DE102013226808A1 - Nourishing blowing agent containing hair cosmetic - Google Patents
Nourishing blowing agent containing hair cosmetic Download PDFInfo
- Publication number
- DE102013226808A1 DE102013226808A1 DE102013226808.4A DE102013226808A DE102013226808A1 DE 102013226808 A1 DE102013226808 A1 DE 102013226808A1 DE 102013226808 A DE102013226808 A DE 102013226808A DE 102013226808 A1 DE102013226808 A1 DE 102013226808A1
- Authority
- DE
- Germany
- Prior art keywords
- aerosol composition
- radical
- formula
- group
- bis
- Prior art date
- Legal status (The legal status is an assumption and is not a legal conclusion. Google has not performed a legal analysis and makes no representation as to the accuracy of the status listed.)
- Withdrawn
Links
Classifications
-
- A—HUMAN NECESSITIES
- A61—MEDICAL OR VETERINARY SCIENCE; HYGIENE
- A61K—PREPARATIONS FOR MEDICAL, DENTAL OR TOILETRY PURPOSES
- A61K8/00—Cosmetics or similar toiletry preparations
- A61K8/02—Cosmetics or similar toiletry preparations characterised by special physical form
- A61K8/04—Dispersions; Emulsions
- A61K8/046—Aerosols; Foams
-
- A—HUMAN NECESSITIES
- A61—MEDICAL OR VETERINARY SCIENCE; HYGIENE
- A61K—PREPARATIONS FOR MEDICAL, DENTAL OR TOILETRY PURPOSES
- A61K8/00—Cosmetics or similar toiletry preparations
- A61K8/18—Cosmetics or similar toiletry preparations characterised by the composition
- A61K8/72—Cosmetics or similar toiletry preparations characterised by the composition containing organic macromolecular compounds
- A61K8/84—Cosmetics or similar toiletry preparations characterised by the composition containing organic macromolecular compounds obtained by reactions otherwise than those involving only carbon-carbon unsaturated bonds
- A61K8/89—Polysiloxanes
- A61K8/896—Polysiloxanes containing atoms other than silicon, carbon, oxygen and hydrogen, e.g. dimethicone copolyol phosphate
- A61K8/898—Polysiloxanes containing atoms other than silicon, carbon, oxygen and hydrogen, e.g. dimethicone copolyol phosphate containing nitrogen, e.g. amodimethicone, trimethyl silyl amodimethicone or dimethicone propyl PG-betaine
-
- A—HUMAN NECESSITIES
- A61—MEDICAL OR VETERINARY SCIENCE; HYGIENE
- A61Q—SPECIFIC USE OF COSMETICS OR SIMILAR TOILETRY PREPARATIONS
- A61Q5/00—Preparations for care of the hair
- A61Q5/06—Preparations for styling the hair, e.g. by temporary shaping or colouring
-
- A—HUMAN NECESSITIES
- A61—MEDICAL OR VETERINARY SCIENCE; HYGIENE
- A61K—PREPARATIONS FOR MEDICAL, DENTAL OR TOILETRY PURPOSES
- A61K2800/00—Properties of cosmetic compositions or active ingredients thereof or formulation aids used therein and process related aspects
- A61K2800/40—Chemical, physico-chemical or functional or structural properties of particular ingredients
- A61K2800/54—Polymers characterized by specific structures/properties
- A61K2800/542—Polymers characterized by specific structures/properties characterized by the charge
- A61K2800/5426—Polymers characterized by specific structures/properties characterized by the charge cationic
Landscapes
- Life Sciences & Earth Sciences (AREA)
- Health & Medical Sciences (AREA)
- Animal Behavior & Ethology (AREA)
- General Health & Medical Sciences (AREA)
- Public Health (AREA)
- Veterinary Medicine (AREA)
- Birds (AREA)
- Epidemiology (AREA)
- Chemical & Material Sciences (AREA)
- Dispersion Chemistry (AREA)
- Cosmetics (AREA)
Abstract
Aerosolzusammensetzungen, umfassend a) mindestens ein Treibmittel und b) mindestens eine kosmetische Zubereitung, enthaltend (i) mindestens einen festigenden Wirkstoff und (ii) mindestens eine Silikonverbindung der nachfolgenden Formel (I),in der – R1 bis R5 unabhängig voneinander einen Rest aus der Gruppe Aryl, Alkyl oder Alkylaryl mit 1 bis 30 C-Atomen bedeuten, – R6 einen Rest bedeutet, der mindestens eine quaternäre Ammoniumgruppe trägt, und – x eine Zahl im Bereich von 2 bis 200 bedeutet, eignen sich zur zielgerichteten Applikation haarkosmetischer Mittel in Form von Sprühnebeln oder schnell brechenden Schäumen und verleihen den Haaren einen sehr guten Halt sowie ausgezeichnete Pflegeeigenschaften.Aerosol compositions, comprising a) at least one propellant and b) at least one cosmetic preparation containing (i) at least one setting agent and (ii) at least one silicone compound of the following formula (I), in which - R1 to R5 independently of one another Group is aryl, alkyl or alkylaryl having 1 to 30 carbon atoms, - R6 is a radical which carries at least one quaternary ammonium group, and - x is a number in the range of 2 to 200, are suitable for the targeted application of hair cosmetic agents in the form sprays or fast-breaking foams and give the hair a very good hold and excellent care properties.
Description
Die Anmeldung betrifft das technische Fachgebiet der temporären Umformung keratinhaltiger Fasern, insbesondere menschlicher Haare. Gegenstand der Anmeldung sind Aerosolzusammensetzungen, enthaltend mindestens ein Treibmittel sowie eine kosmetische Zusammensetzung, die mindestens einen festigenden Wirkstoff und mindestens eine spezielle Silikonverbindung enthält. Gegenstand der Anmeldung ist weiterhin die Verwendung dieser Zusammensetzungen zur temporären Umformung keratinhaltiger Fasern. The application relates to the technical field of temporary transformation keratinhaltiger fibers, especially human hair. The application relates to aerosol compositions containing at least one propellant and a cosmetic composition containing at least one setting agent and at least one specific silicone compound. The application further relates to the use of these compositions for the temporary transformation of keratin-containing fibers.
Unter keratinhaltigen Fasern werden prinzipiell alle tierischen Haare, z.B. Wolle, Rosshaar, Angorahaar, Pelze, Federn und daraus gefertigte Produkte oder Textilien verstanden. Vorzugsweise handelt es sich bei den keratinischen Fasern jedoch um menschliche Haare. In principle, all animal hair, e.g. Wool, horsehair, angora hair, furs, feathers and products or textiles made from them. Preferably, however, the keratinic fibers are human hairs.
Eine ansprechend aussehende Frisur wird heute allgemein als unverzichtbarer Teil eines gepflegten Äußeren angesehen. Dabei gelten aufgrund von aktuellen Modeströmungen immer wieder Frisuren als erstrebenswert, die sich bei vielen Haartypen nur unter Verwendung festigender Wirkstoffe aufbauen bzw. für einen längeren Zeitraum bis hin zu mehreren Tagen aufrechterhalten lassen. Daher spielen Haarbehandlungsmittel, die einer permanenten oder temporären Formgebung der Haare dienen, eine wichtige Rolle. Während bei der permanenten Umformung die chemische Struktur der keratinhaltigen Faser durch Reduktion und Oxidation modifiziert wird, finden solche Modifikationen der chemischen Struktur bei der temporären Umformung nicht statt. Entsprechende Mittel zur temporären Verformung enthalten als festigenden Wirkstoff üblicherweise synthetische Polymere und/oder Wachse. Mittel zur Unterstützung der temporären Umformung keratinhaltiger Fasern können beispielsweise als Haarspray, Haarwachs, Haargel, Haarschaum konfektioniert werden. Insbesondere die Applikation mittels Aerosolabgabebehälter in Form eines Sprays oder eines Schaums erfreut sich hoher Beliebtheit. An attractive-looking hairstyle is now generally considered an indispensable part of a well-groomed appearance. Due to current fashion trends hairstyles are always desirable, which in many hair types can only be built up using firming active ingredients or can be maintained for a longer period of time up to several days. Therefore, hair treatment agents that serve a permanent or temporary shaping of the hair play an important role. While the chemical structure of the keratin-containing fiber is modified by reduction and oxidation during permanent forming, such modifications of the chemical structure do not take place during the temporary forming. Corresponding temporary deformation agents usually contain synthetic polymers and / or waxes as the setting agent. Means for supporting the temporary shaping keratinhaltiger fibers can be formulated for example as a hair spray, hair wax, hair gel, hair foam. In particular, the application by means of aerosol dispensing container in the form of a spray or a foam enjoys high popularity.
Die wichtigste Eigenschaft eines Mittels zur temporären Verformung keratinischer Fasern, im Folgenden auch Stylingmittel genannt, besteht darin, den behandelten Fasern in der neu modellierten Form – d.h. einer den Fasern aufgeprägten Form – einen möglichst starken Halt zu geben. Handelt es sich bei den keratinischen Fasern um menschliche Haare, spricht man auch von starkem Frisurenhalt oder vom hohen Haltegrad des Stylingmittels. Der Frisurenhalt wird im Wesentlichen durch die Art und Menge des eingesetzten festigenden Wirkstoffe bestimmt, wobei jedoch auch ein Einfluss der weiteren Bestandteile des Stylingmittels sowie der Applikationsform gegeben sein kann. The most important property of a temporary deformation agent for keratinous fibers, also referred to below as a styling agent, is that of treating the treated fibers in the newly modeled form - i. a form imprinted on the fibers - to give as strong a hold as possible. If the keratin fibers are human hair, it is also referred to as a strong hairstyle or the high degree of retention of the styling agent. The hairstyle hold is essentially determined by the type and amount of setting active ingredients used, but also an influence of the other components of the styling agent and the application form may be given.
Neben einem hohen Haltegrad müssen Stylingmittel eine ganze Reihe weiterer Anforderungen erfüllen. Diese können grob in Eigenschaften am Haar, Eigenschaften der jeweiligen Formulierung, z.B. Eigenschaften des Schaums oder des versprühten Aerosols, und Eigenschaften, die die Handhabung des Stylingmittels betreffen, unterteilt werden, wobei den Eigenschaften am Haar besondere Wichtigkeit zukommt. Zu nennen sind neben Feuchtebeständigkeit und/oder niedriger Klebrigkeit insbesondere ein ausgewogener Konditioniereffekt. Weiterhin soll ein Stylingmittel möglichst für alle Haartypen universell einsetzbar und mild zu Haar und Haut sein. In addition to a high degree of hold, styling agents must meet a whole range of other requirements. These may be broad in properties on the hair, properties of the particular formulation, e.g. Properties of the foam or sprayed aerosol, and properties that affect the handling of the styling agent, are subdivided, with the properties on the hair is of particular importance. In addition to moisture resistance and / or low tack, in particular a balanced conditioning effect should be mentioned. Furthermore, a styling agent should be universally applicable for all hair types and mild to hair and skin.
Um den unterschiedlichen Anforderungen gerecht zu werden, wurden im Stand der Technik als festigende Wirkstoffe eine Vielzahl von synthetischen Polymeren entwickelt, die in Stylingmitteln zur Anwendung kommen. Die Polymere lassen sich in kationische, anionische, nichtionische und amphotere festigende Polymere unterteilen. Idealerweise ergeben die Polymere bei der Anwendung auf dem Haar einen Polymerfilm, der einerseits der Frisur einen starken Halt verleiht, andererseits aber hinreichend flexibel ist, um bei Beanspruchung nicht zu brechen. Ist der Polymerfilm zu brüchig, kommt es zur Bildung so genannter Filmplaken, das heißt Rückständen, die sich bei der Bewegung des Haares ablösen und den Eindruck vermitteln, der Anwender des entsprechenden Stylingmittels hätte Schuppen. Ähnliche Probleme ergeben sich, wenn Wachse als festigender Wirkstoff im Stylingmittel Einsatz finden. In order to meet the different requirements, in the state of the art, a variety of synthetic polymers have been developed as setting agents, which are used in styling agents. The polymers can be subdivided into cationic, anionic, nonionic and amphoteric setting polymers. Ideally, when applied to hair, the polymers give a polymer film which, on the one hand, gives the hairstyle strong hold but, on the other hand, is sufficiently flexible not to break under stress. If the polymer film is too brittle, it leads to the formation of so-called film plaques, that is, residues that detach during the movement of the hair and give the impression that the user of the corresponding styling agent would have dandruff. Similar problems arise when waxes find use as a firming agent in the styling agent.
Insbesondere die Applikation in Form eines Aerosols erfordert zusätzliche Maßnahmen. Das Aerosolprodukt muss sich auf der keratinhaltigen Faser gut verteilen lassen, d.h. bei Produkten in Form eines Aerosolsprays muss sich die Zusammensetzung zielgerichtet als feiner Sprühnebel gleichmäßig aufbringen lassen. Wird die Zusammensetzung in Form eines Aerosolschaumes angewendet, so muss dieser Schaum voluminös und so hinreichend stabil sein, dass er auf die Faser appliziert werden kann. Gleichzeitig muss dieser Schaum jedoch leicht auf der Faser brechen, um eine ausreichende Benetzung der Fasern mit der Zusammensetzung zu gewährleisten. In particular, the application in the form of an aerosol requires additional measures. The aerosol product must spread well on the keratin fiber, i. for products in the form of an aerosol spray, the composition must be able to be applied uniformly as a fine spray evenly. If the composition is used in the form of an aerosol foam, then this foam must be voluminous and sufficiently stable that it can be applied to the fiber. At the same time, however, this foam must break easily on the fiber to ensure adequate wetting of the fibers with the composition.
Eine besonders wichtige Anforderung, die ein modernes Stylingmittel darüber hinaus aufweisen muss, ist ein ausreichender Pflegeeffekt. Darunter wird insbesondere verstanden, dass die Haare nach der Anwendung der Stylingmittel einen weichen Griff sowie Glanz aufweisen, dass sie sich leicht kämmen lassen, ein hohes Volumen und eine hohe Flexibilität aufweisen. In der Vergangenheit führte die Einarbeitung üblicher Haarkonditionierender Wirkstoffe in Stylingmittel mitunter aber zu einem schlechteren Halt der Haare. A particularly important requirement that a modern styling agent must also have is a sufficient care effect. By this is meant, in particular, that the hair after application of the styling agent have a soft feel and gloss, that they can be easily combed, have a high volume and high flexibility. In the past, the incorporation of conventional hair conditioning agents in styling agents sometimes led to a poorer hold of the hair.
Aufgabe der vorliegenden Erfindung war es daher, ein Mittel zur temporären Verformung keratinhaltiger Fasern zur Verfügung zu stellen, das sich durch einen hohen Haltegrad auszeichnet und sich gut auf die keratinhaltigen Fasern applizieren lässt. Das Mittel soll sich insbesondere als feiner, zielgerichteter Sprühnebel oder als schnell brechender Schaum auf die Faser applizieren lassen. Ferner soll das Mittel auf den Haaren eine optimale Balance zwischen befriedigendem Halt und gepflegtem Haargefühl hinterlassen. The object of the present invention was therefore to provide a means for the temporary deformation of keratin-containing fibers, which is characterized by a high degree of hold and can be applied well to the keratin-containing fibers. The agent should be applied to the fiber in particular as a fine, targeted spray or as a fast-breaking foam. Furthermore, the agent on the hair should leave an optimal balance between satisfying hold and neat hair.
Zur Lösung dieser Aufgabe eignet sich die Kombination eines Treibmittels mit einer kosmetischen Zusammensetzung, die neben einem festigenden Wirkstoff einen speziellen Haarpflegenden Wirkstoff enthält. To solve this problem, the combination of a propellant with a cosmetic composition which contains a particular hair-conditioning agent in addition to a firming agent.
Ein erster Gegenstand der vorliegenden Anmeldung ist eine Aerosolzusammensetzung, enthaltend
- a) mindestens ein Treibmittel und
- b) mindestens eine kosmetische Zubereitung, enthaltend (i) mindestens einen festigenden Wirkstoff und (ii) mindestens eine Silikonverbindung der nachfolgenden Formel (I), in der – R1 bis R5 unabhängig voneinander einen Rest aus der Gruppe Aryl, Alkyl oder Alkylaryl mit 1 bis 30 C-Atomen bedeuten, – R6 einen Rest bedeutet, der mindestens eine quaternäre Ammoniumgruppe trägt, und – x eine Zahl im Bereich von 2 bis 200 bedeutet.
- a) at least one propellant and
- b) at least one cosmetic preparation containing (i) at least one setting agent and (ii) at least one silicone compound of the following formula (I), in which - R 1 to R 5 independently of one another are a radical from the group consisting of aryl, alkyl or alkylaryl having 1 to 30 C atoms, - R 6 is a radical which carries at least one quaternary ammonium group, and - x is a number in the range from 2 to 200 means.
Die erfindungsgemäßen Aerosolzusammensetzungen umfassen a) ein Treibmittel, b) eine kosmetische Zubereitung sowie gegebenenfalls weitere Aktiv- und/oder Hilfsstoffe. The aerosol compositions according to the invention comprise a) a propellant, b) a cosmetic preparation and optionally further active ingredients and / or adjuvants.
Ein erster wesentlicher Bestandteil der erfindungsgemäßen Aerosolzusammensetzungen ist der in der kosmetischen Zubereitung enthaltene festigende Wirkstoff. Ein festigender Wirkstoff im Sinne der Erfindung trägt im Rahmen der temporären Umformung keratinhaltiger Fasern zum Halt der aufgeprägten Form der Fasern (bei Haaren insbesondere der Halt einer Frisur oder des Haarvolumens) bei. Als eine Testmethode für die festigende Wirkung eines Wirkstoffs wird häufig der so genannte curl-retention – Test angewendet. A first essential component of the aerosol compositions according to the invention is the firming agent contained in the cosmetic preparation. In the context of the temporary shaping of keratin-containing fibers, a firming active substance within the meaning of the invention contributes to the maintenance of the impressed shape of the fibers (in the case of hair, in particular, the hold of a hairstyle or of the hair volume). As a test method for the firming effect of a drug, the so-called curl retention test is often used.
Bevorzugte erfindungsgemäße Aerosolzusammensetzungen sind dadurch gekennzeichnet, dass der Gewichtsanteil des festigenden Wirkstoffs (i) am Gesamtgewicht der Aerosolzusammensetzung 0,5 bis 12 Gew.-%, vorzugsweise 1,0 bis 10 Gew.-% und insbesondere 2,0 bis 8,0 Gew.-% beträgt. Preferred aerosol compositions according to the invention are characterized in that the weight fraction of the setting active substance (i) in the total weight of the aerosol composition is from 0.5 to 12% by weight, preferably from 1.0 to 10% by weight and in particular from 2.0 to 8.0% by weight .-% is.
Als festigende Wirkstoffe eignen sich beispielsweise festigende Polymere oder Wachse. Im Rahmen einer Ausführungsform der Erfindung ist es bevorzugt, dass der festigende Wirkstoff ausgewählt wird aus mindestens einem festigenden Polymer aus der Gruppe, die gebildet wird aus festigenden nichtionischen Polymeren, festigenden anionischen Polymeren, festigenden amphoteren Polymeren und festigenden kationischen Polymeren. Firming polymers or waxes, for example, are suitable as setting agents. In one embodiment of the invention, it is preferred that the setting agent be selected from at least one setting polymer selected from the group consisting of setting nonionic polymers, setting anionic polymers, setting amphoteric polymers and setting cationic polymers.
Bevorzugte erfindungsgemäße Aerosolzusammensetzungen enthalten mindestens ein festigendes kationisches Polymer. Die festigenden kationischen Polymere weisen mindestens eine Struktureinheit auf, die mindestens ein permanent kationisiertes Stickstoffatom enthält. Unter permanent kationisierten Stickstoffatomen sind solche Stickstoffatome zu verstehen, die eine positive Ladung tragen und dadurch eine quartäre Ammoniumverbindung bilden. Quartäre Ammoniumverbindungen werden meist durch Umsetzung tertiärer Amine mit Alkylierungsmitteln, wie z.B. Methylchlorid, Benzylchlorid, Dimethylsulfat, Dodecylbromid, aber auch Ethylenoxid hergestellt. In Abhängigkeit von dem eingesetzten tertiären Amin sind insbesondere folgende Gruppen bekannt: Alkylammonium-Verbindungen, Alkenylammonium-Verbindungen, Imidazolinium-Verbindungen und Pyridinium-Verbindungen. Preferred aerosol compositions according to the invention comprise at least one setting cationic polymer. The setting cationic polymers have at least one structural unit containing at least one permanently cationized nitrogen atom. Permanently cationized nitrogen atoms are to be understood as meaning those nitrogen atoms which carry a positive charge and thereby form a quaternary ammonium compound. Quaternary ammonium compounds are most commonly prepared by reacting tertiary amines with alkylating agents, e.g. Methyl chloride, benzyl chloride, dimethyl sulfate, dodecyl bromide, but also produced ethylene oxide. Depending on the tertiary amine used, the following groups are known in particular: alkylammonium compounds, alkenylammonium compounds, imidazolinium compounds and pyridinium compounds.
Bevorzugte Aerosolzusammensetzungen enthalten das festigende kationische Polymer in einer Menge von 0,05 Gew.-% bis 10 Gew.-%, besonders bevorzugt von 0,075 Gew.-% bis 8,0 Gew.-%, ganz besonders bevorzugt von 0,1 Gew.-% bis 5,0 Gew.-%, jeweils bezogen auf das Gewicht der besagten Zubereitung. Preferred aerosol compositions contain the setting cationic polymer in an amount of from 0.05% to 10% by weight, more preferably from 0.075% to 8.0% by weight, most preferably from 0.1% by weight .-% to 5.0 wt .-%, each based on the weight of said preparation.
Die kationischen festigenden Polymere können erfindungsgemäß aus kationischen, quaternisierten Cellulose-Derivaten ausgewählt werden. Als vorteilhaft haben sich kationische, quaternisierte Cellulosen erwiesen, die in einer Seitenkette mehr als eine permanente kationische Ladung tragen. Besonders bevorzugt sind dabei kationische Cellulosederivate, die aus Reaktion von Hydroxyethylcellulose mit einem Dimethyldiallylammonium-Reaktanden (insbesondere Dimethyldiallylammoniumchlorid) gegebenenfalls in Gegenwart weiterer Reaktanden hergestellt werden. Unter diesen kationischen Cellulosen sind wiederum solche kationischen Cellulosen mit der INCI-Bezeichnung Polyquaternium-4 besonders geeignet, welche beispielsweise unter den Bezeichnungen Celquat® H 100 und Celquat® L 200 von der Firma National Starch vertrieben werden. Bevorzugte Aerosolzusammensetzungen sind dadurch gekennzeichnet, dass die Zubereitung a) als festigenden Wirkstoff mindestens ein kationisches Cellulosederivat enthält. The cationic fixing polymers can be selected according to the invention from cationic, quaternized cellulose derivatives. Cationic, quaternized celluloses have proven to be advantageous which carry more than one permanent cationic charge in a side chain. Particularly preferred are cationic cellulose derivatives which are prepared from the reaction of hydroxyethyl cellulose with a dimethyldiallylammonium reactant (in particular dimethyldiallylammonium chloride), if appropriate in the presence of further reactants. Among these cationic celluloses such cationic celluloses with the INCI name Polyquaternium-4 in turn, are particularly suitable, which are sold for example under the names of Celquat ® H 100 and Celquat ® L 200 by the company National Starch. Preferred aerosol compositions are characterized in that the preparation contains a) as the setting active ingredient at least one cationic cellulose derivative.
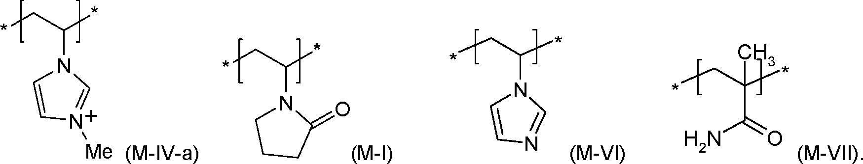
Weiterhin eignen sich solche kationischen festigenden Polymere, die mindestens eine Struktureinheit der Formel (M-I) und mindestens eine Struktureinheit der Formel (M-II) und gegebenenfalls mindestens eine Struktureinheit der Formel (M-III) umfassen worin
R1 und R4 unabhängig voneinander für ein Wasserstoffatom oder eine Methylgruppe stehen,
A1 und A2 unabhängig voneinander für eine Gruppe Ethan-1,2-diyl, Propan-1,3-diyl oder Butan-1,4-diyl stehen,
R2, R3, R5 und R6 unabhängig voneinander für eine (C1 bis C4)-Alkylgruppe stehen,
R7 für eine (C8 bis C30)-Alkylgruppe steht. Also suitable are those cationic fixing polymers which comprise at least one structural unit of the formula (MI) and at least one structural unit of the formula (M-II) and optionally at least one structural unit of the formula (M-III) wherein
R 1 and R 4 independently of one another represent a hydrogen atom or a methyl group,
A 1 and A 2 independently of one another represent a group ethane-1,2-diyl, propane-1,3-diyl or butane-1,4-diyl,
R 2 , R 3 , R 5 and R 6 independently of one another represent a (C 1 to C 4 ) -alkyl group,
R 7 is a (C 8 to C 30 ) alkyl group.
Zur Kompensation der positiven Ladung dieses wie aller weiteren kationischen Polymere können alle physiologisch verträglichen Anionen, wie beispielsweise Chlorid, Bromid, Hydrogensulfat, Methylsulfat, Ethylsulfat, Tetrafluoroborat, Phosphat, Hydrogenphosphat, Dihydrogenphosphat, p-Toluolsulfonat oder Triflat eingesetzt werden. To compensate for the positive charge of this and all other cationic polymers, all physiologically acceptable anions, such as chloride, bromide, hydrogen sulfate, methyl sulfate, ethyl sulfate, tetrafluoroborate, phosphate, hydrogen phosphate, dihydrogen phosphate, p-toluenesulfonate or triflate can be used.
Geeignete kationische Polymere sind beispielsweise als
- – Copolymere aus mit Diethylsulfat quaterniertem Dimethylaminoethylmethacrylat, mit N-Vinylpyrrolidon mit der INCI-Bezeichnung Polyquaternium-11 unter den Bezeichnungen Gafquat®440, Gafquat®734, Gafquat®755 (jeweils Firma ISP) sowie Luviquat PQ 11 PN (Firma BASF SE),
- – Copolymere aus Methacryloylaminopropyllauryldimethylammoniumchlorid mit N-Vinylpyrrolidon und Dimethylaminopropylmethacrylamid mit der INCI-Bezeichnung Polyquaternium-55 unter den Handelsnamen Styleze® W-10, Styleze® W-20 (Firma ISP),
- – Copolymere aus Methacryloylaminopropyllauryldimethylammoniumchlorid mit N-Vinylpyrrolidon, N-Vinylcaprolactam und Dimethylaminopropylmethacrylamid mit der INCI-Bezeichnung Polyquaternium-69 unter den Handelsnamen Aquastyle®300 (Firma ISP),
- - copolymers of with diethyl sulfate quaternized dimethylaminoethyl methacrylate, N-vinylpyrrolidone having the INCI name Polyquaternium-11 under the names Gafquat ® 440, Gafquat ® 734, Gafquat ® 755 (each ISP), and Luviquat PQ 11 PN (BASF SE),
- - copolymers of Methacryloylaminopropyllauryldimethylammoniumchlorid with N-vinylpyrrolidone and dimethylaminopropyl with the INCI name Polyquaternium-55 available under the trade name Styleze W-10 ®, ® Styleze W-20 (ISP)
- - copolymers of Methacryloylaminopropyllauryldimethylammoniumchlorid with N-vinylpyrrolidone, N-vinyl caprolactam and dimethylaminopropyl with the INCI name Polyquaternium-69 available under the trade name Aqua Style ® 300 (from ISP),
Weitere bevorzugte kationische festigende Copolymere enthalten mindestens ein Strukturelement der Formel (M-IV) worin
R’’ für eine (C1 bis C4)-Alkylgruppe, insbesondere eine Methylgruppe, steht, und zusätzlich mindestens ein weiteres kationisches und/oder nichtionisches Strukturelement. Further preferred cationic fixing copolymers contain at least one structural element of the formula (M-IV) wherein
R '' is a (C 1 to C 4 ) -alkyl group, in particular a methyl group, and additionally at least one further cationic and / or nonionic structural element.
Es ist wiederum im Rahmen dieser Ausführungsform erfindungsgemäß bevorzugt, wenn in der erfindungsgemäßen Zubereitung als kationisches festigendes Polymer mindestens ein kationisches Copolymer enthalten ist, das neben mindestens einem Strukturelement der Formel (M-IV) zusätzlich ein Strukturelement der Formel (M-I) umfasst worin
R'' für eine (C1 bis C4)-Alkylgruppe, insbesondere eine Methylgruppe, steht. Ganz besonders bevorzugte kationische festigende Polymere enthalten 10 bis 30 Mol-%, vorzugsweise 15 bis 25 Mol.-% und insbesondere 20 Mol.-% Struktureinheiten gemäß Formel (M-IV) und 70 bis 90 Mol.-%, vorzugsweise 75 bis 85 Mol.-% und insbesondere 80 Mol.-% Struktureinheiten der Formel (M-I). In the context of this embodiment, it is again preferred according to the invention if the cationic consolidating polymer according to the invention contains at least one cationic copolymer which, in addition to at least one structural element of the formula (M-IV), additionally comprises a structural element of the formula (III) wherein
R '' is a (C 1 to C 4 ) -alkyl group, in particular a methyl group. Very particularly preferred cationic setting polymers contain 10 to 30 mol%, preferably 15 to 25 mol% and in particular 20 mol% of structural units of the formula (M-IV) and 70 to 90 mol%, preferably 75 to 85 Mol .-% and in particular 80 mol .-% of structural units of the formula (MI).
Hierbei ist es besonders bevorzugt, wenn die kationischen Polymere neben Polymereinheiten, die aus dem Einbau der genannten Struktureinheiten der Formeln (M-IV) und (M-I) in das Copolymer resultieren, maximal 5 Gew.-%, vorzugsweise maximal 1 Gew.-%, Polymereinheiten enthalten, die auf den Einbau anderer Monomere zurückgehen. Vorzugsweise sind die Copolymere (c1) ausschließlich aus Struktureinheiten der Formel (M-IV) mit R’’ = Methyl und (M-I) aufgebaut und lassen sich durch die allgemeine Formel (Poly1) beschreiben, wobei die Indices m und p je nach Molmasse des Polymers variieren und nicht bedeuten sollen, dass es sich um Blockcopolymere handelt. Vielmehr können Struktureinheiten der Formel (M-IV) und der Formel (M-I) im Molekül statistisch verteilt vorliegen. It is particularly preferred if the cationic polymers in addition to polymer units resulting from the incorporation of said structural units of the formulas (M-IV) and (MI) in the copolymer, a maximum of 5 wt .-%, preferably at most 1 wt .-% , Contain polymer units due to the incorporation of other monomers. Preferably, the copolymers (c1) are composed exclusively of structural units of the formula (M-IV) with R '' = methyl and (MI) and can be represented by the general formula (Poly1) describe, wherein the indices m and p vary depending on the molecular weight of the polymer and should not mean that they are block copolymers. Rather, structural units of the formula (M-IV) and of the formula (MI) can be present in the molecule in a statistically distributed manner.
Wird zur Kompensation der positiven Ladung des Polymers der Formel (Poly1) ein Chloridion verwendet, so werden diese N-Methylvinylimidazol/Vinylpyrrolidon-Copolymere werden laut INCI-Nomenklatur als Polyquaternium-16 bezeichnet und sind beispielsweise von der BASF unter den Handelsnamen Luviquat® Style, Luviquat® FC 370, Luviquat® FC 550, Luviquat® FC 905 und Luviquat® HM 552 erhältlich. Is to compensate the positive charge of the polymer of formula (Poly1) used a chloride ion, so this N-methylvinylimidazole are / vinylpyrrolidone copolymers are referred to as Polyquaternium-16, according to INCI nomenclature and are, for example, from BASF under the trade names Luviquat ® Style, Luviquat.RTM ® FC 370, Luviquat.RTM ® FC 550, FC 905 and Luviquat.RTM ® Luviquat.RTM ® HM 552 available.
Wird zur Kompensation der positiven Ladung des Polymers der Formel (Poly1) ein Methosulfat verwendet, so werden diese N-Methylvinylimidazol/Vinylpyrrolidon-Copolymere werden laut INCI-Nomenklatur als Polyquaternium-44 bezeichnet und sind beispielsweise von der Firma BASF unter den Handelsnamen Luviquat® UltraCare erhältlich. Is to compensate the positive charge of the polymer of formula (Poly1) using a methosulfate, these N-methylvinylimidazole are / vinylpyrrolidone copolymers are, according to INCI nomenclature as Polyquaternium-44 and are, for example, by the company BASF under the trade names Luviquat ® Ultra Care available.
Zusätzlich zu dem bzw. den Copolymer(en) (c1) oder an dessen bzw. deren Stelle können die erfindungsgemäßen Mittel auch Copolymere (c2) enthalten, die ausgehend vom Copolymer (c1) als zusätzliche Struktureinheiten Struktureinheiten der Formel (M-V) aufweisen In addition to the copolymer (s) (c1) or at its site, the agents according to the invention may also contain copolymers (c2) which, starting from the copolymer (c1), have structural units of the formula (MV) as additional structural units
Weitere besonders bevorzugte erfindungsgemäße Zubereitungen dieser Ausführungsform sind somit dadurch gekennzeichnet, dass sie als kationisches festigendes Polymer mindestens ein Copolymer (c2) enthalten, das mindestens eine Struktureinheit der Formel (M-IV-a) und mindestens Struktureinheit der Formel (M-I) und mindestens Struktureinheit der Formel (M-V) enthält Further particularly preferred preparations according to the invention of this embodiment are therefore characterized in that they contain as cationic setting polymer at least one copolymer (c2), the at least one structural unit of the formula (M-IV-a) and at least structural unit of the formula (MI) and at least structural unit of the formula (MV)
Auch hierbei ist es im Rahmen dieser Ausführungsform besonders bevorzugt, wenn die Copolymere (c2) neben Polymereinheiten, die aus dem Einbau der genannten Struktureinheiten der Formeln (M-IV-a), (M-I) und (M-V) in das Copolymer resultieren, maximal 5 Gew.-%, vorzugsweise maximal 1 Gew.-%, Polymereinheiten enthalten, die auf den Einbau anderer Monomere zurückgehen. Vorzugsweise sind die Copolymere (c2) ausschließlich aus Struktureinheiten der Formeln (M-IV-a), (M-I) und (M-V) aufgebaut und lassen sich durch die allgemeine Formel (Poly2) beschreiben, wobei die Indices m, n und p je nach Molmasse des Polymers variieren und nicht bedeuten sollen, dass es sich um Blockcopolymere handelt. Vielmehr können Struktureinheiten der besagten Formeln im Molekül statistisch verteilt vorliegen. Here, too, it is particularly preferred in the context of this embodiment if the copolymers (c2) in addition to polymer units resulting from the incorporation of said structural units of the formulas (M-IV-a), (MI) and (MV) in the copolymer, maximum 5 wt .-%, preferably at most 1 wt .-%, polymer units, which go back to the incorporation of other monomers. Preferably, the copolymers (c2) are composed exclusively of structural units of the formulas (M-IV-a), (MI) and (MV) and can be represented by the general formula (Poly 2) describe, wherein the indices m, n and p vary depending on the molecular weight of the polymer and should not mean that they are block copolymers. Rather, structural units of said formulas can be present in the molecule in a statistically distributed manner.
Wird zur Kompensation der positiven Ladung des Polymer der Formel (Poly2) ein Methosulfat verwendet, werden solche N-Methylvinylimidazol/Vinylpyrrolidon/Vinylcaprolactam-Copolymere laut INCI-Nomenklatur als Polyquarternium-46 bezeichnet und sind beispielsweise von der Firma BASF unter dem Handelsnamen Luviquat® Hold erhältlich. If a methosulfate is used to compensate for the positive charge of the polymer of the formula (Poly 2), such N-methylvinylimidazole / vinylpyrrolidone / vinylcaprolactam copolymers are referred to according to INCI nomenclature as Polyquarternium-46 and are for example from BASF under the trade name Luviquat ® Hold available.
Ganz besonders bevorzugte Copolymere (c2) enthalten 1 bis 20 Mol-%, vorzugsweise 5 bis 15 Mol.-% und insbesondere 10 Mol.-% Struktureinheiten der Formel (M-IV-a) und 30 bis 50 Mol.-%, vorzugsweise 35 bis 45 Mol.-% und insbesondere 40 Mol.-% Struktureinheiten der Formel (M-I) und 40 bis 60 Mol.-%, vorzugsweise 45 bis 55 Mol.-% und insbesondere 60 Mol.-% Struktureinheiten der Formel (M-V). Very particularly preferred copolymers (c2) contain 1 to 20 mol%, preferably 5 to 15 mol% and in particular 10 mol% of structural units of the formula (M-IV-a) and 30 to 50 mol%, preferably 35 to 45 mol% and in particular 40 mol% of structural units of the formula (MI) and 40 to 60 mol%, preferably 45 to 55 mol% and in particular 60 mol% of structural units of the formula (MV) ,
Zusätzlich zu dem bzw. den Copolymer(en) (c1) und/oder (c2) oder an dessen bzw. deren Stelle können die erfindungsgemäßen Mittel als filmbildendes kationische und/oder festigendes kationisches Polymer auch Copolymere (c3) enthalten, die als Struktureinheiten Struktureinheiten der Formeln (M-IV-a) und (M-I) aufweisen, sowie weitere Struktureinheiten aus der Gruppe der Vinylimidazol-Einheiten und weitere Struktureinheiten aus der Gruppe der Acrylamid- und/oder Methacrylamid-Einheiten. In addition to the copolymer (s) (c1) and / or (c2) or at its point, the agents according to the invention may also contain copolymers (c3) as structural units forming cationic and / or setting cationic polymers which contain structural units as structural units of the formulas (M-IV-a) and (MI), as well as further structural units from the group of the vinylimidazole units and further structural units from the group of the acrylamide and / or methacrylamide units.
Weitere besonders bevorzugte erfindungsgemäße Zubereitungen dieser Ausführungsform sind dadurch gekennzeichnet, dass sie als kationisches festigendes Polymer mindestens ein Copolymer (c3) enthalten, das mindestens eine Struktureinheit der Formel (M-IV-a), mindestens eine weitere Struktureinheit der Formel (M-I), mindestens eine weitere Struktureinheit der Formel (M-VI) und mindestens eine weitere Struktureinheit gemäß Formel (M-VII) enthält Further particularly preferred formulations according to the invention of this embodiment are characterized in that they contain as cationic setting polymer at least one copolymer (c3), the at least one structural unit of the formula (M-IV-a), at least one further structural unit of the formula (MI), at least a further structural unit of the formula (M-VI) and at least one further structural unit of the formula (M-VII)
Auch hierbei ist es im Rahmen dieser Ausführungsform besonders bevorzugt, wenn die Copolymere (c3) neben Polymereinheiten, die aus dem Einbau der genannten Struktureinheiten der Formeln (M-IV-a), (M-I), (M-VI) und (M-VII) in das Copolymer resultieren, maximal 5 Gew.-%, vorzugsweise maximal 1 Gew.-%, Polymereinheiten enthalten, die auf den Einbau anderer Monomere zurückgehen. Vorzugsweise sind die Copolymere (c3) ausschließlich aus Struktureinheiten der Formeln (M-IV-a), (M-I), (M-VI) und (M-VII) aufgebaut und lassen sich durch die allgemeine Formel (Poly3) Here, too, it is particularly preferred in the context of this embodiment if the copolymers (c3) in addition to polymer units resulting from the incorporation of said structural units of the formulas (M-IV-a), (MI), (M-VI) and (M-) VII) result in the copolymer, at most 5 wt .-%, preferably at most 1 wt .-%, contain polymer units, which go back to the incorporation of other monomers. Preferably, the copolymers (c3) are composed exclusively of structural units of the formulas (M-IV-a), (MI), (M-VI) and (M-VII) and can be represented by the general formula (Poly 3)
beschreiben, wobei die Indices m, n, o und p je nach Molmasse des Polymers variieren und nicht bedeuten sollen, dass es sich um Blockcopolymere handelt. Vielmehr können Struktureinheiten der Formeln (M-IV-a), (M-I), (M-VI) und (M-VII) im Molekül statistisch verteilt vorliegen. describe, wherein the indices m, n, o and p vary depending on the molecular weight of the polymer and should not mean that they are block copolymers. Rather, structural units of the formulas (M-IV-a), (M-I), (M-VI) and (M-VII) can be present in the molecule in a statistically distributed manner.
Wird zur Kompensation der positiven Ladung des Polymer der Formel (Poly3) ein Methosulfat verwendet werden solche N-Methylvinylimidazol/Vinylpyrrolidon/Vinylimidazol/Methacrylamid-Copolymere laut INCI-Nomenklatur als Polyquaternium-68 bezeichnet und sind beispielsweise von der Firma BASF unter dem Handelsnamen Luviquat® Supreme erhältlich. Is to compensate the positive charge of the polymer of formula (poly 3) a methosulfate be used refer to those N-methylvinylimidazole / vinylpyrrolidone / vinylimidazole / methacrylamide copolymers, according to INCI nomenclature as Polyquaternium-68 and are, for example, by the company BASF under the tradename Luviquat ® Supreme available.
Ganz besonders bevorzugte Copolymere (c3) enthalten 1 bis 12 Mol-%, vorzugsweise 3 bis 9 Mol.-% und insbesondere 6 Mol.-% Struktureinheiten der Formel (M-IV-a) und 45 bis 65 Mol.-%, vorzugsweise 50 bis 60 Mol.-% und insbesondere 55 Mol.-% Struktureinheiten der Formel (M-I) und 1 bis 20 Mol.-%, vorzugsweise 5 bis 15 Mol.-% und insbesondere 10 Mol.-% Struktureinheiten der Formel (M-VI) und 20 bis 40 Mol.-%, vorzugsweise 25 bis 35 Mol.-% und insbesondere 29 Mol.-% Struktureinheiten der Formel (M-VII). Very particularly preferred copolymers (c3) contain 1 to 12 mol%, preferably 3 to 9 mol% and in particular 6 mol% of structural units of the formula (M-IV-a) and 45 to 65 mol%, preferably 50 to 60 mol% and in particular 55 mol% of structural units of the formula (MI) and 1 to 20 mol%, preferably 5 to 15 mol% and in particular 10 mol% of structural units of the formula (M) VI) and 20 to 40 mol .-%, preferably 25 to 35 mol .-% and in particular 29 mol .-% of structural units of the formula (M-VII).
Unter den zusätzlichen festigenden Polymer ausgewählt aus den kationischen Polymeren mit mindesten einem Strukturelement der obigen Formel (M-IV), gelten als bevorzugt:
- – N-Vinylpyrrolidon/1-Vinyl-3-methyl-1H-imidazoliumchlorid-Copolymere (wie beispielsweise Polymere mit der INCI-Bezeichnung Polyquaternium-16 unter den Handelsbezeichnungen Luviquat® Style, Luviquat® FC 370, Luviquat® FC 550, Luviquat® FC 905 und Luviquat® HM 552 (BASF SE)),
- – N-Vinylpyrrolidon/1-Vinyl-3-methyl-1H-imidazoliummethylsulfat-Copolymere (wie beispielsweise Polymere mit der INCI-Bezeichnung Polyquaternium-44 unter der Handelsbezeichnung Luviquat® Care (BASF SE)),
- – N-Vinylpyrrolidon/N-Vinylcaprolactam/1-Vinyl-3-methyl-1H-imidazolium-Terpolymer (wie beispielsweise Polymere mit der INCI-Bezeichnung Polyquaternium-46 unter den Handelsbezeichnungen Luviquat® Care oder Luviquat® Hold (BASF SE)),
- – N-Vinylpyrrolidon/Methacrylamid/N-Vinylimidazol/1-Vinyl-3-methyl-1H-imidazoliummethylsulfat-Copolymer (wie beispielsweise das mit der INCI-Bezeichnung Polyquaternium-68 unter der Handelsbezeichnung Luviquat® Supreme (BASF SE)),
- - N-vinylpyrrolidone / 1-vinyl-3-methyl-1H-imidazolium chloride copolymers (such as polymers having the INCI name Polyquaternium-16 under the trade names Luviquat ® Style, Luviquat ® FC 370, Luviquat ® FC 550, Luviquat ® FC 905 and Luviquat HM 552 ® (BASF SE)),
- - N-vinylpyrrolidone / 1-vinyl-3-methyl-1H-imidazolium copolymers (for example polymers having the INCI name Polyquaternium-44 (under the trade name Luviquat Care ® BASF SE)),
- - N-vinylpyrrolidone / N-vinylcaprolactam / 1-vinyl-3-methyl-1H-imidazolium terpolymer (such as polymers having the INCI name Polyquaternium-46 under the trade names Luviquat ® Care or Luviquat ® Hold (BASF SE)),
- - N-vinylpyrrolidone / methacrylamide / N-vinyl imidazole / 1-vinyl-3-methyl-1H-imidazolium copolymer (for example that with the INCI name Polyquaternium-68 ® under the trade name Luviquat Supreme (BASF SE)),
Bevorzugte erfindungsgemäße Zusammensetzungen enthalten mindestens ein festigendes nichtionisches Polymer. Dieses festigende nichtionische Polymer kann in den Zusammensetzungen als alleiniges Polymer enthalten sein. Mit besonderem Vorzug wird das mindestens eine festigende nichtionische Polymer jedoch in Kombination mit mindestens einem festigenden kationischen Polymer eingesetzt. Im Rahmen einer besonders bevorzugten Ausführungsform enthalten die Zubereitungen b) mindestens ein festigendes nichtionisches Polymer und mindestens ein festigendes kationisches Polymer. Preferred compositions according to the invention comprise at least one consolidating nonionic polymer. This strengthening nonionic polymer may be included in the compositions as the sole polymer. However, with particular preference, the at least one strengthening nonionic polymer is used in combination with at least one setting cationic polymer. In a particularly preferred embodiment, the preparations b) contain at least one consolidating nonionic polymer and at least one consolidating cationic polymer.
Unter einem nichtionischen Polymer wird erfindungsgemäß ein Polymer verstanden, das in einem protischen Lösemittel bei Standardbedingungen im Wesentlichen keine Struktureinheiten mit permanent kationischen oder anionischen Gruppen trägt, welche durch Gegenionen unter Erhaltung der Elektroneutralität kompensiert werden müssen. Unter kationische Gruppen fallen beispielsweise quaternisierte Ammoniumgruppen jedoch keine protonierten Amine. Unter anionische Gruppen fallen beispielsweise Carboxyl- und Sulfonsäuregruppen. According to the invention, a nonionic polymer is understood as meaning a polymer which carries in a protic solvent under standard conditions substantially no structural units with permanently cationic or anionic groups which have to be compensated by counterions while maintaining the electroneutrality. Quaternized ammonium groups, however, do not include protonated amines under cationic groups. Examples of anionic groups include carboxyl and sulfonic acid groups.
Die festigenden nichtionischen Polymere sind in der erfindungsgemäßen Zubereitung dieser Ausführungsform bevorzugt in einer Menge von 0,1 Gew.-% bis 12,0 Gew.-%, besonders bevorzugt von 0,2 Gew.-% bis 10,0 Gew.-%, ganz besonders bevorzugt von 0,5 Gew.-% bis 8,0 Gew.-%, jeweils bezogen auf das Gewicht der besagten Zubereitung, enthalten. The setting nonionic polymers are preferably present in the inventive preparation of this embodiment in an amount of from 0.1% by weight to 12.0% by weight, particularly preferably from 0.2% by weight to 10.0% by weight. , very particularly preferably from 0.5 wt .-% to 8.0 wt .-%, each based on the weight of said preparation.
Es sind erfindungsgemäß solche festigende nichtionische Polymere mit mindestens einem Strukturelement der Formel (M-VIII) bevorzugt geeignet, welche gemäß der Formel (M-VIII) als R' ein Wasserstoffatom, eine Acetylgruppe oder eine Propanoylgruppe, insbesondere eine Acetylgruppe, tragen. According to the invention, such reinforcing nonionic polymers having at least one structural element of the formula (M-VIII) preferably suitable which according to the formula (M-VIII) as R 'is a hydrogen atom, an acetyl group or a propanoyl group, in particular an acetyl group bear.
Die festigenden nichtionischen Polymere werden wiederum bevorzugt ausgewählt aus mindestens einem Polymer der Gruppe, die gebildet wird aus
- – Homopolymeren und nichtionischen Copolymeren des N-Vinylpyrrolidons,
- – nichtionischen Copolymeren des Isobutens.
- Homopolymers and nonionic copolymers of N-vinylpyrrolidone,
- - nonionic copolymers of isobutene.
Geeignete Polyvinylpyrrolidone sind beispielsweise Handelsprodukte wie Luviskol® K 90 oder Luviskol® K 85 der Firma BASF SE. Suitable polyvinylpyrrolidones are, for example, commercial products such as Luviskol ® K 90 or Luviskol ® K 85 from BASF SE.
Geeignete Polyvinylalkohole werden beispielsweise unter den Handelsbezeichnungen Elvanol® von Du Pont oder Vinol®523/540 von der Firma Air Products vertrieben. Suitable polyvinyl alcohols are marketed under the trade names Elvanol.RTM ® from DuPont or Vinol ® 523/540 by Air Products.
Geeignetes Polyvinylacetat wird beispielsweise unter dem Handelsnamen Vinac® als Emulsion von der Firma Air Products vertrieben. Suitable polyvinyl acetate is marketed under the trade name Vinac ® as an emulsion from Air Products.
Mittel, die als festigendes nichtionisches Polymer mindestens ein Polymer ausgewählt aus der Gruppe, die gebildet wird aus
- – Polyvinylpyrrolidon,
- – Copolymeren aus N-Vinylpyrrolidon und Vinylestern von Carbonsäuren mit 2 bis 18 Kohlenstoffatomen, insbesondere aus N-Vinylpyrrolidon und Vinylacetat,
- – Copolymere aus N-Vinylpyrrolidon und N-Vinylimidazol und Methacrylamid,
- – Copolymere aus N-Vinylpyrrolidon und N-Vinylimidazol und Acrylamid,
- – Copolymere aus N-Vinylpyrrolidon mit N,N-Di(C1 bis C4)-Alkylamino-(C2 bis C4)-alkylacrylamid,
- – Copolymere aus N-Vinylpyrrolidon mit N,N-Di(C1 bis C4)-Alkylamino-(C2 bis C4)-alkylacrylamid, sind erfindungsgemäß ganz besonders bevorzugt.
- - polyvinylpyrrolidone,
- Copolymers of N-vinylpyrrolidone and vinyl esters of carboxylic acids having 2 to 18 carbon atoms, in particular N-vinylpyrrolidone and vinyl acetate,
- Copolymers of N-vinylpyrrolidone and N-vinylimidazole and methacrylamide,
- Copolymers of N-vinylpyrrolidone and N-vinylimidazole and acrylamide,
- Copolymers of N-vinylpyrrolidone with N, N-di (C 1 to C 4 ) -alkylamino (C 2 to C 4 ) -alkylacrylamide,
- Copolymers of N-vinylpyrrolidone with N, N-di (C 1 to C 4 ) -alkylamino (C 2 to C 4 ) -alkylacrylamide are very particularly preferred according to the invention.
Weitere mögliche erfindungsgemäße Zubereitungen der Ausführungsform mit zusätzlichem nichtionischen festigendem Polymer sind dadurch gekennzeichnet, dass sie als nichtionisches festigendes Polymer mindestens ein Copolymer enthalten, das mindestens eine weitere Struktureinheit der Formel (M-I), mindestens eine weitere Struktureinheit der Formel (M-VI) und mindestens eine weitere Struktureinheit der Formel (M-VII) enthält Further possible preparations according to the invention with additional nonionic setting polymer are characterized in that they contain as nonionic setting polymer at least one copolymer which at least one further structural unit of the formula (MI), at least one further structural unit of the formula (M-VI) and at least one further structural unit of the formula (M-VII)
Auch hierbei ist es besonders bevorzugt, wenn diese Copolymere neben Polymereinheiten, die aus dem Einbau der genannten Struktureinheiten gemäß der Formeln (M-IV-a), (M-I), (M-VI) und (M-VII) in das Copolymer resultieren, maximal 5 Gew.-%, vorzugsweise maximal 1 Gew.-%, Polymereinheiten enthalten, die auf den Einbau anderer Monomere zurückgehen. Vorzugsweise sind die Copolymere (c4) ausschließlich aus Struktureinheiten der Formeln (M-IV-a), (M-I), (M-VI) und (M-VII) aufgebaut und lassen sich durch die allgemeine Formel (Poly4) beschreiben, wobei die Indices m, n, o und p je nach Molmasse des Polymers variieren und nicht bedeuten sollen, dass es sich um Blockcopolymere handelt. Vielmehr können Struktureinheiten der Formeln (M-I), (M-VI) und (M-VII) im Molekül statistisch verteilt vorliegen. Again, it is particularly preferred that these copolymers in addition to polymer units resulting from the incorporation of said structural units of the formulas (M-IV-a), (MI), (M-VI) and (M-VII) in the copolymer , at most 5 wt .-%, preferably at most 1 wt .-%, contain polymer units, which are due to the incorporation of other monomers. Preferably, the copolymers (c4) are composed exclusively of structural units of the formulas (M-IV-a), (MI), (M-VI) and (M-VII) and can be represented by the general formula (poly4) describe, wherein the indices m, n, o and p vary depending on the molecular weight of the polymer and should not mean that they are block copolymers. Rather, structural units of the formulas (MI), (M-VI) and (M-VII) can be present in the molecule in a statistically distributed manner.
Ein besonders bevorzugtes Polymer wird dabei ausgewählt aus den Polymeren mit der INCI-Bezeichnung VP/Methacrylamide/Vinyl Imidazole Copolymer, die beispielsweise unter dem Handelsnamen Luviset Clear von der Fa. BASF SE erhältlich sind. A particularly preferred polymer is selected from the polymers having the INCI name VP / methacrylamide / vinyl imidazole copolymer, which are obtainable, for example, under the trade name Luviset Clear from BASF SE.
Wie den vorherigen Ausführungen zu den kationischen und den nichtionischen festigenden Polymeren zu entnehmen ist, sind erfindungsgemäß solche Aerosolzusammensetzungen besonders bevorzugt, bei denen die Zubereitung b) als festigenden Wirkstoff (i) mindestens ein Vinylpyrrolidon Copolymer enthält. As can be deduced from the previous statements on the cationic and nonionic setting polymers, those aerosol compositions according to the invention are particularly preferred in which the preparation b) contains at least one vinylpyrrolidone copolymer as the setting active ingredient (i).
Bevorzugt sind weiterhin Aerosolzusammensetzungen, in denen die Zubereitung b) als festigenden Wirkstoff (i) mindestens ein nichtionisches festigendes Polymer und mindestens ein kationisches festigendes Polymer enthält. Preference is furthermore given to aerosol compositions in which the preparation b) contains as consolidating active ingredient (i) at least one nonionic setting polymer and at least one cationic setting polymer.
Ganz besonders bevorzugte Aerosolzusammensetzungen sind dadurch gekennzeichnet, dass die Zubereitung b) als festigenden Wirkstoff (i) mindestens ein nichtionisches festigendes Polymer aus der Gruppe der Vinylpyrrolidon Copolymere und mindestens ein kationisches festigendes Polymer aus der Gruppe der Vinylpyrrolidon Copolymere enthält. Very particularly preferred aerosol compositions are characterized in that the preparation b) contains at least one nonionic setting polymer from the group of the vinylpyrrolidone copolymers and at least one cationic setting polymer from the group of the vinylpyrrolidone copolymers as the setting active substance (i).
Die erfindungsgemäßen Zubereitungen können als festigendes Polymer auch mindestens ein festigendes amphoteres Polymer enthalten. Unter dem Begriff amphotere Polymere werden sowohl solche Polymere, die im Molekül sowohl freie Aminogruppen als auch freie -COOH- oder SO3H-Gruppen enthalten und zur Ausbildung innerer Salze befähigt sind, als auch zwitterionische Polymere, die im Molekül quartäre Ammoniumgruppen und -COO–- oder -SO3 –-Gruppen enthalten, und solche Polymere zusammengefasst, die -COOH- oder SO3H-Gruppen und quartäre Ammoniumgruppen enthalten. The preparations according to the invention may also contain as consolidating polymer at least one consolidating amphoteric polymer. The term amphoteric polymers includes both those polymers which contain in the molecule both free amino groups and free -COOH or SO 3 H groups and are capable of forming internal salts, as well as zwitterionic polymers which in the molecule have quaternary ammonium groups and -COO - or -SO 3 - groups, and those polymers comprising -COOH or SO 3 H groups and quaternary ammonium groups.
Ein Beispiel für ein erfindungsgemäß einsetzbares festigendes amphoteres Polymer ist das unter der Bezeichnung Amphomer® erhältliche Acrylharz, das ein Copolymeres aus tert.-Butylaminoethylmethacrylat, N-(1,1,3,3-Tetramethylbutyl)acrylamid sowie zwei oder mehr Monomeren aus der Gruppe der Acrylsäure, Methacrylsäure und deren (C1 bis C4)-Alkylestern darstellt. An example of a usable according to the invention setting amphoteric polymer is the acrylic resin commercially available as Amphomer ®, which is a copolymer of tert-butylaminoethyl methacrylate, N- (1,1,3,3-tetramethylbutyl) -acrylamide and two or more monomers from the group of acrylic acid, methacrylic acid and their (C 1 to C 4 ) alkyl esters.
Letztere weisen zusätzlich zu der kationogenen Gruppe bzw. positiv geladenen Gruppe mindestens eine negativ geladene Gruppe im Molekül auf und werden auch als zwitterionische Polymere bezeichnet. The latter have in addition to the cationogenic group or positively charged group at least one negatively charged group in the molecule and are also referred to as zwitterionic polymers.
Die festigenden amphoteren Polymere sind in den erfindungsgemäßen Zubereitungen bevorzugt in Mengen von 0,1 Gew.-% bis 20 Gew.-%, besonders bevorzugt von 0,05 bis 10 Gew.-%, jeweils bezogen auf das Gewicht der besagten Zubereitung, enthalten. Mengen von 0,1 bis 5 Gew.-% sind ganz besonders bevorzugt. The consolidating amphoteric polymers are contained in the preparations according to the invention preferably in amounts of from 0.1% by weight to 20% by weight, particularly preferably from 0.05 to 10% by weight, based in each case on the weight of said preparation , Quantities of 0.1 to 5 wt .-% are very particularly preferred.
Weiterhin können als festigende Polymere mindestens ein filmbildendes anionisches Polymer eingesetzt werden. Furthermore, at least one film-forming anionic polymer can be used as setting polymers.
Bei anionischen Polymeren handelt es sich um anionische Polymere, welche Carboxylat- und/oder Sulfonatgruppen aufweisen. Beispiele für anionische Monomere, aus denen derartige Polymere bestehen können, sind Acrylsäure, Methacrylsäure, Crotonsäure, Maleinsäureanhydrid und 2-Acrylamido-2-methylpropansulfonsäure. Dabei können die sauren Gruppen ganz oder teilweise als Natrium-, Kalium-, Ammonium-, Mono- oder Triethanolammonium-Salz vorliegen. Anionic polymers are anionic polymers which have carboxylate and / or sulfonate groups. Examples of anionic monomers from which such polymers may consist are acrylic acid, methacrylic acid, crotonic acid, maleic anhydride and 2-acrylamido-2-methylpropanesulfonic acid. The acidic groups may be wholly or partly present as sodium, potassium, ammonium, mono- or triethanolammonium salt.
Innerhalb dieser Ausführungsform kann es bevorzugt sein, Copolymere aus mindestens einem anionischen Monomer und mindestens einem nichtionogenen Monomer einzusetzen. Bezüglich der anionischen Monomere wird auf die oben aufgeführten Substanzen verwiesen. Bevorzugte nichtionogene Monomere sind Acrylamid, Methacrylamid, Acrylsäureester, Methacrylsäureester, Vinylpyrrolidon, Vinylether und Vinylester. Within this embodiment, it may be preferable to use copolymers of at least one anionic monomer and at least one nonionic monomer. With regard to the anionic monomers, reference is made to the substances listed above. Preferred nonionic monomers are acrylamide, methacrylamide, acrylic esters, methacrylic esters, vinylpyrrolidone, vinyl ethers and vinyl esters.
Bevorzugte festigende anionische Polymere sind Acrylsäure-Acrylamid-Copolymere sowie insbesondere Polyacrylamidcopolymere mit Sulfonsäuregruppen-haltigen Monomeren. Ein besonders bevorzugtes festigendes anionisches Copolymer besteht aus 70 bis 55 Mol-% Acrylamid und 30 bis 45 Mol-% 2-Acrylamido-2-methylpropansulfonsäure, wobei die Sulfonsäuregruppe ganz oder teilweise als Natrium-, Kalium-, Ammonium-, Mono- oder Triethanolammonium-Salz vorliegt. Dieses Copolymer kann auch vernetzt vorliegen, wobei als Vernetzungsagentien bevorzugt polyolefinisch ungesättigte Verbindungen wie Tetraallyloxyethan, Allylsucrose, Allylpentaerythrit und Methylen-bisacrylamid zum Einsatz kommen. Ein solches Polymer ist in dem Handelsprodukt Sepigel®305 der Firma SEPPIC enthalten. Die Verwendung dieses Handelsprodukts, das neben der Polymerkomponente eine Kohlenwasserstoffmischung (C13-C14-Isoparaffin) und einen nichtionogenen Emulgator (Laureth-7) enthält, hat sich im Rahmen der erfindungsgemäßen Lehre als besonders vorteilhaft erwiesen. Preferred strengthening anionic polymers are acrylic acid-acrylamide copolymers and in particular polyacrylamide copolymers with monomers containing sulfonic acid groups. A particularly preferred solidifying anionic copolymer consists of 70 to 55 mole% acrylamide and 30 to 45 mole% 2-acrylamido-2-methylpropanesulfonic acid, wherein the sulfonic acid group is wholly or partly as sodium, potassium, ammonium, mono- or triethanolammonium Salt is present. This copolymer may also be crosslinked, with crosslinking agents preferably polyolefinically unsaturated compounds such as tetraallyloxyethane, allylsucrose, allylpentaerythritol and methylene-bisacrylamide are used. Such a polymer is contained in the commercial product Sepigel ® 305 from SEPPIC. The use of this commercial product which, in addition to the polymer component, contains a hydrocarbon mixture (C 13 -C 14 isoparaffin) and a nonionic emulsifier (laureth-7) has proven to be particularly advantageous within the scope of the teaching according to the invention.
Auch die unter der Bezeichnung Simulgel®600 als Compound mit Isohexadecan und Polysorbat-80 vertriebenen Natriumacryloyldimethyltaurat-Copolymere haben sich als erfindungsgemäß besonders wirksam erwiesen. Also sold under the name Simulgel ® 600 as a compound with isohexadecane and polysorbate-80 Natriumacryloyldimethyltaurat copolymers have proved to be particularly effective according to the invention.
Ebenfalls bevorzugte festigende anionische Homopolymere sind unvernetzte und vernetzte Polyacrylsäuren. Dabei können Allylether von Pentaerythrit, von Sucrose und von Propylen bevorzugte Vernetzungsagentien sein. Solche Verbindungen sind beispielsweise unter dem Warenzeichen Carbopol® im Handel erhältlich. Also preferred solidifying anionic homopolymers are uncrosslinked and crosslinked polyacrylic acids. Allyl ethers of pentaerythritol, sucrose and propylene may be preferred crosslinking agents. Such compounds are for example available under the trademark Carbopol ® commercially.
Weitere bevorzugt einsetzbare festigende anionische Polymere werden ausgewählt aus mindestens einem Polymer der Gruppe, die gebildet wird aus
- – Copolymeren aus Vinylacetat und Crotonsäure (wie sie beispielsweise als Handelsprodukt Aristoflex® A 60 mit der INCI-Bezeichnung VA/Crotonates Copolymer von der Firma CIBA in einer 60 Gew.-%-igen Dispersion in Isopropanol-Wasser vermarktet werden),
- – Copolymeren aus Ethylacrylat und Methacrylsäure (wie sie beispielsweise unter dem Handelsnamen Luviflex® Soft mit einer Säurezahl von 84 bis 105 unter der INCI-Bezeichnung Acrylates Copolymer in einer ca. 20 bis 30 Gew.-%igen Dispersion in Wasser von der Firma BASF SE vertrieben werden),
- – Polyurethanen mit mindestens einer Carboxylgruppe (wie beispielsweise ein Copolymer aus Isophthalsäure, Adipinsäure, 1,6-Hexandiol, Neopentylglykol und Isophorondiisocyanat wie sie unter dem Handelsnamen Luviset PUR mit der INCI-Bezeichung Polyurethane-1 oder unter der Handelsbezeichnung Luviset Shape mit der INCI-Bezeichung Polyurethane-34 von der Firma BASF SE vertrieben werden).
- - copolymers of vinyl acetate and crotonic acid (as 60 wt .-%, for example, as a commercial product Aristoflex ® A 60 with the INCI name VA / Crotonates Copolymer by CIBA in a - marketed dispersion in isopropanol-water)
- - copolymer of ethyl acrylate and methacrylic acid (such as, for example, under the trade name Luviflex ® Soft having an acid number from 84 to 105 under the INCI name of Acrylates Copolymer in an about 20 to 30 wt .-% dispersion in water by BASF SE to be expelled),
- Polyurethanes having at least one carboxyl group (such as, for example, a copolymer of isophthalic acid, adipic acid, 1,6-hexanediol, neopentyl glycol and isophorone diisocyanate as marketed under the trade name Luviset PUR with the INCI name Polyurethane-1 or under the trade name Luviset Shape with the INCI Term Polyurethane-34 are sold by the company BASF SE).
Alternativ oder in Kombination mit den festigenden Polymeren enthalten bevorzugte Zubereitungen b) als festigenden Wirkstoff mindestens ein Wachs. Aerosolzusammensetzung umfassend eine Zubereitung b), die als festigenden Wirkstoff mindestens ein Wachs enthält, werden erfindungsgemäß bevorzugt. Im Rahmen der Erfindung eingesetzte Wachse sind bei 20°C knetbar, fest bis brüchig hart, grob bis feinkristallin, durchscheinend bis opak, jedoch nicht glasartig; über 40 °C ohne Zersetzung schmelzend. Wachse unterscheiden sich von ähnlichen synthetischen oder natürlichen Produkten (z. B. Harzen, plastischen Massen, Metallseifen usw.) darin, dass sie von 40°C bis 90 °C in den schmelzflüssigen, niedrigviskosen Zustand übergehen. Alternatively or in combination with the setting polymers, preferred formulations b) comprise at least one wax as the setting active ingredient. An aerosol composition comprising a preparation b) which contains at least one wax as the setting active ingredient is preferred according to the invention. Waxes used in the invention are kneadable at 20 ° C, solid to brittle hard, coarse to fine crystalline, translucent to opaque, but not glassy; melting above 40 ° C without decomposition. Waxes differ from similar synthetic or natural products (eg, resins, plastic masses, metal soaps, etc.) in that they go from 40 ° C to 90 ° C in the molten, low-viscosity state.
Es sind erfindungsgemäß solche Wachse bevorzugt, die bei 1013 mbar einen Schmelzpunkt im Bereich von 50 °C bis 85 °C, insbesondere von 60°C bis 75 °C, aufweisen. According to the invention, such waxes are preferred which have a melting point in the range from 50 ° C. to 85 ° C., in particular from 60 ° C. to 75 ° C., at 1013 mbar.
Bevorzugt werden die Wachse aus pflanzlichen, tierischen und mineralischen Wachsen ausgewählt. Erfindungsgemäß einsetzbare Wachse sind natürliche Wachse (pflanzliche Wachse: Baumwollwachs, Carnaubawachs, Candelillawachs, Espartowachs, Guarumawachs, Japanwachs, Korkwachs, Montanwachs, Ouricurywachs, Reiskeimölwachs, Zuckerrohrwachs; tierische Wachse: Bienenwachs, Bürzeldrüsenfett, Wollwachs, Schellackwachs (siehe Schellack), Walrat; Mineralwachse: Mikrowachse, Ceresin, Ozokerit), chemisch modifizierte Wachse (Hartwachse: hydrierte Jojobawachse (siehe Jojobaöl), Montanwachs, Sasolwachse) und synthetische Wachse (Polyalkylenwachse (wie Polyolefinwachse, Polyethylenwachse, Polypropylenwachse), Polyethylenglycolwachse, Amidwachse). Preferably, the waxes are selected from vegetable, animal and mineral waxes. Waxes which can be used in accordance with the invention are natural waxes (vegetable waxes: cotton wax, carnauba wax, candelilla wax, espartowax, guaruma wax, Japan wax, cork wax, montan wax, ouricury wax, rice germ oil wax, sugarcane wax, animal waxes: beeswax, coccyx fat, wool wax, shellac wax (see shellac), spermaceti, mineral waxes : Microwaxes, ceresin, ozokerite), chemically modified waxes (hard waxes: hydrogenated jojoba waxes (see jojoba oil), montan wax, Sasol waxes) and synthetic waxes (polyalkylene waxes (such as polyolefin waxes, polyethylene waxes, polypropylene waxes), polyethylene glycol waxes, amide waxes).
Erfindungsgemäß besonders bevorzugte Wachse sind Bienenwachs (Cera Alba), Carnaubawachs, Candelillawachs, Montanwachs, mikrokristalline Wachse (mikrokristalline Paraffine) und Cetylpalmitat. Particularly preferred waxes according to the invention are beeswax (Cera Alba), carnauba wax, candelilla wax, montan wax, microcrystalline waxes (microcrystalline paraffins) and cetyl palmitate.
Die erfindungsgemäße Lehre umfasst auch den kombinierten Einsatz von mehreren Wachsen in den erfindungsgemäßen Zubereitungen. So kann ein Zusatz geringer Mengen an Carnaubawachs z.B. dazu verwendet werden, um den Schmelz- und Tropfpunkt eines anderen Wachses zu erhöhen. Weiterhin ist auch eine Reihe von Wachsmischungen, ggf. in Abmischung mit weiteren Zusätzen, im Handel erhältlich. Die unter den Bezeichnungen “Spezialwachs 7686 OE” (eine Mischung aus Cetylpalmitat, Bienenwachs, mikrokristallinem Wachs und Polyethylen mit einem Schmelzbereich von 73–75 °C; Hersteller: Kahl & Co), Polywax® GP 200 (eine Mischung von Stearylalkohol und Polyethylenglykolstearat mit einem Schmelzpunkt von 47–51 °C; Hersteller: Croda) und “Weichceresin® FL 400” (ein Vaseline/Vaselinöl/Wachs-Gemisch mit einem Schmelzpunkt von 50–54 °C; Hersteller: Parafluid Mineralölgesellschaft) erhältlichen Wachsmischungen sind Beispiele für erfindungsgemäß bevorzugt eingesetzte Mischungen. The teaching according to the invention also encompasses the combined use of several waxes in the preparations according to the invention. Thus, an addition of small amounts of carnauba wax, for example, can be used to increase the melting and dropping point of another wax. Furthermore, a series of wax mixtures, optionally in admixture with other additives, commercially available. Those under the designations "Spezialwachs 7686 OE" (a mixture of Cetylpalmitat, beeswax, microcrystalline wax and polyethylene with a melting range of 73-75 ° C, manufacturer: Kahl & Co), Polywax ® GP 200 (a mixture of stearyl alcohol and polyethylene glycol stearate with a melting point of 47-51 ° C, manufacturer: Croda) and "Weichceresin ® FL 400" (a Vaseline / vaseline oil / wax mixture with a melting point of 50-54 ° C, manufacturer: Parafluid Mineralölgesellschaft) available wax mixtures are examples of the invention preferably used mixtures.
Die erfindungsgemäßen Aerosolzusammensetzungen enthalten die Wachse bezogen auf ihr Gesamtgewicht vorzugsweise in Mengen von 0,1 bis 10 Gew.-% und insbesondere von 0,2 bis 5,0 Gew.-%. The aerosol compositions according to the invention contain the waxes, based on their total weight, preferably in amounts of from 0.1 to 10% by weight and in particular from 0.2 to 5.0% by weight.
In erfindungsgemäß bevorzugten Aerosolzusammensetzungen beträgt der Gewichtsanteil des festigenden Wirkstoffs am Gesamtgewicht der Aerosolzusammensetzung 0,5 bis 12 Gew.-%, vorzugsweise 1,0 bis 10 Gew.-% und insbesondere 2,0 bis 8,0 Gew.-%. In preferred aerosol compositions according to the invention, the weight fraction of the setting active substance in the total weight of the aerosol composition is 0.5 to 12% by weight, preferably 1.0 to 10% by weight and in particular 2.0 to 8.0% by weight.
Ein weiterer wesentlicher Bestandteil der Zubereitung b) ist eine Silikonverbindung gemäß der zuvor genannten Formel (I). Die Inkorporation mindestens einer Silikonverbindung nach Formel (I) in die erfindungsgemäßen Aerosolzusammensetzungen führt dazu, dass diese auf den damit behandelten Haaren einen sehr guten Pflegeeffekt hervorrufen, ohne den Halt der Haare in negativer Weise zu beeinflussen. Another essential ingredient of preparation b) is a silicone compound according to the aforementioned formula (I). The incorporation of at least one silicone compound of the formula (I) into the aerosol compositions according to the invention leads to these causing a very good care effect on the hair treated therewith, without negatively influencing the hold of the hair.
In erfindungsgemäß bevorzugten Silikonverbindungen gemäß Formel (I), steht
- – x für eine Zahl von 3 bis 120,
- – der Rest R1 für einen Arylrest, bevorzugt für einen Phenylrest,
- – die Reste R2 bis R5 für gleiche C1-C4-Alkylreste, bevorzugt für Methylreste,
- – der Rest R6 für einen Rest mit dem Aufbau -R7-R8, wobei
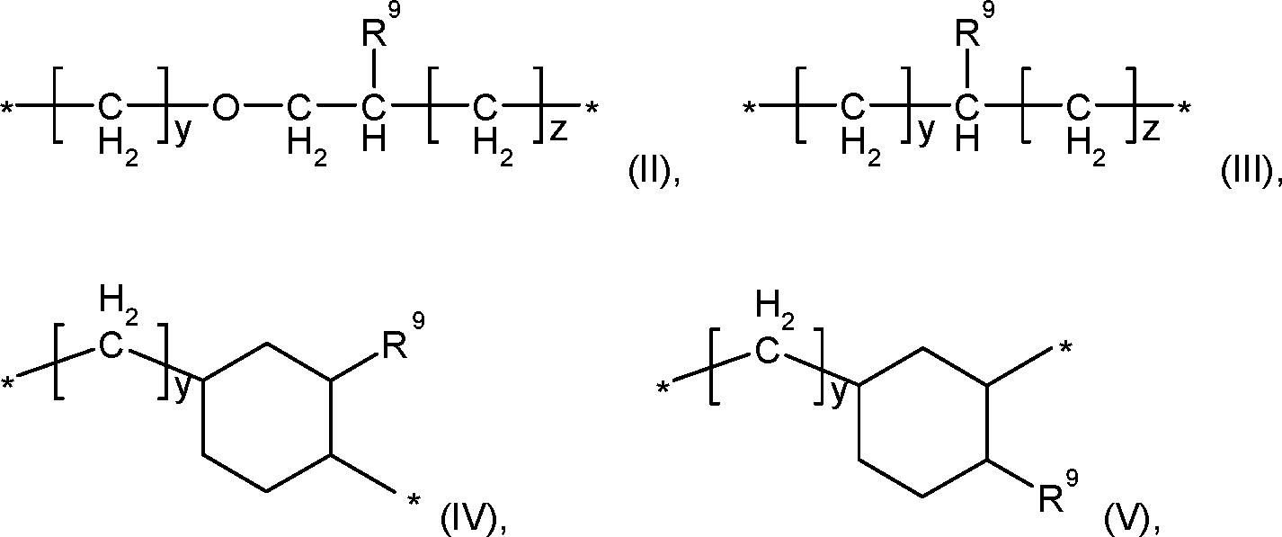
- – die Gruppierung -R7- für mindestens eine Gruppierung der folgenden Formeln (II) bis (V) steht in der y eine Zahl von 2 bis 18, z eine Zahl von 0 bis 3 und R9 für Wasserstoff, eine C1-C4-Alkylgruppe, eine C2-C4-Hydroxyalkylgruppe oder eine -OH- Gruppe steht, und
- – die Gruppe -R8 mindestens einer der folgenden Formeln (VI) oder (VII) entspricht, in der R10 und R12 jeweils unabhängig voneinander für Wasserstoff oder einen Alkylrest mit 1 bis 30 C-Atomen stehen, R11 für einen Alkylrest mit 1 bis 30 C-Atomen oder eine Gruppierung -(CH2)b-NR10R12 steht, in der b eine Zahl von 2 bis 18 bedeutet, R13 für eine Gruppierung -O- oder -N(H)- steht, R14 für einen Alkylrest mit 1 bis 30 C-Atomen steht, a für eine Zahl von 2 bis 18 steht und A– für anorganische oder organische Säureanionen steht.
- X for a number from 3 to 120,
- The radical R 1 is an aryl radical, preferably a phenyl radical,
- The radicals R 2 to R 5 are identical C 1 -C 4 -alkyl radicals, preferably methyl radicals,
- - The radical R 6 is a radical of the structure -R 7 -R 8 , where
- - the group -R 7 - represents at least one grouping of the following formulas (II) to (V) in the y a number from 2 to 18, z is a number from 0 to 3 and R 9 is hydrogen, a C 1 -C 4 -alkyl group, a C 2 -C 4 -hydroxyalkyl group or an -OH group, and
- - the group -R 8 corresponds to at least one of the following formulas (VI) or (VII), in which R 10 and R 12 are each independently of one another hydrogen or an alkyl radical having 1 to 30 C atoms, R 11 is an alkyl radical having 1 to 30 C atoms or a grouping - (CH 2 ) b -NR 10 R 12 in which b is a number from 2 to 18, R 13 is a grouping -O- or -N (H) -, R 14 is an alkyl radical having 1 to 30 carbon atoms, a is a number of 2 to 18 and A - stands for inorganic or organic acid anions.
Unter geeigneten C1-C4-Alkylgruppen sind Methyl-, Ethyl-, n-Propyl-, Isopropyl- und n-Butylgruppen zu verstehen. Bevorzugt sind Methyl- und Ethylgruppen. Insbesondere bevorzugt sind Methylgruppen. Unter geeigneten C2-C4-Hydroxyalkylgruppen sind Hydroxyethyl-, 1-Hydroxypropyl-, 2-Hydroxypropyl-, 1-Hydroxybutyl- und/oder 2-Hydroxybutylgruppen zu verstehen. Unter geeigneten anorganischen oder organischen Säureanionen A– werden bevorzugt Halogenidionen, vorzugsweise Chlorid- oder Bromidionen verstanden. Suitable C 1 -C 4 -alkyl groups include methyl, ethyl, n-propyl, isopropyl and n-butyl groups. Preference is given to methyl and ethyl groups. Especially preferred are methyl groups. Suitable C 2 -C 4 -hydroxyalkyl groups are to be understood as meaning hydroxyethyl, 1-hydroxypropyl, 2-hydroxypropyl, 1-hydroxybutyl and / or 2-hydroxybutyl groups. Suitable inorganic or organic acid anions A - are preferably halide ions, preferably chloride or bromide ions.
Besonders bevorzugt sind Silikonverbindungen gemäß Formel (I), worin
- – x eine Zahl von 3 bis 120 bedeutet,
- – der Rest R1 einen Phenylrest bedeutet,
- – die Reste R2 bis R5 für Methylreste stehen,
- – der Rest R6 für einen Rest mit dem Aufbau -R7-R8 steht, wobei
- – die Gruppierung -R7- einer Gruppierung der Formel (II) entspricht, und
- – die Gruppe -R8 der Formel (VII) entspricht.
- X is a number from 3 to 120,
- The radical R 1 denotes a phenyl radical,
- The radicals R 2 to R 5 are methyl radicals,
- - The radical R 6 is a radical having the structure -R 7 -R 8 , where
- - the grouping -R 7 - corresponds to a grouping of formula (II), and
- - The group -R 8 corresponds to the formula (VII).
Insbesondere bevorzugt sind Silikonverbindungen gemäß Formel (I), worin
- – x eine Zahl von 8 bis 80 bedeutet,
- – der Rest R1 einen Phenylrest bedeutet,
- – die Reste R2 bis R5 für Methylreste stehen,
- – der Rest R6 für einen Rest mit dem Aufbau -R7-R8 steht, wobei
- – die Gruppierung -R7- einer Gruppierung der Formel (II) entspricht, in der y die Zahl 3, z die Zahl 1 und R9 eine -OH-Gruppe bedeutet, und
- – die Gruppe -R8 der Formel (VII) entspricht, in der R10 und R12 für Methylgruppen stehen, a die Zahl 3, R13 die Gruppierung -N(H)- und R14 eine C8-C18-Alkylgruppe bedeutet.
- X is a number from 8 to 80,
- The radical R 1 denotes a phenyl radical,
- The radicals R 2 to R 5 are methyl radicals,
- - The radical R 6 is a radical having the structure -R 7 -R 8 , where
- - the grouping -R 7 - corresponds to a grouping of the formula (II), in which y is the number 3, z is the number 1 and R 9 is an -OH group, and
- - the group -R 8 of the formula (VII) corresponds, in which R 10 and R 12 are methyl, a is the number 3, R 13 is the grouping -N (H) - and R 14 is a C 8 -C 18 alkyl group means.
Eine für die erfindungsgemäßen Aerosolzusammensetzungen insbesondere geeignete Silikonverbindung gemäß Formel (I) ist beispielsweise unter der INCI-Bezeichnung Silicone Quaternium-22 bekannt und im Handel erhältlich. Ein Beispiel für ein auf einer Silikonverbindung mit der INCI-Bezeichnung Silicone Quaternium-22 beruhenden Handelsprodukt, das in den erfindungsgemäßen Zusammensetzungen eingesetzt werden kann, ist Abil® T Quat 60 und/oder Abil® ME 45 von der Firma Evonik. A silicone compound of the formula (I) which is particularly suitable for the aerosol compositions according to the invention is known, for example, under the INCI name Silicone Quaternium-22 and is commercially available. An example of a measure based on a silicone compound having the INCI designation Silicone Quaternium-22 commercial product that can be used in the inventive compositions is Abil Quat ® T 60 and / or Abil ® ME 45 from Evonik.
In einer besonders bevorzugten Ausführungsform sind erfindungsgemäße Aerosolzusammensetzungen dadurch gekennzeichnet, dass die Zubereitung b) eine Silikonverbindung gemäß Formel (I) enthält, in der
- – x eine Zahl von 3 bis 120 bedeutet,
- – der Rest R1 einen Phenylrest bedeutet,
- – die Reste R2 bis R5 für Methylreste stehen,
- – der Rest R6 für einen Rest mit dem Aufbau -R7-R8 steht, wobei
- – die Gruppierung -R7- einer Gruppierung der Formel (II) entspricht, in der y eine Zahl von 2 bis 18, z eine Zahl von 0 bis 3 und R9 für Wasserstoff, eine C1-C4-Alkylgruppe, eine C2-C4-Hydroxyalkylgruppe oder eine -OH- Gruppe steht, und
- – die Gruppe -R8 der Formel (VII) entspricht, in der R10 und R12 jeweils unabhängig voneinander für Wasserstoff oder einen Alkylrest mit 1 bis 30 C-Atomen stehen, R11 für einen Alkylrest mit 1 bis 30 C-Atomen oder eine Gruppierung -(CH2)b-NR10R12 steht, in der b eine Zahl von 2 bis 18 bedeutet, R13 für eine Gruppierung -O- oder -N(H)- steht, R14 für einen Alkylrest mit 1 bis 30 C-Atomen steht, a für eine Zahl von 2 bis 18 steht und A– für anorganische oder organische Säureanionen steht.
- X is a number from 3 to 120,
- The radical R 1 denotes a phenyl radical,
- The radicals R 2 to R 5 are methyl radicals,
- - The radical R 6 is a radical having the structure -R 7 -R 8 , where
- The group -R 7 corresponds to a grouping of the formula (II), in which y is a number from 2 to 18, z is a number from 0 to 3 and R 9 is hydrogen, a C 1 -C 4 -alkyl group, a C 2 -C 4 -hydroxyalkyl group or an -OH group, and
- The group -R 8 corresponds to the formula (VII), in which R 10 and R 12 are each independently of one another hydrogen or an alkyl radical having 1 to 30 C atoms, R 11 is an alkyl radical having 1 to 30 C atoms or a grouping - (CH 2 ) b -NR 10 R 12 in which b is a number from 2 to 18, R 13 is a grouping -O- or -N (H) -, R 14 is an alkyl radical having 1 to 30 carbon atoms, a is a number of 2 to 18 and A - stands for inorganic or organic acid anions.
Innerhalb dieser Ausführungsform sind insbesondere die unter der INCI-Bezeichnung Silicone Quaternium-22 bekannten Silikonverbindungen nach Formel (I) bevorzugt. Within this embodiment, in particular the silicone compounds of the formula (I) known under the INCI name Silicone Quaternium-22 are preferred.
Der Gewichtsanteil der mindestens einen Silikonverbindung gemäß Formel (I) am Gesamtgewicht der Aerosolzusammensetzung beträgt bevorzugt 0,01 bis 3,0 Gew.-%, vorzugsweise 0,05 bis 2,0 Gew.-% und insbesondere 0,1 bis 1,0 Gew.-% Gew.-%. The proportion by weight of the at least one silicone compound of the formula (I) in the total weight of the aerosol composition is preferably from 0.01 to 3.0% by weight, preferably from 0.05 to 2.0% by weight and in particular from 0.1 to 1.0 Wt .-% wt .-%.
Als weiteren Bestandteil neben der kosmetischen Zubereitung b) umfassen die erfindungsgemäßen Aerosolzubereitungen mindestens ein Treibmittel a). Bevorzugte Treibmittel a) enthalten mindestens ein Treibmittel aus der Gruppe von Propan und Butan. Besonders bevorzugt ist eine Mischung von Propan und Butan in einem Gewichtsverhältnis von Propan zu Butan von 5:1 bis 1:5, bevorzugt von 4:1 bis 1:4 und insbesondere von 3:1 bis 1:3. As a further constituent in addition to the cosmetic preparation b), the aerosol preparations according to the invention comprise at least one propellant a). Preferred blowing agents a) contain at least one blowing agent from the group of propane and butane. Particularly preferred is a mixture of propane and butane in a weight ratio of propane to butane of 5: 1 to 1: 5, preferably from 4: 1 to 1: 4 and in particular from 3: 1 to 1: 3.
Besonders bevorzugte Aerosolzusammensetzungen sind dadurch gekennzeichnet, dass das Treibmittel a) ausgewählt ist aus Propan und/oder Butan, wobei der gemeinsame Gewichtsanteil von Propan und/oder Butan am Gesamtgewicht der Aerosolzusammensetzung 1 bis 99,5 Gew.-%, vorzugsweise 4 bis 50 Gew.-% beträgt. Particularly preferred aerosol compositions are characterized in that the propellant a) is selected from propane and / or butane, wherein the combined weight fraction of propane and / or butane in the total weight of the aerosol composition 1 to 99.5 wt .-%, preferably 4 to 50 wt .-% is.
Die erfindungsgemäße Aerosolzusammensetzung wird vorzugsweise in einem Druckbehälter konfektioniert. Ein „Druckbehälter“ ist erfindungsgemäß ein Behälter, der im Inneren einen höheren Gasdruck aufweist als außerhalb des Behälters und aus dem sich ein Gasstrom über ein Ventil entnehmen lässt. Druckbehälter, mit deren Hilfe ein Produkt (z.B. eine flüssige Zusammensetzung) durch den inneren Gasdruck des Behälters über ein Ventil abgegeben wird, bezeichnet man definitionsgemäß als "Aerosolabgabebehälter". Besonders bevorzugt ist die Konfektionierung der Aerosolzusammensetzung in einem Aerosolabgabebehälter. The aerosol composition according to the invention is preferably packaged in a pressure vessel. A "pressure vessel" according to the invention is a container which has a higher gas pressure inside than outside the container and from which a gas stream can be taken out via a valve. Pressure vessels that deliver a product (e.g., a liquid composition) through the internal gas pressure of the container via a valve are defined as "aerosol dispensing containers." Particularly preferred is the preparation of the aerosol composition in an aerosol dispensing container.
Als "Nichtaerosolabgabebehälter" wird im Umkehrschluss zur Aerosoldefinition ein Behältnis unter Normaldruck definiert, mit dessen Hilfe ein Produkt mittels mechanischer Einwirkung durch ein Pump- oder Quetschsystem abgegeben werden kann. In contrast to the aerosol definition, a container under normal pressure is defined as a "non-aerosol dispensing container" with the aid of which a product can be dispensed by means of a mechanical action by means of a pumping or squeezing system.
Die erfindungsgemäßen Aerosolzusammensetzungen lassen sich in üblicher Art und Weise herstellen. In der Regel werden alle Bestandteile der Zubereitung der erfindungsgemäßen Aerosolzusammensetzung in einen geeigneten druckfesten Behälter eingefüllt. Dieser wird daraufhin mit einem Ventil verschlossen. Über herkömmliche Techniken wird schließlich die gewünschte Menge des speziellen Treibmittels eingefüllt. The aerosol compositions according to the invention can be prepared in the usual manner. In general, all components of the preparation of the aerosol composition according to the invention in filled a suitable pressure-resistant container. This is then closed with a valve. By conventional techniques, finally, the desired amount of special blowing agent is introduced.
Als druckfeste Behälter kommen Gefäße aus Metall (Aluminium, Weißblech, Zinn), geschütztem bzw. nicht-splitterndem Kunststoff oder aus Glas, das außen mit Kunststoff beschichtet ist, in Frage, bei deren Auswahl Druck- und Bruchfestigkeit, Korrosionsbeständigkeit, leichte Füllbarkeit wie auch ästhetische Gesichtspunkte, Handlichkeit, Bedruckbarkeit etc. eine Rolle spielen. Spezielle Innenschutzlacke gewährleisten die Korrosionsbeständigkeit gegenüber dem im Druckbehälter konfektionisierten Mittel. Besonders bevorzugt weisen die verwendeten Ventile einen innenlackierten Ventilteller auf, wobei Lackierung und Ventilmaterial miteinander kompatibel sind. Werden Aluminiumventile eingesetzt, so können deren Ventilteller innen z. B. mit Micoflex-Lack beschichtet sein. Werden erfindungsgemäß Weißblechventile eingesetzt, so können deren Ventilteller innen z. B. mit PET (Polyethylenterephthalat) beschichtet sein. As pressure-resistant containers come vessels made of metal (aluminum, tinplate, tin), protected or non-splitterndem plastic or glass, which is coated with plastic outside, in question, in their selection pressure and fracture resistance, corrosion resistance, easy fillability as well aesthetics, handiness, printability etc. play a role. Special internal protective lacquers ensure the corrosion resistance compared to the finished product in the pressure vessel. Particularly preferably, the valves used on an internally painted valve disc, wherein the coating and valve material are compatible with each other. If aluminum valves are used, their valve plates can be internally z. B. be coated with Micoflex paint. If tinplate valves are used according to the invention, their valve disks can be internally z. B. be coated with PET (polyethylene terephthalate).
Die erfindungsgemäßen Zusammensetzungen können auch in einem Mehrkammerspender verpackt sein. Der Mehrkammerspender kann auch so eingesetzt werden, dass eine Kammer mit dem komprimierten Treibmittel und eine andere Kammer mit den restlichen Bestandteilen der erfindungsgemäßen Aerosolzusammensetzung befüllt ist. Ein derartiger Mehrkammerspender ist beispielsweise eine so genannte Bag-in-Can-Verpackung. The compositions of the invention may also be packaged in a multi-chamber dispenser. The multi-chamber dispenser can also be used so that one chamber is filled with the compressed propellant and another chamber with the remaining components of the aerosol composition according to the invention. Such a multi-chamber dispenser is for example a so-called bag-in-can packaging.
Die erfindungsgemäßen kosmetischen Zubereitungen b) enthalten die Inhalts- bzw. Wirkstoffe in einem kosmetisch akzeptablen Träger. The cosmetic preparations b) according to the invention contain the ingredients or active substances in a cosmetically acceptable carrier.
Bevorzugte kosmetisch akzeptable Träger sind wässrige, alkoholische oder wässrigalkoholische Medien mit vorzugsweise mindestens 5 Gew.-% Wasser, bezogen auf die gesamte Zubereitung. Der Wassergehalt der erfindungsgemäßen kosmetischen Zubereitungen b) beträgt bevorzugt 5 bis 97 Gew.-%. In der Ausführungsform als Aerosolspray bevorzugt 5 bis 30 Gew.-%. In der Ausführungsform als Aerosolschaum bevorzugt 30 bis 95 Gew.-%. Preferred cosmetically acceptable carriers are aqueous, alcoholic or aqueous-alcoholic media with preferably at least 5% by weight of water, based on the entire preparation. The water content of the cosmetic preparations b) according to the invention is preferably from 5 to 97% by weight. In the embodiment as aerosol spray preferably 5 to 30 wt .-%. In the embodiment as aerosol foam preferably 30 to 95 wt .-%.
Als Alkohole können insbesondere die für kosmetische Zwecke üblicherweise verwendeten niederen Alkohole mit 1 bis 4 Kohlenstoffatomen wie zum Beispiel Ethanol und Isopropanol enthalten sein. As alcohols, it is possible in particular to include the lower alcohols having 1 to 4 carbon atoms usually used for cosmetic purposes, such as, for example, ethanol and isopropanol.
Bevorzugte Aerosolzusammensetzungen sind dadurch gekennzeichnet, dass die Aerosolzusammensetzung bezogen auf ihr Gesamtgewicht 50 bis 98 Gew.-%, vorzugsweise 60 bis 95 Gew.-% und insbesondere 70 bis 90 Gew.-% Wasser und/oder Ethanol enthält. Preferred aerosol compositions are characterized in that the aerosol composition based on their total weight of 50 to 98 wt .-%, preferably 60 to 95 wt .-% and in particular 70 to 90 wt .-% water and / or ethanol.
Durch den Zusatz von Propylenglykol und/oder Polyethylenglykol und/oder Polypropylenglykol kann die Flexibilität des bei der Anwendung der erfindungsgemäßen Aerosolzusammensetzung gebildeten Halts erhöht werden. Wird also ein flexiblerer Halt gewünscht, enthalten die erfindungsgemäßen Aerosolzusammensetzungen bezogen auf ihr Gesamtgewicht vorzugsweise 0,01 bis 30 Gew.-% Polyethylenglykol und/oder Polypropylenglykol. The addition of propylene glycol and / or polyethylene glycol and / or polypropylene glycol can increase the flexibility of the hold formed when the aerosol composition according to the invention is used. If, therefore, a more flexible hold is desired, the aerosol compositions according to the invention preferably contain from 0.01 to 30% by weight, based on their total weight, of polyethylene glycol and / or polypropylene glycol.
Die kosmetischen Zubereitungen b) weisen bevorzugt einen pH-Wert von 2 bis 11 auf. Besonders bevorzugt ist der pH-Bereich zwischen 2 und 8. Die Angaben zum pH-Wert beziehen sich dabei im Sinne dieser Schrift auf den pH-Wert bei 25°C, sofern nichts anderes vermerkt ist. The cosmetic preparations b) preferably have a pH of from 2 to 11. The pH range between 2 and 8 is particularly preferred. The pH values in the context of this document refer to the pH at 25 ° C., unless otherwise stated.
Die erfindungsgemäßen Effekte lassen sich durch Zusatz mindestens eines (C2 bis C6)-Trialkylcitrats zur erfindungsgemäßen Zubereitung b) steigern. Daher ist es erfindungsgemäß bevorzugt, wenn die Zubereitung b) zusätzlich mindestens eine Verbindung der Formel (E) enthält, worin R1, R2 und R3 unabhängig voneinander für eine (C2 bis C6)-Alkylgruppe stehen. The effects according to the invention can be increased by adding at least one (C 2 to C 6 ) trialkyl citrate to the preparation b) according to the invention. It is therefore preferred according to the invention if the preparation b) additionally comprises at least one compound of the formula (E), wherein R 1 , R 2 and R 3 independently represent a (C 2 to C 6 ) alkyl group.
Beispiele einer (C2 bis C6)-Alkylgruppe gemäß der Formel (E) sind Methyl, Ethyl, Isopropyl, n-Propyl, n-Butyl, sec-Butyl, Isobutyl, tert.-Butyl, n-Pentyl, Neopentyl, Isopentyl, n-Hexyl. Als besonders wirkungsvolle Verbindung der Formel (E) stellte sich Triethylcitrat heraus. Die erfindungsgemäße kosmetische Zubereitung b) enthält die Verbindungen der Formel (E) bevorzugt in einer Menge von 0,01 bis 1 Gew.-%, insbesondere von 0,05 bis 0,3 Gew.-%, jeweils bezogen auf das Gewicht der besagten Zubereitung. Examples of a (C 2 to C 6 ) -alkyl group according to the formula (E) are methyl, ethyl, isopropyl, n-propyl, n-butyl, sec-butyl, isobutyl, tert-butyl, n-pentyl, neopentyl, isopentyl , n-hexyl. Triethyl citrate turned out to be a particularly effective compound of the formula (E). The cosmetic preparation b) according to the invention preferably contains the compounds of the formula (E) in an amount of from 0.01 to 1% by weight, in particular from 0.05 to 0.3% by weight, based in each case on the weight of said Preparation.
Bevorzugt enthalten die erfindungsgemäßen Zubereitungen b) vorzugsweise zusätzlich mindestens ein Tensid, wobei sich prinzipiell nichtionische, anionische, kationische, ampholytische Tenside eignen. Die Gruppe der ampholytischen oder auch amphoteren Tenside umfasst zwitterionische Tenside und Ampholyte. Die Tenside können erfindungsgemäß bereits emulgierende Wirkung haben. The preparations b) according to the invention preferably additionally comprise at least one surfactant, nonionic, anionic, cationic and ampholytic surfactants being suitable in principle. The group of ampholytic or amphoteric surfactants includes zwitterionic surfactants and ampholytes. The surfactants according to the invention may already have emulsifying activity.
Der Einsatz mindestens eines nichtionischen Tensids und/oder mindestens eines kationischen Tensids ist im Rahmen dieser Ausführungsform der Erfindung bevorzugt. The use of at least one nonionic surfactant and / or at least one cationic surfactant is preferred in this embodiment of the invention.
Die zusätzlichen Tenside sind in der erfindungsgemäßen Zubereitung bevorzugt in einer Menge von 0,01 Gew.-% bis 5 Gew.-%, besonders bevorzugt von 0,05 Gew.-% bis 0,5 Gew.-%, jeweils bezogen auf das Gewicht der besagten Zubereitung, enthalten. The additional surfactants are in the preparation according to the invention preferably in an amount of 0.01 wt .-% to 5 wt .-%, particularly preferably from 0.05 wt .-% to 0.5 wt .-%, each based on the Weight of said preparation, included.
Es hat sich als besonders bevorzugt erwiesen, wenn die erfindungsgemäßen kosmetischen Zubereitungen b) zusätzlich mindestens ein kationisches Tensid enthalten. Die pflegenden Eigenschaften der erfindungsgemäßen Aerosolzusammensetzungen konnten durch die Zugabe des kationischen Tensids zu der Zubereitung b) noch weiter gesteigert werden, ohne dass der Halt der Frisur dadurch negativ beeinträchtigt wurde. It has proved to be particularly preferred if the cosmetic preparations b) according to the invention additionally contain at least one cationic surfactant. The care properties of the aerosol compositions according to the invention could be further increased by the addition of the cationic surfactant to the preparation b), without the hairstyle being adversely affected.
Besonders geeignete kationische Tenside sind bevorzugt ausgewählt aus Tensiden vom Typ der quartären Ammoniumverbindungen, der Esterquats und/oder der Amidoamine. Bevorzugte quaternäre Ammoniumverbindungen sind Ammoniumhalogenide, insbesondere Chloride und Bromide, wie Alkyltrimethylammoniumchloride, Dialkyldimethylammoniumchloride und Trialkylmethylammoniumchloride. Die langen Alkylketten dieser Tenside weisen bevorzugt 10 bis 18 Kohlenstoffatome auf, wie z. B. in Cetyltrimethylammoniumchlorid, Stearyltrimethylammoniumchlorid, Distearyldimethylammoniumchlorid, Lauryldimethylammoniumchlorid, Lauryldimethylbenzylammoniumchlorid und Tricetylmethylammoniumchlorid. Weitere bevorzugte kationische Tenside sind die unter den INCI-Bezeichnungen Quaternium-27 und Quaternium-83 bekannten Imidazolium-Verbindungen. Particularly suitable cationic surfactants are preferably selected from surfactants of the quaternary ammonium compound type, the esterquats and / or the amidoamines. Preferred quaternary ammonium compounds are ammonium halides, in particular chlorides and bromides, such as alkyltrimethylammonium chlorides, dialkyldimethylammonium chlorides and trialkylmethylammonium chlorides. The long alkyl chains of these surfactants preferably have 10 to 18 carbon atoms, such as. In cetyl trimethyl ammonium chloride, stearyl trimethyl ammonium chloride, distearyl dimethyl ammonium chloride, lauryl dimethyl ammonium chloride, lauryl dimethyl benzyl ammonium chloride and tricetylmethyl ammonium chloride. Further preferred cationic surfactants are the imidazolium compounds known under the INCI names Quaternium-27 and Quaternium-83.
Besonders bevorzugt sind Alkyltrimethylammoniumchloride, Dialkyldimethylammoniumchloride und Trialkylmethylammoniumchloride, in denen die langen Alkylketten bevorzugt 10 bis 18 Kohlenstoffatome aufweisen. Insbesondere bevorzugt sind Cetyltrimethylammoniumchlorid und/oder Stearyltrimethylammoniumchlorid. Particularly preferred are alkyltrimethylammonium chlorides, dialkyldimethylammonium chlorides and trialkylmethylammonium chlorides in which the long alkyl chains preferably have from 10 to 18 carbon atoms. Particularly preferred are cetyltrimethylammonium chloride and / or stearyltrimethylammonium chloride.
Das oder die kationischen Tensid(e) wird(werden) in den erfindungsgemäßen Aerosolzusammensetzungen bevorzugt in einem Gewichtsanteil von 0,02 bis 5,0 Gew.-%, bevorzugt von 0,05 bis 3 Gew.-% und insbesondere von 0,1 bis 2 Gew.-% bezogen auf das Gesamtgewicht der Aerosolzusammensetzungen eingesetzt. The cationic surfactant (s) is / are preferably used in the aerosol compositions according to the invention in a proportion by weight of 0.02 to 5.0% by weight, preferably of 0.05 to 3% by weight and in particular of 0.1 used up to 2 wt .-% based on the total weight of the aerosol compositions.
Es hat sich weiterhin als besonders bevorzugt erwiesen, wenn die erfindungsgemäßen kosmetischen Zubereitungen b) zusätzlich mindestens ein nichtionisches Tensid enthalten. It has furthermore proven to be particularly preferred if the cosmetic preparations b) according to the invention additionally comprise at least one nonionic surfactant.
Nichtionische Tenside enthalten als hydrophile Gruppe z.B. eine Polyolgruppe, eine Polyalkylenglykolethergruppe oder eine Kombination aus Polyol- und Polyglykolethergruppe. Solche Verbindungen sind beispielsweise
- – Anlagerungsprodukte von 2 bis 100 Mol Ethylenoxid und/oder 1 bis 5 Mol Propylenoxid an lineare und verzweigte Fettalkohole mit 8 bis 30 Kohlenstoffatomen, an Fettsäuren mit 8 bis 30 Kohlenstoffatomen und an Alkylphenole mit 8 bis 15 Kohlenstoffatomen in der Alkylgruppe,
- – mit einem Methyl- oder C2-C6-Alkylrest endgruppenverschlossene Anlagerungsprodukte von 2 bis 50 Mol Ethylenoxid und/oder 1 bis 5 Mol Propylenoxid an lineare und verzweigte Fettalkohole mit 8 bis 30 Kohlenstoffatomen, an Fettsäuren mit 8 bis 30 Kohlenstoffatomen und an Alkylphenole mit 8 bis 15 Kohlenstoffatomen in der Alkylgruppe, wie beispielsweise die unter den Verkaufsbezeichnungen Dehydol® LS, Dehydol® LT (Cognis) erhältlichen Typen,
- – C12-C30-Fettsäuremono- und -diester von Anlagerungsprodukten von 1 bis 30 Mol Ethylenoxid an Glycerin,
- – Anlagerungsprodukte von 5 bis 60 Mol Ethylenoxid an Rizinusöl und gehärtetes Rizinusöl,
- – Polyolfettsäureester, wie beispielsweise das Handelsprodukt Hydagen® HSP (Cognis) oder Sovermol-Typen (Cognis),
- – alkoxilierte Triglyceride,
- – alkoxilierte Fettsäurealkylester der Formel (T-I)
in der R1CO für einen linearen oder verzweigten, gesättigten und/oder ungesättigten Acylrest mit 6 bis 22 Kohlenstoffatomen, R2 für Wasserstoff oder Methyl, R3 für lineare oder verzweigte Alkylreste mit 1 bis 4 Kohlenstoffatomen und w für Zahlen von 1 bis 20 steht,R1CO-(OCH2CHR2)wOR3 (T-I) - – Aminoxide,
- – Hydroxymischether, wie sie beispielsweise in der
beschrieben sind,DE-OS 19738866 - – Sorbitanfettsäureester und Anlagerungeprodukte von Ethylenoxid an Sorbitanfettsäureester wie beispielsweise die Polysorbate,
- – Zuckerfettsäureester und Anlagerungsprodukte von Ethylenoxid an Zuckerfettsäureester,
- – Anlagerungsprodukte von Ethylenoxid an Fettsäurealkanolamide und Fettamine,
- – Zuckertenside vom Typ der Alkyl- und Alkenyloligoglykoside gemäß Formel (T-II),
in der R4 für einen Alkyl- oder Alkenylrest mit 4 bis 22 Kohlenstoffatomen, G für einen Zuckerrest mit 5 oder 6 Kohlenstoffatomen und p für Zahlen von 1 bis 10 steht. Sie können nach den einschlägigen Verfahren der präparativen organischen Chemie erhalten werden. Die Alkyl- und Alkenyloligoglykoside können sich von Aldosen bzw. Ketosen mit 5 oder 6 Kohlenstoffatomen, vorzugsweise von Glucose, ableiten. Die bevorzugten Alkyl- und/oder Alkenyloligoglykoside sind somit Alkyl- und/oder Alkenyloligoglucoside. Die Indexzahl p in der allgemeinen Formel (T-II) gibt den Oligomerisierungsgrad (DP), d. h. die Verteilung von Mono- und Oligoglykosiden an und steht für eine Zahl zwischen 1 und 10. Während p im einzelnen Molekül stets ganzzahlig sein muss und hier vor allem die Werte p = 1 bis 6 annehmen kann, ist der Wert p für ein bestimmtes Alkyloligoglykosid eine analytisch ermittelte rechnerische Größe, die meistens eine gebrochene Zahl darstellt. Vorzugsweise werden Alkyl- und/oder Alkenyloligoglykoside mit einem mittleren Oligomerisierungsgrad p von 1,1 bis 3,0 eingesetzt. Aus anwendungstechnischer Sicht sind solche Alkyl- und/oder Alkenyloligoglykoside bevorzugt, deren Oligomerisierungsgrad kleiner als 1,7 ist und insbesondere zwischen 1,2 und 1,4 liegt. Der Alkyl- bzw. Alkenylrest R4 kann sich von primären Alkoholen mit 4 bis 11, vorzugsweise 8 bis 10 Kohlenstoffatomen ableiten. Typische Beispiele sind Butanol, Capronalkohol, Caprylalkohol, Caprinalkohol und Undecylalkohol sowie deren technische Mischungen, wie sie beispielsweise bei der Hydrierung von technischen Fettsäuremethylestern oder im Verlauf der Hydrierung von Aldehyden aus der Roelen'schen Oxosynthese erhalten werden. Bevorzugt sind Alkyloligoglucoside der Kettenlänge C8-C10 (DP = 1 bis 3), die als Vorlauf bei der destillativen Auftrennung von technischem C8-C18-Kokosfettalkohol anfallen und mit einem Anteil von weniger als 6 Gew.-% C12-Alkohol verunreinigt sein können sowie Alkyloligoglucoside auf Basis technischer C9/11-Oxoalkohole (DP = 1 bis 3). Der Alkyl- bzw. Alkenylrest R4 kann sich ferner auch von primären Alkoholen mit 12 bis 22, vorzugsweise 12 bis 14 Kohlenstoffatomen ableiten. Typische Beispiele sind Laurylalkohol, Myristylalkohol, Cetylalkohol, Palmoleylalkohol, Stearylalkohol, Isostearylalkohol, Oleylalkohol, Elaidylalkohol, Petroselinylalkohol, Arachylalkohol, Gadoleylalkohol, Behenylalkohol, Erucylalkohol, Brassidylalkohol sowie deren technische Gemische, die wie oben beschrieben erhalten werden können. Bevorzugt sind Alkyloligoglucoside auf Basis von gehärtetem C12/14-Kokosalkohol mit einem DP von 1 bis 3.R4O-[G]p (T-II)
- Addition products of from 2 to 100 moles of ethylene oxide and / or from 1 to 5 moles of propylene oxide onto linear and branched fatty alcohols containing from 8 to 30 carbon atoms, to fatty acids containing from 8 to 30 carbon atoms and to alkylphenols containing from 8 to 15 carbon atoms in the alkyl group,
- - With a methyl or C 2 -C 6 alkyl endgroup-capped addition products of 2 to 50 moles of ethylene oxide and / or 1 to 5 moles of propylene oxide with linear and branched fatty alcohols having 8 to 30 carbon atoms, fatty acids having 8 to 30 carbon atoms and alkylphenols having 8 to 15 carbon atoms in the alkyl group, such as those available under the trade names Dehydol ® LS, LT Dehydol ® types (Cognis),
- C 12 -C 30 -fatty acid mono- and diesters of addition products of 1 to 30 mol of ethylene oxide with glycerol,
- Adducts of 5 to 60 moles of ethylene oxide with castor oil and hydrogenated castor oil,
- - polyol, such as the commercially available product ® Hydagen HSP (Cognis) or Sovermol types (Cognis),
- - alkoxylated triglycerides,
- Alkoxylated fatty acid alkyl esters of the formula (TI)
in the R 1 CO is a linear or branched, saturated and / or unsaturated acyl radical having 6 to 22 carbon atoms, R 2 is hydrogen or methyl, R 3 is a linear or branched alkyl radical having 1 to 4 carbon atoms and w is a number from 1 to 20 stands,R 1 CO- (OCH 2 CHR 2 ) w OR 3 (TI) - - amine oxides,
- - Hydroxymischether, as described for example in the
are describedDE-OS 19738866 - Sorbitan fatty acid esters and adducts of ethylene oxide with sorbitan fatty acid esters such as the polysorbates,
- Sugar fatty acid esters and addition products of ethylene oxide with sugar fatty acid esters,
- Adducts of ethylene oxide with fatty acid alkanolamides and fatty amines,
- Sugar surfactants of the alkyl and alkenyl oligoglycoside type of the formula (T-II),
in which R 4 is an alkyl or alkenyl radical having 4 to 22 carbon atoms, G is a sugar radical having 5 or 6 carbon atoms and p is a number from 1 to 10. They can be obtained by the relevant methods of preparative organic chemistry. The alkyl and alkenyl oligoglycosides can be derived from aldoses or ketoses with 5 or 6 carbon atoms, preferably glucose. The preferred alkyl and / or alkenyl oligoglycosides are thus alkyl and / or alkenyl oligoglucosides. The index number p in the general formula (T-II) indicates the degree of oligomerization (DP), ie the distribution of mono- and oligoglycosides and stands for a number between 1 and 10. While p in the individual molecule must always be integer and here before For all given values p = 1 to 6, the value p for a given alkyloligoglycoside is an analytically determined arithmetic quantity, which usually represents a fractional number. Preference is given to using alkyl and / or alkenyl oligoglycosides having an average degree of oligomerization p of from 1.1 to 3.0. From an application point of view, those alkyl and / or alkenyl oligoglycosides whose degree of oligomerization is less than 1.7 and in particular between 1.2 and 1.4 are preferred. The alkyl or alkenyl radical R 4 can be derived from primary alcohols having 4 to 11, preferably 8 to 10 carbon atoms. Typical examples are butanol, caproic alcohol, caprylic alcohol, capric alcohol and undecyl alcohol and technical mixtures thereof, as obtained, for example, in the hydrogenation of technical fatty acid methyl esters or in the hydrogenation of aldehydes from Roelen's oxo synthesis. Preference is given to alkyl oligoglucosides of the chain length C 8 -C 10 (DP = 1 to 3) which are obtained as a feedstock in the distillative separation of technical C 8 -C 18 coconut fatty alcohol and in a proportion of less than 6% by weight C 12 - Alcohol may be contaminated as well as alkyl oligoglucosides based on technical C 9/11 oxo alcohols (DP = 1 to 3). The alkyl or alkenyl radical R 4 can also be derived from primary alcohols having 12 to 22, preferably 12 to 14 carbon atoms. Typical examples are lauryl alcohol, myristyl alcohol, cetyl alcohol, palmoleyl alcohol, stearyl alcohol, isostearyl alcohol, oleyl alcohol, elaidyl alcohol, petroselinyl alcohol, arachyl alcohol, gadoleyl alcohol, behenyl alcohol, erucyl alcohol, brassidyl alcohol, and technical mixtures thereof which can be obtained as described above. Preference is given to alkyl oligoglucosides based on hydrogenated C 12/14 coconut alcohol having a DP of 1 to 3.R 4 O- [G] p (T-II)
Als ganz besonders bevorzugte nichtionische Tenside haben sich die Alkylenoxid-Anlagerungsprodukte an gesättigte lineare Fettalkohole und Fettsäuren mit jeweils 2 bis 100 Mol Ethylenoxid pro Mol Fettalkohol bzw. Fettsäure erwiesen. Zubereitungen mit hervorragenden Eigenschaften werden ebenfalls erhalten, wenn sie als nichtionische Tenside C12-C30-Fettsäuremono- und -diester von Anlagerungsprodukten von 1 bis 30 Mol Ethylenoxid an Glycerin und/oder Anlagerungsprodukte von 5 bis 60 Mol Ethylenoxid an Rizinusöl und gehärtetes Rizinusöl enthalten. As very particularly preferred nonionic surfactants, the alkylene oxide addition products of saturated linear fatty alcohols and fatty acids having in each case 2 to 100 moles of ethylene oxide per mole of fatty alcohol or fatty acid have been found. Preparations with excellent properties are also obtained when they contain as nonionic surfactants C 12 -C 30 fatty acid mono- and diesters of addition products of 1 to 30 moles of ethylene oxide with glycerol and / or addition products of 5 to 60 moles of ethylene oxide with castor oil and hydrogenated castor oil ,
Ganz besonders bevorzugt enthalten die erfindungsgemäßen Zubereitungen als Tensid mindestens ein Anlagerungsprodukt von 15 bis 100 Mol Ethylenoxid, insbesondere von 15 bis 50 Mol Ethylenoxid an einen linearen oder verzweigten (insbesondere linearen) Fettalkohol mit 8 bis 22 Kohlenstoffatomen und/oder an Rizinusöl. Es handelt sich dabei ganz besonders bevorzugt um Ceteareth-15, Ceteareth-25 oder Ceteareth-50, welche als Eumulgin® CS 15 (COGNIS), Cremophor A25 (BASF SE) bzw. Eumulgin® CS 50 (COGNIS) vermarktet werden, oder um PEG-40 Hydrogenated Castor Oil, das als Eumulgin® CO 455 vermarktet wird. With very particular preference the preparations according to the invention contain as surfactant at least one adduct of 15 to 100 moles of ethylene oxide, in particular 15 to 50 moles of ethylene oxide with a linear or branched (especially linear) fatty alcohol having 8 to 22 carbon atoms and / or with castor oil. These are very particularly preferably ceteareth-15, ceteareth-25 or ceteareth-50, which are marketed as Eumulgin ® CS 15 (Cognis), Cremophor A25 (BASF SE) or Eumulgin ® CS 50 (Cognis), or PEG-40 Hydrogenated Castor Oil marketed as Eumulgin ® CO 455th
Bevorzugte Aerosolzusammensetzungen sind dadurch gekennzeichnet, dass die Zubereitung b) mindestens ein nichtionisches Tensid, vorzugsweise ein nichtionisches Tensid aus der Gruppe der alkoxylierten Fettalkohole und/oder des alkoxylierten Rizinusöls, enthält. Preferred aerosol compositions are characterized in that the preparation b) contains at least one nonionic surfactant, preferably a nonionic surfactant from the group of the alkoxylated fatty alcohols and / or the alkoxylated castor oil.
Als anionische Tenside eignen sich prinzipiell alle für die Verwendung am menschlichen Körper geeigneten anionischen oberflächenaktiven Stoffe. Diese sind gekennzeichnet durch eine wasserlöslich machende, anionische Gruppe wie z. B. eine Carboxylat-, Sulfat-, Sulfonat- oder Phosphat-Gruppe und eine lipophile Alkylgruppe mit etwa 8 bis 30 Kohlenstoffatomen. Zusätzlich können im Molekül Glykol- oder Polyglykolether-Gruppen, Ester-, Ether- und Amidgruppen sowie Hydroxylgruppen enthalten sein. Beispiele für geeignete anionische Tenside sind, jeweils in Form der Natrium-, Kalium- und Ammonium- sowie der Mono-, Di- und Trialkanolammoniumsalze mit 2 bis 4 Kohlenstoffatomen in der Alkanolgruppe,
- – lineare und verzweigte Fettsäuren mit 8 bis 30 Kohlenstoffatomen (Seifen),
- – Ethercarbonsäuren der Formel R-O-(CH2-CH2O)x-CH2-COOH, in der R eine lineare Alkylgruppe mit 8 bis 30 Kohlenstoffatomen und x = 0 oder 1 bis 16 ist,
- – Acylsarcoside mit 8 bis 24 Kohlenstoffatomen in der Acylgruppe,
- – Acyltauride mit 8 bis 24 Kohlenstoffatomen in der Acylgruppe,
- – Acylisethionate mit 8 bis 24 Kohlenstoffatomen in der Acylgruppe,
- – Sulfobernsteinsäuremono- und -dialkylester mit 8 bis 24 Kohlenstoffatomen in der Alkylgruppe und Sulfobernsteinsäuremono-alkylpolyoxyethylester mit 8 bis 24 Kohlenstoffatomen in der Alkylgruppe und 1 bis 6 Oxyethylgruppen,
- – lineare Alkansulfonate mit 8 bis 24 Kohlenstoffatomen,
- – lineare Alpha-Olefinsulfonate mit 8 bis 24 Kohlenstoffatomen,
- – Alpha-Sulfofettsäuremethylester von Fettsäuren mit 8 bis 30 Kohlenstoffatomen,
- – Alkylsulfate und Alkylpolyglykolethersulfate der Formel R-O(CH2-CH2O)x-OSO3H, in der R eine bevorzugt lineare Alkylgruppe mit 8 bis 30 Kohlenstoffatomen und x = 0 oder 1 bis 12 ist,
- – Gemische oberflächenaktiver Hydroxysulfonate,
- – sulfatierte Hydroxyalkylpolyethylen- und/oder Hydroxyalkylenpropylenglykolether,
- – Sulfonate ungesättigter Fettsäuren mit 8 bis 24 Kohlenstoffatomen und 1 bis 6 Doppelbindungen,
- – Ester der Weinsäure und Zitronensäure mit Alkoholen, die Anlagerungsprodukte von etwa 2 bis 15 Molekülen Ethylenoxid und/oder Propylenoxid an Fettalkohole mit 8 bis 22 Kohlenstoffatomen darstellen,
- – Alkyl- und/oder Alkenyletherphosphate der Formel (T-V), in der R1 bevorzugt für einen aliphatischen Kohlenwasserstoffrest mit 8 bis 30 Kohlenstoffatomen, R2 für Wasserstoff, einen Rest (CH2CH2O)nR1 oder X, n für Zahlen von 1 bis 10 und X für Wasserstoff, ein Alkali- oder Erdalkalimetall oder NR3R4R5R6, mit R3 bis R6 unabhängig voneinander stehend für Wasserstoff oder einen C1 bis C4-Kohlenwasserstoffrest, steht,
- – sulfatierte Fettsäurealkylenglykolester der Formel (T-VI)
in der R7CO- für einen linearen oder verzweigten, aliphatischen, gesättigten und/oder ungesättigten Acylrest mit 6 bis 22 Kohlenstoffatomen, Alk für CH2CH2, CHCH3CH2 und/oder CH2CHCH3, n für Zahlen von 0,5 bis 5 und M für ein Kation steht,R7CO(AlkO)nSO3M (T-VI) - – Monoglyceridsulfate und Monoglyceridethersulfate der Formel (T-VII) in der R8CO für einen linearen oder verzweigten Acylrest mit 6 bis 22 Kohlenstoffatomen, x, y und z in Summe für 0 oder für Zahlen von 1 bis 30, vorzugsweise 2 bis 10, und X für ein Alkali- oder Erdalkalimetall steht. Typische Beispiele für im Sinne der Erfindung geeignete Monoglycerid(ether)sulfate sind die Umsetzungsprodukte von Laurinsäuremonoglycerid, Kokosfettsäuremonoglycerid, Palmitinsäuremonoglycerid, Stearinsäuremonoglycerid, Ölsäuremonoglycerid und Talgfettsäuremonoglycerid sowie deren Ethylenoxidaddukte mit Schwefeltrioxid oder Chlorsulfonsäure in Form ihrer Natriumsalze. Vorzugsweise werden Monoglyceridsulfate der Formel (T-VII) eingesetzt, in der R8CO für einen linearen Acylrest mit 8 bis 18 Kohlenstoffatomen steht,
- – Amidethercarbonsäuren,
- – Kondensationsprodukte aus C8-C30-Fettalkoholen mit Proteinhydrolysaten und/oder Aminosäuren und deren Derivaten, welche dem Fachmann als Eiweissfettsäurekondensate bekannt sind, wie beispielsweise die Lamepon®-Typen, Gluadin®-Typen, Hostapon® KCG oder die Amisoft®-Typen.
- - linear and branched fatty acids with 8 to 30 carbon atoms (soaps),
- Ether carboxylic acids of the formula RO- (CH 2 -CH 2 O) x -CH 2 -COOH, in which R is a linear alkyl group having 8 to 30 carbon atoms and x = 0 or 1 to 16,
- Acylsarcosides having 8 to 24 carbon atoms in the acyl group,
- Acyltaurides having 8 to 24 carbon atoms in the acyl group,
- Acyl isethionates having 8 to 24 carbon atoms in the acyl group,
- Sulfosuccinic acid mono- and dialkyl esters having 8 to 24 carbon atoms in the alkyl group and sulfosuccinic acid monoalkyl polyoxyethyl esters having 8 to 24 carbon atoms in the alkyl group and 1 to 6 oxyethyl groups,
- Linear alkanesulfonates having 8 to 24 carbon atoms,
- Linear alpha-olefin sulfonates of 8 to 24 carbon atoms,
- Alpha-sulfofatty acid methyl esters of fatty acids containing from 8 to 30 carbon atoms,
- Alkyl sulfates and alkyl polyglycol ether sulfates of the formula RO (CH 2 -CH 2 O) x -OSO 3 H, in which R is a preferably linear alkyl group having 8 to 30 carbon atoms and x = 0 or 1 to 12,
- Mixtures of hydroxysulfonates,
- Sulfated hydroxyalkylpolyethylene and / or hydroxyalkylene glycol ethers,
- Sulfonates of unsaturated fatty acids having 8 to 24 carbon atoms and 1 to 6 double bonds,
- Esters of tartaric acid and citric acid with alcohols which are adducts of about 2 to 15 molecules of ethylene oxide and / or propylene oxide with fatty alcohols containing 8 to 22 carbon atoms,
- Alkyl and / or alkenyl ether phosphates of the formula (TV), in the R 1 is preferably an aliphatic hydrocarbon radical having 8 to 30 carbon atoms, R 2 is hydrogen, a radical (CH 2 CH 2 O) n R 1 or X, n is from 1 to 10 and X is hydrogen, an alkali metal radical or alkaline earth metal or NR 3 R 4 R 5 R 6 , where R 3 to R 6 independently of one another represent hydrogen or a C 1 to C 4 -hydrocarbon radical,
- Sulfated fatty acid alkylene glycol esters of the formula (T-VI)
in the R 7 CO- is a linear or branched, aliphatic, saturated and / or unsaturated acyl radical having 6 to 22 carbon atoms, Alk is CH 2 CH 2 , CHCH 3 CH 2 and / or CH 2 CHCH 3 , n is 0 , 5 to 5 and M is a cation,R 7 CO (AlkO) n SO 3 M (T-VI) - Monoglyceride sulfates and monoglyceride ether sulfates of the formula (T-VII) in which R 8 CO is a linear or branched acyl radical having 6 to 22 carbon atoms, x, y and z are in total 0 or numbers of 1 to 30, preferably 2 to 10, and X is an alkali or alkaline earth metal. Typical examples of monoglyceride (ether) sulfates suitable for the purposes of the invention are the reaction products of lauric acid monoglyceride, coconut fatty acid monoglyceride, palmitic acid monoglyceride, stearic acid monoglyceride, oleic acid monoglyceride and tallow fatty acid monoglyceride and their ethylene oxide adducts with sulfur trioxide or chlorosulfonic acid in the form of their sodium salts. Preferably use is made of monoglyceride sulfates of the formula (T-VII) in which R 8 CO is a linear acyl radical having 8 to 18 carbon atoms,
- - amide ether carboxylic acids,
- - condensation products of C 8 -C 30 fatty alcohols with protein hydrolysates and / or amino acids and their derivatives, which are known to the skilled person as protein fatty acid condensates, such as Lamepon ® grades, Gluadin ® grades, Hostapon ® KCG or Amisoft ® grades ,
Als zwitterionische Tenside werden solche oberflächenaktiven Verbindungen bezeichnet, die im Molekül mindestens eine quartäre Ammoniumgruppe und mindestens eine -COO(–)- oder –SO3 (–)-Gruppe tragen. Besonders geeignete zwitterionische Tenside sind die sogenannten Betaine Zwitterionic surfactants are those surface-active compounds which carry in the molecule at least one quaternary ammonium group and at least one -COO (-) or -SO 3 (-) group. Particularly suitable zwitterionic surfactants are the so-called betaines
wie die N-Alkyl-N,N-dimethylammonium-glycinate, beispielsweise das Kokosalkyl-dimethylammonium-glycinat, N-Acyl-aminopropyl-N,N-dimethylammoniumglycinate, beispielsweise das Kokosacylaminopropyl-dimethylammoniumglycinat, und 2-Alkyl-3-carboxymethyl-3-hydroxyethyl-imidazoline mit jeweils 8 bis 18 C-Atomen in der Alkyl- oder Acylgruppe sowie das Kokosacylaminoethylhydroxyethylcarboxymethylglycinat. Ein bevorzugtes zwitterionisches Tensid ist das unter der INCI-Bezeichnung Cocamidopropyl Betaine bekannte Fettsäureamid-Derivat. such as the N-alkyl-N, N-dimethylammonium glycinates, for example, the cocoalkyl dimethylammonium glycinate, N-acyl-aminopropyl-N, N-dimethylammoniumglycinate, for example Kokosacylaminopropyl-dimethylammoniumglycinat, and 2-alkyl-3-carboxymethyl-3 Hydroxyethyl imidazolines each having 8 to 18 carbon atoms in the alkyl or acyl group and Kokosacylaminoethylhydroxyethylcarboxymethylglycinat. A preferred zwitterionic surfactant is the fatty acid amide derivative known by the INCI name Cocamidopropyl Betaine.
Unter Ampholyten werden solche oberflächenaktiven Verbindungen verstanden, die außer einer C8-C24-Alkyl- oder -Acylgruppe im Molekül mindestens eine freie Aminogruppe und mindestens eine -COOH- oder -SO3H-Gruppe enthalten und zur Ausbildung innerer Salze befähigt sind. Beispiele für geeignete Ampholyte sind N-Alkylglycine, N-Alkylpropionsäuren, N-Alkylaminobuttersäuren, N-Alkyliminodipropionsäuren, N-Hydroxyethyl-N-alkylamidopropylglycine, N-Alkyltaurine, N-Alkylsarcosine, 2-Alkylaminopropionsäuren und Alkylaminoessigsäuren mit jeweils etwa 8 bis 24 Kohlenstoffatomen in der Alkylgruppe. Besonders bevorzugte Ampholyte sind das N-Kokosalkylaminopropionat, das Kokosacylaminoethyl-aminopropionat und das C12-C18-Acylsarcosin. Ampholytes are understood as meaning those surface-active compounds which, in addition to a C 8 -C 24 -alkyl or -acyl group in the molecule, contain at least one free amino group and at least one -COOH or -SO 3 H group and are capable of forming internal salts. Examples of suitable ampholytes are N-alkylglycines, N-alkylpropionic acids, N-alkylaminobutyric acids, N-alkyliminodipropionic acids, N-hydroxyethyl-N-alkylamidopropylglycines, N-alkyltaurines, N-alkylsarcosines, 2-alkylaminopropionic acids and alkylaminoacetic acids each having about 8 to 24 carbon atoms in the alkyl group. Particularly preferred ampholytes are N-cocoalkylaminopropionate, cocoacylaminoethyl-aminopropionate and C 12 -C 18 acylsarcosine.
Im Rahmen einer erfindungsgemäß bevorzugten Ausführungsform enthalten die kosmetischen Zubereitungen b) zusätzlich mindestens ein Siliconöl. Zu denen Silikonölen zählen z. B. Dialkyl- und Alkylarylsiloxane, wie beispielsweise Cyclopentasiloxan, Cyclohexasiloxan, Dimethylpolysiloxan und Methylphenylpolysiloxan, aber auch Hexamethyldisiloxan, Octamethyltrisiloxan und Decamethyltetrasiloxan zählen. Besonders bevorzugt sind flüchtige lineare Siliconöle, insbesondere Hexamethyldisiloxan (L2), Octamethyltrisiloxan (L3), Decamethyltetrasiloxan (L4), Dodecamethylpentasiloxan (L5), sowie beliebige Zweier-, Dreier und Vierermischungen aus L2, L3, L4 und/oder L5, wie sie z. B. in den Handelsprodukten Dow Corning 2-1184 Fluid, Dow Corning®200 (0,65 cSt) und Dow Corning®200 (1,5 cSt) von Dow Corning enthalten sind, wobei sich die Werte der kinematischen Viskosität auf eine Temperatur von 25°C beziehen. Within the scope of a preferred embodiment according to the invention, the cosmetic preparations b) additionally contain at least one silicone oil. To which silicone oils count z. Dialkyl and alkylaryl siloxanes such as cyclopentasiloxane, cyclohexasiloxane, dimethylpolysiloxane and methylphenylpolysiloxane, but also hexamethyldisiloxane, octamethyltrisiloxane and decamethyltetrasiloxane. Particularly preferred are volatile linear silicone oils, in particular hexamethyldisiloxane (L 2 ), octamethyltrisiloxane (L 3 ), decamethyltetrasiloxane (L 4 ), dodecamethylpentasiloxane (L 5 ), as well as any two, three and four mixtures of L 2 , L 3 , L 4 and / or L 5 , as z. B. in the commercial products Dow Corning 2-1184 Fluid, Dow Corning ® 200 (0.65 cSt), and Dow Corning ® 200 (1.5 cSt) from Dow Corning are included, the values of kinematic viscosity at a temperature from 25 ° C.
Neben den vorgenannten, üblicherweise als „flüchtigen“ Siliconölen bezeichneten Substanzen sowie neben den vorgenannten flüchtigen Nichtsiliconölen können erfindungsgemäß besonders bevorzugte kosmetische Zubereitungen a) weiterhin mindestens ein nichtflüchtiges kosmetisches Öl, ausgewählt aus nichtflüchtigen Siliconölen und nichtflüchtigen Nichtsiliconölen, enthalten. In addition to the abovementioned substances, which are usually referred to as "volatile" silicone oils, and in addition to the abovementioned volatile non-silicone oils, particularly preferred cosmetic preparations according to the invention may further comprise at least one nonvolatile cosmetic oil selected from nonvolatile silicone oils and non-volatile non-silicone oils.
Bevorzugte nichtflüchtige Siliconöle sind ausgewählt aus höhermolekularen linearen Dimethylpolysiloxanen, im Handel erhältlich z. B. unter der Bezeichnung Dow Corning®190, Dow Corning®200 Fluid mit kinematischen Viskositäten (25°C) im Bereich von 5 bis 100 cSt, bevorzugt 5 bis 50 cSt oder auch 5 bis 10 cSt, und Baysilon®350 M (mit einer kinematischen Viskosität (25°C) von etwa 350 cSt). Preferred nonvolatile silicone oils are selected from higher molecular weight linear dimethylpolysiloxanes, commercially available e.g. Example under the name Dow Corning ® 190, Dow Corning ® 200 fluid having kinematic viscosities (25 ° C) in the range of 5 to 100 cSt, preferably 5 to 50 cSt, or even 5 to 10 cSt, and Baysilon ® 350 M (with a kinematic viscosity (25 ° C) of about 350 cSt).
Die Verwendung einer erfindungsgemäßen Aerosolzusammensetzung zur temporären Umformung keratinischer Fasern ist ein weiterer Gegenstand dieser Anmeldung. The use of an aerosol composition according to the invention for the temporary transformation of keratinous fibers is a further subject of this application.
Beispiele: Examples:
Die Zusammensetzung einiger bevorzugter kosmetischer Aerosolzusammensetzungen kann den folgenden Tabellen entnommen werden (die Angaben beziehen sich jeweils auf Gew.-% AS der jeweiligen Komponente bezogen auf das Gesamtgewicht der Aerosolzusammensetzung, sofern nicht anders angegeben).
ZITATE ENTHALTEN IN DER BESCHREIBUNG QUOTES INCLUDE IN THE DESCRIPTION
Diese Liste der vom Anmelder aufgeführten Dokumente wurde automatisiert erzeugt und ist ausschließlich zur besseren Information des Lesers aufgenommen. Die Liste ist nicht Bestandteil der deutschen Patent- bzw. Gebrauchsmusteranmeldung. Das DPMA übernimmt keinerlei Haftung für etwaige Fehler oder Auslassungen.This list of the documents listed by the applicant has been generated automatically and is included solely for the better information of the reader. The list is not part of the German patent or utility model application. The DPMA assumes no liability for any errors or omissions.
Zitierte PatentliteraturCited patent literature
- DE 19738866 A [0104] DE 19738866A [0104]
Claims (10)
Priority Applications (2)
| Application Number | Priority Date | Filing Date | Title |
|---|---|---|---|
| DE102013226808.4A DE102013226808A1 (en) | 2013-12-20 | 2013-12-20 | Nourishing blowing agent containing hair cosmetic |
| PCT/EP2014/074301 WO2015090736A1 (en) | 2013-12-20 | 2014-11-12 | Blowing agent-containing hair care cosmetic |
Applications Claiming Priority (1)
| Application Number | Priority Date | Filing Date | Title |
|---|---|---|---|
| DE102013226808.4A DE102013226808A1 (en) | 2013-12-20 | 2013-12-20 | Nourishing blowing agent containing hair cosmetic |
Publications (1)
| Publication Number | Publication Date |
|---|---|
| DE102013226808A1 true DE102013226808A1 (en) | 2015-06-25 |
Family
ID=51894041
Family Applications (1)
| Application Number | Title | Priority Date | Filing Date |
|---|---|---|---|
| DE102013226808.4A Withdrawn DE102013226808A1 (en) | 2013-12-20 | 2013-12-20 | Nourishing blowing agent containing hair cosmetic |
Country Status (2)
| Country | Link |
|---|---|
| DE (1) | DE102013226808A1 (en) |
| WO (1) | WO2015090736A1 (en) |
Cited By (1)
| Publication number | Priority date | Publication date | Assignee | Title |
|---|---|---|---|---|
| EP3687485A4 (en) * | 2017-09-25 | 2021-07-07 | Innospec Limited | AQUATIC HAIR CARE COMPOSITIONS AND PROCEDURES |
Citations (1)
| Publication number | Priority date | Publication date | Assignee | Title |
|---|---|---|---|---|
| DE19738866A1 (en) | 1997-09-05 | 1999-03-11 | Henkel Kgaa | Low-foaming surfactant mixtures with hydroxy mixed ethers |
Family Cites Families (2)
| Publication number | Priority date | Publication date | Assignee | Title |
|---|---|---|---|---|
| WO2013019969A2 (en) * | 2011-08-03 | 2013-02-07 | Melaleuca, Inc. | Hair care compositions |
| DE102011088148A1 (en) * | 2011-12-09 | 2013-06-13 | Henkel Ag & Co. Kgaa | Propellant-containing cosmetic agent |
-
2013
- 2013-12-20 DE DE102013226808.4A patent/DE102013226808A1/en not_active Withdrawn
-
2014
- 2014-11-12 WO PCT/EP2014/074301 patent/WO2015090736A1/en not_active Ceased
Patent Citations (1)
| Publication number | Priority date | Publication date | Assignee | Title |
|---|---|---|---|---|
| DE19738866A1 (en) | 1997-09-05 | 1999-03-11 | Henkel Kgaa | Low-foaming surfactant mixtures with hydroxy mixed ethers |
Cited By (1)
| Publication number | Priority date | Publication date | Assignee | Title |
|---|---|---|---|---|
| EP3687485A4 (en) * | 2017-09-25 | 2021-07-07 | Innospec Limited | AQUATIC HAIR CARE COMPOSITIONS AND PROCEDURES |
Also Published As
| Publication number | Publication date |
|---|---|
| WO2015090736A1 (en) | 2015-06-25 |
Similar Documents
| Publication | Publication Date | Title |
|---|---|---|
| EP2509574B1 (en) | Polymer combination for a shine-producing cosmetic hair treatment agent having strong hold and good hair feel | |
| EP2717846A1 (en) | Shine-producing hair-styling product with a strong hold, providing hair with a pleasant feel | |
| DE102010055842A1 (en) | Blowing agent-containing hairstyling compositions | |
| EP2456415B1 (en) | Agent for keratinous fibers, comprising at least one acrylate/glyceryl acrylate copolymer, at least one film-forming and/or solidifying polymer and at least one ester oil | |
| DE102009020552A1 (en) | Polymer combination of at least two different N-vinylpyrrolidone / N-vinylcaprolactam copolymers for glossy cosmetic hair treatment agents | |
| DE102012223978A1 (en) | Foam aerosol for volume increase | |
| EP2793837A2 (en) | Deformation means for keratin-containing fibers conveys strong hold and natural appearance | |
| EP3082745B1 (en) | Blowing agent-containing hair care cosmetic | |
| EP2461789A2 (en) | Hair treatment product comprising solid particles modified by polyethers and hair-fixing polymers | |
| DE102015225420A1 (en) | Active substance mixtures for styling agents | |
| EP2451530A2 (en) | Composition for keratin-containing fibres containing at least one special cellulose and at least one additional film-forming polymer and/or strengthening polymer | |
| DE102013226808A1 (en) | Nourishing blowing agent containing hair cosmetic | |
| DE102012223971A1 (en) | Foam aerosol for volume increase | |
| DE102011089404A1 (en) | Use of at least one anteiso (C8-C30) carboxylic acid for moisture resistant heat styling | |
| EP3082963B1 (en) | Stylingspray with volume effect | |
| DE102013215914A1 (en) | Aerosol composition, useful for temporarily remodeling keratin fibers, comprises cosmetic preparation comprising solidifying agent, and blowing agent mixture comprising 1,1-difluoroethane, and second blowing agent comprising e.g. propane | |
| EP2651383B1 (en) | Temporary shaping of keratin-containing fibres using at least one special cycloalkane derivative | |
| DE102012223975A1 (en) | Foam aerosol for volume increase | |
| DE102011089638A1 (en) | Cosmetic agent useful for temporary shaping of keratinous fibers, preferably human hair, comprises mixture of alkane with eight-twenty carbon atoms, liquid polydimethylsiloxane and dimethiconol, and solidifying active substance, in carrier | |
| DE102012223999A1 (en) | Saline styling agents | |
| DE102011089028A1 (en) | Cosmetic agent for the temporary transformation of keratin fibers | |
| EP2626062A2 (en) | Cosmetic agent containing (C8 to C20) alkanes, dimethyl polysiloxane, dimethiconol and at least one fixing agent |
Legal Events
| Date | Code | Title | Description |
|---|---|---|---|
| R119 | Application deemed withdrawn, or ip right lapsed, due to non-payment of renewal fee |





















