CN217820945U - Contour extraction enhancement system and imaging system - Google Patents
Contour extraction enhancement system and imaging system Download PDFInfo
- Publication number
- CN217820945U CN217820945U CN202222003991.1U CN202222003991U CN217820945U CN 217820945 U CN217820945 U CN 217820945U CN 202222003991 U CN202222003991 U CN 202222003991U CN 217820945 U CN217820945 U CN 217820945U
- Authority
- CN
- China
- Prior art keywords
- superlens
- lens
- contour extraction
- extraction enhancement
- super lens
- Prior art date
- Legal status (The legal status is an assumption and is not a legal conclusion. Google has not performed a legal analysis and makes no representation as to the accuracy of the status listed.)
- Active
Links
- 238000000605 extraction Methods 0.000 title claims abstract description 91
- 238000003384 imaging method Methods 0.000 title claims abstract description 39
- 150000001875 compounds Chemical class 0.000 claims abstract description 43
- 239000002131 composite material Substances 0.000 claims abstract description 13
- 239000002086 nanomaterial Substances 0.000 claims description 49
- 238000009826 distribution Methods 0.000 claims description 39
- 230000002708 enhancing effect Effects 0.000 claims description 11
- 230000004075 alteration Effects 0.000 claims description 5
- OAICVXFJPJFONN-UHFFFAOYSA-N Phosphorus Chemical compound [P] OAICVXFJPJFONN-UHFFFAOYSA-N 0.000 claims description 4
- 238000004806 packaging method and process Methods 0.000 claims description 3
- 238000000034 method Methods 0.000 abstract description 4
- 238000004519 manufacturing process Methods 0.000 abstract description 3
- 238000010586 diagram Methods 0.000 description 15
- 230000000694 effects Effects 0.000 description 10
- 230000006870 function Effects 0.000 description 7
- 230000003287 optical effect Effects 0.000 description 6
- 230000004297 night vision Effects 0.000 description 5
- 238000001514 detection method Methods 0.000 description 4
- 238000005538 encapsulation Methods 0.000 description 2
- 230000003014 reinforcing effect Effects 0.000 description 2
- YZCKVEUIGOORGS-IGMARMGPSA-N Protium Chemical compound [1H] YZCKVEUIGOORGS-IGMARMGPSA-N 0.000 description 1
- 230000015572 biosynthetic process Effects 0.000 description 1
- 238000013135 deep learning Methods 0.000 description 1
- 230000001066 destructive effect Effects 0.000 description 1
- 238000005265 energy consumption Methods 0.000 description 1
- 230000004438 eyesight Effects 0.000 description 1
- 238000001914 filtration Methods 0.000 description 1
- 230000004927 fusion Effects 0.000 description 1
- 238000012634 optical imaging Methods 0.000 description 1
- 230000003595 spectral effect Effects 0.000 description 1
- 238000001228 spectrum Methods 0.000 description 1
Images
Landscapes
- Lenses (AREA)
Abstract
The utility model provides a profile extraction enhancement system and imaging system, wherein, this profile extraction enhancement system includes: a compound superlens or 4f lens group; the 4f lens group comprises: the first super lens, the second super lens and the third super lens are coaxially arranged from an object space to an image space in sequence, and the focal lengths of the first super lens, the second super lens and the third super lens are the same; a compound superlens or 4f mirror set is used to extract and enhance the contours of the incident image. Through the contour extraction enhancement system and the imaging system provided by the embodiment of the utility model, the one-piece type composite super lens or the three-piece type 4f lens group is adopted, the contour extraction and enhancement are directly carried out on the incident image, the complex algorithm and image processing are not needed, and the whole process is fast; and because two different structures of the contour extraction enhancement system all adopt the superlens, the contour extraction enhancement system has the advantages of thin volume, light weight, simple structure, low cost, easy mass production and the like.
Description
Technical Field
The utility model relates to an optical imaging technical field particularly, relates to a profile extraction enhancement system and imaging system.
Background
At present, if the edge contour detection and enhancement function of an image object is to be realized, a device (such as an infrared device and also comprising an ocular lens) for contour detection and enhancement needs to be superposed on an image display system (comprising an ocular lens), and complicated implementation operation and image processing are carried out on the structure of the two ocular lenses, so that the function can be realized. For example, if the "outline fusion mode" of the binocular enhanced night vision device (ENVG-B) with a binocular structure is to be used, the edge outline of an object in the received image needs to be extracted and enhanced by an algorithm, for example, a Deep Learning algorithm or a CV (computer vision) algorithm, so that the overall structure of the device for realizing the outline detection and enhancement function is complex and computationally intensive, and finally the binocular enhanced night vision device including the device also has the disadvantages of complex and heavy structure, complex implementation operation and image processing, and high requirement for a user.
SUMMERY OF THE UTILITY MODEL
In order to solve the above problem, an object of the embodiments of the present invention is to provide a contour extraction enhancement system and an imaging system.
In a first aspect, an embodiment of the present invention provides a contour extraction enhancement system, including: a compound superlens or 4f lens group; the 4f mirror group includes: the lens comprises a first super lens, a second super lens and a third super lens which are coaxially arranged from an object space to an image space in sequence, wherein the focal lengths of the first super lens, the second super lens and the third super lens are the same; the compound superlens or the 4f mirror group is used for extracting and enhancing the outline of an incident image.
Optionally, where the contour extraction enhancement system comprises the compound superlens, the compound superlens comprises nanostructures; the phase distribution of the compound superlens satisfies the following conditions:
wherein,representing a phase profile of the compound superlens; lambda [ alpha ] 1 Representing an operating wavelength of the compound superlens; r is 1 Representing the distance from the center of the composite superlens to the nanostructure on its surface; f. of 1 And l represents the tangential direction of the position of the nano structure by taking the center of the composite superlens as the center of a circle.
Optionally, in a case where the contour extraction enhancement system includes the 4f mirror group, the phase distributions of the first and third superlenses are identical and different from the phase distribution of the second superlens; the first super lens can convert the incident image from a time domain signal into a frequency domain signal and emit the frequency domain signal to the second super lens; the second super lens can convert the frequency domain signal from low frequency to high frequency and emit the frequency domain signal to the third super lens; the third super lens can restore the frequency domain signal which is converted to high frequency into a time domain signal and emit the time domain signal.
Optionally, the first superlens comprises a first nanostructure and the third superlens comprises a third nanostructure; the phase distributions of the first and third superlenses each satisfy:wherein λ is 2 RepresentAn operating wavelength of the first superlens or the third superlens; (x, y) represents coordinates of the first nanostructure or the third nanostructure; f represents the first superlens or the third superlens focal length.
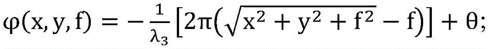
Optionally, the second superlens comprises a second nanostructure, and a phase distribution of the second superlens satisfies:wherein λ is 3 Represents an operating wavelength of the second superlens; (x, y) represents the coordinates of the second nanostructure on the second superlens; f represents the focal length of the second superlens; θ represents an angle of the second nanostructure in polar coordinates centered on the second superlens.
In a second aspect, the embodiment of the present invention further provides an imaging system, including: the contour extraction enhancement system, objective lens system, and eyepiece lens system as any one of the above; the objective lens system is used for generating an incident image from ambient light and emitting the incident image into the contour extraction enhancement system positioned on the light emitting side of the objective lens system; the outline extraction enhancement system is used for extracting and enhancing the outline of the incident image, and transmitting the incident image with the enhanced outline to the ocular lens system positioned on the light-emitting side of the outline extraction enhancement system; the eyepiece lens system comprises at least one first lens and is used for magnifying and emitting the incident image with the enhanced outline.
Optionally, the objective lens system comprises a plurality of second lenses, and at least part of the plurality of second lenses is a superlens.
Optionally, the first lenses are all superlenses.
Optionally, the first lens is two in number, and the eyepiece lens system is capable of correcting aberrations.
Optionally, the contour extraction enhancement system and the eyepiece system are integrated into a single structure by wafer level packaging.
Optionally, the imaging system further comprises: an image intensifier and a fluorescent screen disposed between the objective lens system and the contour extraction enhancement system; the image intensifier is arranged on the light emergent side of the objective lens system and used for intensifying and amplifying the incident image; the fluorescent screen is arranged on the light-emitting side surface of the image intensifier and used for displaying the intensified and amplified incident image and transmitting the displayed incident image to the contour extraction and intensification system.
Optionally, where the contour extraction enhancement system comprises the 4f mirror set, the phosphor screen is located at an object focal plane of the contour extraction enhancement system.
In the embodiment of the present invention, in the scheme provided by the first aspect, the one-piece type compound super lens or the three-piece type 4f lens group is adopted, so as to directly extract and enhance the contour of the incident image, without the help of complex algorithm and image processing, and the whole process is fast; and because two different structures of the contour extraction enhancement system all adopt the superlens, the contour extraction enhancement system has the advantages of thin volume, light weight, simple structure, low cost, easy mass production and the like.
In the solution provided by the second aspect of the embodiment of the present invention, the objective lens system and the eyepiece lens system can be adopted to enable the imaging system to realize the most basic imaging function; moreover, any one of the above contour extraction enhancement systems is arranged between the objective lens system and the eyepiece lens system, so that the edge contour in the incident image generated by the objective lens system can be extracted and enhanced, for example, the contour in the incident image is clearer and brighter, so as to achieve the effect similar to "edge tracing". When the imaging system is used for extracting and enhancing the outline of the incident image, no complex algorithm and image processing step are needed, and the imaging system is simple in structure and lighter.
In order to make the aforementioned and other objects, features and advantages of the present invention comprehensible, preferred embodiments accompanied with figures are described in detail below.
Drawings
In order to more clearly illustrate the embodiments of the present invention or the technical solutions in the prior art, the drawings used in the description of the embodiments or the prior art will be briefly described below, it is obvious that the drawings in the description below are only some embodiments of the present invention, and for those skilled in the art, other drawings can be obtained according to the drawings without creative efforts.
Fig. 1 is a schematic diagram illustrating a contour extraction enhancement system provided by an embodiment of the present invention;
fig. 2 is a schematic diagram of another contour extraction enhancement system provided by an embodiment of the present invention;
fig. 3 is a schematic diagram of an imaging system provided by an embodiment of the present invention;
fig. 4 is a schematic structural diagram illustrating an eyepiece system provided in an embodiment of the present invention;
fig. 5 is a schematic structural view of another eyepiece system provided by an embodiment of the present invention;
fig. 6 is a schematic structural diagram illustrating a first contour extraction enhancement system and an eyepiece system packaged as an integral structure according to an embodiment of the present invention;
fig. 7 is a schematic structural diagram illustrating a second contour extraction enhancement system and an eyepiece system packaged as a single structure according to an embodiment of the present invention;
FIG. 8 is a schematic diagram of a third contour extraction enhancement system provided by an embodiment of the present invention packaged with an eyepiece system;
FIG. 9 is a schematic diagram illustrating a fourth embodiment of the present invention, wherein the contour extraction enhancement system is packaged with an eyepiece system;
fig. 10 shows a schematic diagram of another imaging system provided by the embodiment of the invention.
An icon:
the system comprises a 1-contour extraction enhancement system, a 2-objective system, a 3-eyepiece system, a 4-image intensifier, a 5-fluorescent screen, a 10-composite super lens, a 20-4f lens group, a 201-first super lens, a 202-second super lens and a 203-third super lens.
Detailed Description
In the description of the present invention, it is to be understood that the terms "center", "longitudinal", "lateral", "length", "width", "thickness", "upper", "lower", "front", "rear", "left", "right", "vertical", "horizontal", "top", "bottom", "inner", "outer", "clockwise", "counterclockwise" and the like indicate orientations or positional relationships based on the orientations or positional relationships shown in the drawings, and are only for convenience of description and to simplify the description, but do not indicate or imply that the device or element referred to must have a particular orientation, be constructed and operated in a particular orientation, and therefore should not be construed as limiting the present invention.
Furthermore, the terms "first", "second" and "first" are used for descriptive purposes only and are not to be construed as indicating or implying relative importance or implicitly indicating the number of technical features indicated. Thus, a feature defined as "first" or "second" may explicitly or implicitly include one or more of that feature. In the description of the present invention, "a plurality" means two or more unless specifically limited otherwise.
In the present invention, unless otherwise expressly specified or limited, the terms "mounted," "connected," and "fixed" are to be construed broadly and may, for example, be fixedly connected, detachably connected, or integrally connected; can be mechanically or electrically connected; they may be connected directly or indirectly through intervening media, or they may be interconnected between two elements. The specific meaning of the above terms in the present invention can be understood according to specific situations by those skilled in the art.
The embodiment of the utility model provides a profile extraction enhancement system, this profile extraction enhancement system includes: a compound superlens 10 or 4f lens group 20; referring to fig. 1 or 2, fig. 1 shows a schematic diagram of the contour extraction enhancement system including a 4f mirror group 20; fig. 2 shows a schematic diagram of the contour extraction enhancement system including a compound superlens 10.
As shown in fig. 1, the 4f mirror group 20 includes: the optical lens system comprises a first superlens 201, a second superlens 202 and a third superlens 203 which are coaxially arranged from an object space to an image space in sequence, wherein the focal lengths of the first superlens 201, the second superlens 202 and the third superlens 203 are the same; the compound superlens 10 or 4f mirror group 20 is used to extract and enhance the contours of the incident image.
As shown in fig. 2, the embodiment of the present invention can adopt the compound super lens 10 as the profile extraction enhancement system for extracting and enhancing (dual-function) the incident image profile, the compound super lens 10 is a piece of super lens, i.e. only one piece of super lens (compound super lens 10) is adopted to realize the above functions, so that the profile extraction enhancement system is lighter and thinner as a whole, and the weight is lighter.
Alternatively, as shown in fig. 1, the embodiment of the present invention may also adopt a 4f mirror group 20 as a contour extraction enhancement system for extracting and enhancing (dual-function) the incident image contour. The 4f mirror group 20 represents a three-piece 4f optical system, that is, the 4f mirror group 20 is a mirror group including three super lenses; the three super lenses are respectively a first super lens 201, a second super lens 202 and a third super lens 203, and the first super lens 201, the second super lens 202 and the third super lens 203 are sequentially arranged from an object side (as shown in the left side of fig. 1) to an image side (as shown in the right side of fig. 1) of the contour extraction enhancement system, and the first super lens 201, the second super lens 202 and the third super lens 203 share the same principal optical axis, for example, the principal optical axes of the three super lenses coincide with each other (as shown by a horizontal dotted line in fig. 1 as the principal optical axis of the three super lenses). In the embodiment of the utility model, the three super lenses have the same focal length, and the distance between two adjacent super lenses is also the same as the focal length of the super lens; and, a superlens (e.g. the first superlens 201) located closest to the object plane (the plane for displaying the incident image) of the contour extraction enhancement system, and the distance between the superlens and the object plane is also the same as the focal length of the superlens in the 4f lens group 20 (the focal length is denoted by f in fig. 1); for example, the distance between the first superlens 201 and the object plane, the distance between the first superlens 201 and the second superlens 202, and the distance between the second superlens 202 and the third superlens 203 are all equal to the focal length of the superlens, so that the 4f mirror group 20 can achieve extraction and enhancement of the contour in the incident image.
The embodiment of the utility model provides a through adopting compound super lens 10 of one-piece formula or three-piece formula 4f mirror group 20, directly carry out the outline to incident image and draw and strengthen, need not with the help of complicated algorithm and image processing, whole process is fast; and because two different structures of the contour extraction enhancement system all adopt the superlens, the contour extraction enhancement system has the advantages of thin volume, light weight, simple structure, low cost, easy mass production and the like.
Alternatively, where the contour extraction enhancement system comprises a compound superlens 10, the compound superlens 10 comprises nanostructures; the phase distribution of the compound superlens 10 satisfies:
wherein,representing the phase profile of the compound superlens 10; lambda 1 Represents an operating wavelength of the compound superlens 10, such as a visible wavelength or an infrared wavelength; r is a radical of hydrogen 1 Indicating the distance from the center of the compound superlens 10 to its surface nanostructures (i.e., the particular location of the nanostructures on the compound superlens 10); f. of 1 Represents the focal length of the compound superlens 10; l represents a tangential direction of the position of the nanostructure with the center of the composite superlens 10 as the center of the circle, for example, a tangential direction of a circle made by taking the center of the composite superlens 10 as the center of the circle and a connecting line of the nanostructure and the center of the composite superlens 10 as a radius is l.
In the embodiment of the present invention, any one of two sides of the compound superlens 10 (for example, the object-side surface and the image-side surface of the compound superlens 10) is provided with a plurality of nanostructures, which may be arranged in an array; for example, an array of nanostructures may be disposed image-wise of the composite superlens 10 (as shown in FIG. 2 on the right-hand side surface of the composite superlens 10, i.e., on its light-exit-side surface).
For example, the composite superlens 10 with the phase distribution can make light rays constituting the incident image undergo corresponding phase modulation, such as profile extraction and enhancement, after entering, and exit from the light exit side of the composite superlens 10; wherein, in the case that the phase distribution of the compound superlens 10 satisfies the above relation (1-1), the contour extraction enhancement system can extract the contour of the incident image and enhance the contour.
The embodiment of the utility model provides a under the condition that adopts a slice super lens (compound super lens 10 promptly), can carry out phase modulation (if carry out phase modulation to the light that constitutes incident image) to incident image through the phase place distribution that this compound super lens 10 satisfied for this compound super lens 10 can draw and strengthen the profile in this incident image. The contour extraction enhancement system only has one super lens, and is simple, light, thin and low in cost.
Alternatively, as shown in fig. 1, in the case where the contour extraction enhancement system includes the 4f mirror group 20, the phase distributions of the first and third superlenses 201 and 203 are identical and different from the phase distribution of the second superlens 202; the first superlens 201 can convert the incident image from a time domain signal into a frequency domain signal, and emits the frequency domain signal to the second superlens 202; the second superlens 202 can convert the frequency domain signal from low frequency to high frequency and emit the frequency domain signal to the third superlens 203; the third superlens 203 can restore the frequency domain signal converted to the high frequency to a time domain signal and emit the time domain signal.
The embodiment of the utility model provides an in, the super lens of three pieces that 4f group 20 includes respectively correspond a phase place distribution, and the phase place distribution of every super lens can realize different phase modulation effects. For example, the phase distribution of the first superlens 201 may be such that an incident image (e.g., light rays constituting the incident image or a light field constituting the incident image) incident to the first superlens 201 is converted from a time domain signal to a frequency domain signal based on fourier transform, and the incident image (e.g., light rays constituting the incident image or the light field constituting the incident image) converted to the frequency domain signal is projected (e.g., focused) into the second superlens 202 located on the light exit side of the first superlens 201; the phase distribution of the second superlens 202 may make the second superlens 202 become a spatial filtering diffraction element, filter the frequency domain signal entering the second superlens 202, that is, convert the frequency domain signal from a low frequency signal to a high frequency signal, and project the frequency domain signal converted into the high frequency signal to the third superlens 203 located at the light-emitting side of the second superlens 202; for example, the second superlens 202 performs vortex phase modulation on the incident frequency domain signal (such as the light field constituting the incident image), redistributes the energy on the phase plane, and generates destructive interference on the flat region of the incident image, so that the edge profile is signal-enhanced; the phase distribution of the third superlens 203 may be such that the frequency domain signal (high frequency signal) incident on the third superlens 203 is restored from the frequency domain signal to a time domain signal by inverse fourier transform, and the restored time domain signal is emitted.
Since the phase distribution of the second superlens 202 is different from the phase distributions of the first superlens 201 and the third superlens 203, the phase modulation effect performed by the second superlens 202 is also different from the phase modulation effects performed by the first superlens 201 and the third superlens 203.
In the embodiment of the present invention, although the phase modulation effects achieved by the first superlens 201 and the third superlens 203 are different, the phase distribution of the first superlens 201 and the phase distribution of the third superlens 203 are used to convert the incident image (e.g., light field) in a pair of reciprocal states (e.g., fourier transform from time domain to frequency domain and inverse fourier transform from frequency domain to time domain), so the phase distribution of the first superlens 201 and the phase distribution of the third superlens 203 may be the same, that is, both phase distributions may satisfy both fourier transform and inverse fourier transform.
The embodiment of the utility model provides a under the condition that adopts three super lens (being 4f mirror group 20), can be through the phase distribution that each super lens in this 4f mirror group 20 satisfied respectively, carry out phase modulation in proper order to incident image (if carry out 3 times phase modulation in proper order to light or light field that constitute incident image), make this 4f mirror group 20 can extract and strengthen the profile in this incident image; the contour extraction enhancement system is simple in structure, light and thin in size and low in cost.
Optionally, the first superlens 201 includes a first nanostructure, and the third superlens 203 includes a third nanostructure; the phase distributions of the first and third superlenses 201 and 203 each satisfy:
wherein λ is 2 Represents the operating wavelength of the first superlens 201 or the third superlens 203; (x, y) represents coordinates of the first nanostructure or the third nanostructure, e.g., the position coordinates of the first nanostructure on the first superlens 201, or the position coordinates of the third nanostructure on the third superlens 203; f represents the focal length of the first super lens 201 or the third super lens 203, and it should be noted that, because the focal lengths of the first super lens 201, the second super lens 202 and the third super lens 203 are consistent in the 4f lens group 20 adopted in the embodiment of the present invention, f represents the focal lengths of the three super lenses in this embodiment.
Any side of the first superlens 201 may be provided with a first nanostructure, and any side of the third superlens 203 may be provided with a third nanostructure; the number of the first nanometer structures and the number of the third nanometer structures are both a plurality, and the first nanometer structures and the third nanometer structures can be arranged in an array form. As shown in fig. 1, a plurality of first nanostructures are disposed on the light-exiting side surface of the first superlens 201 (the right side surface of the first superlens 201 shown in fig. 1), and a plurality of third nanostructures are disposed on the light-entering side surface of the third superlens 203 (the left side surface of the third superlens 203 shown in fig. 1). The embodiment of the utility model provides an in, a plurality of first nanostructures and the third nanostructure that the array was arranged can make first super lens 201 and the super lens 203 of third have corresponding phase distribution respectively, and the phase distribution of these two super lenses is the same, and wherein, under the condition that the phase distribution of this first super lens 201 and the super lens 203 of third satisfies above-mentioned relational expression (2-1), this 4f mirror group 20 can carry out Fourier transform and inverse Fourier transform with incident image.
Optionally, the second superlens 202 includes a second nanostructure, and the phase distribution of the second superlens 202 satisfies:
wherein λ is 3 Represents the operating wavelength of the second superlens 202; (x, y) represents coordinates of the second nanostructure on the second superlens 202, e.g., the position coordinates of the second nanostructure on the second superlens 202; f denotes a focal length of the second superlens 202 (f is the same as the focal length of the first superlens 201 and the focal length of the third superlens 203); θ represents the angle of the second nanostructure in polar coordinates centered on the second superlens 202; for example, the center of the second superlens 202 may be taken as a pole o of a polar coordinate, and one ray ox may be taken as a polar axis, and if the second nanostructure is located at m, a connection line om between the second nanostructure and the pole o, and an included angle between the connection line om and the polar axis ox may be referred to as an angle θ of the second nanostructure in the polar coordinate.
Any side of the second superlens 202 may be provided with a plurality of second nanostructures arranged in an array. As shown in FIG. 1, a plurality of second nanostructures are disposed on the light-incident side surface of the second superlens 202 (the left side surface of the second superlens 202 shown in FIG. 1). In an embodiment of the present invention, the second plurality of nanostructures arranged in an array may cause the second superlens 202 to have a different phase distribution than the first superlens 201 and the third superlens 203; in the case where the phase distribution of the second superlens 202 satisfies the above formula (3-1), the second superlens 202 may further modulate the incident image converted into the frequency domain signal by the first superlens 201 into a high frequency signal from the low frequency signal.
The embodiment of the utility model provides a still provide an imaging system, see that fig. 3 shows, this imaging system includes: any one of the above contour extraction enhancement system 1, the objective lens system 2 and the eyepiece lens system 3; the objective lens system 2, the contour extraction enhancement system 1, and the eyepiece lens system 3 are arranged in this order from left to right in fig. 3.
The objective system 2 is used for generating an incident image from the ambient light and emitting the incident image into the contour extraction enhancement system 1 located on the light emitting side of the objective system 2; the contour extraction enhancement system 1 is used for extracting and enhancing the contour of an incident image, and transmitting the incident image after contour enhancement to an ocular lens system 3 positioned on the light-emitting side of the contour extraction enhancement system 1; the eyepiece lens system 3 includes at least one first lens for magnifying and projecting the contour-enhanced incident image.
The embodiment of the utility model provides an in, ambient light can show the light that external environment reflected, and this ambient light can be collected by this objective system 2 (this objective system 2 is penetrated into to ambient light promptly) to obtain incident image, this incident image is the image that is used for the profile extraction enhancement system 1 that the directive is located this objective system 2 light-emitting side. The incident image generated by the objective lens system 2 based on the ambient light may also be an enlarged image, that is, the objective lens system 2 also has a function of enlarging the image, and the objective lens system 2 may be formed by a common lens. After the incident image is incident on the profile extraction enhancement system 1, the profile extraction enhancement system 1 may extract and enhance the profile of the incident image based on the phase distribution (e.g., the phase distribution of the compound superlens 10, or the phase distributions of the first superlens 201, the second superlens 202, and the third superlens 203); the outline extraction enhancement system 1 emits the incident image of which the outline is extracted and enhanced into an ocular lens system 3 positioned at the light-emitting side of the outline extraction enhancement system 1, and the ocular lens system 3 further amplifies and projects the incident image of which the outline is enhanced; the eyepiece system 3 may be a lens assembly composed of one or more lenses.
For example, in the case where microscopic imaging and detection of cells are required, a light beam emitted from a cell that is fluorescently labeled may be passed through the objective lens system 2 to obtain an image (e.g., an incident image) of the cell and be incident on the contour extraction enhancement system 1; the contour extraction enhancement system 1 can extract and enhance the edge contour of each cell in the cell image, and emit the cell image (such as an incident image) with the enhanced edge contour to the ocular lens system 3; finally, the cell image with enhanced outline is amplified by the ocular lens system 3 and is emitted, for example, to human eyes.
The embodiment of the utility model adopts the objective system 2 and the ocular system 3 to ensure that the imaging system can realize the most basic imaging function; moreover, by arranging any one of the above-mentioned contour extraction enhancement systems 1 between the objective lens system 2 and the eyepiece lens system 3, the edge contour in the incident image generated by the objective lens system 2 can be extracted and enhanced, for example, the contour in the incident image is made clearer and brighter to achieve an effect similar to "edge tracing". When the imaging system is used for extracting and enhancing the outline of an incident image, a complex algorithm and an image processing step are not needed, and the imaging system is simple in structure and lighter.
Optionally, the objective lens system 2 includes a plurality of second lenses, and at least a part of the plurality of second lenses is a superlens.
Wherein, the embodiment of the present invention can replace part of the second lenses with super lenses, for example, the number of the second lenses included in the objective system 2 can be 7, and some 3 second lenses of all the second lenses of the 7-piece objective system 2 are made to be super lenses, so as to reduce the size of the objective system 2, reduce the weight thereof, and further make the imaging system including the objective system 2 lighter and thinner.
Optionally, referring to fig. 4 or 5, the first lenses are all superlenses.
Where the eyepiece system 3 comprises a piece of first lens (as shown in fig. 4), the first lens may be a superlens, i.e. the eyepiece system 3 comprises a piece of superlens; in the case where the eyepiece system 3 includes a plurality of pieces of first lenses (as shown in fig. 5), each piece of first lens may be a super lens, that is, the eyepiece system 3 includes a plurality of pieces of super lenses. Because the eyepiece lens system 3 is an ultra lens or a multi-lens ultra lens set, the volume and weight of the eyepiece lens system 3 can be reduced, and the imaging system including the eyepiece lens system 3 is lighter and thinner.
Alternatively, referring to fig. 5, the first lens is two lenses in number, and the eyepiece lens system 3 can correct aberrations.
The two first lenses included in the eyepiece system 3 can better correct various aberrations generated by incident light (e.g., an incident image with an enhanced profile entering the eyepiece system 3), for example, the aberrations can be corrected by the phase distributions of the two superlens first lenses, so as to achieve a better imaging effect.
Alternatively, referring to fig. 6 to 9, the contour extraction enhancement system 1 and the eyepiece system 3 are integrated into a single structure by wafer-level packaging.
The embodiment of the utility model provides an in, because the profile draws reinforcing system 1 and includes compound super lens 10 (super lens of a slice) or 4f mirror group 20 (super lens of three slices), eyepiece system 3 includes one slice or multi-disc super lens equally, consequently can draw reinforcing system 1 and this eyepiece system 3 with this profile and carry out wafer level encapsulation, make the two structure that becomes an organic whole, further reduce this imaging system's volume, and, the alignment accuracy of wafer level encapsulation is high, the calibration degree of difficulty is little, the processing degree of difficulty of this imaging system has been reduced.
As shown in fig. 6 to 9, fig. 6 is a schematic diagram illustrating a wafer-level package structure of the contour extraction enhancement system 1 and the eyepiece system 3 when they include a compound superlens 10 and a piece of first lens (superlens); FIG. 7 is a schematic diagram of the wafer-level package of the contour extraction enhancement system 1 and the eyepiece system 3 as a unitary structure when they include a compound superlens 10 and two first lenses (superlenses); FIG. 8 is a schematic diagram of the contour extraction enhancement system 1 including the 4f lens set 20 and the eyepiece system 3 including a first lens (superlens) packaged as a single wafer level package; fig. 9 is a schematic diagram of the contour extraction enhancement system 1 including the 4f lens set 20 and the eyepiece lens system 3 including two first lenses (superlenses) packaged together at wafer level.
Optionally, referring to fig. 10, the imaging system further comprises: an image intensifier 4 and a fluorescent screen 5 arranged between the objective system 2 and the contour extraction enhancement system 1; the image intensifier 4 is arranged on the light emergent side of the objective lens system 2 and is used for intensifying and amplifying an incident image; the phosphor screen 5 is provided on the light exit side surface of the image intensifier 4, and displays the intensified and amplified incident image and directs the displayed incident image to the contour extraction enhancing system 1.
As shown in fig. 10, fig. 10 shows the right side of the objective lens system 2 as its light exit side; an image intensifier 4 and a fluorescent screen 5 are arranged in sequence on the light-emitting side of the objective system 2, wherein the fluorescent screen 5 may be a screen arranged directly on the light-emitting side surface of the image intensifier 4, for example, the image intensifier 4 and the fluorescent screen 5 may be of an integral structure. In the embodiment of the present invention, the incident image emitted from the objective system 2 can be emitted into the image intensifier 4 to enhance the image intensifier 4, for example, photons corresponding to the incident image are firstly emitted to the target surface of the photocathode in the image intensifier 4 to generate electrons, then the intensifier in the image intensifier 4 multiplies the generated electrons, and finally the multiplied electrons are projected to the fluorescent screen 5 to be converted into photons to form the enhanced incident image; wherein the imaging spectral range of the objective system 2 may be 630nm to 900nm, and the central wavelength of the luminescent spectrum of the fluorescent screen 5 may be 545nm.
Since the imaging system comprises the image intensifier 4 and the fluorescent screen 5, the imaging system can be used as a night vision device in a low-light environment (such as night), and good imaging effect can be obtained. For example, in a dim light environment, the moonlight and the starlight at night illuminate a target and can be reflected to generate dim and weak photons (ambient light), the photons are collected by the objective system 2 and projected into the image intensifier 4 (for example, the photocathode target surface of the image intensifier 4 is located on one side of the image intensifier 4 closest to the objective system 2), the photocathode releases electrons and emits the electrons to the microchannel plate of the image intensifier 4, the electrons are multiplied by the microchannel plate and attracted to the fluorescent screen 5 arranged on the light-emitting side of the image intensifier 4, and the fluorescent screen 5 has a higher voltage to convert the multiplied photoelectrons into photons and reproduce incident images (images formed by the dim ambient light) received by the photocathode target surface on the surface of the fluorescent screen 5; the incident image displayed on the fluorescent screen 5 can be sequentially transmitted into the outline extraction enhancement system 1 and the ocular lens system 3, and finally, the human eyes can see the image with clear outline through the ocular lens system 3.
The embodiment of the utility model provides a through set gradually image intensifier 4 and fluorescent screen 5 between objective system 2 and outline extraction enhancement system 1, can strengthen faint ambient light, also can reach fine formation of image effect under dark environment; moreover, the imaging system also has the effect of enhancing the outline (such as human shape) in the image, and can be well applied to devices such as a military night vision device, so that the military night vision device has lighter self weight, smaller volume and uncomplicated structure, the speed of the outline extraction and enhancement process is high, the energy consumption is low, complex data processing in the later period is not needed, and the use difficulty is reduced.
Alternatively, in case the contour extraction enhancement system 1 comprises a 4f mirror set 20, the phosphor screen 5 is located in the object focal plane of the contour extraction enhancement system 1.
The embodiment of the utility model provides an in, because of this profile draws enhancement system 1 is under the condition that adopts 4f group 20, need make incident image's the place plane and this 4f group 20 in the distance between the place plane of first super lens 201 satisfy this first super lens 201's focus, the distance is equal to the focus between the two promptly, so under this condition, fluorescent screen 5 should be located this profile and draws the object space focal plane of enhancement system 1, thereby make this profile draw the incident image that three super lenses in the enhancement system 1 and this fluorescent screen 5 become constitute 4f optical system, make this profile draw enhancement system 1 can carry out the profile to the incident image on fluorescent screen 5 surface and draw and strengthen.
The above description is only for the specific embodiments of the present invention, but the protection scope of the present invention is not limited thereto, and any person skilled in the art can easily think of the technical solutions of the changes or replacements within the technical scope of the present invention, and all should be covered within the protection scope of the present invention. Therefore, the protection scope of the present invention shall be subject to the protection scope of the claims.
Claims (12)
1. A contour extraction enhancement system, comprising: a compound superlens (10) or a 4f lens group (20);
the 4f mirror group (20) includes: the zoom lens comprises a first super lens (201), a second super lens (202) and a third super lens (203), wherein the first super lens (201), the second super lens (202) and the third super lens (203) are coaxially arranged from an object side to an image side in sequence, and the focal lengths of the first super lens (201), the second super lens (202) and the third super lens (203) are the same;
the compound superlens (10) or the 4f mirror group (20) is used for extracting and enhancing the outline of an incident image.
2. The contour extraction enhancement system of claim 1, wherein, in the case that the contour extraction enhancement system comprises the compound superlens (10), the compound superlens (10) comprises nanostructures; the phase distribution of the compound superlens (10) satisfies:
wherein,representing a phase profile of the compound superlens (10); lambda [ alpha ] 1 Represents an operating wavelength of the compound superlens (10); r is 1 Represents the distance of the center of the composite superlens (10) to the nano-structure on the surface thereof; f. of 1 Represents the focal length of the compound superlens (10); l represents the tangential direction of the position of the nano structure by taking the center of the composite super lens (10) as the center of a circle.
3. The contour extraction enhancement system according to claim 1, characterized in that in case the contour extraction enhancement system comprises the 4f mirror group (20), the phase distribution of the first superlens (201) and the third superlens (203) is identical and different from the phase distribution of the second superlens (202);
the first super lens (201) can convert the incident image from a time domain signal into a frequency domain signal and emit the frequency domain signal to the second super lens (202);
the second super lens (202) can convert the frequency domain signal from low frequency to high frequency and transmit the frequency domain signal to the third super lens (203);
the third super lens (203) can restore the frequency domain signal converted to high frequency to a time domain signal and emit the time domain signal.
4. The contour extraction enhancement system of claim 3, wherein the first superlens (201) comprises first nanostructures, and the third superlens (203) comprises third nanostructures;
wherein λ is 2 Represents an operating wavelength of the first superlens (201) or the third superlens (203); (x, y) represents coordinates of the first nanostructure or the third nanostructure; f represents the focal length of the first superlens (201) or the third superlens (203).
5. The contour extraction enhancement system of claim 3, wherein the second superlens (202) comprises second nanostructures, the phase profile of the second superlens (202) satisfying:
wherein λ is 3 Represents an operating wavelength of the second superlens (202); (x, y) represents the coordinates of the second nanostructure on the second superlens (202); f represents the focal length of the second superlens (202); θ represents an angle of the second nanostructure in polar coordinates centered on the second superlens (202).
6. An imaging system, comprising: the contour extraction enhancement system (1), the objective system (2) and the eyepiece system (3) according to any one of the preceding claims 1-5;
the objective system (2) is used for generating an incident image from the ambient light and emitting the incident image into the contour extraction enhancement system (1) on the light emitting side of the objective system (2);
the contour extraction enhancement system (1) is used for extracting and enhancing the contour of the incident image, and the incident image with the enhanced contour is emitted to the ocular lens system (3) positioned on the light-emitting side of the contour extraction enhancement system (1);
the eyepiece lens system (3) comprises at least one first lens and is used for amplifying and emitting the incident image after the outline enhancement.
7. The imaging system according to claim 6, characterized in that the objective system (2) comprises a plurality of second lenses, and at least part of the plurality of second lenses is a superlens.
8. The imaging system of claim 6, wherein the first lenses are each superlenses.
9. The imaging system according to claim 8, characterized in that the first lens is two in number and the eyepiece system (3) is capable of correcting aberrations.
10. The imaging system according to claim 8, characterized in that the contour extraction enhancement system (1) and the eyepiece system (3) are integrated by wafer level packaging.
11. The imaging system of any of claims 6-10, further comprising: an image intensifier (4) and a fluorescent screen (5) arranged between the objective system (2) and the contour extraction enhancement system (1);
the image intensifier (4) is arranged on the light-emitting side of the objective lens system (2) and is used for intensifying and amplifying the incident image;
the fluorescent screen (5) is arranged on the light-emitting side surface of the image intensifier (4) and is used for displaying the intensified and amplified incident image and transmitting the displayed incident image to the contour extraction and intensification system (1).
12. The imaging system according to claim 11, characterized in that the phosphor screen (5) is located in an object-wise focal plane of the contour extraction enhancement system (1) in case the contour extraction enhancement system (1) comprises the 4f mirror group (20).
Priority Applications (1)
| Application Number | Priority Date | Filing Date | Title |
|---|---|---|---|
| CN202222003991.1U CN217820945U (en) | 2022-08-01 | 2022-08-01 | Contour extraction enhancement system and imaging system |
Applications Claiming Priority (1)
| Application Number | Priority Date | Filing Date | Title |
|---|---|---|---|
| CN202222003991.1U CN217820945U (en) | 2022-08-01 | 2022-08-01 | Contour extraction enhancement system and imaging system |
Publications (1)
| Publication Number | Publication Date |
|---|---|
| CN217820945U true CN217820945U (en) | 2022-11-15 |
Family
ID=83970040
Family Applications (1)
| Application Number | Title | Priority Date | Filing Date |
|---|---|---|---|
| CN202222003991.1U Active CN217820945U (en) | 2022-08-01 | 2022-08-01 | Contour extraction enhancement system and imaging system |
Country Status (1)
| Country | Link |
|---|---|
| CN (1) | CN217820945U (en) |
Cited By (7)
| Publication number | Priority date | Publication date | Assignee | Title |
|---|---|---|---|---|
| US11927769B2 (en) | 2022-03-31 | 2024-03-12 | Metalenz, Inc. | Polarization sorting metasurface microlens array device |
| US11978752B2 (en) | 2019-07-26 | 2024-05-07 | Metalenz, Inc. | Aperture-metasurface and hybrid refractive-metasurface imaging systems |
| US11988844B2 (en) | 2017-08-31 | 2024-05-21 | Metalenz, Inc. | Transmissive metasurface lens integration |
| US12140778B2 (en) | 2018-07-02 | 2024-11-12 | Metalenz, Inc. | Metasurfaces for laser speckle reduction |
| US12416752B2 (en) | 2018-01-24 | 2025-09-16 | President And Fellows Of Harvard College | Polarization state generation with a metasurface |
| US12460919B2 (en) | 2019-10-31 | 2025-11-04 | President And Fellows Of Harvard College | Compact metalens depth sensors |
| US12548980B2 (en) | 2022-05-25 | 2026-02-10 | Metalenz, Inc. | Single element dot pattern projector |
-
2022
- 2022-08-01 CN CN202222003991.1U patent/CN217820945U/en active Active
Cited By (10)
| Publication number | Priority date | Publication date | Assignee | Title |
|---|---|---|---|---|
| US11988844B2 (en) | 2017-08-31 | 2024-05-21 | Metalenz, Inc. | Transmissive metasurface lens integration |
| US12411348B2 (en) | 2017-08-31 | 2025-09-09 | Metalenz, Inc. | Transmissive metasurface lens integration |
| US12416752B2 (en) | 2018-01-24 | 2025-09-16 | President And Fellows Of Harvard College | Polarization state generation with a metasurface |
| US12140778B2 (en) | 2018-07-02 | 2024-11-12 | Metalenz, Inc. | Metasurfaces for laser speckle reduction |
| US11978752B2 (en) | 2019-07-26 | 2024-05-07 | Metalenz, Inc. | Aperture-metasurface and hybrid refractive-metasurface imaging systems |
| US12389700B2 (en) | 2019-07-26 | 2025-08-12 | Metalenz, Inc. | Aperture-metasurface and hybrid refractive-metasurface imaging systems |
| US12460919B2 (en) | 2019-10-31 | 2025-11-04 | President And Fellows Of Harvard College | Compact metalens depth sensors |
| US11927769B2 (en) | 2022-03-31 | 2024-03-12 | Metalenz, Inc. | Polarization sorting metasurface microlens array device |
| US12276807B2 (en) | 2022-03-31 | 2025-04-15 | Metalenz, Inc. | Polarization sorting metasurface microlens array device |
| US12548980B2 (en) | 2022-05-25 | 2026-02-10 | Metalenz, Inc. | Single element dot pattern projector |
Similar Documents
| Publication | Publication Date | Title |
|---|---|---|
| CN217820945U (en) | Contour extraction enhancement system and imaging system | |
| Yang et al. | Wide field-of-view metalens: a tutorial | |
| Chrzanowski | Review of night vision technology | |
| EP1515173A1 (en) | Optical devices particularly for remote viewing applications | |
| US11573421B2 (en) | Light field near eye display device | |
| CN217981991U (en) | Dental imaging device | |
| CN102224440A (en) | Flat field eyepiece | |
| CN111722388B (en) | A three-dimensional micro endoscope | |
| CN110262000A (en) | A kind of miniaturization focal length fog penetration lens and optoelectronic device | |
| Ha et al. | Design of a wearable wide-angle projection color display | |
| Majorel et al. | Bio-inspired flat optics for directional 3D light detection and ranging | |
| CN217932273U (en) | 90-degree image-rotating eyepiece optical system | |
| JP3617257B2 (en) | Eyepiece optical system and eyepiece image display device | |
| CN117111266A (en) | A low-light night vision lens with a large field of view and a large relative aperture and its design method | |
| US11640062B2 (en) | Near-eye light field display device | |
| CN112596217B (en) | Infrared confocal lens | |
| JP2016166917A (en) | Mirror display | |
| US20220082734A1 (en) | Near-eye light field display device | |
| US7636199B2 (en) | Optical device for superposing electronic images in front of an objective | |
| CN219758541U (en) | Optical waveguide device for near-eye display and near-eye display device | |
| Lai et al. | Research progress of night vision technology | |
| Stoychev et al. | Night vision monocular-basic elements and development trends | |
| Zheng et al. | Fast zoom portable night vision telescope based on liquid lenses and folded optical structure | |
| US3868504A (en) | Modular biocular eyepiece for thermal image systems | |
| Liang et al. | Optical design and testing: introduction |
Legal Events
| Date | Code | Title | Description |
|---|---|---|---|
| GR01 | Patent grant | ||
| GR01 | Patent grant |











