DE102004048877A1 - New tricyclic thiazole derivatives useful as PI3 kinase inhibitors, for treating e.g. inflammatory and allergic airway and skin diseases, autoimmune and kidney disease - Google Patents
New tricyclic thiazole derivatives useful as PI3 kinase inhibitors, for treating e.g. inflammatory and allergic airway and skin diseases, autoimmune and kidney disease Download PDFInfo
- Publication number
- DE102004048877A1 DE102004048877A1 DE102004048877A DE102004048877A DE102004048877A1 DE 102004048877 A1 DE102004048877 A1 DE 102004048877A1 DE 102004048877 A DE102004048877 A DE 102004048877A DE 102004048877 A DE102004048877 A DE 102004048877A DE 102004048877 A1 DE102004048877 A1 DE 102004048877A1
- Authority
- DE
- Germany
- Prior art keywords
- alkyl
- group
- optionally substituted
- methyl
- radical selected
- Prior art date
- Legal status (The legal status is an assumption and is not a legal conclusion. Google has not performed a legal analysis and makes no representation as to the accuracy of the status listed.)
- Withdrawn
Links
- 230000002757 inflammatory effect Effects 0.000 title claims description 20
- 230000001363 autoimmune Effects 0.000 title claims description 5
- 208000017520 skin disease Diseases 0.000 title claims description 5
- 150000007979 thiazole derivatives Chemical class 0.000 title abstract 3
- 208000028004 allergic respiratory disease Diseases 0.000 title description 3
- 208000023275 Autoimmune disease Diseases 0.000 title description 2
- 239000002935 phosphatidylinositol 3 kinase inhibitor Substances 0.000 title description 2
- 208000017169 kidney disease Diseases 0.000 title 1
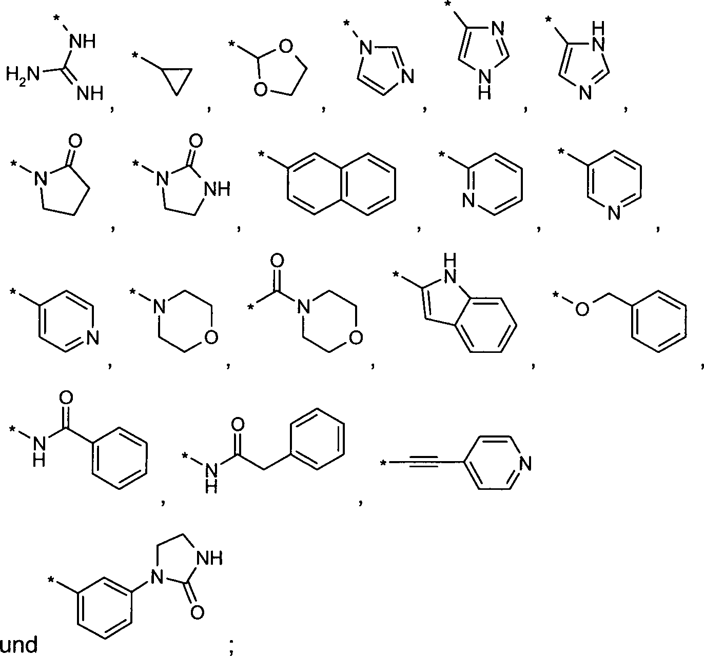
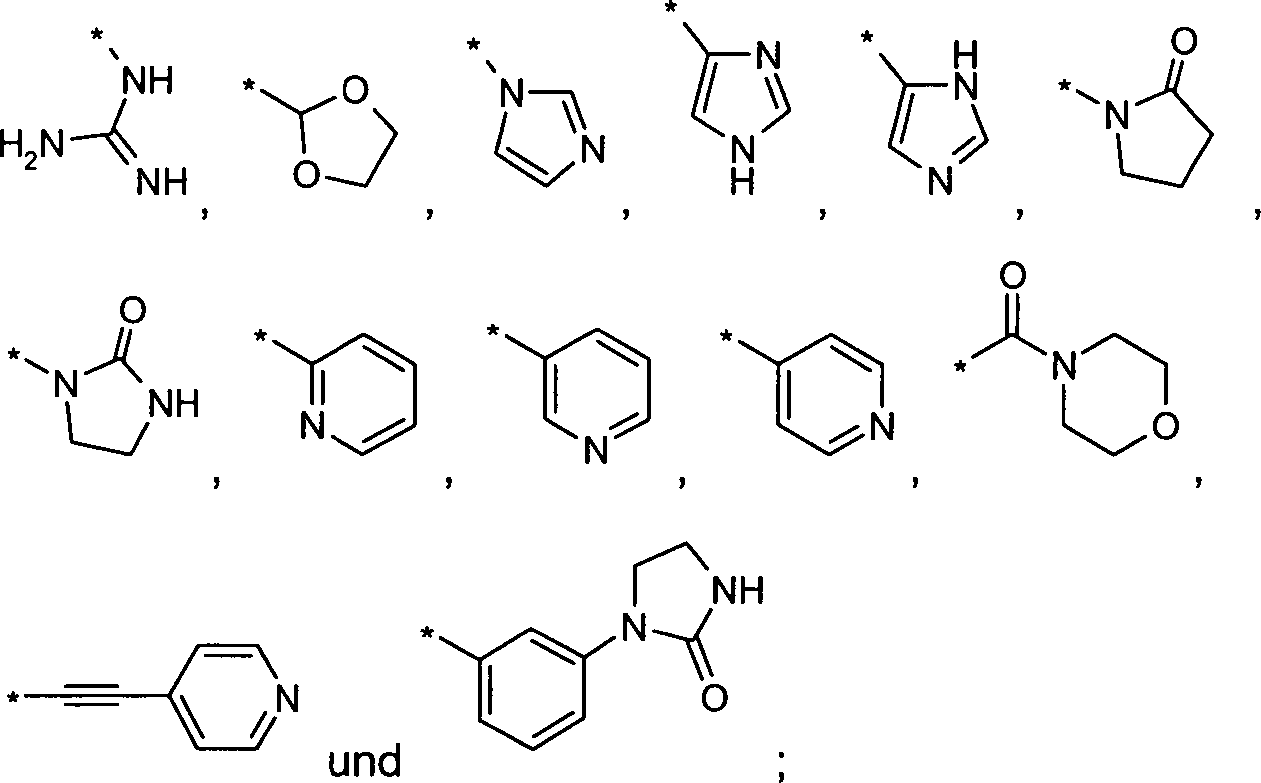
- 125000000217 alkyl group Chemical group 0.000 claims abstract description 415
- 229910052799 carbon Inorganic materials 0.000 claims abstract description 321
- -1 isomers Chemical class 0.000 claims abstract description 312
- 125000003118 aryl group Chemical group 0.000 claims abstract description 158
- 125000001072 heteroaryl group Chemical group 0.000 claims abstract description 117
- 229910052757 nitrogen Inorganic materials 0.000 claims abstract description 76
- 150000003839 salts Chemical class 0.000 claims abstract description 69
- 125000003710 aryl alkyl group Chemical group 0.000 claims abstract description 68
- 150000004677 hydrates Chemical class 0.000 claims abstract description 64
- 239000012453 solvate Substances 0.000 claims abstract description 61
- XEEYBQQBJWHFJM-UHFFFAOYSA-N Iron Chemical compound [Fe] XEEYBQQBJWHFJM-UHFFFAOYSA-N 0.000 claims abstract description 47
- 125000003003 spiro group Chemical group 0.000 claims abstract description 44
- 125000005842 heteroatom Chemical group 0.000 claims abstract description 35
- 125000000304 alkynyl group Chemical group 0.000 claims abstract description 30
- 229910052717 sulfur Inorganic materials 0.000 claims abstract description 29
- 125000005843 halogen group Chemical group 0.000 claims abstract description 28
- 108090000430 Phosphatidylinositol 3-kinases Proteins 0.000 claims abstract description 27
- 102000003993 Phosphatidylinositol 3-kinases Human genes 0.000 claims abstract description 26
- 125000006297 carbonyl amino group Chemical group [H]N([*:2])C([*:1])=O 0.000 claims abstract description 26
- 229910052760 oxygen Inorganic materials 0.000 claims abstract description 25
- 125000000392 cycloalkenyl group Chemical group 0.000 claims abstract description 22
- 125000003342 alkenyl group Chemical group 0.000 claims abstract description 14
- 125000003178 carboxy group Chemical group [H]OC(*)=O 0.000 claims abstract description 13
- 230000000694 effects Effects 0.000 claims abstract description 11
- 229910052739 hydrogen Inorganic materials 0.000 claims description 237
- 125000002496 methyl group Chemical group [H]C([H])([H])* 0.000 claims description 202
- 150000001875 compounds Chemical class 0.000 claims description 136
- IJGRMHOSHXDMSA-UHFFFAOYSA-N Atomic nitrogen Chemical group N#N IJGRMHOSHXDMSA-UHFFFAOYSA-N 0.000 claims description 121
- 125000005913 (C3-C6) cycloalkyl group Chemical group 0.000 claims description 98
- 125000001495 ethyl group Chemical group [H]C([H])([H])C([H])([H])* 0.000 claims description 81
- HBAQYPYDRFILMT-UHFFFAOYSA-N 8-[3-(1-cyclopropylpyrazol-4-yl)-1H-pyrazolo[4,3-d]pyrimidin-5-yl]-3-methyl-3,8-diazabicyclo[3.2.1]octan-2-one Chemical class C1(CC1)N1N=CC(=C1)C1=NNC2=C1N=C(N=C2)N1C2C(N(CC1CC2)C)=O HBAQYPYDRFILMT-UHFFFAOYSA-N 0.000 claims description 61
- 125000001436 propyl group Chemical group [H]C([*])([H])C([H])([H])C([H])([H])[H] 0.000 claims description 61
- 229910052736 halogen Inorganic materials 0.000 claims description 59
- 150000002367 halogens Chemical class 0.000 claims description 59
- 125000000882 C2-C6 alkenyl group Chemical group 0.000 claims description 58
- 239000000460 chlorine Substances 0.000 claims description 54
- 125000000171 (C1-C6) haloalkyl group Chemical group 0.000 claims description 53
- 125000004432 carbon atom Chemical group C* 0.000 claims description 52
- 125000001997 phenyl group Chemical group [H]C1=C([H])C([H])=C(*)C([H])=C1[H] 0.000 claims description 50
- 125000003601 C2-C6 alkynyl group Chemical group 0.000 claims description 44
- 125000000896 monocarboxylic acid group Chemical group 0.000 claims description 38
- 125000000956 methoxy group Chemical group [H]C([H])([H])O* 0.000 claims description 31
- 229910052801 chlorine Inorganic materials 0.000 claims description 29
- NINIDFKCEFEMDL-UHFFFAOYSA-N Sulfur Chemical group [S] NINIDFKCEFEMDL-UHFFFAOYSA-N 0.000 claims description 27
- 229910052794 bromium Inorganic materials 0.000 claims description 27
- 229910052731 fluorine Inorganic materials 0.000 claims description 27
- 239000011593 sulfur Chemical group 0.000 claims description 27
- 239000001301 oxygen Substances 0.000 claims description 24
- QVGXLLKOCUKJST-UHFFFAOYSA-N atomic oxygen Chemical group [O] QVGXLLKOCUKJST-UHFFFAOYSA-N 0.000 claims description 23
- QJGQUHMNIGDVPM-UHFFFAOYSA-N nitrogen group Chemical group [N] QJGQUHMNIGDVPM-UHFFFAOYSA-N 0.000 claims description 21
- 125000001797 benzyl group Chemical group [H]C1=C([H])C([H])=C(C([H])=C1[H])C([H])([H])* 0.000 claims description 19
- OKTJSMMVPCPJKN-UHFFFAOYSA-N Carbon Chemical group [C] OKTJSMMVPCPJKN-UHFFFAOYSA-N 0.000 claims description 18
- ZRALSGWEFCBTJO-UHFFFAOYSA-N Guanidine Chemical compound NC(N)=N ZRALSGWEFCBTJO-UHFFFAOYSA-N 0.000 claims description 18
- 125000000623 heterocyclic group Chemical group 0.000 claims description 18
- 125000002947 alkylene group Chemical group 0.000 claims description 17
- 206010006451 bronchitis Diseases 0.000 claims description 16
- 125000000113 cyclohexyl group Chemical group [H]C1([H])C([H])([H])C([H])([H])C([H])(*)C([H])([H])C1([H])[H] 0.000 claims description 16
- 201000010099 disease Diseases 0.000 claims description 15
- 208000037265 diseases, disorders, signs and symptoms Diseases 0.000 claims description 15
- PVOAHINGSUIXLS-UHFFFAOYSA-N 1-Methylpiperazine Chemical compound CN1CCNCC1 PVOAHINGSUIXLS-UHFFFAOYSA-N 0.000 claims description 12
- 125000001511 cyclopentyl group Chemical group [H]C1([H])C([H])([H])C([H])([H])C([H])(*)C1([H])[H] 0.000 claims description 12
- 125000004765 (C1-C4) haloalkyl group Chemical group 0.000 claims description 11
- 125000006704 (C5-C6) cycloalkyl group Chemical group 0.000 claims description 11
- 125000003545 alkoxy group Chemical group 0.000 claims description 11
- 208000027866 inflammatory disease Diseases 0.000 claims description 11
- 125000006552 (C3-C8) cycloalkyl group Chemical group 0.000 claims description 10
- JOMNTHCQHJPVAZ-UHFFFAOYSA-N 2-methylpiperazine Chemical compound CC1CNCCN1 JOMNTHCQHJPVAZ-UHFFFAOYSA-N 0.000 claims description 10
- 230000000172 allergic effect Effects 0.000 claims description 10
- 125000000484 butyl group Chemical group [H]C([*])([H])C([H])([H])C([H])([H])C([H])([H])[H] 0.000 claims description 10
- 238000006243 chemical reaction Methods 0.000 claims description 10
- 125000001309 chloro group Chemical group Cl* 0.000 claims description 10
- YAMHXTCMCPHKLN-UHFFFAOYSA-N imidazolidin-2-one Chemical compound O=C1NCCN1 YAMHXTCMCPHKLN-UHFFFAOYSA-N 0.000 claims description 10
- CHJJGSNFBQVOTG-UHFFFAOYSA-N N-methyl-guanidine Natural products CNC(N)=N CHJJGSNFBQVOTG-UHFFFAOYSA-N 0.000 claims description 9
- 208000026935 allergic disease Diseases 0.000 claims description 9
- 125000001559 cyclopropyl group Chemical group [H]C1([H])C([H])([H])C1([H])* 0.000 claims description 9
- SWSQBOPZIKWTGO-UHFFFAOYSA-N dimethylaminoamidine Natural products CN(C)C(N)=N SWSQBOPZIKWTGO-UHFFFAOYSA-N 0.000 claims description 9
- 125000002541 furyl group Chemical group 0.000 claims description 9
- 208000010668 atopic eczema Diseases 0.000 claims description 8
- 125000000587 piperidin-1-yl group Chemical group [H]C1([H])N(*)C([H])([H])C([H])([H])C([H])([H])C1([H])[H] 0.000 claims description 8
- 125000004368 propenyl group Chemical group C(=CC)* 0.000 claims description 8
- 206010010741 Conjunctivitis Diseases 0.000 claims description 7
- 239000003814 drug Substances 0.000 claims description 7
- QQONPFPTGQHPMA-UHFFFAOYSA-N propylene Natural products CC=C QQONPFPTGQHPMA-UHFFFAOYSA-N 0.000 claims description 7
- 125000004805 propylene group Chemical group [H]C([H])([H])C([H])([*:1])C([H])([H])[*:2] 0.000 claims description 7
- 206010001889 Alveolitis Diseases 0.000 claims description 6
- 208000000592 Nasal Polyps Diseases 0.000 claims description 6
- IYABWNGZIDDRAK-UHFFFAOYSA-N allene Chemical group C=C=C IYABWNGZIDDRAK-UHFFFAOYSA-N 0.000 claims description 6
- 125000005622 butynylene group Chemical group 0.000 claims description 6
- 201000001155 extrinsic allergic alveolitis Diseases 0.000 claims description 6
- 208000022098 hypersensitivity pneumonitis Diseases 0.000 claims description 6
- 206010025135 lupus erythematosus Diseases 0.000 claims description 6
- 201000003883 Cystic fibrosis Diseases 0.000 claims description 5
- 206010061218 Inflammation Diseases 0.000 claims description 5
- 206010039085 Rhinitis allergic Diseases 0.000 claims description 5
- 208000006673 asthma Diseases 0.000 claims description 5
- 125000003754 ethoxycarbonyl group Chemical group C(=O)(OCC)* 0.000 claims description 5
- 208000015181 infectious disease Diseases 0.000 claims description 5
- 230000004054 inflammatory process Effects 0.000 claims description 5
- 125000001972 isopentyl group Chemical group [H]C([H])([H])C([H])(C([H])([H])[H])C([H])([H])C([H])([H])* 0.000 claims description 5
- 125000001570 methylene group Chemical group [H]C([H])([*:1])[*:2] 0.000 claims description 5
- 125000000954 2-hydroxyethyl group Chemical group [H]C([*])([H])C([H])([H])O[H] 0.000 claims description 4
- 208000011231 Crohn disease Diseases 0.000 claims description 4
- 241000233866 Fungi Species 0.000 claims description 4
- 208000024780 Urticaria Diseases 0.000 claims description 4
- 201000010105 allergic rhinitis Diseases 0.000 claims description 4
- 210000002850 nasal mucosa Anatomy 0.000 claims description 4
- 201000008383 nephritis Diseases 0.000 claims description 4
- 230000001225 therapeutic effect Effects 0.000 claims description 4
- 231100000331 toxic Toxicity 0.000 claims description 4
- 230000002588 toxic effect Effects 0.000 claims description 4
- 206010049153 Allergic sinusitis Diseases 0.000 claims description 3
- 206010002556 Ankylosing Spondylitis Diseases 0.000 claims description 3
- 206010008909 Chronic Hepatitis Diseases 0.000 claims description 3
- 206010010744 Conjunctivitis allergic Diseases 0.000 claims description 3
- 206010011224 Cough Diseases 0.000 claims description 3
- 206010014561 Emphysema Diseases 0.000 claims description 3
- 206010018364 Glomerulonephritis Diseases 0.000 claims description 3
- 206010035664 Pneumonia Diseases 0.000 claims description 3
- 206010035742 Pneumonitis Diseases 0.000 claims description 3
- 206010037423 Pulmonary oedema Diseases 0.000 claims description 3
- 206010039710 Scleroderma Diseases 0.000 claims description 3
- 206010046851 Uveitis Diseases 0.000 claims description 3
- 230000001684 chronic effect Effects 0.000 claims description 3
- 206010023332 keratitis Diseases 0.000 claims description 3
- 201000006417 multiple sclerosis Diseases 0.000 claims description 3
- 201000008482 osteoarthritis Diseases 0.000 claims description 3
- 239000008194 pharmaceutical composition Substances 0.000 claims description 3
- 208000005333 pulmonary edema Diseases 0.000 claims description 3
- 206010039073 rheumatoid arthritis Diseases 0.000 claims description 3
- 201000000306 sarcoidosis Diseases 0.000 claims description 3
- 208000002874 Acne Vulgaris Diseases 0.000 claims description 2
- 206010052613 Allergic bronchitis Diseases 0.000 claims description 2
- 201000004384 Alopecia Diseases 0.000 claims description 2
- 241000894006 Bacteria Species 0.000 claims description 2
- 208000035143 Bacterial infection Diseases 0.000 claims description 2
- 206010006458 Bronchitis chronic Diseases 0.000 claims description 2
- 206010009137 Chronic sinusitis Diseases 0.000 claims description 2
- 206010009900 Colitis ulcerative Diseases 0.000 claims description 2
- 206010012438 Dermatitis atopic Diseases 0.000 claims description 2
- 206010012442 Dermatitis contact Diseases 0.000 claims description 2
- 206010012468 Dermatitis herpetiformis Diseases 0.000 claims description 2
- 206010015150 Erythema Diseases 0.000 claims description 2
- 208000029523 Interstitial Lung disease Diseases 0.000 claims description 2
- 201000004681 Psoriasis Diseases 0.000 claims description 2
- 201000001263 Psoriatic Arthritis Diseases 0.000 claims description 2
- 208000036824 Psoriatic arthropathy Diseases 0.000 claims description 2
- 208000006311 Pyoderma Diseases 0.000 claims description 2
- 206010042033 Stevens-Johnson syndrome Diseases 0.000 claims description 2
- 231100000168 Stevens-Johnson syndrome Toxicity 0.000 claims description 2
- 201000009594 Systemic Scleroderma Diseases 0.000 claims description 2
- 206010042953 Systemic sclerosis Diseases 0.000 claims description 2
- 201000006704 Ulcerative Colitis Diseases 0.000 claims description 2
- 208000036142 Viral infection Diseases 0.000 claims description 2
- 206010047642 Vitiligo Diseases 0.000 claims description 2
- 206010000496 acne Diseases 0.000 claims description 2
- 208000002205 allergic conjunctivitis Diseases 0.000 claims description 2
- 208000004631 alopecia areata Diseases 0.000 claims description 2
- 208000024998 atopic conjunctivitis Diseases 0.000 claims description 2
- 201000008937 atopic dermatitis Diseases 0.000 claims description 2
- 230000001580 bacterial effect Effects 0.000 claims description 2
- 208000022362 bacterial infectious disease Diseases 0.000 claims description 2
- 201000009267 bronchiectasis Diseases 0.000 claims description 2
- 208000029771 childhood onset asthma Diseases 0.000 claims description 2
- 208000007451 chronic bronchitis Diseases 0.000 claims description 2
- 208000027157 chronic rhinosinusitis Diseases 0.000 claims description 2
- 208000010247 contact dermatitis Diseases 0.000 claims description 2
- 230000007812 deficiency Effects 0.000 claims description 2
- 229940079593 drug Drugs 0.000 claims description 2
- 231100000321 erythema Toxicity 0.000 claims description 2
- 230000003325 follicular Effects 0.000 claims description 2
- 208000024963 hair loss Diseases 0.000 claims description 2
- 230000003676 hair loss Effects 0.000 claims description 2
- 244000000013 helminth Species 0.000 claims description 2
- 208000006454 hepatitis Diseases 0.000 claims description 2
- 208000016036 idiopathic nephrotic syndrome Diseases 0.000 claims description 2
- 230000002458 infectious effect Effects 0.000 claims description 2
- 201000006334 interstitial nephritis Diseases 0.000 claims description 2
- 239000002085 irritant Substances 0.000 claims description 2
- 231100000021 irritant Toxicity 0.000 claims description 2
- 238000004519 manufacturing process Methods 0.000 claims description 2
- 208000037916 non-allergic rhinitis Diseases 0.000 claims description 2
- 230000007170 pathology Effects 0.000 claims description 2
- 230000002062 proliferating effect Effects 0.000 claims description 2
- 230000005855 radiation Effects 0.000 claims description 2
- 201000004700 rosacea Diseases 0.000 claims description 2
- 241000894007 species Species 0.000 claims description 2
- 201000000596 systemic lupus erythematosus Diseases 0.000 claims description 2
- 239000002753 trypsin inhibitor Substances 0.000 claims description 2
- 230000009385 viral infection Effects 0.000 claims description 2
- 230000000241 respiratory effect Effects 0.000 claims 1
- 102100036052 Phosphatidylinositol 4,5-bisphosphate 3-kinase catalytic subunit gamma isoform Human genes 0.000 abstract description 7
- 101710096503 Phosphatidylinositol 4,5-bisphosphate 3-kinase catalytic subunit gamma isoform Proteins 0.000 abstract description 7
- 230000003266 anti-allergic effect Effects 0.000 abstract description 2
- 239000003112 inhibitor Substances 0.000 abstract description 2
- 125000000753 cycloalkyl group Chemical group 0.000 abstract 4
- 125000002924 primary amino group Chemical group [H]N([H])* 0.000 abstract 3
- RAAIUGPDFKGVBE-UHFFFAOYSA-O CC(NN(C=C1CC2)N=C1C1=C2N=C[S+]1C1=CC=CC=C1)=O Chemical compound CC(NN(C=C1CC2)N=C1C1=C2N=C[S+]1C1=CC=CC=C1)=O RAAIUGPDFKGVBE-UHFFFAOYSA-O 0.000 abstract 2
- 101100516563 Caenorhabditis elegans nhr-6 gene Proteins 0.000 abstract 1
- 125000003806 alkyl carbonyl amino group Chemical group 0.000 abstract 1
- 125000004448 alkyl carbonyl group Chemical group 0.000 abstract 1
- 125000004390 alkyl sulfonyl group Chemical group 0.000 abstract 1
- 230000002456 anti-arthritic effect Effects 0.000 abstract 1
- 230000003110 anti-inflammatory effect Effects 0.000 abstract 1
- 230000002682 anti-psoriatic effect Effects 0.000 abstract 1
- 230000003356 anti-rheumatic effect Effects 0.000 abstract 1
- 230000000767 anti-ulcer Effects 0.000 abstract 1
- 239000003435 antirheumatic agent Substances 0.000 abstract 1
- 238000003556 assay Methods 0.000 abstract 1
- 125000004744 butyloxycarbonyl group Chemical group 0.000 abstract 1
- 230000001553 hepatotropic effect Effects 0.000 abstract 1
- 125000002768 hydroxyalkyl group Chemical group 0.000 abstract 1
- 230000005764 inhibitory process Effects 0.000 abstract 1
- 230000010534 mechanism of action Effects 0.000 abstract 1
- 230000000324 neuroprotective effect Effects 0.000 abstract 1
- 125000001181 organosilyl group Chemical group [SiH3]* 0.000 abstract 1
- 150000003254 radicals Chemical class 0.000 description 319
- YMWUJEATGCHHMB-UHFFFAOYSA-N Dichloromethane Chemical compound ClCCl YMWUJEATGCHHMB-UHFFFAOYSA-N 0.000 description 192
- XLYOFNOQVPJJNP-UHFFFAOYSA-N water Substances O XLYOFNOQVPJJNP-UHFFFAOYSA-N 0.000 description 120
- RTZKZFJDLAIYFH-UHFFFAOYSA-N Diethyl ether Chemical compound CCOCC RTZKZFJDLAIYFH-UHFFFAOYSA-N 0.000 description 110
- OKKJLVBELUTLKV-UHFFFAOYSA-N Methanol Chemical compound OC OKKJLVBELUTLKV-UHFFFAOYSA-N 0.000 description 108
- 239000000243 solution Substances 0.000 description 87
- 239000011541 reaction mixture Substances 0.000 description 83
- VEXZGXHMUGYJMC-UHFFFAOYSA-N Hydrochloric acid Chemical compound Cl VEXZGXHMUGYJMC-UHFFFAOYSA-N 0.000 description 79
- LFQSCWFLJHTTHZ-UHFFFAOYSA-N Ethanol Chemical compound CCO LFQSCWFLJHTTHZ-UHFFFAOYSA-N 0.000 description 78
- XEKOWRVHYACXOJ-UHFFFAOYSA-N Ethyl acetate Chemical compound CCOC(C)=O XEKOWRVHYACXOJ-UHFFFAOYSA-N 0.000 description 72
- 239000012074 organic phase Substances 0.000 description 63
- ZMXDDKWLCZADIW-UHFFFAOYSA-N N,N-Dimethylformamide Chemical compound CN(C)C=O ZMXDDKWLCZADIW-UHFFFAOYSA-N 0.000 description 60
- WYURNTSHIVDZCO-UHFFFAOYSA-N Tetrahydrofuran Chemical compound C1CCOC1 WYURNTSHIVDZCO-UHFFFAOYSA-N 0.000 description 56
- ZMANZCXQSJIPKH-UHFFFAOYSA-N Triethylamine Chemical compound CCN(CC)CC ZMANZCXQSJIPKH-UHFFFAOYSA-N 0.000 description 45
- 239000000047 product Substances 0.000 description 45
- HEMHJVSKTPXQMS-UHFFFAOYSA-M Sodium hydroxide Chemical compound [OH-].[Na+] HEMHJVSKTPXQMS-UHFFFAOYSA-M 0.000 description 42
- 239000002244 precipitate Substances 0.000 description 38
- QTBSBXVTEAMEQO-UHFFFAOYSA-N Acetic acid Chemical compound CC(O)=O QTBSBXVTEAMEQO-UHFFFAOYSA-N 0.000 description 36
- 238000001816 cooling Methods 0.000 description 32
- CSCPPACGZOOCGX-UHFFFAOYSA-N Acetone Chemical compound CC(C)=O CSCPPACGZOOCGX-UHFFFAOYSA-N 0.000 description 30
- BWHMMNNQKKPAPP-UHFFFAOYSA-L potassium carbonate Chemical compound [K+].[K+].[O-]C([O-])=O BWHMMNNQKKPAPP-UHFFFAOYSA-L 0.000 description 30
- JUJWROOIHBZHMG-UHFFFAOYSA-N Pyridine Chemical compound C1=CC=NC=C1 JUJWROOIHBZHMG-UHFFFAOYSA-N 0.000 description 25
- 239000000725 suspension Substances 0.000 description 25
- WFDIJRYMOXRFFG-UHFFFAOYSA-N Acetic anhydride Chemical compound CC(=O)OC(C)=O WFDIJRYMOXRFFG-UHFFFAOYSA-N 0.000 description 24
- 238000010992 reflux Methods 0.000 description 23
- 239000007787 solid Substances 0.000 description 22
- WEVYAHXRMPXWCK-UHFFFAOYSA-N Acetonitrile Chemical compound CC#N WEVYAHXRMPXWCK-UHFFFAOYSA-N 0.000 description 21
- VLKZOEOYAKHREP-UHFFFAOYSA-N n-Hexane Chemical compound CCCCCC VLKZOEOYAKHREP-UHFFFAOYSA-N 0.000 description 21
- FAPWRFPIFSIZLT-UHFFFAOYSA-M Sodium chloride Chemical compound [Na+].[Cl-] FAPWRFPIFSIZLT-UHFFFAOYSA-M 0.000 description 19
- HQKMJHAJHXVSDF-UHFFFAOYSA-L magnesium stearate Chemical compound [Mg+2].CCCCCCCCCCCCCCCCCC([O-])=O.CCCCCCCCCCCCCCCCCC([O-])=O HQKMJHAJHXVSDF-UHFFFAOYSA-L 0.000 description 18
- 239000000203 mixture Substances 0.000 description 18
- DLFVBJFMPXGRIB-UHFFFAOYSA-N Acetamide Chemical compound CC(N)=O DLFVBJFMPXGRIB-UHFFFAOYSA-N 0.000 description 16
- QGZKDVFQNNGYKY-UHFFFAOYSA-N Ammonia Chemical compound N QGZKDVFQNNGYKY-UHFFFAOYSA-N 0.000 description 16
- JGFZNNIVVJXRND-UHFFFAOYSA-N N,N-Diisopropylethylamine (DIPEA) Chemical compound CCN(C(C)C)C(C)C JGFZNNIVVJXRND-UHFFFAOYSA-N 0.000 description 16
- WQDUMFSSJAZKTM-UHFFFAOYSA-N Sodium methoxide Chemical compound [Na+].[O-]C WQDUMFSSJAZKTM-UHFFFAOYSA-N 0.000 description 16
- 229960000583 acetic acid Drugs 0.000 description 16
- UHOVQNZJYSORNB-UHFFFAOYSA-N Benzene Chemical compound C1=CC=CC=C1 UHOVQNZJYSORNB-UHFFFAOYSA-N 0.000 description 15
- 0 CC(*c1c2[s]c(*)n1)C1(C(C=CC)=C)/C2=*\[C@@](C)C**(*)C1* Chemical compound CC(*c1c2[s]c(*)n1)C1(C(C=CC)=C)/C2=*\[C@@](C)C**(*)C1* 0.000 description 15
- WMFOQBRAJBCJND-UHFFFAOYSA-M Lithium hydroxide Chemical compound [Li+].[OH-] WMFOQBRAJBCJND-UHFFFAOYSA-M 0.000 description 15
- KDLHZDBZIXYQEI-UHFFFAOYSA-N Palladium Chemical compound [Pd] KDLHZDBZIXYQEI-UHFFFAOYSA-N 0.000 description 15
- UIIMBOGNXHQVGW-UHFFFAOYSA-M Sodium bicarbonate Chemical compound [Na+].OC([O-])=O UIIMBOGNXHQVGW-UHFFFAOYSA-M 0.000 description 15
- 239000013543 active substance Substances 0.000 description 15
- 229910000027 potassium carbonate Inorganic materials 0.000 description 15
- 235000011181 potassium carbonates Nutrition 0.000 description 15
- YLQBMQCUIZJEEH-UHFFFAOYSA-N tetrahydrofuran Natural products C=1C=COC=1 YLQBMQCUIZJEEH-UHFFFAOYSA-N 0.000 description 15
- 238000004587 chromatography analysis Methods 0.000 description 14
- 238000004440 column chromatography Methods 0.000 description 14
- 239000012043 crude product Substances 0.000 description 14
- RAXXELZNTBOGNW-UHFFFAOYSA-N imidazole Natural products C1=CNC=N1 RAXXELZNTBOGNW-UHFFFAOYSA-N 0.000 description 14
- 239000012071 phase Substances 0.000 description 14
- ADODRSVGNHNKAT-UHFFFAOYSA-N 2-Chlorophenylhydrazine hydrochloride Chemical compound Cl.NNC1=CC=CC=C1Cl ADODRSVGNHNKAT-UHFFFAOYSA-N 0.000 description 13
- 239000002253 acid Substances 0.000 description 13
- 239000012452 mother liquor Substances 0.000 description 13
- 238000002360 preparation method Methods 0.000 description 13
- HEDRZPFGACZZDS-UHFFFAOYSA-N Chloroform Chemical compound ClC(Cl)Cl HEDRZPFGACZZDS-UHFFFAOYSA-N 0.000 description 12
- VYPSYNLAJGMNEJ-UHFFFAOYSA-N Silicium dioxide Chemical compound O=[Si]=O VYPSYNLAJGMNEJ-UHFFFAOYSA-N 0.000 description 12
- 239000004480 active ingredient Substances 0.000 description 12
- 239000000706 filtrate Substances 0.000 description 12
- 239000012362 glacial acetic acid Substances 0.000 description 12
- UMJSCPRVCHMLSP-UHFFFAOYSA-N pyridine Natural products COC1=CC=CN=C1 UMJSCPRVCHMLSP-UHFFFAOYSA-N 0.000 description 12
- DYLIWHYUXAJDOJ-OWOJBTEDSA-N (e)-4-(6-aminopurin-9-yl)but-2-en-1-ol Chemical compound NC1=NC=NC2=C1N=CN2C\C=C\CO DYLIWHYUXAJDOJ-OWOJBTEDSA-N 0.000 description 11
- 229920002261 Corn starch Polymers 0.000 description 11
- 239000008120 corn starch Substances 0.000 description 11
- 229940099112 cornstarch Drugs 0.000 description 11
- 239000002904 solvent Substances 0.000 description 11
- WSFSSNUMVMOOMR-UHFFFAOYSA-N Formaldehyde Chemical compound O=C WSFSSNUMVMOOMR-UHFFFAOYSA-N 0.000 description 10
- YNAVUWVOSKDBBP-UHFFFAOYSA-N Morpholine Chemical compound C1COCCN1 YNAVUWVOSKDBBP-UHFFFAOYSA-N 0.000 description 10
- CDBYLPFSWZWCQE-UHFFFAOYSA-L Sodium Carbonate Chemical compound [Na+].[Na+].[O-]C([O-])=O CDBYLPFSWZWCQE-UHFFFAOYSA-L 0.000 description 10
- LPXPTNMVRIOKMN-UHFFFAOYSA-M sodium nitrite Chemical compound [Na+].[O-]N=O LPXPTNMVRIOKMN-UHFFFAOYSA-M 0.000 description 10
- 239000012321 sodium triacetoxyborohydride Substances 0.000 description 10
- GUBGYTABKSRVRQ-QKKXKWKRSA-N Lactose Natural products OC[C@H]1O[C@@H](O[C@H]2[C@H](O)[C@@H](O)C(O)O[C@@H]2CO)[C@H](O)[C@@H](O)[C@H]1O GUBGYTABKSRVRQ-QKKXKWKRSA-N 0.000 description 9
- YNESATAKKCNGOF-UHFFFAOYSA-N lithium bis(trimethylsilyl)amide Chemical compound [Li+].C[Si](C)(C)[N-][Si](C)(C)C YNESATAKKCNGOF-UHFFFAOYSA-N 0.000 description 9
- 235000019359 magnesium stearate Nutrition 0.000 description 9
- 238000000746 purification Methods 0.000 description 9
- 239000000741 silica gel Substances 0.000 description 9
- 229910002027 silica gel Inorganic materials 0.000 description 9
- 229910021529 ammonia Inorganic materials 0.000 description 8
- IOJUPLGTWVMSFF-UHFFFAOYSA-N benzothiazole Chemical compound C1=CC=C2SC=NC2=C1 IOJUPLGTWVMSFF-UHFFFAOYSA-N 0.000 description 8
- PEDCQBHIVMGVHV-UHFFFAOYSA-N glycerol group Chemical group OCC(O)CO PEDCQBHIVMGVHV-UHFFFAOYSA-N 0.000 description 8
- UMGDCJDMYOKAJW-UHFFFAOYSA-N thiourea Chemical compound NC(N)=S UMGDCJDMYOKAJW-UHFFFAOYSA-N 0.000 description 8
- WKBOTKDWSSQWDR-UHFFFAOYSA-N Bromine atom Chemical compound [Br] WKBOTKDWSSQWDR-UHFFFAOYSA-N 0.000 description 7
- 241000699670 Mus sp. Species 0.000 description 7
- GDTBXPJZTBHREO-UHFFFAOYSA-N bromine Substances BrBr GDTBXPJZTBHREO-UHFFFAOYSA-N 0.000 description 7
- 239000002775 capsule Substances 0.000 description 7
- 239000008298 dragée Substances 0.000 description 7
- 229960004198 guanidine Drugs 0.000 description 7
- 239000001257 hydrogen Substances 0.000 description 7
- 239000008101 lactose Substances 0.000 description 7
- 235000017557 sodium bicarbonate Nutrition 0.000 description 7
- 229910000030 sodium bicarbonate Inorganic materials 0.000 description 7
- 239000011780 sodium chloride Substances 0.000 description 7
- RYHBNJHYFVUHQT-UHFFFAOYSA-N 1,4-Dioxane Chemical compound C1COCCO1 RYHBNJHYFVUHQT-UHFFFAOYSA-N 0.000 description 6
- ZKHQWZAMYRWXGA-KQYNXXCUSA-J ATP(4-) Chemical compound C1=NC=2C(N)=NC=NC=2N1[C@@H]1O[C@H](COP([O-])(=O)OP([O-])(=O)OP([O-])([O-])=O)[C@@H](O)[C@H]1O ZKHQWZAMYRWXGA-KQYNXXCUSA-J 0.000 description 6
- ZKHQWZAMYRWXGA-UHFFFAOYSA-N Adenosine triphosphate Natural products C1=NC=2C(N)=NC=NC=2N1C1OC(COP(O)(=O)OP(O)(=O)OP(O)(O)=O)C(O)C1O ZKHQWZAMYRWXGA-UHFFFAOYSA-N 0.000 description 6
- IAZDPXIOMUYVGZ-UHFFFAOYSA-N Dimethylsulphoxide Chemical compound CS(C)=O IAZDPXIOMUYVGZ-UHFFFAOYSA-N 0.000 description 6
- DHCLVCXQIBBOPH-UHFFFAOYSA-N Glycerol 2-phosphate Chemical compound OCC(CO)OP(O)(O)=O DHCLVCXQIBBOPH-UHFFFAOYSA-N 0.000 description 6
- KFZMGEQAYNKOFK-UHFFFAOYSA-N Isopropanol Chemical compound CC(C)O KFZMGEQAYNKOFK-UHFFFAOYSA-N 0.000 description 6
- XSQUKJJJFZCRTK-UHFFFAOYSA-N Urea Natural products NC(N)=O XSQUKJJJFZCRTK-UHFFFAOYSA-N 0.000 description 6
- 230000004913 activation Effects 0.000 description 6
- 239000008346 aqueous phase Substances 0.000 description 6
- 229940125773 compound 10 Drugs 0.000 description 6
- 238000010168 coupling process Methods 0.000 description 6
- 238000005859 coupling reaction Methods 0.000 description 6
- 125000001449 isopropyl group Chemical group [H]C([H])([H])C([H])(*)C([H])([H])[H] 0.000 description 6
- ZLVXBBHTMQJRSX-VMGNSXQWSA-N jdtic Chemical compound C1([C@]2(C)CCN(C[C@@H]2C)C[C@H](C(C)C)NC(=O)[C@@H]2NCC3=CC(O)=CC=C3C2)=CC=CC(O)=C1 ZLVXBBHTMQJRSX-VMGNSXQWSA-N 0.000 description 6
- 150000002632 lipids Chemical class 0.000 description 6
- 239000003208 petroleum Substances 0.000 description 6
- 239000001267 polyvinylpyrrolidone Substances 0.000 description 6
- 229920000036 polyvinylpyrrolidone Polymers 0.000 description 6
- 235000013855 polyvinylpyrrolidone Nutrition 0.000 description 6
- 102000005962 receptors Human genes 0.000 description 6
- 108020003175 receptors Proteins 0.000 description 6
- FPGGTKZVZWFYPV-UHFFFAOYSA-M tetrabutylammonium fluoride Chemical compound [F-].CCCC[N+](CCCC)(CCCC)CCCC FPGGTKZVZWFYPV-UHFFFAOYSA-M 0.000 description 6
- JOXIMZWYDAKGHI-UHFFFAOYSA-N toluene-4-sulfonic acid Chemical compound CC1=CC=C(S(O)(=O)=O)C=C1 JOXIMZWYDAKGHI-UHFFFAOYSA-N 0.000 description 6
- UFHFLCQGNIYNRP-UHFFFAOYSA-N Hydrogen Chemical compound [H][H] UFHFLCQGNIYNRP-UHFFFAOYSA-N 0.000 description 5
- 102100026169 Phosphatidylinositol 3-kinase regulatory subunit alpha Human genes 0.000 description 5
- NBIIXXVUZAFLBC-UHFFFAOYSA-N Phosphoric acid Chemical compound OP(O)(O)=O NBIIXXVUZAFLBC-UHFFFAOYSA-N 0.000 description 5
- 230000015572 biosynthetic process Effects 0.000 description 5
- 239000003054 catalyst Substances 0.000 description 5
- 230000003197 catalytic effect Effects 0.000 description 5
- 229940125904 compound 1 Drugs 0.000 description 5
- 230000002950 deficient Effects 0.000 description 5
- LJNCITYJAYDQEV-UHFFFAOYSA-N methyl 3-chloro-4-hydrazinylbenzoate Chemical compound COC(=O)C1=CC=C(NN)C(Cl)=C1 LJNCITYJAYDQEV-UHFFFAOYSA-N 0.000 description 5
- TYJJADVDDVDEDZ-UHFFFAOYSA-M potassium hydrogencarbonate Chemical compound [K+].OC([O-])=O TYJJADVDDVDEDZ-UHFFFAOYSA-M 0.000 description 5
- 239000000843 powder Substances 0.000 description 5
- 239000011347 resin Substances 0.000 description 5
- 229920005989 resin Polymers 0.000 description 5
- 238000004007 reversed phase HPLC Methods 0.000 description 5
- 239000011734 sodium Substances 0.000 description 5
- 229910052708 sodium Inorganic materials 0.000 description 5
- 229910000029 sodium carbonate Inorganic materials 0.000 description 5
- 235000010288 sodium nitrite Nutrition 0.000 description 5
- 239000000829 suppository Substances 0.000 description 5
- AVFZOVWCLRSYKC-UHFFFAOYSA-N 1-methylpyrrolidine Chemical compound CN1CCCC1 AVFZOVWCLRSYKC-UHFFFAOYSA-N 0.000 description 4
- ZDHRRHRWHFBMQV-UHFFFAOYSA-N 4-(dibenzylamino)cyclohexan-1-one Chemical compound C1CC(=O)CCC1N(CC=1C=CC=CC=1)CC1=CC=CC=C1 ZDHRRHRWHFBMQV-UHFFFAOYSA-N 0.000 description 4
- KDCGOANMDULRCW-UHFFFAOYSA-N 7H-purine Chemical compound N1=CNC2=NC=NC2=C1 KDCGOANMDULRCW-UHFFFAOYSA-N 0.000 description 4
- YZPSRQSRPXVVQI-MXVIHJGJSA-N C1C[C@@H](N)CC[C@@H]1N(CC=1C=CC=CC=1)CC1=CC=CC=C1 Chemical compound C1C[C@@H](N)CC[C@@H]1N(CC=1C=CC=CC=1)CC1=CC=CC=C1 YZPSRQSRPXVVQI-MXVIHJGJSA-N 0.000 description 4
- ROSDSFDQCJNGOL-UHFFFAOYSA-N Dimethylamine Chemical compound CNC ROSDSFDQCJNGOL-UHFFFAOYSA-N 0.000 description 4
- SIKJAQJRHWYJAI-UHFFFAOYSA-N Indole Chemical compound C1=CC=C2NC=CC2=C1 SIKJAQJRHWYJAI-UHFFFAOYSA-N 0.000 description 4
- BZLVMXJERCGZMT-UHFFFAOYSA-N Methyl tert-butyl ether Chemical compound COC(C)(C)C BZLVMXJERCGZMT-UHFFFAOYSA-N 0.000 description 4
- BAVYZALUXZFZLV-UHFFFAOYSA-N Methylamine Chemical compound NC BAVYZALUXZFZLV-UHFFFAOYSA-N 0.000 description 4
- FXHOOIRPVKKKFG-UHFFFAOYSA-N N,N-Dimethylacetamide Chemical compound CN(C)C(C)=O FXHOOIRPVKKKFG-UHFFFAOYSA-N 0.000 description 4
- SMWDFEZZVXVKRB-UHFFFAOYSA-N Quinoline Chemical compound N1=CC=CC2=CC=CC=C21 SMWDFEZZVXVKRB-UHFFFAOYSA-N 0.000 description 4
- DTQVDTLACAAQTR-UHFFFAOYSA-N Trifluoroacetic acid Chemical compound OC(=O)C(F)(F)F DTQVDTLACAAQTR-UHFFFAOYSA-N 0.000 description 4
- 239000005557 antagonist Substances 0.000 description 4
- JYYOBHFYCIDXHH-UHFFFAOYSA-N carbonic acid;hydrate Chemical compound O.OC(O)=O JYYOBHFYCIDXHH-UHFFFAOYSA-N 0.000 description 4
- 210000004027 cell Anatomy 0.000 description 4
- 229940125782 compound 2 Drugs 0.000 description 4
- 239000003246 corticosteroid Substances 0.000 description 4
- 229960001334 corticosteroids Drugs 0.000 description 4
- 230000008878 coupling Effects 0.000 description 4
- 125000006165 cyclic alkyl group Chemical group 0.000 description 4
- 229940052760 dopamine agonists Drugs 0.000 description 4
- 239000003136 dopamine receptor stimulating agent Substances 0.000 description 4
- WBJINCZRORDGAQ-UHFFFAOYSA-N formic acid ethyl ester Natural products CCOC=O WBJINCZRORDGAQ-UHFFFAOYSA-N 0.000 description 4
- 239000011521 glass Substances 0.000 description 4
- 239000008187 granular material Substances 0.000 description 4
- 239000005457 ice water Substances 0.000 description 4
- AWJUIBRHMBBTKR-UHFFFAOYSA-N isoquinoline Chemical compound C1=NC=CC2=CC=CC=C21 AWJUIBRHMBBTKR-UHFFFAOYSA-N 0.000 description 4
- BDAGIHXWWSANSR-UHFFFAOYSA-N methanoic acid Natural products OC=O BDAGIHXWWSANSR-UHFFFAOYSA-N 0.000 description 4
- 238000000034 method Methods 0.000 description 4
- 230000000144 pharmacologic effect Effects 0.000 description 4
- 150000003906 phosphoinositides Chemical class 0.000 description 4
- 125000002568 propynyl group Chemical group [*]C#CC([H])([H])[H] 0.000 description 4
- 125000000999 tert-butyl group Chemical group [H]C([H])([H])C(*)(C([H])([H])[H])C([H])([H])[H] 0.000 description 4
- QAEDZJGFFMLHHQ-UHFFFAOYSA-N trifluoroacetic anhydride Chemical compound FC(F)(F)C(=O)OC(=O)C(F)(F)F QAEDZJGFFMLHHQ-UHFFFAOYSA-N 0.000 description 4
- JKMHFZQWWAIEOD-UHFFFAOYSA-N 2-[4-(2-hydroxyethyl)piperazin-1-yl]ethanesulfonic acid Chemical compound OCC[NH+]1CCN(CCS([O-])(=O)=O)CC1 JKMHFZQWWAIEOD-UHFFFAOYSA-N 0.000 description 3
- NLXLAEXVIDQMFP-UHFFFAOYSA-N Ammonium chloride Substances [NH4+].[Cl-] NLXLAEXVIDQMFP-UHFFFAOYSA-N 0.000 description 3
- VHUUQVKOLVNVRT-UHFFFAOYSA-N Ammonium hydroxide Chemical compound [NH4+].[OH-] VHUUQVKOLVNVRT-UHFFFAOYSA-N 0.000 description 3
- CPELXLSAUQHCOX-UHFFFAOYSA-M Bromide Chemical compound [Br-] CPELXLSAUQHCOX-UHFFFAOYSA-M 0.000 description 3
- PAMIQIKDUOTOBW-UHFFFAOYSA-N CN1CCCCC1 Chemical compound CN1CCCCC1 PAMIQIKDUOTOBW-UHFFFAOYSA-N 0.000 description 3
- ZAMOUSCENKQFHK-UHFFFAOYSA-N Chlorine atom Chemical compound [Cl] ZAMOUSCENKQFHK-UHFFFAOYSA-N 0.000 description 3
- XDTMQSROBMDMFD-UHFFFAOYSA-N Cyclohexane Chemical compound C1CCCCC1 XDTMQSROBMDMFD-UHFFFAOYSA-N 0.000 description 3
- FBPFZTCFMRRESA-FSIIMWSLSA-N D-Glucitol Natural products OC[C@H](O)[C@H](O)[C@@H](O)[C@H](O)CO FBPFZTCFMRRESA-FSIIMWSLSA-N 0.000 description 3
- 102000004190 Enzymes Human genes 0.000 description 3
- 108090000790 Enzymes Proteins 0.000 description 3
- PXGOKWXKJXAPGV-UHFFFAOYSA-N Fluorine Chemical compound FF PXGOKWXKJXAPGV-UHFFFAOYSA-N 0.000 description 3
- DGAQECJNVWCQMB-PUAWFVPOSA-M Ilexoside XXIX Chemical compound C[C@@H]1CC[C@@]2(CC[C@@]3(C(=CC[C@H]4[C@]3(CC[C@@H]5[C@@]4(CC[C@@H](C5(C)C)OS(=O)(=O)[O-])C)C)[C@@H]2[C@]1(C)O)C)C(=O)O[C@H]6[C@@H]([C@H]([C@@H]([C@H](O6)CO)O)O)O.[Na+] DGAQECJNVWCQMB-PUAWFVPOSA-M 0.000 description 3
- 239000005909 Kieselgur Substances 0.000 description 3
- CSNNHWWHGAXBCP-UHFFFAOYSA-L Magnesium sulfate Chemical compound [Mg+2].[O-][S+2]([O-])([O-])[O-] CSNNHWWHGAXBCP-UHFFFAOYSA-L 0.000 description 3
- XBDQKXXYIPTUBI-UHFFFAOYSA-M Propionate Chemical compound CCC([O-])=O XBDQKXXYIPTUBI-UHFFFAOYSA-M 0.000 description 3
- 108010029485 Protein Isoforms Proteins 0.000 description 3
- 102000001708 Protein Isoforms Human genes 0.000 description 3
- VMHLLURERBWHNL-UHFFFAOYSA-M Sodium acetate Chemical compound [Na+].CC([O-])=O VMHLLURERBWHNL-UHFFFAOYSA-M 0.000 description 3
- 229920002472 Starch Polymers 0.000 description 3
- 239000012317 TBTU Substances 0.000 description 3
- 229910021626 Tin(II) chloride Inorganic materials 0.000 description 3
- SORGEQQSQGNZFI-UHFFFAOYSA-N [azido(phenoxy)phosphoryl]oxybenzene Chemical compound C=1C=CC=CC=1OP(=O)(N=[N+]=[N-])OC1=CC=CC=C1 SORGEQQSQGNZFI-UHFFFAOYSA-N 0.000 description 3
- CLZISMQKJZCZDN-UHFFFAOYSA-N [benzotriazol-1-yloxy(dimethylamino)methylidene]-dimethylazanium Chemical compound C1=CC=C2N(OC(N(C)C)=[N+](C)C)N=NC2=C1 CLZISMQKJZCZDN-UHFFFAOYSA-N 0.000 description 3
- 150000001408 amides Chemical class 0.000 description 3
- 150000001412 amines Chemical class 0.000 description 3
- 235000011114 ammonium hydroxide Nutrition 0.000 description 3
- 239000000043 antiallergic agent Substances 0.000 description 3
- 125000006615 aromatic heterocyclic group Chemical group 0.000 description 3
- 125000004369 butenyl group Chemical group C(=CCC)* 0.000 description 3
- 150000001721 carbon Chemical group 0.000 description 3
- PFKFTWBEEFSNDU-UHFFFAOYSA-N carbonyldiimidazole Chemical compound C1=CN=CN1C(=O)N1C=CN=C1 PFKFTWBEEFSNDU-UHFFFAOYSA-N 0.000 description 3
- KRKNYBCHXYNGOX-UHFFFAOYSA-N citric acid Chemical compound OC(=O)CC(O)(C(O)=O)CC(O)=O KRKNYBCHXYNGOX-UHFFFAOYSA-N 0.000 description 3
- 239000013078 crystal Substances 0.000 description 3
- 150000002148 esters Chemical group 0.000 description 3
- RIFGWPKJUGCATF-UHFFFAOYSA-N ethyl chloroformate Chemical compound CCOC(Cl)=O RIFGWPKJUGCATF-UHFFFAOYSA-N 0.000 description 3
- DEFVIWRASFVYLL-UHFFFAOYSA-N ethylene glycol bis(2-aminoethyl)tetraacetic acid Chemical compound OC(=O)CN(CC(O)=O)CCOCCOCCN(CC(O)=O)CC(O)=O DEFVIWRASFVYLL-UHFFFAOYSA-N 0.000 description 3
- 239000011737 fluorine Substances 0.000 description 3
- 125000000524 functional group Chemical group 0.000 description 3
- 229920000159 gelatin Polymers 0.000 description 3
- 235000019322 gelatine Nutrition 0.000 description 3
- 235000011187 glycerol Nutrition 0.000 description 3
- VSAPGYMUGNGYBG-UHFFFAOYSA-N imidazol-1-yl-(1-methylimidazol-4-yl)methanone Chemical compound CN1C=NC(C(=O)N2C=NC=C2)=C1 VSAPGYMUGNGYBG-UHFFFAOYSA-N 0.000 description 3
- KDEUXLZEUNGJHA-SSDOTTSWSA-N imidazol-1-yl-[(2r)-oxolan-2-yl]methanone Chemical compound C1=CN=CN1C(=O)[C@H]1CCCO1 KDEUXLZEUNGJHA-SSDOTTSWSA-N 0.000 description 3
- CDAISMWEOUEBRE-GPIVLXJGSA-N inositol Chemical group O[C@H]1[C@H](O)[C@@H](O)[C@H](O)[C@H](O)[C@@H]1O CDAISMWEOUEBRE-GPIVLXJGSA-N 0.000 description 3
- 125000000959 isobutyl group Chemical group [H]C([H])([H])C([H])(C([H])([H])[H])C([H])([H])* 0.000 description 3
- 238000002156 mixing Methods 0.000 description 3
- IGCVAKMLNISJHR-UHFFFAOYSA-N n-methylpiperidin-1-amine Chemical compound CNN1CCCCC1 IGCVAKMLNISJHR-UHFFFAOYSA-N 0.000 description 3
- 125000004123 n-propyl group Chemical group [H]C([H])([H])C([H])([H])C([H])([H])* 0.000 description 3
- 125000004433 nitrogen atom Chemical group N* 0.000 description 3
- 238000001556 precipitation Methods 0.000 description 3
- 102000027426 receptor tyrosine kinases Human genes 0.000 description 3
- 108091008598 receptor tyrosine kinases Proteins 0.000 description 3
- 230000002829 reductive effect Effects 0.000 description 3
- 239000001632 sodium acetate Substances 0.000 description 3
- 235000017281 sodium acetate Nutrition 0.000 description 3
- 239000000600 sorbitol Substances 0.000 description 3
- 235000011150 stannous chloride Nutrition 0.000 description 3
- 239000008107 starch Substances 0.000 description 3
- 235000019698 starch Nutrition 0.000 description 3
- 150000003431 steroids Chemical class 0.000 description 3
- 238000003756 stirring Methods 0.000 description 3
- 235000000346 sugar Nutrition 0.000 description 3
- 238000003786 synthesis reaction Methods 0.000 description 3
- 239000000454 talc Substances 0.000 description 3
- 229910052623 talc Inorganic materials 0.000 description 3
- TXUICONDJPYNPY-UHFFFAOYSA-N (1,10,13-trimethyl-3-oxo-4,5,6,7,8,9,11,12,14,15,16,17-dodecahydrocyclopenta[a]phenanthren-17-yl) heptanoate Chemical compound C1CC2CC(=O)C=C(C)C2(C)C2C1C1CCC(OC(=O)CCCCCC)C1(C)CC2 TXUICONDJPYNPY-UHFFFAOYSA-N 0.000 description 2
- CYPYTURSJDMMMP-WVCUSYJESA-N (1e,4e)-1,5-diphenylpenta-1,4-dien-3-one;palladium Chemical compound [Pd].[Pd].C=1C=CC=CC=1\C=C\C(=O)\C=C\C1=CC=CC=C1.C=1C=CC=CC=1\C=C\C(=O)\C=C\C1=CC=CC=C1.C=1C=CC=CC=1\C=C\C(=O)\C=C\C1=CC=CC=C1 CYPYTURSJDMMMP-WVCUSYJESA-N 0.000 description 2
- NXLNNXIXOYSCMB-UHFFFAOYSA-N (4-nitrophenyl) carbonochloridate Chemical compound [O-][N+](=O)C1=CC=C(OC(Cl)=O)C=C1 NXLNNXIXOYSCMB-UHFFFAOYSA-N 0.000 description 2
- CSNIZNHTOVFARY-UHFFFAOYSA-N 1,2-benzothiazole Chemical compound C1=CC=C2C=NSC2=C1 CSNIZNHTOVFARY-UHFFFAOYSA-N 0.000 description 2
- FGZHEMUBCFDEDD-UHFFFAOYSA-N 1-imidazol-1-yl-2-methoxyethanone Chemical compound COCC(=O)N1C=CN=C1 FGZHEMUBCFDEDD-UHFFFAOYSA-N 0.000 description 2
- XLQINJMEQSAESU-UHFFFAOYSA-N 1-phenyl-4,5-dihydropyrazolo[4,3-g][1,3]benzothiazol-7-amine Chemical compound C1=2C=3SC(N)=NC=3CCC=2C=NN1C1=CC=CC=C1 XLQINJMEQSAESU-UHFFFAOYSA-N 0.000 description 2
- HYZJCKYKOHLVJF-UHFFFAOYSA-N 1H-benzimidazole Chemical compound C1=CC=C2NC=NC2=C1 HYZJCKYKOHLVJF-UHFFFAOYSA-N 0.000 description 2
- BAXOFTOLAUCFNW-UHFFFAOYSA-N 1H-indazole Chemical compound C1=CC=C2C=NNC2=C1 BAXOFTOLAUCFNW-UHFFFAOYSA-N 0.000 description 2
- ODMMNALOCMNQJZ-UHFFFAOYSA-N 1H-pyrrolizine Chemical compound C1=CC=C2CC=CN21 ODMMNALOCMNQJZ-UHFFFAOYSA-N 0.000 description 2
- 125000004182 2-chlorophenyl group Chemical group [H]C1=C([H])C(Cl)=C(*)C([H])=C1[H] 0.000 description 2
- VHMICKWLTGFITH-UHFFFAOYSA-N 2H-isoindole Chemical compound C1=CC=CC2=CNC=C21 VHMICKWLTGFITH-UHFFFAOYSA-N 0.000 description 2
- OSWFIVFLDKOXQC-UHFFFAOYSA-N 4-(3-methoxyphenyl)aniline Chemical compound COC1=CC=CC(C=2C=CC(N)=CC=2)=C1 OSWFIVFLDKOXQC-UHFFFAOYSA-N 0.000 description 2
- BGXQRDRUCGIGKN-UHFFFAOYSA-N 4-(4-nitrophenyl)piperidine;hydrochloride Chemical compound Cl.C1=CC([N+](=O)[O-])=CC=C1C1CCNCC1 BGXQRDRUCGIGKN-UHFFFAOYSA-N 0.000 description 2
- IWLZUBOGRKFSDF-UHFFFAOYSA-N 4-(7-acetamido-4,5-dihydropyrazolo[4,3-g][1,3]benzothiazol-1-yl)benzoic acid Chemical compound C1=2C=3SC(NC(=O)C)=NC=3CCC=2C=NN1C1=CC=C(C(O)=O)C=C1 IWLZUBOGRKFSDF-UHFFFAOYSA-N 0.000 description 2
- FJKROLUGYXJWQN-UHFFFAOYSA-N 4-hydroxybenzoic acid Chemical class OC(=O)C1=CC=C(O)C=C1 FJKROLUGYXJWQN-UHFFFAOYSA-N 0.000 description 2
- 206010001052 Acute respiratory distress syndrome Diseases 0.000 description 2
- GUBGYTABKSRVRQ-XLOQQCSPSA-N Alpha-Lactose Chemical compound O[C@@H]1[C@@H](O)[C@@H](O)[C@@H](CO)O[C@H]1O[C@@H]1[C@@H](CO)O[C@H](O)[C@H](O)[C@H]1O GUBGYTABKSRVRQ-XLOQQCSPSA-N 0.000 description 2
- KYNSBQPICQTCGU-UHFFFAOYSA-N Benzopyrane Chemical compound C1=CC=C2C=CCOC2=C1 KYNSBQPICQTCGU-UHFFFAOYSA-N 0.000 description 2
- JZHWQCAOVXBGTH-UHFFFAOYSA-N CN(CC1)CCN1I Chemical compound CN(CC1)CCN1I JZHWQCAOVXBGTH-UHFFFAOYSA-N 0.000 description 2
- VTYYLEPIZMXCLO-UHFFFAOYSA-L Calcium carbonate Chemical compound [Ca+2].[O-]C([O-])=O VTYYLEPIZMXCLO-UHFFFAOYSA-L 0.000 description 2
- KCXVZYZYPLLWCC-UHFFFAOYSA-N EDTA Chemical compound OC(=O)CN(CC(O)=O)CCN(CC(O)=O)CC(O)=O KCXVZYZYPLLWCC-UHFFFAOYSA-N 0.000 description 2
- 206010016654 Fibrosis Diseases 0.000 description 2
- VZCYOOQTPOCHFL-OWOJBTEDSA-N Fumaric acid Chemical class OC(=O)\C=C\C(O)=O VZCYOOQTPOCHFL-OWOJBTEDSA-N 0.000 description 2
- 239000001828 Gelatine Substances 0.000 description 2
- 239000007821 HATU Substances 0.000 description 2
- 206010019280 Heart failures Diseases 0.000 description 2
- OAKJQQAXSVQMHS-UHFFFAOYSA-N Hydrazine Chemical compound NN OAKJQQAXSVQMHS-UHFFFAOYSA-N 0.000 description 2
- WTDHULULXKLSOZ-UHFFFAOYSA-N Hydroxylamine hydrochloride Chemical compound Cl.ON WTDHULULXKLSOZ-UHFFFAOYSA-N 0.000 description 2
- 206010020880 Hypertrophy Diseases 0.000 description 2
- YCQHTIDVLROXSL-UHFFFAOYSA-N IN1CCOCC1 Chemical compound IN1CCOCC1 YCQHTIDVLROXSL-UHFFFAOYSA-N 0.000 description 2
- 241001465754 Metazoa Species 0.000 description 2
- AFVFQIVMOAPDHO-UHFFFAOYSA-N Methanesulfonic acid Chemical compound CS(O)(=O)=O AFVFQIVMOAPDHO-UHFFFAOYSA-N 0.000 description 2
- 229920000168 Microcrystalline cellulose Polymers 0.000 description 2
- PCLIMKBDDGJMGD-UHFFFAOYSA-N N-bromosuccinimide Chemical compound BrN1C(=O)CCC1=O PCLIMKBDDGJMGD-UHFFFAOYSA-N 0.000 description 2
- OPKOKAMJFNKNAS-UHFFFAOYSA-N N-methylethanolamine Chemical compound CNCCO OPKOKAMJFNKNAS-UHFFFAOYSA-N 0.000 description 2
- LWMPFIOTEAXAGV-UHFFFAOYSA-N NN1CCCCC1 Chemical compound NN1CCCCC1 LWMPFIOTEAXAGV-UHFFFAOYSA-N 0.000 description 2
- MKQLBNJQQZRQJU-UHFFFAOYSA-N NN1CCOCC1 Chemical compound NN1CCOCC1 MKQLBNJQQZRQJU-UHFFFAOYSA-N 0.000 description 2
- 206010028980 Neoplasm Diseases 0.000 description 2
- PXHVJJICTQNCMI-UHFFFAOYSA-N Nickel Chemical compound [Ni] PXHVJJICTQNCMI-UHFFFAOYSA-N 0.000 description 2
- 206010033078 Otitis media Diseases 0.000 description 2
- 108091007960 PI3Ks Proteins 0.000 description 2
- 102000038030 PI3Ks Human genes 0.000 description 2
- UBXIJOJXUFYNRG-RJKBCLGNSA-N PIP[3'](17:0/20:4(5Z,8Z,11Z,14Z)) Chemical compound CCCCC\C=C/C\C=C/C\C=C/C\C=C/CCCC(=O)O[C@H](COC(=O)CCCCCCCCCCCCCCCC)COP(O)(=O)O[C@H]1C(O)C(O)C(O)[C@@H](OP(O)(O)=O)C1O UBXIJOJXUFYNRG-RJKBCLGNSA-N 0.000 description 2
- 229910019142 PO4 Inorganic materials 0.000 description 2
- 108091000080 Phosphotransferase Proteins 0.000 description 2
- NQRYJNQNLNOLGT-UHFFFAOYSA-N Piperidine Chemical compound C1CCNCC1 NQRYJNQNLNOLGT-UHFFFAOYSA-N 0.000 description 2
- ATUOYWHBWRKTHZ-UHFFFAOYSA-N Propane Chemical compound CCC ATUOYWHBWRKTHZ-UHFFFAOYSA-N 0.000 description 2
- 102000004022 Protein-Tyrosine Kinases Human genes 0.000 description 2
- 108090000412 Protein-Tyrosine Kinases Proteins 0.000 description 2
- 102000014400 SH2 domains Human genes 0.000 description 2
- 108050003452 SH2 domains Proteins 0.000 description 2
- 206010040070 Septic Shock Diseases 0.000 description 2
- 201000010001 Silicosis Diseases 0.000 description 2
- KEAYESYHFKHZAL-UHFFFAOYSA-N Sodium Chemical compound [Na] KEAYESYHFKHZAL-UHFFFAOYSA-N 0.000 description 2
- QAOWNCQODCNURD-UHFFFAOYSA-N Sulfuric acid Chemical class OS(O)(=O)=O QAOWNCQODCNURD-UHFFFAOYSA-N 0.000 description 2
- FZWLAAWBMGSTSO-UHFFFAOYSA-N Thiazole Chemical compound C1=CSC=N1 FZWLAAWBMGSTSO-UHFFFAOYSA-N 0.000 description 2
- GWEVSGVZZGPLCZ-UHFFFAOYSA-N Titan oxide Chemical compound O=[Ti]=O GWEVSGVZZGPLCZ-UHFFFAOYSA-N 0.000 description 2
- JSWQDLBFVSTSIW-UHFFFAOYSA-N [2-(trifluoromethyl)phenyl]hydrazine Chemical compound NNC1=CC=CC=C1C(F)(F)F JSWQDLBFVSTSIW-UHFFFAOYSA-N 0.000 description 2
- 230000002378 acidificating effect Effects 0.000 description 2
- OIRDTQYFTABQOQ-KQYNXXCUSA-N adenosine Chemical compound C1=NC=2C(N)=NC=NC=2N1[C@@H]1O[C@H](CO)[C@@H](O)[C@H]1O OIRDTQYFTABQOQ-KQYNXXCUSA-N 0.000 description 2
- 239000000808 adrenergic beta-agonist Substances 0.000 description 2
- 201000000028 adult respiratory distress syndrome Diseases 0.000 description 2
- 125000004450 alkenylene group Chemical group 0.000 description 2
- 125000004419 alkynylene group Chemical group 0.000 description 2
- 229910000147 aluminium phosphate Inorganic materials 0.000 description 2
- 150000001413 amino acids Chemical class 0.000 description 2
- 150000008064 anhydrides Chemical class 0.000 description 2
- YZXBAPSDXZZRGB-DOFZRALJSA-N arachidonic acid Chemical compound CCCCC\C=C/C\C=C/C\C=C/C\C=C/CCCC(O)=O YZXBAPSDXZZRGB-DOFZRALJSA-N 0.000 description 2
- 230000002917 arthritic effect Effects 0.000 description 2
- 206010003246 arthritis Diseases 0.000 description 2
- 206010003441 asbestosis Diseases 0.000 description 2
- 239000012131 assay buffer Substances 0.000 description 2
- RFRXIWQYSOIBDI-UHFFFAOYSA-N benzarone Chemical compound CCC=1OC2=CC=CC=C2C=1C(=O)C1=CC=C(O)C=C1 RFRXIWQYSOIBDI-UHFFFAOYSA-N 0.000 description 2
- 230000003454 betamimetic effect Effects 0.000 description 2
- 239000000872 buffer Substances 0.000 description 2
- 239000007853 buffer solution Substances 0.000 description 2
- 125000000480 butynyl group Chemical group [*]C#CC([H])([H])C([H])([H])[H] 0.000 description 2
- 239000001768 carboxy methyl cellulose Substances 0.000 description 2
- 239000000969 carrier Substances 0.000 description 2
- 230000010261 cell growth Effects 0.000 description 2
- 239000003610 charcoal Substances 0.000 description 2
- 239000003795 chemical substances by application Substances 0.000 description 2
- GKIRPKYJQBWNGO-OCEACIFDSA-N clomifene Chemical compound C1=CC(OCCN(CC)CC)=CC=C1C(\C=1C=CC=CC=1)=C(\Cl)C1=CC=CC=C1 GKIRPKYJQBWNGO-OCEACIFDSA-N 0.000 description 2
- 238000000576 coating method Methods 0.000 description 2
- HJSLFCCWAKVHIW-UHFFFAOYSA-N cyclohexane-1,3-dione Chemical compound O=C1CCCC(=O)C1 HJSLFCCWAKVHIW-UHFFFAOYSA-N 0.000 description 2
- 230000004069 differentiation Effects 0.000 description 2
- JMQGGPRJQOQKRT-UHFFFAOYSA-N diphenyl hydrogen phosphate;azide Chemical compound [N-]=[N+]=[N-].C=1C=CC=CC=1OP(=O)(O)OC1=CC=CC=C1 JMQGGPRJQOQKRT-UHFFFAOYSA-N 0.000 description 2
- 239000003480 eluent Substances 0.000 description 2
- 239000000839 emulsion Substances 0.000 description 2
- BEFDCLMNVWHSGT-UHFFFAOYSA-N ethenylcyclopentane Chemical compound C=CC1CCCC1 BEFDCLMNVWHSGT-UHFFFAOYSA-N 0.000 description 2
- 208000030533 eye disease Diseases 0.000 description 2
- 235000019253 formic acid Nutrition 0.000 description 2
- 235000011389 fruit/vegetable juice Nutrition 0.000 description 2
- 230000006870 function Effects 0.000 description 2
- 125000004836 hexamethylene group Chemical group [H]C([H])([*:2])C([H])([H])C([H])([H])C([H])([H])C([H])([H])C([H])([H])[*:1] 0.000 description 2
- 125000006038 hexenyl group Chemical group 0.000 description 2
- 125000004051 hexyl group Chemical group [H]C([H])([H])C([H])([H])C([H])([H])C([H])([H])C([H])([H])C([H])([H])* 0.000 description 2
- 125000005980 hexynyl group Chemical group 0.000 description 2
- 150000002431 hydrogen Chemical class 0.000 description 2
- 125000004435 hydrogen atom Chemical group [H]* 0.000 description 2
- SHFJWMWCIHQNCP-UHFFFAOYSA-M hydron;tetrabutylazanium;sulfate Chemical compound OS([O-])(=O)=O.CCCC[N+](CCCC)(CCCC)CCCC SHFJWMWCIHQNCP-UHFFFAOYSA-M 0.000 description 2
- KDEUXLZEUNGJHA-ZETCQYMHSA-N imidazol-1-yl-[(2s)-oxolan-2-yl]methanone Chemical compound C1=CN=CN1C(=O)[C@@H]1CCCO1 KDEUXLZEUNGJHA-ZETCQYMHSA-N 0.000 description 2
- IOADAVKYGCHPDQ-UHFFFAOYSA-N imidazol-1-yl-[1-(2-trimethylsilylethoxymethyl)imidazol-4-yl]methanone Chemical compound C[Si](C)(C)CCOCN1C=NC(C(=O)N2C=NC=C2)=C1 IOADAVKYGCHPDQ-UHFFFAOYSA-N 0.000 description 2
- 238000000338 in vitro Methods 0.000 description 2
- PZOUSPYUWWUPPK-UHFFFAOYSA-N indole Natural products CC1=CC=CC2=C1C=CN2 PZOUSPYUWWUPPK-UHFFFAOYSA-N 0.000 description 2
- RKJUIXBNRJVNHR-UHFFFAOYSA-N indolenine Natural products C1=CC=C2CC=NC2=C1 RKJUIXBNRJVNHR-UHFFFAOYSA-N 0.000 description 2
- HOBCFUWDNJPFHB-UHFFFAOYSA-N indolizine Chemical compound C1=CC=CN2C=CC=C21 HOBCFUWDNJPFHB-UHFFFAOYSA-N 0.000 description 2
- 239000007924 injection Substances 0.000 description 2
- 238000002347 injection Methods 0.000 description 2
- 125000000468 ketone group Chemical group 0.000 description 2
- 238000000021 kinase assay Methods 0.000 description 2
- JVTAAEKCZFNVCJ-UHFFFAOYSA-N lactic acid Chemical compound CC(O)C(O)=O JVTAAEKCZFNVCJ-UHFFFAOYSA-N 0.000 description 2
- 230000007246 mechanism Effects 0.000 description 2
- 230000001404 mediated effect Effects 0.000 description 2
- VNWKTOKETHGBQD-UHFFFAOYSA-N methane Chemical class C VNWKTOKETHGBQD-UHFFFAOYSA-N 0.000 description 2
- QPJVMBTYPHYUOC-UHFFFAOYSA-N methyl benzoate Chemical compound COC(=O)C1=CC=CC=C1 QPJVMBTYPHYUOC-UHFFFAOYSA-N 0.000 description 2
- YNBADRVTZLEFNH-UHFFFAOYSA-N methyl nicotinate Chemical compound COC(=O)C1=CC=CN=C1 YNBADRVTZLEFNH-UHFFFAOYSA-N 0.000 description 2
- 239000008108 microcrystalline cellulose Substances 0.000 description 2
- 229940016286 microcrystalline cellulose Drugs 0.000 description 2
- 235000019813 microcrystalline cellulose Nutrition 0.000 description 2
- 125000004573 morpholin-4-yl group Chemical group N1(CCOCC1)* 0.000 description 2
- 230000035772 mutation Effects 0.000 description 2
- ULPBQRNXCIKBIJ-UHFFFAOYSA-N n,n-dibenzyl-4-morpholin-4-ylcyclohexan-1-amine Chemical compound C=1C=CC=CC=1CN(C1CCC(CC1)N1CCOCC1)CC1=CC=CC=C1 ULPBQRNXCIKBIJ-UHFFFAOYSA-N 0.000 description 2
- XUNVUVGDDZXFQN-UHFFFAOYSA-N n-(1-benzoyl-4,5-dihydropyrazolo[4,3-g][1,3]benzothiazol-7-yl)acetamide Chemical compound C1=2C=3SC(NC(=O)C)=NC=3CCC=2C=NN1C(=O)C1=CC=CC=C1 XUNVUVGDDZXFQN-UHFFFAOYSA-N 0.000 description 2
- HIWJHTYCHUAQET-UHFFFAOYSA-N n-(2-acetamido-4,5-dihydrobenzo[g][1,3]benzothiazol-8-yl)-2-methylpropanamide Chemical compound C12=CC(NC(=O)C(C)C)=CC=C2CCC2=C1SC(NC(C)=O)=N2 HIWJHTYCHUAQET-UHFFFAOYSA-N 0.000 description 2
- MVJPUUDNLUPGME-UHFFFAOYSA-N n-(2-benzoyl-4,5-dihydropyrazolo[4,3-g][1,3]benzothiazol-7-yl)acetamide Chemical compound N1=C2C=3SC(NC(=O)C)=NC=3CCC2=CN1C(=O)C1=CC=CC=C1 MVJPUUDNLUPGME-UHFFFAOYSA-N 0.000 description 2
- XBGOSCDYTOMRTQ-UHFFFAOYSA-N n-(6-benzoyl-7-oxo-5,6-dihydro-4h-1,3-benzothiazol-2-yl)acetamide Chemical compound O=C1C=2SC(NC(=O)C)=NC=2CCC1C(=O)C1=CC=CC=C1 XBGOSCDYTOMRTQ-UHFFFAOYSA-N 0.000 description 2
- KNWFYNFRUJIGAG-UHFFFAOYSA-N n-(6-bromo-7-oxo-5,6-dihydro-4h-1,3-benzothiazol-2-yl)acetamide Chemical compound C1CC(Br)C(=O)C2=C1N=C(NC(=O)C)S2 KNWFYNFRUJIGAG-UHFFFAOYSA-N 0.000 description 2
- VXXUKWLHWFFUNS-UHFFFAOYSA-N n-(7-oxo-5,6-dihydro-4h-1,3-benzothiazol-2-yl)acetamide Chemical compound C1CCC(=O)C2=C1N=C(NC(=O)C)S2 VXXUKWLHWFFUNS-UHFFFAOYSA-N 0.000 description 2
- YWHCGBUAFWGCKT-UHFFFAOYSA-N n-[1-(2-chlorophenyl)-3-propan-2-yl-4,5-dihydropyrazolo[4,3-g][1,3]benzothiazol-7-yl]acetamide Chemical compound C1CC=2N=C(NC(C)=O)SC=2C2=C1C(C(C)C)=NN2C1=CC=CC=C1Cl YWHCGBUAFWGCKT-UHFFFAOYSA-N 0.000 description 2
- JIROZRAFAWBHRQ-UHFFFAOYSA-N n-[7-oxo-6-(pyridine-3-carbonyl)-5,6-dihydro-4h-1,3-benzothiazol-2-yl]acetamide Chemical compound O=C1C=2SC(NC(=O)C)=NC=2CCC1C(=O)C1=CC=CN=C1 JIROZRAFAWBHRQ-UHFFFAOYSA-N 0.000 description 2
- 125000004108 n-butyl group Chemical group [H]C([H])([H])C([H])([H])C([H])([H])C([H])([H])* 0.000 description 2
- 210000000440 neutrophil Anatomy 0.000 description 2
- 125000006574 non-aromatic ring group Chemical group 0.000 description 2
- 125000002255 pentenyl group Chemical group C(=CCCC)* 0.000 description 2
- 125000004115 pentoxy group Chemical group [*]OC([H])([H])C([H])([H])C([H])([H])C(C([H])([H])[H])([H])[H] 0.000 description 2
- 125000005981 pentynyl group Chemical group 0.000 description 2
- 239000000546 pharmaceutical excipient Substances 0.000 description 2
- 125000002467 phosphate group Chemical group [H]OP(=O)(O[H])O[*] 0.000 description 2
- XHXFXVLFKHQFAL-UHFFFAOYSA-N phosphoryl trichloride Chemical compound ClP(Cl)(Cl)=O XHXFXVLFKHQFAL-UHFFFAOYSA-N 0.000 description 2
- 238000006366 phosphorylation reaction Methods 0.000 description 2
- 102000020233 phosphotransferase Human genes 0.000 description 2
- 239000002504 physiological saline solution Substances 0.000 description 2
- 230000008569 process Effects 0.000 description 2
- CPNGPNLZQNNVQM-UHFFFAOYSA-N pteridine Chemical compound N1=CN=CC2=NC=CN=C21 CPNGPNLZQNNVQM-UHFFFAOYSA-N 0.000 description 2
- 208000005069 pulmonary fibrosis Diseases 0.000 description 2
- BWESROVQGZSBRX-UHFFFAOYSA-N pyrido[3,2-d]pyrimidine Chemical compound C1=NC=NC2=CC=CN=C21 BWESROVQGZSBRX-UHFFFAOYSA-N 0.000 description 2
- JOZPEVMCAKXSEY-UHFFFAOYSA-N pyrimido[5,4-d]pyrimidine Chemical compound N1=CN=CC2=NC=NC=C21 JOZPEVMCAKXSEY-UHFFFAOYSA-N 0.000 description 2
- 230000001105 regulatory effect Effects 0.000 description 2
- 208000023504 respiratory system disease Diseases 0.000 description 2
- 229920006395 saturated elastomer Polymers 0.000 description 2
- 125000002914 sec-butyl group Chemical group [H]C([H])([H])C([H])([H])C([H])(*)C([H])([H])[H] 0.000 description 2
- 239000012279 sodium borohydride Substances 0.000 description 2
- 229910000033 sodium borohydride Inorganic materials 0.000 description 2
- 239000012312 sodium hydride Substances 0.000 description 2
- 229910000104 sodium hydride Inorganic materials 0.000 description 2
- 239000004334 sorbic acid Substances 0.000 description 2
- 235000010199 sorbic acid Nutrition 0.000 description 2
- 229940075582 sorbic acid Drugs 0.000 description 2
- 239000001119 stannous chloride Substances 0.000 description 2
- 239000000126 substance Substances 0.000 description 2
- 239000000758 substrate Substances 0.000 description 2
- 239000003826 tablet Substances 0.000 description 2
- 238000012546 transfer Methods 0.000 description 2
- 125000000391 vinyl group Chemical group [H]C([*])=C([H])[H] 0.000 description 2
- 229920002554 vinyl polymer Polymers 0.000 description 2
- JWZZKOKVBUJMES-UHFFFAOYSA-N (+-)-Isoprenaline Chemical compound CC(C)NCC(O)C1=CC=C(O)C(O)=C1 JWZZKOKVBUJMES-UHFFFAOYSA-N 0.000 description 1
- XWTYSIMOBUGWOL-UHFFFAOYSA-N (+-)-Terbutaline Chemical compound CC(C)(C)NCC(O)C1=CC(O)=CC(O)=C1 XWTYSIMOBUGWOL-UHFFFAOYSA-N 0.000 description 1
- UNRBEYYLYRXYCG-UHFFFAOYSA-N (1-ethylpyrrolidin-2-yl)methanamine Chemical compound CCN1CCCC1CN UNRBEYYLYRXYCG-UHFFFAOYSA-N 0.000 description 1
- DVCFNCQPOANJGU-SCSAIBSYSA-N (2r)-oxolane-2-carbonyl chloride Chemical compound ClC(=O)[C@H]1CCCO1 DVCFNCQPOANJGU-SCSAIBSYSA-N 0.000 description 1
- NWZSZGALRFJKBT-KNIFDHDWSA-N (2s)-2,6-diaminohexanoic acid;(2s)-2-hydroxybutanedioic acid Chemical compound OC(=O)[C@@H](O)CC(O)=O.NCCCC[C@H](N)C(O)=O NWZSZGALRFJKBT-KNIFDHDWSA-N 0.000 description 1
- WWTBZEKOSBFBEM-SPWPXUSOSA-N (2s)-2-[[2-benzyl-3-[hydroxy-[(1r)-2-phenyl-1-(phenylmethoxycarbonylamino)ethyl]phosphoryl]propanoyl]amino]-3-(1h-indol-3-yl)propanoic acid Chemical compound N([C@@H](CC=1C2=CC=CC=C2NC=1)C(=O)O)C(=O)C(CP(O)(=O)[C@H](CC=1C=CC=CC=1)NC(=O)OCC=1C=CC=CC=1)CC1=CC=CC=C1 WWTBZEKOSBFBEM-SPWPXUSOSA-N 0.000 description 1
- DVCFNCQPOANJGU-BYPYZUCNSA-N (2s)-oxolane-2-carbonyl chloride Chemical compound ClC(=O)[C@@H]1CCCO1 DVCFNCQPOANJGU-BYPYZUCNSA-N 0.000 description 1
- HNVIQLPOGUDBSU-OLQVQODUSA-N (2s,6r)-2,6-dimethylmorpholine Chemical compound C[C@H]1CNC[C@@H](C)O1 HNVIQLPOGUDBSU-OLQVQODUSA-N 0.000 description 1
- YQVZREHUWCCHHX-UHFFFAOYSA-N (4-chlorophenyl)hydrazine;hydron;chloride Chemical compound Cl.NNC1=CC=C(Cl)C=C1 YQVZREHUWCCHHX-UHFFFAOYSA-N 0.000 description 1
- FQHCPFMTXFJZJS-UHFFFAOYSA-N (4-methoxyphenyl)hydrazine;hydrochloride Chemical compound Cl.COC1=CC=C(NN)C=C1 FQHCPFMTXFJZJS-UHFFFAOYSA-N 0.000 description 1
- HMHWNJGOHUYVMD-UHFFFAOYSA-N (4-methylanilino)azanium;chloride Chemical compound Cl.CC1=CC=C(NN)C=C1 HMHWNJGOHUYVMD-UHFFFAOYSA-N 0.000 description 1
- JJGFAXYGLYUHIN-UHFFFAOYSA-N (5-fluoro-2-methylphenyl)hydrazine;hydrochloride Chemical compound [Cl-].CC1=CC=C(F)C=C1N[NH3+] JJGFAXYGLYUHIN-UHFFFAOYSA-N 0.000 description 1
- 125000003161 (C1-C6) alkylene group Chemical group 0.000 description 1
- 125000006590 (C2-C6) alkenylene group Chemical group 0.000 description 1
- 125000006591 (C2-C6) alkynylene group Chemical group 0.000 description 1
- TZCPCKNHXULUIY-RGULYWFUSA-N 1,2-distearoyl-sn-glycero-3-phosphoserine Chemical compound CCCCCCCCCCCCCCCCCC(=O)OC[C@H](COP(O)(=O)OC[C@H](N)C(O)=O)OC(=O)CCCCCCCCCCCCCCCCC TZCPCKNHXULUIY-RGULYWFUSA-N 0.000 description 1
- GWYPDXLJACEENP-UHFFFAOYSA-N 1,3-cycloheptadiene Chemical compound C1CC=CC=CC1 GWYPDXLJACEENP-UHFFFAOYSA-N 0.000 description 1
- ULTHEAFYOOPTTB-UHFFFAOYSA-N 1,4-dibromobutane Chemical compound BrCCCCBr ULTHEAFYOOPTTB-UHFFFAOYSA-N 0.000 description 1
- IBODDUNKEPPBKW-UHFFFAOYSA-N 1,5-dibromopentane Chemical compound BrCCCCCBr IBODDUNKEPPBKW-UHFFFAOYSA-N 0.000 description 1
- LUOSNGFOANFUES-UHFFFAOYSA-N 1-(2,2,2-trifluoroacetyl)piperidin-4-one Chemical compound FC(F)(F)C(=O)N1CCC(=O)CC1 LUOSNGFOANFUES-UHFFFAOYSA-N 0.000 description 1
- GDVDTKDBRTUMBR-UHFFFAOYSA-N 1-(2-chlorophenyl)-4h-pyrazolo[2,3]cyclopenta[2,4-b][1,3]thiazol-6-amine Chemical compound C1=2C=3SC(N)=NC=3CC=2C=NN1C1=CC=CC=C1Cl GDVDTKDBRTUMBR-UHFFFAOYSA-N 0.000 description 1
- FJROBTIRRFPVEC-UHFFFAOYSA-N 1-(4-aminobut-2-ynyl)-3-(1-phenyl-4,5-dihydropyrazolo[4,3-g][1,3]benzothiazol-7-yl)urea Chemical compound C1=2C=3SC(NC(=O)NCC#CCN)=NC=3CCC=2C=NN1C1=CC=CC=C1 FJROBTIRRFPVEC-UHFFFAOYSA-N 0.000 description 1
- ORLGBEXYMLKVKW-UHFFFAOYSA-N 1-(4-nitrophenyl)-4,5-dihydropyrazolo[4,3-g][1,3]benzothiazol-7-amine Chemical compound C1=2C=3SC(N)=NC=3CCC=2C=NN1C1=CC=C([N+]([O-])=O)C=C1 ORLGBEXYMLKVKW-UHFFFAOYSA-N 0.000 description 1
- CVTOUNWGORDQGR-UHFFFAOYSA-N 1-(cyclopropylmethyl)-4-(4-nitrophenyl)piperidine Chemical compound C1=CC([N+](=O)[O-])=CC=C1C1CCN(CC2CC2)CC1 CVTOUNWGORDQGR-UHFFFAOYSA-N 0.000 description 1
- IVLIBVDZIYFXBZ-UHFFFAOYSA-N 1-(cyclopropylmethyl)piperazine Chemical compound C1CNCCN1CC1CC1 IVLIBVDZIYFXBZ-UHFFFAOYSA-N 0.000 description 1
- ONBQEOIKXPHGMB-VBSBHUPXSA-N 1-[2-[(2s,3r,4s,5r)-3,4-dihydroxy-5-(hydroxymethyl)oxolan-2-yl]oxy-4,6-dihydroxyphenyl]-3-(4-hydroxyphenyl)propan-1-one Chemical compound O[C@@H]1[C@H](O)[C@@H](CO)O[C@H]1OC1=CC(O)=CC(O)=C1C(=O)CCC1=CC=C(O)C=C1 ONBQEOIKXPHGMB-VBSBHUPXSA-N 0.000 description 1
- WBOMXUMQOVQNKT-UHFFFAOYSA-N 1-bromo-3-methylsulfonylbenzene Chemical compound CS(=O)(=O)C1=CC=CC(Br)=C1 WBOMXUMQOVQNKT-UHFFFAOYSA-N 0.000 description 1
- 125000004973 1-butenyl group Chemical group C(=CCC)* 0.000 description 1
- 125000004972 1-butynyl group Chemical group [H]C([H])([H])C([H])([H])C#C* 0.000 description 1
- WFQDTOYDVUWQMS-UHFFFAOYSA-N 1-fluoro-4-nitrobenzene Chemical compound [O-][N+](=O)C1=CC=C(F)C=C1 WFQDTOYDVUWQMS-UHFFFAOYSA-N 0.000 description 1
- SIACYUBAVVFJSK-UHFFFAOYSA-N 1-imidazol-1-yl-2-methylpropan-1-one Chemical compound CC(C)C(=O)N1C=CN=C1 SIACYUBAVVFJSK-UHFFFAOYSA-N 0.000 description 1
- 125000006019 1-methyl-1-propenyl group Chemical group 0.000 description 1
- 125000006021 1-methyl-2-propenyl group Chemical group 0.000 description 1
- GZNDUKANJZIZOT-UHFFFAOYSA-N 1-methyl-4-(4-nitrophenyl)piperazine Chemical compound C1CN(C)CCN1C1=CC=C([N+]([O-])=O)C=C1 GZNDUKANJZIZOT-UHFFFAOYSA-N 0.000 description 1
- UQCPWYKIUXJDQV-UHFFFAOYSA-N 1-methyl-4-(4-nitrophenyl)piperidine Chemical compound C1CN(C)CCC1C1=CC=C([N+]([O-])=O)C=C1 UQCPWYKIUXJDQV-UHFFFAOYSA-N 0.000 description 1
- WZTRQGJMMHMFGH-UHFFFAOYSA-N 1-methyl-imidazole-4-carboxylic acid Chemical compound CN1C=NC(C(O)=O)=C1 WZTRQGJMMHMFGH-UHFFFAOYSA-N 0.000 description 1
- 125000004806 1-methylethylene group Chemical group [H]C([H])([H])C([H])([*:1])C([H])([H])[*:2] 0.000 description 1
- ZZAKLGGGMWORRT-UHFFFAOYSA-N 1-methylsulfonylpiperazine Chemical compound CS(=O)(=O)N1CCNCC1 ZZAKLGGGMWORRT-UHFFFAOYSA-N 0.000 description 1
- WZBDFCFLBILPBP-UHFFFAOYSA-N 1-phenyl-4h-pyrazolo[2,3]cyclopenta[2,4-b][1,3]thiazol-6-amine Chemical compound C1=2C=3SC(N)=NC=3CC=2C=NN1C1=CC=CC=C1 WZBDFCFLBILPBP-UHFFFAOYSA-N 0.000 description 1
- 125000004343 1-phenylethyl group Chemical group [H]C1=C([H])C([H])=C(C([H])=C1[H])C([H])(*)C([H])([H])[H] 0.000 description 1
- 125000006017 1-propenyl group Chemical group 0.000 description 1
- 125000000530 1-propynyl group Chemical group [H]C([H])([H])C#C* 0.000 description 1
- CNWINRVXAYPOMW-FCNJXWMTSA-N 1-stearoyl-2-arachidonoyl-sn-glycero-3-phospho-1D-myo-inositol 4,5-biphosphate Chemical compound CCCCC\C=C/C\C=C/C\C=C/C\C=C/CCCC(=O)O[C@H](COC(=O)CCCCCCCCCCCCCCCCC)COP(O)(=O)O[C@@H]1[C@H](O)[C@H](O)[C@@H](OP(O)(O)=O)[C@H](OP(O)(O)=O)[C@H]1O CNWINRVXAYPOMW-FCNJXWMTSA-N 0.000 description 1
- VYYQHJQFEIAOJQ-UHFFFAOYSA-N 1-tert-butyl-3-[4-[(1-phenyl-4,5-dihydropyrazolo[4,3-g][1,3]benzothiazol-7-yl)carbamoylamino]but-2-ynyl]urea Chemical compound C1=2C=3SC(NC(=O)NCC#CCNC(=O)NC(C)(C)C)=NC=3CCC=2C=NN1C1=CC=CC=C1 VYYQHJQFEIAOJQ-UHFFFAOYSA-N 0.000 description 1
- FSLXROAVEZTTJV-UHFFFAOYSA-N 2,2,2-trifluoro-1-(4-phenylpiperidin-1-yl)ethanone Chemical compound C1CN(C(=O)C(F)(F)F)CCC1C1=CC=CC=C1 FSLXROAVEZTTJV-UHFFFAOYSA-N 0.000 description 1
- RTZBQWADJQLQHG-UHFFFAOYSA-N 2,2,2-trifluoro-1-[4-(4-nitrophenyl)piperidin-1-yl]ethanone Chemical compound C1=CC([N+](=O)[O-])=CC=C1C1CCN(C(=O)C(F)(F)F)CC1 RTZBQWADJQLQHG-UHFFFAOYSA-N 0.000 description 1
- ODTCIQJQWXLXQO-UHFFFAOYSA-N 2,2,2-trifluoroacetic acid;2,2,2-trifluoro-1-(4-hydrazinylpiperidin-1-yl)ethanone Chemical compound OC(=O)C(F)(F)F.NNC1CCN(C(=O)C(F)(F)F)CC1 ODTCIQJQWXLXQO-UHFFFAOYSA-N 0.000 description 1
- GNIXYVOXDXFISP-UHFFFAOYSA-N 2-(2-acetamido-7-oxo-5,6-dihydro-4H-1,3-benzothiazol-6-yl)-2-oxoacetic acid Chemical compound C1CC(C(=O)C(O)=O)C(=O)C2=C1N=C(NC(=O)C)S2 GNIXYVOXDXFISP-UHFFFAOYSA-N 0.000 description 1
- HIXDQWDOVZUNNA-UHFFFAOYSA-N 2-(3,4-dimethoxyphenyl)-5-hydroxy-7-methoxychromen-4-one Chemical compound C=1C(OC)=CC(O)=C(C(C=2)=O)C=1OC=2C1=CC=C(OC)C(OC)=C1 HIXDQWDOVZUNNA-UHFFFAOYSA-N 0.000 description 1
- CSEWAUGPAQPMDC-UHFFFAOYSA-N 2-(4-aminophenyl)acetic acid Chemical compound NC1=CC=C(CC(O)=O)C=C1 CSEWAUGPAQPMDC-UHFFFAOYSA-N 0.000 description 1
- QBSIFZWYKGBSFI-UHFFFAOYSA-N 2-(4-hydrazinylphenyl)acetic acid;hydrochloride Chemical compound Cl.NNC1=CC=C(CC(O)=O)C=C1 QBSIFZWYKGBSFI-UHFFFAOYSA-N 0.000 description 1
- BPXKZEMBEZGUAH-UHFFFAOYSA-N 2-(chloromethoxy)ethyl-trimethylsilane Chemical compound C[Si](C)(C)CCOCCl BPXKZEMBEZGUAH-UHFFFAOYSA-N 0.000 description 1
- DRDJPBASWGLGOR-UHFFFAOYSA-N 2-[(1-ethylpyrrolidin-2-yl)methylamino]-n-(1-phenyl-4,5-dihydropyrazolo[4,3-g][1,3]benzothiazol-7-yl)acetamide Chemical compound CCN1CCCC1CNCC(=O)NC(S1)=NC2=C1C(N(N=C1)C=3C=CC=CC=3)=C1CC2 DRDJPBASWGLGOR-UHFFFAOYSA-N 0.000 description 1
- ODELOHGYKTYWQO-UHFFFAOYSA-N 2-amino-n-(1-phenyl-4,5-dihydropyrazolo[4,3-g][1,3]benzothiazol-7-yl)acetamide Chemical compound C1=2C=3SC(NC(=O)CN)=NC=3CCC=2C=NN1C1=CC=CC=C1 ODELOHGYKTYWQO-UHFFFAOYSA-N 0.000 description 1
- ROZCQYLERXSBBC-UHFFFAOYSA-N 2-bromocyclopentane-1,3-dione Chemical compound BrC1C(=O)CCC1=O ROZCQYLERXSBBC-UHFFFAOYSA-N 0.000 description 1
- 125000004974 2-butenyl group Chemical group C(C=CC)* 0.000 description 1
- 125000000069 2-butynyl group Chemical group [H]C([H])([H])C#CC([H])([H])* 0.000 description 1
- CIOUWZMKJGQFFL-UHFFFAOYSA-N 2-carbamimidoylbenzoic acid;methanesulfonic acid Chemical compound CS(O)(=O)=O.NC(=N)C1=CC=CC=C1C(O)=O CIOUWZMKJGQFFL-UHFFFAOYSA-N 0.000 description 1
- JVGPNAUCOPHMSN-UHFFFAOYSA-N 2-chloro-4-hydrazinylphenol Chemical compound NNC1=CC=C(O)C(Cl)=C1 JVGPNAUCOPHMSN-UHFFFAOYSA-N 0.000 description 1
- FYBWCFWHARETCC-UHFFFAOYSA-N 2-hydroxy-n-(1-phenyl-4,5-dihydropyrazolo[4,3-g][1,3]benzothiazol-7-yl)acetamide Chemical compound C1=2C=3SC(NC(=O)CO)=NC=3CCC=2C=NN1C1=CC=CC=C1 FYBWCFWHARETCC-UHFFFAOYSA-N 0.000 description 1
- JJKWHOSQTYYFAE-UHFFFAOYSA-N 2-methoxyacetyl chloride Chemical compound COCC(Cl)=O JJKWHOSQTYYFAE-UHFFFAOYSA-N 0.000 description 1
- IMBNEKOMEDCTCL-UHFFFAOYSA-N 2-methyl-1-piperidin-1-ylpropan-2-amine Chemical compound CC(C)(N)CN1CCCCC1 IMBNEKOMEDCTCL-UHFFFAOYSA-N 0.000 description 1
- DGMOBVGABMBZSB-UHFFFAOYSA-N 2-methylpropanoyl chloride Chemical compound CC(C)C(Cl)=O DGMOBVGABMBZSB-UHFFFAOYSA-N 0.000 description 1
- FGLBSLMDCBOPQK-UHFFFAOYSA-N 2-nitropropane Chemical compound CC(C)[N+]([O-])=O FGLBSLMDCBOPQK-UHFFFAOYSA-N 0.000 description 1
- DBCKRBGYGMVSTI-UHFFFAOYSA-N 2-oxo-7-[2-[2-[3-(2-phenylethoxy)propylsulfonyl]ethylazaniumyl]ethyl]-3h-1,3-benzothiazol-4-olate Chemical compound C1=2SC(=O)NC=2C(O)=CC=C1CCNCCS(=O)(=O)CCCOCCC1=CC=CC=C1 DBCKRBGYGMVSTI-UHFFFAOYSA-N 0.000 description 1
- WLJVXDMOQOGPHL-PPJXEINESA-N 2-phenylacetic acid Chemical compound O[14C](=O)CC1=CC=CC=C1 WLJVXDMOQOGPHL-PPJXEINESA-N 0.000 description 1
- JTNCEQNHURODLX-UHFFFAOYSA-N 2-phenylethanimidamide Chemical compound NC(=N)CC1=CC=CC=C1 JTNCEQNHURODLX-UHFFFAOYSA-N 0.000 description 1
- 125000000094 2-phenylethyl group Chemical group [H]C1=C([H])C([H])=C(C([H])=C1[H])C([H])([H])C([H])([H])* 0.000 description 1
- 125000003903 2-propenyl group Chemical group [H]C([*])([H])C([H])=C([H])[H] 0.000 description 1
- 125000001494 2-propynyl group Chemical group [H]C#CC([H])([H])* 0.000 description 1
- ZMPRRFPMMJQXPP-UHFFFAOYSA-N 2-sulfobenzoic acid Chemical class OC(=O)C1=CC=CC=C1S(O)(=O)=O ZMPRRFPMMJQXPP-UHFFFAOYSA-N 0.000 description 1
- CMLFRMDBDNHMRA-UHFFFAOYSA-N 2h-1,2-benzoxazine Chemical compound C1=CC=C2C=CNOC2=C1 CMLFRMDBDNHMRA-UHFFFAOYSA-N 0.000 description 1
- NONFLFDSOSZQHR-UHFFFAOYSA-N 3-(trimethylsilyl)propionic acid Chemical compound C[Si](C)(C)CCC(O)=O NONFLFDSOSZQHR-UHFFFAOYSA-N 0.000 description 1
- JOBPGDXYRPFRIV-UHFFFAOYSA-N 3-amino-5-chlorophenol Chemical compound NC1=CC(O)=CC(Cl)=C1 JOBPGDXYRPFRIV-UHFFFAOYSA-N 0.000 description 1
- AJKDUJRRWLQXHM-UHFFFAOYSA-N 3-bromocyclohexene Chemical compound BrC1CCCC=C1 AJKDUJRRWLQXHM-UHFFFAOYSA-N 0.000 description 1
- 125000004975 3-butenyl group Chemical group C(CC=C)* 0.000 description 1
- 125000000474 3-butynyl group Chemical group [H]C#CC([H])([H])C([H])([H])* 0.000 description 1
- QRYJPHDHWHPDRR-UHFFFAOYSA-N 3-chloro-4-hydrazinylbenzoic acid Chemical compound NNC1=CC=C(C(O)=O)C=C1Cl QRYJPHDHWHPDRR-UHFFFAOYSA-N 0.000 description 1
- AISMTCJYHCCEND-UHFFFAOYSA-N 3-chloro-5-hydrazinylphenol Chemical compound NNC1=CC(O)=CC(Cl)=C1 AISMTCJYHCCEND-UHFFFAOYSA-N 0.000 description 1
- KBRSJPHSCOAFDR-UHFFFAOYSA-N 3-chloro-6-methyl-5,5-dioxo-11h-benzo[c][2,1]benzothiazepin-11-ol Chemical compound O=S1(=O)N(C)C2=CC=CC=C2C(O)C2=CC=C(Cl)C=C21 KBRSJPHSCOAFDR-UHFFFAOYSA-N 0.000 description 1
- NHQDETIJWKXCTC-UHFFFAOYSA-N 3-chloroperbenzoic acid Chemical compound OOC(=O)C1=CC=CC(Cl)=C1 NHQDETIJWKXCTC-UHFFFAOYSA-N 0.000 description 1
- FGNAJWFZOBYZLR-UHFFFAOYSA-N 3h-[1,2,4]triazolo[4,3-a][1,4]diazepine Chemical compound N1=CC=CN2CN=NC2=C1 FGNAJWFZOBYZLR-UHFFFAOYSA-N 0.000 description 1
- HQQCRVHZMQHQOA-UHFFFAOYSA-N 4,4-dimethylpiperidine;hydrochloride Chemical compound [Cl-].CC1(C)CC[NH2+]CC1 HQQCRVHZMQHQOA-UHFFFAOYSA-N 0.000 description 1
- BNYVBWBKNDWCQW-UHFFFAOYSA-N 4-(1-methylpiperidin-4-yl)aniline Chemical compound C1CN(C)CCC1C1=CC=C(N)C=C1 BNYVBWBKNDWCQW-UHFFFAOYSA-N 0.000 description 1
- SWNLVRBFNUXRMQ-UHFFFAOYSA-N 4-(4,4-dimethylpiperidin-1-yl)cyclohexan-1-amine Chemical compound C1CC(C)(C)CCN1C1CCC(N)CC1 SWNLVRBFNUXRMQ-UHFFFAOYSA-N 0.000 description 1
- MOZNZNKHRXRLLF-UHFFFAOYSA-N 4-(4-methylpiperazin-1-yl)aniline Chemical compound C1CN(C)CCN1C1=CC=C(N)C=C1 MOZNZNKHRXRLLF-UHFFFAOYSA-N 0.000 description 1
- WHICOTYXRHNOEP-UHFFFAOYSA-N 4-(7-acetamido-3-propan-2-yl-4,5-dihydropyrazolo[4,3-g][1,3]benzothiazol-1-yl)-3-chloro-n-(1-methylpiperidin-4-yl)benzamide Chemical compound C1CC=2N=C(NC(C)=O)SC=2C2=C1C(C(C)C)=NN2C(C(=C1)Cl)=CC=C1C(=O)NC1CCN(C)CC1 WHICOTYXRHNOEP-UHFFFAOYSA-N 0.000 description 1
- MCIHSGCVYHIJLQ-UHFFFAOYSA-N 4-(7-acetamido-4,5-dihydropyrazolo[4,3-g][1,3]benzothiazol-1-yl)benzenesulfonic acid Chemical compound C1=2C=3SC(NC(=O)C)=NC=3CCC=2C=NN1C1=CC=C(S(O)(=O)=O)C=C1 MCIHSGCVYHIJLQ-UHFFFAOYSA-N 0.000 description 1
- BUOBQQPJXSFWGI-UHFFFAOYSA-N 4-(dimethylamino)-n-(1-phenyl-4,5-dihydropyrazolo[4,3-g][1,3]benzothiazol-7-yl)butanamide Chemical compound C1=2C=3SC(NC(=O)CCCN(C)C)=NC=3CCC=2C=NN1C1=CC=CC=C1 BUOBQQPJXSFWGI-UHFFFAOYSA-N 0.000 description 1
- QNGKSYLFCYIUAV-UHFFFAOYSA-N 4-(dimethylamino)-n-(1-phenyl-4h-pyrazolo[2,3]cyclopenta[2,4-b][1,3]thiazol-6-yl)butanamide Chemical compound C1=2C=3SC(NC(=O)CCCN(C)C)=NC=3CC=2C=NN1C1=CC=CC=C1 QNGKSYLFCYIUAV-UHFFFAOYSA-N 0.000 description 1
- LRGHHVXWOZHPJF-UHFFFAOYSA-N 4-(dimethylamino)butanoyl chloride Chemical compound CN(C)CCCC(Cl)=O LRGHHVXWOZHPJF-UHFFFAOYSA-N 0.000 description 1
- BAVSOHJMQHHWFH-UHFFFAOYSA-N 4-(dimethylamino)butanoyl chloride;hydrochloride Chemical compound Cl.CN(C)CCCC(Cl)=O BAVSOHJMQHHWFH-UHFFFAOYSA-N 0.000 description 1
- YXACPRKIEIDUDN-UHFFFAOYSA-N 4-[1-(cyclopropylmethyl)piperidin-4-yl]aniline Chemical compound C1=CC(N)=CC=C1C1CCN(CC2CC2)CC1 YXACPRKIEIDUDN-UHFFFAOYSA-N 0.000 description 1
- RTLJQOLVPIGICL-UHFFFAOYSA-N 4-[2-(tert-butylamino)-1-hydroxyethyl]-2-(methylsulfonylmethyl)phenol Chemical compound CC(C)(C)NCC(O)C1=CC=C(O)C(CS(C)(=O)=O)=C1 RTLJQOLVPIGICL-UHFFFAOYSA-N 0.000 description 1
- MNJNSRQVLNIPFN-UHFFFAOYSA-N 4-[2-[[4-(benzimidazol-1-yl)-2-methylbutan-2-yl]amino]-1-hydroxyethyl]-2-[(4-methoxyphenyl)methylamino]phenol Chemical compound C1=CC(OC)=CC=C1CNC1=CC(C(O)CNC(C)(C)CCN2C3=CC=CC=C3N=C2)=CC=C1O MNJNSRQVLNIPFN-UHFFFAOYSA-N 0.000 description 1
- KOTMQCNDGLTIHR-UHFFFAOYSA-N 4-[2-[[4-(benzimidazol-1-yl)-2-methylbutan-2-yl]amino]-1-hydroxyethyl]-3-fluorophenol Chemical compound C1=NC2=CC=CC=C2N1CCC(C)(C)NCC(O)C1=CC=C(O)C=C1F KOTMQCNDGLTIHR-UHFFFAOYSA-N 0.000 description 1
- LBYALFWGJOLWMN-UHFFFAOYSA-N 4-[4-(cyclopropylmethyl)piperazin-1-yl]cyclohexan-1-amine Chemical compound C1CC(N)CCC1N1CCN(CC2CC2)CC1 LBYALFWGJOLWMN-UHFFFAOYSA-N 0.000 description 1
- XRTGWDJWGKKCDS-UHFFFAOYSA-N 4-[7-acetamido-3-(furan-2-yl)-4,5-dihydropyrazolo[4,3-g][1,3]benzothiazol-1-yl]-3-chloro-n-(1-methylpiperidin-4-yl)benzamide Chemical compound C1CN(C)CCC1NC(=O)C1=CC=C(N2C=3C=4SC(NC(C)=O)=NC=4CCC=3C(C=3OC=CC=3)=N2)C(Cl)=C1 XRTGWDJWGKKCDS-UHFFFAOYSA-N 0.000 description 1
- QDNYVRADQFGILN-UHFFFAOYSA-N 4-[7-acetamido-3-(methoxymethyl)-4,5-dihydropyrazolo[4,3-g][1,3]benzothiazol-1-yl]-3-chloro-n-(1-methylpiperidin-4-yl)benzamide Chemical compound C1CC=2N=C(NC(C)=O)SC=2C2=C1C(COC)=NN2C(C(=C1)Cl)=CC=C1C(=O)NC1CCN(C)CC1 QDNYVRADQFGILN-UHFFFAOYSA-N 0.000 description 1
- OYVZDDWXFQERRB-JOCHJYFZSA-N 4-[7-acetamido-3-[(2r)-oxolan-2-yl]-4,5-dihydropyrazolo[4,3-g][1,3]benzothiazol-1-yl]-3-chloro-n-(pyridin-4-ylmethyl)benzamide Chemical compound C1=2C=3SC(NC(=O)C)=NC=3CCC=2C([C@@H]2OCCC2)=NN1C(C(=C1)Cl)=CC=C1C(=O)NCC1=CC=NC=C1 OYVZDDWXFQERRB-JOCHJYFZSA-N 0.000 description 1
- ZYZQSCWSPFLAFM-UHFFFAOYSA-N 4-amino-2-chlorophenol Chemical compound NC1=CC=C(O)C(Cl)=C1 ZYZQSCWSPFLAFM-UHFFFAOYSA-N 0.000 description 1
- PHXGKHTWEOPCEW-UHFFFAOYSA-N 4-bromo-2-(trifluoromethyl)aniline Chemical compound NC1=CC=C(Br)C=C1C(F)(F)F PHXGKHTWEOPCEW-UHFFFAOYSA-N 0.000 description 1
- 125000004195 4-methylpiperazin-1-yl group Chemical group [H]C([H])([H])N1C([H])([H])C([H])([H])N(*)C([H])([H])C1([H])[H] 0.000 description 1
- USUNCAQFNNEGBQ-UHFFFAOYSA-N 4-morpholin-4-ylcyclohexan-1-amine Chemical compound C1CC(N)CCC1N1CCOCC1 USUNCAQFNNEGBQ-UHFFFAOYSA-N 0.000 description 1
- YZPSRQSRPXVVQI-UHFFFAOYSA-N 4-n,4-n-dibenzylcyclohexane-1,4-diamine Chemical compound C1CC(N)CCC1N(CC=1C=CC=CC=1)CC1=CC=CC=C1 YZPSRQSRPXVVQI-UHFFFAOYSA-N 0.000 description 1
- KMVPXBDOWDXXEN-UHFFFAOYSA-N 4-nitrophenylhydrazine Chemical compound NNC1=CC=C([N+]([O-])=O)C=C1 KMVPXBDOWDXXEN-UHFFFAOYSA-N 0.000 description 1
- UTBULQCHEUWJNV-UHFFFAOYSA-N 4-phenylpiperidine Chemical compound C1CNCCC1C1=CC=CC=C1 UTBULQCHEUWJNV-UHFFFAOYSA-N 0.000 description 1
- CFRUILQUHZWJIG-UHFFFAOYSA-N 4-piperidin-1-ylcyclohexan-1-amine Chemical compound C1CC(N)CCC1N1CCCCC1 CFRUILQUHZWJIG-UHFFFAOYSA-N 0.000 description 1
- YAUYNQUPOXKDNI-UHFFFAOYSA-N 4-pyrrolidin-1-ylcyclohexan-1-amine Chemical compound C1CC(N)CCC1N1CCCC1 YAUYNQUPOXKDNI-UHFFFAOYSA-N 0.000 description 1
- HQQTZCPKNZVLFF-UHFFFAOYSA-N 4h-1,2-benzoxazin-3-one Chemical class C1=CC=C2ONC(=O)CC2=C1 HQQTZCPKNZVLFF-UHFFFAOYSA-N 0.000 description 1
- LSLYOANBFKQKPT-DIFFPNOSSA-N 5-[(1r)-1-hydroxy-2-[[(2r)-1-(4-hydroxyphenyl)propan-2-yl]amino]ethyl]benzene-1,3-diol Chemical compound C([C@@H](C)NC[C@H](O)C=1C=C(O)C=C(O)C=1)C1=CC=C(O)C=C1 LSLYOANBFKQKPT-DIFFPNOSSA-N 0.000 description 1
- ZLLOWHFKKIOINR-UHFFFAOYSA-N 5-phenyl-1,3-thiazole Chemical class S1C=NC=C1C1=CC=CC=C1 ZLLOWHFKKIOINR-UHFFFAOYSA-N 0.000 description 1
- DHSSDEDRBUKTQY-UHFFFAOYSA-N 6-prop-2-enyl-4,5,7,8-tetrahydrothiazolo[4,5-d]azepin-2-amine Chemical compound C1CN(CC=C)CCC2=C1N=C(N)S2 DHSSDEDRBUKTQY-UHFFFAOYSA-N 0.000 description 1
- RLTSUUNBSDKJRF-UHFFFAOYSA-N 7-acetamido-1-(2-chlorophenyl)-4,5-dihydropyrazolo[4,3-g][1,3]benzothiazole-3-carboxylic acid Chemical compound C1=2C=3SC(NC(=O)C)=NC=3CCC=2C(C(O)=O)=NN1C1=CC=CC=C1Cl RLTSUUNBSDKJRF-UHFFFAOYSA-N 0.000 description 1
- CHEQBVNZCTZXHB-UHFFFAOYSA-N 7-acetamido-1-phenyl-4,5-dihydropyrazolo[4,3-g][1,3]benzothiazole-3-carboxylic acid Chemical compound C1=2C=3SC(NC(=O)C)=NC=3CCC=2C(C(O)=O)=NN1C1=CC=CC=C1 CHEQBVNZCTZXHB-UHFFFAOYSA-N 0.000 description 1
- QHMXUPDXAOFQLR-UHFFFAOYSA-N 7-acetamido-4,5-dihydropyrazolo[4,3-g][1,3]benzothiazole-1-carboxamide Chemical compound C1=2SC(NC(=O)C)=NC=2CCC2=C1N(C(N)=O)N=C2 QHMXUPDXAOFQLR-UHFFFAOYSA-N 0.000 description 1
- BIZFHQDZRNKNAU-UHFFFAOYSA-N 7-nitro-3,4-dihydro-1h-naphthalen-2-one Chemical compound C1CC(=O)CC2=CC([N+](=O)[O-])=CC=C21 BIZFHQDZRNKNAU-UHFFFAOYSA-N 0.000 description 1
- ZCYVEMRRCGMTRW-UHFFFAOYSA-N 7553-56-2 Chemical compound [I] ZCYVEMRRCGMTRW-UHFFFAOYSA-N 0.000 description 1
- 244000215068 Acacia senegal Species 0.000 description 1
- 206010027654 Allergic conditions Diseases 0.000 description 1
- 102000006306 Antigen Receptors Human genes 0.000 description 1
- 108010083359 Antigen Receptors Proteins 0.000 description 1
- 208000033116 Asbestos intoxication Diseases 0.000 description 1
- 201000001320 Atherosclerosis Diseases 0.000 description 1
- MBUVEWMHONZEQD-UHFFFAOYSA-N Azeptin Chemical compound C1CN(C)CCCC1N1C(=O)C2=CC=CC=C2C(CC=2C=CC(Cl)=CC=2)=N1 MBUVEWMHONZEQD-UHFFFAOYSA-N 0.000 description 1
- ZNSMNVMLTJELDZ-UHFFFAOYSA-N Bis(2-chloroethyl)ether Chemical compound ClCCOCCCl ZNSMNVMLTJELDZ-UHFFFAOYSA-N 0.000 description 1
- LSNNMFCWUKXFEE-UHFFFAOYSA-M Bisulfite Chemical compound OS([O-])=O LSNNMFCWUKXFEE-UHFFFAOYSA-M 0.000 description 1
- 206010006187 Breast cancer Diseases 0.000 description 1
- 208000026310 Breast neoplasm Diseases 0.000 description 1
- 206010066091 Bronchial Hyperreactivity Diseases 0.000 description 1
- VOVIALXJUBGFJZ-KWVAZRHASA-N Budesonide Chemical compound C1CC2=CC(=O)C=C[C@]2(C)[C@@H]2[C@@H]1[C@@H]1C[C@H]3OC(CCC)O[C@@]3(C(=O)CO)[C@@]1(C)C[C@@H]2O VOVIALXJUBGFJZ-KWVAZRHASA-N 0.000 description 1
- DHLNJCDNXLGOMC-RQNOJGIXSA-N C(N(Cc1ccccc1)[C@H]1CC[C@@H](CC1)N1CCCC1)c1ccccc1 Chemical compound C(N(Cc1ccccc1)[C@H]1CC[C@@H](CC1)N1CCCC1)c1ccccc1 DHLNJCDNXLGOMC-RQNOJGIXSA-N 0.000 description 1
- BGUVNTGEVJOZHY-SOAUALDESA-N C(N(Cc1ccccc1)[C@H]1CC[C@@H](CC1)N1CCCCC1)c1ccccc1 Chemical compound C(N(Cc1ccccc1)[C@H]1CC[C@@H](CC1)N1CCCCC1)c1ccccc1 BGUVNTGEVJOZHY-SOAUALDESA-N 0.000 description 1
- RLSAIUMSBODSSZ-WXUXXXNLSA-N C(N(Cc1ccccc1)[C@H]1CC[C@@H](CC1)N1CCN(CC1)c1ccccc1)c1ccccc1 Chemical compound C(N(Cc1ccccc1)[C@H]1CC[C@@H](CC1)N1CCN(CC1)c1ccccc1)c1ccccc1 RLSAIUMSBODSSZ-WXUXXXNLSA-N 0.000 description 1
- 239000002126 C01EB10 - Adenosine Substances 0.000 description 1
- CFAJUZYHRQDOHA-XYPYZODXSA-N C1CN(C)CCN1[C@@H]1CC[C@@H](N)CC1 Chemical compound C1CN(C)CCN1[C@@H]1CC[C@@H](N)CC1 CFAJUZYHRQDOHA-XYPYZODXSA-N 0.000 description 1
- MRHJLNHIRRALBT-KOMQPUFPSA-N C1C[C@@H](N)CC[C@@H]1N1CCN(C=2C=CC=CC=2)CC1 Chemical compound C1C[C@@H](N)CC[C@@H]1N1CCN(C=2C=CC=CC=2)CC1 MRHJLNHIRRALBT-KOMQPUFPSA-N 0.000 description 1
- ODBFQVSTTBWSOG-UHFFFAOYSA-N C=C.C(C)(=O)NC=1SC2=C(N1)CCC(C2=O)C(=O)O Chemical compound C=C.C(C)(=O)NC=1SC2=C(N1)CCC(C2=O)C(=O)O ODBFQVSTTBWSOG-UHFFFAOYSA-N 0.000 description 1
- DDQYOYKXOARMKG-UHFFFAOYSA-N CC(C)(CC(C)(C)N)C(NC)=O Chemical compound CC(C)(CC(C)(C)N)C(NC)=O DDQYOYKXOARMKG-UHFFFAOYSA-N 0.000 description 1
- DWDKWWUNXACCSS-UHFFFAOYSA-N CC(C)(CN(C)C)NC Chemical compound CC(C)(CN(C)C)NC DWDKWWUNXACCSS-UHFFFAOYSA-N 0.000 description 1
- OYVZDDWXFQERRB-UHFFFAOYSA-N CC(Nc1nc(CCc2c-3[n](-c(c(Cl)c4)ccc4C(NCc4ccncc4)=O)nc2C2OCCC2)c-3[s]1)=O Chemical compound CC(Nc1nc(CCc2c-3[n](-c(c(Cl)c4)ccc4C(NCc4ccncc4)=O)nc2C2OCCC2)c-3[s]1)=O OYVZDDWXFQERRB-UHFFFAOYSA-N 0.000 description 1
- DZSWNZMHNZUWCQ-UHFFFAOYSA-N CCC(Nc1nc(CCc2c-3nc(-c4ccccc4)nc2)c-3[s]1)=O Chemical compound CCC(Nc1nc(CCc2c-3nc(-c4ccccc4)nc2)c-3[s]1)=O DZSWNZMHNZUWCQ-UHFFFAOYSA-N 0.000 description 1
- GNGZZWTXFNFCMU-ZKCHVHJHSA-N CN(C)[C@H]1CC[C@H](N)CC1 Chemical compound CN(C)[C@H]1CC[C@H](N)CC1 GNGZZWTXFNFCMU-ZKCHVHJHSA-N 0.000 description 1
- WABCTOFHOUQDEC-UHFFFAOYSA-N CN(C)c1nc(-c2c(CC3)nc(N)[s]2)c3cn1 Chemical compound CN(C)c1nc(-c2c(CC3)nc(N)[s]2)c3cn1 WABCTOFHOUQDEC-UHFFFAOYSA-N 0.000 description 1
- SECXISVLQFMRJM-UHFFFAOYSA-N CN(CCC1)C1=O Chemical compound CN(CCC1)C1=O SECXISVLQFMRJM-UHFFFAOYSA-N 0.000 description 1
- RXYPXQSKLGGKOL-UHFFFAOYSA-N CN1CCN(C)CC1 Chemical compound CN1CCN(C)CC1 RXYPXQSKLGGKOL-UHFFFAOYSA-N 0.000 description 1
- SJRJJKPEHAURKC-UHFFFAOYSA-N CN1CCOCC1 Chemical compound CN1CCOCC1 SJRJJKPEHAURKC-UHFFFAOYSA-N 0.000 description 1
- RKEXPBCMGJAOLM-UHFFFAOYSA-N CNC(Cc1ccccc1)=O Chemical compound CNC(Cc1ccccc1)=O RKEXPBCMGJAOLM-UHFFFAOYSA-N 0.000 description 1
- PIHJUDHVYWCZLS-UHFFFAOYSA-N CNC(c(cc1)ccc1F)=O Chemical compound CNC(c(cc1)ccc1F)=O PIHJUDHVYWCZLS-UHFFFAOYSA-N 0.000 description 1
- SDDKAODVKCSVMH-UHFFFAOYSA-N CNC(c1c(cccc2)c2ccc1)=O Chemical compound CNC(c1c(cccc2)c2ccc1)=O SDDKAODVKCSVMH-UHFFFAOYSA-N 0.000 description 1
- FLIATKNYCKDFFO-XYPYZODXSA-N CS(=O)(=O)N1CCN(CC1)[C@@H]1CC[C@H](CC1)N Chemical compound CS(=O)(=O)N1CCN(CC1)[C@@H]1CC[C@H](CC1)N FLIATKNYCKDFFO-XYPYZODXSA-N 0.000 description 1
- CHPBRPQSTLXZKR-SOAUALDESA-N CS(=O)(=O)N1CCN(CC1)[C@H]1CC[C@@H](CC1)N(Cc1ccccc1)Cc1ccccc1 Chemical compound CS(=O)(=O)N1CCN(CC1)[C@H]1CC[C@@H](CC1)N(Cc1ccccc1)Cc1ccccc1 CHPBRPQSTLXZKR-SOAUALDESA-N 0.000 description 1
- UGORWMKGYRVQGN-IPZLUAPPSA-N CS(O)(=O)=O.CS(O)(=O)=O.C1C[C@@H](N(C)C)CC[C@@H]1N(CC=1C=CC=CC=1)CC1=CC=CC=C1 Chemical compound CS(O)(=O)=O.CS(O)(=O)=O.C1C[C@@H](N(C)C)CC[C@@H]1N(CC=1C=CC=CC=1)CC1=CC=CC=C1 UGORWMKGYRVQGN-IPZLUAPPSA-N 0.000 description 1
- GAWIXWVDTYZWAW-UHFFFAOYSA-N C[CH]O Chemical group C[CH]O GAWIXWVDTYZWAW-UHFFFAOYSA-N 0.000 description 1
- LFYXYMNKXJPNGX-UHFFFAOYSA-N C[Mg]C(C)C Chemical compound C[Mg]C(C)C LFYXYMNKXJPNGX-UHFFFAOYSA-N 0.000 description 1
- KORNTPPJEAJQIU-KJXAQDMKSA-N Cabaser Chemical compound C1=CC([C@H]2C[C@H](CN(CC=C)[C@@H]2C2)C(=O)N(CCCN(C)C)C(=O)NCC)=C3C2=CNC3=C1 KORNTPPJEAJQIU-KJXAQDMKSA-N 0.000 description 1
- 229920002134 Carboxymethyl cellulose Polymers 0.000 description 1
- 206010007572 Cardiac hypertrophy Diseases 0.000 description 1
- 208000006029 Cardiomegaly Diseases 0.000 description 1
- XLSZMDLNRCVEIJ-UHFFFAOYSA-N Cc1c[nH]cn1 Chemical compound Cc1c[nH]cn1 XLSZMDLNRCVEIJ-UHFFFAOYSA-N 0.000 description 1
- BLHTXORQJNCSII-UHFFFAOYSA-N Cc1c[n](C)cn1 Chemical compound Cc1c[n](C)cn1 BLHTXORQJNCSII-UHFFFAOYSA-N 0.000 description 1
- FKNQCJSGGFJEIZ-UHFFFAOYSA-N Cc1ccncc1 Chemical compound Cc1ccncc1 FKNQCJSGGFJEIZ-UHFFFAOYSA-N 0.000 description 1
- LXBGSDVWAMZHDD-UHFFFAOYSA-N Cc1ncc[nH]1 Chemical compound Cc1ncc[nH]1 LXBGSDVWAMZHDD-UHFFFAOYSA-N 0.000 description 1
- BSKHPKMHTQYZBB-UHFFFAOYSA-N Cc1ncccc1 Chemical compound Cc1ncccc1 BSKHPKMHTQYZBB-UHFFFAOYSA-N 0.000 description 1
- 108010001857 Cell Surface Receptors Proteins 0.000 description 1
- 229920000623 Cellulose acetate phthalate Polymers 0.000 description 1
- ZKLPARSLTMPFCP-UHFFFAOYSA-N Cetirizine Chemical compound C1CN(CCOCC(=O)O)CCN1C(C=1C=CC(Cl)=CC=1)C1=CC=CC=C1 ZKLPARSLTMPFCP-UHFFFAOYSA-N 0.000 description 1
- 108010012236 Chemokines Proteins 0.000 description 1
- 102000019034 Chemokines Human genes 0.000 description 1
- VEXZGXHMUGYJMC-UHFFFAOYSA-M Chloride anion Chemical compound [Cl-] VEXZGXHMUGYJMC-UHFFFAOYSA-M 0.000 description 1
- LUKZNWIVRBCLON-GXOBDPJESA-N Ciclesonide Chemical compound C1([C@H]2O[C@@]3([C@H](O2)C[C@@H]2[C@@]3(C[C@H](O)[C@@H]3[C@@]4(C)C=CC(=O)C=C4CC[C@H]32)C)C(=O)COC(=O)C(C)C)CCCCC1 LUKZNWIVRBCLON-GXOBDPJESA-N 0.000 description 1
- CNNDTJFOLKGSSJ-PQDNYVNLSA-N Cl.Cl.C1C(C)OC(C)CN1[C@@H]1CC[C@@H](N)CC1 Chemical compound Cl.Cl.C1C(C)OC(C)CN1[C@@H]1CC[C@@H](N)CC1 CNNDTJFOLKGSSJ-PQDNYVNLSA-N 0.000 description 1
- 206010009944 Colon cancer Diseases 0.000 description 1
- UDIPTWFVPPPURJ-UHFFFAOYSA-M Cyclamate Chemical compound [Na+].[O-]S(=O)(=O)NC1CCCCC1 UDIPTWFVPPPURJ-UHFFFAOYSA-M 0.000 description 1
- FBPFZTCFMRRESA-JGWLITMVSA-N D-glucitol Chemical compound OC[C@H](O)[C@@H](O)[C@H](O)[C@H](O)CO FBPFZTCFMRRESA-JGWLITMVSA-N 0.000 description 1
- FEWJPZIEWOKRBE-JCYAYHJZSA-N Dextrotartaric acid Chemical compound OC(=O)[C@H](O)[C@@H](O)C(O)=O FEWJPZIEWOKRBE-JCYAYHJZSA-N 0.000 description 1
- ZAFNJMIOTHYJRJ-UHFFFAOYSA-N Diisopropyl ether Chemical compound CC(C)OC(C)C ZAFNJMIOTHYJRJ-UHFFFAOYSA-N 0.000 description 1
- LCGLNKUTAGEVQW-UHFFFAOYSA-N Dimethyl ether Chemical compound COC LCGLNKUTAGEVQW-UHFFFAOYSA-N 0.000 description 1
- 102000002045 Endothelin Human genes 0.000 description 1
- 108050009340 Endothelin Proteins 0.000 description 1
- LOFDXZJSDVCYAS-UHFFFAOYSA-N Ethyl 3-furoate Chemical compound CCOC(=O)C=1C=COC=1 LOFDXZJSDVCYAS-UHFFFAOYSA-N 0.000 description 1
- IAYPIBMASNFSPL-UHFFFAOYSA-N Ethylene oxide Chemical compound C1CO1 IAYPIBMASNFSPL-UHFFFAOYSA-N 0.000 description 1
- 102000003688 G-Protein-Coupled Receptors Human genes 0.000 description 1
- 108090000045 G-Protein-Coupled Receptors Proteins 0.000 description 1
- 108010010803 Gelatin Proteins 0.000 description 1
- JZNWSCPGTDBMEW-UHFFFAOYSA-N Glycerophosphorylethanolamin Natural products NCCOP(O)(=O)OCC(O)CO JZNWSCPGTDBMEW-UHFFFAOYSA-N 0.000 description 1
- ZWZWYGMENQVNFU-UHFFFAOYSA-N Glycerophosphorylserin Natural products OC(=O)C(N)COP(O)(=O)OCC(O)CO ZWZWYGMENQVNFU-UHFFFAOYSA-N 0.000 description 1
- 229920000084 Gum arabic Polymers 0.000 description 1
- 239000004354 Hydroxyethyl cellulose Substances 0.000 description 1
- 229920000663 Hydroxyethyl cellulose Polymers 0.000 description 1
- SPGPGBWICPNRSN-UHFFFAOYSA-N I[n]1cncc1 Chemical compound I[n]1cncc1 SPGPGBWICPNRSN-UHFFFAOYSA-N 0.000 description 1
- RAXXELZNTBOGNW-UHFFFAOYSA-O Imidazolium Chemical compound C1=C[NH+]=CN1 RAXXELZNTBOGNW-UHFFFAOYSA-O 0.000 description 1
- 208000022559 Inflammatory bowel disease Diseases 0.000 description 1
- 108090001007 Interleukin-8 Proteins 0.000 description 1
- 108010044467 Isoenzymes Proteins 0.000 description 1
- PWWVAXIEGOYWEE-UHFFFAOYSA-N Isophenergan Chemical compound C1=CC=C2N(CC(C)N(C)C)C3=CC=CC=C3SC2=C1 PWWVAXIEGOYWEE-UHFFFAOYSA-N 0.000 description 1
- ZCVMWBYGMWKGHF-UHFFFAOYSA-N Ketotifene Chemical compound C1CN(C)CCC1=C1C2=CC=CC=C2CC(=O)C2=C1C=CS2 ZCVMWBYGMWKGHF-UHFFFAOYSA-N 0.000 description 1
- 206010058467 Lung neoplasm malignant Diseases 0.000 description 1
- OCJYIGYOJCODJL-UHFFFAOYSA-N Meclizine Chemical compound CC1=CC=CC(CN2CCN(CC2)C(C=2C=CC=CC=2)C=2C=CC(Cl)=CC=2)=C1 OCJYIGYOJCODJL-UHFFFAOYSA-N 0.000 description 1
- HDJLSECJEQSPKW-UHFFFAOYSA-N Methyl 2-Furancarboxylate Chemical compound COC(=O)C1=CC=CO1 HDJLSECJEQSPKW-UHFFFAOYSA-N 0.000 description 1
- LOMVENUNSWAXEN-UHFFFAOYSA-N Methyl oxalate Chemical compound COC(=O)C(=O)OC LOMVENUNSWAXEN-UHFFFAOYSA-N 0.000 description 1
- 101710202709 Middle T antigen Proteins 0.000 description 1
- PVLJETXTTWAYEW-UHFFFAOYSA-N Mizolastine Chemical compound N=1C=CC(=O)NC=1N(C)C(CC1)CCN1C1=NC2=CC=CC=C2N1CC1=CC=C(F)C=C1 PVLJETXTTWAYEW-UHFFFAOYSA-N 0.000 description 1
- IJHNSHDBIRRJRN-UHFFFAOYSA-N N,N-dimethyl-3-phenyl-3-(2-pyridinyl)-1-propanamine Chemical compound C=1C=CC=NC=1C(CCN(C)C)C1=CC=CC=C1 IJHNSHDBIRRJRN-UHFFFAOYSA-N 0.000 description 1
- RBRJKARSVJGREO-UHFFFAOYSA-N N-(5-formyl-6-oxo-3a,4,5,6a-tetrahydrocyclopenta[d][1,3]thiazol-2-yl)acetamide Chemical compound C(=O)C1C(C2C(N=C(S2)NC(C)=O)C1)=O RBRJKARSVJGREO-UHFFFAOYSA-N 0.000 description 1
- AMQJEAYHLZJPGS-UHFFFAOYSA-N N-Pentanol Chemical compound CCCCCO AMQJEAYHLZJPGS-UHFFFAOYSA-N 0.000 description 1
- ANFOHIPXDYAFJO-UHFFFAOYSA-N N-[1-(2-chlorophenyl)-3-(1H-imidazol-5-yl)-4,5-dihydropyrazolo[4,3-g][1,3]benzothiazol-7-yl]acetamide Chemical compound C1=2C=3SC(NC(=O)C)=NC=3CCC=2C(C=2N=CNC=2)=NN1C1=CC=CC=C1Cl ANFOHIPXDYAFJO-UHFFFAOYSA-N 0.000 description 1
- YXGOSHKZOOSART-UHFFFAOYSA-N N-[3-(1H-imidazol-5-yl)-1-[2-(trifluoromethyl)phenyl]-4,5-dihydropyrazolo[4,3-g][1,3]benzothiazol-7-yl]acetamide Chemical compound C1=2C=3SC(NC(=O)C)=NC=3CCC=2C(C=2N=CNC=2)=NN1C1=CC=CC=C1C(F)(F)F YXGOSHKZOOSART-UHFFFAOYSA-N 0.000 description 1
- VIHYIVKEECZGOU-UHFFFAOYSA-N N-acetylimidazole Chemical compound CC(=O)N1C=CN=C1 VIHYIVKEECZGOU-UHFFFAOYSA-N 0.000 description 1
- IPCRBOOJBPETMF-UHFFFAOYSA-N N-acetylthiourea Chemical compound CC(=O)NC(N)=S IPCRBOOJBPETMF-UHFFFAOYSA-N 0.000 description 1
- PRQROPMIIGLWRP-UHFFFAOYSA-N N-formyl-methionyl-leucyl-phenylalanin Chemical compound CSCCC(NC=O)C(=O)NC(CC(C)C)C(=O)NC(C(O)=O)CC1=CC=CC=C1 PRQROPMIIGLWRP-UHFFFAOYSA-N 0.000 description 1
- AHVYPIQETPWLSZ-UHFFFAOYSA-N N-methyl-pyrrolidine Natural products CN1CC=CC1 AHVYPIQETPWLSZ-UHFFFAOYSA-N 0.000 description 1
- LSROBYZLBGODRN-UHFFFAOYSA-N NN(CCC1)C1=O Chemical compound NN(CCC1)C1=O LSROBYZLBGODRN-UHFFFAOYSA-N 0.000 description 1
- MFBDFUFOGYJPGR-UHFFFAOYSA-N NN1CCOCCC1 Chemical compound NN1CCOCCC1 MFBDFUFOGYJPGR-UHFFFAOYSA-N 0.000 description 1
- WARCRYXKINZHGQ-UHFFFAOYSA-N NNC(c1ccccc1)=O Chemical compound NNC(c1ccccc1)=O WARCRYXKINZHGQ-UHFFFAOYSA-N 0.000 description 1
- JWYUFVNJZUSCSM-UHFFFAOYSA-N Nc1nc(cccc2)c2[nH]1 Chemical compound Nc1nc(cccc2)c2[nH]1 JWYUFVNJZUSCSM-UHFFFAOYSA-N 0.000 description 1
- JAUOIFJMECXRGI-UHFFFAOYSA-N Neoclaritin Chemical compound C=1C(Cl)=CC=C2C=1CCC1=CC=CN=C1C2=C1CCNCC1 JAUOIFJMECXRGI-UHFFFAOYSA-N 0.000 description 1
- 206010029164 Nephrotic syndrome Diseases 0.000 description 1
- GRYLNZFGIOXLOG-UHFFFAOYSA-N Nitric acid Chemical compound O[N+]([O-])=O GRYLNZFGIOXLOG-UHFFFAOYSA-N 0.000 description 1
- CTQNGGLPUBDAKN-UHFFFAOYSA-N O-Xylene Chemical compound CC1=CC=CC=C1C CTQNGGLPUBDAKN-UHFFFAOYSA-N 0.000 description 1
- 102000043276 Oncogene Human genes 0.000 description 1
- 108700020796 Oncogene Proteins 0.000 description 1
- 206010033128 Ovarian cancer Diseases 0.000 description 1
- 208000018737 Parkinson disease Diseases 0.000 description 1
- 102100038332 Phosphatidylinositol 4,5-bisphosphate 3-kinase catalytic subunit alpha isoform Human genes 0.000 description 1
- 101710093328 Phosphatidylinositol 4,5-bisphosphate 3-kinase catalytic subunit alpha isoform Proteins 0.000 description 1
- 229940123932 Phosphodiesterase 4 inhibitor Drugs 0.000 description 1
- 101150063858 Pik3ca gene Proteins 0.000 description 1
- VQDBNKDJNJQRDG-UHFFFAOYSA-N Pirbuterol Chemical compound CC(C)(C)NCC(O)C1=CC=C(O)C(CO)=N1 VQDBNKDJNJQRDG-UHFFFAOYSA-N 0.000 description 1
- 239000002202 Polyethylene glycol Substances 0.000 description 1
- 241001505332 Polyomavirus sp. Species 0.000 description 1
- 239000004793 Polystyrene Substances 0.000 description 1
- KWYUFKZDYYNOTN-UHFFFAOYSA-M Potassium hydroxide Chemical compound [OH-].[K+] KWYUFKZDYYNOTN-UHFFFAOYSA-M 0.000 description 1
- XBDQKXXYIPTUBI-UHFFFAOYSA-N Propionic acid Chemical class CCC(O)=O XBDQKXXYIPTUBI-UHFFFAOYSA-N 0.000 description 1
- 102000001253 Protein Kinase Human genes 0.000 description 1
- 206010037211 Psychomotor hyperactivity Diseases 0.000 description 1
- 206010063837 Reperfusion injury Diseases 0.000 description 1
- BKRGVLQUQGGVSM-KBXCAEBGSA-N Revanil Chemical compound C1=CC(C=2[C@H](N(C)C[C@H](C=2)NC(=O)N(CC)CC)C2)=C3C2=CNC3=C1 BKRGVLQUQGGVSM-KBXCAEBGSA-N 0.000 description 1
- GIIZNNXWQWCKIB-UHFFFAOYSA-N Serevent Chemical compound C1=C(O)C(CO)=CC(C(O)CNCCCCCCOCCCCC=2C=CC=CC=2)=C1 GIIZNNXWQWCKIB-UHFFFAOYSA-N 0.000 description 1
- 229920001800 Shellac Polymers 0.000 description 1
- PMZURENOXWZQFD-UHFFFAOYSA-L Sodium Sulfate Chemical compound [Na+].[Na+].[O-]S([O-])(=O)=O PMZURENOXWZQFD-UHFFFAOYSA-L 0.000 description 1
- 241000256251 Spodoptera frugiperda Species 0.000 description 1
- 235000021355 Stearic acid Nutrition 0.000 description 1
- 208000006011 Stroke Diseases 0.000 description 1
- KDYFGRWQOYBRFD-UHFFFAOYSA-N Succinic acid Chemical class OC(=O)CCC(O)=O KDYFGRWQOYBRFD-UHFFFAOYSA-N 0.000 description 1
- 210000001744 T-lymphocyte Anatomy 0.000 description 1
- STSCVKRWJPWALQ-UHFFFAOYSA-N TRIFLUOROACETIC ACID ETHYL ESTER Chemical compound CCOC(=O)C(F)(F)F STSCVKRWJPWALQ-UHFFFAOYSA-N 0.000 description 1
- FEWJPZIEWOKRBE-UHFFFAOYSA-N Tartaric acid Natural products [H+].[H+].[O-]C(=O)C(O)C(O)C([O-])=O FEWJPZIEWOKRBE-UHFFFAOYSA-N 0.000 description 1
- JOAHPSVPXZTVEP-YXJHDRRASA-N Terguride Chemical compound C1=CC([C@H]2C[C@@H](CN(C)[C@@H]2C2)NC(=O)N(CC)CC)=C3C2=CNC3=C1 JOAHPSVPXZTVEP-YXJHDRRASA-N 0.000 description 1
- 206010044248 Toxic shock syndrome Diseases 0.000 description 1
- WKHOPHIMYDJVSA-UHFFFAOYSA-N [3-[2-(tert-butylamino)-1-hydroxyethyl]-5-(2-methylpropanoyloxy)phenyl] 2-methylpropanoate Chemical compound CC(C)C(=O)OC1=CC(OC(=O)C(C)C)=CC(C(O)CNC(C)(C)C)=C1 WKHOPHIMYDJVSA-UHFFFAOYSA-N 0.000 description 1
- XGLDQVFQOXGKKS-UHFFFAOYSA-N [4-bromo-2-(trifluoromethyl)phenyl]hydrazine Chemical compound NNC1=CC=C(Br)C=C1C(F)(F)F XGLDQVFQOXGKKS-UHFFFAOYSA-N 0.000 description 1
- 239000000205 acacia gum Substances 0.000 description 1
- 235000010489 acacia gum Nutrition 0.000 description 1
- 150000001242 acetic acid derivatives Chemical class 0.000 description 1
- DPXJVFZANSGRMM-UHFFFAOYSA-N acetic acid;2,3,4,5,6-pentahydroxyhexanal;sodium Chemical compound [Na].CC(O)=O.OCC(O)C(O)C(O)C(O)C=O DPXJVFZANSGRMM-UHFFFAOYSA-N 0.000 description 1
- YFHNDHXQDJQEEE-UHFFFAOYSA-N acetic acid;hydrazine Chemical compound NN.CC(O)=O YFHNDHXQDJQEEE-UHFFFAOYSA-N 0.000 description 1
- 230000003213 activating effect Effects 0.000 description 1
- 229960005305 adenosine Drugs 0.000 description 1
- 239000002671 adjuvant Substances 0.000 description 1
- 235000010443 alginic acid Nutrition 0.000 description 1
- 239000000783 alginic acid Substances 0.000 description 1
- 229920000615 alginic acid Polymers 0.000 description 1
- 229960001126 alginic acid Drugs 0.000 description 1
- 150000004781 alginic acids Chemical class 0.000 description 1
- 150000001447 alkali salts Chemical class 0.000 description 1
- HSFWRNGVRCDJHI-UHFFFAOYSA-N alpha-acetylene Natural products C#C HSFWRNGVRCDJHI-UHFFFAOYSA-N 0.000 description 1
- 239000003708 ampul Substances 0.000 description 1
- 238000011861 anti-inflammatory therapy Methods 0.000 description 1
- 229940114079 arachidonic acid Drugs 0.000 description 1
- 235000021342 arachidonic acid Nutrition 0.000 description 1
- 125000004429 atom Chemical group 0.000 description 1
- 229960004574 azelastine Drugs 0.000 description 1
- 210000003719 b-lymphocyte Anatomy 0.000 description 1
- 229960003060 bambuterol Drugs 0.000 description 1
- ANZXOIAKUNOVQU-UHFFFAOYSA-N bambuterol Chemical compound CN(C)C(=O)OC1=CC(OC(=O)N(C)C)=CC(C(O)CNC(C)(C)C)=C1 ANZXOIAKUNOVQU-UHFFFAOYSA-N 0.000 description 1
- VZSXTYKGYWISGQ-UHFFFAOYSA-N bamipine Chemical compound C1CN(C)CCC1N(C=1C=CC=CC=1)CC1=CC=CC=C1 VZSXTYKGYWISGQ-UHFFFAOYSA-N 0.000 description 1
- 229960002526 bamipine Drugs 0.000 description 1
- 239000011324 bead Substances 0.000 description 1
- 229940092705 beclomethasone Drugs 0.000 description 1
- NBMKJKDGKREAPL-DVTGEIKXSA-N beclomethasone Chemical compound C1CC2=CC(=O)C=C[C@]2(C)[C@]2(Cl)[C@@H]1[C@@H]1C[C@H](C)[C@@](C(=O)CO)(O)[C@@]1(C)C[C@@H]2O NBMKJKDGKREAPL-DVTGEIKXSA-N 0.000 description 1
- PXXJHWLDUBFPOL-UHFFFAOYSA-N benzamidine Chemical compound NC(=N)C1=CC=CC=C1 PXXJHWLDUBFPOL-UHFFFAOYSA-N 0.000 description 1
- 150000001555 benzenes Chemical class 0.000 description 1
- WPYMKLBDIGXBTP-UHFFFAOYSA-N benzoic acid Chemical compound OC(=O)C1=CC=CC=C1 WPYMKLBDIGXBTP-UHFFFAOYSA-N 0.000 description 1
- PASDCCFISLVPSO-UHFFFAOYSA-N benzoyl chloride Chemical compound ClC(=O)C1=CC=CC=C1 PASDCCFISLVPSO-UHFFFAOYSA-N 0.000 description 1
- 239000011230 binding agent Substances 0.000 description 1
- 230000005540 biological transmission Effects 0.000 description 1
- 229960004620 bitolterol Drugs 0.000 description 1
- FZGVEKPRDOIXJY-UHFFFAOYSA-N bitolterol Chemical compound C1=CC(C)=CC=C1C(=O)OC1=CC=C(C(O)CNC(C)(C)C)C=C1OC(=O)C1=CC=C(C)C=C1 FZGVEKPRDOIXJY-UHFFFAOYSA-N 0.000 description 1
- 201000008275 breast carcinoma Diseases 0.000 description 1
- 229960002802 bromocriptine Drugs 0.000 description 1
- OZVBMTJYIDMWIL-AYFBDAFISA-N bromocriptine Chemical compound C1=CC(C=2[C@H](N(C)C[C@@H](C=2)C(=O)N[C@]2(C(=O)N3[C@H](C(N4CCC[C@H]4[C@]3(O)O2)=O)CC(C)C)C(C)C)C2)=C3C2=C(Br)NC3=C1 OZVBMTJYIDMWIL-AYFBDAFISA-N 0.000 description 1
- 230000036427 bronchial hyperreactivity Effects 0.000 description 1
- 229960004436 budesonide Drugs 0.000 description 1
- 244000309464 bull Species 0.000 description 1
- KDYFGRWQOYBRFD-NUQCWPJISA-N butanedioic acid Chemical class O[14C](=O)CC[14C](O)=O KDYFGRWQOYBRFD-NUQCWPJISA-N 0.000 description 1
- 125000005569 butenylene group Chemical group 0.000 description 1
- 210000004899 c-terminal region Anatomy 0.000 description 1
- 229960004596 cabergoline Drugs 0.000 description 1
- 229910000019 calcium carbonate Inorganic materials 0.000 description 1
- 239000001506 calcium phosphate Substances 0.000 description 1
- 229910000389 calcium phosphate Inorganic materials 0.000 description 1
- 235000011010 calcium phosphates Nutrition 0.000 description 1
- 239000004202 carbamide Substances 0.000 description 1
- 125000002915 carbonyl group Chemical group [*:2]C([*:1])=O 0.000 description 1
- 235000010948 carboxy methyl cellulose Nutrition 0.000 description 1
- 239000008112 carboxymethyl-cellulose Substances 0.000 description 1
- 229960001386 carbuterol Drugs 0.000 description 1
- KEMXXQOFIRIICG-UHFFFAOYSA-N carbuterol Chemical compound CC(C)(C)NCC(O)C1=CC=C(O)C(NC(N)=O)=C1 KEMXXQOFIRIICG-UHFFFAOYSA-N 0.000 description 1
- 210000004413 cardiac myocyte Anatomy 0.000 description 1
- 210000000748 cardiovascular system Anatomy 0.000 description 1
- 230000033077 cellular process Effects 0.000 description 1
- 229940081734 cellulose acetate phthalate Drugs 0.000 description 1
- 238000005119 centrifugation Methods 0.000 description 1
- 229960001803 cetirizine Drugs 0.000 description 1
- YYXYBWIDIWTCGS-UHFFFAOYSA-N chembl363685 Chemical compound NC(=N)C1=CC=C(O)C=C1 YYXYBWIDIWTCGS-UHFFFAOYSA-N 0.000 description 1
- 239000003153 chemical reaction reagent Substances 0.000 description 1
- 239000002975 chemoattractant Substances 0.000 description 1
- 230000003399 chemotactic effect Effects 0.000 description 1
- 229960003686 chlorphenoxamine Drugs 0.000 description 1
- KKHPNPMTPORSQE-UHFFFAOYSA-N chlorphenoxamine Chemical compound C=1C=C(Cl)C=CC=1C(C)(OCCN(C)C)C1=CC=CC=C1 KKHPNPMTPORSQE-UHFFFAOYSA-N 0.000 description 1
- 229960003728 ciclesonide Drugs 0.000 description 1
- 238000004140 cleaning Methods 0.000 description 1
- YNNUSGIPVFPVBX-NHCUHLMSSA-N clemastine Chemical compound CN1CCC[C@@H]1CCO[C@@](C)(C=1C=CC(Cl)=CC=1)C1=CC=CC=C1 YNNUSGIPVFPVBX-NHCUHLMSSA-N 0.000 description 1
- 229960002881 clemastine Drugs 0.000 description 1
- 229960001117 clenbuterol Drugs 0.000 description 1
- STJMRWALKKWQGH-UHFFFAOYSA-N clenbuterol Chemical compound CC(C)(C)NCC(O)C1=CC(Cl)=C(N)C(Cl)=C1 STJMRWALKKWQGH-UHFFFAOYSA-N 0.000 description 1
- 239000011248 coating agent Substances 0.000 description 1
- 206010009887 colitis Diseases 0.000 description 1
- 210000001072 colon Anatomy 0.000 description 1
- 229940126142 compound 16 Drugs 0.000 description 1
- 229940126208 compound 22 Drugs 0.000 description 1
- 229940125898 compound 5 Drugs 0.000 description 1
- 239000007859 condensation product Substances 0.000 description 1
- 229940109275 cyclamate Drugs 0.000 description 1
- 125000001995 cyclobutyl group Chemical group [H]C1([H])C([H])([H])C([H])(*)C1([H])[H] 0.000 description 1
- 125000000582 cycloheptyl group Chemical group [H]C1([H])C([H])([H])C([H])([H])C([H])([H])C([H])(*)C([H])([H])C1([H])[H] 0.000 description 1
- 125000003678 cyclohexadienyl group Chemical group C1(=CC=CCC1)* 0.000 description 1
- 125000000596 cyclohexenyl group Chemical group C1(=CCCCC1)* 0.000 description 1
- 125000000640 cyclooctyl group Chemical group [H]C1([H])C([H])([H])C([H])([H])C([H])([H])C([H])(*)C([H])([H])C([H])([H])C1([H])[H] 0.000 description 1
- 125000000058 cyclopentadienyl group Chemical group C1(=CC=CC1)* 0.000 description 1
- 125000002433 cyclopentenyl group Chemical group C1(=CCCC1)* 0.000 description 1
- JMYVMOUINOAAPA-UHFFFAOYSA-N cyclopropanecarbaldehyde Chemical compound O=CC1CC1 JMYVMOUINOAAPA-UHFFFAOYSA-N 0.000 description 1
- 230000003436 cytoskeletal effect Effects 0.000 description 1
- 230000006378 damage Effects 0.000 description 1
- UREBDLICKHMUKA-CXSFZGCWSA-N dexamethasone Chemical compound C1CC2=CC(=O)C=C[C@]2(C)[C@]2(F)[C@@H]1[C@@H]1C[C@@H](C)[C@@](C(=O)CO)(O)[C@@]1(C)C[C@@H]2O UREBDLICKHMUKA-CXSFZGCWSA-N 0.000 description 1
- WYACBZDAHNBPPB-UHFFFAOYSA-N diethyl oxalate Chemical compound CCOC(=O)C(=O)OCC WYACBZDAHNBPPB-UHFFFAOYSA-N 0.000 description 1
- SGDINNZGYDHHKM-UHFFFAOYSA-N dilithium;trimethylsilylazanide Chemical compound [Li+].[Li+].C[Si](C)(C)[NH-].C[Si](C)(C)[NH-] SGDINNZGYDHHKM-UHFFFAOYSA-N 0.000 description 1
- 229960004993 dimenhydrinate Drugs 0.000 description 1
- MZDOIJOUFRQXHC-UHFFFAOYSA-N dimenhydrinate Chemical compound O=C1N(C)C(=O)N(C)C2=NC(Cl)=N[C]21.C=1C=CC=CC=1C(OCCN(C)C)C1=CC=CC=C1 MZDOIJOUFRQXHC-UHFFFAOYSA-N 0.000 description 1
- MVMQESMQSYOVGV-UHFFFAOYSA-N dimetindene Chemical compound CN(C)CCC=1CC2=CC=CC=C2C=1C(C)C1=CC=CC=N1 MVMQESMQSYOVGV-UHFFFAOYSA-N 0.000 description 1
- 230000003292 diminished effect Effects 0.000 description 1
- 229960000520 diphenhydramine Drugs 0.000 description 1
- ZZVUWRFHKOJYTH-UHFFFAOYSA-N diphenhydramine Chemical compound C=1C=CC=CC=1C(OCCN(C)C)C1=CC=CC=C1 ZZVUWRFHKOJYTH-UHFFFAOYSA-N 0.000 description 1
- 238000002845 discoloration Methods 0.000 description 1
- 239000007884 disintegrant Substances 0.000 description 1
- 238000004090 dissolution Methods 0.000 description 1
- 238000004821 distillation Methods 0.000 description 1
- 239000012153 distilled water Substances 0.000 description 1
- 239000002552 dosage form Substances 0.000 description 1
- HCFDWZZGGLSKEP-UHFFFAOYSA-N doxylamine Chemical compound C=1C=CC=NC=1C(C)(OCCN(C)C)C1=CC=CC=C1 HCFDWZZGGLSKEP-UHFFFAOYSA-N 0.000 description 1
- 229960005178 doxylamine Drugs 0.000 description 1
- 239000003937 drug carrier Substances 0.000 description 1
- 229960001971 ebastine Drugs 0.000 description 1
- MJJALKDDGIKVBE-UHFFFAOYSA-N ebastine Chemical compound C1=CC(C(C)(C)C)=CC=C1C(=O)CCCN1CCC(OC(C=2C=CC=CC=2)C=2C=CC=CC=2)CC1 MJJALKDDGIKVBE-UHFFFAOYSA-N 0.000 description 1
- 229960000325 emedastine Drugs 0.000 description 1
- KBUZBQVCBVDWKX-UHFFFAOYSA-N emedastine Chemical compound N=1C2=CC=CC=C2N(CCOCC)C=1N1CCCN(C)CC1 KBUZBQVCBVDWKX-UHFFFAOYSA-N 0.000 description 1
- ZSWFCLXCOIISFI-UHFFFAOYSA-N endo-cyclopentadiene Natural products C1C=CC=C1 ZSWFCLXCOIISFI-UHFFFAOYSA-N 0.000 description 1
- ZUBDGKVDJUIMQQ-UBFCDGJISA-N endothelin-1 Chemical compound C([C@@H](C(=O)N[C@@H](CC(C)C)C(=O)N[C@@H](CC(O)=O)C(=O)N[C@@H]([C@@H](C)CC)C(=O)N[C@@H]([C@@H](C)CC)C(=O)N[C@@H](CC=1C2=CC=CC=C2NC=1)C(O)=O)NC(=O)[C@H]1NC(=O)[C@H](CC=2C=CC=CC=2)NC(=O)[C@@H](CC=2C=CC(O)=CC=2)NC(=O)[C@H](C(C)C)NC(=O)[C@H]2CSSC[C@@H](C(N[C@H](CO)C(=O)N[C@@H](CO)C(=O)N[C@H](CC(C)C)C(=O)N[C@@H](CCSC)C(=O)N[C@H](CC(O)=O)C(=O)N[C@@H](CCCCN)C(=O)N[C@@H](CCC(O)=O)C(=O)N2)=O)NC(=O)[C@@H](CO)NC(=O)[C@H](N)CSSC1)C1=CNC=N1 ZUBDGKVDJUIMQQ-UBFCDGJISA-N 0.000 description 1
- 229960003449 epinastine Drugs 0.000 description 1
- WHWZLSFABNNENI-UHFFFAOYSA-N epinastine Chemical compound C1C2=CC=CC=C2C2CN=C(N)N2C2=CC=CC=C21 WHWZLSFABNNENI-UHFFFAOYSA-N 0.000 description 1
- 125000005678 ethenylene group Chemical group [H]C([*:1])=C([H])[*:2] 0.000 description 1
- 125000005677 ethinylene group Chemical group [*:2]C#C[*:1] 0.000 description 1
- DQYBDCGIPTYXML-UHFFFAOYSA-N ethoxyethane;hydrate Chemical compound O.CCOCC DQYBDCGIPTYXML-UHFFFAOYSA-N 0.000 description 1
- GNKXBQRUPPUNAW-UHFFFAOYSA-N ethyl 2-(2-acetamido-7-oxo-5,6-dihydro-4h-1,3-benzothiazol-6-yl)-2-oxoacetate Chemical compound O=C1C(C(=O)C(=O)OCC)CCC2=C1SC(NC(C)=O)=N2 GNKXBQRUPPUNAW-UHFFFAOYSA-N 0.000 description 1
- INQHUOSZSYRVHB-UHFFFAOYSA-N ethyl 7-acetamido-4,5-dihydro-1h-pyrazolo[4,3-g][1,3]benzothiazole-3-carboxylate Chemical compound CCOC(=O)C1=NNC2=C1CCC1=C2SC(NC(C)=O)=N1 INQHUOSZSYRVHB-UHFFFAOYSA-N 0.000 description 1
- FIFVQZLUEWHMSV-UHFFFAOYSA-N ethyl n-[4-[2-(tert-butylamino)-1-hydroxyethyl]-2-cyano-6-fluorophenyl]carbamate Chemical compound CCOC(=O)NC1=C(F)C=C(C(O)CNC(C)(C)C)C=C1C#N FIFVQZLUEWHMSV-UHFFFAOYSA-N 0.000 description 1
- LNOQURRKNJKKBU-UHFFFAOYSA-N ethyl piperazine-1-carboxylate Chemical compound CCOC(=O)N1CCNCC1 LNOQURRKNJKKBU-UHFFFAOYSA-N 0.000 description 1
- OIVSLWMZGJLGKG-UHFFFAOYSA-N ethylthiourea;hydrobromide Chemical compound Br.CCNC(S)=N OIVSLWMZGJLGKG-UHFFFAOYSA-N 0.000 description 1
- 125000002534 ethynyl group Chemical group [H]C#C* 0.000 description 1
- 208000021045 exocrine pancreatic carcinoma Diseases 0.000 description 1
- 238000000605 extraction Methods 0.000 description 1
- 239000003925 fat Substances 0.000 description 1
- 235000019197 fats Nutrition 0.000 description 1
- 150000004665 fatty acids Chemical group 0.000 description 1
- 150000002191 fatty alcohols Chemical class 0.000 description 1
- 229960001022 fenoterol Drugs 0.000 description 1
- RWTNPBWLLIMQHL-UHFFFAOYSA-N fexofenadine Chemical compound C1=CC(C(C)(C(O)=O)C)=CC=C1C(O)CCCN1CCC(C(O)(C=2C=CC=CC=2)C=2C=CC=CC=2)CC1 RWTNPBWLLIMQHL-UHFFFAOYSA-N 0.000 description 1
- 229960003592 fexofenadine Drugs 0.000 description 1
- 230000004761 fibrosis Effects 0.000 description 1
- 238000001914 filtration Methods 0.000 description 1
- 239000000796 flavoring agent Substances 0.000 description 1
- 235000019634 flavors Nutrition 0.000 description 1
- 229960000676 flunisolide Drugs 0.000 description 1
- 229960002714 fluticasone Drugs 0.000 description 1
- MGNNYOODZCAHBA-GQKYHHCASA-N fluticasone Chemical compound C1([C@@H](F)C2)=CC(=O)C=C[C@]1(C)[C@]1(F)[C@@H]2[C@@H]2C[C@@H](C)[C@@](C(=O)SCF)(O)[C@@]2(C)C[C@@H]1O MGNNYOODZCAHBA-GQKYHHCASA-N 0.000 description 1
- 235000003599 food sweetener Nutrition 0.000 description 1
- 229960002848 formoterol Drugs 0.000 description 1
- BPZSYCZIITTYBL-UHFFFAOYSA-N formoterol Chemical compound C1=CC(OC)=CC=C1CC(C)NCC(O)C1=CC=C(O)C(NC=O)=C1 BPZSYCZIITTYBL-UHFFFAOYSA-N 0.000 description 1
- 239000001530 fumaric acid Chemical class 0.000 description 1
- 239000008273 gelatin Substances 0.000 description 1
- 235000011852 gelatine desserts Nutrition 0.000 description 1
- 102000034356 gene-regulatory proteins Human genes 0.000 description 1
- 108091006104 gene-regulatory proteins Proteins 0.000 description 1
- 229960005150 glycerol Drugs 0.000 description 1
- 239000003102 growth factor Substances 0.000 description 1
- 229960000789 guanidine hydrochloride Drugs 0.000 description 1
- PJJJBBJSCAKJQF-UHFFFAOYSA-N guanidinium chloride Chemical compound [Cl-].NC(N)=[NH2+] PJJJBBJSCAKJQF-UHFFFAOYSA-N 0.000 description 1
- 229940116364 hard fat Drugs 0.000 description 1
- 102000034345 heterotrimeric G proteins Human genes 0.000 description 1
- 108091006093 heterotrimeric G proteins Proteins 0.000 description 1
- OXLZNBCNGJWPRV-UHFFFAOYSA-N hexoprenaline Chemical compound C=1C=C(O)C(O)=CC=1C(O)CNCCCCCCNCC(O)C1=CC=C(O)C(O)=C1 OXLZNBCNGJWPRV-UHFFFAOYSA-N 0.000 description 1
- 210000003630 histaminocyte Anatomy 0.000 description 1
- DKAGJZJALZXOOV-UHFFFAOYSA-N hydrate;hydrochloride Chemical compound O.Cl DKAGJZJALZXOOV-UHFFFAOYSA-N 0.000 description 1
- IKDUDTNKRLTJSI-UHFFFAOYSA-N hydrazine monohydrate Substances O.NN IKDUDTNKRLTJSI-UHFFFAOYSA-N 0.000 description 1
- JUINSXZKUKVTMD-UHFFFAOYSA-N hydrogen azide Chemical compound N=[N+]=[N-] JUINSXZKUKVTMD-UHFFFAOYSA-N 0.000 description 1
- YXOKBHUPEBNZOG-UHFFFAOYSA-N hydron;4-hydroxy-7-[2-[2-[3-(2-phenylethoxy)propylsulfonyl]ethylamino]ethyl]-3h-1,3-benzothiazol-2-one;chloride Chemical compound Cl.C1=2SC(=O)NC=2C(O)=CC=C1CCNCCS(=O)(=O)CCCOCCC1=CC=CC=C1 YXOKBHUPEBNZOG-UHFFFAOYSA-N 0.000 description 1
- 125000002887 hydroxy group Chemical group [H]O* 0.000 description 1
- 235000019447 hydroxyethyl cellulose Nutrition 0.000 description 1
- AQYSYJUIMQTRMV-UHFFFAOYSA-N hypofluorous acid Chemical compound FO AQYSYJUIMQTRMV-UHFFFAOYSA-N 0.000 description 1
- 229950002451 ibuterol Drugs 0.000 description 1
- 230000036039 immunity Effects 0.000 description 1
- 239000003701 inert diluent Substances 0.000 description 1
- 210000004969 inflammatory cell Anatomy 0.000 description 1
- 239000003978 infusion fluid Substances 0.000 description 1
- 239000004615 ingredient Substances 0.000 description 1
- 230000002401 inhibitory effect Effects 0.000 description 1
- 230000003993 interaction Effects 0.000 description 1
- 238000007918 intramuscular administration Methods 0.000 description 1
- 238000001990 intravenous administration Methods 0.000 description 1
- 229910052740 iodine Inorganic materials 0.000 description 1
- 239000011630 iodine Substances 0.000 description 1
- 208000028867 ischemia Diseases 0.000 description 1
- QTBFPMKWQKYFLR-UHFFFAOYSA-N isobutyl chloride Chemical compound CC(C)CCl QTBFPMKWQKYFLR-UHFFFAOYSA-N 0.000 description 1
- TWBYWOBDOCUKOW-UHFFFAOYSA-N isonicotinic acid Chemical class OC(=O)C1=CC=NC=C1 TWBYWOBDOCUKOW-UHFFFAOYSA-N 0.000 description 1
- JJWLVOIRVHMVIS-UHFFFAOYSA-N isopropylamine Chemical compound CC(C)N JJWLVOIRVHMVIS-UHFFFAOYSA-N 0.000 description 1
- 229940039009 isoproterenol Drugs 0.000 description 1
- 229960004958 ketotifen Drugs 0.000 description 1
- 239000004310 lactic acid Substances 0.000 description 1
- 235000014655 lactic acid Nutrition 0.000 description 1
- 229960001375 lactose Drugs 0.000 description 1
- 210000000265 leukocyte Anatomy 0.000 description 1
- VNYSSYRCGWBHLG-AMOLWHMGSA-N leukotriene B4 Chemical compound CCCCC\C=C/C[C@@H](O)\C=C\C=C\C=C/[C@@H](O)CCCC(O)=O VNYSSYRCGWBHLG-AMOLWHMGSA-N 0.000 description 1
- 239000003199 leukotriene receptor blocking agent Substances 0.000 description 1
- 229960001120 levocabastine Drugs 0.000 description 1
- ZCGOMHNNNFPNMX-KYTRFIICSA-N levocabastine Chemical compound C1([C@@]2(C(O)=O)CCN(C[C@H]2C)[C@@H]2CC[C@@](CC2)(C#N)C=2C=CC(F)=CC=2)=CC=CC=C1 ZCGOMHNNNFPNMX-KYTRFIICSA-N 0.000 description 1
- 230000000670 limiting effect Effects 0.000 description 1
- 229960003587 lisuride Drugs 0.000 description 1
- 239000012280 lithium aluminium hydride Substances 0.000 description 1
- 229960003088 loratadine Drugs 0.000 description 1
- JCCNYMKQOSZNPW-UHFFFAOYSA-N loratadine Chemical compound C1CN(C(=O)OCC)CCC1=C1C2=NC=CC=C2CCC2=CC(Cl)=CC=C21 JCCNYMKQOSZNPW-UHFFFAOYSA-N 0.000 description 1
- 239000000314 lubricant Substances 0.000 description 1
- 210000004072 lung Anatomy 0.000 description 1
- 201000005296 lung carcinoma Diseases 0.000 description 1
- 210000002540 macrophage Anatomy 0.000 description 1
- 229910052943 magnesium sulfate Inorganic materials 0.000 description 1
- 235000019341 magnesium sulphate Nutrition 0.000 description 1
- 206010025482 malaise Diseases 0.000 description 1
- 238000002844 melting Methods 0.000 description 1
- 230000008018 melting Effects 0.000 description 1
- 102000006240 membrane receptors Human genes 0.000 description 1
- 229940098779 methanesulfonic acid Drugs 0.000 description 1
- WCYWZMWISLQXQU-UHFFFAOYSA-N methyl Chemical class [CH3] WCYWZMWISLQXQU-UHFFFAOYSA-N 0.000 description 1
- DVLGIQNHKLWSRU-UHFFFAOYSA-N methyl 1h-imidazole-5-carboxylate Chemical compound COC(=O)C1=CN=CN1 DVLGIQNHKLWSRU-UHFFFAOYSA-N 0.000 description 1
- WKVJBYKFGNVWLM-UHFFFAOYSA-N methyl 4-amino-3-chlorobenzoate Chemical compound COC(=O)C1=CC=C(N)C(Cl)=C1 WKVJBYKFGNVWLM-UHFFFAOYSA-N 0.000 description 1
- MXOBZGVYPMEYEE-UHFFFAOYSA-N methyl 7-acetamido-1-(2-chlorophenyl)-4,5-dihydropyrazolo[4,3-g][1,3]benzothiazole-3-carboxylate Chemical compound C1CC=2N=C(NC(C)=O)SC=2C2=C1C(C(=O)OC)=NN2C1=CC=CC=C1Cl MXOBZGVYPMEYEE-UHFFFAOYSA-N 0.000 description 1
- 229940095102 methyl benzoate Drugs 0.000 description 1
- 239000002480 mineral oil Substances 0.000 description 1
- 235000010446 mineral oil Nutrition 0.000 description 1
- 239000002829 mitogen activated protein kinase inhibitor Substances 0.000 description 1
- 229960001144 mizolastine Drugs 0.000 description 1
- 229960001664 mometasone Drugs 0.000 description 1
- QLIIKPVHVRXHRI-CXSFZGCWSA-N mometasone Chemical compound C1CC2=CC(=O)C=C[C@]2(C)[C@]2(Cl)[C@@H]1[C@@H]1C[C@@H](C)[C@@](C(=O)CCl)(O)[C@@]1(C)C[C@@H]2O QLIIKPVHVRXHRI-CXSFZGCWSA-N 0.000 description 1
- STUHQDIOZQUPGP-UHFFFAOYSA-N morpholin-4-ium-4-carboxylate Chemical compound OC(=O)N1CCOCC1 STUHQDIOZQUPGP-UHFFFAOYSA-N 0.000 description 1
- 230000002107 myocardial effect Effects 0.000 description 1
- DILRJUIACXKSQE-UHFFFAOYSA-N n',n'-dimethylethane-1,2-diamine Chemical compound CN(C)CCN DILRJUIACXKSQE-UHFFFAOYSA-N 0.000 description 1
- DMPPJEBFJRQJPW-UHFFFAOYSA-N n-(1-cyclohex-2-en-1-yl-4,5-dihydropyrazolo[4,3-g][1,3]benzothiazol-7-yl)acetamide Chemical compound C1=2C=3SC(NC(=O)C)=NC=3CCC=2C=NN1C1CCCC=C1 DMPPJEBFJRQJPW-UHFFFAOYSA-N 0.000 description 1
- BNAKCUPVFZSUFP-UHFFFAOYSA-N n-(1-phenyl-4,5-dihydropyrazolo[4,3-g][1,3]benzothiazol-7-yl)acetamide Chemical compound C1=2C=3SC(NC(=O)C)=NC=3CCC=2C=NN1C1=CC=CC=C1 BNAKCUPVFZSUFP-UHFFFAOYSA-N 0.000 description 1
- ZDVJQMAFYABVNF-UHFFFAOYSA-N n-(1-phenyl-4,5-dihydropyrazolo[4,3-g][1,3]benzothiazol-7-yl)formamide Chemical compound C1=2C=3SC(NC=O)=NC=3CCC=2C=NN1C1=CC=CC=C1 ZDVJQMAFYABVNF-UHFFFAOYSA-N 0.000 description 1
- OAPPCRWPMRBLAO-UHFFFAOYSA-N n-(1-phenyl-4h-pyrazolo[2,3]cyclopenta[2,4-b][1,3]thiazol-6-yl)acetamide Chemical compound C1=2C=3SC(NC(=O)C)=NC=3CC=2C=NN1C1=CC=CC=C1 OAPPCRWPMRBLAO-UHFFFAOYSA-N 0.000 description 1
- ZGFFSDIJWUTNIE-UHFFFAOYSA-N n-(1-phenyl-4h-pyrazolo[2,3]cyclopenta[2,4-b][1,3]thiazol-6-yl)piperidine-1-carboxamide Chemical compound C1CCCCN1C(=O)NC(SC=1C=23)=NC=1CC=2C=NN3C1=CC=CC=C1 ZGFFSDIJWUTNIE-UHFFFAOYSA-N 0.000 description 1
- BKLKIUGRBIBDMZ-UHFFFAOYSA-N n-(2-cyclohex-2-en-1-yl-4,5-dihydropyrazolo[4,3-g][1,3]benzothiazol-7-yl)acetamide Chemical compound N1=C2C=3SC(NC(=O)C)=NC=3CCC2=CN1C1CCCC=C1 BKLKIUGRBIBDMZ-UHFFFAOYSA-N 0.000 description 1
- ISYNGYKOIRHUMQ-UHFFFAOYSA-N n-(3-amino-1-phenyl-4,5-dihydropyrazolo[4,3-g][1,3]benzothiazol-7-yl)acetamide Chemical compound C1=2C=3SC(NC(=O)C)=NC=3CCC=2C(N)=NN1C1=CC=CC=C1 ISYNGYKOIRHUMQ-UHFFFAOYSA-N 0.000 description 1
- QEOLSMZDUHHJNL-UHFFFAOYSA-N n-(6-acetyl-7-oxo-5,6-dihydro-4h-1,3-benzothiazol-2-yl)acetamide Chemical compound C1CC(C(C)=O)C(=O)C2=C1N=C(NC(=O)C)S2 QEOLSMZDUHHJNL-UHFFFAOYSA-N 0.000 description 1
- OBAORJLSQFZLGO-UHFFFAOYSA-N n-(6-formyl-7-oxo-5,6-dihydro-4h-1,3-benzothiazol-2-yl)acetamide Chemical compound C1CC(C=O)C(=O)C2=C1N=C(NC(=O)C)S2 OBAORJLSQFZLGO-UHFFFAOYSA-N 0.000 description 1
- NKTCANUZNWGEDP-UHFFFAOYSA-N n-(7-formyl-8-oxo-4,5,6,7-tetrahydrocyclohepta[d][1,3]thiazol-2-yl)acetamide Chemical compound C1CCC(C=O)C(=O)C2=C1N=C(NC(=O)C)S2 NKTCANUZNWGEDP-UHFFFAOYSA-N 0.000 description 1
- FOSHYZQGGBGKNS-UHFFFAOYSA-N n-(8-phenyl-4,5-dihydro-[1,3]thiazolo[4,5-h]quinazolin-2-yl)acetamide Chemical compound N1=C2C=3SC(NC(=O)C)=NC=3CCC2=CN=C1C1=CC=CC=C1 FOSHYZQGGBGKNS-UHFFFAOYSA-N 0.000 description 1
- SQARTHSIUZWAJG-HNHGDDPOSA-N n-[(6r)-7-oxo-6-(oxolane-2-carbonyl)-5,6-dihydro-4h-1,3-benzothiazol-2-yl]acetamide Chemical compound O=C([C@H]1CCC=2N=C(SC=2C1=O)NC(=O)C)C1CCCO1 SQARTHSIUZWAJG-HNHGDDPOSA-N 0.000 description 1
- SQARTHSIUZWAJG-PEHGTWAWSA-N n-[(6s)-7-oxo-6-(oxolane-2-carbonyl)-5,6-dihydro-4h-1,3-benzothiazol-2-yl]acetamide Chemical compound O=C([C@@H]1CCC=2N=C(SC=2C1=O)NC(=O)C)C1CCCO1 SQARTHSIUZWAJG-PEHGTWAWSA-N 0.000 description 1
- ASHDNTDMVNCNMK-UHFFFAOYSA-N n-[1-(2-chlorophenyl)-3-(1-methylimidazol-4-yl)-4,5-dihydropyrazolo[4,3-g][1,3]benzothiazol-7-yl]acetamide Chemical compound C1=2C=3SC(NC(=O)C)=NC=3CCC=2C(C=2N=CN(C)C=2)=NN1C1=CC=CC=C1Cl ASHDNTDMVNCNMK-UHFFFAOYSA-N 0.000 description 1
- OXIFKZYGXUEOKM-UHFFFAOYSA-N n-[1-(2-chlorophenyl)-3-(furan-2-yl)-4,5-dihydropyrazolo[4,3-g][1,3]benzothiazol-7-yl]acetamide Chemical compound C1=2C=3SC(NC(=O)C)=NC=3CCC=2C(C=2OC=CC=2)=NN1C1=CC=CC=C1Cl OXIFKZYGXUEOKM-UHFFFAOYSA-N 0.000 description 1
- LQHFMOLYVYXOPJ-UHFFFAOYSA-N n-[1-(2-chlorophenyl)-3-(furan-3-yl)-4,5-dihydropyrazolo[4,3-g][1,3]benzothiazol-7-yl]acetamide Chemical compound C1=2C=3SC(NC(=O)C)=NC=3CCC=2C(C2=COC=C2)=NN1C1=CC=CC=C1Cl LQHFMOLYVYXOPJ-UHFFFAOYSA-N 0.000 description 1
- SWBSBZIRISCIMH-UHFFFAOYSA-N n-[1-(2-chlorophenyl)-3-(methylcarbamoylamino)-4,5-dihydropyrazolo[4,3-g][1,3]benzothiazol-7-yl]acetamide Chemical compound C1CC=2N=C(NC(C)=O)SC=2C2=C1C(NC(=O)NC)=NN2C1=CC=CC=C1Cl SWBSBZIRISCIMH-UHFFFAOYSA-N 0.000 description 1
- VEQDHNCYHSWLPP-UHFFFAOYSA-N n-[1-(2-chlorophenyl)-3-(morpholine-4-carbonyl)-4,5-dihydropyrazolo[4,3-g][1,3]benzothiazol-7-yl]acetamide Chemical compound C1=2C=3SC(NC(=O)C)=NC=3CCC=2C(C(=O)N2CCOCC2)=NN1C1=CC=CC=C1Cl VEQDHNCYHSWLPP-UHFFFAOYSA-N 0.000 description 1
- KINXQBMFZJSYMQ-MRXNPFEDSA-N n-[1-(2-chlorophenyl)-3-[(2r)-oxolan-2-yl]-4,5-dihydropyrazolo[4,3-g][1,3]benzothiazol-7-yl]acetamide Chemical compound C1=2C=3SC(NC(=O)C)=NC=3CCC=2C([C@@H]2OCCC2)=NN1C1=CC=CC=C1Cl KINXQBMFZJSYMQ-MRXNPFEDSA-N 0.000 description 1
- KINXQBMFZJSYMQ-INIZCTEOSA-N n-[1-(2-chlorophenyl)-3-[(2s)-oxolan-2-yl]-4,5-dihydropyrazolo[4,3-g][1,3]benzothiazol-7-yl]acetamide Chemical compound C1=2C=3SC(NC(=O)C)=NC=3CCC=2C([C@H]2OCCC2)=NN1C1=CC=CC=C1Cl KINXQBMFZJSYMQ-INIZCTEOSA-N 0.000 description 1
- HKKKEXNSRHSTIP-UHFFFAOYSA-N n-[1-(2-chlorophenyl)-3-methyl-4,5-dihydropyrazolo[4,3-g][1,3]benzothiazol-7-yl]acetamide Chemical compound C1=2C=3SC(NC(=O)C)=NC=3CCC=2C(C)=NN1C1=CC=CC=C1Cl HKKKEXNSRHSTIP-UHFFFAOYSA-N 0.000 description 1
- GBMMFIGVSBUNIQ-UHFFFAOYSA-N n-[1-(2-chlorophenyl)-3-phenyl-4,5-dihydropyrazolo[4,3-g][1,3]benzothiazol-7-yl]acetamide Chemical compound C1=2C=3SC(NC(=O)C)=NC=3CCC=2C(C=2C=CC=CC=2)=NN1C1=CC=CC=C1Cl GBMMFIGVSBUNIQ-UHFFFAOYSA-N 0.000 description 1
- LIVYHJBCOLUXEK-UHFFFAOYSA-N n-[1-(2-chlorophenyl)-4h-pyrazolo[2,3]cyclopenta[2,4-b][1,3]thiazol-6-yl]-4-(dimethylamino)butanamide Chemical compound C1=2C=3SC(NC(=O)CCCN(C)C)=NC=3CC=2C=NN1C1=CC=CC=C1Cl LIVYHJBCOLUXEK-UHFFFAOYSA-N 0.000 description 1
- JGWKCFQWJWUXTD-UHFFFAOYSA-N n-[1-(2-methylphenyl)-4h-pyrazolo[2,3]cyclopenta[2,4-b][1,3]thiazol-6-yl]acetamide Chemical compound C1=2C=3SC(NC(=O)C)=NC=3CC=2C=NN1C1=CC=CC=C1C JGWKCFQWJWUXTD-UHFFFAOYSA-N 0.000 description 1
- DREIDMXXRZQFCB-UHFFFAOYSA-N n-[1-(4-chlorophenyl)-4h-pyrazolo[2,3]cyclopenta[2,4-b][1,3]thiazol-6-yl]acetamide Chemical compound C1=2C=3SC(NC(=O)C)=NC=3CC=2C=NN1C1=CC=C(Cl)C=C1 DREIDMXXRZQFCB-UHFFFAOYSA-N 0.000 description 1
- LHWQRVCNEVMUDA-UHFFFAOYSA-N n-[1-(4-methoxyphenyl)-5,6-dihydro-4h-pyrazolo[2,3]cyclohepta[2,4-b][1,3]thiazol-8-yl]acetamide Chemical compound C1=CC(OC)=CC=C1N1C(C=2SC(NC(C)=O)=NC=2CCC2)=C2C=N1 LHWQRVCNEVMUDA-UHFFFAOYSA-N 0.000 description 1
- CSNSVXRUXDYDJY-UHFFFAOYSA-N n-[1-(5-fluoro-2-methylphenyl)-4,5-dihydropyrazolo[4,3-g][1,3]benzothiazol-7-yl]acetamide Chemical compound C1=2C=3SC(NC(=O)C)=NC=3CCC=2C=NN1C1=CC(F)=CC=C1C CSNSVXRUXDYDJY-UHFFFAOYSA-N 0.000 description 1
- FOXLNWOWGWSOBC-UHFFFAOYSA-N n-[1-[4-(4-aminopiperidine-1-carbonyl)phenyl]-4,5-dihydropyrazolo[4,3-g][1,3]benzothiazol-7-yl]acetamide Chemical compound C1=2C=3SC(NC(=O)C)=NC=3CCC=2C=NN1C(C=C1)=CC=C1C(=O)N1CCC(N)CC1 FOXLNWOWGWSOBC-UHFFFAOYSA-N 0.000 description 1
- POOCHXCXGCGJKZ-UHFFFAOYSA-N n-[1-[4-(7-acetamido-4,5-dihydropyrazolo[4,3-g][1,3]benzothiazol-1-yl)benzoyl]piperidin-4-yl]-2-phenylacetamide Chemical compound C1=2C=3SC(NC(=O)C)=NC=3CCC=2C=NN1C(C=C1)=CC=C1C(=O)N(CC1)CCC1NC(=O)CC1=CC=CC=C1 POOCHXCXGCGJKZ-UHFFFAOYSA-N 0.000 description 1
- SUDRMFQJLXYDSX-UHFFFAOYSA-N n-[1-[4-(methylsulfamoyl)phenyl]-4,5-dihydropyrazolo[4,3-g][1,3]benzothiazol-7-yl]acetamide Chemical compound C1=CC(S(=O)(=O)NC)=CC=C1N1C(C=2SC(NC(C)=O)=NC=2CC2)=C2C=N1 SUDRMFQJLXYDSX-UHFFFAOYSA-N 0.000 description 1
- YYFBYOJANXBYFY-UHFFFAOYSA-N n-[1-[4-(morpholine-4-carbonyl)phenyl]-4,5-dihydropyrazolo[4,3-g][1,3]benzothiazol-7-yl]acetamide Chemical compound C1=2C=3SC(NC(=O)C)=NC=3CCC=2C=NN1C(C=C1)=CC=C1C(=O)N1CCOCC1 YYFBYOJANXBYFY-UHFFFAOYSA-N 0.000 description 1
- FKJQCIVCKMPEER-UHFFFAOYSA-N n-[1-phenyl-3-(trifluoromethyl)-4,5-dihydropyrazolo[4,3-g][1,3]benzothiazol-7-yl]acetamide Chemical compound C1=2C=3SC(NC(=O)C)=NC=3CCC=2C(C(F)(F)F)=NN1C1=CC=CC=C1 FKJQCIVCKMPEER-UHFFFAOYSA-N 0.000 description 1
- ZNLATZJVYSLMOE-UHFFFAOYSA-N n-[2-(2-chlorophenyl)-3-(furan-2-yl)-4,5-dihydropyrazolo[4,3-g][1,3]benzothiazol-7-yl]acetamide Chemical compound C1=2SC(NC(=O)C)=NC=2CCC=2C1=NN(C=1C(=CC=CC=1)Cl)C=2C1=CC=CO1 ZNLATZJVYSLMOE-UHFFFAOYSA-N 0.000 description 1
- PBTKWUDQWQBJCK-UHFFFAOYSA-N n-[2-(2-chlorophenyl)-3-(furan-3-yl)-4,5-dihydropyrazolo[4,3-g][1,3]benzothiazol-7-yl]acetamide Chemical compound C1=2SC(NC(=O)C)=NC=2CCC=2C1=NN(C=1C(=CC=CC=1)Cl)C=2C=1C=COC=1 PBTKWUDQWQBJCK-UHFFFAOYSA-N 0.000 description 1
- ATAWJUSPCXEYBT-UHFFFAOYSA-N n-[4-(dibenzylamino)cyclohexylidene]hydroxylamine Chemical compound C1CC(=NO)CCC1N(CC=1C=CC=CC=1)CC1=CC=CC=C1 ATAWJUSPCXEYBT-UHFFFAOYSA-N 0.000 description 1
- BJWZYXJMLUECMC-UHFFFAOYSA-N n-[6-(1-methylimidazole-4-carbonyl)-7-oxo-5,6-dihydro-4h-1,3-benzothiazol-2-yl]acetamide Chemical compound O=C1C=2SC(NC(=O)C)=NC=2CCC1C(=O)C1=CN(C)C=N1 BJWZYXJMLUECMC-UHFFFAOYSA-N 0.000 description 1
- KQOVWRUUIHQGSL-UHFFFAOYSA-N n-[6-(2-methylpropanoyl)-7-oxo-5,6-dihydro-4h-1,3-benzothiazol-2-yl]acetamide Chemical compound O=C1C(C(=O)C(C)C)CCC2=C1SC(NC(C)=O)=N2 KQOVWRUUIHQGSL-UHFFFAOYSA-N 0.000 description 1
- BHPFBHBBRWHSAS-UHFFFAOYSA-N n-[6-(dimethylaminomethylidene)-7-oxo-4,5-dihydro-1,3-benzothiazol-2-yl]acetamide Chemical compound O=C1C(=CN(C)C)CCC2=C1SC(NC(C)=O)=N2 BHPFBHBBRWHSAS-UHFFFAOYSA-N 0.000 description 1
- RQTRPQBGRCYJQD-UHFFFAOYSA-N n-[6-(furan-2-carbonyl)-7-oxo-5,6-dihydro-4h-1,3-benzothiazol-2-yl]acetamide Chemical compound O=C1C=2SC(NC(=O)C)=NC=2CCC1C(=O)C1=CC=CO1 RQTRPQBGRCYJQD-UHFFFAOYSA-N 0.000 description 1
- AIAMFOKFEYFCCB-UHFFFAOYSA-N n-[6-(furan-3-carbonyl)-7-oxo-5,6-dihydro-4h-1,3-benzothiazol-2-yl]acetamide Chemical compound O=C1C=2SC(NC(=O)C)=NC=2CCC1C(=O)C=1C=COC=1 AIAMFOKFEYFCCB-UHFFFAOYSA-N 0.000 description 1
- XFTJVHLVMSVLQL-UHFFFAOYSA-N n-[7-oxo-6-(2,2,2-trifluoroacetyl)-5,6-dihydro-4h-1,3-benzothiazol-2-yl]acetamide Chemical compound C1CC(C(=O)C(F)(F)F)C(=O)C2=C1N=C(NC(=O)C)S2 XFTJVHLVMSVLQL-UHFFFAOYSA-N 0.000 description 1
- GWJKSCWOHYCDOC-UHFFFAOYSA-N n-[7-oxo-6-(3-trimethylsilylprop-2-ynoyl)-5,6-dihydro-4h-1,3-benzothiazol-2-yl]acetamide Chemical compound C1CC(C(=O)C#C[Si](C)(C)C)C(=O)C2=C1N=C(NC(=O)C)S2 GWJKSCWOHYCDOC-UHFFFAOYSA-N 0.000 description 1
- DVZOAKYOSURPHW-UHFFFAOYSA-N n-[7-oxo-6-[1-(2-trimethylsilylethoxymethyl)imidazole-4-carbonyl]-5,6-dihydro-4h-1,3-benzothiazol-2-yl]acetamide Chemical compound O=C1C=2SC(NC(=O)C)=NC=2CCC1C(=O)C1=CN(COCC[Si](C)(C)C)C=N1 DVZOAKYOSURPHW-UHFFFAOYSA-N 0.000 description 1
- KVMHXALXHDZGEF-UHFFFAOYSA-N n-[8-(dimethylamino)-4,5-dihydro-[1,3]thiazolo[4,5-h]quinazolin-2-yl]acetamide Chemical compound C12=NC(N(C)C)=NC=C2CCC2=C1SC(NC(C)=O)=N2 KVMHXALXHDZGEF-UHFFFAOYSA-N 0.000 description 1
- 125000000740 n-pentyl group Chemical group [H]C([H])([H])C([H])([H])C([H])([H])C([H])([H])C([H])([H])* 0.000 description 1
- 125000003506 n-propoxy group Chemical group [H]C([H])([H])C([H])([H])C([H])([H])O* 0.000 description 1
- 125000001624 naphthyl group Chemical group 0.000 description 1
- 125000001971 neopentyl group Chemical group [H]C([*])([H])C(C([H])([H])[H])(C([H])([H])[H])C([H])([H])[H] 0.000 description 1
- 230000004770 neurodegeneration Effects 0.000 description 1
- 208000015122 neurodegenerative disease Diseases 0.000 description 1
- 230000007935 neutral effect Effects 0.000 description 1
- GRSBAMVBFWRBBH-UHFFFAOYSA-N o-ethyl chloromethanethioate Chemical compound CCOC(Cl)=S GRSBAMVBFWRBBH-UHFFFAOYSA-N 0.000 description 1
- 230000000414 obstructive effect Effects 0.000 description 1
- QIQXTHQIDYTFRH-UHFFFAOYSA-N octadecanoic acid Chemical compound CCCCCCCCCCCCCCCCCC(O)=O QIQXTHQIDYTFRH-UHFFFAOYSA-N 0.000 description 1
- OQCDKBAXFALNLD-UHFFFAOYSA-N octadecanoic acid Natural products CCCCCCCC(C)CCCCCCCCC(O)=O OQCDKBAXFALNLD-UHFFFAOYSA-N 0.000 description 1
- 229940100692 oral suspension Drugs 0.000 description 1
- 230000002611 ovarian Effects 0.000 description 1
- 238000012261 overproduction Methods 0.000 description 1
- 102000002574 p38 Mitogen-Activated Protein Kinases Human genes 0.000 description 1
- 108010068338 p38 Mitogen-Activated Protein Kinases Proteins 0.000 description 1
- 150000002942 palmitic acid derivatives Chemical class 0.000 description 1
- 208000008443 pancreatic carcinoma Diseases 0.000 description 1
- DXGNOXBKPTWCHE-UHFFFAOYSA-N pentalen-2-amine Chemical compound C1=C(C=C2C=CC=C12)N DXGNOXBKPTWCHE-UHFFFAOYSA-N 0.000 description 1
- 125000001147 pentyl group Chemical group C(CCCC)* 0.000 description 1
- 229960004851 pergolide Drugs 0.000 description 1
- YEHCICAEULNIGD-MZMPZRCHSA-N pergolide Chemical compound C1=CC([C@H]2C[C@@H](CSC)CN([C@@H]2C2)CCC)=C3C2=CNC3=C1 YEHCICAEULNIGD-MZMPZRCHSA-N 0.000 description 1
- 229960001190 pheniramine Drugs 0.000 description 1
- GEOWCLRLLWTHDN-UHFFFAOYSA-N phenyl formate Chemical compound O=COC1=CC=CC=C1 GEOWCLRLLWTHDN-UHFFFAOYSA-N 0.000 description 1
- HKOOXMFOFWEVGF-UHFFFAOYSA-N phenylhydrazine Chemical compound NNC1=CC=CC=C1 HKOOXMFOFWEVGF-UHFFFAOYSA-N 0.000 description 1
- 229940067157 phenylhydrazine Drugs 0.000 description 1
- JOVOSQBPPZZESK-UHFFFAOYSA-N phenylhydrazine hydrochloride Chemical compound Cl.NNC1=CC=CC=C1 JOVOSQBPPZZESK-UHFFFAOYSA-N 0.000 description 1
- 229940038531 phenylhydrazine hydrochloride Drugs 0.000 description 1
- YZTJYBJCZXZGCT-UHFFFAOYSA-N phenylpiperazine Chemical compound C1CNCCN1C1=CC=CC=C1 YZTJYBJCZXZGCT-UHFFFAOYSA-N 0.000 description 1
- 239000010452 phosphate Substances 0.000 description 1
- 235000021317 phosphate Nutrition 0.000 description 1
- WTJKGGKOPKCXLL-RRHRGVEJSA-N phosphatidylcholine Chemical compound CCCCCCCCCCCCCCCC(=O)OC[C@H](COP([O-])(=O)OCC[N+](C)(C)C)OC(=O)CCCCCCCC=CCCCCCCCC WTJKGGKOPKCXLL-RRHRGVEJSA-N 0.000 description 1
- 150000008104 phosphatidylethanolamines Chemical class 0.000 description 1
- 239000002587 phosphodiesterase IV inhibitor Substances 0.000 description 1
- 150000003013 phosphoric acid derivatives Chemical class 0.000 description 1
- 150000003014 phosphoric acid esters Chemical class 0.000 description 1
- UHZYTMXLRWXGPK-UHFFFAOYSA-N phosphorus pentachloride Chemical compound ClP(Cl)(Cl)(Cl)Cl UHZYTMXLRWXGPK-UHFFFAOYSA-N 0.000 description 1
- 230000026731 phosphorylation Effects 0.000 description 1
- 229960005414 pirbuterol Drugs 0.000 description 1
- 125000005547 pivalate group Chemical group 0.000 description 1
- 229920000191 poly(N-vinyl pyrrolidone) Polymers 0.000 description 1
- 229920000768 polyamine Polymers 0.000 description 1
- 229920001223 polyethylene glycol Polymers 0.000 description 1
- 229920000642 polymer Polymers 0.000 description 1
- 229920002223 polystyrene Polymers 0.000 description 1
- 229920002689 polyvinyl acetate Polymers 0.000 description 1
- 239000011118 polyvinyl acetate Substances 0.000 description 1
- 239000013312 porous aromatic framework Substances 0.000 description 1
- 230000009024 positive feedback mechanism Effects 0.000 description 1
- 235000015497 potassium bicarbonate Nutrition 0.000 description 1
- 229910000028 potassium bicarbonate Inorganic materials 0.000 description 1
- 239000011736 potassium bicarbonate Substances 0.000 description 1
- 229910000343 potassium bisulfate Inorganic materials 0.000 description 1
- 229940086066 potassium hydrogencarbonate Drugs 0.000 description 1
- 229960003089 pramipexole Drugs 0.000 description 1
- FASDKYOPVNHBLU-ZETCQYMHSA-N pramipexole Chemical compound C1[C@@H](NCCC)CCC2=C1SC(N)=N2 FASDKYOPVNHBLU-ZETCQYMHSA-N 0.000 description 1
- 239000003755 preservative agent Substances 0.000 description 1
- 230000003449 preventive effect Effects 0.000 description 1
- 229960002288 procaterol Drugs 0.000 description 1
- FKNXQNWAXFXVNW-BLLLJJGKSA-N procaterol Chemical compound N1C(=O)C=CC2=C1C(O)=CC=C2[C@@H](O)[C@@H](NC(C)C)CC FKNXQNWAXFXVNW-BLLLJJGKSA-N 0.000 description 1
- SSOLNOMRVKKSON-UHFFFAOYSA-N proguanil Chemical compound CC(C)\N=C(/N)N=C(N)NC1=CC=C(Cl)C=C1 SSOLNOMRVKKSON-UHFFFAOYSA-N 0.000 description 1
- 229960003910 promethazine Drugs 0.000 description 1
- 239000001294 propane Substances 0.000 description 1
- RZWZRACFZGVKFM-UHFFFAOYSA-N propanoyl chloride Chemical compound CCC(Cl)=O RZWZRACFZGVKFM-UHFFFAOYSA-N 0.000 description 1
- QLNJFJADRCOGBJ-UHFFFAOYSA-N propionamide Chemical compound CCC(N)=O QLNJFJADRCOGBJ-UHFFFAOYSA-N 0.000 description 1
- 125000002572 propoxy group Chemical group [*]OC([H])([H])C(C([H])([H])[H])([H])[H] 0.000 description 1
- 239000003223 protective agent Substances 0.000 description 1
- 108060006633 protein kinase Proteins 0.000 description 1
- 150000003217 pyrazoles Chemical class 0.000 description 1
- 125000003226 pyrazolyl group Chemical group 0.000 description 1
- TXQWFIVRZNOPCK-UHFFFAOYSA-N pyridin-4-ylmethanamine Chemical compound NCC1=CC=NC=C1 TXQWFIVRZNOPCK-UHFFFAOYSA-N 0.000 description 1
- 125000004076 pyridyl group Chemical group 0.000 description 1
- MIXMJCQRHVAJIO-TZHJZOAOSA-N qk4dys664x Chemical compound O.C1([C@@H](F)C2)=CC(=O)C=C[C@]1(C)[C@@H]1[C@@H]2[C@@H]2C[C@H]3OC(C)(C)O[C@@]3(C(=O)CO)[C@@]2(C)C[C@@H]1O.C1([C@@H](F)C2)=CC(=O)C=C[C@]1(C)[C@@H]1[C@@H]2[C@@H]2C[C@H]3OC(C)(C)O[C@@]3(C(=O)CO)[C@@]2(C)C[C@@H]1O MIXMJCQRHVAJIO-TZHJZOAOSA-N 0.000 description 1
- 239000011535 reaction buffer Substances 0.000 description 1
- 230000035484 reaction time Effects 0.000 description 1
- 230000009467 reduction Effects 0.000 description 1
- 230000004314 regulation of intracellular transport Effects 0.000 description 1
- 238000007634 remodeling Methods 0.000 description 1
- 229960002720 reproterol Drugs 0.000 description 1
- WVLAAKXASPCBGT-UHFFFAOYSA-N reproterol Chemical compound C1=2C(=O)N(C)C(=O)N(C)C=2N=CN1CCCNCC(O)C1=CC(O)=CC(O)=C1 WVLAAKXASPCBGT-UHFFFAOYSA-N 0.000 description 1
- 210000002345 respiratory system Anatomy 0.000 description 1
- 206010039083 rhinitis Diseases 0.000 description 1
- IXTCZMJQGGONPY-XJAYAHQCSA-N rofleponide Chemical compound C1([C@@H](F)C2)=CC(=O)CC[C@]1(C)[C@]1(F)[C@@H]2[C@@H]2C[C@H]3O[C@@H](CCC)O[C@@]3(C(=O)CO)[C@@]2(C)C[C@@H]1O IXTCZMJQGGONPY-XJAYAHQCSA-N 0.000 description 1
- 229950004432 rofleponide Drugs 0.000 description 1
- 229960001879 ropinirole Drugs 0.000 description 1
- UHSKFQJFRQCDBE-UHFFFAOYSA-N ropinirole Chemical compound CCCN(CCC)CCC1=CC=CC2=C1CC(=O)N2 UHSKFQJFRQCDBE-UHFFFAOYSA-N 0.000 description 1
- HGEYJZMMUGWEOT-UHFFFAOYSA-N roxindole Chemical compound C12=CC(O)=CC=C2NC=C1CCCCN(CC=1)CCC=1C1=CC=CC=C1 HGEYJZMMUGWEOT-UHFFFAOYSA-N 0.000 description 1
- QCMHWZUFWLOOGI-UHFFFAOYSA-N s-ethyl chloromethanethioate Chemical compound CCSC(Cl)=O QCMHWZUFWLOOGI-UHFFFAOYSA-N 0.000 description 1
- CVHZOJJKTDOEJC-UHFFFAOYSA-N saccharin Chemical compound C1=CC=C2C(=O)NS(=O)(=O)C2=C1 CVHZOJJKTDOEJC-UHFFFAOYSA-N 0.000 description 1
- 229940081974 saccharin Drugs 0.000 description 1
- 235000019204 saccharin Nutrition 0.000 description 1
- 239000000901 saccharin and its Na,K and Ca salt Substances 0.000 description 1
- 229960004017 salmeterol Drugs 0.000 description 1
- 230000002000 scavenging effect Effects 0.000 description 1
- DUIOPKIIICUYRZ-UHFFFAOYSA-N semicarbazide Chemical compound NNC(N)=O DUIOPKIIICUYRZ-UHFFFAOYSA-N 0.000 description 1
- 230000035945 sensitivity Effects 0.000 description 1
- 230000036303 septic shock Effects 0.000 description 1
- 239000004208 shellac Substances 0.000 description 1
- 235000013874 shellac Nutrition 0.000 description 1
- 229940113147 shellac Drugs 0.000 description 1
- ZLGIYFNHBLSMPS-ATJNOEHPSA-N shellac Chemical compound OCCCCCC(O)C(O)CCCCCCCC(O)=O.C1C23[C@H](C(O)=O)CCC2[C@](C)(CO)[C@@H]1C(C(O)=O)=C[C@@H]3O ZLGIYFNHBLSMPS-ATJNOEHPSA-N 0.000 description 1
- 230000008054 signal transmission Effects 0.000 description 1
- 201000009890 sinusitis Diseases 0.000 description 1
- 210000003491 skin Anatomy 0.000 description 1
- 235000019812 sodium carboxymethyl cellulose Nutrition 0.000 description 1
- 229920001027 sodium carboxymethylcellulose Polymers 0.000 description 1
- QDRKDTQENPPHOJ-UHFFFAOYSA-N sodium ethoxide Chemical compound [Na+].CC[O-] QDRKDTQENPPHOJ-UHFFFAOYSA-N 0.000 description 1
- 159000000000 sodium salts Chemical class 0.000 description 1
- 229910052938 sodium sulfate Inorganic materials 0.000 description 1
- 235000011152 sodium sulphate Nutrition 0.000 description 1
- 238000000527 sonication Methods 0.000 description 1
- 102000009076 src-Family Kinases Human genes 0.000 description 1
- 108010087686 src-Family Kinases Proteins 0.000 description 1
- 239000003381 stabilizer Substances 0.000 description 1
- 239000008117 stearic acid Substances 0.000 description 1
- 230000000638 stimulation Effects 0.000 description 1
- 238000007920 subcutaneous administration Methods 0.000 description 1
- 229950007862 sulfonterol Drugs 0.000 description 1
- 239000003765 sweetening agent Substances 0.000 description 1
- 208000011580 syndromic disease Diseases 0.000 description 1
- 239000006188 syrup Substances 0.000 description 1
- 235000020357 syrup Nutrition 0.000 description 1
- 235000012222 talc Nutrition 0.000 description 1
- 229950008418 talipexole Drugs 0.000 description 1
- 239000011975 tartaric acid Substances 0.000 description 1
- 235000002906 tartaric acid Nutrition 0.000 description 1
- 229960000195 terbutaline Drugs 0.000 description 1
- 229960004558 terguride Drugs 0.000 description 1
- 125000004213 tert-butoxy group Chemical group [H]C([H])([H])C(O*)(C([H])([H])[H])C([H])([H])[H] 0.000 description 1
- DHHKPEUQJIEKOA-UHFFFAOYSA-N tert-butyl 2-[6-(nitromethyl)-6-bicyclo[3.2.0]hept-3-enyl]acetate Chemical compound C1C=CC2C(CC(=O)OC(C)(C)C)(C[N+]([O-])=O)CC21 DHHKPEUQJIEKOA-UHFFFAOYSA-N 0.000 description 1
- KHPQHXGYYXYTDN-UHFFFAOYSA-N tert-butyl n-(piperidin-3-ylmethyl)carbamate Chemical compound CC(C)(C)OC(=O)NCC1CCCNC1 KHPQHXGYYXYTDN-UHFFFAOYSA-N 0.000 description 1
- FQFILJKFZCVHNH-UHFFFAOYSA-N tert-butyl n-[3-[(5-bromo-2-chloropyrimidin-4-yl)amino]propyl]carbamate Chemical compound CC(C)(C)OC(=O)NCCCNC1=NC(Cl)=NC=C1Br FQFILJKFZCVHNH-UHFFFAOYSA-N 0.000 description 1
- LHZRSNVQLBOUNH-UHFFFAOYSA-N tert-butyl n-[[1-(2,2,2-trifluoroacetyl)piperidin-4-yl]amino]carbamate Chemical compound CC(C)(C)OC(=O)NNC1CCN(C(=O)C(F)(F)F)CC1 LHZRSNVQLBOUNH-UHFFFAOYSA-N 0.000 description 1
- YHGONTNNHYEBEA-UHFFFAOYSA-N tert-butyl n-[[1-(2,2,2-trifluoroacetyl)piperidin-4-ylidene]amino]carbamate Chemical compound CC(C)(C)OC(=O)NN=C1CCN(C(=O)C(F)(F)F)CC1 YHGONTNNHYEBEA-UHFFFAOYSA-N 0.000 description 1
- CKXZPVPIDOJLLM-UHFFFAOYSA-N tert-butyl n-piperidin-4-ylcarbamate Chemical compound CC(C)(C)OC(=O)NC1CCNCC1 CKXZPVPIDOJLLM-UHFFFAOYSA-N 0.000 description 1
- DSPYCWLYGXGJNJ-UHFFFAOYSA-N tert-butyl n-prop-2-ynylcarbamate Chemical compound CC(C)(C)OC(=O)NCC#C DSPYCWLYGXGJNJ-UHFFFAOYSA-N 0.000 description 1
- 238000012360 testing method Methods 0.000 description 1
- 125000000383 tetramethylene group Chemical group [H]C([H])([*:1])C([H])([H])C([H])([H])C([H])([H])[*:2] 0.000 description 1
- 239000002562 thickening agent Substances 0.000 description 1
- HNDGEYCCZGRMTN-UHFFFAOYSA-N thieno[3,2-f:4,5-f]bis[1]benzothiophene Chemical compound S1C2=CC=3SC=CC=3C=C2C2=C1C=C(SC=C1)C1=C2 HNDGEYCCZGRMTN-UHFFFAOYSA-N 0.000 description 1
- GZNAASVAJNXPPW-UHFFFAOYSA-M tin(4+) chloride dihydrate Chemical compound O.O.[Cl-].[Sn+4] GZNAASVAJNXPPW-UHFFFAOYSA-M 0.000 description 1
- AXZWODMDQAVCJE-UHFFFAOYSA-L tin(II) chloride (anhydrous) Chemical compound [Cl-].[Cl-].[Sn+2] AXZWODMDQAVCJE-UHFFFAOYSA-L 0.000 description 1
- FWPIDFUJEMBDLS-UHFFFAOYSA-L tin(II) chloride dihydrate Substances O.O.Cl[Sn]Cl FWPIDFUJEMBDLS-UHFFFAOYSA-L 0.000 description 1
- 210000001519 tissue Anatomy 0.000 description 1
- 239000004408 titanium dioxide Substances 0.000 description 1
- 235000010215 titanium dioxide Nutrition 0.000 description 1
- VZCYOOQTPOCHFL-UHFFFAOYSA-N trans-butenedioic acid Chemical class OC(=O)C=CC(O)=O VZCYOOQTPOCHFL-UHFFFAOYSA-N 0.000 description 1
- 230000001131 transforming effect Effects 0.000 description 1
- 229960005294 triamcinolone Drugs 0.000 description 1
- GFNANZIMVAIWHM-OBYCQNJPSA-N triamcinolone Chemical compound O=C1C=C[C@]2(C)[C@@]3(F)[C@@H](O)C[C@](C)([C@@]([C@H](O)C4)(O)C(=O)CO)[C@@H]4[C@@H]3CCC2=C1 GFNANZIMVAIWHM-OBYCQNJPSA-N 0.000 description 1
- QORWJWZARLRLPR-UHFFFAOYSA-H tricalcium bis(phosphate) Chemical compound [Ca+2].[Ca+2].[Ca+2].[O-]P([O-])([O-])=O.[O-]P([O-])([O-])=O QORWJWZARLRLPR-UHFFFAOYSA-H 0.000 description 1
- 102000027425 tyrosine-kinase associated receptors Human genes 0.000 description 1
- 108091008595 tyrosine-kinase associated receptors Proteins 0.000 description 1
- 125000001493 tyrosinyl group Chemical group [H]OC1=C([H])C([H])=C(C([H])=C1[H])C([H])([H])C([H])(N([H])[H])C(*)=O 0.000 description 1
- MWOOGOJBHIARFG-UHFFFAOYSA-N vanillin Chemical group COC1=CC(C=O)=CC=C1O MWOOGOJBHIARFG-UHFFFAOYSA-N 0.000 description 1
- FGQOOHJZONJGDT-UHFFFAOYSA-N vanillin Natural products COC1=CC(O)=CC(C=O)=C1 FGQOOHJZONJGDT-UHFFFAOYSA-N 0.000 description 1
- 235000012141 vanillin Nutrition 0.000 description 1
- 230000003612 virological effect Effects 0.000 description 1
- 235000012431 wafers Nutrition 0.000 description 1
- 239000000080 wetting agent Substances 0.000 description 1
- 239000008096 xylene Substances 0.000 description 1
- XJSMBWUHHJFJFV-VTIMJTGVSA-N α-dihydroergocryptine Chemical compound C([C@H]1N(C)C2)C([C]34)=CN=C4C=CC=C3[C@H]1C[C@H]2C(=O)N[C@@]1(C(C)C)C(=O)N2[C@@H](CC(C)C)C(=O)N3CCC[C@H]3[C@]2(O)O1 XJSMBWUHHJFJFV-VTIMJTGVSA-N 0.000 description 1
Classifications
-
- C—CHEMISTRY; METALLURGY
- C07—ORGANIC CHEMISTRY
- C07D—HETEROCYCLIC COMPOUNDS
- C07D277/00—Heterocyclic compounds containing 1,3-thiazole or hydrogenated 1,3-thiazole rings
- C07D277/60—Heterocyclic compounds containing 1,3-thiazole or hydrogenated 1,3-thiazole rings condensed with carbocyclic rings or ring systems
- C07D277/84—Naphthothiazoles
-
- A—HUMAN NECESSITIES
- A61—MEDICAL OR VETERINARY SCIENCE; HYGIENE
- A61P—SPECIFIC THERAPEUTIC ACTIVITY OF CHEMICAL COMPOUNDS OR MEDICINAL PREPARATIONS
- A61P1/00—Drugs for disorders of the alimentary tract or the digestive system
-
- A—HUMAN NECESSITIES
- A61—MEDICAL OR VETERINARY SCIENCE; HYGIENE
- A61P—SPECIFIC THERAPEUTIC ACTIVITY OF CHEMICAL COMPOUNDS OR MEDICINAL PREPARATIONS
- A61P11/00—Drugs for disorders of the respiratory system
-
- A—HUMAN NECESSITIES
- A61—MEDICAL OR VETERINARY SCIENCE; HYGIENE
- A61P—SPECIFIC THERAPEUTIC ACTIVITY OF CHEMICAL COMPOUNDS OR MEDICINAL PREPARATIONS
- A61P13/00—Drugs for disorders of the urinary system
- A61P13/12—Drugs for disorders of the urinary system of the kidneys
-
- A—HUMAN NECESSITIES
- A61—MEDICAL OR VETERINARY SCIENCE; HYGIENE
- A61P—SPECIFIC THERAPEUTIC ACTIVITY OF CHEMICAL COMPOUNDS OR MEDICINAL PREPARATIONS
- A61P17/00—Drugs for dermatological disorders
-
- A—HUMAN NECESSITIES
- A61—MEDICAL OR VETERINARY SCIENCE; HYGIENE
- A61P—SPECIFIC THERAPEUTIC ACTIVITY OF CHEMICAL COMPOUNDS OR MEDICINAL PREPARATIONS
- A61P27/00—Drugs for disorders of the senses
- A61P27/02—Ophthalmic agents
-
- A—HUMAN NECESSITIES
- A61—MEDICAL OR VETERINARY SCIENCE; HYGIENE
- A61P—SPECIFIC THERAPEUTIC ACTIVITY OF CHEMICAL COMPOUNDS OR MEDICINAL PREPARATIONS
- A61P37/00—Drugs for immunological or allergic disorders
-
- C—CHEMISTRY; METALLURGY
- C07—ORGANIC CHEMISTRY
- C07D—HETEROCYCLIC COMPOUNDS
- C07D513/00—Heterocyclic compounds containing in the condensed system at least one hetero ring having nitrogen and sulfur atoms as the only ring hetero atoms, not provided for in groups C07D463/00, C07D477/00 or C07D499/00 - C07D507/00
- C07D513/02—Heterocyclic compounds containing in the condensed system at least one hetero ring having nitrogen and sulfur atoms as the only ring hetero atoms, not provided for in groups C07D463/00, C07D477/00 or C07D499/00 - C07D507/00 in which the condensed system contains two hetero rings
- C07D513/04—Ortho-condensed systems
Landscapes
- Health & Medical Sciences (AREA)
- Chemical & Material Sciences (AREA)
- Organic Chemistry (AREA)
- Pharmacology & Pharmacy (AREA)
- Animal Behavior & Ethology (AREA)
- Chemical Kinetics & Catalysis (AREA)
- General Chemical & Material Sciences (AREA)
- Medicinal Chemistry (AREA)
- Nuclear Medicine, Radiotherapy & Molecular Imaging (AREA)
- Bioinformatics & Cheminformatics (AREA)
- Engineering & Computer Science (AREA)
- Life Sciences & Earth Sciences (AREA)
- Veterinary Medicine (AREA)
- General Health & Medical Sciences (AREA)
- Public Health (AREA)
- Immunology (AREA)
- Ophthalmology & Optometry (AREA)
- Urology & Nephrology (AREA)
- Dermatology (AREA)
- Pulmonology (AREA)
- Pharmaceuticals Containing Other Organic And Inorganic Compounds (AREA)
- Plural Heterocyclic Compounds (AREA)
Abstract
Description
Technisches GebietTechnical area
Phosphatidylinositol-3-Kinasen (PI3-Kinasen) sind ein Subfamilie der Lipidkinasen, die die Übertragung eines Phosphatrestes auf die 3'-Position des Inositolrings von Phosphoinositiden katalysiren (Abb.1).Phosphatidylinositol-3-kinases (PI3 kinases) are a subfamily of lipid kinases that inhibit transmission a phosphate residue on the 3'-position catalyze the inositol ring of phosphoinositides (Fig.1).
Sie spielen eine wichtige Rolle bei zahlreichen zellulären Vorgängen wie z.B. Zellwachstums- und Differenzierungsvorgängen, der Steuerung von cytoskelettalen Veränderungen und der Regulation intrazellulärer Transportvorgänge (Vanhaesebroeck et al., Annu Rev Biochem. 2001; 70:535–602). Aufgrund ihrer in vitro-Spezifität für bestimmte Phosphoinositid-Substrate können die PI3-Kinasen in verschiedene Klassen eingeteilt werden. Die Mitglieder der Rezeptor-regulierten Klasse I sind heterodimere Enzyme, die aus einer 110-120 kDa schweren katalytischen (p110) und einer 50-101 kDa schweren nicht-katalytischen Untereinheit (p50, p55, p85, p101) aufgebaut sind. Die am höchsten konservierte Region bei allen PI3-Kinasen ist die C-terminal gelegene Kinase-Domäne. Sie weist Strukturmerkmale auf, die ebenfalls in den meisten bekannten Proteinkinasen zu finden sind. Dazu gehören z.B. auch hochkonservierte Aminosäuren, die für die Koordination des ATP-Moleküls verantwortlich sind (Walker et al., Nature. 1999 Nov 18; 402(6759):313–20).she play an important role in numerous cellular processes such as e.g. Cell growth and differentiation processes, the control of cytoskeletal changes and the regulation of intracellular transport processes (Vanhaesebroeck et al., Annu Rev Biochem. 2001; 70: 535-602). Due to their in vitro specificity for certain Phosphoinositide substrates can the PI3 kinases are divided into different classes. The members The receptor-regulated class I are heterodimeric enzymes that from a 110-120 kDa catalytic (p110) and a 50-101 kDa heavy non-catalytic subunit (p50, p55, p85, p101) are constructed. The highest conserved region in all PI3 kinases is the C-terminal Kinase domain. It has structural features also common in most known ones Protein kinases are found. These include e.g. also highly preserved Amino acids, the for the coordination of the ATP molecule (Walker et al., Nature, 1999 Nov 18, 402 (6759): 313-20).
Drei
der vier Mitglieder der Klasse I PI3-Kinasen assoziieren konstitutiv
mit einer 50-85 kDa schweren Adaptor-Untereinheit, von denen p85
der Prototyp ist. Die Interaktion erfolgt dabei über die sog. p85-Bindungsdomäne, die
auf den katalytischen Untereinheiten der PI3-Kinase a, b und d zu
finden ist. Die drei Formen werden aufgrund dieses strukturellen
Merkmals zu Klasse IA zusammengefasst. Die katalytische Untereinheit
der PI3-Kinase γ,
p110γ, assoziiert
stattdessen mit einem 101 kDa schweren regulatorichen Protein, das
als p101 bezeichnet wird. Sie bildet – bis jetzt als einziges Mitglied – die Klasse
IB der PI3-Kinasen. Diese strukturelle Einteilung in Klasse IA und
IB zeigt auch Parallelen in den funktionellen Eigenschaften der
entsprechenden PI3-Kinase-Isoformen
(
So werden die PI3-Kinase α, β und δ hauptsächlich durch Rezeptor-Tyrosin-Kinasen (RTKs) oder lösliche Tyrosinkinasen aktiviert. Die p85-Untereinheit dient hierbei als Adaptor, da sie mit ihren SH2-Domänen die phosphorylierten Tyrosinreste spezifischer Aminosäuresequenzen (YxxM) erkennen und binden kann. Die PI3Kγ hingegen wird hauptsächlich durch Gβγ-Untereinheiten aktiviert, die aus heterotrimeren G-Proteinen nach Aktivierung von heptahelikalen Rezeptoren freigesetzt werden. Durch diese unterschiedliche Kopplung an Zelloberflächen-Rezeptoren in Kombination mit einer mehr oder weniger restriktiven Expression ergeben sich zwangsläufig sehr unterschiedliche Aufgaben und Funktionen der 4 Klasse I PI3-Kinasen im intakten Organismus (Wymann et al., Trends Pharmacol Sci. 2003 Jul;24(7):366–76).So The PI3 kinase α, β and δ are mainly by Receptor tyrosine kinases (RTKs) or soluble tyrosine kinases activated. The p85 subunit serves as an adapter, since it works with its SH2 domains the phosphorylated tyrosine residues of specific amino acid sequences (YxxM) can recognize and bind. The PI3Kγ, however, is mainly by Gβγ subunits activated from heterotrimeric G proteins after activation of heptahelical receptors are released. Through these different Coupling to cell surface receptors in combination with a more or less restrictive expression inevitably arise very different tasks and functions of the 4 class I PI3 kinases in the intact organism (Wymann et al., Trends Pharmacol Sci. 2003 July; 24 (7): 366-76).
Viele unabhängige Befunde sprechen für eine Beteiligung von Klasse IA PI3-Kinasen an unkontrollierten Zellwachstums- und Differenzierungsvorgängen. So war die erste nachgewiesene PI3-Kinase Aktivität mit der transformierenden Aktivität von viralen Onkogenen assoziiert, wie z.B. das middle T Antigen von Polyomaviren, Src Tyrosinkinasen oder aktivierten Wachstumsfaktoren (Workman, Biochem Soc Trans. 2004 Apr; 32(Pt 2):393–6). Bei vielen Tumoren, wie z.B. Brustkrebs, Ovar- oder auch Pankreaskarzinom findet man eine Überaktivität von Akt/PKB, welches direkt durch die Lipidprodukte der Klasse I PI3-Kinasen aktiviert wird und so die Signale in die Zelle weiterleitet. Darüber hinaus wurde erst kürzlich gefunden, dass das PIK3CA-Gen, das für p110α codiert, in verschiedenen Tumorarten, wie Kolon-, Mamma- oder Lungenkarzinomen eine hohe Mutationshäufigkeit aufweist, von denen einige repräsentative als aktivierende Mutationen charakterisiert werden konnten (Samuels et al., Science. 2004 Apr 23;304(5670):554).Lots independent Findings speak for involvement of class IA PI3 kinases in uncontrolled cell growth and differentiation processes. Thus, the first demonstrated PI3-kinase activity was with the transforming activity of viral oncogenes, e.g. the middle T antigen of polyomaviruses, Src tyrosine kinases or activated growth factors (Workman, Biochem Soc Trans. 2004 Apr; 32 (Pt 2): 393-6). at many tumors, e.g. Breast cancer, ovarian or pancreatic carcinoma is there an overactivity of Akt / PKB, which directly through the lipid products of class I PI3 kinases is activated and thus passes the signals into the cell. Furthermore has been recently found that the PIK3CA gene, which codes for p110α, in various types of tumors, such as colon, mammary or lung carcinomas a high frequency of mutations some of which are representative as activating mutations could be characterized (Samuels et al., Science. 2004 Apr 23; 304 (5670): 554).
Das jüngste Mitglied der Klasse IA PI3-Kinasen, die PI3Kδ, ist restriktiver exprimiert als die PI3Kα und β. In sog. „knock-in"-Mäusen, bei denen die katalytische Untereinheit der PI3Kδ, p110δ, durch eine inaktive Mutante ersetzt wurde, konnte gezeigt werden, das dieses PI3K-Isoenzym eine spezifische Rolle in der Signalübertragung von B- und T-Lymphozyten nach Antigen-Rezeptor-Stimulation spielt (Okkenhaug et al., Science. 2002 Aug; 297(5583):1031-4). Dies sind Mechanismen, die vor allem bei Autoimmunerkrankungen, wie z.B. Morbus Crohn oder rheumatoide Arthritis eine Rolle spielen.The youngest Member of class IA PI3 kinases, the PI3Kδ, is expressed more restrictively as the PI3Kα and β. In so-called "knock-in" mice, in the catalytic subunit of PI3Kδ, p110δ, by an inactive mutant could be shown that this PI3K isoenzyme a specific role in signal transmission of B and T lymphocytes after antigen-receptor stimulation (Okkenhaug et al., Science. 2002 Aug; 297 (5583): 1031-4). These are mechanisms, first and foremost in autoimmune diseases, e.g. Crohn's disease or rheumatoid Arthritis play a role.
Die PI3Kγ wird fast ausschließlich durch Gi-koppelnde heptahelikale Rezeptoren aktiviert. So konnte in Neutrophilen von Mäusen, die keine PI3Kγ exprimieren, keine PI3, 4, 5-P3-Bildung beobachtet werden, wenn diese mit IL-8, fMLP, LTB4 oder C5a stimuliert wurden (Hirsch et al., Science. 2000 Feb 11; 287(5455):1049–53). Dies zeigt, dass zumindest in diesem Zelltypus die PI3Kγ die einzige PI3-Kinase-Isoform ist, die an diese heptahelikalen Rezeptoren koppelt. Darüber hinaus zeigten isolierte Neutrophile und Makrophagen aus den PI3Kγ-defizienten Mäusen eine stark verminderte chemotaktische Aktivität bzw. Sauerstoffradikalproduktion gegenüber einer ganzen Reihe von Chemokinen und Chemoattraktoren. Ebenfalls vermindert war die IgE-vermittelte Aktivierung von Mastzellen, die aus p110γ-defizienten Mäusen isoliert worden waren. Als verantwortlicher Mechanismus wird ein positiver Rückkopplungsmechnismus diskutiert, bei dem die PI3Kγ durch Gi-koppelnde Adenosin A3-Rezeptoren aktiviert wird (Laffargue et al., Immunity. 2002 Mar;16(3):441–51).The PI3Kγ is activated almost exclusively by G i -coupling heptahelical receptors. Thus, Science could in neutrophils in mice which express no PI3Kγ, no PI3, 4, 5-P 3 formation are observed when these were stimulated with IL-8, fMLP, LTB4 or C5a (Hirsch et al., 2000 Feb 11; 287 (5455): 1049-53). This shows that at least in this cell type, PI3Kγ is the only PI3 kinase isoform which couples to these heptahelical receptors. In addition, isolated neutrophils and macrophages from the PI3Kγ-deficient mice exhibited greatly reduced chemotactic activity or oxygen radical production over a variety of chemokines and chemoattractants. Also reduced was the IgE-mediated activation of mast cells isolated from p110γ-deficient mice. As a responsible mechanism, a positive feedback mechanism is discussed in which the PI3Kγ is activated by G i -coupling adenosine A 3 receptors (Laffargue et al., Immunity 2002 Mar; 16 (3): 441-51).
Trotz dieser verminderten Fähigkeit auf Entzündungsmediatoren zu reagieren, sind die p110γ-defizienten Mäuse normal lebens- und fortpflanzungsfähig und haben die gleiche Lebenserwartung wie identisch gehaltene wildtypische Vergleichstiere. Daraus lässt sich schließen, dass die Klasse IB PI3Kγ eine zentrale Rolle bei der Aktivierung von verschiedene Entzündungszellen einnimmt, und daher Isoform-spezifische Inhibitoren eine attraktive Möglichkeit zur anti-inflammatorischen Therapie mit vergleichsweise geringen Nebenwirkungen darstellen (Ward and Finan, Curr Opin Pharmacol. 2003 Aug;3(4):426–34)In spite of this diminished ability on inflammatory mediators To respond are the p110γ-deficient Mice normal viable and reproducible and have the same life expectancy as identical wild-type ones Control animals. Leave it close, that the class IB PI3Kγ a central role in the activation of various inflammatory cells and therefore isoform-specific inhibitors an attractive possibility for anti-inflammatory therapy with comparatively low Side effects (Ward and Finan, Curr Opin Pharmacol. 2003 Aug; 3 (4): 426-34)
Neben ihrer Funktion in Leukozyten scheint die PI3Kγ trotz ihrer geringen Expression in Kardiomyozyten auch eine Rolle im kardiovaskulären System zu spielen. So zeigten p110γ-defiziente Mäuse eine Erhöhung der Herzmuskelkontraktilität, die vermutlich über eine Überproduktion von cAMP erklärt werden (Crackower et al., Cell. 2002 Sep 20; 110(6):737–49). Erst kürzlich konnte gezeigt werden, dass die PI3Kγ auch bei der Entstehung der kardialen Hypertrophie beteiligt ist. So zeigten p110γ-defiziente Mäuse in einem Isoproterenol-induzierten Herzinsuffizienz-Modell im Vergleich zu den wildtypischen Tieren eine deutlich verminderte Hypertrophie und Fibrose (Oudit et al., Circulation. 2003 Oct 28; 108(17):2147–52).Next Despite its low expression, PI3Kγ seems to function in leukocytes in cardiomyocytes also has a role in the cardiovascular system to play. Thus showed p110γ-deficient Mice one increase myocardial contractility, which probably over an overproduction explained by cAMP (Crackower et al., Cell. 2002 Sep 20; 110 (6): 737-49). First recently could be shown that the PI3Kγ also in the formation of the Cardiac hypertrophy is involved. Thus showed p110γ-deficient Mice in compared to an isoproterenol-induced heart failure model to the wild-type animals a significantly reduced hypertrophy and fibrosis (Oudit et al., Circulation, 2003 Oct 28; 108 (17): 2147-52).
Aufgabe der vorliegenden Erfindung war es neue Verbindungen bereitzustellen, die aufgrund ihrer pharmazeutischen Wirksamkeit als PI3-Kinase Modulator zur Anwendung auf therapeutischem Gebiet zur Behandlung von entzündlichen oder allergischen Erkrankungen gelangen können. Beispielhaft seinen hier entzündliche und allergische Atemwegserkrankungen, entzündliche und allergische Hauterkrankungen, entzündliche Augenerkrankungen, Erkrankungen der Nasenschleimhaut, entzündliche oder allergische Krankheitszustände, bei denen Autoimmun-Reaktionen beteiligt sind oder Nierenentzündungen genannt.task the present invention was to provide new compounds, due to their pharmaceutical efficacy as a PI3 kinase modulator for use in the therapeutic field for the treatment of inflammatory or allergic diseases. Exemplarily his here inflammatory and allergic respiratory diseases, inflammatory and allergic skin diseases, inflammatory Eye diseases, diseases of the nasal mucosa, inflammatory or allergic disease states, involving autoimmune reactions or kidney inflammation called.
PI3-Kinase Inhibitoren zur Behandlung entzündlicher Krankheiten sind in der Literatur bekannt. So offenbart die WO 03/072557 5-Phenylthiazolderivate, WO 04/029055 zeigt annelierte Azolpyrimidine und WO 04/007491 Azolidinone-vinyl verknüpfte Benzolderivate. Weiterhin werden durch die beiden Schriften WO 04/052373 und WO 04/056820 Benzoxazin- in Benzoxazin-3-onderivate offenbart.PI3 kinase Inhibitors for the treatment of inflammatory Diseases are known in the literature. Thus, WO 03/072557 discloses 5-phenylthiazole derivatives, WO 04/029055 shows fused azolpyrimidines and WO 04/007491 azolidinone-vinyl linked benzene derivatives. Farther are described by the two documents WO 04/052373 and WO 04/056820 Benzoxazine in benzoxazin-3-one derivatives disclosed.
KURZE BESCHREIBUNG DER ZEICHNUNGENSHORT DESCRIPTION THE DRAWINGS
Phosphoinositide bestehen aus einer Glyceroleinheit, die an allen Hydroxylgruppen substituiert ist. Position 1 und 2 sind mit Fettsäureresten (hier exemplarisch: Stearinsäure und Arachidonsäure), Position 3 mit Phosphorsäure verestert- Die polare Inositol-Kopfgruppe ist über den Phosphorsäureester an Position 3 verknüpft. Die Enzymklasse der PI3-Kinasen katalysiert die Übertragung des terminalen Phosphatrestes von Adenosin-triphosphat (ATP) auf die 3'-Position des Inositolrings. Je nach Substrat kann dabei Phosphatidylinositol-3-phosphat (PI3-P), PI3, 4-P2 oder PI3, 4, 5-P3 gebildet werden.phosphoinositide consist of a glycerol unit attached to all hydroxyl groups is substituted. Position 1 and 2 are with fatty acid residues (here by way of example: stearic acid and arachidonic acid), Position 3 with phosphoric acid esterified - The polar inositol head group is over the phosphoric acid ester linked at position 3. The enzyme class of PI3 kinases catalyzes the transfer of the terminal phosphate residue of adenosine triphosphate (ATP) to the 3 'position of the inositol ring. Depending on Substrate can be phosphatidylinositol-3-phosphate (PI3-P), PI3, 4-P2 or PI3, 4, 5-P3 are formed.
Die Aktivierung der Klasse I PI3-Kinasen durch extrazelluläre Stimuli wird durch Rezeptor-Tyrosin-Kinasen, Tyrosin-Kinase assoziierte Rezeptoren und G-Protein-gekoppelte Rezeptoren vermittelt. Die Sensitivität gegenüber Tyrosin-Kinasen wird durch SH2-Domänen der regulatorischen p85-Untereinheit der PI3-Kinase α, β und δ bedingt. Die PI3-Kinase γ wird von heptahelikalen Rezeptoren hauptsächlich über Gβγ-Untereinheiten aktiviert. Als Folge der Aktivierung wird in beiden Fällen durch 3'-Phosphorylierung von PI-4, 5-P2 der „second messenger" PI3, 4, 5-P3 gebildet.The activation of class I PI3 kinases by extracellular stimuli is mediated by receptor tyrosine kinases, tyrosine kinase-associated receptors, and G protein-coupled receptors. Sensitivity to tyrosine kinases is due to SH2 domains of the p85 regulatory subunit of the PI3 kinase, α, β, and δ. The PI3 kinase γ is activated by heptahelical receptors mainly via Gβγ subunits. As a result of the activation, in both cases PI 3, 4, 5-P 3 is formed by 3'-phosphorylation of PI-4, 5-P 2 of the second messenger.
DETAILLIERTE BESCHREIBUNG DER ERFINDUNGDETAILED DESCRIPTION OF THE INVENTION
Überraschenderweise
wurde gefunden, dass die vorstehend genannten Aufgaben durch Verbindungen
der Formel 1 gelöst
werden. Dementsprechend betrifft die vorliegende Erfindung Verbindungen
der Formel 1, mit der Maßgabe, dass
die mit A gekennzeichnete, kreisförmige Linie ein aromatisches
System bedeutet; worin
Y Kohlenstoff, Stickstoffatom, Schwefel;
bevorzugt Kohlenstoff, Stickstoff;
Z Kohlenstoff, Stickstoffatom,
Schwefel; bevorzugt Kohlenstoff, Stickstoff;
j 1, 2 oder 3;
k
0 oder 1;
Ra H, COR8,
NR9R10, NO2, OR8, SR11, SOR11, SO2R11, NHCO-C1-6-Alkyl-NH2, oder
ein Rest ausgewählt
aus der Gruppe bestehend aus C1-6-Alkyl,
C2-6-Alkenyl, C3-8-Cycloalkyl,
C3-8-Cycloalkenyl, C1-6-Haloalkyl,
Aryl, C7-11-Aralkyl, Spiro, Het, Heteroaryl
und CH2-O-Aryl, der gegebenenfalls substituiert
sein kann;
R8 C1-6-Alkyl,
C3-6-Cycloalkyl, NH2,
Hetaryl oder Aryl, gegebenenfalls substituiert mit einem oder mehreren
Halogen oder C1-4-Alkyl;
R9 H,
COOR12, CONR12 oder
C1-6-Alkyl, gegebenenfalls substituiert
mit einem oder mehreren COOH, N(C1-6-Alkyl)2 oder Het, gegebenenfalls substituiert mit
einem oder mehreren C1-6-Alkyl; oder R9 bedeutet Het, gegebenenfalls substituiert
mit einem oder mehreren C1-4-Alkyl;
R10 H, C1-6-Alkyl,
CO-C1-6-Alkyl oder C2-6-Alkinyl;
R11 C1-6-Alkyl, gegebenenfalls
substituiert mit einem oder mehreren N(C1-4-Alkyl)2;
Rb R4, OR4, -CH2OR4, COR4, COOR4, CONR4R5, NR4R5, NR5COR4, NR5COOR4, NR5CONR4R5, NR5SOR4 oder NR5SO2R4;
R4, R5 H, C1-6-Alkyl, C1-6-Haloalkyl,
C1-6-Alkylen-OH, C2-6-Alkenyl,
C7-11-Aralkyl, C2-4-Alkenyl-Aryl,
C2-4-Alkinyl-Aryl, C1-4-Alkyl-Hetaryl,
C2-4-Alkenyl-Hetaryl, C2-4-Alkinyl-Hetaryl,
C2-6-Alkinyl, gegebenenfalls substituiert mit
Si(C1-4-Alkyl)3,
oder R4 bedeutet ein Rest ausgewählt aus
der Gruppe bestehend aus Aryl, Het, Hetaryl und gegebenenfalls substituiert
mit C1-4-Alkyl;
oder R4 und
R5 bilden gemeinsam einen fünf-, sechs-
oder siebengliedrigen Ring bestehend aus Kohlenstoffatomen und gegebenenfalls
einem Heteroatom ausgewählt
aus der Gruppe bestehend aus Sauerstoff, Stickstoff und Schwefel;
Rc NHR6 oder ein Rest
ausgewählt
aus der Gruppe bestehend aus worin
B Bindung, C1-6-Alkyl, C2-6-Alkenyl
oder C2-6-Alkinyl;
R6 H
oder ein Rest ausgewählt
aus der Gruppe C1-4-Alkyl, C2-4-Alkenyl,
C2-4-Alkinyl, C3-6-Cycloalkyl,
C3-6-Cycloalkenyl, Het, Aryl, Hetaryl gegebenenfalls
substituiert mit einem oder mehreren Resten R6.1;
R6.1 Halogen, CF3,
OH, CN, OMe, SO2(C1-4-Alkyl);
R7 H, C1-4-Alkyl,
C2-4-Alkenyl, C2-4-Alkinyl,
C3-6-Cycloalkyl, NR7.1R7.2, OR7.2, SR7.2, Hetaryl, Het, gegebenenfalls substituiert
mit C1-4-Alkyl oder CONH2;
R7.1 H, C1-6-Alkyl,
(CH2)2-4R7.1.1 oder COOButyl;
R7.2 H,
C1-6-Alkyl, gegebenenfalls substituiert
mit einem oder mehreren OH;
R7.1.1 NR7.1.1.1R7.1.1.2,
Het oder 1-Imidazolyl, 2-(N-Ethylpyrollidin);
R7.1.1.1 H
oder C1-6-Alkyl;
R7.1.1.2 H
oder C1-6-Alkyl;
bedeuten, sowie pharmakologisch
verträgliche
Salz, Diastereomere, Enantiomere, Racemate, Hydrate oder Solvate
davon, mit der Maßgabe,
dass Ra nicht H oder Me sein kann, wenn
Y = Stickstoff; Z = Stickstoff; j = 2; k = 0; Rb =
H und Rc = NHCONH-Et bedeutet.Surprisingly, it has been found that the above-mentioned objects are achieved by compounds of formula 1. Accordingly, the present invention relates to compounds of formula 1, with the proviso that the circular line marked A represents an aromatic system; wherein
Y is carbon, nitrogen, sulfur; preferably carbon, nitrogen;
Z is carbon, nitrogen, sulfur; preferably carbon, nitrogen;
j 1, 2 or 3;
k is 0 or 1;
R a is H, COR 8 , NR 9 R 10 , NO 2 , OR 8 , SR 11 , SOR 11 , SO 2 R 11 , NHCO-C 1-6 -alkyl-NH 2 , or a radical selected from the group consisting of C 1-6 alkyl, C 2-6 alkenyl, C 3-8 cycloalkyl, C 3-8 cycloalkenyl, C 1-6 haloalkyl, aryl, C 7-11 aralkyl, spiro, het, heteroaryl and CH 2 -O-aryl which may be optionally substituted;
R 8 is C 1-6 alkyl, C 3-6 cycloalkyl, NH 2 , hetaryl or aryl optionally substituted with one or more halo or C 1-4 alkyl;
R 9 is H, COOR 12 , CONR 12 or C 1-6 alkyl optionally substituted with one or more COOH, N (C 1-6 alkyl) 2 or Het optionally substituted with one or more C 1-6 alkyl ; or R 9 is het optionally substituted with one or more C 1-4 alkyl;
R 10 is H, C 1-6 -alkyl, CO-C 1-6 -alkyl or C 2-6 -alkynyl;
R 11 is C 1-6 alkyl optionally substituted with one or more N (C 1-4 alkyl) 2 ;
R b R 4 , OR 4 , -CH 2 OR 4 , COR 4 , COOR 4 , CONR 4 R 5 , NR 4 R 5 , NR 5 COR 4 , NR 5 COOR 4 , NR 5 CONR 4 R 5 , NR 5 SOR 4 or NR 5 SO 2 R 4 ;
R 4 , R 5 is H, C 1-6 -alkyl, C 1-6 -haloalkyl, C 1-6 -alkylene-OH, C 2-6 -alkenyl, C 7-11 -aralkyl, C 2-4 -alkenyl -Aryl, C 2-4 -alkynyl-aryl, C 1-4 -alkyl-hetaryl, C 2-4 -alkenyl-hetaryl, C 2-4 -alkynyl-hetaryl, C 2-6 -alkynyl, optionally substituted with Si (C 1-4 -alkyl) 3 , or R 4 is a radical selected from the group consisting of aryl, het, hetaryl and optionally substituted by C 1-4 alkyl;
or R 4 and R 5 together form a five, six or seven membered ring consisting of carbon atoms and optionally a heteroatom selected from the group consisting of oxygen, nitrogen and sulfur;
R c NHR 6 or a radical selected from the group consisting of wherein
B bond, C 1-6 alkyl, C 2-6 alkenyl or C 2-6 alkynyl;
R 6 is H or a radical selected from the group consisting of C 1-4 -alkyl, C 2-4 -alkenyl, C 2-4 -alkynyl, C 3-6 -cycloalkyl, C 3-6 -cycloalkenyl, het, aryl, hetaryl optionally substituted with one or more R 6.1 radicals;
R 6.1 halogen, CF 3 , OH, CN, OMe, SO 2 (C 1-4 alkyl);
R 7 is H, C 1-4 -alkyl, C 2-4 -alkenyl, C 2-4 -alkynyl, C 3-6 -cycloalkyl, NR 7.1 R 7.2 , OR 7.2 , SR 7.2 , hetaryl, het, optionally substituted with C 1-4 alkyl or CONH 2 ;
R 7.1 is H, C 1-6 alkyl, (CH 2 ) 2-4 R 7.1.1 or COOButyl;
R 7.2 is H, C 1-6 -alkyl, optionally substituted with one or more OH;
R 7.1.1 NR 7.1.1.1 R 7.1.1.2 , Het or 1-imidazolyl, 2- (N-ethylpyrollidine);
R 7.1.1.1 H or C 1-6 alkyl;
R 7.1.1.2 H or C 1-6 alkyl;
as well as pharmacologically acceptable salt, diastereomers, enantiomers, racemates, hydrates or solvates thereof, with the proviso that R a can not be H or Me when Y = nitrogen; Z = nitrogen; j = 2; k = 0; R b = H and R c = NHCONH-Et.
Bevorzugt
sind die oben genannten Verbindungen der Formel 1; worin
Ra ein Rest ausgewählt aus der Gruppe bestehend
aus Aryl, C7-11-Aralkyl und Heteroaryl,
der gegebenenfalls substituiert durch einen oder mehrere Reste ausgewählt aus
der Gruppe bestehend aus R1, R2 und
R3 sein kann;
R1 und
R2 unabhängig
voneinander C1-6-Alkyl, C2-6-Alkenyl
C2-6-Alkinyl, C3-6-Cycloalkyl,
C3-6-Cycloalkenyl, C1-6-Haloalkyl,
C1-6-Alkylen-COOH, C1-6-Alkoxy,
Halogen, OH, CN, COR1.1, O-C1-4-Haloalkyl,
NO2 oder SR1.1, SOR1.1, SO2R1.1, Het oder Hetaryl,
R1.1 OH,
C1-6-Alkyl, C2-6-Alkenyl
C2-6-Alkinyl, NR1.1.1R1.1.2
R1.1.1 H,
C1-6-Alkyl, gegebenenfalls substituiert
mit einem Rest ausgewählt
aus der Gruppe bestehend aus NH2, NHMe,
NMe2;
R1.1.2 H,
C1-6-Alkyl;
oder R1.1.1 und
R1.1.2 bilden zusammen einen fünf- oder
sechsgliedrigen heterocyclischen Ring, der gegebenenfalls substituiert
sein kann mit einem Rest ausgewählt
aus der Gruppe bestehend aus Methyl, Ethyl, Propyl;
R3 ein Rest ausgewählt aus der Gruppe bestehend
aus worin
X
Bindung oder C1-4-Alkylen;
X' C1-4-Alkylen,
C2-4-Alkenylen oder C1-4-Alkinylen
R3a ein Rest, gleich oder verschieden, ausgewählt aus
der Gruppe bestehend aus R3.1, R3.2 und R3.3;
R3.1 Spiro oder Het, wobei Het gegebenenfalls
substituiert mit einem oder mehreren R3.1.1 sein
kann;
R3.1.1 C1-6-Alkyl,
C2-6-Alkenyl, OH, C1-4-Alkylen-OH,
C1-4-Alkylen-NR3.1.1.1R3.1.1.2, COR3.1.1.1,
COOR3.1.1.1, CONR3.1.1.1R3.1.1.2, NR3.1.1.1R3.1.1.2, Het, Hetaryl, NHCOR3.1.1.1
R3.1.1.1 ein Rest ausgewählt aus der Gruppe bestehend
aus H, C1-4-Alkyl, Aryl und C7-11-Aralkyl;
gegebenenfalls substituiert mit einem Rest ausgewählt aus
der Gruppe Halogen, OH und CN;
R3.1.1.2 H,
C1-4-Alkyl;
R3.2 ein
Rest ausgewählt
aus der Gruppe bestehend aus C3-6-Cycloalkyl,
Het, Hetaryl und Spiro der gegebenenfalls substituiert ist mit einem
oder mehreren R3.2.1
R3.2.1 C1-6-Alkyl, C3-6-Cycloalkyl,
OH, NR3.2.1.1R3.2.1.2,
NHCOR3.2.1.3 oder Het, gegebenenfalls substituiert
mit einem oder mehreren Resten ausgewählt aus der Gruppe bestehend
aus C1-4-Alkyl, SO2R3.2.1.1, CH2-C3-6-Cycloalkyl und Aryl;
R3.2.1.1 H,
C1-4-Alkyl oder C7-11-
Aralkyl;
R3.2.1.2 H, C1-4-Alkyl
oder C7-11- Aralkyl;
R3.2.1.2 Aryl,
C7-11-Aralkyl; oder
C1-6-alkyl,
das gegebenenfalls substituiert ist mit einem oder zwei R3.2.2;
R3.2.2 C1-6-Alkyl, C2-6-Alkenyl,
C2-6-Alkinyl, COOR3.2.2.1,
CONR3.2.2.1R3.2.2.2,
NR3.2.2.1R3.2.2.2,
NHCOR3.2.2.1, C1-6-Haloalkyl,
CN, OR3.2.2.1, SO2R3.2.2.1, C3-6-Cycloalkyl,
CO-Het, C2-4-Alkinyl-Hetaryl, Guanidin oder
ein Rest ausgewählt aus
der Gruppe bestehend aus Het, Hetaryl und Aryl, der gegebenenfalls
substituiert ist mit einem oder mehreren Resten ausgewählt aus
der Gruppe Halogen, C1-6-Alkyl, CONR3.2.2.1R3.2.2.2,
OH, Imidazolidinon;
R3.2.2.1 H oder
C1-6-Alkyl, Aryl, C7-11-Aralkyl
R3.2.2.2. H oder C1-6-Alkyl;
oder
Aryl, das gegebenenfalls substituiert ist mit einem oder
zwei R3.2.3
R3.2.3 ein
Rest ausgewählt
aus der Gruppe bestehend aus NH-C1-6-alkyl-N(C1-6-alkyl)2 oder Het, wobei Het gegebenenfalls substituiert
mit einem Rest C1-6-Alkyl sein kann;
R3.3 H oder ein Rest ausgewählt aus
der Gruppe bestehend aus C1-6-Alkyl, C2-6-Alkenyl, C2-6-Alkinyl,
C1-6-Haloalkyl und Aryl, der gegebenenfalls
substituiert sein kann mit einem oder mehreren Resten R3.3.1;
R3.3.1 C3-6-Cycloalkyl,
C3-6-Cycloalkenyl, OR3.3.1.1,
NR3.3.1.1R3.3.1.2 CONR3.3.1.1R3.3.1.2,
COOR3.3.1.1, NR3.3.1.1COR3.3.1.2, SOR3.3.1.1,
SO2R3.3.1.1, C(NR3.3.1.1R3.3.1.2)NR3.3.1.3, NR3.3.1.1CONR3.3.1.2R3.3.1.3,
OH, CN, Halogen oder Het, gegebenenfalls substituiert mit einem
oder mehreren Resten ausgewählt
aus der Gruppe bestehend aus C1-4-Alkyl, SO2H, SO2-C1-4-Alkyl, SO2C7-11-Aralkyl, CH2-C3-6-Cycloalkyl und Aryl;
R3.3.1.1,
R3.3.1.2 und R3.3.1.3 ein
Rest ausgewählt
aus der Gruppe bestehend aus C1-6-Alkyl,
C2-6-Alkenyl, C2-6-Alkinyl,
C7-11-Aralkyl, C2-4-Alkenyl-Aryl,
C2-4-Alkinyl-Aryl, C1-4-Alkyl-Hetaryl, C2-4-Alkenyl-Hetaryl, C2-4-Alkinyl-Hetaryl,
COC1-4-Alkyl-Hetaryl, COC2-4-Alkenyl-Hetaryl,
COC2-4-Alkinyl-Hetaryl; oder
zwei der
Gruppen R3.3.1.1, R3.3.1.2 und
R3.3.1.3 bilden gemeinsam einen Ring, bestehend
aus Kohlenstoffatomen und gegebenenfalls einem Heteroatom ausgewählt aus
der Gruppe bestehend aus Sauerstoff, Stickstoff und Schwefel;
Ra H, C1-6-Alkyl,
C2-6-Alkenyl, C3-8-Cycloalkyl,
C3-8-Cycloalkenyl, C1-6-Haloalkyl,
COR8, NR9R10, NO2, OR8, SR11, SOR11, SO2R11,
NHCO-C1-6-Alkyl-NH2,
Spiro oder ein Rest ausgewählt
aus der Gruppe bestehend aus C7-11- Aralkyl,
CH2-O-Aryl und Het der gegebenenfalls substituiert
sein kann mit einem oder mehreren Halogen, C1-6-Alkyl,
CO-C1-4-Haloalkyl, C1-4-Alkyl-NH2 oder CH2NHCOOR12;
R8 C1-6-Alkyl, C3-6-Cycloalkyl,
NH2, Hetaryl oder Aryl, gegebenenfalls substituiert
mit einem oder mehreren Halogen oder C1-4-Alkyl;
R9 H, COOR12, CONR12 oder C1-6-Alkyl,
gegebenenfalls substituiert mit einem oder mehreren COOH, N(C1-6-Alkyl)2 oder
Het, gegebenenfalls substituiert mit einem oder mehreren C1-6-Alkyl; oder R9 bedeutet
Het, gegebenenfalls substituiert mit einem oder mehreren C1-4-Alkyl;
R10 H,
C1-6-Alkyl, CO-C1-6-Alkyl
oder C2-6-Alkinyl;
R11 C1-6-Alkyl, gegebenenfalls substituiert mit
einem oder mehreren N(C1-4-Alkyl)2;
R12 H, C1-6-Alkyl;
bedeuten, sowie pharmakologisch
verträgliche
Salz, Diastereomere, Enantiomere, Racemate, Hydrate oder Solvate
davon, mit der Maßgabe,
dass Ra nicht H oder Me sein kann, wenn
Y = Stickstoff; Z = Stickstoff; j = 2; k = 0; Rb =
H und Rc = NHCONH-Et bedeutet.Preference is given to the abovementioned compounds of the formula 1; wherein
R a is a radical selected from the group consisting of aryl, C 7-11 aralkyl and heteroaryl, which may optionally be substituted by one or more radicals selected from the group consisting of R 1 , R 2 and R 3 can;
R 1 and R 2 are independently C 1-6 alkyl, C 2-6 alkenyl C 2-6 alkynyl, C 3-6 cycloalkyl, C 3-6 cycloalkenyl, C 1-6 haloalkyl, C 1 -6- alkylene-COOH, C 1-6 -alkoxy, halogen, OH, CN, COR 1.1 , OC 1-4 -haloalkyl, NO 2 or SR 1.1 , SOR 1.1 , SO 2 R 1.1 , het or hetaryl,
R 1.1 OH, C 1-6 -alkyl, C 2-6 -alkenyl C 2-6 -alkynyl, NR 1.1.1 R 1.1.2
R 1.1.1 is H, C 1-6 -alkyl, optionally substituted by a radical selected from the group consisting of NH 2 , NHMe, NMe 2 ;
R 1.1.2 H, C 1-6 -alkyl;
or R 1.1.1 and R 1.1.2 together form a five- or six-membered heterocyclic ring which may optionally be substituted by a radical selected from the group consisting of methyl, ethyl, propyl;
R 3 is a radical selected from the group consisting of wherein
X bond or C 1-4 alkylene;
X 'is C 1-4 -alkylene, C 2-4 -alkenylene or C 1-4 -alkynylene
R 3a is a radical, identical or different, selected from the group consisting of R 3.1 , R 3.2 and R 3.3 ;
R 3.1 is spiro or het, where Het may be optionally substituted with one or more R 3.1.1 ;
R 3.1.1 C 1-6 -alkyl, C 2-6 -alkenyl, OH, C 1-4 -alkylene-OH, C 1-4 -alkylene-NR 3.1.1.1 R 3.1.1.2 , COR 3.1.1.1 , COOR 3.1.1.1 , CONR 3.1.1.1 R 3.1.1.2 , NR 3.1.1.1 R 3.1.1.2 , Het, hetaryl, NHCOR 3.1.1.1
R 3.1.1.1 is a radical selected from the group consisting of H, C 1-4 -alkyl, aryl and C 7-11 -aralkyl; optionally substituted with a radical selected from the group consisting of halogen, OH and CN;
R 3.1.1.2 H, C 1-4 alkyl;
R 3.2 is a radical selected from the group consisting of C 3-6 -cycloalkyl, het, hetaryl and spiro which is optionally substituted by one or more R 3.2.1
R 3.2.1 C 1-6 -alkyl, C 3-6 -cycloalkyl, OH, NR 3.2.1.1 R 3.2.1.2 , NHCOR 3.2.1.3 or Het, optionally substituted by one or more radicals selected from the group consisting of C 1-4 -alkyl, SO 2 R 3.2.1.1 , CH 2 -C 3-6 -cycloalkyl and aryl;
R 3.2.1.1 H, C 1-4 alkyl or C 7-11 aralkyl;
R 3.2.1.2 H, C 1-4 alkyl or C 7-11 aralkyl;
R 3.2.1.2 aryl, C 7-11 aralkyl; or
C 1-6 alkyl optionally substituted with one or two R 3.2.2 ;
R 3.2.2 C 1-6 -alkyl, C 2-6 -alkenyl, C 2-6 -alkynyl, COOR 3.2.2.1 , CONR 3.2.2.1 R 3.2.2.2 , NR 3.2.2.1 R 3.2.2.2 , NHCOR 3.2 .2.1 , C 1-6 -haloalkyl, CN, OR 3.2.2.1 , SO 2 R 3.2.2.1 , C 3-6 -cycloalkyl, CO-Het, C 2-4 -alkynyl-hetaryl, guanidine or a radical selected from the group consisting of het, hetaryl and aryl which is optionally substituted by one or more radicals selected from the group consisting of halogen, C 1-6 -alkyl, CONR 3.2.2.1 R 3.2.2.2 , OH, imidazolidinone;
R 3.2.2.1 H or C 1-6 alkyl, aryl, C 7-11 aralkyl
R 3.2.2.2. H or C 1-6 alkyl; or
Aryl which is optionally substituted by one or two R 3.2.3
R 3.2.3 is a radical selected from the group consisting of NH-C 1-6 -alkyl-N (C 1-6 -alkyl) 2 or Het, wherein Het may optionally be substituted by a radical C 1-6 -alkyl;
R 3 is H or a radical selected from the group consisting of C 1-6 -alkyl, C 2-6 -alkenyl, C 2-6 -alkynyl, C 1-6 -haloalkyl and aryl which may be optionally substituted with one or more several residues R 3.3.1 ;
R 3.3.1 C 3-6 -cycloalkyl, C 3-6 -cycloalkenyl, OR 3.3.1.1 , NR 3.3.1.1 R 3.3.1.2 CONR 3.3.1.1 R 3.3.1.2 , COOR 3.3.1.1 , NR 3.3.1.1 COR 3.3.1.2 , SOR 3.3.1.1 , SO 2 R 3.3.1.1 , C (NR 3.3.1.1 R 3.3.1.2 ) NR 3.3.1.3 , NR 3.3.1.1 CONR 3.3.1.2 R 3.3.1.3 , OH, CN, halogen or Het optionally substituted with one or more groups selected from the group consisting of C 1-4 alkyl, SO 2 H, SO 2 C 1-4 alkyl, SO 2 C 7-11 aralkyl, CH 2 -C 3-6 -cycloalkyl and aryl;
R 3.3.1.1 , R 3.3.1.2 and R 3.3.1.3 is a radical selected from the group consisting of C 1-6 -alkyl, C 2-6 -alkenyl, C 2-6 -alkynyl, C 7-11 -aralkyl, C 2-4 -alkenyl-aryl, C 2-4 -alkynyl-aryl, C 1-4 -alkyl-hetaryl, C 2-4 -alkenyl-hetaryl, C 2-4 -alkynyl-hetaryl, COC 1-4 Alkyl hetaryl, COC 2-4 alkenyl hetaryl, COC 2-4 alkynyl hetaryl; or
two of the groups R 3.3.1.1 , R 3.3.1.2 and R 3.3.1.3 together form a ring consisting of carbon atoms and optionally a heteroatom selected from the group consisting of oxygen, nitrogen and sulfur;
R a is H, C 1-6 alkyl, C 2-6 alkenyl, C 3-8 cycloalkyl, C 3-8 cycloalkenyl, C 1-6 haloalkyl, COR 8 , NR 9 R 10 , NO 2 , OR 8 , SR 11 , SOR 11 , SO 2 R 11 , NHCO-C 1-6 -alkyl-NH 2 , spiro or a radical selected from the group consisting of C 7-11 -aralkyl, CH 2 -O-aryl and Het which may optionally be substituted with one or more halo, C 1-6 alkyl, CO-C 1-4 haloalkyl, C 1-4 alkyl-NH 2 or CH 2 NHCOOR 12 ;
R 8 is C 1-6 alkyl, C 3-6 cycloalkyl, NH 2 , hetaryl or aryl optionally substituted with one or more halo or C 1-4 alkyl;
R 9 is H, COOR 12 , CONR 12 or C 1-6 alkyl optionally substituted with one or more COOH, N (C 1-6 alkyl) 2 or Het optionally substituted with one or more C 1-6 alkyl ; or R 9 is het optionally substituted with one or more C 1-4 alkyl;
R 10 is H, C 1-6 -alkyl, CO-C 1-6 -alkyl or C 2-6 -alkynyl;
R 11 is C 1-6 alkyl optionally substituted with one or more N (C 1-4 alkyl) 2 ;
R 12 is H, C 1-6 -alkyl;
as well as pharmacologically acceptable salt, diastereomers, enantiomers, racemates, hydrates or solvates thereof, with the proviso that R a can not be H or Me when Y = nitrogen; Z = nitrogen; j = 2; k = 0; R b = H and R c = NHCONH-Et.
Bevorzugt
sind die oben genannten Verbindungen der Formel 1; worin
Ra ein Rest ausgewählt aus der Gruppe bestehend
aus Aryl, C7-11-Aralkyl und Hetaryl, der
gegebenenfalls substituiert durch einen oder mehrere Reste ausgewählt aus
der Gruppe bestehend aus R1, R2 und
R3 sein kann;
R1 und
R2 unabhängig
voneinander C1-6-Alkyl, C2-6-Alkenyl
C2-6-Alkinyl, C3-6-Cycloalkyl,
C3-6-Cycloalkenyl, C1-6-Haloalkyl,
C1-6-Alkylen-COOH, C1-6-Alkoxy,
Halogen, OH, CN, COR1.1, O-C1-4-Haloalkyl,
NO2 oder SR1.1, SOR1.1, SO2R1.1, Het oder Hetaryl,
R1.1 OH,
C1-6-Alkyl, C2-6-Alkenyl
C2-6-Alkinyl, NR1.1.1R1.1.2
R1.1.1 H,
C1-6-Alkyl, gegebenenfalls substituiert
mit einem Rest ausgewählt
aus der Gruppe bestehend aus NH2, NHMe,
NMe2;
R1.1.2 H,
C1-6-Alkyl;
oder R1.1.1 und
R1.1.2 bilden zusammen einen fünf- oder
sechsgliedrigen heterocyclischen Ring, der gegebenenfalls substituiert
sein kann mit einem Rest ausgewählt
aus der Gruppe bestehend aus Methyl, Ethyl, Propyl;
R3 ein Rest ausgewählt aus der Gruppe bestehend
aus worin
X
Bindung oder C1-4-alkylen;
R3a ein Rest, gleich oder verschieden, ausgewählt aus
der Gruppe bestehend aus R3.1, R3.2 Und R3.3;
R3.1 Spiro oder Het, wobei Het gegebenenfalls
substituiert mit einem oder mehreren R3.1.1 sein
kann;
R3.1.1 C1-6-Alkyl,
C2-6-Alkenyl, OH, C1-4-Alkylen-OH,
C1-4-Alkylen-NRR3.1.1.1R3.1.1.2, COR3.1.1.1,
COOR3.1.1.1, CONR3.1.1.1R3.1.1.2, NRR3.1.1.1R3.1.1.2, Het, Hetaryl, NHCOR3.1.1.1
R3.1.1.1 ein Rest ausgewählt aus der Gruppe bestehend
aus H, C1-4-Alkyl, Aryl und C7-11-Aralkyl;
gegebenenfalls substituiert mit einem Rest ausgewählt aus
der Gruppe Halogen, OH und CN;
R3.1.1.2 H,
C1-4-Alkyl;
R3.2 ein
Rest ausgewählt
aus der Gruppe bestehend aus C3-6-Cycloalkyl,
Het, Hetaryl und Spiro der gegebenenfalls substituiert ist mit einem
oder mehreren R3.2.1
R3.2.1 C1-6-Alkyl, C3-6-Cycloalkyl,
OH, NR3.2.1.1R3.2.1.2,
NHCOR3.2.1.3 oder Het, gegebenenfalls substituiert
mit einem oder mehreren Resten ausgewählt aus der Gruppe bestehend
aus C1-4-Alkyl, SO2R3.2.1.1, CH2-C3-6-Cycloalkyl und Aryl;
R3.2.1.1 H,
C1-4-Alkyl oder C7-11-
Aralkyl;
R3.2.1.2 H, C1-4-Alkyl
oder C7-11- Aralkyl;
R3.2.1.2 Aryl,
C7-11-Aralkyl; oder
C1-6-alkyl,
das gegebenenfalls substituiert ist mit einem oder zwei R3.2.2;
R3.2.2 C1-6-Alkyl, C2-6-Alkenyl,
C2-6-Alkinyl, COOR3.2.2.1,
CONR3.2.2.1R3.2.2.2,
NR3.2.2.1R3.2.2.2,
NHCOR3.2.2.1, C1-6-Haloalkyl,
CN, OR3.2.2.1, SO2R3.2.2.1, C3-6-Cycloalkyl,
CO-Het, C2-4-Alkinyl-Hetaryl, Guanidin oder
ein Rest ausgewählt aus
der Gruppe bestehend aus Het, Hetaryl und Aryl, der gegebenenfalls
substituiert ist mit einem oder mehreren Resten ausgewählt aus
der Gruppe Halogen, C1-6-Alkyl, CONR3.2.2.1R3.2.2.2,
OH, Imidazolidinon;
R3.2.2.1 H oder
C1-6-Alkyl, Aryl, C7-11-Aralkyl
R3.2.2.2. H oder C1-6-Alkyl;
oder
Aryl, das gegebenenfalls substituiert ist mit einem oder
zwei R3.2.3
R3.2.3 ein
Rest ausgewählt
aus der Gruppe bestehend aus NH-C1-6-alkyl-N(C1-6-alkyl)2 oder Het, wobei Het gegebenenfalls substituiert
mit einem Rest C1-6-Alkyl sein kann;
R3.3 H oder ein Rest ausgewählt aus
der Gruppe bestehend aus C1-6-Alkyl, C2-6-Alkenyl, C2-6-Alkinyl,
C1-6-Haloalkyl und Aryl, der gegebenenfalls
substituiert sein kann mit einem oder mehreren Resten R3.3.1;
R3.3.1 C3-6-Cycloalkyl,
C3-6-Cycloalkenyl, OR3.3.1.1,
NR3.3.1.1R3.3.1.2,
CONR3.3.1.1R3.3.1.2,
COOR3.3.1.1, NR3.3.1.1COR3.3.1.2, SOR3.3.1.1,
SO2R3.3.1.1, C(NR3.3.1.1R3.3.1.2)NR3.3.1.3, NR3.3.1.1CONR3.3.1.2R3.3.1.3,
OH, CN, Halogen oder Het, gegebenenfalls substituiert mit einem
oder mehreren Resten ausgewählt
aus der Gruppe bestehend aus C1-4-Alkyl, SO2H, SO2-C1-4-Alkyl, SO2C7-11-Aralkyl, CH2-C3-6-Cycloalkyl und Aryl;
R3.3.1.1,
R3.3.1.2 und R3.3.1.3 ein
Rest ausgewählt
aus der Gruppe bestehend aus C1-6-Alkyl,
C2-6-Alkenyl, C2-6-Alkinyl,
C7-11-Aralkyl, C2-4-Alkenyl-Aryl,
C2-4-Alkinyl-Aryl, C1-4-Alkyl-Hetaryl, C2-4-Alkenyl-Hetaryl, C2-4-Alkinyl-Hetaryl, COC1-4-Alkyl-Hetaryl, COC2-4-Alkenyl-Hetaryl,
COC2-4-Alkinyl-Hetaryl, oder
zwei der
Gruppen R3.3.1.1, R3.3.1.2 und
R3.3.1.3 bilden gemeinsam einen Ring, bestehend
aus Kohlenstoffatomen und gegebenenfalls einem Heteroatom ausgewählt aus
der Gruppe bestehend aus Sauerstoff, Stickstoff und Schwefel;
Ra H, C1-6-Alkyl,
C2-6-Alkenyl, C3-8-Cycloalkyl,
C3-8-Cycloalkenyl, C1-6-Haloalkyl,
COR8, NR9R10, NO2, OR8, SR11, SOR11, SO2R11,
NHCO-C1-6-Alkyl-NH2,
Spiro oder ein Rest ausgewählt
aus der Gruppe bestehend aus C7-11- Aralkyl,
CH2-O-Aryl und Het der gegebenenfalls substituiert
sein kann mit einem oder mehreren Halogen, C1-6-Alkyl,
CO-C1-4-Haloalkyl, C1-4-Alkyl-NH2 oder CH2NHCOOR12;
R8 C1-6-Alkyl, C3-6-Cycloalkyl,
NH2, Hetaryl oder Aryl, gegebenenfalls substituiert
mit einem oder mehreren Halogen oder C1-4-Alkyl;
R9 H, COOR12, CONR12 oder C1-6-Alkyl,
gegebenenfalls substituiert mit einem oder mehreren COOH, N(C1-6-Alkyl)2 oder
Het, gegebenenfalls substituiert mit einem oder mehreren C1-6-Alkyl; oder R9 bedeutet
Het, gegebenenfalls substituiert mit einem oder mehreren C1-4-Alkyl;
R10 H,
C1-6-Alkyl, CO-C1-6-Alkyl
oder C2-6-Alkinyl;
R11 C1-6-Alkyl, gegebenenfalls substituiert mit
einem oder mehreren N(C1-4-Alkyl)2;
R12 H, C1-6-Alkyl;
bedeuten, sowie pharmakologisch
verträgliche
Salz, Diastereomere, Enantiomere, Racemate, Hydrate oder Solvate
davon, mit der Maßgabe,
dass Ra nicht H oder Me sein kann, wenn
Y = Stickstoff; Z = Stickstoff; j = 2; k = 0; Rb =
H und Rc = NHCONH-Et bedeutet.Preference is given to the abovementioned compounds of the formula 1; wherein
R a is a radical selected from the group consisting of aryl, C 7-11 aralkyl and hetaryl, which may optionally be substituted by one or more radicals selected from the group consisting of R 1 , R 2 and R 3 ;
R 1 and R 2 are independently C 1-6 alkyl, C 2-6 alkenyl C 2-6 alkynyl, C 3-6 cycloalkyl, C 3-6 cycloalkenyl, C 1-6 haloalkyl, C 1 -6- alkylene-COOH, C 1-6 -alkoxy, halogen, OH, CN, COR 1.1 , OC 1-4 -haloalkyl, NO 2 or SR 1.1 , SOR 1.1 , SO 2 R 1.1 , het or hetaryl,
R 1.1 OH, C 1-6 -alkyl, C 2-6 -alkenyl C 2-6 -alkynyl, NR 1.1.1 R 1.1.2
R 1.1.1 is H, C 1-6 -alkyl, optionally substituted by a radical selected from the group consisting of NH 2 , NHMe, NMe 2 ;
R 1.1.2 H, C 1-6 -alkyl;
or R 1.1.1 and R 1.1.2 together form a five- or six-membered heterocyclic ring which may optionally be substituted by a radical selected from the group consisting of methyl, ethyl, propyl;
R 3 is a radical selected from the group consisting of wherein
X bond or C 1-4 alkylene;
R 3a is a radical, identical or different, selected from the group consisting of R 3.1 , R 3.2 and R 3.3 ;
R 3.1 is spiro or het, where Het may be optionally substituted with one or more R 3.1.1 ;
R 3.1.1 C 1-6 -alkyl, C 2-6 -alkenyl, OH, C 1-4 -alkylene-OH, C 1-4 -alkylene-NRR 3.1.1.1 R 3.1.1.2 , COR 3.1.1.1 , COOR 3.1.1.1 , CONR 3.1.1.1 R 3.1.1.2 , NRR 3.1.1.1 R 3.1.1.2 , Het, hetaryl, NHCOR 3.1.1.1
R 3.1.1.1 is a radical selected from the group consisting of H, C 1-4 -alkyl, aryl and C 7-11 -aralkyl; optionally substituted with a radical selected from the group consisting of halogen, OH and CN;
R 3.1.1.2 H, C 1-4 alkyl;
R 3.2 is a radical selected from the group consisting of C 3-6 -cycloalkyl, het, hetaryl and spiro which is optionally substituted by one or more R 3.2.1
R 3.2.1 C 1-6 -alkyl, C 3-6 -cycloalkyl, OH, NR 3.2.1.1 R 3.2.1.2 , NHCOR 3.2.1.3 or Het, optionally substituted by one or more radicals selected from the group consisting of C 1-4 -alkyl, SO 2 R 3.2.1.1 , CH 2 -C 3-6 -cycloalkyl and aryl;
R 3.2.1.1 H, C 1-4 alkyl or C 7-11 aralkyl;
R 3.2.1.2 H, C 1-4 alkyl or C 7-11 aralkyl;
R 3.2.1.2 aryl, C 7-11 aralkyl; or
C 1-6 alkyl optionally substituted with one or two R 3.2.2 ;
R 3.2.2 C 1-6 -alkyl, C 2-6 -alkenyl, C 2-6 -alkynyl, COOR 3.2.2.1 , CONR 3.2.2.1 R 3.2.2.2 , NR 3.2.2.1 R 3.2.2.2 , NHCOR 3.2 .2.1 , C 1-6 -haloalkyl, CN, OR 3.2.2.1 , SO 2 R 3.2.2.1 , C 3-6 -cycloalkyl, CO-Het, C 2-4 -alkynyl-hetaryl, guanidine or a radical selected from the group consisting of het, hetaryl and aryl which is optionally substituted by one or more radicals selected from the group consisting of halogen, C 1-6 -alkyl, CONR 3.2.2.1 R 3.2.2.2 , OH, imidazolidinone;
R 3.2.2.1 H or C 1-6 alkyl, aryl, C 7-11 aralkyl
R 3.2.2.2. H or C 1-6 alkyl; or
Aryl which is optionally substituted by one or two R 3.2.3
R 3.2.3 is a radical selected from the group consisting of NH-C 1-6 -alkyl-N (C 1-6 -alkyl) 2 or Het, wherein Het may optionally be substituted by a radical C 1-6 -alkyl;
R 3 is H or a radical selected from the group consisting of C 1-6 -alkyl, C 2-6 -alkenyl, C 2-6 -alkynyl, C 1-6 -haloalkyl and aryl which may be optionally substituted with one or more several residues R 3.3.1 ;
R 3.3.1 C 3-6 -cycloalkyl, C 3-6 -cycloalkenyl, OR 3.3.1.1 , NR 3.3.1.1 R 3.3.1.2 , CONR 3.3.1.1 R 3.3.1.2 , COOR 3.3.1.1 , NR 3.3.1.1 COR 3.3.1.2 , SOR 3.3.1.1 , SO 2 R 3.3.1.1 , C (NR 3.3.1.1 R 3.3.1.2 ) NR 3.3.1.3 , NR 3.3.1.1 CONR 3.3.1.2 R 3.3.1.3 , OH, CN, Halogen or het optionally substituted with one or more radicals selected from the group consisting of C 1-4 alkyl, SO 2 H, SO 2 C 1-4 alkyl, SO 2 C 7-11 aralkyl, CH 2 - C 3-6 cycloalkyl and aryl;
R 3.3.1.1 , R 3.3.1.2 and R 3.3.1.3 is a radical selected from the group consisting of C 1-6 -alkyl, C 2-6 -alkenyl, C 2-6 -alkynyl, C 7-11 -aralkyl, C 2-4 -alkenyl-aryl, C 2-4 -alkynyl-aryl, C 1-4 -alkyl-hetaryl, C 2-4 -alkenyl-hetaryl, C 2-4 -alkynyl-hetaryl, COC 1-4 Alkyl hetaryl, COC 2-4 alkenyl hetaryl, COC 2-4 alkynyl hetaryl, or
two of the groups R 3.3.1.1 , R 3.3.1.2 and R 3.3.1.3 together form a ring consisting of carbon atoms and optionally a heteroatom selected from the group consisting of oxygen, nitrogen and sulfur;
R a is H, C 1-6 alkyl, C 2-6 alkenyl, C 3-8 cycloalkyl, C 3-8 cycloalkenyl, C 1-6 haloalkyl, COR 8 , NR 9 R 10 , NO 2 , OR 8 , SR 11 , SOR 11 , SO 2 R 11 , NHCO-C 1-6 -alkyl-NH 2 , spiro or a radical selected from the group consisting of C 7-11 -aralkyl, CH 2 -O-aryl and Het which may optionally be substituted with one or more halo, C 1-6 alkyl, CO-C 1-4 haloalkyl, C 1-4 alkyl-NH 2 or CH 2 NHCOOR 12 ;
R 8 is C 1-6 alkyl, C 3-6 cycloalkyl, NH 2 , hetaryl or aryl optionally substituted with one or more halo or C 1-4 alkyl;
R 9 is H, COOR 12 , CONR 12 or C 1-6 alkyl optionally substituted with one or more COOH, N (C 1-6 alkyl) 2 or Het optionally substituted with one or more C 1-6 alkyl ; or R 9 is het optionally substituted with one or more C 1-4 alkyl;
R 10 is H, C 1-6 -alkyl, CO-C 1-6 -alkyl or C 2-6 -alkynyl;
R 11 is C 1-6 alkyl optionally substituted with one or more N (C 1-4 alkyl) 2 ;
R 12 is H, C 1-6 -alkyl;
as well as pharmacologically acceptable salt, diastereomers, enantiomers, racemates, hydrates or solvates thereof, with the proviso that R a can not be H or Me when Y = nitrogen; Z = nitrogen; j = 2; k = 0; R b = H and R c = NHCONH-Et.
Bevorzugt
sind die oben genannten Verbindungen der Formel 1; worin
Ra ein Rest ausgewählt aus der Gruppe bestehend
aus Aryl, C7-11-Aralkyl und Hetaryl, der
gegebenenfalls substituiert durch einen oder mehrere Reste ausgewählt aus
der Gruppe bestehend aus R1, R2 und
R3 sein kann;
R1 und
R2 unabhängig
voneinander C1-6-Alkyl, C2-6-Alkenyl
C2-6-Alkinyl, C3-6-Cycloalkyl,
C3-6-Cycloalkenyl, C1-6-Haloalkyl,
C1-6-Alkylen-COOH, C1-6-Alkoxy,
Halogen, OH, CN, COR1.1, O-C1-4-Haloalkyl,
NO2 oder SR1.1, SOR1.1, SO2R1.1, Het oder Hetaryl,
R1.1 OH,
C1-6-Alkyl, C2-6-Alkenyl
C2-6-Alkinyl, NR1.1.1R1.1.2
R1.1.1 H,
C1-6-Alkyl, gegebenenfalls substituiert
mit einem Rest ausgewählt
aus der Gruppe bestehend aus NH2, NHMe,
NMe2;
R1.1.2 H,
C1-6-Alkyl;
oder R1.1.1 und
R1.1.2 bilden zusammen einen fünf- oder
sechsgliedrigen heterocyclischen Ring, der gegebenenfalls substituiert
sein kann mit einem Rest ausgewählt
aus der Gruppe bestehend aus Methyl, Ethyl, Propyl;
R3 ein Rest ausgewählt aus der Gruppe bestehend
aus worin
X
Bindung oder C1-4-akylen;
R3a ein Rest, gleich oder verschieden, ausgewählt aus
der Gruppe bestehend aus R3.1, R3.2 und R3.3;
R3.1 Spiro oder Het, wobei Het gegebenenfalls
substituiert mit einem oder mehreren R3.1.1 sein
kann;
R3.1.1 C1-6-Alkyl,
C2-6-Alkenyl, OH, C1-4-Alkylen-OH,
C1-4-Alkylen-NR3.1.1.1R3.1.1.2, COR3.1.1.1,
COOR3.1.1.1, CONR3.1.1.1R3.1.1.2, NR3.1.1.1R3.1.1.2, Het, Hetaryl, NHCOR3.1.1.1,
R3.1.1.1 ein Rest ausgewählt aus der Gruppe bestehend
aus H, C1-4-Alkyl, Aryl und C7-11-Aralkyl;
gegebenenfalls substituiert mit einem Rest ausgewählt aus
der Gruppe Halogen, OH und CN;
R3.1.1.2 H,
C1-4-Alkyl;
R3.2 ein
Rest ausgewählt
aus der Gruppe bestehend aus C3-6-Cycloalkyl,
Het, Hetaryl und Spiro der gegebenenfalls substituiert ist mit einem
oder mehreren R3.2.1
R3.2.1 C1-6-Alkyl, C3-6-Cycloalkyl,
OH, -NR3.2.1.1R3.2.1.2,
NHCOR3.2.1.3 oder Het, gegebenenfalls substituiert
mit einem oder mehreren Resten ausgewählt aus der Gruppe bestehend
aus C1-4-Alkyl, SO2R3.2.1.1, CH2-C3-6-Cycloalkyl und Aryl;
R3.2.1.1 H,
C1-4-Alkyl oder C7-11-
Aralkyl;
R3.2.1.2 H, C1-4-Alkyl
oder C7-11- Aralkyl;
R3.2.1.2 Aryl,
C7-11-Aralkyl; oder
-C1-6-alkyl,
das gegebenenfalls substituiert ist mit einem oder zwei R3.2.2;
R3.2.2 C1-6-Alkyl, C2-6-Alkenyl,
C2-6-Alkinyl, COOR3.2.2.1,
CONR3.2.2.1R3.2.2.2,
NR3.2.2.1R3.2.2.2,
NHCOR3.2.2.1, C1-6-Haloalkyl,
CN, OR3.2.2.1, SO2R3.2.2.1, C3-6-Cycloalkyl,
CO-Het, C2-4-Alkinyl-Hetaryl, Guanidin oder
ein Rest ausgewählt aus
der Gruppe bestehend aus Het, Hetaryl und Aryl, der gegebenenfalls
substituiert ist mit einem oder mehreren Resten ausgewählt aus
der Gruppe Halogen, C1-6-Alkyl, CONR3.2.2.1R3.2.2.2,
OH, Imidazolidinon;
R3.2.2.1 H oder
C1-6-Alkyl, Aryl, C7-11-Aralkyl
R3.2.2.2. H oder C1-6-Alkyl;
oder
Aryl, das gegebenenfalls substituiert ist mit einem oder
zwei R3.2.3
R3.2.3 ein
Rest ausgewählt
aus der Gruppe bestehend aus NH-C1-6-alkyl-N(C1-6-alkyl)2 oder Het, wobei Het gegebenenfalls substituiert
mit einem Rest C1-6-Alkyl sein kann;
R3.3 H oder ein Rest ausgewählt aus
der Gruppe bestehend aus C1-6-Alkyl, C2-4-Alkenyl, C2-4-Alkinyl,
C1-4-Haloalkyl und Aryl, der gegebenenfalls
substituiert sein kann mit einem oder mehreren Resten R3.3.1;
R3.3.1 C5-6-Cycloalkyl,
C5-6-Cycloalkenyl, OR3.3.1.1,
NR3.3.1.1R3.3.1.2,
CONR3.3.1.1R3.3.1.2,
COOR3.3.1.1, NR3.3.1.1COR3.3.1.2, SOR3.3.1.1,
SO2R3.3.1.1, C(NR3.3.1.1R3.3.1.2)NR3.3.1.2, NR3.3.1.1CONR3.3.1.2R3.3.1.3,
OH, CN, Halogen oder Het, gegebenenfalls substituiert mit einem
oder mehreren Resten ausgewählt
aus der Gruppe bestehend aus C1-4-Alkyl, SO2H, SO2-C1-4-Alkyl, SO2C7-11-Aralkyl, CH2-C3-6-Cycloalkyl und Aryl;
R3.3.1.1,
R3.3.1.2 und R3.3.1.3 ein
Rest ausgewählt
aus der Gruppe bestehend aus C1-4-Alkyl,
C2-4-Alkenyl, C2-4-Alkinyl,
C7-11-Aralkyl, C2-4-Alkenyl-Aryl,
C2-4-Alkinyl-Aryl, C1-4-Alkyl-Hetaryl, C2-4-Alkenyl-Hetaryl, C2-4-Alkinyl-Hetaryl,
COC1-4-Alkyl-Hetaryl, COC2-4-Alkenyl-Hetaryl,
COC2-4-Alkinyl-Hetaryl; oder
zwei der
Gruppen R3.3.1.1, R3.3.1.2 und
R3.3.1.3 bilden gemeinsam einen fünf-, sechs
oder siebengliedrigen Ring, bestehend aus Kohlenstoffatomen und
gegebenenfalls einem Heteroatom ausgewählt aus der Gruppe bestehend
aus Sauerstoff, Stickstoff und Schwefel;
Ra H,
C1-6-Alkyl, C2-6-Alkenyl,
C3-8-Cycloalkyl, C3-8-Cycloalkenyl,
C1-6-Haloalkyl, COR8,
NR9R10, NO2, OR8, SR11, SOR11, SO2R11, NHCO-C1-6-Alkyl-NH2, Spiro
oder ein Rest ausgewählt
aus der Gruppe bestehend aus C7-11- Aralkyl,
CH2-O-Aryl und Het der gegebenenfalls substituiert
sein kann mit einem oder mehreren Halogen, C1-6-Alkyl,
CO-C1-4-Haloalkyl, C1-4-Alkyl-NH2 oder CH2NHCOOR12;
R8 C1-6-Alkyl, C3-6-Cycloalkyl,
NH2, Hetaryl oder Aryl, gegebenenfalls substituiert
mit einem oder mehreren Halogen oder C1-4-Alkyl;
R9 H, COOR12 oder
C1-4-Alkyl, gegebenenfalls substituiert
mit einem oder mehreren COOH, N(C1-4-Alkyl)2 oder Het, gegebenenfalls substituiert mit
einem oder mehreren C1-4-Alkyl; oder R9 bedeutet Het, gegebenenfalls substituiert
mit einem oder mehreren C1-4-Alkyl;
R10 H, C1-6-Alkyl,
CO-C1-4-Alkyl oder C2-6-Alkinyl;
R11 C1-6-Alkyl, gegebenenfalls
substituiert mit einem oder mehreren N(C1-4-Alkyl)2;
R12 C1-6-Alkyl;
Rb R4, OR4, -CH2OR4, COR4, COOR4, CONR4R5, NR4R5, NR5COR4, NR5COOR4, NR5CONR4R5, NR5SOR4 oder NR5SO2R4;
R4 H, C1-6-Alkyl,
C1-6-Haloalkyl, C1-6-Alkylen-OH,
C2-6-Alkenyl, C7-11-Aralkyl,
C2-4-Alkenyl-Aryl, C2-4-Alkinyl-Aryl, C1-4-Alkyl-Hetaryl, C2-4-Alkenyl-Hetaryl,
C2-4-Alkinyl-Hetaryl, C2-6-Alkinyl,
gegebenenfalls substituiert mit Si(C1-4-Alkyl)3, oder R4 bedeutet
ein Rest ausgewählt
aus der Gruppe bestehend aus Aryl, Het, Hetaryl und gegebenenfalls
substituiert mit C1-4-Alkyl;
R5 H oder C1-6-Alkyl;
oder R4 und R5 bilden
gemeinsam einen fünf-,
sechs- oder siebengliedrigen Ring bestehend aus Kohlenstoffatomen
und gegebenenfalls einem Heteroatom ausgewählt aus der Gruppe bestehend aus
Sauerstoff, Stickstoff und Schwefel;
Rc NHR6 oder ein Rest ausgewählt aus der Gruppe bestehend
aus worin
B Bindung, C1-4-Alkyl oder C2-4-Alkinyl;
R6 H oder ein Rest ausgewählt aus der Gruppe C1-4-Alkyl, C2-4-Alkenyl,
C2-4-Alkinyl, C3-6-Cycloalkyl,
C3-6-Cycloalkenyl, Het, Aryl, Hetaryl gegebenenfalls
substituiert mit einem oder mehreren Resten R6.1;
R6.1 Halogen, CF3,
OH, CN, OMe, SO2(C1-4-Alkyl);
R7 H, C1-4-Alkyl,
C2-4-Alkenyl, C2-4-Alkinyl,
C3-6-Cycloalkyl, NR7.1R7.2, OR7.2, SR7.2, Hetaryl, Het, gegebenenfalls substituiert
mit C1-4-Alkyl oder CONH2;
R7.1 H, C1-4-Alkyl,
(CH2)2-4R7.1.1 oder COOButyl;
R7.2 H,
C1-6-Alkyl, gegebenenfalls substituiert
mit einem oder mehreren OH;
R7.1.1 NR7.1.1.1R7.1.1.2,
Het oder 1-Imidazolyl, 2-(N-Ethylpyrollidin);
R7.1.1.1 H
oder C1-6-Alkyl;
R7.1.1.2 H
oder C1-6-Alkyl;
bedeuten, sowie pharmakologisch
verträgliche
Salz, Diastereomere, Enantiomere, Racemate, Hydrate oder Solvate
davon, mit der Maßgabe,
dass Ra nicht H oder Me sein kann, wenn
Y = Stickstoff; Z = Stickstoff; j = 2; k = 0; Rb =
H und Rc = NHCONH-Et bedeutet.Preference is given to the abovementioned compounds of the formula 1; wherein
R a is a radical selected from the group consisting of aryl, C 7-11 aralkyl and hetaryl, which may optionally be substituted by one or more radicals selected from the group consisting of R 1 , R 2 and R 3 ;
R 1 and R 2 are independently C 1-6 alkyl, C 2-6 alkenyl C 2-6 alkynyl, C 3-6 cycloalkyl, C 3-6 cycloalkenyl, C 1-6 haloalkyl, C 1 -6- alkylene-COOH, C 1-6 -alkoxy, halogen, OH, CN, COR 1.1 , OC 1-4 -haloalkyl, NO 2 or SR 1.1 , SOR 1.1 , SO 2 R 1.1 , het or hetaryl,
R 1.1 OH, C 1-6 -alkyl, C 2-6 -alkenyl C 2-6 -alkynyl, NR 1.1.1 R 1.1.2
R 1.1.1 is H, C 1-6 -alkyl, optionally substituted by a radical selected from the group consisting of NH 2 , NHMe, NMe 2 ;
R 1.1.2 H, C 1-6 -alkyl;
or R 1.1.1 and R 1.1.2 together form a five- or six-membered heterocyclic ring which may optionally be substituted by a radical selected from the group consisting of methyl, ethyl, propyl;
R 3 is a radical selected from the group consisting of wherein
X bond or C 1-4 alkylene;
R 3a is a radical, identical or different, selected from the group consisting of R 3.1 , R 3.2 and R 3.3 ;
R 3.1 is spiro or het, where Het may be optionally substituted with one or more R 3.1.1 ;
R 3.1.1 C 1-6 -alkyl, C 2-6 -alkenyl, OH, C 1-4 -alkylene-OH, C 1-4 -alkylene-NR 3.1.1.1 R 3.1.1.2 , COR 3.1.1.1 , COOR 3.1.1.1 , CONR 3.1.1.1 R 3.1.1.2 , NR 3.1.1.1 R 3.1.1.2 , Het, hetaryl, NHCOR 3.1.1.1 ,
R 3.1.1.1 is a radical selected from the group consisting of H, C 1-4 -alkyl, aryl and C 7-11 -aralkyl; optionally substituted with a radical selected from the group consisting of halogen, OH and CN;
R 3.1.1.2 H, C 1-4 alkyl;
R 3.2 is a radical selected from the group consisting of C 3-6 -cycloalkyl, het, hetaryl and spiro which is optionally substituted by one or more R 3.2.1
R 3.2.1 C 1-6 -alkyl, C 3-6 -cycloalkyl, OH, -NR 3.2.1.1 R 3.2.1.2 , NHCOR 3.2.1.3 or Het, optionally substituted by one or more radicals selected from the group consisting of C 1-4 alkyl, SO 2 R 3.2.1.1 , CH 2 -C 3-6 cycloalkyl and aryl;
R 3.2.1.1 H, C 1-4 alkyl or C 7-11 aralkyl;
R 3.2.1.2 H, C 1-4 alkyl or C 7-11 aralkyl;
R 3.2.1.2 aryl, C 7-11 aralkyl; or
C 1-6 alkyl optionally substituted with one or two R 3.2.2 ;
R 3.2.2 C 1-6 -alkyl, C 2-6 -alkenyl, C 2-6 -alkynyl, COOR 3.2.2.1 , CONR 3.2.2.1 R 3.2.2.2 , NR 3.2.2.1 R 3.2.2.2 , NHCOR 3.2 .2.1 , C 1-6 -haloalkyl, CN, OR 3.2.2.1 , SO 2 R 3.2.2.1 , C 3-6 -cycloalkyl, CO-Het, C 2-4 -alkynyl-hetaryl, guanidine or a radical selected from the group consisting of het, hetaryl and aryl which is optionally substituted by one or more radicals selected from the group consisting of halogen, C 1-6 -alkyl, CONR 3.2.2.1 R 3.2.2.2 , OH, imidazolidinone;
R 3.2.2.1 H or C 1-6 alkyl, aryl, C 7-11 aralkyl
R 3.2.2.2. H or C 1-6 alkyl; or
Aryl which is optionally substituted by one or two R 3.2.3
R 3.2.3 is a radical selected from the group consisting of NH-C 1-6 -alkyl-N (C 1-6 -alkyl) 2 or Het, wherein Het may optionally be substituted by a radical C 1-6 -alkyl;
R 3.3 is H or a radical selected from the group consisting of C 1-6 -alkyl, C 2-4 -alkenyl, C 2-4 -alkynyl, C 1-4 -haloalkyl and aryl which may be optionally substituted with one or more several residues R 3.3.1 ;
R 3.3.1 C 5-6 -cycloalkyl, C 5-6 -cycloalkenyl, OR 3.3.1.1 , NR 3.3.1.1 R 3.3.1.2 , CONR 3.3.1.1 R 3.3.1.2 , COOR 3.3.1.1 , NR 3.3.1.1 COR 3.3.1.2 , SOR 3.3.1.1 , SO 2 R 3.3.1.1 , C (NR 3.3.1.1 R 3.3.1.2 ) NR 3.3.1.2 , NR 3.3.1.1 CONR 3.3.1.2 R 3.3.1.3 , OH, CN, Halogen or het optionally substituted with one or more radicals selected from the group consisting of C 1-4 alkyl, SO 2 H, SO 2 C 1-4 alkyl, SO 2 C 7-11 aralkyl, CH 2 - C 3-6 cycloalkyl and aryl;
R 3.3.1.1 , R 3.3.1.2 and R 3.3.1.3 is a radical selected from the group consisting of C 1-4 -alkyl, C 2-4 -alkenyl, C 2-4 -alkynyl, C 7-11 -aralkyl, C 2-4 -alkenyl-aryl, C 2-4 -alkynyl-aryl, C 1-4 -alkyl-hetaryl, C 2-4 -alkenyl-hetaryl, C 2-4 -alkynyl-hetaryl, COC 1-4 Alkyl hetaryl, COC 2-4 alkenyl hetaryl, COC 2-4 alkynyl hetaryl; or
two of the groups R 3.3.1.1 , R 3.3.1.2 and R 3.3.1.3 together form a five, six or seven membered ring consisting of carbon atoms and optionally a heteroatom selected from the group consisting of oxygen, nitrogen and sulfur;
R a is H, C 1-6 alkyl, C 2-6 alkenyl, C 3-8 cycloalkyl, C 3-8 cycloalkenyl, C 1-6 haloalkyl, COR 8 , NR 9 R 10 , NO 2 , OR 8 , SR 11 , SOR 11 , SO 2 R 11 , NHCO-C 1-6 -alkyl-NH 2 , spiro or a radical selected from the group consisting of C 7-11 -aralkyl, CH 2 -O-aryl and Het which may optionally be substituted with one or more halo, C 1-6 alkyl, CO-C 1-4 haloalkyl, C 1-4 alkyl-NH 2 or CH 2 NHCOOR 12 ;
R 8 is C 1-6 alkyl, C 3-6 cycloalkyl, NH 2 , hetaryl or aryl optionally substituted with one or more halo or C 1-4 alkyl;
R 9 is H, COOR 12 or C 1-4 alkyl optionally substituted with one or more COOH, N (C 1-4 alkyl) 2 or Het optionally substituted with one or more C 1-4 alkyl; or R 9 is het optionally substituted with one or more C 1-4 alkyl;
R 10 is H, C 1-6 -alkyl, CO-C 1-4 -alkyl or C 2-6 -alkynyl;
R 11 is C 1-6 alkyl optionally substituted with one or more N (C 1-4 alkyl) 2 ;
R 12 is C 1-6 alkyl;
R b R 4 , OR 4 , -CH 2 OR 4 , COR 4 , COOR 4 , CONR 4 R 5 , NR 4 R 5 , NR 5 COR 4 , NR 5 COOR 4 , NR 5 CONR 4 R 5 , NR 5 SOR 4 or NR 5 SO 2 R 4 ;
R 4 is H, C 1-6 -alkyl, C 1-6 -haloalkyl, C 1-6 -alkylene-OH, C 2-6 -alkenyl, C 7-11 -aralkyl, C 2-4 -alkenyl-aryl, C 2-4 -alkynyl-aryl, C 1-4 -alkyl-hetaryl, C 2-4 -alkenyl-hetaryl, C 2-4 -alkynyl-hetaryl, C 2-6 -alkynyl, optionally substituted by Si (C 1 -4- alkyl) 3 , or R 4 represents a radical selected from the group consisting of aryl, het, hetaryl and optionally substituted by C 1-4 alkyl;
R 5 is H or C 1-6 alkyl; or R 4 and R 5 together form a five, six or seven membered ring consisting of carbon atoms and optionally a heteroatom selected from the group consisting of oxygen, nitrogen and sulfur;
R c NHR 6 or a radical selected from the group consisting of wherein
B bond, C 1-4 alkyl or C 2-4 alkynyl;
R 6 is H or a radical selected from the group consisting of C 1-4 -alkyl, C 2-4 -alkenyl, C 2-4 -alkynyl, C 3-6 -cycloalkyl, C 3-6 -cycloalkenyl, het, aryl, hetaryl optionally substituted with one or more R 6.1 radicals;
R 6.1 halogen, CF 3 , OH, CN, OMe, SO 2 (C 1-4 alkyl);
R 7 is H, C 1-4 -alkyl, C 2-4 -alkenyl, C 2-4 -alkynyl, C 3-6 -cycloalkyl, NR 7.1 R 7.2 , OR 7.2 , SR 7.2 , hetaryl, het, optionally substituted with C 1-4 alkyl or CONH 2 ;
R is 7.1 H, C 1-4 alkyl, (CH 2 ) 2-4 R 7.1.1 or COOButyl;
R 7.2 is H, C 1-6 -alkyl, optionally substituted with one or more OH;
R 7.1.1 NR 7.1.1.1 R 7.1.1.2 , Het or 1-imidazolyl, 2- (N-ethylpyrollidine);
R 7.1.1.1 H or C 1-6 alkyl;
R 7.1.1.2 H or C 1-6 alkyl;
as well as pharmacologically acceptable salt, diastereomers, enantiomers, racemates, hydrates or solvates thereof, with the proviso that R a can not be H or Me when Y = nitrogen; Z = nitrogen; j = 2; k = 0; R b = H and R c = NHCONH-Et.
Bevorzugt
sind die oben genannten Verbindungen der Formel 1; worin
Ra ein Rest ausgewählt aus der Gruppe bestehend
aus Aryl, C7-11-Aralkyl und Hetaryl, der
gegebenenfalls substituiert durch einen oder mehrere Reste ausgewählt aus
der Gruppe bestehend aus R1, R2 und
R3 sein kann;
R1 und
R2 unabhängig
voneinander C1-6-Alkyl, C2-6-Alkenyl
C2-6-Alkinyl, C3-6-Cycloalkyl,
C3-6-Cycloalkenyl, C1-6-Haloalkyl,
C1-6-Alkylen-COOH, C1-6-Alkoxy,
Halogen, OH, CN, COR1.1, O-C1-4-Haloalkyl,
NO2 oder SR1.1, SOR1.1, SO2R1.1, Het oder Hetaryl,
R1.1 OH,
C1-6-Alkyl, C2-6-Alkenyl
C2-6-Alkinyl, NR1.1.1R1.1.2
R1.1.1 H,
C1-6-Alkyl, gegebenenfalls substituiert
mit einem Rest ausgewählt
aus der Gruppe bestehend aus NH2, NHMe,
NMe2;
R1.1.2 H,
C1-6-Alkyl;
oder R1.1.1 und
R1.1.2 bilden zusammen einen fünf- oder
sechsgliedrigen heterocyclischen Ring, der gegebenenfalls substituiert
sein kann mit einem Rest ausgewählt
aus der Gruppe bestehend aus Methyl, Ethyl, Propyl;
R3 ein Rest ausgewählt aus der Gruppe bestehend
aus worin
X
Bindung oder C1-4-akylen;
R3a ein Rest, gleich oder verschieden, ausgewählt aus
der Gruppe bestehend aus R3.1, R3.2 und R3.3;
R3.1 Spiro oder Het, wobei Het gegebenenfalls
substituiert mit einem oder mehreren R3.1.1 sein
kann;
R3.1.1 C1-6-Alkyl,
C2-6-Alkenyl, OH, C1-4-Alkylen-OH,
C1-4-Alkylen-NR3.1.1.1R3.1.1.2, COR3.1.1.1,
COOR3.1.1.1, CONR3.1.1.1R3.1.1.2, NR3.1.1.1R3.1.1.2, Het, Hetaryl, NHCOR3.1.1.1
R3.1.1.1 ein Rest ausgewählt aus der Gruppe bestehend
aus H, C1-4-Alkyl, Aryl und C7-11-Aralkyl;
gegebenenfalls substituiert mit einem Rest ausgewählt aus
der Gruppe Halogen, OH und CN;
R3.1.1.2 H,
C1-4-Alkyl;
R3.2 ein
Rest ausgewählt
aus der Gruppe bestehend aus C3-6-Cycloalkyl,
Het, Hetaryl und Spiro der gegebenenfalls substituiert ist mit einem
oder mehreren R3.2.1
R3.2.1 C1-6-Alkyl, C3-6-Cycloalkyl,
OH, NR3.2.1.1R3.2.1.2,
NHCOR3.2.1.3 oder Het, gegebenenfalls substituiert
mit einem oder mehreren Resten ausgewählt aus der Gruppe bestehend
aus C1-4-Alkyl, SO2R3.2.1.1, CH2-C3-6-Cycloalkyl und Aryl;
R3.2.1.1 H,
C1-4-Alkyl oder C7-11-
Aralkyl;
R3.2.1.2 H, C1-4-Alkyl
oder C7-11- Aralkyl;
R3.2.1.2 Aryl,
C7-11-Aralkyl; oder
-C1-6-alkyl,
das gegebenenfalls substituiert ist mit einem oder zwei R3.2.2;
R3.2.2 C1-6-Alkyl, C2-6-Alkenyl,
C2-6-Alkinyl, COOR3.2.2.1,
CONR3.2.2.1R3.2.2.2,
NR3.2.2.1R3.2.2.2,
NHCOR3.2.2.1, C1-6-Haloalkyl,
CN, OR3.2.2.1, SO2R3.2.2.1, C3-6-Cycloalkyl,
CO-Het, C2-4-Alkinyl-Hetaryl, Guanidin oder
ein Rest ausgewählt aus
der Gruppe bestehend aus Het, Hetaryl und Aryl, der gegebenenfalls
substituiert ist mit einem oder mehreren Resten ausgewählt aus
der Gruppe Halogen, C1-6-Alkyl, CONR3.2.2.1R3.2.2.2,
OH, Imidazolidinon;
R3.2.2.1 H oder
C1-6-Alkyl, Aryl, C7-11-Aralkyl
R3.2.2.2. H oder C1-6-Alkyl;
oder
Aryl, das gegebenenfalls substituiert ist mit einem oder
zwei R3.2.3
R3.2.3 ein
Rest ausgewählt
aus der Gruppe bestehend aus NH-C1-6-alkyl-N(C1-6-alkyl)2 oder Het, wobei Het gegebenenfalls substituiert
mit einem Rest C1-6-Alkyl sein kann;
R3.3 H oder ein Rest ausgewählt aus
der Gruppe bestehend aus C1-6-Alkyl, C2-4-Alkenyl, C2-4-Alkinyl
und Aryl, der gegebenenfalls substituiert sein kann mit einem oder
mehreren Resten R3.3.1;
R3.3.1 C5-6-Cycloalkyl, C5-6-Cycloalkenyl,
OR3.3.1.1, NR3.3.1.1R3.3.1.2, CONR3.3.1.1R3.3.1.2, COOR3.3.1.1, NR3.3.1.1CORR3.3.1.2,
SORR3.3.1.1, SO2R3.3.1.1, C(NR3.3.1.1R3.3.1.2)NR3.3.1.3,
NR3.3.1.1CONR3.3.1.2R3.3.1.3, OH, CN, Halogen oder Het, gegebenenfalls
substituiert mit einem oder mehreren Resten ausgewählt aus
der Gruppe bestehend aus C1-4-Alkyl, SO2H, SO2-C1-4-Alkyl, SO2C7-11-Aralkyl, CH2-C3-6-Cycloalkyl und Aryl;
R3.3.1.1,
R3.3.1.2 und R3.3.1.3 ein
Rest ausgewählt
aus der Gruppe bestehend aus C1-4-Alkyl,
C7-11-Aralkyl, C1-4-Alkyl-Hetaryl,
COC1-4-Alkyl-Hetaryl; oder
zwei der
Gruppen R3.3.1.1, R3.3.1.2 und
R3.3.1.3 bilden gemeinsam einen fünf-, sechs
oder siebengliedrigen Ring, bestehend aus Kohlenstoffatomen und
gegebenenfalls einem Heteroatom ausgewählt aus der Gruppe bestehend
aus Sauerstoff, Stickstoff und Schwefel;
Ra H,
C1-6-Alkyl, C2-6-Alkenyl,
C3-6-Cycloalkyl, C3-6-Cycloalkenyl,
C1-6-Haloalkyl, COR8,
NR9R10, NO2, OR8, SR11, SOR11, SO2R11, NHCO-C1-6-Alkyl-NH2, Spiro
oder ein Rest ausgewählt
aus der Gruppe bestehend aus C7-11- Aralkyl,
CH2-O-Aryl und Het der gegebenenfalls substituiert
sein kann mit einem oder mehreren Halogen, C1-6-Alkyl,
CO-C1-4-Haloalkyl, C1-4-Alkyl-NH2 oder CH2NHCOOR12;
R8 C1-6-Alkyl, C3-6-Cycloalkyl,
NH2, Hetaryl oder Aryl, gegebenenfalls substituiert
mit einem oder mehreren Halogen oder C1-4-Alkyl;
R9 H, COOR12 oder
C1-4-Alkyl, gegebenenfalls substituiert
mit einem oder mehreren COOH, N(C1-4-Alkyl)2 oder Het, gegebenenfalls substituiert mit
einem oder mehreren C1-4-Alkyl; oder R9 bedeutet Het, gegebenenfalls substituiert
mit einem oder mehreren C1-4-Alkyl;
R10 H, C1-6-Alkyl,
CO-C1-4-Alkyl oder C2-6-Alkinyl;
R11 C1-6-Alkyl, gegebenenfalls
substituiert mit einem oder mehreren N(C1-4-Alkyl)2;
R12 C1-6-Alkyl;
Rb R4, OR4, -CH2OR4, COR4, COOR4, CONR4R5, NH2,
NR5COOR4, NR5CONR4R5 oder
NR5SOR4;
R4 H, C1-6-Alkyl,
C1-6-Haloalkyl, C1-6-Alkylen-OH,
C2-6-Alkenyl, C7-11-Aralkyl,
C1-4-Alkyl-Hetaryl, C2-6-Alkinyl,
gegebenenfalls substituiert mit Si(C1-4-Alkyl)3, oder R4 bedeutet
ein Rest ausgewählt
aus der Gruppe bestehend aus Aryl, Het, Hetaryl und gegebenenfalls
substituiert mit C1-4-Alkyl;
R5 H oder C1-6-Alkyl;
oder
R4 und R5 bilden
gemeinsam einen fünf-,
sechs- oder siebengliedrigen Ring bestehend aus Kohlenstoffatomen
und gegebenenfalls einem Heteroatom ausgewählt aus der Gruppe bestehend
aus Sauerstoff, Stickstoff und Schwefel;
Rc NHR6 oder ein Rest ausgewählt aus der Gruppe bestehend
aus worin
B Bindung, C1-4-Alkyl oder C2-4-Alkinyl;
R6 H oder ein Rest ausgewählt aus der Gruppe C1-4-Alkyl, C3-6-Cycloalkyl,
Het, Aryl, Hetaryl gegebenenfalls substituiert mit einem oder mehreren
Resten R6.1;
R6.1 Halogen,
CF3, OH, CN, OMe, SO2(C1-4-Alkyl);
R7 H,
C1-4-Alkyl, C3-6-Cycloalkyl,
NR7.1R7.2, OR7.2, SR7.2, Hetaryl,
Het, gegebenenfalls substituiert mit C1-4-Alkyl oder
CONH2;
R7.1 H,
C1-4-Alkyl, (CH2)2-4R7.1.1 oder COOButyl;
R7.2 H, C1-6-Alkyl,
gegebenenfalls substituiert mit einem oder mehreren OH;
R7.1.1 NR7.1.1.1R7.1.1.2, Het oder 1-Imidazolyl, 2-(N-Ethylpyrollidin);
R7.1.1.1 H oder C1-6-Alkyl;
R7.1.1.2 H oder C1-6-Alkyl;
bedeuten,
sowie pharmakologisch verträgliche
Salz, Diastereomere, Enantiomere, Racemate, Hydrate oder Solvate
davon, mit der Maßgabe,
dass Ra nicht H oder Me sein kann, wenn
Y = Stickstoff; Z = Stickstoff; j = 2; k = 0; Rb =
H und Rc = NHCONH-Et bedeutet.Preference is given to the abovementioned compounds of the formula 1; wherein
R a is a radical selected from the group consisting of aryl, C 7-11 aralkyl and hetaryl, which may optionally be substituted by one or more radicals selected from the group consisting of R 1 , R 2 and R 3 ;
R 1 and R 2 are independently C 1-6 alkyl, C 2-6 alkenyl C 2-6 alkynyl, C 3-6 cycloalkyl, C 3-6 cycloalkenyl, C 1-6 haloalkyl, C 1 -6- alkylene-COOH, C 1-6 -alkoxy, halogen, OH, CN, COR 1.1 , OC 1-4 -haloalkyl, NO 2 or SR 1.1 , SOR 1.1 , SO 2 R 1.1 , het or hetaryl,
R 1.1 OH, C 1-6 -alkyl, C 2-6 -alkenyl C 2-6 -alkynyl, NR 1.1.1 R 1.1.2
R 1.1.1 is H, C 1-6 -alkyl, optionally substituted by a radical selected from the group consisting of NH 2 , NHMe, NMe 2 ;
R 1.1.2 H, C 1-6 -alkyl;
or R 1.1.1 and R 1.1.2 together form a five- or six-membered heterocyclic ring which may optionally be substituted by a radical selected from the group consisting of methyl, ethyl, propyl;
R 3 is a radical selected from the group consisting of wherein
X bond or C 1-4 alkylene;
R 3a is a radical, identical or different, selected from the group consisting of R 3.1 , R 3.2 and R 3.3 ;
R 3.1 is spiro or het, where Het may be optionally substituted with one or more R 3.1.1 ;
R 3.1.1 C 1-6 -alkyl, C 2-6 -alkenyl, OH, C 1-4 -alkylene-OH, C 1-4 -alkylene-NR 3.1.1.1 R 3.1.1.2 , COR 3.1.1.1 , COOR 3.1.1.1 , CONR 3.1.1.1 R 3.1.1.2 , NR 3.1.1.1 R 3.1.1.2 , Het, hetaryl, NHCOR 3.1.1.1
R 3.1.1.1 is a radical selected from the group consisting of H, C 1-4 -alkyl, aryl and C 7-11 -aralkyl; optionally substituted with a radical selected from the group consisting of halogen, OH and CN;
R 3.1.1.2 H, C 1-4 alkyl;
R 3.2 is a radical selected from the group consisting of C 3-6 -cycloalkyl, het, hetaryl and spiro which is optionally substituted by one or more R 3.2.1
R 3.2.1 C 1-6 -alkyl, C 3-6 -cycloalkyl, OH, NR 3.2.1.1 R 3.2.1.2 , NHCOR 3.2.1.3 or Het, optionally substituted by one or more radicals selected from the group consisting of C 1-4 -alkyl, SO 2 R 3.2.1.1 , CH 2 -C 3-6 -cycloalkyl and aryl;
R 3.2.1.1 H, C 1-4 alkyl or C 7-11 aralkyl;
R 3.2.1.2 H, C 1-4 alkyl or C 7-11 aralkyl;
R 3.2.1.2 aryl, C 7-11 aralkyl; or
C 1-6 alkyl optionally substituted with one or two R 3.2.2 ;
R 3.2.2 C 1-6 -alkyl, C 2-6 -alkenyl, C 2-6 -alkynyl, COOR 3.2.2.1 , CONR 3.2.2.1 R 3.2.2.2 , NR 3.2.2.1 R 3.2.2.2 , NHCOR 3.2 .2.1 , C 1-6 -haloalkyl, CN, OR 3.2.2.1 , SO 2 R 3.2.2.1 , C 3-6 -cycloalkyl, CO-Het, C 2-4 -alkynyl-hetaryl, guanidine or a radical selected from the group consisting of het, hetaryl and aryl which is optionally substituted by one or more radicals selected from the group consisting of halogen, C 1-6 -alkyl, CONR 3.2.2.1 R 3.2.2.2 , OH, imidazolidinone;
R 3.2.2.1 H or C 1-6 alkyl, aryl, C 7-11 aralkyl
R 3.2.2.2. H or C 1-6 alkyl; or
Aryl which is optionally substituted by one or two R 3.2.3
R 3.2.3 is a radical selected from the group consisting of NH-C 1-6 -alkyl-N (C 1-6 -alkyl) 2 or Het, wherein Het may optionally be substituted by a radical C 1-6 -alkyl;
R 3.3 is H or a radical selected from the group consisting of C 1-6 -alkyl, C 2-4 -alkenyl, C 2-4 -alkynyl and aryl which may be optionally substituted by one or more radicals R 3.3.1 ;
R 3.3.1 C 5-6 -cycloalkyl, C 5-6 -cycloalkenyl, OR 3.3.1.1 , NR 3.3.1.1 R 3.3.1.2 , CONR 3.3.1.1 R 3.3.1.2 , COOR 3.3.1.1 , NR 3.3.1.1 CORR 3.3.1.2 , SORR 3.3.1.1 , SO 2 R 3.3.1.1 , C (NR 3.3.1.1 R 3.3.1.2 ) NR 3.3.1.3 , NR 3.3.1.1 CONR 3.3.1.2 R 3.3.1.3 , OH, CN, Halogen or het optionally substituted with one or more radicals selected from the group consisting of C 1-4 alkyl, SO 2 H, SO 2 C 1-4 alkyl, SO 2 C 7-11 aralkyl, CH 2 - C 3-6 cycloalkyl and aryl;
R 3.3.1.1 , R 3.3.1.2 and R 3.3.1.3 is a radical selected from the group consisting of C 1-4 -alkyl, C 7-11 -aralkyl, C 1-4 -alkyl-hetaryl, COC 1-4 - alkyl hetaryl; or
two of the groups R 3.3.1.1 , R 3.3.1.2 and R 3.3.1.3 together form a five, six or seven membered ring consisting of carbon atoms and optionally a heteroatom selected from the group consisting of oxygen, nitrogen and sulfur;
R a is H, C 1-6 alkyl, C 2-6 alkenyl, C 3-6 cycloalkyl, C 3-6 cycloalkenyl, C 1-6 haloalkyl, COR 8 , NR 9 R 10 , NO 2 , OR 8 , SR 11 , SOR 11 , SO 2 R 11 , NHCO-C 1-6 -alkyl-NH 2 , spiro or a radical selected from the group consisting of C 7-11 -aralkyl, CH 2 -O-aryl and Het which may optionally be substituted with one or more halo, C 1-6 alkyl, CO-C 1-4 haloalkyl, C 1-4 alkyl-NH 2 or CH 2 NHCOOR 12 ;
R 8 is C 1-6 alkyl, C 3-6 cycloalkyl, NH 2 , hetaryl or aryl optionally substituted with one or more halo or C 1-4 alkyl;
R 9 is H, COOR 12 or C 1-4 alkyl optionally substituted with one or more COOH, N (C 1-4 alkyl) 2 or Het optionally substituted with one or more C 1-4 alkyl; or R 9 is het optionally substituted with one or more C 1-4 alkyl;
R 10 is H, C 1-6 -alkyl, CO-C 1-4 -alkyl or C 2-6 -alkynyl;
R 11 is C 1-6 alkyl optionally substituted with one or more N (C 1-4 alkyl) 2 ;
R 12 is C 1-6 alkyl;
R b R 4 , OR 4 , -CH 2 OR 4 , COR 4 , COOR 4 , CONR 4 R 5 , NH 2 , NR 5 COOR 4 , NR 5 CONR 4 R 5 or NR 5 SOR 4 ;
R 4 is H, C 1-6 -alkyl, C 1-6 -haloalkyl, C 1-6 -alkylene-OH, C 2-6 -alkenyl, C 7-11 -aralkyl, C 1-4 -alkyl-hetaryl, C 2-6 alkynyl optionally substituted with Si (C 1-4 alkyl) 3 , or R 4 represents a radical selected from the group consisting of aryl, het, hetaryl and optionally substituted with C 1-4 alkyl;
R 5 is H or C 1-6 alkyl;
or R 4 and R 5 together form a five, six or seven membered ring consisting of carbon atoms and optionally a heteroatom selected from the group consisting of oxygen, nitrogen and sulfur;
R c NHR 6 or a radical selected from the group consisting of wherein
B bond, C 1-4 alkyl or C 2-4 alkynyl;
R 6 is H or a radical selected from the group consisting of C 1-4 -alkyl, C 3-6 -cycloalkyl, het, aryl, hetaryl, optionally substituted by one or more radicals R 6.1 ;
R 6.1 halogen, CF 3 , OH, CN, OMe, SO 2 (C 1-4 alkyl);
R 7 is H, C 1-4 -alkyl, C 3-6 -cycloalkyl, NR 7.1 R 7.2 , OR 7.2 , SR 7.2 , hetaryl, Het, optionally substituted by C 1-4 -alkyl or CONH 2 ;
R is 7.1 H, C 1-4 alkyl, (CH 2 ) 2-4 R 7.1.1 or COOButyl;
R 7.2 is H, C 1-6 -alkyl, optionally substituted with one or more OH;
R 7.1.1 NR 7.1.1.1 R 7.1.1.2 , Het or 1-imidazolyl, 2- (N-ethylpyrollidine);
R 7.1.1.1 H or C 1-6 alkyl;
R 7.1.1.2 H or C 1-6 alkyl;
as well as pharmacologically acceptable salt, diastereomers, enantiomers, racemates, hydrates or solvates thereof, with the proviso that R a can not be H or Me when Y = nitrogen; Z = nitrogen; j = 2; k = 0; R b = H and R c = NHCONH-Et.
Bevorzugt
sind die oben genannten Verbindungen der Formel 1; worin
Ra ein Rest ausgewählt aus der Gruppe bestehend
aus Aryl und C7-11-Aralkyl, der gegebenenfalls
substituiert durch einen oder mehrere Reste ausgewählt aus
der Gruppe bestehend aus R1, R2 und
R3 sein kann; oder Hetaryl gegebenenfalls
substituiert durch ein oder mehrere C1-4-Alkyl;
R1 C1-4-Alkyl, C1-4-Haloalkyl, C1-4-Alkylen-COOH,
C1-4-Alkoxy, Halogen, OH, CN, COR1.1, O-C1-4-Haloalkyl,
NO2 oder SO2R1.1;
R1.1 OH,
Methyl, NH2, NHMe, NMe2, R2 C1-4-Alkyl, C1-4-Alkoxy
oder Halogen;
R3 ein Rest ausgewählt aus
der Gruppe bestehend aus worin
n
0 oder 1;
m 0 oder 1;
o 2;
R3.1 Spiro
oder Het, wobei Het gegebenenfalls substituiert mit einem oder mehreren
R3.1.1 sein kann;
R3.1.1 C1-4-Alkyl, C2-4-Alkenyl,
OH, C1-4-Alkylen-OH, CH2NEt2, COMe, COOH, CONH2,
NH2, Het, Hetaryl, R3.2 ein
Rest ausgewählt
aus der Gruppe bestehend aus C3-6-Cycloalkyl,
Het, Hetaryl und Spiro der gegebenenfalls substituiert ist mit einem
oder zwei R3.2.1
R3.2.1 C1-4-Alkyl, Cyclopentyl, OH, -NR3.2.1.1R3.2.1.2 oder oder Het, gegebenenfalls
substituiert ist mit einem oder mehreren Resten ausgewählt aus
der Gruppe bestehend aus Methyl, SO2R3.2.1.1, R3.2.1.1 H,
Methyl oder Benzyl;
R3.2.1.2 H, Methyl
oder Benzyl; oder
-C1-6-alkyl, das
gegebenenfalls substituiert ist mit einem oder zwei R3.2.2;
R3.2.2 C2-4-Alkenyl,
C2-4-Alkinyl, COOR3.2.2.1,
CONR3.2.2.1R3.2.2.2,
NR3.2.2.1R3.2.2.2,
NHCOR3.2.2.1, C1-4-Haloalkyl,
CN, OH, SO2R3.2.2.1,
C3-6-Cycloalkyl oder ein Rest ausgewählt aus
der Gruppe bestehend aus oder ein Rest ausgewählt aus
der Gruppe bestehend aus Het, Hetaryl und Aryl, der gegebenenfalls
substituiert ist mit einem oder mehreren Resten ausgewählt aus
der Gruppe Cl, Methyl, CONR3.2.2.1R3.2.2.2 OH;
R3.2.2.1 H
oder Methyl;
R3.2.2.2. H oder Methyl;
oder
Aryl, das gegebenenfalls substituiert ist mit einem oder
zwei R3.2.3
R3.2.3 ein
Rest ausgewählt
aus der Gruppe bestehend aus R3.3 H
oder ein Rest ausgewählt
aus der Gruppe bestehend aus C1-6-Alkyl
und Aryl, der gegebenenfalls substituiert sein kann mit einem oder
mehreren Resten R3.3.1
R3.3.1 C5-6-Cycloalkyl, C5-6-Cycloalkenyl,
OR3.3.1.1, NR3.3.1R3.3.1.2, CONR3.3.1.1R3.3.1.2, COOR3.3.1.1,
NR3.3.1.1COR3.3.1.2, SORR3.3.1.1, SO2R3.3.1.1, C(NR3.3.1.1R3.3.1.2)NR3.3.1.3,
NR3.3.1.1CONR3.3.1.2R3.3.1.3, OH, CN, Halogen oder Het, gegebenenfalls
substituiert ist mit einem oder mehreren Resten ausgewählt aus
der Gruppe bestehend aus Methyl, SO2H, SO2-C1-4-Alkyl, SO2C7-11-Aralkyl, R3.3.1.1,
R3.3.1.2 und R3.3.1.3 ein
Rest ausgewählt
aus der Gruppe bestehend aus C1-4-Alkyl,
C7-11-Aralkyl, C1-4-Alkyl-Hetaryl,
COC1-4-Alkyl-Hetaryl;
Ra H,
C1-6-Alklyl, C2-6-Alkenyl,
C3-6-Cycloalkyl, CF3,
COR8, NR9R10, NO2, S(O)nR11, oder ein Rest
ausgewählt
aus der Gruppe bestehend aus oder ein
Rest ausgewählt
aus der Gruppe bestehend aus der gegebenenfalls substituiert
sein kann mit einem oder mehreren Cl;
oder ein Rest ausgewählt aus
der Gruppe bestehend aus der gegebenenfalls substituiert
sein kann mit einem oder mehreren CH3, COCF3, CH2NH2 oder CH2NHCOOR12;
R8 C1-4-Alkyl, C3-6-Cycloalkyl, NH2,
Furanyl oder Phenyl, gegebenenfalls substituiert mit einem oder
mehreren Chlor;
R9 H, COOR12 oder
Piperidino, gegebenenfalls substituiert mit einem oder mehreren
CH3, oder ein Rest ausgewählt aus
der Gruppe bestehend aus C1-4-Alkyl, der
gegebenenfalls substituiert sein kann mit einem oder mehreren COOH,
NMe2 oder 4-Methylpiperazin;
R10 H, C1-4-Alkyl,
C2-4-Alkinyl oder COCH3;
R11 C1-4-Alkyl, gegebenenfalls
substituiert mit einem oder mehreren NMe2;
R12 C1-4-Alkyl;
Rb R4, CH2OR4, COR4, COOR4, CONR4R5, NH2, NHCOOR4, NHCONR4R5 oder OH;
R4 H,
C1-4-Alkyl, C1-4-Alkylen-OH,
C2-4-Alkinyl, C1-6-Haloalkyl,
Aryl, Het, Hetaryl, R5 H
oder C1-4-Alkyl;
Rc NHR6 oder ein Rest ausgewählt aus der Gruppe bestehend
aus worin
B Bindung, C1-4-Alkyl oder C2-4-Alkinyl;
R6 H, C1-4-Alkyl,
C3-6-Cycloalkyl, C7-11-
Aralkyl, Aryl, gegebenenfalls substituiert mit SO2CH3;
R7 H, NR7.1R7.2, OR7.2, SR7.2, Hetaryl,
Het, gegebenenfalls substituiert mit C1-4-Alkyl
oder CONH2, oder ein Rest ausgewählt aus
der Gruppe bestehend aus R7.1 H,
C1-4-Alkyl, (CH2)2R7.1.1 oder COOButyl;
R7.2 H, C1-4-Alkyl;
R7.1.1 NR7.1.1.1R7.1.1.2, Het oder 1-Imidazolyl, 2-(N-Ethylpyrollidin);
R7.1.1.1 H oder C1-6-Alkyl;
R7.1.1.2 H oder C1-6-Alkyl;
bedeuten,
sowie pharmakologisch verträgliche
Salz, Diastereomere, Enantiomere, Racemate, Hydrate oder Solvate
davon, mit der Maßgabe,
dass Ra nicht H oder Me sein kann, wenn
Y = Stickstoff; Z = Stickstoff; j = 2; k = 0; Rb =
H und Rc = NHCONH-Et bedeutet.Preference is given to the abovementioned compounds of the formula 1; wherein
R a is a radical selected from the group consisting of aryl and C 7-11 aralkyl, which may optionally be substituted by one or more radicals selected from the group consisting of R 1 , R 2 and R 3 ; or hetaryl optionally substituted by one or more C 1-4 alkyl;
R 1 is C 1-4 -alkyl, C 1-4 -haloalkyl, C 1-4 -alkylene-COOH, C 1-4 -alkoxy, halogen, OH, CN, COR 1.1 , OC 1-4 -haloalkyl, NO 2 or SO 2 R 1.1 ;
R 1.1 OH, methyl, NH 2 , NHMe, NMe 2 , R 2 is C 1-4 alkyl, C 1-4 alkoxy or halo;
R 3 is a radical selected from the group consisting of wherein
n is 0 or 1;
m is 0 or 1;
o 2;
R 3.1 is spiro or het, where Het may be optionally substituted with one or more R 3.1.1 ;
R 3.1.1 C 1-4 -alkyl, C 2-4 -alkenyl, OH, C 1-4 -alkylene-OH, CH 2 NEt 2 , COMe, COOH, CONH 2 , NH 2 , Het, hetaryl, R 3.2 is a radical selected from the group consisting of C 3-6 -cycloalkyl, het, hetaryl and spiro which is optionally substituted by one or two R 3.2.1
R 3.2.1 C 1-4 alkyl, cyclopentyl, OH, NR 3.2.1.1 R 3.2.1.2 or or Het, optionally substituted by one or more radicals selected from the group consisting of methyl, SO 2 R 3.2.1.1 , R 3.2.1.1 H, methyl or benzyl;
R 3.2.1.2 H, methyl or benzyl; or
C 1-6 alkyl optionally substituted with one or two R 3.2.2 ;
R 3.2.2 C 2-4 alkenyl, C 2-4 alkynyl, COOR 3.2.2.1 , CONR 3.2.2.1 R 3.2.2.2 , NR 3.2.2.1 R 3.2.2.2 , NHCOR 3.2.2.1 , C 1-4 Haloalkyl, CN, OH, SO 2 R 3.2.2.1 , C 3-6 cycloalkyl or a radical selected from the group consisting of or a radical selected from the group consisting of het, hetaryl and aryl which is optionally substituted by one or more radicals selected from the group Cl, methyl, CONR 3.2.2.1 R 3.2.2.2 OH;
R 3.2.2.1 H or methyl;
R 3.2.2.2. H or methyl; or
Aryl which is optionally substituted by one or two R 3.2.3
R 3.2.3 is a radical selected from the group consisting of R 3.3 is H or a radical selected from the group consisting of C 1-6 -alkyl and aryl, which may optionally be substituted by one or more radicals R 3.3.1
R 3.3.1 C 5-6 -cycloalkyl, C 5-6 -cycloalkenyl, OR 3.3.1.1 , NR 3.3.1 R 3.3.1.2 , CONR 3.3.1.1 R 3.3.1.2 , COOR 3.3.1.1 , NR 3.3.1.1 COR 3.3.1.2 , SORR 3.3.1.1 , SO 2 R 3.3.1.1 , C (NR 3.3.1.1 R 3.3.1.2 ) NR 3.3.1.3 , NR 3.3.1.1 CONR 3.3.1.2 R 3.3.1.3 , OH, CN, Halogen or Het, optionally substituted by one or more radicals selected from the group consisting of methyl, SO 2 H, SO 2 C 1-4 alkyl, SO 2 C 7-11 aralkyl, R 3.3.1.1 , R 3.3.1.2 and R 3.3.1.3 is a radical selected from the group consisting of C 1-4 -alkyl, C 7-11 -aralkyl, C 1-4 -alkyl-hetaryl, COC 1-4 - alkyl hetaryl;
R a is H, C 1-6 -alklyl, C 2-6 -alkenyl, C 3-6 -cycloalkyl, CF 3 , COR 8 , NR 9 R 10 , NO 2 , S (O) n R 11 , or a radical selected from the group consisting of or a radical selected from the group consisting of which may be optionally substituted with one or more Cl;
or a radical selected from the group consisting of which may optionally be substituted with one or more CH 3 , COCF 3 , CH 2 NH 2 or CH 2 NHCOOR 12 ;
R 8 is C 1-4 alkyl, C 3-6 cycloalkyl, NH 2 , furanyl or phenyl optionally substituted with one or more chloro;
R 9 is H, COOR 12 or piperidino, optionally substituted by one or more CH 3 , or a radical selected from the group consisting of C 1-4 -alkyl, which may optionally be substituted by one or more COOH, NMe 2 or 4- methylpiperazine;
R 10 is H, C 1-4 alkyl, C 2-4 alkynyl or COCH 3 ;
R 11 is C 1-4 alkyl optionally substituted with one or more NMe 2 ;
R 12 is C 1-4 alkyl;
R b R 4 , CH 2 OR 4 , COR 4 , COOR 4 , CONR 4 R 5 , NH 2 , NHCOOR 4 , NHCONR 4 R 5 or OH;
R 4 is H, C 1-4 -alkyl, C 1-4 -alkylene-OH, C 2-4 -alkynyl, C 1-6 -haloalkyl, aryl, het, hetaryl, R 5 is H or C 1-4 alkyl;
R c NHR 6 or a radical selected from the group consisting of wherein
B bond, C 1-4 alkyl or C 2-4 alkynyl;
R 6 is H, C 1-4 alkyl, C 3-6 cycloalkyl, C 7-11 aralkyl, aryl optionally substituted with SO 2 CH 3 ;
R 7 H, NR 7.1 R 7.2 , OR 7.2 , SR 7.2 , hetaryl, Het, optionally substituted by C 1-4 alkyl or CONH 2 , or a radical selected from the group consisting of R is 7.1 H, C 1-4 alkyl, (CH 2 ) 2 R 7.1.1 or COOButyl;
R 7.2 is H, C 1-4 alkyl;
R 7.1.1 NR 7.1.1.1 R 7.1.1.2 , Het or 1-imidazolyl, 2- (N-ethylpyrollidine);
R 7.1.1.1 H or C 1-6 alkyl;
R 7.1.1.2 H or C 1-6 alkyl;
as well as pharmacologically acceptable salt, diastereomers, enantiomers, racemates, hydrates or solvates thereof, with the proviso that R a can not be H or Me when Y = nitrogen; Z = nitrogen; j = 2; k = 0; R b = H and R c = NHCONH-Et.
Bevorzugt
sind die oben genannten Verbindungen der Formel 1; worin
Ra Phenyl oder Benzyl, jeweils gegebenenfalls
substituiert durch einen oder mehrere Reste ausgewählt aus der
Gruppe bestehend aus R1, R2 und
R3; oder R1 Methyl, Ethyl, Propyl, Butyl, CF3, CH2COOH, Methoxy,
F, Cl, Br, OH, CN, COR1.1, OCF3,
NO2 oder SO2R1.1;
R1.1 OH,
Methyl, NH2, NHMe, NMe2, R2 Methyl,
Methoxy, F, Cl oder Br;
R3 ein Rest
ausgewählt
aus der Gruppe bestehend aus worin
n
0 oder 1;
m 0 oder 1;
o 2;
R3.1 ein
Rest ausgewählt
aus der Gruppe bestehend aus oder
ein Rest ausgewählt
aus der Gruppe bestehend aus der gegebenenfalls
substituiert sein kann mit einem oder mehreren R3.1.1;
R3.1.1 Methyl, Ethyl, OH, CH2OH,
CH2CH2OH, CH2NEt2, COMe, COOH,
CONH2, NH2, R3.2 ein
Rest ausgewählt
aus der Gruppe bestehend aus der gegebenenfalls
substituiert ist mit einem oder mehreren Resten ausgewählt aus
der Gruppe bestehend aus Methyl, Ethyl, Cyclopentyl, OH, NH2; oder
Cyclohexyl, das gegebenenfalls
substituiert ist mit einem oder zwei R3.2.1
R3.2.1 -NR3.2.1.1R3.2.1.2 oder ein Rest ausgewählt aus
der Gruppe bestehend aus oder ein Rest ausgewählt aus
der Gruppe bestehend aus der gegebenenfalls substituiert
ist mit einem oder mehreren Resten ausgewählt aus der Gruppe bestehend aus
Methyl, SO2R3.2.1.1, R3.2.1.1 H,
Methyl oder Benzyl;
R3.2.1.2 H, Methyl
oder Benzyl; oder
-C1-6-alkyl, gerade
oder verzweigt, das gegebenenfalls substituiert ist mit einem oder
zwei R3.2.2;
R3.2.2 C=CH2, C≡CH,
COOR3.2.2.1, CONR3.2.2.1R3.2.2.2, NR3.2.2.1R3.2.2.2, NHCOR3.2.2.1,
CF3, CN, OH, SO2R3.2.2.1 oder ein Rest ausgewählt aus
der Gruppe bestehend aus oder ein
Rest ausgewählt
aus der Gruppe bestehend aus der gegebenenfalls
substituiert ist mit einem oder mehreren Resten ausgewählt aus
der Gruppe Cl, Methyl, CONR3.2.2.1R3.2.2.2, OH;
R3.2.2.1 H
oder Methyl;
R3.2.2.1 H oder Methyl;
oder
Phenyl, das gegebenenfalls substituiert ist mit einem
oder zwei R3.2.3
R3.2.3 ein
Rest ausgewählt
aus der Gruppe bestehend aus R3.3 H,
C1-6-Alkyl, gegebenenfalls substituiert
mit einem oder mehreren R3.3.1;
R3.3.1 C5-6-Cycloalkyl,
C5-6-Cycloalkenyl, OR3.3.1.1,
NR3.3.1.1R3.3.1.2,
CONR3.3.1.1R3.3.1.2,
COOR3.3.1.1, NR3.3.1.1COR3.3.1.2, SOR3.3.1.1,
SO2R3.3.1.1, C(NR3.3.1.1R3.3.1.2)NR3.3.1.3, NR3.3.1.1CONR3.3.1.2R3.3.1.3,
OH, CN, Halogen oder Het der gegebenenfalls substituiert ist mit
einem oder mehreren Resten ausgewählt aus der Gruppe bestehend
aus Methyl, SO2H, SO2Me,
SO2CH2Phenyl; R3.3.1.1,
R3.3.1.2 und R3.3.1.3 ein
Rest ausgewählt
aus der Gruppe bestehend aus C1-4-Alkyl,
C7-11-Aralkyl, C1-4-Alkyl-Hetaryl,
COC1-4-Alkyl-Hetaryl;
Ra H,
Methyl, Ethyl, Propyl, Butyl, 3-Methyl-butyl, Propenyl, Cyclopropyl,
Cyclohexyl, CF3, COR8,
NR9R10, NO2, OR8, SR11, SOR11, SO2R11 oder ein Rest
ausgewählt
aus der Gruppe bestehend aus oder
ein Rest ausgewählt
aus der Gruppe bestehend aus der gegebenenfalls substituiert
sein kann mit einem oder mehreren Cl,
oder ein Rest ausgewählt aus
der Gruppe bestehend aus der gegebenenfalls substituiert
sein kann mit einem oder mehreren CH3, COCF3, CH2NH2 oder CH2NHCOOR12;
R8 Methyl, Propyl, Cyclopropyl, NH2, Furanyl oder Phenyl, gegebenenfalls substituiert
mit einem oder mehreren Chlor;
R9 H,
COOR12 oder Piperidino, gegebenenfalls substituiert
mit einem oder mehreren CH3, oder ein Rest
ausgewählt
aus der Gruppe bestehend aus Methyl, Ethyl und Propyl, der gegebenenfalls
substituiert sein kann mit einem oder mehreren COOH, NMe2 oder 4-Methylpiperazin;
R10 H,
Methyl, COCH3, C≡CH oder CH2C≡CH;
R11 Ethyl oder Propyl, gegebenenfalls substituiert
mit einem oder mehreren NMe2,
R12 Butyl
Rb R4, CH2OR4,
COR4, COOR4, CONR4R5, NH2,
NHCOOR4, NHCONR4R5 oder OH;
R4 H,
Methyl, Ethyl, 2-Hydroxyethyl, Propyl, C≡CH, CF3,
Phenyl, R5 H, Methyl oder Ethyl;
Rc NHR6 oder ein Rest ausgewählt aus der Gruppe bestehend
aus worin
B Bindung, Methylen,
Ethylen, Propylen oder Butinylen;
R6 H,
C1-4-Alkyl, Aryl, gegebenenfalls substituiert
mit SO2CH3;
R7 H, NR7.1R7.2, OR7.2, SR7.2 oder ein Rest ausgewählt aus der Gruppe bestehend
aus R7.1 H, Methyl, Ethyl, (CH2)2R7.1.1 oder COOButyl;
R7.2 H, Methyl oder Ethyl;
R7.1.1 NR7.1.1.1R7.1.1.2 ,
Het oder 1-Imidazolyl, 2-(N-Ethylpyrollidin);
R7.1.1.1 H
oder C1-6-Alkyl;
R7.1.1.2 H
oder C1-6-Alkyl;
bedeuten, sowie pharmakologisch
verträgliche
Salz, Diastereomere, Enantiomere, Racemate, Hydrate oder Solvate
davon, mit der Maßgabe,
dass Ra nicht H oder Me sein kann, wenn
Y = Stickstoff; Z = Stickstoff; j = 2; k = 0; Rb =
H und Rc = NHCONH-Et bedeutet.Preference is given to the abovementioned compounds of the formula 1; wherein
R a is phenyl or benzyl, each optionally substituted by one or more radicals selected from the group consisting of R 1 , R 2 and R 3 ; or R 1 is methyl, ethyl, propyl, butyl, CF 3 , CH 2 COOH, methoxy, F, Cl, Br, OH, CN, COR 1.1 , OCF 3 , NO 2 or SO 2 R 1.1 ;
R 1.1 OH, methyl, NH 2 , NHMe, NMe 2 , R 2 is methyl, methoxy, F, Cl or Br;
R 3 is a radical selected from the group consisting of wherein
n is 0 or 1;
m is 0 or 1;
o 2;
R 3.1 is a radical selected from the group consisting of or a radical selected from the group consisting of which may optionally be substituted by one or more R 3.1.1 ;
R 3.1.1 methyl, ethyl, OH, CH 2 OH, CH 2 CH 2 OH, CH 2 NEt 2 , COMe, COOH, CONH 2 , NH 2 , R 3.2 is a radical selected from the group consisting of which is optionally substituted by one or more radicals selected from the group consisting of methyl, ethyl, cyclopentyl, OH, NH 2 ; or
Cyclohexyl optionally substituted with one or two R 3.2.1
R 3.2.1 -NR 3.2.1.1 R 3.2.1.2 or a radical selected from the group consisting of or a radical selected from the group consisting of which is optionally substituted by one or more radicals selected from the group consisting of methyl, SO 2 R 3.2.1.1 , R 3.2.1.1 H, methyl or benzyl;
R 3.2.1.2 H, methyl or benzyl; or
C 1-6 alkyl, straight or branched, which is optionally substituted with one or two R 3.2.2 ;
R 3.2.2 C = CH 2 , C≡CH, COOR 3.2.2.1 , CONR 3.2.2.1 R 3.2.2.2 , NR 3.2.2.1 R 3.2.2.2 , NHCOR 3.2.2.1 , CF 3 , CN, OH, SO 2 R 3.2.2.1 or a radical selected from the group consisting of or a radical selected from the group consisting of which is optionally substituted by one or more radicals selected from the group Cl, methyl, CONR 3.2.2.1 R 3.2.2.2 , OH;
R 3.2.2.1 H or methyl;
R 3.2.2.1 H or methyl; or
Phenyl, which is optionally substituted with one or two R 3.2.3
R 3.2.3 is a radical selected from the group consisting of R 3.3 is H, C 1-6 -alkyl, optionally substituted with one or more R 3.3.1 ;
R 3.3.1 C 5-6 -cycloalkyl, C 5-6 -cycloalkenyl, OR 3.3.1.1 , NR 3.3.1.1 R 3.3.1.2 , CONR 3.3.1.1 R 3.3.1.2 , COOR 3.3.1.1 , NR 3.3.1.1 COR 3.3.1.2 , SOR 3.3.1.1 , SO 2 R 3.3.1.1 , C (NR 3.3.1.1 R 3.3.1.2 ) NR 3.3.1.3 , NR 3.3.1.1 CONR 3.3.1.2 R 3.3.1.3 , OH, CN, Halogen or Het which is optionally substituted by one or more radicals selected from the group consisting of methyl, SO 2 H, SO 2 Me, SO 2 CH 2 phenyl; R 3.3.1.1 , R 3.3.1.2 and R 3.3.1.3 is a radical selected from the group consisting of C 1-4 -alkyl, C 7-11 -aralkyl, C 1-4 -alkyl-hetaryl, COC 1-4 - alkyl hetaryl;
R a is H, methyl, ethyl, propyl, butyl, 3-methyl-butyl, propenyl, cyclopropyl, cyclohexyl, CF 3 , COR 8 , NR 9 R 10 , NO 2 , OR 8 , SR 11 , SOR 11 , SO 2 R 11 or a radical selected from the group consisting of or a radical selected from the group consisting of which may optionally be substituted by one or more Cl,
or a radical selected from the group consisting of which may optionally be substituted with one or more CH 3 , COCF 3 , CH 2 NH 2 or CH 2 NHCOOR 12 ;
R 8 is methyl, propyl, cyclopropyl, NH 2 , furanyl or phenyl optionally substituted with one or more chloro;
R 9 is H, COOR 12 or piperidino, optionally substituted with one or more CH 3 , or a radical selected from the group consisting of methyl, ethyl and propyl, which may be optionally substituted with one or more COOH, NMe 2 or 4-methylpiperazine ;
R 10 is H, methyl, COCH 3 , C≡CH or CH 2 C≡CH;
R 11 is ethyl or propyl, optionally substituted by one or more NMe 2 ,
R 12 butyl
R b R 4 , CH 2 OR 4 , COR 4 , COOR 4 , CONR 4 R 5 , NH 2 , NHCOOR 4 , NHCONR 4 R 5 or OH;
R 4 is H, methyl, ethyl, 2-hydroxyethyl, propyl, C 1 H 3 , CF 3 , phenyl, R 5 is H, methyl or ethyl;
R c NHR 6 or a radical selected from the group consisting of wherein
B bond, methylene, ethylene, propylene or butynylene;
R 6 is H, C 1-4 alkyl, aryl, optionally substituted with SO 2 CH 3 ;
R 7 H, NR 7.1 R 7.2 , OR 7.2 , SR 7.2 or a radical selected from the group consisting of R 7.1 is H, methyl, ethyl, (CH 2 ) 2 R 7.1.1 or COOButyl;
R 7.2 is H, methyl or ethyl;
R 7.1.1 NR 7.1.1.1 R 7.1.1.2 , Het or 1-imidazolyl, 2- (N-ethylpyrollidine);
R 7.1.1.1 H or C 1-6 alkyl;
R 7.1.1.2 H or C 1-6 alkyl;
as well as pharmacologically acceptable salt, diastereomers, enantiomers, racemates, hydrates or solvates thereof, with the proviso that R a can not be H or Me when Y = nitrogen; Z = nitrogen; j = 2; k = 0; R b = H and R c = NHCONH-Et.
Bevorzugt
sind die oben genannten Verbindungen der Formel 1; worin
Ra ein Rest ausgewählt aus der Gruppe bestehend
aus Aryl, C7-11-Aralkyl und Hetaryl, der
gegebenenfalls substituiert durch einen oder mehrere Reste ausgewählt aus
der Gruppe bestehend aus R1, R2 und
R3 sein kann;
R1 und
R2 unabhängig
voneinander C1-6-Alkyl, C2-6-Alkenyl
C2-6-Alkinyl, C3-6-Cycloalkyl,
C3-6-Cycloalkenyl, C1-6-Haloalkyl,
C1-6-Alkylen-COOH, C1-6-Alkoxy,
Halogen, OH, CN, COR1.1, O-C1-4-Haloalkyl,
NO2 oder SR1.1, SOR1.1, SO2R1.1, Het oder Hetaryl,
R1.1 OH,
C1-6-Alkyl, C2-6-Alkenyl
C2-6-Alkinyl, NR1.1.1R1.1.2
R1.1.1 H,
C1-6-Alkyl, gegebenenfalls substituiert
mit einem Rest ausgewählt
aus der Gruppe bestehend aus NH2, NHMe,
NMe2;
R1.1.2 H,
C1-6-Alkyl;
oder R1.1.1 und
R1.1.2 bilden zusammen einen fünf- oder
sechsgliedrigen heterocyclischen Ring, der gegebenenfalls substituiert
sein kann mit einem Rest ausgewählt
aus der Gruppe bestehend aus Methyl, Ethyl, Propyl;
R3 ein Rest ausgewählt aus der Gruppe bestehend
aus worin
X
Bindung oder C1-4-alkylen;
R3a ein Rest, gleich oder verschieden, ausgewählt aus
der Gruppe bestehend aus R3.1, R3.2 und R3.3;
R3.1 Spiro oder Het, wobei Het gegebenenfalls
substituiert mit einem oder mehreren R3.1.1 sein
kann;
R3.1.1 C1-6-Alkyl,
C2-6-Alkenyl, OH, C1-4-Alkylen-OH,
C1-4-Alkylen-NR3.1.1.1R3.1.1.2, COR3.1.1.1,
COOR3.1.1.1, CONR3.1.1.1R3.1.1.2, NR3.1.1.1R3.1.1.2, Het, Hetaryl, NHCOR3.1.1.1
R3.1.1.1 ein Rest ausgewählt aus der Gruppe bestehend
aus H, C1-4-Alkyl, Aryl und C7-11-Aralkyl;
gegebenenfalls substituiert mit einem Rest ausgewählt aus
der Gruppe Halogen, OH und CN;
R3.1.1.2 H,
C1-4-Alkyl;
R3.2 ein
Rest ausgewählt
aus der Gruppe bestehend aus C3-6-Cycloalkyl,
Het, Hetaryl und Spiro der gegebenenfalls substituiert ist mit einem
oder mehreren R3.2.1
R3.2.1 C1-6-Alkyl, C3-6-Cycloalkyl,
OH, NR3.2.1.1R3.2.1.2,
NHCOR3.2.1.3 oder Het, gegebenenfalls substituiert
mit einem oder mehreren Resten ausgewählt aus der Gruppe bestehend
aus C1-4-Alkyl, SO2R3.2.1.1, CH2-C3-6-Cycloalkyl und Aryl;
R3.2.1.1 H,
C1-4-Alkyl oder C7-11-
Aralkyl;
R3.2.1.2 H, C1-4-Alkyl
oder C7-11- Aralkyl;
R3.2.1.2 Aryl,
C7-11-Aralkyl; oder
C1-6-alkyl,
das gegebenenfalls substituiert ist mit einem oder zwei R3.2.2;
R3.2.2 C1-6-Alkyl, C2-6-Alkenyl,
C2-6-Alkinyl, COOR3.2.2.1,
CONR3.2.2.1R3.2.2.2,
NR3.2.2.1R3.2.2.2,
NHCOR3.2.2.1, C1-6-Haloalkyl,
CN, OR3.2.2.1, SO2R3.2.2.1, C3-6-Cycloalkyl,
CO-Het, C2-4-Alkinyl-Hetaryl, Guanidin oder
ein Rest ausgewählt aus
der Gruppe bestehend aus Het, Hetaryl und Aryl, der gegebenenfalls
substituiert ist mit einem oder mehreren Resten ausgewählt aus
der Gruppe Halogen, C1-6-Alkyl, CONR3.2.2.1R3.2.2.2,
OH, Imidazolidinon;
R3.2.2.1 H oder
C1-6-Alkyl, Aryl, C7-11-Aralkyl
R3.2.2.2. H oder C1-6-Alkyl;
oder
Aryl, das gegebenenfalls substituiert ist mit einem oder
zwei R3.2.3
R3.2.3 ein
Rest ausgewählt
aus der Gruppe bestehend aus NH-C1-6-alkyl-N(C1-6-alkyl)2 oder Het, wobei Het gegebenenfalls substituiert
mit einem Rest C1-6-Alkyl sein kann;
R3.3 H oder ein Rest ausgewählt aus
der Gruppe bestehend aus C1-6-Alkyl, C2-6-Alkenyl, C2-6-Alkinyl,
C1-6-Haloalkyl und Aryl, der gegebenenfalls
substituiert sein kann mit einem oder mehreren Resten R3.3.1;
R3.3.1 C3-6-Cycloalkyl,
C3-6-Cycloalkenyl, OR3.3.1.1,
NR3.3.1.1R3.3.1.2,
CONR3.3.1.1R3.3.1.1,
COOR3.3.1.1, NR3.3.1.1COR3.3.1.2, SOR3.3.1.1,
SO2R3.3.1.1, C(NR3.3.1.1R3.3.1.2)NR3.3.1.3, NR3.3.1.1CONR3.3.1.2R3.3.1.3,
OH, CN, Halogen oder Het, gegebenenfalls substituiert mit einem
oder mehreren Resten ausgewählt
aus der Gruppe bestehend aus C1-4-Alkyl, SO2R3.2.1.1, SO2C1-4-Alkyl, SO2C7-11- Aralkyl,
CH2-C3-6-Cycloalkyl
und Aryl;
R3.3.1.1, R3.3.1.2 und
R3.3.1.3 ein Rest ausgewählt aus der Gruppe bestehend
aus C1-6-Alkyl, C2-6-Alkenyl,
C2-6-Alkinyl, C7-11-Aralkyl,
C2-4-Alkenyl-Aryl, C2-4-Alkinyl-Aryl,
C1-4-Alkyl-Hetaryl, C2-4-Alkenyl-Hetaryl,
C2-4-Alkinyl-Hetaryl, COC1-4-Alkyl-Hetaryl,
COC2-4-Alkenyl-Hetaryl, COC2-4-Alkinyl-Hetaryl;
oder
zwei der Gruppen R3.3.1.1, R3.3.1.2 und R3.3.1.3 bilden
gemeinsam einen Ring, bestehend aus Kohlenstoffatomen und gegebenenfalls
einem Heteroatom ausgewählt
aus der Gruppe bestehend aus Sauerstoff, Stickstoff und Schwefel;
Rb R4, OR4,
-CH2OR4, COR4, COOR4, CONR4R5, NR4R5, NR5COR4, NR5COOR4 NR5CONR4R5, NR5SOR4 oder NR5SO2R4;
R4, R5 H, C1-6-Alkyl, C1-6-Haloalkyl,
C1-6-Alkylen-OH, C2-6-Alkenyl,
C7-11-Aralkyl, C2-4-Alkenyl-Aryl,
C2-4-Alkinyl-Aryl, C1-4-Alkyl-Hetaryl,
C2-4-Alkenyl-Hetaryl, C2-4-Alkinyl-Hetaryl,
C2-6-Alkinyl, gegebenenfalls substituiert mit
Si(C1-4-Alkyl)3,
oder R4 bedeutet ein Rest ausgewählt aus
der Gruppe bestehend aus Aryl, Het, Hetaryl und gegebenenfalls substituiert
mit C1-4-Alkyl;
oder R4 und
R5 bilden gemeinsam einen fünf-, sechs-
oder siebengliedrigen Ring bestehend aus Kohlenstoffatomen und gegebenenfalls
einem Heteroatom ausgewählt
aus der Gruppe bestehend aus Sauerstoff, Stickstoff und Schwefel;
Rc NHR6 oder ein Rest
ausgewählt
aus der Gruppe bestehend aus worin
B Bindung, C1-6-Alkyl, C1-6-Alkenyl
oder C2-6-Alkinyl;
R6 H
oder ein Rest ausgewählt
aus der Gruppe C1-4-Alkyl, C2-4-Alkenyl,
C2-4-Alkinyl, C3-6-Cycloalkyl,
C3-6-Cycloalkenyl, Het, Aryl, Hetaryl gegebenenfalls
substituiert mit einem oder mehreren Resten R6.1;
R6.1 Halogen, CF3,
OH, CN, OMe, SO2(C1-4-Alkyl);
R7 H, C1-4-Alkyl,
C2-4-Alkenyl, C2-4-Alkinyl,
C3-6-Cycloalkyl, NR7.1R7.2, OR7.2, SR7.2, Hetaryl, Het, gegebenenfalls substituiert
mit C1-4-Alkyl oder CONH2;
R7.1 H, C1-6-Alkyl,
(CH2)2-4R7.1.1 oder COOButyl;
R7.2 H,
C1-6-Alkyl, gegebenenfalls substituiert
mit einem oder mehreren OH;
R7.1.1 NR7.1.1.1R7.1.1.2 ,
Het oder 1-Imidazolyl, 2-(N-Ethylpyrollidin);
R7.1.1.1 H
oder C1-6-Alkyl;
R7.1.1.2 H
oder C1-6-Alkyl;
bedeuten, sowie pharmakologisch
verträgliche
Salz, Diastereomere, Enantiomere, Racemate, Hydrate oder Solvate
davon.Preference is given to the abovementioned compounds of the formula 1; wherein
R a is a radical selected from the group consisting of aryl, C 7-11 aralkyl and hetaryl, which may optionally be substituted by one or more radicals selected from the group consisting of R 1 , R 2 and R 3 ;
R 1 and R 2 are independently C 1-6 alkyl, C 2-6 alkenyl C 2-6 alkynyl, C 3-6 cycloalkyl, C 3-6 cycloalkenyl, C 1-6 haloalkyl, C 1 -6- alkylene-COOH, C 1-6 -alkoxy, halogen, OH, CN, COR 1.1 , OC 1-4 -haloalkyl, NO 2 or SR 1.1 , SOR 1.1 , SO 2 R 1.1 , het or hetaryl,
R 1.1 OH, C 1-6 -alkyl, C 2-6 -alkenyl C 2-6 -alkynyl, NR 1.1.1 R 1.1.2
R 1.1.1 is H, C 1-6 -alkyl, optionally substituted by a radical selected from the group consisting of NH 2 , NHMe, NMe 2 ;
R 1.1.2 H, C 1-6 -alkyl;
or R 1.1.1 and R 1.1.2 together form a five- or six-membered heterocyclic ring which may optionally be substituted by a radical selected from the group consisting of methyl, ethyl, propyl;
R 3 is a radical selected from the group consisting of wherein
X bond or C 1-4 alkylene;
R 3a is a radical, identical or different, selected from the group consisting of R 3.1 , R 3.2 and R 3.3 ;
R 3.1 is spiro or het, where Het may be optionally substituted with one or more R 3.1.1 ;
R 3.1.1 C 1-6 -alkyl, C 2-6 -alkenyl, OH, C 1-4 -alkylene-OH, C 1-4 -alkylene-NR 3.1.1.1 R 3.1.1.2 , COR 3.1.1.1 , COOR 3.1.1.1 , CONR 3.1.1.1 R 3.1.1.2 , NR 3.1.1.1 R 3.1.1.2 , Het, hetaryl, NHCOR 3.1.1.1
R 3.1.1.1 is a radical selected from the group consisting of H, C 1-4 -alkyl, aryl and C 7-11 -aralkyl; possibly substituted with a group selected from the group consisting of halogen, OH and CN;
R 3.1.1.2 H, C 1-4 alkyl;
R 3.2 is a radical selected from the group consisting of C 3-6 -cycloalkyl, het, hetaryl and spiro which is optionally substituted by one or more R 3.2.1
R 3.2.1 C 1-6 -alkyl, C 3-6 -cycloalkyl, OH, NR 3.2.1.1 R 3.2.1.2 , NHCOR 3.2.1.3 or Het, optionally substituted by one or more radicals selected from the group consisting of C 1-4 -alkyl, SO 2 R 3.2.1.1 , CH 2 -C 3-6 -cycloalkyl and aryl;
R 3.2.1.1 H, C 1-4 alkyl or C 7-11 aralkyl;
R 3.2.1.2 H, C 1-4 alkyl or C 7-11 aralkyl;
R 3.2.1.2 aryl, C 7-11 aralkyl; or
C 1-6 alkyl optionally substituted with one or two R 3.2.2 ;
R 3.2.2 C 1-6 -alkyl, C 2-6 -alkenyl, C 2-6 -alkynyl, COOR 3.2.2.1 , CONR 3.2.2.1 R 3.2.2.2 , NR 3.2.2.1 R 3.2.2.2 , NHCOR 3.2 .2.1 , C 1-6 -haloalkyl, CN, OR 3.2.2.1 , SO 2 R 3.2.2.1 , C 3-6 -cycloalkyl, CO-Het, C 2-4 -alkynyl-hetaryl, guanidine or a radical selected from the group consisting of het, hetaryl and aryl which is optionally substituted by one or more radicals selected from the group consisting of halogen, C 1-6 -alkyl, CONR 3.2.2.1 R 3.2.2.2 , OH, imidazolidinone;
R 3.2.2.1 H or C 1-6 alkyl, aryl, C 7-11 aralkyl
R 3.2.2.2. H or C 1-6 alkyl; or
Aryl which is optionally substituted by one or two R 3.2.3
R 3.2.3 is a radical selected from the group consisting of NH-C 1-6 -alkyl-N (C 1-6 -alkyl) 2 or Het, wherein Het may optionally be substituted by a radical C 1-6 -alkyl;
R 3 is H or a radical selected from the group consisting of C 1-6 -alkyl, C 2-6 -alkenyl, C 2-6 -alkynyl, C 1-6 -haloalkyl and aryl which may be optionally substituted with one or more several residues R 3.3.1 ;
R 3.3.1 C 3-6 -cycloalkyl, C 3-6 -cycloalkenyl, OR 3.3.1.1 , NR 3.3.1.1 R 3.3.1.2 , CONR 3.3.1.1 R 3.3.1.1 , COOR 3.3.1.1 , NR 3.3.1.1 COR 3.3.1.2 , SOR 3.3.1.1 , SO 2 R 3.3.1.1 , C (NR 3.3.1.1 R 3.3.1.2 ) NR 3.3.1.3 , NR 3.3.1.1 CONR 3.3.1.2 R 3.3.1.3 , OH, CN, Halogen or het optionally substituted with one or more radicals selected from the group consisting of C 1-4 alkyl, SO 2 R 3.2.1.1 , SO 2 C 1-4 alkyl, SO 2 C 7-11 aralkyl, CH 2 -C 3-6 -cycloalkyl and aryl;
R 3.3.1.1 , R 3.3.1.2 and R 3.3.1.3 is a radical selected from the group consisting of C 1-6 -alkyl, C 2-6 -alkenyl, C 2-6 -alkynyl, C 7-11 -aralkyl, C 2-4 -alkenyl-aryl, C 2-4 -alkynyl-aryl, C 1-4 -alkyl-hetaryl, C 2-4 -alkenyl-hetaryl, C 2-4 -alkynyl-hetaryl, COC 1-4 Alkyl hetaryl, COC 2-4 alkenyl hetaryl, COC 2-4 alkynyl hetaryl; or
two of the groups R 3.3.1.1 , R 3.3.1.2 and R 3.3.1.3 together form a ring consisting of carbon atoms and optionally a heteroatom selected from the group consisting of oxygen, nitrogen and sulfur;
R b R 4 , OR 4 , -CH 2 OR 4 , COR 4 , COOR 4 , CONR 4 R 5 , NR 4 R 5 , NR 5 COR 4 , NR 5 COOR 4 NR 5 CONR 4 R 5 , NR 5 SOR 4 or NR 5 SO 2 R 4 ;
R 4 , R 5 is H, C 1-6 -alkyl, C 1-6 -haloalkyl, C 1-6 -alkylene-OH, C 2-6 -alkenyl, C 7-11 -aralkyl, C 2-4 -alkenyl -Aryl, C 2-4 -alkynyl-aryl, C 1-4 -alkyl-hetaryl, C 2-4 -alkenyl-hetaryl, C 2-4 -alkynyl-hetaryl, C 2-6 -alkynyl, optionally substituted with Si (C 1-4 -alkyl) 3 , or R 4 is a radical selected from the group consisting of aryl, het, hetaryl and optionally substituted by C 1-4 alkyl;
or R 4 and R 5 together form a five, six or seven membered ring consisting of carbon atoms and optionally a heteroatom selected from the group consisting of oxygen, nitrogen and sulfur;
R c NHR 6 or a radical selected from the group consisting of wherein
B bond, C 1-6 alkyl, C 1-6 alkenyl or C 2-6 alkynyl;
R 6 is H or a radical selected from the group consisting of C 1-4 -alkyl, C 2-4 -alkenyl, C 2-4 -alkynyl, C 3-6 -cycloalkyl, C 3-6 -cycloalkenyl, het, aryl, hetaryl optionally substituted with one or more R 6.1 radicals;
R 6.1 halogen, CF 3 , OH, CN, OMe, SO 2 (C 1-4 alkyl);
R 7 is H, C 1-4 -alkyl, C 2-4 -alkenyl, C 2-4 -alkynyl, C 3-6 -cycloalkyl, NR 7.1 R 7.2 , OR 7.2 , SR 7.2 , hetaryl, het, optionally substituted with C 1-4 alkyl or CONH 2 ;
R 7.1 is H, C 1-6 alkyl, (CH 2 ) 2-4 R 7.1.1 or COOButyl;
R 7.2 is H, C 1-6 -alkyl, optionally substituted with one or more OH;
R 7.1.1 NR 7.1.1.1 R 7.1.1.2 , Het or 1-imidazolyl, 2- (N-ethylpyrollidine);
R 7.1.1.1 H or C 1-6 alkyl;
R 7.1.1.2 H or C 1-6 alkyl;
and pharmacologically acceptable salts, diastereomers, enantiomers, racemates, hydrates or solvates thereof.
Bevorzugt
sind die oben genannten Verbindungen der Formel 1; worin
Ra ein Rest ausgewählt aus der Gruppe bestehend
aus Aryl, C7-11-Aralkyl und Hetaryl, der
gegebenenfalls substituiert durch einen oder mehrere Reste ausgewählt aus
der Gruppe bestehend aus R1, R2 und
R3 sein kann;
R1 und
R2 unabhängig
voneinander C1-6-Alkyl, C2-6-Alkenyl
C2-6-Alkinyl, C3-6-Cycloalkyl,
C3-6-Cycloalkenyl, C1-6-Haloalkyl,
C1-6-Alkylen-COOH, C1-6-Alkoxy,
Halogen, OH, CN, COR1.1, O-C1-4-Haloalkyl,
NO2 oder SR1.1, SOR1.1, SO2R1.1, Het oder Hetaryl,
R1.1 OH,
C1-6-Alkyl, C2-6-Alkenyl
C2-6-Alkinyl, NR1.1.1R1.1.2
R1.1.1 H,
C1-6-Alkyl, gegebenenfalls substituiert
mit einem Rest ausgewählt
aus der Gruppe bestehend aus NH2, NHMe,
NMe2;
R1.1.2 H,
C1-6-Alkyl;
oder R1.1.1 und
R1.1.2 bilden zusammen einen fünf- oder
sechsgliedrigen heterocyclischen Ring, der gegebenenfalls substituiert
sein kann mit einem Rest ausgewählt
aus der Gruppe bestehend aus Methyl, Ethyl, Propyl;
R3 ein Rest ausgewählt aus der Gruppe bestehend
aus worin
X
Bindung oder C1-4-alkylen;
R3a ein Rest, gleich oder verschieden, ausgewählt aus
der Gruppe bestehend aus R3.1, R3.2 und R3.3;
R3.1 Spiro oder Het, wobei Het gegebenenfalls
substituiert mit einem oder mehreren R3.1.1 sein
kann;
R3.1.1 C1-6-Alkyl,
C2-6-Alkenyl, OH, C1-4-Alkylen-OH,
C1-4-Alkylen-NR3.1.1.1R3.1.1.2, COR3.1.1.1,
COOR3.1.1.1, CONR3.1.1.1R3.1.1.2, NR3.1.1.1R3.1.1.2, Het, Hetaryl, NHCOR3.1.1.1
R3.1.1.1 ein Rest ausgewählt aus der Gruppe bestehend
aus H, C1-4-Alkyl, Aryl und C7-11-Aralkyl;
gegebenenfalls substituiert mit einem Rest ausgewählt aus
der Gruppe Halogen, OH und CN;
R3.1.1.2 H,
C1-4-Alkyl;
R3.2 ein
Rest ausgewählt
aus der Gruppe bestehend aus C3-6-Cycloalkyl,
Het, Hetaryl und Spiro der gegebenenfalls substituiert ist mit einem
oder mehreren R3.2.1
R3.2.1 C1-6-Alkyl, C3-6-Cycloalkyl,
OH, -NR3.2.1.1R3.2.1.2,
NHCOR3.2.1.3 oder Het, gegebenenfalls substituiert
mit einem oder mehreren Resten ausgewählt aus der Gruppe bestehend
aus C1-4-Alkyl, SO2R3.2.1.1, CH2-C3-6-Cycloalkyl und Aryl;
R3.2.1.1 H,
C1-4-Alkyl oder C7-11-
Aralkyl;
R3.2.1.2 H, C1-4-Alkyl
oder C7-11- Aralkyl;
R3.2.1.2 Aryl,
C7-11-Aralkyl; oder
-C1-6-alkyl,
das gegebenenfalls substituiert ist mit einem oder zwei R3.2.2;
R3.2.2 C1-6-Alkyl, C2-6-Alkenyl,
C2-6-Alkinyl, COOR3.2.2.1,
CONR3.2.2.1R3.2.2.2,
NR3.2.2.1R3.2.2.2,
NHCOR3.2.2.1, C1-6-Haloalkyl,
CN, OR3.2.2.1, SO2R3.2.2.1, C3-6-Cycloalkyl,
CO-Het, C2-4-Alkinyl-Hetaryl, Guanidin oder
ein Rest ausgewählt aus
der Gruppe bestehend aus Het, Hetaryl und Aryl, der gegebenenfalls
substituiert ist mit einem oder mehreren Resten ausgewählt aus
der Gruppe Halogen, C1-6-Alkyl, CONR3.2.2.1R3.2.2.2,
OH, Imidazolidinon;
R3.2.2.1 H oder
C1-6-Alkyl, Aryl, C7-11-Aralkyl
R3.2.2.2. H oder C1-6-Alkyl;
oder
Aryl, das gegebenenfalls substituiert ist mit einem oder
zwei R3.2.3
R3.2.3 ein
Rest ausgewählt
aus der Gruppe bestehend aus NH-C1-6-alkyl-N(C1-6-alkyl)2 oder Het, wobei Het gegebenenfalls substituiert
mit einem Rest C1-6-Alkyl sein kann;
R3.3 H oder ein Rest ausgewählt aus
der Gruppe bestehend aus C1-6-Alkyl, C2-4-Alkenyl, C2-4-Alkinyl,
C1-4-Haloalkyl und Aryl, der gegebenenfalls
substituiert sein kann mit einem oder mehreren Resten R3.3.1,
R3.3.1 C5-6-Cycloalkyl,
C5-6-Cycloalkenyl, OR3.3.1.1,
NR3.3.1.1R3.3.1.2,
CONR3.3.1.1R3.3.1.2,
COOR3.3.1.1, NR3.3.1.1COR3.3.1.2, SOR3.3.1.1,
SO2R3.3.1.1, C(NR3.3.1.1R3.3.1.2)NR3.3.1.3, NR3.3.1.1CONR3.3.1.2R3.3.1.3,
OH, CN, Halogen oder Het, gegebenenfalls substituiert mit einem
oder mehreren Resten ausgewählt
aus der Gruppe bestehend aus C1-4-Alkyl, SO2R3.2.1.1, SO2C1-4-Alkyl, SO2C7-11- Aralkyl,
CH2-C3-6-Cycloalkyl
und Aryl;
R3.3.1.1, R3.3.1.2 und
R3.3.1.3 ein Rest ausgewählt aus der Gruppe bestehend
aus C1-4-Alkyl, C2-4-Alkenyl,
C2-4-Alkinyl, C7-11-Aralkyl,
C2-4-Alkenyl-Aryl, C2-4-Alkinyl-Aryl,
C1-4-Alkyl-Hetaryl, C2-4-Alkenyl-Hetaryl,
C2-4-Alkinyl-Hetaryl, COC1-4-Alkyl-Hetaryl,
COC2-4-Alkenyl-Hetaryl, COC2-4-Alkinyl-Hetaryl;
oder
zwei der Gruppen R3.3.1.1, R3.3.1.2 und R3.3.1.3 bilden
gemeinsam einen fünf-,
sechs oder siebengliedrigen Ring, bestehend aus Kohlenstoffatomen
und gegebenenfalls einem Heteroatom ausgewählt aus der Gruppe bestehend
aus Sauerstoff, Stickstoff und Schwefel;
Rb R4, OR4, -CH2OR4, COR4, COOR4, CONR4R5, NR4R5, NR5COR4, NR5COOR4, NR5CONR4R5, NR5SOR4 oder NR5SO2R4;
R4 H, C1-6-Alkyl,
C1-6-Haloalkyl, C1-6-Alkylen-OH,
C2-6-Alkenyl, C7-11-Aralkyl,
C2-4-Alkenyl-Aryl, C2-4-Alkinyl-Aryl, C1-4-Alkyl-Hetaryl, C2-4-Alkenyl-Hetaryl,
C2-4-Alkinyl-Hetaryl, C2-6-Alkinyl,
gegebenenfalls substituiert mit Si(C1-4-Alkyl)3, oder R4 bedeutet
ein Rest ausgewählt
aus der Gruppe bestehend aus Aryl, Het, Hetaryl und gegebenenfalls
substituiert mit C1-4-Alkyl;
R5 H oder C1-6-Alkyl;
oder
R4 und R5 bilden
gemeinsam einen fünf-,
sechs- oder siebengliedrigen Ring bestehend aus Kohlenstoffatomen
und gegebenenfalls einem Heteroatom ausgewählt aus der Gruppe bestehend
aus Sauerstoff, Stickstoff und Schwefel;
Rc NHR6 oder ein Rest ausgewählt aus der Gruppe bestehend
aus worin
B Bindung, C1-4-Alkyl oder C2-4-Alkinyl;
R6 H oder ein Rest ausgewählt aus der Gruppe C1-4-Alkyl, C2-4-Alkenyl,
C2-4-Alkinyl, C3-6-Cycloalkyl,
C3-6-Cycloalkenyl, Het, Aryl, Hetaryl gegebenenfalls
substituiert mit einem oder mehreren Resten R6.1;
R6.1 Halogen, CF3,
OH, CN, OMe, SO2(C1-4-Alkyl);
R7 H, C1-4-Alkyl,
C2-4-Alkenyl, C2-4-Alkinyl,
C3-6-Cycloalkyl, NR7.1R7.2, OR7.2, SR7.2, Hetaryl, Het, gegebenenfalls substituiert
mit C1-4-Alkyl oder CONH2;
R7.1 H, C1-4-Alkyl,
(CH2)2-4R7.1.1 oder COOButyl;
R7.2 H,
C1-6-Alkyl, gegebenenfalls substituiert
mit einem oder mehreren OH;
R7.1.1 NR7.1.1.1R7.1.1.2 ,
Het oder 1-Imidazolyl, 2-(N-Ethylpyrollidin);
R7.1.1.1 H
oder C1-6-Alkyl;
R7.1.1.2 H
oder C1-6-Alkyl;
bedeuten, sowie pharmakologisch
verträgliche
Salz, Diastereomere, Enantiomere, Racemate, Hydrate oder Solvate
davon.Preference is given to the abovementioned compounds of the formula 1; wherein
R a is a radical selected from the group consisting of aryl, C 7-11 aralkyl and hetaryl, which may optionally be substituted by one or more radicals selected from the group consisting of R 1 , R 2 and R 3 ;
R 1 and R 2 are independently C 1-6 alkyl, C 2-6 alkenyl C 2-6 alkynyl, C 3-6 cycloalkyl, C 3-6 cycloalkenyl, C 1-6 haloalkyl, C 1 -6- alkylene-COOH, C 1-6 -alkoxy, halogen, OH, CN, COR 1.1 , OC 1-4 -haloalkyl, NO 2 or SR 1.1 , SOR 1.1 , SO 2 R 1.1 , het or hetaryl,
R 1.1 OH, C 1-6 -alkyl, C 2-6 -alkenyl C 2-6 -alkynyl, NR 1.1.1 R 1.1.2
R 1.1.1 is H, C 1-6 -alkyl, optionally substituted by a radical selected from the group consisting of NH 2 , NHMe, NMe 2 ;
R 1.1.2 H, C 1-6 -alkyl;
or R 1.1.1 and R 1.1.2 together form a five- or six-membered heterocyclic ring which may optionally be substituted by a radical selected from the group consisting of methyl, ethyl, propyl;
R 3 is a radical selected from the group consisting of wherein
X bond or C 1-4 alkylene;
R 3a is a radical, identical or different, selected from the group consisting of R 3.1 , R 3.2 and R 3.3 ;
R 3.1 is spiro or het, where Het may be optionally substituted with one or more R 3.1.1 ;
R 3.1.1 C 1-6 -alkyl, C 2-6 -alkenyl, OH, C 1-4 -alkylene-OH, C 1-4 -alkylene-NR 3.1.1.1 R 3.1.1.2 , COR 3.1.1.1 , COOR 3.1.1.1 , CONR 3.1.1.1 R 3.1.1.2 , NR 3.1.1.1 R 3.1.1.2 , Het, hetaryl, NHCOR 3.1.1.1
R 3.1.1.1 is a radical selected from the group consisting of H, C 1-4 -alkyl, aryl and C 7-11 -aralkyl; optionally substituted with a radical selected from the group consisting of halogen, OH and CN;
R 3.1.1.2 H, C 1-4 alkyl;
R 3.2 is a radical selected from the group consisting of C 3-6 -cycloalkyl, het, hetaryl and spiro which is optionally substituted by one or more R 3.2.1
R 3.2.1 C 1-6 -alkyl, C 3-6 -cycloalkyl, OH, -NR 3.2.1.1 R 3.2.1.2 , NHCOR 3.2.1.3 or Het, optionally substituted by one or more radicals selected from the group consisting of C 1-4 alkyl, SO 2 R 3.2.1.1 , CH 2 -C 3-6 cycloalkyl and aryl;
R 3.2.1.1 H, C 1-4 alkyl or C 7-11 aralkyl;
R 3.2.1.2 H, C 1-4 alkyl or C 7-11 aralkyl;
R 3.2.1.2 aryl, C 7-11 aralkyl; or
C 1-6 alkyl optionally substituted with one or two R 3.2.2 ;
R 3.2.2 C 1-6 -alkyl, C 2-6 -alkenyl, C 2-6 -alkynyl, COOR 3.2.2.1 , CONR 3.2.2.1 R 3.2.2.2 , NR 3.2.2.1 R 3.2.2.2 , NHCOR 3.2 .2.1 , C 1-6 -haloalkyl, CN, OR 3.2.2.1 , SO 2 R 3.2.2.1 , C 3-6 -cycloalkyl, CO-Het, C 2-4 -alkynyl-hetaryl, guanidine or a radical selected from the group consisting of het, hetaryl and aryl which is optionally substituted by one or more radicals selected from the group consisting of halogen, C 1-6 -alkyl, CONR 3.2.2.1 R 3.2.2.2 , OH, imidazolidinone;
R 3.2.2.1 H or C 1-6 alkyl, aryl, C 7-11 aralkyl
R 3.2.2.2. H or C 1-6 alkyl; or
Aryl which is optionally substituted by one or two R 3.2.3
R 3.2.3 is a radical selected from the group consisting of NH-C 1-6 -alkyl-N (C 1-6 -alkyl) 2 or Het, wherein Het may optionally be substituted by a radical C 1-6 -alkyl;
R 3.3 is H or a radical selected from the group consisting of C 1-6 -alkyl, C 2-4 -alkenyl, C 2-4 -alkynyl, C 1-4 -haloalkyl and aryl which may be optionally substituted with one or more several residues R 3.3.1 ,
R 3.3.1 C 5-6 -cycloalkyl, C 5-6 -cycloalkenyl, OR 3.3.1.1 , NR 3.3.1.1 R 3.3.1.2 , CONR 3.3.1.1 R 3.3.1.2 , COOR 3.3.1.1 , NR 3.3.1.1 COR 3.3.1.2 , SOR 3.3.1.1 , SO 2 R 3.3.1.1 , C (NR 3.3.1.1 R 3.3.1.2 ) NR 3.3.1.3 , NR 3.3.1.1 CONR 3.3.1.2 R 3.3.1.3 , OH, CN, Halogen or het optionally substituted with one or more radicals selected from the group consisting of C 1-4 alkyl, SO 2 R 3.2.1.1 , SO 2 C 1-4 alkyl, SO 2 C 7-11 aralkyl, CH 2 -C 3-6 -cycloalkyl and aryl;
R 3.3.1.1 , R 3.3.1.2 and R 3.3.1.3 is a radical selected from the group consisting of C 1-4 -alkyl, C 2-4 -alkenyl, C 2-4 -alkynyl, C 7-11 -aralkyl, C 2-4 -alkenyl-aryl, C 2-4 -alkynyl-aryl, C 1-4 -alkyl-hetaryl, C 2-4 -alkenyl-hetaryl, C 2-4 -alkynyl-hetaryl, COC 1-4 Alkyl hetaryl, COC 2-4 alkenyl hetaryl, COC 2-4 alkynyl hetaryl; or
two of the groups R 3.3.1.1 , R 3.3.1.2 and R 3.3.1.3 together form a five, six or seven membered ring consisting of carbon atoms and optionally a heteroatom selected from the group consisting of oxygen, nitrogen and sulfur;
R b R 4 , OR 4 , -CH 2 OR 4 , COR 4 , COOR 4 , CONR 4 R 5 , NR 4 R 5 , NR 5 COR 4 , NR 5 COOR 4 , NR 5 CONR 4 R 5 , NR 5 SOR 4 or NR 5 SO 2 R 4 ;
R 4 is H, C 1-6 -alkyl, C 1-6 -haloalkyl, C 1-6 -alkylene-OH, C 2-6 -alkenyl, C 7-11 -aralkyl, C 2-4 -alkenyl-aryl, C 2-4 -alkynyl-aryl, C 1-4 -alkyl-hetaryl, C 2-4 -alkenyl-hetaryl, C 2-4 -alkynyl-hetaryl, C 2-6 -alkynyl, optionally substituted by Si (C 1 -4- alkyl) 3 , or R 4 represents a radical selected from the group consisting of aryl, het, hetaryl and optionally substituted by C 1-4 alkyl;
R 5 is H or C 1-6 alkyl;
or R 4 and R 5 together form a five, six or seven membered ring consisting of carbon atoms and optionally a heteroatom selected from the group consisting of oxygen, nitrogen and sulfur;
R c NHR 6 or a radical selected from the group consisting of wherein
B bond, C 1-4 alkyl or C 2-4 alkynyl;
R 6 is H or a radical selected from the group consisting of C 1-4 -alkyl, C 2-4 -alkenyl, C 2-4 -alkynyl, C 3-6 -cycloalkyl, C 3-6 -cycloalkenyl, het, aryl, hetaryl optionally substituted with one or more R 6.1 radicals;
R 6.1 halogen, CF 3 , OH, CN, OMe, SO 2 (C 1-4 alkyl);
R 7 is H, C 1-4 -alkyl, C 2-4 -alkenyl, C 2-4 -alkynyl, C 3-6 -cycloalkyl, NR 7.1 R 7.2 , OR 7.2 , SR 7.2 , hetaryl, het, optionally substituted with C 1-4 alkyl or CONH 2 ;
R is 7.1 H, C 1-4 alkyl, (CH 2 ) 2-4 R 7.1.1 or COOButyl;
R 7.2 is H, C 1-6 -alkyl, optionally substituted with one or more OH;
R 7.1.1 NR 7.1.1.1 R 7.1.1.2 , Het or 1-imidazolyl, 2- (N-ethylpyrollidine);
R 7.1.1.1 H or C 1-6 alkyl;
R 7.1.1.2 H or C 1-6 alkyl;
and pharmacologically acceptable salts, diastereomers, enantiomers, racemates, hydrates or solvates thereof.
Bevorzugt
sind die oben genannten Verbindungen der Formel 1; worin
Ra ein Rest ausgewählt aus der Gruppe bestehend
aus Aryl, C7-11-Aralkyl und Hetaryl, der
gegebenenfalls substituiert durch einen oder mehrere Reste ausgewählt aus
der Gruppe bestehend aus R1, R2 und
R3 sein kann;
R1 und
R2 unabhängig
voneinander C1-6-Alkyl, C2-6-Alkenyl
C2-6-Alkinyl, C3-6-Cycloalkyl,
C3-6-Cycloalkenyl, C1-6-Haloalkyl,
C1-6-Alkylen-COOH, C1-6-Alkoxy,
Halogen, OH, CN, COR1.1, O-C1-4-Haloalkyl,
NO2 oder SR1.1, SOR1.1, SO2R1.1, Het oder Hetaryl,
R1.1 OH,
C1-6-Alkyl, C2-6-Alkenyl
C2-6-Alkinyl, NR1.1.1R1.1.2
R1.1.1 H,
C1-6-Alkyl, gegebenenfalls substituiert
mit einem Rest ausgewählt
aus der Gruppe bestehend aus NH2, NHMe,
NMe2;
R1.1.2 H,
C1-6-Alkyl;
oder R1.1.1 und
R1.1.2 bilden zusammen einen fünf- oder
sechsgliedrigen heterocyclischen Ring, der gegebenenfalls substituiert
sein kann mit einem Rest ausgewählt
aus der Gruppe bestehend aus Methyl, Ethyl, Propyl;
R3 ein Rest ausgewählt aus der Gruppe bestehend
aus worin
X
Bindung oder C1-4-alkylen;
R3a ein Rest, gleich oder verschieden, ausgewählt aus
der Gruppe bestehend aus R3.1, R3.2 und R3.3;
R3.1 Spiro oder Het, wobei Het gegebenenfalls
substituiert mit einem oder mehreren R3.1.1 sein
kann;
R3.1.1 C1-6-Alkyl,
C2-6-Alkenyl, OH, C1-4-Alkylen-OH,
C1-4-Alkylen-NR3.1.1.1R3.1.1.2, COR3.1.1.1,
COOR3.1.1.1 CONR3.1.1.1R3.1.1.2, NR3.1.1.1R3.1.1.2, Het, Hetaryl, NHCOR3.1.1.1
R3.1.1.1 ein Rest ausgewählt aus der Gruppe bestehend
aus H, C1-4-Alkyl, Aryl und C7-11-Aralkyl;
gegebenenfalls substituiert mit einem Rest ausgewählt aus
der Gruppe Halogen, OH und CN;
R3.1.1.2 H,
C1-4-Alkyl;
R3.2 ein
Rest ausgewählt
aus der Gruppe bestehend aus C3-6-Cycloalkyl,
Het, Hetaryl und Spiro der gegebenenfalls substituiert ist mit einem
oder mehreren R3.2.1
R3.2.1 C1-6-Alkyl, C3-6-Cycloalkyl,
OH, -NR3.2.1.1R3.2.1.2,
NHCOR3.2.1.3 oder Het, gegebenenfalls substituiert
mit einem oder mehreren Resten ausgewählt aus der Gruppe bestehend
aus C1-4-Alkyl, SO2R3.2.1.1, CH2-C3-6-Cycloalkyl und Aryl;
R3.2.1.1 H,
C1-4-Alkyl oder C7-11-
Aralkyl;
R3.2.1.2 H, C1-4-Alkyl
oder C7-11- Aralkyl;
R3.2.1.2 Aryl,
C7-11-Aralkyl; oder
-C1-6-alkyl,
das gegebenenfalls substituiert ist mit einem oder zwei R3.2.2;
R3.2.2 C1-6-Alkyl, C2-6-Alkenyl,
C2-6-Alkinyl, COOR3.2.2.1,
CONR3.2.2.1R3.2.2.2,
NR3.2.2.1R3.2.2.2,
NHCOR3.2.2.1, C1-6-Haloalkyl,
CN, OR3.2.2.1, SO2R3.2.2.1, C3-6-Cycloalkyl,
CO-Het, C2-4-Alkinyl-Hetaryl, Guanidin oder
ein Rest ausgewählt aus
der Gruppe bestehend aus Het, Hetaryl und Aryl, der gegebenenfalls
substituiert ist mit einem oder mehreren Resten ausgewählt aus
der Gruppe Halogen, C1-6-Alkyl, CONR3.2.2.1R3.2.2.2,
OH, Imidazolidinon;
R3.2.2.1 H oder
C1-6-Alkyl, Aryl, C7-11-Aralkyl
R3.2.2.2. H oder C1-6-Alkyl;
oder
Aryl, das gegebenenfalls substituiert ist mit einem oder
zwei R3.2.3
R3.2.3 ein
Rest ausgewählt
aus der Gruppe bestehend aus NH-C1-6-alkyl-N(C1-6-alkyl)2 oder Het, wobei Het gegebenenfalls substituiert
mit einem Rest C1-6-Alkyl sein kann;
R3.3 H oder ein Rest ausgewählt aus
der Gruppe bestehend aus C1-6-Alkyl, C2-4-Alkenyl, C2-4-Alkinyl
und Aryl, der gegebenenfalls substituiert sein kann mit einem oder
mehreren Resten R3.3.1;
R3.3.1 C5-6-Cycloalkyl, C5-6-Cycloalkenyl,
OR3.3.1.1, NR3.3.1.1R3.3.1.2, CONR3.3.1.1R3.3.1.2, COOR3.3.1.1,
NR3.3.1.1COR3.3.1.2, SOR3.3.1.1, SO2R3.3.1.1, C(NR3.3.1.1R3.3.1.2)NR3.3.1.3,
NR3.3.1.1CONR3.3.1.2R3.3.1.3, OH, CN, Halogen oder Het, gegebenenfalls
substituiert mit einem oder mehreren Resten ausgewählt aus
der Gruppe bestehend aus C1-4-Alkyl, SO2R3.2.1.1, SO2C1-4-Alkyl, SO2C7-11- Aralkyl,
CH2-C3-6-Cycloalkyl
und Aryl;;
R3.3.1.1, R3.3.1.2 und
R3.3.1.3 ein Rest ausgewählt aus der Gruppe bestehend
aus C1-4-Alkyl, C7-11-Aralkyl,
C1-4-Alkyl-Hetaryl, COC1-4-Alkyl-Hetaryl;
oder
zwei der Gruppen R3.3.1.1, R3.3.1.2 und R3.3.1.3 bilden
gemeinsam einen fünf-,
sechs oder siebengliedrigen Ring, bestehend aus Kohlenstoffatomen
und gegebenenfalls einem Heteroatom ausgewählt aus der Gruppe bestehend
aus Sauerstoff, Stickstoff und Schwefel;
Rb R4, OR4, -CH2OR4, COR4, COOR4, CONR4R5, NH2,
NR5COOR4, NR5CONR4R5 oder
NR5SOR4;
R4 H, C1-6-Alkyl,
C1-6-Haloalkyl, C1-6-Alkylen-OH,
C2-6-Alkenyl, C7-11-Aralkyl,
C1-4-Alkyl-Hetaryl, C2-6-Alkinyl,
gegebenenfalls substituiert mit Si(C1-4-Alkyl)3, oder R4 bedeutet
ein Rest ausgewählt
aus der Gruppe bestehend aus Aryl, Het, Hetaryl und gegebenenfalls
substituiert mit C1-4-Alkyl;
R5 H oder C1-6-Alkyl;
oder
R4 und R5 bilden
gemeinsam einen fünf-,
sechs- oder siebengliedrigen Ring bestehend aus Kohlenstoffatomen
und gegebenenfalls einem Heteroatom ausgewählt aus der Gruppe bestehend
aus Sauerstoff, Stickstoff und Schwefel;
Rc NHR6 oder ein Rest ausgewählt aus der Gruppe bestehend
aus worin
B Bindung, C1-4-Alkyl oder C2-4-Alkinyl;
R6 H oder ein Rest ausgewählt aus der Gruppe C1-4-Alkyl, C3-6-Cycloalkyl,
Het, Aryl, Hetaryl gegebenenfalls substituiert mit einem oder mehreren
Resten R6.1;
R6.1 Halogen,
CF3, OH, CN, OMe, SO2(C1-4-Alkyl);
R7 H,
C1-4-Alkyl, C3-6-Cycloalkyl,
NR7.1R7.2, OR7.2, SR7.2, Hetaryl,
Het, gegebenenfalls substituiert mit C1-4-Alkyl oder
CONH2;
R7.1 H,
C1-4-Alkyl, (CH2)2-4R7.1.1 oder COOButyl;
R7.2 H, C1-6-Alkyl,
gegebenenfalls substituiert mit einem oder mehreren OH;
R7.1.1 NR7.1.1.1R7.1.1.2, Het oder 1-Imidazolyl, 2-(N-Ethylpyrollidin);
R7.1.1.1 H oder C1-6-Alkyl;
R7.1.1.2 H oder C1-6-Alkyl;
bedeuten,
sowie pharmakologisch verträgliche
Salz, Diastereomere, Enantiomere, Racemate, Hydrate oder Solvate
davon.Preference is given to the abovementioned compounds of the formula 1; wherein
R a is a radical selected from the group consisting of aryl, C 7-11 aralkyl and hetaryl, which may optionally be substituted by one or more radicals selected from the group consisting of R 1 , R 2 and R 3 ;
R 1 and R 2 are independently C 1-6 alkyl, C 2-6 alkenyl C 2-6 alkynyl, C 3-6 cycloalkyl, C 3-6 cycloalkenyl, C 1-6 haloalkyl, C 1 -6- alkylene-COOH, C 1-6 -alkoxy, halogen, OH, CN, COR 1.1 , OC 1-4 -haloalkyl, NO 2 or SR 1.1 , SOR 1.1 , SO 2 R 1.1 , het or hetaryl,
R 1.1 OH, C 1-6 -alkyl, C 2-6 -alkenyl C 2-6 -alkynyl, NR 1.1.1 R 1.1.2
R 1.1.1 is H, C 1-6 -alkyl, optionally substituted by a radical selected from the group consisting of NH 2 , NHMe, NMe 2 ;
R 1.1.2 H, C 1-6 -alkyl;
or R 1.1.1 and R 1.1.2 together form a five- or six-membered heterocyclic ring which may optionally be substituted by a radical selected from the group consisting of methyl, ethyl, propyl;
R 3 is a radical selected from the group consisting of wherein
X bond or C 1-4 alkylene;
R 3a is a radical, identical or different, selected from the group consisting of R 3.1 , R 3.2 and R 3.3 ;
R 3.1 is spiro or het, where Het may be optionally substituted with one or more R 3.1.1 ;
R 3.1.1 C 1-6 -alkyl, C 2-6 -alkenyl, OH, C 1-4 -alkylene-OH, C 1-4 -alkylene-NR 3.1.1.1 R 3.1.1.2 , COR 3.1.1.1 , COOR 3.1.1.1 CONR 3.1.1.1 R 3.1.1.2 , NR 3.1.1.1 R 3.1.1.2 , Het, hetaryl, NHCOR 3.1.1.1
R 3.1.1.1 is a radical selected from the group consisting of H, C 1-4 -alkyl, aryl and C 7-11 -aralkyl; optionally substituted with a radical selected from the group consisting of halogen, OH and CN;
R 3.1.1.2 H, C 1-4 alkyl;
R 3.2 is a radical selected from the group consisting of C 3-6 -cycloalkyl, het, hetaryl and spiro which is optionally substituted by one or more R 3.2.1
R 3.2.1 C 1-6 -alkyl, C 3-6 -cycloalkyl, OH, -NR 3.2.1.1 R 3.2.1.2 , NHCOR 3.2.1.3 or Het, optionally substituted by one or more radicals selected from the group consisting of C 1-4 alkyl, SO 2 R 3.2.1.1 , CH 2 -C 3-6 cycloalkyl and aryl;
R 3.2.1.1 H, C 1-4 alkyl or C 7-11 aralkyl;
R 3.2.1.2 H, C 1-4 alkyl or C 7-11 aralkyl;
R 3.2.1.2 aryl, C 7-11 aralkyl; or
C 1-6 alkyl optionally substituted with one or two R 3.2.2 ;
R 3.2.2 C 1-6 -alkyl, C 2-6 -alkenyl, C 2-6 -alkynyl, COOR 3.2.2.1 , CONR 3.2.2.1 R 3.2.2.2 , NR 3.2.2.1 R 3.2.2.2 , NHCOR 3.2 .2.1 , C 1-6 -haloalkyl, CN, OR 3.2.2.1 , SO 2 R 3.2.2.1 , C 3-6 -cycloalkyl, CO-Het, C 2-4 -alkynyl-hetaryl, guanidine or a radical selected from the group consisting of het, hetaryl and aryl which is optionally substituted by one or more radicals selected from the group consisting of halogen, C 1-6 -alkyl, CONR 3.2.2.1 R 3.2.2.2 , OH, imidazolidinone;
R 3.2.2.1 H or C 1-6 alkyl, aryl, C 7-11 aralkyl
R 3.2.2.2. H or C 1-6 alkyl; or
Aryl which is optionally substituted by one or two R 3.2.3
R 3.2.3 is a radical selected from the group consisting of NH-C 1-6 -alkyl-N (C 1-6 -alkyl) 2 or Het, wherein Het may optionally be substituted by a radical C 1-6 -alkyl;
R 3.3 is H or a radical selected from the group consisting of C 1-6 -alkyl, C 2-4 -alkenyl, C 2-4 -alkynyl and aryl which may be optionally substituted by one or more radicals R 3.3.1 ;
R 3.3.1 C 5-6 -cycloalkyl, C 5-6 -cycloalkenyl, OR 3.3.1.1 , NR 3.3.1.1 R 3.3.1.2 , CONR 3.3.1.1 R 3.3.1.2 , COOR 3.3.1.1 , NR 3.3.1.1 COR 3.3.1.2 , SOR 3.3.1.1 , SO 2 R 3.3.1.1 , C (NR 3.3.1.1 R 3.3.1.2 ) NR 3.3.1.3 , NR 3.3.1.1 CONR 3.3.1.2 R 3.3.1.3 , OH, CN, Halogen or het optionally substituted with one or more radicals selected from the group consisting of C 1-4 alkyl, SO 2 R 3.2.1.1 , SO 2 C 1-4 alkyl, SO 2 C 7-11 aralkyl, CH 2 -C 3-6 -cycloalkyl and aryl;
R 3.3.1.1 , R 3.3.1.2 and R 3.3.1.3 is a radical selected from the group consisting of C 1-4 -alkyl, C 7-11 -aralkyl, C 1-4 -alkyl-hetaryl, COC 1-4 - alkyl hetaryl; or
two of the groups R 3.3.1.1 , R 3.3.1.2 and R 3.3.1.3 together form a five, six or seven membered ring consisting of carbon atoms and optionally a heteroatom selected from the group consisting of oxygen, nitrogen and sulfur;
R b R 4 , OR 4 , -CH 2 OR 4 , COR 4 , COOR 4 , CONR 4 R 5 , NH 2 , NR 5 COOR 4 , NR 5 CONR 4 R 5 or NR 5 SOR 4 ;
R 4 is H, C 1-6 -alkyl, C 1-6 -haloalkyl, C 1-6 -alkylene-OH, C 2-6 -alkenyl, C 7-11 -aralkyl, C 1-4 -alkyl-hetaryl, C 2-6 alkynyl optionally substituted with Si (C 1-4 alkyl) 3 , or R 4 represents a radical selected from the group consisting of aryl, het, hetaryl and optionally substituted with C 1-4 alkyl;
R 5 is H or C 1-6 alkyl;
or R 4 and R 5 together form a five, six or seven membered ring consisting of carbon atoms and optionally a heteroatom selected from the group consisting of oxygen, nitrogen and sulfur;
R c NHR 6 or a radical selected from the group consisting of wherein
B bond, C 1-4 alkyl or C 2-4 alkynyl;
R 6 is H or a radical selected from the group consisting of C 1-4 -alkyl, C 3-6 -cycloalkyl, het, aryl, hetaryl, optionally substituted by one or more radicals R 6.1 ;
R 6.1 halogen, CF 3 , OH, CN, OMe, SO 2 (C 1-4 alkyl);
R 7 is H, C 1-4 -alkyl, C 3-6 -cycloalkyl, NR 7.1 R 7.2 , OR 7.2 , SR 7.2 , hetaryl, Het, optionally substituted by C 1-4 -alkyl or CONH 2 ;
R is 7.1 H, C 1-4 alkyl, (CH 2 ) 2-4 R 7.1.1 or COOButyl;
R 7.2 is H, C 1-6 -alkyl, optionally substituted with one or more OH;
R 7.1.1 NR 7.1.1.1 R 7.1.1.2 , Het or 1-imidazolyl, 2- (N-ethylpyrollidine);
R 7.1.1.1 H or C 1-6 alkyl;
R 7.1.1.2 H or C 1-6 alkyl;
and pharmacologically acceptable salts, diastereomers, enantiomers, racemates, hydrates or solvates thereof.
Bevorzugt
sind die oben genannten Verbindungen der Formel 1; worin
Ra ein Rest ausgewählt aus der Gruppe bestehend
aus Aryl und C7-11-Aralkyl, der gegebenenfalls
substituiert durch einen oder mehrere Reste ausgewählt aus
der Gruppe bestehend aus R1, R2 und
R3 sein kann; oder Hetaryl gegebenenfalls
substituiert durch ein oder mehrere C1-4-Alkyl;
R1 C1-4-Alkyl, C1-4-Haloalkyl, C1-4-Alkylen-COOH,
C1-4-Alkoxy, Halogen, OH, CN, COR1.1, O-C1-4-Haloalkyl,
NO2 oder SO2R1.1;
R1.1 OH,
Methyl, NH2, NHMe, NMe2, R2 C1-4-Alkyl, C1-4-Alkoxy
oder Halogen;
R3 ein Rest ausgewählt aus
der Gruppe bestehend aus worin
n
0 Oder 1;
m 0 oder 1;
o 2;
R3.1 Spiro
oder Het, wobei Het gegebenenfalls substituiert mit einem oder mehreren
R3.1.1 sein kann;
R3.1.1 C1-4-Alkyl, C2-4-Alkenyl,
OH, C1-4-Alkylen-OH, CH2NEt2, COMe, COOH, CONH2,
NH2, Het, Hetaryl, R3.2 ein
Rest ausgewählt
aus der Gruppe bestehend aus C3-6-Cycloalkyl,
Het, Hetaryl und Spiro der gegebenenfalls substituiert ist mit einem
oder zwei R3.2.1
R3.2.1 C1-4-Alkyl, Cyclopentyl, OH, -NR3.2.1.1R3.2.1.2 oder oder Het, gegebenenfalls
substituiert ist mit einem oder mehreren Resten ausgewählt aus
der Gruppe bestehend aus Methyl, SO2R3.2.1.1, R3.2.1.1 H,
Methyl oder Benzyl;
R3.2.1.2 H, Methyl
oder Benzyl; oder
-C1-6-alkyl, das
gegebenenfalls substituiert ist mit einem oder zwei R3.2.2;
R3.2.2 C2-4-Alkenyl,
C2-4-Alkinyl, COOR3.2.2.1,
CONR3.2.2.1R3.2.2.2,
NR3.2.2.1R3.2.2.2,
NHCOR3.2.2.1, C1-4-Haloalkyl,
CN, OH, SO2R3.2.2.1,
C3-6-Cycloalkyl oder ein Rest ausgewählt aus
der Gruppe bestehend aus oder ein Rest ausgewählt aus
der Gruppe bestehend aus Het, Hetaryl und Aryl, der gegebenenfalls
substituiert ist mit einem oder mehreren Resten ausgewählt aus
der Gruppe Cl, Methyl, CONR3.2.2.1R3.2.2.2, OH;
R3.2.2.1 H
oder Methyl;
R3.2.2.2. H oder Methyl;
oder
Aryl, das gegebenenfalls substituiert ist mit einem oder
zwei R3.2.3
R3.2.3 ein
Rest ausgewählt
aus der Gruppe bestehend aus R3.3 H
oder ein Rest ausgewählt
aus der Gruppe bestehend aus C1-6-Alkyl
und Aryl, der gegebenenfalls substituiert sein kann mit einem oder
mehreren Resten R3.3.1;
R3.3.1 C5-6-Cycloalkyl, C5-6-Cycloalkenyl,
OR3.3.1.1, NR3.3.1.1R3.3.1.2, CONR3.3.1.1R3.3.1.2, COOR3.3.1.1,
NR3.3.1.1COR3.3.1.2, SORR3.3.1.1, SO2R3.3.1.1, C(NR3.3.1.1R3.3.1.2)NR3.3.1.3,
NR3.3.1.1CONR3.3.1.2R3.3.1.2, OH, CN, Halogen oder Het, gegebenenfalls
substituiert mit einem oder mehreren Resten ausgewählt aus
der Gruppe bestehend aus C1-4-Alkyl, SO2R3.2.1.1, SO2C1-4-Alkyl, SO2C7-11- Aralkyl, R3.3.1.1,
R3.3.1.2 Und R3.3.1.3 ein
Rest ausgewählt
aus der Gruppe bestehend aus C1-4-Alkyl,
C7-11-Aralkyl, C1-4-Alkyl-Hetaryl,
COC1-4-Alkyl-Hetaryl;
Rb R4, CH2OR4,
COR4, COOR4, CONR4R5, NH2,
NHCOOR4, NHCONR4R5 oder OH;
R4 H,
C1-4-Alkyl, C1-4-Alkylen-OH,
C2-4-Alkinyl, C1-6-Haloalkyl,
Aryl, Het, Hetaryl, R5 H
oder C1-4-Alkyl;
Rc NHR6 oder ein Rest ausgewählt aus der Gruppe bestehend
aus worin
B Bindung, C1-4-Alkyl oder C2-4-Alkinyl;
R6 H, C1-4-Alkyl,
C3-6-Cycloalkyl, C7-11-
Aralkyl, Aryl, gegebenenfalls substituiert mit SO2CH3;
R7 H, NR7.1R7.2, OR7.2, SR7.2, Hetaryl,
Het, gegebenenfalls substituiert mit C1-4-Alkyl
oder CONH2, oder ein Rest ausgewählt aus
der Gruppe bestehend aus R7.1 H,
C1-4-Alkyl, (CH2)2R7.1.1 oder COOButyl;
R7.2 H, C1-4-Alkyl;
R7.1.1 NR7.1.1.1R7.1.1.2, Het oder 1-Imidazolyl, 2-(N-Ethylpyrollidin);
R7.1.1.1 H oder C1-6-Alkyl;
R7.1.1.2 H oder C1-6-Alkyl;
bedeuten,
sowie pharmakologisch verträgliche
Salz, Diastereomere, Enantiomere, Racemate, Hydrate oder Solvate
davon.Preference is given to the abovementioned compounds of the formula 1; wherein
R a is a radical selected from the group consisting of aryl and C 7-11 aralkyl, which may optionally be substituted by one or more radicals selected from the group consisting of R 1 , R 2 and R 3 ; or hetaryl optionally substituted by one or more C 1-4 alkyl;
R 1 is C 1-4 -alkyl, C 1-4 -haloalkyl, C 1-4 -alkylene-COOH, C 1-4 -alkoxy, halogen, OH, CN, COR 1.1 , OC 1-4 -haloalkyl, NO 2 or SO 2 R 1.1 ;
R 1.1 OH, methyl, NH 2 , NHMe, NMe 2 , R 2 is C 1-4 alkyl, C 1-4 alkoxy or halo;
R 3 is a radical selected from the group consisting of wherein
n 0 or 1;
m is 0 or 1;
o 2;
R 3.1 is spiro or het, where Het may be optionally substituted with one or more R 3.1.1 ;
R 3.1.1 C 1-4 -alkyl, C 2-4 -alkenyl, OH, C 1-4 -alkylene-OH, CH 2 NEt 2 , COMe, COOH, CONH 2 , NH 2 , Het, hetaryl, R 3.2 is a radical selected from the group consisting of C 3-6 -cycloalkyl, het, hetaryl and spiro which is optionally substituted by one or two R 3.2.1
R 3.2.1 C 1-4 alkyl, cyclopentyl, OH, NR 3.2.1.1 R 3.2.1.2 or or Het, optionally substituted by one or more radicals selected from the group consisting of methyl, SO 2 R 3.2.1.1 , R 3.2.1.1 H, methyl or benzyl;
R 3.2.1.2 H, methyl or benzyl; or
C 1-6 alkyl optionally substituted with one or two R 3.2.2 ;
R 3.2.2 C 2-4 alkenyl, C 2-4 alkynyl, COOR 3.2.2.1 , CONR 3.2.2.1 R 3.2.2.2 , NR 3.2.2.1 R 3.2.2.2 , NHCOR 3.2.2.1 , C 1-4 Haloalkyl, CN, OH, SO 2 R 3.2.2.1 , C 3-6 cycloalkyl or a radical selected from the group consisting of or a radical selected from the group consisting of het, hetaryl and aryl which is optionally substituted by one or more radicals selected from the group Cl, methyl, CONR 3.2.2.1 R 3.2.2.2 , OH;
R 3.2.2.1 H or methyl;
R 3.2.2.2. H or methyl; or
Aryl which is optionally substituted by one or two R 3.2.3
R 3.2.3 is a radical selected from the group consisting of R 3.3 is H or a radical selected from the group consisting of C 1-6 -alkyl and aryl which may be optionally substituted by one or more radicals R 3.3.1 ;
R 3.3.1 C 5-6 -cycloalkyl, C 5-6 -cycloalkenyl, OR 3.3.1.1 , NR 3.3.1.1 R 3.3.1.2 , CONR 3.3.1.1 R 3.3.1.2 , COOR 3.3.1.1 , NR 3.3.1.1 COR 3.3.1.2 , SORR 3.3.1.1 , SO 2 R 3.3.1.1 , C (NR 3.3.1.1 R 3.3.1.2 ) NR 3.3.1.3 , NR 3.3.1.1 CONR 3.3.1.2 R 3.3.1.2 , OH, CN, Halogen or het optionally substituted with one or more radicals selected from the group consisting of C 1-4 alkyl, SO 2 R 3.2.1.1 , SO 2 C 1-4 alkyl, SO 2 C 7-11 aralkyl, R 3.3.1.1 , R 3.3.1.2 and R 3.3.1.3 is a radical selected from the group consisting of C 1-4 -alkyl, C 7-11 -aralkyl, C 1-4 -alkyl-hetaryl, COC 1-4 - alkyl hetaryl;
R b R 4 , CH 2 OR 4 , COR 4 , COOR 4 , CONR 4 R 5 , NH 2 , NHCOOR 4 , NHCONR 4 R 5 or OH;
R 4 is H, C 1-4 -alkyl, C 1-4 -alkylene-OH, C 2-4 -alkynyl, C 1-6 -haloalkyl, aryl, het, hetaryl, R 5 is H or C 1-4 alkyl;
R c NHR 6 or a radical selected from the group consisting of wherein
B bond, C 1-4 alkyl or C 2-4 alkynyl;
R 6 is H, C 1-4 alkyl, C 3-6 cycloalkyl, C 7-11 aralkyl, aryl optionally substituted with SO 2 CH 3 ;
R 7 H, NR 7.1 R 7.2 , OR 7.2 , SR 7.2 , hetaryl, Het, optionally substituted by C 1-4 alkyl or CONH 2 , or a radical selected from the group consisting of R is 7.1 H, C 1-4 alkyl, (CH 2 ) 2 R 7.1.1 or COOButyl;
R 7.2 is H, C 1-4 alkyl;
R 7.1.1 NR 7.1.1.1 R 7.1.1.2 , Het or 1-imidazolyl, 2- (N-ethylpyrollidine);
R 7.1.1.1 H or C 1-6 alkyl;
R 7.1.1.2 H or C 1-6 alkyl;
and pharmacologically acceptable salts, diastereomers, enantiomers, racemates, hydrates or solvates thereof.
Besonders
bevorzugt sind die oben genannten Verbindungen der Formel 1; worin
Ra Phenyl oder Benzyl, jeweils gegebenenfalls
substituiert durch einen oder mehrere Reste ausgewählt aus der
Gruppe bestehend aus R1, R2 und
R3; oder R1 Methyl, Ethyl, Propyl, Butyl, CF3, CH2COOH, Methoxy,
F, Cl, Br, OH, CN, COR1.1, OCF3,
NO2 oder SO2R1.1;
R1.1 OH,
Methyl, NH2, NHMe, NMe2, R2 Methyl,
Methoxy, F, Cl oder Br;
R3 ein Rest
ausgewählt
aus der Gruppe bestehend aus worin
n
0 oder 1;
m 0 oder 1;
o 2;
R3.1 ein
Rest ausgewählt
aus der Gruppe bestehend aus oder ein
Rest ausgewählt
aus der Gruppe bestehend aus der gegebenenfalls
substituiert sein kann mit einem oder mehreren R3.1.1;
R3.1.1 Methyl, Ethyl, OH, CH2OH,
CH2CH2OH, CH2NEt2, COMe, COOH,
CONH2, NH2, R3.2 ein
Rest ausgewählt
aus der Gruppe bestehend aus der gegebenenfalls
substituiert ist mit einem oder mehreren Resten ausgewählt aus
der Gruppe bestehend aus Methyl, Ethyl, Cyclopentyl, OH, NH2; oder
Cyclohexyl, das gegebenenfalls
substituiert ist mit einem oder zwei R3.2.1
R3.2.1 -NR3.2.1.1R3.2.1.2 oder ein Rest ausgewählt aus
der Gruppe bestehend aus oder ein Rest ausgewählt aus
der Gruppe bestehend aus der gegebenenfalls substituiert
ist mit einem oder mehreren Resten ausgewählt aus der Gruppe bestehend aus
Methyl, SO2R3.2.1.1, R3.2.1.1 H,
Methyl oder Benzyl;
R3.2.1.2 H, Methyl
oder Benzyl; oder
-C1-6-alkyl, gerade
oder verzweigt, das gegebenenfalls substituiert ist mit einem oder
zwei R3.2.2;
R3.2.2 C=CH2, C≡CH,
COOR3.2.2.1, CONR3.2.2.1R3.2.2.2, NR3.2.2.1R3.2.2.2, NHCOR3.2.2.1,
CF3, CN, OH, SO2R3.2.2.1 oder ein Rest ausgewählt aus
der Gruppe bestehend aus oder ein
Rest ausgewählt
aus der Gruppe bestehend aus der gegebenenfalls
substituiert ist mit einem oder mehreren Resten ausgewählt aus
der Gruppe Cl, Methyl, CONR3.2.2.1R3.2.2.2, OH;
R3.2.2.1 H
oder Methyl;
R3.2.2.2. H oder Methyl;
oder
Phenyl, das gegebenenfalls substituiert ist mit einem
oder zwei R3.2.3
R3.2.3 ein
Rest ausgewählt
aus der Gruppe bestehend aus R3.3 H,
Methyl oder Ethyl;
Rb R4,
CH2OR4, COR4, COOR4, CONR4R5, NH2,
NHCOOR4, NHCONR4R5 oder OH;
R4 H,
Methyl, Ethyl, 2-Hydroxyethyl, Propyl, C≡CH, CF3,
Phenyl, R5 H, Methyl oder Ethyl;
Rc NH2 oder ein Rest ausgewählt aus der Gruppe bestehend
aus worin
B Bindung, Methylen,
Ethylen, Propylen oder Butinylen;
R6 H,
Phenyl, gegebenenfalls substituiert mit SO2CH3;
R7 H, NR7.1R7.2, OR7.2, SR7.2 oder ein
Rest ausgewählt
aus der Gruppe bestehend aus R7.1 H, Methyl, Ethyl, (CH2)2R7.1.1 oder COOButyl;
R7.2 H, Methyl oder Ethyl;
R7.1.1 NMe2 oder 1-Imidazolyl
bedeuten, sowie
pharmakologisch verträgliche
Salz, Diastereomere, Enantiomere, Racemate, Hydrate oder Solvate
davon.Particularly preferred are the abovementioned compounds of the formula 1; wherein
R a is phenyl or benzyl, each optionally substituted by one or more radicals selected from the group consisting of R 1 , R 2 and R 3 ; or R 1 is methyl, ethyl, propyl, butyl, CF 3 , CH 2 COOH, methoxy, F, Cl, Br, OH, CN, COR 1.1 , OCF 3 , NO 2 or SO 2 R 1.1 ;
R 1.1 OH, methyl, NH 2 , NHMe, NMe 2 , R 2 is methyl, methoxy, F, Cl or Br;
R 3 is a radical selected from the group consisting of wherein
n is 0 or 1;
m is 0 or 1;
o 2;
R 3.1 is a radical selected from the group consisting of or a radical selected from the group consisting of which may optionally be substituted by one or more R 3.1.1 ;
R 3.1.1 methyl, ethyl, OH, CH 2 OH, CH 2 CH 2 OH, CH 2 NEt 2 , COMe, COOH, CONH 2 , NH 2 , R 3.2 is a radical selected from the group consisting of which is optionally substituted by one or more radicals selected from the group consisting of methyl, ethyl, cyclopentyl, OH, NH 2 ; or
Cyclohexyl optionally substituted with one or two R 3.2.1
R 3.2.1 -NR 3.2.1.1 R 3.2.1.2 or a radical selected from the group consisting of or a radical selected from the group consisting of which is optionally substituted by one or more radicals selected from the group consisting of methyl, SO 2 R 3.2.1.1 , R 3.2.1.1 H, methyl or benzyl;
R 3.2.1.2 H, methyl or benzyl; or
C 1-6 alkyl, straight or branched, which is optionally substituted with one or two R 3.2.2 ;
R 3.2.2 C = CH 2 , C≡CH, COOR 3.2.2.1 , CONR 3.2.2.1 R 3.2.2.2 , NR 3.2.2.1 R 3.2.2.2 , NHCOR 3.2.2.1 , CF 3 , CN, OH, SO 2 R 3.2.2.1 or a radical selected from the group consisting of or a radical selected from the group consisting of which is optionally substituted by one or more radicals selected from the group Cl, methyl, CONR 3.2.2.1 R 3.2.2.2 , OH;
R 3.2.2.1 H or methyl;
R 3.2.2.2. H or methyl; or
Phenyl, which is optionally substituted with one or two R 3.2.3
R 3.2.3 is a radical selected from the group consisting of R 3.3 is H, methyl or ethyl;
R b R 4 , CH 2 OR 4 , COR 4 , COOR 4 , CONR 4 R 5 , NH 2 , NHCOOR 4 , NHCONR 4 R 5 or OH;
R 4 is H, methyl, ethyl, 2-hydroxyethyl, propyl, C 1 H 3 , CF 3 , phenyl, R 5 is H, methyl or ethyl;
R c is NH 2 or a radical selected from the group consisting of wherein
B bond, methylene, ethylene, propylene or butynylene;
R 6 is H, phenyl optionally substituted with SO 2 CH 3 ;
R 7 H, NR 7.1 R 7.2 , OR 7.2 , SR 7.2 or a radical selected from the group consisting of R 7.1 is H, methyl, ethyl, (CH 2 ) 2 R 7.1.1 or COOButyl;
R 7.2 is H, methyl or ethyl;
R 7.1.1 NMe 2 or 1-imidazolyl
and pharmacologically acceptable salt, diastereomers, enantiomers, racemates, hydrates or Solvates of it.
Besonders
bevorzugt sind die oben genannten Verbindungen der Formel 1; worin
Rc ein Rest worin
B Methylen, Propylen;
R7 H, NR7.1R7.2 oder 1-Imidazolyl;
R7.1 H
oder Methyl;
R7.2 H oder Methyl;
bedeuten,
sowie pharmakologisch verträgliche
Salz, Diastereomere, Enantiomere, Racemate, Hydrate oder Solvate
davon.Particularly preferred are the abovementioned compounds of the formula 1; wherein
R c a remainder wherein
B is methylene, propylene;
R 7 H, NR 7.1 R 7.2 or 1-imidazolyl;
R 7.1 is H or methyl;
R 7.2 is H or methyl;
and pharmacologically acceptable salts, diastereomers, enantiomers, racemates, hydrates or solvates thereof.
Besonders
bevorzugt sind die oben genannten Verbindungen der Formel 1; worin
Ra Phenyl, gegebenenfalls substituiert durch
einen oder mehrere Reste ausgewählt
aus der Gruppe bestehend aus R1, R2 und R3;
bedeuten,
sowie pharmakologisch verträgliche
Salz, Diastereomere, Enantiomere, Racemate, Hydrate oder Solvate
davon.Particularly preferred are the abovementioned compounds of the formula 1; wherein
R a is phenyl, optionally substituted by one or more radicals selected from the group consisting of R 1 , R 2 and R 3 ;
and pharmacologically acceptable salts, diastereomers, enantiomers, racemates, hydrates or solvates thereof.
Besonders
bevorzugt sind die oben genannten Verbindungen der Formel 1; worin
Ra Phenyl, gegebenenfalls substituiert durch
einen oder mehrere Reste ausgewählt
aus der Gruppe bestehend aus R1 und R3;
R1 Methyl,
Ethyl, Propyl, CF3, Methoxy, F, Cl oder
Br;
R3 ein Rest bedeuten, sowie pharmakologisch
verträgliche
Salz, Diastereomere, Enantiomere, Racemate, Hydrate oder Solvate
davon.Particularly preferred are the abovementioned compounds of the formula 1; wherein
R a is phenyl, optionally substituted by one or more radicals selected from the group consisting of R 1 and R 3 ;
R 1 is methyl, ethyl, propyl, CF 3 , methoxy, F, Cl or Br;
R 3 is a remainder and pharmacologically acceptable salts, diastereomers, enantiomers, racemates, hydrates or solvates thereof.
Besonders
bevorzugt sind die oben genannten Verbindungen der Formel 1; worin
Ra Phenyl, gegebenenfalls substituiert durch
einen oder mehrere Reste ausgewählt
aus der Gruppe bestehend aus R1 und R3;
R1 Methyl,
Ethyl, Propyl, CF3, Methoxy, F, Cl oder
Br;
R3 ein Rest bedeuten, sowie pharmakologisch
verträgliche
Salz, Diastereomere, Enantiomere, Racemate, Hydrate oder Solvate
davon.Particularly preferred are the abovementioned compounds of the formula 1; wherein
R a is phenyl, optionally substituted by one or more radicals selected from the group consisting of R 1 and R 3 ;
R 1 is methyl, ethyl, propyl, CF 3 , methoxy, F, Cl or Br;
R 3 is a remainder and pharmacologically acceptable salts, diastereomers, enantiomers, racemates, hydrates or solvates thereof.
Besonders bevorzugt von den oben genannten Verbindungen der Formel 1 sind die Verbindungen der Formel 1.1; worin worin Ra, Rb und Rc die oben genannte Bedeutung haben, sowie pharmakologisch verträgliche Salz, Diastereomere, Enantiomere, Racemate, Hydrate oder Solvate davon.Particularly preferred of the above-mentioned compounds of formula 1 are the compounds of formula 1.1; wherein wherein R a , R b and R c have the abovementioned meaning, as well as pharmacologically acceptable salt, diastereomers, enantiomers, racemates, hydrates or solvates thereof.
Besonders
bevorzugt sind die oben genannten Verbindungen der Formel 1.1; worin
Ra Phenyl, gegebenenfalls substituiert durch
einen oder mehrere Reste ausgewählt
aus der Gruppe bestehend aus R1, R2 und R3; oder R1 Methyl, Ethyl, Propyl, CF3,
CH2COOH, Methoxy, F, Cl, Br, CN, COR1.1 oder SO2R1.1;
R1.1 OH,
Methyl, NH2, NHMe, NMe2 oder R2 Methyl,
F, Cl oder Br;
R3 ein Rest ausgewählt aus
der Gruppe bestehend aus worin
n 0 oder 1;
m
0 oder 1;
o 2;
R3.1 ein Rest ausgewählt aus
der Gruppe bestehend aus oder ein
Rest ausgewählt
aus der Gruppe bestehend aus der gegebenenfalls substituiert
sein kann mit einem oder mehreren R3.1.1;
R3.1.1 Methyl, OH, CH2OH,
CH2CH2OH, CH2NEt2, COMe, COOH,
CONH2, R3.2 ein Rest ausgewählt aus der Gruppe bestehend
aus der gegebenenfalls
substituiert ist mit einem oder mehreren Resten ausgewählt aus
der Gruppe bestehend aus Methyl, Ethyl, Cyclopentyl, OH, NH2; oder
Cyclohexyl, das gegebenenfalls
substituiert ist mit einem oder zwei R3.2.1 R3.2.1 -NR3.2.1.1R3.2.1.2 oder ein Rest ausgewählt aus
der Gruppe bestehend aus oder ein Rest ausgewählt aus
der Gruppe bestehend aus der gegebenenfalls substituiert
ist mit einer oder mehreren Methylgruppen
R3.2.1.1 H
oder Methyl;
R3.2.1.2 H oder Methyl;
oder
-C1-6-alkyl, gerade oder verzweigt,
das gegebenenfalls substituiert ist mit einem oder zwei R3.2.2;
R3.2.2 C=CH2, C≡CH,
COOR3.2.2.1, CONR3.2.2.1R3.2.2.2, NR3.2.2.1R3.2.2.2, CN, OH oder ein Rest ausgewählt aus
der Gruppe bestehend aus oder ein
Rest ausgewählt
aus der Gruppe bestehend aus der gegebenenfalls substituiert
ist mit einem oder mehreren Resten ausgewählt aus der Gruppe Methyl, CONR3.2.2.1R3.2.2.2,
OH;
R3.2.2.1 H oder Methyl;
R3.2.2.2. H oder Methyl; oder
Phenyl,
das gegebenenfalls substituiert ist mit einem oder zwei R3.2.3
R3.2.3 ein
Rest ausgewählt
aus der Gruppe bestehend aus R3.3 H,
Methyl oder Ethyl;
Rb R4,
CH2OCH3, COR4, COOH, COOCH3 CONR4R5, NH2,
NHCOOR4 oder OH;
R4 H,
Methyl, Propyl, C≡CH,
Phenyl, R5 H oder Methyl;
Rc ein
Rest worin
B Methylen, Propylen;
R7 H, NR7.1R7.2 oder 1-Imidazolyl;
R7.1 H
oder Methyl;
R7.2 H oder Methyl;
bedeuten,
sowie pharmakologisch verträgliche
Salz, Diastereomere, Enantiomere, Racemate, Hydrate oder Solvate
davon.Particularly preferred are the abovementioned compounds of the formula 1.1; wherein
R a is phenyl, optionally substituted by one or more radicals selected from the group consisting of R 1 , R 2 and R 3 ; or R 1 is methyl, ethyl, propyl, CF 3 , CH 2 COOH, methoxy, F, Cl, Br, CN, COR 1.1 or SO 2 R 1.1 ;
R 1.1 OH, methyl, NH 2 , NHMe, NMe 2 or R 2 is methyl, F, Cl or Br;
R 3 is a radical selected from the group consisting of wherein
n is 0 or 1;
m is 0 or 1;
o 2;
R 3.1 is a radical selected from the group consisting of or a radical selected from the group consisting of which may optionally be substituted by one or more R 3.1.1 ;
R 3.1.1 methyl, OH, CH 2 OH, CH 2 CH 2 OH, CH 2 NEt 2 , COMe, COOH, CONH 2 , R 3.2 is a radical selected from the group consisting of which is optionally substituted by one or more radicals selected from the group consisting of methyl, ethyl, cyclopentyl, OH, NH 2 ; or
Cyclohexyl which is optionally substituted by one or two R 3.2.1 R 3.2.1 -NR 3.2.1.1 R 3.2.1.2 or a radical selected from the group consisting of or a radical selected from the group consisting of which is optionally substituted by one or more methyl groups
R 3.2.1.1 H or methyl;
R 3.2.1.2 H or methyl; or
C 1-6 alkyl, straight or branched, which is optionally substituted with one or two R 3.2.2 ;
R 3.2.2 C = CH 2 , C≡CH, COOR 3.2.2.1 , CONR 3.2.2.1 R 3.2.2.2 , NR 3.2.2.1 R 3.2.2.2 , CN, OH or a radical selected from the group consisting of or a radical selected from the group consisting of which is optionally substituted by one or more radicals selected from the group consisting of methyl, CONR 3.2.2.1 R 3.2.2.2 , OH;
R 3.2.2.1 H or methyl;
R 3.2.2.2. H or methyl; or
Phenyl, which is optionally substituted with one or two R 3.2.3
R 3.2.3 is a radical selected from the group consisting of R 3.3 is H, methyl or ethyl;
R b R 4 , CH 2 OCH 3 , COR 4 , COOH, COOCH 3 CONR 4 R 5 , NH 2 , NHCOOR 4 or OH;
R 4 is H, methyl, propyl, C≡CH, phenyl, R 5 is H or methyl;
R c a remainder wherein
B is methylene, propylene;
R 7 H, NR 7.1 R 7.2 or 1-imidazolyl;
R 7.1 is H or methyl;
R 7.2 is H or methyl;
and pharmacologically acceptable salts, diastereomers, enantiomers, racemates, hydrates or solvates thereof.
Am
meisten bevorzugt sind die oben genannten Verbindungen der Formel
1.1; worin
Ra Phenyl, gegebenenfalls
substituiert durch einen oder mehrere Reste ausgewählt aus
der Gruppe bestehend aus R1, R2 und
R3; oder R1 Methyl,
CF3, Methoxy, F, Cl, Br, COR1.1 oder
SO2R1.1;
R1.1 OH, NH2, NHMe
oder NMe2;
R2 Cl;
R3 ein Rest ausgewählt aus der Gruppe bestehend
aus worin
n 0 oder 1;
m
0 oder 1;
R3.1 ein Rest ausgewählt aus
der Gruppe bestehend aus oder ein Rest ausgewählt aus
der Gruppe bestehend aus der gegebenenfalls substituiert
sein kann mit einem oder mehreren R3.1.1;
R3.1.1 OH, CONH2 oder
4-Pyridinyl,
R3.2 ein Rest ausgewählt aus
der Gruppe bestehend aus der gegebenenfalls substituiert
ist mit einer oder mehreren Methylgruppen; oder
Cyclohexyl,
das gegebenenfalls substituiert ist mit einem oder zwei R3.2.1
R3.2.1 ein
Rest ausgewählt
aus der Gruppe bestehend aus -C1-6-alkyl,
gerade oder verzweigt, das gegebenenfalls substituiert ist mit einem
oder zwei R3.2.2;
R3.2.2 COOR3.2.2.1, CONR3.2.2.1R3.2.2.2, 4-Pyrdinyl oder ein Rest ausgewählt aus
der Gruppe bestehend aus der gegebenenfalls substituiert
ist mit einem oder mehreren Resten ausgewählt aus der Gruppe Methyl;
R3.2.2.1 H oder Methyl;
R3.2.2.2. H
oder Methyl; oder
R3.3 H, Methyl oder
Ethyl;
Rb R4,
CH2OCH3 oder OH;
R4 H, C≡CH, Rc ein
Rest worin
B Methylen, Propylen;
R7 H oder NR7.1R7.2;
R7.1 H
oder Methyl;
R7.2 H oder Methyl;
bedeuten,
sowie pharmakologisch verträgliche
Salz, Diastereomere, Enantiomere, Racemate, Hydrate oder Solvate
davon.Most preferred are the above compounds of formula 1.1; wherein
R a is phenyl, optionally substituted by one or more radicals selected from the group consisting of R 1 , R 2 and R 3 ; or R 1 is methyl, CF 3 , methoxy, F, Cl, Br, COR 1.1 or SO 2 R 1.1 ;
R 1.1 is OH, NH 2 , NHMe or NMe 2 ;
R 2 Cl;
R 3 is a radical selected from the group consisting of wherein
n is 0 or 1;
m is 0 or 1;
R 3.1 is a radical selected from the group consisting of or a radical selected from the group consisting of which may optionally be substituted by one or more R 3.1.1 ;
R 3.1.1 OH, CONH 2 or 4-pyridinyl,
R 3.2 is a radical selected from the group consisting of which is optionally substituted by one or more methyl groups; or
Cyclohexyl optionally substituted with one or two R 3.2.1
R 3.2.1 is a radical selected from the group consisting of C 1-6 alkyl, straight or branched, which is optionally substituted with one or two R 3.2.2 ;
R 3.2.2 COOR 3.2.2.1 , CONR 3.2.2.1 R 3.2.2.2 , 4-pyridinyl or a radical selected from the group consisting of which is optionally substituted by one or more radicals selected from the group methyl;
R 3.2.2.1 H or methyl;
R 3.2.2.2. H or methyl; or
R 3.3 is H, methyl or ethyl;
R b R 4 , CH 2 OCH 3 or OH;
R 4 H, C≡CH, R c a remainder wherein
B is methylene, propylene;
R 7 H or NR 7.1 R 7.2 ;
R 7.1 is H or methyl;
R 7.2 is H or methyl;
and pharmacologically acceptable salts, diastereomers, enantiomers, racemates, hydrates or solvates thereof.
Besonders bevorzugt von den oben genannten Verbindungen der Formel 1 sind die Verbindungen der Formel 1.2; worin worin Ra, Rb und Rc die oben genannte Bedeutung haben, sowie pharmakologisch verträgliche Salz, Diastereomere, Enantiomere, Racemate, Hydrate oder Solvate davon.Particularly preferred of the above-mentioned compounds of formula 1 are the compounds of formula 1.2; wherein wherein R a , R b and R c have the abovementioned meaning, as well as pharmacologically acceptable salt, diastereomers, enantiomers, racemates, hydrates or solvates thereof.
Besonders
bevorzugt sind die oben genannten Verbindungen der Formel 1.2; worin
Rb und Rc die oben genannte
Bedeutung haben und
Ra Aryl, gegebenenfalls
substituiert mit einem oder mehreren Reste ausgewählt aus
der Gruppe bestehend aus R1, R2 und
R3;
R1 und
R2 unabhängig
voneinander C1-6-Alkyl, C1-6-Haloalkyl,
C1-6-Alkoxy, Halogen, COR1.1,
SO2R1.1,
R1.1 C1-6-Alkyl, NR1.1.1R1.1.2
R1.1.1 H, C1-6-Alkyl,
gegebenenfalls substituiert mit einem Rest ausgewählt aus
der Gruppe bestehend aus NH2, NHMe, NMe2;
R1.1.2 H,
C1-6-Alkyl;
oder R1.1.1 und
R1.1.2 bilden zusammen einen fünf- oder
sechsgliedrigen heterocyclischen Ring, der gegebenenfalls substituiert
sein kann mit einem Rest ausgewählt
aus der Gruppe bestehend aus Methyl, Ethyl, Propyl;
R3 ein Rest ausgewählt aus der Gruppe bestehend
aus worin
X Bindung oder
C1-4-alkylen;
R3a ein
Rest, gleich oder verschieden, ausgewählt aus der Gruppe bestehend
aus R3.1, R3.2 und
R3.3;
R3.1 Spiro
oder Het, wobei Het gegebenenfalls substituiert mit einem oder mehreren
R3.1.1 sein kann;
R3.1.1 NR3.1.1.1R3.1.1.2;
R3.1.1.1 H, C1-4-Alkyl;
R3.1.1.2 H, C1-4-Alkyl;
bedeutet,
sowie pharmakologisch verträgliche
Salz, Diastereomere, Enantiomere, Racemate, Hydrate oder Solvate
davon.Particularly preferred are the abovementioned compounds of the formula 1.2; wherein R b and R c have the abovementioned meaning and
R a is aryl optionally substituted with one or more radicals selected from the group consisting of R 1 , R 2 and R 3 ;
R 1 and R 2 are independently C 1-6 alkyl, C 1-6 haloalkyl, C 1-6 alkoxy, halogen, COR 1.1, SO 2 R 1.1,
R 1.1 C 1-6 -alkyl, NR 1.1.1 R 1.1.2
R 1.1.1 is H, C 1-6 -alkyl, optionally substituted by a radical selected from the group consisting of NH 2 , NHMe, NMe 2 ;
R 1.1.2 H, C 1-6 -alkyl;
or R 1.1.1 and R 1.1.2 together form a five- or six-membered heterocyclic ring which may optionally be substituted by a radical selected from the group consisting of methyl, ethyl, propyl;
R 3 is a radical selected from the group consisting of wherein
X bond or C 1-4 alkylene;
R 3a is a radical, identical or different, selected from the group consisting of R 3.1 , R 3.2 and R 3.3 ;
R 3.1 is spiro or het, where Het may be optionally substituted with one or more R 3.1.1 ;
R 3.1.1 NR 3.1.1.1 R 3.1.1.2 ;
R 3.1.1.1 H, C 1-4 alkyl;
R 3.1.1.2 H, C 1-4 alkyl;
and pharmacologically acceptable salts, diastereomers, enantiomers, racemates, hydrates or solvates thereof.
Besonders
bevorzugt sind die oben genannten Verbindungen der Formel 1.2; worin
Ra Phenyl, gegebenenfalls substituiert mit
einem oder mehreren Reste ausgewählt
aus der Gruppe bestehend aus R1, R2 und R3;
R1 und R2 unabhängig voneinander
C1-6-Alkyl, C1-6-Haloalkyl,
C1-6-Alkoxy, Halogen, COR1.1,
SO2R1.1,
R1.1 Methyl Ethyl, Propyl, NR1.1.1R1.1.2
R1.1.1 H,
Methyl Ethyl, Propyl;
R1.1.2 H, Methyl
Ethyl, Propyl;
oder R1.1.1 und R1.1.2 bilden zusammen einen fünf- oder
sechsgliedrigen heterocyclischen Ring, der gegebenenfalls substituiert
sein kann mit einem Rest ausgewählt
aus der Gruppe bestehend aus Methyl, Ethyl, Propyl;
R3 ein Rest ausgewählt aus der Gruppe bestehend
aus worin
X Bindung oder
Methylen, Ethylen, Propylen;
R3a ein
Rest, gleich oder verschieden, ausgewählt aus der Gruppe bestehend
aus R3.1, R3.2 und
R3.3;
R3.1 Spiro
oder Het, wobei Het gegebenenfalls substituiert mit einem oder mehreren
R3.1.1 sein kann;
R3.1.1 NR3.1.1.1R3.1.1.2;
R3.1.1.1 H, Methyl Ethyl, Propyl;
R3.1.1.2 H, Methyl Ethyl, Propyl;
Rb R4;
R4 H;
Rc NHR6 oder ein Rest worin
B Bindung, Methylen,
Ethylen oder Propylen;
R6 H;
R7 H oder NR7.1R7.2, R7.1 H,
Methyl, Ethyl, (CH2)2R7.1.1 oder COOButyl;
R7.2 H,
Methyl oder Ethyl;
R7.1.1 NMe2 oder 1-Imidazolyl
bedeutet, sowie
pharmakologisch verträgliche
Salz, Diastereomere, Enantiomere, Racemate, Hydrate oder Solvate
davon.Particularly preferred are the abovementioned compounds of the formula 1.2; wherein
R a is phenyl optionally substituted with one or more radicals selected from the group consisting of R 1 , R 2 and R 3 ;
R 1 and R 2 are independently C 1-6 alkyl, C 1-6 haloalkyl, C 1-6 alkoxy, halogen, COR 1.1, SO 2 R 1.1,
R 1.1 methyl ethyl, propyl, NR 1.1.1 R 1.1.2
R 1.1.1 H, methyl ethyl, propyl;
R 1.1.2 H, methyl ethyl, propyl;
or R 1.1.1 and R 1.1.2 together form a five- or six-membered heterocyclic ring which may optionally be substituted by a radical selected from the group consisting of methyl, ethyl, propyl;
R 3 is a radical selected from the group consisting of wherein
X bond or methylene, ethylene, propylene;
R 3a is a radical, identical or different, selected from the group consisting of R 3.1 , R 3.2 and R 3.3 ;
R 3.1 is spiro or het, where Het may be optionally substituted with one or more R 3.1.1 ;
R 3.1.1 NR 3.1.1.1 R 3.1.1.2 ;
R 3.1.1.1 H, methyl ethyl, propyl;
R 3.1.1.2 H, methyl ethyl, propyl;
R b R 4 ;
R 4 H;
R c NHR 6 or a remainder wherein
B bond, methylene, ethylene or propylene;
R 6 H;
R 7 H or NR 7.1 R 7.2 , R 7.1 is H, methyl, ethyl, (CH 2 ) 2 R 7.1.1 or COOButyl;
R 7.2 is H, methyl or ethyl;
R 7.1.1 NMe 2 or 1-imidazolyl
and pharmacologically acceptable salts, diastereomers, enantiomers, racemates, hydrates or solvates thereof.
Besonders
bevorzugt sind die oben genannten Verbindungen der Formel 1.2; worin
Ra Phenyl, gegebenenfalls substituiert durch
einen oder mehrere Reste ausgewählt
aus der Gruppe bestehend aus R1 und R2;
R1 Methyl,
Ethyl, Propyl, CF3, F, Cl, COR1.1 oder
SO2R1.1;
R1.1 Methyl;
R2 Methyl,
F oder Cl;
Rb R4;
R4 H;
Rc NHR6 oder ein Rest worin
B Bindung, Methylen,
Ethylen oder Propylen;
R6 H;
R7 H oder NR7.1R7.2, R7.1 H,
Methyl, Ethyl, (CH2)2R7.1.1 oder COOButyl;
R7.2 H,
Methyl oder Ethyl;
R7.1.1 NMe2 oder 1-Imidazolyl
bedeuten, sowie
pharmakologisch verträgliche
Salz, Diastereomere, Enantiomere, Racemate, Hydrate oder Solvate
davon.Particularly preferred are the abovementioned compounds of the formula 1.2; wherein
R a is phenyl, optionally substituted by one or more radicals selected from the group consisting of R 1 and R 2 ;
R 1 is methyl, ethyl, propyl, CF 3 , F, Cl, COR 1.1 or SO 2 R 1.1 ;
R 1.1 methyl;
R 2 is methyl, F or Cl;
R b R 4 ;
R 4 H;
R c NHR 6 or a remainder wherein
B bond, methylene, ethylene or propylene;
R 6 H;
R 7 H or NR 7.1 R 7.2 , R 7.1 is H, methyl, ethyl, (CH 2 ) 2 R 7.1.1 or COOButyl;
R 7.2 is H, methyl or ethyl;
R 7.1.1 NMe 2 or 1-imidazolyl
and pharmacologically acceptable salts, diastereomers, enantiomers, racemates, hydrates or solvates thereof.
Am
meisten bevorzugt sind die oben genannten Verbindungen der Formel
1.2; worin
Ra Phenyl, gegebenenfalls
substituiert mit R1;
R1 Methyl,
F, Cl, Br oder COR1.1;
R1.1 Methyl;
Rb R4;
R4 H;
Rc ein
Rest worin
B Bindung, Methylen
oder Propylen;
R7 H oder NR7.1R7.2,
R7.1 H oder Methyl;
R7.2 Methyl;
bedeuten,
sowie pharmakologisch verträgliche
Salz, Diastereomere, Enantiomere, Racemate, Hydrate oder Solvate
davon.Most preferred are the above compounds of formula 1.2; wherein
R a is phenyl optionally substituted with R 1 ;
R 1 is methyl, F, Cl, Br or COR 1.1 ;
R 1.1 methyl;
R b R 4 ;
R 4 H;
R c a remainder wherein
B bond, methylene or propylene;
R 7 H or NR 7.1 R 7.2 ,
R 7.1 is H or methyl;
R 7.2 methyl;
and pharmacologically acceptable salts, diastereomers, enantiomers, racemates, hydrates or solvates thereof.
Besonders bevorzugt von den oben genannten Verbindungen der Formel 1 sind die Verbindungen der Formel 1.3; worin worin Ra, Rb und Rc die oben genannte Bedeutung haben, sowie pharmakologisch verträgliche Salz, Diastereomere, Enantiomere, Racemate, Hydrate oder Solvate davon.Particularly preferred of the above-mentioned compounds of the formula 1 are the compounds of the formula 1.3; wherein wherein R a , R b and R c have the abovementioned meaning, as well as pharmacologically acceptable salt, diastereomers, enantiomers, racemates, hydrates or solvates thereof.
Besonders
bevorzugt sind die oben genannten Verbindungen der Formel 1.3; worin
Rb und Rc die oben genannte
Bedeutung haben und
Ra Aryl, gegebenenfalls
substituiert mit einem oder mehreren Reste ausgewählt aus
der Gruppe bestehend aus R1, R2 und
R3, oder Hetaryl;
R1 und
R2 unabhängig
voneinander C1-6-Alkyl, C1-6-Haloalkyl,
C1-6-Alkoxy, Halogen, COR1.1;
R1.1 OH, C1-6-Alkyl,
NR1.1.1R1.1.2
R1.1.1 H, C1-6-Alkyl,
gegebenenfalls substituiert mit einem Rest ausgewählt aus
der Gruppe bestehend aus NH2, NHMe, NMe2;
R1.1.2 H,
C1-6-Alkyl;
oder R1.1.1 und
R1.1.2 bilden zusammen einen fünf- oder
sechsgliedrigen heterocyclischen Ring, der gegebenenfalls substituiert
sein kann mit einem Rest ausgewählt
aus der Gruppe bestehend aus Methyl, Ethyl, Propyl;
R3 ein Rest ausgewählt aus der Gruppe bestehend
aus worin
X Bindung oder
C1-4-alkylen;
R3a ein
Rest, gleich oder verschieden, ausgewählt aus der Gruppe bestehend
aus R3.1, R3.2 Und
R3.3;
R3.1 Spiro
oder Het, wobei Het gegebenenfalls substituiert mit einem oder mehreren
R3.1.1 sein kann;
R3.1.1 NR3.1.1.1R3.1.1.2;
R3.1.1.1 H, C1-4-Alkyl;
R3.1.1.2 H, C1-4-Alkyl;
bedeutet,
sowie pharmakologisch verträgliche
Salz, Diastereomere, Enantiomere, Racemate, Hydrate oder Solvate
davon.Particularly preferred are the abovementioned compounds of the formula 1.3; wherein R b and R c have the abovementioned meaning and
R a is aryl optionally substituted by one or more radicals selected from the group consisting of R 1 , R 2 and R 3 , or hetaryl;
R 1 and R 2 are independently C 1-6 alkyl, C 1-6 haloalkyl, C 1-6 alkoxy, halogen, COR 1.1 ;
R 1.1 OH, C 1-6 -alkyl, NR 1.1.1 R 1.1.2
R 1.1.1 is H, C 1-6 -alkyl, optionally substituted by a radical selected from the group consisting of NH 2 , NHMe, NMe 2 ;
R 1.1.2 H, C 1-6 -alkyl;
or R 1.1.1 and R 1.1.2 together form a five- or six-membered heterocyclic ring which may optionally be substituted by a radical selected from the group consisting of methyl, ethyl, propyl;
R 3 is a radical selected from the group consisting of wherein
X bond or C 1-4 alkylene;
R 3a is a radical, identical or different, selected from the group consisting of R 3.1 , R 3.2 and R 3.3 ;
R 3.1 is spiro or het, where Het may be optionally substituted with one or more R 3.1.1 ;
R 3.1.1 NR 3.1.1.1 R 3.1.1.2 ;
R 3.1.1.1 H, C 1-4 alkyl;
R 3.1.1.2 H, C 1-4 alkyl;
and pharmacologically acceptable salts, diastereomers, enantiomers, racemates, hydrates or solvates thereof.
Besonders
bevorzugt sind die oben genannten Verbindungen der Formel 1.3; worin
Ra Phenyl, gegebenenfalls substituiert mit
einem oder mehreren Reste ausgewählt
aus der Gruppe bestehend aus R1, R2 und R3, Pyrazolyl
oder Pyridinyl;
R1 und R2 unabhängig voneinander
C1-6-Alkyl, C1-6-Haloalkyl,
C1-6-Alkoxy, Halogen, COR1.1,
R1.1 Methyl Ethyl, Propyl, NR1.1.1R1.1.2
R1.1.1 H,
Methyl Ethyl, Propyl;
R1.1.2 H, Methyl
Ethyl, Propyl;
oder R1.1.1 und R1.1.2 bilden zusammen einen fünf- oder
sechsgliedrigen heterocyclischen Ring, der gegebenenfalls substituiert
sein kann mit einem Rest ausgewählt
aus der Gruppe bestehend aus Methyl, Ethyl, Propyl;
R3 ein Rest ausgewählt aus der Gruppe bestehend
aus worin
X Bindung oder
C1-4-alkylen;
R3a ein
Rest, gleich oder verschieden, ausgewählt aus der Gruppe bestehend
aus R3.1, R3.2 und
R3.3;
R3.1 Spiro
oder Het, wobei Het gegebenenfalls substituiert mit einem oder mehreren
R3.1.1 sein kann;
R3.1.1 NR3.1.1.1R3.1.1.2;
R3.1.1.1 H, Methyl Ethyl, Propyl;
R3.1.1.2 H, Methyl Ethyl, Propyl;
Rb R4 oder OH;
R4 H;
Rc NHR6 oder ein Rest worin
B Bindung, Methylen,
Ethylen oder Propylen;
R6 H;
R7 H, NR7.1R7.2 oder ein Rest ausgewählt aus der Gruppe bestehend
aus R7.1 H,
Methyl oder (CH2)2R7.1.1;
R7.2 H,
Methyl oder Ethyl;
R7.1.1 NMe2;
bedeuten, sowie pharmakologisch verträgliche Salz,
Diastereomere, Enantiomere, Racemate, Hydrate oder Solvate davon.Particularly preferred are the abovementioned compounds of the formula 1.3; wherein
R a is phenyl, optionally substituted by one or more radicals selected from the group consisting of R 1 , R 2 and R 3 , pyrazolyl or pyridinyl;
R 1 and R 2 are independently C 1-6 alkyl, C 1-6 haloalkyl, C 1-6 alkoxy, halogen, COR 1.1,
R 1.1 methyl ethyl, propyl, NR 1.1.1 R 1.1.2
R 1.1.1 H, methyl ethyl, propyl;
R 1.1.2 H, methyl ethyl, propyl;
or R 1.1.1 and R 1.1.2 together form a five- or six-membered heterocyclic ring which may optionally be substituted by a radical selected from the group consisting of methyl, ethyl, propyl;
R 3 is a radical selected from the group consisting of wherein
X bond or C 1-4 alkylene;
R 3a is a radical, identical or different, selected from the group consisting of R 3.1 , R 3.2 and R 3.3 ;
R 3.1 is spiro or het, where Het may be optionally substituted with one or more R 3.1.1 ;
R 3.1.1 NR 3.1.1.1 R 3.1.1.2 ;
R 3.1.1.1 H, methyl ethyl, propyl;
R 3.1.1.2 H, methyl ethyl, propyl;
R b is R 4 or OH;
R 4 H;
R c NHR 6 or a remainder wherein
B bond, methylene, ethylene or propylene;
R 6 H;
R 7 H, NR 7.1 R 7.2 or a radical selected from the group consisting of R 7.1 H, methyl or (CH 2 ) 2 R 7.1.1 ;
R 7.2 is H, methyl or ethyl;
R 7.1.1 NMe 2 ;
and pharmacologically acceptable salts, diastereomers, enantiomers, racemates, hydrates or solvates thereof.
Besonders
bevorzugt sind die oben genannten Verbindungen der Formel 1.3; worin
Ra Phenyl, gegebenenfalls substituiert durch
einen oder mehrere Reste ausgewählt
aus der Gruppe bestehend aus R1 und R2; oder R1 Methyl,
Methoxy, Cl, OH oder COR1.1;
R1.1 NH2, NHMe oder
NMe2;
R2 Methoxy
oder Cl;
Rb R4 oder
OH;
R4 H;
Rc NHR6 oder ein Rest worin
B Bindung, Methylen,
Ethylen oder Propylen;
R6 H;
R7 H, NR7.1R7.2 oder ein Rest ausgewählt aus der Gruppe bestehend
aus R7.1 H,
Methyl oder (CH2)2R7.1.1;
R7.2 H,
Methyl oder Ethyl;
R7.1.1 NMe2;
bedeuten, sowie pharmakologisch verträgliche Salz,
Diastereomere, Enantiomere, Racemate, Hydrate oder Solvate davon.Particularly preferred are the abovementioned compounds of the formula 1.3; wherein
R a is phenyl, optionally substituted by one or more radicals selected from the group consisting of R 1 and R 2 ; or R 1 is methyl, methoxy, Cl, OH or COR 1.1 ;
R 1.1 NH 2 , NHMe or NMe 2 ;
R 2 is methoxy or Cl;
R b is R 4 or OH;
R 4 H;
R c NHR 6 or a remainder wherein
B bond, methylene, ethylene or propylene;
R 6 H;
R 7 H, NR 7.1 R 7.2 or a radical selected from the group consisting of R 7.1 H, methyl or (CH 2 ) 2 R 7.1.1 ;
R 7.2 is H, methyl or ethyl;
R 7.1.1 NMe 2 ;
and pharmacologically acceptable salts, diastereomers, enantiomers, racemates, hydrates or solvates thereof.
Am
meisten bevorzugt sind die oben genannten Verbindungen der Formel
1.3; worin
Ra Phenyl, gegebenenfalls
substituiert durch einen oder mehrere Reste ausgewählt aus
der Gruppe bestehend aus R1, R2 und
R3; oder
R1 Cl
oder COR1.1;
R1.1 NH2;
R2 Cl;
Rb R4 oder OH;
R4 H;
Rc NHR6 oder ein Rest worin
B Methylen;
R6 H;
R7 H;
bedeuten,
sowie pharmakologisch verträgliche
Salz, Diastereomere, Enantiomere, Racemate, Hydrate oder Solvate
davon.Most preferred are the above compounds of formula 1.3; wherein
R a is phenyl, optionally substituted by one or more radicals selected from the group consisting of R 1 , R 2 and R 3 ; or
R 1 is Cl or COR 1.1 ;
R 1.1 NH 2 ;
R 2 Cl;
R b is R 4 or OH;
R 4 H;
R c NHR 6 or a remainder wherein
B methylene;
R 6 H;
R 7 H;
and pharmacologically acceptable salts, diastereomers, enantiomers, racemates, hydrates or solvates thereof.
Besonders bevorzugt von den oben genannten Verbindungen der Formel 1 sind die oben genannten Verbindungen der Formel 1.4; worin worin Ra, Rb und Rc die oben genannte Bedeutung haben, sowie pharmakologisch verträgliche Salz, Diastereomere, Enantiomere, Racemate, Hydrate oder Solvate davon.Particularly preferred of the above-mentioned compounds of the formula 1 are the abovementioned compounds of the formula 1.4; wherein wherein R a , R b and R c have the abovementioned meaning, as well as pharmacologically acceptable salt, diastereomers, enantiomers, racemates, hydrates or solvates thereof.
Besonders
bevorzugt sind die oben genannten Verbindungen der Formel 1.4; worin
Ra Phenyl, gegebenenfalls substituiert durch
einen oder mehrere Reste ausgewählt
aus der Gruppe bestehend aus R1 und R3; oder
R1 Methyl,
F, Cl oder Br;
R3 ein Rest ausgewählt aus
der Gruppe bestehend aus worin
m 0;
R3.2 ein Rest der gegebenenfalls substituiert
ist mit einem Rest ausgewählt
aus der Gruppe bestehend aus Methyl und Cyclopentyl;
Cyclohexyl,
das gegebenenfalls substituiert ist mit einem R3.2.1 R3.2.1 ein Rest R3.3 H;
Rb R4;
R4 ein Rest ausgewählt aus der Gruppe bestehend
aus Rc ein
Rest worin
B Methylen;
R7 H;
bedeuten, sowie pharmakologisch
verträgliche
Salz, Diastereomere, Enantiomere, Racemate, Hydrate oder Solvate
davon.Particularly preferred are the abovementioned compounds of the formula 1.4; wherein
R a is phenyl, optionally substituted by one or more radicals selected from the group consisting of R 1 and R 3 ; or
R 1 is methyl, F, Cl or Br;
R 3 is a radical selected from the group consisting of wherein
m 0;
R 3.2 a remainder which is optionally substituted by a radical selected from the group consisting of methyl and cyclopentyl;
Cyclohexyl which is optionally substituted with a R 3.2.1 R 3.2.1 is a radical R 3.3 H;
R b R 4 ;
R 4 is a radical selected from the group consisting of R c a remainder wherein
B methylene;
R 7 H;
and pharmacologically acceptable salts, diastereomers, enantiomers, racemates, hydrates or solvates thereof.
Am
meisten bevorzugt sind die oben genannten Verbindungen der Formel
1.4; worin
Ra Phenyl, gegebenenfalls
substituiert durch einen oder mehrere Reste ausgewählt aus
der Gruppe bestehend aus R1 und R3; oder
R1 Cl;
R3 ein Rest ausgewählt aus der Gruppe bestehend
aus worin
m 0;
R3.2 ein Rest der gegebenenfalls substituiert
ist mit Methyl; oder
Cyclohexyl, das gegebenenfalls substituiert
ist mit einem R3.2.1
R3.2.1 ein
Rest R3.3 H;
Rb R4;
R4 ein Rest Rc ein
Rest worin
B Methylen;
R7 H;
bedeuten, sowie pharmakologisch
verträgliche
Salz, Diastereomere, Enantiomere, Racemate, Hydrate oder Solvate
davon.Most preferred are the above compounds of formula 1.4; wherein
R a is phenyl, optionally substituted by one or more radicals selected from the group consisting of R 1 and R 3 ; or
R 1 Cl;
R 3 is a radical selected from the group consisting of wherein
m 0;
R 3.2 a remainder which is optionally substituted with methyl; or
Cyclohexyl which is optionally substituted with an R 3.2.1
R 3.2.1 a remainder R 3.3 H;
R b R 4 ;
R 4 a remainder R c a remainder wherein
B methylene;
R 7 H;
and pharmacologically acceptable salts, diastereomers, enantiomers, racemates, hydrates or solvates thereof.
Ebenfalls
bevorzugt sind die oben genannten Verbindungen der Formel 1; worin
Ra H, C1-6-Alkyl,
C2-6-Alkenyl, C3-8-Cycloalkyl,
C3-8-Cycloalkenyl, C1-6-Haloalkyl,
COR8, NR9R10, NO2, OR8, SR11, SOR11, SO2R11,
NHCO-C1-6-Alkyl-NH2,
Spiro oder ein Rest ausgewählt
aus der Gruppe bestehend aus C7-11- Aralkyl,
CH2-O-Aryl und Het der gegebenenfalls substituiert
sein kann mit einem oder mehreren Halogen, C1-6-Alkyl,
CO-C1-4-Haloalkyl, C1-4-Alkyl-NH2 oder CH2NHCOOR12;
R8 C1-6-Alkyl, C3-6-Cycloalkyl,
NH2, Hetaryl oder Aryl, gegebenenfalls substituiert
mit einem oder mehreren Halogen oder C1-4-Alkyl;
R9 H, COOR12, CONR12 oder C1-6-Alkyl,
gegebenenfalls substituiert mit einem oder mehreren COOH, N(C1-6-Alkyl)2 oder
Het, gegebenenfalls substituiert mit einem oder mehreren C1-6-Alkyl; oder R9 bedeutet
Het, gegebenenfalls substituiert mit einem oder mehreren C1-4-Alkyl;
R10 H,
C1-6-Alkyl, CO-C1-6-Alkyl
oder C2-6-Alkinyl;
R11 C1-6-Alkyl, gegebenenfalls substituiert mit
einem oder mehreren N(C1-4-Alkyl)2;
R12 H, C1-6-Alkyl;
Rb R4, OR4, -CH2OR4, COR4, COOR4, CONR4R5, NR4R5, NR5COR4, NR5COOR4, NR5CONR4R5, NR5SOR4 oder NR5SO2R4;
R4, R5 H, C1-6-Alkyl, C1-6-Haloalkyl,
C1-6-Alkylen-OH, C2-6-Alkenyl,
C7-11-Aralkyl, C2-4-Alkenyl-Aryl,
C2-4-Alkinyl-Aryl, C1-4-Alkyl-Hetaryl,
C2-4-Alkenyl-Hetaryl, C2-4-Alkinyl-Hetaryl,
C2-6-Alkinyl, gegebenenfalls substituiert mit
Si(C1-4-Alkyl)3,
oder R4 bedeutet ein Rest ausgewählt aus
der Gruppe bestehend aus Aryl, Het, Hetaryl und gegebenenfalls substituiert
mit C1-4-Alkyl;
oder R4 und
R5 bilden gemeinsam einen fünf-, sechs-
oder siebengliedrigen Ring bestehend aus Kohlenstoffatomen und gegebenenfalls
einem Heteroatom ausgewählt
aus der Gruppe bestehend aus Sauerstoff, Stickstoff und Schwefel;
Rc NHR6 oder ein Rest
ausgewählt
aus der Gruppe bestehend aus worin
B Bindung, C1-6-Alkyl, C2-6-Alkenyl
oder C2-6-Alkinyl;
R6 H
oder ein Rest ausgewählt
aus der Gruppe C1-4-Alkyl, C2-4-Alkenyl,
C2-4-Alkinyl, C3-6-Cycloalkyl,
C3-6-Cycloalkenyl, Het, Aryl, Hetaryl gegebenenfalls
substituiert mit einem oder mehreren Resten R6.1;
R6.1 Halogen, CF3,
OH, CN, OMe, SO2(C1-4-Alkyl);
R7 H, C1-4-Alkyl,
C2-4-Alkenyl, C2-4-Alkinyl,
C3-6-Cycloalkyl, NR7.1R7.2, OR7.2, SR7.2, Hetaryl, Het, gegebenenfalls substituiert
mit C1-4-Alkyl oder CONH2;
R7.1 H, C1-6-Alkyl,
(CH2)2-4R7.1.1 oder COOButyl;
R7.2 H,
C1-6-Alkyl, gegebenenfalls substituiert
mit einem oder mehreren OH; R7.1.1 NR7.1.1.1R7.1.1.2 ,
Het oder 1-Imidazolyl, 2-(N-Ethylpyrollidin);
R7.1.1.1 H
oder C1-6-Alkyl;
R7.1.1.2 H
oder C1-6-Alkyl;
bedeuten, sowie pharmakologisch
verträgliche
Salz, Diastereomere, Enantiomere, Racemate, Hydrate oder Solvate
davon, mit der Maßgabe,
dass Ra nicht H oder Me sein kann, wenn
Y = Stickstoff; Z = Stickstoff; j = 2; k = 0; Rb =
H und Rc = NHCONH-Et bedeutet.Also preferred are the above compounds of formula 1; wherein
R a is H, C 1-6 alkyl, C 2-6 alkenyl, C 3-8 cycloalkyl, C 3-8 cycloalkenyl, C 1-6 haloalkyl, COR 8 , NR 9 R 10 , NO 2 , OR 8 , SR 11 , SOR 11 , SO 2 R 11 , NHCO-C 1-6 -alkyl-NH 2 , spiro or a radical selected from the group consisting of C 7-11 -aralkyl, CH 2 -O-aryl and Het which may optionally be substituted with one or more halo, C 1-6 alkyl, CO-C 1-4 haloalkyl, C 1-4 alkyl-NH 2 or CH 2 NHCOOR 12 ;
R 8 is C 1-6 alkyl, C 3-6 cycloalkyl, NH 2 , hetaryl or aryl optionally substituted with one or more halo or C 1-4 alkyl;
R 9 is H, COOR 12 , CONR 12 or C 1-6 alkyl optionally substituted with one or more COOH, N (C 1-6 alkyl) 2 or Het optionally substituted with one or more C 1-6 alkyl ; or R 9 is het optionally substituted with one or more C 1-4 alkyl;
R 10 is H, C 1-6 -alkyl, CO-C 1-6 -alkyl or C 2-6 -alkynyl;
R 11 is C 1-6 alkyl optionally substituted with one or more N (C 1-4 alkyl) 2 ;
R 12 is H, C 1-6 -alkyl;
R b R 4 , OR 4 , -CH 2 OR 4 , COR 4 , COOR 4 , CONR 4 R 5 , NR 4 R 5 , NR 5 COR 4 , NR 5 COOR 4 , NR 5 CONR 4 R 5 , NR 5 SOR 4 or NR 5 SO 2 R 4 ;
R 4 , R 5 is H, C 1-6 -alkyl, C 1-6 -haloalkyl, C 1-6 -alkylene-OH, C 2-6 -alkenyl, C 7-11 -aralkyl, C 2-4 -alkenyl -Aryl, C 2-4 -alkynyl-aryl, C 1-4 -alkyl-hetaryl, C 2-4 -alkenyl-hetaryl, C 2-4 -alkynyl-hetaryl, C 2-6 -alkynyl, optionally substituted with Si (C 1-4 -alkyl) 3 , or R 4 is a radical selected from the group consisting of aryl, het, hetaryl and optionally substituted by C 1-4 alkyl;
or R 4 and R 5 together form a five, six or seven membered ring consisting of carbon atoms and optionally a heteroatom selected from the group consisting of oxygen, nitrogen and sulfur;
R c NHR 6 or a radical selected from the group consisting of wherein
B bond, C 1-6 alkyl, C 2-6 alkenyl or C 2-6 alkynyl;
R 6 is H or a radical selected from the group consisting of C 1-4 -alkyl, C 2-4 -alkenyl, C 2-4 -alkynyl, C 3-6 -cycloalkyl, C 3-6 -cycloalkenyl, het, aryl, hetaryl optionally substituted with one or more R 6.1 radicals;
R 6.1 halogen, CF 3 , OH, CN, OMe, SO 2 (C 1-4 alkyl);
R 7 is H, C 1-4 -alkyl, C 2-4 -alkenyl, C 2-4 -alkynyl, C 3-6 -cycloalkyl, NR 7.1 R 7.2 , OR 7.2 , SR 7.2 , hetaryl, het, optionally substituted with C 1-4 alkyl or CONH 2 ;
R 7.1 is H, C 1-6 alkyl, (CH 2 ) 2-4 R 7.1.1 or COOButyl;
R 7.2 is H, C 1-6 -alkyl, optionally substituted with one or more OH; R 7.1.1 NR 7.1.1.1 R 7.1.1.2 , Het or 1-imidazolyl, 2- (N-ethylpyrollidine);
R 7.1.1.1 H or C 1-6 alkyl;
R 7.1.1.2 H or C 1-6 alkyl;
as well as pharmacologically acceptable salt, diastereomers, enantiomers, racemates, hydrates or solvates thereof, with the proviso that R a can not be H or Me when Y = nitrogen; Z = nitrogen; j = 2; k = 0; R b = H and R c = NHCONH-Et.
Bevorzugt
sind die oben genannten Verbindungen der Formel 1; worin
Ra H, C1-6-Alkyl,
C2-6-Alkenyl, C3-8-Cycloalkyl,
C3-8-Cycloalkenyl, C1-6-Haloalkyl,
COR8, NR9R10, NO2, OR8, SR11, SOR11, SO2R11,
NHCO-C1-6-Alkyl-NH2,
Spiro oder ein Rest ausgewählt
aus der Gruppe bestehend aus C7-11- Aralkyl,
CH2-O-Aryl und Het der gegebenenfalls substituiert
sein kann mit einem oder mehreren Halogen, C1-6-Alkyl,
CO-C1-4-Haloalkyl, C1-4-Alkyl-NH2 oder CN2NHCOOR12;
R8 C1-6-Alkyl, C3-6-Cycloalkyl,
NH2, Hetaryl oder Aryl, gegebenenfalls substituiert
mit einem oder mehreren Halogen oder C1-4-Alkyl;
R9 H, COOR12 oder
C1-4-Alkyl, gegebenenfalls substituiert
mit einem oder mehreren COOH, N(C1-4-Alkyl)2 oder Het, gegebenenfalls substituiert mit
einem oder mehreren C1-4-Alkyl; oder R9 bedeutet Het, gegebenenfalls substituiert
mit einem oder mehreren C1-4-Alkyl;
R10 H, C1-6-Alkyl,
CO-C1-4-Alkyl oder C2-6-Alkinyl;
R11 C1-6-Alkyl, gegebenenfalls
substituiert mit einem oder mehreren N(C1-4-Alkyl)2;
R12 C1-6-Alkyl;
Rb R4 OR4, -CH2OR4, COR4, COOR4 CONR4R5 NR4R5 NR5COR4 NR5COOR4 NR5CONR4R5,
NR5SOR4 oder NR5SO2R4;
R4 H, C1-6-Alkyl,
C1-6-Haloalkyl, C1-6-Alkylen-OH,
C2-6-Alkenyl, C7-11-Aralkyl,
C2-4-Alkenyl-Aryl, C2-4-Alkinyl-Aryl, C1-4-Alkyl-Hetaryl, C2-4-Alkenyl-Hetaryl,
C2-4-Alkinyl-Hetaryl, C2-6-Alkinyl,
gegebenenfalls substituiert mit Si(C1-4-Alkyl)3, oder R4 bedeutet
ein Rest ausgewählt
aus der Gruppe bestehend aus Aryl, Het, Hetaryl und gegebenenfalls
substituiert mit C1-4-Alkyl;
R5 H oder C1-6-Alkyl;
oder
R4 und R5 bilden
gemeinsam einen fünf-,
sechs- oder siebengliedrigen Ring bestehend aus Kohlenstoffatomen
und gegebenenfalls einem Heteroatom ausgewählt aus der Gruppe bestehend
aus Sauerstoff, Stickstoff und Schwefel;
Rc NHR6 oder ein Rest ausgewählt aus der Gruppe bestehend
aus worin
B Bindung, C1-4-Alkyl oder C2-4-Alkinyl;
R6 H oder ein Rest ausgewählt aus der Gruppe C1-4-Alkyl, C2-4-Alkenyl,
C2-4-Alkinyl, C3-6-Cycloalkyl,
C3-6-Cycloalkenyl, Het, Aryl, Hetaryl gegebenenfalls
substituiert mit einem oder mehreren Resten R6.1;
R6.1 Halogen, CF3,
OH, CN, OMe, SO2(C1-4-Alkyl);
R7 H, C1-4-Alkyl,
C2-4-Alkenyl, C2-4-Alkinyl,
C3-6-Cycloalkyl, NR7.1R7.2, OR7.2, SR7.2 Hetaryl, Het, gegebenenfalls substituiert
mit C1-4-Alkyl oder CONH2;
R7.1 H, C1-4-Alkyl,
(CH2)2-4R7.1.1 oder COOButyl;
R7.2 H,
C1-6-Alkyl, gegebenenfalls substituiert
mit einem oder mehreren OH;
R7.1.1 NR7.1.1.1R7.1.1.2,
Het oder 1-Imidazolyl, 2-(N-Ethylpyrollidin);
R7.1.1.1 H
oder C1-6-Alkyl;
R7.1.1.2 H
oder C1-6-Alkyl;
bedeuten, sowie pharmakologisch
verträgliche
Salz, Diastereomere, Enantiomere, Racemate, Hydrate oder Solvate
davon, mit der Maßgabe,
dass Ra nicht H oder Me sein kann, wenn
Y = Stickstoff; Z = Stickstoff; j = 2; k = 0; Rb =
H und Rc = NHCONH-Et bedeutet.Preference is given to the abovementioned compounds of the formula 1; wherein
R a is H, C 1-6 alkyl, C 2-6 alkenyl, C 3-8 cycloalkyl, C 3-8 cycloalkenyl, C 1-6 haloalkyl, COR 8 , NR 9 R 10 , NO 2 , OR 8 , SR 11 , SOR 11 , SO 2 R 11 , NHCO-C 1-6 -alkyl-NH 2 , spiro or a radical selected from the group consisting of C 7-11 -aralkyl, CH 2 -O-aryl and Het which may be optionally substituted with one or more halo, C 1-6 alkyl, CO-C 1-4 haloalkyl, C 1-4 alkyl NH 2 or CN 2 NHCOOR 12 ;
R 8 is C 1-6 alkyl, C 3-6 cycloalkyl, NH 2 , hetaryl or aryl optionally substituted with one or more halo or C 1-4 alkyl;
R 9 is H, COOR 12 or C 1-4 alkyl optionally substituted with one or more COOH, N (C 1-4 alkyl) 2 or Het optionally substituted with one or more C 1-4 alkyl; or R 9 is het optionally substituted with one or more C 1-4 alkyl;
R 10 is H, C 1-6 -alkyl, CO-C 1-4 -alkyl or C 2-6 -alkynyl;
R 11 is C 1-6 alkyl optionally substituted with one or more N (C 1-4 alkyl) 2 ;
R 12 is C 1-6 alkyl;
R b R 4 OR 4 , -CH 2 OR 4 , COR 4 , COOR 4 CONR 4 R 5 NR 4 R 5 NR 5 COR 4 NR 5 COOR 4 NR 5 CONR 4 R 5 , NR 5 SOR 4 or NR 5 SO 2 R 4 ;
R 4 is H, C 1-6 -alkyl, C 1-6 -haloalkyl, C 1-6 -alkylene-OH, C 2-6 -alkenyl, C 7-11 -aralkyl, C 2-4 -alkenyl-aryl, C 2-4 -alkynyl-aryl, C 1-4 -alkyl-hetaryl, C 2-4 -alkenyl-hetaryl, C 2-4 -alkynyl-hetaryl, C 2-6 -alkynyl, optionally substituted by Si (C 1 -4- alkyl) 3 , or R 4 represents a radical selected from the group consisting of aryl, het, hetaryl and optionally substituted by C 1-4 alkyl;
R 5 is H or C 1-6 alkyl;
or R 4 and R 5 together form a five, six or seven membered ring consisting of carbon atoms and optionally a heteroatom selected from the group consisting of oxygen, nitrogen and sulfur;
R c NHR 6 or a radical selected from the group consisting of wherein
B bond, C 1-4 alkyl or C 2-4 alkynyl;
R 6 is H or a radical selected from the group consisting of C 1-4 -alkyl, C 2-4 -alkenyl, C 2-4 -alkynyl, C 3-6 -cycloalkyl, C 3-6 -cycloalkenyl, het, aryl, hetaryl optionally substituted with one or more R 6.1 radicals;
R 6.1 halogen, CF 3 , OH, CN, OMe, SO 2 (C 1-4 alkyl);
R 7 is H, C 1-4 -alkyl, C 2-4 -alkenyl, C 2-4 -alkynyl, C 3-6 -cycloalkyl, NR 7.1 R 7.2 , OR 7.2 , SR 7.2 hetaryl, Het, optionally substituted by C 1-4 -alkyl or CONH 2 ;
R is 7.1 H, C 1-4 alkyl, (CH 2 ) 2-4 R 7.1.1 or COOButyl;
R 7.2 is H, C 1-6 -alkyl, optionally substituted with one or more OH;
R 7.1.1 NR 7.1.1.1 R 7.1.1.2 , Het or 1-imidazolyl, 2- (N-ethylpyrollidine);
R 7.1.1.1 H or C 1-6 alkyl;
R 7.1.1.2 H or C 1-6 alkyl;
as well as pharmacologically acceptable salt, diastereomers, enantiomers, racemates, hydrates or solvates thereof, with the proviso that R a can not be H or Me when Y = nitrogen; Z = nitrogen; j = 2; k = 0; R b = H and R c = NHCONH-Et.
Bevorzugt
sind die oben genannten Verbindungen der Formel 1; worin
Ra H, C1-6-Alkyl,
C2-6-Alkenyl, C3-6-Cycloalkyl,
C3-6-Cycloalkenyl, C1-6-Haloalkyl,
COR8, NR9R10, NO2, OR8, SR11, SOR11, SO2R11,
NHCO-C1-6-Alkyl-NH2,
Spiro oder ein Rest ausgewählt
aus der Gruppe bestehend aus C7-11- Aralkyl,
CH2-O-Aryl und Het der gegebenenfalls substituiert
sein kann mit einem oder mehreren Halogen, C1-6-Alkyl,
CO-C1-4-Haloalkyl, C1-4-Alkyl-NH2 oder CH2NHCOOR12;
R8 C1-6-Alkyl, C3-6-Cycloalkyl,
NH2, Hetaryl oder Aryl, gegebenenfalls substituiert
mit einem oder mehreren Halogen oder C1-4-Alkyl;
R9 H, COOR12 oder
C1-4-Alkyl, gegebenenfalls substituiert
mit einem oder mehreren COOH, N(C1-4-Alkyl)2 oder Het, gegebenenfalls substituiert mit
einem oder mehreren C1-4-Alkyl; oder R9 bedeutet Het, gegebenenfalls substituiert
mit einem oder mehreren C1-4-Alkyl;
R10 H, C1-6-Alkyl,
CO-C1-4-Alkyl oder C2-6-Alkinyl;
R11 C1-6-Alkyl, gegebenenfalls
substituiert mit einem oder mehreren N(C1-4-Alkyl)2;
R12 C1-6-Alkyl;
Rb R4, OR4, -CH2OR4, COR4, COOR4, CONR4R5, NH2,
NR5COOR4, NR5CONR4R5 oder
NR5SOR4;
R4 H, C1-6-Alkyl,
C1-6-Haloalkyl, C1-6-Alkylen-OH,
C2-6-Alkenyl, C7-11-Aralkyl,
C1-4-Alkyl-Hetaryl, C2-6-Alkinyl,
gegebenenfalls substituiert mit Si(C1-4-Alkyl)3, oder R4 bedeutet
ein Rest ausgewählt
aus der Gruppe bestehend aus Aryl, Het, Hetaryl und gegebenenfalls
substituiert mit C1-4-Alkyl;
R5 H oder C1-6-Alkyl;
oder
R4 und R5 bilden
gemeinsam einen fünf-,
sechs- oder siebengliedrigen Ring bestehend aus Kohlenstoffatomen
und gegebenenfalls einem Heteroatom ausgewählt aus der Gruppe bestehend
aus Sauerstoff, Stickstoff und Schwefel;
Rc NHR6 oder ein Rest ausgewählt aus der Gruppe bestehend
aus worin
B Bindung, C1-4-Alkyl oder C2-4-Alkinyl;
R6 H oder ein Rest ausgewählt aus der Gruppe C1-4-Alkyl, C3-6-Cycloalkyl,
Het, Aryl, Hetaryl gegebenenfalls substituiert mit einem oder mehreren
Resten R6.1;
R6.1 Halogen,
CF3, OH, CN, OMe, SO2(C1-4-Alkyl);
R7 H,
C1-4-Alkyl, C3-6-Cycloalkyl,
NR7.1R7.2, OR7.2, SR7.2, Hetaryl,
Het, gegebenenfalls substituiert mit C1-4-Alkyl oder
CONH2;
R7.1 H,
C1-4-Alkyl, (CH2)2-4R7.1.1 oder COOButyl;
R7.2 H, C1-6-Alkyl,
gegebenenfalls substituiert mit einem oder mehreren OH;
R7.1.1 NR7.1.1.1R7.1.1.2, Het oder 1-Imidazolyl, 2-(N-Ethylpyrollidin);
R7.1.1.1 H oder C1-6-Alkyl;
R7.1.1.2 H oder C1-6-Alkyl;
bedeuten,
sowie pharmakologisch verträgliche
Salz, Diastereomere, Enantiomere, Racemate, Hydrate oder Solvate
davon, mit der Maßgabe,
dass Ra nicht H oder Me sein kann, wenn
Y = Stickstoff; Z = Stickstoff; j = 2; k = 0; Rb =
H und Rc = NHCONH-Et bedeutet.Preference is given to the abovementioned compounds of the formula 1; wherein
R a is H, C 1-6 alkyl, C 2-6 alkenyl, C 3-6 cycloalkyl, C 3-6 cycloalkenyl, C 1-6 haloalkyl, COR 8 , NR 9 R 10 , NO 2 , OR 8 , SR 11 , SOR 11 , SO 2 R 11 , NHCO-C 1-6 -alkyl-NH 2 , spiro or a radical selected from the group consisting of C 7-11 -aralkyl, CH 2 -O-aryl and Het which may optionally be substituted with one or more halo, C 1-6 alkyl, CO-C 1-4 haloalkyl, C 1-4 alkyl-NH 2 or CH 2 NHCOOR 12 ;
R 8 is C 1-6 alkyl, C 3-6 cycloalkyl, NH 2 , hetaryl or aryl optionally substituted with one or more halo or C 1-4 alkyl;
R 9 is H, COOR 12 or C 1-4 alkyl optionally substituted with one or more COOH, N (C 1-4 alkyl) 2 or Het optionally substituted with one or more C 1-4 alkyl; or R 9 is het optionally substituted with one or more C 1-4 alkyl;
R 10 is H, C 1-6 -alkyl, CO-C 1-4 -alkyl or C 2-6 -alkynyl;
R 11 is C 1-6 alkyl optionally substituted with one or more N (C 1-4 alkyl) 2 ;
R 12 is C 1-6 alkyl;
R b R 4 , OR 4 , -CH 2 OR 4 , COR 4 , COOR 4 , CONR 4 R 5 , NH 2 , NR 5 COOR 4 , NR 5 CONR 4 R 5 or NR 5 SOR 4 ;
R 4 is H, C 1-6 -alkyl, C 1-6 -haloalkyl, C 1-6 -alkylene-OH, C 2-6 -alkenyl, C 7-11 -aralkyl, C 1-4 -alkyl-hetaryl, C 2-6 alkynyl optionally substituted with Si (C 1-4 alkyl) 3 , or R 4 represents a radical selected from the group consisting of aryl, het, hetaryl and optionally substituted with C 1-4 alkyl;
R 5 is H or C 1-6 alkyl;
or R 4 and R 5 together form a five, six or seven membered ring consisting of carbon atoms and optionally a heteroatom selected from the group consisting of oxygen, nitrogen and sulfur;
R c NHR 6 or a radical selected from the group consisting of wherein
B bond, C 1-4 alkyl or C 2-4 alkynyl;
R 6 is H or a radical selected from the group consisting of C 1-4 -alkyl, C 3-6 -cycloalkyl, het, aryl, hetaryl, optionally substituted by one or more radicals R 6.1 ;
R 6.1 halogen, CF 3 , OH, CN, OMe, SO 2 (C 1-4 alkyl);
R 7 is H, C 1-4 -alkyl, C 3-6 -cycloalkyl, NR 7.1 R 7.2 , OR 7.2 , SR 7.2 , hetaryl, Het, optionally substituted by C 1-4 -alkyl or CONH 2 ;
R is 7.1 H, C 1-4 alkyl, (CH 2 ) 2-4 R 7.1.1 or COOButyl;
R 7.2 is H, C 1-6 -alkyl, optionally substituted with one or more OH;
R 7.1.1 NR 7.1.1.1 R 7.1.1.2 , Het or 1-imidazolyl, 2- (N-ethylpyrollidine);
R 7.1.1.1 H or C 1-6 alkyl; R 7.1.1.2 H or C 1-6 alkyl;
as well as pharmacologically acceptable salt, diastereomers, enantiomers, racemates, hydrates or solvates thereof, with the proviso that R a can not be H or Me when Y = nitrogen; Z = nitrogen; j = 2; k = 0; R b = H and R c = NHCONH-Et.
Bevorzugt
sind die oben genannten Verbindungen der Formel 1; worin
Ra H, C1-6-Alklyl,
C2-6-Alkenyl, C3-6-Cycloalkyl,
CF3, COR8, NR9R10, NO2,
S(O)nR11, oder ein
Rest ausgewählt
aus der Gruppe bestehend aus oder ein
Rest ausgewählt
aus der Gruppe bestehend aus der gegebenenfalls substituiert
sein kann mit einem oder mehreren Cl; oder ein Rest ausgewählt aus
der Gruppe bestehend aus der gegebenenfalls substituiert
sein kann mit einem oder mehreren CH3, COCF3, CH2NH2 oder CH2NHCOOR12;
R8 C1-4-Alkyl, C3-6-Cycloalkyl, NH2,
Furanyl oder Phenyl, gegebenenfalls substituiert mit einem oder
mehreren Chlor;
R9 H, COOR12 oder
Piperidino, gegebenenfalls substituiert mit einem oder mehreren
CH3, oder ein Rest ausgewählt aus
der Gruppe bestehend aus C1-4-Alkyl, der
gegebenenfalls substituiert sein kann mit einem oder mehreren COOH,
NMe2 oder 4-Methylpiperazin;
R10 H, C1-4-Alkyl,
C2-4-Alkinyl oder COCH3;
R11 C1-4-Alkyl, gegebenenfalls
substituiert mit einem oder mehreren NMe2,
R12 C1-4-Alkyl;
R
b R4, CH2OR4, COR4, COOR4, CONR4R5, NH2, NHCOOR4, NHCONR4R5 oder OH; R4 H,
C1-4-Alkyl, C1-4-Alkylen-OH,
C2-4-Alkinyl, C1-6-Haloalkyl,
Aryl, Het, Hetaryl, R5 H
oder C1-4-Alkyl;
Rc NHR6 oder ein Rest ausgewählt aus der Gruppe bestehend
aus worin
B Bindung, C1-4-Alkyl oder C2-4-Alkinyl;
R6 H, C1-4-Alkyl,
C3-6-Cycloalkyl, C7-11-
Aralkyl, Aryl, gegebenenfalls substituiert mit SO2CH3;
R7 H, NR7.1R7.2, OR7.2, SR7.2, Hetaryl,
Het, gegebenenfalls substituiert mit C1-4-Alkyl
oder CONH2, oder ein Rest ausgewählt aus
der Gruppe bestehend aus R7.1 H,
C1-4-Alkyl, (CH2)2R7.1.1 oder COOButyl;
R7.2 H, C1-4-Alkyl;
R7.1.1 NR7.1.1.1R7.1.1.2, Het oder 1-Imidazolyl, 2-(N-Ethylpyrollidin);
R7.1.1.1 H oder C1-6-Alkyl;
R7.1.1.2 H oder C1-6-Alkyl;
bedeuten,
sowie pharmakologisch verträgliche
Salz, Diastereomere, Enantiomere, Racemate, Hydrate oder Solvate
davon, mit der Maßgabe,
dass Ra nicht H oder Me sein kann, wenn
Y = Stickstoff; Z = Stickstoff; j = 2; k = 0; Rb =
H und Rc = NHCONH-Et bedeutet.Preference is given to the abovementioned compounds of the formula 1; wherein
R a is H, C 1-6 -alklyl, C 2-6 -alkenyl, C 3-6 -cycloalkyl, CF 3 , COR 8 , NR 9 R 10 , NO 2 , S (O) n R 11 , or a radical selected from the group consisting of or a radical selected from the group consisting of which may be optionally substituted with one or more Cl; or a radical selected from the group consisting of which may optionally be substituted with one or more CH 3 , COCF 3 , CH 2 NH 2 or CH 2 NHCOOR 12 ;
R 8 is C 1-4 alkyl, C 3-6 cycloalkyl, NH 2 , furanyl or phenyl optionally substituted with one or more chloro;
R 9 is H, COOR 12 or piperidino, optionally substituted by one or more CH 3 , or a radical selected from the group consisting of C 1-4 -alkyl, which may optionally be substituted by one or more COOH, NMe 2 or 4- methylpiperazine;
R 10 is H, C 1-4 alkyl, C 2-4 alkynyl or COCH 3 ;
R 11 is C 1-4 -alkyl, optionally substituted by one or more NMe 2 ,
R 12 is C 1-4 alkyl;
R
b R 4 , CH 2 OR 4 , COR 4 , COOR 4 , CONR 4 R 5 , NH 2 , NHCOOR 4 , NHCONR 4 R 5 or OH; R 4 is H, C 1-4 -alkyl, C 1-4 -alkylene-OH, C 2-4 -alkynyl, C 1-6 -haloalkyl, aryl, het, hetaryl, R 5 is H or C 1-4 alkyl;
R c NHR 6 or a radical selected from the group consisting of wherein
B bond, C 1-4 alkyl or C 2-4 alkynyl;
R 6 is H, C 1-4 alkyl, C 3-6 cycloalkyl, C 7-11 aralkyl, aryl optionally substituted with SO 2 CH 3 ;
R 7 H, NR 7.1 R 7.2 , OR 7.2 , SR 7.2 , hetaryl, Het, optionally substituted by C 1-4 alkyl or CONH 2 , or a radical selected from the group consisting of R is 7.1 H, C 1-4 alkyl, (CH 2 ) 2 R 7.1.1 or COOButyl;
R 7.2 is H, C 1-4 alkyl;
R 7.1.1 NR 7.1.1.1 R 7.1.1.2 , Het or 1-imidazolyl, 2- (N-ethylpyrollidine);
R 7.1.1.1 H or C 1-6 alkyl;
R 7.1.1.2 H or C 1-6 alkyl;
as well as pharmacologically acceptable salt, diastereomers, enantiomers, racemates, hydrates or solvates thereof, with the proviso that R a can not be H or Me when Y = nitrogen; Z = nitrogen; j = 2; k = 0; R b = H and R c = NHCONH-Et.
Besonders
bevorzugt sind die oben genannten Verbindungen der Formel 1; worin
Ra H, C1-6-Alklyl,
C2-6-Alkenyl, C3-6-Cycloalkyl,
C3-6-Cycloalkenyl, CF3,
COR8, NR9R10, NO2, S(O)nR11, Spiro, NHCO-C1-6-Alkyl-NH2 oder
ein Rest ausgewählt
aus der Gruppe bestehend aus C7-11-Aralkyl
und CH2O-Aryl, der gegebenenfalls substituiert
sein kann mit einem oder mehreren Cl; oder ein Rest ausgewählt aus
der Gruppe bestehend aus Het, der gegebenenfalls substituiert sein
kann mit einem oder mehreren C1-4-Alkyl,
COCF3, CH2NH2 oder CN2NHCOOR12;
R8 C1-4-Alkyl, C3-6-Cycloalkyl,
NH2, Hetaryl, Aryl, gegebenenfalls substituiert
mit einem oder mehreren Chlor;
R9 H,
COOR12 oder Het, gegebenenfalls substituiert
mit einem oder mehreren C1-4-Alkyl, oder
ein Rest ausgewählt
aus der Gruppe bestehend aus C1-4-Alkyl,
der gegebenenfalls substituiert sein kann mit einem oder mehreren
COOH, N(C1-4-Alkyl)2 oder
4-Methylpiperazin;
R10 H, C1-4-Alkyl, C2-4-Alkinyl
oder COCH3;
R11 C1-4-Alkyl, gegebenenfalls substituiert mit
einem oder mehreren N(C1-4-Alkyl)2,
R12 C1-4-Alkyl;
n 0 oder 2;
Rb H, OH oder COOEt;
Rc NH2 oder NHCOR13;
R13 C1-4-Alkyl, oder
NR13.1R13.2,
R13.1 H oder C1-4-Alkyl;
R13.2 H oder C1-4-Alkyl;
bedeuten,
sowie pharmakologisch verträgliche
Salz, Diastereomere, Enantiomere, Racemate, Hydrate oder Solvate
davon, mit der Maßgabe,
dass Ra nicht H oder Me sein kann, wenn
Y = Stickstoff; Z = Stickstoff; j = 2; k = 0; Rb =
H und Rc = NHCONH-Et bedeutet.Particularly preferred are the abovementioned compounds of the formula 1; wherein
R a is H, C 1-6 -alklyl, C 2-6 -alkenyl, C 3-6 -cycloalkyl, C 3-6 -cycloalkenyl, CF 3 , COR 8 , NR 9 R 10 , NO 2 , S (O) n R 11 , spiro, NHCO-C 1-6 -alkyl-NH 2 or a radical selected from the group consisting of C 7-11 -aralkyl and CH 2 O-aryl, which may optionally be substituted by one or more Cl; or a radical selected from the group consisting of Het, which may be optionally substituted with one or more C 1-4 alkyl, COCF 3 , CH 2 NH 2 or CN 2 NHCOOR 12 ;
R 8 is C 1-4 alkyl, C 3-6 cycloalkyl, NH 2 , hetaryl, aryl, optionally substituted with one or more chlorine;
R 9 is H, COOR 12 or Het optionally substituted with one or more C 1-4 alkyl, or a radical selected from the group consisting of C 1-4 alkyl which may be optionally substituted with one or more COOH, N (C 1-4 alkyl) 2 or 4-methylpiperazine;
R 10 is H, C 1-4 alkyl, C 2-4 alkynyl or COCH 3 ;
R 11 is C 1-4 -alkyl, optionally substituted with one or more N (C 1-4 -alkyl) 2 ,
R 12 is C 1-4 alkyl;
n is 0 or 2;
R b is H, OH or COOEt;
R c is NH 2 or NHCOR 13 ;
R 13 is C 1-4 -alkyl, or NR 13.1 R 13.2 ,
R 13.1 is H or C 1-4 alkyl;
R 13.2 is H or C 1-4 alkyl;
as well as pharmacologically acceptable salt, diastereomers, enantiomers, racemates, hydrates or solvates thereof, with the proviso that R a can not be H or Me when Y = nitrogen; Z = nitrogen; j = 2; k = 0; R b = H and R c = NHCONH-Et.
Besonders
bevorzugt sind die oben genannten Verbindungen der Formel 1; worin
Ra H, C1-6-Alklyl,
C2-6-Alkenyl, C3-6-Cycloalkyl,
CF3, COR8, NR9R10, NO2,
S(O)nR11, oder ein
Rest ausgewählt
aus der Gruppe bestehend aus oder
ein Rest ausgewählt
aus der Gruppe bestehend aus der gegebenenfalls substituiert
sein kann mit einem oder mehreren Cl; oder ein Rest ausgewählt aus
der Gruppe bestehend aus der gegebenenfalls substituiert
sein kann mit einem oder mehreren CH3, COCF3, CH2NH2 oder CH2NHCOOR12;
R8 C1-4-Alkyl, C3-6-Cycloalkyl, NH2,
Furanyl oder Phenyl, gegebenenfalls substituiert mit einem oder
mehreren Chlor;
R9 H, COOR12 oder
Piperidino, gegebenenfalls substituiert mit einem oder mehreren
CH3, oder ein Rest ausgewählt aus
der Gruppe bestehend aus C1-4-Alkyl, der
gegebenenfalls substituiert sein kann mit einem oder mehreren COOH,
NMe2 oder 4-Methylpiperazin;
R10 h, C1-4-Alkyl,
C2-4-Alkinyl oder COCH3;
R11 C1-4-Alkyl, gegebenenfalls
substituiert mit einem oder mehreren NMe2,
R12 C1-4-Alkyl;
Rb H, OH oder COOEt;
Rc NH2 oder NHCOR13;
R13 C1-4-Alkyl, oder
NR13.1R13.2,
R13.1 H oder C1-4-Alkyl;
R13.2 H oder C1-4-Alkyl;
bedeuten,
sowie pharmakologisch verträgliche
Salz, Diastereomere, Enantiomere, Racemate, Hydrate oder Solvate
davon, mit der Maßgabe,
dass Ra nicht H oder Me sein kann, wenn
Y = Stickstoff; Z = Stickstoff; j = 2; k = 0; Rb =
H und Rc = NHCONH-Et bedeutet.Particularly preferred are the abovementioned compounds of the formula 1; wherein
R a is H, C 1-6 -alklyl, C 2-6 -alkenyl, C 3-6 -cycloalkyl, CF 3 , COR 8 , NR 9 R 10 , NO 2 , S (O) n R 11 , or a radical selected from the group consisting of or a radical selected from the group consisting of which may be optionally substituted with one or more Cl; or a radical selected from the group consisting of which may optionally be substituted with one or more CH 3 , COCF 3 , CH 2 NH 2 or CH 2 NHCOOR 12 ;
R 8 is C 1-4 alkyl, C 3-6 cycloalkyl, NH 2 , furanyl or phenyl optionally substituted with one or more chloro;
R 9 is H, COOR 12 or piperidino, optionally substituted by one or more CH 3 , or a radical selected from the group consisting of C 1-4 -alkyl, which may optionally be substituted by one or more COOH, NMe 2 or 4- methylpiperazine;
R 10 h, C 1-4 alkyl, C 2-4 alkynyl or COCH 3 ;
R 11 is C 1-4 -alkyl, optionally substituted by one or more NMe 2 ,
R 12 is C 1-4 alkyl;
R b is H, OH or COOEt;
R c is NH 2 or NHCOR 13 ;
R 13 is C 1-4 -alkyl, or NR 13.1 R 13.2 ,
R 13.1 is H or C 1-4 alkyl;
R 13.2 is H or C 1-4 alkyl;
as well as pharmacologically acceptable salt, diastereomers, enantiomers, racemates, hydrates or solvates thereof, with the proviso that R a can not be H or Me when Y = nitrogen; Z = nitrogen; j = 2; k = 0; R b = H and R c = NHCONH-Et.
Besonders
bevorzugt sind die oben genannten Verbindungen der Formel 1; worin
Ra H, Methyl, Ethyl, Propyl, Butyl, 3-Methyl-butyl,
Propenyl, Cyclopropyl, Cyclohexyl, CF3,
CORB, NR9R10, NO2, S(O)nR11, oder ein Rest
ausgewählt
aus der Gruppe bestehend aus oder ein
Rest ausgewählt
aus der Gruppe bestehend aus der gegebenenfalls substituiert
sein kann mit einem oder mehreren Cl; oder ein Rest ausgewählt aus
der Gruppe bestehend aus der gegebenenfalls substituiert
sein kann mit einem oder mehreren CH3, COCF3, CH2NH2 oder CH2NHCOOR12;
R8 Methyl, Propyl, Cyclopropyl, NH2, Furanyl oder Phenyl, gegebenenfalls substituiert
mit einem oder mehreren Chlor;
R9 H,
COOR12 oder Piperidino, gegebenenfalls substituiert
mit einem oder mehreren CH3, oder ein Rest
ausgewählt
aus der Gruppe bestehend aus Methyl, Ethyl und Propyl, der gegebenenfalls
substituiert sein kann mit einem oder mehreren COOH, NMe2 oder 4-Methylpiperazin;
R10 H,
Methyl, COCH3, C≡CH oder CH2C≡CH;
R11 Ethyl oder Propyl, gegebenenfalls substituiert
mit einem oder mehreren NMe2,
R12 Butyl
Rb H,
OH oder COOEt;
Rc NH2 oder
NHCOR13;
R13 Methyl
oder NR13.1R13.2,
R13.1 H oder Methyl;
R13.2 H
oder Methyl.
bedeuten, sowie pharmakologisch verträgliche Salz,
Diastereomere, Enantiomere, Racemate, Hydrate oder Solvate davon,
mit der Maßgabe,
dass Ra nicht H oder Me sein kann, wenn
Y = Stickstoff; Z = Stickstoff; j = 2; k = 0; Rb =
H und Rc = NHCONH-Et bedeutet.Particularly preferred are the abovementioned compounds of the formula 1; wherein
R a is H, methyl, ethyl, propyl, butyl, 3-methyl-butyl, propenyl, cyclopropyl, cyclohexyl, CF 3 , COR B , NR 9 R 10 , NO 2 , S (O) n R 11 , or a radical consisting of the group or a radical selected from the group consisting of which may be optionally substituted with one or more Cl; or a radical selected from the group consisting of which may optionally be substituted with one or more CH 3 , COCF 3 , CH 2 NH 2 or CH 2 NHCOOR 12 ;
R 8 is methyl, propyl, cyclopropyl, NH 2 , furanyl or phenyl optionally substituted with one or more chloro;
R 9 is H, COOR 12 or piperidino, optionally substituted with one or more CH 3 , or a radical selected from the group consisting of methyl, ethyl and propyl, which may be optionally substituted with one or more COOH, NMe 2 or 4-methylpiperazine ;
R 10 is H, methyl, COCH 3 , C≡CH or CH 2 C≡CH;
R 11 is ethyl or propyl, optionally substituted by one or more NMe 2 ,
R 12 butyl
R b is H, OH or COOEt;
R c is NH 2 or NHCOR 13 ;
R 13 is methyl or NR 13.1 R 13.2 ,
R 13.1 is H or methyl;
R 13.2 is H or methyl.
as well as pharmacologically acceptable salt, diastereomers, enantiomers, racemates, hydrates or solvates thereof, with the proviso that R a can not be H or Me when Y = nitrogen; Z = nitrogen; j = 2; k = 0; R b = H and R c = NHCONH-Et.
Am
meisten bevorzugt sind die oben genannten Verbindungen der Formel
1; worin
Ra Propyl, COR8,
NR9R10, S(O)nR11 und R8 Furanyl;
R9 Methyl;
R10 Methyl;
R11 Ethyl;
n 0;
Rb H
oder OH;
Rc NH2 oder
NHCOCH3;
bedeuten, sowie pharmakologisch
verträgliche
Salz, Diastereomere, Enantiomere, Racemate, Hydrate oder Solvate
davon.Most preferred are the above compounds of formula 1; wherein
R a is Propyl, COR 8 , NR 9 R 10 , S (O) n R 11 and R 8 furanyl;
R 9 is methyl;
R 10 is methyl;
R 11 ethyl;
n 0;
R b is H or OH;
R c is NH 2 or NHCOCH 3 ;
and pharmacologically acceptable salts, diastereomers, enantiomers, racemates, hydrates or solvates thereof.
VERWENDETE BEGRIFFE UND DEFINTIONENUSED TERMS AND DEFINITIONS
Unter dem Begriff "C1-6-Alkyl" (auch soweit sie Bestandteil anderer Reste sind) werden verzweigte und unverzweigte Alkylgruppen mit 1 bis 6 Kohlenstoffatomen verstanden und unter dem Begriff "C1-4-Alkyl" verzweigte und unverzweigte Alkylgruppen mit 1 bis 4 Kohlenstoffatomen verstanden. Bevorzugt sind Alkylgruppen mit 1 bis 4 Kohlenstoffatome. Beispielsweise werden hierfür genannt: Methyl, Ethyl, n-Propyl, iso-Propyl, n-Butyl, iso-Butyl, sec-Butyl, tert-Butyl, n-Pentyl, iso-Pentyl, neo-Pentyl oder Hexyl. Gegebenenfalls werden für vorstehend genannten Gruppen auch die Abkürzungen Me, Et, n-Pr, i-Pr, n-Bu, i-Bu, t-Bu, etc. verwendet. Sofern nicht anders beschrieben, umfassen die Definitionen Propyl, Butyl, Pentyl und Hexyl alle denkbaren isomeren Formen der jeweiligen Reste. So umfasst beispielsweise Propyl n-Propyl und iso-Propyl, Butyl umfasst iso-Butyl, sec-Butyl und tert-Butyl etc.The term "C 1-6 -alkyl" (including those which are part of other groups) is understood to mean branched and unbranched alkyl groups having 1 to 6 carbon atoms and branched and unbranched alkyl groups having 1 to 10 by the term "C 1-4 -alkyl" 4 carbon atoms understood. Preferred are alkyl groups having 1 to 4 carbon atoms. Examples include: methyl, ethyl, n-propyl, iso-propyl, n-butyl, iso-butyl, sec-butyl, tert-butyl, n-pentyl, iso-pentyl, neo-pentyl or hexyl. Optionally, the abbreviations Me, Et, n-Pr, i-Pr, n-Bu, i-Bu, t-Bu, etc. are also used for the abovementioned groups. Unless otherwise specified, the definitions of propyl, butyl, pentyl and hexyl include all conceivable isomeric forms of the respective radicals. For example, propyl includes n-propyl and iso-propyl, butyl includes iso-butyl, sec-butyl and tert-butyl, etc.
Unter dem Begriff "C1-6-Alkylen" (auch soweit sie Bestandteil anderer Reste sind) werden verzweigte und unverzweigte Alkylengruppen mit 1 bis 6 Kohlenstoffatomen verstanden und unter dem Begriff "C1-4-Alkylen" verzweigte und unverzweigte Alkylengruppen mit 1 bis 4 Kohlenstoffatomen verstanden. Bevorzugt sind Alkylengruppen mit 1 bis 4 Kohlenstoffatome. Beispielsweise werden hierfür genannt: Methylen, Ethylen, Propylen, 1-Methylethylen, Butylen, 1-Methylpropylen, 1,1-Dimethylethylen, 1,2-Dimethylethylen, Pentylen, 1,1-Dimethylpropylen, 2,2,-Dimethylpropylen, 1,2-Dimethylpropylen, 1,3-Dimethylpropylen oder Hexylen. Sofern nicht anders beschrieben, umfassen die Definitionen Propylen, Butylen, Pentylen und Hexylen alle denkbaren isomeren Formen der jeweiligen Reste gleicher Kohlenstoffanzahl. So umfasst beispielsweise Propyl auch 1-Methylethylen und Butylen umfasst 1-Methylpropylen, 1,1-Dimethylethylen, 1,2-Dimethylethylen.The term "C 1-6 -alkylene" (including those which are part of other radicals) are to be understood as meaning branched and unbranched alkylene groups having 1 to 6 carbon atoms and branched and unbranched alkylene groups having 1 to 10 by the term "C 1-4 -alkylene" 4 carbon atoms understood. Preferred are alkylene groups having 1 to 4 carbon atoms. Examples include: methylene, ethylene, propylene, 1-methylethylene, butylene, 1-methylpropylene, 1,1-dimethylethylene, 1,2-dimethylethylene, pentylene, 1,1-dimethylpropylene, 2,2, -dimethylpropylene, 1, 2-dimethylpropylene, 1,3-dimethylpropylene or hexylene. Unless otherwise stated, the definitions propylene, butylene, pentylene and hexylene include all conceivable isomeric forms of the respective radicals of the same carbon number. For example, propyl also includes 1-methylethylene and butylene includes 1-methylpropylene, 1,1-dimethylethylene, 1,2-dimethylethylene.
Unter dem Begriff "C2-6-Alkenyl" (auch soweit sie Bestandteil anderer Reste sind) werden verzweigte und unverzweigte Alkenylgruppen mit 2 bis 6 Kohlenstoffatomen und unter dem Begriff "C2-4-Alkenyl" verzweigte und unverzweigte Alkenylgruppen mit 2 bis 4 Kohlenstoffatomen verstanden, soweit sie mindestens eine Doppelbindung aufweisen. Bevorzugt sind Alkenylgruppen mit 2 bis 4 Kohlenstoffatome. Beispielsweise werden hierfür genannt: Ethenyl oder Vinyl, Propenyl, Butenyl, Pentenyl, oder Hexenyl. Sofern nicht anders beschrieben, umfassen die Definitionen Propenyl, Butenyl, Pentenyl und Hexenyl alle denkbaren isomeren Formen der jeweiligen Reste. So umfasst beispielsweise Propenyl 1-Propenyl und 2-Propenyl, Butenyl umfasst 1-, 2- und 3-Butenyl, 1-Methyl-1-propenyl, 1-Methyl-2-propenyl etc.The term "C 2-6 alkenyl" (including those which are part of other radicals) are branched and unbranched alkenyl groups having 2 to 6 carbon atoms and the term "C 2-4 alkenyl" branched and unbranched alkenyl groups having 2 to 4 Carbon atoms understood, as far as they have at least one double bond. Preferred are alkenyl groups having 2 to 4 carbon atoms. Examples include: ethenyl or vinyl, propenyl, butenyl, pentenyl, or hexenyl. Unless otherwise described, the definitions propenyl, butenyl, pentenyl and hexenyl include all conceivable isomeric forms of the respective radicals. For example, propenyl includes 1-propenyl and 2-propenyl, butenyl includes 1-, 2- and 3-butenyl, 1-methyl-1-propenyl, 1-methyl-2-propenyl, etc.
Unter dem Begriff "C2-6-Alkenylen" (auch soweit sie Bestandteil anderer Reste sind) werden verzweigte und unverzweigte Alkenylengruppen mit 2 bis 6 Kohlenstoffatomen verstanden und unter dem Begriff "C2-4-Alkenylen" verzweigte und unverzweigte Alkylengruppen mit 2 bis 4 Kohlenstoffatomen verstanden. Bevorzugt sind Alkenylengruppen mit 2 bis 4 Kohlenstoffatome. Beispielsweise werden hierfür genannt: Ethenylen, Propenylen, 1-Methylethenylen, Butenylen, 1-Methylpropenylen, 1,1-Dimethylethenylen, 1,2-Dimethylethenylen, Pentenylen, 1,1-Dimethylpropenylen, 2,2,-Dimethylpropenylen, 1,2-Dimethylpropenylen, 1,3-Dimethylpropenylen oder Hexenylen. Sofern nicht anders beschrieben, umfassen die Definitionen Propenylen, Butenylen, Pentenylen und Hexenylen alle denkbaren isomeren Formen der jeweiligen Reste gleicher Kohlenstoffanzahl. So umfasst beispielsweise Propenyl auch 1-Methylethenylen und Butenylen umfasst 1-Methylpropenylen, 1,1-Dimethylethenylen, 1,2-Dimethylethenylen.The term "C 2-6 -alkenylene" (including those which are part of other groups) are branched and unbranched alkenylene groups having 2 to 6 carbon atoms and the term "C 2-4 -Al kenylene "means branched and unbranched alkylene groups having 2 to 4 carbon atoms, preferred are alkenylene groups having 2 to 4 carbon atoms, for example: ethenylene, propenylene, 1-methylethenylene, butenylene, 1-methylpropenylene, 1,1-dimethylethenylene, 1,2 Dimethyl-propenylene, pentenylene, 1,1-dimethyl-propenylene, 2,2-dimethyl-propenylene, 1,2-dimethyl-propenylene, 1,3-dimethyl-propenylene or hexenylene Unless otherwise specified, the definitions propenylene, butenylene, pentenylene and hexenylene include all conceivable isomers For example, propenyl also includes 1-methylethenylene and butenylene includes 1-methylpropenylene, 1,1-dimethylethenylene, 1,2-dimethylethenylene.
Unter dem Begriff "C2-6-Alkinyl" (auch soweit sie Bestandteil anderer Reste sind) werden verzweigte und unverzweigte Alkinylgruppen mit 2 bis 6 Kohlenstoffatomen und unter dem Begriff "C2-4-Alkinyl" verzweigte und unverzweigte Alkinylgruppen mit 2 bis 4 Kohlenstoffatomen verstanden, soweit sie mindestens eine Dreifachbindung aufweisen. Bevorzugt sind Alkinylgruppen mit 2 bis 4 Kohlenstoffatome. Beispielsweise werden hierfür genannt: Ethinyl, Propinyl, Butinyl, Pentinyl, oder Hexinyl. Sofern nicht anders beschrieben, umfassen die Definitionen Propinyl, Butinyl, Pentinyl und Hexinyl alle denkbaren isomeren Formen der jeweiligen Reste. So umfasst beispielsweise Propinyl 1-Propinyl und 2-Propinyl, Butinyl umfasst 1-, 2- und 3-Butinyl, 1-Methyl-1-propinyl, 1-Methyl-2-propinyl etc.The term "C 2-6 -alkynyl" (including those which are part of other radicals) are branched and unbranched alkynyl groups having 2 to 6 carbon atoms and the term "C 2-4 -alkynyl" branched and unbranched alkynyl groups having 2 to 4 Carbon atoms understood as far as they have at least one triple bond. Preferred are alkynyl groups having 2 to 4 carbon atoms. Examples include: ethynyl, propynyl, butynyl, pentynyl, or hexynyl. Unless otherwise stated, the definitions of propynyl, butynyl, pentynyl and hexynyl include all conceivable isomeric forms of the respective radicals. For example, propynyl includes 1-propynyl and 2-propynyl, butinyl includes 1-, 2- and 3-butynyl, 1-methyl-1-propynyl, 1-methyl-2-propynyl, etc.
Unter dem Begriff "C2-6-Alkinylen" (auch soweit sie Bestandteil anderer Reste sind) werden verzweigte und unverzweigte Alkinylengruppen mit 2 bis 6 Kohlenstoffatomen verstanden und unter dem Begriff "C2-4-Alkinylen" verzweigte und unverzweigte Alkylengruppen mit 2 bis 4 Kohlenstoffatomen verstanden. Bevorzugt sind Alkinylengruppen mit 2 bis 4 Kohlenstoffatome. Beispielsweise werden hierfür genannt: Ethinylen, Propinylen, 1-Methylethinylen, Butinylen, 1-Methylpropinylen, 1,1-Dimethylethinylen, 1,2-Dimethylethinylen, Pentinylen, 1,1-Dimethylpropinylen, 2,2,-Dimethylpropinylen, 1,2-Dimethylpropinylen, 1,3-Dimethylpropinylen oder Hexinylen. Sofern nicht anders beschrieben, umfassen die Definitionen Propinylen, Butinylen, Pentinylen und Hexinylen alle denkbaren isomeren Formen der jeweiligen Reste gleicher Kohlenstoffanzahl. So umfasst beispielsweise Propinyl auch 1-Methylethinylen und Butinylen umfasst 1-Methylpropinylen, 1,1-Dimethylethinylen, 1,2-Dimethylethinylen.The term "C 2-6 -alkynylene" (even if they are part of other groups) are branched and unbranched alkynylene groups having 2 to 6 carbon atoms and the term "C 2-4 -alkynylene" branched and unbranched alkylene groups having 2 to 4 carbon atoms understood. Alkynylene groups having 2 to 4 carbon atoms are preferred. Examples include: ethynylene, propynylene, 1-methylethynylene, butynylene, 1-methylpropynylene, 1,1-dimethylethynylene, 1,2-dimethylethynylene, pentynylene, 1,1-dimethylpropynylene, 2,2-dimethylpropynylene, 1,2- Dimethylpropynylene, 1,3-dimethylpropynylene or hexynylene. Unless otherwise stated, the definitions propynylene, butynylene, pentynylene and hexynylene include all conceivable isomeric forms of the respective radicals of the same carbon number. For example, propynyl also includes 1-methylethynylene and butynylene includes 1-methylpropynylene, 1,1-dimethylethynylene, 1,2-dimethylethynylene.
Unter dem Begriff "C1-6-Alkoxy" (auch soweit sie Bestandteil anderer Reste sind) werden verzweigte und unverzweigte Alkoxygruppen mit 1 bis 6 Kohlenstoffatomen verstanden und unter dem Begriff "C1-4-Alkoxy" verzweigte und unverzweigte Alkoxygruppen mit 1 bis 4 Kohlenstoffatomen verstanden. Bevorzugt sind Alkoxygruppen mit 1 bis 4 Kohlenstoffatome. Beispielsweise werden hierfür genannt: Methoxy, Ethoxy, Propoxy, Butoxy oder Pentoxy. Gegebenenfalls werden für vorstehend genannte Gruppen auch die Abkürzungen OMe, OEt, OPr, etc. verwendet. Sofern nicht anders beschrieben, umfassen die Definitionen Propoxy, Butoxy und Pentoxy alle denkbaren isomeren Formen der jeweiligen Reste. So umfasst beispielsweise Propoxy n-Propoxy und iso-Propoxy, Butoxy umfasst iso-Butoxy, sec-Butoxy und tert-Butoxy etc.The term "C 1-6 -alkoxy" (even if they are part of other radicals) are branched and unbranched alkoxy groups having 1 to 6 carbon atoms and the term "C 1-4 alkoxy" branched and unbranched alkoxy groups with 1 to 4 carbon atoms understood. Preferred are alkoxy groups having 1 to 4 carbon atoms. Examples include: methoxy, ethoxy, propoxy, butoxy or pentoxy. If appropriate, the abbreviations OMe, OEt, OPr, etc. are also used for the abovementioned groups. Unless otherwise stated, the definitions of propoxy, butoxy and pentoxy include all conceivable isomeric forms of the respective radicals. For example, propoxy includes n-propoxy and iso-propoxy, butoxy includes iso-butoxy, sec-butoxy and tert-butoxy, etc.
Unter dem Begriff "C3-8-Cycloalkyl" (auch soweit sie Bestandteil anderer Reste sind) werden cyclische Alkylgruppen mit 3 bis 8 Kohlenstoffatomen verstanden, unter dem Begriff "C3-6-Cycloalkyl" cyclische Alkylgruppen mit 3 bis 8 Kohlenstoffatomen und unter dem Begriff "C5-6-Cycloalkyl" cyclische Alkylgruppen mit 5 bis 6 Kohlenstoffatomen verstanden. Beispielsweise werden hierfür genannt: Cyclopropyl, Cyclobutyl, Cyclopentyl, Cyclohexyl, Cycloheptyl oder Cyclooctyl.The term "C 3-8 -cycloalkyl" (even if they are part of other radicals) are cyclic alkyl groups having 3 to 8 carbon atoms, by the term "C 3-6 -cycloalkyl" cyclic alkyl groups having 3 to 8 carbon atoms and lower the term "C 5-6 cycloalkyl" means cyclic alkyl groups having 5 to 6 carbon atoms. Examples include: cyclopropyl, cyclobutyl, cyclopentyl, cyclohexyl, cycloheptyl or cyclooctyl.
Unter dem Begriff "C3-6-Cycloalkenyl" (auch soweit sie Bestandteil anderer Reste sind) werden cyclische Alkylgruppen mit 5 oder 6 Kohlenstoffatomen verstanden, die eine oder zwei Doppelbindungen enthalten. Beispielsweise werden hierfür genannt: Cyclopentenyl, Cyclopentadienyl, Cyclohexenyl oder Cyclohexadienyl.The term "C 3-6 -cycloalkenyl" (including those which are part of other groups) means cyclic alkyl groups having 5 or 6 carbon atoms which contain one or two double bonds. Examples include: cyclopentenyl, cyclopentadienyl, cyclohexenyl or cyclohexadienyl.
Unter dem Begriff "C1-6-Haloalkyl" (auch soweit sie Bestandteil anderer Reste sind) werden verzweigte und unverzweigte Alkylgruppen mit 1 bis 6 Kohlenstoffatomen verstanden bei denen ein oder mehrere Wasserstoffatome durch ein Halogenatom ausgewählt aus der Gruppe Fluor, Chlor oder Brom, bevorzugt Fluor und Chlor, besonders bevorzugt Fluor ausgetauscht sind. Unter dem Begriff "C1-4-Haloalkyl" werden entsprechend verzweigte und unverzweigte Alkylgruppen mit 1 bis 4 Kohlenstoffatomen verstanden, bei denen analog oben beschrieben ein oder mehrere Wasserstoffatome ausgetauscht sind. Bevorzugt ist C1-4-Haloalkyl. Beispielsweise werden hierfür genannt: CH2F, CHF2, CF3,The term "C 1-6 haloalkyl" (including those which are part of other radicals) is understood as meaning branched and unbranched alkyl groups having 1 to 6 carbon atoms in which one or more hydrogen atoms are selected from the group consisting of fluorine, chlorine or bromine by a halogen atom. preferably fluorine and chlorine, particularly preferably fluorine are exchanged. The term "C 1-4 -haloalkyl" means correspondingly branched and unbranched alkyl groups having 1 to 4 carbon atoms, in which one or more hydrogen atoms have been exchanged analogously as described above. Preferably, C 1-4 haloalkyl. For example: CH 2 F, CHF 2 , CF 3 ,
Unter dem Begriff "C7-11-Aralkyl" (auch soweit sie Bestandteil anderer Reste sind) werden verzweigte und unverzweigte Alkylgruppen mit 1 bis 4 Kohlenstoffatomen verstanden, die mit einem aromatischen Ringsystem mit 6 Kohlenstoffatomen substituiert sind.The term "C 7-11 -aralkyl" (including those which are part of other groups) means branched and unbranched alkyl groups having 1 to 4 carbon atoms which are substituted by an aromatic ring system having 6 carbon atoms.
Beispielsweise werden hierfür genannt: Benzyl, 1- oder 2-Phenylethyl. Soweit nicht anders beschreiben, können die Aromaten substituiert sein mit einem oder mehreren Resten ausgewählt aus der Gruppe bestehend aus Methyl, Ethyl, iso-Propyl, tert-Butyl, Hydroxy, Fluor, Chlor, Brom und Jod.For example be for this called: benzyl, 1- or 2-phenylethyl. Unless otherwise stated, can the aromatics are substituted with one or more radicals selected from the group consisting of methyl, ethyl, iso-propyl, tert-butyl, Hydroxy, fluorine, chlorine, bromine and iodine.
Unter dem Begriff "Aryl" (auch soweit sie Bestandteil anderer Reste sind) werden aromatische Ringsysteme mit 6 oder 10 Kohlenstoffatomen verstanden. Beispielsweise werden hierfür genannt: Phenyl oder Naphthyl, bevorzugter Arylrest ist Phenyl.Under the term "aryl" (as far as they are Are part of other radicals) are aromatic ring systems with 6 or 10 carbon atoms understood. For example: Phenyl or naphthyl, more preferably aryl, is phenyl.
Unter dem Begriff heterocyclische Ringe ("Het") werden fünf-, sechs- oder siebengliedrige, gesättigte oder ungesättigte heterocyclische Ringe oder 5-10 gliedrige, bicyclische Heteroringe verstanden die ein, zwei oder drei Heteroatome, ausgewählt aus der Gruppe Sauerstoff, Schwefel und Stickstoff enthalten können, dabei kann der Ring über ein Kohlenstoffatom oder falls vorhanden über ein Stickstoffatom mit dem Molekül verknüpft sein. Als Beispiele für fünf-, sechs- oder siebengliedrige, gesättigte oder ungesättigte heterocyclische Ringe, werden genannt: The term heterocyclic rings ("Het") is understood as meaning five-, six- or seven-membered, saturated or unsaturated heterocyclic rings or 5-10-membered, bicyclic hetero rings, the one, two or three heteroatoms selected from the group consisting of oxygen, sulfur and nitrogen The ring may be linked to the molecule via a carbon atom or, if present, via a nitrogen atom. As examples of five-, six- or seven-membered, saturated or unsaturated heterocyclic rings, mention is made:
Soweit nicht anders erwähnt, kann ein heterocyclischer Ring mit einer Ketogruppe versehen sein. Als Beispiel hierfür werden genannt.So far not mentioned otherwise, For example, a heterocyclic ring may be provided with a keto group. As an example are called.
Als Beispiel für 5-10-gliedrige bicyclische Heteroringe werden genannt Pyrrolizin, Indol, Indolizin, Isoindol, Indazol, Purin, Chinolin, Isochinolin, Benzimdiazol, Benzofuran, Benzopyran, Benzothiazol, Benzothiazol, Benzoisothiazol, Pyridopyrimidin, Pteridin, Pyrimidopyrimidin, As an example of 5-10 membered bicyclic hetero rings are mentioned pyrrolizine, indole, indolizine, isoindole, indazole, purine, quinoline, isoquinoline, benzimidazole, benzofuran, benzopyran, benzothiazole, benzothiazole, benzoisothiazole, pyridopyrimidine, pteridine, pyrimidopyrimidine,
Obwohl unter dem Begriff heterocyclische Ringe ("Hetaryl") umfasst, definiert der Begriff heterocyclische Aromaten fünf- oder sechsgliedrige heterocyclische Aromaten oder 5-10 gliedrige, bicyclische Hetarylringe die ein, zwei oder drei Heteroatome, ausgewählt aus der Gruppe Sauerstoff, Schwefel und Stickstoff, enthalten können und so viele konjugierte Doppelbindungen enthalten, dass ein aromatisches gebildet Systeme wird. Der Ring kann über ein Kohlenstoffatom oder falls vorhanden über ein Stickstoffatom mit dem Molekül verknüpft sein. Als Beispiele für fünf- oder sechsgliedrige heterocyclische Aromaten, werden genannt: Although the term comprises heterocyclic rings ("hetaryl"), the term heterocyclic aromatics defines five- or six-membered heterocyclic aromatics or 5-10-membered bicyclic hetaryl rings the one, two or three heteroatoms selected from the group consisting of oxygen, sulfur and nitrogen, can contain and contain as many conjugated double bonds that an aromatic system is formed. The ring may be linked to the molecule via a carbon atom or, if present, via a nitrogen atom. As examples of five- or six-membered heterocyclic aromatic compounds, there are mentioned:
Als Beispiel für 5-10-gliedrige bicyclische Hetarylringe werden genannt Pyrrolizin, Indol, Indolizin, Isoindol, Indazol, Purin, Chinolin, Isochinolin, Benzimdiazol, Benzofuran, Benzopyran, Benzothiazol, Benzothiazol, Benzoisothiazol, Pyridopyrimidin, Pteridin, Pyrimidopyrimidin.When example for 5-10 membered bicyclic hetaryl rings are called pyrrolizine, Indole, indolizine, isoindole, indazole, purine, quinoline, isoquinoline, Benzimidazole, benzofuran, benzopyran, benzothiazole, benzothiazole, Benzoisothiazole, pyridopyrimidine, pteridine, pyrimidopyrimidine.
Unter dem Begriff heterocyclische Spiroringe ("Spiro") werden 5-10 gliedrige, spirocyclische Ringe verstanden die gegebenenfalls ein, zwei oder drei Heteroatome, ausgewählt aus der Gruppe Sauerstoff, Schwefel und Stickstoff enthalten können, dabei kann der Ring über ein Kohlenstoffatom oder falls vorhanden über ein Stickstoffatom mit dem Molekül verknüpft sein. Soweit nicht anders erwähnt, kann ein spirocyclischer Ring mit einer Ketogruppe versehen sein. Als Beispiele hierfür werden genannt: The term heterocyclic spiro rings ("spiro") is understood to mean 5-10 membered spirocyclic rings which may optionally contain one, two or three heteroatoms selected from the group consisting of oxygen, sulfur and nitrogen, in which case the ring may have a carbon atom or, if present about one Nitrogen atom linked to the molecule. Unless otherwise stated, a spirocyclic ring may be provided with a keto group. As examples are mentioned:
Unter dem Begriff "gegebenenfalls substituiert" wird im Rahmen der Erfindung die genannte Gruppe verstanden, die gegebenenfalls mit einem niedermolekularen Rest substituiert ist. Als niedermolekulare Reste werden als chemisch sinnvoll anzusehende Gruppen verstanden, bestehende aus 1-200 Atomen. Bevorzugt haben solche Gruppen keinen negativen Effekt auf die pharmakologische Wirksamkeit der Verbindungen. Beispielsweise können die Gruppen umfassen:
- • Gerade oder verzweigte Kohlenstoffketten, gegebenenfalls unterbrochen durch Heteroatome, gegebenenfalls substituiert mit Ringen, Heteroatomen oder anderen gängigen funktionellen Gruppen.
- • Aromatische oder nicht-aromatische Ringsysteme bestehend aus Kohlenstoffatomen und gegebenenfalls Heteroatomen, die wiederum substituiert sein können mit funktionellen Gruppen.
- • Mehrere aromatische oder nicht-aromatische Ringsysteme bestehend aus Kohlenstoffatomen und gegebenenfalls Heteroatomen, die durch eine oder mehrere Kohlenstoffketten, gegebenenfalls unterbrochen durch Heteroatome, gegebenenfalls substituiert mit Heteroatomen oder anderen gängigen funktionellen Gruppen verknüpft sein können.
- Straight or branched carbon chains, optionally interrupted by heteroatoms, optionally substituted by rings, heteroatoms or other common functional groups.
- Aromatic or non-aromatic ring systems consisting of carbon atoms and optionally heteroatoms, which in turn may be substituted with functional groups.
- A plurality of aromatic or non-aromatic ring systems consisting of carbon atoms and optionally heteroatoms, which may be linked by one or more carbon chains, optionally interrupted by heteroatoms, optionally substituted by heteroatoms or other common functional groups.
SYNTHESE DER REAGENZIENSYNTHESIS OF REAGENTS
IMIDAZOL-1-YL-[1-(2-TRIMETHYLSILANYL-ETHOXYMETHYL)-1H-IMIDAZOL-4-YL]-METHANON Imidazol-1-yl- [1- (2-trimethylsilanyl-ethoxymethyl) -1H-imidazol-4-yl] -methanone
Eine Suspension von 1.5 g (63 mmol) Natriumhydrid (60%ige Suspension in Mineralöl) in 80 ml DMF wird portionsweise mit 8 g (63 mmol) Imidazol-4-carbonsäuremethylester versetzt und die entstandene Lösung 1 Stunde gerührt. Die Reaktionsmischung wird auf 5 °C gekühlt und 12 ml (70 mmol) [2-(Trimethylsilyl)-ethoxy]methylchlorid zugegeben. Nach 12 Stunden wird die Suspension mit 100 ml Wasser versetzt und mit Essigsäureethylester extrahiert. Die vereinten organischen Phasen werden mit Natriumchlorid-Lösung gewaschen, getrocknet und eingeengt. Ausbeute: 16 g 16 g (62 mmol) der zuvor beschriebenen Zwischenstufe wird in 20 ml Dioxan und 66 ml 2 N Natronlauge gelöst und 1.5 Stunden unter Rückfluss gekocht. Die Reaktionsmischung wird mit 2 N Salzsäure sauer gestellt und der ausgefallene Feststoff abgesaugt, mit Wasser und Diethylether gewaschen und getrocknet. Ausbeute: 13 gA Suspension of 1.5 g (63 mmol) of sodium hydride (60% suspension in mineral oil) in 80 ml of DMF is added portionwise with 8 g (63 mmol) of imidazole-4-carboxylic acid methyl ester added and the resulting solution 1 Hour stirred. The reaction mixture is at 5 ° C chilled and 12 ml (70 mmol) of [2- (trimethylsilyl) ethoxy] methyl chloride. After 12 hours, the suspension is mixed with 100 ml of water and with ethyl acetate extracted. The combined organic phases are washed with sodium chloride solution, dried and concentrated. Yield: 16 g 16 g (62 mmol) of the previously described Intermediate is dissolved in 20 ml of dioxane and 66 ml of 2N sodium hydroxide solution and 1.5 Hours under reflux cooked. The reaction mixture becomes acidic with 2N hydrochloric acid placed and sucked the precipitated solid, with water and Washed diethyl ether and dried. Yield: 13 g
13 g (55 mmol) der zuvor beschriebenen Zwischenstufe werden in 150 ml Dichlormethan vorgelegt und mit 22.4 g (138 mmol) Carbonyldiimidazol versetzt. Das Reaktionsgemisch wird 1 Stunde bei Raumtemperatur gerührt und dann mit halbgesättigter Natriumchlorid-Lösung gewaschen. Die organische Phase wird getrocknet und zur Trockene eingedampft. Ausbeute: 15 g13 g (55 mmol) of the above-described intermediate are dissolved in 150 submitted dichloromethane and with 22.4 g (138 mmol) of carbonyldiimidazole added. The reaction mixture is left at room temperature for 1 hour touched and then half-saturated Sodium chloride solution washed. The organic phase is dried and evaporated to dryness. Yield: 15 g
IMIDAZOL-1-YL(1-METHYL-1H-IMIDAZOL-4-YL)-METHANON Imidazol-1-YL (1-methyl-1H-imidazol-4-yl) -methanone
39.5 g (0.31 mol) 1-Methyl-1H-imidazol-4-carbonsäure werden in 400 ml Dichlormethan vorgelegt und 115.6 g (0.71 mol) Carbonyldiimidazol zugegeben. Die Suspension wird 3 Stunden bei Raumtemperatur gerührt, anschließend mit gesättigter Natriumchloridlösung extrahiert. Die Wasserphase wird mit Dichlormethan extrahiert, die vereinten organischen Phasen getrocknet und zur Trockene eingedampft. Ausbeute: 60.6 g39.5 g (0.31 mol) of 1-methyl-1H-imidazole-4-carboxylic acid are dissolved in 400 ml of dichloromethane submitted and 115.6 g (0.71 mol) of carbonyldiimidazole added. The Suspension is stirred for 3 hours at room temperature, then with saturated Sodium chloride solution extracted. The water phase is extracted with dichloromethane, the dried combined organic phases and evaporated to dryness. Yield: 60.6 g
IMIDAZOL-1-YL-2-METHYL-PROPAN-1-ON IMIDAZOLE 1-YL-2-methyl-1-ON PROPANE
12.0 g (0.18 mol) Imidazol werden bei 0 °C in 200 ml Chloroform vorgelegt und dann mit 10.8 ml (0.10 mol) Isobutylchlorid versetzt. Es wird 1 Stunde bei Raumtemperatur gerührt. Anschließend wird das Reaktionsgemisch mit Wasser gewaschen, die organische Phase getrocknet und zur Trockene eingedampft. Ausbeute: 10.7 g12.0 g (0.18 mol) of imidazole are introduced at 0 ° C in 200 ml of chloroform and then treated with 10.8 ml (0.10 mol) of isobutyl chloride. It will Stirred for 1 hour at room temperature. Subsequently the reaction mixture is washed with water, the organic phase dried and evaporated to dryness. Yield: 10.7 g
(R)-IMIDAZOL-1-YL-(TETRAHYDROFURAN-2-YL)-METHANON (R) -imidazole-1-yl- (tetrahydrofuran-2-yl) -methanone
21.8 g (32 mmol) Imidazol werden in 400 ml Chloroform vorgelegt und auf 0 °C gekühlt. 21.3 g (15.0 mol) (R)-Tetrahydrofuran-2-carbonylchlorid werden zugetropft, dann 1.5 Stunden bei Raumtemperatur gerührt. Nach erneutem Abkühlen auf 0 °C wird das Reaktionsgemisch mit halbgesättigter Natriumchloridlösung extrahiert. Die organische Phase wird getrocknet und zur Trockene eingedampft. Ausbeute: 24.0 g21.8 g (32 mmol) of imidazole are placed in 400 ml of chloroform and on Cooled to 0 ° C. 21.3 g (15.0 mol) of (R) -tetrahydrofuran-2-carbonyl chloride are added dropwise, then stirred for 1.5 hours at room temperature. After cooling down again 0 ° C is the reaction mixture with semisaturated Sodium chloride solution extracted. The organic phase is dried and dried evaporated. Yield: 24.0 g
(S)-IMIDAZOL-1-YL-(TETRAHYDROFURAN-2-YL)-METHANON (S) -imidazole-1-yl- (tetrahydrofuran-2-yl) -methanone
21.8 g (32.0 mmol) Imidazol werden in 400 ml Chloroform vorgelegt und auf 0 °C gekühlt. 21.5 g (15.0 mmol) (S)-Tetrahydrofuran-2-carbonylchlorid werden zugetropft, dann 1.5 Stunden bei Raumtemperatur gerührt. Nach erneutem Abkühlen auf 0 °C wird das Reaktionsgemisch mit halbgesättigter Natriumchloridlösung extrahiert. Die organische Phase wird getrocknet und zur Trockene eingedampft. Ausbeute: 23.5 g21.8 g (32.0 mmol) of imidazole are placed in 400 ml of chloroform and at 0 ° C cooled. 21.5 g (15.0 mmol) of (S) -tetrahydrofuran-2-carbonyl chloride added dropwise, then stirred for 1.5 hours at room temperature. To re-cooling at 0 ° C the reaction mixture is extracted with half-saturated sodium chloride solution. The organic phase is dried and evaporated to dryness. Yield: 23.5 g
1-IMIDAZOL-1-YL-2-METHOXY-ETHANON 1-imidazol-1-YL-2-METHOXY-ethanone
Analog zu der oben beschriebenen Vorgehensweise werden aus 14.9 g (219 mmol) Imidazol und 10 ml (109 mmol) Methoxyessigsäurechlorid 5.6 g des gewünschten Produkts erhalten.Analogous for the procedure described above, from 14.9 g (219 mmol) of imidazole and 10 ml (109 mmol) of methoxyacetic acid chloride 5.6 g of the desired Received product.
1-IMIDAZOL-1-YL-3-TRIMETHYLSILANYL-PROPINON 1-imidazol-1-yl-3-trimethylsilanyl-propinone
0.5 g (3.5 mmol) 3-Trimethylsilylpropinsäure werden in 10 ml THF gelöst und mit 1.7 g (10.6 mmol) Carbonyldiimidazol versetzt. Die Reaktionsmischung wird über Nacht bei Raumtemperatur gerührt und anschließend filtriert. Das Filtrat wird mit Diethylether verdünnt und 2 Mal mit kaltem Wasser gewaschen. Die organische Phase wird über Magnesiumsulfat getrocknet und eingeengt. Ausbeute: 0.4 g0.5 g (3.5 mmol) of 3-trimethylsilylpropionic acid are dissolved in 10 ml of THF and washed with 1.7 g (10.6 mmol) of carbonyldiimidazole are added. The reaction mixture will over Stirred at room temperature overnight and subsequently filtered. The filtrate is diluted with diethyl ether and Washed twice with cold water. The organic phase is over magnesium sulfate dried and concentrated. Yield: 0.4 g
(4-HYDRAZINO-PHENYL)-ESSIGSÄURE HYDROCHLORID (4-HYDRAZINO-PHENYL) ACETIC ACID HYDROCHLORIDE
15.1 g (10.0 mmol) 4-Aminophenylessigsäure werden in einer Lösung aus 10.6 g (10.0 mmol) Natriumcarbonat in 100 ml Wasser vorgelegt. Es wird auf 0 °C gekühlt, dann 6.9 g (10.0 mmol) Natriumnitrit in 50 ml Wasser zugegeben. Diese Mischung wird unter Kühlung zu 100 ml konz. Salzsäure getropft, dann 0.1 Stunden nachgerührt. 45.1 g (20.0 mmol) Zinn(II)-Chlorid in 40 ml konz. Salzsäure werden unter kräftigem Rühren zugetropft, dabei fällt ein Niederschlag aus. Das Reaktionsgemisch wird 1 Stunde bei Raumtemperatur gerührt, dann abgesaugt. Der Niederschlag wird mit Wasser gewaschen und getrocknet. Ausbeute: 22.0 g15.1 g (10.0 mmol) of 4-aminophenylacetic acid are dissolved in a solution Provided 10.6 g (10.0 mmol) of sodium carbonate in 100 ml of water. It gets to 0 ° C cooled, then added 6.9 g (10.0 mmol) of sodium nitrite in 50 ml of water. This mixture is under cooling to 100 ml conc. hydrochloric acid dropped, then stirred for 0.1 hours. 45.1 g (20.0 mmol) stannous chloride in 40 ml conc. hydrochloric acid be under vigorous Added dropwise, it falls a precipitate. The reaction mixture is left at room temperature for 1 hour touched, then sucked off. The precipitate is washed with water and dried. Yield: 22.0 g
3-CHLORO-5-HYDRAZINO-PHENOL 3-Chloro-5-hydrazino-PHENOL
2.1 g (14.3 mmol) 3-Amino-5-chlor-phenol werden in 20 ml konz. Salzsäure und 20 ml Wasser gelöst und auf 0 °C abgekühlt. 1.0 g (15.0 mmol) Natriumnitrit in 4 ml Wasser werden zugegeben. Anschließend wird eine Lösung aus 12.1 g (53.5 mmol) Zinn(II)-chlorid in 16 ml Salzsäure bei –5 °C langsam zugetropft. Es wird 1 Stunde bei 0 °C nachgerührt, dann mit Natriumhydrogencarbonat auf pH7 gestellt. Der ausgefallene Niederschlag wird abgesaugt und mit Wasser gewaschen. Das Filtrat wird mit Diethylether extrahiert. Die organische Phase wird getrocknet und zur Trockene eingedampft. Der Rückstand wird mit Hexan ausgerührt. Ausbeute: 1.2 g2.1 g (14.3 mmol) of 3-amino-5-chloro-phenol are concentrated in 20 ml of conc. Hydrochloric acid and Dissolve 20 ml of water and at 0 ° C cooled. 1.0 g (15.0 mmol) of sodium nitrite in 4 ml of water are added. Subsequently becomes a solution from 12.1 g (53.5 mmol) of tin (II) chloride in 16 ml of hydrochloric acid slow at -5 ° C dropwise. It is stirred for 1 hour at 0 ° C, then with sodium bicarbonate set to pH7. The precipitate is sucked off and washed with water. The filtrate is extracted with diethyl ether. The organic phase is dried and evaporated to dryness. The residue is stirred with hexane. Yield: 1.2 g
2-CHLORO-4-HYDRAZINO-PHENOL 2-Chloro-4-hydrazino-PHENOL
Analog zu oben beschriebenem Verfahren werden aus 2.2 g (15 mmol) 4-Amino-2-chlorphenol 2.3 g Hydrazin erhalten.Analogous to the method described above are from 2.2 g (15 mmol) of 4-amino-2-chlorophenol 2.3 g of hydrazine obtained.
3-CHLOR-4-HYDRAZINO-BENZOESÄUREMETHYLESTER 3-Chloro-4-hydrazino-benzoic acid methyl ester
3.0 g (16.0 mmol) 4-Amino-3-chlorbenzoesäuremethylester werden in 15 ml konz. Salzsäure suspendiert und auf –10 °C abgekühlt. Erst wird eine Lösung aus 1.1 g (16.0 mmol) Natriumnitrit in 15 ml Wasser zugetropft, danach eine Lösung aus 16.1 g (71.0 mmol) Zinn(II)-chlorid in 13.5 ml Salzsäure. Ein Niederschlag fällt aus. Das Reaktionsgemisch wird mit 3 molarer Natronlauge basisch gestellt, dann abgesaugt. Der Niederschlag wird mit Dichlormethan und Wasser extrahiert, die organische Phase getrocknet, mit Aktivkohle versetzt und zur Trockene eingedampft. Der Rückstand wird chromatographisch gereinigt. Ausbeute: 1.4 g (Schmp: 120 °C)3.0 g (16.0 mmol) of methyl 4-amino-3-chlorobenzoate are in 15 ml conc. hydrochloric acid suspended and cooled to -10 ° C. First becomes a solution from 1.1 g (16.0 mmol) of sodium nitrite in 15 ml of water, then a solution of 16.1 g (71.0 mmol) of stannous chloride in 13.5 ml of hydrochloric acid. One Precipitation falls out. The reaction mixture is basic with 3 molar sodium hydroxide solution put, then sucked off. The precipitate is mixed with dichloromethane and water extracted, the organic phase dried, with charcoal added and evaporated to dryness. The residue is chromatographed cleaned. Yield: 1.4 g (mp: 120 ° C.)
3-CHLOR-4-HYDRAZINO-BENZOESÄURE 3-Chloro-4-hydrazino-benzoic acid
4.0 g (20.0 mmol) 3-Chlor-4-hydrazino-benzoesäuremethylester werden vorgelegt und 75 ml 3 molare Natronlauge zugegeben. Es wird 16 Stunden bei Raumtemperatur gerührt. Anschließend wird das Reaktionsgemisch mit Eisessig auf pH 6 gestellt und der ausgefallene Feststoff abgesaugt. Dieser wird in Diethylether ausgerührt. Ausbeute: 2.4 g4.0 g (20.0 mmol) of methyl 3-chloro-4-hydrazino-benzoate are presented and 75 ml of 3 molar sodium hydroxide solution was added. It will be 16 hours Room temperature stirred. Subsequently the reaction mixture is adjusted to pH 6 with glacial acetic acid and the sucked out precipitated solid. This is stirred in diethyl ether. Yield: 2.4 g
(4-BROM-2-TRIFLUOMETHYL-PHENYL)-HYDRAZIN (4- bromo-2-trifluoromethyl-phenyl) -hydrazine
Eine Suspension aus 25.6 g (0.11 mol) 4-Brom-2-(trifluormethyl)-anilin in 125 ml konz. Salzsäure wird auf –10 °C gekühlt und eine Lösung aus 7.7 g (0.11 mol) Natriumnitrit in 125 ml Wasser wird zugegeben. Das Reaktionsgemisch wird 3 Stunden bei –10 bis –5 °C gerührt, dann wird eine Lösung aus 103 g (0.46 mol) Zinn-(II)-chlorid-dihydrat in 125 ml konz. Salzsäure zugetropft. Es wird 1 Stunde bei –5 °C nachgerührt. Der ausgefallene Niederschlag wird abgesaugt und mit Wasser gewaschen. Die wässrige Mutterlauge wird mit Petrolether extrahiert, dann mit Natriumhydroxid basisch gestellt. Der hierbei ausfallende Niederschlag wird mit Diethylether extrahiert. Die organische Phase wird getrocknet und zur Trockene eingedampft. Ausbeute: 12.9 gA Suspension of 25.6 g (0.11 mol) of 4-bromo-2- (trifluoromethyl) -aniline in 125 ml conc. hydrochloric acid is cooled to -10 ° C and a solution from 7.7 g (0.11 mol) of sodium nitrite in 125 ml of water is added. The reaction mixture is stirred for 3 hours at -10 to -5 ° C, then a solution of 103 g (0.46 mol) of tin (II) chloride dihydrate in 125 ml of conc. Hydrochloric acid added dropwise. It is stirred for 1 hour at -5 ° C. The failed one Precipitate is filtered off with suction and washed with water. The aqueous mother liquor is extracted with petroleum ether, then basic with sodium hydroxide posed. The resulting precipitate is washed with diethyl ether extracted. The organic phase is dried and dried evaporated. Yield: 12.9 g
2,2,2-TRIFLUORO-1-(4-HYDRAZINO-PIPERIDIN-1-YL)-ETHANON-TRIFLUORACETAT 2,2,2-trifluoro-1- (4-hydrazino-piperidine-1-yl) ethanone trifluoroacetate
100 g (0.65 mol) 4-Piperdinon-hydrat-hydrochlorid und 274.6 ml (1.97 mol) Triethylamin werden in 1000 ml Dichlormethan vorgelegt und dann auf 0 °C abgekühlt. 182.1 ml (1.31 mol) Trifluoressigsäureanhydrid werden langsam zugegeben und 0.5 Stunden nachgerührt. Das Reaktionsgemisch wird mit Wasser und Natriumbicarbonatlösung gewaschen, die organische Phase getrocknet und zur Trockene eingedampft. Der Rückstand wird mit Methyl-tert-butylether verrührt, der Niederschlag abgesaugt, gewaschen und getrocknet. Ausbeute: 106.0 g100 g (0.65 mol) of 4-piperdinone hydrate hydrochloride and 274.6 ml (1.97 mol) of triethylamine are introduced into 1000 ml of dichloromethane and then at 0 ° C cooled. 182.1 ml (1.31 mol) of trifluoroacetic anhydride become slow added and stirred for 0.5 hours. The reaction mixture is washed with water and sodium bicarbonate solution, the organic Dried phase and evaporated to dryness. The residue is stirred with methyl tert-butyl ether, the precipitate is filtered off with suction, washed and dried. Yield: 106.0 g
106.0 g (0.54 mol) 1-(2,2,2-Trifluor-acetyl)-piperidin-4-on werden in 1000 ml Ethanol gelöst und mit 71.8 g (0.54 mol) Hydrazinoameisensäure-tert-butylester versetzt. Das Reaktionsgemisch wird 3.5 Stunden bei Raumtemperatur gerührt, anschließend zur Trockene eingedampft. Ausbeute: 172.0 g106.0 g (0.54 mol) of 1- (2,2,2-trifluoro-acetyl) -piperidin-4-one are dissolved in Dissolved 1000 ml of ethanol and with 71.8 g (0.54 mol) hydrazoic acid tert-butyl ester. The reaction mixture is stirred for 3.5 hours at room temperature, then to Dry evaporated. Yield: 172.0 g
172.0 g (0.56 mol) N'-[1-(2,2,2-Trifluor-acetyl)-piperidin-4-yliden]-hydrazin-carbonsäure-tert-butylester werden in 2000 ml Methanol gelöst. 17.0 g Palladium auf Kohle (10%) werden zugegeben und bei 1 bar Wasserstoff hydriert. Nach beendeter Wasserstoff-Aufnahme wird der Katalysator abgesaugt und die Mutterlauge eingedampft. Der Rückstand kristallisiert über Nacht. Ausbeute: 168.0 g172.0 g (0.56 mol) of N '- [1- (2,2,2-trifluoro-acetyl) -piperidin-4-ylidene] -hydrazine-carboxylic acid tert-butyl ester dissolved in 2000 ml of methanol. 17.0 g of palladium on carbon (10%) are added and at 1 bar Hydrogen hydrogenated. After completion of the hydrogen uptake, the catalyst is removed by suction and the mother liquor evaporated. The residue crystallizes overnight. Yield: 168.0 g
5.0 g (16.1 mmol) N'-[1-(2,2,2-Trifluor-acetyl)-piperidin-4-yl]-hydrazin-carbonsäure-tert-butylester werden in 50 ml Dichlormethan gelöst und mit 6.0 ml (77.9 mmol) Trifluoressigsäure versetzt. Es wird 5 Stunden bei Raumtemperatur gerührt, anschließend wird das Reaktionsgemisch eingedampft. Ausbeute: 6.70 g5.0 g (16.1 mmol) of N '- [1- (2,2,2-trifluoro-acetyl) -piperidin-4-yl] -hydrazine-carboxylic acid tert-butyl ester are dissolved in 50 ml of dichloromethane and treated with 6.0 ml (77.9 mmol) trifluoroacetic acid. It will be 5 hours stirred at room temperature, then the reaction mixture is evaporated. Yield: 6.70 g
4-(4-METHYL-PIPERAZIN-1-YL)-PHENYLAMIN 4- (4-methyl-piperazin-1-yl) -phenylamine
18.1 g (0.18 mol) 1-Methyl-piperazin, 25.5 g (0.18 mol) 1-Fluor-4-nitrobenzol und 50 g (0.36 mol) Kaliumcarbonat werden in 200 ml Dimethylformamid vorgelegt und 15 Stunden bei 130 °C gerührt. Nach dem Abkühlen werden 300 ml Wasser zugegeben, dabei fällt ein Niederschlag aus. Die wässrige Phase mit dem Niederschlag wird gekühlt, dann abgesaugt und mit Wasser gewaschen. Der Niederschlag wird aus Ethanol umkristallisiert. Ausbeute: 23.2 g18.1 g (0.18 mol) of 1-methylpiperazine, 25.5 g (0.18 mol) of 1-fluoro-4-nitrobenzene and 50 g (0.36 mol) of potassium carbonate in 200 ml of dimethylformamide submitted and 15 hours at 130 ° C. touched. After cooling 300 ml of water are added, this precipitates out. The aqueous Phase with the precipitate is cooled, then aspirated and with Washed water. The precipitate is recrystallized from ethanol. Yield: 23.2 g
10.0 g (45 mmol) 1-Methyl-4-(4-nitro-phenyl)-piperazin werden in 250 ml Ethanol gelöst, dann mit 2 g Palladium/Kohle (10%) versetzt und bei 5 bar Wasserstoff 2 Stunden hydriert. Anschließend wird das Reaktionsgemisch abgesaugt, das Filtrat eingedampft. Der Rückstand wird aus Cyclohexan umkristallisiert. Ausbeute: 7.7 g10.0 g (45 mmol) of 1-methyl-4- (4-nitro-phenyl) -piperazine are dissolved in 250 ml of ethanol dissolved, then with 2 g of palladium / carbon (10%) and at 5 bar hydrogen Hydrogenated for 2 hours. Subsequently the reaction mixture is filtered off with suction, the filtrate is evaporated. Of the Residue is recrystallized from cyclohexane. Yield: 7.7 g
4-(1-METHYL-PIPERIDIN-4-YL)-PHENYLAMIN 4- (1-METHYL-PIPERIDIN-4-YL) -phenylamine
125 g (0.78 mol) 4-Phenylpiperidin werden in 1300 ml Dichlormethan gelöst und mit 149 ml (0.85 mol) Diisopropylethylamin versetzt. Das Reaktionsgemisch wird auf –5 °C gekühlt, dann werden innerhalb von 2 Stunden 120 ml (0.85 mol) Trifluoressigsäureanhydrid zugetropft. Anschließend wird noch 1 Stunde unter Eiskühlung und 16 Stunden bei Raumtemperatur nachgerührt. Es werden 400 ml Wasser zugegeben, die Phasen getrennt. Die organische Phase wird mit Wasser gewaschen, getrocknet und zur Trockene eingedampft. Ausbeute: 193 g125 g (0.78 mol) of 4-phenylpiperidine are dissolved in 1300 ml of dichloromethane and washed with Added 149 ml (0.85 mol) of diisopropylethylamine. The reaction mixture is cooled to -5 ° C, then become within 2 hours 120 ml (0.85 mol) of trifluoroacetic anhydride dropwise. Subsequently is left for 1 hour under ice-cooling and stirred for 16 hours at room temperature. There are 400 ml of water added, the phases separated. The organic phase is mixed with water washed, dried and evaporated to dryness. Yield: 193 G
80 g (0.31 mol) 2,2,2-Trifluor-1-(4-phenyl-piperidin-1-yl)-ethanon werden in 400 ml Eisessig und 200 ml Acetanhydrid gelöst und auf 0 °C gekühlt. 1.6 g Natriumnitrit werden zugegeben, dann 52 ml (1.24 mol) rauchende Salpetersäure zugetropft. Das Reaktionsgemisch wird 16 Stunden bei Raumtemperatur gerührt. Anschließend wird das Reaktionsgemisch auf 1200 ml Eiswasser gegossen und mit 8 N Natronlauge auf pH 8 eingestellt (Temp. <20° C). Nach Zugabe von Dichlormethan werden die Phasen getrennt, die wässrige Phase mit Dichlormethan extrahiert. Die vereinten organischen Phasen werden mit 0.1 N Natronlauge und Wasser gewaschen, getrocknet und zur Trockene eingedampft. Das Produkt wird aus Cyclohexan/Ethylacetat umkristallisiert. Ausbeute: 47 g80 g (0.31 mol) 2,2,2-trifluoro-1- (4-phenyl-piperidin-1-yl) -ethanone are dissolved in 400 ml of glacial acetic acid and 200 ml of acetic anhydride and on Cooled to 0 ° C. 1.6 Sodium nitrite is added, then 52 ml (1.24 mol) of fuming nitric acid dropwise. The reaction mixture is allowed to stand at room temperature for 16 hours touched. Subsequently the reaction mixture is poured onto 1200 ml of ice water and washed with 8 N sodium hydroxide solution adjusted to pH 8 (temp. <20 ° C). After addition of dichloromethane, the phases are separated, the aqueous phase with Extracted dichloromethane. The combined organic phases become washed with 0.1 N sodium hydroxide solution and water, dried and dried evaporated. The product is recrystallized from cyclohexane / ethyl acetate. Yield: 47 g
20 g (66.2 mmol) 2,2,2-Trifluor-1-[4-(4-nitro-phenyl)-piperidin-1yl]-ethanon und 32 g (23.2 mmol) Kaliumcarbonat werden in 400 ml Methanol vorgelegt und 48 Stunden bei Raumtemperatur gerührt. Anschließend wird das Reaktionsgemisch eingedampft, der Rückstand mit Wasser und Dichlormethan extrahiert. Die organische Phase wird getrocknet und zur Trockene eingedampft. Es wird das Hydrochlorid gefällt. Ausbeute: 15g20 g (66.2 mmol) 2,2,2-trifluoro-1- [4- (4-nitro-phenyl) -piperidin-1-yl] -ethanone and 32 g (23.2 mmol) of potassium carbonate are placed in 400 ml of methanol and stirred for 48 hours at room temperature. Subsequently, will the reaction mixture evaporated, the residue with water and dichloromethane extracted. The organic phase is dried and dried evaporated. The hydrochloride is precipitated. Yield: 15g
6.0 g (24.7 mmol) 4-(4-Nitro-phenyl)-piperidin-hydrochlorid werden in 300 ml Tetrahydrofuran vorgelegt und nacheinander mit 11 ml (61.8 mmol) Diisopropylethylamin, 5 ml (49.4 mmol) Formaldehyd (37% in Wasser) und 13 g (61.8 mmol) Natriumtriacetoxyborhydrid versetzt. Das Reaktionsgemisch wird 16 Stunden bei Raumtemperatur gerührt, dann auf Wasser gegossen und eingedampft. Der wässrige Rückstand wird mit 2 N Natronlauge basisch gestellt und mit Dichlormethan extrahiert. Die vereinten organischen Phasen werden getrocknet und zur Trockene eingedampft. Ausbeute: 4.5 g6.0 g (24.7 mmol) of 4- (4-nitrophenyl) -piperidine hydrochloride are dissolved in Submitted to 300 ml of tetrahydrofuran and successively with 11 ml (61.8 mmol) Diisopropylethylamine, 5 ml (49.4 mmol) formaldehyde (37% in water) and 13 g (61.8 mmol) of sodium triacetoxyborohydride were added. The reaction mixture is stirred for 16 hours at room temperature, then poured onto water and evaporated. The watery Residue is basified with 2N sodium hydroxide solution and with dichloromethane extracted. The combined organic phases are dried and evaporated to dryness. Yield: 4.5 g
4.3 g (19.5 mmol) 1-Methyl-4-(4-nitro-phenyl)-piperidin werden in einer Mischung aus 60 ml Ethanol und 60 ml THF gelöst, mit 2 g Palladium/Kohle (10%) versetzt und bei 1 bar Wasserstoff hydriert. Anschließend wird das Reaktionsgemisch abgesaugt und das Filtrat eingedampft. Ausbeute: 3.5 g4.3 g (19.5 mmol) of 1-methyl-4- (4-nitro-phenyl) -piperidine are in a Mixture of 60 ml of ethanol and 60 ml of THF dissolved with 2 g of palladium / carbon (10%) and hydrogenated at 1 bar hydrogen. Subsequently, will the reaction mixture is filtered off with suction and the filtrate is evaporated. Yield: 3.5 g
4-(1-CYCLOPROPYLMETHYL-PIPERIDIN-4-YL)-PHENYLAMIN 4- (1-cyclopropylmethyl-piperidin-4-yl) -phenylamine
6.0 g (24.7 mmol) der zuvor bereits beschriebenen Zwischenstufe 4-(4-Nitro-phenyl)-piperidin-hydrochlorid werden in 300 ml Tetrahydrofuran vorgelegt und nacheinander mit 11 ml (61.8 mmol) Diisopropylethylamin, 3.7 ml (49.4 mmol) Cyclopropancarboxaldehyd und 13 g (61.8 mmol) Natriumtriacetoxyborhydrid versetzt. Das Reaktionsgemisch wird 3 Stunden bei Raumtemperatur gerührt, dann auf Wasser gegossen und eingedampft. Der wässrige Rückstand wird mit Dichlormethan extrahiert, die organische Phase getrocknet und zur Trockene eingedampft. Die wässrige Phase wird mit 2 N Natronlauge basisch gestellt, dann mit Dichlormethan extrahiert. Die organische Phase wird getrocknet und zur Trockene eingedampft. Ausbeute: 5.6 g6.0 g (24.7 mmol) of the previously described intermediate 4- (4-nitro-phenyl) -piperidine hydrochloride are presented in 300 ml of tetrahydrofuran and successively with 11 ml (61.8 mmol) of diisopropylethylamine, 3.7 ml (49.4 mmol) of cyclopropanecarboxaldehyde and 13 g (61.8 mmol) of sodium triacetoxyborohydride were added. The reaction mixture is stirred for 3 hours at room temperature, then poured into water and evaporated. The watery Residue is extracted with dichloromethane, the organic phase dried and evaporated to dryness. The aqueous phase is washed with 2N sodium hydroxide solution made basic, then extracted with dichloromethane. The organic Phase is dried and evaporated to dryness. Yield: 5.6 G
3.3 g (12.5 mmol) 1-Cyclopropylmethyl-4-(4-nitro-phenyl)-piperidin werden in einer Mischung aus 40 ml Ethanol und 40 ml THF gelöst, mit 1.3 g Palladium/Kohle (10%) versetzt und bei 1 bar Wasserstoff hydriert. Anschließend wird das Reaktionsgemisch abgesaugt und das Filtrat eingedampft. Ausbeute: 2.7 g3.3 g (12.5 mmol) of 1-cyclopropylmethyl-4- (4-nitro-phenyl) -piperidine dissolved in a mixture of 40 ml of ethanol and 40 ml of THF, with 1.3 g of palladium / carbon (10%) and hydrogenated at 1 bar hydrogen. Subsequently, will the reaction mixture is filtered off with suction and the filtrate is evaporated. Yield: 2.7 g
1,1-DIMETHYL-2-DIMETHYLAMINO-1-YL-ETHYLAMIN UND 1,1-DIMETHYL-2-PIPERIDIN-1-YL-ETHYLAMIN 1,1-DIMETHYL-2-DIMETHYLAMINO-1-YL-ETHYLAMINE AND 1,1-DIMETHYL-2-PIPERIDIN-1-YL-ETHYLAMINE
Die Verbindungen wurden hergestellt nach folgenden Literaturstellen: a) S. Schuetz et al. Arzneimittel-Forschung 1971, 21, 739–763 b) V. M. Belikov et al. Tetrahedron 1970, 26, 1199-1216. c) E.B. Butler and McMillan J. Amer. Chem. Soc. 1950, 72, 2978.The Compounds were prepared according to the following references: a) S. Schuetz et al. Arzneimittel-Forschung 1971, 21, 739-763 b) V.M. Belikov et al. Tetrahedron 1970, 26, 1199-1216. c) E.B. butler and McMillan J. Amer. Chem. Soc. 1950, 72, 2978.
Weitere Amine wurden in zu der oben beschriebenen Literatur modifizierter Art und Weise wie folgt hergestellt.Further Amines were modified in to the literature described above Way made as follows.
1,1-DIMETHYL-2-MORPHOLIN-1-YL-ETHYLAMIN 1,1-dimethyl-2-morpholin-1-yl-ethylamine
8.7 ml Morpholin und 9.3 ml 2-Nitropropan werden unter Eiskühlung vorgelegt, 7.5 ml Formaldehyd (37% in Wasser) und 4 ml einer 0.5 mol/L NaOH-Lsg. werden langsam zugetropft (<10 °C). Danach wird 1 h bei 25 °C und 1 h bei 50 °C gerührt. Die Lösung wird mit Wasser und Ether behandelt und die wässrige Phase 3× mit Ether extrahiert. Die vereinten organischen Phasen werden über Natriumsulfat getrocknet und mit Salzsäure in Dioxan (4mol/L) versetzt, der entstandene Niederschlag wird abgesaugt. Ausbeute: 21.7 g farbloses Pulver8.7 ml of morpholine and 9.3 ml of 2-nitropropane are placed under ice-cooling, 7.5 ml of formaldehyde (37% in water) and 4 ml of a 0.5 mol / L NaOH solution. are slowly added dropwise (<10 ° C). After that is 1 h at 25 ° C and 1 h at 50 ° C touched. The solution is treated with water and ether and the aqueous phase 3x with ether extracted. The combined organic phases are over sodium sulfate dried and with hydrochloric acid in dioxane (4 mol / L), the resulting precipitate is filtered off with suction. Yield: 21.7 g of colorless powder
5 g des weißen Pulvers werden in 80 ml Methanol gelöst und unter Zusatz von 2 g RaNi mit Wasserstoff bei 35 °C und 50 psi für 40 Minuten behandelt. Dies ergibt 3.6 g 1,1-Dimethyl-2-morpholin-1-yl-ethylamin.5 g of white Powders are dissolved in 80 ml of methanol and added with the addition of 2 g RaNi with hydrogen at 35 ° C and 50 psi for Treated for 40 minutes. This gives 3.6 g of 1,1-dimethyl-2-morpholin-1-yl-ethylamine.
Analog zu dieser Vorschrift wird das folgende Amin hergestellt:Analogous For this purpose, the following amine is prepared:
1,1-DIMETHYL-N-METHYLPIPERAZIN-1-YL-ETHYLAMIN 1,1-dimethyl-N-methylpiperazin-1-yl-ethylamine
1,3 DIMORPHOLIN-2-AMINO-PROPAN 1.3 DIMORPHOLIN-2-AMINO-PROPANE
5 g 1,3 Dimorpholin-2-nitropropan werden in 80 ml Methanol gelöst und unter Zusatz von 2 g RaNi mit Wasserstoff bei 30 °C und 50 psi für 5.5 h behandelt. Dies ergibt 4.2 g 1,3 Dimorpholin-2-amino-propan.5 g 1.3 dimorpholine-2-nitropropane are dissolved in 80 ml of methanol and Add 2 g RaNi with hydrogen at 30 ° C and 50 psi for 5.5 h treated. This gives 4.2 g of 1,3 dimorpholine-2-amino-propane.
TRANS-N,N-DIBENZYL-CYCLOHEXAN-1,4-DIAMIN TRANS-N, N-dibenzyl-cyclohexane-1,4-diamine
33 g (112 mmol) 4-Dibenzylcyclohexanon werden in 300 ml Methanol gelöst, mit 17.4 g (250 mmol) Hydroxylaminhydrochlorid versetzt und 4 h bei 60 °C gerührt. Das Lösungsmittel wird im Vakuum eingeengt, mit 500 ml Wasser und 50 g Kaliumcarbonat versetzt und zweimal mit je 300 ml Dichlormethan extrahiert. Die organische Phase wird getrocknet, im Vakuum eingeengt, der Rückstand aus Petrolether kristallisiert, in 1.5 L Ethanol gelöst und auf 70 °C erwärmt. Es werden 166 g Natrium portionsweise hinzugefügt und bis zur Auflösung des Natriums unter Rückfluss gekocht. Das Lösungsmittel wird im Vakuum abgezogen, der Rückstand mit 100 ml Wasser versetzt und zweimal mit je 400 ml Ether extrahiert. Die org. Phase wird mit Wasser gewaschen, getrocknet, im Vakuum eingeengt und über eine Säule das trans-Isomer isoliert (ca. 1,5 L Kieselgel; ca. 2 L Essigester 80/Methanol 20 + 2 % konz. Ammoniak). Ausbeute: 12.6 g33 g (112 mmol) of 4-dibenzylcyclohexanone are dissolved in 300 ml of methanol, with 17.4 g (250 mmol) of hydroxylamine hydrochloride added and 4 h at Stirred 60 ° C. The solvent is concentrated in vacuo, with 500 ml of water and 50 g of potassium carbonate added and extracted twice with 300 ml of dichloromethane. The organic Phase is dried, concentrated in vacuo, the residue crystallized from petroleum ether, dissolved in 1.5 L of ethanol and on Heated to 70 ° C. It 166 g of sodium are added in portions and until the dissolution of the Sodium under reflux cooked. The solvent is stripped off in vacuo, the residue with 100 ml of water and extracted twice with 400 ml of ether. The org. Phase is washed with water, dried, in vacuo narrowed and over a column isolate the trans isomer (about 1.5 L of silica gel, about 2 L of ethyl acetate 80 / methanol 20 + 2% conc. Ammonia). Yield: 12.6 g
TRANS-N,N-DIMETHYL-CYCLOHEXAN-1,4-DIAMIN (DIMETHANSULFONAT) TRANS-N, N-DIMETHYL-CYCLOHEXANE-1,4-DIAMIN (DIMETHANSULFONATE)
4 g (13.6 mmol) trans-N,N-Dibenzyl-cyclohexan-1,4-diamin werden in 8.1 g (100 mmol) Formalinlösung (37% in Wasser) und 20 ml (43.4 mmol) Ameisensäure vorgelegt und 2 Stunden unter Rückfluss gerührt. Das Reaktionsgemisch wird auf Eiswasser gegeben und mit konz. Ammoniak versetzt. Es wird mit Ethylacetat extrahiert. Die organische Phase wird mit Wasser gewaschen, getrocknet und zur Trockene eingedampft. Der Rückstand wird aus Aceton und Methansulfonsäure kristallisiert. Ausbeute: 6 g (Schmp.: 203–204 °C4 g (13.6 mmol) of trans-N, N-dibenzyl-cyclohexane-1,4-diamine are in 8.1 g (100 mmol) of formalin solution (37% in water) and 20 ml (43.4 mmol) of formic acid and 2 hours under reflux touched. The Reaction mixture is added to ice-water and treated with conc. ammonia added. It is extracted with ethyl acetate. The organic phase is washed with water, dried and evaporated to dryness. The residue is crystallized from acetone and methanesulfonic acid. Yield: 6 g (mp 203-204 ° C
6 g (11,7 mmol) trans-N,N-Dibenzyl-N',N'-dimethyl-cyclohexan-1,4-diamin-dimethansulfonat werden in 120 ml Methanol vorgelegt, 1.2 g Palladium/Kohle (10%) werden zugegeben und dann bei 50 psi und 20 °C hydriert. Das Reaktionsgemisch wird über Kieselgur abgesaugt, die Mutterlauge eingedampft. Der Rückstand wird aus Aceton kristallisiert. Ausbeute: 3.5 g6 g (11.7 mmol) of trans-N, N-dibenzyl-N ', N'-dimethyl-cyclohexane-1,4-diamine dimethanesulfonate are initially charged in 120 ml of methanol, 1.2 g of palladium / carbon (10%) are added and then hydrogenated at 50 psi and 20 ° C. The reaction mixture will over Drained diatomaceous earth, the mother liquor evaporated. The residue will be crystallized from acetone. Yield: 3.5 g
CIS- UND TRANS-4-MORPHOLINO-CYCLOHEXYLAMIN CIS AND TRANS 4 MORPHOLINO CYCLOHEXYLAMINE
3.9 g (30 mmol) 4-Dibenzylcyclohexanon werden in 100 ml Dichlormethan gelöst und mit 3.9 g (45 mmol) Morpholin und 9.5 g (45 mmol) Natriumtriacetoxyborhydrid 12 h bei RT gerührt. Anschließend wird mit Wasser und Kaliumcarbonat versetzt, die organische Phase abgetrennt, getrocknet und im Vakuum das Lösungsmittel abgezogen. Der Rückstand wird über eine Kieselgelsäule gereinigt (ca 20 ml Kieselgel; ca 500 ml Essigester 90/Methanol 10 + 1 % konz. Ammoniak). Die geeigneten Fraktionen werden im Vakuum eingeengt. Ausbeute: 6.6 g cis-Isomer und 2 g trans-Isomer.3.9 g (30 mmol) of 4-dibenzylcyclohexanone are dissolved in 100 ml of dichloromethane solved and 3.9 g (45 mmol) of morpholine and 9.5 g (45 mmol) of sodium triacetoxyborohydride Stirred for 12 h at RT. Subsequently is added with water and potassium carbonate, the organic phase separated, dried and the solvent removed in vacuo. Of the Residue will over a silica gel column Purified (about 20 ml of silica gel, about 500 ml of ethyl acetate 90 / methanol 10 + 1% conc. Ammonia). The suitable fractions are in vacuo concentrated. Yield: 6.6 g of cis isomer and 2 g of trans isomer.
Alternativ
kann das trans-Dibenzyl-4-morpholino-cyclohexylamin nach folgendem
Weg dargestellt werden:
6.8 g (23 mmol) trans-N,N-Dibenzyl-cyclohexan-1,4-diamin
werden in 90 ml DMF gelöst
und mit 5 ml (42 mmol) 2,2'-Dichlorethylether
und 5 g Kaliumcarbonat 8 h bei 100 °C gerührt. Nach Abkühlung wird
mit 30 ml Wasser versetzt, ausgefallene Kristalle abgesaugt und über eine
kurze Säule
(ca. 20 ml Kieselgel, ca. 100 ml Essigester) gereinigt. Der Rückstand
wird aus Methanol und konz. HCl als Dihydrochlorid kristallisiert.
Ausbeute: 7.3 gAlternatively, the trans-dibenzyl-4-morpholino-cyclohexylamine can be prepared by the following route:
6.8 g (23 mmol) of trans-N, N-dibenzyl-cyclohexane-1,4-diamine are dissolved in 90 ml of DMF and treated with 5 ml (42 mmol) of 2,2'-dichloroethyl ether and 5 g of potassium carbonate for 8 h at 100 ° C stirred. After cooling, 30 ml of water are added, precipitated crystals are filtered off with suction and purified over a short column (about 20 ml of silica gel, about 100 ml of ethyl acetate). The residue is extracted from methanol and conc. HCl crystallized as dihydrochloride. Yield: 7.3 g
7.2 g (16.4 mmol) trans-Dibenzyl-4-morpholino-cyclohexylamin werden in 100 ml Methanol gelöst und an 1.4 g Pd/C (10%) bei 30–50 °C hydriert. Das Lösungsmittel wird im Vakuum abgezogen und der Rückstand aus Ethanol und konz. HCl kristallisiert. Ausbeute: 3.9 g (Schmp. 312 °C)7.2 g (16.4 mmol) of trans-dibenzyl-4-morpholino-cyclohexylamine dissolved in 100 ml of methanol and hydrogenated at 1.4 g Pd / C (10%) at 30-50 ° C. The solvent is stripped off in vacuo and the residue from ethanol and conc. HCl crystallizes. Yield: 3.9 g (mp 312 ° C)
Das cis-Isomer kann analog dargestellt werden.The cis isomer can be represented analogously.
CIS- UND TRANS-4-PIPERIDINO-CYCLOHEXYLAMIN CIS AND TRANS-4-PIPERIDINO CYCLOHEXYLAMINE
2.0 g (6.8 mmol) trans-1Amino-4-dibenzylaminocyclohexan (siehe Beispiel zuvor) werden in 50 ml DMF gelöst und mit 1.6 g (7 mmol) 1,5-Dibrompentan und 2 g Kaliumcarbonat 48 h bei RT gerührt. Es wird abgekühlt, mit Wasser versetzt, zweimal mit je 100 ml Dichlormethan extrahiert, getrocknet und das Lösungsmittel im Vakuum abgezogen. Der Rückstand wird über eine Säule gereinigt (ca. 100 ml Kieselgel, ca. 500 ml Essigester 80/Methanol 20 +1 % konz. Ammoniak). Die geeigneten Fraktionen werden im Vakuum eingeengt und aus Petrolether kristallisiert. Ausbeute: 1.2 g2.0 g (6.8 mmol) trans-1Amino-4-dibenzylaminocyclohexane (see example previously) are dissolved in 50 ml of DMF and with 1.6 g (7 mmol) of 1,5-dibromopentane and 2 g of potassium carbonate 48 Stirred at RT. It is cooled mixed with water, extracted twice with 100 ml of dichloromethane each time, dried and the solvent deducted in vacuo. The residue will over a column Purified (about 100 ml of silica gel, about 500 ml of ethyl acetate 80 / methanol 20 +1% conc. Ammonia). The suitable fractions are in vacuo concentrated and crystallized from petroleum ether. Yield: 1.2 g
1.7 g (4.8 mmol) trans-Dibenzyl-4-piperidino-cyclohexylamin werden in 35 ml Methanol gelöst und an 350 mg Pd/C (10%) bei 20 °C hydriert. Das Lösungsmittel wird im Vakuum abgezogen und der Rückstand aus Ethanol und konz. HCl kristallisiert. Ausbeute: 1.1 g Das cis-Isomer kann analog dargestellt werden.1.7 g (4.8 mmol) of trans-dibenzyl-4-piperidino-cyclohexylamine are dissolved in Dissolved 35 ml of methanol and 350 mg Pd / C (10%) at 20 ° C hydrogenated. The solvent is stripped off in vacuo and the residue from ethanol and conc. HCl crystallizes. Yield: 1.1 g The cis isomer can be prepared analogously become.
CIS- UND TRANS-4-(4-PHENYL-PIPERAZIN-1-YL)-CYCLOHEXYLAMIN CIS AND TRANS-4- (4-PHENYL-PIPERAZINE-1-YL) -CYCLOHEXYLAMINE
4.1 g (25.3 mmol) 4-Dibenzylcyclohexanon werden in 50 ml Dichlormethan gelöst und mit 7.4 g (25.3 mmol) N-Phenylpiperazin und 7.4 g (35 mmol) Natriumtriacetoxyborhydrid 12 h bei RT gerührt. Anschließend wird mit Wasser und Kaliumcarbonat versetzt, die organische Phase abgetrennt, getrocknet und das Lösungsmittel im Vakuum abgezogen. Der Rückstand wird über eine Kieselgelsäule gereinigt (Essigester 80/Methanol 20 + 0,5% konz. Ammoniak). Ausbeute: 1.7 g cis-Isomer und 0.27 g trans-Isomer.4.1 g (25.3 mmol) of 4-dibenzylcyclohexanone are dissolved in 50 ml of dichloromethane solved and 7.4 g (25.3 mmol) of N-phenylpiperazine and 7.4 g (35 mmol) Sodium triacetoxyborohydride stirred for 12 h at RT. Subsequently, will treated with water and potassium carbonate, the organic phase separated, dried and the solvent deducted in vacuo. The residue will over a silica gel column purified (ethyl acetate 80 / methanol 20 + 0.5% concentrated ammonia). Yield: 1.7 g of cis isomer and 0.27 g of trans isomer.
270 mg (0.61 mmol) trans-Dibenzyl-[4-(4-phenyl-piperazin-1-yl)-cyclohexyl]-amin werden in 5 ml Methanol gelöst und an 40 mg Pd/C (10%) bei 20–30 °C hydriert. Das Lösungsmittel wird im Vakuum abgezogen und der Rückstand aus Ethanol und konz. HCl kristallisiert. Ausbeute: 110 mg270 mg (0.61 mmol) of trans -dibenzyl- [4- (4-phenyl-piperazin-1-yl) -cyclohexyl] -amine are dissolved in 5 ml of methanol and hydrogenated at 40 mg Pd / C (10%) at 20-30 ° C. The solvent is stripped off in vacuo and the residue from ethanol and conc. HCl crystallizes. Yield: 110 mg
Das cis-Isomer kann analog dargestellt werden.The cis isomer can be represented analogously.
CIS-4-(4-CYCLOPROPYLMETHYL-PIPERAZIN-1-YL)-CYCLOHEXYLAMIN CIS-4- (4-cyclopropylmethyl-piperazin-1-yl) -cyclohexylamine
9.8 g (33.4 mmol) 4-Dibenzylcyclohexanon werden in 100 ml Dichlormethan gelöst und mit 5.6 g (40 mmol) N-Cyclopropylmethylpiperazin und 8.5 g (40 mmol) Natriumtriacetoxyborhydrid 12 h bei RT gerührt. Anschließend wird mit Wasser und Kaliumcarbonat versetzt, die organische Phase abgetrennt, getrocknet und das Lösungsmittel im Vakuum abgezogen. Der Rückstand wird über eine Kieselgelsäule gereinigt (ca. 50 ml Kieselgel, ca. 3 L Essigester 95/Methanol 5 + 0,25% konz. Ammoniak). Die geeigneten Fraktionen werden im Vakuum eingeengt. Ausbeute: 8.5 g cis-Isomer und 2.2 trans-Isomer.9.8 g (33.4 mmol) of 4-dibenzylcyclohexanone are dissolved in 100 ml of dichloromethane solved and with 5.6 g (40 mmol) of N-cyclopropylmethylpiperazine and 8.5 g (40 mmol) sodium triacetoxyborohydride for 12 h at RT. Subsequently, will treated with water and potassium carbonate, the organic phase separated, dried and the solvent deducted in vacuo. The residue will over a silica gel column cleaned (about 50 ml of silica gel, about 3 L ethyl acetate 95 / methanol 5 + 0.25% conc. Ammonia). The suitable fractions are in vacuo concentrated. Yield: 8.5 g cis isomer and 2.2 trans isomer.
8.5 g (20 mmol) cis-Dibenzyl-[4-(4-cyclopropylmethyl-piperazin-1-yl)-cyclohexyl]-amin werden in 170 ml Methanol gelöst und an 1.7 g Pd/C (10%) bei 30–50 °C hydriert. Das Lösungsmittel wird im Vakuum abgezogen und der Rückstand aus Ethanol und konz. HCl kristallisiert. Ausbeute: 4.4 g8.5 g (20 mmol) of cis -dibenzyl- [4- (4-cyclopropylmethyl-piperazin-1-yl) -cyclohexyl] -amine are dissolved in 170 ml of methanol and hydrogenated at 1.7 g Pd / C (10%) at 30-50 ° C. The solvent is stripped off in vacuo and the residue from ethanol and conc. HCl crystallizes. Yield: 4.4 g
4-(4,4-DIMETHYL-PIPERIDIN-1YL)-CYCLOHEXYLAMIN 4- (4,4-DIMETHYL-PIPERIDIN-1-yl) -cyclohexylamine
8.8 g (30 mmol) 4-Dibenzylamino-cyclohexanon, 6.7 g (45 mmol) 4,4-Dimethyl-piperidin-hydrochlorid und 9.5 g (45 mmol) Natriumtriacetoxyborhydrid werden in 100 ml Dichlormethan 16 Stunden bei Raumtemperatur gerührt. Es werden 200 ml Wasser und 20 g Kaliumcarbonat zugegeben, die organische Phase abgetrennt und zur Trockene eingedampft. Der Rückstand wird chromatographisch gereinigt. Ausbeute: 0.7 g cis-Isomer (Schmp.: 125–126 °C) und 0.4 trans-Isomer.8.8 g (30 mmol) of 4-dibenzylamino-cyclohexanone, 6.7 g (45 mmol) of 4,4-dimethyl-piperidine hydrochloride and 9.5 g (45 mmol) of sodium triacetoxyborohydride are dissolved in 100 ml of dichloromethane Stirred for 16 hours at room temperature. It will be 200 ml of water and 20 g of potassium carbonate added, the organic phase separated and evaporated to dryness. The residue is chromatographed cleaned. Yield: 0.7 g of cis isomer (Mp: 125-126 ° C) and 0.4 trans isomer.
0.7 g (1.8 mmol) cis-Dibenzyl-[4-(4,4-dimethyl-piperidin-1yl)-cyclohexyl]-amin werden in 14 ml Methanol vorgelegt, 0.14 g Palladium/Kohle (10%) zugegeben und bei 50 psi und 20 °C hydriert. Anschließend wird der Katalysator abgesaugt, die Mutterlauge eingedampft. Ausbeute: 0.3 g0.7 g (1.8 mmol) cis-dibenzyl- [4- (4,4-dimethyl-piperidin-1-yl) -cyclohexyl] -amine are initially charged in 14 ml of methanol, 0.14 g of palladium / carbon (10%) added and at 50 psi and 20 ° C hydrogenated. Subsequently the catalyst is filtered off with suction, the mother liquor is evaporated. Yield: 0.3 g
CIS- UND TRANS-4-PYRROLIDIN-1-YL-CYCLOHEXYLAMIN (HYDROCHLORID) CIS AND TRANS-4-PYRROLIDIN-1-YL-CYCLOHEXYLAMINE (HYDROCHLORIDE)
0.8 g (21 mmol) Lithiumaluminiumhydrid werden in 50 ml Tetrahydrofuran vorgelegt und 6.2 g (20 mmol) 4-Dibenzylamino-cyclohexanonoxim (Darstellung siehe oben) gelöst in 62 ml Tetrahydrofuran zugetropft. Anschließend wird das Reaktionsgemisch 3 Stunden unter Rückfluss gerührt. Nach dem Abkühlen werden 0.8 ml Wasser und 2.4 ml 15%ige Natronlauge zugetropft. Der ausgefallene Niederschlag wird abgesaugt und mit Tetrahydrofuran gewaschen. Die Mutterlauge wird zur Trockene eingedampft. Ausbeute: 4.9 g (cis/trans-Gemisch)0.8 g (21 mmol) of lithium aluminum hydride are dissolved in 50 ml of tetrahydrofuran submitted and 6.2 g (20 mmol) of 4-dibenzylamino-cyclohexanonoxim (representation see above) added dropwise in 62 ml of tetrahydrofuran. Subsequently, the reaction mixture 3 hours under reflux touched. After cooling 0.8 ml of water and 2.4 ml of 15% sodium hydroxide solution are added dropwise. Of the Precipitated precipitate is filtered off with suction and with tetrahydrofuran washed. The mother liquor is evaporated to dryness. Yield: 4.9 g (cis / trans mixture)
2.9 g (10 mmol) cis/trans-N,N-Dibenzyl-cyclohexan-1,4-diamin, 2.4 g (11 mmol)) 1,4-Dibrombutan und 2.7 g Kaliumcarbonat werden in 70 ml Dimethylformamid vorgelegt und 48 Stunden bei Raumtemperatur gerührt. Anschließend wird das Reaktionsgemisch eingedampft, der Rückstand mit Wasser und Dichlormethan extrahiert. Die organische Phase wird mit Wasser gewaschen, getrocknet und zur Trockene eingedampft. Der Rückstand wird chromatographisch gereinigt, entsprechende Fraktionen vereinigt, eingedampft und aus Petrolether kristallisiert. Ausbeute: 0.8 g cis-Isomer (Schmp.: 81–82 °C) und 0.9 g trans-Isomer (122–124 °C).2.9 g (10 mmol) cis / trans-N, N-dibenzyl-cyclohexane-1,4-diamine, 2.4 g (11 mmol)) 1,4-dibromobutane and 2.7 g of potassium carbonate are introduced into 70 ml of dimethylformamide and stirred for 48 hours at room temperature. Subsequently, will the reaction mixture was evaporated, the residue extracted with water and dichloromethane. The organic phase is washed with water, dried and added to Dry evaporated. The residue is purified by chromatography, corresponding fractions are combined, evaporated and crystallized from petroleum ether. Yield: 0.8 g cis isomer (mp. 81-82 ° C) and 0.9 g trans isomer (122-124 ° C).
2.2 g (6.1 mmol) trans-Dibenzyl-(4-pyrrolidin-1-yl-cyclohexyl)-amin werden in 40 ml Methanol vorgelegt und 0.4 g Palladium/Kohle (10%) zugegeben. Es wird bei 5 bar und 20 °C hydriert. Anschließend wird der Katalysator abgesaugt, die Mutterlauge mit konz. Salzsäure versetzt und eingedampft. Der Rückstand wird mit Aceton ausgerührt. Ausbeute: 1.20 g2.2 g (6.1 mmol) trans-dibenzyl- (4-pyrrolidin-1-yl-cyclohexyl) -amine are presented in 40 ml of methanol and 0.4 g of palladium / carbon (10%) added. It is hydrogenated at 5 bar and 20 ° C. Subsequently, will the catalyst is filtered off with suction, the mother liquor with conc. Hydrochloric acid added and evaporated. The residue is stirred with acetone. Yield: 1.20 g
Analog kann das cis-Isomer hergestellt werden.Analogous the cis-isomer can be prepared.
TRANS-4-(4-METHANSULFONYL-PIPERAZIN-1YL)-CYCLOHEXYLAMIN Trans-4- (4-methanesulfonyl-piperazin-1-yl) -cyclohexylamine
14 g (47 mmol) 4-Dibenzylamino-cyclohexanon, 8.5 g (51 mmol) 1-Methansulfonyl-piperazin und 17.5 g (78 mmol) Natriumtriacetoxyborhydrid werden in 250 ml Dichlormethan 4 Stunden bei Raumtemperatur gerührt. Anschließend wird das Reaktionsgemisch mit 200 ml Wasser und 20 g Kaliumcarbonat versetzt. Die organische Phase wird abgetrennt, getrocknet und zur Trockene eingedampft. Der Rückstand wird chromatographisch gereinigt. Ausbeute: 4.8 g trans-Isomer14 g (47 mmol) 4-dibenzylamino-cyclohexanone, 8.5 g (51 mmol) 1-methanesulfonyl-piperazine and 17.5 g (78 mmol) Sodium triacetoxyborohydride are dissolved in 250 ml of dichloromethane Stirred for 4 hours at room temperature. Subsequently The reaction mixture is washed with 200 ml of water and 20 g of potassium carbonate added. The organic phase is separated off, dried and added to Dry evaporated. The residue is purified by chromatography. Yield: 4.8 g of trans isomer
4.8 g (11 mmol) trans-Dibenzyl-[4-(4-methansulfonyl-piperazin-1yl)-cyclohexyl]-amin werden in 100 ml Methanol gelöst und 2 g Palladium/Kohle (10%) zugegeben. Es wird bei 50 psi und 50 °C hydriert. Anschließend wird der Katalysator abgesaugt, die Mutterlauge eingedampft. Der ausgefallene Niederschlag wird abgesaugt und mit Diethylether gewaschen. Ausbeute: 2.4 g4.8 g (11 mmol) of trans -dibenzyl- [4- (4-methanesulfonyl-piperazin-1-yl) -cyclohexyl] -amine are dissolved in 100 ml of methanol and 2 g of palladium / carbon (10%) are added. It is hydrogenated at 50 psi and 50 ° C. The catalyst is then filtered off with suction, the mother liquor is evaporated. The failed precipitation is abge soaks and washed with diethyl ether. Yield: 2.4 g
CIS- UND TRANS-4-(2,6-DIMETHYL-MORPHOLIN-4-YL)-CYCLOHEXYLAMIN-DIHYDROCHLORID CIS AND TRANS-4- (2,6-DIMETHYL-MORPHOLIN-4-YL) -CYCLOHEXYLAMINE DIHYDROCHLORIDE
9 g (31 mmol) 4-Dibenzylamino-cyclohexanon, 7.5 g (65 mmol) cis-2,6-Dimethyl-morpholin und 9.5 g (45 mmol) Natriumtriacetoxyborhydrid werden in 100 ml Dichlormethan 2 Stunden bei Raumtemperatur gerührt. Anschließend werden 200 ml Wasser zugegeben und mit Kaliumcarbonat basisch gestellt. Die organische Phase wird abgetrennt, getrocknet und zur Trockene eingedampft. Der Rückstand wird chromatographisch gereinigt. Entsprechende Fraktionen werden vereinigt und eingedampft, dann das Hydrochlorid gefällt. Ausbeute: 10 g cis-Isomer (Schmp.: 304–305 °C) und 3.5 g trans-Isomer (334–335 °C).9 g (31 mmol) 4-dibenzylamino-cyclohexanone, 7.5 g (65 mmol) cis-2,6-dimethyl-morpholine and 9.5 g (45 mmol) of sodium triacetoxyborohydride are dissolved in 100 ml of dichloromethane Stirred for 2 hours at room temperature. Subsequently 200 ml of water are added and made basic with potassium carbonate. The organic phase is separated, dried and dried evaporated. The residue is purified by chromatography. Appropriate factions will be combined and evaporated, then the hydrochloride is precipitated. Yield: 10 g of cis isomer (mp: 304-305 ° C) and 3.5 g trans isomer (334-335 ° C).
9.8 g (21 mmol) cis-Dibenzyl-[4-(2,6-dimethyl-morpholin-4-yl)-cyclohexyl]-amin-dihydrochlorid werden in 150 ml Methanol vorgelegt und 2 g Palladium/Kohle (10%) zugegeben. Es wird bei 50 psi und 50 °C hydriert. Anschließend wird der Katalysator abgesaugt, die Mutterlauge eingedampft. Der ausfallende Niederschlag wird abgesaugt und mit Diethylether gewaschen. Ausbeute: 5.5 g9.8 g (21 mmol) of cis-dibenzyl- [4- (2,6-dimethyl-morpholin-4-yl) -cyclohexyl] -amine-dihydrochloride are prepared in Submitted to 150 ml of methanol and 2 g of palladium / carbon (10%) was added. It will be at 50 psi and 50 ° C hydrogenated. Subsequently the catalyst is filtered off with suction, the mother liquor is evaporated. Of the precipitate is filtered off with suction and washed with diethyl ether. Yield: 5.5 g
Analog kann das trans-Isomer hergestellt werden.Analogous the trans isomer can be prepared.
CIS- UND TRANS-4-(4-METHYL-PIPERAZIN-1YL)-CYCLOHEXYLAMIN CIS AND TRANS 4- (4-METHYL-PIPERAZINE-1YL) -CYCLOHEXYLAMINE
14.7 g (50 mmol) 4-Dibenzylamino-cyclohexanon, 15.8 g (100 mmol) Piperazin-N-carbonsäureethylester und 10.6 g (50 mmol) Natriumtriacetoxyborhydrid werden in 200 ml Dichlormethan 16 Stunden bei Raumtemperatur gerührt. Anschließend wird das Reaktionsgemisch mit 200 ml Wasser und 20 g Kaliumcarbonat versetzt. Die organische Phase wird abgetrennt und zur Trockene eingedampft. Der Rückstand wird chromatographisch gereinigt. Ausbeute: 12 g cis-Isomer (Schmp.: 143–144 °C) und 4 g trans-Isomer (281–282 °C).14.7 g (50 mmol) of 4-dibenzylamino-cyclohexanone, 15.8 g (100 mmol) of piperazine-N-carboxylic acid ethyl ester and 10.6 g (50 mmol) of sodium triacetoxyborohydride are dissolved in 200 ml of dichloromethane Stirred for 16 hours at room temperature. Subsequently, will the reaction mixture with 200 ml of water and 20 g of potassium carbonate. The organic phase is separated and evaporated to dryness. The residue is purified by chromatography. Yield: 12 g of cis isomer (m.p. 143-144 ° C) and 4 g trans isomer (281-282 ° C).
12 g (27.5 mmol) cis-4-(4-Dibenzylamino-cyclohexyl)-piperazin-1-carbonsäure-ethylester werden in 50 ml Wasser und 50 ml konz. Salzsäure vorgelegt, dann 72 Stunden unter Rückfluss gerührt. Anschließend wird das Reaktionsgemisch eingedampft, der Rückstand mit 200 ml Wasser und 20 g Kaliumcarbonat versetzt und mit Dichlormethan extrahiert. Die organische Phase wird abgetrennt, getrocknet und zur Trockene eingedampft. Der Rückstand wird aus Ethylacetat kristallisiert. Ausbeute: 8.6 g (Schmp.: 100–101 °C)12 g (27.5 mmol) ethyl cis-4- (4-dibenzylamino-cyclohexyl) -piperazine-1-carboxylate in 50 ml of water and 50 ml of conc. Hydrochloric acid, then 72 hours under reflux touched. Subsequently, will the reaction mixture was evaporated, the residue with 200 ml of water and 20 g of potassium carbonate and extracted with dichloromethane. The organic phase is separated, dried and evaporated to dryness. The residue is crystallized from ethyl acetate. Yield: 8.6 g (mp .: 100-101 ° C)
4 g (11 mmol) cis-Dibenzyl-(4-piperazin-1-yl-cyclohexyl)-amin werden in 5 ml (16.7 mmol) Formalinlösung (37% in Wasser) und 10 ml (22 mmol) Ameisensäure vorgelegt, dann 2 Stunden unter Rückfluss gerührt. Das Reaktionsgemisch wird auf Eiswasser gegeben und mit konz. Ammoniak versetzt. Es wird mit Diethylether extrahiert. Die organische Phase wird mit Wasser gewaschen, getrocknet und zur Trockene eingedampft. Der Rückstand wird mit Petrolether ausgerührt, abgesaugt und getrocknet. Ausbeute: 4,10 g (Schmp: 93 –94 °C)4 g (11 mmol) cis-dibenzyl- (4-piperazin-1-yl-cyclohexyl) -amine in 5 ml (16.7 mmol) of formalin solution (37% in water) and 10 ml (22 mmol) of formic acid, then 2 hours under reflux touched. The Reaction mixture is added to ice-water and treated with conc. ammonia added. It is extracted with diethyl ether. The organic phase is washed with water, dried and evaporated to dryness. The residue is stirred with petroleum ether, sucked off and dried. Yield: 4.10 g (mp: 93-94 ° C)
4.1 g (11 mmol) cis-Dibenzyl-[4-(4-methyl-piperazin-1-yl)-cyclohexyl]-amin werden in 80 ml Methanol vorgelegt, 0.8 g Palladium/Kohle (10%) zugegeben und dann bei 50 psi und 20 °C hydriert. Das Reaktionsgemisch wird über Kieselgur abgesaugt, die Mutterlauge eingedampft. Ausbeute: 1.90 g4.1 g (11 mmol) cis -dibenzyl- [4- (4-methylpiperazin-1-yl) cyclohexyl] amine are initially charged in 80 ml of methanol, 0.8 g of palladium / carbon (10%) and then hydrogenated at 50 psi and 20 ° C. The reaction mixture will over Drained diatomaceous earth, the mother liquor evaporated. Yield: 1.90 G
Das trans-Isomer kann analog hergestellt werden.The Trans isomer can be prepared analogously.
SYNTHESE DER ZWISCHENVERBINDUNGENSYNTHESIS OF Intermediate Compounds
ZWISCHENVERBINDUNG 1. N-(7-OXO-4,5,6,7-TETRAHYDRO-BENZOTHIAZOL-2-YL)-ACETAMID INTERMEDIATE 1. N- (7-OXO-4,5,6,7-TETRAHYDRO BENZOTHIAZOL-2-YL) ACETAMIDE
112 g (1.0 mol) 1,3-Cyclohexandion werden in 700 ml Eiswasser suspendiert und 51.6 ml (1.0 mol) Brom bei 0 °C innerhalb von 45 Minuten zugetropft. Die Suspension wird 3.5 Stunden bei max. 10 °C nachgerührt. Anschließend wird abgesaugt und der Feststoff in 800 ml Wasser ausgerührt, abgesaugt, mit 3 L Wasser gewaschen und getrocknet. Der erhaltene Feststoff wird aus Ethanol umkristallisiert. Ausbeute: 37 g Z2a (Smp.: 159–160 °C)112 g (1.0 mol) of 1,3-cyclohexanedione are suspended in 700 ml of ice-water and 51.6 ml (1.0 mol) of bromine at 0 ° C added dropwise within 45 minutes. The suspension is 3.5 hours at max. 10 ° C stirred. Subsequently is filtered off with suction and the solid is stirred in 800 ml of water, filtered off with suction, washed with 3 L of water and dried. The resulting solid is recrystallized from ethanol. Yield: 37 g Z2a (mp. 159-160 ° C)
15.5 g (0.2 mol) Thioharnstoff werden bei Raumtemperatur in 200 ml Ethanol vorgelegt. Zu dieser Suspension werden 37.1 g (0.2 mol) Z2a portionsweise gegeben, dann wird mit 60 ml Ethanol nachgespült. Die allmählich entstehende Lösung wird 2 Stunden unter Rückfluss gerührt und anschließend eingedampft. Der Rückstand wird mit Wasser und Diethylether extrahiert, die Wasserphase mit Natriumcarbonatlösung basisch gestellt. Der hierbei entstandene Feststoff wird abgesaugt, mit Wasser gewaschen, dann mit Methanol ausgerührt und zur Trockene eingedampft. Ausbeute: 22 g Z3a (Smp.: 265–268 °C)15.5 g (0.2 mol) of thiourea are dissolved in 200 ml of ethanol at room temperature submitted. 37.1 g (0.2 mol) of Z2a are added in portions to this suspension given, then rinsed with 60 ml of ethanol. The gradually arising solution will reflux for 2 hours touched and subsequently evaporated. The residue is extracted with water and diethyl ether, the water phase with sodium basic. The resulting solid is filtered off with suction, washed with water, then stirred with methanol and evaporated to dryness. Yield: 22 g Z3a (mp. 265-268 ° C)
230 ml (2.4 mol) Essigsäureanhydrid werden bei Raumtemperatur vorgelegt, 22 g (0.13 mol) Z3a zugegeben und 3 Stunden unter Rückfluss gerührt. Die Suspension geht dabei teilweise in Lösung. Nach dem Abkühlen mittels Eis/Kochsalzbad wird der Feststoff abgesaugt, 2× in je 150 ml Aceton aufgekocht, abgesaugt und getrocknet. Ausbeute: 25 g Z4a (Smp.: 268–272 °C)230 ml (2.4 mol) acetic anhydride are initially charged at room temperature, 22 g (0.13 mol) of Z3a was added and 3 hours under reflux touched. The suspension partially goes into solution. After cooling by means of Ice / saline, the solid is filtered off with suction, boiled 2 × in 150 ml of acetone, sucked off and dried. Yield: 25 g Z4a (mp. 268-272 ° C)
ZWISCHENVERBINDUNG 2. N-(6-FORMYL-7-OXO-4,5,6,7-TETRAHYDROBENZOTHIAZOL-2-YL)-ACETAMID INTERMEDIATE 2. N- (6-FORMYL-7-OXO-4,5,6,7-TETRAHYDROBENZOTHIAZOLE-2-YL) ACETAMIDE
20 g (0.37 mol) Natriummethylat werden in 50 ml Dimethylformamid suspendiert, eine Suspension aus 21 g (0.1 mol) Zwischenverbindung 1 in 100 ml Dimethylformamid zugetropft. Es wird 15 Minuten nachgerührt, dann auf 0 °C gekühlt. Ein Gemisch aus 29.9 ml (0.37 mol) Ameisensäureethylester und 60 ml Benzol wird zugetropft und die Reaktionsmischung mit weiteren 100 ml Benzol verdünnt. Allmählich fällt ein Niederschlag aus und es wird bei 0 °C 3.5 Stunden weitergerührt. Die Suspension wird mit 370 ml 1 molarer Salzsäure hydrolysiert, der dabei ausgefallene Feststoff wird abgesaugt. Die zwei Phasen der Mutterlauge werden getrennt, die Wasserphase mit Dichlormethan extrahiert. Die daraus resultierende organische Phase wird getrocknet und zur Trockene eingedampft. Der Feststoff und der Rückstand aus der Extraktion werden aus Acetonitril umkristallisiert. Ausbeute: 20 g Z5a20 g (0.37 mol) of sodium methylate are suspended in 50 ml of dimethylformamide, a suspension of 21 g (0.1 mol) of intermediate compound 1 in 100 ml Dimethylformamide added dropwise. It is stirred for 15 minutes, then at 0 ° C cooled. A mixture of 29.9 ml (0.37 mol) of ethyl formate and 60 ml of benzene is added dropwise and the reaction mixture with another 100 ml of benzene diluted. Gradually come in mind Precipitate and stir at 0 ° C for 3.5 hours. The Suspension is hydrolyzed with 370 ml of 1 molar hydrochloric acid, thereby precipitated solid is sucked off. The two phases of the mother liquor are separated, the water phase extracted with dichloromethane. The resulting organic phase is dried and dried evaporated. The solid and the residue from the extraction are recrystallized from acetonitrile. Yield: 20 g Z5a
ZWISCHENVERBINDUNG 3. N-(6-DIMETHYLAMINOMETHYLEN-7-OXO-4,5,6,7-TETRAHYDRO-BENZOTHIAZOL-2-YL)-ACETAMID INTERMEDIATE 3. N- (6-DIMETHYLAMINOMETHYLENE-7-OXO-4,5,6,7-TETRAHYDRO-BENZOTHIAZOL-2-YL) ACETAMIDE
30 g (0.13 mol) Zwischenverbindung 2 werden in 750 ml Dichlormethan suspendiert und unter Eiskühlung mit 1 ml Eisessig und 30 ml Dimethylamin (33%ige Lösung in THF) versetzt. Die Reaktionsmischung wird über Nacht bei Raumtemperatur gerührt, eingeengt und der verbliebene Feststoff mit Cyclohexan extrahiert. Ausbeute: 33 g Z5b30 g (0.13 mol) of intermediate 2 are dissolved in 750 ml of dichloromethane suspended and under ice-cooling with 1 ml of glacial acetic acid and 30 ml of dimethylamine (33% solution in THF). The reaction mixture is left overnight at room temperature touched, concentrated and extracted the remaining solid with cyclohexane. Yield: 33g Z5b
ZWISCHENVERBINDUNG 4. N-[6-(FURAN-2-CARBONYL)-7-OXO-4,5,6,7-TETRAHYDRO-BENZOTHIAZOL-2-YL]-ACETAMID INTERMEDIATE 4. N- [6- (FURAN-2-CARBONYL) -7-OXO-4,5,6,7-TETRAHYDRO-BENZOTHIAZOL-2-YL] -ACETAMIDE
Analog zur Herstellung von Zwischenverbindung 2 werden aus 2 g (10 mmol) Zwischenverbindung 1, 1.6 g (30 mmol) Natriummethylat und 3.8 g (30 mmol) 2-Furansäuremethylester 1.7 g Produkt Z5c erhalten. (Smp.: 255–256 °C)Analogous for the preparation of intermediate compound 2 are prepared from 2 g (10 mmol) Intermediate 1, 1.6 g (30 mmol) of sodium methylate and 3.8 g (30 mmol) 2-furoic acid methyl ester 1.7 g of product Z5c obtained. (Mp .: 255-256 ° C)
ZWISCHENVERBINDUNG 5. N-(6-BENZOYL-7-OXO-4,5,6,7-TETRAHYDRO-BENZOTHIAZOL-2-YL)-ACETAMID INTERMEDIATE 5. N- (6-BENZOYL-7-OXO-4,5,6,7-TETRAHYDRO-BENZOTHIAZOLE-2-YL) ACETAMIDE
Analog zur Herstellung von Zwischenverbindung 2 werden aus 10 g (50 mmol) Zwischenverbindung 1, 7.8 g (140 mmol) Natriummethylat und 17.9 ml (140 mmol) Benzoesäuremethylester 3.6 g Produkt Z5d erhalten.Analogous for preparation of Intermediate 2 are prepared from 10 g (50 mmol) Intermediate 1, 7.8 g (140 mmol) of sodium methylate and 17.9 ml (140 mmol) of methyl benzoate 3.6 g product Z5d obtained.
ZWISCHENVERBINDUNG 6. N-[6-(FURAN-3-CARBONYL)-7-OXO-4,5,6,7-TETRAHYDRO-BENZOTHIAZOL-2-YL]-ACETAMID INTERMEDIATE 6. N- [6- (FURAN-3-CARBONYL) -7-OXO-4,5,6,7-TETRAHYDRO-BENZOTHIAZOL-2-YL] -ACETAMIDE
Analog zur Herstellung von Zwischenverbindung 2 werden aus 7.5 g (40 mmol) Zwischenverbindung 1, 7.7 g (110 mmol) Natriummethylat und 15.1 ml (110 mmol) Furan-3-carbonsäureethylester 4.8 g Produkt Z5e erhalten.Analogous for the preparation of intermediate compound 2 are prepared from 7.5 g (40 mmol) Intermediate 1, 7.7 g (110 mmol) of sodium methylate and 15.1 ml (110 mmol) of furan-3-carboxylic acid ethyl ester 4.8 g product Z5e obtained.
ZWISCHENVERBINDUNG 7. (2-ACETYLAMINO-7-OXO-4,5,6,7-TETRAHYDRO-BENZOTHIAZOL-6-YL)-OXO-ESSIGSÄUREMETHYLESTER INTERMEDIATE 7. (2-ACETYLAMINO-7-OXO-4,5,6,7-TETRAHYDRO-BENZOTHIAZOL-6-YL) -OXO-ACETIC ACID METHYL ETHER
Analog zur Herstellung von Zwischenverbindung 2 werden aus 40 g (190 mmol) Zwischenverbindung 1, 38 g (0.7 mol) Natriummethylat und 84 g (0.7 mol) Dimethyloxalat 52 g Produkt Z5fMe erhalten.Analogously to the preparation of intermediate compound 2, from 40 g (190 mmol) of intermediate compound 1, 38 g (0.7 mol) of sodium methylate and 84 g (0.7 mol) of dimethyloxalate 52 g of product Z5f Me are obtained.
ZWISCHENVERBINDUNG 8. (2-ACETYLAMINO-7-OXO-4,5,6,7-TETRAHYDRO-BENZOTHIAZOL-6-YL)-OXO-ESSIGSÄUREETHYLESTER INTERMEDIATE 8. (2-ACETYLAMINO-7-OXO-4,5,6,7-TETRAHYDRO-BENZOTHIAZOL-6-YL) -OXO-ACETIC ACID ETHYL ESTER
Analog zur Herstellung von Zwischenverbindung 2 werden aus 73 g (348 mmol) Zwischenverbindung 1, 54 g (1 mol) Natriummethylat und 152 g (1 mol) Diethyloxalat 78 g Produkt Z5fEt erhalten.Analogously to the preparation of intermediate 2, from 73 g (348 mmol) of intermediate compound 1, 54 g (1 mol) of sodium methylate and 152 g (1 mol) of diethyl oxalate 78 g of product Z5f Et are obtained.
ZWISCHENVERBINDUNG 9. N-[7-OXO-6-(PYRIDIN-3-CARBONYL)-4,5,6,7-TETRAHYDRO-BENZOTHIAZOL-2-YL]-ACETAMID INTERMEDIATE 9. N- [7-OXO-6- (PYRIDINE-3-CARBONYL) -4,5,6,7-TETRAHYDRO-BENZOTHIAZOL-2-YL] ACETAMIDE
Analog zur Herstellung von Zwischenverbindung 2 werden aus 4 g (19 mmol) Zwischenverbindung 1, 3.9 g (57 mmol) Natriumethylat und 7.9 g (57 mmol) Nicotinsäuremethylester 3.1 g Produkt Z5g erhalten.Analogous for the preparation of intermediate compound 2 are prepared from 4 g (19 mmol) Intermediate 1, 3.9 g (57 mmol) of sodium ethylate and 7.9 g (57 mmol) nicotinic acid methyl ester 3.1 g of product Z5g.
ZWISCHENVERBINDUNG 10. N-(6-ACETYL-7-OXO-4,5,6,7-TETRAHYDRO-BENZOTHIAZOL-2-YL)-ACETAMID INTERMEDIATE 10. N- (6-ACETYL-7-OXO-4,5,6,7-TETRAHYDRO-BENZOTHIAZOLE-2-YL) ACETAMIDE
1 g (4.8 mmol) Zwischenverbindung 1 werden in 20 ml THF gelöst, auf –20 °C gekühlt und mit 12 ml (12 mmol) einer 1 N Lösung von Lithiumhexamethyldisilazid in Hexan versetzt. Nach 45 Minuten bei –20 °C werden 0.8 g (7.2 mmol) 1-Imidazol-1-yl-ethanon zugegeben und die Reaktionsmischung langsam auf Raumtemperatur erwärmt. Nach einer Stunde bei dieser Temperatur wird mit 2 N Salzsäure ein pH-Wert von 6 eingestellt und mit Essigsäureethylester extrahiert. Die vereinten organischen Phasen werden getrocknet und eingeengt. Ausbeute: 1.2 g Z5h1 g (4.8 mmol) Intermediate 1 are dissolved in 20 ml of THF, cooled to -20 ° C and with 12 ml (12 mmol) of a 1N solution of lithium hexamethyldisilazide in hexane. After 45 minutes be at -20 ° C 0.8 g (7.2 mmol) of 1-imidazol-1-yl-ethanone added and the reaction mixture slowly warmed to room temperature. After one hour at this temperature is with 2 N hydrochloric acid Adjusted pH of 6 and extracted with ethyl acetate. The Combined organic phases are dried and concentrated. Yield: 1.2 g Z5h
ZWISCHENVERBINDUNG 11. N-[6-(1-METHYL-1H-IMIDAZOL-4-CARBONYL)-7-OXO-4,5,6,7-TETRAHYDRO-BENZOTHIAZOL-2-YL]-ACETAMID INTERMEDIATE 11. N- [6- (1-METHYL-1H-IMIDAZOLE-4-CARBONYL) -7-OXO-4,5,6,7-TETRAHYDRO-BENZOTHIAZOL-2-YL] -ACETAMIDE
Analog zur Herstellung von Zwischenverbindung 10 werden aus 50 g (0.24 mol) Zwischenverbindung 1, 714 ml (0.71 mol) LiHMDS (1 M in THF) und 55 g (0.31 mol) Imidazol-1-yl-(1-methyl-1H-imidazol-4-yl)-methanon 57 g Produkt Z5i erhalten.Analogous for the preparation of intermediate compound 10 are prepared from 50 g (0.24 mol) Intermediate 1, 714 ml (0.71 mol) LiHMDS (1 M in THF) and 55 g (0.31 mol) of imidazol-1-yl- (1-methyl-1H-imidazol-4-yl) -methanone 57 g of product Z5i obtained.
ZWISCHENVERBINDUNG 12. N-(6-ISOBUTYRYL-7-OXO-4,5,6,7-TETRAHYDRO-BENZOTHIAZOL-2-YL)-ACETAMID INTERMEDIATE 12. N- (6-ISOBUTYRYL-7-OXO-4,5,6,7-TETRAHYDRO-BENZOTHIAZOLE-2-YL) ACETAMIDE
Analog zur Herstellung von Zwischenverbindung 10 werden aus 4.8 g (23 mmol) Zwischenverbindung 1, 71 ml (71 mmol) LiHMDS (1 M in Hexan) und 6.3 g (46 mmol) 1-Imidazol-1-yl-2-methyl-propan-1-on 4.4 g Produkt Z5j erhalten.Analogous for the preparation of intermediate compound 10 are prepared from 4.8 g (23 mmol) Intermediate 1, 71 ml (71 mmol) LiHMDS (1 M in hexane) and 6.3 g (46 mmol) of 1-imidazol-1-yl-2-methyl-propan-1-one 4.4 g of product Z5j.
ZWISCHENVERBINDUNG 13. N-[6-(2-METHOXY-ACETYL)-7-OXO-4,5,6,7-TETRAHYDRO-BENZOTHIAZOL-2-YL)-ACETAMID INTERMEDIATE 13. N- [6- (2-METHOXY-ACETYL) -7-OXO-4,5,6,7-TETRAHYDRO-BENZOTHIAZOL-2-YL) -ACETAMIDE
Analog zur Herstellung von Zwischenverbindung 10 werden aus 4.2 g (20 mmol) Zwischenverbindung 1, 60 ml (60 mmol) LiHMDS (1 M in Hexan) und 5.6 g (40 mmol) 1-Imidazol-1-yl-2-methoxy-ethanon 1.8 g Produkt Z5k erhalten.Analogous for the preparation of intermediate compound 10 are prepared from 4.2 g (20 mmol) Intermediate 1, 60 ml (60 mmol) LiHMDS (1 M in hexane) and 5.6 g (40 mmol) of 1-imidazol-1-yl-2-methoxy-ethanone Receive 1.8 g of product Z5k.
ZWISCHENVERBINDUNG 14. (R)-N-[7-OXO-6-(TETRAHYDRO-FURAN-2-CARBONYL)-4,5,6,7-TETRAHYDRO-BENZOTHIAZOL-2-YL]-ACETAMID INTERMEDIATE 14. (R) -N- [7-OXO-6- (TETRAHYDRO-FURAN-2-CARBONYL) -4,5,6,7-TETRAHYDRO-BENZOTHIAZOL-2-YL] -ACETAMIDE
Analog zur Herstellung von Zwischenverbindung 10 werden aus 10 g (48 mmol) Zwischenverbindung 1, 145 ml (145 mmol) LiHMDS (1 M in Hexan) und 23.5 g (52 mmol) (R)-Imidazol-1-yl-(tetrahydro-furan-2-yl)-methanon 1 g Produkt Z5l erhalten.Analogous for the preparation of intermediate compound 10 are prepared from 10 g (48 mmol) Intermediate 1, 145 ml (145 mmol) LiHMDS (1 M in hexane) and 23.5 g (52 mmol) of (R) -imidazol-1-yl (tetrahydrofuran-2-yl) -methanone 1 g product Z5l received.
ZWISCHENVERBINDUNG 15. (S)-N-[7-OXO-6-(TETRAHYDRO-FURAN-2-CARBONYL)-4,5,6,7-TETRAHYDRO-BENZOTHIAZOL-2-YL]-ACETAMID INTERMEDIATE 15. (S) -N- [7-OXO-6- (TETRAHYDRO-FURAN-2-CARBONYL) -4,5,6,7-TETRAHYDRO-BENZOTHIAZOL-2-YL] -ACETAMIDE
Analog zur Herstellung von Zwischenverbindung 10 werden aus 19.4 g (92 mmol) Zwischenverbindung 1, 277 ml (277 mmol) LiHMDS (1 M in Hexan) und 23.5 g (141 mmol) (S)-Imidazol-1-yl-(tetrahydro-furan-2-yl)-methanon 3.1 g Produkt Z5m erhalten.Analogous for the preparation of intermediate compound 10 are prepared from 19.4 g (92 mmol) Intermediate 1, 277 ml (277 mmol) LiHMDS (1 M in hexane) and 23.5 g (141 mmol) of (S) -imidazol-1-yl (tetrahydrofuran-2-yl) -methanone 3.1 g product Z5m obtained.
ZWISCHENVERBINDUNG 16. N-[7-OXO-6-(3-TRIMETHYLSILANYL-PROPYNOYL)-4,5,6,7-TETRAHYDRO-BENZOTHIAZOL-2-YL]-ACETAMID INTERMEDIATE 16. N- [7-OXO-6- (3-TRIMETHYLSILANYL-PROPYNOYL) -4,5,6,7-TETRAHYDRO-BENZOTHIAZOL-2-YL] -ACETAMIDE
Analog zur Herstellung von Zwischenverbindung 10 werden aus 1.1 g (5.7 mmol) Zwischenverbindung 1, 17.5 ml (17.5 mmol) LiHMDS (1 M in Hexan) und 4.6 g (8.4 mmol) 1-Imidazol-1-yl-3-trimethylsilanyl-propynon 1.1 g Produkt Z5n erhalten.Analogous for the preparation of intermediate compound 10 are prepared from 1.1 g (5.7 mmol) Intermediate 1, 17.5 ml (17.5 mmol) LiHMDS (1 M in hexane) and 4.6 g (8.4 mmol) of 1-imidazol-1-yl-3-trimethylsilanyl-propynone 1.1 g of product Z5n.
ZWISCHENVERBINDUNG 17. N-{7-OXO-6-[1-(2-TRIMETHYLSILANYL-ETHOXYMETHYL)-1H-IMIDAZOL-4-CARBONYL]-4,5,6,7-TETRAHYDRO-BENZOTHIAZOL-2-YL}-ACETAMID INTERMEDIATE 17. N- {7-OXO-6- [1- (2-TRIMETHYLSILANYL-ETHOXY-METHYL) -1H-IMIDAZOLE-4-CARBONYL] -4,5,6,7-TETRAHYDRO-BENZOTHIAZOL-2-YL} -ACETAMIDE
Eine Lösung von 125 ml (0.125 mol) LHMDS (Lithiumhexamethyldisilazid) in 100mL Tetrahydrofuran wird bei –20 °C mit 10.5 g (50 mmol) Zwischenverbindung 1 versetzt und 0.75 Stunden nachgerührt. 15.6 g (53 mmol) Imidazol-1-yl-[1-(2-trimethylsilanyl-ethoxymethyl)-1H-imidazol-4-yl]-methanon werden in 80 ml Tetrahydrofuran gelöst zugegeben. Die entstandene Suspension wird 16 Stunden bei Raumtemperatur gerührt. Anschließend wird mit 2 N Salzsäure hydrolysiert und mit Methyl-tert-butylether extrahiert. Die organische Phase wird getrocknet und zur Trockene eingedampft. Der Rückstand wird chromatographisch gereinigt. Ausbeute: 1.5 gA solution of 125 ml (0.125 mol) of LHMDS (lithium hexamethyldisilazide) in 100 mL Tetrahydrofuran is treated at -20 ° C with 10.5 g (50 mmol) of intermediate compound 1 and stirred for 0.75 hours. 15.6 g (53 mmol) imidazol-1-yl [1- (2-trimethylsilanylethoxymethyl) -1H-imidazol-4-yl] -methanone are added dissolved in 80 ml of tetrahydrofuran. The resulting Suspension is stirred for 16 hours at room temperature. Subsequently, will with 2N hydrochloric acid hydrolyzed and extracted with methyl tert-butyl ether. The organic Phase is dried and evaporated to dryness. The residue is purified by chromatography. Yield: 1.5 g
ZWISCHENVERBINDUNG 18. 2-ACETYLAMINO-7-OXO-4,5,6,7-TETRAHYDRO-BENZOTHIAZOL-6-CARBONSÄUREETHYLESTER: INTERMEDIATE 18. 2-ACETYLAMINO-7-OXO-4,5,6,7-TETRAHYDRO-BENZOTHIAZOLE-6-CARBOXYLIC ACID ETHYLENE:
4.0 g (19 mmol) Zwischenverbindung 1 werden in 120 ml Tetrahydrofuran vorgelegt und auf –50 °C gekühlt. 80 ml (60 mmol) einer 1 molaren Lösung von Lithiumbis(trimethylsilylamid) in Tetrahydrofuran werden zugegeben und 5 Stunden bei –30 °C bis –50 °C gerührt. Anschließend wird das Reaktionsgemisch mit 6.5 ml (80 mmol) Chlorameisensäureethylester versetzt, dann 1 Stunde nachgerührt. Es werden 50 ml Wasser zugegeben, mit 2 N Salzsäure sauer gestellt und mit Ethylacetat extrahiert. Die organische Phase wird getrocknet und zur Trockene eingedampft. Der Rückstand wird chromatographisch gereinigt, entsprechende Fraktionen vereinigt und eingedampft. Das Rohprodukt wird mit Diethylether verrieben und abgesaugt. Ausbeute: 2.3 g Z5o4.0 g (19 mmol) of intermediate 1 are dissolved in 120 ml of tetrahydrofuran submitted and cooled to -50 ° C. 80 ml (60 mmol) of a 1 molar solution of lithium bis (trimethylsilylamide) in tetrahydrofuran are added and stirred at -30 ° C to -50 ° C for 5 hours. Subsequently, will the reaction mixture with 6.5 ml (80 mmol) of ethyl chloroformate added, then stirred for 1 hour. There are added 50 ml of water, acidified with 2N hydrochloric acid and washed with Extracted ethyl acetate. The organic phase is dried and evaporated to dryness. The residue is purified by chromatography, corresponding fractions combined and evaporated. The crude product is triturated with diethyl ether and sucked off. Yield: 2.3 g Z5o
ZWISCHENVERBINDUNG 19. N-[7-OXO-6-(2,2,2-TRIFLUORO-ACETYL)-4,5,6,7-TETRAHYDRO-BENZOTHIAZOL-2-YL]-ACETAMID INTERMEDIATE 19. N- [7-OXO-6- (2,2,2-TRIFLUORO-ACETYL) -4,5,6,7-TETRAHYDRO-BENZOTHIAZOL-2-YL] -ACETAMIDE
140 g (1.25 mol) 1,3-Cyclohexandion werden in 625 ml Chloroform gelöst, dann 145 ml (2.49 mol) Ethanol und 3.4 g (18 mmol) p-Toluolsulfonsäure zugegeben. Das Reaktionsgemisch wird 72 Stunden unter Rückfluss gerührt, wobei das entstehende Wasser mittels Wasserabscheider abgetrennt wird. Anschließend wird eingedampft und der Rückstand mit Diethylether versetzt, getrocknet und zur Trockene eingedampft. Der Rückstand wird durch Destillation gereinigt. Ausbeute: 166 g140 g (1.25 mol) of 1,3-cyclohexanedione are dissolved in 625 ml of chloroform, then Added 145 ml (2.49 mol) of ethanol and 3.4 g (18 mmol) of p-toluenesulfonic acid. The reaction mixture is stirred under reflux for 72 hours, the resulting Water is separated by means of a water separator. Subsequently, will evaporated and the residue mixed with diethyl ether, dried and evaporated to dryness. The residue is purified by distillation. Yield: 166 g
4.6 g (0.115 mol) Natriumhydrid werden in 250 ml Diethylether suspendiert und auf 40 °C erhitzt. Dann wird eine Lösung aus 17 ml (0.14 mol) Trifluoressigsäureethylester und 10 g (71 mmol) der zuvor beschriebenen Zwischenstufe in 50 ml Diethylether zugetropft. Es wird 24 Stunden unter Rückfluss gerührt. Nach Abkühlen auf Raumtemperatur werden 150 ml Wasser zugesetzt und 0.1 Stunde bei Raumtemperatur nachgerührt. Die Phasen werden getrennt, die organische Phase mit 5%iger Natriumhydroxid-Lösung extrahiert. Die vereinigten basischen Wasserphasen werden sauer gestellt und mit Ethylacetat extrahiert. Die Ethylacetatphasen werden getrocknet und zur Trockene eingedampft. Das Rohprodukt wird chromatographisch gereinigt. Ausbeute: 4.1 g4.6 g (0.115 mol) of sodium hydride are suspended in 250 ml of diethyl ether and at 40 ° C heated. Then a solution from 17 ml (0.14 mol) of ethyl trifluoroacetate and 10 g (71 mmol) of the above-described intermediate in 50 ml of diethyl ether dropwise. It is stirred under reflux for 24 hours. After cooling to Room temperature, 150 ml of water are added and 0.1 hour at Room temperature stirred. The Phases are separated, the organic phase extracted with 5% sodium hydroxide solution. The combined basic water phases are acidified and extracted with ethyl acetate. The ethyl acetate phases are dried and evaporated to dryness. The crude product is chromatographed cleaned. Yield: 4.1 g
0.4 g (1.7 mmol) der zuvor beschriebenen Zwischenstufe werden in 10 ml Dioxan und 10 ml Wasser gelöst, auf –10 °C gekühlt und dann mit 0.3 g (1.9 mmol) N-Bromsuccinimid versetzt. Es wird 1 Stunde bei Raumtemperatur gerührt und anschließend 0.13 g (1.7 mmol) Thioharnstoff zugegeben. Es wird 0.5 Stunden bei Raumtemperatur und 3 Stunden bei 80 °C gerührt. Nach Abkühlen wird das Reaktionsgemisch basisch gestellt und mit Dichlormethan extrahiert. Die organische Phase wird getrocknet und zur Trockene eingedampft. Ausbeute: 0.2 g0.4 g (1.7 mmol) of the above-described intermediate are dissolved in 10 ml of dioxane and 10 ml of water, cooled to -10 ° C and then mixed with 0.3 g (1.9 mmol) of N-bromosuccinimide. It will be 1 hour stirred at room temperature and subsequently 0.13 g (1.7 mmol) of thiourea was added. It will be 0.5 hours Room temperature and stirred at 80 ° C for 3 hours. After cooling, it is The reaction mixture is made basic and extracted with dichloromethane. The organic phase is dried and evaporated to dryness. Yield: 0.2 g
0.2 g (0.76 mmol) der zuvor beschriebenen Zwischenstufe werden in 10 ml (0.1 mol) Essigsäureanhydrid suspendiert und dann auf 100 °C erhitzt. Es wird 3 Stunden bei 100 °C und 16 Stunden bei Raumtemperatur gerührt. Anschließend wird das Reaktionsgemisch eingedampft, der Rückstand mit Eisessig versetzt und eingedampft. Ausbeute: 0.3 g Z5p0.2 g (0.76 mmol) of the above-described intermediate are dissolved in 10 ml (0.1 mol) acetic anhydride suspended and then at 100 ° C heated. It will last 3 hours at 100 ° C and 16 hours at room temperature touched. Subsequently the reaction mixture is evaporated, the residue is treated with glacial acetic acid and evaporated. Yield: 0.3 g Z5p
ZWISCHENVERBINDUNG 20. 1-PHENYL-4,5-DIHYDRO-1H-PYRAZOLO[3',4':3,4]BENZO[1,2-D]THIAZOL-7-YLAMIN INTERMEDIATE 20. 1-PHENYL-4,5-DIHYDRO-1H-PYRAZOLO [3 ', 4': 3,4] BENZO [1,2-D] THIAZOL-7-YLAMINE
650 ml 37%ige Salzsäure werden in 650 ml Wasser vorgelegt und 99 g (0.27 mol) N-(1-Phenyl-4,5-dihydro-1H-pyrazolo[3',4':3,4]benzo[1,2-d]thiazol-7-yl)-acetamid (hergestellt analog zu Beispiel 1) darin gelöst. Die Lösung wird 2 Stunden unter Rückfluss gerührt. Nach Abkühlen auf Raumtemperatur wird mit Natronlauge vorsichtig basisch gestellt (pH 10–11). Der ausgefallene Niederschlag wird abgesaugt und mit Methanol ausgerührt. Ausbeute: 66 g (Smp.: 307–308 °C)650 ml of 37% hydrochloric acid are introduced into 650 ml of water and 99 g (0.27 mol) of N- (1-phenyl-4,5-dihydro-1H-pyrazolo [3 ', 4': 3,4] benzo [1,2-d] thiazole 7-yl) -acetamide (prepared analogously to Example 1) dissolved therein. The solution is refluxed for 2 hours touched. After cooling to room temperature, carefully basified with sodium hydroxide solution (pH 10-11). The precipitate is filtered off with suction and stirred with methanol. Yield: 66 g (mp. 307-308 ° C)
ZWISCHENVERBINDUNG 21. N-(6-BROM-7-OXO-4,5,6,7-TETRAHYDRO-BENZOTHIAZOL-2-YL)-ACETAMID INTERMEDIATE 21. N- (6-BROM-7-OXO-4,5,6,7-TETRAHYDRO-BENZOTHIAZOL-2-YL) ACETAMIDE
Eine Lösung von 2 g (9.5 mmol) Zwischenverbindung 1 in 60 ml Eisessig wird bei Raumtemperatur mit einer Lösung von 1.5 g (9.5 mmol) Brom in 10 ml Eisessig versetzt. Die Reaktionsmischung wird langsam auf 75 °C erwärmt, wobei eine rasche Entfärbung eintritt. Es wird zur Trockene eingedampft, der Rückstand in Methanol gelöst und das Produkt durch Zugabe von Wasser ausgefällt. Ausbeute: 2.2 g (Schmp.: 180 – 182 °C)A solution of 2 g (9.5 mmol) of intermediate compound 1 in 60 ml of glacial acetic acid is added Room temperature with a solution of 1.5 g (9.5 mmol) of bromine in 10 ml of glacial acetic acid. The reaction mixture gets slow to 75 ° C heated with a rapid discoloration occurs. It is evaporated to dryness, the residue dissolved in methanol and the Product precipitated by addition of water. Yield: 2.2 g (m.p. 180 - 182 ° C)
ZWISCHENVERBINDUNG 22. N-(5-FORMYL-6-OXO-4,5,6,6A-TETRAHYDRO-3AH-CYCLOPENTATHIAZOL-2-YL)-ACETAMID INTERMEDIATE 22. N- (5-FORMYL-6-OXO-4,5,6,6A-TETRAHYDRO-3AH-CYCLOPENTATHIAZOL-2-YL) ACETAMIDE
100 g (0.36 mol) 2-Brom-cyclopentan-1,3-dion (siehe M. Vanderwalle et al., Bull. Soc. Chim. Belg. 1966, 75, 648–654) werden in 370 ml Dimethylformamid gelöst und mit 43 g (0.36 mol) N-Acetylthioharnstoff versetzt. Es wird 3 Stunden bei 75 °C gerührt, dann bei 50 °C 15 g Aktivkohle zugesetzt. Nach Filtration über Kieselgur wird das Filtrat auf 10 °C gekühlt und mit 1200 ml Wasser versetzt. Der ausgefallene Niederschlag wird 16 Stunden bei Raumtemperatur nachgerührt, abgesaugt und getrocknet. Ausbeute: 20.4 g Z4b (Smp.: 270–272 °C)100 g (0.36 mol) 2-bromo-cyclopentane-1,3-dione (see M. Vanderwalle et al., Bull. Soc. Chim. Belg. 1966, 75, 648-654) are dissolved in 370 ml of dimethylformamide solved and added with 43 g (0.36 mol) of N-acetylthiourea. It will 3 hours at 75 ° C touched, then at 50 ° C 15 g of activated carbon added. After filtration through diatomaceous earth, the filtrate at 10 ° C chilled and mixed with 1200 ml of water. The failed precipitation is Stirred for 16 hours at room temperature, filtered off with suction and dried. Yield: 20.4 g Z4b (mp 270-272 ° C)
27.6 g (0.51 mol) Natriummethylat werden in 50 ml Dimethylformamid suspendiert und bei Raumtemperatur eine Suspension aus 20.0 g (0.10 mol) Z4b in 350 ml Dimethylformamid innerhalb von 0.25 Stunden portionsweise zugetropft. Das Reaktionsgemisch wird 1 Stunde bei Raumtemperatur gerührt, anschließend auf 60 °C Innentemperatur erhitzt. Es wird eine Lösung aus 41 ml (0.51 mol) Ameisensäureethylester in 40 ml Benzol zugetropft und 2 Stunden gerührt. Nach Abkühlen auf 5 °C werden 100 ml halbkonzentrierte Salzsäure zugesetzt und mit Wasser auf 3000 ml verdünnt. Es fällt ein Niederschlag aus, dieser wird abgesaugt. Das Filtrat wird mit Dichlormethan extrahiert, die organische Phase getrocknet und zur Trockene eingedampft. Der Rückstand wird mit Dichlormethan/Diethylether 1:5 verrührt, abgesaugt und getrocknet. Ausbeute: 12.3 g Z5p27.6 g (0.51 mol) of sodium methylate are suspended in 50 ml of dimethylformamide and at room temperature, a suspension of 20.0 g (0.10 mol) Z4b in 350 ml of dimethylformamide within 0.25 hours in portions dropwise. The reaction mixture is left at room temperature for 1 hour touched, then on 60 ° C internal temperature heated. It becomes a solution from 41 ml (0.51 mol) of ethyl formate added dropwise in 40 ml of benzene and stirred for 2 hours. After cooling to 5 ° C 100 ml of half-concentrated hydrochloric acid added and diluted to 3000 ml with water. It's falling a precipitate, this is sucked off. The filtrate is with Dichloromethane extracted, the organic phase dried and to Dry evaporated. The residue is stirred with dichloromethane / diethyl ether 1: 5, filtered off with suction and dried. Yield: 12.3 g Z5p
ZWISCHENVERBINDUNG 23. N-(7-FORMYL-8-OXO-5,6,7,8-TETRAHYDRO-4H-CYCLOHEPTATHIAZOL-2-YL)-ACETAMID INTERMEDIATE 23. N- (7-FORMYL-8-OXO-5,6,7,8-TETRAHYDRO-4H-CYCLOHEPTATHIAZOL-2-YL) ACETAMIDE
Eine Lösung von 7.4 g (90 mmol) Natriumacetat und 9.9 g (79 mmol) 1,3-Cycloheptadien in 300 ml Eisessig wird bei 15 °C mit 12.6 g (79 mmol) Brom versetzt und 30 min gerührt. Anschließend werden 6.0 g (79 mmol) Thioharnstoff zugegeben und die Suspension 5 Stunden unter Rückfluss gekocht. Die Essigsäure wird im Vakuum entfernt und der Rückstand in gesättigter Kochsalz-Lösung aufgenommen. Unlösliche Bestandteile werden abgesaugt und die wässrige Phase zunächst mit Ether extrahiert und dann mit Ammoniak alkalisch gestellt. Der ausgefallene Feststoff wird abgesaugt und getrocknet. Ausbeute: 3.7 g Z3bA solution of 7.4 g (90 mmol) of sodium acetate and 9.9 g (79 mmol) of 1,3-cycloheptadiene in 300 ml of glacial acetic acid at 15 ° C with 12.6 g (79 mmol) of bromine and stirred for 30 min. Then be 6.0 g (79 mmol) of thiourea were added and the suspension 5 hours under reflux cooked. The acetic acid will removed in vacuo and the residue in saturated Saline solution added. insoluble Ingredients are sucked off and the aqueous phase with Ether extracted and then made alkaline with ammonia. The failed one The solid is filtered off with suction and dried. Yield: 3.7 g Z3b
3.7 g (20 mmol) der Verbindung Z3b werden in 50 ml Essigsäureanhydrid 1 Stunde unter Rückfluss erwärmt. Der nach dem Abkühlen ausgefallene Feststoff wird abgesaugt und mit Ether verrührt. Ausbeute: 2.4 g Z4c3.7 g (20 mmol) of compound Z3b are dissolved in 50 ml of acetic anhydride Heated under reflux for 1 hour. Of the after cooling precipitated solid is filtered off with suction and stirred with ether. Yield: 2.4g Z4c
1.7 g (31 mmol) Natriummethylat werden in 20 ml DMF suspendiert und portionsweise mit 2.4 g (11 mmol) der Verbindung Z4c versetzt. Nach 30 min wird auf –5 °C gekühlt, eine Lösung von 2.5 ml (31 mmol) Ameisensäureethylester in 10 ml Benzol zugetropft und bei Raumtemperatur über Nacht gerührt. Es wird mit 70 ml 1N Salzsäure versetzt, der ausgefallene Niederschlag abgesaugt und mit Wasser gewaschen. Ausbeute: 2 g Z5r1.7 g (31 mmol) of sodium methylate are suspended in 20 ml of DMF and added in portions with 2.4 g (11 mmol) of compound Z4c. To 30 min is cooled to -5 ° C, a solution of 2.5 ml (31 mmol) of ethyl formate added dropwise in 10 ml of benzene and at room temperature overnight touched. It is mixed with 70 ml of 1N hydrochloric acid offset, the precipitate sucked off and with water washed. Yield: 2 g Z5r
SYNTHESE VON VERBINDUNGEN DER FORMEL 1SYNTHESIS OF COMPOUNDS THE FORMULA 1
BEISPIEL 1: N-(1-P-TOLYL-4,5-DIHYDRO-1H-PYRAZOLO[3',4':3,4]BENZO[1,2-D]THIAZOL-7-YL)-ACETAMID EXAMPLE 1 N- (1-P-TOLYL-4,5-DIHYDRO-1H-PYRAZOLO [3 ', 4': 3,4] BENZO [1,2-D] THIAZOL-7-YL) ACETAMIDE
0.5 g (2 mmol) Zwischenverbindung 2 werden in 7.5 ml Eisessig vorgelegt, mit 0.32 g (2 mmol) p-Tolylhydrazin-Hydrochlorid versetzt und 3.5 Stunden auf 60 °C erwärmt. Der nach der Zugabe von 20 ml Wasser ausgefallene Niederschlag wird abgesaugt und aus Acetonitril unter Zusatz von Aktivkohle umkristallisiert. Ausbeute: 0.32 g (Smp.: 240–242 °C)0.5 g (2 mmol) of intermediate 2 are presented in 7.5 ml of glacial acetic acid, with 0.32 g (2 mmol) of p-tolylhydrazine hydrochloride and 3.5 Hours at 60 ° C heated. The precipitated after the addition of 20 ml of water precipitate is filtered off and recrystallized from acetonitrile with addition of activated carbon. Yield: 0.32 g (mp .: 240-242 ° C)
BEISPIEL 2: N-[1-(5-FLUOR-2-METHYL-PHENYL)-4,5-DIHYDRO-1H-PYRAZOLO[3',4':3,4]BENZO[1,2-D]THIAZOL-7-YL]-ACETAMID Example 2: N- [1- (5-fluoro-2-methyl-phenyl) -4,5-dihydro-1H-pyrazolo [3 ', 4': 3,4] benzo [1,2-D] thiazole 7-yl] -acetamide
8.8 mg (0.05 mmol) 5-Fluoro-2-methyl-phenylhydrazin-Hydrochlorid werden in 2.5 ml Ethanol vorgelegt und mit 13.3 mg (0.05 mmol) Zwischenverbindung 3, gelöst in 2.5 ml Ethanol versetzt. Die Reaktionsmischung wird über Nacht auf 50 °C erwärmt, eingeengt und der Rückstand durch RP-HPLC gereinigt. Ausbeute: 13.3 mg8.8 mg (0.05 mmol) of 5-fluoro-2-methyl-phenylhydrazine hydrochloride are introduced into 2.5 ml of ethanol and treated with 13.3 mg (0.05 mmol) of intermediate 3, dissolved in 2.5 ml of ethanol. The reaction mixture is heated to 50 ° C overnight, concentrated and the residue purified by RP-HPLC. Yield: 13.3 mg
BEISPIEL 3: 7-ACETYLAMINO-4,5-DIHYDRO-PYRAZOLO[3',4':3,4]BENZO[1,2-D]THIAZOL-1-CARBONSÄUREAMID EXAMPLE 3: 7-ACETYLAMINO-4,5-DIHYDRO-PYRAZOLO [3 ', 4': 3,4] BENZO [1,2-D] THIAZOLE-1-CARBOXYLIC AMID
14 g (59 mmol) Zwischenverbindung 2 und 6.7 g (60 mmol) Semicarbazid werden in 130 ml Wasser suspendiert und 1 Stunde unter Rückfluss erhitzt. Der Feststoff wird abgesaugt und chromatographisch gereinigt. Ausbeute: 5.6 g (Schmp.: 265–270 °C)14 g (59 mmol) Intermediate 2 and 6.7 g (60 mmol) semicarbazide are suspended in 130 ml of water and refluxed for 1 hour heated. The solid is filtered off with suction and purified by chromatography. Yield: 5.6 g (mp .: 265-270 ° C)
BEISPIEL 4: 1-(4-NITRO-PHENYL)-4,5-DIHYDRO-1H-PYRAZOLO[3',4':3,4]BENZO[1,2-D]THIAZOL-7-YLAMIN EXAMPLE 4: 1- (4-NITRO-PHENYL) -4,5-DIHYDRO-1H-PYRAZOLO [3 ', 4': 3,4] BENZO [1,2-D] THIAZOL-7-YLAMINE
Analog zu Beispiel 1 werden aus 15 g (63 mmol) Zwischenverbindung 2 und 9.8 g (64 mmol) 4-Nitrophenylhydrazin 14 g Produkt erhalten (Schmp.: 300–310 °C).Analogous to Example 1 are from 15 g (63 mmol) of intermediate 2 and 9.8 g (64 mmol) of 4-nitrophenylhydrazine 14 g of product (mp. 300-310 ° C).
7 g (20 mmol) dieser Zwischenstufe werden wie für Zwischenstufe 20 beschrieben mit 90 ml halbkonzentrierter Salzsäure verseift. Man erhält 5.2 g Produkt (Schmp.: 273–278 °C).7 g (20 mmol) of this intermediate are described as for Intermediate 20 saponified with 90 ml of half-concentrated hydrochloric acid. 5.2 g are obtained Product (mp .: 273-278 ° C).
BEISPIEL 5: N-(1-PHENYL-4,5-DIHYDRO-1H-PYRAZOLO[3',4':3,4]BENZO[1,2-D]THIAZOL-7-YL)-FORMAMID EXAMPLE 5: N- (1-PHENYL-4,5-DIHYDRO-1H-PYRAZOLO [3 ', 4': 3,4] BENZO [1,2-D] THIAZOL-7-YL) -FORMAMID
Eine Mischung aus 0.25 g (0.9 mmol) Zwischenverbindung 20 in 8 ml Ameisensäurephenylester wird 4 Stunden bei 60 °C gerührt. Nach Abkühlen auf Raumtemperatur wird der Niederschlag abgesaugt und mit wenig Aceton gewaschen. Das Rohprodukt wird aus Acetonitril unter Zusatz von Aktivkohle umkristallisiert. Ausbeute: 0.11 g (Smp.: 273–277 °C)A Mixture of 0.25 g (0.9 mmol) of intermediate 20 in 8 ml of formic acid phenyl ester is 4 hours at 60 ° C touched. After cooling At room temperature, the precipitate is filtered off with suction and with little Washed acetone. The crude product is made from acetonitrile with addition recrystallized from charcoal. Yield: 0.11 g (mp. 273-277 ° C)
BEISPIEL 6: (1-PHENYL-4,5-DIHYDRO-1H-PYRAZOLO[3',4':3,4]BENZO(1,2-D]THIAZOL-7-YL)-CARBAMOYLSÄUREMETHYLESTER EXAMPLE 6: (1-PHENYL-4,5-DIHYDRO-1H-PYRAZOLO [3 ', 4': 3,4] BENZO (1,2-D] THIAZOL-7-YL) -CARBAMOYLIC ACID METHYL ETERER
0.50 g (1.9 mmol) Zwischenverbindung 20 werden in 10 ml Pyridin suspendiert und auf 50 °C erhitzt. 0.6 ml (7.6 mmol) Chlorameisensäureethylester werden langsam zugegeben und die Reaktionsmischung dann 48 Stunden bei 50 °C gerührt. Im Verlauf dieser Zeit werden noch 2× je 0.6 ml des Chlorameisensäureethylesters zugegeben. Es wird 72 Stunden bei Raumtemperatur weitergerührt. Die Suspension wird filtriert, das Filtrat mit 130 ml Wasser versetzt. Der ausgefallene Niederschlag wird abgesaugt, gewaschen und getrocknet. Das Rohprodukt wird aus Methanol umkristallisiert. Ausbeute: 0.15 g (Smp.: 283–287 °C)00:50 g (1.9 mmol) of intermediate 20 are suspended in 10 ml of pyridine and at 50 ° C heated. 0.6 ml (7.6 mmol) of ethyl chloroformate become slow added and the reaction mixture then stirred at 50 ° C for 48 hours. in the During this time, 2 × each 0.6 ml of ethyl chloroformate added. It is stirred for a further 72 hours at room temperature. The The suspension is filtered, the filtrate is mixed with 130 ml of water. The precipitate is filtered off with suction, washed and dried. The Crude product is recrystallized from methanol. Yield: 0.15 g (Mp .: 283-287 ° C)
BEISPIEL 7: 4-DIMETHYLAMINO-N-(1-PHENYL-4,5-DIHYDRO-1H-PYRAZOLO[3',4':3,4]BENZO[1,2-D)THIAZOL-7-YL)-BUTYRAMID EXAMPLE 7: 4-DIMETHYLAMINO-N- (1-PHENYL-4,5-DIHYDRO-1H-PYRAZOLO [3 ', 4': 3,4] BENZO [1,2-D] THIAZOL-7-YL) -BUTYRAMID
In einem verschließbaren Druckröhrchen werden 0.9 g (4.8 mmol) frisch hergestelltes 4-(Dimethylamino)-buttersäurechlorid-Hydrochlorid in 30 ml Tetrahydrofuran suspendiert und auf 50 °C erwärmt. Es werden 0.6 ml Triethylamin, danach portionsweise 0.5 g (1.9 mmol) Zwischenverbindung 20 zugegeben. Das Reaktionsgemisch wird 71 Stunden bei 70 °C gerührt. Nach Abkühlen auf Raumtemperatur wird der ausgefallene Niederschlag abgesaugt, gewaschen und in gesättigter Natriumhydrogencarbonatlösung und Chloroform aufgenommen. Die organische Phase wird mit Wasser gewaschen, getrocknet und zur Trockene eingedampft. Das Rohprodukt wird aus Acetonitril unter Zusatz von Aktivkohle umkristallisiert. Ausbeute: 0.2 g (Smp.: 165–166 °C)In a lockable pressure tubes 0.9 g (4.8 mmol) of freshly prepared 4- (dimethylamino) butyric acid chloride hydrochloride suspended in 30 ml of tetrahydrofuran and heated to 50 ° C. There are 0.6 ml of triethylamine, then, in portions, 0.5 g (1.9 mmol) of intermediate 20 was added. The reaction mixture is stirred at 70 ° C for 71 hours. After cooling to Room temperature, the precipitate is filtered off with suction, washed and in saturated sodium bicarbonate and chloroform. The organic phase is mixed with water washed, dried and evaporated to dryness. The crude product is recrystallized from acetonitrile with the addition of activated carbon. Yield: 0.2 g (mp. 165-166 ° C)
BEISPIEL 8: (1-PHENYL-4,5-DIHYDRO-1H-PYRAZOLO[3',4':3,4]BENZO[1,2-D]THIAZOL-7-YL)-THIOCARBAMOYLSÄURE-S-ETHYLESTER EXAMPLE 8: (1-PHENYL-4,5-DIHYDRO-1H-PYRAZOLO [3 ', 4': 3,4] BENZO [1,2-D] THIAZOL-7-YL) -THIOCARBAMOYLIC ACID S-ETHYL SAMPLE
2.7 g (9.9 mmol) Zwischenverbindung 20 werden in 70 ml Pyridin vorgelegt und auf 50 °C erhitzt. Zu dieser Suspension werden 1.6 ml (15 mmol) Ethylthiochlorfomiat gegeben. Die entstandene Lösung wird 2 Stunden bei 50 °C gerührt. Nach Abkühlen auf Raumtemperatur wird die Lösung in 700 ml Wasser gegeben, der ausgefallene Niederschlag abgesaugt, gewaschen und getrocknet. Ausbeute: 2.2 g2.7 g (9.9 mmol) of intermediate 20 are initially charged in 70 ml of pyridine and at 50 ° C heated. 1.6 ml (15 mmol) of ethyl thiochlorofomate are added to this suspension given. The resulting solution is 2 hours at 50 ° C touched. After cooling Room temperature becomes the solution in 700 ml of water, the precipitate sucked off, washed and dried. Yield: 2.2 g
BEISPIEL 9: (1-PHENYL-4,5-DIHYDRO-1H-PYRAZOLO(3',4':3,4]BENZO[1,2-D]THIAZOL-7-YL)-HARNSTOFF EXAMPLE 9: (1-PHENYL-4,5-DIHYDRO-1H-PYRAZOLO (3 ', 4': 3,4] BENZO [1,2-D] THIAZOL-7-YL) UREA
In einem verschließbarem Druckröhrchen werden zu einer Suspension aus 0.5 g (1.4 mmol) der in Beispiel 8 beschriebenen Verbindung in 9 ml Ethanol und 7 ml (14 mmol) 2 molare ethanolische Ammoniaklösung gegeben. Das Röhrchen wird verschlossen und das Reaktionsgemisch insgesamt 24 Stunden bei 80 °C gerührt. Nach 5 Stunden Reaktionszeit werden weitere 3 ml (6 mmol) der Ammoniaklösung zugegeben. Nach Abkühlen auf Raumtemperatur wird der ausgefallene Niederschlag abgesaugt, gewaschen und getrocknet. Das Rohprodukt wird aus Isopropanol unter Zusatz von Aktivkohle umkristallisiert. Ausbeute: 0.16 g (Smp.: 321–325 °C)In a lockable pressure tubes become a suspension of 0.5 g (1.4 mmol) of the example given in FIG 8 described compound in 9 ml of ethanol and 7 ml (14 mmol) 2 given molar ethanolic ammonia solution. The tube is closed and the reaction mixture a total of 24 hours at 80 ° C touched. After a reaction time of 5 hours, a further 3 ml (6 mmol) of the ammonia solution are added. After cooling at room temperature, the precipitate is sucked off, washed and dried. The crude product is from isopropanol under Addition of activated carbon recrystallized. Yield: 0.16 g (mp. 321-325 ° C)
BEISPIEL 10: 3-METHANESULFONYL-PHENYL)-(1-PHENYL-4,5-DIHYDRO-1H-PYRAZOLO[3',4':3,4]BENZO[1,2-D]THIAZOL-7-YL)-AMIN EXAMPLE 10: 3-METHANESULFONYL-PHENYL) - (1-PHENYL-4,5-DIHYDRO-1H-PYRAZOLO [3 ', 4': 3,4] BENZO [1,2-D] THIAZOL-7-YL) - AMIN
Eine Mischung aus 0.5 g (2 mmol) Zwischenverbindung 20, 0.5 g (2 mmol) 1-Brom-3-methansulfonylbenzol, 0.13 g (0.4 mmol) Tri-tert-butylphosphintetrafluoroborat, 0.2 g (0.2 mmol) Tris(dibenzylidenaceton)-dipalladium (0) und 0.2 g (2 mmol) Natriumcarbonat in 10 ml DMF wird 48 Stunden bei 90 °C gerührt. Die Reaktionsmischung wird mit Dichlormethan und Wasser versetzt und die wässrige Phase mit Dichlormethan extrahiert. Die vereinten organischen Phasen werden getrocknet, eingeengt und der verbliebene Rückstand säulenchromatographisch gereinigt. Ausbeute: 25 mgA Mixture of 0.5 g (2 mmol) intermediate 20, 0.5 g (2 mmol) 1-bromo-3-methansulfonylbenzol, 0.13 g (0.4 mmol) of tri-tert-butylphosphine tetrafluoroborate, 0.2 g (0.2 mmol) tris (dibenzylideneacetone) dipalladium (0) and 0.2 g (2 mmol) of sodium carbonate in 10 ml of DMF is stirred at 90 ° C. for 48 hours. The Reaction mixture is mixed with dichloromethane and water and the watery Phase extracted with dichloromethane. The combined organic phases are dried, concentrated and the remaining residue by column cleaned. Yield: 25 mg
BEISPIEL 11: 1-TERT-BUTYL-3-{4-[3-(1-PHENYL-4,5-DIHYDRO-1H-PYRAZOLO[3',4':3,4]BENZO[1,2-D]THIAZOL-7-YL)-UREIDO]-BUT-2-YNYL}-HARNSTOFF EXAMPLE 11: 1-TERT-BUTYL-3- {4- [3- (1-PHENYL-4,5-DIHYDRO-1H-PYRAZOLO [3 ', 4': 3,4] BENZO [1,2-D] thiazol-7-yl) -ureido] -but-2-ynyl} -urea
Eine Lösung von 0.4 g (1.5 mmol) Zwischenverbindung 20 in 0.5 ml Pyridin, 3 ml Dichlormethan und 0.5 ml THF wird mit 0.4 g (2 mmol) Chlorameisensäure-4-nitrophenylester versetzt und 2 Stunden bei Raumtemperatur gerührt. Anschließend wird die Reaktionsmischung mit 0.5 g (2.7 mmol) (4-Amino-but-2-ynyl)-carbamoylsäure tert-butylester und 1 ml Pyridin versetzt und weitere 24 Stunden gerührt. Nach Zugabe von Dichlormethan und Wasser wird die wässrige Phase mit Dichlormethan extrahiert. Die vereinten organischen Phasen werden eingeengt und der verbliebene Rückstand säulenchromatographisch gereinigt. Ausbeute: 0.2 g (Schmp.: 196 °C)A solution of 0.4 g (1.5 mmol) of intermediate 20 in 0.5 ml of pyridine, 3 ml of dichloromethane and 0.5 ml of THF is mixed with 0.4 g (2 mmol) of 4-nitrophenyl chloroformate added and stirred for 2 hours at room temperature. Subsequently, will the reaction mixture with 0.5 g (2.7 mmol) (4-amino-but-2-ynyl) -carbamoylic acid tert-butyl ester and 1 ml of pyridine and stirred for a further 24 hours. After addition of dichloromethane and water becomes the watery Phase extracted with dichloromethane. The combined organic phases are concentrated and the residue residue purified by column chromatography. Yield: 0.2 g (mp .: 196 ° C)
BEISPIEL 12: 1-(4-AMINO-BUT-2-YNYL)-3-(1-PHENYL-4,5-DIHYDRO-1H-PYRAZOLO[3',4':3,4]BENZO[1,2-D]THIAZOL-7-YL)-HARNSTOFF EXAMPLE 12: 1- (4-AMINO-BUT-2-YNYL) -3- (1-PHENYL-4,5-DIHYDRO-1H-PYRAZOLO [3 ', 4': 3,4] BENZO [1,2- d] thiazole-7-yl) -urea
0.1 g (0.2 mmol) der in Beispiel 11 erhaltenen Verbindung werden in 0.5 ml Trifluoressigsäure und 2 ml Dichlormethan suspendiert und über Nacht bei Raumtemperatur gerührt. Die Reaktionsmischung wird eingeengt, der Rückstand in Aceton aufgenommen und das Produkt durch Zugabe von etherischer Salzsäure gefällt. Ausbeute: 0.1 g (Schmp.: 232 °C)0.1 g (0.2 mmol) of the compound obtained in Example 11 are dissolved in 0.5 ml of trifluoroacetic acid and 2 ml of dichloromethane and overnight at room temperature touched. The reaction mixture is concentrated, the residue taken up in acetone and the product is precipitated by the addition of ethereal hydrochloric acid. Yield: 0.1 g (mp .: 232 ° C)
BEISPIEL 13: 2-[(1-ETHYL-PYRROLIDIN-2-YLMETHYL)-AMINO]-N-(1-PHENYL-4,5-DIHYDRO-1H-PYRAZOLO[3',4':3,4]BENZO[1,2-D]THIAZOL-7-YL)-ACETAMID EXAMPLE 13: 2 - [(1-ETHYL-PYRROLIDIN-2-YLMETHYL) -AMINO] -N- (1-PHENYL-4,5-DIHYDRO-1H-PYRAZOLO [3 ', 4': 3,4] BENZO [ 1,2-d] thiazole-7-yl) -acetamide
0.8 g (6.2 mmol) Bromessigsäure werden in 20 ml DMF gelöst, mit 4.9 g N-Cyclohexylcarbodiimid-N'-methyl-polystyrol HL (1.9 mmol/g) versetzt und 30 Minuten bei Raumtemperatur gerührt. Anschließend wird eine Lösung von 0.83 g (3.1 mmol) Zwischenverbindung 20 zugegeben und über Nacht gerührt. Das Polymer wird abgesaugt und mit DMF nachgewaschen. Das Filtrat wird eingeengt und der Rückstand in Essigsäureethylester/Diisopropylether verrieben. Ausbeute: 1 g0.8 g (6.2 mmol) bromoacetic acid are dissolved in 20 ml of DMF, with 4.9 g of N-cyclohexylcarbodiimide-N'-methyl-polystyrene HL (1.9 mmol / g) and stirred for 30 minutes at room temperature. Subsequently, will a solution of 0.83 g (3.1 mmol) of intermediate 20 was added and overnight touched. The polymer is filtered off with suction and washed with DMF. The filtrate is concentrated and the residue in ethyl acetate / diisopropyl ether rubbed. Yield: 1 g
6 mg (0.048 mmol) C-(1-Ethyl-pyrrolidin-2-yl)-methylamin werden in 0.4 ml DMF gelöst und mit 0.02 ml (0.12 mmol) Triethylamin, gelöst in 0.1 ml DMF versetzt. Anschließend werden 16 mg (0.04 mmol) einer Lösung der zuvor beschriebenen Bromid-Zwischenstufe in 0.5 ml DMF zugegeben. Die Reaktionsmischung wird über Nacht gerührt und dann eingeengt. Ausbeute: 4 mg.6 mg (0.048 mmol) of C- (1-ethyl-pyrrolidin-2-yl) -methylamine are dissolved in 0.4 ml of DMF dissolved and treated with 0.02 ml (0.12 mmol) of triethylamine, dissolved in 0.1 ml of DMF. Subsequently 16 mg (0.04 mmol) of a solution the bromide intermediate described above in 0.5 ml of DMF. The reaction mixture is over Night stirred and then concentrated. Yield: 4 mg.
BEISPIEL 14: 2-AMINO-N-(1-PHENYL-4,5-DIHYDRO-1H-PYRAZOLO[3',4':3,4]BENZO[1,2-D]THIAZOL-7-YL)-ACETAMID EXAMPLE 14: 2-AMINO-N- (1-PHENYL-4,5-DIHYDRO-1H-PYRAZOLO [3 ', 4': 3,4] BENZO [1,2-D] THIAZOL-7-YL) -ACETAMIDE
26 mg der im ersten Teil von Beispiel 13 erhaltenen Bromid-Zwischenstufe werden in 3 ml 33%ger wässriger Ammoniak-Lösung suspendiert und über Nacht bei Raumtemperatur gerührt. Die Reaktionsmischung wird mit Dichlormethan extrahiert und die vereinten organischen Phasen eingeengt. Der Rückstand wird durch RP-HPLC gereinigt. Ausbeute: 8 mg26 mg of the bromide intermediate obtained in the first part of Example 13 are in 3 ml of 33% aq Ammonia solution suspended and over Stirred at room temperature overnight. The reaction mixture is extracted with dichloromethane and the Concentrated concentrated organic phases. The residue is purified by RP-HPLC cleaned. Yield: 8 mg
BEISPIEL 15: 2-HYDROXY-N-(1-PHENYL-4,5-DIHYDRO-1H-PYRAZOLO[3',4':3,4]BENZO[1,2-D]THIAZOL-7-YL)-ACETAMID EXAMPLE 15: 2-HYDROXY-N- (1-PHENYL-4,5-DIHYDRO-1H-PYRAZOLO [3 ', 4': 3,4] BENZO [1,2-D] THIAZOL-7-YL) -ACETAMIDE
26 mg der im ersten Teil von Beispiel 13 erhaltenen Bromid-Zwischenstufe werden in 2 ml Wasser und 1 ml DMF suspendiert und 48 Stunden bei 100 °C gerührt. Die Reaktionsmischung wird durch RP-HPLC gereinigt. Ausbeute: 9 mg26 mg of the bromide intermediate obtained in the first part of Example 13 are suspended in 2 ml of water and 1 ml of DMF and 48 hours at 100 ° C stirred. The Reaction mixture is purified by RP-HPLC. Yield: 9 mg
BEISPIEL 16: N-{1-[4-(MORPHOLIN-4-CARBONYL)-PHENYL]-4,5-DIHYDRO-1H-PYRAZOLO[3',4':3,4]BENZO[1,2-D]THIAZOL-7-YL}-ACETAMID EXAMPLE 16: N- {1- [4- (MORPHOLIN-4-CARBONYL) -PHENYL] -4,5-DIHYDRO-1H-PYRAZOLO [3 ', 4': 3,4] BENZO [1,2-D] thiazol-7-yl} -acetamide
Eine Lösung von 3.5 mg (0.01 mmol) 4-(7-Acetylamino-4,5-dihydro-pyrazolo[3',4':3,4]benzo[1,2-d]thiazol-1-yl)-benzoesäure (hergestellt analog zu Beispiel 1) in 0.5 ml DMF wird mit 4 μL (0.03 mmol) Triethylamin und 4 mg (0.01 mmol) O-Pentafluorophenyl-1,1,3,3-tetramethyluroniumhexafluorophosphat (PFTU) versetzt und 15 Minuten gerührt. Zu diesem Gemisch wird eine Lösung von 1 mg (0.01 mmol) Morpholin in 0.5 ml DMF gegeben und 12 Stunden bei Raumtemperatur geschüttelt. Anschließend werden 3 mg Polyamin Harz HL (0.01 mmol, 200–400 mesh) zugegeben und weitere 8 Stunden geschüttelt. Das Harz wird abfiltriert und das Filtrat im Vakuum zur Trockene eingedampft.A solution of 3.5 mg (0.01 mmol) of 4- (7-acetylamino-4,5-dihydro-pyrazolo [3 ', 4': 3,4] benzo [1,2-d] thiazol-1-yl) benzoic acid (prepared analogously to Example 1) in 0.5 ml of DMF with 4 .mu.L (0.03 mmol) of triethylamine and 4 mg (0.01 mmol) of O-pentafluorophenyl-1,1,3,3-tetramethyluronium hexafluorophosphate (PFTU) and stirred for 15 minutes. To this mixture is a solution of 1 mg (0.01 mmol) of morpholine in 0.5 ml of DMF and 12 hours shaken at room temperature. Subsequently Add 3 mg of polyamine resin HL (0.01 mmol, 200-400 mesh) and more Shaken for 8 hours. The resin is filtered off and the filtrate in vacuo to dryness evaporated.
BEISPIEL 17: N-{1-[4-(4-AMINO-PIPERIDIN-1-CARBONYL)-PHENYL]-4,5-DIHYDRO-1H-PYRAZOLO[3',4':3,4]BENZO[1,2-D]THIAZOL-7-YL}-ACETAMID EXAMPLE 17: N- {1- [4- (4-AMINO-PIPERIDIN-1-CARBONYL) -PHENYL] -4,5-DIHYDRO-1H-PYRAZOLO [3 ', 4': 3,4] BENZO [1, 2-d] thiazole-7-yl} -acetamide
Eine Lösung aus 0.3 g (0.85 mmol)) 4-(7-Acetylamino-4,5-dihydro-pyrazolo[3',4':3,4]benzo[1,2-d]thiazol-1-yl)-benzoesäure (hergestellt analog zu Beispiel 1), 0.32 g (1.00 mmol) TBTU und 0.75 ml (4.38 mmol) Diisopropylethylamin in 25 ml Dichlormethan wird 15 Minuten bei Raumtemperatur gerührt und dann mit 0.17 g (0.86 mmol) 4-N-Boc-aminopiperidin versetzt. Nach 2.5 Stunden wird die Reaktionsmischung auf 25 ml 5%ige Kaliumcarbonat-Lösung gegossen. Die organische Phase wird getrocknet und eingeengt. Der Rückstand wird mit Essigsäureethylester/Ether verrieben. Ausbeute: 0.43 mg (Schmp.: 230 °C)A solution from 0.3 g (0.85 mmol) of 4- (7-acetylamino-4,5-dihydro-pyrazolo [3 ', 4': 3,4] benzo [1,2-d] thiazol-1-yl) -benzoic acid ( produced analogously to Example 1), 0.32 g (1.00 mmol) of TBTU and 0.75 ml (4.38 g) mmol) of diisopropylethylamine in 25 ml of dichloromethane is added 15 minutes stirred at room temperature and then 0.17 g (0.86 mmol) of 4-N-Boc-aminopiperidine. After 2.5 hours, the reaction mixture is poured onto 25 ml of 5% potassium carbonate solution. The organic phase is dried and concentrated. The residue is treated with ethyl acetate / ether rubbed. Yield: 0.43 mg (mp .: 230 ° C)
0.40 g (0.75 mmol) der zuvor beschriebenen Verbindung werden in 10 ml etherischer Salzsäure suspendiert und 72 Stunden bei Raumtemperatur gerührt. Der Feststoff wird abgesaugt und mit Ether gewaschen. Ausbeute: 0.35 mg (Schmp.: 269–270 °C)00:40 g (0.75 mmol) of the compound described above are dissolved in 10 ml ethereal hydrochloric acid suspended and stirred for 72 hours at room temperature. Of the The solid is filtered off with suction and washed with ether. Yield: 0.35 mg (mp .: 269-270 ° C)
BEISPIEL 18: N-{1-[4-(7-ACETYLAMINO-4,5-DIHYDRO-PYRAZOLO[3',4':3,4]BENZO[1,2-D]THIAZOL-1-YL)-BENZOYL]-PIPERIDIN-4-YL}-2-PHENYL-ACETAMID EXAMPLE 18: N- {1- [4- (7-ACETYLAMINO-4,5-DIHYDRO-PYRAZOLO [3 ', 4': 3,4] BENZO [1,2-D] THIAZOL-1-YL) -BENZOYL ] -piperidin-4-yl} -2-phenylacetamide
Eine Lösung aus 12 mg (0.09 mmol) Phenylessigsäure, 33 mg (0.09 mmol) TBTU und 80 μL (0.47 mmol) Diisopropylethylamin in 2 ml Dichlormethan wird 15 Minuten bei Raumtemperatur gerührt und dann mit 40 mg (0.09 mmol) der in Beispiel 17 beschriebenen Verbindung versetzt. Nach 2.5 Stunden wird die Reaktionsmischung auf 5%ige Kaliumcarbonat-Lösung gegossen. Die organische Phase wird getrocknet und eingeengt. Der Rückstand wird mit Essigsäureethylester verrieben. Ausbeute: 34 mg (Schmp.: 271–272 °C)A solution from 12 mg (0.09 mmol) phenylacetic acid, 33 mg (0.09 mmol) TBTU and 80 μL (0.47 mmol) of diisopropylethylamine in 2 ml of dichloromethane is added 15 minutes stirred at room temperature and then with 40 mg (0.09 mmol) of those described in Example 17 Compounded. After 2.5 hours, the reaction mixture to 5% potassium carbonate solution cast. The organic phase is dried and concentrated. Of the Residue is with ethyl acetate rubbed. Yield: 34 mg (mp: 271-272 ° C)
BEISPIEL 19: N-[1-(4-METHYLSULFAMOYL-PHENYL)-4,5-DIHYDRO-PYRAZOLO[3',4':3,4]BENZO[1,2-D]THIAZOL-7-YL]-ACETAMID EXAMPLE 19: N- [1- (4-METHYLSULFAMOYL-PHENYL) -4,5-DIHYDRO-PYRAZOLO [3 ', 4': 3,4] BENZO [1,2-D] THIAZOL-7-YL] -ACETAMIDE
3.0 g (7.7 mmol) 4-(7-Acetylamino-4,5-dihydro-pyrazolo[3',4':3,4]benzo[1,2-d]thiazol-1-yl)-benzolsulfonsäure (hergestellt analog zu Beispiel 1) werden in 180 ml Phosphoroxychlorid vorgelegt, unter Kühlung werden 1.6 g (7.7 mmol) Phosphorpentachlorid zugegeben. Die Suspension wird 3 Stunden bei 90 °C und 16 Stunden bei Raumtemperatur gerührt, anschließend auf 5 °C gekühlt. Innerhalb von 0.75 Stunden wird die Reaktionslösung auf Eis getropft, dann mit Chloroform extrahiert. Die organische Phase wird getrocknet und zur Trockene eingedampft. Ausbeute: 1.3 g3.0 g (7.7 mmol) of 4- (7-acetylamino-4,5-dihydro-pyrazolo [3 ', 4': 3,4] benzo [1,2-d] thiazol-1-yl) benzenesulfonic acid (prepared analogously to Example 1) are initially charged in 180 ml of phosphorus oxychloride, under cooling 1.6 g (7.7 mmol) of phosphorus pentachloride are added. The suspension is 3 hours at 90 ° C and stirred for 16 hours at room temperature, then on Cooled to 5 ° C. Within of 0.75 hours, the reaction solution is dropped on ice, then extracted with chloroform. The organic phase is dried and evaporated to dryness. Yield: 1.3 g
In einem Druckreaktionsgefäß werden 0.15 g (0.37 mmol) des zuvor beschriebenen Sulfonsäurechlorids und 2 ml (4.0 mmol) Methylamin (2 M in THF) vorgelegt, dann wird 1 Stunde bei Raumtemperatur gerührt. Die Lösung wird eingedampft, der Rückstand aus Ethanol kristallisiert. Das Rohprodukt wird aus Methanol umkristallisiert. Ausbeute: 0.02 g (Smp.: >260 °C)In a pressure reaction vessel 0.15 g (0.37 mmol) of the sulfonic acid chloride described above and 2 ml (4.0 mmol) of methylamine (2 M in THF), then Stirred for 1 hour at room temperature. The solution is evaporated, the residue crystallized from ethanol. The crude product is recrystallized from methanol. Yield: 0.02 g (mp .:> 260 ° C)
BEISPIEL 20: N-(1-CYCLOHEX-2-ENYL-4,5-DIHYDRO-1H-PYRAZOLO[3',4':3,4]BENZO[1,2-D]THIAZOL-7-YL)-ACETAMID BEISPIEL 21: N-(2-CYCLOHEX-2-ENYL-4,5-DIHYDRO-2H-PYRAZOLO[3',4':3,4]BENZO[1,2-D]THIAZOL-7-YL)-ACETAMID EXAMPLE 20: N- (1-CYCLOHEX-2-ENYL-4,5-DIHYDRO-1H-PYRAZOLO [3 ', 4': 3,4] BENZO [1,2-D] THIAZOL-7-YL) -ACETAMIDE EXAMPLE 21: N- (2-CYCLOHEX-2-ENYL-4,5-DIHYDRO-2H-PYRAZOLO [3 ', 4': 3,4] BENZO [1,2-D] THIAZOL-7-YL) -ACETAMIDE
4.0 g (16.8 mmol) Zwischenverbindung 2 werden in 50 ml Eisessig suspendiert und mit 1.6 g (16.8 mol) Hydrazin-acetat versetzt. Es werden 3.5 Stunden bei 60 °C gerührt und anschließend 150 ml Wasser zugegeben. Der entstandene Niederschlag wird abgesaugt, gewaschen und getrocknet. Ausbeute: 2.8 g (Smp.: 261–264 °C)4.0 g (16.8 mmol) of intermediate 2 are suspended in 50 ml of glacial acetic acid and with 1.6 g (16.8 mol) of hydrazine acetate. It will be 3.5 Hours at 60 ° C touched and subsequently 150 ml of water added. The resulting precipitate is sucked off, washed and dried. Yield: 2.8 g (mp. 261-264 ° C)
0.2 g (0.85 mmol) der zuvor beschriebenen Zwischenstufe werden in 2 ml Dimethylacetamid gelöst und mit 0.1 g (2.5 mmol) Natriumhydroxid (gemörsert) versetzt. Es wird 0.5 Stunden bei Raumtemperatur gerührt. Anschließend werden 12 mg (0.035 mmol) Tetrabutylammoniumhydrogensulfat und 0.09 ml (0.9 mmol) 3-Bromcyclohexen zugegeben. Es wird 3 Stunden bei 120 °C gerührt. Das Reaktionsgemisch wird eingedampft, der Rückstand mit Wasser und Dichlormethan extrahiert. Die vereinten organischen Phasen werden getrocknet und zur Trockene eingedampft. Das Rohprodukt wird chromatographisch gereinigt. Ausbeute: 0.020 g (Smp.: 247–249 °C, Beispiel 21); Ausbeute: 0.060 g (Smp.: 213–214 °C, Beispiel 20)0.2 g (0.85 mmol) of the intermediate described above are in 2 ml of dimethylacetamide dissolved and with 0.1 g (2.5 mmol) of sodium hydroxide (mortared). It will be 0.5 Stirred hours at room temperature. Subsequently 12 mg (0.035 mmol) of tetrabutylammonium hydrogen sulfate and 0.09 ml (0.9 mmol) of 3-bromocyclohexene added. It will be 3 hours Stirred at 120 ° C. The The reaction mixture is evaporated, the residue with water and dichloromethane extracted. The combined organic phases are dried and evaporated to dryness. The crude product is chromatographed cleaned. Yield: 0.020 g (mp .: 247-249 ° C, Example 21); Yield: 0.060 g (mp. 213-214 ° C, example 20)
BEISPIEL 22: N-(1-BENZOYL-4,5-DIHYDRO-1H-PYRAZOLO[3',4':3,4]BENZO[1,2-D]THIAZOL-7-YL)-ACETAMID BEISPIEIL 23: N-(2-BENZOYL-4,5-DIHYDRO-2N-PYRAZOLO[3',4':3,4]BENZO[1,2-D]THIAZOL-7-YL)-ACETAMID EXAMPLE 22: N- (1-BENZOYL-4,5-DIHYDRO-1H-PYRAZOLO [3 ', 4': 3,4] BENZO [1,2-D] THIAZOL-7-YL) ACETAMIDE EXAMPLE 23: N - (2-benzoyl-4,5-dihydro-2H-pyrazolo [3 ', 4': 3,4] benzo [1,2-d] thiazole-7-yl) -acetamide
0.2 g (0.85 mmol) der in Beispiel 20/21 beschriebenen Zwischenstufe werden in 2 ml Benzol suspendiert und mit 0.25 ml (1.80 mmol) Triethylamin und 0.18 ml (1.55 mmol) Benzoylchlorid versetzt. Das Reaktionsgemisch wird 2 Stunden bei 75 °C gerührt. Anschließend wird die Suspension abgesaugt, der Niederschlag mit Ethylacetat und Wasser gewaschen. Ausbeute: 0.12 g (Smp.: 266–267 °C, Beispiel 23) Die Mutterlauge wird eingedampft und der Rückstand chromatographisch gereinigt. Ausbeute: 7 mg (Beispiel 22)0.2 g (0.85 mmol) of the intermediate described in Example 20/21 are suspended in 2 ml of benzene and 0.25 ml (1.80 mmol) of triethylamine and 0.18 ml (1.55 mmol) of benzoyl chloride. The reaction mixture is 2 hours at 75 ° C touched. Subsequently the suspension is filtered off with suction, the precipitate with ethyl acetate and water washed. Yield: 0.12 g (mp. 266-267 ° C, example 23) The mother liquor is evaporated and the residue purified by chromatography. Yield: 7 mg (Example 22)
BEISPIEL 24: N-[1-(2-CHLORO-PHENYL)-3-FURAN-2-YL-4,5-DIHYDRO-1H-PYRAZOLO[3',4':3,4]BENZO[1,2-D]THIAZOL-7-YL]-ACETAMID BEISPIEL 25: N-[2-(2-CHLORO-PHENYL)-3-FURAN-2-YL-4,5-DIHYDRO-2H-PYRAZOLO[3',4':3,4]BENZO[1,2-D]THIAZOL-7-YL]-ACETAMID EXAMPLE 24: N- [1- (2-CHLORO-PHENYL) -3-FURAN-2-YL-4,5-DIHYDRO-1H-PYRAZOLO [3 ', 4': 3,4] BENZO [1,2- D] THIAZOL-7-YL] -ACETAMIDE EXAMPLE 25: N- [2- (2-CHLORO-PHENYL) -3-FURAN-2-YL-4,5-DIHYDRO-2H-PYRAZOLO [3 ', 4': 3,4] benzo [1,2-d] thiazole-7-yl] -acetamide
220 mg (0.7 mmol) Zwischenverbindung 4 werden in 3 ml Eisessig vorgelegt und mit 179 mg (0.7 mmol) 2-Chlor-phenylhydrazin-Hydrochlorid versetzt. Die Suspension wird über Nacht auf 50 °C erwärmt, dann mit 20 ml Wasser versetzt und der entstandene Niederschlag abgesaugt. Der Feststoff wird durch Säulenchromatographie (Laufmittel: Dichlormethan/Methanol 98:2) gereinigt. Ausbeute: 120 mg (gelber Feststoff, Smp.: 265–266 °C, Beispiel 24); 38 mg (Smp.: >300 °C, Beispiel 25)220 mg (0.7 mmol) intermediate 4 are presented in 3 ml of glacial acetic acid and 179 mg (0.7 mmol) of 2-chloro-phenylhydrazine hydrochloride was added. The suspension is over Night at 50 ° C warmed up, then mixed with 20 ml of water and the resulting precipitate is filtered off with suction. The solid is purified by column chromatography (Eluent: dichloromethane / methanol 98: 2). Yield: 120 mg (yellow solid, mp. 265-266 ° C, example 24); 38 mg (mp .:> 300 ° C, example 25)
BEISPIEL 26: 4-(7-ACETYLAMINO-3-FURAN-2-YL-4,5-DIHYDRO-PYRAZOLO[3',4':3,4]BENZO[1,2-D]THIAZOL-1-YL)-3-CHLORO-N-(1-METHYL-PIPERIDIN-4-YL)-BENZAMID EXAMPLE 26: 4- (7-ACETYLAMINO-3-FURAN-2-YL-4,5-DIHYDRO-PYRAZOLO [3 ', 4': 3,4] BENZO [1,2-D] THIAZOL-1-YL) -3-chloro-N- (1-methyl-piperidin-4-yl) -benzamide
Analog zu Beispiel 1 erhält man aus 3.3 g (11 mmol) Zwischenverbindung 4 und 2.1 g (11 mmol) 3-Chloro-4-hydrazino-benzoesäuremethylester ein Gemisch der beiden möglichen Pyrazol-Isomere, die säulenchromatographisch getrennt werden. Ausbeute: 0.6 g Isomer A; 0.7 g Isomer BAnalogous to Example 1 receives from 3.3 g (11 mmol) of intermediate 4 and 2.1 g (11 mmol) of methyl 3-chloro-4-hydrazino-benzoate a mixture of the two possible ones Pyrazole isomers by column chromatography be separated. Yield: 0.6 g isomer A; 0.7 g isomer B
0.7 g (1.5 mmol) des zuvor beschriebenen Isomers B werden in 8 ml Dioxan gelöst und mit einer Lösung von 0.1 g (4.4 mmol) Lithiumhydroxid in 1 ml Wasser versetzt. Nach 1.5 Stunden wird das Reaktionsgemisch mit 2 N Salzsäure sauer gestellt und der ausgefallene Feststoff wird abgesaugt. Das Produkt wird mit Ether verrührt. Ausbeute: 0.5 g0.7 g (1.5 mmol) of isomer B described above are dissolved in 8 ml of dioxane solved and with a solution of 0.1 g (4.4 mmol) of lithium hydroxide in 1 ml of water. To 1.5 hours, the reaction mixture is acidic with 2 N hydrochloric acid placed and the precipitated solid is sucked off. The product is stirred with ether. Yield: 0.5 g
40 mg (0.09 mmol) der zuvor beschriebenen Säure, 33 mg (0.09 mmol) HATU und 46 μL Diisopropylethylamin werden in 3 ml DMF gelöst und 10 Minuten gerührt. Anschließend wird mit einer Lösung von 10 mg (0.09 mmol) Methylaminopiperidin in 2 ml DMF versetzt und das Gemisch 2 Stunden gerührt. Die Reaktionsmischung wird mit 15 ml 5%iger Kaliumhydrogencarbonat-Lösung verdünnt und mit Dichlormethan extrahiert. Die vereinten organischen Phasen werden mit Wasser gewaschen, getrocknet und eingeengt. Das Rohprodukt wird säulenchromatographisch gereinigt. Ausbeute: 24 mg40 mg (0.09 mmol) of the previously described acid, 33 mg (0.09 mmol) HATU and 46 μL Diisopropylethylamine are dissolved in 3 ml of DMF and stirred for 10 minutes. Subsequently, will with a solution of 10 mg (0.09 mmol) of methylaminopiperidine in 2 ml of DMF and the mixture stirred for 2 hours. The reaction mixture is diluted with 15 ml of 5% potassium hydrogen carbonate solution and extracted with dichloromethane. The combined organic phases become washed with water, dried and concentrated. The crude product is by column cleaned. Yield: 24 mg
BEISPIEL 27: N-[1-(2-CHLORO-PHENYL)-3-FURAN-3-YL-4,5-DIHYDRO-1H-PYRAZOLO[3',4':3,4]BENZO[1,2-D]THIAZOL-7-YL]-ACETAMID BEISPIEL 28: N-[2-(2-CHLORO-PHENYL)-3-FURAN-3-YL-4,5-DIHYDRO-2H-PYRAZOLO[3',4':3,4]BENZO[1,2-D]THIAZOL-7-YL]-ACETAMID EXAMPLE 27: N- [1- (2-CHLORO-PHENYL) -3-FURAN-3-YL-4,5-DIHYDRO-1H-PYRAZOLO [3 ', 4': 3,4] BENZO [1,2- D] THIAZOL-7-YL] -ACETAMIDE EXAMPLE 28: N- [2- (2-CHLORO-PHENYL) -3-FURAN-3-YL-4,5-DIHYDRO-2H-PYRAZOLO [3 ', 4': 3,4] benzo [1,2-d] thiazole-7-yl] -acetamide
Analog zu Beispiel 1 werden aus 0.5 g (1.2 mmol) Zwischenverbindung 6 und 0.2 g (1.2 mmol) 2-Chlor-phenylhydrazin-Hydrochlorid nach säulenchromatographischer Reinigung 102 mg (Schmp. 265–266 °C, Beispiel 27); 12 mg (Smp.: >300 °C, Beispiel 28).Analogous to Example 1 are from 0.5 g (1.2 mmol) of intermediate 6 and 0.2 g (1.2 mmol) of 2-chloro-phenylhydrazine hydrochloride by column chromatography Purification 102 mg (mp 265-266 ° C, example 27); 12 mg (mp.> 300 ° C, example 28).
BEISPIEL 29: N-[1-(2-CHLORO-PHENYL)-3-ISOPROPYL-4,5-DIHYDRO-1H-PYRAZOLO[3',4':3,4]BENZO[1,2-D]THIAZOL-7-YL]-ACETAMID EXAMPLE 29: N- [1- (2-CHLORO-PHENYL) -3-ISOPROPYL-4,5-DIHYDRO-1H-PYRAZOLO [3 ', 4': 3,4] BENZO [1,2-D] THIAZOLE 7-yl] -acetamide
Analog zu Beispiel 1 werden aus 0.2 g (0.7 mmol) Zwischenverbindung 13 und 0.13 g (0.7 mmol) 2-Chlor-phenylhydrazin-Hydrochlorid 0.22 g Produkt erhalten.Analogous to Example 1 are from 0.2 g (0.7 mmol) of intermediate 13 and 0.13 g (0.7 mmol) of 2-chloro-phenylhydrazine hydrochloride 0.22 g Product received.
BEISPIEL 30: 4-(7-ACETYLAMINO-3-METHOXYMETHYL-4,5-DIHYDRO-PYRAZOLO[3',4':3,4]BENZO[1,2-D]THIAZOL-1-YL)-3-CHLORO-N-(1-METHYL-PIPERIDIN-4-YL)-BENZAMID EXAMPLE 30: 4- (7-ACETYLAMINO-3-METHOXYMETHYL-4,5-DIHYDRO-PYRAZOLO [3 ', 4': 3,4] BENZO [1,2-D] THIAZOL-1-YL) -3-CHLORO -N- (1-methylpiperidin-4-yl) -benzamide
Analog zu Beispiel 1 erhält man aus 0.9 g (3.2 mmol) Zwischenverbindung 13 und 0.7 g (3.2 mmol) 3-Chloro-4-hydrazino-benzoesäuremethylester 1.2 g Produkt, dessen Ester-Funktion mit 0.2 g (8.4 mmol) Lithiumhydroxid analog zu Beispiel 26 verseift wird. Anschließend werden 50 mg der erhaltenen Säure mit Methylaminopiperidin wie in Beispiel 26 beschrieben einer Amid-Kupplung unterzogen.Analogous to Example 1 receives from 0.9 g (3.2 mmol) of intermediate 13 and 0.7 g (3.2 mmol) of methyl 3-chloro-4-hydrazino-benzoate 1.2 g of product, its ester function hydrolyzed with 0.2 g (8.4 mmol) of lithium hydroxide analogously to Example 26 becomes. Subsequently be 50 mg of the resulting acid with methylaminopiperidine as described in Example 26 of an amide coupling subjected.
BEISPIEL 31: 7-ACETYLAMINO-1-(2-CHLORO-PHENYL)-4,5-DIHYDRO-1H-PYRAZOLO[3',4':3,4]BENZO[1,2-D]THIAZOL-3-CARBONSÄUREMETHYLESTER EXAMPLE 31: 7-ACETYLAMINO-1- (2-CHLORO-PHENYL) -4,5-DIHYDRO-1H-PYRAZOLO [3 ', 4': 3,4] BENZO [1,2-D] THIAZOLE-3-CARBOXYLIC ACID METHYL ESTER
Analog zu Beispiel 1 werden aus 1.0 g (3.4 mmol) Zwischenverbindung 7 und 0.6 g (3.4 mmol) 2-Chlor-phenylhydrazin-Hydrochlorid 0.8 g Produkt erhalten (Schmp. 294–297 °C).Analogous Example 1 are prepared from 1.0 g (3.4 mmol) of intermediate 7 and 0.6 g (3.4 mmol) of 2-chloro-phenylhydrazine hydrochloride 0.8 g of product obtained (mp 294-297 ° C).
BEISPIEL 32: 7-ACETYLAMINO-1-(2-CHLORO-PHENYL)-4,5-DIHYDRO-1H-PYRAZOLO[3',4':3,4]BENZO[1,2-D]THIAZOL-3-CARBONSÄURE EXAMPLE 32: 7-ACETYLAMINO-1- (2-CHLORO-PHENYL) -4,5-DIHYDRO-1H-PYRAZOLO [3 ', 4': 3,4] BENZO [1,2-D] THIAZOLE-3-CARBOXYLIC ACID
24 g (1 mol) der in Beispiel 31 beschriebenen Verbindung werden in 250 ml Dioxan vorgelegt und eine Lösung aus 4 g (10 mmol) Lithiumhydroxid in 35 ml Wasser zugegeben. Es wird 16 Stunden bei Raumtemperatur gerührt. Anschließend wird die Lösung leicht sauer gestellt und das Dioxan eingedampft. Die Suspension wird mit Wasser verdünnt, dann abgesaugt. Der Niederschlag wird getrocknet. Ausbeute: 23 g24 g (1 mol) of the compound described in Example 31 are dissolved in Submitted to 250 ml of dioxane and a solution of 4 g (10 mmol) of lithium hydroxide in 35 ml of water. It will be 16 hours at room temperature touched. Subsequently becomes the solution slightly acidified and the dioxane evaporated. The suspension will diluted with water, then sucked off. The precipitate is dried. Yield: 23 g
BEISPIEL 33: 7-ACETYLAMINO-1-PHENYL-4,5-DIHYDRO-1H-PYRAZOLO[3',4':3,4]BENZO[1,2-D]THIAZOLE-3-CARBONSÄURE EXAMPLE 33: 7-ACETYLAMINO-1-PHENYL-4,5-DIHYDRO-1H-PYRAZOLO [3 ', 4': 3,4] BENZO [1,2-D] THIAZOLE-3-CARBOXYLIC ACID
Analog zu Beispiel 1 werden aus 30 g (0.1 mol) Zwischenverbindung 7 und 10.3 ml (0.1 mol) Phenylhydrazin 27 g Produkt erhalten (Schmp.: 298–300 °C).Analogous to Example 1 are from 30 g (0.1 mol) of intermediate compound 7 and 10.3 ml (0.1 mol) of phenylhydrazine 27 g of product (mp. 298-300 ° C).
Von diesem werden 0.1 g (0.3 mmol) in 12 ml Methanol/Wasser (1:1) suspendiert und mit 0.4 ml 10%iger Kaliumhydroxid-Lösung versetzt. Nach 1.5 Stunden wird die Reaktionsmischung eingeengt und die Lösung mit verdünnter Salzsäure sauer gestellt. Der entstandene Niederschlag wird aus Acetonitril umkristallisiert. Ausbeute: 0.1 g (Schmp.: > 300 °C)From 0.1 g (0.3 mmol) of this is suspended in 12 ml of methanol / water (1: 1) and treated with 0.4 ml of 10% potassium hydroxide solution. After 1.5 hours the reaction mixture is concentrated and the solution with dilute hydrochloric acid acid posed. The resulting precipitate is recrystallized from acetonitrile. Yield: 0.1 g (mp .:> 300 ° C)
BEISPIEL 34: N-[3-AMINO-1-(2-CHLORPHENYL)-4,5-DIHYDRO-1H-PYRAZOL[3',4':3,4]BENZO[1,2-D]THIAZOL-7-YL]-ACETAMID EXAMPLE 34: N- [3-AMINO-1- (2-CHLOROPHENYL) -4,5-DIHYDRO-1H-PYRAZOLE [3 ', 4': 3,4] BENZO [1,2-D] THIAZOLE-7 YL] -acetamide
0.1 g (0.26 mmol) der in Beispiel 32 beschriebenen Verbindung, 0.06 ml (0.27 mmol) Phosphorsäure-diphenylester-azid (DPPA) und 0.04 ml (0.29 mmol) Triethylamin werden in 5 ml Dimethylacetamid vorgelegt und 2 Stunden bei 50 °C gerührt. Es werden 0.05 g (0.29 mmol) p-Toluolsulfonsäure und 0.10 ml Wasser zugesetzt und 16 Stunden bei 50 °C gerührt. Anschließend wird das Reaktionsgemisch chromatographisch gereinigt, entsprechende Fraktionen vereinigt und eingedampft. Der Rückstand wird aus Ethylacetat/Petrolether kristallisiert. Ausbeute: 0.02 g0.1 g (0.26 mmol) of the compound described in Example 32, 0.06 ml (0.27 mmol) phosphoric acid diphenyl ester azide (DPPA) and 0.04 ml (0.29 mmol) of triethylamine are dissolved in 5 ml of dimethylacetamide submitted and 2 hours at 50 ° C. touched. There are added 0.05 g (0.29 mmol) of p-toluenesulfonic acid and 0.10 ml of water and 16 hours at 50 ° C touched. Subsequently the reaction mixture is purified by chromatography, appropriate Fractions combined and evaporated. The residue is crystallized from ethyl acetate / petroleum ether. Yield: 0.02 g
BEISPIEL 35: N-(3-AMINO-1-PHENYL-4,5-DIHYDRO-1H-PYRAZOLO[3',4':3,4]BENZO[1,2-D]THIAZOL-7-YL)-ACETAMID EXAMPLE 35: N- (3-AMINO-1-PHENYL-4,5-DIHYDRO-1H-PYRAZOLO [3 ', 4': 3,4] BENZO [1,2-D] THIAZOL-7-YL) -ACETAMIDE
Analog zu Beispiel 34 wird aus 1.5 g der in Beispiel 33 beschriebenen Säure, 1 ml (4.6 mmol) DPPA und 0.6 ml (4.4 mmol) Triethylamin in 20 ml Dimethylacetamid und anschließender Umsetzung mit 2 g p-Toluolsulfonsäure und 10 ml Wasser 0.5 g Produkt erhalten.Analogous Example 34 is prepared from 1.5 g of the acid described in Example 33, 1 ml (4.6 mmol) DPPA and 0.6 ml (4.4 mmol) triethylamine in 20 ml dimethylacetamide and subsequently Reaction with 2 g of p-toluenesulfonic acid and 10 ml of water 0.5 g Product received.
BEISPIEL 36: N-[1-(2-CHLORPHENYL)-3-(3-ISOPROPYL-UREIDO)-4,5-DIHYDRO-1H-PYRAZOL[3',4':3,4]BENZO[1,2-D]THIAZOL-7-YL]-ACETAMID EXAMPLE 36: N- [1- (2-CHLOROPHENYL) -3- (3-ISOPROPYL-UREIDO) -4,5-DIHYDRO-1H-PYRAZOLE [3 ', 4': 3,4] BENZO [1,2- d] thiazole-7-yl] -acetamide
1.0 g (3.1 mmol) der in Beispiel 35 beschriebenen Verbindung und 1.0 ml (12.1 mmol) Pyridin werden in 10 ml Dichlormethan und 2 ml Tetrahydrofuran suspendiert und mit einer Lösung aus 0.8 g (4.0 mmol) Chlorameisensäure-4-nitrophenylester in 5 ml Dichlormethan versetzt. Es wird 0.5 Stunden bei Raumtemperatur gerührt. 1.8 ml dieser Lösung wird mit 0.05 ml (0.53 mmol) Isopropylamin versetzt. Es wird 16 Stunden bei Raumtemperatur gerührt, anschließend mit Dichlormethan und Wasser extrahiert. Die organische Phase wird getrocknet und zur Trockene eingedampft. Der Rückstand wird chromatographisch gereinigt, entsprechende Fraktionen vereinigt und eingedampft. Der Rückstand wird in Wasser gelöst, mit Natriumhydrogencarbonatlösung basisch gestellt und ausgefallene Kristalle abgesaugt. Ausbeute: 0.010 g1.0 g (3.1 mmol) of the compound described in Example 35 and 1.0 ml (12.1 mmol) of pyridine are dissolved in 10 ml of dichloromethane and 2 ml of tetrahydrofuran suspended and with a solution from 0.8 g (4.0 mmol) of 4-nitrophenyl chloroformate in 5 ml of dichloromethane. It is stirred for 0.5 hours at room temperature. 1.8 ml of this solution is added with 0.05 ml (0.53 mmol) of isopropylamine. It will be 16 Stirred hours at room temperature, subsequently extracted with dichloromethane and water. The organic phase is dried and evaporated to dryness. The residue is chromatographed cleaned, corresponding fractions combined and evaporated. Of the Residue is dissolved in water, with sodium bicarbonate solution basified and sucked out precipitated crystals. Yield: 0.010 g
BEISPIEL 37: N-[1-(2-CHLORO-PHENYL)-3-(3-METHYL-UREIDO)-4,5-DIHYDRO-1H-PYRAZOLO[3',4':3,4]BENZO[1,2-D]THIAZOL-7-YL]-ACETAMID EXAMPLE 37: N- [1- (2-CHLORO-PHENYL) -3- (3-METHYL-UREIDO) -4,5-DIHYDRO-1H-PYRAZOLO [3 ', 4': 3,4] BENZO [1, 2-d] thiazole-7-yl] -acetamide
Analog zu Beispiel 36 wurde durch Verwendung von Methylamin das gewünschte Produkt erhalten.Analogous Example 36 became the desired product by using methylamine receive.
BEISPIEL 38: [7-ACETYLAMINO-1-(2-CHLORPHENYL)-4,5-DIHYDRO-1H-PYRAZOL[3',4':3,4]BENZO[1,2-D]THIAZOL-73-YL]-CARBAMINSÄURE ISOPROPYLESTER EXAMPLE 38: [7-ACETYLAMINO-1- (2-CHLOROPHENYL) -4,5-DIHYDRO-1H-PYRAZOLE [3 ', 4': 3,4] BENZO [1,2-D] THIAZOL-73-YL] CARBAMIC ACID ISOPROPYLESTER
10 g (25 mmol) der in Beispiel 32 beschriebenen Verbindung, 6.0 ml (27 mmol) Phosphorsäure-diphenylester-azid (DPPA) und 4.0 ml (29 mmol) Triethylamin werden in 80 ml Dimethylacetamid vorgelegt und 2 Stunden bei 50 °C gerührt. 9 ml dieser Lösung werden mit 2 ml Isopropanol versetzt und 48 Stunden bei 50 °C gerührt. Anschließend wird mit Dichlormethan verdünnt, dann mit Kaliumhydrogensulfatlösung und Natriumhydrogencarbonatlösung gewaschen. Die organische Phase wird getrocknet und zur Trockene eingedampft. Der Rückstand wird in Dichlormethan gelöst und mit 0.3 g Anhydrid-Abfangharz (MP Anhydride Resin) 3 Stunden geschüttelt. Danach wird das Harz abgesaugt, mit Dichlormethan gewaschen und die organische Phase eingedampft. Der Rückstand wird chromatographisch gereinigt, entsprechende Fraktionen vereinigt und eingedampft. Ausbeute: 0.09 (Smp.: 196 °C)10 g (25 mmol) of the compound described in Example 32, 6.0 ml (27 mmol) phosphoric acid diphenyl ester azide (DPPA) and 4.0 ml (29 mmol) of triethylamine are dissolved in 80 ml of dimethylacetamide submitted and 2 hours at 50 ° C. touched. 9 ml of this solution are mixed with 2 ml of isopropanol and stirred at 50 ° C for 48 hours. Subsequently, will diluted with dichloromethane, then with potassium bisulfate solution and sodium bicarbonate solution washed. The organic phase is dried and dried evaporated. The residue is dissolved in dichloromethane and with 0.3 g of anhydride scavenging resin (MP Anhydride Resin) 3 hours shaken. Thereafter, the resin is filtered off with suction, washed with dichloromethane and the organic phase evaporated. The residue is chromatographed cleaned, corresponding fractions combined and evaporated. Yield: 0.09 (mp .: 196 ° C)
BEISPIEL 39: N-[1-(2-CHLORO-PHENYL)-3-(MORPHOLIN-4-CARBONYL)-4,5-DIHYDRO-1H-PYRAZOLO[3',4':3,4]BENZO[1,2-D]THIAZOL-7-YL]-ACETAMID EXAMPLE 39: N- [1- (2-CHLORO-PHENYL) -3- (MORPHOLIN-4-CARBONYL) -4,5-DIHYDRO-1H-PYRAZOLO [3 ', 4': 3,4] BENZO [1, 2-d] thiazole-7-yl] -acetamide
0.1 g (0.26 mmol) der in Beispiel 32 beschriebenen Verbindung werden in 5 ml Dichlormethan vorgelegt und 0.1 g (0.28 mmol) HATU (o-7-Azabenzotriazol-1-yl)-N,N,N',N'-tetramethyluronium-hexafluorophosphat) zugegeben. Anschließend wird mit 0.09 ml (0.53 mmol) Diisopropylethylamin und 0.03 ml (0.28 mmol) Morpholin versetzt. Das Reaktionsgemisch wird 4 Stunden bei Raumtemperatur gerührt, anschließend mit Dichlormethan und Wasser extrahiert. Die organische Phase wird getrocknet und zur Trockene eingedampft. Der Rückstand wird chromatographisch gereinigt. Entsprechende Fraktionen werden vereinigt, eingedampft, in Wasser gelöst und mit Natriumhydrogencarbonatlösung basisch gestellt. Der ausgefallene Feststoff wird abgesaugt und getrocknet. Ausbeute: 0.02 g0.1 g (0.26 mmol) of the compound described in Example 32 in 5 ml of dichloromethane and 0.1 g (0.28 mmol) of HATU (o-7-azabenzotriazol-1-yl) -N, N, N ', N'-tetramethyluronium hexafluorophosphate) added. Subsequently is treated with 0.09 ml (0.53 mmol) of diisopropylethylamine and 0.03 ml (0.28 mmol) morpholine. The reaction mixture is allowed to stand for 4 hours Room temperature stirred, subsequently extracted with dichloromethane and water. The organic phase becomes dried and evaporated to dryness. The residue is chromatographed cleaned. Appropriate fractions are combined, evaporated, dissolved in water and with sodium bicarbonate solution basic. The precipitated solid is filtered off with suction and dried. Yield: 0.02 g
BEISPIEL 40: 7-ACETYLAMINO-1-PHENYL-4,5-DIHYDRO-1H-PYRAZOLO[3',4':3,4]BENZO[1,2-D]THIAZOL-3-CARBONSÄURE(2-HYDROXY-ETHYL)-METHYLAMID EXAMPLE 40: 7-ACETYLAMINO-1-PHENYL-4,5-DIHYDRO-1H-PYRAZOLO [3 ', 4': 3,4] BENZO [1,2-D] THIAZOLE-3-CARBOXYLIC ACID (2-HYDROXY-ETHYL ) -methyl
0.09 g (0.25 mmol) der in Beispiel 33 beschriebenen Verbindung werden in 5 ml Dimethylformamid vorgelegt, 0.1 ml (0.75 mmol) Triethylamin und 0.1 g (0.25 mmol) Dimethylamino-pentafluorphenyloxymethylen)-dimethyl-ammonium-hexafluorophosphat zugegeben. Es wird 0.1 Stunden bei Raumtemperatur gerührt, dann 0.02 g (0.25 mmol) 2-Methylamino-ethanol zugegeben. Das Reaktionsgemisch wird 16 Stunden bei Raumtemperatur und 24 Stunden bei 70° C gerührt. Anschließend wird eingedampft, der Rückstand chromatographisch gereinigt. Entsprechende Fraktionen werden vereinigt und gefriergetrocknet. Ausbeute: 0.04 g00:09 g (0.25 mmol) of the compound described in Example 33 presented in 5 ml of dimethylformamide, 0.1 ml (0.75 mmol) of triethylamine and 0.1 g (0.25 mmol) of dimethylamino-pentafluorophenyloxymethylene) -dimethylammonium hexafluorophosphate added. It is stirred for 0.1 hours at room temperature, then 0.02 g (0.25 mmol) 2-methylaminoethanol added. The reaction mixture is allowed to stand at room temperature for 16 hours and 24 hours at 70 ° C touched. Subsequently is evaporated, the residue purified by chromatography. Appropriate fractions are combined and freeze-dried. Yield: 0.04 g
BEISPIEL 41: 7-ACETYLAMINO-4,5-DIHYDRO-1H-PYRAZOLO[3',4':3,4]BENZO[1,2-D]THIAZOLE-3-CARBONSÄUREETHYLESTER EXAMPLE 41: 7-ACETYLAMINO-4,5-DIHYDRO-1H-PYRAZOLO [3 ', 4': 3,4] BENZO [1,2-D] THIAZOLE-3-CARBOXYLIC ACID ETHYL ESTER
Analog zu Beispiel 1 werden aus 10 g (32 mmol) Zwischenverbindung 8 und 1.7 g (33 mmol) Hydrazin-Hydrat 6.4 g Produkt erhalten.Analogous to Example 1 are prepared from 10 g (32 mmol) of intermediate 8 and 1.7 g (33 mmol) of hydrazine hydrate 6.4 g of product.
BEISPIEL 42: N-[1-(2-CHLORO-PHENYL)-3-(1-METHYL-1H-IMIDAZOL-4-YL)-4,5-DIHYDRO-1H-PYRAZOLO[3',4':3,4]BENZO[1,2-D]THIAZOL-7-YL]-ACETAMID BEISPIEL 43: N-[2-(2-CHLORO-PHENYL)-3-(1-METHYL-1H-IMIDAZOL-4-YL)-4,5-DIHYDRO-2H-PYRAZOLO[3',4':3,4]BENZO[1,2-D]THIAZOL-7-YL)-ACETAMID EXAMPLE 42: N- [1- (2-CHLORO-PHENYL) -3- (1-METHYL-1H-IMIDAZOLE-4-YL) -4,5-DIHYDRO-1H-PYRAZOLO [3 ', 4': 3, 4] BENZO [1,2-D] THIAZOL-7-YL] -ACETAMIDE EXAMPLE 43: N- [2- (2-CHLORO-PHENYL) -3- (1-METHYL-1H-IMIDAZOLE-4-YL) - 4,5-dihydro-2H-pyrazolo [3 ', 4': 3,4] benzo [1,2-d] thiazole-7-yl) -acetamide
Analog zu Beispiel 1 werden aus 0.25 g (0.8 mmol) Zwischenverbindung 11 und 0.14 g (0.8 mmol) 2-Chlor-phenylhydrazin-Hydrochlorid nach säulenchromatographischer Reinigung 100 mg (Schmp. >300 °C, Beispiel 42) und 4 mg (Beispiel 43) erhalten.Analogous to Example 1 are from 0.25 g (0.8 mmol) of intermediate 11 and 0.14 g (0.8 mmol) of 2-chloro-phenylhydrazine hydrochloride by column chromatography Purification 100 mg (mp> 300 ° C, example 42) and 4 mg (Example 43).
BEISPIEL 44: N-[1-(2-CHLORO-PHENYL)-3-ISOPROPYL-4,5-DIHYDRO-1H-PYRAZOLO[3',4':3,4]BENZO[1,2-D]THIAZOL-7-YL]-ACETAMID EXAMPLE 44: N- [1- (2-CHLORO-PHENYL) -3-ISOPROPYL-4,5-DIHYDRO-1H-PYRAZOLO [3 ', 4': 3,4] BENZO [1,2-D] THIAZOLE 7-yl] -acetamide
Analog zu Beispiel 1 werden aus 0.25 g (0.9 mmol) Zwischenverbindung 12 und 0.16 g (0.9 mmol) 2-Chlor-phenylhydrazin-Hydrochlorid nach säulenchromatographischer Reinigung 0.2 g Produkt erhalten.Analogous to Example 1 are from 0.25 g (0.9 mmol) of intermediate 12 and 0.16 g (0.9 mmol) of 2-chloro-phenylhydrazine hydrochloride by column chromatography Cleaning 0.2 g product obtained.
BEISPIEL 45: 4-(7-ACETYLAMINO-3-ISOPROPYL-4,5-DIHYDRO-PYRAZOLO[3',4':3,4]BENZO[1,2-D]THIAZOL-1-YL)-3-CHLORO-N-(1-METHYL-PIPERIDIN-4-YL)-BENZAMID EXAMPLE 45: 4- (7-ACETYLAMINO-3-ISOPROPYL-4,5-DIHYDRO-PYRAZOLO [3 ', 4': 3,4] BENZO [1,2-D] THIAZOL-1-YL) -3-CHLORO -N- (1-methylpiperidin-4-yl) -benzamide
Analog zu Beispiel 1 erhält man aus 3.25 g (10.7 mmol) Zwischenverbindung 12 und 2.14 g (10.7 mmol) 3-Chloro-4-hydrazinbenzoesäuremethylester 0.68 g Produkt, dessen Ester-Funktion mit 0.1 g Lithiumhydroxid analog zu Beispiel 26 verseift wird. Anschließend werden 40 mg der erhaltenen Säure mit Methylaminopiperidin wie in Beispiel 26 beschrieben einer Amid-Kupplung unterzogen.Analogous to Example 1 receives from 3.25 g (10.7 mmol) of intermediate 12 and 2.14 g (10.7 mmol) 3-chloro-4-hydrazinbenzoesäuremethylester 0.68 g of product, its ester function with 0.1 g of lithium hydroxide is saponified analogously to Example 26. Subsequently, 40 mg of the obtained Acid with Methylaminopiperidine as described in Example 26 of an amide coupling subjected.
BEISPIEL 46: N-[1-(2-CHLORO-PHENYL)-3-METHYL-4,5-DIHYDRO-1H-PYRAZOLO[3',4':3,4]BENZO[1,2-D]THIAZOL-7-YL]-ACETAMID EXAMPLE 46: N- [1- (2-CHLORO-PHENYL) -3-METHYL-4,5-DIHYDRO-1H-PYRAZOLO [3 ', 4': 3,4] BENZO [1,2-D] THIAZOLE 7-yl] -acetamide
Analog zu Beispiel 1 werden aus 0.25 g (1.0 mmol) Zwischenverbindung 10 und 0.18 g (1.0 mmol) 2-Chlor-phenylhydrazin-Hydrochlorid 0.16 g Produkt erhalten.Analogous to Example 1, from 0.25 g (1.0 mmol) of intermediate 10 and 0.18 g (1.0 mmol) of 2-chloro-phenylhydrazine hydrochloride 0.16 g Product received.
BEISPIEL 47: N-[1-(2-CHLORO-PHENYL)-3-PYRIDIN-3-YL-4,5-DIHYDRO-1H-PYRAZOLO(3',4':3,4]BENZO[1,2-D]THIAZOL-7-YL]-ACETAMID EXAMPLE 47: N- [1- (2-CHLORO-PHENYL) -3-PYRIDIN-3-YL-4,5-DIHYDRO-1H-PYRAZOLO (3 ', 4': 3,4] BENZO [1,2- d] thiazole-7-yl] -acetamide
Analog zu Beispiel 1 werden aus 0.1 g (0.3 mmol) Zwischenverbindung 9 und 0.06 g (0.3 mmol) 2-Chlor-phenylhydrazin-Hydrochlorid nach säulenchromatographischer Reinigung 0.06 g Produkt erhalten.Analogous to Example 1 are from 0.1 g (0.3 mmol) of intermediate 9 and 0.06 g (0.3 mmol) of 2-chloro-phenylhydrazine hydrochloride by column chromatography Purification 0.06 g product obtained.
BEISPIEL 48: N-[1-(2-CHLORO-PHENYL)-3-PHENYL-4,5-DIHYDRO-1H-PYRAZOLO[3',4':3,4]BENZO[1,2-D]THIAZOL-7-YL]-ACETAMID EXAMPLE 48: N- [1- (2-CHLORO-PHENYL) -3-PHENYL-4,5-DIHYDRO-1H-PYRAZOLO [3 ', 4': 3,4] BENZO [1,2-D] THIAZOLE 7-yl] -acetamide
Analog zu Beispiel 1 werden aus 0.3 g (1.0 mmol) Zwischenverbindung 5 und 0.18 g (1.0 mmol) 2-Chlor-phenylhydrazin-Hydrochlorid 0.2 g Produkt erhalten (Schmp.: 232–234 °C).Analogously to Example 1, from 0.3 g (1.0 mmol) of intermediate compound 5 and 0.18 g (1.0 mmol) 2-Chloro-phenylhydrazine hydrochloride 0.2 g of product (mp: 232-234 ° C).
BEISPIEL 49: N-[1-(2-CHLORO-PHENYL)-3-PHENYL-4,5-DIHYDRO-1H-PYRAZOLO[3',4':3,4]BENZO[1,2-D]THIAZOL-7-YL]-4-DIMETHYLAMINO-BUTYRAMID EXAMPLE 49: N- [1- (2-CHLORO-PHENYL) -3-PHENYL-4,5-DIHYDRO-1H-PYRAZOLO [3 ', 4': 3,4] BENZO [1,2-D] THIAZOLE 7-YL] -4-dIMETHYLAMINO butyloamide
Eine Mischung von 0.5 g (1.2 mmol) der in Beispiel 48 erhaltenen Verbindung in 5 ml Wasser und 5 ml Salzsäure werden 2 Stunden unter Rückfluss gekocht. Der nach dem Abkühlen der Lösung ausgefallene Feststoff wird abgesaugt und getrocknet. Ausbeute: 0.4 g (Schmp.: 182–185 °C)A Mixture of 0.5 g (1.2 mmol) of the compound obtained in Example 48 in 5 ml of water and 5 ml of hydrochloric acid will reflux for 2 hours cooked. The after cooling the solution precipitated solid is filtered off with suction and dried. Yield: 0.4 g (mp .: 182-185 ° C)
0.1 g der zuvor beschriebenen Zwischenverbindung werden in 5 ml Dichlormethan suspendiert, mit 0.16 ml (1.2 mmol) Triethylamin versetzt und 15 Minuten bei Raumtemperatur gerührt, wobei eine Lösung entsteht. Diese wird auf 40 °C erwärmt und 0.17 g (0.3 mmol) 4-Dimethylamino-butansäurechlorid zugegeben. Die Reaktionsmischung wird 3 Stunden bei 40 °C gerührt und anschließend mit 5%iger Natriumcarbonat-Lösung und Wasser gewaschen. Die organische Phase wird getrocknet, eingeengt und der Rückstand aus Isopropanol umkristallisiert. Ausbeute: 11 mg (Schmp. 290–291 °C)0.1 g of the above-described intermediate are dissolved in 5 ml of dichloromethane suspended, treated with 0.16 ml (1.2 mmol) of triethylamine and 15 Stirred minutes at room temperature, being a solution arises. This gets to 40 ° C heated and 0.17 g (0.3 mmol) of 4-dimethylamino-butanoic acid chloride. The reaction mixture is 3 hours at 40 ° C touched and subsequently with 5% sodium carbonate solution and water washed. The organic phase is dried, concentrated and the residue recrystallized from isopropanol. Yield: 11 mg (mp 290-291 ° C)
BEISPIEL 50: N-[3-(1H-IMIDAZOL-4-YL)-1-(2-TRIFLUOROMETHYL-PHENYL)-4,5-DIHYDRO-1H-PYRAZOLO[3',4':3,4]BENZO[1,2-D]THIAZOL-7-YL]-ACETAMID EXAMPLE 50: N- [3- (1H-IMIDAZOLE-4-YL) -1- (2-TRIFLUOROMETHYL-PHENYL) -4,5-DIHYDRO-1H-PYRAZOLO [3 ', 4': 3,4] BENZO [ 1,2-d] thiazole-7-yl] -acetamide
Analog zu Beispiel 1 werden aus 1.36 g (3.1 mmol) Zwischenverbindung 17 und 0.55 g (3.1 mmol) 2-Trifluormethyl-phenylhydrazin 1.26 g Zwischenprodukt erhalten. Von diesem werden 75 mg (0.13 mmol) in 0.65 ml (0.65 mmol) Tetrabutylammoniumfluorid-Lösung (1 M in THF) suspendiert und 5.5 Stunden unter Rückfluss gekocht. Die Lösung wird mit 5 ml pH 7-Pufferlösung versetzt, mit 10 ml Wasser verdünnt und mit Ethylacetat extrahiert. Die organische Phase wir mit Pufferlösung gewaschen, getrocknet und zur Trockene eingedampft. Der Rückstand wird chromatographisch gereinigt, entsprechende Fraktion mit Diethylether ausgerührt. Ausbeute: 5 mg (Schmp.: >300 °C)Analogous to Example 1 are from 1.36 g (3.1 mmol) of intermediate 17 and 0.55 g (3.1 mmol) of 2-trifluoromethyl-phenylhydrazine 1.26 g of intermediate receive. Of this, 75 mg (0.13 mmol) in 0.65 ml (0.65 mmol) Tetrabutylammonium fluoride solution (1 M in THF) and boiled under reflux for 5.5 hours. The solution will be with 5 ml of pH 7 buffer solution diluted, diluted with 10 ml of water and extracted with ethyl acetate. The organic phase is washed with buffer solution, dried and evaporated to dryness. The residue is chromatographed cleaned, appropriate fraction with diethyl ether. Yield: 5 mg (mp .:> 300 ° C)
BEISPIEL 51: N-[1-(2-CHLORO-PHENYL)-3-(1H-IMIDAZOL-4-YL)-4,5-DIHYDRO-1H-PYRAZOLO[3',4':3,4]BENZO[1,2-D]THIAZOL-7-YL]-ACETAMID EXAMPLE 51 N- [1- (2-CHLORO-PHENYL) -3- (1H-IMIDAZOLE-4-YL) -4,5-DIHYDRO-1H-PYRAZOLO [3 ', 4': 3,4] BENZO [ 1,2-d] thiazole-7-yl] -acetamide
Analog zu Beispiel 1 werden aus 0.6 g (1.4 mmol) Zwischenverbindung 17 und 0.3 g (1.4 mmol) 2-Chlorphenylhydrazin-Hydrochlorid 0.5 g Zwischenprodukt erhalten. Dieses wird mit 1.7 ml (1.7 mmol) Tetrabutylammoniumfluorid-Lösung (1 M in THF) wir in Beispiel 50 beschrieben in das gewünschte Produkt überführt. Ausbeute: 35 mg (Schmp.: 287–288 °C)Analogous to Example 1 are from 0.6 g (1.4 mmol) of intermediate 17 and 0.3 g (1.4 mmol) of 2-chlorophenylhydrazine hydrochloride 0.5 g of intermediate receive. This is mixed with 1.7 ml (1.7 mmol) of tetrabutylammonium fluoride solution (1 M in THF), as described in Example 50, into the desired product. Yield: 35 mg (mp .: 287-288 ° C)
BEISPIEL 52: (R)-N-[1-(2-CHLORO-PHENYL)-3-(TETRAHYDRO-FURAN-2-YL)-4,5-DIHYDRO-1H-PYRAZOLO[3',4':3,4]BENZO[1,2-D]THIAZOL-7-YL]-ACETAMID EXAMPLE 52: (R) -N- [1- (2-CHLORO-PHENYL) -3- (TETRAHYDRO-FURAN-2-YL) -4,5-DIHYDRO-1H-PYRAZOLO [3 ', 4': 3, 4] benzo [1,2-d] thiazole-7-yl] -acetamide
Analog zu Beispiel 1 werden aus 0.25 g (0.8 mmol) Zwischenverbindung 14 und 0.15 g (0.8 mmol) 2-Chlor-phenylhydrazin-Hydrochlorid nach säulenchromatographischer Reinigung 0.23 g Produkt erhalten.Analogous to Example 1 are from 0.25 g (0.8 mmol) of intermediate 14 and 0.15 g (0.8 mmol) of 2-chloro-phenylhydrazine hydrochloride by column chromatography Purification 0.23 g product obtained.
BEISPIEL 53: (R)-4-[7-ACETYLAMINO-3-(TETRAHYDRO-FURAN-2-YL)-4,5-DIHYDRO-PYRAZOLO[3',4':3,4)BENZO[1,2-D]THIAZOL-1-YL]-3-CHLORO-N-PYRIDIN-4-YLMETHYL-BENZAMID EXAMPLE 53: (R) -4- [7-ACETYLAMINO-3- (TETRAHYDRO-FURAN-2-YL) -4,5-DIHYDRO-PYRAZOLO [3 ', 4': 3,4] BENZO [1,2- d] thiazole-1-yl] -3-chloro-N-pyridin-4-ylmethyl-benzamide
Analog zu Beispiel 1 erhält man aus 1.25 g (4.1 mmol) Zwischenverbindung 14 und 0.82 g (4.1 mmol) 3-Chloro-4-hydrazinbenzoesäuremethylester 1.16 g Produkt, dessen Ester-Funktion mit 0.2 g Lithiumhydroxid analog zu Beispiel 26 verseift wird. Anschließend werden 50 mg der erhaltenen Säure mit 4-Picolylamin wie in Beispiel 26 beschrieben einer Amid-Kupplung unterzogen.Analogous to Example 1 receives from 1.25 g (4.1 mmol) of intermediate 14 and 0.82 g (4.1 mmol) of methyl 3-chloro-4-hydrazinobenzoate 1.16 g of product, its ester function is saponified with 0.2 g of lithium hydroxide analogously to Example 26. Then be 50 mg of the resulting acid with 4-picolylamine as described in Example 26 of an amide coupling subjected.
BEISPIEL 54: (S)-N-[1-(2-CHLORO-PHENYL)-3-(TETRAHYDRO-FURAN-2-YL)-4,5-DIHYDRO-1H-PYRAZOLO[3',4':3,4]BENZO[1,2-D]THIAZOL-7-YL]-ACETAMID EXAMPLE 54: (S) -N- [1- (2-CHLORO-PHENYL) -3- (TETRAHYDRO-FURAN-2-YL) -4,5-DIHYDRO-1H-PYRAZOLO [3 ', 4': 3, 4] benzo [1,2-d] thiazole-7-yl] -acetamide
Analog zu Beispiel 1 werden aus 0.1 g (0.3 mmol) Zwischenverbindung 15 und 0.05 g (0.3 mmol) 2-Chlor-phenylhydrazin-Hydrochlorid nach säulenchromatographischer Reinigung 0.08 g Produkt erhalten.Analogous to Example 1 are from 0.1 g (0.3 mmol) of intermediate 15 and 0.05 g (0.3 mmol) of 2-chloro-phenylhydrazine hydrochloride by column chromatography Purification 0.08 g product obtained.
BEISPIEL 55: N-[1-(2-CHLORO-PHENYL)-3-TRIMETHYLSILANYLETHINYL-4,5-DIHYDRO-1H-PYRAZOLO[3',4':3,4]BENZO[1,2-D]THIAZOL-7-YL]-ACETAMID EXAMPLE 55: N- [1- (2-CHLORO-PHENYL) -3-TRIMETHYLSILANYLETHINYL-4,5-DIHYDRO-1H-PYRAZOLO [3 ', 4': 3,4] BENZO [1,2-D] THIAZOLE 7-yl] -acetamide
Analog zu Beispiel 1 werden aus 0.1 g (0.3 mmol) Zwischenverbindung 16 und 0.06 g (0.3 mmol) 2-Chlorphenylhydrazin-Hydrochlorid nach säulenchromatographischer Reinigung 0.02 g Produkt erhalten.Analogous to Example 1 are from 0.1 g (0.3 mmol) of intermediate compound 16 and 0.06 g (0.3 mmol) of 2-chlorophenylhydrazine hydrochloride by column chromatography Purification 0.02 g product obtained.
BEISPIEL 56: N-[3-ETHINYL-1-(2-TRIFLUOROMETHYL-PHENYL)-4,5-DIHYDRO-1H-PYRAZOLO[3',4':3,4]BENZO[1,2-D]THIAZOL-7-YL)-ACETAMID EXAMPLE 56: N- [3-ETHINYL-1- (2-TRIFLUOROMETHYL-PHENYL) -4,5-DIHYDRO-1H-PYRAZOLO [3 ', 4': 3,4] BENZO [1,2-D] THIAZOLE 7-yl) -acetamide
Analog zu Beispiel 1 werden aus 0.3 g (0.9 mmol) Zwischenverbindung 16 und 0.16 g (0.9 mmol) 2-(Trifluormethyl)phenylhydrazin nach säulenchromatographischer Reinigung 0.05 g Produkt erhalten. Von diesem werden 0.04 g in 5 ml THF vorgelegt und mit 0.1 ml (0.1 mmol) Tetrabutylammoniumfluorid-Lösung (1 M in THF) versetzt. Es wird 0.5 Stunden bei Raumtemperatur gerührt und dann Wasser zugegeben. Die wässrige Phase wird mit Ethylacetat extrahiert, die organische Phase mit Wasser und 1 N Salzsäure gewaschen. Die organische Phase wird getrocknet und zur Trockene eingedampft. Der Rückstand wird chromatographisch gereinigt. Ausbeute: 0,012 gAnalogous to Example 1 are from 0.3 g (0.9 mmol) of intermediate 16 and 0.16 g (0.9 mmol) of 2- (trifluoromethyl) phenylhydrazine after column chromatography Purification 0.05 g product obtained. This will be 0.04 g in 5 ml THF and with 0.1 ml (0.1 mmol) of tetrabutylammonium fluoride solution (1 M in THF). It is stirred for 0.5 hours at room temperature and then added water. The watery Phase is extracted with ethyl acetate, the organic phase with Water and 1 N hydrochloric acid washed. The organic phase is dried and dried evaporated. The residue is purified by chromatography. Yield: 0.012 g
BEISPIEL 57: N-(1-PHENYL-3-TRIFLUOROMETHYL-4,5-DIHYDRO-1H-PYRAZOLO[3',4':3,4]BENZO[1,2-D]THIAZOL-7-YL)-ACETAMID EXAMPLE 57: N- (1-PHENYL-3-TRIFLUOROMETHYL-4,5-DIHYDRO-1H-PYRAZOLO [3 ', 4': 3,4] BENZO [1,2-D] THIAZOL-7-YL) -ACETAMIDE
Analog zu Beispiel 1 werden aus 0.3 g (1.0 mmol) Zwischenverbindung 19 und 0.15 g (1.0 mmol) Phenylhydrazin-Hydrochlorid 0.04 g Produkt erhalten.Analogous to Example 1 are from 0.3 g (1.0 mmol) of intermediate 19 and 0.15 g (1.0 mmol) phenylhydrazine hydrochloride 0.04 g product receive.
BEISPIEL 58: N-[4-(4-CHLORO-PHENYL)-4,7-DIHYDRO-3-THIA-1,4,5-TRIAZA-CYCLOPENTA[A]PENTALEN-2-YL]-ACETAMID EXAMPLE 58: N- [4- (4-CHLORO-PHENYL) -4,7-DIHYDRO-3-THIA-1,4,5-TRIAZA-CYCLOPENTA [A] PENTALENE-2-YL] -ACETAMIDE
0.50 g (1.56 mmol) Zwischenverbindung 22 werden in 8 ml Eisessig suspendiert, mit 0.34 g (1.88 mmol) 4-Chlorphenylhydrazin-hydrochlorid versetzt. Es wird 1.5 Stunden bei 60 °C gerührt, dann auf Raumtemperatur abgekühlt. Nach Zugabe von 50 ml Wasser fällt ein Niederschlag aus. Dieser wird 0.1 Stunden bei 5 °C nachgerührt, abgesaugt und aus Methanol umkristallisiert. Ausbeute: 0.19 g (Smp.: 296–305 °C)00:50 g (1.56 mmol) of intermediate 22 are suspended in 8 ml of glacial acetic acid, with 0.34 g (1.88 mmol) of 4-Chlorphenylhydrazin hydrochloride. It will take 1.5 hours at 60 ° C touched, then cooled to room temperature. After adding 50 ml of water drops a precipitate. This is stirred for 0.1 hours at 5 ° C, filtered with suction and recrystallized from methanol. Yield: 0.19 g (mp. 296-305 ° C)
BEISPIEL 59: 4-PHENYL-4,7-DIHYDRO-3-THIA-1,4,5-TRIAZA-CYCLOPENTA[A]PENTALEN-2-YL-AMIN EXAMPLE 59: 4-PHENYL-4,7-DIHYDRO-3-THIA-1,4,5-TRIAZA-CYCLOPENTA [A] PENTALENE-2-YL-AMINE
2.9 g (8.71 mmol) N-(4-Phenyl-4,7-dihydro-3-thia-1,4,5-triaza-cyclopenta[a]pentalen-2-yl)-acetamid (hergestellt analog zu Beispiel 58 aus Zwischenverbindung 22) werden in 20 ml Wasser und 20 ml 32%iger Salzsäure suspendiert und 2 Stunden unter Rückfluss gerührt. Nach Abkühlen auf Raumtemperatur wird mit Diethylether extrahiert und die Wasserphase basisch gestellt. Der entstandene Niederschlag wird 0.25 Stunden bei 5 °C gerührt, abgesaugt und getrocknet. Das Rohprodukt wird in 150 ml Tetrahydrofuran suspendiert und mit 5 ml konz. Salzsäure versetzt, dann 16 Stunden bei 60 °C gerührt.2.9 g (8.71 mmol) of N- (4-phenyl-4,7-dihydro-3-thia-1,4,5-triaza-cyclopenta [a] pentalen-2-yl) -acetamide (prepared analogously to Example 58 from intermediate compound 22) are suspended in 20 ml of water and 20 ml of 32% hydrochloric acid and stirred under reflux for 2 hours. After cooling to room temperature, it is extracted with diethyl ether and the aqueous phase is made basic. The resulting precipitate is stirred for 0.25 hours at 5 ° C, filtered off with suction and dried. The crude product is suspended in 150 ml of tetrahydrofuran and concentrated with 5 ml. Hydrochloric acid, then stirred at 60 ° C for 16 hours.
Nach dem Abkühlen auf 5 °C wird der Niederschlag abgesaugt und getrocknet. Ausbeute: 1.8 gTo cooling at 5 ° C the precipitate is filtered off with suction and dried. Yield: 1.8 g
BEISPIEL 60) 4-O-TOLYL-3A,4,7,7A-TETRAHYDRO-3-THIA-1,4,5-TRIAZA-CYCLOPENTA[A]PENTALEN-2-YLAMIN EXAMPLE 60) 4-O-TOLYL-3A, 4,7,7A-TETRAHYDRO-3-THIA-1,4,5-TRIAZA-CYCLOPENTA [A] PENTALENE-2-YLAMINE
Analog zu Beispiel 59 werden aus 140 mg (0.5 mmol) N-(4-o-Tolyl-4,7-dihydro-3-thia-1,4,5-triaza-cyclopenta[a]pentalen-2-yl)-acetamid (hergestellt analog zu Beispiel 58) in 1 ml Wasser und 1 ml Salzsäure nach säulenchromatographischer Reinigung 14 mg Produkt erhalten.Analogous Example 59 is prepared from 140 mg (0.5 mmol) of N- (4-o-tolyl-4,7-dihydro-3-thia-1,4,5-triaza-cyclopenta [a] pentalen-2-yl) -acetamide (prepared analogously to Example 58) in 1 ml of water and 1 ml of hydrochloric acid by column chromatography Purification 14 mg product.
BEISPIEL 61: 4-DIMETHYLAMINO-N-(4-PHENYL-4,7-DIHYDRO-3-THIA-1,4,5-TRIAZA-CYCLOPENTA[A]PENTALEN-2-YL)-BUTANSÄUREAMID EXAMPLE 61: 4-DIMETHYLAMINO-N- (4-PHENYL-4,7-DIHYDRO-3-THIA-1,4,5-TRIAZA-CYCLOPENTA [A] PENTALENE-2-YL) BUTANIC ACID AMID
0.5 g (1.72 mmol) der unter Beispiel 59 beschriebenen Verbindung werden in 25 ml Dichlormethan suspendiert, mit 0.8 ml (6.02 mmol) Triethylamin versetzt und zum Rückfluss erhitzt. 0.8 g (4.30 mmol) 4-Dimethylamin-buttersäurechlorid-hydrochlorid werden in 5 ml Dichlormethan innerhalb 0.1 Stunden zugetropft und die Reaktionsmischung 16 Stunden unter Rückfluss gerührt. Nach Abkühlen auf Raumtemperatur wird der Niederschlag abgesaugt und das Filtrat mit 5%iger Natriumhydrogencarbonatlösung und Wasser gewaschen. Die organische Phase wird getrocknet und zur Trockene eingedampft. Der Rückstand wird mit Diethylether verrieben und abgesaugt. Ausbeute: 0.2 g (Smp.: 218–222 °C)0.5 g (1.72 mmol) of the compound described in Example 59 suspended in 25 ml of dichloromethane, with 0.8 ml (6.02 mmol) of triethylamine offset and to the reflux heated. 0.8 g (4.30 mmol) of 4-dimethylamine-butyric acid chloride hydrochloride are added dropwise in 5 ml of dichloromethane within 0.1 hours and the reaction mixture stirred for 16 hours under reflux. After cooling to Room temperature, the precipitate is filtered off and the filtrate with 5% sodium bicarbonate solution and water washed. The organic phase is dried and added to Dry evaporated. The residue is triturated with diethyl ether and filtered with suction. Yield: 0.2 g (m.p .: 218-222 ° C)
BEISPIEL 62) N-[4-(2-CHLORO-PHENYL)-4,7-DIHYDRO-3-THIA-1,4,5-TRIAZA-CYCLOPENTA[A]PENTALEN-2-YL]-4-DIMETHYLAMINO-BUTANSÄUREAMID EXAMPLE 62) N- [4- (2-CHLORO-PHENYL) -4,7-DIHYDRO-3-THIA-1,4,5-TRIAZA-CYCLOPENTA [A] PENTALENE-2-YL] -4-DIMETHYLAMINO BUTANIC ACID AMID
Analog zu Beispiel 59 werden aus 3.9 g (11.7 mmol) 4-(2-Chloro-phenyl)-4,7-dihydro-3-thia-1,4,5-triaza-cyclopenta(a)pentalen-2-ylamin (hergestellt analog zu Beispiel 58) 2.5 g einer Verbindung erhalten, von der 0.7 g (1.7 mmol) entsprechend dem Beispiel 61 zu 0.2 g Produkt umgesetzt werden (Smp.: 167–170 °C).Analogous Example 59 is prepared from 3.9 g (11.7 mmol) of 4- (2-chlorophenyl) -4,7-dihydro-3-thia-1,4,5-triaza-cyclopenta (a) pentalen-2-ylamine (prepared analogously to Example 58) 2.5 g of a compound obtained, from the 0.7 g (1.7 mmol) corresponding to Example 61 to 0.2 g of product be reacted (mp .: 167-170 ° C).
BEISPIEL 63: PIPERIDIN-1-CARBONSÄURE-(4-PHENYL-4,7-DIHYDRO-3-THIA-1,4,5-TRIAZA-CYCLOPENTA[A]PENTALEN-2-YL)-AMID EXAMPLE 63 PIPERIDINE-1-CARBOXYLIC ACID (4-PHENYL-4,7-DIHYDRO-3-THIA-1,4,5-TRIAZA-CYCLOPENTA [A] PENTALENE-2-YL) AMID
Eine Suspension aus 2.3 g (8 mol) der unter Beispiel 59 erhaltenen Verbindung in 60 ml Pyridin wird auf 50 °C erhitzt, dann mit 1.6 ml (10 mmol) Ethylchlorthioformiat versetzt. Das Reaktionsgemisch wird 12 Stunden bei 70 °C gerührt, anschließend in 600 ml Wasser gerührt. Der entstandene Niederschlag wird abgesaugt und mit Wasser und Ether gewaschen. Ausbeute: 2.3 g (Schmp.: 142–145 °C)A Suspension of 2.3 g (8 mol) of the compound obtained in Example 59 in 60 ml of pyridine is heated to 50 ° C heated, then treated with 1.6 ml (10 mmol) Ethylchlorthioformiat. The reaction mixture is stirred for 12 hours at 70 ° C, then in Stirred 600 ml of water. The resulting precipitate is filtered off with suction and with water and ether washed. Yield: 2.3 g (mp .: 142-145 ° C)
In einem verschließbaren Glasdruckröhrchen werden 0.3 g (0.7 mmol) der zuvor beschriebenen Verbindung in 8 ml Ethanol suspendiert, mit 1 ml (10.5 mmol) Piperidin versetzt und 16 Stunden unter Rückfluss gerührt. Nach Abkühlen auf Raumtemperatur wird das Reaktionsgemisch eingedampft. Das Rohprodukt wird über Kieselgel filtriert. Der Rückstand wird mit 20 ml Wasser und 5 Tropfen Acetonitril verrieben, abgesaugt und getrocknet. Ausbeute: 0.07 g (Smp.: 120–125 °C)In a lockable Pressure tubes 0.3 g (0.7 mmol) of the previously described compound in FIG. 8 ml of ethanol, treated with 1 ml (10.5 mmol) of piperidine and stirred under reflux for 16 hours. To cooling down at room temperature, the reaction mixture is evaporated. The crude product will over Silica gel filtered. The residue is triturated with 20 ml of water and 5 drops of acetonitrile, filtered with suction and dried. Yield: 0.07 g (mp .: 120-125 ° C)
BEISPIEL 64: N-[8-(4-HYDROXY-PHENYL)-4,5-DIHYDRO-THIAZOLO[4,5-H]CHINAZOLIN-2-YL]-ACETAMID EXAMPLE 64: N- [8- (4-HYDROXY-PHENYL) -4,5-DIHYDRO-THIAZOLO [4,5-H] CHINAZOLIN-2-YL] -ACETAMIDE
2.7 g (11.3 mmol) Zwischenverbindung 2 und 1.7 g (12.6 mmol) 4-Hydroxybenzamidin werden in 6 ml Pyridin suspendiert und 2 Stunden auf 100 °C erwärmt. Die Reaktionsmischung wird mit Ether versetzt und der ausgefallene Niederschlag mit Methanol verrührt. Ausbeute: 2.1 g2.7 g (11.3 mmol) Intermediate 2 and 1.7 g (12.6 mmol) 4-hydroxybenzamidine are suspended in 6 ml of pyridine and heated at 100 ° C for 2 hours. The Reaction mixture is mixed with ether and the precipitate Stirred with methanol. Yield: 2.1 g
BEISPIEL 65: 4,5-DIHYDRO-THIAZOLO[4,5-H]CHINAZOLIN-2,8-DIAMIN EXAMPLE 65: 4,5-DIHYDRO-THIAZOLO [4,5-H] CHINAZOLINE-2,8-DIAMINE
10 g (42 mmol) Zwischenverbindung 2, 4 g (42 mmol) Guanidin-Hydrochlorid und 2.2 g (21 mmol) Natriumcarbonat werden in 30 ml Amylalkohol suspendiert und 1 Stunde am Wasserabscheider unter Rückfluss erwärmt. Die Reaktionsmischung wird eingeengt, der Rückstand mehrmals mit Xylol abdestilliert und anschließend chromatographisch gereinigt. Das Produkt wird in Methanol aufgenommen und mit methanolischer Salzsäure als Hydrochlorid gefällt. Ausbeute: 1.2 g (Schmp.: 293–300 °C)10 g (42 mmol) Intermediate 2, 4 g (42 mmol) guanidine hydrochloride and 2.2 g (21 mmol) of sodium carbonate in 30 ml of amyl alcohol suspended and heated under reflux for 1 hour on a water separator. The Reaction mixture is concentrated, the residue several times with xylene distilled off and then purified by chromatography. The product is taken up in methanol and with methanolic hydrochloric acid precipitated as hydrochloride. Yield: 1.2 g (mp .: 293-300 ° C)
BEISPIEL 66: N-(8-ACETYLAMINO-4,5-DIHYDRO-THIAZOLO[4,5-H]CHINAZOLIN-2-YL)-ACETAMID EXAMPLE 66: N- (8-ACETYLAMINO-4,5-DIHYDRO-THIAZOLO [4,5-H] CHINAZOLIN-2-YL) ACETAMIDE
0.5 g (1.7 mmol) der in Beispiel 65 beschriebenen Verbindung und 0.4 g (4.6 mmol) Natriumacetat werden in 15 ml Essigsäureanhydrid suspendiert und 2 Stunden bei 100 °C gerührt. Es wird auf 5 °C gekühlt, der entstandene Feststoff abgesaugt und mit Wasser gewaschen. Das Rohprodukt wird mit Methanol verrührt. Ausbeute: 0.4 g (Schmp.: > 310 °C)0.5 g (1.7 mmol) of the compound described in Example 65 and 0.4 g (4.6 mmol) of sodium acetate are dissolved in 15 ml of acetic anhydride suspended and stirred at 100 ° C for 2 hours. It is cooled to 5 ° C, the resulting The solid was filtered off with suction and washed with water. The crude product is Stirred with methanol. Yield: 0.4 g (mp .:> 310 ° C)
BEISPIEL 67: N-(6-OXO-8-PHENYL-4,5,6,7-TETRAHYDRO-THIAZOLO[4,5-H]CHINAZOLIN-2YL)-ACETAMID EXAMPLE 67: N- (6-OXO-8-PHENYL-4,5,6,7-TETRAHYDRO-THIAZOLO [4,5-H] CHINAZOLIN-2YL) -ACETAMIDE
In einem Glasdruckröhrchen werden 0.1 g (0.35 mmol) Zwischenverbindung 18 und 0.1 g (0.83 mmol) Benzamidin in 1 ml Pyridin vorgelegt und 4 Stunden auf 160 °C erhitzt. Das Lösungsmittel wird eingedampft, der Rückstand wird mit heißem Ethanol verrührt und abgesaugt. Ausbeute: 14 mgIn a glass pressure tube Add 0.1 g (0.35 mmol) of intermediate 18 and 0.1 g (0.83 mmol) of benzamidine presented in 1 ml of pyridine and heated to 160 ° C for 4 hours. The solvent is evaporated, the residue gets hot Stirred ethanol and sucked off. Yield: 14 mg
BEISPIEL 68: N-(8-ETHYLSULFANYL-4,5-DIHYDRO-THIAZOLO[4,5-H]CHINAZOLIN-2YL)-ACETAMID EXAMPLE 68: N- (8-ETHYLSULFANYL-4,5-DIHYDRO-THIAZOLO [4,5-H] CHINAZOLIN-2YL) ACETAMIDE
10.0 g (42 mmol) Zwischenverbindung 2 und 14.6 g (80 mmol) Ethylisothioharnstoffhydrobromid werden in 20 ml Pyridin suspendiert und dann 3 Stunden bei 110 °C gerührt. Nach Abkühlen auf Raumtemperatur wird das Reaktionsgemisch mit wenig Methanol verrieben, abgesaugt und getrocknet. Ausbeute: 10.2 g10.0 g (42 mmol) Intermediate 2 and 14.6 g (80 mmol) of ethylisothiourea hydrobromide are suspended in 20 ml of pyridine and then stirred at 110 ° C for 3 hours. To cooling down At room temperature, the reaction mixture with a little methanol triturated, filtered off with suction and dried. Yield: 10.2 g
BEISPIEL 69: N-(8-ETHANSULFONYL-4,5-DIHYDRO-THIAZOLO[4,5-H]CHINAZOLIN-2YL)-ACETAMID EXAMPLE 69: N- (8-ETHANSULFONYL-4,5-DIHYDRO-THIAZOLO [4,5-H] CHINAZOLIN-2YL) ACETAMIDE
10.6 g (34.6 mmol) der unter Beispiel 68 hergestellten Verbindung werden in 100 ml Dichlormethan gelöst, 17.0 g (75.9 mmol) m-Chlorperbenzoesäure zugegeben und dann 24 Stunden bei Raumtemperatur gerührt. Das Reaktionsgemisch wird mit Dichlormethan verdünnt und mit Natriumcarbonatlösung extrahiert. Die organische Phase wird mit Wasser gewaschen, getrocknet und zur Trockene eingedampft. Ausbeute: 8.8 g10.6 g (34.6 mmol) of the compound prepared under Example 68 dissolved in 100 ml of dichloromethane, 17.0 g (75.9 mmol) of m-chloroperbenzoic acid were added and then 24 hours stirred at room temperature. The reaction mixture is diluted with dichloromethane and extracted with sodium carbonate solution. The organic phase is washed with water, dried and added to Dry evaporated. Yield: 8.8 g
BEISPIEL 70: [1-(2-ACETYLAMINO-4,5-DIHYDRO-THIAZOLO[4,5-H]CHINAZOLIN-8YL)-PIPERIDIN-3-YLMETHYL]-CARBAMINSÄURE-TERT-BUTYLESTER EXAMPLE 70: [1- (2-ACETYLAMINO-4,5-DIHYDRO-THIAZOLO [4,5-H] CHINAZOLIN-8YL) -PIPERIDIN-3-YLMETHYL] -carbamic Acid-TERT-BUTY-ETER
0.2 g (0.6 mmol) der unter Beispiel 69 hergestellten Verbindung und 0.25 g (1.2 mmol) Piperidin-3-ylmethyl-carbaminsäure-tert-butylester werden in 2 ml N-Methyl-pyrrolidin vorgelegt und 24 Stunden unter Rückfluss gerührt. Anschließend wird das Reaktionsgemisch mit verdünnter Kaliumcarbonatlösung und Dichlormethan versetzt und extrahiert. Die organische Phase wird mit Wasser gewaschen, getrocknet und zur Trockene eingedampft. Der Rückstand wird chromatographisch gereinigt. Ausbeute: 0.03 g (Smp.: 250–255 °C)0.2 g (0.6 mmol) of the compound prepared under Example 69 and 0.25 g (1.2 mmol) of piperidin-3-ylmethyl-carbamic acid tert-butyl ester presented in 2 ml of N-methyl-pyrrolidine and refluxed for 24 hours touched. Subsequently The reaction mixture is washed with dilute potassium carbonate solution and Dichloromethane is added and extracted. The organic phase becomes washed with water, dried and evaporated to dryness. Of the Residue is purified by chromatography. Yield: 0.03 g (mp. 250-255 ° C)
BEISPIEL 71: 8-PHENYL-4,5-DIHYDRO-THIAZOLO[4,5-H]CHINAZOLIN-2YLAMIN EXAMPLE 71: 8-PHENYL-4,5-DIHYDRO-THIAZOLO [4,5-H] CHINAZOLINE-2-YLAMINE
9.0 g (28 mmol) N-(8-Phenyl-4,5-dihydro-thiazolo[4,5-h]quinazolin-2-yl)-acetamid (hergestellt analog zu Beispiel 64) werden in 130 ml halbkonzentrierter Salzsäure 2 Stunden unter Rückfluss erhitzt. Nach Abkühlen wird das Reaktionsgemisch basisch gestellt, der ausgefallene Niederschlag abgesaugt und getrocknet. Ausbeute: 7.3 g9.0 g (28 mmol) N- (8-phenyl-4,5-dihydro-thiazolo [4,5-h] quinazolin-2-yl) -acetamide (prepared analogously to Example 64) are semiconcentrated in 130 ml hydrochloric acid 2 hours under reflux heated. After cooling the reaction mixture is made basic, the precipitate precipitated sucked off and dried. Yield: 7.3 g
BEISPIEL 72: N*8*,N*8*-DIMETHYL-4,5-DIHYDRO-THIAZOLO[4,5-H]CHINAZOLIN-2,8-DIAMIN EXAMPLE 72: N * 8 *, N * 8 * -DIMETHYL-4,5-DIHYDRO-THIAZOLO [4,5-H] CHINAZOLINE-2,8-DIAMINE
Analog zu Beispiel 71 können aus 0.20 g (0.7 mmol) N-(8-Dimethylamino-4,5-dihydro-thiazolo[4,5-h]quinazolin-2-yl)-acetamid (erhalten analog zu Beispiel 58) 0.14 g Produkt erhalten werden (Schmp.: 292–295 °C)Analogous to example 71 from 0.20 g (0.7 mmol) of N- (8-dimethylamino-4,5-dihydro-thiazolo [4,5-h] quinazolin-2-yl) -acetamide (obtained analogously to Example 58) 0.14 g of product can be obtained (Mp .: 292-295 ° C)
BEISPIEL 73: N-(8-PHENYL-4,5-DIHYDRO-THIAZOLO[4,5-H]CHINAZOLIN-2YL)-PROPIONSÄUREAMID EXAMPLE 73: N- (8-PHENYL-4,5-DIHYDRO-THIAZOLO [4,5-H] CHINAZOLIN-2YL) PROPIONIC ACID AMID
0.3 g (1.1 mmol) der in Beispiel 71 erhaltenen Verbindung werden in 15 ml Dichlormethan suspendiert, mit 0.4 ml (2.5 mmol) Triethylamin versetzt und zum leichten Rückfluss erhitzt. 0.2 ml (2.3 mmol) Propionsäurechlorid werden zugegeben und 5 Stunden unter Rückfluss gerührt. Nach Abkühlen auf Raumtemperatur wird die Reaktionslösung mit Natriumhydrogencarbonat und Wasser gewaschen, getrocknet und zur Trockene eingedampft. Der Rückstand wird mit Diethylether verrührt und abgesaugt. Ausbeute: 0.2 g (Smp.: 274–275 °C)0.3 g (1.1 mmol) of the compound obtained in Example 71 are dissolved in 15 ml of dichloromethane, with 0.4 ml (2.5 mmol) of triethylamine offset and to the slight reflux heated. 0.2 ml (2.3 mmol) of propionic acid chloride are added and 5 hours under reflux touched. After cooling to room temperature, the reaction solution with sodium bicarbonate and water, dried and evaporated to dryness. Of the Residue is stirred with diethyl ether and sucked off. Yield: 0.2 g (mp. 274-275 ° C)
BEISPIEL 74: 4-DIMETHYLAMINO-N-(8-PHENYL-4,5-DIHYDRO-THIAZOLO[4,5-H]CHINAZOLIN-2-YL)-BUTTERSÄUREAMID EXAMPLE 74: 4-DIMETHYLAMINO-N- (8-PHENYL-4,5-DIHYDRO-THIAZOLO [4,5-H] CHINAZOLIN-2-YL) BUTTERIC ACID AMID
Analog zu Beispiel 73 werden aus 0.15 g (0.5 mmol) der in Beispiel 71 erhaltenen Verbindung, 1 ml Triethylamin und 0.2 g (1.3 mmol) 4-Dimethylamin-buttersäurechlorid-hydrochlorid 0.03 g Produkt erhalten.Analogous Example 73 are prepared from 0.15 g (0.5 mmol) of that obtained in Example 71 Compound, 1 ml of triethylamine and 0.2 g (1.3 mmol) of 4-dimethylamine-butyric acid hydrochloride 0.03 g product obtained.
BEISPIEL 75: N-(8-PHENYL-4,5-DIHYDRO-THIAZOLO[4,5-H]CHINAZOLIN-2-YL)-FORMAMID EXAMPLE 75: N- (8-PHENYL-4,5-DIHYDRO-THIAZOLO [4,5-H] CHINAZOLIN-2-YL) -FORMAMID
In einem Glasdruckröhrchen werden 0.2 g (0.71 mmol) der in Beispiel 71 beschriebenen Verbindung und 2.5 ml (22.7 mmol) Ameisensäurephenylester vorgelegt und 16 Stunden bei 80 °C gerührt. Anschließend wird das Reaktionsgemisch eingedampft und der Rückstand mit Diethylether/Ethanol verrieben. Ausbeute: 0.17g (Smp.: 304–306 °C)In a glass pressure tube 0.2 g (0.71 mmol) of the compound described in Example 71 and 2.5 ml (22.7 mmol) phenyl formate submitted and 16 hours at 80 ° C. touched. Subsequently, will the reaction mixture was evaporated and the residue with diethyl ether / ethanol rubbed. Yield: 0.17g (mp. 304-306 ° C)
BEISPIEL 76: MORPHOLIN-4-CARBONSÄURE-(8-PHENYL-4,5-DIHYDRO-THIAZOLO[4,5-H]CHINAZOLIN-2-YL)-AMID EXAMPLE 76: MORPHOLIN-4-CARBOXYLIC ACID (8-PHENYL-4,5-DIHYDRO-THIAZOLO [4,5-H] CHINAZOLIN-2-YL) AMID
2.5 g (8.9 mmol) der in Beispiel 71 erhaltenen Verbindung werden in 50 ml Pyridin vorgelegt und auf 50 °C erhitzt. 1.5 ml (13.8 mmol) Ethylchlorthiolformiat werden zugegeben und 20 Stunden bei 50 °C gerührt. Nach Abkühlen auf Raumtemperatur wird die Reaktionslösung in Wasser gegeben und mit Dichlormethan extrahiert. Die organische Phase wird getrocknet und zur Trockene eingedampft. Der Rückstand wird mit Diethylether kristallisiert. Ausbeute: 1.0 g 2.5 g (8.9 mmol) of the compound obtained in Example 71 are dissolved in Submitted to 50 ml of pyridine and heated to 50 ° C. 1.5 ml (13.8 mmol) Ethyl chlorothiol formate are added and stirred at 50 ° C for 20 hours. To cooling down At room temperature, the reaction solution is added to water and extracted with dichloromethane. The organic phase is dried and evaporated to dryness. The residue is treated with diethyl ether crystallized. Yield: 1.0 g
In einem Glasdruckröhrchen werden 0.2 g (0.54 mmol) der zuvor beschriebenen Zwischenstufe und 0.1 g (1.15 mmol) Morpholin in 5 ml Ethanol vorgelegt und anschließend 16 Stunden bei 80 °C gerührt. Nach Abkühlen auf Raumtemperatur wird der ausgefallene Niederschlag abgesaugt und getrocknet. Ausbeute: 0.14 g (Smp.: 165–168 °C)0.2 g (0.54 mmol) of the intermediate described above and 0.1 g (1.15 mmol) of morpholine in 5 ml of ethanol are placed in a glass pressure tube and then stirred at 80 ° C. for 16 hours. After cooling to room temperature, the precipitate is filtered off with suction and dried. Yield: 0.14 g (mp 165-168 ° C)
BEISPIEL 77: 4-(2-ACETYLAMINO-4,5-DIHYDRO-THIAZOLO[4,5-H]CHINAZOLIN-8YL)-N,N-DIMETHYL-BENZAMID EXAMPLE 77: 4- (2-ACETYLAMINO-4,5-DIHYDRO-THIAZOLO [4,5-H] CHINAZOLIN-8YL) -N, N-DIMETHYL BENZAMIDE
1.0 g (3.8 mmol) der Zwischenverbindung 2 und 0.8 g (3.1 mmol) Carbamimidoyl-benzoesäure-methansulfonat werden in 5 ml Pyridin vorgelegt und 5 Stunden auf 180 °C erhitzt. Nach Abkühlen auf Raumtemperatur wird das Reaktionsgemisch mit Ethanol verrührt und abgesaugt. Ausbeute: 0.6 g1.0 g (3.8 mmol) of intermediate 2 and 0.8 g (3.1 mmol) of carbamimidoyl-benzoic acid methanesulfonate are presented in 5 ml of pyridine and heated to 180 ° C for 5 hours. After cooling At room temperature, the reaction mixture is stirred with ethanol and aspirated. Yield: 0.6 g
0.1 g (0.27 mmol) der zuvor hergestellten Verbindung und 0.1 g O-(1H-Benzotriazol-1-yl)-N,N,N',N'-tetramethyluronium-tetrafluorborat (TBTU) werden in 2 ml Dimethylformamid vorgelegt, mit 0.2 ml Diisopropylethylamin versetzt und 0.5 Stunden bei Raumtemperatur gerührt. Es werden 0.2 ml (4.0 mmol) Dimethylamin (2 M in THF) zugegeben und weitere 16 Stunden bei Raumtemperatur gerührt. Die entstandene Suspension wird mit Dimethylformamid gelöst, dann mittels RP-HPLC gereinigt. Entsprechende Fraktionen werden vereinigt und gefriergetrocknet. Ausbeute: 0.04 g (Smp.: >300° C)0.1 g (0.27 mmol) of the previously prepared compound and 0.1 g of O- (1H-benzotriazol-1-yl) -N, N, N ', N'-tetramethyluronium tetrafluoroborate (TBTU) are placed in 2 ml of dimethylformamide, with 0.2 ml of diisopropylethylamine mixed and stirred for 0.5 hours at room temperature. There are 0.2 ml (4.0 mmol) dimethylamine (2 M in THF) was added and a further 16 hours stirred at room temperature. The resulting suspension is dissolved with dimethylformamide, then purified by RP-HPLC. Appropriate fractions are combined and freeze-dried. Yield: 0.04 g (mp .:> 300 ° C.)
BEISPIEL 78: N-[8-(2-OXO-PYRROLIDIN-1-YL)-4,5-DIHYDRO-THIAZOLO[4,5-H]CHINAZOLIN-2-YL]-ACETAMID EXAMPLE 78: N- [8- (2-OXO-PYRROLIDIN-1-YL) -4,5-DIHYDRO-THIAZOLO [4,5-H] CHINAZOLIN-2-YL] -ACETAMIDE
In einem Glasdruckröhrchen werden 2.0 g (8.4 mmol) Zwischenverbindung 2 und 2.4 g (16.8 mmol) 4-Guanidin-buttersäure in 30 ml Pyridin vorgelegt und dann 20 Stunden auf 190 °C erhitzt. Das Reaktionsgemisch wird eingedampft, der Rückstand mit Methanol aufgekocht und unlösliche Bestandteile abfiltriert. Aus der Mutterlauge wird das Rohprodukt als Hydrochlorid gefällt, abgesaugt und getrocknet. Der Feststoff wird säulenchromatographisch gereinigt. Ausbeute: 0.02g (Smp.: >160 °C)In a glass pressure tube 2.0 g (8.4 mmol) of intermediate 2 and 2.4 g (16.8 mmol) of 4-guanidine-butyric acid in 30 ml of pyridine and then heated to 190 ° C for 20 hours. The reaction mixture is evaporated, the residue boiled with methanol and insoluble Components filtered off. From the mother liquor is the crude product precipitated as hydrochloride, sucked off and dried. The solid is purified by column chromatography. Yield: 0.02 g (mp .:> 160 ° C.)
BEISPIEL 79: N-[8-(3-AMINOMETHYL-PIPERIDIN-1YL)-4,5-DIHYDRO-THIAZOLO[4,5-H]CHINAZOLIN-2YL]-ACETAMID EXAMPLE 79: N- [8- (3-AMINOMETHYL-PIPERIDIN-1YL) -4,5-DIHYDRO-THIAZOLO [4,5-H] CHINAZOLIN-2YL] -ACETAMIDE
0.05 g (0.1 mmol) der unter Beispiel 70 beschriebenen Verbindung werden in 5 ml etherischer Salzsäure angelöst und 16 Stunden bei Raumtemperatur gerührt. Der entstandene Feststoff wird abgesaugt, mit Diethylether gewaschen und getrocknet. Ausbeute: 0.035 g00:05 g (0.1 mmol) of the compound described in Example 70 in 5 ml of ethereal hydrochloric acid dissolved and stirred for 16 hours at room temperature. The resulting solid is filtered off with suction, washed with diethyl ether and dried. Yield: 0.035 g
BEISPIEL 80: N-{8-[3-(ISOPROPYLAMINO-METHYL)-PIPERIDIN-1YL]-4,5-DIHYDRO-THIAZOLO[4,5-H]CHINAZOLIN-2YL}-ACETAMID EXAMPLE 80: N- {8- [3- (ISOPROPYLAMINO-METHYL) -PIPERIDIN-1YL] -4,5-DIHYDRO-THIAZOLO [4,5-H] CHINAZOLIN-2YL} -ACETAMIDE
0.2 g (0.5 mmol) der in Beispiel 79 erhaltenen Verbindung, 0.05 ml (0.6 mmol) Aceton und 0.02 g (0,5 mol) Natriumborhydrid werden in Methanol gelöst und 0.5 Stunden bei 40 °C gerührt. Es werden nochmals die gleichen Mengen an Aceton und Natriumborhydrid zugegeben und weitere 16 Stunden bei Raumtemperatur gerührt. Anschließend wird das Reaktionsgemisch eingedampft, der Rückstand mit Dichlormethan und Wasser extrahiert. Die organische Phase wird getrocknet und zur Trockene eingedampft. Das Rohprodukt wird mit Diethylether verrieben und abgesaugt. Ausbeute: 0.040 g0.2 g (0.5 mmol) of the compound obtained in Example 79, 0.05 ml (0.6 mmol) of acetone and 0.02 g (0.5 mol) of sodium borohydride are dissolved in methanol solved and 0.5 hours at 40 ° C touched. There are again the same amounts of acetone and sodium borohydride added and stirred for a further 16 hours at room temperature. Subsequently, will the reaction mixture was evaporated, the residue with dichloromethane and Extracted water. The organic phase is dried and added to Dry evaporated. The crude product is triturated with diethyl ether and sucked off. Yield: 0.040 g
BEISPIEL 81: N-{8-[ACETYL-(2-DIMETHYLAMINO-ETHYL)-AMINO]-4,5-DIHYDRO-THIAZOLO[4,5-H]CHINAZOLIN-2YL}-ACETAMID EXAMPLE 81: N- {8- [ACETYL- (2-DIMETHYLAMINO-ETHYL) -AMINO] -4,5-DIHYDRO-THIAZOLO [4,5-H] CHINAZOLIN-2YL} -ACETAMIDE
0.4 g (1.2 mmol) der unter Beispiel 69 erhaltenen Verbindung und 0.4 ml (4.5 mmol) N*1*,N*1*-Dimethylethan-1,2-diamin werden in 5 ml N-Methylpyrollidin vorgelegt und 48 Stunden bei 90 °C gerührt. Das Reaktionsgemisch wird mit Dichlormethan und 10%-iger Kaliumcarbonatlösung extrahiert. Die organische Phase wird getrocknet und zur Trockene eingedampft. Ausbeute: 0.08 g0.4 g (1.2 mmol) of the compound obtained in Example 69 and 0.4 ml (4.5 mmol) N * 1 *, N * 1 * -dimethylethane-1,2-diamine are dissolved in 5 ml N-methylpyrollidine presented and stirred at 90 ° C for 48 hours. The Reaction mixture is extracted with dichloromethane and 10% potassium carbonate solution. The organic phase is dried and evaporated to dryness. Yield: 0.08 g
0.08 g (0.28 mmol) der zuvor beschriebenen Verbindung werden in 5 ml (49 mmol) Essigsäureanhydrid gelöst und 1 Stunde bei 140 °C gerührt. Das Reaktionsgemisch wird eingedampft, der Rückstand mit Acetonitril verrührt und abgesaugt. Ausbeute: 0.07 g00:08 g (0.28 mmol) of the compound described above are dissolved in 5 ml (49 mmol) acetic anhydride solved and 1 hour at 140 ° C touched. The reaction mixture is evaporated, the residue is stirred with acetonitrile and aspirated. Yield: 0.07 g
BEISPIEL 82: (2-ACETYLAMINO-4,5-DIHYDRO-THIAZOLO[4,5-H]CHINAZOLIN-8YL)-PROP-2-INYL-CARBAMINSÄURE-TERT-BUTYLESTER EXAMPLE 82: (2-ACETYLAMINO-4,5-DIHYDRO-THIAZOLO [4,5-H] CHINAZOLINE-8YL) PROP-2-INYL-CARBAMIC ACID TERT BUTYL ETER
0.34 g (2.2 mmol) Prop-2-inyl-carbaminsäure-tert-butylester werden in 3 ml Tetrahydrofuran vorgelegt und auf –30 °C abgekühlt. 2.3 ml (4.4 mmol) 2 M Isopropylmethylmagnesiumchlorid-Lösung in Tetrahydrofuran werden langsam zugetropft und 0.5 Stunden gerührt. Danach wird eine Lösung aus 0.34 g (1,0 mmol) der in Beispiel 69 beschriebenen Verbindung in 4 ml Tetrahydrofuran bei –10 °C zugegeben und es wird 4 Stunden gerührt, wobei auf Raumtemperatur erwärmt wird. Das Reaktionsgemisch wird mit Wasser und Dichlormethan extrahiert, die organische Phase getrocknet und zur Trockene eingedampft. Der Rückstand wird mit Diethylether verrieben. Ausbeute: 0.18 g0.34 g (2.2 mmol) of tert-butyl prop-2-ynylcarbamate are initially charged in 3 ml of tetrahydrofuran and cooled to -30 ° C. 2.3 ml (4.4 mmol) of 2 M isopropylmethylmagnesium chloride solution in tetrahydrofuran are slowly added dropwise and stirred for 0.5 hours. Thereafter, a solution of 0.34 g (1.0 mmol) of the compound described in Example 69 in 4 ml of tetrahydrofuran at -10 ° C is added and it is stirred for 4 hours, being warmed to room temperature. The reaction mixture is extracted with water and dichloromethane, the organic phase dried and evaporated to dryness. The residue is triturated with diethyl ether. Yield: 0.18 g
BEISPIEL 83: N-(8-PROP-2-INYLAMINO-4,5-DIHYDRO-THIAZOLO[4,5-H]CHINAZOLIN-2YL)-ACETAMID EXAMPLE 83: N- (8-PROP-2-INYLAMINO-4,5-DIHYDRO-THIAZOLO [4,5-H] CHINAZOLIN-2YL) ACETAMIDE
0.05 g (0.13 mmol) der in Beispiel 82 erhaltenen Verbindung werden in 5 ml etherischer Salzsäure gelöst und 16 Stunden bei Raumtemperatur gerührt. Der entstandene Feststoff wird abgesaugt, mit Diethylether/Aceton 9:1 verrieben und erneut abgesaugt. Ausbeute: 0.03g00:05 g (0.13 mmol) of the compound obtained in Example 82 are dissolved in 5 ml of ethereal hydrochloric acid solved and stirred for 16 hours at room temperature. The resulting solid is filtered off, triturated with diethyl ether / acetone 9: 1 and again aspirated. Yield: 0.03g
BEISPIEL 84: N-[1-(4-METHOXY-PHENYL)-1,4,5,6-TETRAHYDRO-9-THIA-1,2,7-TRIAZA-CYCLOPENTA[E]AZULEN-8-YL]-ACETAMID EXAMPLE 84: N- [1- (4-METHOXY-PHENYL) -1,4,5,6-TETRAHYDRO-9-THIA-1,2,7-TRIAZA-CYCLOPENTA [E] AZULEN-8-YL] -ACETAMIDE
Eine Lösung von 0.25 g (1 mmol) Zwischenverbindung 23 und 0.18 mg (1 mmol) 4-Methoxyphenylhydrazin-Hydrochlorid in 5 ml Eisessig wird 2 h auf 60 °C erwärmt. Man versetzt mit Wasser und extrahiert dreimal mit Essigsäureethylester. Die vereinten organischen Phasen werden über Magnesiumsulfat getrocknet und eingeengt. Der Rückstand wird zunächst durch Säulenchromatographie (Laufmittel: Dichlormethan/Methanol 95:5), dann durch RP-HPLC gereinigt. Ausbeute: 0.07 gA solution of 0.25 g (1 mmol) of intermediate 23 and 0.18 mg (1 mmol) of 4-methoxyphenylhydrazine hydrochloride in 5 ml of glacial acetic acid is 2 h at 60 ° C. heated. It is mixed with water and extracted three times with ethyl acetate. The combined organic phases are dried over magnesium sulfate and concentrated. The residue will be first by column chromatography (Eluent: dichloromethane / methanol 95: 5), then purified by RP-HPLC. Yield: 0.07 g
BEISPIEL 85: N-(8-NITRO-4,5-DIHYDRO-3H-1?*4*-NAPHTHO[2,1-D]THIAZOL-2-YL)-ACETAMID EXAMPLE 85: N- (8-NITRO-4,5-DIHYDRO-3H-1? * 4 * -NAPHTHO [2,1-D] THIAZOL-2-YL) ACETAMIDE
0.8 g (10.0 mmol) Natriumacetat und 1.9 g (9.40 mmol) 7-Nitro-3,4-dihydro-1H-naphthalen-2-on werden (hergestellt gemäß D.E. Nichols et al., J. Med. Chem. 1989, 32, 2128–2134) in 40 ml Essigsäure gelöst und auf 15 °C abgekühlt. Es werden 0.5 g (3.19 mmol) Brom zugegeben und 0.1 Stunden genährt, bis das Brom vollständig abreagiert ist. Danach werden 0.8 g (10.5 mmol) Thioharnstoff zugegeben. Das Reaktionsgemisch wird 0.25 Stunden auf 60 °C erhitzt, anschließend abgesaugt und gewaschen. Die Kristalle werden aus Ethanol umkristallisiert. Ausbeute: 0.75 g (Schmp.: 247–248 °C)0.8 g (10.0 mmol) of sodium acetate and 1.9 g (9.40 mmol) of 7-nitro-3,4-dihydro-1H-naphthalene-2-one (prepared according to D.E. Nichols et al., J. Med. Chem. 1989, 32, 2128-2134) in 40 ml of acetic acid and dissolved Cooled to 15 ° C. It 0.5 g (3.19 mmol) of bromine are added and nourished for 0.1 hours until the bromine completely has reacted. Thereafter, 0.8 g (10.5 mmol) of thiourea are added. The reaction mixture is heated for 0.25 hours to 60 ° C, then filtered with suction and washed. The crystals are recrystallized from ethanol. Yield: 0.75 g (mp .: 247-248 ° C)
0.75 g (3.0 mmol) der zuvor beschriebenen Verbindung werden in 5 ml (49 mmol) Essigsäureanhydrid vorgelegt und 0.1 Stunden unter Rückfluss gerührt. Nach Abkühlen auf Raumtemperatur wird der entstandene Niederschlag abgesaugt, mit Ethylacetat und Diethylether gewaschen und getrocknet. Ausbeute: 0.8 g (Schmp.: > 315 °C)0.75 g (3.0 mmol) of the compound described above are dissolved in 5 ml (49 mmol) of acetic anhydride and 0.1 hours under reflux touched. After cooling At room temperature, the resulting precipitate is removed by suction, washed with ethyl acetate and diethyl ether and dried. Yield: 0.8 g (mp .:> 315 ° C)
BEISPIEL 86: N-(8-ACETYLAMINO-4,5-DIHYDRO-3H-1?*4*-NAPHTHO[2,1-D]THIAZOL-2-YL)-ACETAMID EXAMPLE 86: N- (8-ACETYLAMINO-4,5-DIHYDRO-3H-1? * 4 * -NAPHTHO [2,1-D] THIAZOL-2-YL) ACETAMIDE
0.5 g (1.7 mmol) der in Beispiel 85 beschriebenen Verbindung werden in 10 ml Essigsäure suspendiert und mit 2 g Eisenpulver versetzt. Das Reaktionsgemisch wird auf 70 °C erwärmt und 0.1 Stunden gerührt. Anschließend wird abgesaugt und die Mutterlauge eingedampft. Der Rückstand wird mit Wasser versetzt, der Niederschlag abgesaugt, gewaschen und getrocknet. Ausbeute: 0.4 g0.5 g (1.7 mmol) of the compound described in Example 85 in 10 ml of acetic acid suspended and mixed with 2 g of iron powder. The reaction mixture gets to 70 ° C heated and stirred for 0.1 hours. Subsequently is filtered off with suction and the mother liquor is evaporated. The residue Water is added, the precipitate is filtered off with suction, washed and dried. Yield: 0.4 g
0.1 g (0.4 mmol) der zuvor beschriebenen Verbindung, 0.1 g (1,0 mmol) Essigsäureanhydrid und 0.1 ml Triethylamin werden in 5 ml Dichlormethan vorgelegt und 1 Stunde bei Raumtemperatur gerührt. Anschließend wird das Reaktionsgemisch mit 2 N Salzsäure und 2 N Natronlauge gewaschen. Die organische Phase wird getrocknet und zur Trockene eingedampft. Der Rückstand wird aus Ethylacetat kristallisiert. Ausbeute: 0.07 g (Smp.: 181–183 °C)0.1 g (0.4 mmol) of the previously described compound, 0.1 g (1.0 mmol) acetic anhydride and 0.1 ml of triethylamine are introduced into 5 ml of dichloromethane and Stirred for 1 hour at room temperature. Subsequently the reaction mixture is washed with 2 N hydrochloric acid and 2 N sodium hydroxide solution. The organic phase is dried and evaporated to dryness. The residue is crystallized from ethyl acetate. Yield: 0.07 g (mp: 181-183 ° C)
BEISPIEL 87: N-(2-ACETYLAMINO-4,5-DIHYDRO-NAPHTHO[2,1-D]THIAZOL-8-YL)-ISOBUTTERSÄUREAMID EXAMPLE 87: N- (2-ACETYLAMINO-4,5-DIHYDRO-NAPHTHO [2,1-D] THIAZOL-8-YL) ISOBUTTERIC ACID AMID
Analog zu Beispiel 86 können aus 0.1 g (0.4 mmol) der dort beschriebenen Zwischenstufe, 0.045 g (0.4 mmol) Isobuttersäurechlorid und 0.1 ml Triethylamin in 5 ml Dichlormethan 0.075 g Produkt erhalten werden (Schmp.: 272–274 °C)Analogous to Example 86 from 0.1 g (0.4 mmol) of the intermediate described there, 0.045 g (0.4 mmol) isobutyric acid chloride and 0.1 ml of triethylamine in 5 ml of dichloromethane 0.075 g of product be (m .: 272-274 ° C)
BEISPIEL 88: N-(8-ISOPROPYLAMINO-4,5-DIHYDRO-3H-1?*4*-NAPHTHO[2,1-D]THIAZOL-2-YL)-ACETAMID EXAMPLE 88: N- (8-ISOPROPYLAMINO-4,5-DIHYDRO-3H-1? * 4 * -NAPHTHO [2,1-D] THIAZOL-2-YL) ACETAMIDE
0.15 g (0.58 mmol) der in Beispiel 86 beschriebenen Zwischenstufe, 1.0 g (17.2 mmol) Aceton und 0.4 g Natriumtriacetoxyborhydrid werden in 10 ml Dichlormethan vorgelegt und 4 Stunden bei Raumtemperatur gerührt. Das Reaktionsgemisch wird mit 50 ml Wasser und 2 g Kaliumcarbonat versetzt, die organische Phase abgetrennt, getrocknet und zur Trockene eingedampft. Der Rückstand wird chromatographisch gereinigt, anschließend aus Diethylether kristallisiert. Ausbeute: 0.11 g (Smp.: 183–184 °C)00:15 g (0.58 mmol) of the intermediate described in Example 86, 1.0 g (17.2 mmol) of acetone and 0.4 g of sodium triacetoxyborohydride placed in 10 ml of dichloromethane and stirred for 4 hours at room temperature. The Reaction mixture is mixed with 50 ml of water and 2 g of potassium carbonate, the organic phase separated, dried and evaporated to dryness. The residue is purified by chromatography, then crystallized from diethyl ether. Yield: 0.11 g (mp 183-184 ° C)
Im Folgenden sind beispielhaft Verbindungen zusammengefasst, die nach einem der oben gezeigten Synthesewege dargestellt werden können. Alle Schmelzpunkte (mp) sind in °C angegeben. Um die inhibitorische Aktivität der Verbindungen auf die PI3Kγ ermitteln zu können, wurde ein in-vitro Kinase Assay etabliert, der auf der Übertragung des endständigen γ-Phosphats von ATP auf Phosphatidylinositol-4,5-bisphosphat (PIP2) beruht. Als Enzym-Aktivität wurde die Gβ1γ2-His stimulierte PI3Kγ eingesetzt. Die Expression und Reinigung von Gβ1γ2-His und p101-GST/p110γ aus Sf9-Zellen (spodoptera frugiperda 9) wurde schon früher beschrieben (Maier et al., J. Biol. Chem. 1999 (274) 29311-29317).Below are exemplified compounds that can be represented by one of the synthetic routes shown above. All melting points (m p ) are given in ° C. In order to determine the inhibitory activity of the compounds on the PI3Kγ, an in vitro kinase assay was established based on the transfer of the terminal γ-phosphate of ATP to phosphatidylinositol-4,5-bisphosphate (PIP 2 ). As enzyme activity, the Gβ 1 γ 2 -His stimulated PI3Kγ was used. The expression and purification of Gβ 1 γ 2 -His and p101-GST / p110γ from Sf9 cells (spodoptera frugiperda 9) has been previously described (Maier et al., J. Biol. Chem. 1999 (274) 29311-29317) ,
Der Kinase-Assay wurde in weißen 384-well Flachboden-Platten durchgeführt. Jedes Well enthielt 5 μl der zu testenden Verbindung, die in Assay-Puffer (40 mM Hepes, pH 7,5, 100 mM NaCl, 1 mM EGTA, 1 mM β-Glycerophosphate, 1 mM DTT, 7 mM MgCl2 and 0.1 BSA; 6% DMSO) gelöst war. Dazu wurden jeweils 15 μl Lipidvesikel gegeben, die 10 ng PI3Kγ und 31.5 ng Gβ1γ2-His enthielten. Die Lipidvesikel wiederum wurden generiert, indem PIP2 (0.35μg/well), Phosphatidylethanolamin (3.75μg/well), Phosphatidylserin (3.5μg/well), Sphingomyelin (0.35μg/well) and Phosphatidylcholin (1.6μg/well) durch Ultraschallbehandlung in Lipid-Puffer (Assay-Puffer ohne DMSO) suspendiert wurden. Nach der Zugabe der Lipid-Vesikel wurde die Reaktion durch Zugabe von 10 μl Reaktions-Puffer (40 mM Hepes, pH 7,5, 100 mM NaCl, 1 mM EGTA, 1 mM β-Glycerophosphate, 1 mM DTT, 7 mM MgCl2 and 0.1 % BSA; 1 μM ATP und 0.2 μCi [γ-33P]-ATP) gestartet. Die Reaktionsmischung wurde so für 1 h inkubiert und anschließend durch Zugabe einer Suspension von 0.12 mg LEADseeker beads (Amersham Biosciences) in Stop-Puffer (40 mM Hepes, pH 7,5, 100 mM NaCl, 1 mM EGTA, 12 mM EDTA, 1 mM β-Glycerophosphate, 1 mM DTT) gestoppt. Nach einer 1-minütigen Zentrifugation bei 500 × g wurden die Platten mit Hilfe eines LEADseeker-Gerätes ausgelesen und analysiert. Alle gezeigten Verbindungen weisen im Test einen IC50-Wert unter 800 nM auf.The kinase assay was performed in white 384-well flat-bottomed plates. Each well contained 5 μl of the compound to be tested in assay buffer (40 mM Hepes, pH 7.5, 100 mM NaCl, 1 mM EGTA, 1 mM β-glycerophosphate, 1 mM DTT, 7 mM MgCl 2 and 0.1 BSA 6% DMSO) was dissolved. For this purpose, in each case 15 μl lipid vesicles containing 10 ng PI3Kγ and 31.5 ng Gβ 1 γ 2 -His were added. The lipid vesicles in turn were generated by PIP 2 (0.35μg / well), phosphatidylethanolamine (3.75μg / well), phosphatidylserine (3.5μg / well), sphingomyelin (0.35μg / well) and phosphatidylcholine (1.6μg / well) by sonication in Lipid buffer (assay buffer without DMSO) were suspended. Following the addition of the lipid vesicles, the reaction was terminated by adding 10 μl of reaction buffer (40 mM Hepes, pH 7.5, 100 mM NaCl, 1 mM EGTA, 1 mM β-glycerophosphate, 1 mM DTT, 7 mM MgCl 2 and 0.1% BSA; 1 μM ATP and 0.2 μCi [γ- 33 P] ATP). The reaction mixture was incubated for 1 h and then by adding a suspension of 0.12 mg LEADseeker beads (Amersham Biosciences) in stop buffer (40 mM Hepes, pH 7.5, 100 mM NaCl, 1 mM EGTA, 12 mM EDTA, 1 mM β-glycerophosphate, 1 mM DTT). After centrifugation at 500 × g for 1 minute, the plates were read using a LEADseeker instrument and analyzed. All compounds shown have an IC 50 value below 800 nM in the test.
BEISPIELE A EXAMPLES A
BEISPIELE B EXAMPLES B
BEISPIELE C EXAMPLES C
BEISPIELE D EXAMPLES D
BEISPIELE E EXAMPLES E
BEISPIELE F EXAMPLES F
BEISPIELE G EXAMPLES G
BEISPIELE H EXAMPLES H
INDIKATIONSGEBIETEINDICATIONS
Wie gefunden wurde, zeichnen sich die Verbindungen der Formel 1 durch vielfältige Anwendungsmöglichkeiten auf therapeutischem Gebiet aus. Hervorzuheben sind solche Anwendungsmöglichkeiten, für welche die erfindungsgemäßen Verbindungen der Formel 1 aufgrund ihrer pharmazeutischen Wirksamkeit als PI3-Kinase Modulator bevorzugt zur Anwendung gelangen können.As was found, the compounds of formula 1 are characterized diverse applications in the therapeutic field. To emphasize are such applications, for which the Compounds of the invention of formula 1 due to its pharmaceutical activity as a PI3 kinase Modulator may preferably be used.
Allgemein ausgedrückt sind dies Erkrankungen, bei deren Pathologie eine Aktivität von PI3-Kinasen beteiligt ist, insbesondere entzündliche und allergische Erkrankungen. Insbesondere seinen entzündliche und allergische Atemwegserkrankungen, entzündliche und allergische Hauterkrankungen, entzündliche Augenerkrankungen, Erkrankungen der Nasenschleimhaut, entzündliche oder allergische Krankheitszustände, bei denen Autoimmun-Reaktionen beteiligt sind oder Nierenentzündungen genannt. Die Behandlung kann dabei symptomatisch oder vorbeugend erfolgen.Generally expressed these are diseases whose pathology involves activity of PI3 kinases is, in particular inflammatory and allergic diseases. In particular, its inflammatory and allergic respiratory diseases, inflammatory and allergic skin diseases, inflammatory Eye diseases, diseases of the nasal mucosa, inflammatory or allergic disease states, involving autoimmune reactions or kidney inflammation called. The treatment can be symptomatic or preventive respectively.
Bevorzugt genannte Atemwegserkrankungen wären hierbei chronische und/oder obstruktive Atemwegserkrankungen. Die erfindungsgemäßen Verbindungen der Formel 1 können dabei, auf Grund ihrer pharmakologischen Eigenschaften eine Reduzierung der
- • Gewebezerstörung
- • der Entzündung der Atemwege
- • der bronchialen Hyperreaktivität
- • des Umbauprozesses der Lunge infolge der Entzündung
- • der Verschlechterung der Krankheit (Progression)
- • tissue destruction
- • the inflammation of the respiratory tract
- • bronchial hyperreactivity
- • Lung remodeling process as a result of inflammation
- • the worsening of the disease (progression)
Weiterhin sind die Verbindungen der Formel 1 zum therapeutischen Einsatz geeignet bei entzündliche oder allergische Erkrankungen der Haut, wie z.B. Psoriasis, Kontakt-Dermatitis, atopische Dermatitis, Alopecia areata (kreisrunder Haarausfall), Erythema exsudativum multiforme (Stevens-Johnson-Syndrom), Dermatitis herpetiformis, Sklerodermie, Vitiligo, Nesselsucht (Urticaria), Lupus erythematodes, follikuläre und flächenhafte Pyodermien, endogene und exogene Akne, Akne rosacea sowie andere entzündliche oder allergische oder proliferative Hauterkrankungen.Farther the compounds of formula 1 are suitable for therapeutic use at inflammatory or allergic diseases of the skin, e.g. Psoriasis, contact dermatitis, atopic Dermatitis, alopecia areata (circular hair loss), erythema exudative multiforme (Stevens-Johnson syndrome), dermatitis herpetiformis, Scleroderma, vitiligo, hives (urticaria), lupus erythematosus, follicular and areal Pyoderma, endogenous and exogenous acne, acne rosacea and others inflammatory or allergic or proliferative skin diseases.
Ferner seinen folgende allgemeine entzündliche oder allergische Erkrankungen genannt, die sich durch Medikamente beinhaltend Verbindungen der Formel 1 behandeln lassen:
- • Entzündungen am Auge, wie z.B. Bindehautentzündung (Konjunktivitis) verschiedener Arten, wie z.B. durch Infektionen mit Pilzen oder Bakterien, allergische Konjunktivitis, Reizkonjunktivitis, durch Medikamenten induzierten Konjunktivitis, Keratitis, Uveitis
- • Krankheiten der Naseschleimhaut, wie z.B. allergische Rhinitis/Sinusitis oder Nasenpolypen
- • Entzündliche oder allergische Krankheitszustände, bei denen Autoimmun-Reaktionen beteiligt sind, wie z.B. entzündliche Darmerkrankungen, z.B. Morbus Crohn oder Colitis ulzerosa; systemische Lupus erythematodes, chronische Hepatitis, Multiple Sklerose, Krankheiten aus dem Formenkreis der Arthritis, wie z.B. rheumatoide oder psoriatrische Arthritis, Osteoarthritis, rheumatoide Spondylitis und andere arthritische Zustände. Nierenentzündungen, wie Glomerulonephritis, interstitielle Nephritis oder idiopathisches nephrotisches Syndrom.
- O Inflammation on the eye, such as conjunctivitis of various species, such as infections with fungi or bacteria, allergic conjunctivitis, irritant conjunctivitis, drug-induced conjunctivitis, keratitis, uveitis
- • diseases of the nasal mucosa, such as allergic rhinitis / sinusitis or nasal polyps
- • Inflammatory or allergic conditions involving autoimmune reactions, such as inflammatory bowel disease, eg Crohn's disease or ulcerative colitis; systemic lupus erythematosus, chronic hepatitis, multiple sclerosis, arthritic diseases such as rheumatoid or psoriatic arthritis, osteoarthritis, rheumatoid spondylitis, and other arthritic conditions. Renal inflammations such as glomerulonephritis, interstitial nephritis or idiopathic nephrotic syndrome.
Als weitere Krankheiten, die auf Grund der pharmakologischen Wirksamkeit der Verbindungen der Formel 1 mit einem Medikament selbige beinhaltend behandelt werden können, seien toxische oder septische Schocksyndrome, Atherosklerose, Mittelohrentzündung, (Otitis media), Hypertrophie des Herzens, Herzinsuffizienz, Schlaganfall, Ischämie-Reperfusionsschäden oder neurodegenerative Erkrankungen wie Parkinson'sche Krankheit oder Alzheimer genannt.When other diseases due to the pharmacological efficacy containing the compounds of formula 1 with a medicament selbige can be treated be toxic or septic shock syndromes, atherosclerosis, otitis media, (otitis media), hypertrophy of the heart, heart failure, stroke, Ischemia-reperfusion damage or neurodegenerative diseases such as Parkinson's disease or Alzheimer's called.
KOMBINATIONENCOMBINATIONS
Die Verbindungen der allgemeinen Formel 1 können allein oder in Kombination mit anderen erfindungsgemäßen Wirkstoffen der Formel 1 zur Anwendung gelangen. Gegebenenfalls können die Verbindungen der allgemeinen Formel 1 auch in Kombination mit weiteren pharmakologisch aktiven Wirkstoffen eingesetzt werden. Es handelt sich hierbei insbesondere um Betamimetica, Corticosteroiden, Dopamin-Agonisten, Antiallergika, PAF-Antagonisten, Leukotrien-Antagonisten, PDE4-Inhibitoren, p38 MAP Kinase-Inhibtoren, NK1-Antagonisten und Endothelin-Antagonisten, sowie Wirkstoffkombinationen davon.The compounds of the general formula 1 can be used alone or in combination with other active compounds of the formula 1 according to the invention. Optionally, the compounds of general formula 1 can also be used in combination with other pharmacologically active substances. These are in particular betamimetics, corticosteroids, dopamine agonists, antiallergic drugs, PAF antagonists, leukotriene antagonists, PDE4 inhibitors, p38 MAP kinase inhibitors, NK 1 antagonists and endothelin antagonists, and active ingredient combinations thereof.
Als Beispiel für Betamimetika, die erfindungsgemäß mit den Verbindungen der Formel 1 als Kombination zum Einsatz kommen können, seien genannt Verbindungen, die ausgewählt sind aus der Gruppe bestehend aus Bambuterol, Bitolterol, Carbuterol, Clenbuterol, Fenoterol, Formoterol, Hexoprenalin, Ibuterol, Pirbuterol, Procaterol, Reproterol, Salmeterol, Sulfonterol, Terbutalin, Tolubuterol, 4-Hydroxy-7-[2-{[2-{[3-(2-phenylethoxy)propyl]sulfonyl}ethyl]-amino}ethyl]-2(3H)-benzothiazolon, 1-(2-Fluoro-4-hydroxyphenyl)-2-[4-(1-benzimidazolyl)-2-methyl-2-butylamino]ethanol, 1-[3-(4-Methoxybenzyl-amino)-4-hydroxyphenyl]-2-[4-(1-benzimidazolyl)-2-methyl-2-butylamino]ethanol, 1-[2H-5-Hydroxy-3-oxo-4H-1,4-benzoxazin-8-yl]-2-[3-(4-N,N-dimethylaminophenyl)-2-methyl-2-propylamino]ethanol, 1-[2H-5-Hydroxy-3-oxo-4H-1,4- benzoxazin-8-yl]-2-[3-(4-methoxyphenyl)-2-methyl-2-propylamino]ethanol, 1-[2H-5-Hydroxy-3-oxo-4H-1,4-benzoxazin-8-yl]-2-[3-(4-n-butyloxyphenyl)-2-methyl-2-propylamino]ethanol, 1-[2H-5-Hydroxy-3-oxo-4H-1,4-benzoxazin-8-yl]-2-{4-[3-(4-methoxyphenyl)-1,2,4-triazol-3-yl]-2-methyl-2-butylamino}ethanol, 5-Hydroxy-8-(1-hydroxy-2-isopropylaminobutyl)-2H-1,4-benzoxazin-3-(4H)-on, 1-(4-Amino-3-chloro-5-trifluormethylphenyl)-2-tert-butylamino)ethanol und 1-(4-Ethoxycarbonylamino-3-cyano-5-fluorophenyl)-2-(tert-butylamino)ethanol, gegebenenfalls in Form ihrer Racemate, ihrer Enantiomere, ihrer Diastereomere, sowie gegebenenfalls ihrer pharmakologisch unbedenklichen Säureadditionssalze und Hydrate.When example for Betamimetics according to the invention with the Compounds of formula 1 can be used as a combination, be called compounds that are selected are from the group consisting of bambuterol, bitolterol, carbuterol, Clenbuterol, Fenoterol, Formoterol, Hexoprenalin, Ibuterol, Pirbuterol, Procaterol, reproterol, salmeterol, sulfonterol, terbutaline, toluubuterol, 4-hydroxy-7- [2 - {[2 - {[3- (2-phenylethoxy) propyl] sulfonyl} ethyl] -amino} ethyl] -2 (3H) -benzothiazolone, 1- (2-Fluoro-4-hydroxyphenyl) -2- [4- (1-benzimidazolyl) -2-methyl-2-butylamino] ethanol, 1- [3- (4-methoxybenzyl-amino) -4-hydroxyphenyl] -2- [4- (1-benzimidazolyl) -2-methyl-2-butylamino] ethanol, 1- [2H-5-hydroxy-3-oxo-4H-1,4-benzoxazin-8-yl] -2- [3- (4-N, N-dimethylaminophenyl) -2-methyl-2-propylamino] ethanol . 1- [2H-5-hydroxy-3-oxo-4H-1,4-benzoxazin-8-yl] -2- [3- (4-methoxyphenyl) -2-methyl-2-propylamino] ethanol, 1- [2H-5-hydroxy-3-oxo-4H-1,4-benzoxazin-8-yl] -2- [3- (4-n-butyloxyphenyl) -2-methyl-2-propylamino] ethanol, 1- [2H-5-hydroxy-3-oxo-4H-1,4-benzoxazin-8-yl] -2- {4- [3- (4-methoxyphenyl) -1,2,4-triazol-3- yl] -2-methyl-2-butylamino} ethanol, 5-Hydroxy-8- (1-hydroxy-2-isopropylaminobutyl) -2H-1,4-benzoxazin-3- (4H) -one, 1- (4-amino-3-chloro-5-trifluoromethylphenyl) -2-tert-butylamino) ethanol and 1- (4-ethoxycarbonylamino-3-cyano-5-fluorophenyl) -2- (tert-butylamino) ethanol, optionally in the form of their racemates, their enantiomers, theirs Diastereomers, and optionally their pharmacologically acceptable Acid addition salts and hydrates.
Im Rahmen der vorliegenden Erfindung werden unter Corticosteroiden, die gegebenenfalls in Kombination mit den Verbindungen der Formel 1 zum Einsatz gelangen können, Verbindungen verstanden, die ausgewählt sind aus der Gruppe bestehend aus Flunisolide, Beclomethasone, Triamcinolone, Budesonid, Fluticasone, Mometasone, Ciclesonide, Rofleponide, GW 215864, KSR 592, ST-126 und Dexametasone. Gegebenfalls wird im Rahmen der vorliegenden Patentanmeldung statt der Bezeichnung Corticosteroide auch nur die Bezeichnung Steroide verwendet. Eine Bezugnahme auf Steroide schließt im Rahmen der vorliegenden Erfindung eine Bezugnahme auf Salze oder Derivate, die von den Steroiden gebildet werden können, mit ein. Als mögliche Salze oder Derivate werden beispielsweise genannt: Natriumsalze, Sulfobenzoate, Phosphate, Isonicotinate, Acetate, Propionate, Dihydrogenphosphate, Palmitate, Pivalate oder Furoate. Gegebenenfalls können die Corticosteroide auch in Form ihrer Hydrate vorliegen.in the Within the scope of the present invention, corticosteroids, optionally in combination with the compounds of the formula 1 can be used, Understood compounds which are selected from the group consisting from flunisolide, beclomethasone, triamcinolone, budesonide, fluticasone, Mometasone, Ciclesonide, Rofleponide, GW 215864, KSR 592, ST-126 and Dexametasone. If necessary, in the context of the present patent application instead of the term corticosteroids even just the term steroids used. A reference to steroids in the context of the present Invention a reference to salts or derivatives derived from the steroids can be formed with a. As possible Salts or derivatives are mentioned, for example: sodium salts, Sulfobenzoates, phosphates, isonicotinates, acetates, propionates, dihydrogen phosphates, Palmitates, pivalates or furoates. If necessary, the Corticosteroids are also present in the form of their hydrates.
Im Rahmen der vorliegenden Erfindung werden unter Dopamin-Agonisten, die gegebenenfalls in Kombination mit den Verbindungen der Formel 1 zum Einsatz gelangen können, Verbindungen verstanden, die ausgewählt sind aus der Gruppe bestehend aus Bromocriptin, Cabergolin, Alpha-Dihydroergocryptin, Lisurid, Pergolid, Pramipexol, Roxindol, Ropinirol, Talipexol, Tergurid und Viozan. Eine Bezugnahme auf die vorstehend genannten Dopamin-Agonisten schließt im Rahmen der vorliegenden Erfindung eine Bezugnahme auf deren gegebenenfalls existierende pharmakologisch verträgliche Säureadditionssalze und gegebenenfalls deren Hydrate ein. Unter den physiologisch verträglichen Säureadditionssalzen, die von den vorstehend genannten Dopamin-Agonisten gebildet werden können, werden beispielsweise pharmazeutisch verträgliche Salze verstanden, die ausgewählt aus den Salzen der Salzsäure, Bromwasserstoffsäure, Schwefelsäure, Phosphorsäure, Methansulfonsäure, Essigsäure, Fumarsäure, Bernsteinsäure, Milchsäure, Zitronensäure, Weinsäure und Maleinsäure sind.in the Within the scope of the present invention, dopamine agonists, optionally in combination with the compounds of the formula 1 can be used, Understood compounds which are selected from the group consisting from bromocriptine, cabergoline, alpha-dihydroergocryptine, lisuride, pergolide, Pramipexole, Roxindol, Ropinirole, Talipexole, Terguride and Viozan. Reference to the aforementioned dopamine agonists is included in the context the present invention, a reference to their optionally existing pharmacologically acceptable acid addition salts and optionally their hydrates. Among the physiologically acceptable acid addition salts available from the aforementioned dopamine agonists can be formed For example, pharmaceutically acceptable salts understood, the selected from the salts of hydrochloric acid, hydrobromic, Sulfuric acid, Phosphoric acid, methane, Acetic acid, fumaric acid, Succinic acid, Lactic acid, Citric acid, Tartaric acid and maleic are.
Als Beispiel für Antiallergika, die erfindungsgemäß mit den Verbindungen der Formel 1 als Kombination zum Einsatz kommen können, seien genannt Epinastin, Cetirizin, Azelastin, Fexofenadin, Levocabastin, Loratadin, Mizolastin, Ketotifen, Emedastin, Dimetinden, Clemastin, Bamipin, Cexchlorpheniramin, Pheniramin, Doxylamin, Chlorphenoxamin, Dimenhydrinat, Diphenhydramin, Promethazin, Ebastin, Desloratidin und Meclozin. Eine Bezugnahme auf die vorstehend genannten Antiallergika schließt im Rahmen der vorliegenden Erfindung eine Bezugnahme auf deren gegebenenfalls existierende pharmakologisch verträgliche Säureadditionssalze ein.When example for Antiallergic agents, which according to the invention with the Compounds of formula 1 can be used as a combination, be called epinastine, cetirizine, azelastine, fexofenadine, levocabastine, Loratadine, mizolastine, ketotifen, emedastine, dimetinden, clemastine, Bamipin, Cexchlorpheniramine, Pheniramine, Doxylamine, Chlorphenoxamine, Dimenhydrinate, diphenhydramine, promethazine, ebastine, desloratidine and Meclozin. A reference to the aforementioned antiallergics includes in the context of the present invention, a reference to their optionally existing pharmacologically acceptable acid addition salts.
Als Beispiel für PAF-Antagonisten, die erfindungsgemäß mit den Verbindungen der Formel 1 als Kombination zum Einsatz kommen können seien genannt 4-(2-Chlorphenyl)-9-methyl-2-[3(4-morpholinyl)-3-propanon-1-yl]-6H-thieno-[3,2-f]-[1,2,4]triazolo[4,3-a][1,4]diazepin, 6-(2-Chlorphenyl)-8,9-dihydro-1-methyl-8-[(4-morpholinyl)carbonyl]-4H,7H-cyclo-penta-[4,5]thieno-(3,2-f][1,2,4]triazolo[4,3-a][1,4]diazepin.As an example of PAF antagonists which can be used according to the invention with the compounds of formula 1 as a combination are 4- (2-chlorophenyl) -9-methyl-2- [3 (4-morpholinyl) -3-propanone-1 -yl] -6H-thieno [3,2-f] - [1,2,4] triazolo [4,3-a] [1,4] diazepine, 6- (2-chlorophenyl) -8,9- dihydro-1-methyl-8 - [(4-morpholinyl) carbonyl] -4H, 7H-cyclo-penta [4,5] thieno (3,2-f] [1,2, 4] triazolo [4,3-a] [1,4] diazepine.
FORMULIERUNGENFORMULATIONS
Die erfindungsgemäßen Verbindungen können oral, transdermal, inhalativ oder parenteral verabreicht werden. Die erfindungsgemäßen Verbindungen liegen hierbei als aktive Bestandteile in üblichen Darreichungsformen vor, beispielsweise in Zusammensetzungen, die im wesentlichen aus einem inerten pharmazeutischen Träger und einer effektiven Dosis des Wirkstoffs bestehen, wie beispielsweise Tabletten, Dragées, Kapseln, Oblaten, Pulver, Lösungen, Suspensionen, Emulsionen, Sirupe, Suppositorien, transdermale Systeme etc.. Eine wirksame Dosis der erfindungsgemäßen Verbindungen liegt bei einer oralen Anwendung zwischen 1 und 1000, vorzugsweise zwischen 1 und 500, besonders bevorzugt zwischen 5-300 mg/Dosis, bei intravenöser, subcutaner oder intramuskulärer Anwendung zwischen 0,001 und 50, vorzugsweise zwischen 0,1 und 10 mg/Dosis. Für die Inhalation sind erfindungsgemäß Lösungen geeignet, die 0,01 bis 1,0, vorzugsweise 0,1 bis 0,5 % Wirkstoff enthalten. Für die inhalative Applikation ist die Verwendung von Pulvern bevorzugt. Gleichfalls ist es möglich, die erfindungsgemäßen Verbindungen als Infusionslösung, vorzugsweise in einer physiologischen Kochsalzlösung oder Nährsalzlösung einzusetzen.The Compounds of the invention can be administered orally, transdermally, by inhalation or parenterally. The compounds of the invention lie here as active ingredients in conventional dosage forms before, for example, in compositions consisting essentially of an inert pharmaceutical carrier and an effective dose of the active ingredient, such as tablets, dragees, capsules, Wafers, powders, solutions, Suspensions, emulsions, syrups, suppositories, transdermal systems etc. An effective dose of the compounds according to the invention is included an oral application between 1 and 1000, preferably between 1 and 500, more preferably between 5-300 mg / dose, intravenous, subcutaneous or intramuscular Application between 0.001 and 50, preferably between 0.1 and 10 mg / dose. For the inhalation solutions are inventively suitable, the 0.01 to 1.0, preferably 0.1 to 0.5% active ingredient. For the inhalative Application, the use of powders is preferred. Likewise Is it possible, the compounds of the invention as infusion solution, preferably in a physiological saline or saline solution.
Die erfindungsgemäßen Verbindungen können allein oder in Kombination mit anderen ertindungsgemäßen Wirkstoffen, gegebenenfalls auch in Kombination mit weiteren pharmakologisch aktiven Wirkstoffen, zur Anwendung gelangen. Geeignete Anwendungsformen sind beispielsweise Tabletten, Kapseln, Zäpfchen, Lösungen, Säfte, Emulsionen oder dispersible Pulver. Entsprechende Tabletten können beispielsweise durch Mischen des oder der Wirkstoffe mit bekannten Hilfsstoffen, beispielsweise inerten Verdünnungsmitteln, wie Calciumcarbonat, Calciumphosphat oder Milchzucker, Sprengmitteln, wie Maisstärke oder Alginsäure, Bindemitteln, wie Stärke oder Gelatine, Schmiermitteln, wie Magnesiumstearat oder Talk, und/oder Mitteln zur Erzielung des Depoteffektes, wie Carboxymethylcellulose, Celluloseacetatphthalat, oder Polyvinylacetat erhalten werden. Die Tabletten können auch aus mehreren Schichten bestehen.The Compounds of the invention can alone or in combination with other active substances according to the invention, optionally also in combination with other pharmacological active substances, are used. Suitable application forms For example, tablets, capsules, suppositories, solutions, juices, emulsions or dispersible Powder. Corresponding tablets, for example, by mixing the active ingredient (s) with known excipients, for example inert diluents, such as calcium carbonate, calcium phosphate or lactose, disintegrants, like cornstarch or alginic acid, Binders, such as starch or gelatin, lubricants, such as magnesium stearate or talc, and / or Means for achieving the depot effect, such as carboxymethylcellulose, Cellulose acetate phthalate, or polyvinyl acetate. The Tablets can also consist of several layers.
Entsprechend können Dragees durch Überziehen von analog den Tabletten hergestellten Kernen mit üblicherweise in Drageeüberzügen verwendeten Mitteln, beispielsweise Kollidon oder Schellack, Gummi arabicum, Talk, Titandioxid oder Zucker, hergestellt werden. Zur Erzielung eines Depoteffektes oder zur Vermeidung von Inkompatibilitäten kann der Kern auch aus mehreren Schichten bestehen. Desgleichen kann auch die Drageehülle zur Erzielung eines Depoteffektes aus mehreren Schichten bestehen wobei die oben bei den Tabletten erwähnten Hilfsstoffe verwendet werden können.Corresponding can Dragees by coating of cores produced analogously to the tablets with usually used in dragee coatings Agents, such as Kollidon or shellac, gum arabic, Talc, titanium dioxide or sugar. To achieve a depot effect or to avoid incompatibilities the core also consist of several layers. Likewise also the dragee cover To obtain a depot effect consist of several layers using the excipients mentioned above for the tablets can be.
Säfte der erfindungsgemäßen Wirkstoffe beziehungsweise Wirkstoffkombinationen können zusätzlich noch ein Süßungsmittel, wie Saccharin, Cyclamat, Glycerin oder Zucker sowie ein geschmacksverbesserndes Mittel, z.B. Aromastoffe, wie Vanillin oder Orangenextrakt, enthalten. Sie können außerdem Suspendierhilfsstoffe oder Dickungsmittel, wie Natriumcarboxymethylcellulose, Netzmittel, beispielsweise Kondensationsprodukte von Fettalkoholen mit Ethylenoxid, oder Schutzstoffe, wie p-Hydroxybenzoate, enthalten.Juices of active ingredients according to the invention or combinations of active substances may additionally contain a sweetener, such as saccharin, cyclamate, glycerine or sugar as well as a taste-improving agent, e.g. Flavorings such as vanillin or orange extract. she can Furthermore Suspending adjuvants or thickening agents, such as sodium carboxymethylcellulose, Wetting agents, for example condensation products of fatty alcohols with ethylene oxide, or protective agents such as p-hydroxybenzoates.
Injektionslösungen werden in üblicher Weise, z.B. unter Zusatz von Konservierungsmitteln, wie p-Hydroxybenzoaten, oder Stabilisatoren, wie Alkalisalzen der Ethylendiamintetraessigsäure hergestellt und in Injektionsflaschen oder Ampullen abgefüllt.Become injection solutions in usual Way, e.g. with the addition of preservatives, such as p-hydroxybenzoates, or stabilizers such as alkali salts of ethylenediaminetetraacetic acid and filled into injection bottles or ampoules.
Die eine oder mehrere Wirkstoffe beziehungsweise Wirkstoffkombinationen enthaltenden Kapseln können beispielsweise hergestellt werden, indem man die Wirkstoffe mit inerten Trägern, wie Milchzucker oder Sorbit, mischt und in Gelatinekapseln einkapselt.The one or more active substances or combinations of active substances containing capsules For example, be prepared by using the active ingredients inert carriers, like lactose or sorbitol, mixed and encapsulated in gelatine capsules.
Geeignete Zäpfchen lassen sich beispielsweise durch Vermischen mit dafür vorgesehenen Trägermitteln, wie Neutralfetten oder Polyäthylenglykol beziehungsweise dessen Derivaten, herstellen.suitable suppository can be, for example, by mixing with designated Carriers, such as neutral fats or polyethylene glycol or its derivatives.
Eine therapeutisch wirksame Tagesdosis beträgt zwischen 1 und 800 mg, bevorzugt 10–300 mg pro ErwachsenerA therapeutically effective daily dose is between 1 and 800 mg, preferably 10-300 mg per adult
Die
nachfolgenden Beispiele illustrieren die vorliegende Erfindung ohne
sie jedoch in ihrem Umfang zu beschränken: Pharmazeutische
Formulierungsbeispiele
Der
feingemahlene Wirkstoff, Milchzucker und ein Teil der Maisstärke werden
miteinander vermischt. Die Mischung wird gesiebt, worauf man sie
mit einer Lösung
von Polyvinylpyrrolidon in Wasser befeuchtet, knetet, feuchtgranuliert
und trocknet. Das Granulat, der Rest der Maisstärke und das Magnesiumstearat
werden gesiebt und miteinander vermischt. Das Gemisch wird zu Tabletten
geeigneter Form und Größe verpresst.
Der
feingemahlene Wirkstoff, ein Teil der Maisstärke, Milchzucker, mikrokristalline
Cellulose und Polyvinylpyrrolidon werden miteinander vermischt,
die Mischung gesiebt und mit dem Rest der Maisstärke und Wasser zu einem Granulat
verarbeitet, welches getrocknet und gesiebt wird. Dazu gibt man
die Natrium-carboxymethylstärke
und das Magnesiumstearat, vermischt und verpreßt das Gemisch zu Tabletten
geeigneter Größe.
Der Wirkstoff, Maisstärke, Milchzucker und Polyvinylpyrrolidon werden gut gemischt und mit Wasser befeuchtet. Die feuchte Masse drückt man durch ein Sieb mit 1 mm-Maschenweite, trocknet bei ca. 45°C und schlägt das Granulat anschließend durch dasselbe Sieb. Nach dem Zumischen von Magnesiumstearat werden auf einer Tablettiermaschine gewölbte Dragéeskerne mit einem Durchmesser von 6 mm gepresst.Of the Active ingredient, corn starch, Milk sugar and polyvinylpyrrolidone are mixed well and with Water moisturizes. The moist mass is forced through a sieve 1 mm mesh size, Dries at about 45 ° C and beats then the granules through the same sieve. After mixing magnesium stearate are on a tableting machine arched Dragéeskerne pressed with a diameter of 6 mm.
Die
so hergestellten Dragéeskerne
werden auf bekannte Weise mit einer Schicht überzogen, die im wesentlichsten
aus Zucker und Talkum besteht. Die fertigen Dragéess werden mit Wachs poliert.
Substanz
und Maisstärke
werden gemischt und mit Wasser befeuchtet. Die feuchte Masse wird
gesiebt und getrocknet. Das trockene Granulat wird gesiebt und mit
Magensiumstearat gemischt. Die Endmischung wird in Hartgelatinekapseln
Größe 1 abgefüllt.
Der
Wirkstoff wird bei Eigen-pH oder gegebenenfalls bei pH 5,5 bis 6,5
in Wasser gelöst
und mit Natriumchlorid als Isotonans versetzt. Die erhaltene Lösung wird
pyrogenfrei filtriert und das Filtrat unter aseptischen Bedingungen
in Ampullen abgefüllt,
die anschließend
sterilisiert und zugeschmolzen werden. Die Ampullen enthalten 5
mg, 25 mg und 50 mg Wirkstoff.
Das
Hartfett wird geschmolzen. Bei 40°C
wird die gemahlene Wirksubstanz homogen dispergiert. Es wird auf
38°C abgekühlt und
in schwach vorgekühlte
Suppositorienformen ausgegossen
Destilliertes Wasser wird auf 70°C erhitzt. Hierin wird unter Rühren Hydroxyethyl-cellulose gelöst. Nach Zugabe von Sorbitlösung und Glycerin wird auf Raumtemperatur abgekühlt.distilled Water gets to 70 ° C heated. Herein is stirring Hydroxyethyl cellulose dissolved. To Addition of sorbitol solution and glycerol is cooled to room temperature.
Bei Raumtemperatur werden Sorbinsäure, Aroma und Substanz zugegeben. Zur Entlüftung der Suspension wird unter Rühren evakuiert.
- und 50 mg Wirkstoff.
- and 50 mg of active ingredient.
Claims (36)
Priority Applications (45)
| Application Number | Priority Date | Filing Date | Title |
|---|---|---|---|
| DE102004048877A DE102004048877A1 (en) | 2004-10-07 | 2004-10-07 | New tricyclic thiazole derivatives useful as PI3 kinase inhibitors, for treating e.g. inflammatory and allergic airway and skin diseases, autoimmune and kidney disease |
| UY29149A UY29149A1 (en) | 2004-10-07 | 2005-10-04 | TIAZOLIL-DIHIDRO-INDAZOLES |
| KR1020077010387A KR20070064660A (en) | 2004-10-07 | 2005-10-05 | PI3 Kinase |
| BRPI0518169-0A BRPI0518169A (en) | 2004-10-07 | 2005-10-05 | thiazolyl dihydro indazoles |
| RU2007116858/04A RU2403258C2 (en) | 2004-10-07 | 2005-10-05 | Thiazolyldihydroindazoles |
| BRPI0516557-1A BRPI0516557A (en) | 2004-10-07 | 2005-10-05 | pi3 kinases |
| JP2007535159A JP5122287B2 (en) | 2004-10-07 | 2005-10-05 | PI3 kinase |
| MX2007003802A MX2007003802A (en) | 2004-10-07 | 2005-10-05 | Thiazolyl-dihydro indazoles. |
| AU2005293609A AU2005293609B2 (en) | 2004-10-07 | 2005-10-05 | Thiazolyl-dihydro indazoles |
| DE502005003777T DE502005003777D1 (en) | 2004-10-07 | 2005-10-05 | THIAZOLYL-dihydro-indazoles |
| CA2579279A CA2579279C (en) | 2004-10-07 | 2005-10-05 | Tricyclic thiazole derivatives as pi3 kinases |
| EP11158787A EP2343303A1 (en) | 2004-10-07 | 2005-10-05 | PI3-kinase inhibitors |
| PCT/EP2005/055015 WO2006040279A1 (en) | 2004-10-07 | 2005-10-05 | Pi3 kinases |
| AT05792037T ATE392425T1 (en) | 2004-10-07 | 2005-10-05 | THIAZOLYL-DIHYDRO-INDAZOLES |
| JP2007535166A JP5090914B2 (en) | 2004-10-07 | 2005-10-05 | Thiazolyldihydroindazoles |
| PCT/EP2005/055021 WO2006040281A1 (en) | 2004-10-07 | 2005-10-05 | Thiazolyl-dihydro indazoles |
| PT05792037T PT1799690E (en) | 2004-10-07 | 2005-10-05 | Thiazolyl-dihydro indazoles |
| EP05792037A EP1799690B1 (en) | 2004-10-07 | 2005-10-05 | Thiazolyl-dihydro indazoles |
| MX2007004051A MX2007004051A (en) | 2004-10-07 | 2005-10-05 | Pi3 kinases. |
| NZ554695A NZ554695A (en) | 2004-10-07 | 2005-10-05 | Thiazolyl-dihydro indazoles |
| ES05792037T ES2304022T3 (en) | 2004-10-07 | 2005-10-05 | TIAZOLIL-DIHIDRO-INDAZOLES. |
| CN2005800343320A CN101035795B (en) | 2004-10-07 | 2005-10-05 | Thiazolyldihydroindazole |
| CNA2005800344060A CN101048418A (en) | 2004-10-07 | 2005-10-05 | PI3-kinase |
| KR1020077010385A KR20070113188A (en) | 2004-10-07 | 2005-10-05 | Thiazolyldihydroindazole |
| US11/243,796 US7691888B2 (en) | 2004-10-07 | 2005-10-05 | Thiazolyl-dihydro-indazole |
| CA002579288A CA2579288A1 (en) | 2004-10-07 | 2005-10-05 | Thiazolyldihydroindazoles |
| EP05805652A EP1802636B1 (en) | 2004-10-07 | 2005-10-05 | Pi3 kinases inhibitors |
| AU2005293607A AU2005293607A1 (en) | 2004-10-07 | 2005-10-05 | PI3 kinases |
| DK05792037T DK1799690T3 (en) | 2004-10-07 | 2005-10-05 | Thiazolyl-dihydro-indazoles |
| US11/244,299 US20060106013A1 (en) | 2004-10-07 | 2005-10-05 | PI3-kinases |
| RU2007116861/04A RU2007116861A (en) | 2004-10-07 | 2005-10-05 | P13-KINASES |
| PE2005001178A PE20060583A1 (en) | 2004-10-07 | 2005-10-05 | TIAZOLIL-DIHIDRO-INDAZOLES AS INHIBITORS OF PI3-KINASES |
| SI200530249T SI1799690T1 (en) | 2004-10-07 | 2005-10-05 | Thiazolyl-dihydro indazoles |
| PL05792037T PL1799690T3 (en) | 2004-10-07 | 2005-10-05 | Thiazolyl-dihydro indazoles |
| TW094134894A TW200630374A (en) | 2004-10-07 | 2005-10-06 | Thiazolyldihydroindazoles |
| TW094134899A TW200628475A (en) | 2004-10-07 | 2005-10-06 | PI3-kinases |
| ARP050104226A AR051743A1 (en) | 2004-10-07 | 2005-10-07 | TIAZOLIL - DIHIDRO- INDAZOLES |
| ARP050104225A AR055273A1 (en) | 2004-10-07 | 2005-10-07 | PI3-QUINASAS, ITS AND PHARMACEUTICAL COMPOSITIONS THAT CONTAIN THEM |
| ZA200701470A ZA200701470B (en) | 2004-10-07 | 2007-02-20 | PI3 kinases |
| ZA200701653A ZA200701653B (en) | 2004-10-07 | 2007-02-26 | Thiazolyl-dihydro indazoles |
| IL182398A IL182398A0 (en) | 2004-10-07 | 2007-04-10 | Pi3 kinases |
| IL182397A IL182397A (en) | 2004-10-07 | 2007-04-10 | Thiazolyldihydroindazole derivatives, pharmaceutical compositions containing them and tetrahydrobenzthiazoleacetamide intermediates for their preparation |
| CY20081100722T CY1108183T1 (en) | 2004-10-07 | 2008-07-09 | THIAZOLYLO-DIDHRO-INDAZOLIA |
| US12/366,248 US8232286B2 (en) | 2004-10-07 | 2009-02-05 | Inhibitors of PI3-kinases |
| US12/685,213 US8207349B2 (en) | 2004-10-07 | 2010-01-11 | Thiazolyl-dihydro-indazoles |
Applications Claiming Priority (1)
| Application Number | Priority Date | Filing Date | Title |
|---|---|---|---|
| DE102004048877A DE102004048877A1 (en) | 2004-10-07 | 2004-10-07 | New tricyclic thiazole derivatives useful as PI3 kinase inhibitors, for treating e.g. inflammatory and allergic airway and skin diseases, autoimmune and kidney disease |
Publications (1)
| Publication Number | Publication Date |
|---|---|
| DE102004048877A1 true DE102004048877A1 (en) | 2006-04-13 |
Family
ID=36088804
Family Applications (1)
| Application Number | Title | Priority Date | Filing Date |
|---|---|---|---|
| DE102004048877A Withdrawn DE102004048877A1 (en) | 2004-10-07 | 2004-10-07 | New tricyclic thiazole derivatives useful as PI3 kinase inhibitors, for treating e.g. inflammatory and allergic airway and skin diseases, autoimmune and kidney disease |
Country Status (2)
| Country | Link |
|---|---|
| DE (1) | DE102004048877A1 (en) |
| ZA (2) | ZA200701470B (en) |
Cited By (8)
| Publication number | Priority date | Publication date | Assignee | Title |
|---|---|---|---|---|
| WO2007113245A1 (en) * | 2006-04-06 | 2007-10-11 | Boehringer Ingelheim International Gmbh | Thiazolyl dihydro-indazoles |
| WO2009112565A1 (en) * | 2008-03-13 | 2009-09-17 | Boehringer Ingelheim International Gmbh | Thiazolyl-dihydro-indazoles |
| US8357707B2 (en) | 2009-07-02 | 2013-01-22 | Novartis Ag | 2-carboxamide cycloamino ureas |
| US11084825B2 (en) | 2018-12-31 | 2021-08-10 | Biomea Fusion, Llc | Substituted pyridines as irreversible inhibitors of menin-MLL interaction |
| US11174263B2 (en) | 2018-12-31 | 2021-11-16 | Biomea Fusion, Inc. | Inhibitors of menin-MLL interaction |
| US12018032B2 (en) | 2021-08-20 | 2024-06-25 | Biomea Fusion, Inc. | Crystalline forms of N-[4-[4-(4-morpholinyl)-7H-pyrrolo[2,3-d]pyrimidin-6-yl]phenyl]-4-[[3(r)-[(1-oxo-2-propen-1-yl)amino]-1-piperidinyl]methyl]-2-pyridinecarboxamide as an irreversible inhibitor of menin-MLL interaction |
| US12215113B2 (en) | 2023-01-18 | 2025-02-04 | Biomea Fusion, Inc. | Crystalline forms of N[4[4-(4-Morpholinyl)-7H-Pyrrolo[2-3-D]Pyrimidin-6-yl]Phenyl]-4-[[3(R)-[(1-Oxo-2-Protein-1-yl)Amino]-1-Piperidinyl]Methyl]2-Pyridinecarboxamide] |
| US12251385B2 (en) | 2021-08-11 | 2025-03-18 | Biomea Fusion, Inc. | Covalent inhibitors of menin-MLL interaction for diabetes mellitus |
-
2004
- 2004-10-07 DE DE102004048877A patent/DE102004048877A1/en not_active Withdrawn
-
2007
- 2007-02-20 ZA ZA200701470A patent/ZA200701470B/en unknown
- 2007-02-26 ZA ZA200701653A patent/ZA200701653B/en unknown
Cited By (15)
| Publication number | Priority date | Publication date | Assignee | Title |
|---|---|---|---|---|
| WO2007113245A1 (en) * | 2006-04-06 | 2007-10-11 | Boehringer Ingelheim International Gmbh | Thiazolyl dihydro-indazoles |
| US7902183B2 (en) | 2006-04-06 | 2011-03-08 | Boehringer Ingelheim International Gmbh | Thiazolyl-dihydro-indazole |
| WO2009112565A1 (en) * | 2008-03-13 | 2009-09-17 | Boehringer Ingelheim International Gmbh | Thiazolyl-dihydro-indazoles |
| US8304556B2 (en) | 2008-03-13 | 2012-11-06 | Boehringer Ingelheim International Gmbh | Thiazolyl-dihydro-indazoles |
| US8357707B2 (en) | 2009-07-02 | 2013-01-22 | Novartis Ag | 2-carboxamide cycloamino ureas |
| US11174263B2 (en) | 2018-12-31 | 2021-11-16 | Biomea Fusion, Inc. | Inhibitors of menin-MLL interaction |
| US11084825B2 (en) | 2018-12-31 | 2021-08-10 | Biomea Fusion, Llc | Substituted pyridines as irreversible inhibitors of menin-MLL interaction |
| US11702421B2 (en) | 2018-12-31 | 2023-07-18 | Biomea Fusion, Llc | Substituted pyridines as irreversible inhibitors of menin-MLL interaction |
| US11845753B2 (en) | 2018-12-31 | 2023-12-19 | Biomea Fusion, Inc. | Inhibitors of menin-mll interaction |
| US12077544B2 (en) | 2018-12-31 | 2024-09-03 | Biomea Fusion, Inc. | Irreversible inhibitors of menin-MLL interaction |
| US12116371B2 (en) | 2018-12-31 | 2024-10-15 | Biomea Fusion, Inc. | Substituted pyridines as irreversible inhibitors of menin-MLL interaction |
| US12275739B2 (en) | 2018-12-31 | 2025-04-15 | Biomea Fusion, Inc. | Inhibitors of menin-MLL interaction |
| US12251385B2 (en) | 2021-08-11 | 2025-03-18 | Biomea Fusion, Inc. | Covalent inhibitors of menin-MLL interaction for diabetes mellitus |
| US12018032B2 (en) | 2021-08-20 | 2024-06-25 | Biomea Fusion, Inc. | Crystalline forms of N-[4-[4-(4-morpholinyl)-7H-pyrrolo[2,3-d]pyrimidin-6-yl]phenyl]-4-[[3(r)-[(1-oxo-2-propen-1-yl)amino]-1-piperidinyl]methyl]-2-pyridinecarboxamide as an irreversible inhibitor of menin-MLL interaction |
| US12215113B2 (en) | 2023-01-18 | 2025-02-04 | Biomea Fusion, Inc. | Crystalline forms of N[4[4-(4-Morpholinyl)-7H-Pyrrolo[2-3-D]Pyrimidin-6-yl]Phenyl]-4-[[3(R)-[(1-Oxo-2-Protein-1-yl)Amino]-1-Piperidinyl]Methyl]2-Pyridinecarboxamide] |
Also Published As
| Publication number | Publication date |
|---|---|
| ZA200701470B (en) | 2009-05-27 |
| ZA200701653B (en) | 2008-07-30 |
Similar Documents
| Publication | Publication Date | Title |
|---|---|---|
| EP1802636B1 (en) | Pi3 kinases inhibitors | |
| EP2380891B1 (en) | Substituted piperidino-dihydrothienopyrimidines | |
| US7410966B2 (en) | Use of and some novel imidazopyridines | |
| EP2313406B1 (en) | 4-dimethylaminophenyl substituted napththyridines und their use as medicine | |
| EP2324022A1 (en) | Substituted naphthyridines and use thereof as medicines | |
| AU2007236045A1 (en) | Thiazolyldihydrocyclopentapyrazoles for use as PI3-kinase inhibitors | |
| AU2007236044A1 (en) | Thiazolyldihydroindazoles | |
| JP2006518368A (en) | N-heterocyclyl substituted aminothiazole derivatives as protein kinase inhibitors | |
| EP2018387A1 (en) | Thiazolyldihydroindazoles | |
| EP2007772A1 (en) | Thiazolyl-dihydroquinazolines | |
| EP2018385B1 (en) | Thiazolyl-dihydroquinazolines | |
| DE102004048877A1 (en) | New tricyclic thiazole derivatives useful as PI3 kinase inhibitors, for treating e.g. inflammatory and allergic airway and skin diseases, autoimmune and kidney disease | |
| DE102005005813A1 (en) | New thiazolo-indazole derivatives useful as PI3 kinase inhibitors, for treating e.g. cancer and other proliferative diseases, viral infections and inflammatory, autoimmune, skin and bone diseases |
Legal Events
| Date | Code | Title | Description |
|---|---|---|---|
| R119 | Application deemed withdrawn, or ip right lapsed, due to non-payment of renewal fee |
Effective date: 20110502 |
































































































































































































































































































































































































































