2-propanol, n-butoxy-2-propanol, 3-butyl-3-methoxyether, and mixtures of n-butoxy-butyl-3-propanol, propylene-octanolether, propylene-octanolether, propylene-butoxy-2-propanol, n-butoxy-3-butanolether, propylene-butoxy-2-propanol, n-butoxy-2-propanol, propylene-octyl-3-ether, propylene-butoxy-2-propanol, propylene-butyl-3-ether, propylene glycol monomethylether, this solvent.
Das eine oder die mehreren nichtwässrigen Lösungsmittel ist/sind üblicherweise in einer Menge von 0,1 bis 60 Gew.-%, vorzugsweise 5 bis 60 Gew.-%, noch bevorzugter 10-30 Gew.-%, bezogen auf die Gesamtzusammensetzung, enthalten.The one or more non-aqueous solvents is / are usually contained in an amount of 0.1 to 60% by weight, preferably 5 to 60% by weight, more preferably 10-30% by weight, based on the total composition .
Generell kann der pH-Wert der erfindungsgemäßen Mittel mittels üblicher pH-Regulatoren eingestellt werden. In verschiedenen Ausführungsformen liegt pH-Wert erfindungsgemäßer Mittel in einem Bereich von 7,0 bis 12, vorzugsweise 8,0 bis 11,5, bevorzugt größer als 8, insbesondere 8,5 bis 11,5. Als pH-Stellmittel dienen Säuren und/oder Alkalien, vorzugsweise Alkalien. Geeignete Säuren sind insbesondere organische Säuren wie die Essigsäure, Zitronensäure, Glycolsäure, Milchsäure, Bernsteinsäure, Adipinsäure, Äpfelsäure, Weinsäure und Gluconsäure oder auch Amidosulfonsäure. Daneben können aber auch die Mineralsäuren Salzsäure, Schwefelsäure und Salpetersäure bzw. deren Mischungen eingesetzt werden. Geeignete Basen stammen aus der Gruppe der Alkali- und Erdalkalimetallhydroxide und -carbonate, insbesondere der Alkalimetallhydroxide, von denen Kaliumhydroxid bevorzugt ist. Besonders bevorzugt wird zur Einstellung des pH-Werts die oben beschriebene Alkaliquelle verwendet. Auch wenn flüchtiges Alkali, beispielsweise in Form von Ammoniak und/oder Alkanolaminen, die bis zu 9 C-Atome im Molekül enthalten können, zur Einstellung des pH-Werts verwendet werden können, wobei das Alkanolamin hierbei ausgewählt werden kann aus der Gruppe bestehend aus Mono-, Di-, Triethanol- und -Propanolamin und deren Mischungen, wird vorzugsweise auf solche flüchtigen Alkaliquellen, insbesondere Ethanolamine, verzichtet. In verschiedenen Ausführungsformen enthalten die erfindungsgemäßen Mittel daher weniger als 1,75 Gew.-% Alkanolamin, insbesondere Monoethanolamin, ganz besonders bevorzugt sind sie frei davon.In general, the pH of the agents according to the invention can be adjusted by means of conventional pH regulators. In various embodiments, the pH of agents according to the invention is in a range from 7.0 to 12, preferably 8.0 to 11.5, preferably greater than 8, in particular 8.5 to 11.5. Acids and / or alkalis, preferably alkalis, are used as pH adjusting agents. Suitable acids are in particular organic acids such as acetic acid, citric acid, glycolic acid, lactic acid, succinic acid, adipic acid, malic acid, tartaric acid and gluconic acid or amidosulfonic acid. In addition, however, the mineral acids hydrochloric acid, sulfuric acid and nitric acid or mixtures thereof can also be used. Suitable bases come from the group of alkali and alkaline earth metal hydroxides and carbonates, in particular the alkali metal hydroxides, of which potassium hydroxide is preferred. The alkali source described above is particularly preferably used to adjust the pH. Even if volatile alkali, for example in the form of ammonia and / or alkanolamines, which can contain up to 9 carbon atoms in the molecule, can be used to adjust the pH, the alkanolamine here being selected from the group consisting of mono -, di-, triethanol- and propanolamine and mixtures thereof, such volatile alkali sources, in particular ethanolamines, are preferably dispensed with. In various embodiments, the agents according to the invention therefore contain less than 1.75% by weight alkanolamine, in particular monoethanolamine, and very particularly preferably they are free thereof.
Zur Einstellung und/oder Stabilisierung des pH-Werts kann ein erfindungsgemäßes Mittel weiterhin ein oder mehrere Puffersubstanzen (INCI Buffering Agents) enthalten, üblicherweise in Mengen von 0,001 bis 5 Gew.-%. Bevorzugt sind Puffersubstanzen, die zugleich Komplexbildner oder sogar Chelatbildner (Chelatoren, INCI Chelating Agents) sind. Besonders bevorzugte Puffersubstanzen sind die Citronensäure bzw. die Citrate, insbesondere die Natrium- und Kaliumcitrate, beispielsweise Trinatriumcitrat·2H2O und Trikaliumcitrat·H2O.To adjust and / or stabilize the pH, an agent according to the invention can furthermore contain one or more buffer substances (INCI buffering agents), usually in amounts of 0.001 to 5% by weight. Preference is given to buffer substances which are also complexing agents or even chelating agents (chelators, INCI chelating agents). Particularly preferred buffer substances are citric acid or the citrates, in particular the sodium and potassium citrates, for example trisodium citrate · 2H 2 O and tripotassium citrate · H 2 O.
Die zuvor genannten Ausführungsformen der vorliegenden Erfindung umfassen alle festen, pulverförmigen, flüssigen, gelförmigen oder pastösen Darreichungsformen erfindungsgemäßer Mittel, die gegebenenfalls auch aus mehreren Phasen bestehen können sowie in komprimierter oder nicht komprimierter Form vorliegen können. Das Mittel kann als rieselfähiges Pulver vorliegen, insbesondere mit einem Schüttgewicht von 300 g/l bis 1200 g/l, insbesondere 500 g/l bis 900 g/l oder 600 g/l bis 850 g/l. Zu den festen Darreichungsformen des Mittels zählen ferner Extrudate, Granulate, Tabletten oder Pouches. Alternativ kann das Mittel auch flüssig, gelförmig oder pastös sein, beispielsweise in Form eines nicht-wässrigen Flüssigwaschmittels oder einer nicht-wässrigen Paste oder in Form eines wässrigen Flüssigwaschmittels oder einer wasserhaltigen Paste. Weiterhin kann das Mittel als Einkomponentensystem vorliegen. Solche Mittel bestehen aus einer Phase. Alternativ kann ein Mittel auch aus mehreren Phasen bestehen. Ein solches Mittel ist demnach in mehrere Komponenten aufgeteilt. In einigen Ausführungsformen weist ein erfindungsgemäßes Wasch- oder Reinigungsmittel mehrere räumlich voneinander getrennte Zusammensetzungen auf, wodurch es zum einen möglich ist, nicht kompatible Inhaltsstoffe voneinander zu trennen und zum anderen möglich ist, Zusammensetzungen in Kombination anzubieten, welche zu unterschiedlichen Zeitpunkten zum Einsatz kommen.The above-mentioned embodiments of the present invention include all solid, powdery, liquid, gel-like or pasty dosage forms of agents according to the invention, which optionally can also consist of several phases and can be present in compressed or uncompressed form. The agent can be present as a free-flowing powder, in particular with a bulk density of 300 g / l to 1200 g / l, in particular 500 g / l to 900 g / l or 600 g / l to 850 g / l. The solid dosage forms of the agent also include extrudates, granules, tablets or pouches. Alternatively, the agent can also be liquid, gel-like or pasty, for example in the form of a non-aqueous liquid detergent or a non-aqueous paste or in the form of an aqueous liquid detergent or a water-containing paste. Furthermore, the agent can be in the form of a one-component system. Such means consist of a phase. Alternatively, a means can also consist of several phases. Such a means is therefore divided into several components. In some embodiments, a washing or cleaning agent according to the invention has several spatially separate compositions, which on the one hand makes it possible to separate incompatible ingredients and on the other hand it is possible to offer compositions in combination which are used at different times.
Die hierin beschriebenen Wasch- und Reinigungsmittel werden vorzugsweise zu Dosiereinheiten vorkonfektioniert. Diese Dosiereinheiten umfassen vorzugsweise die für einen Reinigungsgang notwendige Menge an wasch- oder reinigungsaktiven Substanzen. Bevorzugte Dosiereinheiten weisen ein Gewicht zwischen 12 und 30 g auf. Das Volumen der vorgenannten Dosiereinheiten sowie deren Raumform sind mit besonderem Vorzug so gewählt, dass eine Dosierbarkeit der vorkonfektionierten Einheiten über die Dosierkammer einer Wasch- oder Geschirrspülmaschine gewährleistet ist. Das Volumen der Dosiereinheit beträgt daher bevorzugt zwischen 10 und 35 ml, vorzugsweise zwischen 12 und 30 ml.The detergents and cleaning agents described herein are preferably pre-packaged into metering units. These metering units preferably comprise the amount of washing or cleaning-active substances necessary for a cleaning cycle. Preferred dosing units have a weight between 12 and 30 g. The volume of the aforementioned metering units and their spatial shape are particularly preferably selected so that the pre-assembled units can be metered via the metering chamber of a washing machine or dishwasher. The volume of the dosing unit is therefore preferably between 10 and 35 ml, preferably between 12 and 30 ml.
Die Wasch- und Reinigungsmittel, insbesondere die vorgefertigten Dosiereinheiten, weisen mit besonderem Vorzug eine wasserlösliche Umhüllung auf. In einigen Ausführungsformen liegt ein wie hierin beschriebenes Mittel in Form einer Einheitsdosis vor, wie vorangehend beschrieben. In bevorzugten Ausführungsformen liegt ein solches erfindungsgemäßes Mittel insbesondere umhüllt von einer wasserlöslichen Folie vor.The washing and cleaning agents, in particular the prefabricated metering units, have a water-soluble coating with particular preference. In some embodiments, an agent as described herein is in unit dose form, as previously described. In preferred embodiments, such an agent according to the invention is in particular encased by a water-soluble film.
Die wasserlösliche Umhüllung wird vorzugsweise aus einem wasserlöslichen Folienmaterial, welches ausgewählt ist aus der Gruppe, bestehend aus Polymeren oder Polymergemischen, gebildet. Die Umhüllung kann aus einer oder aus zwei oder mehr Lagen aus dem wasserlöslichen Folienmaterial gebildet werden. Das wasserlösliche Folienmaterial der ersten Lage und der weiteren Lagen, falls vorhanden, kann gleich oder unterschiedlich sein. Besonders bevorzugt sind Folien, die beispielsweise zu Verpackungen wie Schläuchen oder Kissen verklebt und/oder versiegelt werden können, nachdem sie mit einem Mittel befüllt wurden. In verschiedenen Ausführungsformen haben die Folien die Form von Mehrkammerpouches.The water-soluble envelope is preferably formed from a water-soluble film material which is selected from the group consisting of polymers or polymer mixtures. The envelope can be formed from one or from two or more layers of the water-soluble film material. The water-soluble film material of the first layer and the further layers, if present, can be the same or different. Particularly preferred are foils which, for example, can be glued and / or sealed to form packaging such as tubes or pillows after they have been filled with an agent. In various embodiments, the films are in the form of multi-chamber pouches.
Es ist bevorzugt, dass die wasserlösliche Umhüllung Polyvinylalkohol oder ein Polyvinylalkoholcopolymer enthält. Wasserlösliche Umhüllungen, die Polyvinylalkohol oder ein Polyvinylalkoholcopolymer enthalten, weisen eine gute Stabilität bei einer ausreichend hohen Wasserlöslichkeit, insbesondere Kaltwasserlöslichkeit, auf.It is preferred that the water-soluble casing contains polyvinyl alcohol or a polyvinyl alcohol copolymer. Water-soluble casings which contain polyvinyl alcohol or a polyvinyl alcohol copolymer have good stability with sufficiently high water solubility, in particular cold water solubility.
Geeignete wasserlösliche Folien zur Herstellung der wasserlöslichen Umhüllung basieren bevorzugt auf einem Polyvinylalkohol oder einem Polyvinylalkoholcopolymer, dessen Molekulargewicht im Bereich von 10.000 bis 1.000.000 gmol-1, vorzugsweise von 20.000 bis 500.000 gmol-1, besonders bevorzugt von 30.000 bis 100.000 gmol-1 und insbesondere von 40.000 bis 80.000 gmol-1 liegt.Suitable water-soluble films for producing the water-soluble envelope are preferably based on a polyvinyl alcohol or a polyvinyl alcohol copolymer whose molecular weight is in the range from 10,000 to 1,000,000 gmol -1 , preferably from 20,000 to 500,000 gmol -1 , particularly preferably from 30,000 to 100,000 gmol -1 and in particular from 40,000 to 80,000 gmol -1 .
Die Herstellung von Polyvinylalkohol geschieht üblicherweise durch Hydrolyse von Polyvinylacetat, da der direkte Syntheseweg nicht möglich ist. Ähnliches gilt für Polyvinylalkoholcopolymere, die aus entsprechend aus Polyvinylacetatcopolymeren hergestellt werden. Bevorzugt ist, wenn wenigstens eine Lage der wasserlöslichen Umhüllung einen Polyvinylalkohol umfasst, dessen Hydrolysegrad 70 bis 100 Mol-%, vorzugsweise 80 bis 90 Mol-%, besonders bevorzugt 81 bis 89 Mol-% und insbesondere 82 bis 88 Mol-% ausmacht.Polyvinyl alcohol is usually produced by hydrolysis of polyvinyl acetate, since the direct synthesis route is not possible. The same applies to polyvinyl alcohol copolymers, which are produced from polyvinyl acetate copolymers. It is preferred if at least one layer of the water-soluble coating comprises a polyvinyl alcohol whose degree of hydrolysis is 70 to 100 mol%, preferably 80 to 90 mol%, particularly preferably 81 to 89 mol% and in particular 82 to 88 mol%.
Einem zur Herstellung der wasserlöslichen Umhüllung geeignetem Polyvinylalkohol-enthaltendem Folienmaterial kann zusätzlich ein Polymer ausgewählt aus der Gruppe umfassend (Meth)Acrylsäurehaltige (Co)Polymere, Polyacrylamide, Oxazolin-Polymere, Polystyrolsulfonate, Polyurethane, Polyester, Polyether, Polymilchsäure oder Mischungen der vorstehenden Polymere zugesetzt sein. Ein bevorzugtes zusätzliches Polymer sind Polymilchsäuren.A polymer selected from the group comprising (meth) acrylic acid-containing (co) polymers, polyacrylamides, oxazoline polymers, polystyrene sulfonates, polyurethanes, polyesters, polyethers, polylactic acid or mixtures of the above polymers can also be added to a polyvinyl alcohol-containing film material suitable for producing the water-soluble cover be. A preferred additional polymer are polylactic acids.
Bevorzugte Polyvinylalkoholcopolymere umfassen neben Vinylalkohol Dicarbonsäuren als weitere Monomere. Geeignete Dicarbonsäuren sind Itaconsäure, Malonsäure, Bernsteinsäure und Mischungen daraus, wobei Itaconsäure bevorzugt ist.Preferred polyvinyl alcohol copolymers include, in addition to vinyl alcohol, dicarboxylic acids as further monomers. Suitable dicarboxylic acids are itaconic acid, malonic acid, succinic acid and mixtures thereof, with itaconic acid being preferred.
Ebenfalls bevorzugte Polyvinylalkoholcopolymere umfassen neben Vinylalkohol eine ethylenisch ungesättige Carbonsäure, deren Salz oder deren Ester. Besonders bevorzugt enthalten solche Polyvinylalkoholcopolymere neben Vinylalkohol Acrylsäure, Methacrylsäure, Acrylsäureester, Methacrylsäureester oder Mischungen daraus.Likewise preferred polyvinyl alcohol copolymers include vinyl alcohol as well as an ethylenically unsaturated carboxylic acid, its salt or its ester. Such polyvinyl alcohol copolymers particularly preferably contain acrylic acid, methacrylic acid, acrylic acid esters, methacrylic acid esters or mixtures thereof in addition to vinyl alcohol.
Es kann bevorzugt sein, dass das Folienmaterial weitere Zusatzstoffe enthält. Das Folienmaterial kann beispielsweise Weichmacher wie Dipropylenglycol, Ethylenglycol, Diethylenglycol, Propylenglycol, Glycerin, Sorbitol, Mannitol oder Mischungen daraus enthalten. Weitere Zusatzstoffe umfassen beispielsweise Freisetzungshilfen, Füllmittel, Vernetzungsmittel, Tenside, Antioxidationsmittel, UV-Absorber, Antiblockmittel, Antiklebemittel oder Mischungen daraus.It can be preferred that the film material contains further additives. The film material can for example contain plasticizers such as dipropylene glycol, ethylene glycol, diethylene glycol, propylene glycol, glycerine, sorbitol, mannitol or mixtures thereof. Further additives include, for example, release aids, fillers, crosslinking agents, surfactants, antioxidants, UV absorbers, antiblocking agents, anti-stick agents or mixtures thereof.
Geeignete wasserlösliche Folien zum Einsatz in den wasserlöslichen Umhüllungen der wasserlöslichen Verpackungen gemäß der Erfindung sind Folien, die von der Firma MonoSol LLC beispielsweise unter der Bezeichnung M8630, C8400 oder M8900 vertrieben werden. Andere geeignete Folien umfassen Folien mit der Bezeichnung Solublon® PT, Solublon® GA, Solublon® KC oder Solublon® KL von der Aicello Chemical Europe GmbH oder die Folien VF-HP von Kuraray.Suitable water-soluble films for use in the water-soluble envelopes of the water-soluble packaging according to the invention are films which are sold by MonoSol LLC, for example under the designation M8630, C8400 or M8900. Other suitable films include films with the designation Solublon® PT, Solublon® GA, Solublon® KC or Solublon® KL from Aicello Chemical Europe GmbH or the films VF-HP from Kuraray.
Die vorliegende Erfindung richtet sich auch auf die Verwendung eines wie hierin beschriebene Wasch- und Reinigungsmittels zum Waschen von Textilien oder maschinellen Reinigen von Geschirr.The present invention is also directed to the use of a washing and cleaning agent as described herein for washing textiles or machine cleaning of dishes.
Ein weiterer Erfindungsgegenstand ist ein Verfahren zur Reinigung von Textilien oder harten Oberflächen, das dadurch gekennzeichnet ist, dass in mindestens einem Verfahrensschritt ein erfindungsgemäßes Mittel angewendet wird.Another subject matter of the invention is a method for cleaning textiles or hard surfaces, which is characterized in that an agent according to the invention is used in at least one method step.
Hierunter fallen sowohl manuelle als auch maschinelle Verfahren, wobei maschinelle Verfahren bevorzugt sind. Verfahren zur Reinigung von Textilien zeichnen sich im Allgemeinen dadurch aus, dass in mehreren Verfahrensschritten verschiedene reinigungsaktive Substanzen auf das Reinigungsgut aufgebracht und nach der Einwirkzeit abgewaschen werden, oder dass das Reinigungsgut in sonstiger Weise mit einem Waschmittel oder einer Lösung oder Verdünnung dieses Mittels behandelt wird. Entsprechendes gilt für Verfahren zur Reinigung von allen anderen Materialien als Textilien, insbesondere von harten Oberflächen.This includes both manual and machine processes, with machine processes being preferred. Processes for cleaning textiles are generally characterized in that various active cleaning substances are applied to the items to be cleaned in several process steps and washed off after the exposure time, or that the items to be cleaned are treated in some other way with a detergent or a solution or dilution of this agent. The same applies to processes for cleaning all materials other than textiles, especially hard surfaces.
In verschieden Ausführungsformen zeichnen sich die oben beschriebene Verfahren dadurch aus, dass das erfindungsgemäße Mittel bei einer Temperatur von 0-100°C, bevorzugt 10-60°C, weiter bevorzugt 20-40°C und am meisten bevorzugt bei 20°C eingesetzt wird.In various embodiments, the methods described above are characterized in that the agent according to the invention is used at a temperature of 0-100 ° C, preferably 10-60 ° C, more preferably 20-40 ° C and most preferably at 20 ° C .
Alle denkbaren Wasch- oder Reinigungsverfahren können in wenigstens einem der Verfahrensschritte um die Anwendung eines erfindungsgemäßen Wasch- oder Reinigungsmittels bereichert werden und stellen dann Ausführungsformen der vorliegenden Erfindung dar.All conceivable washing or cleaning processes can be enriched by the use of a washing or cleaning agent according to the invention in at least one of the process steps and then represent embodiments of the present invention.
Alternative Ausführungsformen dieses Erfindungsgegenstandes stellen auch Verfahren zur Behandlung von Textilrohstoffen oder zur Textilpflege dar, bei denen in wenigstens einem Verfahrensschritt ein erfindungsgemäßes Mittel aktiv wird.Alternative embodiments of this subject matter of the invention also represent processes for treating raw textile materials or for textile care, in which an agent according to the invention becomes active in at least one process step.
Des Weiteren erfasst die Erfindung auch die Verwendung des hierin beschriebenen Mittels zur Entfernung von Anschmutzungen.Furthermore, the invention also covers the use of the agent described herein for removing soiling.
Alle Sachverhalte, Gegenstände und Ausführungsformen, die für erfindungsgemäßen Mittel beschrieben sind, sind auch auf die erfindungsgemäße Verwendung anwendbar. Daher wird an dieser Stelle ausdrücklich auf die Offenbarung an entsprechender Stelle verwiesen mit dem Hinweis, dass diese Offenbarung auch für die erfindungsgemäßen Verwendungen gilt.All facts, subjects and embodiments that are described for agents according to the invention are also applicable to the use according to the invention. For this reason, reference is expressly made at this point to the disclosure at the appropriate point with the note that this disclosure also applies to the uses according to the invention.
BeispieleExamples
Beispiel 1: Synthese eines RAFT-Copolymers aus MMA, MeOEGMA, EHMA und MAPTAC (P1) 1,80 g Methylmethacrylat (MMA; 17,995 mmol; CAS: 80-62-6), 4,48 g Poly(ethylenglycol)methylethermethacrylat (MeOEGMA; 8,96 mmol; CAS:26915-72-0), 1,41 g Ethylhexylmethacrylat (EHMA; 7,105 mmol; CAS: 688-84-6), 0,36 g [2-(Methacryloyloxy)ethyl]trimethylammoniumchlorid (MAPTAC; 1,75 mmol; CAS: 5039-78-1), 4,6 mg Azoisobutyronitril (0,03 mmol; CAS: 78-67-1) und 31,1 mg 2-Cyano-2-propylbenzodithioat (CPDB; 0,14 mmol; CAS: 201611-85-0) wurden in 11,2 ml Dimethylformamid gelöst. Mittels Einleitung von Stickstoffgas wird gelöster Sauerstoff vertrieben und die Apparatur unter Schutzgas gesetzt. Die Reaktionslösung wird unter Rühren auf 65 °C erwärmt und für 3 h polymerisiert. Das Polymer wird durch Dialyse in Aceton gereinigt und nach Trocknung am Rotationsverdampfer analysiert.
Mn(GPC): 7.0 kDa;
Copolymerzusammensetzung (1H-NMR): 28 mol% MMA, 31 mol% MeOEGMA, 33 mol% EHMA, 8mol%
MAPTACExample 1: Synthesis of a RAFT copolymer from MMA, MeOEGMA, EHMA and MAPTAC (P1) 1.80 g of methyl methacrylate (MMA; 17.995 mmol; CAS: 80-62-6), 4.48 g of poly (ethylene glycol) methyl ether methacrylate (MeOEGMA ; 8.96 mmol; CAS: 26915-72-0), 1.41 g ethylhexyl methacrylate (EHMA; 7.105 mmol; CAS: 688-84-6), 0.36 g [2- (methacryloyloxy) ethyl] trimethylammonium chloride (MAPTAC ; 1.75 mmol; CAS: 5039-78-1), 4.6 mg azoisobutyronitrile (0.03 mmol; CAS: 78-67-1) and 31.1 mg 2-cyano-2-propylbenzodithioate (CPDB; 0 , 14 mmol; CAS: 201611-85-0) were dissolved in 11.2 ml of dimethylformamide. By introducing nitrogen gas, dissolved oxygen is expelled and the apparatus is placed under protective gas. The reaction solution is under Stirring heated to 65 ° C and polymerized for 3 h. The polymer is purified by dialysis in acetone and, after drying, analyzed on a rotary evaporator.
M n (GPC): 7.0 kDa;
Copolymer composition ( 1 H-NMR): 28 mol% MMA, 31 mol% MeOEGMA, 33 mol% EHMA, 8 mol%
MAPTAC
Beispiel 2: Synthese eines RAFT-Copolymers aus MMA, MeOEGMA, LMA und SPMA (P2) 1,80 g Methylmethacrylat (MMA; 17,995 mmol; CAS: 80-62-6), 4,48 g Poly(ethylenglycol)methylethermethacrylat (MeOEGMA; 8,96 mmol; CAS:26915-72-0), 1,81 g Laurylmethacrylat (LMA; 7,105 mmol; CAS: 142-90-5), 0,43 g Sulfopropylmethacrylat (SPMA; 1,75 mmol; CAS: 31098-21-2), 4,6 mg Azoisobutyronitril (0,03 mmol; CAS: 78-67-1) und 31,1 mg 2-Cyano-2-propylbenzodithioat (CPDB; 0,14 mmol; CAS: 201611-85-0) wurden in 11,2 ml Dimethylformamid gelöst. Mittels Einleitung von Stickstoffgas wird gelöster Sauerstoff vertrieben und die Apparatur unter Schutzgas gesetzt. Die Reaktionslösung wird unter Rühren auf 65 °C erwärmt und für 6 h polymerisiert. Das Polymer wird durch Dialyse in Aceton gereinigt und nach Trocknung am Rotationsverdampfer analysiert.
Mn(GPC): 2.7 kDa;
Copolymerzusammensetzung (1H-NMR): 37 mol% MMA, 29 mol% MeOEGMA, 28mol% LMA, 6 mol%
SPMAExample 2: Synthesis of a RAFT copolymer from MMA, MeOEGMA, LMA and SPMA (P2) 1.80 g of methyl methacrylate (MMA; 17.995 mmol; CAS: 80-62-6), 4.48 g of poly (ethylene glycol) methyl ether methacrylate (MeOEGMA ; 8.96 mmol; CAS: 26915-72-0), 1.81 g lauryl methacrylate (LMA; 7.105 mmol; CAS: 142-90-5), 0.43 g sulfopropyl methacrylate (SPMA; 1.75 mmol; CAS: 31098-21-2), 4.6 mg azoisobutyronitrile (0.03 mmol; CAS: 78-67-1) and 31.1 mg 2-cyano-2-propylbenzodithioate (CPDB; 0.14 mmol; CAS: 201611- 85-0) were dissolved in 11.2 ml of dimethylformamide. By introducing nitrogen gas, dissolved oxygen is expelled and the apparatus is placed under protective gas. The reaction solution is heated to 65 ° C. with stirring and polymerized for 6 h. The polymer is purified by dialysis in acetone and, after drying, analyzed on a rotary evaporator.
M n (GPC): 2.7 kDa;
Copolymer composition ( 1 H-NMR): 37 mol% MMA, 29 mol% MeOEGMA, 28 mol% LMA, 6 mol%
SPMA
Beispiel 3: Synthese eines RAFT-Copolymers aus MMA, MeOEGMA, EHMA, SPMA, BzMA (P3) 0,90 g Methylmethacrylat (MMA; 8,998 mmol; CAS: 80-62-6), 4,48 g Poly(ethylenglycol)methylethermethacrylat (MeOEGMA; 8,96 mmol; CAS:26915-72-0), 1,41 g Ethylhexylmethacrylat (EHMA; 7,105 mmol; CAS: 688-84-6), 0,43 g Sulfopropylmethacrylat (SPMA; 1,75 mmol; CAS: 31098-21-2), 1,56 g Benzylmethacrylat (BzMA; 8,998 mmol; CAS: 2495-37-6), 4,6 mg Azoisobutyronitril (0,03 mmol; CAS: 78-67-1) und 31,1 mg 2-Cyano-2-propylbenzodithioat (CPDB; 0,14 mmol; CAS: 201611-85-0) wurden in 11,2 ml Dimethylformamid gelöst. Mittels Einleitung von Stickstoffgas wird gelöster Sauerstoff vertrieben und die Apparatur unter Schutzgas gesetzt. Die Reaktionslösung wird unter Rühren auf 65 °C erwärmt und für 3 h polymerisiert. Das Polymer wird durch Dialyse in Aceton gereinigt und nach Trocknung am Rotationsverdampfer analysiert.
Mn(GPC): 3.0 kDa
Copolymerzusammensetzung (1H-NMR): 17 mol% MMA, 22 mol% MeOEGMA, 31 mol% EHMA, 4 mol% SPMA, 26 mol% BzMAExample 3: Synthesis of a RAFT copolymer from MMA, MeOEGMA, EHMA, SPMA, BzMA (P3) 0.90 g of methyl methacrylate (MMA; 8.998 mmol; CAS: 80-62-6), 4.48 g of poly (ethylene glycol) methyl ether methacrylate (MeOEGMA; 8.96 mmol; CAS: 26915-72-0), 1.41 g of ethylhexyl methacrylate (EHMA; 7.105 mmol; CAS: 688-84-6), 0.43 g of sulfopropyl methacrylate (SPMA; 1.75 mmol; CAS: 31098-21-2), 1.56 g benzyl methacrylate (BzMA; 8.998 mmol; CAS: 2495-37-6), 4.6 mg azoisobutyronitrile (0.03 mmol; CAS: 78-67-1) and 31 , 1 mg of 2-cyano-2-propylbenzodithioate (CPDB; 0.14 mmol; CAS: 201611-85-0) were dissolved in 11.2 ml of dimethylformamide. By introducing nitrogen gas, dissolved oxygen is expelled and the apparatus is placed under protective gas. The reaction solution is heated to 65 ° C. with stirring and polymerized for 3 h. The polymer is purified by dialysis in acetone and, after drying, analyzed on a rotary evaporator.
M n (GPC): 3.0 kDa
Copolymer composition ( 1 H-NMR): 17 mol% MMA, 22 mol% MeOEGMA, 31 mol% EHMA, 4 mol% SPMA, 26 mol% BzMA
Beispiel 4: Synthese des Referenzpolymers „Ref.“Example 4: Synthesis of the reference polymer "Ref."
Es wurde ein Referenzpolymer „Ref.“ hergestellt:
- Methylmethacrylat (99 %, Aldrich), Poly(ethylenglycol)methylethermethacrylat (99 %, Mn = 500 g/mol, Aldrich) und 2-Ethylhexylmethacrylat (98 %, Aldrich) wurden durch eine kurze Säule mit neutralem Aluminiumoxid geleitet, um den Inhibitor vor Verwendung zu entfernen. Alle anderen Reagenzien wurden wie erhalten verwendet.
- Methyl methacrylate (99%, Aldrich), poly (ethylene glycol) methyl ether methacrylate (99%, Mn = 500 g / mol, Aldrich) and 2-ethylhexyl methacrylate (98%, Aldrich) were passed through a short column of neutral aluminum oxide in order to prevent the inhibitor Use to remove. All other reagents were used as received.
Eine Lösung aus Methylmethacrylat (1.80 g, 18.0 mmol)), Poly(ethylenglycol)methylethermethacrylat (4.48 g, 8.96 mmol)(,2-Ethylhexylmethacrylat (1.41 g, 7.11 mmol), Natriumsulfopropylmethacrylat (430 mg, 1.75 mmol) 2-Cyano-2-propylbenzodithioat (31.1 mg, 0.141 mmol) und Azoisobutyronitril (4.6 mg, 0,0281 mmol)in N,N-Dimethylformamid (11.2 ml) wurde mittels dreier Freeze-Pump-Thaw Zyklen entgast, bevor sie unter Schutzgas abgedichtet wurde. Nach 20 h bei 60 °C wurde das Polymerisationsmedium mit Dichlormethan verdünnt, in Diethylether ausgefällt und unter Vakuum getrocknet. Das resultierende Polymer wurde in Tetrahydrofuran gelöst und gegen eine 1:1 Mischung aus Tetrahydrofuran und Wasser über 3 Tage und gegen reines Wasser über 2 Tage unter Verwendung einer Dialysemembran mit einem Molecular Weight Cut-Off von 1.000 g/mol (Spectrum Laboratories Inc.) dialysiert. Das Dialysewasser wurde jeden Tag erneuert. Die resultierende wässrige Lösung wurde gefriergetrocknet und ein rosafarbenes, viskoses Polymer erhalten.A solution of methyl methacrylate (1.80 g, 18.0 mmol), poly (ethylene glycol) methyl ether methacrylate (4.48 g, 8.96 mmol) (, 2-ethylhexyl methacrylate (1.41 g, 7.11 mmol), sodium sulfopropyl methacrylate (430 mg, 1.75 mmol) 2-cyano 2-propylbenzodithioate (31.1 mg, 0.141 mmol) and azoisobutyronitrile (4.6 mg, 0.0281 mmol) in N, N-dimethylformamide (11.2 ml) were degassed by means of three freeze-pump-thaw cycles before it was sealed under protective gas The polymerization medium was diluted with dichloromethane, precipitated in diethyl ether and dried under vacuum for 20 h at 60 ° C. The resulting polymer was dissolved in tetrahydrofuran and mixed with a 1: 1 mixture of tetrahydrofuran and water for 3 days and with pure water for 2 days Dialyzed using a dialysis membrane with a molecular weight cut-off of 1,000 g / mol (Spectrum Laboratories Inc.) The dialysis water was renewed every day. The resulting aqueous solution was freeze-dried and a pink, vi obtained skose polymer.
Beispiel 5: Spektralphotometrische Bestimmung der Protease Aktivität mit dem synthetischen Substrat AAPF-pNA auf der MikrotiterplatteExample 5: Spectrophotometric determination of the protease activity with the synthetic substrate AAPF-pNA on the microtiter plate
Verfahren zur Bestimmung der Protease-Aktivität sind dem Fachmann auf dem Gebiet der Enzymtechnologie geläufig und werden von ihm routinemäßig angewendet. Beispielsweise sind solche
In diesem Test wurde die Proteaseaktivität gemessen, indem das Enzym Protease 1 (BLAP Proteasevariante) und die erfindungsmäßigen Polymere über mehrere Tage in einem Model-Flüssigwaschmittel bei 40°C gelagert wurden. Eine beispielhafte Waschmittelmatrix ist in Tabelle 1 aufgeführt. Die Modellformulierung enthält 5 % Lücke, die gegebenenfalls durch erfindungsmäßiges Polymer, Protease 1 und Wasser geschlossen wurde.In this test, the protease activity was measured by storing the enzyme protease 1 (BLAP protease variant) and the polymers according to the invention in a model liquid detergent at 40 ° C. for several days. An exemplary detergent matrix is shown in Table 1. The model formulation contains a 5% gap, which may have been closed by inventive polymer, protease 1 and water.
Zur Messung der verbesserten Lagerstabilität der Protease wurden 10 ml Ansätze hergestellt, die 3,71 mg Protease 1 und gegebenenfalls 55,65 mg Polymer enthielten. Hierfür wurden 9,5 ml der Model-Waschmittelformulierung (Tabelle 1) verwendet. Die Lücke von 5 % (verglichen mit einem 10 ml Ansatz) wurde durch Protease, gegebenenfalls erfindungsmäßiges Polymer und Wasser geschlossen. Als Referenz wurde die Model-Formulierung nur mit Protease 1, aber ohne erfindungsmäßiges Polymer versetzt und die Restlücke mit Wasser geschlossen.To measure the improved storage stability of the protease, 10 ml batches were produced which contained 3.71 mg protease 1 and, if appropriate, 55.65 mg polymer. 9.5 ml of the model detergent formulation (Table 1) were used for this. The gap of 5% (compared to a 10 ml batch) was closed by protease, optionally polymer according to the invention and water. As a reference, the model formulation was only treated with protease 1, but without the polymer according to the invention, and the remaining gap was closed with water.
Die entsprechenden Polymere und Wasser wurden zu der Waschmittelmatrix hinzugefügt und über Nacht durch Rühren homogenisiert. Anschließend wurde die Protease 1 Lösung hinzugegeben und eine weitere halbe Stunde gerührt. Die so erhaltene Formulierung wurde bei 40 °C über mehrere Tage gelagert.The appropriate polymers and water were added to the detergent matrix and homogenized by stirring overnight. The protease 1 solution was then added and the mixture was stirred for a further half an hour. The formulation obtained in this way was stored at 40 ° C. for several days.
Zur Messung der Proteaseaktivität wurden 0,5 g dieser Lösung in 10 ml Wasser gelöst und 10 Minuten gerührt. Die Enzymaktivitäten wurden im linearen, auswertbaren Bereich der Aktivitätskurve gemessen. Dies konnte durch Verdünnen der zuvor 10 Minuten gerührten Lösung mit dem Reaktionspuffer (0,1 M Tris; 0,1 % (w/v) Brij®35; pH 8,6) erreicht werden. 10 µl der verdünnten Lösung wurde in die Wells der Mikrotiterplatte (96 Well; F-bottom/standard, Greiner Bio-One, Frickenhausen) pipettiert. Für die Herstellung der 0,1 M AAPF-Substratlösung wurden 70 mg AAPF-pNA in 1 ml wasserfreiem DMSO gelöst. 220 µl dieser Lösung wurden in 21,78 ml 0,1 M Tris; 0,1 % (w/v) Brij®35; pH 8,6 gelöst, um die benötigte AAPF-Substratlösung im Reaktionspuffer herzustellen. Zuletzt wurde die Reaktion durch Zugabe von 200 µl der AAPF-Substratlösung im Reaktionspuffer zu den Wells und anschließendem Durchmixen gestartet.To measure the protease activity, 0.5 g of this solution was dissolved in 10 ml of water and stirred for 10 minutes. The enzyme activities were measured in the linear, evaluable area of the activity curve. This could be achieved by diluting the solution, which had previously been stirred for 10 minutes, with the reaction buffer (0.1 M Tris; 0.1% (w / v) Brij®35; pH 8.6). 10 μl of the diluted solution was pipetted into the wells of the microtiter plate (96 wells; F-bottom / standard, Greiner Bio-One, Frickenhausen). To prepare the 0.1 M AAPF substrate solution, 70 mg of AAPF-pNA were dissolved in 1 ml of anhydrous DMSO. 220 μl of this solution were added to 21.78 ml of 0.1 M Tris; 0.1% (w / v) Brij®35; Dissolved pH 8.6 to produce the required AAPF substrate solution in the reaction buffer. Finally, the reaction was started by adding 200 μl of the AAPF substrate solution in the reaction buffer to the wells and then mixing.
Die Aufnahme der Absorptionskinetik erfolgte über 5 Minuten bei 30°C und währenddessen wurden die Proben auf der Mikrotiterplatte alle 30 Sekunden durchgemixt und je ein Messpunkt mit dem Spektralphotometer „Spectra MAX 250“ (Molecular Devices, Sunnyvale, USA) aufgenommen. Als Nullwert wurde eine Probe mit 10 µl 0,1 M Tris; 0,1 % (w/v) Brij®35; pH 8,6 anstelle von 10 µl der verdünnten Lösungen in einem Well vorgelegt und zweifach bestimmt. Alle anderen Proben wurden in Dreifach- oder sogar Vierfachbestimmungen auf derselben Mikrotiterplatte gemessen.The absorption kinetics were recorded over 5 minutes at 30 ° C and during this time the samples on the microtiter plate were mixed every 30 seconds and one measuring point was recorded with the “Spectra MAX 250” spectrophotometer (Molecular Devices, Sunnyvale, USA). A sample with 10 μl 0.1 M Tris; 0.1% (w / v) Brij®35; pH 8.6 instead of 10 µl of the diluted solutions placed in a well and determined twice. All other samples were measured in triplicate or even quadruple determinations on the same microtiter plate.
Die Auswertung der Messung wurde mit der SOFTmax Pro 3.0 Software (Molecular Devices, Sunnyvale, USA) vorgenommen.
Tabelle 1: Beispielhaft Waschmittelmatrix
ZITATE ENTHALTEN IN DER BESCHREIBUNGQUOTES INCLUDED IN THE DESCRIPTION
Diese Liste der vom Anmelder aufgeführten Dokumente wurde automatisiert erzeugt und ist ausschließlich zur besseren Information des Lesers aufgenommen. Die Liste ist nicht Bestandteil der deutschen Patent- bzw. Gebrauchsmusteranmeldung. Das DPMA übernimmt keinerlei Haftung für etwaige Fehler oder Auslassungen.This list of the documents listed by the applicant was generated automatically and is included solely for the better information of the reader. The list is not part of the German patent or utility model application. The DPMA assumes no liability for any errors or omissions.
Zitierte PatentliteraturPatent literature cited
- WO 2008086916 [0055, 0067]WO 2008086916 [0055, 0067]
- WO 2007131656 [0055, 0067]WO 2007131656 [0055, 0067]
- WO 9102792 [0055, 0067]WO 9102792 [0055, 0067]
- WO 2008007319 [0055, 0067]WO 2008007319 [0055, 0067]
- WO 9318140 [0055, 0067]WO 9318140 [0055, 0067]
- WO 0144452 [0055, 0067]WO 0144452 [0055, 0067]
- GB 1243784 [0055, 0067]GB 1243784 [0055, 0067]
- WO 9634946 [0055, 0067]WO 9634946 [0055, 0067]
- WO 2002029024 [0055, 0067]WO 2002029024 [0055, 0067]
- WO 2003057246 [0055, 0067]WO 2003057246 [0055, 0067]
- WO 2016/096714 [0055, 0067]WO 2016/096714 [0055, 0067]
- WO 2003002711 [0056]WO 2003002711 [0056]
- WO 2003054177 [0056]WO 2003054177 [0056]
- WO 2007079938 [0056]WO 2007079938 [0056]
Zitierte Nicht-PatentliteraturNon-patent literature cited
- Gornall et al., 1948, J. Biol. Chem., 177:751-766 [0052]Gornall et al., 1948, J. Biol. Chem., 177: 751-766.
- Verfahren offenbart in Tenside, Band 7 (1970), S. 125-132 [0135]Process disclosed in Tenside, Volume 7 (1970), pp. 125-132 [0135]
Claims (15)
Priority Applications (2)
| Application Number | Priority Date | Filing Date | Title |
|---|---|---|---|
| DE102019126683.1A DE102019126683A1 (en) | 2019-10-02 | 2019-10-02 | Copolymers for improving the storage stability of enzymes in detergents and cleaning agents |
| PCT/EP2020/076509 WO2021063762A1 (en) | 2019-10-02 | 2020-09-23 | Copolymers for improving the stability of enzymes in washing and cleaning agents |
Applications Claiming Priority (1)
| Application Number | Priority Date | Filing Date | Title |
|---|---|---|---|
| DE102019126683.1A DE102019126683A1 (en) | 2019-10-02 | 2019-10-02 | Copolymers for improving the storage stability of enzymes in detergents and cleaning agents |
Publications (1)
| Publication Number | Publication Date |
|---|---|
| DE102019126683A1 true DE102019126683A1 (en) | 2021-04-08 |
Family
ID=72615889
Family Applications (1)
| Application Number | Title | Priority Date | Filing Date |
|---|---|---|---|
| DE102019126683.1A Withdrawn DE102019126683A1 (en) | 2019-10-02 | 2019-10-02 | Copolymers for improving the storage stability of enzymes in detergents and cleaning agents |
Country Status (2)
| Country | Link |
|---|---|
| DE (1) | DE102019126683A1 (en) |
| WO (1) | WO2021063762A1 (en) |
Citations (3)
| Publication number | Priority date | Publication date | Assignee | Title |
|---|---|---|---|---|
| EP0322150A2 (en) * | 1987-12-22 | 1989-06-28 | Imperial Chemical Industries Plc | Copolymer |
| US20030194415A1 (en) * | 2002-01-16 | 2003-10-16 | 3M Innovative Properties Company | Film-forming compositions and methods |
| US20130237471A1 (en) * | 1999-05-26 | 2013-09-12 | Rhodia Inc. | Polymers, compositions and methods of use for foams, laundry detergents, shower rinses and coagulants |
Family Cites Families (19)
| Publication number | Priority date | Publication date | Assignee | Title |
|---|---|---|---|---|
| GB1234445A (en) | 1967-10-03 | 1971-06-03 | ||
| DE69033388T2 (en) | 1989-08-25 | 2000-05-11 | Henkel Research Corp., Santa Rosa | ALKALINE PROTEOLYTIC ENZYME AND METHOD FOR PRODUCING THE SAME |
| DK28792D0 (en) | 1992-03-04 | 1992-03-04 | Novo Nordisk As | NEW ENZYM |
| BR9608149B1 (en) | 1995-05-05 | 2012-01-24 | processes for effecting mutation in DNA encoding a subtilase enzyme or its pre- or pre-enzyme and for the manufacture of a mutant subtilase enzyme. | |
| DE10035781A1 (en) * | 1999-12-13 | 2001-07-12 | Henkel Kgaa | Detergent, detergent or cleaning agent portions with controlled release of active ingredients |
| CN101974375B (en) | 1999-12-15 | 2014-07-02 | 诺沃奇梅兹有限公司 | Subtilase variants having an improved wash performance on egg stains |
| AU2001291649A1 (en) | 2000-10-02 | 2002-04-15 | Novozymes A/S | Nucleic acids encoding polypeptides having proteolytic activity |
| DE10131441A1 (en) | 2001-06-29 | 2003-01-30 | Henkel Kgaa | A new group of alpha amylases and a method for identifying and obtaining new alpha amylases |
| DE10163748A1 (en) | 2001-12-21 | 2003-07-17 | Henkel Kgaa | New glycosyl hydrolases |
| AU2002353178C1 (en) | 2001-12-31 | 2011-02-03 | Genencor International, Inc. | Proteases producing an altered immunological response and methods of making and using the same |
| DE102006038448A1 (en) | 2005-12-28 | 2008-02-21 | Henkel Kgaa | Enzyme-containing cleaning agent |
| DE102006022224A1 (en) | 2006-05-11 | 2007-11-15 | Henkel Kgaa | Subtilisin from Bacillus pumilus and detergents and cleaners containing this new subtilisin |
| MX288855B (en) | 2006-07-07 | 2011-07-28 | Procter & Gamble | A composition comprising a cellulase and a bleach catalyst. |
| DE102007003143A1 (en) | 2007-01-16 | 2008-07-17 | Henkel Kgaa | New alkaline protease from Bacillus gibsonii and detergents and cleaners containing this novel alkaline protease |
| WO2009006714A2 (en) | 2007-07-10 | 2009-01-15 | Costa Adriana Schievano Cavali | Luminous and sonorous auxiliary device for cellphones and similars |
| PL2201090T3 (en) * | 2007-10-12 | 2012-01-31 | Basf Se | Dishwashing formulation comprising a mixture of hydrophobically modified polycarboxylates and hydrophilically modified polycarboxylates |
| CH701769A1 (en) * | 2009-09-08 | 2011-03-15 | Schoeller Textil Ag | Reloadable equipment for textiles and formulations for loading such equipment. |
| ES3017699T3 (en) | 2014-12-15 | 2025-05-13 | Henkel Ag & Co Kgaa | Detergent composition comprising subtilase variants |
| WO2019143578A1 (en) * | 2018-01-17 | 2019-07-25 | The Regents Of The University Of California | Random heteropolymers preserve protein function in foreign environments |
-
2019
- 2019-10-02 DE DE102019126683.1A patent/DE102019126683A1/en not_active Withdrawn
-
2020
- 2020-09-23 WO PCT/EP2020/076509 patent/WO2021063762A1/en not_active Ceased
Patent Citations (3)
| Publication number | Priority date | Publication date | Assignee | Title |
|---|---|---|---|---|
| EP0322150A2 (en) * | 1987-12-22 | 1989-06-28 | Imperial Chemical Industries Plc | Copolymer |
| US20130237471A1 (en) * | 1999-05-26 | 2013-09-12 | Rhodia Inc. | Polymers, compositions and methods of use for foams, laundry detergents, shower rinses and coagulants |
| US20030194415A1 (en) * | 2002-01-16 | 2003-10-16 | 3M Innovative Properties Company | Film-forming compositions and methods |
Also Published As
| Publication number | Publication date |
|---|---|
| WO2021063762A1 (en) | 2021-04-08 |
Similar Documents
| Publication | Publication Date | Title |
|---|---|---|
| DE102010038496A1 (en) | Stabilized liquid enzyme-containing surfactant preparation | |
| EP3545067B1 (en) | Portion bag having bleach activator/complexing agent compound | |
| DE102019135562A1 (en) | Solid detergents and cleaning agents with hyperconcentrated enzyme formulation | |
| DE102013202772A1 (en) | Detergents or cleaning agents with improved cleaning performance | |
| EP4008764A1 (en) | Improved cleaning by means of hydrogen carbonate in mechanical dishwashing | |
| DE102016202804A1 (en) | Optimized surfactant-enzyme mixtures | |
| DE102019126683A1 (en) | Copolymers for improving the storage stability of enzymes in detergents and cleaning agents | |
| WO2008017668A1 (en) | Washing and cleaning agent containing oxidoreductases and bleach activators | |
| WO2009027247A1 (en) | Laundry pretreatment agent and method | |
| DE102016205671A1 (en) | Detergents or cleaners containing living microorganisms | |
| EP2918664A2 (en) | Washing or cleaning agent comprising hydrolytically active enzyme and steroid acids | |
| DE102016204063A1 (en) | Stabilization of enzymes in surfactant-containing detergents | |
| DE102019106038A1 (en) | Laundry detergents or cleaning agents comprising chlorophyll-binding protein | |
| DE102022116719A1 (en) | Process for washing textiles at low temperatures with textile detergents containing amphiphilic alkoxylated poly(ethylene/propylene)imine copolymers | |
| DE102019135551A1 (en) | Liquid detergents and cleaning agents with a highly concentrated enzyme formulation | |
| DE102022116728A1 (en) | Detergents and cleaning agents containing amphiphilic alkoxylated poly(ethylene/propylene)imine copolymers and catechol compounds | |
| DE102022116758A1 (en) | Amphiphilic alkoxylated poly(ethylene/propylene)imine copolymers as dirt-repellent polymers | |
| DE102022116757A1 (en) | Lipase-free detergents and cleaning agents containing amphiphilic alkoxylated poly(ethylene/propylene)imine copolymers and ethoxylated PEIs | |
| DE102022116754A1 (en) | Lipase-free detergents and cleaning agents containing amphiphilic alkoxylated poly(ethylene/propylene)imine copolymers | |
| DE102022116726A1 (en) | Detergents and cleaning agents containing amphiphilic alkoxylated poly(ethylene/propylene)imine copolymers as well as xanthanase and/or mannanase | |
| DE102016206645A1 (en) | Detergent with improved enzyme stability | |
| WO2017153564A1 (en) | Cleaning agents containing amine oxide | |
| EP4669734A1 (en) | Washing and cleaning agent with dispersant | |
| DE102023201696A1 (en) | WASHING AND CLEANING PRODUCTS WITH DISPERSIN | |
| DE102014226908A1 (en) | Dishwashing detergent with improved rinse performance |
Legal Events
| Date | Code | Title | Description |
|---|---|---|---|
| R163 | Identified publications notified | ||
| R119 | Application deemed withdrawn, or ip right lapsed, due to non-payment of renewal fee |







