CN203147138U - Capillary connector - Google Patents
Capillary connector Download PDFInfo
- Publication number
- CN203147138U CN203147138U CN 201320035447 CN201320035447U CN203147138U CN 203147138 U CN203147138 U CN 203147138U CN 201320035447 CN201320035447 CN 201320035447 CN 201320035447 U CN201320035447 U CN 201320035447U CN 203147138 U CN203147138 U CN 203147138U
- Authority
- CN
- China
- Prior art keywords
- tapered tube
- capillary
- tube
- tapered
- small end
- Prior art date
- Legal status (The legal status is an assumption and is not a legal conclusion. Google has not performed a legal analysis and makes no representation as to the accuracy of the status listed.)
- Expired - Fee Related
Links
- 239000000463 material Substances 0.000 claims abstract description 9
- 229920003023 plastic Polymers 0.000 claims abstract description 8
- 239000004033 plastic Substances 0.000 claims abstract description 8
- 238000005516 engineering process Methods 0.000 abstract description 5
- 210000001503 joint Anatomy 0.000 abstract description 5
- 239000010453 quartz Substances 0.000 description 5
- VYPSYNLAJGMNEJ-UHFFFAOYSA-N silicon dioxide Inorganic materials O=[Si]=O VYPSYNLAJGMNEJ-UHFFFAOYSA-N 0.000 description 5
- 239000003292 glue Substances 0.000 description 4
- 238000000034 method Methods 0.000 description 4
- 239000000126 substance Substances 0.000 description 3
- 241001391944 Commicarpus scandens Species 0.000 description 2
- 239000011521 glass Substances 0.000 description 2
- 238000003780 insertion Methods 0.000 description 2
- 230000037431 insertion Effects 0.000 description 2
- 230000009471 action Effects 0.000 description 1
- 238000004026 adhesive bonding Methods 0.000 description 1
- 238000010276 construction Methods 0.000 description 1
- 238000010586 diagram Methods 0.000 description 1
- 239000003814 drug Substances 0.000 description 1
- 239000007788 liquid Substances 0.000 description 1
- 238000012986 modification Methods 0.000 description 1
- 230000004048 modification Effects 0.000 description 1
- 230000008569 process Effects 0.000 description 1
- 239000000565 sealant Substances 0.000 description 1
- 238000007789 sealing Methods 0.000 description 1
- 230000001568 sexual effect Effects 0.000 description 1
- 238000001179 sorption measurement Methods 0.000 description 1
Images
Landscapes
- Joints With Pressure Members (AREA)
Abstract
本实用新型提供了一种毛细管连接器,该毛细管连接器包括塑料制成的第一锥形管和第二锥形管以及热缩管,第一锥形管与第二锥形管结构相同,第一锥形管与第二锥形管各具有小端和大端,第一锥形管的小端与第二锥形管的小端无缝对接相连通,第一锥形管的大端与第二锥形管的大端分别用于连接毛细管,热缩管套合在中心对接处,热缩于第一锥形管与第二锥形管的外壁,上述毛细管连接器也可一体成型。本实用新型提供的毛细管连接器加工工艺简单,生产成本低,利用塑料材质与毛细管的软接触,降低毛细管破裂机率,从而改善连接器堵塞的状况。
The utility model provides a capillary connector. The capillary connector includes a first tapered tube, a second tapered tube and a heat-shrinkable tube made of plastic. The first tapered tube and the second tapered tube have the same structure. The first tapered tube and the second tapered tube each have a small end and a large end, the small end of the first tapered tube seamlessly connects with the small end of the second tapered tube, and the large end of the first tapered tube The big end of the second tapered tube is used to connect the capillary respectively. The heat-shrinkable tube is sleeved at the central butt joint and heat-shrunk on the outer wall of the first tapered tube and the second tapered tube. The above-mentioned capillary connector can also be integrally formed . The capillary connector provided by the utility model has simple processing technology and low production cost, and utilizes the soft contact between the plastic material and the capillary to reduce the breakage probability of the capillary, thereby improving the plugging of the connector.
Description
技术领域technical field
本实用新型涉及一种毛细管连接器。The utility model relates to a capillary connector.
背景技术Background technique
毛细管通常指的是内径等于或小于1毫米的细管,因其管径有的细如毛发故称毛细管,在医学和建筑等领域应用广泛,而用于连接毛细管的连接器从结构到材料也是多种多样,通过检索中国专利申请案件,以“毛细管”和“连接”为关键词,检索到申请号为200910059327.5,发明名称为石英毛细管色谱柱连接方法及装置的申请文件,该申请文件提供了一种内壁经过化学处理的毛细管色谱柱连接装置,该装置采用一根内径大于二根石英毛细管色谱柱外径或者外径小于二根石英毛细管色谱柱内径,长度为10mm~100mm的一段石英毛细管柱,其内壁经化学惰性处理,将二根色谱柱的末端分别从连接装置的二端插入或套入,在连接装置的中点对接,用高温胶涂覆连接装置两端密封并粘住色谱柱。虽然本发明中的连接装置死体积为零并对样品组分没有吸附,但是,由于采用石英作为连接装置的材料,加工工艺复杂,成本较高,并且连接器的开口端较细,不容易将毛细管插入且其材质硬度较大,和毛细管接触时,容易将毛细管破碎,从而导致连接器堵塞,无法正常使用。Capillary usually refers to a thin tube with an inner diameter equal to or less than 1 mm. It is called a capillary because its diameter is as thin as a hair. It is widely used in fields such as medicine and construction. Various, by searching Chinese patent application cases, using "capillary" and "connection" as keywords, the application number is 200910059327.5, and the invention name is the application document of quartz capillary column connection method and device. The application document provides A capillary chromatographic column connection device whose inner wall has undergone chemical treatment, the device adopts a section of quartz capillary column whose inner diameter is larger than the outer diameter of two quartz capillary chromatographic columns or whose outer diameter is smaller than the inner diameter of two quartz capillary chromatographic columns, and whose length is 10mm~100mm , the inner wall of which is treated with chemical inertness, the ends of the two chromatographic columns are respectively inserted or inserted from the two ends of the connecting device, and connected at the midpoint of the connecting device, and the two ends of the connecting device are coated with high-temperature glue to seal and stick to the chromatographic column . Although the dead volume of the connection device in the present invention is zero and has no adsorption on the sample components, the processing technology is complicated and the cost is high due to the use of quartz as the material of the connection device, and the open end of the connector is relatively thin, so it is not easy to The capillary is inserted and its material is relatively hard. When it comes into contact with the capillary, it is easy to break the capillary, which will cause the connector to be blocked and cannot be used normally.
如图1与图2,该实体为西格玛奥德里奇公司提供的现有的毛细管连接器1`,该连接器一体成型,材质为玻璃,其内部具有一容腔,容腔的两端11`与13`分别用于连接毛细管,两端的毛细管在容腔中部通径12`处对接,由于毛细管1`外径的限制,其中部通径12`的直径无法扩大尺寸,现有加工工艺较为复杂,成本较高,实体两端的开放端为毛细管的插入口,由图2可知,该插入口较细,不容易将毛细管插入,并且,玻璃的材质硬度较大,和毛细管之间的接触属于硬性接触,很容易造成毛细管的破碎,同时可知,中间连接段较细,从而也会导致连接器的堵塞,致使毛细管连接器报废。As shown in Figure 1 and Figure 2, the entity is the existing
实用新型内容Utility model content
本实用新型的目的在于提供一种毛细管连接器,旨在解决现有连接器加工工艺复杂,成本较高,与毛细管连接端开口较细,不容易将毛细管插入,且连接器的材质硬度较大,和毛细管接触时,容易将毛细管破碎,从而导致连接器堵塞的问题。The purpose of the utility model is to provide a capillary connector, which aims to solve the problem that the existing connector has complex processing technology, high cost, and the opening of the connection end with the capillary is thinner, it is not easy to insert the capillary, and the material hardness of the connector is relatively high. , When in contact with the capillary, it is easy to break the capillary, which will cause the problem of connector blockage.
为解决上述技术问题,本实用新型是这样实现的,一种毛细管连接器,包括:塑料材质制成的第一锥形管和第二锥形管,所述第一锥形管的小端和所述第二锥形管的小端无缝对接连通。In order to solve the above technical problems, the utility model is achieved in this way, a capillary connector, comprising: a first tapered tube and a second tapered tube made of plastic material, the small end of the first tapered tube and the The small ends of the second tapered tubes are connected seamlessly.
具体地,所述第一锥形管的小端与所述第二锥形管的小端的端面形状和尺寸相同且两者的结合处为胶合密封连接。Specifically, the small end of the first tapered tube and the small end of the second tapered tube have the same end surface shape and size, and the junction of the two is glued and sealed.
进一步地,还包括一热缩管,所述热缩管套设于所述第一锥形管的小端与所述第二锥形管的小端的外侧壁上且密封。Further, a heat-shrinkable tube is further included, and the heat-shrinkable tube is sheathed and sealed on the outer side walls of the small end of the first tapered tube and the small end of the second tapered tube.
或者,进一步地,所述第一锥形管和所述第二锥形管一体成型。Or, further, the first tapered tube and the second tapered tube are integrally formed.
优选地,所述第一锥形管和/或所述第二锥形管的锥度为5°~10°。Preferably, the taper of the first tapered tube and/or the second tapered tube is 5°-10°.
优选地,所述第一锥形管的小端内径为100~200微米,大端内径为350~2000微米。Preferably, the inner diameter of the small end of the first tapered tube is 100-200 microns, and the inner diameter of the large end is 350-2000 microns.
优选地,所述第二锥形管的小端内径为100~200微米,大端内径为350~2000微米。Preferably, the inner diameter of the small end of the second tapered tube is 100-200 microns, and the inner diameter of the large end is 350-2000 microns.
优选地,所述第一锥形管的小端内径为100~200微米,大端内径为350~2000微米;所述第二锥形管的小端内径为100~200微米,大端内径为350~2000微米。Preferably, the inner diameter of the small end of the first tapered tube is 100-200 microns, and the inner diameter of the large end is 350-2000 microns; the inner diameter of the small end of the second tapered tube is 100-200 microns, and the inner diameter of the large end is 350~2000 microns.
与现有技术相比,本实用新型提供的毛细管连接器,由于其采用锥形结构,增大与毛细管连接的开口端,毛细管更加容易插入到连接器中,利用塑料材质,实现与毛细管的软性接触,减少毛细管的破裂机率,且整体结构简单,加工便利,在满足使用功能的前提下,较大幅度地降低采购与使用成本。Compared with the prior art, the capillary connector provided by the utility model adopts a tapered structure, which enlarges the open end connected with the capillary, and the capillary is more easily inserted into the connector, and the flexible connection with the capillary is realized by using plastic material. Sexual contact reduces the probability of capillary breakage, and the overall structure is simple and easy to process. On the premise of satisfying the function of use, it can greatly reduce the cost of purchase and use.
附图说明Description of drawings
图1是现有技术提供的毛细管连接器的结构示意图;Fig. 1 is a schematic structural view of a capillary connector provided in the prior art;
图2是沿图1中A-A方向的剖切示意图;Fig. 2 is a schematic sectional view along the A-A direction in Fig. 1;
图3是本实用新型提供的毛细管连接器的立体结构示意图;Fig. 3 is a schematic diagram of the three-dimensional structure of the capillary connector provided by the utility model;
图4是本实用新型提供的毛细管连接器的结构示意图;Fig. 4 is a schematic structural view of the capillary connector provided by the utility model;
图5是沿图4中B-B方向的剖切示意图;Fig. 5 is a schematic sectional view along the B-B direction in Fig. 4;
图6是本实用新型提供的毛细管连接器第一锥形管的结构示意图;Fig. 6 is a schematic structural view of the first tapered tube of the capillary connector provided by the utility model;
图7是本实用新型提供的毛细管连接器第二锥形管的结构示意图。Fig. 7 is a schematic structural view of the second tapered tube of the capillary connector provided by the present invention.
具体实施方式Detailed ways
为了使本实用新型的目的、技术方案及优点更加清楚明白,以下结合附图及实施例,对本实用新型进行进一步详细说明。应当理解,此处所描述的具体实施例仅仅用以解释本实用新型,并不用于限定本实用新型。In order to make the purpose, technical solution and advantages of the utility model clearer, the utility model will be further described in detail below in conjunction with the accompanying drawings and embodiments. It should be understood that the specific embodiments described here are only used to explain the utility model, and are not intended to limit the utility model.
本实用新型提供了一种毛细管连接器,包括塑料制成的第一锥形管和第二锥形管以及热缩管,第一锥形管与第二锥形管各具有小端和大端,第一锥形管的小端与第二锥形管的小端无缝对接相连通,第一锥形管的大端与第二锥形管的大端分别用于连接毛细管,热缩管套合在无缝对接处,热缩于第一锥形管与第二锥形管的外壁,上述毛细管连接器也可一体成型。The utility model provides a capillary connector, which comprises a first tapered tube, a second tapered tube and a heat-shrinkable tube made of plastic, the first tapered tube and the second tapered tube have a small end and a large end respectively , the small end of the first tapered tube is seamlessly connected with the small end of the second tapered tube, the large end of the first tapered tube and the large end of the second tapered tube are respectively used to connect the capillary, heat shrinkable tube Sleeved at the seamless joint, heat-shrunk on the outer walls of the first tapered tube and the second tapered tube, the above-mentioned capillary connector can also be integrally formed.
本实用新型中,由于第一锥形管与第二锥形管无缝对接连通,在接缝处采用密封胶进行固化胶合,并将热缩管套合于连接位置处进行密封,结构简单,无需复杂加工工艺,并且利用塑料材料与毛细管的软接触,降低毛细管破裂机率,从而改善连接器堵塞的状况。In the utility model, since the first tapered tube and the second tapered tube are connected seamlessly, a sealant is used for curing and gluing at the seam, and the heat-shrinkable tube is sleeved at the connection position for sealing, so the structure is simple. No complicated processing technology is required, and the soft contact between the plastic material and the capillary tube reduces the probability of capillary tube breakage, thereby improving the situation of connector blockage.
以下结合具体附图对本实用新型的实现进行详细的描述。The realization of the utility model is described in detail below in conjunction with specific drawings.
如图3至7所示,为本实用新型提供的一较佳实施例。As shown in Figures 3 to 7, it is a preferred embodiment of the utility model.
请参见图3至图7,上述的毛细管连接器1包括塑料制成的第一锥形管11和第二锥形管12与热缩管13,第一锥形管1具有小端110与大端120,第二锥形管12具有小端210与大端220,其中,第一锥形管11的小端110与第二锥形管12的小端210在中心对接处14相连通,第一锥形管11的大端120与第二锥形管12的大端220分别用于连接两端的毛细管。热缩管13套合在中心对接14处,在热源的作用下,热缩在第一锥形管11与第二锥形管12的外壁上。Please refer to Fig. 3 to Fig. 7, above-mentioned
请参见图5,两端插入的毛细管在毛细管连接器1的中心对接处14处相接触,采用固化胶对中心对接处14进行胶合,注意,勿将固化胶涂抹到中心对接处14的内径处,因为内壁残留有固化胶,导致连接器堵塞,无法正常使用。当然也可以采用其他连接方式,例如卡接或螺纹连接等方式。Please refer to Figure 5. The capillary tubes inserted at both ends are in contact with the
其中,在本实施例中,第一锥形管11与第二锥形管12结构和形状尺寸均相同,因此可以保证,在中心对接14处,第一锥形管11与第二锥形管12连接后无缝,且连接处光滑。Wherein, in this embodiment, the first
在本实施例中,采用热缩管13对中心对接处14表面进行密封,这样毛细管内的液体不易泄露,从而实验分析不受外界物质的影响,保证实验结果的准确性。In this embodiment, the heat-
当然,在加工条件允许的情况下,毛细管连接器1可以一体成型,更加保证连接的密封性。Of course, if processing conditions permit, the
请参见图6与图7,所述第一锥形管11、所述第二锥形管12的锥度两个锥形管的锥度可以相同,也可以不同,其由参与实验分析的毛细管的管径及分析对象确定,锥度不易过大,取值范围最好为5°~10°,否则易造成毛细管嵌入连接器1内的有效长度过短,导致部分与空气接触,造成实验结果的不准确,锥度的取值尽量保证毛细管插入连接器中的有效长度;本实施例中,第一锥形管11与第二锥形管12的锥度均选用C=1:10。Please refer to Fig. 6 and Fig. 7, the taper of two tapered tubes of described first
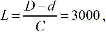
第一锥形管11的小端110内径的取值范围为100~200微米,大端120内径的取值范围为350~2000微米,具体地,本实施例中,选取的小端110内径d为200微米,大端120的内径D为500,根据锥度公式,可知,其中L为锥体长度。The value range of the inner diameter of the
以上所述仅为本实用新型的较佳实施例而已,并不用以限制本实用新型,凡在本实用新型的精神和原则之内所作的任何修改、等同替换和改进等,均应包含在本实用新型的保护范围之内。The above descriptions are only preferred embodiments of the present utility model, and are not intended to limit the present utility model. Any modifications, equivalent replacements and improvements made within the spirit and principles of the present utility model shall be included in this utility model. within the scope of protection of utility models.
Claims (8)
Priority Applications (1)
| Application Number | Priority Date | Filing Date | Title |
|---|---|---|---|
| CN 201320035447 CN203147138U (en) | 2013-01-23 | 2013-01-23 | Capillary connector |
Applications Claiming Priority (1)
| Application Number | Priority Date | Filing Date | Title |
|---|---|---|---|
| CN 201320035447 CN203147138U (en) | 2013-01-23 | 2013-01-23 | Capillary connector |
Publications (1)
| Publication Number | Publication Date |
|---|---|
| CN203147138U true CN203147138U (en) | 2013-08-21 |
Family
ID=48974661
Family Applications (1)
| Application Number | Title | Priority Date | Filing Date |
|---|---|---|---|
| CN 201320035447 Expired - Fee Related CN203147138U (en) | 2013-01-23 | 2013-01-23 | Capillary connector |
Country Status (1)
| Country | Link |
|---|---|
| CN (1) | CN203147138U (en) |
Cited By (1)
| Publication number | Priority date | Publication date | Assignee | Title |
|---|---|---|---|---|
| CN109654325A (en) * | 2018-12-25 | 2019-04-19 | 南京慧和建筑技术有限公司 | A kind of technique and device for repairing three permanent system leak capillaries |
-
2013
- 2013-01-23 CN CN 201320035447 patent/CN203147138U/en not_active Expired - Fee Related
Cited By (1)
| Publication number | Priority date | Publication date | Assignee | Title |
|---|---|---|---|---|
| CN109654325A (en) * | 2018-12-25 | 2019-04-19 | 南京慧和建筑技术有限公司 | A kind of technique and device for repairing three permanent system leak capillaries |
Similar Documents
| Publication | Publication Date | Title |
|---|---|---|
| CN204564168U (en) | A kind of pipette | |
| CN203147138U (en) | Capillary connector | |
| CN204882322U (en) | Flow cytometer flow chamber | |
| CN205371876U (en) | Pipe fitting connector | |
| CN206468953U (en) | Direct insertion fast connecting joint for pipe | |
| CN203324237U (en) | Capillary chromatographic column liner device for gas chromatograph detector | |
| CN203970373U (en) | An air pressure plug for a blood pressure instrument | |
| CN203630106U (en) | Alkali burette | |
| CN206549663U (en) | A kind of pH standard buffer solutions special agent bottle | |
| CN205716052U (en) | A kind of oblique ground quartz ampoule structure | |
| CN207502321U (en) | A kind of simple Hopkinson pressure bar test specimen apparatus for placing | |
| CN221732105U (en) | A three-way assembly for gastric lavage | |
| CN205965886U (en) | Pipette tip | |
| CN201807374U (en) | Glass microelectrode charging connector | |
| CN202314718U (en) | Flexible microinjector | |
| CN205163088U (en) | Butterfly wing section blood taking needle | |
| CN207181100U (en) | A kind of blood sedimentation tube blood-sample withdrawal elastic piston | |
| CN205317571U (en) | Triaxial apparatus side direction stress extraction device | |
| CN203551316U (en) | Sampling head | |
| CN204746352U (en) | Serum detects test tube | |
| CN210734994U (en) | A body cream lotion bottle with a straw | |
| CN210050437U (en) | Transparent straight pipeline connecting piece | |
| CN204224201U (en) | Wood tenon | |
| CN205145286U (en) | Aseptic liquid medicine translator of disposable | |
| CN204637252U (en) | Syringe switching device |
Legal Events
| Date | Code | Title | Description |
|---|---|---|---|
| C14 | Grant of patent or utility model | ||
| GR01 | Patent grant | ||
| CF01 | Termination of patent right due to non-payment of annual fee |
Granted publication date: 20130821 Termination date: 20150123 |
|
| EXPY | Termination of patent right or utility model |

