CN1543138B - Broadband ADSL Service Automatic Processing System - Google Patents
Broadband ADSL Service Automatic Processing System Download PDFInfo
- Publication number
- CN1543138B CN1543138B CN 200310108472 CN200310108472A CN1543138B CN 1543138 B CN1543138 B CN 1543138B CN 200310108472 CN200310108472 CN 200310108472 CN 200310108472 A CN200310108472 A CN 200310108472A CN 1543138 B CN1543138 B CN 1543138B
- Authority
- CN
- China
- Prior art keywords
- business
- information
- module
- processing
- service
- Prior art date
- Legal status (The legal status is an assumption and is not a legal conclusion. Google has not performed a legal analysis and makes no representation as to the accuracy of the status listed.)
- Expired - Fee Related
Links
Images
Landscapes
- Computer And Data Communications (AREA)
Abstract
本发明公开了一种宽带ADSL业务自动处理系统,涉及计算机通信系统。该处理系统包括业务生成装置(1)、业务处理装置(3)、节点管理装置(2),上述装置通过局域网相连接;其中,业务生成装置(1)接受宽带ADSL的业务信息,并通过局域网传送给业务处理装置(3);业务处理装置(3)向节点管理装置(2)发送业务指令,响应并处理节点管理装置(2)的指令回应信息,并最终回传给所述业务生成装置(1)。采用本发明的宽带ADSL业务自动处理系统,能实现电子化办公,加速ADSL业务处理速度,降低数据资料错误几率,提高电信部门服务质量。
The invention discloses a broadband ADSL service automatic processing system, which relates to a computer communication system. The processing system includes a service generating device (1), a service processing device (3), and a node management device (2), and the above-mentioned devices are connected through a local area network; wherein, the service generating device (1) receives broadband ADSL service information, and passes through the local area network Send it to the service processing device (3); the service processing device (3) sends a service instruction to the node management device (2), responds to and processes the command response information of the node management device (2), and finally sends it back to the service generation device (1). Adopting the broadband ADSL service automatic processing system of the present invention can realize electronic office, accelerate the ADSL service processing speed, reduce the error probability of data and materials, and improve the service quality of the telecommunication department.
Description
技术领域:Technical field:
本发明涉及一种计算机通信系统,具体涉及一种应用于宽带ADSL业务自动处理的通信系统。The invention relates to a computer communication system, in particular to a communication system applied to automatic processing of broadband ADSL services.
背景技术:Background technique:
随着信息技术的飞速发展和网络的普及,作为目前最普遍的一种宽带接入方式,ADSL深受广大用户的青睐;随着用户的增加,电信部门的ADSL相应业务量也日益增加。现有的ADSL业务处理流程采用纸单作业,营业厅受理ADSL业务后,通过查询ADSL资源数据库内的相关信息后,下派工单,ADSL网管中心接到工单后查找可用资源,然后向DSLAM节点下发指令。整个过程多采用手工作业形式,效率日显低下而且容易出错,给以后的ADSL资源数据库的管理带来隐患;当业务繁忙时,网管工作人员还容易因业务处理不及时会遭受客户抱怨甚至投诉。目前电信部门对其他电话业务,例如停开机等都实现了工单的自动处理,因此迫切希望对ADSL业务工单的处理也实现自动化、无纸作业。With the rapid development of information technology and the popularization of the network, ADSL, as the most common broadband access method at present, is favored by the majority of users; with the increase of users, the corresponding business volume of ADSL in the telecommunications sector is also increasing. The existing ADSL business process adopts paper work. After the business hall accepts the ADSL business, it sends a work order after querying the relevant information in the ADSL resource database. After receiving the work order, the ADSL network management center searches for available resources, and then sends the The node issues instructions. The whole process is mostly manual work, which is increasingly inefficient and error-prone, which will bring hidden dangers to the management of the ADSL resource database in the future; when the business is busy, the network management staff is also prone to customer complaints or even complaints due to untimely business processing. At present, the telecommunications department has realized automatic processing of work orders for other telephone services, such as shutdown and startup, so it is urgent to realize automatic and paperless operation of ADSL service work orders.
发明内容:Invention content:
针对现有ADSL业务工单手工处理存在的问题,本发明提供一种能实现电子化办公,加速业务处理速度,降低数据资料错误机率,提高电信部门服务质量的宽带ADSL业务自动处理系统。Aiming at the problems existing in manual processing of existing ADSL business work orders, the invention provides an automatic broadband ADSL business processing system that can realize electronic office, accelerate business processing speed, reduce data error probability, and improve service quality of telecommunication departments.
本发明为达到以上目的,是通过这样的技术方案来实现的:提供一种宽带ADSL业务自动处理系统,包括业务生成装置、业务处理装置、节点管理装置,上述装置通过局域网相连接;业务生成装置包括通过局域网相连接的终端计算机、ADSL资源数据库、业务生成模块、业务信息数据库;业务处理装置包括业务信息提取模块、业务分析模块、业务处理模块、指令发送模块,这四个模块可以位于一台计算机,也可以位于不同的计算机,通过局域网相连接;节点管理装置包括通过局域网相连接的指令执行模块、节点管理中心、节点;系统工作流程如下:In order to achieve the above object, the present invention is achieved through such a technical solution: a broadband ADSL service automatic processing system is provided, including a service generating device, a service processing device, and a node management device, and the above devices are connected through a local area network; the service generating device Including terminal computer connected through LAN, ADSL resource database, business generation module, business information database; business processing device includes business information extraction module, business analysis module, business processing module, instruction sending module, these four modules can be located in one Computers, which can also be located in different computers, are connected through a local area network; the node management device includes an instruction execution module, a node management center, and nodes connected through a local area network; the system workflow is as follows:
1)、终端计算机录入宽带ADSL的业务信息,业务生成模块查询ADSL资源数据库内的相关信息,填写业务信息数据库;1), the terminal computer enters the business information of broadband ADSL, and the business generation module queries the relevant information in the ADSL resource database, and fills in the business information database;
2)、提取业务:业务信息提取模块实时扫描业务信息数据库,一旦发现新的业务信息,立即将此业务信息提取出来,提交给业务分析模块;2), business extraction: the business information extraction module scans the business information database in real time, and once new business information is found, it immediately extracts the business information and submits it to the business analysis module;
3)、分析业务:业务分析模块分析业务基本数据,得到完成此次业务处理的全部信息;3) Business analysis: the business analysis module analyzes the basic data of the business and obtains all the information for completing the business processing;
4)、处理业务:业务处理模块根据分析出来的信息来决定操作流程和操作指令;4) Business processing: The business processing module determines the operation process and operation instructions according to the analyzed information;
5)、发送信息:指令发送模块按照操作流程将操作指令发送给指令执行模块,由指令执行模块控制节点管理中心;将操作指令进一步下达给节点;5) Sending information: the instruction sending module sends the operation instruction to the instruction execution module according to the operation process, and the instruction execution module controls the node management center; the operation instruction is further issued to the node;
6)、回送信息:节点通过节点管理中心、指令执行模块、指令发送模块将指令回应信息返回到业务处理模块;6), feedback information: the node returns the command response information to the business processing module through the node management center, the command execution module, and the command sending module;
7)、处理回应信息:业务处理模块记录指令回应信息、并进行数据校验,分析指令回应信息后,经过业务信息数据库的接口对业务信息数据库进行回单处理;并更新ADSL资源数据库;7), processing response information: the business processing module records the command response information, and performs data verification, and after analyzing the command response information, performs receipt processing on the business information database through the interface of the business information database; and updates the ADSL resource database;
8)、业务生成模块提交业务后,在设定的时间内查询业务信息数据库,得到回单处理信息,对处理不成功的业务进行二次处理或者人工干预;通过终端计算机(4)能查看此回单处理信息。8), after the business generation module submits the business, it queries the business information database within the set time, obtains the receipt processing information, and performs secondary processing or manual intervention on the unsuccessful business; the terminal computer (4) can check this Receipt processing information.
所述宽带ADSL业务自动处理系统还包括查询统计模块,与业务信息数据库通过局域网相连接,对所述业务处理装置所处理的业务进行查询统计。The broadband ADSL service automatic processing system also includes a query statistics module, which is connected with the service information database through a local area network, and performs query statistics on the services processed by the service processing device.
节点管理中心为网管中心或串口管理器;网管中心通过局域网,利用TCP/IP协议和/或SNMP协议(简易网络管理协议)直接与节点进行通信;串口管理器利用各节点的串口组网,依靠TCP/IP协议与RS232协议(串行口协议)之间的转换,将信息传递给节点。The node management center is the network management center or the serial port manager; the network management center communicates directly with the nodes through the local area network by using the TCP/IP protocol and/or the SNMP protocol (simple network management protocol); the serial port manager utilizes the serial port networking of each node, relying on The conversion between TCP/IP protocol and RS232 protocol (serial port protocol) transmits information to nodes.
本发明的宽带ADSL业务自动处理系统中的业务生成装置最大限度地利用了电信部门现有的九七工程平台的终端计算机,以及包含在九七数据库内的ADSL资源数据库;只需添加业务生成模块就能创建业务信息数据库。同样,节点管理装置也充分利用了现有的节点管理中心、节点,只需添加一个指令执行模块,就能和业务处理装置发生联系。业务处理装置作为一个独立的系统附加在电信部门现有的网络上,即使出现故障也不影响现有网络的正常工作;当故障恢复时,可自动重新工作,还能实现无人值守。The service generating device in the broadband ADSL business automatic processing system of the present invention has utilized the terminal computer of the existing 97 project platform of the telecommunication department to the greatest extent, and the ADSL resource database included in the 97 database; only need to add the service generating module A business information database can be created. Similarly, the node management device also makes full use of the existing node management center and nodes, and only needs to add an instruction execution module to communicate with the service processing device. The business processing device is attached to the existing network of the telecommunications department as an independent system, and even if a fault occurs, it will not affect the normal operation of the existing network; when the fault is recovered, it can automatically resume work, and it can also be unattended.
采用本发明的宽带ADSL业务自动处理系统,能通过局域网实现业务自动处理。过程简单,易于操作;极大地改善了工单处理速度,网络畅通时,从工单下达到处理完成的时间一般小于5秒。同时减少人为差错,降低数据资料错误机率,提高工单的处理质量。通过本发明的自动处理系统,能实现ADSL业务处理流程自动化及用户资源信息继承性与一致性,还能充分有效地利用已有的九七工程平台和相应的ADSL资源信息以及用户信息,自动地与相应的DSLAM节点端口进行对应,并实现新增用户、删除用户、开锁、闭锁、配置、修改速率、对欠费缴费的自动停复机等各种业务的自动处理及回执,实现用户资源与网络资源的共享。能加强电信相关部门之间的协作效率,使前台部门及时了解网络资源利用情况,建立网络信息与终端用户信息的对应关系,便于及时调整网络规划和扩容计划;大大提高了提高电信部门的服务质量。By adopting the broadband ADSL business automatic processing system of the present invention, the business automatic processing can be realized through the local area network. The process is simple and easy to operate; the work order processing speed has been greatly improved. When the network is unblocked, the time from when the work order is placed to when the work order is completed is generally less than 5 seconds. At the same time, human errors are reduced, the probability of data errors is reduced, and the quality of work orders is improved. Through the automatic processing system of the present invention, it is possible to realize the automation of ADSL business processing flow and the inheritance and consistency of user resource information, and it can also fully and effectively utilize the existing 97 project platform and corresponding ADSL resource information and user information to automatically Correspond to the corresponding DSLAM node port, and realize the automatic processing and receipt of various services such as adding users, deleting users, unlocking, blocking, configuration, modifying the rate, automatic shutdown and recovery of arrears, and realizing user resources and Sharing of network resources. It can strengthen the collaboration efficiency between relevant departments of telecommunications, enable the front-end department to keep abreast of the utilization of network resources, establish a corresponding relationship between network information and end-user information, and facilitate timely adjustment of network planning and capacity expansion plans; greatly improving the service quality of the telecommunications department .
附图说明:Description of drawings:
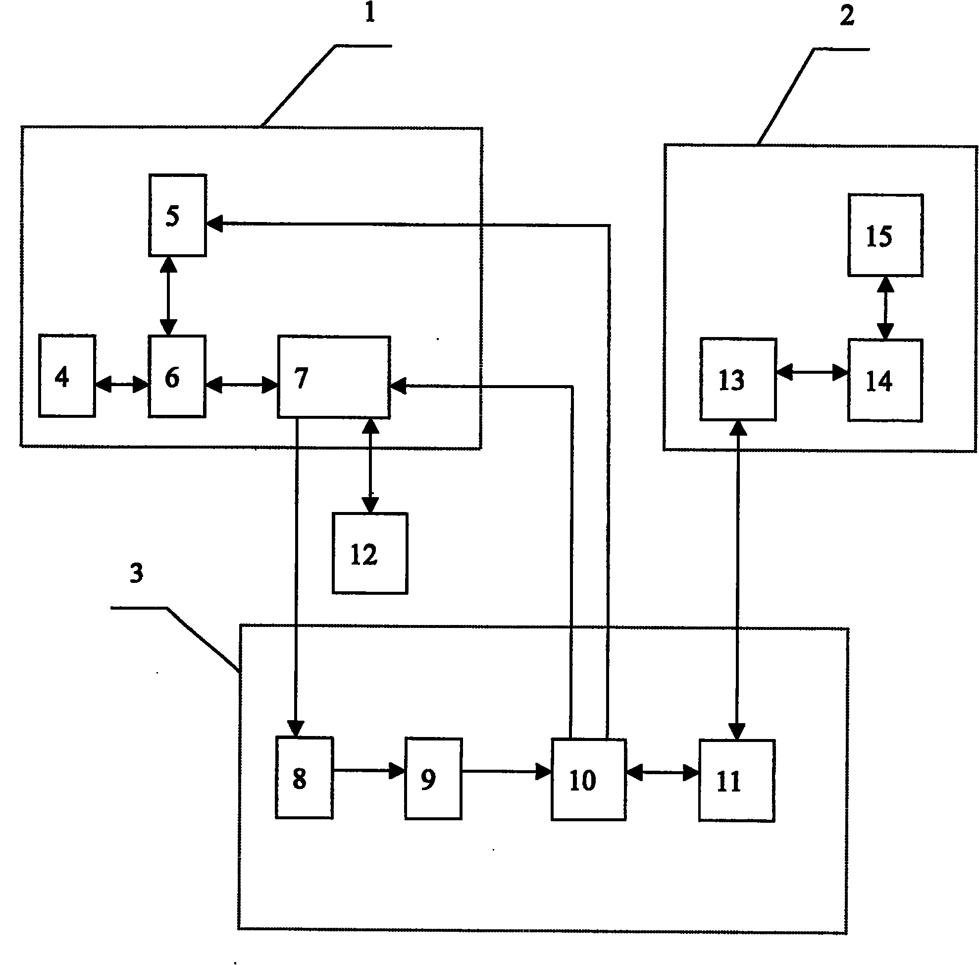
图1是宽带ADSL业务自动处理系统框图;Fig. 1 is the block diagram of broadband ADSL business automatic processing system;
图2是宽带ADSL业务自动处理系统的组网图;Fig. 2 is the networking diagram of the broadband ADSL service automatic processing system;
图3是宽带ADSL业务自动处理系统工作主流程图。Fig. 3 is a main flow chart of the automatic processing system for broadband ADSL services.
具体实施方式:Detailed ways:
实施例1:参照上述附图,对本发明的宽带ADSL业务自动处理系统进行详细说明。图1、图2、图3结合给出了一种宽带ADSL业务自动处理系统,包括业务生成装置1、业务处理装置3、节点管理装置2和查询统计模块12,它们通过局域网联接在一起。业务生成装置1包括通过局域网相连接的终端计算机4、ADSL资源数据库5、业务生成模块6、业务信息数据库7。业务处理装置3包括业务信息提取模块8、业务分析模块9、业务处理模块10、指令发送模块11,这四个模块可以位于一台计算机,也可以位于不同的计算机,通过局域网相连接。节点管理装置2包括通过局域网相连接的指令执行模块13、网管中心14、节点15。业务生成装置1接受宽带ADSL的业务信息,并通过局域网传送给业务处理装置3;业务处理装置3向节点管理装置2发送业务指令,响应并处理节点管理装置2的指令回应信息,并最终回传给所述业务生成装置1。查询统计模块12与业务信息数据库7通过局域网相连接,对所述业务处理装置3所处理的业务进行查询统计。整个系统的工作流程如下:Embodiment 1: Referring to the above-mentioned drawings, the broadband ADSL service automatic processing system of the present invention will be described in detail. Figure 1, Figure 2 and Figure 3 combine to provide a broadband ADSL service automatic processing system, including a
1)、用户向电信部门申请安装宽带ADSL,作为营业窗口的终端计算机4录入安装信息,业务生成模块6通过局域网查询ADSL资源数据库5内的相关信息,将此安装信息生成业务工单,放入业务信息数据库7;1), the user applies to the telecommunications department to install broadband ADSL, as the
2)、提取业务:业务信息提取模块8实时扫描业务信息数据库7,一旦发现新的业务信息,立即将此业务信息提取出来,提交给业务分析模块9;2), extract business: business
3)、分析业务:业务分析模块9分析业务基本数据,得到站点类别、业务类别和端口的信息;3), business analysis: business analysis module 9 analyzes business basic data, obtains the information of station category, business category and port;
4)、处理业务:业务处理模块10根据不同的站点类别选择不同的指令集,根据业务类别选择不同的指令流程,根据端口信息生成具体的操作指令,并将上述信息传递给指令发送模块11;4), business processing: the
5)、发送信息:指令发送模块11按照操作流程将操作指令发送给指令执行模块13,由指令执行模块13来控制节点管理中心14;将操作指令进一步下达给节点15;5), sending information: the
6)、回送信息:节点15通过节点管理中心14、指令执行模块13、指令发送模块11将指令回应信息返回到业务处理模块10;6), feedback information: the
7)、处理回应信息:业务处理模块10记录指令回应信息、并进行数据校验,分析指令回应信息后,通过业务信息数据库7的接口对业务信息数据库7进行回单处理;并更新ADSL资源数据库5;7), processing response information: the
其中工单处理模块10提供校验机制,每次执行指令前都先查看相关参数,如果发现实际参数与工单提供的参数不符时,将自动做好记录。具体按照以下步骤进行:Wherein the work
①、首先检验节点15是否发回了指令回应信息,如果“否”,则进入“出错处理”程序;如果“是”,则将指令回应信息的实际参数与工单提供的参数进行对比;①. First check whether the
②、根据对比结果进行判断指令回应是否正确,如果“否”,则进入“出错处理”程序;如果“是”,则进一步判断流程是否处理完毕;②. Judging whether the command response is correct or not according to the comparison results, if "No", enter the "Error Handling" program; if "Yes", further judge whether the process has been processed;
③、如果“否”,则将未处理完成的业务工单仍放回业务工单数据库7;如果“是”,则依据已处理完成业务工单来更新ADSL资源数据库5;3. If "No", put the unprocessed and completed business work order back into the business
④、将上述已处理完成并更新ADSL资源数据库5的业务工单,和进入“出错处理”程序的业务工单进行相关信息的记录;4. The above-mentioned business work orders that have been processed and updated and updated in the
8)、业务生成模块6在设定的时间内查询业务信息数据库7,得到回单处理信息,对处理不成功的业务进行二次处理或者人工干预;通过终端计算机4能查看此回单处理信息。8), the
9)、统计相关数据:查询统计模块12通过业务工单数据库7对所述业务处理模块10所处理的业务进行查询统计,例如业务工单成功率等。9) Statistical related data: the
进入“出错处理”程序的业务工单将由人工进行干预处理。Business work orders that enter the "Error Handling" program will be processed manually.
以上所述仅为本发明的一个具体实施方式,应当指出,对于本领域的普通技术人员来说,还可以作出许多变型和改进,例如可将节点管理中心14改为串口管理器14,它依靠TCP/IP协议与RS232协议之间的转换与节点进行信息传递。所有的变型或改进均应视为本发明的保护范围。The above is only a specific embodiment of the present invention, it should be pointed out that for those of ordinary skill in the art, many modifications and improvements can be made, for example, the
Claims (3)
Priority Applications (1)
| Application Number | Priority Date | Filing Date | Title |
|---|---|---|---|
| CN 200310108472 CN1543138B (en) | 2003-11-04 | 2003-11-04 | Broadband ADSL Service Automatic Processing System |
Applications Claiming Priority (1)
| Application Number | Priority Date | Filing Date | Title |
|---|---|---|---|
| CN 200310108472 CN1543138B (en) | 2003-11-04 | 2003-11-04 | Broadband ADSL Service Automatic Processing System |
Publications (2)
| Publication Number | Publication Date |
|---|---|
| CN1543138A CN1543138A (en) | 2004-11-03 |
| CN1543138B true CN1543138B (en) | 2010-09-08 |
Family
ID=34334691
Family Applications (1)
| Application Number | Title | Priority Date | Filing Date |
|---|---|---|---|
| CN 200310108472 Expired - Fee Related CN1543138B (en) | 2003-11-04 | 2003-11-04 | Broadband ADSL Service Automatic Processing System |
Country Status (1)
| Country | Link |
|---|---|
| CN (1) | CN1543138B (en) |
Families Citing this family (4)
| Publication number | Priority date | Publication date | Assignee | Title |
|---|---|---|---|---|
| CN101102360B (en) * | 2007-08-07 | 2010-06-16 | 中兴通讯股份有限公司 | A method of automatic receipt |
| US10325032B2 (en) * | 2014-02-19 | 2019-06-18 | Snowflake Inc. | Resource provisioning systems and methods |
| CN114640701B (en) * | 2020-12-15 | 2024-04-05 | 中国电信股份有限公司 | Method and system for automatically stopping and resetting special service line |
| CN116016183B (en) * | 2023-01-05 | 2025-03-25 | 中国联合网络通信集团有限公司 | Method, device, equipment and storage medium for checking fixed network service activation instructions |
-
2003
- 2003-11-04 CN CN 200310108472 patent/CN1543138B/en not_active Expired - Fee Related
Non-Patent Citations (1)
| Title |
|---|
| 林庆."九七工程"中程控工单在NOMA20.系统中的自动处理.广西通信技术 2.2000,(2),第45页左栏第1行至第15行、右栏最后一段,46页左栏第一段. * |
Also Published As
| Publication number | Publication date |
|---|---|
| CN1543138A (en) | 2004-11-03 |
Similar Documents
| Publication | Publication Date | Title |
|---|---|---|
| CN101094051B (en) | System and method for synchronizing comparison of data consistency | |
| US8073932B2 (en) | Business logic device and processing method | |
| CN101364891B (en) | System for collecting performance data by single point in distributed telecommunication network management and implementing method | |
| CN101406032B (en) | Value-added service network and IVR server and real-time flow path track analysis method | |
| CN111628896A (en) | IT operation and maintenance management method, device, equipment and computer storage medium | |
| CN101079749A (en) | Data consistency detection method | |
| CN115599881A (en) | Workflow creation method, system, electronic device and computer readable storage medium | |
| CN101453526A (en) | Internet assisted telephone access system and method for operating the system | |
| CN1543138B (en) | Broadband ADSL Service Automatic Processing System | |
| CN111275210A (en) | Method and device for sharing ledger information of auxiliary equipment of substation | |
| CN111290805B (en) | Method and system for quickly calling aggregation function | |
| CN100583921C (en) | A method and device for collecting user communication feature information | |
| CN115842743A (en) | Network intelligent service system based on block chain | |
| TWI762969B (en) | Service arrangement and provisioning system for the mobile-fixed convergence network and method thereof | |
| CN108804286A (en) | Auditing method, device, terminal and the storage medium of number line end mouth status data | |
| CN113377371B (en) | Multi-scene configuration method, system, equipment and medium | |
| CN115834399B (en) | A method and device for opening a SPN service transmission link | |
| CN118174461B (en) | Intelligent pre-verification system for multi-dimensional mode identification and drive master control of transformer substation | |
| CN101830241B (en) | Configurator of track traffic system and method thereof | |
| CN101094242A (en) | Device of process system for network managed work sheets of handset | |
| CN112183787B (en) | Auxiliary decision-making system based on operating equipment maintenance | |
| CN112328903B (en) | User information pushing system and method | |
| CN101217693A (en) | GPRS User Complaint Handling Method and Centralized Handling System | |
| CN118014744A (en) | An invoice authentication method and system for multiple tax bureau platforms | |
| CN201400195Y (en) | A rail transit system configurator |
Legal Events
| Date | Code | Title | Description |
|---|---|---|---|
| C06 | Publication | ||
| PB01 | Publication | ||
| C10 | Entry into substantive examination | ||
| SE01 | Entry into force of request for substantive examination | ||
| C14 | Grant of patent or utility model | ||
| GR01 | Patent grant | ||
| C17 | Cessation of patent right | ||
| CF01 | Termination of patent right due to non-payment of annual fee |
Granted publication date: 20100908 Termination date: 20101104 |
