DE102016108335B3 - Organische Moleküle, insbesondere zur Verwendung in organischen optoelektronischen Vorrichtungen - Google Patents
Organische Moleküle, insbesondere zur Verwendung in organischen optoelektronischen Vorrichtungen Download PDFInfo
- Publication number
- DE102016108335B3 DE102016108335B3 DE102016108335.6A DE102016108335A DE102016108335B3 DE 102016108335 B3 DE102016108335 B3 DE 102016108335B3 DE 102016108335 A DE102016108335 A DE 102016108335A DE 102016108335 B3 DE102016108335 B3 DE 102016108335B3
- Authority
- DE
- Germany
- Prior art keywords
- organic
- group
- atoms
- radicals
- substituted
- Prior art date
- Legal status (The legal status is an assumption and is not a legal conclusion. Google has not performed a legal analysis and makes no representation as to the accuracy of the status listed.)
- Active
Links
- 230000005693 optoelectronics Effects 0.000 title claims abstract description 28
- 125000003118 aryl group Chemical group 0.000 claims abstract description 41
- 125000004432 carbon atom Chemical group C* 0.000 claims abstract description 27
- 125000003342 alkenyl group Chemical group 0.000 claims abstract description 19
- 125000000304 alkynyl group Chemical group 0.000 claims abstract description 19
- YZCKVEUIGOORGS-OUBTZVSYSA-N Deuterium Chemical compound [2H] YZCKVEUIGOORGS-OUBTZVSYSA-N 0.000 claims abstract description 18
- 229910052805 deuterium Inorganic materials 0.000 claims abstract description 18
- 229910052799 carbon Inorganic materials 0.000 claims abstract description 15
- 229910052717 sulfur Inorganic materials 0.000 claims abstract description 12
- 229910052760 oxygen Inorganic materials 0.000 claims abstract description 11
- 125000000217 alkyl group Chemical group 0.000 claims abstract description 10
- 125000004435 hydrogen atom Chemical group [H]* 0.000 claims abstract description 10
- 125000006165 cyclic alkyl group Chemical group 0.000 claims abstract description 7
- 125000001997 phenyl group Chemical group [H]C1=C([H])C([H])=C(*)C([H])=C1[H] 0.000 claims abstract description 6
- -1 NR 5 Inorganic materials 0.000 claims description 55
- 239000000463 material Substances 0.000 claims description 41
- 125000003545 alkoxy group Chemical group 0.000 claims description 13
- 239000000243 solution Substances 0.000 claims description 12
- 239000000758 substrate Substances 0.000 claims description 11
- 125000005309 thioalkoxy group Chemical group 0.000 claims description 11
- 239000000203 mixture Substances 0.000 claims description 10
- 238000000034 method Methods 0.000 claims description 7
- 125000004104 aryloxy group Chemical group 0.000 claims description 6
- 230000000903 blocking effect Effects 0.000 claims description 6
- 125000005553 heteroaryloxy group Chemical group 0.000 claims description 6
- 238000002347 injection Methods 0.000 claims description 6
- 239000007924 injection Substances 0.000 claims description 6
- 125000002496 methyl group Chemical group [H]C([H])([H])* 0.000 claims description 6
- 238000006243 chemical reaction Methods 0.000 claims description 5
- 125000004986 diarylamino group Chemical group 0.000 claims description 5
- 125000005240 diheteroarylamino group Chemical group 0.000 claims description 5
- 229910052710 silicon Inorganic materials 0.000 claims description 5
- 239000002904 solvent Substances 0.000 claims description 5
- 230000005669 field effect Effects 0.000 claims description 4
- 238000004519 manufacturing process Methods 0.000 claims description 4
- 238000002360 preparation method Methods 0.000 claims description 4
- 125000002950 monocyclic group Chemical group 0.000 claims description 3
- 125000003367 polycyclic group Chemical group 0.000 claims description 3
- 239000007858 starting material Substances 0.000 claims description 3
- TXTZEQOJTJIFAH-UHFFFAOYSA-N 2,3-dibromo-1,4-difluorobenzene Chemical compound FC1=CC=C(F)C(Br)=C1Br TXTZEQOJTJIFAH-UHFFFAOYSA-N 0.000 claims description 2
- 125000001931 aliphatic group Chemical group 0.000 claims description 2
- 125000004122 cyclic group Chemical group 0.000 claims description 2
- 239000000975 dye Substances 0.000 claims description 2
- 238000012545 processing Methods 0.000 claims description 2
- 238000001771 vacuum deposition Methods 0.000 claims description 2
- 239000010410 layer Substances 0.000 description 63
- 150000003254 radicals Chemical class 0.000 description 14
- UHOVQNZJYSORNB-UHFFFAOYSA-N Benzene Chemical compound C1=CC=CC=C1 UHOVQNZJYSORNB-UHFFFAOYSA-N 0.000 description 11
- 229910052757 nitrogen Inorganic materials 0.000 description 9
- 239000010408 film Substances 0.000 description 7
- 125000001072 heteroaryl group Chemical group 0.000 description 7
- IJGRMHOSHXDMSA-UHFFFAOYSA-N nitrogen Substances N#N IJGRMHOSHXDMSA-UHFFFAOYSA-N 0.000 description 7
- IAZDPXIOMUYVGZ-UHFFFAOYSA-N Dimethylsulphoxide Chemical compound CS(C)=O IAZDPXIOMUYVGZ-UHFFFAOYSA-N 0.000 description 6
- LFQSCWFLJHTTHZ-UHFFFAOYSA-N Ethanol Chemical compound CCO LFQSCWFLJHTTHZ-UHFFFAOYSA-N 0.000 description 6
- XEKOWRVHYACXOJ-UHFFFAOYSA-N Ethyl acetate Chemical compound CCOC(C)=O XEKOWRVHYACXOJ-UHFFFAOYSA-N 0.000 description 6
- YXFVVABEGXRONW-UHFFFAOYSA-N Toluene Chemical compound CC1=CC=CC=C1 YXFVVABEGXRONW-UHFFFAOYSA-N 0.000 description 6
- 238000005259 measurement Methods 0.000 description 6
- 238000006862 quantum yield reaction Methods 0.000 description 6
- 230000015572 biosynthetic process Effects 0.000 description 5
- 239000007789 gas Substances 0.000 description 5
- 238000004770 highest occupied molecular orbital Methods 0.000 description 5
- 238000004768 lowest unoccupied molecular orbital Methods 0.000 description 5
- 239000011159 matrix material Substances 0.000 description 5
- 238000001161 time-correlated single photon counting Methods 0.000 description 5
- WOCVINHBMRXVRD-UHFFFAOYSA-N 1,2-dibromo-3,4-difluorobenzene Chemical class FC1=CC=C(Br)C(Br)=C1F WOCVINHBMRXVRD-UHFFFAOYSA-N 0.000 description 4
- AWXGSYPUMWKTBR-UHFFFAOYSA-N 4-carbazol-9-yl-n,n-bis(4-carbazol-9-ylphenyl)aniline Chemical compound C12=CC=CC=C2C2=CC=CC=C2N1C1=CC=C(N(C=2C=CC(=CC=2)N2C3=CC=CC=C3C3=CC=CC=C32)C=2C=CC(=CC=2)N2C3=CC=CC=C3C3=CC=CC=C32)C=C1 AWXGSYPUMWKTBR-UHFFFAOYSA-N 0.000 description 4
- UJOBWOGCFQCDNV-UHFFFAOYSA-N 9H-carbazole Chemical compound C1=CC=C2C3=CC=CC=C3NC2=C1 UJOBWOGCFQCDNV-UHFFFAOYSA-N 0.000 description 4
- CSNNHWWHGAXBCP-UHFFFAOYSA-L Magnesium sulfate Chemical compound [Mg+2].[O-][S+2]([O-])([O-])[O-] CSNNHWWHGAXBCP-UHFFFAOYSA-L 0.000 description 4
- ZMXDDKWLCZADIW-UHFFFAOYSA-N N,N-Dimethylformamide Chemical compound CN(C)C=O ZMXDDKWLCZADIW-UHFFFAOYSA-N 0.000 description 4
- JUJWROOIHBZHMG-UHFFFAOYSA-N Pyridine Chemical compound C1=CC=NC=C1 JUJWROOIHBZHMG-UHFFFAOYSA-N 0.000 description 4
- SMWDFEZZVXVKRB-UHFFFAOYSA-N Quinoline Chemical compound N1=CC=CC2=CC=CC=C21 SMWDFEZZVXVKRB-UHFFFAOYSA-N 0.000 description 4
- FAPWRFPIFSIZLT-UHFFFAOYSA-M Sodium chloride Chemical class [Na+].[Cl-] FAPWRFPIFSIZLT-UHFFFAOYSA-M 0.000 description 4
- YTPLMLYBLZKORZ-UHFFFAOYSA-N Thiophene Chemical compound C=1C=CSC=1 YTPLMLYBLZKORZ-UHFFFAOYSA-N 0.000 description 4
- XLOMVQKBTHCTTD-UHFFFAOYSA-N Zinc monoxide Chemical compound [Zn]=O XLOMVQKBTHCTTD-UHFFFAOYSA-N 0.000 description 4
- MWPLVEDNUUSJAV-UHFFFAOYSA-N anthracene Chemical compound C1=CC=CC2=CC3=CC=CC=C3C=C21 MWPLVEDNUUSJAV-UHFFFAOYSA-N 0.000 description 4
- 238000005538 encapsulation Methods 0.000 description 4
- 229910052739 hydrogen Inorganic materials 0.000 description 4
- AWJUIBRHMBBTKR-UHFFFAOYSA-N isoquinoline Chemical compound C1=NC=CC2=CC=CC=C21 AWJUIBRHMBBTKR-UHFFFAOYSA-N 0.000 description 4
- YNPNZTXNASCQKK-UHFFFAOYSA-N phenanthrene Chemical compound C1=CC=C2C3=CC=CC=C3C=CC2=C1 YNPNZTXNASCQKK-UHFFFAOYSA-N 0.000 description 4
- 230000003595 spectral effect Effects 0.000 description 4
- 238000003786 synthesis reaction Methods 0.000 description 4
- LWIHDJKSTIGBAC-UHFFFAOYSA-K tripotassium phosphate Chemical compound [K+].[K+].[K+].[O-]P([O-])([O-])=O LWIHDJKSTIGBAC-UHFFFAOYSA-K 0.000 description 4
- XOYZGLGJSAZOAG-UHFFFAOYSA-N 1-n,1-n,4-n-triphenyl-4-n-[4-[4-(n-[4-(n-phenylanilino)phenyl]anilino)phenyl]phenyl]benzene-1,4-diamine Chemical compound C1=CC=CC=C1N(C=1C=CC(=CC=1)N(C=1C=CC=CC=1)C=1C=CC(=CC=1)C=1C=CC(=CC=1)N(C=1C=CC=CC=1)C=1C=CC(=CC=1)N(C=1C=CC=CC=1)C=1C=CC=CC=1)C1=CC=CC=C1 XOYZGLGJSAZOAG-UHFFFAOYSA-N 0.000 description 3
- SPDPTFAJSFKAMT-UHFFFAOYSA-N 1-n-[4-[4-(n-[4-(3-methyl-n-(3-methylphenyl)anilino)phenyl]anilino)phenyl]phenyl]-4-n,4-n-bis(3-methylphenyl)-1-n-phenylbenzene-1,4-diamine Chemical compound CC1=CC=CC(N(C=2C=CC(=CC=2)N(C=2C=CC=CC=2)C=2C=CC(=CC=2)C=2C=CC(=CC=2)N(C=2C=CC=CC=2)C=2C=CC(=CC=2)N(C=2C=C(C)C=CC=2)C=2C=C(C)C=CC=2)C=2C=C(C)C=CC=2)=C1 SPDPTFAJSFKAMT-UHFFFAOYSA-N 0.000 description 3
- MQRCTQVBZYBPQE-UHFFFAOYSA-N 189363-47-1 Chemical compound C1=CC=CC=C1N(C=1C=C2C3(C4=CC(=CC=C4C2=CC=1)N(C=1C=CC=CC=1)C=1C=CC=CC=1)C1=CC(=CC=C1C1=CC=C(C=C13)N(C=1C=CC=CC=1)C=1C=CC=CC=1)N(C=1C=CC=CC=1)C=1C=CC=CC=1)C1=CC=CC=C1 MQRCTQVBZYBPQE-UHFFFAOYSA-N 0.000 description 3
- VFUDMQLBKNMONU-UHFFFAOYSA-N 9-[4-(4-carbazol-9-ylphenyl)phenyl]carbazole Chemical compound C12=CC=CC=C2C2=CC=CC=C2N1C1=CC=C(C=2C=CC(=CC=2)N2C3=CC=CC=C3C3=CC=CC=C32)C=C1 VFUDMQLBKNMONU-UHFFFAOYSA-N 0.000 description 3
- YMWUJEATGCHHMB-UHFFFAOYSA-N Dichloromethane Chemical compound ClCCl YMWUJEATGCHHMB-UHFFFAOYSA-N 0.000 description 3
- 101000837344 Homo sapiens T-cell leukemia translocation-altered gene protein Proteins 0.000 description 3
- 102100028692 T-cell leukemia translocation-altered gene protein Human genes 0.000 description 3
- 238000004364 calculation method Methods 0.000 description 3
- 239000012876 carrier material Substances 0.000 description 3
- 229960001760 dimethyl sulfoxide Drugs 0.000 description 3
- 239000002019 doping agent Substances 0.000 description 3
- 230000005284 excitation Effects 0.000 description 3
- GVEPBJHOBDJJJI-UHFFFAOYSA-N fluoranthrene Natural products C1=CC(C2=CC=CC=C22)=C3C2=CC=CC3=C1 GVEPBJHOBDJJJI-UHFFFAOYSA-N 0.000 description 3
- 239000011521 glass Substances 0.000 description 3
- 125000005842 heteroatom Chemical group 0.000 description 3
- RAXXELZNTBOGNW-UHFFFAOYSA-N imidazole Natural products C1=CNC=N1 RAXXELZNTBOGNW-UHFFFAOYSA-N 0.000 description 3
- 229910052751 metal Inorganic materials 0.000 description 3
- 239000002184 metal Substances 0.000 description 3
- 238000004776 molecular orbital Methods 0.000 description 3
- 238000005424 photoluminescence Methods 0.000 description 3
- XLYOFNOQVPJJNP-UHFFFAOYSA-N water Substances O XLYOFNOQVPJJNP-UHFFFAOYSA-N 0.000 description 3
- TXBFHHYSJNVGBX-UHFFFAOYSA-N (4-diphenylphosphorylphenyl)-triphenylsilane Chemical compound C=1C=CC=CC=1P(C=1C=CC(=CC=1)[Si](C=1C=CC=CC=1)(C=1C=CC=CC=1)C=1C=CC=CC=1)(=O)C1=CC=CC=C1 TXBFHHYSJNVGBX-UHFFFAOYSA-N 0.000 description 2
- PPUZKAPOPPRMFE-UHFFFAOYSA-N 1,5-dibromo-2,4-difluorobenzene Chemical compound FC1=CC(F)=C(Br)C=C1Br PPUZKAPOPPRMFE-UHFFFAOYSA-N 0.000 description 2
- FCEHBMOGCRZNNI-UHFFFAOYSA-N 1-benzothiophene Chemical compound C1=CC=C2SC=CC2=C1 FCEHBMOGCRZNNI-UHFFFAOYSA-N 0.000 description 2
- ATTVYRDSOVWELU-UHFFFAOYSA-N 1-diphenylphosphoryl-2-(2-diphenylphosphorylphenoxy)benzene Chemical compound C=1C=CC=CC=1P(C=1C(=CC=CC=1)OC=1C(=CC=CC=1)P(=O)(C=1C=CC=CC=1)C=1C=CC=CC=1)(=O)C1=CC=CC=C1 ATTVYRDSOVWELU-UHFFFAOYSA-N 0.000 description 2
- GKWLILHTTGWKLQ-UHFFFAOYSA-N 2,3-dihydrothieno[3,4-b][1,4]dioxine Chemical compound O1CCOC2=CSC=C21 GKWLILHTTGWKLQ-UHFFFAOYSA-N 0.000 description 2
- STTGYIUESPWXOW-UHFFFAOYSA-N 2,9-dimethyl-4,7-diphenyl-1,10-phenanthroline Chemical compound C=12C=CC3=C(C=4C=CC=CC=4)C=C(C)N=C3C2=NC(C)=CC=1C1=CC=CC=C1 STTGYIUESPWXOW-UHFFFAOYSA-N 0.000 description 2
- XESMNQMWRSEIET-UHFFFAOYSA-N 2,9-dinaphthalen-2-yl-4,7-diphenyl-1,10-phenanthroline Chemical compound C1=CC=CC=C1C1=CC(C=2C=C3C=CC=CC3=CC=2)=NC2=C1C=CC1=C(C=3C=CC=CC=3)C=C(C=3C=C4C=CC=CC4=CC=3)N=C21 XESMNQMWRSEIET-UHFFFAOYSA-N 0.000 description 2
- IXHWGNYCZPISET-UHFFFAOYSA-N 2-[4-(dicyanomethylidene)-2,3,5,6-tetrafluorocyclohexa-2,5-dien-1-ylidene]propanedinitrile Chemical compound FC1=C(F)C(=C(C#N)C#N)C(F)=C(F)C1=C(C#N)C#N IXHWGNYCZPISET-UHFFFAOYSA-N 0.000 description 2
- WPUSEOSICYGUEW-UHFFFAOYSA-N 4-[4-(4-methoxy-n-(4-methoxyphenyl)anilino)phenyl]-n,n-bis(4-methoxyphenyl)aniline Chemical compound C1=CC(OC)=CC=C1N(C=1C=CC(=CC=1)C=1C=CC(=CC=1)N(C=1C=CC(OC)=CC=1)C=1C=CC(OC)=CC=1)C1=CC=C(OC)C=C1 WPUSEOSICYGUEW-UHFFFAOYSA-N 0.000 description 2
- LGDCSNDMFFFSHY-UHFFFAOYSA-N 4-butyl-n,n-diphenylaniline Chemical compound C1=CC(CCCC)=CC=C1N(C=1C=CC=CC=1)C1=CC=CC=C1 LGDCSNDMFFFSHY-UHFFFAOYSA-N 0.000 description 2
- ZOKIJILZFXPFTO-UHFFFAOYSA-N 4-methyl-n-[4-[1-[4-(4-methyl-n-(4-methylphenyl)anilino)phenyl]cyclohexyl]phenyl]-n-(4-methylphenyl)aniline Chemical compound C1=CC(C)=CC=C1N(C=1C=CC(=CC=1)C1(CCCCC1)C=1C=CC(=CC=1)N(C=1C=CC(C)=CC=1)C=1C=CC(C)=CC=1)C1=CC=C(C)C=C1 ZOKIJILZFXPFTO-UHFFFAOYSA-N 0.000 description 2
- DIVZFUBWFAOMCW-UHFFFAOYSA-N 4-n-(3-methylphenyl)-1-n,1-n-bis[4-(n-(3-methylphenyl)anilino)phenyl]-4-n-phenylbenzene-1,4-diamine Chemical compound CC1=CC=CC(N(C=2C=CC=CC=2)C=2C=CC(=CC=2)N(C=2C=CC(=CC=2)N(C=2C=CC=CC=2)C=2C=C(C)C=CC=2)C=2C=CC(=CC=2)N(C=2C=CC=CC=2)C=2C=C(C)C=CC=2)=C1 DIVZFUBWFAOMCW-UHFFFAOYSA-N 0.000 description 2
- KDCGOANMDULRCW-UHFFFAOYSA-N 7H-purine Chemical compound N1=CNC2=NC=NC2=C1 KDCGOANMDULRCW-UHFFFAOYSA-N 0.000 description 2
- FXKMXDQBHDTQII-UHFFFAOYSA-N 9-phenyl-3,6-bis(9-phenylcarbazol-3-yl)carbazole Chemical compound C1=CC=CC=C1N1C2=CC=C(C=3C=C4C5=CC(=CC=C5N(C=5C=CC=CC=5)C4=CC=3)C=3C=C4C5=CC=CC=C5N(C=5C=CC=CC=5)C4=CC=3)C=C2C2=CC=CC=C21 FXKMXDQBHDTQII-UHFFFAOYSA-N 0.000 description 2
- CSCPPACGZOOCGX-UHFFFAOYSA-N Acetone Chemical compound CC(C)=O CSCPPACGZOOCGX-UHFFFAOYSA-N 0.000 description 2
- 241001655883 Adeno-associated virus - 1 Species 0.000 description 2
- YLQBMQCUIZJEEH-UHFFFAOYSA-N Furan Chemical compound C=1C=COC=1 YLQBMQCUIZJEEH-UHFFFAOYSA-N 0.000 description 2
- SIKJAQJRHWYJAI-UHFFFAOYSA-N Indole Chemical compound C1=CC=C2NC=CC2=C1 SIKJAQJRHWYJAI-UHFFFAOYSA-N 0.000 description 2
- CPLXHLVBOLITMK-UHFFFAOYSA-N Magnesium oxide Chemical compound [Mg]=O CPLXHLVBOLITMK-UHFFFAOYSA-N 0.000 description 2
- UFWIBTONFRDIAS-UHFFFAOYSA-N Naphthalene Chemical compound C1=CC=CC2=CC=CC=C21 UFWIBTONFRDIAS-UHFFFAOYSA-N 0.000 description 2
- PCNDJXKNXGMECE-UHFFFAOYSA-N Phenazine Natural products C1=CC=CC2=NC3=CC=CC=C3N=C21 PCNDJXKNXGMECE-UHFFFAOYSA-N 0.000 description 2
- 229920001609 Poly(3,4-ethylenedioxythiophene) Polymers 0.000 description 2
- KYQCOXFCLRTKLS-UHFFFAOYSA-N Pyrazine Chemical compound C1=CN=CC=N1 KYQCOXFCLRTKLS-UHFFFAOYSA-N 0.000 description 2
- CZPWVGJYEJSRLH-UHFFFAOYSA-N Pyrimidine Chemical compound C1=CN=CN=C1 CZPWVGJYEJSRLH-UHFFFAOYSA-N 0.000 description 2
- KAESVJOAVNADME-UHFFFAOYSA-N Pyrrole Chemical compound C=1C=CNC=1 KAESVJOAVNADME-UHFFFAOYSA-N 0.000 description 2
- GWEVSGVZZGPLCZ-UHFFFAOYSA-N Titan oxide Chemical compound O=[Ti]=O GWEVSGVZZGPLCZ-UHFFFAOYSA-N 0.000 description 2
- 239000007983 Tris buffer Substances 0.000 description 2
- WIHKEPSYODOQJR-UHFFFAOYSA-N [9-(4-tert-butylphenyl)-6-triphenylsilylcarbazol-3-yl]-triphenylsilane Chemical compound C1=CC(C(C)(C)C)=CC=C1N1C2=CC=C([Si](C=3C=CC=CC=3)(C=3C=CC=CC=3)C=3C=CC=CC=3)C=C2C2=CC([Si](C=3C=CC=CC=3)(C=3C=CC=CC=3)C=3C=CC=CC=3)=CC=C21 WIHKEPSYODOQJR-UHFFFAOYSA-N 0.000 description 2
- XHCLAFWTIXFWPH-UHFFFAOYSA-N [O-2].[O-2].[O-2].[O-2].[O-2].[V+5].[V+5] Chemical compound [O-2].[O-2].[O-2].[O-2].[O-2].[V+5].[V+5] XHCLAFWTIXFWPH-UHFFFAOYSA-N 0.000 description 2
- DZBUGLKDJFMEHC-UHFFFAOYSA-N acridine Chemical compound C1=CC=CC2=CC3=CC=CC=C3N=C21 DZBUGLKDJFMEHC-UHFFFAOYSA-N 0.000 description 2
- 229910052782 aluminium Inorganic materials 0.000 description 2
- IOJUPLGTWVMSFF-UHFFFAOYSA-N benzothiazole Chemical compound C1=CC=C2SC=NC2=C1 IOJUPLGTWVMSFF-UHFFFAOYSA-N 0.000 description 2
- 150000001716 carbazoles Chemical class 0.000 description 2
- MVPPADPHJFYWMZ-UHFFFAOYSA-N chlorobenzene Chemical compound ClC1=CC=CC=C1 MVPPADPHJFYWMZ-UHFFFAOYSA-N 0.000 description 2
- WDECIBYCCFPHNR-UHFFFAOYSA-N chrysene Chemical compound C1=CC=CC2=CC=C3C4=CC=CC=C4C=CC3=C21 WDECIBYCCFPHNR-UHFFFAOYSA-N 0.000 description 2
- 239000011248 coating agent Substances 0.000 description 2
- 238000000576 coating method Methods 0.000 description 2
- 239000012043 crude product Substances 0.000 description 2
- JAONJTDQXUSBGG-UHFFFAOYSA-N dialuminum;dizinc;oxygen(2-) Chemical compound [O-2].[O-2].[O-2].[O-2].[O-2].[Al+3].[Al+3].[Zn+2].[Zn+2] JAONJTDQXUSBGG-UHFFFAOYSA-N 0.000 description 2
- TXCDCPKCNAJMEE-UHFFFAOYSA-N dibenzofuran Chemical compound C1=CC=C2C3=CC=CC=C3OC2=C1 TXCDCPKCNAJMEE-UHFFFAOYSA-N 0.000 description 2
- IYYZUPMFVPLQIF-UHFFFAOYSA-N dibenzothiophene Chemical compound C1=CC=C2C3=CC=CC=C3SC2=C1 IYYZUPMFVPLQIF-UHFFFAOYSA-N 0.000 description 2
- DMBHHRLKUKUOEG-UHFFFAOYSA-N diphenylamine Chemical compound C=1C=CC=CC=1NC1=CC=CC=C1 DMBHHRLKUKUOEG-UHFFFAOYSA-N 0.000 description 2
- DKHNGUNXLDCATP-UHFFFAOYSA-N dipyrazino[2,3-f:2',3'-h]quinoxaline-2,3,6,7,10,11-hexacarbonitrile Chemical compound C12=NC(C#N)=C(C#N)N=C2C2=NC(C#N)=C(C#N)N=C2C2=C1N=C(C#N)C(C#N)=N2 DKHNGUNXLDCATP-UHFFFAOYSA-N 0.000 description 2
- 238000001194 electroluminescence spectrum Methods 0.000 description 2
- 230000005274 electronic transitions Effects 0.000 description 2
- 125000001495 ethyl group Chemical group [H]C([H])([H])C([H])([H])* 0.000 description 2
- 238000011156 evaluation Methods 0.000 description 2
- 238000003818 flash chromatography Methods 0.000 description 2
- 230000005525 hole transport Effects 0.000 description 2
- MRELNEQAGSRDBK-UHFFFAOYSA-N lanthanum(3+);oxygen(2-) Chemical compound [O-2].[O-2].[O-2].[La+3].[La+3] MRELNEQAGSRDBK-UHFFFAOYSA-N 0.000 description 2
- 229910052943 magnesium sulfate Inorganic materials 0.000 description 2
- 235000019341 magnesium sulphate Nutrition 0.000 description 2
- 229910044991 metal oxide Inorganic materials 0.000 description 2
- 150000004706 metal oxides Chemical class 0.000 description 2
- 150000002739 metals Chemical class 0.000 description 2
- 239000005304 optical glass Substances 0.000 description 2
- 239000012074 organic phase Substances 0.000 description 2
- 235000012736 patent blue V Nutrition 0.000 description 2
- RDOWQLZANAYVLL-UHFFFAOYSA-N phenanthridine Chemical compound C1=CC=C2C3=CC=CC=C3C=NC2=C1 RDOWQLZANAYVLL-UHFFFAOYSA-N 0.000 description 2
- 229920003229 poly(methyl methacrylate) Polymers 0.000 description 2
- 239000004926 polymethyl methacrylate Substances 0.000 description 2
- BBEAQIROQSPTKN-UHFFFAOYSA-N pyrene Chemical compound C1=CC=C2C=CC3=CC=CC4=CC=C1C2=C43 BBEAQIROQSPTKN-UHFFFAOYSA-N 0.000 description 2
- UMJSCPRVCHMLSP-UHFFFAOYSA-N pyridine Natural products COC1=CC=CN=C1 UMJSCPRVCHMLSP-UHFFFAOYSA-N 0.000 description 2
- XSCHRSMBECNVNS-UHFFFAOYSA-N quinoxaline Chemical compound N1=CC=NC2=CC=CC=C21 XSCHRSMBECNVNS-UHFFFAOYSA-N 0.000 description 2
- 239000011541 reaction mixture Substances 0.000 description 2
- 238000001953 recrystallisation Methods 0.000 description 2
- VYPSYNLAJGMNEJ-UHFFFAOYSA-N silicon dioxide Inorganic materials O=[Si]=O VYPSYNLAJGMNEJ-UHFFFAOYSA-N 0.000 description 2
- 229910052709 silver Inorganic materials 0.000 description 2
- 229930192474 thiophene Natural products 0.000 description 2
- OGIDPMRJRNCKJF-UHFFFAOYSA-N titanium oxide Inorganic materials [Ti]=O OGIDPMRJRNCKJF-UHFFFAOYSA-N 0.000 description 2
- 238000012546 transfer Methods 0.000 description 2
- 230000007704 transition Effects 0.000 description 2
- TVIVIEFSHFOWTE-UHFFFAOYSA-K tri(quinolin-8-yloxy)alumane Chemical compound [Al+3].C1=CN=C2C([O-])=CC=CC2=C1.C1=CN=C2C([O-])=CC=CC2=C1.C1=CN=C2C([O-])=CC=CC2=C1 TVIVIEFSHFOWTE-UHFFFAOYSA-K 0.000 description 2
- 229940062627 tribasic potassium phosphate Drugs 0.000 description 2
- 229910001935 vanadium oxide Inorganic materials 0.000 description 2
- 238000001947 vapour-phase growth Methods 0.000 description 2
- 239000011701 zinc Substances 0.000 description 2
- 239000011787 zinc oxide Substances 0.000 description 2
- CYPYTURSJDMMMP-WVCUSYJESA-N (1e,4e)-1,5-diphenylpenta-1,4-dien-3-one;palladium Chemical compound [Pd].[Pd].C=1C=CC=CC=1\C=C\C(=O)\C=C\C1=CC=CC=C1.C=1C=CC=CC=1\C=C\C(=O)\C=C\C1=CC=CC=C1.C=1C=CC=CC=1\C=C\C(=O)\C=C\C1=CC=CC=C1 CYPYTURSJDMMMP-WVCUSYJESA-N 0.000 description 1
- FNQJDLTXOVEEFB-UHFFFAOYSA-N 1,2,3-benzothiadiazole Chemical compound C1=CC=C2SN=NC2=C1 FNQJDLTXOVEEFB-UHFFFAOYSA-N 0.000 description 1
- BBVIDBNAYOIXOE-UHFFFAOYSA-N 1,2,4-oxadiazole Chemical compound C=1N=CON=1 BBVIDBNAYOIXOE-UHFFFAOYSA-N 0.000 description 1
- DXBHBZVCASKNBY-UHFFFAOYSA-N 1,2-Benz(a)anthracene Chemical compound C1=CC=C2C3=CC4=CC=CC=C4C=C3C=CC2=C1 DXBHBZVCASKNBY-UHFFFAOYSA-N 0.000 description 1
- JTEZQWOKRHOKDG-UHFFFAOYSA-N 1,2-dibromo-4,5-difluorobenzene Chemical compound FC1=CC(Br)=C(Br)C=C1F JTEZQWOKRHOKDG-UHFFFAOYSA-N 0.000 description 1
- YJTKZCDBKVTVBY-UHFFFAOYSA-N 1,3-Diphenylbenzene Chemical group C1=CC=CC=C1C1=CC=CC(C=2C=CC=CC=2)=C1 YJTKZCDBKVTVBY-UHFFFAOYSA-N 0.000 description 1
- BCMCBBGGLRIHSE-UHFFFAOYSA-N 1,3-benzoxazole Chemical compound C1=CC=C2OC=NC2=C1 BCMCBBGGLRIHSE-UHFFFAOYSA-N 0.000 description 1
- BWTOBPAYDSAFAG-UHFFFAOYSA-N 1,3-dibromo-2,4-difluorobenzene Chemical compound FC1=CC=C(Br)C(F)=C1Br BWTOBPAYDSAFAG-UHFFFAOYSA-N 0.000 description 1
- QTZSKHCRRPXONC-UHFFFAOYSA-N 1,3-dibromo-2,5-difluorobenzene Chemical compound FC1=CC(Br)=C(F)C(Br)=C1 QTZSKHCRRPXONC-UHFFFAOYSA-N 0.000 description 1
- RGXGEFSBDPGCEU-UHFFFAOYSA-N 1,4-dibromo-2,3-difluorobenzene Chemical compound FC1=C(F)C(Br)=CC=C1Br RGXGEFSBDPGCEU-UHFFFAOYSA-N 0.000 description 1
- GLVMLJCMUBZVTJ-UHFFFAOYSA-N 1,4-dibromo-2,5-difluorobenzene Chemical compound FC1=CC(Br)=C(F)C=C1Br GLVMLJCMUBZVTJ-UHFFFAOYSA-N 0.000 description 1
- FLBAYUMRQUHISI-UHFFFAOYSA-N 1,8-naphthyridine Chemical compound N1=CC=CC2=CC=CN=C21 FLBAYUMRQUHISI-UHFFFAOYSA-N 0.000 description 1
- RHDYQUZYHZWTCI-UHFFFAOYSA-N 1-methoxy-4-phenylbenzene Chemical compound C1=CC(OC)=CC=C1C1=CC=CC=C1 RHDYQUZYHZWTCI-UHFFFAOYSA-N 0.000 description 1
- WJFKNYWRSNBZNX-UHFFFAOYSA-N 10H-phenothiazine Chemical compound C1=CC=C2NC3=CC=CC=C3SC2=C1 WJFKNYWRSNBZNX-UHFFFAOYSA-N 0.000 description 1
- TZMSYXZUNZXBOL-UHFFFAOYSA-N 10H-phenoxazine Chemical compound C1=CC=C2NC3=CC=CC=C3OC2=C1 TZMSYXZUNZXBOL-UHFFFAOYSA-N 0.000 description 1
- QWENRTYMTSOGBR-UHFFFAOYSA-N 1H-1,2,3-Triazole Chemical compound C=1C=NNN=1 QWENRTYMTSOGBR-UHFFFAOYSA-N 0.000 description 1
- HYZJCKYKOHLVJF-UHFFFAOYSA-N 1H-benzimidazole Chemical compound C1=CC=C2NC=NC2=C1 HYZJCKYKOHLVJF-UHFFFAOYSA-N 0.000 description 1
- BAXOFTOLAUCFNW-UHFFFAOYSA-N 1H-indazole Chemical compound C1=CC=C2C=NNC2=C1 BAXOFTOLAUCFNW-UHFFFAOYSA-N 0.000 description 1
- USYCQABRSUEURP-UHFFFAOYSA-N 1h-benzo[f]benzimidazole Chemical compound C1=CC=C2C=C(NC=N3)C3=CC2=C1 USYCQABRSUEURP-UHFFFAOYSA-N 0.000 description 1
- JUUZQMUWOVDZSD-UHFFFAOYSA-N 1h-imidazole;pyrazine Chemical compound C1=CNC=N1.C1=CN=CC=N1 JUUZQMUWOVDZSD-UHFFFAOYSA-N 0.000 description 1
- IGHOZKDBCCFNNC-UHFFFAOYSA-N 1h-imidazole;quinoxaline Chemical compound C1=CNC=N1.N1=CC=NC2=CC=CC=C21 IGHOZKDBCCFNNC-UHFFFAOYSA-N 0.000 description 1
- 125000004206 2,2,2-trifluoroethyl group Chemical group [H]C([H])(*)C(F)(F)F 0.000 description 1
- VEPOHXYIFQMVHW-XOZOLZJESA-N 2,3-dihydroxybutanedioic acid (2S,3S)-3,4-dimethyl-2-phenylmorpholine Chemical compound OC(C(O)C(O)=O)C(O)=O.C[C@H]1[C@@H](OCCN1C)c1ccccc1 VEPOHXYIFQMVHW-XOZOLZJESA-N 0.000 description 1
- OCUXAWVQPORIBP-UHFFFAOYSA-N 2,5-dibromo-1,3-difluorobenzene Chemical compound FC1=CC(Br)=CC(F)=C1Br OCUXAWVQPORIBP-UHFFFAOYSA-N 0.000 description 1
- UXGVMFHEKMGWMA-UHFFFAOYSA-N 2-benzofuran Chemical compound C1=CC=CC2=COC=C21 UXGVMFHEKMGWMA-UHFFFAOYSA-N 0.000 description 1
- LYTMVABTDYMBQK-UHFFFAOYSA-N 2-benzothiophene Chemical compound C1=CC=CC2=CSC=C21 LYTMVABTDYMBQK-UHFFFAOYSA-N 0.000 description 1
- 125000004493 2-methylbut-1-yl group Chemical group CC(C*)CC 0.000 description 1
- 125000005916 2-methylpentyl group Chemical group 0.000 description 1
- ZDAWFMCVTXSZTC-UHFFFAOYSA-N 2-n',7-n'-dinaphthalen-1-yl-2-n',7-n'-diphenyl-9,9'-spirobi[fluorene]-2',7'-diamine Chemical compound C1=CC=CC=C1N(C=1C2=CC=CC=C2C=CC=1)C1=CC=C(C=2C(=CC(=CC=2)N(C=2C=CC=CC=2)C=2C3=CC=CC=C3C=CC=2)C23C4=CC=CC=C4C4=CC=CC=C43)C2=C1 ZDAWFMCVTXSZTC-UHFFFAOYSA-N 0.000 description 1
- VHMICKWLTGFITH-UHFFFAOYSA-N 2H-isoindole Chemical compound C1=CC=CC2=CNC=C21 VHMICKWLTGFITH-UHFFFAOYSA-N 0.000 description 1
- ZNNWWIMRSATCKZ-UHFFFAOYSA-N 3,5,9,12,15,18-hexazatetracyclo[12.4.0.02,7.08,13]octadeca-1(18),2,4,6,8,10,12,14,16-nonaene Chemical group C1=CN=C2C3=NC=CN=C3C3=CN=CN=C3C2=N1 ZNNWWIMRSATCKZ-UHFFFAOYSA-N 0.000 description 1
- WCXKTQVEKDHQIY-UHFFFAOYSA-N 3-[3-[3-(3,5-dipyridin-3-ylphenyl)phenyl]-5-pyridin-3-ylphenyl]pyridine Chemical compound C1=CN=CC(C=2C=C(C=C(C=2)C=2C=NC=CC=2)C=2C=C(C=CC=2)C=2C=C(C=C(C=2)C=2C=NC=CC=2)C=2C=NC=CC=2)=C1 WCXKTQVEKDHQIY-UHFFFAOYSA-N 0.000 description 1
- UQRONKZLYKUEMO-UHFFFAOYSA-N 4-methyl-1-(2,4,6-trimethylphenyl)pent-4-en-2-one Chemical group CC(=C)CC(=O)Cc1c(C)cc(C)cc1C UQRONKZLYKUEMO-UHFFFAOYSA-N 0.000 description 1
- NSPMIYGKQJPBQR-UHFFFAOYSA-N 4H-1,2,4-triazole Chemical compound C=1N=CNN=1 NSPMIYGKQJPBQR-UHFFFAOYSA-N 0.000 description 1
- YFHRIUJZXWFFHN-UHFFFAOYSA-N 9-(1-carbazol-9-yl-5-phenylcyclohexa-2,4-dien-1-yl)carbazole Chemical group C=1C=CC(N2C3=CC=CC=C3C3=CC=CC=C32)(N2C3=CC=CC=C3C3=CC=CC=C32)CC=1C1=CC=CC=C1 YFHRIUJZXWFFHN-UHFFFAOYSA-N 0.000 description 1
- MZYDBGLUVPLRKR-UHFFFAOYSA-N 9-(3-carbazol-9-ylphenyl)carbazole Chemical compound C12=CC=CC=C2C2=CC=CC=C2N1C1=CC(N2C3=CC=CC=C3C3=CC=CC=C32)=CC=C1 MZYDBGLUVPLRKR-UHFFFAOYSA-N 0.000 description 1
- DVNOWTJCOPZGQA-UHFFFAOYSA-N 9-[3,5-di(carbazol-9-yl)phenyl]carbazole Chemical compound C12=CC=CC=C2C2=CC=CC=C2N1C1=CC(N2C3=CC=CC=C3C3=CC=CC=C32)=CC(N2C3=CC=CC=C3C3=CC=CC=C32)=C1 DVNOWTJCOPZGQA-UHFFFAOYSA-N 0.000 description 1
- GZSUIHUAFPHZSU-UHFFFAOYSA-N 9-ethyl-2,3-dihydro-1h-carbazol-4-one Chemical compound C12=CC=CC=C2N(CC)C2=C1C(=O)CCC2 GZSUIHUAFPHZSU-UHFFFAOYSA-N 0.000 description 1
- MAIALRIWXGBQRP-UHFFFAOYSA-N 9-naphthalen-1-yl-10-naphthalen-2-ylanthracene Chemical compound C12=CC=CC=C2C(C2=CC3=CC=CC=C3C=C2)=C(C=CC=C2)C2=C1C1=CC=CC2=CC=CC=C12 MAIALRIWXGBQRP-UHFFFAOYSA-N 0.000 description 1
- BPMFPOGUJAAYHL-UHFFFAOYSA-N 9H-Pyrido[2,3-b]indole Chemical compound C1=CC=C2C3=CC=CC=C3NC2=N1 BPMFPOGUJAAYHL-UHFFFAOYSA-N 0.000 description 1
- 239000005964 Acibenzolar-S-methyl Substances 0.000 description 1
- 241000702423 Adeno-associated virus - 2 Species 0.000 description 1
- 229910016036 BaF 2 Inorganic materials 0.000 description 1
- FMMWHPNWAFZXNH-UHFFFAOYSA-N Benz[a]pyrene Chemical compound C1=C2C3=CC=CC=C3C=C(C=C3)C2=C2C3=CC=CC2=C1 FMMWHPNWAFZXNH-UHFFFAOYSA-N 0.000 description 1
- XGUZQSDSGHVXMK-UHFFFAOYSA-N C1(=CC=CC=C1)[Si](C1=CC=CC=C1)(C1=CC=CC=C1)P(C1=CC=CC=C1)=O Chemical compound C1(=CC=CC=C1)[Si](C1=CC=CC=C1)(C1=CC=CC=C1)P(C1=CC=CC=C1)=O XGUZQSDSGHVXMK-UHFFFAOYSA-N 0.000 description 1
- 229910016460 CzSi Inorganic materials 0.000 description 1
- 229910018068 Li 2 O Inorganic materials 0.000 description 1
- 229910017911 MgIn Inorganic materials 0.000 description 1
- PBQOORWWJRJEPI-UHFFFAOYSA-N OBO.N#CC1=CC=CC=C1 Chemical compound OBO.N#CC1=CC=CC=C1 PBQOORWWJRJEPI-UHFFFAOYSA-N 0.000 description 1
- ZCQWOFVYLHDMMC-UHFFFAOYSA-N Oxazole Chemical compound C1=COC=N1 ZCQWOFVYLHDMMC-UHFFFAOYSA-N 0.000 description 1
- 229920000144 PEDOT:PSS Polymers 0.000 description 1
- WTKZEGDFNFYCGP-UHFFFAOYSA-N Pyrazole Chemical compound C=1C=NNC=1 WTKZEGDFNFYCGP-UHFFFAOYSA-N 0.000 description 1
- XUIMIQQOPSSXEZ-UHFFFAOYSA-N Silicon Chemical compound [Si] XUIMIQQOPSSXEZ-UHFFFAOYSA-N 0.000 description 1
- KEAYESYHFKHZAL-UHFFFAOYSA-N Sodium Chemical compound [Na] KEAYESYHFKHZAL-UHFFFAOYSA-N 0.000 description 1
- 239000004809 Teflon Substances 0.000 description 1
- 229920006362 Teflon® Polymers 0.000 description 1
- XBDYBAVJXHJMNQ-UHFFFAOYSA-N Tetrahydroanthracene Natural products C1=CC=C2C=C(CCCC3)C3=CC2=C1 XBDYBAVJXHJMNQ-UHFFFAOYSA-N 0.000 description 1
- WYURNTSHIVDZCO-UHFFFAOYSA-N Tetrahydrofuran Chemical compound C1CCOC1 WYURNTSHIVDZCO-UHFFFAOYSA-N 0.000 description 1
- DPOPAJRDYZGTIR-UHFFFAOYSA-N Tetrazine Chemical compound C1=CN=NN=N1 DPOPAJRDYZGTIR-UHFFFAOYSA-N 0.000 description 1
- FZWLAAWBMGSTSO-UHFFFAOYSA-N Thiazole Chemical compound C1=CSC=N1 FZWLAAWBMGSTSO-UHFFFAOYSA-N 0.000 description 1
- 229910007717 ZnSnO Inorganic materials 0.000 description 1
- DGEZNRSVGBDHLK-UHFFFAOYSA-N [1,10]phenanthroline Chemical compound C1=CN=C2C3=NC=CC=C3C=CC2=C1 DGEZNRSVGBDHLK-UHFFFAOYSA-N 0.000 description 1
- 238000010521 absorption reaction Methods 0.000 description 1
- 125000005073 adamantyl group Chemical group C12(CC3CC(CC(C1)C3)C2)* 0.000 description 1
- 150000001338 aliphatic hydrocarbons Chemical class 0.000 description 1
- 239000000956 alloy Substances 0.000 description 1
- 229910045601 alloy Inorganic materials 0.000 description 1
- HSFWRNGVRCDJHI-UHFFFAOYSA-N alpha-acetylene Natural products C#C HSFWRNGVRCDJHI-UHFFFAOYSA-N 0.000 description 1
- PNEYBMLMFCGWSK-UHFFFAOYSA-N aluminium oxide Inorganic materials [O-2].[O-2].[O-2].[Al+3].[Al+3] PNEYBMLMFCGWSK-UHFFFAOYSA-N 0.000 description 1
- REDXJYDRNCIFBQ-UHFFFAOYSA-N aluminium(3+) Chemical compound [Al+3] REDXJYDRNCIFBQ-UHFFFAOYSA-N 0.000 description 1
- 150000001412 amines Chemical class 0.000 description 1
- 150000001454 anthracenes Chemical class 0.000 description 1
- 238000000149 argon plasma sintering Methods 0.000 description 1
- 150000001491 aromatic compounds Chemical class 0.000 description 1
- RFRXIWQYSOIBDI-UHFFFAOYSA-N benzarone Chemical compound CCC=1OC2=CC=CC=C2C=1C(=O)C1=CC=C(O)C=C1 RFRXIWQYSOIBDI-UHFFFAOYSA-N 0.000 description 1
- QRUDEWIWKLJBPS-UHFFFAOYSA-N benzotriazole Chemical compound C1=CC=C2N[N][N]C2=C1 QRUDEWIWKLJBPS-UHFFFAOYSA-N 0.000 description 1
- 239000012964 benzotriazole Substances 0.000 description 1
- 125000002619 bicyclic group Chemical group 0.000 description 1
- UFVXQDWNSAGPHN-UHFFFAOYSA-K bis[(2-methylquinolin-8-yl)oxy]-(4-phenylphenoxy)alumane Chemical compound [Al+3].C1=CC=C([O-])C2=NC(C)=CC=C21.C1=CC=C([O-])C2=NC(C)=CC=C21.C1=CC([O-])=CC=C1C1=CC=CC=C1 UFVXQDWNSAGPHN-UHFFFAOYSA-K 0.000 description 1
- ZADPBFCGQRWHPN-UHFFFAOYSA-N boronic acid Chemical compound OBO ZADPBFCGQRWHPN-UHFFFAOYSA-N 0.000 description 1
- 125000005620 boronic acid group Chemical group 0.000 description 1
- 125000004369 butenyl group Chemical group C(=CCC)* 0.000 description 1
- 125000000480 butynyl group Chemical group [*]C#CC([H])([H])C([H])([H])[H] 0.000 description 1
- CXKCTMHTOKXKQT-UHFFFAOYSA-N cadmium oxide Inorganic materials [Cd]=O CXKCTMHTOKXKQT-UHFFFAOYSA-N 0.000 description 1
- CFEAAQFZALKQPA-UHFFFAOYSA-N cadmium(2+);oxygen(2-) Chemical compound [O-2].[Cd+2] CFEAAQFZALKQPA-UHFFFAOYSA-N 0.000 description 1
- 239000012159 carrier gas Substances 0.000 description 1
- 238000012512 characterization method Methods 0.000 description 1
- WCZVZNOTHYJIEI-UHFFFAOYSA-N cinnoline Chemical compound N1=NC=CC2=CC=CC=C21 WCZVZNOTHYJIEI-UHFFFAOYSA-N 0.000 description 1
- 150000001875 compounds Chemical class 0.000 description 1
- 238000004590 computer program Methods 0.000 description 1
- 238000010276 construction Methods 0.000 description 1
- 239000010949 copper Substances 0.000 description 1
- RNZVKHIVYDPSBI-UHFFFAOYSA-L copper 2,3,4,5,6-pentafluorobenzoate Chemical compound [Cu++].[O-]C(=O)c1c(F)c(F)c(F)c(F)c1F.[O-]C(=O)c1c(F)c(F)c(F)c(F)c1F RNZVKHIVYDPSBI-UHFFFAOYSA-L 0.000 description 1
- XCJYREBRNVKWGJ-UHFFFAOYSA-N copper(II) phthalocyanine Chemical compound [Cu+2].C12=CC=CC=C2C(N=C2[N-]C(C3=CC=CC=C32)=N2)=NC1=NC([C]1C=CC=CC1=1)=NC=1N=C1[C]3C=CC=CC3=C2[N-]1 XCJYREBRNVKWGJ-UHFFFAOYSA-N 0.000 description 1
- 238000012937 correction Methods 0.000 description 1
- 125000004093 cyano group Chemical group *C#N 0.000 description 1
- 125000001995 cyclobutyl group Chemical group [H]C1([H])C([H])([H])C([H])(*)C1([H])[H] 0.000 description 1
- 125000001162 cycloheptenyl group Chemical group C1(=CCCCCC1)* 0.000 description 1
- 125000000582 cycloheptyl group Chemical group [H]C1([H])C([H])([H])C([H])([H])C([H])([H])C([H])(*)C([H])([H])C1([H])[H] 0.000 description 1
- 125000000596 cyclohexenyl group Chemical group C1(=CCCCC1)* 0.000 description 1
- 125000000113 cyclohexyl group Chemical group [H]C1([H])C([H])([H])C([H])([H])C([H])(*)C([H])([H])C1([H])[H] 0.000 description 1
- 125000000522 cyclooctenyl group Chemical group C1(=CCCCCCC1)* 0.000 description 1
- 125000000640 cyclooctyl group Chemical group [H]C1([H])C([H])([H])C([H])([H])C([H])([H])C([H])(*)C([H])([H])C([H])([H])C1([H])[H] 0.000 description 1
- 125000002433 cyclopentenyl group Chemical group C1(=CCCC1)* 0.000 description 1
- 125000001511 cyclopentyl group Chemical group [H]C1([H])C([H])([H])C([H])([H])C([H])(*)C1([H])[H] 0.000 description 1
- 125000001559 cyclopropyl group Chemical group [H]C1([H])C([H])([H])C1([H])* 0.000 description 1
- 230000003247 decreasing effect Effects 0.000 description 1
- 230000003111 delayed effect Effects 0.000 description 1
- 230000005595 deprotonation Effects 0.000 description 1
- 238000010537 deprotonation reaction Methods 0.000 description 1
- UZVGSSNIUNSOFA-UHFFFAOYSA-N dibenzofuran-1-carboxylic acid Chemical compound O1C2=CC=CC=C2C2=C1C=CC=C2C(=O)O UZVGSSNIUNSOFA-UHFFFAOYSA-N 0.000 description 1
- ZMQNLWJUMTZMGH-UHFFFAOYSA-N dibenzothiophen-2-yl(diphenyl)silane Chemical compound C1=C(C=CC=2SC3=C(C=21)C=CC=C3)[SiH](C1=CC=CC=C1)C1=CC=CC=C1 ZMQNLWJUMTZMGH-UHFFFAOYSA-N 0.000 description 1
- 229940035422 diphenylamine Drugs 0.000 description 1
- 238000001035 drying Methods 0.000 description 1
- 238000004993 emission spectroscopy Methods 0.000 description 1
- 238000000295 emission spectrum Methods 0.000 description 1
- 238000005516 engineering process Methods 0.000 description 1
- 125000002534 ethynyl group Chemical group [H]C#C* 0.000 description 1
- 238000000695 excitation spectrum Methods 0.000 description 1
- 239000000835 fiber Substances 0.000 description 1
- 238000002189 fluorescence spectrum Methods 0.000 description 1
- 125000001153 fluoro group Chemical group F* 0.000 description 1
- JKFAIQOWCVVSKC-UHFFFAOYSA-N furazan Chemical compound C=1C=NON=1 JKFAIQOWCVVSKC-UHFFFAOYSA-N 0.000 description 1
- 229910000449 hafnium oxide Inorganic materials 0.000 description 1
- WIHZLLGSGQNAGK-UHFFFAOYSA-N hafnium(4+);oxygen(2-) Chemical compound [O-2].[O-2].[Hf+4] WIHZLLGSGQNAGK-UHFFFAOYSA-N 0.000 description 1
- RBTKNAXYKSUFRK-UHFFFAOYSA-N heliogen blue Chemical compound [Cu].[N-]1C2=C(C=CC=C3)C3=C1N=C([N-]1)C3=CC=CC=C3C1=NC([N-]1)=C(C=CC=C3)C3=C1N=C([N-]1)C3=CC=CC=C3C1=N2 RBTKNAXYKSUFRK-UHFFFAOYSA-N 0.000 description 1
- 150000002390 heteroarenes Chemical class 0.000 description 1
- 125000006038 hexenyl group Chemical group 0.000 description 1
- 125000004051 hexyl group Chemical group [H]C([H])([H])C([H])([H])C([H])([H])C([H])([H])C([H])([H])C([H])([H])* 0.000 description 1
- 125000005980 hexynyl group Chemical group 0.000 description 1
- 229910003437 indium oxide Inorganic materials 0.000 description 1
- PJXISJQVUVHSOJ-UHFFFAOYSA-N indium(iii) oxide Chemical compound [O-2].[O-2].[O-2].[In+3].[In+3] PJXISJQVUVHSOJ-UHFFFAOYSA-N 0.000 description 1
- AMGQUBHHOARCQH-UHFFFAOYSA-N indium;oxotin Chemical compound [In].[Sn]=O AMGQUBHHOARCQH-UHFFFAOYSA-N 0.000 description 1
- PZOUSPYUWWUPPK-UHFFFAOYSA-N indole Natural products CC1=CC=CC2=C1C=CN2 PZOUSPYUWWUPPK-UHFFFAOYSA-N 0.000 description 1
- RKJUIXBNRJVNHR-UHFFFAOYSA-N indolenine Natural products C1=CC=C2CC=NC2=C1 RKJUIXBNRJVNHR-UHFFFAOYSA-N 0.000 description 1
- HOBCFUWDNJPFHB-UHFFFAOYSA-N indolizine Chemical compound C1=CC=CN2C=CC=C21 HOBCFUWDNJPFHB-UHFFFAOYSA-N 0.000 description 1
- 125000001449 isopropyl group Chemical group [H]C([H])([H])C([H])(*)C([H])([H])[H] 0.000 description 1
- ZLTPDFXIESTBQG-UHFFFAOYSA-N isothiazole Chemical compound C=1C=NSC=1 ZLTPDFXIESTBQG-UHFFFAOYSA-N 0.000 description 1
- CTAPFRYPJLPFDF-UHFFFAOYSA-N isoxazole Chemical compound C=1C=NOC=1 CTAPFRYPJLPFDF-UHFFFAOYSA-N 0.000 description 1
- 230000031700 light absorption Effects 0.000 description 1
- FQHFBFXXYOQXMN-UHFFFAOYSA-M lithium;quinolin-8-olate Chemical compound [Li+].C1=CN=C2C([O-])=CC=CC2=C1 FQHFBFXXYOQXMN-UHFFFAOYSA-M 0.000 description 1
- 229910021645 metal ion Inorganic materials 0.000 description 1
- 229910000476 molybdenum oxide Inorganic materials 0.000 description 1
- IBHBKWKFFTZAHE-UHFFFAOYSA-N n-[4-[4-(n-naphthalen-1-ylanilino)phenyl]phenyl]-n-phenylnaphthalen-1-amine Chemical compound C1=CC=CC=C1N(C=1C2=CC=CC=C2C=CC=1)C1=CC=C(C=2C=CC(=CC=2)N(C=2C=CC=CC=2)C=2C3=CC=CC=C3C=CC=2)C=C1 IBHBKWKFFTZAHE-UHFFFAOYSA-N 0.000 description 1
- 125000003136 n-heptyl group Chemical group [H]C([H])([H])C([H])([H])C([H])([H])C([H])([H])C([H])([H])C([H])([H])C([H])([H])* 0.000 description 1
- 125000004123 n-propyl group Chemical group [H]C([H])([H])C([H])([H])C([H])([H])* 0.000 description 1
- 125000005244 neohexyl group Chemical group [H]C([H])([H])C(C([H])([H])[H])(C([H])([H])[H])C([H])([H])C([H])([H])* 0.000 description 1
- 125000001971 neopentyl group Chemical group [H]C([*])([H])C(C([H])([H])[H])(C([H])([H])[H])C([H])([H])[H] 0.000 description 1
- 239000012299 nitrogen atmosphere Substances 0.000 description 1
- QGLKJKCYBOYXKC-UHFFFAOYSA-N nonaoxidotritungsten Chemical compound O=[W]1(=O)O[W](=O)(=O)O[W](=O)(=O)O1 QGLKJKCYBOYXKC-UHFFFAOYSA-N 0.000 description 1
- 238000007339 nucleophilic aromatic substitution reaction Methods 0.000 description 1
- 238000010534 nucleophilic substitution reaction Methods 0.000 description 1
- 125000004365 octenyl group Chemical group C(=CCCCCCC)* 0.000 description 1
- 125000005069 octynyl group Chemical group [H]C([H])([H])C([H])([H])C([H])([H])C([H])([H])C([H])([H])C([H])([H])C#C* 0.000 description 1
- 230000003287 optical effect Effects 0.000 description 1
- 239000012044 organic layer Substances 0.000 description 1
- 239000003960 organic solvent Substances 0.000 description 1
- WCPAKWJPBJAGKN-UHFFFAOYSA-N oxadiazole Chemical compound C1=CON=N1 WCPAKWJPBJAGKN-UHFFFAOYSA-N 0.000 description 1
- PQQKPALAQIIWST-UHFFFAOYSA-N oxomolybdenum Chemical compound [Mo]=O PQQKPALAQIIWST-UHFFFAOYSA-N 0.000 description 1
- BPUBBGLMJRNUCC-UHFFFAOYSA-N oxygen(2-);tantalum(5+) Chemical compound [O-2].[O-2].[O-2].[O-2].[O-2].[Ta+5].[Ta+5] BPUBBGLMJRNUCC-UHFFFAOYSA-N 0.000 description 1
- RVTZCBVAJQQJTK-UHFFFAOYSA-N oxygen(2-);zirconium(4+) Chemical compound [O-2].[O-2].[Zr+4] RVTZCBVAJQQJTK-UHFFFAOYSA-N 0.000 description 1
- 238000010651 palladium-catalyzed cross coupling reaction Methods 0.000 description 1
- SLIUAWYAILUBJU-UHFFFAOYSA-N pentacene Chemical compound C1=CC=CC2=CC3=CC4=CC5=CC=CC=C5C=C4C=C3C=C21 SLIUAWYAILUBJU-UHFFFAOYSA-N 0.000 description 1
- 125000006340 pentafluoro ethyl group Chemical group FC(F)(F)C(F)(F)* 0.000 description 1
- 125000002255 pentenyl group Chemical group C(=CCCC)* 0.000 description 1
- 125000005981 pentynyl group Chemical group 0.000 description 1
- 125000002080 perylenyl group Chemical group C1(=CC=C2C=CC=C3C4=CC=CC5=CC=CC(C1=C23)=C45)* 0.000 description 1
- CSHWQDPOILHKBI-UHFFFAOYSA-N peryrene Natural products C1=CC(C2=CC=CC=3C2=C2C=CC=3)=C3C2=CC=CC3=C1 CSHWQDPOILHKBI-UHFFFAOYSA-N 0.000 description 1
- 239000012071 phase Substances 0.000 description 1
- 229950000688 phenothiazine Drugs 0.000 description 1
- 238000001296 phosphorescence spectrum Methods 0.000 description 1
- 238000000628 photoluminescence spectroscopy Methods 0.000 description 1
- 239000004033 plastic Substances 0.000 description 1
- 229920003023 plastic Polymers 0.000 description 1
- 229910052697 platinum Inorganic materials 0.000 description 1
- 239000002798 polar solvent Substances 0.000 description 1
- 229920000172 poly(styrenesulfonic acid) Polymers 0.000 description 1
- 229920000767 polyaniline Polymers 0.000 description 1
- 229940005642 polystyrene sulfonic acid Drugs 0.000 description 1
- 239000002243 precursor Substances 0.000 description 1
- 238000007639 printing Methods 0.000 description 1
- 239000000047 product Substances 0.000 description 1
- 125000004368 propenyl group Chemical group C(=CC)* 0.000 description 1
- 125000001436 propyl group Chemical group [H]C([*])([H])C([H])([H])C([H])([H])[H] 0.000 description 1
- 125000002568 propynyl group Chemical group [*]C#CC([H])([H])[H] 0.000 description 1
- 230000001681 protective effect Effects 0.000 description 1
- CPNGPNLZQNNVQM-UHFFFAOYSA-N pteridine Chemical compound N1=CN=CC2=NC=CN=C21 CPNGPNLZQNNVQM-UHFFFAOYSA-N 0.000 description 1
- PBMFSQRYOILNGV-UHFFFAOYSA-N pyridazine Chemical compound C1=CC=NN=C1 PBMFSQRYOILNGV-UHFFFAOYSA-N 0.000 description 1
- 238000000275 quality assurance Methods 0.000 description 1
- 239000010453 quartz Substances 0.000 description 1
- JWVCLYRUEFBMGU-UHFFFAOYSA-N quinazoline Chemical compound N1=CN=CC2=CC=CC=C21 JWVCLYRUEFBMGU-UHFFFAOYSA-N 0.000 description 1
- 239000012925 reference material Substances 0.000 description 1
- 230000000630 rising effect Effects 0.000 description 1
- 239000010703 silicon Substances 0.000 description 1
- 150000003384 small molecules Chemical class 0.000 description 1
- PUZPDOWCWNUUKD-UHFFFAOYSA-M sodium fluoride Inorganic materials [F-].[Na+] PUZPDOWCWNUUKD-UHFFFAOYSA-M 0.000 description 1
- 239000012312 sodium hydride Substances 0.000 description 1
- 229910000104 sodium hydride Inorganic materials 0.000 description 1
- 239000007787 solid Substances 0.000 description 1
- 239000011877 solvent mixture Substances 0.000 description 1
- 238000001228 spectrum Methods 0.000 description 1
- VNFWTIYUKDMAOP-UHFFFAOYSA-N sphos Chemical group COC1=CC=CC(OC)=C1C1=CC=CC=C1P(C1CCCCC1)C1CCCCC1 VNFWTIYUKDMAOP-UHFFFAOYSA-N 0.000 description 1
- 238000004528 spin coating Methods 0.000 description 1
- 238000000859 sublimation Methods 0.000 description 1
- 230000008022 sublimation Effects 0.000 description 1
- 238000005092 sublimation method Methods 0.000 description 1
- 238000006467 substitution reaction Methods 0.000 description 1
- 229910001936 tantalum oxide Inorganic materials 0.000 description 1
- 125000000999 tert-butyl group Chemical group [H]C([H])([H])C(*)(C([H])([H])[H])C([H])([H])[H] 0.000 description 1
- 150000003512 tertiary amines Chemical class 0.000 description 1
- IFLREYGFSNHWGE-UHFFFAOYSA-N tetracene Chemical compound C1=CC=CC2=CC3=CC4=CC=CC=C4C=C3C=C21 IFLREYGFSNHWGE-UHFFFAOYSA-N 0.000 description 1
- 239000010409 thin film Substances 0.000 description 1
- XOLBLPGZBRYERU-UHFFFAOYSA-N tin dioxide Chemical compound O=[Sn]=O XOLBLPGZBRYERU-UHFFFAOYSA-N 0.000 description 1
- 229910001887 tin oxide Inorganic materials 0.000 description 1
- 230000009466 transformation Effects 0.000 description 1
- 229910052723 transition metal Chemical class 0.000 description 1
- 229910000314 transition metal oxide Inorganic materials 0.000 description 1
- 150000003624 transition metals Chemical class 0.000 description 1
- 239000012780 transparent material Substances 0.000 description 1
- 125000002023 trifluoromethyl group Chemical group FC(F)(F)* 0.000 description 1
- WSFTWAORPPESCI-UHFFFAOYSA-N triphenyl(thiophen-2-yl)silane Chemical compound C1=CSC([Si](C=2C=CC=CC=2)(C=2C=CC=CC=2)C=2C=CC=CC=2)=C1 WSFTWAORPPESCI-UHFFFAOYSA-N 0.000 description 1
- SLGBZMMZGDRARJ-UHFFFAOYSA-N triphenylene Chemical compound C1=CC=C2C3=CC=CC=C3C3=CC=CC=C3C2=C1 SLGBZMMZGDRARJ-UHFFFAOYSA-N 0.000 description 1
- 229910000404 tripotassium phosphate Inorganic materials 0.000 description 1
- 235000019798 tripotassium phosphate Nutrition 0.000 description 1
- 229910001930 tungsten oxide Inorganic materials 0.000 description 1
- 238000002061 vacuum sublimation Methods 0.000 description 1
- 125000000391 vinyl group Chemical group [H]C([*])=C([H])[H] 0.000 description 1
- 229910052724 xenon Inorganic materials 0.000 description 1
- FHNFHKCVQCLJFQ-UHFFFAOYSA-N xenon atom Chemical compound [Xe] FHNFHKCVQCLJFQ-UHFFFAOYSA-N 0.000 description 1
- 229910001928 zirconium oxide Inorganic materials 0.000 description 1
Classifications
-
- C—CHEMISTRY; METALLURGY
- C07—ORGANIC CHEMISTRY
- C07D—HETEROCYCLIC COMPOUNDS
- C07D401/00—Heterocyclic compounds containing two or more hetero rings, having nitrogen atoms as the only ring hetero atoms, at least one ring being a six-membered ring with only one nitrogen atom
- C07D401/02—Heterocyclic compounds containing two or more hetero rings, having nitrogen atoms as the only ring hetero atoms, at least one ring being a six-membered ring with only one nitrogen atom containing two hetero rings
- C07D401/10—Heterocyclic compounds containing two or more hetero rings, having nitrogen atoms as the only ring hetero atoms, at least one ring being a six-membered ring with only one nitrogen atom containing two hetero rings linked by a carbon chain containing aromatic rings
-
- C—CHEMISTRY; METALLURGY
- C07—ORGANIC CHEMISTRY
- C07D—HETEROCYCLIC COMPOUNDS
- C07D209/00—Heterocyclic compounds containing five-membered rings, condensed with other rings, with one nitrogen atom as the only ring hetero atom
- C07D209/56—Ring systems containing three or more rings
- C07D209/80—[b, c]- or [b, d]-condensed
- C07D209/82—Carbazoles; Hydrogenated carbazoles
- C07D209/86—Carbazoles; Hydrogenated carbazoles with only hydrogen atoms, hydrocarbon or substituted hydrocarbon radicals, directly attached to carbon atoms of the ring system
-
- C—CHEMISTRY; METALLURGY
- C07—ORGANIC CHEMISTRY
- C07D—HETEROCYCLIC COMPOUNDS
- C07D209/00—Heterocyclic compounds containing five-membered rings, condensed with other rings, with one nitrogen atom as the only ring hetero atom
- C07D209/56—Ring systems containing three or more rings
- C07D209/80—[b, c]- or [b, d]-condensed
- C07D209/82—Carbazoles; Hydrogenated carbazoles
- C07D209/88—Carbazoles; Hydrogenated carbazoles with hetero atoms or with carbon atoms having three bonds to hetero atoms with at the most one bond to halogen, e.g. ester or nitrile radicals, directly attached to carbon atoms of the ring system
-
- C—CHEMISTRY; METALLURGY
- C07—ORGANIC CHEMISTRY
- C07D—HETEROCYCLIC COMPOUNDS
- C07D219/00—Heterocyclic compounds containing acridine or hydrogenated acridine ring systems
- C07D219/04—Heterocyclic compounds containing acridine or hydrogenated acridine ring systems with hetero atoms or with carbon atoms having three bonds to hetero atoms with at the most one bond to halogen, e.g. ester or nitrile radicals, directly attached to carbon atoms of the ring system
- C07D219/06—Oxygen atoms
-
- C—CHEMISTRY; METALLURGY
- C07—ORGANIC CHEMISTRY
- C07D—HETEROCYCLIC COMPOUNDS
- C07D265/00—Heterocyclic compounds containing six-membered rings having one nitrogen atom and one oxygen atom as the only ring hetero atoms
- C07D265/28—1,4-Oxazines; Hydrogenated 1,4-oxazines
- C07D265/34—1,4-Oxazines; Hydrogenated 1,4-oxazines condensed with carbocyclic rings
- C07D265/38—[b, e]-condensed with two six-membered rings
-
- C—CHEMISTRY; METALLURGY
- C07—ORGANIC CHEMISTRY
- C07D—HETEROCYCLIC COMPOUNDS
- C07D279/00—Heterocyclic compounds containing six-membered rings having one nitrogen atom and one sulfur atom as the only ring hetero atoms
- C07D279/10—1,4-Thiazines; Hydrogenated 1,4-thiazines
- C07D279/14—1,4-Thiazines; Hydrogenated 1,4-thiazines condensed with carbocyclic rings or ring systems
- C07D279/18—[b, e]-condensed with two six-membered rings
- C07D279/22—[b, e]-condensed with two six-membered rings with carbon atoms directly attached to the ring nitrogen atom
- C07D279/24—[b, e]-condensed with two six-membered rings with carbon atoms directly attached to the ring nitrogen atom with hydrocarbon radicals, substituted by amino radicals, attached to the ring nitrogen atom
- C07D279/28—[b, e]-condensed with two six-membered rings with carbon atoms directly attached to the ring nitrogen atom with hydrocarbon radicals, substituted by amino radicals, attached to the ring nitrogen atom with other substituents attached to the ring system
-
- C—CHEMISTRY; METALLURGY
- C07—ORGANIC CHEMISTRY
- C07D—HETEROCYCLIC COMPOUNDS
- C07D413/00—Heterocyclic compounds containing two or more hetero rings, at least one ring having nitrogen and oxygen atoms as the only ring hetero atoms
- C07D413/02—Heterocyclic compounds containing two or more hetero rings, at least one ring having nitrogen and oxygen atoms as the only ring hetero atoms containing two hetero rings
- C07D413/10—Heterocyclic compounds containing two or more hetero rings, at least one ring having nitrogen and oxygen atoms as the only ring hetero atoms containing two hetero rings linked by a carbon chain containing aromatic rings
-
- C—CHEMISTRY; METALLURGY
- C07—ORGANIC CHEMISTRY
- C07D—HETEROCYCLIC COMPOUNDS
- C07D417/00—Heterocyclic compounds containing two or more hetero rings, at least one ring having nitrogen and sulfur atoms as the only ring hetero atoms, not provided for by group C07D415/00
- C07D417/02—Heterocyclic compounds containing two or more hetero rings, at least one ring having nitrogen and sulfur atoms as the only ring hetero atoms, not provided for by group C07D415/00 containing two hetero rings
- C07D417/10—Heterocyclic compounds containing two or more hetero rings, at least one ring having nitrogen and sulfur atoms as the only ring hetero atoms, not provided for by group C07D415/00 containing two hetero rings linked by a carbon chain containing aromatic rings
-
- C—CHEMISTRY; METALLURGY
- C09—DYES; PAINTS; POLISHES; NATURAL RESINS; ADHESIVES; COMPOSITIONS NOT OTHERWISE PROVIDED FOR; APPLICATIONS OF MATERIALS NOT OTHERWISE PROVIDED FOR
- C09K—MATERIALS FOR MISCELLANEOUS APPLICATIONS, NOT PROVIDED FOR ELSEWHERE
- C09K11/00—Luminescent, e.g. electroluminescent, chemiluminescent materials
- C09K11/06—Luminescent, e.g. electroluminescent, chemiluminescent materials containing organic luminescent materials
-
- H—ELECTRICITY
- H10—SEMICONDUCTOR DEVICES; ELECTRIC SOLID-STATE DEVICES NOT OTHERWISE PROVIDED FOR
- H10K—ORGANIC ELECTRIC SOLID-STATE DEVICES
- H10K85/00—Organic materials used in the body or electrodes of devices covered by this subclass
- H10K85/60—Organic compounds having low molecular weight
- H10K85/649—Aromatic compounds comprising a hetero atom
- H10K85/657—Polycyclic condensed heteroaromatic hydrocarbons
-
- H—ELECTRICITY
- H10—SEMICONDUCTOR DEVICES; ELECTRIC SOLID-STATE DEVICES NOT OTHERWISE PROVIDED FOR
- H10K—ORGANIC ELECTRIC SOLID-STATE DEVICES
- H10K85/00—Organic materials used in the body or electrodes of devices covered by this subclass
- H10K85/60—Organic compounds having low molecular weight
- H10K85/649—Aromatic compounds comprising a hetero atom
- H10K85/657—Polycyclic condensed heteroaromatic hydrocarbons
- H10K85/6572—Polycyclic condensed heteroaromatic hydrocarbons comprising only nitrogen in the heteroaromatic polycondensed ring system, e.g. phenanthroline or carbazole
-
- C—CHEMISTRY; METALLURGY
- C09—DYES; PAINTS; POLISHES; NATURAL RESINS; ADHESIVES; COMPOSITIONS NOT OTHERWISE PROVIDED FOR; APPLICATIONS OF MATERIALS NOT OTHERWISE PROVIDED FOR
- C09K—MATERIALS FOR MISCELLANEOUS APPLICATIONS, NOT PROVIDED FOR ELSEWHERE
- C09K2211/00—Chemical nature of organic luminescent or tenebrescent compounds
- C09K2211/10—Non-macromolecular compounds
- C09K2211/1003—Carbocyclic compounds
- C09K2211/1007—Non-condensed systems
-
- C—CHEMISTRY; METALLURGY
- C09—DYES; PAINTS; POLISHES; NATURAL RESINS; ADHESIVES; COMPOSITIONS NOT OTHERWISE PROVIDED FOR; APPLICATIONS OF MATERIALS NOT OTHERWISE PROVIDED FOR
- C09K—MATERIALS FOR MISCELLANEOUS APPLICATIONS, NOT PROVIDED FOR ELSEWHERE
- C09K2211/00—Chemical nature of organic luminescent or tenebrescent compounds
- C09K2211/10—Non-macromolecular compounds
- C09K2211/1018—Heterocyclic compounds
- C09K2211/1025—Heterocyclic compounds characterised by ligands
- C09K2211/1029—Heterocyclic compounds characterised by ligands containing one nitrogen atom as the heteroatom
-
- C—CHEMISTRY; METALLURGY
- C09—DYES; PAINTS; POLISHES; NATURAL RESINS; ADHESIVES; COMPOSITIONS NOT OTHERWISE PROVIDED FOR; APPLICATIONS OF MATERIALS NOT OTHERWISE PROVIDED FOR
- C09K—MATERIALS FOR MISCELLANEOUS APPLICATIONS, NOT PROVIDED FOR ELSEWHERE
- C09K2211/00—Chemical nature of organic luminescent or tenebrescent compounds
- C09K2211/10—Non-macromolecular compounds
- C09K2211/1018—Heterocyclic compounds
- C09K2211/1025—Heterocyclic compounds characterised by ligands
- C09K2211/1029—Heterocyclic compounds characterised by ligands containing one nitrogen atom as the heteroatom
- C09K2211/1033—Heterocyclic compounds characterised by ligands containing one nitrogen atom as the heteroatom with oxygen
-
- C—CHEMISTRY; METALLURGY
- C09—DYES; PAINTS; POLISHES; NATURAL RESINS; ADHESIVES; COMPOSITIONS NOT OTHERWISE PROVIDED FOR; APPLICATIONS OF MATERIALS NOT OTHERWISE PROVIDED FOR
- C09K—MATERIALS FOR MISCELLANEOUS APPLICATIONS, NOT PROVIDED FOR ELSEWHERE
- C09K2211/00—Chemical nature of organic luminescent or tenebrescent compounds
- C09K2211/10—Non-macromolecular compounds
- C09K2211/1018—Heterocyclic compounds
- C09K2211/1025—Heterocyclic compounds characterised by ligands
- C09K2211/1029—Heterocyclic compounds characterised by ligands containing one nitrogen atom as the heteroatom
- C09K2211/1037—Heterocyclic compounds characterised by ligands containing one nitrogen atom as the heteroatom with sulfur
-
- H—ELECTRICITY
- H10—SEMICONDUCTOR DEVICES; ELECTRIC SOLID-STATE DEVICES NOT OTHERWISE PROVIDED FOR
- H10K—ORGANIC ELECTRIC SOLID-STATE DEVICES
- H10K50/00—Organic light-emitting devices
- H10K50/10—OLEDs or polymer light-emitting diodes [PLED]
- H10K50/11—OLEDs or polymer light-emitting diodes [PLED] characterised by the electroluminescent [EL] layers
-
- Y—GENERAL TAGGING OF NEW TECHNOLOGICAL DEVELOPMENTS; GENERAL TAGGING OF CROSS-SECTIONAL TECHNOLOGIES SPANNING OVER SEVERAL SECTIONS OF THE IPC; TECHNICAL SUBJECTS COVERED BY FORMER USPC CROSS-REFERENCE ART COLLECTIONS [XRACs] AND DIGESTS
- Y02—TECHNOLOGIES OR APPLICATIONS FOR MITIGATION OR ADAPTATION AGAINST CLIMATE CHANGE
- Y02E—REDUCTION OF GREENHOUSE GAS [GHG] EMISSIONS, RELATED TO ENERGY GENERATION, TRANSMISSION OR DISTRIBUTION
- Y02E10/00—Energy generation through renewable energy sources
- Y02E10/50—Photovoltaic [PV] energy
- Y02E10/549—Organic PV cells
-
- Y—GENERAL TAGGING OF NEW TECHNOLOGICAL DEVELOPMENTS; GENERAL TAGGING OF CROSS-SECTIONAL TECHNOLOGIES SPANNING OVER SEVERAL SECTIONS OF THE IPC; TECHNICAL SUBJECTS COVERED BY FORMER USPC CROSS-REFERENCE ART COLLECTIONS [XRACs] AND DIGESTS
- Y02—TECHNOLOGIES OR APPLICATIONS FOR MITIGATION OR ADAPTATION AGAINST CLIMATE CHANGE
- Y02P—CLIMATE CHANGE MITIGATION TECHNOLOGIES IN THE PRODUCTION OR PROCESSING OF GOODS
- Y02P70/00—Climate change mitigation technologies in the production process for final industrial or consumer products
- Y02P70/50—Manufacturing or production processes characterised by the final manufactured product
Landscapes
- Chemical & Material Sciences (AREA)
- Organic Chemistry (AREA)
- Engineering & Computer Science (AREA)
- Materials Engineering (AREA)
- Physics & Mathematics (AREA)
- Spectroscopy & Molecular Physics (AREA)
- Electroluminescent Light Sources (AREA)
Abstract
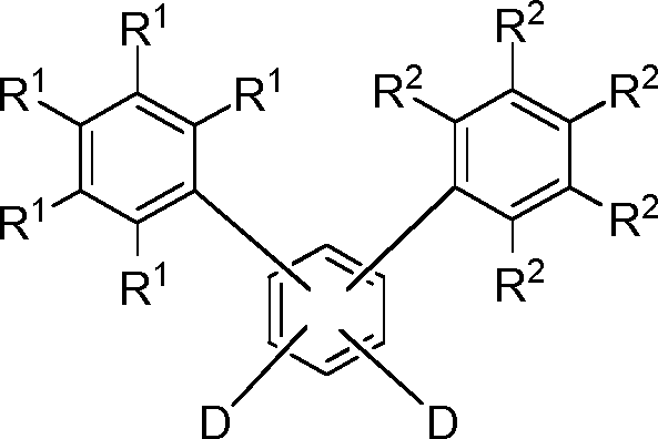
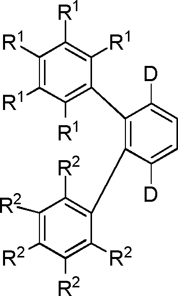
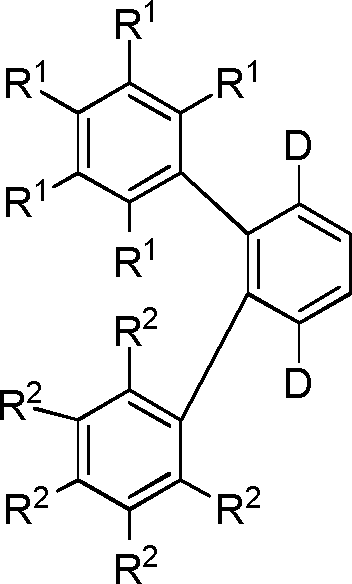
Die Erfindung betrifft ein organisches Molekül, insbesondere zur Verwendung in optoelektronischen Bauelementen. Erfindungsgemäß hat das organische Molekül, eine Struktur der Formel IFormel I mit D =# ist Anknüpfungspunkt der Einheit D an den zentralen Phenylring in der Struktur gemäß Formel I; Z ist eine direkte Bindung oder ausgewählt aus der Gruppe bestehend aus CR3R4, C=CR3R4, C=O, C=NR3, NR3, O, SiR3R4, S, S(O), S(O)2; R1 und R2 sind bei jedem Auftreten gleich oder verschieden H, Deuterium, eine lineare Alkylgruppe mit 1 bis 5 C-Atomen, eine lineare Alkenyl- oder Alkinylgruppe mit 2 bis 8 C-Atomen, eine verzweigte oder cyclische Alkyl-, Alkenyl- oder Alkinylgruppe mit 3 bis 10 C-Atomen, wobei ein oder mehrere H-Atome durch Deuterium, CN, CF3 oder NO2 ersetzt sein können, oder ein aromatisches oder heteroaromatisches Ringsystem mit 5 bis 15 aromatischen Ringatomen, das jeweils durch einen oder mehrere Reste R6 substituiert sein kann, CF3 oder CN ist und wobei unabhängig voneinander genau ein R1 und genau ein R2 gleich CF3 oder CN ist.
Description
- Die Erfindung betrifft rein organische Moleküle und deren Verwendung in organischen lichtemittierenden Dioden (OLEDs) und in anderen organischen optoelektronischen Vorrichtungen.
- Beschreibung
- Der vorliegenden Erfindung lag die Aufgabe zu Grunde, Moleküle bereitzustellen, die sich zur Verwendung in optoelektronischen Vorrichtungen eignen.
- Die Erfindung stellt eine neue Klasse von organischen Molekülen bereit, die sich zur Verwendung in organischen optoelektronischen Vorrichtungen eignen.
- Die erfindungsgemäßen organischen Moleküle sind rein organische Moleküle, weisen also keine Metallionen auf und grenzen sich so von den zur Verwendung in organischen optoelektronischen Vorrichtungen bekannten Metallkomplexverbindungen ab.
- Die erfindungsgemäßen organischen Moleküle zeichnen sich durch Emissionen im blauen, himmelblauen oder grünen Spektralbereich aus. Die Photolumineszenzquantenausbeuten der erfindungsgemäßen organischen Moleküle betragen insbesondere 20 % und mehr. Die erfindungsgemäßen Moleküle zeigen insbesondere thermisch aktivierte verzögerte Fluoreszenz (TADF). Die Verwendung der erfindungsgemäßen Moleküle in einer optoelektronischen Vorrichtung, beispielsweise einer organischen lichtemittierenden Diode (OLED), führt zu höheren Effizienzen der Vorrichtung. Entsprechende OLEDs weisen eine höhere Stabilität auf als OLEDs mit bekannten Emittermaterialien und vergleichbarer Farbe.
- Unter dem blauen Spektralbereich wird hier der sichtbare Bereich von kleiner als 470 nm verstanden. Unter dem himmelblauen Spektralbereich wird hier der Bereich von 470 nm bis 499 nm verstanden. Unter dem grünen Spektralbereich wird hier der Bereich von 500 nm bis 599 nm verstanden. Dabei liegt das Emissionsmaximum im jeweiligen Bereich.
-
-
-
- Darin gilt:
# ist Anknüpfungspunkt der Einheit D an den zentralen (mittleren) Phenylring der Struktur gemäß Formel I;
Z ist eine direkte Bindung oder ausgewählt aus der Gruppe bestehend aus CR3R4, C=CR3R4, C=O, C=NR3, NR3, O, SiR3R4, S, S(O), S(O)2. - R1 und R2 ist bei jedem Auftreten gleich oder verschieden Deuterium, eine lineare Alkylgruppe mit 1 bis 5 C-Atomen, eine lineare Alkenyl- oder Alkinylgruppe mit 2 bis 8 C-Atomen, eine verzweigte oder cyclische Alkyl-, Alkenyl- oder Alkinylgruppe mit 3 bis 10 C-Atomen, wobei ein oder mehrere H-Atome durch Deuterium, CN, CF3 oder NO2 ersetzt sein können, oder ein aromatisches oder heteroaromatisches Ringsystem mit 5 bis 15 aromatischen Ringatomen, das jeweils durch einen oder mehrere Reste R6 substituiert sein kann, CF3 oder CN.
- Ra, R3 und R4 ist bei jedem Auftreten gleich oder verschieden H, Deuterium, N(R5)2, OH, Si(R5)3, B(OR5)2, OSO2R5, CF3, CN, F, Br, I, eine lineare Alkyl-, Alkoxy- oder Thioalkoxygruppe mit 1 bis 40 C-Atomen oder eine lineare Alkenyl- oder Alkinylgruppe mit 2 bis 40 C-Atomen oder eine verzweigte oder cyclische Alkyl-, Alkenyl-, Alkinyl-, Alkoxy- oder Thioalkoxygruppe mit 3 bis 40 C-Atomen, die jeweils mit einem oder mehreren Resten R5 substituiert sein kann, wobei eine oder mehrere nicht benachbarte CH2-Gruppen durch R5C=CR5, C≡C, Si(R5)2, Ge(R5)2, Sn(R5)2, C=O, C=S, C=Se, C=NR5, P(=O)(R5), SO, SO2, NR5, O, S oder CONR5 ersetzt sein können und wobei ein oder mehrere H-Atome durch Deuterium, CN, CF3 oder NO2 ersetzt sein können; oder ein aromatisches oder heteroaromatisches Ringsystem mit 5 bis 60 aromatischen Ringatomen, das jeweils durch einen oder mehrere Reste R5 substituiert sein kann, oder eine Aryloxy- oder Heteroaryloxygruppe mit 5 bis 60 aromatischen Ringatomen, die durch einen oder mehrere Reste R5 substituiert sein kann, oder eine Diarylaminogruppe, Diheteroarylaminogruppe oder Arylheteroarylaminogruppe mit 10 bis 40 aromatischen Ringatomen, welche durch einen oder mehrere Reste R5 substituiert sein kann.
- R5 ist bei jedem Auftreten gleich oder verschieden H, Deuterium, N(R6)2, OH, Si(R6)3, B(OR6)2, OSO2R6, CF3, CN, F, Br, I, eine lineare Alkyl-, Alkoxy- oder Thioalkoxygruppe mit 1 bis 40 C-Atomen oder eine lineare Alkenyl- oder Alkinylgruppe mit 2 bis 40 C-Atomen oder eine verzweigte oder cyclische Alkyl-, Alkenyl-, Alkinyl-, Alkoxy- oder Thioalkoxygruppe mit 3 bis 40 C-Atomen, die jeweils mit einem oder mehreren Resten R6 substituiert sein kann, wobei eine oder mehrere nicht benachbarte CH2-Gruppen durch R6C=CR6, C≡C, Si(R6)2, Ge(R6)2, Sn(R6)2, C=O, C=S, C=Se, C=NR6, P(=O)(R6), SO, SO2, NR6, O, S oder CONR6 ersetzt sein können und wobei ein oder mehrere H-Atome durch Deuterium, CN, CF3 oder NO2 ersetzt sein können; oder ein aromatisches oder heteroaromatisches Ringsystem mit 5 bis 60 aromatischen Ringatomen, das jeweils durch einen oder mehrere Reste R6 substituiert sein kann, oder eine Aryloxy- oder Heteroaryloxygruppe mit 5 bis 60 aromatischen Ringatomen, die durch einen oder mehrere Reste R6 substituiert sein kann, oder eine Diarylaminogruppe, Diheteroarylaminogruppe oder Arylheteroarylaminogruppe mit 10 bis 40 aromatischen Ringatomen, welche durch einen oder mehrere Reste R6 substituiert sein kann.
- R6 ist bei jedem Auftreten gleich oder verschieden H, Deuterium, OH, CF3, CN, F, Br, I, eine lineare Alkyl-, Alkoxy- oder Thioalkoxygruppe mit 1 bis 5 C-Atomen oder eine lineare Alkenyl- oder Alkinylgruppe mit 2 bis 5 C-Atomen oder eine verzweigte oder cyclische Alkyl-, Alkenyl-, Alkinyl-, Alkoxy- oder Thioalkoxygruppe mit 3 bis 5 C-Atomen, wobei ein oder mehrere H-Atome durch Deuterium, CN, CF3 oder NO2 ersetzt sein können; oder ein aromatisches oder heteroaromatisches Ringsystem mit 5 bis 60 aromatischen Ringatomen oder eine Aryloxy- oder Heteroaryloxygruppe mit 5 bis 60 aromatischen Ringatomen oder eine Diarylaminogruppe, Diheteroarylaminogruppe oder Arylheteroarylaminogruppe mit 10 bis 40 aromatischen Ringatomen.
- Dabei kann jeder der Reste Ra, R3, R4 oder R5 auch mit einem oder mehreren weiteren Resten Ra, R3, R4 oder R5 ein mono- oder polycyclisches, aliphatisches, aromatisches und/oder benzoannelliertes Ringsystem bilden.
- Erfindungsgemäß sind hierbei genau ein R1 und genau ein R2 gleich CF3 oder CN. In einer Ausführungsform der Erfindung sind genau ein R1 und ein R2 CN. In einer weiteren Ausführungsform sind genau ein R1 und ein R2 CN und die weiteren R1 und R2 sind gewählt aus der Gruppe bestehend aus H und Alkyl, insbesondere sind die weiteren R1 und R2 gewählt aus der Gruppe bestehend aus H, Methyl und t-Butyl (C(CH3)3); in einer Ausführungsform sind genau ein weiterer Rest R1 und genau ein weiterer Rest R2 Methyl und die weiteren R1 und R2 H. In einer Ausführungsform sind genau ein R1 und genau ein R2 gleich CN und die weiteren R1 und R2 sind H.
-
-
- Im Folgenden sind beispielhaft Ausführungsformen der Gruppe D gezeigt: wobei für #, Ra und R5 die oben genannten Definitionen gelten. In einer Ausführungsform ist der Rest R5 bei jedem Auftreten gleich oder verschieden ausgewählt aus der Gruppe bestehend aus H, Methyl, Ethyl, Phenyl und Mesityl. In einer Ausführungsform ist Ra bei jedem Auftreten gleich oder verschieden ausgewählt aus der Gruppe bestehend aus H, Methyl (Me), i-Propyl (CH(CH3)2) (iPr), t-Butyl (tBu), Phenyl (Ph) und Diphenylamin (NPh2).
- Im Sinne dieser Erfindung enthält eine Arylgruppe 6 bis 60 aromatische Ringatome; eine Heteroarylgruppe enthält 5 bis 60 aromatische Ringatome, von denen mindestens eines ein Heteroatom darstellt. Die Heteroatome sind insbesondere N, O und/oder S. Werden in der Beschreibung bestimmter Ausführungsformen der Erfindung andere, von der genannten Definition abweichende Definitionen angegeben, beispielsweise bezüglich der Zahl der aromatischen Ringatome oder der enthaltenen Heteroatome, so gelten diese.
- Unter einer Arylgruppe bzw. Heteroarylgruppe wird ein einfacher aromatischer Cyclus, also Benzol, bzw. ein einfacher heteroaromatischer Cyclus, beispielsweise Pyridin, Pyrimidin oder Thiophen, oder ein heteroaromatischer Polycyclus, beispielsweise Phenanthren, Chinolin oder Carbazol verstanden. Ein kondensierter (annelierter) aromatischer bzw. heteroaromatischer Polycyclus besteht im Sinne der vorliegenden Anmeldung aus zwei oder mehr miteinander kondensierten einfachen aromatischen bzw. heteroaromatischen Cyclen.
- Unter einer Aryl- oder Heteroarylgruppe, die jeweils mit den oben genannten Resten substituiert sein kann und die über beliebige Positionen am Aromaten bzw. Heteroaromaten verknüpft sein kann, werden insbesondere Gruppen verstanden, welche abgeleitet sind von Benzol, Naphthalin, Anthracen, Phenanthren, Pyren, Dihydropyren, Chrysen, Perylen, Fluoranthen, Benzanthracen, Benzphenanthren, Tetracen, Pentacen, Benzpyren, Furan, Benzofuran, Isobenzofuran, Dibenzofuran, Thiophen, Benzothiophen, Isobenzothiophen, Dibenzothiophen; Pyrrol, Indol, Isoindol, Carbazol, Pyridin, Chinolin, Isochinolin, Acridin, Phenanthridin, Benzo-5,6-chinolin, Isochinolin, Benzo-6,7-chinolin, Benzo-7,8-chinolin, Phenothiazin, Phenoxazin, Pyrazol, Indazol, Imidazol, Benzimidazol, Naphthimidazol, Phenanthrimidazol, Pyridimidazol, Pyrazinimidazol, Chinoxalinimidazol, Oxazol, Benzoxazol, Napthoxazol, Anthroxazol, Phenanthroxazol, Isoxazol, 1,2-Thiazol, 1,3-Thiazol, Benzothiazol, Pyridazin, Benzopyridazin, Pyrimidin, Benzpyrimidin, Chinoxalin, Pyrazin, Phenazin, Naphthyridin, Azacarbazol, Benzocarbolin, Phenanthrolin, 1,2,3-Triazol, 1,2,4-Triazol, Benztriazol, 1,2,3-Oxadiazol, 1,2,4-Oxadiazol, 1,2,5-Oxadiazol, 1,2,3,4-Tetrazin, Purin, Pteridin, Indolizin und Benzothiadiazol oder Kombinationen der genannten Gruppen.
- Unter einer cyclischen Alkyl-, Alkoxy- oder Thioalkoxygruppe wird hier eine monocyclische, eine bicyclische oder eine polycyclische Gruppe verstanden.
- Im Rahmen der vorliegenden Erfindung werden unter einer C1- bis C40-Alkylgruppe, in der auch einzelne H-Atome oder CH2-Gruppen durch die oben genannten Gruppen substituiert sein können, beispielsweise die Reste Methyl, Ethyl, n-Propyl, i-Propyl, Cyclopropyl, n-Butyl, i-Butyl, s-Butyl, t-Butyl, Cyclobutyl, 2-Methylbutyl, n-Pentyl, s-Pentyl, t-Pentyl, 2-Pentyl, neo-Pentyl, Cyclopentyl, n-Hexyl, s-Hexyl, t-Hexyl, 2-Hexyl, 3-Hexyl, neo-Hexyl, Cyclohexyl, 1-Methylcyclopentyl, 2-Methylpentyl, n-Heptyl, 2-Heptyl, 3-Heptyl, 4-Heptyl, Cycloheptyl, 1-Methylcyclohexyl, n-Octyl, 2-Ethylhexyl, Cyclooctyl, 1-Bicyclo[2,2,2]octyl, 2-Bicyclo[2,2,2]-octyl, 2-(2,6-Dimethyl)octyl, 3-(3,7-Dimethyl)octyl, Adamantyl, Trifluor-methyl, Pentafluorethyl, 2,2,2-Trifluorethyl, 1,1-Dimethyl-n-hex-1-yl-, 1,1-Dimethyl-n-hept-1-yl-, 1,1-Dimethyl-n-oct-1-yl-, 1,1-Dimethyl-n-dec-1-yl-, 1,1-Dimethyl-n-dodec-1-yl-, 1,1-Dimethyl-n-tetradec-1-yl-, 1,1-Dimethyl-n-hexadec-1-yl-, 1,1-Dimethyl-n-octadec-1-yl-, 1,1-Diethyl-n-hex-1-yl-, 1,1-Diethyl-n-hept-1-yl-, 1,1-Diethyl-n-oct-1-yl-, 1,1-Diethyl-n-dec-1-yl-, 1,1-Diethyl-n-dodec-1-yl-, 1,1-Diethyl-n-tetradec-1-yl-, 1,1-Diethyln-n-hexadec-1-yl-, 1,1-Diethyl-n-octadec-1-yl-, 1-(n-Propyl)-cyclohex-1-yl-, 1-(n-Butyl)-cyclohex-1-yl-, 1-(n-Hexyl)-cyclohex-1-yl-, 1-(n-0ctyl)-cyclohex-1-yl- und 1-(n-Decyl)-cyclohex-1-yl- verstanden. Unter einer Alkenylgruppe werden beispielsweise Ethenyl, Propenyl, Butenyl, Pentenyl, Cyclopentenyl, Hexenyl, Cyclohexenyl, Heptenyl, Cycloheptenyl, Octenyl, Cyclooctenyl oder Cyclooctadienyl verstanden. Unter einer Alkinylgruppe werden beispielsweise Ethinyl, Propinyl, Butinyl, Pentinyl, Hexinyl, Heptinyl oder Octinyl verstanden. Unter einer C1- bis C40-Alkoxygruppe werden beispielsweise Methoxy, Trifluormethoxy, Ethoxy, n-Propoxy, i-Propoxy, n-Butoxy, i-Butoxy, s-Butoxy, t-Butoxy oder 2-Methylbutoxy verstanden.
- Eine Ausführungsform der Erfindung betrifft organische Moleküle, welche einen ΔE(S1 – T1)-Wert zwischen dem untersten angeregten Singulett (S1)- und dem darunter liegenden Triplett(T1)-Zustand von nicht höher als 5000cm–1, insbesondere nicht höher als 3000cm–1, oder nicht höher als 1500cm–1 oder 1000cm–1 aufweisen und/oder eine Emissionslebensdauer von höchstens 150 µs, insbesondere von höchstens 100 µs, von höchsten 50 µs, oder von höchstens 10 µs aufweisen und/oder eine Hauptemissionsbande mit einer Halbwertsbreite kleiner als 120 nm, insbesondere kleiner als 100 nm, kleiner als 80 nm, oder kleiner als 60 nm aufweisen.
- Die Bestimmung des ΔE(S1 – T1)-Wertes kann sowohl durch quantenmechanische Berechnungen mittels im Stand der Technik bekannten Computerprogrammen durchgeführt werden (z. B. mittels Turbomole-Programmen unter Ausführung von TD-DFT- und unter Berücksichtigung von CC2-Rechnungen) oder – wie weiter unten erläutert wird – experimentell bestimmt werden.
- Die Energiedifferenz ΔE(S1 – T1 lässt sich näherungsweise quantenmechanisch durch das mit dem Faktor 2 multiplizierte sogenannte Austauschintegral beschreiben. Dessen Wert hängt direkt ab von der Überlappung der Molekülorbitale. Diese Molekülorbitale sind über unterschiedliche Raumbereiche verteilt (teil-delokalisiert über π- bzw. π*-Molekülorbitale). Das heißt, ein elektronischer Übergang zwischen den verschiedenen Molekülorbitalen repräsentiert einen sogenannten Charge-Transfer(CT)-Übergang. Je geringer die Überlappung der oben beschriebenen Molekülorbitale ist, desto ausgeprägter ist der elektronische Charge-Transfer Charakter. Das ist dann mit einer Abnahme des Austausch-Integrals und somit einer Abnahme der Energiedifferenz ΔE(S1 – T1) verbunden.
- Die Bestimmung des ΔE(S1 – T1)-Wertes kann experimentell folgendermaßen erfolgen:
Für ein vorgegebenes organisches Molekül lässt sich der Energieabstand ΔE(S1 – T1) = ΔE unter Verwendung der oben angegebenen Gleichung (1) einfach bestimmen. Eine Umformung ergibt:ln{Int(S1 → S0)/Int(T1 → S0)} = ln{k(S1)/k(T1)} – (ΔE/kB)(1/T) (3) - Für die Messung der Intensitäten Int(S1 → S0) und Int(T1 → S0) kann jedes handelsübliche Spektralphotometer verwendet werden. Eine graphische Auftragung der bei verschiedenen Temperaturen gemessenen (logarithmierten) Intensitätsverhältnisse ln{Int(S1 → S0)/Int(T1 → S0)} gegen den Kehrwert der absoluten Temperatur T ergibt in der Regel eine Gerade. Die Messung wird in einem Temperaturbereich von Raumtemperatur (300 K) bis 77 K oder bis 4,2 K durchgeführt, wobei die Temperatur mittels eines Kryostaten eingestellt wird. Die Intensitäten werden aus den (korrigierten) Spektren bestimmt, wobei Int(S1 → S0) bzw. Int(T1 → S0) die integrierten Fluoreszenz- bzw. Phosphoreszenz-Bandenintensitäten repräsentieren, welche sich mittels der zum Spektralphotometer gehörenden Programme bestimmen lassen. Die jeweiligen Übergänge (Bandenintensitäten) lassen sich leicht identifizieren, da die Triplett-Bande bei niedrigerer Energie liegt als die Singulett-Bande und mit sinkender Temperatur an Intensität gewinnt. Dabei werden die Messungen in sauerstofffreien verdünnten Lösungen (ca. 10–2 mol/L) oder an dünnen Filmen aus den entsprechenden Molekülen oder an mit den entsprechenden Molekülen dotierten Filmen durchgeführt. Verwendet man als Probe eine Lösung, so empfiehlt es sich, ein Lösemittel bzw. Lösemittelgemisch zu verwenden, das bei tiefen Temperaturen Gläser bildet, wie 2-Methyl-THF, THF (Tetrahydrofuran) oder aliphatische Kohlenwasserstoffe. Verwendet man als Probe einen Film, so eignet sich die Verwendung einer Matrix mit einer deutlich größeren Singulett- sowie Triplett-Energie als die der organischen Emittermoleküle, z. B. PMMA (Polymethylmethacrylat). Dieser Film kann aus Lösung aufgebracht werden.
- Die Geradensteigung beträgt –ΔE/kB. Mit kB = 1,380 10–23 JK–1 = 0,695 cm–1 K–1 lässt sich der Energieabstand direkt bestimmen.
- Eine äquivalente Betrachtungsweise zeigt, dass mittels der Messung der Temperaturabhängigkeit der Emissionsabklingzeit der ΔE(S1 – T1)-Wert auch bestimmt werden kann.
- Eine einfache, näherungsweise Abschätzung des ΔE(S1 – T1)-Wertes kann auch dadurch vorgenommen werden, dass bei tiefer Temperatur (z. B. 77 K oder 4,2 K unter Verwendung eines Kryostaten) die Fluoreszenz- und Phosphoreszenz-Spektren registriert werden. Der ΔE(S1 – T1)-Wert entspricht dann in Näherung der Energiedifferenz zwischen den hochenergetischen Anstiegsflanken der Fluoreszenz- bzw. Phosphoreszenz-Bande.
- Je ausgeprägter der CT-Charakter eines organischen Moleküls ist, desto stärker verändern sich die elektronischen Übergangsenergien als Funktion der Lösungsmittelpolarität. So gibt bereits eine ausgeprägte Polaritätsabhängigkeit der Emissionsenergien einen Hinweis auf das Vorliegen kleiner ΔE(S1 – T1)-Werte.
- In einem weiteren Aspekt betrifft die Erfindung ein Verfahren zur Herstellung eines erfindungsgemäßen organischen Moleküls der hier beschriebenen Art (mit einer eventuellen Folgeumsetzung), wobei ein Dibromdifluorbenzol als Edukt eingesetzt wird. Erfindungsgemäße Dibromdifluor-benzole sind 1,3-Dibrom-4,6-difluorbenzol, 1,2-Dibrom-4,5-difluorbenzol, 1,5-Dibrom-2,4-difluorbenzol, 1,4-Dibrom-2,5-difluorbenzol, 1,3-Dibrom-2,5-difluorbenzol, 1,4-Dibrom-2,6-difluorbenzol, 1,3-Dibrom-2,4-difluorbenzol, 1,4-Dibrom-2,3-difluorbenzol oder 1,2-Dibrom-3,6-difluorbenzol.
- In einer Ausführungsform wird das Dibromdifluorbenzol mit einer Benzonitrilboronsäure in einer Palladium-katalysierten Kreuzkupplungsreaktion umgesetzt. Das Produkt wird durch Deprotonierung des der Formel I-1 entsprechenden Amins und anschließender nukleophiler Substitution der Fluorgruppen erhalten. Hierbei wird ein Stickstoffheterozyklus im Sinne einer nukleophilen aromatischen Substitution mit einem Edukt E1 umgesetzt. Typische Bedingungen beinhalten die Verwendung einer Base wie beispielweise tribasisches Kaliumphosphat oder Natriumhydrid in einem aprotisch polarem Lösungsmittel wie beispielweise Dimetylsulfoxid (DMSO) oder N,N-Dimethylformamid (DMF). Durch Wahl des Dibromdifluorbenzol und der relativen Position der Boronsäure- und der Cyanogruppe und des Restes R1 am Phenylring können unterschiedliche Substitutionsmuster erhalten werden.
- In einem weiteren Aspekt betrifft die Erfindung die Verwendung der organischen Moleküle als lumineszierender Emitter oder als Hostmaterial in einer organischen optoelektronischen Vorrichtung, insbesondere wobei die organische optoelektronische Vorrichtung ausgewählt ist aus der Gruppe bestehend aus:
- • organischen lichtemittierenden Dioden (OLEDs),
- • lichtemittierenden elektrochemischen Zellen,
- • OLED-Sensoren, insbesondere in nicht hermetisch nach außen abgeschirmten Gas und Dampf-Sensoren,
- • organischen Dioden,
- • organischen Solarzellen,
- • organischen Transistoren,
- • organischen Feldeffekttransistoren,
- • organischen Lasern und
- • Down-Konversions-Elementen.
- In einem weiteren Aspekt betrifft die Erfindung eine Zusammensetzung aufweisend oder bestehend aus:
- (a) mindestens einem erfindungsgemäßen organischen Molekül, insbesondere als Emitter und/oder Host, und
- (b) mindestens ein, d. h. ein oder mehrere Emitter- und/oder Hostmaterialien, die von dem erfindungsgemäßen organischen Molekül verschiedenen ist bzw. sind und
- (c) optional eine oder mehreren Farbstoffen und/ oder einem oder mehreren organischen Lösungsmitteln.
- In einer Ausführungsform besteht die erfindungsgemäße Zusammensetzung aus einem erfindungsgemäßen organischen Molekül und einem oder mehreren Hostmaterialien. Das oder die Hostmaterialen weisen insbesondere Triplett(T1)- und Singulett(S1)-Energieniveaus auf, die energetisch höher liegen als die Triplett(T1)- und Singulett(S1)-Energieniveaus des erfindungsgemäßen organischen Moleküls. In einer Ausführungsform weist die Zusammensetzung neben dem erfindungsgemäßen organischen Molekül ein elektronendominantes und ein lochdominantes Hostmaterial auf. Das höchste besetzte Orbital (HOMO) und das niedrigste unbesetzte Orbital (LUMO) des lochdominanten Hostmaterials liegen energetisch insbesondere höher als das des elektronendominanten Hostmaterials. Das HOMO des lochdominanten Hostmaterials liegt energetisch unter dem HOMO des erfindungsgemäßen organischen Molekül, während das LUMO des elektronendominanten Hostmaterials energetisch über dem LUMO des erfindungsgemäßen organischen Molekül liegt. Um Exciplex-Formation zwischen Emitter und Hostmaterial oder Hostmaterialien zu vermeiden, sollten die Materialien so gewählt sein, dass die Energieabstände zwischen den jeweiligen Orbitalen gering sind. Der Abstand zwischen dem LUMO des elektronendominanten Hostmaterials und dem LUMO des erfindungsgemäßen organischen Molekül beträgt insbesondere weniger als 0,5 eV, bevorzugt weniger als 0,3 eV, noch bevorzugter weniger als 0,2 eV. Der Abstand zwischen dem HOMO des lochdominanten Hostmaterials und dem HOMO des erfindungsgemäßen organischen Molekül beträgt insbesondere weniger als 0,5 eV, bevorzugt weniger als 0,3 eV, noch bevorzugter weniger als 0,2 eV.
- In einem weiteren Aspekt betrifft die Erfindung eine organische optoelektronische Vorrichtung, die ein erfindungsgemäßes organisches Molekül oder eine erfindungsgemäße Zusammensetzung aufweist. Die organische optoelektronische Vorrichtung ist insbesondere ausgeformt als eine Vorrichtung ausgewählt aus der Gruppe bestehend aus organischer lichtemittierender Diode (OLED); lichtemittierender elektrochemischer Zelle; OLED-Sensor, insbesondere nicht hermetisch nach außen abgeschirmten Gas- und Dampf-Sensoren; organischer Diode; organischer Solarzelle; organischem Transistor; organischem Feldeffekttransistor; organischem Laser und Down-Konversion-Element.
- Eine organische optoelektronische Vorrichtung aufweisend
- – ein Substrat,
- – eine Anode und
- – eine Kathode, wobei die Anode oder die Kathode auf das Substrat aufgebracht sind, und
- – mindestens eine lichtemittierende Schicht, die zwischen Anode und Kathode angeordnet ist und die ein erfindungsgemäßes organisches Molekül aufweist, stellt einen weitere Ausführungsform der Erfindung dar.
- In einer Ausführungsform handelt es sich bei der optoelektronischen Vorrichtung um eine OLED. Eine typische OLED weist beispielsweise folgenden Schichtaufbau auf:
- 1. Substrat (Trägermaterial)
- 2. Anode
- 3. Lochinjektionsschicht (hole injection layer, HIL)
- 4. Lochtransportschicht (hole transport layer, HTL)
- 5. Elektronenblockierschicht (electron blocking layer, EBL)
- 6. Emitterschicht (emitting layer, EML)
- 7. Lochblockierschicht (hole blocking layer, HBL)
- 8. Elektronenleitschicht (electron transport layer, ETL)
- 9. Elektroneninjektionsschicht (electron injection layer, EIL)
- 10. Kathode.
- Dabei sind einzelne Schichten lediglich in optionaler Weise vorhanden. Weiterhin können mehrere dieser Schichten zusammenfallen. Und es können einzelne Schichten mehrfach im Bauteil vorhanden sein.
- Gemäß einer Ausführungsform ist mindestens eine Elektrode des organischen Bauelements transluzent ausgebildet. Hier wird mit "transluzent" eine Schicht bezeichnet, die durchlässig für sichtbares Licht ist. Dabei kann die transluzente Schicht klar durchscheinend, also transparent, oder zumindest teilweise Licht absorbierend und/oder teilweise Licht streuend sein, so dass die transluzente Schicht beispielsweise auch diffus oder milchig durchscheinend sein kann. Insbesondere ist eine hier als transluzent bezeichnete Schicht möglichst transparent ausgebildet, so dass insbesondere die Absorption von Licht so gering wie möglich ist.
- Gemäß einer weiteren Ausführungsform weist das organische Bauelement, insbesondere eine OLED, einen dem Fachmann bekannten invertierten Aufbau auf.
- Gemäß einer weiteren Ausführungsform weist das organische Bauelement, insbesondere eine OLED, einen dem Fachmann bekannten gestapelten Aufbau auf. Hierdurch kann die Erzeugung von Mischlicht ermöglicht werden. Weiterhin können bei praktisch gleicher Effizienz und identischer Leuchtdichte signifikant längere Lebensdauern im Vergleich zu üblichen OLEDs erzielt werden.
- Über den Elektroden und den organischen Schichten kann weiterhin noch eine Verkapselung angeordnet sein. Die Verkapselung kann beispielsweise in Form eines Glasdeckels oder in Form einer Dünnschichtverkapselung ausgeführt sein.
- Als Trägermaterial der optoelektronischen Vorrichtung kann beispielsweise Glas, Quarz, Kunststoff, Metall, ein Siliziumwafer oder jedes andere geeignete feste oder flexible, optional durchsichtige Material dienen. Das Trägermaterial kann beispielsweise ein oder mehrere Materialien in Form einer Schicht, einer Folie, einer Platte oder einem Laminat aufweisen.
- Als Anode der optoelektronischen Vorrichtung können beispielsweise transparente leitende Metalloxide wie beispielsweise ITO (Indium-Zinn-Oxid), Zinkoxid, Zinnoxid, Cadmiumoxid, Titanoxid, Indiumoxid oder Aluminiumzinkoxid (AZO), Zn2SnO4, CdSnO3, ZnSnO3, MgIn2O4, GaInO3, Zn2In2O5 oder In4Sn3O12 oder Mischungen unterschiedlicher transparenter leitender Oxide dienen.
- Als Materialien einer HIL können beispielsweise PEDOT:PSS (Poly-3,4-ethylendioxythiophen:Polystyrolsulfonsäure), PEDOT (Poly-3,4-ethylendioxythiophen), m-MTDATA (4,4′,4′′-Tris[phenyl(m-tolyl)amino]triphenylamin), Spiro-TAD (2,2′,7,7′-Tetrakis(N,N-diphenylamino)-9,9-spirobifluoren), DNTPD (4,4'-Bis[N-[4-{N,N-bis(3-methyl-phenyl)amino}phenyl]-N-phenylamino]biphenyl), NPB (N,N'-Bis-(1-naphthalenyl)-N,N'-bis-phenyl-(1,1'-biphenyl)-4,4'-diamin), NPNPB (N,N'-Diphenyl-N,N'-di-[4-(N,N-diphenyl-amino)phenyl]benzol), MeO-TPD (N,N,N′,N′-Tetrakis(4-methoxyphenyl)benzol), HAT-CN (1,4,5,8,9,11-Hexaazatriphenylen-hexacarbonitril) oder Spiro-NPD (N,N′-diphenyl-N,N′-Bis-(1-naphthyl)-9,9′-spirobifluorene-2,7-diamin) dienen. Beispielhaft ist die Schichtdicke 10–80 nm. Desweiteren können kleine Moleküle können verwendet werden (z. B. Kupfer-Phthalocyanin (CuPc z. B. 10 nm dick)) oder Metalloxide wie beispielhaft MoO3, V2O5.
- Als Materialien einer HTL können tertiäre Amine, Carbazolderivate, mit Polystyrolsulfonsäure dotiertes Polyethylendioxythiophen, mit Camphersulfonsäure dotiertes Polyanilin poly-TPD (Poly(4-butylphenyl-diphenyl-amin)), [alpha]-NPD (Poly(4-butylphenyl-diphenyl-amin)), TAPC (4,4′-Cyclohexyliden-bis[N,N-bis(4-methylphenyl)benzenamin]), TCTA (Tris(4-carbazoyl-9-ylphenyl)amin), 2-TNATA (4,4′,4′′-Tris[2-naphthyl(phenyl)amino]triphenylamin), Spiro-TAD, DNTPD, NPB, NPNPB, MeO-TPD, HAT-CN oder TrisPcz (9,9'-Diphenyl-6-(9-phenyl-9H-carbazol-3-yl)-9H,9'H-3,3'-bicarbazol) dienen. Beispielhaft ist die Schichtdicke 10–100 nm.
- Die HTL kann eine p-dotierte Schicht aufweisen, die einen anorganischen oder organischen Dotierstoff in einer organischen löcherleitenden Matrix aufweist. Als anorganischer Dotierstoff können beispielsweise Übergangsmetalloxide wie etwa Vanadiumoxid, Molybdänoxid oder Wolframoxid genutzt werden. Als organische Dotierstoffe können beispielsweise Tetrafluorotetracyanoquinodimethan (F4-TCNQ), Kupfer-Pentafluorobenzoat (Cu(I)pFBz) oder Übergangsmetallkomplexe verwendet werden. Beispielhaft ist die Schichtdicke 10 nm bis 100 nm.
- Als Materialien einer Elektronenblockierschicht können beispielsweise mCP (1,3-Bis(carbazol-9-yl)benzol), TCTA, 2-TNATA, mCBP (3,3-Di(9H-carbazol-9-yl)biphenyl), tris-Pcz (9,9'-Diphenyl-6-(9-phenyl-9H-carbazol-3-yl)-9H,9'H-3,3'-bicarbazol), CzSi (9-(4-tert-Butylphenyl)-3,6-bis(triphenylsilyl)-9H-carbazol) oder DCB (N,N′-Dicarbazolyl-1,4-dimethylbenzol) dienen. Beispielhaft ist die Schichtdicke 10nm bis 50 nm.
- Die Emitter-Schicht EML oder Emissionsschicht besteht aus oder enthält Emittermaterial oder eine Mischung aufweisend mindestens zwei Emittermaterialien und optional ein oder mehreren Hostmaterialien. Geeignete Hostmaterialien sind beispielsweise mCP, TCTA, 2-TNATA, mCBP, CBP (4,4'-Bis-(N-carbazolyl)-biphenyl),), Sif87 (Dibenzo[b,d]thiophen-2-yltriphenylsilan), Sif88 (Dibenzo[b,d]thiophen-2-yl)diphenylsilan) oder DPEPO (Bis[2-((oxo)diphenylphosphino)phenyl]ether). Für im Grünen oder im Roten emittierendes Emittermaterial oder einer Mischung aufweisend mindestens zwei Emittermaterialien eignen sich die gängigen Matrixmaterialien wie CBP. Für im Blauen emittierendes Emittermaterial oder einer Mischung aufweisend mindestens zwei Emittermaterialien können UHG-Matrixmaterialien (Ultra-High energy Gap Materialien) (siehe z. B. M. E. Thompson et al., Chem. Mater. 2004, 16, 4743) oder andere sogenannten Wide-Gap-Matrixmaterialien eingesetzt werden. Beispielhaft ist die Schichtdicke 10 nm bis 250 nm.
- Die Lochblockierschicht HBL kann beispielsweise BCP (2,9-Dimethyl-4,7-diphenyl-1,10-phenanthrolin = Bathocuproin), Bis-(2-methyl-8-hydroxychinolinato)-(4-phenylphenolato)-aluminium(III) (BAlq), Nbphen (2,9-Bis(naphthalen-2-yl)-4,7-diphenyl-1,10-phenanthrolin), Alq3 (Aluminium-tris(8-hydroxychinolin)), TSPO1 (Diphenyl-4-triphenylsilylphenyl-phosphinoxid) oder TCB/TCP (1,3,5-Tris(N-carbazolyl)benzol/ 1,3,5-tris(carbazol)-9-yl) benzol) aufweisen. Beispielhaft ist die Schichtdicke 10 nm bis 50 nm.
- Die Elektronentransportschicht ETL kann beispielsweise Materialien auf Basis von AlQ3, TSPO1, BPyTP2 (2,7-Di(2,2′-bipyridin-5-yl)triphenyl)), Sif87, Sif88, BmPyPhB (1,3-Bis[3,5-di(pyridin-3-yl)phenyl]benzol) oder BTB (4,4′-Bis-[2-(4,6-diphenyl-1,3,5-triazinyl)]-1,1′-biphenyl) aufweisen. Beispielhaft ist die Schichtdicke 10 nm bis 200 nm.
- Als Materialien einer dünnen Elektroneninjektionsschicht EIL können beispielsweise CsF, LiF, 8-Hydroxyquinolinolatolithium (Liq), Li2O, BaF2, MgO oder NaF verwendet werden.
- Als Materialien der Kathodenschicht können Metalle oder Legierungen dienen, beispielsweise AI, Al > AlF, Ag, Pt, Au, Mg, Ag:Mg. Typische Schichtdicken betragen 100 nm bis 200 nm. Insbesondere werden ein oder mehrere Metalle verwendet, die stabil an der Luft sind und/oder die selbstpassivierend, beispielsweise durch Ausbildung einer dünnen schützenden Oxidschicht, sind.
- Als Materialien zu Verkapselung sind beispielsweise Aluminiumoxid, Vanadiumoxid, Zinkoxid, Zirkoniumoxid, Titanoxid, Hafniumoxid, Lanthanoxid, Tantaloxid geeignet.
- Dem Fachmann ist hierbei bekannt, welche Kombinationen der Materialien für eine optoelektronische Vorrichtung enthaltend ein erfindungsgemäßes organisches Molekül zu nutzen sind.
- In einer Ausführungsform der erfindungsgemäßen organischen optoelektronischen Vorrichtung ist das erfindungsgemäße organische Molekül als Emissionsmaterial in einer lichtemittierenden Schicht EML eingesetzt, wobei es entweder als Reinschicht oder in Kombination mit einem oder mehreren Hostmaterialien eingesetzt ist.
- Der Massenanteil des erfindungsgemäßen organischen Moleküls an der Emitter-Schicht EML beträgt in einer weiteren Ausführungsform in einer lichtemittierenden Schicht in optischen Licht emittierenden Vorrichtungen, insbesondere in OLEDs, zwischen 1 % und 80 %. In einer Ausführungsform der erfindungsgemäßen organischen optoelektronischen Vorrichtung ist die lichtemittierende Schicht auf ein Substrat aufgebracht, wobei bevorzugt eine Anode und eine Kathode auf das Substrat aufgebracht sind und die lichtemittierende Schicht zwischen Anode und Kathode aufgebracht ist.
- Die lichtemittierende Schicht kann ausschließlich ein erfindungsgemäßes organisches Molekül in 100 % Konzentration aufweisen, wobei die Anode und die Kathode auf das Substrat aufgebracht sind, und die lichtemittierende Schicht zwischen Anode und Kathode aufgebracht ist.
- In einer Ausführungsform der erfindungsgemäßen organischen optoelektronischen Vorrichtung sind eine löcher- und elektroneninjizierende Schicht zwischen Anode und Kathode, und eine löcher- und elektronentransportierende Schicht zwischen löcher- und elektroneninjizierende Schicht, und die lichtemittierende Schicht zwischen löcher- und elektronentransportierender Schicht aufgebracht.
- Die organische optoelektronische Vorrichtung weist in einer weiteren Ausführungsform der Erfindung auf: ein Substrat, eine Anode, eine Kathode und mindestens je eine löcher- und elektroneninjizierende Schicht, und mindestens je eine löcher- und elektronentransportierende Schicht, und mindestens eine lichtemittierende Schicht, die erfindungsgemäßes organisches Molekül und ein oder mehrere Hostmaterialen aufweist, deren Triplett(T1)- und Singulett(S1)-Energieniveaus energetisch höher liegen als die Triplett(T1)- und Singulett(S1)-Energieniveaus des organischen Moleküls, wobei die Anode und die Kathode auf das Substrat aufgebracht ist, und die löcher- und elektroneninjizierende Schicht zwischen Anode und Kathode aufgebracht ist, und die löcher- und elektronentransportierende Schicht zwischen löcher- und elektroneninjizierende Schicht aufgebracht ist, und die lichtemittierende Schicht zwischen löcher- und elektronentransportierende Schicht aufgebracht ist.
- In einem weiteren Aspekt betrifft die Erfindung ein Verfahren zur Herstellung eines optoelektronischen Bauelements. Dabei wird ein erfindungsgemäßes organisches Molekül verwendet.
- In einer Ausführungsform umfasst das Herstellungsverfahren die Verarbeitung des erfindungsgemäßen organischen Moleküls mittels eines Vakuumverdampfungsverfahrens oder aus einer Lösung.
- Erfindungsgemäß ist auch ein Verfahren zur Herstellung einer erfindungsgemäßen optoelektronischen Vorrichtung, bei dem mindestens eine Schicht der optoelektronischen Vorrichtung
- – mit einem Sublimationsverfahren beschichtet wird,
- – mit einem OVPD (Organic Vapor Phase Deposition) Verfahren beschichtet wird,
- – mit einer Trägergassublimation beschichtet wird, und/oder
- – aus Lösung oder mit einem Druckverfahren hergestellt wird.
- Beispiele
- Das entsprechende Difluor-dibrom-benzol (2,00 mmol, 1,00 Aquiv.), die Boronsäure (7,20 mmol, 3,6 Äquiv.), Tris(dibenzylideneacetone)dipalladium (0,09 mmol, 0,04 Äquiv.), 2-Dicyclohexylphosphino-2′,6′-dimethoxybiphenyl (0,35 mmol, 0,16 Äquiv.) und tribasisches Kaliumphosphat (11,0 mmol, 5 Äquiv.) werden unter Stickstoff in Toluol (40 mL) und Wasser (8 mL) für 12–24 h bei 100°C gerührt. Anschließend wird die Reaktionsmischung auf 400 mL gesättigte NaCl-Lösung gegeben und mit Essigsäureethylester extrahiert (2 × 200 mL). Die vereinigten organischen Phasen werden mit gesättigter NaCl-Lösung (200 mL) gewaschen, getrocknet über MgSO4 und das Lösemittel im Vakuum entfernt. Das erhaltene Rohprodukt wird durch Flash-Chromatographie oder durch Umkristallisation gereinigt. Allgemeine Synthesevorschrift AAV2:
- Das entsprechende Difluor- -dibenzonitril-benzol (10,0 mmol, 1,00 Aquiv.), ein entsprechendes Carbazolderivat (20,0 mmol, 2,00 Aquiv.) und tribasisches Kaliumphosphat (40,0 mmol, 4,00 Aquiv.) werden unter Stickstoff in DMSO (30 mL) suspendiert und bei 120 °C für 12 bis 24 h gerührt. Anschließend wird die Reaktionsmischung auf 400 mL gesättigte NaCl-Lösung gegeben und mit Essigsäureethylester extrahiert (2 × 200 mL). Die vereinigten organischen Phasen werden mit gesättigter NaCl-Lösung (200 mL) gewaschen, getrocknet über MgSO4 und das Lösemittel im Vakuum entfernt. Das erhaltene Rohprodukt wird durch Flash-Chromatographie oder durch Umkristallisation gereinigt.
- Photophysikalische Messungen
- Vorbehandlung von optischen Gläsern
- Alle Gläser (Küvetten und Substrate aus Quarzglas, Durchmesser: 1 cm) wurden nach jeder Benutzung gereinigt: Je dreimaliges Spülen mit Dichlormethan, Aceton, Ethanol, demineralisiertem Wasser, Einlegen in 5 % Hellmanex-Lösung für 24 h, gründliches Ausspülen mit demineralisiertem Wasser. Zum Trocknen wurden die optischen Gläser mit Stickstoff abgeblasen.
- Probenvorbereitung, Film: Spin-Coating
-
- Gerät: Spin150, SPS euro.
- Die Probenkonzentration entsprach 10 mg/ml, angesetzt in Toluol oder Chlorbenzol. Programm: 1) 3 s bei 400 U/min; 2) 20 s bei 1000 U/min bei 1000 Upm/ s. 3) 10 s bei 4000 U/min bei 1000 Upm/s. Die Filme wurden nach dem Beschichten für 1 min bei 70 °C an Luft auf einer Präzisionsheizplatte von LHG getrocknet.
- Photolumineszenzspektroskopie und TCSPC
- Steady-state Emissionsspektroskopie wurde mit einem Fluoreszenzspektrometer der Horiba Scientific, Modell FluoroMax-4 durchgeführt, ausgestattet mit einer 150 W Xenon-Arc Lampe, Anregungs- und Emissionsmonochromatoren und einer Hamamatsu R928 Photomultiplier-Röhre, sowie einer „zeit-korrelierten Einphotonzähl“ (Time-correlated single-photon counting, TCSPC)-Option. Emissions- und Anregungsspektren wurden korrigiert durch Standardkorrekturkurven.
- Die Emissionsabklingzeiten wurden ebenfalls auf diesem System gemessen unter Verwendung der TCSPC-Methode mit dem FM-2013 Zubehör und einem TCSPC-Hub von Horiba Yvon Jobin. Anregungsquellen:
NanoLED 370 (Wellenlänge: 371 nm, Pulsdauer: 1.1 ns)
NanoLED 290 (Wellenlänge: 294 nm, Pulsdauer: < 1 ns)
SpectraLED 310 (Wellenlänge: 314 nm)
SpectraLED 355 (Wellenlänge: 355 nm). -
- Quanteneffizienzbestimmung
- Die Messung der Photolumineszenzquantenausbeute (PLQY) erfolgte mittels eines Absolute PL Quantum Yield Measurement C9920-03G-Systems der Hamamatsu Photonics. Dieses besteht aus einer 150 W Xenon-Gasentladungslampe, automatisch justierbaren Czerny-Turner Monochromatoren (250–950 nm) und einer Ulbricht-Kugel mit hochreflektierender Spektralon-Beschichtung (einem Teflon-Derivat), die über ein Glasfaserkabel mit einem PMA-12 Vielkanaldetektor mit BT-(back thinned-)CCD-Chip mit 1024×122 Pixeln (Größe 24×24 µm) verbunden ist. Die Auswertung der Quanteneffizienz und der CIE-Koordinaten erfolgte mit Hilfe der Software U6039-05 Version 3.6.0. Das Emissionsmaximum wird in nm, die Quantenausbeute Φ in % und die CIE-Farbkoordinaten als x, y-Werte angegeben.
- Die Photolumineszenzquantenausbeute wurde nach folgendem Protokoll bestimmt:
- 1) Durchführung der Qualitätssicherung: Als Referenzmaterial dient Anthracene in Ethanol mit bekannter Konzentration.
- 2) Ermitteln der Anregungswellenlänge: Es wurde zuerst das Absorbtionsmaximum des organischen Moleküls bestimmt und mit diesem angeregt.
- 3) Durchführung der Probenmessung: Es wurde von entgasten Lösungen und Filmen unter Stickstoff-Atmosphäre die absolute Quantenausbeute bestimmt. Die Berechnung erfolgte systemintern nach folgender Gleichung: mit der Photonenzahl nphoton und der Intensität Int.
- Herstellung und Charakterisierung von organischen Elektrolumineszenzvorrichtungen aus der Gasphase
- Mit den erfindungsgemäßen organischen Molekülen können OLED-Devices mittels Vakuum-Sublimationstechnik erstellt werden. Diese noch nicht optimierten OLEDs können standardmäßig charakterisiert werden; hierfür werden die Elektrolumineszenzspektren, die externe Quanteneffizienz (gemessen in %) in Abhängigkeit von der Helligkeit, berechnet aus dem von der Fotodiode detektiertem Licht, den Elektrolumineszenzspektren und dem Strom aufgenommen.
- Die am Device anliegende Spannung beträgt z. B. 2,5 V bis 15 V.
- Synthese von Vorstufen nach AAV1 zur Darstellung der erfindungsgemäßen Moleküle ausgehend von kommerziell erhältlichen Verbindungen
-
Claims (12)
- Organisches Molekül, aufweisend eine Struktur der Formel I Formel I mit D = wobei # ist Anknüpfungspunkt der Einheit D an den zentralen Phenylring in der Struktur gemäß Formel I; Z ist eine direkte Bindung oder ausgewählt aus der Gruppe bestehend aus CR3R4, C=CR3R4, C=O, C=NR3, NR3, O, SiR3R4, S, S(O), S(O)2; R1 und R2 bei jedem Auftreten gleich oder verschieden ist H, Deuterium, eine lineare Alkylgruppe mit 1 bis 5 C-Atomen, eine lineare Alkenyl- oder Alkinylgruppe mit 2 bis 8 C-Atomen, eine verzweigte oder cyclische Alkyl-, Alkenyl- oder Alkinylgruppe mit 3 bis 10 C-Atomen, wobei ein oder mehrere H-Atome durch Deuterium, CN, CF3 oder NO2 ersetzt sein können, oder ein aromatisches oder heteroaromatisches Ringsystem mit 5 bis 15 aromatischen Ringatomen, das jeweils durch einen oder mehrere Reste R6 substituiert sein kann, CF3 oder CN ist; Ra, R3 und R4 bei jedem Auftreten gleich oder verschieden ist H, Deuterium, N(R5)2, OH, Si(R5)3, B(OR5)2, OSO2R5, CF3, CN, F, Br, I, eine lineare Alkyl-, Alkoxy- oder Thioalkoxygruppe mit 1 bis 40 C-Atomen oder eine lineare Alkenyl- oder Alkinylgruppe mit 2 bis 40 C-Atomen oder eine verzweigte oder cyclische Alkyl-, Alkenyl-, Alkinyl-, Alkoxy- oder Thioalkoxygruppe mit 3 bis 40 C-Atomen, die jeweils mit einem oder mehreren Resten R5 substituiert sein kann, wobei eine oder mehrere nicht benachbarte CH2-Gruppen durch R5C=CR5, C≡C, Si(R5)2, Ge(R5)2, Sn(R5)2, C=O, C=S, C=Se, C=NR5, P(=O)(R5), SO, SO2, NR5, O, S oder CONR5 ersetzt sein können und wobei ein oder mehrere H-Atome durch Deuterium, CN, CF3 oder NO2 ersetzt sein können; oder ein aromatisches oder heteroaromatisches Ringsystem mit 5 bis 60 aromatischen Ringatomen, das jeweils durch einen oder mehrere Reste R5 substituiert sein kann, oder eine Aryloxy- oder Heteroaryloxygruppe mit 5 bis 60 aromatischen Ringatomen, die durch einen oder mehrere Reste R5 substituiert sein kann, oder eine Diarylaminogruppe, Diheteroarylaminogruppe oder Arylheteroarylaminogruppe mit 10 bis 40 aromatischen Ringatomen, welche durch einen oder mehrere Reste R5 substituiert sein kann; R5 bei jedem Auftreten gleich oder verschieden ist H, Deuterium, N(R6)2, OH, Si(R6)3, B(OR6)2, OSO2R6, CF3, CN, F, Br, I, eine lineare Alkyl-, Alkoxy- oder Thioalkoxygruppe mit 1 bis 40 C-Atomen oder eine lineare Alkenyl- oder Alkinylgruppe mit 2 bis 40 C-Atomen oder eine verzweigte oder cyclische Alkyl-, Alkenyl-, Alkinyl-, Alkoxy- oder Thioalkoxygruppe mit 3 bis 40 C-Atomen, die jeweils mit einem oder mehreren Resten R6 substituiert sein kann, wobei eine oder mehrere nicht benachbarte CH2-Gruppen durch R6C=CR6, C≡C, Si(R6)2, Ge(R6)2, Sn(R6)2, C=O, C=S, C=Se, C=NR6, P(=O)(R6), SO, SO2, NR6, O, S oder CONR6 ersetzt sein können und wobei ein oder mehrere H-Atome durch Deuterium, CN, CF3 oder NO2 ersetzt sein können; oder ein aromatisches oder heteroaromatisches Ringsystem mit 5 bis 60 aromatischen Ringatomen, das jeweils durch einen oder mehrere Reste R6 substituiert sein kann, oder eine Aryloxy- oder Heteroaryloxygruppe mit 5 bis 60 aromatischen Ringatomen, die durch einen oder mehrere Reste R6 substituiert sein kann, oder eine Diarylaminogruppe, Diheteroarylaminogruppe oder Arylheteroarylaminogruppe mit 10 bis 40 aromatischen Ringatomen, welche durch einen oder mehrere Reste R6 substituiert sein kann; R6 bei jedem Auftreten gleich oder verschieden ist H, Deuterium, OH, CF3, CN, F, Br, I, eine lineare Alkyl-, Alkoxy- oder Thioalkoxygruppe mit 1 bis 5 C-Atomen oder eine lineare Alkenyl- oder Alkinylgruppe mit 2 bis 5 C-Atomen oder eine verzweigte oder cyclische Alkyl-, Alkenyl-, Alkinyl-, Alkoxy- oder Thioalkoxygruppe mit 3 bis 5 C-Atomen, wobei ein oder mehrere H-Atome durch Deuterium, CN, CF3 oder NO2 ersetzt sein können; oder ein aromatisches oder heteroaromatisches Ringsystem mit 5 bis 60 aromatischen Ringatomen oder eine Aryloxy- oder Heteroaryloxygruppe mit 5 bis 60 aromatischen Ringatomen oder eine Diarylaminogruppe, Diheteroarylaminogruppe oder Arylheteroarylaminogruppe mit 10 bis 40 aromatischen Ringatomen; wobei jeder der Reste Ra, R3, R4 oder R5 auch mit einem oder mehreren weiteren Resten Ra, R3, R4 oder R5 ein mono- oder polycyclisches, aliphatisches, aromatisches und/oder benzoannelliertes Ringsystem bilden kann; und wobei unabhängig voneinander genau ein R1 und genau ein R2 gleich CF3 oder CN ist.
- Organisches Molekül nach Anspruch 1, wobei genau ein R1 und genau ein R2 gleich CN sind und optional die übrigen Reste R1 und R2 bei jedem Auftreten gleich oder verschieden H oder Methyl sind.
- Organisches Molekül nach Anspruch 1, wobei genau zwei R1 oder zwei R2 gleich Methyl und die übrigen R1 und ein R2 gleich H sind.
- Verfahren zur Herstellung eines Organischen Moleküls nach Anspruch 1 bis 4, wobei 1,2-Dibrom-3,6-difluorbenzol als Edukt eingesetzt wird.
- Verwendung eines organischen Moleküls nach Anspruch 1 bis 4 als lumineszierender Emitter und/oder als Hostmaterial und/oder als Elektronentransportmaterial und/oder als Lochinjektionsmaterial und/oder als Lochblockiermaterial in einer organischen optoelektronischen Vorrichtung.
- Verwendung nach Anspruch 6, wobei die organische optoelektronische Vorrichtung ausgewählt ist aus der Gruppe bestehend aus: • organischen lichtemittierenden Dioden (OLEDs), • lichtemittierenden elektrochemischen Zellen, • OLED-Sensoren, insbesondere in nicht hermetisch nach außen abgeschirmten Gas- und Dampf-Sensoren, • organischen Dioden, • organischen Solarzellen, • organischen Transistoren, • organischen Feldeffekttransistoren, • organischen Lasern und • Down-Konversions-Elementen.
- Zusammensetzung aufweisend oder bestehend aus: (a) mindestens einem organischen Molekül nach einem der Ansprüche 1 bis 4, insbesondere als Emitter und/oder Host, und (b) ein oder mehrere von dem Molekül nach einem der Ansprüche 1 bis 4 verschiedenen Emitter- und/oder Hostmaterialien (c) optional eine oder mehreren Farbstoffen und/ oder einem oder mehreren Lösungsmitteln.
- Organische optoelektronische Vorrichtung, aufweisend ein organisches Molekül nach Anspruch 1 bis 4 oder eine Zusammensetzung nach Anspruch 8, insbesondere ausgeformt als eine Vorrichtung ausgewählt aus der Gruppe bestehend aus organischer lichtemittierender Diode (OLED), lichtemittierender elektrochemischer Zelle, OLED-Sensor, insbesondere nicht hermetisch nach außen abgeschirmten Gas- und Dampf-Sensoren, organischer Diode, organischer Solarzelle, organischem Transistor, organischem Feldeffekttransistor, organischem Laser und Down-Konversion-Element.
- Organische optoelektronische Vorrichtung nach Anspruch 9, aufweisend – ein Substrat, – eine Anode und – eine Kathode, wobei die Anode oder die Kathode auf das Substrat aufgebracht sind, und – mindestens eine lichtemittierende Schicht, die zwischen Anode und Kathode angeordnet ist und die das organische Molekül nach Anspruch 1 bis 4 aufweist.
- Verfahren zur Herstellung eines optoelektronischen Bauelements, wobei ein organisches Molekül nach Anspruch 1 bis 4 verwendet wird.
- Verfahren nach Anspruch 11, umfassend die Verarbeitung des organischen Moleküls mittels eines Vakuumverdampfungsverfahrens oder aus einer Lösung.
Priority Applications (4)
| Application Number | Priority Date | Filing Date | Title |
|---|---|---|---|
| DE102016108335.6A DE102016108335B3 (de) | 2016-05-04 | 2016-05-04 | Organische Moleküle, insbesondere zur Verwendung in organischen optoelektronischen Vorrichtungen |
| EP17718025.4A EP3452471B1 (de) | 2016-05-04 | 2017-03-24 | Organische moleküle, insbesondere zur verwendung in optoelektronischen vorrichtungen |
| CN201780024471.8A CN109071501B (zh) | 2016-05-04 | 2017-03-24 | 特别用于有机光电器件的有机分子 |
| PCT/EP2017/057047 WO2017190885A1 (de) | 2016-05-04 | 2017-03-24 | Organische moleküle, insbesondere zur verwendung in optoelektronischen vorrichtungen |
Applications Claiming Priority (1)
| Application Number | Priority Date | Filing Date | Title |
|---|---|---|---|
| DE102016108335.6A DE102016108335B3 (de) | 2016-05-04 | 2016-05-04 | Organische Moleküle, insbesondere zur Verwendung in organischen optoelektronischen Vorrichtungen |
Publications (1)
| Publication Number | Publication Date |
|---|---|
| DE102016108335B3 true DE102016108335B3 (de) | 2016-12-22 |
Family
ID=57467003
Family Applications (1)
| Application Number | Title | Priority Date | Filing Date |
|---|---|---|---|
| DE102016108335.6A Active DE102016108335B3 (de) | 2016-05-04 | 2016-05-04 | Organische Moleküle, insbesondere zur Verwendung in organischen optoelektronischen Vorrichtungen |
Country Status (1)
| Country | Link |
|---|---|
| DE (1) | DE102016108335B3 (de) |
Cited By (4)
| Publication number | Priority date | Publication date | Assignee | Title |
|---|---|---|---|---|
| WO2018047948A1 (ja) * | 2016-09-09 | 2018-03-15 | 東洋紡株式会社 | 有機発光素子ならびにそれに用いる発光材料および化合物 |
| CN110997634A (zh) * | 2017-08-25 | 2020-04-10 | 西诺拉股份有限公司 | 特别用于光电器件的有机分子 |
| US11424417B2 (en) | 2018-11-16 | 2022-08-23 | Samsung Display Co., Ltd. | Organic electroluminescence device and compound for organic electroluminescence device |
| US11985893B2 (en) | 2019-11-08 | 2024-05-14 | Samsung Display Co., Ltd. | Organic electroluminescence device and aromatic compound for organic electroluminescence device |
Citations (5)
| Publication number | Priority date | Publication date | Assignee | Title |
|---|---|---|---|---|
| US20030175553A1 (en) * | 2001-12-28 | 2003-09-18 | Thompson Mark E. | White light emitting oleds from combined monomer and aggregate emission |
| US20060088728A1 (en) * | 2004-10-22 | 2006-04-27 | Raymond Kwong | Arylcarbazoles as hosts in PHOLEDs |
| WO2007063754A1 (ja) * | 2005-12-01 | 2007-06-07 | Nippon Steel Chemical Co., Ltd. | 有機電界発光素子用化合物及び有機電界発光素子 |
| KR20130004780A (ko) * | 2011-07-04 | 2013-01-14 | 엘지디스플레이 주식회사 | 청색 인광 화합물 및 이를 사용한 유기전계발광소자 |
| US20150129849A1 (en) * | 2013-11-14 | 2015-05-14 | Universal Display Corporation | Organic electroluminescent materials and devices |
-
2016
- 2016-05-04 DE DE102016108335.6A patent/DE102016108335B3/de active Active
Patent Citations (5)
| Publication number | Priority date | Publication date | Assignee | Title |
|---|---|---|---|---|
| US20030175553A1 (en) * | 2001-12-28 | 2003-09-18 | Thompson Mark E. | White light emitting oleds from combined monomer and aggregate emission |
| US20060088728A1 (en) * | 2004-10-22 | 2006-04-27 | Raymond Kwong | Arylcarbazoles as hosts in PHOLEDs |
| WO2007063754A1 (ja) * | 2005-12-01 | 2007-06-07 | Nippon Steel Chemical Co., Ltd. | 有機電界発光素子用化合物及び有機電界発光素子 |
| KR20130004780A (ko) * | 2011-07-04 | 2013-01-14 | 엘지디스플레이 주식회사 | 청색 인광 화합물 및 이를 사용한 유기전계발광소자 |
| US20150129849A1 (en) * | 2013-11-14 | 2015-05-14 | Universal Display Corporation | Organic electroluminescent materials and devices |
Cited By (7)
| Publication number | Priority date | Publication date | Assignee | Title |
|---|---|---|---|---|
| WO2018047948A1 (ja) * | 2016-09-09 | 2018-03-15 | 東洋紡株式会社 | 有機発光素子ならびにそれに用いる発光材料および化合物 |
| CN110225906A (zh) * | 2016-09-09 | 2019-09-10 | 东洋纺株式会社 | 有机发光元件、用于该有机发光元件的发光材料及化合物 |
| US11618730B2 (en) | 2016-09-09 | 2023-04-04 | Toyobo Co., Ltd. | Organic light-emitting element, and light-emitting material and compound for use therein |
| CN110997634A (zh) * | 2017-08-25 | 2020-04-10 | 西诺拉股份有限公司 | 特别用于光电器件的有机分子 |
| CN110997634B (zh) * | 2017-08-25 | 2024-01-26 | 三星显示有限公司 | 特别用于光电器件的有机分子 |
| US11424417B2 (en) | 2018-11-16 | 2022-08-23 | Samsung Display Co., Ltd. | Organic electroluminescence device and compound for organic electroluminescence device |
| US11985893B2 (en) | 2019-11-08 | 2024-05-14 | Samsung Display Co., Ltd. | Organic electroluminescence device and aromatic compound for organic electroluminescence device |
Similar Documents
| Publication | Publication Date | Title |
|---|---|---|
| EP3452471B1 (de) | Organische moleküle, insbesondere zur verwendung in optoelektronischen vorrichtungen | |
| DE102016110004B3 (de) | Organische Moleküle, insbesondere zur Verwendung in organischen optoelektronischen Vorrichtungen | |
| DE102016112377B4 (de) | Organische Moleküle, insbesondere zur Verwendung in organischen optoelektronischen Vorrichtungen | |
| DE102016108332B3 (de) | Organische Moleküle, insbesondere zur Verwendung in organischen optoelektronischen Vorrichtungen | |
| WO2018041933A1 (de) | Organische moleküle, insbesondere zur verwendung in organischen optoelektronischen vorrichtungen | |
| EP3266772B1 (de) | Organische moleküle, insbesondere zur verwendung in optoelektronischen vorrichtungen | |
| DE102017103542B3 (de) | Organische Moleküle, insbesondere zur Verwendung in optoelektronischen Vorrichtungen | |
| DE102016120373B3 (de) | Organische Moleküle, insbesondere zur Verwendung in organischen optoelektronischen Vorrichtungen | |
| DE102016108334B3 (de) | Organische Moleküle, insbesondere zur Verwendung in organischen optoelektronischen Vorrichtungen | |
| DE102016112082B4 (de) | Organische Moleküle, insbesondere zur Verwendung in organischen optoelektronischen Vorrichtungen | |
| WO2018001821A1 (de) | Dicarbazolbiphenyderivate zur verwendung in optoelektronischen vorrichtungen | |
| WO2018001820A1 (de) | Dicarbazolbiphenylderivate zur verwendung in optoelektronischen vorrichtungen | |
| DE102016115853A1 (de) | Organische Moleküle, insbesondere zur Verwendung in organischen optoelektronischen Vorrichtungen | |
| DE102016108335B3 (de) | Organische Moleküle, insbesondere zur Verwendung in organischen optoelektronischen Vorrichtungen | |
| DE102016108327B3 (de) | Organische Moleküle, insbesondere zur Verwendung in organischen optoelektronischen Vorrichtungen | |
| DE102016115851B3 (de) | Organische Moleküle, insbesondere zur Verwendung in organischen optoelektronischen Vorrichtungen | |
| WO2018024725A1 (de) | Organische moleküle zur verwendung in organischen optoelektronischen vorrichtungen | |
| WO2018077492A1 (de) | Organische moleküle, insbesondere zur verwendung in organischen optoelektronischen vorrichtungen | |
| DE102017102662A1 (de) | Organische Moleküle, insbesondere zur Verwendung in organischen optoelektronischen Vorrichtungen | |
| DE102016123105B4 (de) | Organische Moleküle, insbesondere zur Verwendung in organischen optoelektronischen Vorrichtungen | |
| DE102017102363B4 (de) | Organische Moleküle, insbesondere zur Verwendung in organischen optoelektronischen Vorrichtungen | |
| WO2019002175A1 (de) | Organische moleküle, insbesondere zur verwendung in optoelektronischen vorrichtungen | |
| WO2018145995A2 (de) | Organische moleküle, insbesondere zur verwendung in organischen optoelektronischen vorrichtungen | |
| DE102016115854B3 (de) | Organische Moleküle, insbesondere zur Verwendung in organischen optoelektronischen Vorrichtungen | |
| DE102016115997B4 (de) | Organische Moleküle, insbesondere zur Verwendung in organischen optoelektronischen Vorrichtungen |
Legal Events
| Date | Code | Title | Description |
|---|---|---|---|
| R012 | Request for examination validly filed | ||
| R018 | Grant decision by examination section/examining division | ||
| R020 | Patent grant now final | ||
| R081 | Change of applicant/patentee |
Owner name: SAMSUNG DISPLAY CO., LTD., YONGIN-SI, KR Free format text: FORMER OWNER: CYNORA GMBH, 76646 BRUCHSAL, DE |
|
| R082 | Change of representative |
Representative=s name: DR. WEITZEL & PARTNER PATENT- UND RECHTSANWAEL, DE |


















