CN116312420A - Method and system for RGB-based adaptive panning head-up display screen - Google Patents
Method and system for RGB-based adaptive panning head-up display screen Download PDFInfo
- Publication number
- CN116312420A CN116312420A CN202211305743.0A CN202211305743A CN116312420A CN 116312420 A CN116312420 A CN 116312420A CN 202211305743 A CN202211305743 A CN 202211305743A CN 116312420 A CN116312420 A CN 116312420A
- Authority
- CN
- China
- Prior art keywords
- translation
- delta
- equal
- calculation
- display
- Prior art date
- Legal status (The legal status is an assumption and is not a legal conclusion. Google has not performed a legal analysis and makes no representation as to the accuracy of the status listed.)
- Pending
Links
Images
Classifications
-
- G—PHYSICS
- G09—EDUCATION; CRYPTOGRAPHY; DISPLAY; ADVERTISING; SEALS
- G09G—ARRANGEMENTS OR CIRCUITS FOR CONTROL OF INDICATING DEVICES USING STATIC MEANS TO PRESENT VARIABLE INFORMATION
- G09G5/00—Control arrangements or circuits for visual indicators common to cathode-ray tube indicators and other visual indicators
- G09G5/22—Control arrangements or circuits for visual indicators common to cathode-ray tube indicators and other visual indicators characterised by the display of characters or indicia using display control signals derived from coded signals representing the characters or indicia, e.g. with a character-code memory
- G09G5/32—Control arrangements or circuits for visual indicators common to cathode-ray tube indicators and other visual indicators characterised by the display of characters or indicia using display control signals derived from coded signals representing the characters or indicia, e.g. with a character-code memory with means for controlling the display position
-
- G—PHYSICS
- G09—EDUCATION; CRYPTOGRAPHY; DISPLAY; ADVERTISING; SEALS
- G09G—ARRANGEMENTS OR CIRCUITS FOR CONTROL OF INDICATING DEVICES USING STATIC MEANS TO PRESENT VARIABLE INFORMATION
- G09G2300/00—Aspects of the constitution of display devices
- G09G2300/04—Structural and physical details of display devices
- G09G2300/0439—Pixel structures
-
- Y—GENERAL TAGGING OF NEW TECHNOLOGICAL DEVELOPMENTS; GENERAL TAGGING OF CROSS-SECTIONAL TECHNOLOGIES SPANNING OVER SEVERAL SECTIONS OF THE IPC; TECHNICAL SUBJECTS COVERED BY FORMER USPC CROSS-REFERENCE ART COLLECTIONS [XRACs] AND DIGESTS
- Y02—TECHNOLOGIES OR APPLICATIONS FOR MITIGATION OR ADAPTATION AGAINST CLIMATE CHANGE
- Y02D—CLIMATE CHANGE MITIGATION TECHNOLOGIES IN INFORMATION AND COMMUNICATION TECHNOLOGIES [ICT], I.E. INFORMATION AND COMMUNICATION TECHNOLOGIES AIMING AT THE REDUCTION OF THEIR OWN ENERGY USE
- Y02D10/00—Energy efficient computing, e.g. low power processors, power management or thermal management
Landscapes
- Engineering & Computer Science (AREA)
- Physics & Mathematics (AREA)
- Computer Hardware Design (AREA)
- General Physics & Mathematics (AREA)
- Theoretical Computer Science (AREA)
- Image Processing (AREA)
Abstract
Description
技术领域technical field
本发明属大视场数字平显画面处理领域,具体涉及一种基于RGB的自适应平移平显画面的方法及系统。The invention belongs to the field of large-field digital head-up display screen processing, and in particular relates to a method and system for adaptively shifting head-up display screens based on RGB.
背景技术Background technique
大视场数字平显包含电子部件和光学部件,电子部件用于产生平显符号画面,光学部件将电子部件的符号画面准直显示在用户的正前方。为了保证平显的显示精度,尤其对于瞄准显示类平显,平显电子部件产生的符号画面的中心应与光学部件的中心重合。传统的方法是通过严格控制平显零件的加工精度和装配精度来保证,随着平显应用领域和交付量的增大,传统的方法已无法满足。The large field of view digital head-up display includes electronic components and optical components. The electronic components are used to generate the symbol picture of the head-up display. The optical component collimates and displays the symbol picture of the electronic component in front of the user. In order to ensure the display accuracy of the head-up display, especially for the aiming display type head-up display, the center of the symbol picture generated by the electronic part of the head-up display should coincide with the center of the optical part. The traditional method is to strictly control the machining accuracy and assembly accuracy of the HUD parts. With the increase of the HUD application field and delivery volume, the traditional method can no longer be satisfied.
发明内容Contents of the invention
为了克服现有技术的不足,本发明提供一种基于RGB的自适应平移平显画面的方法及系统。通过将水平和俯仰的偏差写入存储器中,结合平显画面的布局特点,基于FPGA调整畸变校正的起始点的位置在不增加运算量和延时的情况下,实现了平显零件加工和装配误差的自适应补偿,可以增加平显零件加工和装配的余度,进一步降低成本。In order to overcome the deficiencies of the prior art, the present invention provides a method and system for adaptively panning head-up display images based on RGB. By writing the horizontal and pitch deviations into the memory, combined with the layout characteristics of the head-up display screen, the position of the starting point of the distortion correction is adjusted based on the FPGA, and the processing and assembly of the head-up display parts are realized without increasing the amount of calculation and delay. The self-adaptive compensation of errors can increase the processing and assembly margin of HUD parts and further reduce the cost.
一种基于RGB的自适应平移平显画面的方法,其特征在于步骤如下:A kind of method based on RGB adaptive translation head-up display picture, it is characterized in that the steps are as follows:
步骤1:输入平移参数并存储,其中,每一组平移参数包括方位方向的偏移△x、俯仰方向的偏移△y和校验值,△x和△y的最高位代表平移的方向,检验值为△x和△y相加后的低8位;Step 1: Input and store the translation parameters. Each set of translation parameters includes the offset △x in the azimuth direction, the offset △y in the pitch direction and the check value. The highest bit of △x and △y represents the direction of translation. The test value is the lower 8 bits after the addition of △x and △y;
步骤2:由第一组开始读取平移参数,并判断校验值是否正确,如果正确,根据△x和△y的最高位判断平移方向,并进行画面的平移校正,具体为:Step 2: Start to read the translation parameters from the first group, and judge whether the verification value is correct. If it is correct, judge the translation direction according to the highest bit of △x and △y, and perform the translation correction of the screen, specifically:
a)如果△x和△y的最高位均等于1,说明均为正向,按以下公式进行平移计算:a) If the highest bits of △x and △y are both equal to 1, it means that they are both positive, and the translation calculation is performed according to the following formula:
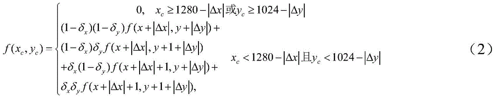
其中,f(xc,yc)表示平移后画面中对应的行数为xc、列数为yc的像素点的灰度值,δx表示X方向插值权重,0≤δx≤1,δy表示Y方向插值权重,0≤δy≤1,(x,y)表示像素点(xc,yc)对应的在平移前输入图像中的坐标;|△x|表示△x除去最高位后的值,|△y|表示△y除去最高位后的值;所述的正向是指与视频扫描方向相同,负向是指与视频扫描方向相反;Among them, f(x c , y c ) represents the gray value of the corresponding pixel in the screen whose number of rows is x c and column number is y c after translation, δ x represents the interpolation weight in the X direction, 0≤δ x ≤1 , δ y represents the interpolation weight in the Y direction, 0≤δ y ≤1, (x, y) represents the coordinates of the pixel point (x c , y c ) corresponding to the input image before translation; |△x| represents △x removal The value after the highest bit, |△y| means the value of △y after removing the highest bit; the positive direction refers to the same direction as the video scanning direction, and the negative direction refers to the opposite direction to the video scanning direction;
b)如果△x和△y的最高位均等于0,说明均为负向,按以下公式进行平移计算:b) If the highest bits of △x and △y are both equal to 0, it means that they are both negative, and the translation calculation is performed according to the following formula:
c)如果△x的最高位等于1、△y的最高位等于0,说明△x为正向和△y为负向,按以下公式进行平移计算:c) If the highest bit of △x is equal to 1 and the highest bit of △y is equal to 0, it means that △x is positive and △y is negative, and the translation calculation is performed according to the following formula:
d)如果△x的最高位等于0、△y的最高位等于1,说明△x为负向和△y为正向,按以下公式进行平移计算:d) If the highest bit of △x is equal to 0 and the highest bit of △y is equal to 1, it means that △x is negative and △y is positive, and the translation calculation is performed according to the following formula:
如果两组平移参数的校验值均有误,则上报平移参数错误,不进行画面平移;If the verification values of the two sets of translation parameters are all wrong, the translation parameter error will be reported, and the screen translation will not be performed;
步骤3:将输入画面中心点的蓝色通道赋值为255,其他像素点赋值为0,采用步骤2的方法进行平移计算,其中的δx和δy的值设为1,然后,检测平移计算后蓝色通道值为255的像素点坐标,如果其坐标与存储的中心点坐标之差等于偏移(△x,△y),则认定平移结果计算正确,否则,对下一帧输入画面执行此步骤;如果连续6帧输入画面采用本步骤方法计算得到的平移结果均不正确,则上报平移参数错误。Step 3: Assign the blue channel of the center point of the input screen to 255, and assign the other pixels to 0, and use the method in step 2 to perform translation calculation, where the values of δ x and δ y are set to 1, and then, detect the translation calculation If the coordinate of the pixel point whose blue channel value is 255 is equal to the offset (△x,△y) between its coordinate and the stored center point coordinate, it is considered that the translation result is calculated correctly, otherwise, execute the next frame input screen This step; if the translation results calculated by the method of this step are all incorrect for 6 consecutive frames of input images, report a translation parameter error.
本发明还提供一种基于RGB的自适应平移平显画面系统,其特征在于包括:RS422信号隔离采集电路、单片机最小系统、存储器、FPGA最小系统1、FPGA最小系统2、像源显示单元和调测设备;其中,调测设备用于装调测试时输入平移参数和A818视频,平移参数通过RS422信号隔离采集电路输入后,单片机将其存入存储器中,单片机读取存储器中的平移参数后发送给FPGA最小系统2,FPGA最小系统1将输入A818视频转换为DVI格式后发送给FPGA最小系统2,FPGA最小系统2根据平移参数进行画面平移校正,将经过平移校正后的画面转换为RGB格式输出给像源进行显示。The present invention also provides a RGB-based adaptive translation head-up display system, which is characterized in that it includes: RS422 signal isolation acquisition circuit, single-chip microcomputer minimum system, memory, FPGA minimum system 1, FPGA minimum system 2, image source display unit and adjustment The testing equipment; among them, the debugging equipment is used to input the translation parameters and A818 video during the installation test. After the translation parameters are input through the RS422 signal isolation acquisition circuit, the single-chip microcomputer stores them in the memory, and the single-chip microcomputer reads the translation parameters in the memory and sends them For FPGA minimum system 2, FPGA minimum system 1 converts the input A818 video into DVI format and sends it to FPGA minimum system 2, FPGA minimum system 2 performs screen translation correction according to the translation parameters, and converts the image after translation correction to RGB format for output Display the image source.
本发明的有益效果是:由于采用直接将平移的算法内嵌入畸变校正过程中的方式,减小延时的同时节约了硬件资源;由于在平移的同时进行平移正确性验证处理,能够保证平移的正确性。本发明在不增加运算量和延时的情况下,能够实现平显画面的自适应平移校正,可以增加平显零件加工和装配的余度,进一步降低成本。The beneficial effects of the present invention are: because the method of directly embedding the translation algorithm into the distortion correction process is adopted, the delay is reduced and hardware resources are saved at the same time; since the translation correctness verification process is performed at the same time as the translation, the accuracy of the translation can be guaranteed. correctness. The invention can realize the adaptive translation correction of the head-up display screen without increasing the amount of calculation and delay, can increase the processing and assembly margin of the head-up display parts, and further reduce the cost.
附图说明Description of drawings
图1是本发明的一种基于RGB的自适应平移平显画面系统构成示意图;Fig. 1 is a kind of RGB-based self-adaptive pan HUD picture system composition schematic diagram of the present invention;
图2是RS422信号隔离采集电路示意图。Figure 2 is a schematic diagram of the RS422 signal isolation acquisition circuit.
具体实施方式Detailed ways
下面结合附图和实施例对本发明进一步说明,本发明包括但不仅限于下述实施例。The present invention will be further described below in conjunction with the accompanying drawings and embodiments, and the present invention includes but not limited to the following embodiments.
本发明提供了一种基于RGB的自适应平移平显画面的方法及系统,其中,系统构成如图1所示,包括:RS422信号隔离采集电路、单片机最小系统、存储器、FPGA最小系统1、FPGA最小系统2、像源显示单元和调测设备。The present invention provides a method and system for RGB-based self-adaptive panning head-up display screen, wherein, the system composition is as shown in Figure 1, including: RS422 signal isolation acquisition circuit, single-chip microcomputer minimum system, memory, FPGA minimum system 1, FPGA Minimum system 2, image source display unit and commissioning equipment.
调测设备用于装调测试时输入平移参数和ARINC818视频,平移参数通过RS422信号隔离采集电路输入后,单片机将其存入存储器中,单片机读取存储器中的平移参数后发送给FPGA最小系统2,FPGA最小系统1将输入ARINC818视频转换为DVI格式后发送给FPGA最小系统2,FPGA最小系统2根据平移参数进行画面平移校正,将经过平移校正后的画面转换为RGB格式输出给像源进行显示。The commissioning equipment is used to input translation parameters and ARINC818 video during installation and test. After the translation parameters are input through the RS422 signal isolation acquisition circuit, the single-chip microcomputer stores them in the memory, and the single-chip microcomputer reads the translation parameters in the memory and sends them to the FPGA minimum system 2 , FPGA minimum system 1 converts the input ARINC818 video into DVI format and sends it to FPGA minimum system 2. FPGA minimum system 2 performs screen translation correction according to the translation parameters, and converts the translation-corrected picture into RGB format and outputs it to the image source for display .
其中,RS422信号隔离采集电路的具体实现方式如图2所示,包含TVS管(V1-V6)、电阻(R1-R4)、电容(C1-C4)和共模电感(L1-L2),能够有效避免雷击等异常电应力对电路的损坏。与调测设备间采用RS422通信协议(图中TX是发送,RX是接收,分别包括发送正和发送负、接收正和接收负)。具体实施时,TVS管可采用Littelfuse厂家的SMCJ5.0CA、电阻阻值采用10Ω、电容的容值采用100pf。Among them, the specific implementation of the RS422 signal isolation acquisition circuit is shown in Figure 2, including TVS tubes (V1-V6), resistors (R1-R4), capacitors (C1-C4) and common-mode inductors (L1-L2), which can Effectively avoid damage to the circuit caused by abnormal electrical stress such as lightning strikes. The RS422 communication protocol is used with the commissioning equipment (TX in the figure is sending, RX is receiving, including sending positive and sending negative, receiving positive and receiving negative respectively). In specific implementation, the TVS tube can be SMCJ5.0CA manufactured by Littelfuse, the resistance value of the resistor is 10Ω, and the capacitance of the capacitor is 100pf.
基于RGB的自适应平移平显画面的方法的具体过程如下:The concrete process of the method for the adaptive translation head-up display screen based on RGB is as follows:
步骤1:输入平移参数并存储,其中,每一组平移参数包括方位方向的偏移△x、俯仰方向的偏移△y和校验值,△x和△y的最高位代表平移的方向,检验值为△x和△y相加后的低8位。Step 1: Input and store the translation parameters. Each set of translation parameters includes the offset △x in the azimuth direction, the offset △y in the pitch direction and the check value. The highest bit of △x and △y represents the direction of translation. The check value is the lower 8 bits after the addition of △x and △y.
步骤2:单片机读取存储器中的平移参数,由第一组开始,并判断校验值是否正确,校验方法为依据与存储方法相同的校验方法对第一组参数进行校验,若读取的参数校验值与计算的校验值一致,采用第一组参数进行平移。若读取的参数校验值与计算的校验值不一致,而读取的第二组参数校验值与计算的校验值一致,则采取第二组参数进行平移。若两组校验值均不一致,则通过RS422信号隔离采集电路上报平移参数错误,不进行画面平移。Step 2: The MCU reads the translation parameters in the memory, starting from the first group, and judges whether the verification value is correct. The verification method is to verify the first group of parameters according to the same verification method as the storage method. If read The parameter verification value obtained is consistent with the calculated verification value, and the first set of parameters is used for translation. If the read parameter check value is inconsistent with the calculated check value, and the read second set of parameter check values is consistent with the calculated check value, the second set of parameters is used for translation. If the two sets of verification values are inconsistent, the translation parameter error will be reported through the RS422 signal isolation acquisition circuit, and the screen translation will not be performed.
平移校正过程是根据△x和△y的最高位判断平移方向,并进行平移校正,本发明将平移算法内嵌入畸变校正过程中,FPGA最小系统2接收到平移参数后,依据△x和△y最高位判断平移的方向,并进行平移校正计算。具体为:The translation correction process is to judge the translation direction according to the highest bits of △x and △y, and perform translation correction. The present invention embeds the translation algorithm into the distortion correction process. After the FPGA minimum system 2 receives the translation parameters, according to △x and △y The highest bit judges the direction of translation and performs translation correction calculation. Specifically:
a)如果△x和△y的最高位均等于1,说明均为正向,按以下公式进行平移计算:a) If the highest bits of △x and △y are both equal to 1, it means that they are both positive, and the translation calculation is performed according to the following formula:
其中,f(xc,yc)表示平移后画面中对应的行数为xc、列数为yc的像素点的灰度值,δx表示X方向插值权重,0≤δx≤1,δy表示Y方向插值权重,0≤δy≤1,(x,y)表示像素点(xc,yc)对应的在平移前输入图像中的坐标,由具体产品光学系统决定;|△x|表示△x除去最高位后的值,|△y|表示△y除去最高位后的值;所述的正向是指与视频扫描方向相同,负向是指与视频扫描方向相反;Among them, f(x c , y c ) represents the gray value of the corresponding pixel in the screen whose number of rows is x c and column number is y c after translation, δ x represents the interpolation weight in the X direction, 0≤δ x ≤1 , δ y represents the interpolation weight in the Y direction, 0≤δ y ≤1, (x, y) represents the coordinates of the pixel point (x c , y c ) corresponding to the input image before translation, which is determined by the specific product optical system; | △x| indicates the value of △x after removing the highest bit, |△y| indicates the value of △y after removing the highest bit; the positive direction refers to the same direction as the video scanning direction, and the negative direction refers to the opposite direction to the video scanning direction;
b)如果△x和△y的最高位均等于0,说明均为负向,按以下公式进行平移计算:b) If the highest bits of △x and △y are both equal to 0, it means that they are both negative, and the translation calculation is performed according to the following formula:
c)如果△x的最高位等于1、△y的最高位等于0,说明△x为正向和△y为负向,按以下公式进行平移计算:c) If the highest bit of △x is equal to 1 and the highest bit of △y is equal to 0, it means that △x is positive and △y is negative, and the translation calculation is performed according to the following formula:
d)如果△x的最高位等于0、△y的最高位等于1,说明△x为负向和△y为正向,按以下公式进行平移计算:d) If the highest bit of △x is equal to 0 and the highest bit of △y is equal to 1, it means that △x is negative and △y is positive, and the translation calculation is performed according to the following formula:
步骤3:为了保证平移过程的正确性,本发明实现了一种对平移过程正确性的监控方法。机上设备间传输视频信号目前常用的是ARINC818格式,平显接收到ARINC818视频后需要对其进行视频格式转换,FPGA最小系统1转换为DVI格式后输入给FPGA最小系统2,同时常用机载平显均为单色平显,仅显示DVI视频中的绿色(G)通道。Step 3: In order to ensure the correctness of the translation process, the present invention implements a monitoring method for the correctness of the translation process. Currently, the ARINC818 format is commonly used to transmit video signals between on-board devices. After receiving the ARINC818 video, the head-up display needs to convert the video format. After the FPGA minimum system 1 is converted to DVI format, it is input to the FPGA minimum system 2. At the same time, the airborne head-up display is commonly used Both are monochrome HUDs, only displaying the green (G) channel in DVI video.
本发明的平移监控方法为FPGA最小系统1在视频格式转换时,将输入画面中心点的蓝色通道赋值为255,其它点灰度值赋值为0,采用步骤2的方法进行平移计算,其中的δx和δy的值设为1,然后,检测平移计算后蓝色通道值为255的像素点坐标,设为(xB,yB),如果(xB,yB)与存储的中心点坐标(xc,yc)满足xB-xc=△x、yB-yc=△y,则认定平移结果计算正确,否则,对下一帧输入画面执行此步骤;如果连续6帧输入画面采用本步骤方法计算得到的平移结果均不正确,则上报平移参数错误。Translation monitoring method of the present invention is FPGA minimum system 1 when video format conversion, the blue channel assignment value of input picture center point is 255, other point gray value assignment value is 0, adopts the method for step 2 to carry out translation calculation, wherein The values of δ x and δ y are set to 1, and then, the coordinates of the pixel point whose blue channel value is 255 after the detection translation calculation is set to (x B , y B ), if (x B , y B ) and the stored center Point coordinates (x c , y c ) satisfy x B -x c =△x, y B -y c =△y, then it is determined that the calculation of the translation result is correct; otherwise, execute this step for the next frame input screen; if 6 consecutive If none of the translation results calculated by the method in this step are correct for the frame input screen, a translation parameter error will be reported.
Claims (2)
Priority Applications (1)
| Application Number | Priority Date | Filing Date | Title |
|---|---|---|---|
| CN202211305743.0A CN116312420A (en) | 2022-10-24 | 2022-10-24 | Method and system for RGB-based adaptive panning head-up display screen |
Applications Claiming Priority (1)
| Application Number | Priority Date | Filing Date | Title |
|---|---|---|---|
| CN202211305743.0A CN116312420A (en) | 2022-10-24 | 2022-10-24 | Method and system for RGB-based adaptive panning head-up display screen |
Publications (1)
| Publication Number | Publication Date |
|---|---|
| CN116312420A true CN116312420A (en) | 2023-06-23 |
Family
ID=86787518
Family Applications (1)
| Application Number | Title | Priority Date | Filing Date |
|---|---|---|---|
| CN202211305743.0A Pending CN116312420A (en) | 2022-10-24 | 2022-10-24 | Method and system for RGB-based adaptive panning head-up display screen |
Country Status (1)
| Country | Link |
|---|---|
| CN (1) | CN116312420A (en) |
Citations (14)
| Publication number | Priority date | Publication date | Assignee | Title |
|---|---|---|---|---|
| JP2006330772A (en) * | 2005-05-23 | 2006-12-07 | Hitachi Zosen Corp | Distortion correction method for captured images |
| JP2011061444A (en) * | 2009-09-09 | 2011-03-24 | Hitachi Information & Communication Engineering Ltd | Aberration correction device and method |
| CN104296732A (en) * | 2013-11-29 | 2015-01-21 | 中国航空工业集团公司洛阳电光设备研究所 | Automatic boresight method for lifting type head-up display |
| CN104657940A (en) * | 2013-11-22 | 2015-05-27 | 中兴通讯股份有限公司 | Method and device for correction remediation and analysis alarm of distorted image |
| CN107650799A (en) * | 2017-09-27 | 2018-02-02 | 京东方科技集团股份有限公司 | A kind of head-up display, head-up display system and its display methods, automobile |
| US20180108150A1 (en) * | 2016-10-17 | 2018-04-19 | Dsi Assignments, Llc | Systems and methods for in-field stereocamera calibration |
| CN110400266A (en) * | 2019-06-13 | 2019-11-01 | 北京小米移动软件有限公司 | Method and device for image correction, and storage medium |
| CN111372055A (en) * | 2020-03-25 | 2020-07-03 | 东风汽车集团有限公司 | Vehicle bottom image display system and method |
| CN112946891A (en) * | 2019-11-26 | 2021-06-11 | 通用汽车环球科技运作有限责任公司 | Head-up display image acquisition and correction |
| CN112991237A (en) * | 2021-05-20 | 2021-06-18 | 南京芯驰半导体科技有限公司 | Image deformity correction system and method |
| CN113132714A (en) * | 2019-12-31 | 2021-07-16 | 精工爱普生株式会社 | Circuit device, electronic apparatus, and moving object |
| US20210312665A1 (en) * | 2020-12-24 | 2021-10-07 | Apollo Intelligent Connectivity (Beijing) Technology Co., Ltd. | Image projection method, apparatus, device and storage medium |
| CN114693532A (en) * | 2020-12-28 | 2022-07-01 | 富泰华工业(深圳)有限公司 | Image correction method and related equipment |
| CN115022541A (en) * | 2022-05-30 | 2022-09-06 | Oppo广东移动通信有限公司 | Video distortion correction method and apparatus, computer readable medium and electronic device |
-
2022
- 2022-10-24 CN CN202211305743.0A patent/CN116312420A/en active Pending
Patent Citations (14)
| Publication number | Priority date | Publication date | Assignee | Title |
|---|---|---|---|---|
| JP2006330772A (en) * | 2005-05-23 | 2006-12-07 | Hitachi Zosen Corp | Distortion correction method for captured images |
| JP2011061444A (en) * | 2009-09-09 | 2011-03-24 | Hitachi Information & Communication Engineering Ltd | Aberration correction device and method |
| CN104657940A (en) * | 2013-11-22 | 2015-05-27 | 中兴通讯股份有限公司 | Method and device for correction remediation and analysis alarm of distorted image |
| CN104296732A (en) * | 2013-11-29 | 2015-01-21 | 中国航空工业集团公司洛阳电光设备研究所 | Automatic boresight method for lifting type head-up display |
| US20180108150A1 (en) * | 2016-10-17 | 2018-04-19 | Dsi Assignments, Llc | Systems and methods for in-field stereocamera calibration |
| CN107650799A (en) * | 2017-09-27 | 2018-02-02 | 京东方科技集团股份有限公司 | A kind of head-up display, head-up display system and its display methods, automobile |
| CN110400266A (en) * | 2019-06-13 | 2019-11-01 | 北京小米移动软件有限公司 | Method and device for image correction, and storage medium |
| CN112946891A (en) * | 2019-11-26 | 2021-06-11 | 通用汽车环球科技运作有限责任公司 | Head-up display image acquisition and correction |
| CN113132714A (en) * | 2019-12-31 | 2021-07-16 | 精工爱普生株式会社 | Circuit device, electronic apparatus, and moving object |
| CN111372055A (en) * | 2020-03-25 | 2020-07-03 | 东风汽车集团有限公司 | Vehicle bottom image display system and method |
| US20210312665A1 (en) * | 2020-12-24 | 2021-10-07 | Apollo Intelligent Connectivity (Beijing) Technology Co., Ltd. | Image projection method, apparatus, device and storage medium |
| CN114693532A (en) * | 2020-12-28 | 2022-07-01 | 富泰华工业(深圳)有限公司 | Image correction method and related equipment |
| CN112991237A (en) * | 2021-05-20 | 2021-06-18 | 南京芯驰半导体科技有限公司 | Image deformity correction system and method |
| CN115022541A (en) * | 2022-05-30 | 2022-09-06 | Oppo广东移动通信有限公司 | Video distortion correction method and apparatus, computer readable medium and electronic device |
Non-Patent Citations (1)
| Title |
|---|
| 张则源: "某型平视显示器检测仪的研制", 工程科技Ⅱ辑, 19 December 2018 (2018-12-19), pages 62 - 65 * |
Similar Documents
| Publication | Publication Date | Title |
|---|---|---|
| US10832625B2 (en) | Gray scale adjustment method and device for display panel | |
| US10964241B2 (en) | Mura correction system | |
| US8000559B2 (en) | Method of correcting image distortion and apparatus for processing image using the method | |
| US8896705B2 (en) | Measuring device and associated method for measuring response speed of display panel | |
| JP5734617B2 (en) | Video data processing apparatus, display system, and processing method | |
| US20100128053A1 (en) | Method of calcuating correction value and display device | |
| CN114359055B (en) | Image splicing method and related device for multi-camera shooting screen body | |
| US20200211442A1 (en) | Mura correction driver | |
| CN110796979B (en) | Driving method and driving device of display panel | |
| US20090231256A1 (en) | Digital gamma correction system and method | |
| US9001274B2 (en) | Image processing method | |
| EP2194714B1 (en) | Method for detection of film mode or camera mode | |
| CN102265628B (en) | Method for detecting and correcting bad pixels in image sensor | |
| CN103037241B (en) | Automatic test system of reproduction rate | |
| CN106960653A (en) | A kind of module color spot prosthetic device and method | |
| CN110113591B (en) | White Balance Adjustment System | |
| KR20110016154A (en) | Color correction method of display device using camera module | |
| TW201501115A (en) | Correcting system and correcting method for display device | |
| CN116312420A (en) | Method and system for RGB-based adaptive panning head-up display screen | |
| CN103618858A (en) | Color correction method and device for mobile terminal camera | |
| US20170193958A1 (en) | Drive circuit and method for improving display effect of lcd, and liquid crystal display device | |
| CN107645634A (en) | A kind of undistorted wide angle network video camera and safety defense monitoring system | |
| CN106686363B (en) | Signal mixed processing method and device in display terminal | |
| CN116434721A (en) | Screen color cast correction method, device, terminal equipment and storage medium | |
| US8390738B2 (en) | Video apparatus and method of measuring jitter/wander |
Legal Events
| Date | Code | Title | Description |
|---|---|---|---|
| PB01 | Publication | ||
| PB01 | Publication | ||
| SE01 | Entry into force of request for substantive examination | ||
| SE01 | Entry into force of request for substantive examination |











