CN1284079A - 新化合物 - Google Patents
新化合物 Download PDFInfo
- Publication number
- CN1284079A CN1284079A CN98813493A CN98813493A CN1284079A CN 1284079 A CN1284079 A CN 1284079A CN 98813493 A CN98813493 A CN 98813493A CN 98813493 A CN98813493 A CN 98813493A CN 1284079 A CN1284079 A CN 1284079A
- Authority
- CN
- China
- Prior art keywords
- methyl
- compound
- pyridazin
- methylpropyl
- pyridazine
- Prior art date
- Legal status (The legal status is an assumption and is not a legal conclusion. Google has not performed a legal analysis and makes no representation as to the accuracy of the status listed.)
- Pending
Links
Classifications
-
- C—CHEMISTRY; METALLURGY
- C07—ORGANIC CHEMISTRY
- C07D—HETEROCYCLIC COMPOUNDS
- C07D487/00—Heterocyclic compounds containing nitrogen atoms as the only ring hetero atoms in the condensed system, not provided for by groups C07D451/00 - C07D477/00
- C07D487/02—Heterocyclic compounds containing nitrogen atoms as the only ring hetero atoms in the condensed system, not provided for by groups C07D451/00 - C07D477/00 in which the condensed system contains two hetero rings
- C07D487/04—Ortho-condensed systems
-
- A—HUMAN NECESSITIES
- A61—MEDICAL OR VETERINARY SCIENCE; HYGIENE
- A61P—SPECIFIC THERAPEUTIC ACTIVITY OF CHEMICAL COMPOUNDS OR MEDICINAL PREPARATIONS
- A61P11/00—Drugs for disorders of the respiratory system
-
- A—HUMAN NECESSITIES
- A61—MEDICAL OR VETERINARY SCIENCE; HYGIENE
- A61P—SPECIFIC THERAPEUTIC ACTIVITY OF CHEMICAL COMPOUNDS OR MEDICINAL PREPARATIONS
- A61P11/00—Drugs for disorders of the respiratory system
- A61P11/06—Antiasthmatics
-
- A—HUMAN NECESSITIES
- A61—MEDICAL OR VETERINARY SCIENCE; HYGIENE
- A61P—SPECIFIC THERAPEUTIC ACTIVITY OF CHEMICAL COMPOUNDS OR MEDICINAL PREPARATIONS
- A61P29/00—Non-central analgesic, antipyretic or antiinflammatory agents, e.g. antirheumatic agents; Non-steroidal antiinflammatory drugs [NSAID]
-
- A—HUMAN NECESSITIES
- A61—MEDICAL OR VETERINARY SCIENCE; HYGIENE
- A61P—SPECIFIC THERAPEUTIC ACTIVITY OF CHEMICAL COMPOUNDS OR MEDICINAL PREPARATIONS
- A61P37/00—Drugs for immunological or allergic disorders
- A61P37/02—Immunomodulators
- A61P37/06—Immunosuppressants, e.g. drugs for graft rejection
-
- C—CHEMISTRY; METALLURGY
- C07—ORGANIC CHEMISTRY
- C07D—HETEROCYCLIC COMPOUNDS
- C07D491/00—Heterocyclic compounds containing in the condensed ring system both one or more rings having oxygen atoms as the only ring hetero atoms and one or more rings having nitrogen atoms as the only ring hetero atoms, not provided for by groups C07D451/00 - C07D459/00, C07D463/00, C07D477/00 or C07D489/00
- C07D491/02—Heterocyclic compounds containing in the condensed ring system both one or more rings having oxygen atoms as the only ring hetero atoms and one or more rings having nitrogen atoms as the only ring hetero atoms, not provided for by groups C07D451/00 - C07D459/00, C07D463/00, C07D477/00 or C07D489/00 in which the condensed system contains two hetero rings
- C07D491/04—Ortho-condensed systems
-
- C—CHEMISTRY; METALLURGY
- C07—ORGANIC CHEMISTRY
- C07D—HETEROCYCLIC COMPOUNDS
- C07D495/00—Heterocyclic compounds containing in the condensed system at least one hetero ring having sulfur atoms as the only ring hetero atoms
- C07D495/02—Heterocyclic compounds containing in the condensed system at least one hetero ring having sulfur atoms as the only ring hetero atoms in which the condensed system contains two hetero rings
- C07D495/04—Ortho-condensed systems
Landscapes
- Chemical & Material Sciences (AREA)
- Organic Chemistry (AREA)
- Health & Medical Sciences (AREA)
- Life Sciences & Earth Sciences (AREA)
- General Health & Medical Sciences (AREA)
- Veterinary Medicine (AREA)
- Chemical Kinetics & Catalysis (AREA)
- General Chemical & Material Sciences (AREA)
- Medicinal Chemistry (AREA)
- Nuclear Medicine, Radiotherapy & Molecular Imaging (AREA)
- Bioinformatics & Cheminformatics (AREA)
- Pharmacology & Pharmacy (AREA)
- Engineering & Computer Science (AREA)
- Animal Behavior & Ethology (AREA)
- Public Health (AREA)
- Immunology (AREA)
- Pulmonology (AREA)
- Transplantation (AREA)
- Pain & Pain Management (AREA)
- Rheumatology (AREA)
- Pharmaceuticals Containing Other Organic And Inorganic Compounds (AREA)
- Heterocyclic Carbon Compounds Containing A Hetero Ring Having Oxygen Or Sulfur (AREA)
- Organic Low-Molecular-Weight Compounds And Preparation Thereof (AREA)
- Use Of Switch Circuits For Exchanges And Methods Of Control Of Multiplex Exchanges (AREA)
- Nitrogen Condensed Heterocyclic Rings (AREA)
- Nitrogen And Oxygen Or Sulfur-Condensed Heterocyclic Ring Systems (AREA)
Abstract
本发明涉及一种通式(Ⅰ)吡咯并[3,4-d]哒嗪酮、噻吩并[3,4-d]哒嗪酮、呋喃并[3,4-d]哒嗪酮和吡唑并[3,4-d]哒嗪酮,其制备方法,含有它们的药物组合物,制备所述药物组合物的方法,以及用它们进行治疗的方法。
Description
本发明涉及一些吡咯并[3,4-d]哒嗪酮、噻吩并[3,4-d]哒嗪酮、呋喃并[3,4-d]哒嗪酮和吡唑并[3,4-d]哒嗪酮,其制备方法,含有它们的药物组合物,制备所述药物组合物的方法,以及用它们进行治疗的方法。
本发明提供了通式I化合物、其可药用盐或溶剂化物,其中B代表CH、氮原子、硫原子或氧原子;D代表碳原子或氮原子;E代表CR3或氮原子;当D代表碳原子时,则B是硫原子或氧原子且E是CR3,当D是氮原子时,则B是CH且E是CR3或氮原子,或者B是氮原子且E是CR3;R1代表NR’R”,其中R’代表氢原子或C1-C6烷基,R”代表C1-C6烷基,或者R’和R”与它们所连的氮原子一起形成3元-7元饱和杂环,或者R1代表分别可任选被一个或多个卤素原子取代的C1-C6烷基、C1-C6烷氧基、C1-C3-烷氧基C1-C3烷基、C3-C6-环烷氧基C1-C3烷基、C3-C6链烯基、苯基、C3-C7环烷基、C3-C5环烷基甲基或C3-C7环烯基;R2代表甲基,或任选被C1-C6烷氧基在除了1位以外的其它位置取代的C2-C6烷基;R3代表氢原子或X-R5或X-Ar1;X代表-O-、S(O)n、SO2N(R6)或C(=O)N(R6);n是0、1或2;R5代表任选取代的烷基或链烯基,或者当X代表SO2N(R6)或C(=O)N(R6)时,R5和R6与它们所连的氮原子一起形成任选取代的3元-7元杂环;Ar1代表任选取代的苯基或吡啶基;R6代表氢原子、C1-C6烷基或者如上所述与R5连接;R4代表CHR7Ar2或Ar3,或者当D代表碳原子时,R4代表C(O)Ar2或CR7(OH)Ar2;Ar2代表可任选被取代的芳基或杂芳基;Ar3代表分别可任选被取代的苊基、二氢茚基或芴基;且R7代表氢原子或C1-C4烷基。
在本说明书中,除非另外指出,否则烷基、链烯基、或在烷氧基、烷氧基羰基、(二)烷基氨基、酰氨基、烷基磺酰氨基、烷基酰氨基、或(二)烷基氨磺酰基取代基中的烷基部分可以是直链或支链。此外,在二烷基氨基或二烷基氨磺酰基中的烷基可相同或不同。
R1代表NR’R”,其中R’代表氢原子或C1-C6烷基、优选C1-C4烷基,R”代表C1-C6烷基、优选C1-C4烷基,或者R’和R”与它们所连的氮原子一起形成3元-7元饱和杂环,或者R1代表分别可任选被一个或多个、优选1-4个如1个或2个卤素原子(例如氟或氯)取代的C1-C6、优选C3-C5烷基(例如丙基、异丙基、丁基或异丁基)、C1-C6烷氧基(例如甲氧基、乙氧基、丙氧基、异丙氧基、丁氧基、戊氧基或己氧基)、C1-C3-烷氧基C1-C3烷基(例如-CH2-O-CH3)、C3-C6-环烷氧基C1-C3烷基(例如-CH2-O-环丙基、-CH2-O-环丁基、或-CH2-O-环戊基)、C3-C6链烯基(例如丙烯基或丁烯基)、苯基、C3-C7、优选C3-C5环烷基(例如环丙基、环丁基或环戊基)、C3-C5环烷基甲基(例如环丙基甲基、环丁基甲基或环戊基甲基)、或C3-C7、优选C3-C5环烯基(例如环丙烯基、环丁烯基或环戊烯基)。当R1包含双键时,R1的第一个碳原子不能是烯烃部分。
R2代表甲基,或任选被C1-C6、优选C1-C4烷氧基(例如甲氧基、乙氧基、丙氧基,异丙氧基、丁氧基或异丁氧基)在除了1位以外的其它位置取代的C2-C6烷基、优选C2-C4烷基。因此,如果存在烷氧基的话,它是连在不是与环氮原子直接相连的碳原子上。
R3代表氢原子或X-R5或X-Ar1。
X代表-O-、S(O)n、SO2N(R6)或C(=O)NR6,其中n是0、1或2。X优选代表-O-、S(O)n或C(=O)NR6,其中n是0、1或2。
R5代表任选取代的烷基或链烯基,或者当X代表SO2N(R6)或C(=O)N(R6)时,R5和R6与它们所连的氮原子一起形成任选取代的3元-7元杂环。如果R5代表任选取代的烷基,则该烷基优选具有2-10个、特别是2-6个碳原子,或者如果R5代表任选取代的链烯基,则该链烯基优选具有3-10个、特别是3-6个碳原子。R5不能形成烯胺或烯醇醚。所述烷基、链烯基或杂环可优选被一个或多个例如1个、2个、3个或4个独立地选自下述基团的取代基取代:酰氨基、氨基、羧基、氰基、羟基、C1-C6烷氧基(优选C1-C4烷氧基)、C1-C6烷硫基(优选C1-C4烷硫基)、C1-C6烷基羰基(优选C1-C4烷基羰基)、C1-C6烷氧基羰基(优选C1-C4烷氧基羰基)、C3-C7环烷基(优选C5-C6环烷基)、(二)C1-C6烷基氨基(优选(二)甲基氨基或(二)乙基氨基)、C2-C6酰氨基(优选C2-C4酰氨基)、C1-C6烷基磺酰氨基(优选C1-C4烷基磺酰氨基)、四氢呋喃基、二氧杂环戊烷基、咪唑基、卤代C1-C6烷基磺酰氨基、和四唑基。尤其优选的取代基是羟基、羧基、甲氧基、甲硫基、甲基羰基、环戊基、-NHC(O)CH3、四氢呋喃基、二氧杂环戊烷基和咪唑基。
Ar1代表任选取代的苯基或吡啶基。所述苯基或吡啶基可优选被一个或多个例如1-4个独立地选自下述基团的取代基取代:羧基、羟基、C2-C6酰氨基(优选C2-C4酰氨基)、C1-C6烷基酰氨基(优选C1-C4烷基酰氨基)、C1-C6烷基磺酰氨基(优选C1-C4烷基磺酰氨基)、和(二)C1-C6烷基氨磺酰基(优选(二)C1-C4烷基氨磺酰基)。Ar1优选为吡啶基,特别是2-吡啶基。
R4代表CHR7Ar2或Ar3,或者当D代表碳原子时,R4代表C(O)Ar2或CR7(OH)Ar2。R4优选为CHR7Ar2、C(O)Ar2或CR7(OH)Ar2。
R7代表C1-C4烷基(例如甲基或乙基),或最优选代表氢原子。
Ar2代表可任选被取代的芳基或杂芳基。合适的芳基或杂芳基的实例包括苯基、萘基、吡啶基、喹啉基、异喹啉基、萘啶基、噌啉基、酞嗪基、喹唑啉基、喹喔啉基、噻吩基、苯并噻吩基、呋喃基、苯并呋喃基、噻唑基、苯并噻唑基、吲哚基、吲嗪(中氮茚)基、吡唑基、吲唑基(indazyl)、咪唑基、苯并咪唑基、咪唑并吡啶基、三唑基、苯并三唑基和三唑并吡啶基。
Ar2可任选被一个或多个、优选1-4个、尤其是1-3个独立地选自下述基团的取代基取代:卤素(例如氟、氯、溴或碘)、三氟甲基、三氟甲氧基、氨基、氰基、羧基、硝基、C1-C6烷基(优选C1-C4烷基)、C1-C6烷氧基(优选C1-C4烷氧基)、(二)C1-C6烷基氨基(优选(二)C1-C4烷基氨基)、C2-C6酰氨基(优选C2-C4酰氨基)、C1-C6烷基磺酰氨基(优选C1-C4烷基磺酰氨基)、CONH-C1-C6烷基(优选CONH-C1-C4烷基)、和C1-C6烷氧基羰基(优选C1-C4烷氧基羰基)。
Ar2优选为苯基、萘基、吡啶基、喹啉基或咪唑并吡啶基,其中所述基团任选被1-3个独立地选自卤素、氰基、三氟甲基和C1-C6烷氧基(尤其是甲氧基)的取代基取代。
Ar3代表分别可任选被-个或多个、例如1-4个基团取代的苊基、二氢茚基或芴基。所任选的取代基于Ar2的任选取代基相同。
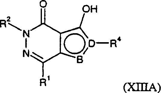
优选的本发明化合物包括:2,6-二氢-2-甲基-4-(2-甲基丙基)-6-(1-萘基甲基)-1H-吡咯并[3,4-d]哒嗪-1-酮,2,6-二氢-2-(2-甲氧基乙基)-4-(2-甲基丙基)-6-(1-萘基甲基)-1H-吡咯并[3,4-d]哒嗪-1-酮,2,6-二氢-7-[(3-羟基丙基)硫基]-2-甲基-4-(2-甲基丙基)-6-(1-萘基甲基)-1H-吡咯并[3,4-d]哒嗪-1-酮,4-{[2,6-二氢-2-甲基-4-(2-甲基丙基)-6-(1-萘基甲基)-1-氧代-1H-吡咯并[3,4-d]哒嗪-7-基]硫基}丁酸,2,6-二氢-7-[(3-羟基丙基)亚磺酰基]-2-甲基-4-(2-甲基丙基)-6-(1-萘基甲基)-1H-吡咯并[3,4-d]哒嗪-1-酮,2,6-二氢-7-[(3-羟基丙基)磺酰基]-2-甲基-4-(2-甲基丙基)-6-(1-萘基甲基)-1H-吡咯并[3,4-d]哒嗪-1-酮,2-[1-羟基-1-(1-萘基)甲基]-5-甲基-7-(2-甲基丙基)噻吩并[2,3-d]哒嗪-4(5H)-酮,5-甲基-7-(2-甲基丙基)-2-(1-萘基甲基)噻吩并[2,3-d]哒嗪-4(5H)-酮,3-[(3-羟基丙基)硫基]-5-甲基-7-(2-甲基丙基)-2-(1-萘基甲基)噻吩并[2,3-d]哒嗪-4(5H)-酮,5-甲基-7-(2-甲基丙基)-2-(1-萘基羰基)噻吩并[2,3-d]哒嗪-4(5H)-酮,3-[(3-羟基丙基)亚磺酰基]-5-甲基-7-(2-甲基丙基)-2-(1-萘基甲基)噻吩并[2,3-d]哒嗪-4(5H)-酮,4-{[4,5-二氢-5-甲基-7-(2-甲基丙基)-2-(1-萘基甲基)-4-氧代噻吩并[2,3-d]哒嗪-3-基]硫基}丁酸,5-甲基-7-(2-甲基丙基)-2-(1-萘基甲基)-3-(2-吡啶基硫基)噻吩并[2,3-d]哒嗪-4(5H)-酮,3-[(3-羟基丙基)磺酰基]-5-甲基-7-(2-甲基丙基)-2-(1-萘基甲基)噻吩并[2,3-d]哒嗪-4(5H)-酮,2-[1-羟基-1-苯基甲基]-5-甲基-7-(2-甲基丙基)噻吩并[2,3-d]哒嗪-4(5H)-酮,5-甲基-7-(2-甲基丙基)-2-苯基甲基噻吩并[2,3-d]哒嗪-4(5H)-酮,3-[(3-羟基丙基)硫基]-5-甲基-7-(2-甲基丙基)-2-苯基甲基噻吩并[2,3-d]哒嗪-4(5H)-酮,3-[(3-羟基丙基)磺酰基]-5-甲基-7-(2-甲基丙基)-2-苯基甲基噻吩并[2,3-d]哒嗪-4(5H)-酮,2,6-二氢-2-甲基-4-(2-甲基丙基)-6-苯基甲基-1H-吡咯并[3,4-d]哒嗪-1-酮,2,6-二氢-2-甲基-4-(2-甲基丙基)-6-苯基甲基-7-(2-吡啶基硫基)-1H-吡咯并[3,4-d]哒嗪-1-酮,2,6-二氢-7-[(3-羟基丙基)硫基]-2-甲基-4-(2-甲基丙基)-6-苯基甲基-1H-吡咯并[3,4-d]哒嗪-1-酮,2,6-二氢-2-甲基-4-(2-甲基丙基)-6-(3,4,5-三甲氧基苯基)甲基-1H-吡咯并[3,4-d]哒嗪-1-酮,2,6-二氢-2-甲基-6-(1-萘基甲基)-4-(1-甲基乙基)氨基-1H-吡咯并[3,4-d]哒嗪-1-酮,2,6-二氢-2-甲基-4-(2-甲基丙基)-6-(4-吡啶基)甲基-1H-吡咯并[3,4-d]哒嗪-1-酮,6-(2-氯苯基)甲基-2,6-二氢-2-甲基-4-(2-甲基丙基)-1H-吡咯并[3,4-d]哒嗪-1-酮,6-(3,5-二氟苯基)甲基-2,6-二氢-2-甲基-4-(2-甲基丙基)-1H-吡咯并[3,4-d]哒嗪-1-酮,6-(2-氯-6-氟苯基)甲基-2,6-二氢-2-甲基-4-(2-甲基丙基)-1H-吡咯并[3,4-d]哒嗪-1-酮,6-(3-氯-2-氟苯基)甲基-2,6-二氢-2-甲基-4-(2-甲基丙基)-1H-吡咯并[3,4-d]哒嗪-1-酮,2,6-二氢-2-甲基-4-(2-甲基丙基)-6-(2-喹啉基甲基)-1H-吡咯并[3,4-d]哒嗪-1-酮,2,6-二氢-2-甲基-4-(2-甲基丙基)-6-(2-三氟甲基苯基)甲基-1H-吡咯并[3,4-d]哒嗪-1-酮,2,6-二氢-6-(2-咪唑并[1,2-a]吡啶基)甲基-2-甲基-4-(2-甲基丙基)-1H-吡咯并[3,4-d]哒嗪-1-酮,2,6-二氢-N-[3-(1-1H-咪唑基)丙基]-2-甲基-4-(2-甲基丙基)-1-氧代-6-苯基甲基-1H-吡咯并[3,4-d]哒嗪-1-酮-5-甲酰胺,2,5-二氢-5-甲基-7-(2-甲基丙基)-2-(1-萘基甲基)-4H-吡唑并[3,4-d]哒嗪-4-酮,2,6-二氢-6-甲基-4-(2-甲基丙基)-2-(1-萘基甲基)-7H-吡唑并[3,4-d]哒嗪-7-酮,2,5-二氢-3-[(3-羟基丙基)硫基]-5-甲基-7-(2-甲基丙基)-2-(1-萘基甲基)-4H-吡唑并[3,4-d]哒嗪-4-酮,2-[1-羟基-1-(1-萘基)甲基]-5-甲基-7-(2-甲基丙基)呋喃并[2,3-d]哒嗪-4(5H)-酮,5-甲基-7-(2-甲基丙基)-2-(1-萘基甲基)呋喃并[2,3-d]哒嗪-4(5H)-酮,2-[1-羟基-1-(3-氰基苯基)甲基]-5-甲基-7-(2-甲基丙基)呋喃并[2,3-d]哒嗪-4(5H)-酮,2-(3-氰基苯基)甲基-5-甲基-7-(2-甲基丙基)呋喃并[2,3-d]哒嗪-4(5H)-酮,2-(2-三氟甲基苯基)甲基-5-甲基-7-(2-甲基丙基)噻吩并[2,3-d]哒嗪-4(5H)-酮,2-[(1-羟基-1-吡啶-3-基)甲基]-5-甲基-7-(2-甲基丙基)噻吩并[2,3-d]哒嗪-4(5H)-酮盐酸盐,5-甲基-7-(2-甲基丙基)-2-(3-吡啶基甲基)噻吩并[2,3-d]哒嗪-4(5H)-酮,2-(2-氯-6-氟苯基)甲基-5-甲基-7-(2-甲基丙基)噻吩并[2,3-d]哒嗪-4(5H)-酮,2-[(1-羟基-1-喹啉-3-基)甲基]-5-甲基-7-(2-甲基丙基)噻吩并[2,3-d]哒嗪-4(5H)-酮,5-甲基-7-(2-甲基丙基)-2-(3-喹啉基甲基)噻吩并[2,3-d]哒嗪-4(5H)-酮盐酸盐,2-[(3-氯苯基)甲基]-3-(2-羟基乙氧基)-7-(甲氧基甲基)-5-甲基噻吩并[2,3-d]哒嗪-4(5H)-酮,2-[(3-氯苯基)甲基]-7-环己基-3-(2-羟基乙氧基)-5-甲基噻吩并[2,3-d]哒嗪-4(5H)-酮,2-[(3-氯苯基)甲基]-3-(2-羟基乙氧基)-5-甲基-7-苯基噻吩并[2,3-d]哒嗪-4(5H)-酮,2-[(3-氯苯基)甲基]-7-环戊基-3-(2-羟基乙氧基)-5-甲基噻吩并[2,3-d]哒嗪-4(5H)-酮,7-环丙基甲基-3-甲氧基-5-甲基-2-[(3-三氟甲基苯基)甲基]噻吩并[2,3-d]哒嗪-4(5H)-酮,7-环丙基甲基-5-甲基-3-[2-(甲硫基)乙氧基]-2-[(3-三氟甲基苯基)甲基]噻吩并[2,3-d]哒嗪-4(5H)-酮,7-环丙基甲基-3-(2-甲氧基乙氧基)-5-甲基-2-[(3-三氟甲基苯基)甲基]噻吩并[2,3-d]哒嗪-4(5H)-酮,3-环戊基甲氧基-7-环丙基甲基-5-甲基-2-[(3-三氟甲基苯基)甲基]噻吩并[2,3-d]哒嗪-4(5H)-酮,7-环丙基甲基-5-甲基-3-(四氢呋喃-2-甲氧基)-2-[(3-三氟甲基苯基)甲基]噻吩并[2,3-d]哒嗪-4(5H)-酮,7-环丙基甲基-3-(3-羟基-3-甲基丁氧基)-5-甲基-2-[(3-三氟甲基苯基)甲基]噻吩并[2,3-d]哒嗪-4(5H)-酮,N-{3-[7-环丙基甲基-5-甲基-4-氧代-2-[(3-三氟甲基苯基)甲基]-4,5-二氢噻吩并[2,3-d]哒嗪-3-基]氧丙基}乙酰胺7-环丙基甲基-3-([1,3]二氧杂环戊烷-4-甲氧基)-5-甲基-2-[(3-三氟甲基苯基)甲基]噻吩并[2,3-d]哒嗪-4(5H)-酮,和7-环丙基甲基-5-甲基-3-(4-氧代戊基)氧-2-[(3-三氟甲基苯基)甲基]噻吩并[2,3-d]哒嗪-4(5H)-酮。本发明还提供了制备上述式(I)化合物的方法,其中包括:(a)当X代表S(O)n且n是1或2时,在适当量的合适氧化剂(例如3-氯过苯甲酸或以商品名“OXONE”市售的过一硫酸钾)和适当有机溶剂(例如二氯甲烷)存在下、在本领域技术人员众所周知的条件下,将通式(II)化合物氧化,其中R3’代表S-R5或S-Ar1,且B、D、R1、R2、R4、R5和Ar1的定义同上;或者(b)当X代表S(O)n且n是0时,在二异丙基氨基锂(LDA)存在下、于-78℃-室温(20℃),将其中E是CR3且R3是氢原子的相应式(I)化合物与通式(III)R8-S-S-R8化合物或通式(IV)L-S-R8化合物反应,其中R8都是如上所述的R5或Ar1,L代表离去基团例如芳基亚磺酸酯基;或者(c)当X代表SO2N(R6)时,在例如碳酸氢纳水溶液中将通式(V)化合物其中L’代表离去基团例如卤素原子(例如氯),且B、D、R1、R2和R4的定义同上,与通式(VI)HNR6R8化合物反应,其中R6和R8的定义同上;或者(d)当X代表C(=O)N(R6)时,在1-(3-二甲基氨基丙基)-3-乙基碳二亚胺和1-羟基苯并三唑水合物存在下、在溶剂例如二甲基甲酰胺存在下,将通式(VII)化合物与上述式(VI)化合物反应,其中B、D、R1、R2和R4的定义同上;或者(e)当D是碳原子,E是CR3,R3是氢原子,且R4是CH(OH)Ar2时,在二异丙基氨基锂存在下、于-78℃-室温(20℃)将通式(VIII)化合物其中B、R1和R2的定义同上,与通式(IX)Ar2CHO化合物反应,其中Ar2的定义同上;或者(f)当D是碳原子,E是CR3,R3是氢原子,且R4是CHR7Ar2时,在三乙基硅烷和三氟乙酸存在下将其中R4是CR7(OH)Ar2的相应式(I)化合物(例如在上述(e)中制得的)还原;或者(g)当D是碳原子,E是CR3,R3是氢原子,且R4是C(O)Ar2时,在高锰酸钾存在下将其中R4是CH(OH)Ar2的相应式(I)化合物(例如在上述(e)中制得的)氧化;或者(h)当D是碳原子,E是CR3,R3是氢原子,R4是CR7(OH)Ar2,且R7是C1-C4烷基时,在溶剂例如四氢呋喃存在下,将其中R4是COAr2的相应式(I)化合物(例如在上述(g)中制得的)与C1-C4烷基化试剂,如格氏试剂例如C1-C4烷基镁卤化物反应;或者(i)当D是碳原子,E是CR3,R3是氢原子,且R4是Ar3时,在二异丙基氨基锂和任选存在的氯化铈(III)存在下、于-78℃-室温(20℃)将上述式(VIII)化合物与1-二氢茚酮、2-二氢茚酮、9-芴酮或1-苊酮反应,然后进行还原反应,例如在三乙基硅和三氟乙酸存在下进行还原;或者(j)当D是氮原子,B是CH,E是CR3,且R3是氢原子时,在溶剂例如乙醇存在下、在回流条件下,将通式(X)化合物其中R9是烷基(例如C1-C6烷基如甲基),且R1和R4的定义同上,与通式(XI)R2NHNH2化合物反应,其中R2的定义同上;或者(k)当D是氮原子,B是CH,且E是氮原子时,在溶剂例如乙醇存在下、在回流条件下,将通式(XII)化合物其中R10是烷基(例如C1-C6烷基如甲基),且R1和R4的定义同上,与上述式(XI)化合物反应;或者(l)当D是氮原子,B是氮原子,E是CR3,且R3是氢原子时,在溶剂例如乙醇存在下、在回流条件下,将通式(XIII)化合物其中R11是烷基(例如C1-C6烷基如甲基),且R1和R4的定义同上,与上述通式(XI)化合物反应;或者(m)当X是-O-时,将通式(XIIIA)化合物其中B、D、R1、R2和R4的定义同上,与通式(XIIIB)R8-L”化合物反应,其中L”代表离去基团例如卤素原子,且R8的定义同上;或者(n)当D是碳原子,B是硫原子或氧原子,R3代表-OR5,且R4代表CH2Ar2时,在溶剂例如乙醇存在下、在回流条件下,将通式(XIIIC)化合物其中B’代表硫原子或氧原子,且R1、R5和Ar2的定义同上,与上述式(XI)化合物反应;之后可任选将式(I)化合物转化成其它式(I)化合物和/或形成式(I)化合物的可药用盐或溶剂化物。
式(V)化合物可通过下述方法方便地制得:在-78℃将其中E是CR3且R3是氢原子的式(I)化合物与二氧化硫和二异丙基氨基锂反应,然后在溶剂(例如两相溶剂系统如水/盐酸/二氯甲烷)中与N-氯琥珀酰亚胺反应。式(VII)化合物可通过在二异丙基氨基锂存在下将其中E是CR3且R3是氢原子的式(I)化合物与二氧化碳反应而轻易地制得。式(X)化合物可通过下述方法方便地制得:在氟化银和适当溶剂例如乙腈存在下,将通式(XIV)化合物其中R1和R9的定义同上,与通式(XV)化合物反应,其中R4的定义同上。
或者,其中R4是CH2Ar2的式(X)化合物可这样制得:将通式(XVI)化合物其中R1和R9的定义同上,与式(XVII)Ar2CH2L化合物反应,其中L是离去基团例如卤素,且Ar2的定义同上。该反应可在碱存在下在适当溶剂中例如氢化钠/二甲基甲酰胺(NaH/DMF)、任选在碘化钾(KI)存在下进行。式(XVI)化合物可通过将通式(XVIII)化合物与甲苯磺酰基甲基异氰化物反应而制得,其中R1和R9的定义同上。该反应适宜在碱如氢化钠存在下,在溶剂混合物如乙醚/二甲亚砜存在下进行。下述反应方案直接描述了式(XII)和(XIII)化合物的制备,其中R≡R10≡R11,THF代表四氢呋喃,DMF代表二甲基甲酰胺,Hal代表卤素原子,T代表中间体:式(XIIIA)化合物可依据下述反应方案制得:式(XIIIC)化合物可依据下述反应方案制得:式(III)、(IV)、(VI)、(VIII)、(IX)、(XI)、(XIIIB)、(XIV)、(XV)和(XVIII)化合物可商购获得,在文献中是众所周知的,或者可用已知技术容易地制得。可用标准方法将式(I)化合物转化成其它式(I)化合物。例如,通过在三乙胺和二氯甲烷存在下与甲磺酰氯(MsCl)反应,然后在二甲基甲酰胺存在下与氰化钠反应,可将其中R5代表羟基取代的烷基例如-(CH2)3OH的式(I)化合物转化成其中R5代表氰基取代的烷基例如-(CH2)2CN的式(I)化合物。通过与叠氮化三甲基锡(Me3SnN3)在甲苯中于回流条件下反应,可将所得式(I)化合物转化成其中R5代表四唑基取代的烷基的式(I)化合物。下述反应方案举例说明了这些以及其它转化,其中‘Alk’代表‘烷基’,‘Hal’代表‘卤素’:本领域技术人员应当理解,在本发明方法中,可能需要将中间体化合物中的一些官能团例如羟基或氨基通过保护基保护。因此,在制备式(I)化合物的最后步骤中可能包括除去一个或多个保护基。
‘有机化学中的保护基’,J.W.F.McOmie编辑,Plenum Press(1973)和‘有机合成中的保护基’,第2版,T.W.Greene和P.G.M.Wuts,Wiley-Interscience(1991)中描述了官能团的保护和脱保护。
可将上述式(I)化合物转化成其可药用盐或溶剂化物,优选酸加成盐,例如盐酸盐、氢溴酸盐、磷酸盐、乙酸盐、富马酸盐、马来酸盐、酒石酸盐、柠檬酸盐、草酸盐、甲磺酸盐或对甲苯磺酸盐,或碱金属盐例如钠盐或钾盐。
一些式(I)化合物可以以立体异构体形式存在。应当理解,本发明包括式(I)化合物的所有几何异构体和旋光异构体以及包括消旋体在内的它们的混合物。互变异构体及其混合物也是本发明的一部分。
本发明化合物是有用的,因为它们在人和非人动物中具有药理活性。因此,它们可以作为用于治疗(预防)下述疾病的药物:自身免疫性疾病、炎症、增生和高增生性疾病,以及包括器官或组织移植排斥反应和获得性免疫缺失综合征(AIDS)在内的免疫介导的疾病。这些病症的实例有:(1)(呼吸道)气管可逆性堵塞疾病,包括哮喘,例如支气管哮喘、变应性哮喘、内因性哮喘、外因性哮喘、尘埃性哮喘,尤其是慢性或慢性顽固性哮喘(例如老年哮喘和气管高敏感性);支气管炎;急性鼻炎、变应性鼻炎、萎缩性鼻炎、和包括干酪性鼻炎在内的慢性鼻炎、肥厚性鼻炎、脓性鼻炎、干性鼻炎和药物性鼻炎;膜性鼻炎,包括格鲁布性鼻炎、纤维蛋白性鼻炎和假膜性鼻炎,和瘰疬性鼻炎;季节性鼻炎,包括神经性鼻炎(枯草热)和血管舒缩性鼻炎;肉样瘤病、农民肺及相关疾病、纤维化肺和自发性间质性肺炎;(2)(骨和关节)类风湿性关节炎、血清反应阴性脊椎关节病(包括僵硬性脊椎炎、牛皮癣性关节炎、和赖特病)、贝赫切特病、斯耶格伦综合征、和全身性硬化症;(3)(皮肤)牛皮癣、特异反应性皮炎、接触性皮炎和其它湿疹性皮炎、皮脂溢性皮炎、扁平苔癣、天疱疮、大天疱疮、大疱性表皮松解、荨麻疹、皮血管炎、结节性脉管炎、红斑、皮肤嗜曙红细胞增多、眼色素层炎、斑秃、过敏性结膜炎和春季结膜炎;(4)(胃肠道)腹病、直肠炎、嗜曙红细胞性胃肠炎、肥大细胞增生病、局限性回肠炎、在远离肠处有影响的与食物有关的变态反应,例如偏头痛、鼻炎和湿疹;(5)(其它组织和系统疾病)多发性硬化、动脉粥样硬化、获得性免疫缺失综合征(AIDS)、红斑狼疮、全身性狼疮、红皮病、桥本氏甲状腺炎、重症肌无力、I型糖尿病、肾病性综合征、嗜曙红细胞增多性筋膜炎、高IgE综合征、结节性麻风、赛塞利综合征、和特发性血小板减少性紫癜;(6)(同种移植物排斥)下述急性和慢性移植排斥,例如肾、心脏、肝脏、肺、骨髓、皮肤和角膜移植排斥;和慢性宿主移植排斥病。
本发明化合物还可用作抗微生物剂,因此可用于治疗由致病微生物体引起的疾病。
因此,本发明提供了用于治疗的上述式(I)化合物或其可药用盐或溶剂化物。
另一方面,本发明提供了上述式(I)化合物或其可药用盐或溶剂化物在制备用于治疗的药物中的应用。
本发明还提供了进行免疫抑制的方法,包括将治疗有效量的上述式(I)化合物或其可药用盐或溶剂化物对患者给药。
本发明还提供了在患有气管可逆性堵塞疾病或有患这种疾病危险的患者中治疗气管可逆性堵塞疾病或降低其危险性的方法,包括将治疗有效量的上述式(I)化合物或其可药用盐或溶剂化物对患者给药。
当然,对于上述治疗应用,给药剂量将随所用化合物、给药方式、所需治疗以及病症的不同而不同。
式(I)化合物或其可药用盐或溶剂化物可单独给药,但是通常是以其中含有式(I)化合物/盐/溶剂化物(活性组分)和可药用辅料、稀释剂或载体的药物组合物形式给药。根据给药方式的不同,药物组合物可优选含有0.05%-99%(重量百分比)、更优选0.10%-70%重量的活性组分和1%-99.95%、更优选30%-99.90%重量的可药用辅料、稀释剂或载体,其中所有百分比都是按组合物总重量计的。
因此,本发明还提供了药物组合物,其中含有上述式(I)化合物或其可药用盐或溶剂化物、和可药用辅料、稀释剂或载体。
本发明还提供了制备本发明药物组合物的方法,包括将上述式(I)化合物或其可药用盐或溶剂化物于可药用辅料、稀释剂或载体混合。
本发明药物组合物可以以溶液剂、悬浮剂、七氟烷烃气雾剂和干粉制剂形式局部给药;或系统给药,例如以片剂、胶囊剂、糖浆剂、粉剂或粒剂形式口服给药,或者以溶液剂或悬浮剂形式非胃肠道给药,或者皮下给药,或者以栓剂形式直肠给药,或者透皮给药。
通过下述实施例可更好地理解本发明,其中另外指出,否则色谱处理是用二氧化硅进行的,有机溶液是用硫酸镁干燥的。术语GC、MS、NMR、CDCl3和DMSO分别是指气相色谱、质谱、核磁共振、氘氯仿和二甲亚砜。
实施例12,6-二氢-2-甲基-4-(2-甲基丙基)-6-(1-萘基甲基)-1H-吡咯并[3,4-d]哒嗪-1-酮a)(E)-6-甲基-4-氧代-2-庚烯酸甲酯在-2℃、氮气氛、搅拌下,将溴(10.0ml)一次加到4-甲基-2-戊酮(25ml)在无水甲醇(120ml)内的溶液中。该反应混合物的温度增加到了约5℃。将该反应混合物在-2℃搅拌2小时直至溶液变无色。加入水(100ml),将该混合物搅拌16小时。将该反应混合物用盐饱和,然后用乙醚萃取(4次),将萃取液依次用碳酸氢钠水溶液和盐水洗涤。干燥并蒸发,获得了1-溴-4-甲基-2-戊酮,为油状物(31g),其中含有约10%3-溴异构体。GC/MS(EI)178/180(M+)在90℃、搅拌下,用5分钟将1-溴-4-甲基-2-戊酮(30g)的甲苯(30ml)溶液加到(三苯基亚正膦基)乙酸甲酯(112g)在无水甲苯(300ml)中的悬浮液内。3小时后,将该浑浊的黄色悬浮液冷却并过滤。滤液用溴乙酸甲酯(16ml)处理,混合物在90℃搅拌2小时。在冷却下,滤出甲氧基羰基甲基三苯基鏻溴化物沉淀,将滤液蒸发至油状物,进行色谱处理,用异己烷-二氯甲烷(10∶1)洗脱,获得了本副标题酮酯,为油状物(10.2g)。GC/MS(EI)170(M+),113(BP)1H NMR(CDCl3):δ0.95(d,6H),2.18(m,1H),2.50(d,2H),3.81(s,3H),6.66(d,1H,J=15.9Hz),7.06(d,1H,J=15.9Hz)b)4-(3-甲基-1-氧代丁基)-1H-吡咯-3-甲酸甲酯在搅拌、氮气氛下,用1小时将上述a)中制得的(E)-6-甲基-4-氧代-2-庚烯酸甲酯(10g)和(对甲苯磺酰基)甲基异氰化物(11.5g)在无水二甲亚砜(30ml)和乙醚(30ml)的混合物中的溶液加到氢化钠(2.75g 60%油分散液,0.068mol)的无水乙醚(90ml)溶液中。1小时后,加入饱和氯化铵溶液,将该混合物用乙酸乙酯萃取,用水充分洗涤,干燥,并蒸发至胶状物。将该胶状物进行色谱处理,用乙酸乙酯-异己烷(2∶3)洗脱,获得了固体(3.3g),用乙酸乙酯-环己烷结晶,获得了本副标题酯。熔点:136℃MS(+ve APCI)(M+H)+2101H NMR(CDCl3):δ0.96(d,6H),2.22(m,1H),2.78(d,2H),3.83(s,3H),7.26(t,1H),7.37(t,1H),8.8(br,1H)c)4-(3-甲基-1-氧代丁基)-1-(1-萘基甲基)-1H-吡咯-3-甲酸甲酯在搅拌、氮气氛下,用20分钟将上述b)中制得的4-(3-甲基-1-氧代丁基)-1H-吡咯-3-甲酸甲酯(2.2g)分批加到去油氢化钠(0.42g60%油分散液,0.0105mol)的无水二甲基甲酰胺(15ml)溶液中。10分钟后,加入碘化钾(0.01g)和(1-萘基)甲基氯(1.85g)的二甲基甲酰胺(20ml)溶液。将该混合物搅拌4小时,然后倒入0.5M盐酸中,用乙酸乙酯萃取。将该有机层依次用水和盐水充分洗涤,干燥,并蒸发至胶状物,将该胶状物进行色谱处理,用乙酸乙酯-异己烷(1∶3)洗脱,获得了油状物。将该油状物用环己烷结晶,获得了本副标题吡咯(2.6g)。熔点:81-82℃MS(APCI)350(M+H)+ 1H NMR(CDCl3):δ0.94(d,6H),2.2(m,1H),2.76(d,2H),3.79(s,3H),5.50(s,2H),7.17(d,1H,J=2.7Hz),7.23(d,1H,J=2.7Hz),7.25(m,1H),7.46(dd,1H),7.55(m,2H),7.80(m,1H),7.95(m,2H)d)2,6-二氢-2-甲基-4-(2-甲基丙基)-6-(1-萘基甲基)-1H-吡咯并[3,4-d]哒嗪-1-酮
将上述c)中制得的4-(3-甲基-1-氧代丁基)-1-(1-萘基甲基)-1H-吡咯-3-甲酸甲酯(0.35g)与甲基肼(0.10mol)在乙醇(15ml)中加热回流16小时。将该混合物倒入稀盐酸中,用乙酸乙酯萃取,将萃取液依次用盐水洗涤,干燥,并蒸发至胶状物。将该胶状物进行色谱处理,用乙酸乙酯-异己烷(1∶1)洗脱,获得了固体,将该固体用环己烷重结晶,获得了2,6-二氢-2-甲基-4-(2-甲基丙基)-6-(1-萘基甲基)-1H-吡咯并[3,4-d]哒嗪-1-酮(0.16g)。熔点:110-112℃MS(APCI)346(M+H)+ 1H NMR(CDCl3):δ0.94(d,6H),2.11(m,1H),2.53(d,2H),3.71(s,3H),5.73(s,2H),7.04(d,1H,J=2.1Hz),7.22(d,1H),7.52(d,1H,J=2.1Hz),7.53(m,3H),7.83(m,1H),7.91(m,2H)实施例22,6-二氢-2-(2-甲氧基乙基)-4-(2-甲基丙基)-6-(1-萘基甲基)-1H-吡咯并[3,4-d]哒嗪-1-酮a)2,6-二氢-4-(2-甲基丙基)-6-(1-萘基甲基)-1H-吡咯并[3,4-d]哒嗪-1-酮将在上述实施例1c)中制得的4-(3-甲基-1-氧代丁基)-1-(1-萘基甲基)-1H-吡咯-3-甲酸甲酯(0.35g)和肼水合物(0.2ml)在乙醇(10ml)中搅拌2天。将该反应混合物倒入水中,获得了固体,收集该固体并用乙酸乙酯-环己烷重结晶,获得了本副标题吡咯(0.22g)。熔点:183℃MS(APCI)332(M+H)+ 1H NMR(CDCl3):δ0.95(d,6H),2.11(m,1H),2.53(d,2H),5.75(s,2H),7.10(d,1H,J=2.1Hz),7.26(m,1H),7.52(d,1H,J=2.1Hz),7.52(m,3H),7.82(m,1H),7.92(m,2H),9.08(br,1H)b)2,6-二氢-2-(2-甲氧基乙基)-4-(2-甲基丙基)-6-(1-萘基甲基)-1H-吡咯并[3,4-d]哒嗪-1-酮
在搅拌、氮气氛下,将上述a)中制得的2,6-二氢-4-(2-甲基丙基)-6-(1-萘基甲基)-1H-吡咯并[3,4-d]哒嗪-1-酮(0.060g)分批加到去油氢化钠(0.020g 60%油分散液,0.5mmol)的无水二甲基甲酰胺溶液中。30分钟后,加入溴乙基甲基醚(0.04ml),将该反应混合物搅拌16小时。然后将该反应混合物倒入0.5M盐酸中,用乙酸乙酯萃取,将萃取液依次用盐水洗涤,干燥,并蒸发至油状物。将该油状物进行色谱处理,用乙酸乙酯-异己烷(1∶1)洗脱,获得了2,6-二氢-2-(2-甲氧基乙基)-4-(2-甲基丙基)-6-(1-萘基甲基)-1H-吡咯并[3,4-d]哒嗪-1-酮(0.027g)。熔点:96-98℃MS(APCI)390(M+H)+ 1H NMR(CDCl3):δ0.94(d,6H),2.11(m,1H),2.53(d,2H),3.35(s,3H),3.75(t,2H),4.32(t,2H),5.72(s,2H),7.02(d,1H,J=2.1Hz),7.22(d,1H),7.54(m,4H),7.82(m,1H),7.90(m,2H)
实施例32,6-二氢-7-[(3-羟基丙基)硫基]-2-甲基-4-(2-甲基丙基)-6-(1-萘基甲基)-1H-吡咯并[3,4-d]哒嗪-1-酮在搅拌、-78℃、氮气氛下,将二异丙基氨基锂的四氢呋喃溶液(0.39M,5.1ml)加到在上述实施例1中制得的2,6-二氢-2-甲基-4-(2-甲基丙基)-6-(1-萘基甲基)-1H-吡咯并[3,4-d]哒嗪-1-酮(0.345g)和S-{3-[(1,1-二甲基乙基)二甲基甲硅烷基]氧丙基}对甲苯硫代磺酸酯(0.72g)(《药物化学杂志》(J.Med.Chem.),1995,38,2557)在四氢呋喃(10ml)内的溶液中。将该反应混合物在室温反应过夜,然后加入饱和氯化铵溶液。将该混合物用乙酸乙酯萃取,然后用盐水洗涤,干燥,并蒸发至胶状物。将该胶状物进行色谱处理,用乙酸乙酯-异己烷(1∶1)洗脱,获得了本标题化合物的叔丁基二甲基甲硅烷基酯,为固体(0.25g),MS(APCI)550(M+H)+。在搅拌下,将40%氢氟酸(0.07ml)加到上述固体(0.25g)的无水乙腈(10ml)悬浮液中。16小时后,加入碳酸氢钠水溶液,将该混合物部分蒸发,获得了残余物。将该残余物用乙酸乙酯萃取,将萃取液用盐水洗涤,干燥,并蒸发至固体。将该固体进行色谱处理,用乙酸乙酯-异己烷(3∶2)洗脱,用乙醚-异己烷研制后,获得了2,6-二氢-7-[(3-羟基丙基)硫基]-2-甲基-4-(2-甲基丙基)-6-(1-萘基甲基)-1H-吡咯并[3,4-d]哒嗪-1-酮(0.17克)。熔点:152℃MS(APCI)436(M+H)+ 1H NMR(CDCl3):δ0.90(d,6H),1.77(quint,2H),1.98-2.12(m,1H),2.48(d,2H),3.12(t,2H),3.75(s,3H),3.87-4.01(m,3H),5.97(s,2H),6.75(d,1H),7.05(s,1H),7.39(dd,1H),7.53-7.61(m,2H),7.85(d,1H),7.89-7.95(m,2H)
实施例44-{[2,6-二氢-2-甲基-4-(2-甲基丙基)-6-(1-萘基甲基)-1-氧代-1H-吡咯并[3,4-d]哒嗪-7-基]硫基}丁酸a)S-{3-[4-甲基-2,6,7-三氧杂二环[2.2.2]辛-1-基]丙基}对甲苯硫代磺酸酯将对甲苯硫代磺酸钾(8.5g)加到1-(3-溴丙基)-4-甲基-2,6,7-三氧杂二环[2.2.2]辛烷(《四面体通讯》(Tetrahedron Lett.),1983,24,5571)(9.4g)和三乙胺(5ml)在无水六甲基磷酰胺(15ml)内的溶液中,将该混合物搅拌3天。加入水,滤出析出的沉淀,将沉淀溶于乙酸乙酯,然后将乙酸乙酯用水洗涤,用硫酸钠干燥,并蒸得到残余物。将该残余物用乙醚研制,获得了本副标题酯,为固体(8.0g)。MS(APCI)359(M+H)+ 1H NMR(DMSO-d6):δ0.73(s,3H),1.59(m,4H),2.47(s,3H),2.99(t,2H),3.77(s,6H),7.48(d,2H),7.79(d,2H)b)4-{[2,6-二氢-2-甲基-4-(2-甲基丙基)-6-(1-萘基甲基)-1-氧代-1H-吡咯并[3,4-d]哒嗪-7-基]硫基}丁酸甲酯在搅拌、-78℃、氮气氛下,将二异丙基氨基锂的四氢呋喃溶液(0.39M,5.1ml)滴加到在上述实施例1中制得的2,6-二氢-2-甲基-4-(2-甲基丙基)-6-(1-萘基甲基)-1H-吡咯并[3,4-d]哒嗪-1-酮(0.345g)和上述a)中制得的S-{3-[4-甲基-2,6,7-三氧杂二环[2.2.2]辛-1-基]丙基}对甲苯硫代磺酸酯(0.70g)在无水四氢呋喃(8ml)内的溶液中。1小时后,加入碳酸氢钠水溶液。将该混合物用乙酸乙酯萃取,然后用盐水洗涤,干燥,并蒸发至胶状物。将该胶状物立即溶于氯化氢甲醇溶液中,16小时后,将该溶液蒸发得到残余物。将该残余物溶于乙酸乙酯,用盐水洗涤,干燥,并蒸发至胶状物。将该胶状物进行色谱处理,用乙酸乙酯-异己烷(1∶3)洗脱,获得了本副标题酯,为澄清油状物(0.24g)。MS(APCI)478(M+H)+ 1H NMR(CDCl3),salient peaks:δ3.10(t,2H),3.62(s,3H),3.75(s,3H),5.95(s,2H),7.02(s,1H)c)4-{[2,6-二氢-2-甲基-4-(2-甲基丙基)-6-(1-萘基甲基)-1-氧代-1H-吡咯并[3,4-d]哒嗪-7-基]硫基}丁酸将上述b)中制得的4-{[2,6-二氢-2-甲基-4-(2-甲基丙基)-6-(1-萘基甲基)-1-氧代-1H-吡咯并[3,4-d]哒嗪-7-基]硫基}丁酸甲酯(0.24g)与氢氧化锂水合物(0.060g)在四氢呋喃-水-甲醇(3∶1∶1)中搅拌3小时。将该溶液蒸发,把所得残余物在乙酸乙酯和稀盐酸之间分配。将有机层用盐水洗涤,干燥,并蒸发至固体,将该固体进行色谱处理,用乙酸乙酯-异己烷洗脱,用乙酸乙酯-环己烷结晶后,获得了4-{[2,6-二氢-2-甲基-4-(2-甲基丙基)-6-(1-萘基甲基)-1-氧代-1H-吡咯并[3,4-d]哒嗪-7-基]硫基}丁酸(0.075g)。熔点:167℃MS(APCI)464(M+H)+ 1H NMR(CDCl3):δ0.90(d,6H),1.86(m,2H),2.05(m,1H),2.49(m,2H),2.70(t,2H),2.84(t,2H),3.77(s,3H),6.00(s,2H),6.80(d,1H),7.10(s,1H),7.40(t,1H),7.58(m,2H),7.85-7.94(m,3H)
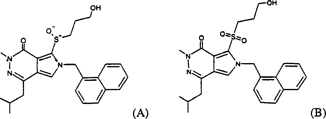
实施例52,6-二氢-7-[(3-羟基丙基)亚磺酰基]-2-甲基-4-(2-甲基丙基)-6-(1-萘基甲基)-1H-吡咯并[3,4-d]哒嗪-1-酮(A)和2,6-二氢-7-[(3-羟基丙基)磺酰基]-2-甲基-4-(2-甲基丙基)-6-(1-萘基甲基)-1H-吡咯并[3,4-d]哒嗪-1-酮(B)将如实施例3所述制得的2,6-二氢-7-[(3-羟基丙基)硫基]-2-甲基-4-(2-甲基丙基)-6-(1-萘基甲基)-1H-吡咯并[3,4-d]哒嗪-1-酮(0.34克)溶解在二氯甲烷(7ml)中,加入3-氯过苯甲酸(229mg)。4小时后,加入碳酸氢钠(水溶液)和焦亚硫酸钠(水溶液),将该混合物用二氯甲烷萃取三次。合并有机萃取液,用盐水洗涤,干燥,过滤并蒸发。将残余物进行色谱处理,先用乙酸乙酯洗脱,然后用乙酸乙酯∶乙醇(19∶1-9∶1)洗脱,以获得2个产物。将极性较大的产物用乙醚研制,获得了2,6-二氢-7-[(3-羟基丙基)亚磺酰基]-2-甲基-4-(2-甲基丙基)-6-(1-萘基甲基)-1H-吡咯并[3,4-d]哒嗪-1-酮(A)(48mg),将极性较小的产物用异己烷-乙酸乙酯重结晶,获得了2,6-二氢-7-[(3-羟基丙基)磺酰基]-2-甲基-4-(2-甲基丙基)-6-(1-萘基甲基)-1H-吡咯并[3,4-d]哒嗪-1-酮(B)(94mg)。化合物A:熔点:164-166℃MS(+ve APCI)(M+H)+4521H NMR(DMSO-d6):δ0.88(3H,d),0.89(3H,d),1.47-1.65(2H,m),1.97-2.10(1H,m),2.53(2H,d),3.15-3.24(1H,m),3.30-3.35(2H,m),3.39-3.48(1H,m),3.60(3H,s),4.56(1H,t),6.30(1H,d),6.41(1H,d),6.73(1H,d),7.45(1H,t),7.57-7.65(2H,m),7.88(1H,s),7.91(1H,d),7.98-8.02(1H,m),8.11-8.14(1H,m)化合物B:熔点:150-151℃MS(+ve APCI)(M+H)+4681H NMR(DMSO-d6):δ0.92(6H,d),1.57-1.66(2H,m),2.10-2.15(1H,m),2.60(2H,d),3.30-3.36(2H,m),3.65(3H,s),3.80-3.85(2H,m),4.58(1H,t),6.35(1H,d),6.36(2H,s),7.38(1H,t),7.58-7.68(2H,m),7.86(1H,d),8.00(1H,dd),8.12(1H,d),8.18(1H,s)
实施例62-[1-羟基-1-(1-萘基)甲基]-5-甲基-7-(2-甲基丙基)噻吩并[2,3-d]哒嗪-4(5H)-酮a)2-(3-甲基-1-氧代丁基)噻吩-3-甲酸在0℃,将二异丙基氨基锂(86mmol)的四氢呋喃(30ml)溶液加到噻吩-3-甲酸(5g)的四氢呋喃(50ml)溶液中。在0℃,加入异戊醛(4.6ml)的四氢呋喃(30ml)溶液。将该反应混合物在25℃搅拌3小时,然后加入水(100ml),将四氢呋喃真空除去。把所得残余水溶液用乙酸乙酯萃取,将水相加到高锰酸钾(12.3g)中并在60℃温热1.5小时。将该混合物过滤,冷却至室温,然后用稀盐酸酸化。将该酸性含水混合物用乙酸乙酯萃取,将有机萃取液干燥,并蒸发,获得了本副标题化合物,为油状物(5.3g)。MS(APCI)((M-H-)-)2111H NMR(CDCl3):δ1.03(6H,d),2.37(1H,m),2.95(2H,d),7.70(1H,d),7.97(1H,d)b)5-甲基-7-(2-甲基丙基)噻吩并[2,3-d]哒嗪-4(5H)-酮将在上述a)中制得的2-(3-甲基-1-氧代丁基)噻吩-3-甲酸(5.3g)溶于乙醇(30ml),加入甲基肼(1.5ml)。将所得混合物加热回流10小时。将该反应混合物蒸发,把所得残余物溶于乙酸乙酯。将有机相用稀盐酸洗涤2次,用饱和碳酸氢钠溶液洗涤2次,用盐水洗涤1次,然后干燥并蒸发。通过色谱法纯化,用异己烷/乙酸乙酯(2∶1-1∶1)洗脱,获得了本副标题化合物,为油状物(3.05g)。MS(APCI)((M+H)+)2231H NMR(CDCl3):δ1.00(6H,d),2.05(1H,m),2.75(2H,d),3.85(3H,s),7.60(1H,d),7.80(1H,d)c)2-[1-羟基-1-(1-萘基)甲基]-5-甲基-7-(2-甲基丙基)噻吩并[2,3-d]哒嗪-4(5H)-酮在0℃,将二异丙基氨基锂(6.75mmol)的四氢呋喃(8ml)溶液和1-萘甲醛(0.7ml)的四氢呋喃(5ml)溶液交替加到在上述b)中制得的5-甲基-7-(2-甲基丙基)噻吩并[2,3-d]哒嗪-4(5H)-酮(1g)的四氢呋喃(20ml)溶液中。2小时后,加入水(10ml),将该反应混合物用稀盐酸酸化,然后用乙酸乙酯萃取。将该有机相用稀盐酸洗涤1次,用饱和碳酸氢钠溶液洗涤2次,用盐水洗涤1次,然后干燥和蒸发。通过色谱法纯化,用异己烷/乙酸乙酯(1∶1)洗脱,然后进行HPLC纯化,用相同溶剂系统洗脱,获得了本标题化合物(0.4g)。熔点:165-7℃MS(APCI)((M+H)+)3791H NMR(DMSO-d6):δ0.91(6H,d),2.12(1H,m),2.57(2H,d),3.64(3H,s),6.77(1H,d),6.84(1H,d),7.28(1H,s),7.48-53(2H,m),7.57(1H,t),7.79(1H,d),7.92(1H,d),7.96(1H,dd),8.26(1H,dd)
实施例75-甲基-7-(2-甲基丙基)-2-(1-萘基甲基)噻吩并[2,3-d]哒嗪-4(5H)-酮将三乙基硅(0.3ml)加到如实施例6所述制得的2-[1-羟基-1-(1-萘基)甲基]-5-甲基-7-(2-甲基丙基)噻吩并[2,3-d]哒嗪-4(5H)-酮(0.3g)和三氟乙酸(2ml)在二氯甲烷(10ml)内的溶液中。30分钟后,将该反应混合物蒸发,把残余物溶于乙酸乙酯。将该乙酸乙酯溶液用饱和碳酸氢钠溶液洗涤2次,用盐水洗涤1次,然后干燥并蒸发。通过色谱法纯化,用异己烷/乙酸乙酯(4∶1-2∶1)洗脱,然后进行HPLC纯化,用异己烷∶乙酸乙酯(2∶1)洗脱,获得了本标题化合物(0.25g)。熔点:103℃MS(APCI)((M+H)+)3631H NMR(DMSO-d6):δ0.86(6H,d),2.04(1H,m),2.51(2H,d),3.65(3H,s),4.81(2H,s),7.47(1H,s),7.48-7.53(3H,m),7.60(1H,d),7.89(1H,d),7.96(1H,dd),8.15(1H,dd)实施例83-[(3-羟基丙基)硫基]-5-甲基-7-(2-甲基丙基)-2-(1-萘基甲基)噻吩并[2,3-d]哒嗪-4(5H)-酮按照实施例3的方法,用如实施例7所述制得的5-甲基-7-(2-甲基丙基)-2-(1-萘基甲基)噻吩并[2,3-d]哒嗪-4(5H)-酮(385mg)与S-{3-[(1,1-二甲基乙基)二甲基甲硅烷基]氧丙基}对甲苯硫代磺酸酯(600mg)(《药物化学杂志》(J.Med.Chem.),1995,38,2557)制备本标题化合物。产量为370mg。熔点:128-130℃MS(+ve APCI)(M+H)+4531H NMR(DMSO-d6):δ0.83(6H,d),1.67(2H,quin),1.93-2.06(1H,m),2.46(2H,d),3.13(2H,t),3.50(2H,q),3.70(3H,s),4.53(1H,t),4.88(2H,s),7.45-7.58(4H,m),7.90(1H,d),7.95-8.04(2H,m)
实施例95-甲基-7-(2-甲基丙基)-2-(1-萘基羰基)噻吩并[2,3-d]哒嗪-4(5H)-酮在室温,将高锰酸钾(0.335g)和18-冠醚-6(10mg)加到2-[1-羟基-1-(1-萘基)甲基]-5-甲基-7-(2-甲基丙基)噻吩并[2,3-d]哒嗪-4(5H)-酮(实施例7,0.40g)的二氯甲烷(30ml)溶液中。1小时后,再加入高锰酸钾(0.30g),继续搅拌4小时。将该混合物过滤,用二氯甲烷(70ml)稀释,依次用水和盐水洗涤2次,然后干燥,过滤并蒸发。通过色谱法纯化该残余物,用乙酸乙酯∶异己烷(1∶2)洗脱,获得了本标题化合物(0.14g)。通过制备正相HPLC进一步纯化,用乙酸乙酯/异己烷进行梯度洗脱。熔点:121℃MS(+ve APCI)377((M+H)+)1H NMR(DMSO d6)δ0.98(6H,d),2.14-2.26(1H,m),2.74(2H,d),3.70(3H,s),7.60-7.65(2H,m),7.70(1H,dd),7.79(1H,s),7.98(1H,dd),8.07-8.11(2H,m),8.26(1H,d).
实施例103-[(3-羟基丙基)亚磺酰基]-5-甲基-7-(2-甲基丙基)-2-(1-萘基甲基)噻吩并[2,3-d]哒嗪-4(5H)-酮
在室温、搅拌下,将3-氯过苯甲酸(80%,0.055g)加到3-[(3-羟基丙基)硫基]-5-甲基-7-(2-甲基丙基)-2-(1-萘基甲基)噻吩并[2,3-d]哒嗪-4(5H)-酮(实施例8,0.14g)的二氯甲烷(20ml)溶液中。20小时后,将该混合物用二氯甲烷(30ml)稀释,用饱和碳酸氢钠溶液洗涤,干燥,过滤并蒸发。通过色谱法纯化该残余物,用乙酸乙酯∶异己烷(先是1∶1,然后是2∶1)洗脱,然后通过制备正相HPLC进一步纯化,用乙酸乙酯/异己烷进行梯度洗脱,获得了本标题化合物(0.05g),为泡沫状物。熔点:60-65℃MS(+ve APCI)469((M+H)+)1H NMR(DMSO d6)δ0.80(3H,d),0.82(3H,d),1.81-1.99(2H,m),2.03-2.15(1H,m),2.44(2H,d),3.28-3.39(2H,m),3.58(2H,q),3.67(3H,t),4.65(1H,t),4.84(1H,d),5.80(1H,d),7.51-7.56(3H,m),7.61(1H,d),7.92(1H,d),7.95-7.99(1H,m),8.14-8.17(1H,m).
实施例114-{[4,5-二氢-5-甲基-7-(2-甲基丙基)-2-(1-萘基甲基)-4-氧代噻吩并[2,3-d]哒嗪-3-基]硫基}丁酸a)4-甲基硫羟苯磺酸4,4,4-三甲氧基丁基酯将对甲苯硫磺酸钾盐(24mmol)、4-溴原丁酸三甲酯(22mmol)和六甲基磷酰胺(30ml)的混合物在室温搅拌48小时,然后倒入10∶1的己烷/乙醚(500ml),并剧烈振摇。将该混合物依次用水(2×200ml)和盐水洗涤。合并有机相,用硫酸镁干燥,蒸发,获得了本副标题酯,为油状物(5.3g),其中含有约7%的4-甲基二硫羟苯磺酸4,4,4-三甲氧基丁基酯。1H NMR(CDCl3)δ1.95(2H,m),2.37(2H,t),2.44(3H,s),3.02(2H,t),3.16(9H,s),7.33(2H,d),7.80(2H,d).b)4-{[4,5-二氢-5-甲基-7-(2-甲基丙基)-2-(1-萘基甲基)-4-氧代噻吩并[2,3-d]哒嗪-3-基]硫基}丁酸甲酯在-78℃、氮气氛下,将二异丙基氨基锂(1.8mmol)的四氢呋喃(5ml)溶液滴加到5-甲基-7-(2-甲基丙基)-2-(1-萘基甲基)噻吩并[2,3-d]哒嗪-4(5H)-酮(实施例7,0.30g)和4-甲基硫羟苯磺酸4,4,4-三甲氧基丁基酯(0.42g)在四氢呋喃(15ml)内的溶液中。2小时后,将该混合物升至室温,用1M盐酸(25ml)中止反应,用乙酸乙酯(25ml)萃取。将该有机萃取液依次用1M盐酸、碳酸氢钠溶液和盐水洗涤,干燥,过滤并蒸发。将该残余物通过色谱法纯化,用乙酸乙酯∶异己烷(先后是1∶4,1∶2,1∶1,和1∶0)洗脱,获得了本副标题化合物(0.25g),为油状物。MS(+ve APCI)495((M+H)+)1H NMR(CDCl3)δ0.88(6H,d),2.00(2H,quin),1.99-2.11(1H,m),2.44(2H,d),2.55(2H,t),3.20(2H,t),3.65(3H,s),3.82(3H,s),4.87(2H,s),7.40-7.50(4H,m),7.84(1H,d),7.90(1H,dd),7.98(1H,dd).c)4-{[4,5-二氢-5-甲基-7-(2-甲基丙基)-2-(1-萘基甲基)-4-氧代噻吩并[2,3-d]哒嗪-3-基]硫基}丁酸在室温,将氢氧化锂水合物(0.035g)的水(1ml)溶液加到4-{[4,5-二氢-5-甲基-7-(2-甲基丙基)-2-(1-萘基甲基)-4-氧代噻吩并[2,3-d]哒嗪-3-基]硫基}丁酸甲酯(0.20g)的四氢呋喃(6ml)溶液中。2天后,加入1M盐酸(20ml),将该混合物用乙酸乙酯(20ml)萃取。将该有机萃取液用盐水洗涤,干燥,过滤并蒸发。把该残余物溶于乙酸乙酯∶异己烷(1∶2)中,收集沉淀固体。将该固体悬浮在煮沸的乙酸乙酯(20ml)中,冷却并收集产物,获得了本标题化合物(0.05g)。熔点:154-156℃Melting point 154-156℃MS(+ve APCI)481((M+H)+)1H NMR(DMSO d6)δ0.85(6H,d),1.76(2H,quin),1.94-2.06(1H,m),2.38(2H,t),2.45(2H,d),3.11(2H,t),3.69(3H,s),4.88(2H,s),7.45-7.58(4H,m),7.90(1H,d),7.97-8.01(2H,m)12.09(1H,brs).实施例125-甲基-7-(2-甲基丙基)-2-(1-萘基甲基)-3-(2-吡啶基硫基)噻吩并[2,3-d]哒嗪-4(5H)-酮在0℃、氮气氛下,将丁基锂的己烷溶液(2.5M,0.60ml)加到二异丙基胺(0.16ml)的四氢呋喃(5ml)溶液中。30分钟后,在-78℃将4ml所得溶液加到5-甲基-7-(2-甲基丙基)-2-(1-萘基甲基)噻吩并[2,3-d]哒嗪-4(5H)-酮(实施例7,0.207g)和2,2’-二吡啶基二硫化物(0.19g)的四氢呋喃(15ml)溶液中。将该混合物升至室温,用饱和氯化铵水溶液(25ml)中止反应,用乙酸乙酯(50ml)萃取。将该有机萃取液用饱和氯化铵水溶液洗涤2次,用饱和碳酸氢钠溶液洗涤2次,然后用盐水(25ml)洗涤,干燥,过滤并蒸发。通过色谱法纯化该残余物,用乙酸乙酯∶异己烷(1∶2,然后是1∶1)洗脱,然后用乙酸乙酯/异己烷重结晶,之后通过制备正相HPLC进一步纯化,用乙酸乙酯/异己烷进行梯度洗脱,获得了本标题化合物(0.077g)。MS(+ve APCI)472((M+H)+)1H NMR(DMSO d6)δ0.85(6H,d),1.97-2.08(1H,m),2.50(2H,d),3.59(3H,s),4.83(2H,s),7.09(1H,d),7.14(1H,dd),7.35(1H,td),7.48-7.52(3H,m),7.66(1H,td),7.87-7.96(3H,m),8.38-8.40(1H,m).实施例133-[(3-羟基丙基)磺酰基]-5-甲基-7-(2-甲基丙基)-2-(1-萘基甲基)噻吩并[2,3-d]哒嗪-4(5H)-酮在搅拌下,将3-氯过苯甲酸(80%,0.27g)加到3-{[3-羟丙基]硫基}5-甲基-7-(2-甲基丙基)-2-(1-萘基甲基)噻吩并[2,3-d]哒嗪-4(5H)-酮(实施例7,0.28g)的二氯甲烷(10ml)溶液中。24小时后,将该混合物用二氯甲烷(40ml)稀释,用饱和碳酸氢钠溶液洗涤,干燥,过滤并蒸发。通过色谱法纯化该残余物,用乙酸乙酯∶异己烷(先后是1∶2、2∶1和1∶0)洗脱,然后用乙酸乙酯/异己烷重结晶,获得了本标题化合物(0.209g)。熔点:160-163℃MS(+ve APCI)485((M+H)+)1H NMR(DMSO d6)δ0.81(6H,d),1.87-1.99(3H,m),2.45(2H,d),3.50(2H,q),3.71(3H,s),3.96-4.05(2H,m),4.70(1H,t),5.23(2H,s),7.51-7.58(4H,m),7.94-8.02(3H,m).
实施例142-[1-羟基-1-苯基甲基]-5-甲基-7-(2-甲基丙基)噻吩并[2,3-d]哒嗪-4(5H)-酮在-70℃、氮气氛下,将二异丙基氨基锂在四氢呋喃/己烷(2∶1,22ml)中的溶液加到5-甲基-7-(2-甲基丙基)噻吩并[2,3-d]哒嗪-4(5H)-酮(实施例6步骤b,2.00g)的四氢呋喃(24ml)溶液中。加入苯甲醛,15分钟后,将该混合物升至室温。加入1M盐酸(50ml),将该混合物用乙酸乙酯(100ml)萃取。将该有机萃取液用1M盐酸洗涤2次,用饱和碳酸氢钠溶液洗涤2次,然后用盐水洗涤,干燥,过滤并蒸发。通过色谱法纯化该残余物,用乙酸乙酯∶异己烷(先后是1∶3、1∶2和1∶1)洗脱,获得了本标题化合物(2.48g),将0.5g该产物通过制备正相HPLC进一步纯化,用乙醇/二氯甲烷进行梯度洗脱,获得了本标题化合物(0.38g),为油状物。MS(+ve APCI)329((M+H)+)1H NMR(DMSO d6)δ0.92(6H,d),2.06-2.18(1H,m),2.60(2H,d),3.67(3H,s),6.11(1H,d),6.71(1H,d),7.28(1H,t),7.36(1H,s),7.39(2H,t),7.49(2H,d).
实施例155-甲基-7-(2-甲基丙基)-2-苯基甲基噻吩并[2,3-d]哒嗪-4(5H)-酮在室温、搅拌下,将三乙基硅(1.0ml)加到2-[1-羟基-1-苯基甲基]-5-甲基-7-(2-甲基丙基)噻吩并[2,3-d]哒嗪-4(5H)-酮(实施例14,1.44g)在三氟乙酸(2ml)和二氯甲烷(10ml)内的溶液中。24小时后,加入饱和碳酸氢钠溶液(100ml),将该混合物用乙酸乙酯(100ml)萃取。将该有机萃取液用饱和碳酸氢钠溶液洗涤2次,然后用盐水洗涤,干燥,过滤并蒸发。将该残余物通过柱色谱法纯化,用乙酸乙酯∶异己烷(1∶4,然后是1∶3)洗脱,获得了本标题化合物(1.11g),为固体。熔点:97-98℃MS(+ve APCI)313((M+H)+)1H NMR(DMSO d6)δ0.90(6H,d),2.04-2.16(1H,m),2.57(2H,d),3.67(3H,s),4.32(2H,s),7.25(1H,m),7.30-7.40(4H,m),7.44(1H,s).
实施例163-[(3-羟基丙基)硫基]-5-甲基-7-(2-甲基丙基)-2-苯基甲基噻吩并[2,3-d]哒嗪-4(5H)-酮在0℃、氮气氛下,将丁基锂的己烷溶液(2.5M,1.3ml)加到二异丙基胺(0.45ml)的四氢呋喃(6ml)溶液中。30分钟后,在-78℃、氮气氛下,将所得溶液加到5-甲基-7-(2-甲基丙基)-2-苯基甲基噻吩并[2,3-d]哒嗪-4(5H)-酮(实施例15,0.50g)和S-{3-[(1,1-二甲基乙基)二甲基甲硅烷基]氧丙基}4-甲基苯硫代磺酸酯(《药物化学杂志》(J.Med.Chem.),1995,38,2557,0.85g)在四氢呋喃(10ml)内的溶液中。将该反应混合物升至室温,用饱和氯化铵水溶液(25ml)中止反应,用乙酸乙酯(50ml)萃取。将该有机萃取液用饱和氯化铵水溶液洗涤2次,用饱和碳酸氢钠溶液洗涤2次,然后用盐水洗涤,干燥,过滤并浓缩。将该残余物溶于乙腈(20ml),用40%氢氟酸(1ml)处理。16小时后,加入饱和碳酸氢钠溶液(50ml),将该混合物用乙酸乙酯(50ml)萃取。将该有机萃取液用盐水洗涤,干燥,过滤并蒸发。将该残余物通过柱色谱法纯化,用乙酸乙酯∶异己烷(1∶2,然后是1∶1)洗脱,获得了本标题化合物(0.51g),为固体。熔点:60-65℃MS(+ve APCI)403((M+H)+)1H NMR(DMSO d6)δ0.88(6H,d),1.57(2H,quin),2.08(1H,m),2.53(2H,d),3.00(2H,t),3.43(2H,q),3.70(3H,s),4.44(2H,s),4.48(1H,t),7.22-7.34(5H,m).
实施例173-[(3-羟基丙基)磺酰基]-5-甲基-7-(2-甲基丙基)-2-苯基甲基噻吩并[2,3-d]哒嗪-4(5H)-酮按照实施例13的方法,用3-[(3-羟基丙基)硫基]-5-甲基-7-(2-甲基丙基)-2-苯基甲基噻吩并[2,3-d]哒嗪-4(5H)-酮(实施例16,0.32g)和3-氯过苯甲酸(86%,0.32g)在二氯甲烷(20ml)中制得了本标题化合物(0.18g),为泡沫状物。熔点:105-107℃MS(+ve APCI)435((M+H)+)1H NMR(DMSO d6)δ0.89(6H,d),1.74-1.83(2H,m),1.99-2.10(1H,m),2.57(2H,d),3.44(2H,q),3.71(3H,s),3.86-3,92(2H,m),4.63(1H,t),4.75(2H,s),7.28-7.38(5H,m).实施例182,6-二氢-2-甲基-4-(2-甲基丙基)-6-苯基甲基-1H-吡咯并[3,4-d]哒嗪-1-酮a)2,6-二氢-2-甲基-4-(2-甲基丙基)-1H-吡咯并[3,4-d]哒嗪-1-酮将4-(3-甲基-1-氧代丁基)-1H-吡咯-3-甲酸甲酯(实施例1步骤b,0.7g)和甲基肼(0.6ml)在乙醇(20ml)中加热回流16小时。将该溶液蒸发,把残余物在乙酸乙酯和稀盐酸之间分配。将有机相干燥,蒸发,获得了2,6-二氢-2-甲基-4-(2-甲基丙基)-1H-吡咯并[3,4-d]哒嗪-1-酮,为红色油状物(0.65g)。MS(+ve APCI)206((M+H)+)1H NMR(CDCl3)δ0.97(6H,d),2.08-2.32(1H,m),2.62(2H,m),3.78(3H,s),7.24(1H,t),7.57(1H,t),11.56(1H,br).b)2,6-二氢-2-甲基-4-(2-甲基丙基)-6-苯基甲基-1H-吡咯并[3,4-d]哒嗪-1-酮
在搅拌下,将2,6-二氢-2-甲基-4-(2-甲基丙基)-1H-吡咯并[3,4-d]哒嗪-1-酮(0.65g)在无水二甲基甲酰胺(3ml)中的溶液滴加到氢化钠(0.15g 60%油分散液)的二甲基甲酰胺(10ml)溶液中。20分钟后,加入苄基溴(0.45ml)和碘化钾晶体。将该混合物搅拌11天,然后倒入稀盐酸中,用乙酸乙酯萃取。将有机相用水洗涤,干燥,并蒸发至油状物,将该油状物通过二氧化硅色谱法纯化(乙酸乙酯/异己烷3∶1),用环己烷重结晶后,获得了2,6-二氢-2-甲基-4-(2-甲基丙基)-6-苯基甲基-1H-吡咯并[3,4-d]哒嗪-1-酮(0.3g)。熔点:104℃MS(+ve APCI)296((M+H)+)1H NMR(CDCl3)δ0.95(6H,s),2.12(1H,m),2.56(2H,d),3.72(3H,s),5.27(2H,s),7.08(1H,d(J=2.1Hz)),7.16(2H,m),7.37(3H,m),7.49(1H,d(J=2.1Hz)).
实施例192,6-二氢-2-甲基-4-(2-甲基丙基)-6-苯基甲基-7-(2-吡啶基硫基)-1H-吡咯并[3,4-d]哒嗪-1-酮
在0℃、氮气氛下,将丁基锂(2.5M己烷溶液,0.32ml)滴加到二异丙基胺(0.11ml)的无水四氢呋喃(2ml)搅拌溶液中。将该反应混合物在0℃搅拌30分钟,然后冷却至-78℃。向该溶液中加入2,6-二氢-2-甲基-4-(2-甲基丙基)-6-(1-苯基甲基)-1H-吡咯并[3,4-d]哒嗪-1-酮(实施例18,0.2g)的无水四氢呋喃(2ml)溶液,继续搅拌30分钟。加入2,2’-二吡啶基二硫化物(0.155g)在无水四氢呋喃(2ml)中的溶液。将该反应混合物在室温反应过夜,然后加入饱和氯化铵溶液中止反应。将该混合物萃取到乙醚中,用盐水洗涤,干燥并蒸发,获得了黄色油状物。进行色谱处理,用二氯甲烷∶丙酮(4∶1)洗脱,然后进行反相HPLC纯化,用乙腈∶乙酸铵进行梯度洗脱,获得了本标题化合物(0.05g)。熔点:131-132℃MS(+ve APCI)((M+H)+)4051H NMR(CDCl3)δ0.97(d,6H),2.06-2.19(m,1H),2.55(d,2H),3.70(s,3H),5.44(s,2H),6.88(d,1H),6.93(dd,1H),7.10-7.12(m,2H),7.25-7.27(m,4H),7.40(t,1H),8.32(d,1H).实施例202,6-二氢-7-[(3-羟基丙基)硫基]-2-甲基-4-(2-甲基丙基)-6-苯基甲基-1H-吡咯并[3,4-d]哒嗪-1-酮在0℃、氮气氛下,将丁基锂(2.5M己烷溶液,0.32ml)滴加到二异丙基胺(0.11ml)的无水四氢呋喃(2ml)搅拌溶液中。将该反应混合物在0℃搅拌30分钟,然后冷却至-78℃。向该溶液中加入2,6-二氢-2-甲基-4-(2-甲基丙基)-6-苯基甲基-1H-吡咯并[3,4-d]哒嗪-1-酮(实施例18,0.2g)的无水四氢呋喃(2ml)溶液,继续搅拌30分钟。加入S-{3-[(1,1-二甲基乙基)二甲基甲硅烷基]氧}丙基4-甲基苯硫代磺酸酯(《药物化学杂志》(J.Med.Chem.),1995,38,2557,0.25g)在无水四氢呋喃(2ml)中的溶液。将该反应混合物在室温反应过夜,然后加入饱和氯化铵溶液来中止反应。将该混合物萃取到乙醚中,用盐水洗涤,干燥并蒸发。进行色谱处理,用乙酸乙酯∶异己烷(3∶7)洗脱,获得了黄色油状物(0.24g),MS(APCI)500(M+H)+。
在搅拌下,将浓盐酸(0.25ml)加到该油状物在甲醇(2ml)内的溶液中。2小时后,通过加入饱和碳酸氢钠溶液将该反应混合物碱化。将该混合物萃取到乙酸乙酯中,用盐水洗涤,干燥并蒸发。进行色谱处理,用乙酸乙酯洗脱,然后用异己烷∶乙醚研制,获得了本标题化合物(0.105g)。熔点:91-92℃MS(+ve APCI)((M+H)+)3861H NMR(DMSO d-6)δ0.92(d,6H),1.46(quint,2H),2.04-2.14(m,1H),2.53(d,2H),2.88(t,2H),3.30-3.37(m,2H),3.55(s,3H),4.44(t,1H),5.52(s,2H),7.11(s,1H),7.14(d,1H),7.25-7.37(m,3H),7.88(s,1H).
实施例212,6-二氢-2-甲基-4-(2-甲基丙基)-6-(3,4,5-三甲氧基苯基)甲基-1H-吡咯并[3,4-d]哒嗪-1-酮将2,6-二氢-2-甲基-4-(2-甲基丙基)-1H-吡咯并[3,4-d]哒嗪-1-酮(实施例18步骤a,0.031g)、3,4,5-三甲氧基苄基氯(0.038g)、和碳酸铯(0.090g)在无水二甲基甲酰胺(0.8ml)中的混合物搅拌16小时,然后用稀盐酸稀释。将该混合物用乙酸乙酯萃取,用盐水洗涤,干燥,并蒸发至固体。将该固体通过二氧化硅色谱法纯化(二氯甲烷/乙醇9∶1),获得了2,6-二氢-2-甲基-4-(2-甲基丙基)-6-(3,4,5-三甲氧基苯基)甲基-1H-吡咯并[3,4-d]哒嗪-1-酮(0.033g)。熔点:154.5-155℃MS(+ve APCI)386((M+H)+)1H NMR(CDCl3)δ0.96(6H,d),2.14(1H,m),2.56(2H,d),3.73(3H,s),3.81(6H,s),3.84(3H,s),5.19(2H,s),6.37(2H,s),7.01(1H,d(J=2.1Hz)),7.50(1H,d(J=1.8Hz)).实施例222,6-二氢-2-甲基-6-(1-萘基甲基)-4-(1-甲基乙基)氨基-1H-吡咯并[3,4-d]哒嗪-1-酮a)1-(1-萘基甲基)吡咯-3,4-二甲酸二乙酯将碳酸钾(5g)和1-(氯甲基)萘(4.60g)依次加到3,4-吡咯二甲酸二乙酯的丙酮(50ml)溶液中。将该混合物在室温搅拌4天,加入稀盐酸(100ml),用乙醚(2×100ml)萃取该混合物。将该有机萃取液干燥,过滤并蒸发,获得了本副标题化合物,为固体(7.62g)。1H NMR(CDCl3)δ1.31(6H,t),4.27(4H,q),5.49(2H,s),7.21-7.28(3H,m),7.46(1H,t),7.50-7.57(2H,m),7.80-7.93(3H,m).b)2,6-二氢-2-甲基-6-(1-萘基甲基)-1H-吡咯并[3,4-d]哒嗪-1,4(6H)-二酮将甲基肼(0.55ml)加到1-(1-萘基甲基)吡咯-3,4-二甲酸二乙酯(1.00g)的乙醇(10ml)溶液中。将该混合物在密封管中于200℃加热3天。将该混合物蒸发,把残余物通过柱色谱法纯化,用乙酸乙酯∶甲醇(19∶1)洗脱。把所得固体悬浮在乙酸乙酯(25ml)中,加热至回流,冷却至室温。通过过滤收集本副标题化合物(0.105g)。MS(+ve APCI)306((M+H)+)1H NMR(DMSO d6)δ3.33(3H,s),5.88(2H,s),7.32(1H,d),7.50-7.64(5H,m),7.94(1H,d),7.99(1H,d),8.19(1H,d),10.94(1H,s,br).c)4-氯-2,6-二氢-2-甲基-6-(1-萘基甲基)-1H-吡咯并[3,4-d]哒嗪-1-酮将2,3-二氢-2-甲基-6-(1-萘基甲基)-1H-吡咯并[3,4-d]哒嗪-1,4(6H)-二酮(0.10g)在三氯氧化磷(1ml)中的悬浮液加热回流30分钟,然后冷却。将溶剂蒸发,加入水(25ml),将该混合物用乙酸乙酯(2×25ml)萃取。将有机萃取液干燥,过滤并蒸发,获得了本副标题化合物(0.095g)。MS(+ve APCI)324/326((M+H)+)d)2,6-二氢-2-甲基-6-(1-萘基甲基)-4-(2-丙基)氨基-1H-吡咯并[3,4-d]哒嗪-1-酮将异丙基胺(1ml)加到4-氯-2,6-二氢-2-甲基-6-(1-萘基甲基)-1H-吡咯并[3,4-d]哒嗪-1-酮(0.095g)的乙醇(4ml)溶液中,将该混合物在密封管中于200℃加热3天,然后在250℃加热24小时。将该混合物蒸发,把残余物通过柱色谱法纯化,用乙酸乙酯洗脱,然后用乙酸乙酯/异己烷重结晶,获得了本标题化合物(0.013g)。熔点:221-222℃MS(+ve APCI)347((M+H)+)1H NMR(DMSO d6)δ1.12(6H,d),3.39(3H,s),3.80-3.92(1H,m),5.86(2H,s),5.98(1H,d),7.34(1H,d),7.40(1H,d),7.44-7.60(3H,m),7.72(1H,d),7.95-8.01(2H,m),8.07-8.10(1H,m).
实施例232,6-二氢-2-甲基-4-(2-甲基丙基)-6-(4-吡啶基)甲基-1H-吡咯并[3,4-d]哒嗪-1-酮a)2,6-二氢-2-甲基-4-(2-甲基丙基)-1H-吡咯并[3,4-d]哒嗪-1-酮将4-(3-甲基-1-氧代丁基)-1H-吡咯-3-甲酸甲酯(实施例1步骤b,7.8g)和甲基肼(6ml)加热回流18小时。将溶剂蒸发,把残余物进行色谱处理,用二氯甲烷-乙醇(19∶1)洗脱,获得了本副标题化合物,为沙色固体(5.2g)。MS(+ve APCI)((M+H)+)2061H NMR(DMSO d-6)δ0.91(d,6H),2.05-2.18(m,1H),2.54(d,2H),3.54(s,3H),7.46(t,1H),7.57(t,1H),12.51(br s,1H).b)2,6-二氢-2-甲基-4-(2-甲基丙基)-6-(4-吡啶基)甲基-1H-吡咯并[3,4-d]哒嗪-1-酮将2,6-二氢-2-甲基-4-(2-甲基丙基)-1H-吡咯并[3,4-d]哒嗪-1-酮(0.04g,实施例23步骤a)、碳酸铯(0.2g)、4-氯甲基吡啶盐酸盐(0.035g)在二甲基甲酰胺(4.5ml)中的混合物周期性振摇18小时。将该反应混合物减压蒸发,将残余物通过正相HPLC纯化,用二氯甲烷∶乙醇进行梯度洗脱,获得了本标题化合物(0.024g)。熔点:91-93℃MS(+ve APCI)((M+H)+)2971H NMR(CDCl3)δ0.96(d,6H),2.07-2.20(m,1H),2.56(d,2H),3.73(s,3H),5.30(s,2H),6.98-7.01(m,3H),7.51(d,1H),8.61(d,2H).下述实施例是按照实施例23的方法,用2,6-二氢-2-甲基-4-(2-甲基丙基)-1H-吡咯并[3,4-d]哒嗪-1-酮、碳酸铯和适当的苄基卤化物进行制备和纯化的。
实施例312,6-二氢-N-[3-(1-1H-咪唑基)丙基]-2-甲基-4-(2-甲基丙基)-1-氧代-6-苯基甲基-1H-吡咯并[3,4-d]哒嗪-1-酮-5-甲酰胺a)2,6-二氢-2-甲基-4-(2-甲基丙基)-6-苯基甲基-1H-吡咯并[3,4-d]哒嗪-1-酮-5-甲酸在0℃、氮气氛下,将丁基锂(2.5M己烷溶液,2.35ml)滴加到二异丙基胺(0.85ml)的无水四氢呋喃(10ml)搅拌溶液中。将该反应混合物在0℃搅拌30分钟,然后冷却至-78℃。向该溶液中加入2,6-二氢-2-甲基-4-(2-甲基丙基)-6-(1-苯基甲基)-1H-吡咯并[3,4-d]哒嗪-1-酮(1.5g,如实施例14步骤b所述制得的)在无水四氢呋喃(10ml)中的溶液,并继续搅拌30分钟。然后将该阴离子加到过量固体二氧化碳中。将该反应混合物在室温反应过夜,然后加入水来中止反应。将该混合物萃取到乙酸乙酯中,用盐水洗涤,干燥并蒸发,获得了黄色油状物,将该油状物进行色谱处理,用乙酸乙酯∶异己烷(3∶7)洗脱,获得了本副标题化合物,为黄色固体(0.91g)。熔点:129-130℃MS(+ve APCI)((M+H)+)3401H NMR(CDCl3)δ0.96(d,6H),2.04-2.18(m,1H),2.61(d,2H),3.82(s,3H),5.99(s,2H),7.22-7.38(m,6H),16.43(s,1H).b)2,6-二氢-2-甲基-4-(2-甲基丙基)-6-苯基甲基-1H-吡咯并[3,4-d]哒嗪-1-酮-5-甲酸,3-(1-咪唑基)丙基酰胺将2,6-二氢-2-甲基-4-(2-甲基丙基)-6-苯基甲基-1H-吡咯并[3,4-d]哒嗪-1-酮-5-甲酸(0.04g)、羟基苯并三唑(0.5ml,0.49M二甲基甲酰胺溶液)、1-(3-二甲基氨基丙基)-3-乙基碳二亚胺盐酸盐(0.5ml,0.47M二甲基甲酰胺溶液)和N-(3-氨基丙基)咪唑(0.03g)在二甲基甲酰胺(3ml)中的混合物周期性振摇48小时。将溶剂蒸发,将残余物进行色谱处理,用二氯甲烷∶乙醇(19∶1)洗脱,获得了本标题化合物(0.011g)。MS(+ve APCI)((M+H)+)4471H NMR(CDCl3)δ0.98(d,6H),2.12-2.20(m,3H),2.62(d,2H),3.40(q,2H),3.82(s,3H),4.15(q,2H),6.05(s,2H),7.10(d,2H),7.20(s,1H),7.30-7.40(m,5H),8.61(s,1H),11.81(t,1H).
实施例322,5-二氢-5-甲基-7-(2-甲基丙基)-2-(1-萘基甲基)-4H-吡唑并[3,4-d]哒嗪-4-酮a)4-羟基-6-甲基-2-庚炔酸乙酯在搅拌、氮气氛下,用40分钟将正丁基锂(2.5M己烷溶液,22.5ml)滴加到新制备的丙炔酸乙酯的无水四氢呋喃(75ml)溶液中,同时通过外部冷却将温度维持在-68℃以下,。30分钟后,用15分钟滴加异戊醛(6.5ml)的无水四氢呋喃(15ml)溶液,同时将温度维持在-69℃以下。1小时后,加入三甲基甲硅烷基氯(10ml),同时将该反应混合物升至室温。加入水,将该混合物用乙酸乙酯萃取,把萃取液用盐水洗涤,干燥,并蒸发,获得了4-羟基-6-甲基-2-庚炔酸乙酯,为油状物(9.5g)。GC/MS(BSTMA后)EI:241(M-15)b)6-甲基-4-氧代-2-庚炔酸乙酯在搅拌下,将琼斯试剂(由三氧化铬制得,4g)滴加到置于冰浴内的4-羟基-6-甲基-2-庚炔酸乙酯(9.5g)的丙酮(30ml)溶液中,同时将温度维持在约10℃。0.5小时后,将该反应混合物用水(300ml)稀释,并用乙醚萃取3次。将该有机相用盐水洗涤,干燥,蒸发,获得了6-甲基-4-氧代-2-庚炔酸乙酯,为油状物(7.0g)。GC/MS EI:167(M-15)1H NMR(CDCl3)δ0.97(6H,d),1.30(3H,t),2.20(1H,m),2.51(2H,d),4.30(2H,q).c)5-(3-甲基-1-氧代丁基)-1H-吡唑-4-甲酸乙酯,和4-(3-甲基-1-氧代丁基)-1H-吡唑-5-甲酸乙酯在搅拌、氮气氛下,将(三甲基甲硅烷基)重氮甲烷(2.0M己烷溶液,25ml)缓慢地加到置于冷水浴内的6-甲基-4-氧代-2-庚炔酸乙酯(7.0g)的无水四氢呋喃(20ml)溶液中。16小时后,将该反应混合物蒸发至油状物,将该油状物通过二氧化硅色谱法纯化(乙酸乙酯/异己烷1∶2),获得了第一个洗脱产物5-(3-甲基-1-氧代丁基)-1H-吡唑-4-甲酸乙酯(2.33g)。熔点:105-107℃MS(+ve APCI)225((M+H)+)1H NMR(CDCl3)δ0.99(6H,d),1.38(3H,t),2.25(1H,m),3.07(2H,d),4.35(2H,q),8.12(1H,s),11.5(1H,br).第二个洗脱产物4-(3-甲基-1-氧代丁基)-1H-吡唑-5-甲酸乙酯(1.22g)。熔点:61-62℃MS(+ve APCI)226((M+H)+)1H NMR(CDCl3)δ0.98(6H,d),1.42(3H,t),2.23(1H,m),2.79(2H,d),4.46(2H,q),8.09(1H,s),12.55(1H,br).d)3-(3-甲基-1-氧代丁基)-1-(1-萘基甲基)-1H-吡唑-4-甲酸乙酯在氮气氛下,将5-(3-甲基-1-氧代丁基)-1H-吡唑-4-甲酸乙酯(0.75g)、1-萘基甲基氯(0.6g)、和碳酸铯(1.25g)在无水二甲基甲酰胺(15ml)中搅拌24小时,然后加入稀盐酸。将该混合物用乙酸乙酯萃取,把萃取液用盐水洗涤,干燥,蒸发,获得了本副标题化合物,为胶状物。MS AP+ve 365(M+1)1H NMR(CDCl3)δ0.98(6H,d),1.26(3H,t),2.21-2.37(1H,m),2.92(2H,d),4.21(2H,q),5.77(2H,s),7.39-7.57(2H,m),7.50(1H,d),7.61(1H,s),7.80-7.95(2H,m),7.95(1H,d).e)2,5-二氢-5-甲基-7-(2-甲基丙基)-2-(1-萘基甲基)-4H-吡唑并[3,4-d]哒嗪-4-酮将3-(3-甲基-1-氧代丁基)-1-(1-萘基甲基)-1H-吡唑-4-甲酸乙酯(1.8g)和甲基肼(0.6ml)在乙醇(20ml)中加热回流16小时。将该溶液冷却,并蒸发至固体,将该固体通过二氧化硅色谱法纯化(乙酸乙酯∶异己烷2∶3),然后用乙酸乙酯/环己烷结晶,获得了2,5-二氢-5-甲基-7-(2-甲基丙基)-2-(1-萘基甲基)-4H-吡唑并[3,4-d]哒嗪-4-酮(0.43g)。熔点:166-167℃MS(+ve APCI)347((M+H)+)1H NMR(CDCl3)δ1.02(6H,d),2.38(1H,m),2.82(2H,d),3.71(3H,s),5.97(2H,s),7.35-7.50(4H,m),7.86(1H,s),7.86(1H,d),7.91(1H,d),7.93(1H,d).
实施例332,6-二氢-6-甲基-4-(2-甲基丙基)-2-(1-萘基甲基)-7H-吡唑并[3,4-d]哒嗪-7-酮a)4-(3-甲基-1-氧代丁基)-1-(1-萘基甲基)-1H-吡唑-3-甲酸乙酯将4-(3-甲基-1-氧代丁基)-1H-吡唑-5-甲酸乙酯(实施例32,步骤C;0.62g)、1-萘基甲基氯(0.35g)、和碳酸铯(1.1g)在无水二甲基甲酰胺(8ml)中搅拌48小时,然后加入稀盐酸,干燥,蒸发,获得了4-(3-甲基-1-氧代丁基)-1-(1-萘基甲基)-1H-吡唑-3-甲酸乙酯,为胶状物(0.15g)。MS(+ve APCI)365((M+H)+)1H NMR(CDCl3)δ0.87(6H,d),1.43(3H,t),2.12(1H,m),2.66(2H,d),4.47(2H,q),5.80(2H,s),7.50(1H,s),7.4-7.6(4H,m),7.8-7.9(3H,m)b)2,6-二氢-6-甲基-4-(2-甲基丙基)-2-(1-萘基甲基)-7H-吡唑并[3,4-d]哒嗪-7-酮
将4-(3-甲基-1-氧代丁基)-1-(1-萘基甲基)-1H-吡唑-3-甲酸乙酯(0.15g)和甲基肼(0.1ml)在乙醇(2ml)中加热回流18小时。将该反应混合物用水稀释,然后用乙酸乙酯萃取。将该有机相用盐水洗涤,干燥,过滤并蒸发。把残余物进行色谱处理,用二氯甲烷∶乙醇(19∶1)洗脱,获得了本标题化合物(0.08g)。熔点:163-164℃MS(+ve APCI)((M+H)+)3471H NMR(CDCl3)δ0.85(d,6H),1.89-2.03(m,1H),2.44(d,2H),3.80(s,3H),6.03(s,2H),7.46-7.55(m,5H),7.90-7.96(m,3H).
实施例342,5-二氢-3-[(3-羟基丙基)硫基]-5-甲基-7-(2-甲基丙基)-2-(1-萘基甲基)-4H-吡唑并[3,4-d]哒嗪-4-酮在搅拌、-78℃、氮气氛下,将二异丙基氨基锂(0.4M四氢呋喃溶液,2.0ml)缓慢地加到2,5-二氢-5-甲基-7-(2-甲基丙基)-2-(1-萘基甲基)-4H-吡唑并[3,4-d]哒嗪-4-酮(0.17g)和S-{3-[(1,1-二甲基乙基)二甲基甲硅烷基]氧丙基}4-甲基苯硫代磺酸酯(《药物化学杂志》(J.Med.Chem.),1995,38,2557,0.34g)在无水四氢呋喃(7ml)内的溶液中。3小时后,加入饱和碳酸氢钠溶液,将该混合物升至室温,然后用乙酸乙酯萃取。将该有机相用盐水洗涤,干燥,并蒸发至油状物(0.4g)。将该油状物溶于乙腈(7ml),用氢氟酸(40%,0.4ml)处理。16小时后,加入过量碳酸氢钠溶液,将该混合物用乙酸乙酯萃取,然后用盐水洗涤,干燥,并蒸发。将该残余物通过二氧化硅色谱法纯化(乙酸乙酯∶异己烷2∶1),获得了固体,用环己烷/乙酸乙酯结晶,获得了2,5-二氢-3-[(3-羟基丙基)硫基]-5-甲基-7-(2-甲基丙基)-2-(1-萘基甲基)-4H-吡唑并[3,4-d]哒嗪-4-酮(0.135g)。熔点:141-142℃MS(+ve APCI)437((M+H)+)1H NMR(CDCl3)δ0.97(6H,d),1.76(2H,quint),2.30(1H,m),2.76(2H,d),3.27(2H,t),3.43(1H,t),3.76(3H,s),3.80(2H,q),6.18(2H,s),6.88(1H,d),7.3-7.6(3H,m),7.81(1H,d),7.90(1H,d),8.27(1H,d).
实施例352-[1-羟基-1-(1-萘基)甲基]-5-甲基-7-(2-甲基丙基)呋喃并[2,3-d]哒嗪-4(5H)-酮a)2-(1-羟基-3-甲基丁基)呋喃-3-甲酸将3-呋喃甲酸(2.85g)溶于四氢呋喃(50ml),并冷却至-78℃。滴加二异丙基氨基锂(56mmol)的四氢呋喃(100ml)溶液,将该混合物搅拌15分钟。滴加3-甲基丁醛(3.0ml)的四氢呋喃(15ml)溶液。将该反应混合物在-78℃搅拌1小时,然后升至室温。将该混合物倒入水中,把水相用2M盐酸酸化,将该混合物用乙酸乙酯萃取2次。将该有机相用盐水洗涤,干燥,过滤并蒸发。将残余物进行色谱处理,用二氯甲烷∶乙酸乙酯∶乙酸(160∶40∶1)洗脱,获得了本副标题化合物(2.75g)。MS(-ve APCI)197((M-H)-)1H NMR(CDCl3)δ0.96(6H,m),1.62-1.89(3H,m),5.12(1H,dd),6.73(1H,d),7.32(1H,d).b)2-(1-羟基-3-甲基丁基)呋喃-3-甲酸三甲基甲硅烷基甲酯将2-(1-羟基-3-甲基丁基)呋喃-3-甲酸(800mg)溶于二氯甲烷(30ml),加入三甲基甲硅烷基重氮甲烷溶液(2M己烷溶液,2.1ml)。将该混合物搅拌20小时,然后用二氯甲烷稀释,用盐酸洗涤2次。将该有机相用盐水洗涤,然后干燥,过滤并蒸发。把残余物进行色谱处理,用乙醚∶异己烷(1∶1)洗脱,获得了本副标题化合物(435mg)。MS(+ve APCI)267((M-Me)+)1H NMR(CDCl3)δ0.12(9H,s),0.95(6H,dd),1.60-1.88(3H,m),3.96(2H,s),4.37(1H,d),5.01(1H,m),6.64(1H,d),7.26(1H,d),c)2-(3-甲基-1-氧代丁基)呋喃-3-甲酸三甲基甲硅烷基甲酯将二甲亚砜(125μl)溶于二氯甲烷(10ml),并冷却至-78℃。滴加草酰氯(80μl),将该混合物搅拌15分钟。加入2-(1-羟基-3-甲基丁基)呋喃-3-甲酸三甲基甲硅烷基甲酯(200mg)的二氯甲烷(10ml)溶液,将该混合物搅拌20分钟。加入三乙胺(0.49ml)。将该混合物搅拌20分钟,然后升至室温。将该混合物倒入水中,然后用乙酸乙酯萃取3次。合并有机相,用盐水洗涤,干燥,过滤并蒸发,获得了本副标题化合物(170mg)。MS(+ve APCI)283((M+H)+)d)5-甲基-7-(2-甲基丙基)呋喃并[2,3-d]哒嗪-4(5H)-酮将2-(3-甲基-1-氧代丁基)呋喃-3-甲酸三甲基甲硅烷基甲酯(170mg)和甲基肼(40μl)置于二甲苯(10ml)中,将该混合物加热回流5小时。将该混合物冷却至室温,倒入水中,然后用乙酸乙酯萃取2次。合并有机相,用盐水洗涤,干燥,过滤并蒸发。将残余物进行色谱处理,用异己烷∶乙酸乙酯(3∶2)洗脱,获得了本副标题化合物(49mg)。MS(+ve APCI)207((M+H)+)1H NMR(CDCl3)δ0.98(6H,d),2.12-2.26(1H,d),2.73(2H,d),3.84(3H,s),7.05(1H,d),7.65(1H,d).e)2-[1-羟基-1-(1-萘基)甲基]-5-甲基-7-(2-甲基丙基)呋喃并[2,3-d]哒嗪-4(5H)-酮
将5-甲基-7-(2-甲基丙基)呋喃并[2,3-d]哒嗪-4(5H)-酮(105mg)溶于四氢呋喃(5ml),并冷却至-78℃。将二异丙基氨基锂的四氢呋喃溶液(1M,0.56ml)加到该溶液中,把该混合物搅拌30分钟。加入1-萘甲醛(80μl),将该反应混合物搅拌30分钟,然后升至室温。将该混合物倒入水中,然后用乙酸乙酯萃取3次。合并有机相,用盐水洗涤,干燥,过滤并蒸发。将残余物进行色谱处理,用异己烷∶乙酸乙酯(1∶1)洗脱,获得了本标题化合物(50mg)。熔点:110-112℃MS(+ve APCI)363((M+H)+)1H NMR(CDCl3)δ0.91(6H,dd),2.04-2.18(1H,m),2.67(2H,d),2.81(1H,d),3.79(3H,s),6.66(1H,d),6.73,(1H,s),7.48-7.53(3H,m),7.65(1H,d),7.87-7.91(2H,m),8.04-8.06(1H,m).
将2-[1-羟基-1-(1-萘基)甲基]-5-甲基-7-(2-甲基丙基)呋喃并[2,3-d]哒嗪-4(5H)-酮(68mg)溶于二氯甲烷(3ml)。加入三氟乙酸(1ml)和三乙基硅(1ml),将该混合物搅拌24小时。将该混合物倒入2M氢氧化钠溶液中,然后用乙酸乙酯萃取2次。合并有机相,用盐水洗涤,干燥,过滤并蒸发。将残余物进行色谱处理,用异己烷∶乙酸乙酯(1∶1)洗脱,获得了本标题化合物(52mg)。熔点:73-75℃MS(+ve APCI)347((M+H)+)1H NMR(CDCl3)δ0.94(6H,d),2.08-2.22(1H,m),2.69(2H,d),3.79(3H,s),4.56(2H,s),6.50(1H,s),7.37-7.53(4H,m),7.81-7.99(3H,m).
实施例372-[1-羟基-1-(3-氰基苯基)甲基]-5-甲基-7-(2-甲基丙基)呋喃并[2,3-d]哒嗪-4(5H)-酮按照实施例35步骤e的方法,由5-甲基-7-(2-甲基丙基)呋喃并[2,3-d]哒嗪-4(5H)-酮(实施例35步骤d)和3-氰基苯甲醛制得了本标题化合物。熔点:106-108℃MS(+ve APCI)338((M+H)+)1H NMR(CDCl3)δ0.93(6H,d),2.04-2.18(1H,m),2.67(2H,d),3.30(1H,d),3.81(3H,s),6.00(1H,d),6.81(1H,s),7.52(1H,t),7.67(2H,m),7.81(1H,s).
实施例382-(3-氰基苯基)甲基-5-甲基-7-(2-甲基丙基)呋喃并[2,3-d]哒嗪-4(5H)-酮按照实施例36的方法,由2-[1-羟基-1-(3-氰基苯基)甲基]-5-甲基-7-(2-甲基丙基)呋喃并[2,3-d]哒嗪-4(5H)-酮制得了本标题化合物。熔点:76-78℃MS(+ve APCI)322((M+H)+)1H NMR(CDCl3)δ0.95(6H,d),2.13(1H,m),3.68(2H,d),3.82(3H,s),4.17(2H,s),6.68(1H,s),7.44-7.52(2H,m),7.58-7.60(2H,m).
实施例392-(2-三氟甲基苯基)甲基-5-甲基-7-(2-甲基丙基)噻吩并[2,3-d]哒嗪-4(5H)-酮在-78℃、氮气氛下,将二异丙基氨基锂(11.3mmol)在四氢呋喃/己烷(2∶1,16ml)中的溶液滴加到5-甲基-7-(2-甲基丙基)噻吩并[2,3-d]哒嗪-4(5H)-酮(实施例6步骤b,1.00g)的四氢呋喃(20ml)溶液中。5分钟后,加入2-三氟甲基苯甲醛(1.57g)。将该混合物在-78℃搅拌3小时,然后加入饱和碳酸氢钠溶液(50ml),将该混合物升至室温,用乙酸乙酯(50ml)萃取。将该有机萃取液用饱和碳酸氢钠溶液洗涤2次,然后用盐水洗涤,过滤,过滤并蒸发。把残余物溶于三氟乙酸(5ml),加入三乙基硅(2ml)。24小时后,再加入三氟乙酸(5ml)和三乙基硅(2ml)。3天后,将该混合物用水(50ml)稀释,用乙酸乙酯(50ml)萃取。将该有机萃取液用1M氢氧化钠溶液洗涤2次,然后用盐水洗涤,干燥,过滤并蒸发。将残余物通过柱色谱法纯化,用乙酸乙酯/异己烷进行梯度洗脱,然后通过制备正相HPLC纯化,依次用二氯甲烷/乙醇和乙酸乙酯/异己烷进行梯度洗脱,获得了本标题化合物(0.055g)。熔点:112-114℃MS(+ve APCI)381((M+H)+)1H NMR(CDCl3)δ0.97(6H,d),2.12-2.24(1H,m),2.59(2H,d),3.81(3H,s),4.41(2H,s),7.35-7.43(3H,m),7.53(1H,t),7.70(1H,d).
实施例402-[(1-羟基-1-吡啶-3-基)甲基]-5-甲基-7-(2-甲基丙基)噻吩并[2,3-d]哒嗪-4(5H)-酮盐酸盐按照实施例14的方法,用5-甲基-7-(2-甲基丙基)噻吩并[2,3-d]哒嗪-4(5H)-酮(实施例6步骤b,1.00g)和3-吡啶甲醛(0.96g)进行反应,获得了作为游离碱的本标题化合物粗产物。将所得粗产物通过柱色谱法纯化,用乙酸乙酯/乙醇进行梯度洗脱,然后溶于乙醚(50ml),用4M氯化氢1,4-二氧杂环己烷溶液(0.50ml)处理。收集沉淀固体,真空干燥,获得了本标题化合物(0.06g)。熔点:154-156℃MS(+ve APCI)330((M+H)+)1H NMR(DMSO d6)δ0.96(6H,d),1.39(1H,s),2.10-2.24(1H,m),2.59(2H,d),3.80(3H,s),6.16(1H,s),7.32(1H,dd),7.43(1H,s),7.81(1H,dt),8.55(1H,dd),8.68(1H,d).实施例415-甲基-7-(2-甲基丙基)-2-(3-吡啶基甲基)噻吩并[2,3-d]哒嗪-4(5H)-酮按照实施例43b的方法,用2-[(1-羟基-1-吡啶-3-基)甲基]-5-甲基-7-(2-甲基丙基)噻吩并[2,3-d]哒嗪-4(5H)-酮盐酸盐(实施例40,0.54g)进行制备。将所得粗产物通过柱色谱法纯化,用乙酸乙酯∶甲醇∶氨水(先后是99∶0∶1、94∶5∶1和89∶10∶1)洗脱,然后用乙醚研制,获得了本标题化合物(0.30g)。熔点:118-119℃MS(+ve APCI)314((M+H)+)1H NMR(CDCl3)δ0.96(6H,d),2.13-2.22(1H,m),2.59(2H,d),3.81(3H,s),4.25(2H,s),7.28(1H,dd),7.43(1H,s),7.57(1H,d),8.54-8.57(2H,m).
实施例422-(2-氯-6-氟苯基)甲基-5-甲基-7-(2-甲基丙基)噻吩并[2,3-d]哒嗪-4(5H)-酮按照实施例14的方法,用5-甲基-7-(2-甲基丙基)噻吩并[2,3-d]哒嗪-4(5H)-酮(实施例6步骤b,1.00g)和2-氯-6-氟苯甲醛(0.96g)进行制备。将所得粗产物通过制备正相HPLC纯化,用二氯甲烷/乙醇进行梯度洗脱,然后用异己烷重结晶,获得了本标题化合物(0.07g)。熔点:85-86℃MS(+ve APCI)365/367((M+H)+)1H NMR(CDCl3)δ0.97(6H,d),2.15-2.24(1H,m),2.59(2H,d),3.80(3H,s),4.39-4.40(2H,s),7.01-7.08(1H,m),7.19-7.26(2H,m),7.42(1H,s).
实施例432-[(1-羟基-1-喹啉-3-基)甲基]-5-甲基-7-(2-甲基丙基)噻吩并[2,3-d]哒嗪-4(5H)-酮按照实施例14的方法,用5-甲基-7-(2-甲基丙基)噻吩并[2,3-d]哒嗪-4(5H)-酮(实施例6步骤b,1.00g)和3-喹啉甲醛(1.06g)进行制备。将所得粗产物通过柱色谱法纯化,依次用乙酸乙酯/三乙胺(99∶1)和乙酸乙酯/甲醇/三乙胺(89∶10∶1)进行洗脱,获得了油状本标题化合物(0.05g)。MS(+ve APCI)380((M+H)+).实施例445-甲基-7-(2-甲基丙基)-2-(3-喹啉基甲基)噻吩并[2,3-d]哒嗪-4(5H)-酮盐酸盐在室温,将亚硫酰氯(0.10ml)加到2-[(1-羟基-1-喹啉-3-基)甲基]-5-甲基-7-(2-甲基丙基)噻吩并[2,3-d]哒嗪-4(5H)-酮的二氯甲烷(8ml)溶液中。3小时后,将该溶液蒸发。把残余物溶于乙酸乙酯(15ml)。加入三乙胺(0.50ml),将该溶液在披钯碳(5%,0.035g)存在下氢化20小时。将该混合物过滤,用乙酸乙酯(50ml)洗涤催化剂。将滤液用水洗涤,然后用饱和碳酸氢钠溶液洗涤2次,之后用盐水洗涤。将有机相干燥,过滤并蒸发。把残余物通过柱色谱法纯化,用乙酸乙酯∶异己烷∶三乙胺(先后是50∶1∶1、66∶33∶1、和100∶0∶1)洗脱。把所得油状物溶于乙醚(50ml),用4M氯化氢1,4-二氧杂环己烷溶液(0.5ml)处理。收集沉淀固体,真空干燥,获得了本标题化合物(0.09g)。熔点>230℃(分解温度)MS(+ve APCI)364((M+H)+)1H NMR(DMSO d6)δ0.90(6H,d),2.06-2.15(1H,m),2.58(2H,d),3.68(3H,s),4.66(2H,d),7.60(1H,s),7.78(1H,t),7.95(1H,t),8.14-8.20(2H,m),8.74(1H,s),9.18(1H,s).实施例452-[(3-氯苯基)甲基]-3-(2-羟基乙氧基)-7-(甲氧基甲基)-5-甲基噻吩并[2,3-d]哒嗪-4(5H)-酮a)5-[(3-氯苯基)甲基]-4-羟基噻吩-3-甲酸甲酯将4-氧代四氢噻吩-3-甲酸甲酯(18.5g)和3-氯苯甲醛(48.5g)与哌啶(4ml)在100℃加热15分钟,然后冷却至室温。把所得黄色固体在甲醇(300ml)中搅拌18小时并收集产物。将所得黄色固体悬浮在乙醇(300ml)和二氯甲烷(200ml)中,加入对甲苯磺酸(10g),将该悬浮液加热回流48小时。将该反应混合物冷却,然后浓缩。把残余物通过色谱法纯化,用10∶1的异己烷∶二氯甲烷洗脱,获得了本副标题化合物(22.32g)。MS(+ve APCI)((M+H)+)283/51H NMR(DMSO d-6)δ3.79(3H,s),4.08(2H,s),7.04(1H,s),7.33-7.39(1H,m),7.45-7.57(2H,m),7.65(1H,s),10.76(1H,s).b)5-[(3-氯苯基)甲基]-4-{2-[(1,1-二甲基乙基)二甲基甲硅烷基]氧乙氧基}噻吩-3-甲酸甲酯
将5-[(3-氯苯基)甲基]-4-羟基噻吩-3-甲酸甲酯(11g)、碳酸钾(5.45g)和(2-溴乙氧基)(1,1-二甲基乙基)二甲基硅烷(10g)的混合物溶于丙酮(250ml),并加热回流36小时。然后冷却,将该混合物过滤,浓缩,通过色谱法纯化,用10∶1的乙酸乙酯∶异己烷洗脱,获得了本副标题化合物(8g)。MS(+ve APCI)((M+H)+)442/4c)5-[(3-氯苯基)甲基]-4-{2-[(1,1-二甲基乙基)二甲基甲硅烷基]氧乙氧基}噻吩-3-甲酸
将5-[(3-氯苯基)甲基]-4-{2-[(1,1-二甲基乙基)二甲基甲硅烷基]氧乙氧基}噻吩-3-甲酸甲酯(10.2g)溶于1M氢氧化锂(50ml)、甲醇(50ml)和四氢呋喃(150ml)的混合物中,并搅拌18小时。将该反应混合物浓缩,把残余物在二氯甲烷和2M盐酸之间分配。收集有机层,干燥并过滤。将叔丁基二甲基甲硅烷基氯(7g)和咪唑(3.1g)加到该溶液中,将该混合物搅拌72小时。将该反应混合物浓缩,把残余物溶于甲醇。将碳酸钾(5g)加到该溶液中,把所得悬浮液剧烈搅拌3分钟,然后过滤并浓缩。把所得残余物溶于乙酸乙酯,用2M盐酸洗涤,干燥,过滤并浓缩。将残余物通过色谱法纯化,用10∶1∶的异己烷∶乙酸乙酯∶乙酸洗涤,获得了本副标题化合物(4.2g)。MS(-ve APCI)((M-Me)-)427/9d)2-[(3-氯苯基)甲基]-3-(2-羟基乙氧基)-7-(甲氧基甲基)-5-甲基噻吩并[2,3-d]哒嗪-4(5H)-酮
2.0M丁基锂的己烷溶液(1ml)用四氢呋喃(3ml)稀释,并冷却至-20℃。缓慢地加入5-[(3-氯苯基)甲基]-4-{2-[(1,1-二甲基乙基)二甲基甲硅烷基]氧乙氧基}噻吩-3-甲酸的四氢呋喃溶液(1M,1ml)。将该溶液搅拌10分钟,然后加入1mmol 2,N-二甲氧基-N-甲基乙酰胺在1ml四氢呋喃中的溶液。将该溶液混合10分钟,然后加入5ml氯化铵溶液。将该反应混合物在空气中蒸发18小时。把残余物溶于二氯甲烷,并用水洗涤2次。将溶剂蒸发,然后把残余物溶于5ml乙醇。向该溶液中加入92mg甲基肼。把所得溶液加热回流4小时。将该反应混合物冷却,把溶剂蒸发。通过柱色谱法纯化,用异己烷∶乙酸乙酯进行梯度洗脱,获得了本标题化合物(4mg)。MS(+ve APCI)395/397(M+H)1H NMR(DMSO d-6)δ3.33(3H,s),3.76(3H,s),3.80-3.84(2H,br),4.12(2H,s),4.13-4.16(2H,m),4.48(2H,s),7.07-7.98(4H,m).下述化合物是按照实施例44的方法,用适当的N,O-二甲基羟基酰胺制得的。实施例497-环丙基甲基-3-甲氧基-5-甲基-2-[(3-三氟甲基苯基)甲基]噻吩并[2,3-d]哒嗪-4(5H)-酮a)5-[(3-三氟甲基苯基)甲基]-4-羟基噻吩-3-甲酸丁酯将4-氧代四氢噻吩-3-甲酸甲酯(3.2g)和3-三氟甲基苯甲醛(10.6g)与哌啶(170mg)在100℃加热15分钟,然后冷却至室温。把所得黄色固体在150ml甲醇中搅拌18小时并收集产物。将所得黄色固体与对甲苯磺酸(10g)悬浮在丁醇(150ml)中,并加热回流48小时。将该反应混合物浓缩,把残余物通过色谱法纯化,用10∶1的异己烷∶二氯甲烷洗脱,获得了本副标题化合物(2.5g)。MS(+ve APCI)((M+H)+)359b)4-甲氧基-2-[(3-三氟甲基苯基)甲基]噻吩-3-甲酸丁酯将5-[(3-三氟甲基苯基)甲基]-4-羟基噻吩-3-甲酸丁酯(2.5g)溶于丙酮(50ml)。加入碳酸钾(1g)和碘甲烷(0.454ml),将该混合物加热回流18小时。把该反应混合物冷却至室温,然后浓缩。把残余物通过色谱法纯化,用40∶1的异己烷∶乙酸乙酯洗脱,获得了本副标题化合物(1.75g)。1H NMR(DMSO d-6)δ0.92(3H,t),1.34-1.47(2H,m),1.61-1.70(2H,m),3.72(3H,s),4.18(2H,s),4.21(2H,d),7.55-7.62(4H,m),8.10(1H,s).c)4-甲氧基-5-[(3-三氟甲基苯基)甲基]噻吩-3-甲酸将4-甲氧基-2-[(3-三氟甲基苯基)甲基]噻吩-3-甲酸丁酯(1.75g)溶解在1M氢氧化锂(10ml)、四氢呋喃(30ml)和甲醇(10ml)的混合物中,将该溶液搅拌18小时。将该反应混合物浓缩。把残余物再溶于乙酸乙酯,然后用2M盐酸洗涤。将有机层干燥,浓缩,获得了本副标题化合物,为白色固体(1.25g)。MS(-ve APCI)((M-H)-)3151H NMR(DMSO d-6)δ3.71(3H,s),4.16(2H,s),7.54-7.61(4H,m),8.04(1H,s),12.64(1H,s).d)2-(2-环丙基乙酰基)-4-甲氧基-5-[(3-三氟甲基苯基)甲基]噻吩-3-甲酸在-78℃,将2M丁基锂的己烷溶液(1.75ml)缓慢地加到4-甲氧基-5-[(3-三氟甲基苯基)甲基]噻吩-3-甲酸(500mg)的四氢呋喃(30ml)溶液中。将所得红色溶液搅拌20分钟,然后加入2-环丙基-N-甲氧基-N-甲基乙酰胺(229mg)的四氢呋喃(3ml)溶液。将该混合物在-78℃搅拌20分钟,然后升至室温。5小时后,加入水,将该混合物用乙酸乙酯萃取。将该有机相干燥并浓缩。把残余物通过色谱法纯化,用10∶10∶1的异己烷∶乙醚∶乙酸洗脱,获得了本副标题化合物(177mg)。MS(+ve APCI)((M+H)+)3991H NMR(DMSO d-6)δ0.91-1.14(2H,m),0.44-0.49(2H,m),0.94-1.14(1H,m),2.66(2H,d),3.77(3H,s),4.26(2H,s),7.56-7.66(3H,m),7.69(1H,s),13.66(1H,bs).e)7-环丙基甲基-3-甲氧基-5-甲基-2-[(3-三氟甲基苯基)甲基]噻吩并[2,3-d]哒嗪-4(5H)-酮将2-(2-环丙基乙酰基)-4-甲氧基-5-[(3-三氟甲基苯基)甲基]噻吩-3-甲酸(8.65g)溶解在125ml乙醇中。向该溶液中加入甲基肼(2.34ml),将该混合物加热回流18小时。将该反应混合物冷却,然后浓缩。把残余物在乙酸乙酯和2M盐酸之间分配。收集有机层,干燥,过滤并浓缩,获得了本标题化合物(8.8g)。MS(+ve APCI)((M+H)+)4091H NMR(DMSO d-6)δ0.22(2H,m),0.48(2H,m),1.00-1.10(1H,m),2.61(2H,d),3.69(3H,s),3.88(3H,s),4.33(2H,s),7.55-7.64(3H,m),7.69(1H,s).
实施例507-环丙基甲基-5-甲基-3-[2-(甲硫基)乙氧基]-2-[(3-三氟甲基苯基)甲基]噻吩并[2,3-d]哒嗪-4(5H)-酮a)7-环丙基甲基-3-羟基-5-甲基-2-[(3-三氟甲基苯基)甲基]噻吩并[2,3-d]哒嗪-4(5H)-酮将7-环丙基甲基-3-甲氧基-5-甲基-2-[(3-三氟甲基苯基)甲基]噻吩并[2,3-d]哒嗪-4(5H)-酮(8.8g)溶解在二氯甲烷(250ml)中,然后冷却至-15℃。加入三溴化硼的二氯甲烷溶液(1M,24ml)。将该反应混合物升至室温,并搅拌72小时。加入水,用乙酸乙酯萃取该混合物。将乙酸乙酯干燥,过滤并浓缩。把残余物通过色谱法纯化,用1∶1的异己烷∶乙醚洗脱,然后用异己烷重结晶,获得了本副标题化合物(4.5g)。熔点:92-93℃MS(+ve APCI)((M+H)+)3951H NMR(DMSO d-6)δ0.21-0.23(2H,m),0.48-0.50(2H,m),1.04-1.08(1H,m),2.60(2H,d),3.67(3H,s),4.26(2H,s),7.56-7.64(3H,m),7.67(1H,s),9.27(1H,s).b)7-环丙基甲基-5-甲基-3-[2-(甲硫基)乙氧基]-2-[(3-三氟甲基苯基)甲基]噻吩并[2,3-d]哒嗪-4(5H)-酮将0.64ml 1M三苯基膦的四氢呋喃溶液加到5ml无水四氢呋喃中,然后加入0.64ml 1M重氮基二甲酸二乙酯的四氢呋喃溶液,之后再加入0.64ml 1M 2,6-二叔丁基苯酚的四氢呋喃溶液。将该混合物混合5分钟,然后加入1.28ml 0.5M 2-(甲硫基)乙醇的四氢呋喃溶液。然后将该溶液混合5分钟。加入7-环丙基甲基-3-羟基-5-甲基-2-[(3-三氟甲基苯基)甲基]噻吩并[2,3-d]哒嗪-4(5H)-酮(248mg在1ml四氢呋喃中),将该溶液周期性混合24小时。将该溶液露置于空气中18小时,然后通过色谱法纯化,用异己烷/乙酸乙酯进行梯度洗脱,获得了本标题化合物(77mg)。MS(ES+ve,TOF)((M+H)+)实测值:469.1241;理论值:469.12311H NMR(DMSO d-6)δ0.21-0.23(2H,m),0.48-0/50(2H,m),1.02-1.08(1H,m),2.11(3H,s),2.66(2H,d),2.85(2H,t),3.69(3H,s),4.30(2H,t),4.40(2H,s),7.56-7.64(3H,m),7.72(1H,s).下述化合物是按照实施例50的方法,用适当醇作为反应物制得的。 药理数据抑制人混合淋巴细胞反应(MLR)该MLR测试是在96-孔平底微量滴定板中进行的。将化合物在二甲亚砜中制成10mM储备液。在RPMI 1640培养基细胞培养液中制备该储备液的50倍稀释液。用该溶液制备系列稀释液。将10μl稀释50倍的储备液、或其稀释液加到孔中,以使该测试的浓度从9.5μm开始递减。在每个孔中加入1.5×105个细胞,所述细胞是两个相应的供体之一提供的,并且孔中的终体积是0.2ml补充有10%人血清、2mML-谷氨酰胺和青霉素/链霉素的RPMI 1640培养基。将细胞在湿润气氛下、于37℃、5%二氧化碳条件下培养120小时。在培养的最后6个小时,加入3H-胸腺嘧啶核苷(0.5μCi)。然后测定掺入到细胞内的放射性水平,也就是测定T-细胞增殖。结果发现,在上述测试中,实施例1-57的标题化合物表现出低于1×10-6M的IA50值。
Claims (16)
1.通式I化合物、或其可药用盐或溶剂化物,其中B代表CH、氮原子、硫原子或氧原子;D代表碳原子或氮原子;E代表CR3或氮原子;当D代表碳原子时,则B是硫原子或氧原子且E是CR3,当D是氮原子时,则B是CH且E是CR3或氮原子,或者B是氮原子且E是CR3;R1代表NR’R”,其中R’代表氢原子或C1-C6烷基,R”代表C1-C6烷基,或者R’和R”与它们所连的氮原子一起形成3元-7元饱和杂环,或者R1代表分别可任选被一个或多个卤素原子取代的C1-C6烷基、C1-C6烷氧基、C1-C3-烷氧基C1-C3烷基、C3-C6-环烷氧基C1-C3烷基、C3-C6链烯基、苯基、C3-C7环烷基、C3-C5环烷基甲基或C3-C7环烯基;R2代表甲基,或任选被C1-C6烷氧基在除了1位以外的其它位置取代的C2-C6烷基;R3代表氢原子或X-R5或X-Ar1;X代表-O-、S(O)n、SO2N(R6)或C(=O)N(R6);n是0、1或2;R5代表任选取代的烷基或链烯基,或者当X代表SO2N(R6)或C(=O)N(R6)时,R5和R6与它们所连的氮原子一起形成任选取代的3元-7元杂环;Ar1代表任选取代的苯基或吡啶基;R6代表氢原子、C1-C6烷基或者如上所述与R5连接;R4代表CHR7Ar2或Ar3,或者当D代表碳原子时,R4代表C(O)Ar2或CR7(OH)Ar2;Ar2代表可任选被取代的芳基或杂芳基;Ar3代表分别可任选被取代的苊基、二氢茚基或芴基;且R7代表氢原子或C1-C4烷基。
2.权利要求1的化合物,其中R1代表C1-C4烷基氨基,或者R1代表分别任选被1-4个卤素原子取代的C3-C5烷基、C1-C4烷氧基、C1-C3-烷氧基C1-C3烷基、C3-C6-环烷氧基C1-C3烷基、C3-C6链烯基、苯基、C3-C5环烷基、C3-C5环烷基甲基、或C3-C5环烯基。
3.权利要求1或2的化合物,其中R2代表甲基,或者任选被C1-C4烷氧基在除了1位以外的其它位置取代的C2-C6烷基。
4.前述权利要求任一项的化合物,其中R4代表CHR7Ar2、C(O)Ar2或CR7(OH)Ar2。
5.权利要求4的化合物,其中Ar2代表苯基、萘基、吡啶基、喹啉基、异喹啉基、萘啶(1,5-二氮杂萘)基、噌啉基、酞嗪基、喹唑啉基、喹喔啉基、噻吩基、苯并噻吩基、呋喃基、苯并呋喃基、噻唑基、苯并噻唑基、吲哚基、吲嗪基、吡唑基、吲唑基、咪唑基、苯并咪唑基、咪唑并吡啶基、三唑基、苯并三唑基或三唑并吡啶基,其中所述基团分别任选被一个或多个独立地选自下述基团的取代基取代:卤素、三氟甲基、三氟甲氧基、氨基、氰基、羧基、硝基、C1-C6烷基、C1-C6烷氧基、(二)C1-C6烷基氨基、C2-C6酰氨基、C1-C6烷基磺酰氨基、CONH-C1-C6烷基、和C1-C6烷氧基羰基。
6.前述权利要求任一项的化合物,其中X代表-O-、S(O)n或C(=O)NR6,其中n是0、1或2。
7.前述权利要求任一项的化合物,其中R5代表任选被一个或多个独立地选自下述基团的取代基取代的C2-C6烷基或C2-C6链烯基:酰氨基、氨基、羧基、氰基、羟基、C1-C6烷氧基、C1-C6烷硫基、C1-C6烷基羰基、C1-C6烷氧基羰基、C3-C7环烷基、(二)C1-C6烷基氨基、C2-C6酰氨基、C1-C6烷基磺酰氨基、四氢呋喃基、二氧杂环戊烷基、咪唑基、卤代C1-C6烷基磺酰氨基、和四唑基。
8.权利要求1-6任一项的化合物,其中Ar1代表任选被一个或多个独立地选自下述基团的取代基取代的苯基或吡啶基:羧基、羟基、C2-C6酰氨基、C1-C6烷基酰氨基、C1-C6烷基磺酰氨基、和(二)C1-C6烷基氨磺酰基。
9.权利要求1的化合物,其中所述化合物是:2,6-二氢-2-甲基-4-(2-甲基丙基)-6-(1-萘基甲基)-1H-吡咯并[3,4-d]哒嗪-1-酮,2,6-二氢-2-(2-甲氧基乙基)-4-(2-甲基丙基)-6-(1-萘基甲基)-1H-吡咯并[3,4-d]哒嗪-1-酮,2,6-二氢-7-[(3-羟基丙基)硫基]-2-甲基-4-(2-甲基丙基)-6-(1-萘基甲基)-1H-吡咯并[3,4-d]哒嗪-1-酮,4-{[2,6-二氢-2-甲基-4-(2-甲基丙基)-6-(1-萘基甲基)-1-氧代-1H-吡咯并[3,4-d]哒嗪-7-基]硫基}丁酸,2,6-二氢-7-[(3-羟基丙基)亚磺酰基]-2-甲基-4-(2-甲基丙基)-6-(1-萘基甲基)-1H-吡咯并[3,4-d]哒嗪-1-酮,2,6-二氢-7-[(3-羟基丙基)磺酰基]-2-甲基-4-(2-甲基丙基)-6-(1-萘基甲基)-1H-吡咯并[3,4-d]哒嗪-1-酮,2-[1-羟基-1-(1-萘基)甲基]-5-甲基-7-(2-甲基丙基)噻吩并[2,3-d]哒嗪-4(5H)-酮,5-甲基-7-(2-甲基丙基)-2-(1-萘基甲基)噻吩并[2,3-d]哒嗪-4(5H)-酮,3-[(3-羟基丙基)硫基]-5-甲基-7-(2-甲基丙基)-2-(1-萘基甲基)噻吩并[2,3-d]哒嗪-4(5H)-酮,5-甲基-7-(2-甲基丙基)-2-(1-萘基羰基)噻吩并[2,3-d]哒嗪-4(5H)-酮,3-[(3-羟基丙基)亚磺酰基]-5-甲基-7-(2-甲基丙基)-2-(1-萘基甲基)噻吩并[2,3-d]哒嗪-4(5H)-酮,4-{[4,5-二氢-5-甲基-7-(2-甲基丙基)-2-(1-萘基甲基)-4-氧代噻吩并[2,3-d]哒嗪-3-基]硫基}丁酸,5-甲基-7-(2-甲基丙基)-2-(1-萘基甲基)-3-(2-吡啶基硫基)噻吩并[2,3-d]哒嗪-4(5H)-酮,3-[(3-羟基丙基)磺酰基]-5-甲基-7-(2-甲基丙基)-2-(1-萘基甲基)噻吩并[2,3-d]哒嗪-4(5H)-酮,2-[1-羟基-1-苯基甲基]-5-甲基-7-(2-甲基丙基)噻吩并[2,3-d]哒嗪-4(5H)-酮,5-甲基-7-(2-甲基丙基)-2-苯基甲基噻吩并[2,3-d]哒嗪-4(5H)-酮,3-[(3-羟基丙基)硫基]-5-甲基-7-(2-甲基丙基)-2-苯基甲基噻吩并[2,3-d]哒嗪-4(5H)-酮,3-[(3-羟基丙基)磺酰基]-5-甲基-7-(2-甲基丙基)-2-苯基甲基噻吩并[2,3-d]哒嗪-4(5H)-酮,2,6-二氢-2-甲基-4-(2-甲基丙基)-6-苯基甲基-1H-吡咯并[3,4-d]哒嗪-1-酮,2,6-二氢-2-甲基-4-(2-甲基丙基)-6-苯基甲基-7-(2-吡啶基硫基)-1H-吡咯并[3,4-d]哒嗪-1-酮,2,6-二氢-7-[(3-羟基丙基)硫基]-2-甲基-4-(2-甲基丙基)-6-苯基甲基-1H-吡咯并[3,4-d]哒嗪-1-酮,2,6-二氢-2-甲基-4-(2-甲基丙基)-6-(3,4,5-三甲氧基苯基)甲基-1H-吡咯并[3,4-d]哒嗪-1-酮,2,6-二氢-2-甲基-6-(1-萘基甲基)-4-(1-甲基乙基)氨基-1H-吡咯并[3,4-d]哒嗪-1-酮,2,6-二氢-2-甲基-4-(2-甲基丙基)-6-(4-吡啶基)甲基-1H-吡咯并[3,4-d]哒嗪-1-酮,6-(2-氯苯基)甲基-2,6-二氢-2-甲基-4-(2-甲基丙基)-1H-吡咯并[3,4-d]哒嗪-1-酮,6-(3,5-二氟苯基)甲基-2,6-二氢-2-甲基-4-(2-甲基丙基)-1H-吡咯并[3,4-d]哒嗪-1-酮,6-(2-氯-6-氟苯基)甲基-2,6-二氢-2-甲基-4-(2-甲基丙基)-1H-吡咯并[3,4-d]哒嗪-1-酮,6-(3-氯-2-氟苯基)甲基-2,6-二氢-2-甲基-4-(2-甲基丙基)-1H-吡咯并[3,4-d]哒嗪-1-酮,2,6-二氢-2-甲基-4-(2-甲基丙基)-6-(2-喹啉基甲基)-1H-吡咯并[3,4-d]哒嗪-1-酮,2,6-二氢-2-甲基-4-(2-甲基丙基)-6-(2-三氟甲基苯基)甲基-1H-吡咯并[3,4-d]哒嗪-1-酮,2,6-二氢-6-(2-咪唑并[1,2-a]吡啶基)甲基-2-甲基-4-(2-甲基丙基)-1H-吡咯并[3,4-d]哒嗪-1-酮,2,6-二氢-N-[3-(1-1H-咪唑基)丙基]-2-甲基-4-(2-甲基丙基)-1-氧代-6-苯基甲基-1H-吡咯并[3,4-d]哒嗪-1-酮-5-甲酰胺,2,5-二氢-5-甲基-7-(2-甲基丙基)-2-(1-萘基甲基)-4H-吡唑并[3,4-d]哒嗪-4-酮,2,6-二氢-6-甲基-4-(2-甲基丙基)-2-(1-萘基甲基)-7H-吡唑并[3,4-d]哒嗪-7-酮,2,5-二氢-3-[(3-羟基丙基)硫基]-5-甲基-7-(2-甲基丙基)-2-(1-萘基甲基)-4H-吡唑并[3,4-d]哒嗪-4-酮,2-[1-羟基-1-(1-萘基)甲基]-5-甲基-7-(2-甲基丙基)呋喃并[2,3-d]哒嗪-4(5H)-酮,5-甲基-7-(2-甲基丙基)-2-(1-萘基甲基)呋喃并[2,3-d]哒嗪-4(5H)-酮,2-[1-羟基-1-(3-氰基苯基)甲基]-5-甲基-7-(2-甲基丙基)呋喃并[2,3-d]哒嗪-4(5H)-酮,2-(3-氰基苯基)甲基-5-甲基-7-(2-甲基丙基)呋喃并[2,3-d]哒嗪-4(5H)-酮,2-(2-三氟甲基苯基)甲基-5-甲基-7-(2-甲基丙基)噻吩并[2,3-d]哒嗪-4(5H)-酮,2-[(1-羟基-1-吡啶-3-基)甲基]-5-甲基-7-(2-甲基丙基)噻吩并[2,3-d]哒嗪-4(5H)-酮盐酸盐,5-甲基-7-(2-甲基丙基)-2-(3-吡啶基甲基)噻吩并[2,3-d]哒嗪-4(5H)-酮,2-(2-氯-6-氟苯基)甲基-5-甲基-7-(2-甲基丙基)噻吩并[2,3-d]哒嗪-4(5H)-酮,2-[(1-羟基-1-喹啉-3-基)甲基]-5-甲基-7-(2-甲基丙基)噻吩并[2,3-d]哒嗪-4(5H)-酮,5-甲基-7-(2-甲基丙基)-2-(3-喹啉基甲基)噻吩并[2,3-d]哒嗪-4(5H)-酮盐酸盐,2-[(3-氯苯基)甲基]-3-(2-羟基乙氧基)-7-(甲氧基甲基)-5-甲基噻吩并[2,3-d]哒嗪-4(5H)-酮,2-[(3-氯苯基)甲基]-7-环己基-3-(2-羟基乙氧基)-5-甲基噻吩并[2,3-d]哒嗪-4(5H)-酮,2-[(3-氯苯基)甲基]-3-(2-羟基乙氧基)-5-甲基-7-苯基噻吩并[2,3-d]哒嗪-4(5H)-酮,2-[(3-氯苯基)甲基]-7-环戊基-3-(2-羟基乙氧基)-5-甲基噻吩并[2,3-d]哒嗪-4(5H)-酮,7-环丙基甲基-3-甲氧基-5-甲基-2-[(3-三氟甲基苯基)甲基]噻吩并[2,3-d]哒嗪-4(5H)-酮,7-环丙基甲基-5-甲基-3-[2-(甲硫基)乙氧基]-2-[(3-三氟甲基苯基)甲基]噻吩并[2,3-d]哒嗪-4(5H)-酮,7-环丙基甲基-3-(2-甲氧基乙氧基)-5-甲基-2-[(3-三氟甲基苯基)甲基]噻吩并[2,3-d]哒嗪-4(5H)-酮,3-环戊基甲氧基-7-环丙基甲基-5-甲基-2-[(3-三氟甲基苯基)甲基]噻吩并[2,3-d]哒嗪-4(5H)-酮,7-环丙基甲基-5-甲基-3-(四氢呋喃-2-甲氧基)-2-[(3-三氟甲基苯基)甲基]噻吩并[2,3-d]哒嗪-4(5H)-酮,7-环丙基甲基-3-(3-羟基-3-甲基丁氧基)-5-甲基-2-[(3-三氟甲基苯基)甲基]噻吩并[2,3-d]哒嗪-4(5H)-酮,N-{3-[7-环丙基甲基-5-甲基-4-氧代-2-[(3-三氟甲基苯基)甲基]-4,5-二氢噻吩并[2,3-d]哒嗪-3-基]氧丙基}乙酰胺7-环丙基甲基-3-([1,3]二氧杂环戊烷-4-甲氧基)-5-甲基-2-[(3-三氟甲基苯基)甲基]噻吩并[2,3-d]哒嗪-4(5H)-酮,或7-环丙基甲基-5-甲基-3-(4-氧代戊基)氧-2-[(3-三氟甲基苯基)甲基]噻吩并[2,3-d]哒嗪-4(5H)-酮。
10.制备如权利要求1所述的式(I)化合物的方法,其中包括:(a)当X代表S(O)n且n是1或2时,将通式(II)化合物氧化,其中R3’代表S-R5或S-Ar1,且B、D、R1、R2、R4、R5和Ar1的定义同权利要求1所述;或者(b)当X代表S(O)n且n是0时,将其中E是CR3且R3是氢原子的相应式(I)化合物与通式(III)R8-S-S-R8化合物或通式(IV)L-S-R8化合物反应,其中R8都是如权利要求1所述的R5或Ar1,L代表离去基团;或者(c)当X代表SO2N(R6)时,将通式(V)化合物其中L’代表离去基团,且B、D、R1、R2和R4的定义同权利要求1所述,与通式(VI)HNR6R8化合物反应,其中R6的定义同权利要求1所述,R8的定义同上面(b)中所述;(d)当X代表C(=O)N(R6)时,将通式(VII)化合物与上面(c)中所述式(VI)化合物反应,其中B、D、R1、R2和R4的定义同权利要求1所述;或者(e)当D是碳原子,E是CR3,R3是氢原子,且R4是CH(OH)Ar2时,将通式(VIII)化合物其中B、R1和R2的定义同权利要求1所述,与通式(IX)Ar2CHO化合物反应,其中Ar2的定义同权利要求1所述;或者(f)当D是碳原子,E是CR3,R3是氢原子,且R4是CHR7Ar2时,将其中R4是CR7(OH)Ar2的相应式(I)化合物还原;或者(g)当D是碳原子,E是CR3,R3是氢原子,且R4是C(O)Ar2时,将其中R4是CH(OH)Ar2的相应式(I)化合物氧化;或者(h)当D是碳原子,E是CR3,R3是氢原子,R4是CR7(OH)Ar2,且R7是C1-C4烷基时,将其中R4是COAr2的相应式(I)化合物与C1-C4烷基化剂反应;或者(i)当D是碳原子,E是CR3,R3是氢原子,且R4是Ar3时,将上面(e)中所述式(VIII)化合物与1-二氢茚酮、2-二氢茚酮、9-芴酮或1-苊酮反应,然后进行还原反应;或者(j)当D是氮原子,B是CH,E是CR3,且R3是氢原子时,将通式(X)化合物其中R9是烷基,且R1和R4的定义同权利要求1所述,与通式(XI)R2NHNH2化合物反应,其中R2的定义同权利要求1所述;或者(k)当D是氮原子,B是CH,且E是氮原子时,将通式(XII)化合物其中R10是烷基,且R1和R4的定义同权利要求1所述,与上面(j)中所述式(XI)化合物反应;或者(l)当D是氮原子,B是氮原子,E是CR3,且R3是氢原子时,将通式(XIII)化合物其中R11是烷基,且R1和R4的定义同权利要求1所述,与上面(j)中所述通式(XI)化合物反应;或者(m)当X是-O-时,将通式(XIIIA)化合物其中B、D、R1、R2和R4的定义同权利要求1所述,与通式(XIIIB)R8-L”化合物反应,其中L”代表离去基团例如卤素原子,且R8的定义同上面(b)中所述;或者(n)当D是碳原子,B是硫原子或氧原子,R3代表-OR5,且R4代表CH2Ar2时,将通式(XIIIC)化合物其中B’代表硫原子或氧原子,且R1、R5和Ar2的定义同权利要求1所述,与上面(j)中所述式(XI)化合物反应;之后可任选将式(I)化合物转化成其它式(I)化合物和/或形成式(I)化合物的可药用盐或溶剂化物。
11.含有如权利要求1-9任一项所述的式(I)化合物、或其可药用盐或溶剂化物和可药用辅料、稀释剂或载体的药物组合物。
12.制备如权利要求11所述的药物组合物的方法,包括将如权利要求1-9任一项所述的式(I)化合物、或其可药用盐或溶剂化物与可药用辅料、稀释剂或载体混合。
13.用于治疗的如权利要求1-9任一项所述的式(I)化合物、或其可药用盐或溶剂化物。
14.如权利要求1-9任一项所述的式(I)化合物、或其可药用盐或溶剂化物在制备用于治疗的药物中的应用。
15.进行免疫抑制的方法,包括将治疗有效量的如权利要求1-9任一项所述的式(I)化合物、或其可药用盐或溶剂化物对患者给药。
16.在患有气管可逆性堵塞疾病或有患这种疾病危险的患者中治疗气管可逆性堵塞疾病或降低其危险性的方法,包括将治疗有效量的如权利要求1-9任一项所述的式(I)化合物、或其可药用盐或溶剂化物对所述患者给药。
Applications Claiming Priority (4)
| Application Number | Priority Date | Filing Date | Title |
|---|---|---|---|
| SE9704542A SE9704542D0 (sv) | 1997-12-05 | 1997-12-05 | Novel pyridazinone compounds |
| SE97045421 | 1997-12-05 | ||
| SE98019896 | 1998-06-04 | ||
| SE9801989A SE9801989D0 (sv) | 1998-06-04 | 1998-06-04 | Novel compounds |
Publications (1)
| Publication Number | Publication Date |
|---|---|
| CN1284079A true CN1284079A (zh) | 2001-02-14 |
Family
ID=26663151
Family Applications (1)
| Application Number | Title | Priority Date | Filing Date |
|---|---|---|---|
| CN98813493A Pending CN1284079A (zh) | 1997-12-05 | 1998-12-01 | 新化合物 |
Country Status (21)
| Country | Link |
|---|---|
| US (2) | US6342601B1 (zh) |
| EP (1) | EP1036076B1 (zh) |
| JP (1) | JP2001525413A (zh) |
| KR (1) | KR20010032769A (zh) |
| CN (1) | CN1284079A (zh) |
| AT (1) | ATE223413T1 (zh) |
| AU (1) | AU1791699A (zh) |
| BR (1) | BR9813373A (zh) |
| CA (1) | CA2312419A1 (zh) |
| DE (1) | DE69807741T2 (zh) |
| EE (1) | EE200000318A (zh) |
| HU (1) | HUP0100280A3 (zh) |
| ID (1) | ID25628A (zh) |
| IL (1) | IL136499A0 (zh) |
| MX (1) | MXPA00005506A (zh) |
| NO (1) | NO20002788L (zh) |
| NZ (1) | NZ504452A (zh) |
| PL (1) | PL340836A1 (zh) |
| SK (1) | SK8402000A3 (zh) |
| TR (1) | TR200001603T2 (zh) |
| WO (1) | WO1999029695A1 (zh) |
Cited By (2)
| Publication number | Priority date | Publication date | Assignee | Title |
|---|---|---|---|---|
| CN100358900C (zh) * | 2003-01-17 | 2008-01-02 | 阿斯利康(瑞典)有限公司 | 新化合物 |
| CN105358561A (zh) * | 2013-03-13 | 2016-02-24 | 艾伯维德国有限责任两合公司 | 磷酸二酯酶10a型的新型抑制剂化合物 |
Families Citing this family (58)
| Publication number | Priority date | Publication date | Assignee | Title |
|---|---|---|---|---|
| SE9801399D0 (sv) | 1998-04-21 | 1998-04-21 | Astra Pharma Prod | Method and apparatus for filling containers |
| US6462072B1 (en) | 1998-09-21 | 2002-10-08 | Gpi Nil Holdings, Inc. | Cyclic ester or amide derivatives |
| SI1757606T1 (sl) * | 2001-02-24 | 2009-10-31 | Boehringer Ingelheim Pharma | Ksantinski derivati za uporabo kot zdravila kot tudi postopek za njihovo pripravo |
| GB0117583D0 (en) | 2001-07-19 | 2001-09-12 | Astrazeneca Ab | Novel compounds |
| GB0118479D0 (en) | 2001-07-28 | 2001-09-19 | Astrazeneca Ab | Novel compounds |
| US7407955B2 (en) | 2002-08-21 | 2008-08-05 | Boehringer Ingelheim Pharma Gmbh & Co., Kg | 8-[3-amino-piperidin-1-yl]-xanthines, the preparation thereof and their use as pharmaceutical compositions |
| US7495005B2 (en) | 2002-08-22 | 2009-02-24 | Boehringer Ingelheim Pharma Gmbh & Co. Kg | Xanthine derivatives, their preparation and their use in pharmaceutical compositions |
| US7569574B2 (en) | 2002-08-22 | 2009-08-04 | Boehringer Ingelheim Pharma Gmbh & Co. Kg | Purine derivatives, the preparation thereof and their use as pharmaceutical compositions |
| US7482337B2 (en) * | 2002-11-08 | 2009-01-27 | Boehringer Ingelheim Pharma Gmbh & Co. Kg | Xanthine derivatives, the preparation thereof and their use as pharmaceutical compositions |
| DE10254304A1 (de) | 2002-11-21 | 2004-06-03 | Boehringer Ingelheim Pharma Gmbh & Co. Kg | Neue Xanthinderivate, deren Herstellung und deren Verwendung als Arzneimittel |
| SE0300119D0 (sv) | 2003-01-17 | 2003-01-17 | Astrazeneca Ab | Novel compounds |
| KR20050092761A (ko) | 2003-01-17 | 2005-09-22 | 아스트라제네카 아베 | 티에노피리다지논 및 그들의 자가면역 질환 조절 용도 |
| WO2004072029A2 (en) * | 2003-02-06 | 2004-08-26 | Vertex Pharmaceuticals Incorporated | Pyrazolopyridazines useful as inhibitors of protein kinases |
| DE10327439A1 (de) * | 2003-06-18 | 2005-01-05 | Boehringer Ingelheim Pharma Gmbh & Co. Kg | Neue Imidazopyridazinon- und Imidazopyridonderivate, deren Herstellung und deren Verwendung als Arzneimittel |
| US7566707B2 (en) | 2003-06-18 | 2009-07-28 | Boehringer Ingelheim International Gmbh | Imidazopyridazinone and imidazopyridone derivatives, the preparation thereof and their use as pharmaceutical compositions |
| EP1697744A1 (en) * | 2003-11-21 | 2006-09-06 | AstraZeneca AB | Screening method |
| DE10355304A1 (de) | 2003-11-27 | 2005-06-23 | Boehringer Ingelheim Pharma Gmbh & Co. Kg | Neue 8-(Piperazin-1-yl)-und 8-([1,4]Diazepan-1-yl)-xanthine, deren Herstellung und deren Verwendung als Arzneimittel |
| WO2005053695A1 (ja) * | 2003-12-04 | 2005-06-16 | Eisai Co., Ltd. | 多発性硬化症予防剤または治療剤 |
| US7501426B2 (en) | 2004-02-18 | 2009-03-10 | Boehringer Ingelheim International Gmbh | 8-[3-amino-piperidin-1-yl]-xanthines, their preparation and their use as pharmaceutical compositions |
| DE102004009039A1 (de) | 2004-02-23 | 2005-09-08 | Boehringer Ingelheim Pharma Gmbh & Co. Kg | 8-[3-Amino-piperidin-1-yl]-xanthine, deren Herstellung und Verwendung als Arzneimittel |
| US7393847B2 (en) | 2004-03-13 | 2008-07-01 | Boehringer Ingleheim International Gmbh | Imidazopyridazinediones, their preparation and their use as pharmaceutical compositions |
| US7179809B2 (en) * | 2004-04-10 | 2007-02-20 | Boehringer Ingelheim International Gmbh | 2-Amino-imidazo[4,5-d]pyridazin-4-ones, their preparation and their use as pharmaceutical compositions |
| US7439370B2 (en) | 2004-05-10 | 2008-10-21 | Boehringer Ingelheim International Gmbh | Imidazole derivatives, their preparation and their use as intermediates for the preparation of pharmaceutical compositions and pesticides |
| WO2006115509A2 (en) | 2004-06-24 | 2006-11-02 | Novartis Vaccines And Diagnostics Inc. | Small molecule immunopotentiators and assays for their detection |
| DE102004030502A1 (de) | 2004-06-24 | 2006-01-12 | Boehringer Ingelheim Pharma Gmbh & Co. Kg | Neue Imidazole und Triazole, deren Herstellung und Verwendung als Arzneimittel |
| DE102004043944A1 (de) | 2004-09-11 | 2006-03-30 | Boehringer Ingelheim Pharma Gmbh & Co. Kg | Neue 8-(3-Amino-piperidin-1-yl)-7-(but-2-inyl)-xanthine, deren Herstellung und deren Verwendung als Arzneimittel |
| DE102004044221A1 (de) | 2004-09-14 | 2006-03-16 | Boehringer Ingelheim Pharma Gmbh & Co. Kg | Neue 3-Methyl-7-butinyl-xanthine, deren Herstellung und deren Verwendung als Arzneimittel |
| DE102004054054A1 (de) | 2004-11-05 | 2006-05-11 | Boehringer Ingelheim Pharma Gmbh & Co. Kg | Verfahren zur Herstellung chiraler 8-(3-Amino-piperidin-1-yl)-xanthine |
| DE102005035891A1 (de) | 2005-07-30 | 2007-02-08 | Boehringer Ingelheim Pharma Gmbh & Co. Kg | 8-(3-Amino-piperidin-1-yl)-xanthine, deren Herstellung und deren Verwendung als Arzneimittel |
| EP1852108A1 (en) * | 2006-05-04 | 2007-11-07 | Boehringer Ingelheim Pharma GmbH & Co.KG | DPP IV inhibitor formulations |
| PE20080251A1 (es) | 2006-05-04 | 2008-04-25 | Boehringer Ingelheim Int | Usos de inhibidores de dpp iv |
| KR101452915B1 (ko) | 2006-05-04 | 2014-10-21 | 베링거 인겔하임 인터내셔날 게엠베하 | 다형태 |
| WO2008017670A1 (en) * | 2006-08-08 | 2008-02-14 | Boehringer Ingelheim International Gmbh | Pyrrolo [3, 2 -d] pyrimidines as dpp-iv inhibitors for the treatment of diabetes mellitus |
| NZ600126A (en) * | 2007-08-17 | 2013-12-20 | Boehringer Ingelheim Int | Purine derivatives for use in the treatment of fap-related diseases |
| PE20140960A1 (es) | 2008-04-03 | 2014-08-15 | Boehringer Ingelheim Int | Formulaciones que comprenden un inhibidor de dpp4 |
| PE20100156A1 (es) * | 2008-06-03 | 2010-02-23 | Boehringer Ingelheim Int | Tratamiento de nafld |
| KR20190016601A (ko) | 2008-08-06 | 2019-02-18 | 베링거 인겔하임 인터내셔날 게엠베하 | 메트포르민 요법이 부적합한 환자에서의 당뇨병 치료 |
| UY32030A (es) | 2008-08-06 | 2010-03-26 | Boehringer Ingelheim Int | "tratamiento para diabetes en pacientes inapropiados para terapia con metformina" |
| WO2010018217A2 (en) * | 2008-08-15 | 2010-02-18 | Boehringer Ingelheim International Gmbh | Organic compounds for wound healing |
| MX2011002558A (es) | 2008-09-10 | 2011-04-26 | Boehringer Ingelheim Int | Terapia de combinacion para el tratamiento de diabetes y estados relacionados. |
| US20200155558A1 (en) | 2018-11-20 | 2020-05-21 | Boehringer Ingelheim International Gmbh | Treatment for diabetes in patients with insufficient glycemic control despite therapy with an oral antidiabetic drug |
| AU2009331471B2 (en) | 2008-12-23 | 2015-09-03 | Boehringer Ingelheim International Gmbh | Salt forms of organic compound |
| AR074990A1 (es) | 2009-01-07 | 2011-03-02 | Boehringer Ingelheim Int | Tratamiento de diabetes en pacientes con un control glucemico inadecuado a pesar de la terapia con metformina |
| KR20120107080A (ko) | 2009-11-27 | 2012-09-28 | 베링거 인겔하임 인터내셔날 게엠베하 | 리나글립틴과 같은 dpp-iv 억제제를 사용한 유전자형 검사된 당뇨병 환자의 치료 |
| KR101927068B1 (ko) | 2010-05-05 | 2018-12-10 | 베링거 인겔하임 인터내셔날 게엠베하 | 체중 감소 치료에 후속하는 dpp-4 억제제에 의한 순차적 병용 요법 |
| KR20220025926A (ko) | 2010-06-24 | 2022-03-03 | 베링거 인겔하임 인터내셔날 게엠베하 | 당뇨병 요법 |
| AR083878A1 (es) | 2010-11-15 | 2013-03-27 | Boehringer Ingelheim Int | Terapia antidiabetica vasoprotectora y cardioprotectora, linagliptina, metodo de tratamiento |
| CN103781788B (zh) | 2011-07-15 | 2016-08-17 | 勃林格殷格翰国际有限公司 | 经取代的喹唑啉、其制备及其在药物组合物中的用途 |
| WO2013097052A1 (en) | 2011-12-30 | 2013-07-04 | Abbott Laboratories | Bromodomain inhibitors |
| US9555001B2 (en) | 2012-03-07 | 2017-01-31 | Boehringer Ingelheim International Gmbh | Pharmaceutical composition and uses thereof |
| WO2013171166A1 (en) | 2012-05-14 | 2013-11-21 | Boehringer Ingelheim International Gmbh | A xanthine derivative as dpp-4 inhibitor for use in the treatment of sirs and/or sepsis |
| JP6224084B2 (ja) | 2012-05-14 | 2017-11-01 | ベーリンガー インゲルハイム インターナショナル ゲゼルシャフト ミット ベシュレンクテル ハフツング | 糸球体上皮細胞関連障害及び/又はネフローゼ症候群の治療に用いるdpp−4阻害薬としてのキサンチン誘導体 |
| WO2013174767A1 (en) | 2012-05-24 | 2013-11-28 | Boehringer Ingelheim International Gmbh | A xanthine derivative as dpp -4 inhibitor for use in modifying food intake and regulating food preference |
| JP6615109B2 (ja) | 2014-02-28 | 2019-12-04 | ベーリンガー インゲルハイム インターナショナル ゲゼルシャフト ミット ベシュレンクテル ハフツング | Dpp−4阻害薬の医学的使用 |
| EP3442972B1 (en) | 2016-04-15 | 2020-03-04 | AbbVie Inc. | Bromodomain inhibitors |
| MX390363B (es) | 2016-06-10 | 2025-03-20 | Boehringer Ingelheim Int | Combinacion de linagliptina y metformina |
| GB202106872D0 (en) | 2021-05-13 | 2021-06-30 | Addex Pharmaceuticals Sa | Novel compounds |
| WO2023099648A1 (en) * | 2021-12-02 | 2023-06-08 | Astrazeneca Ab | Pyraolo- and triazolo-azinone compounds and their uses |
Family Cites Families (6)
| Publication number | Priority date | Publication date | Assignee | Title |
|---|---|---|---|---|
| FR1453897A (fr) * | 1965-06-16 | 1966-07-22 | Dérivés du thiophène et de thiéno pyridazines | |
| FR2478640A1 (fr) * | 1980-03-24 | 1981-09-25 | Sanofi Sa | Nouvelles thieno (2,3-d) pyridazinones-4 et thieno (2,3-d) pyridazinones-7, leur procede de preparation et leur therapeutique |
| WO1991012251A1 (fr) * | 1990-02-19 | 1991-08-22 | Chugai Seiyaku Kabushiki Kaisha | Nouveau compose heterocyclique condense et agent anti-asthme prepare a partir de ce compose |
| TW245719B (zh) * | 1990-09-10 | 1995-04-21 | Sterling Winthrop Inc | |
| TW279162B (zh) * | 1991-09-26 | 1996-06-21 | Mitsubishi Chem Corp | |
| US5753664A (en) * | 1995-03-16 | 1998-05-19 | Takeda Chemical Industries, Ltd. | Heterocyclic compounds, their production and use |
-
1998
- 1998-12-01 CN CN98813493A patent/CN1284079A/zh active Pending
- 1998-12-01 EE EEP200000318A patent/EE200000318A/xx unknown
- 1998-12-01 PL PL98340836A patent/PL340836A1/xx not_active Application Discontinuation
- 1998-12-01 CA CA002312419A patent/CA2312419A1/en not_active Abandoned
- 1998-12-01 BR BR9813373-0A patent/BR9813373A/pt not_active Application Discontinuation
- 1998-12-01 IL IL13649998A patent/IL136499A0/xx unknown
- 1998-12-01 NZ NZ504452A patent/NZ504452A/en unknown
- 1998-12-01 EP EP98962754A patent/EP1036076B1/en not_active Expired - Lifetime
- 1998-12-01 TR TR2000/01603T patent/TR200001603T2/xx unknown
- 1998-12-01 SK SK840-2000A patent/SK8402000A3/sk unknown
- 1998-12-01 AT AT98962754T patent/ATE223413T1/de not_active IP Right Cessation
- 1998-12-01 JP JP2000524288A patent/JP2001525413A/ja not_active Withdrawn
- 1998-12-01 AU AU17916/99A patent/AU1791699A/en not_active Abandoned
- 1998-12-01 MX MXPA00005506A patent/MXPA00005506A/es not_active Application Discontinuation
- 1998-12-01 HU HU0100280A patent/HUP0100280A3/hu unknown
- 1998-12-01 KR KR1020007006064A patent/KR20010032769A/ko not_active Withdrawn
- 1998-12-01 ID IDW20001021D patent/ID25628A/id unknown
- 1998-12-01 DE DE69807741T patent/DE69807741T2/de not_active Expired - Fee Related
- 1998-12-01 WO PCT/SE1998/002191 patent/WO1999029695A1/en not_active Ceased
-
1999
- 1999-01-12 US US09/214,755 patent/US6342601B1/en not_active Expired - Fee Related
-
2000
- 2000-05-31 NO NO20002788A patent/NO20002788L/no not_active Application Discontinuation
-
2001
- 2001-12-10 US US10/006,244 patent/US6770646B2/en not_active Expired - Fee Related
Cited By (2)
| Publication number | Priority date | Publication date | Assignee | Title |
|---|---|---|---|---|
| CN100358900C (zh) * | 2003-01-17 | 2008-01-02 | 阿斯利康(瑞典)有限公司 | 新化合物 |
| CN105358561A (zh) * | 2013-03-13 | 2016-02-24 | 艾伯维德国有限责任两合公司 | 磷酸二酯酶10a型的新型抑制剂化合物 |
Also Published As
| Publication number | Publication date |
|---|---|
| HUP0100280A2 (hu) | 2001-10-28 |
| MXPA00005506A (es) | 2008-09-11 |
| WO1999029695A1 (en) | 1999-06-17 |
| DE69807741T2 (de) | 2004-07-15 |
| ID25628A (id) | 2000-10-19 |
| AU1791699A (en) | 1999-06-28 |
| TR200001603T2 (tr) | 2000-10-23 |
| EP1036076A1 (en) | 2000-09-20 |
| DE69807741D1 (de) | 2002-10-10 |
| US6342601B1 (en) | 2002-01-29 |
| IL136499A0 (en) | 2001-06-14 |
| NZ504452A (en) | 2002-05-31 |
| BR9813373A (pt) | 2000-10-03 |
| JP2001525413A (ja) | 2001-12-11 |
| US6770646B2 (en) | 2004-08-03 |
| KR20010032769A (ko) | 2001-04-25 |
| CA2312419A1 (en) | 1999-06-17 |
| NO20002788D0 (no) | 2000-05-31 |
| PL340836A1 (en) | 2001-02-26 |
| EE200000318A (et) | 2001-08-15 |
| EP1036076B1 (en) | 2002-09-04 |
| ATE223413T1 (de) | 2002-09-15 |
| SK8402000A3 (en) | 2001-03-12 |
| NO20002788L (no) | 2000-08-01 |
| HUP0100280A3 (en) | 2003-03-28 |
| US20020099055A1 (en) | 2002-07-25 |
Similar Documents
| Publication | Publication Date | Title |
|---|---|---|
| CN1284079A (zh) | 新化合物 | |
| JP4650419B2 (ja) | ピラジン誘導体およびその医薬的使用 | |
| US8648200B2 (en) | Imidazole derivatives useful for the treatment of arthritis | |
| AU2009279089B2 (en) | Cyclohexyl amide derivatives and their use as CRF-1 receptor antagonists | |
| TWI332004B (en) | Pyrrolopyridazine derivatives | |
| JP2001520645A (ja) | 新規な化合物 | |
| JP6964576B2 (ja) | 置換4−アザインドール及びglun2b受容体調節因子としてのそれらの使用 | |
| JP4589298B2 (ja) | 新規化合物 | |
| JP7368365B2 (ja) | P300/cbp hat阻害剤及びそれらの使用の方法 | |
| WO2007116866A1 (ja) | ヘテロ化合物 | |
| DE60205101T2 (de) | Imidazopyrimidin - derivate als liganden für gaba-rezeptoren | |
| CN101970405A (zh) | 吲哚及其治疗用途 | |
| US6900215B2 (en) | Imidazo-pyrimidine derivatives as ligands for gaba receptors | |
| CN1246119A (zh) | 吡咯并[3,4-d]-嘧啶酮衍生物及其作为药物的用途 | |
| EP2094664A2 (en) | A new process for the preparation of montelukast | |
| JP2002510333A (ja) | 1,5−ジフェニルピラゾール誘導体 | |
| US10383850B2 (en) | Indazole and indole derivatives as inhibitors of retinoic acid related orphan receptor gamma (ROR gamma) for the treatment of immune-related diseases | |
| JP2006515880A (ja) | 自己免疫疾患の調節におけるチエノピリダジノンとその使用 | |
| CN120917018A (zh) | 新的氮杂双环衍生物和包含其的用于抑制自分泌运动因子的药物组合物 | |
| JPWO1998056785A1 (ja) | ピラゾール誘導体 |
Legal Events
| Date | Code | Title | Description |
|---|---|---|---|
| C06 | Publication | ||
| PB01 | Publication | ||
| C10 | Entry into substantive examination | ||
| SE01 | Entry into force of request for substantive examination | ||
| C02 | Deemed withdrawal of patent application after publication (patent law 2001) | ||
| WD01 | Invention patent application deemed withdrawn after publication |





































