CN116170485A - Intelligent park building optimization regulation and control method and system integrating broadband PLC with wireless communication - Google Patents
Intelligent park building optimization regulation and control method and system integrating broadband PLC with wireless communication Download PDFInfo
- Publication number
- CN116170485A CN116170485A CN202310410220.0A CN202310410220A CN116170485A CN 116170485 A CN116170485 A CN 116170485A CN 202310410220 A CN202310410220 A CN 202310410220A CN 116170485 A CN116170485 A CN 116170485A
- Authority
- CN
- China
- Prior art keywords
- energy consumption
- building
- data transmission
- regulation
- representing
- Prior art date
- Legal status (The legal status is an assumption and is not a legal conclusion. Google has not performed a legal analysis and makes no representation as to the accuracy of the status listed.)
- Pending
Links
- 238000004891 communication Methods 0.000 title claims abstract description 86
- 238000005457 optimization Methods 0.000 title claims abstract description 57
- 238000000034 method Methods 0.000 title claims abstract description 20
- 230000005540 biological transmission Effects 0.000 claims abstract description 86
- 238000005265 energy consumption Methods 0.000 claims abstract description 84
- 239000002245 particle Substances 0.000 claims description 107
- 238000010438 heat treatment Methods 0.000 claims description 30
- 238000005286 illumination Methods 0.000 claims description 13
- 238000010521 absorption reaction Methods 0.000 claims description 6
- 238000002834 transmittance Methods 0.000 claims description 6
- 238000010276 construction Methods 0.000 claims description 4
- 230000007547 defect Effects 0.000 abstract description 3
- 230000002068 genetic effect Effects 0.000 description 8
- 230000005587 bubbling Effects 0.000 description 2
- 238000004364 calculation method Methods 0.000 description 2
- 238000011161 development Methods 0.000 description 2
- 238000005516 engineering process Methods 0.000 description 2
- 230000008569 process Effects 0.000 description 2
- 238000012163 sequencing technique Methods 0.000 description 2
- 101100045709 Aspergillus terreus (strain NIH 2624 / FGSC A1156) terG gene Proteins 0.000 description 1
- 230000001133 acceleration Effects 0.000 description 1
- 230000009286 beneficial effect Effects 0.000 description 1
- 230000002349 favourable effect Effects 0.000 description 1
- 238000012986 modification Methods 0.000 description 1
- 230000004048 modification Effects 0.000 description 1
- 238000012544 monitoring process Methods 0.000 description 1
- 230000006855 networking Effects 0.000 description 1
- 230000000750 progressive effect Effects 0.000 description 1
Images
Classifications
-
- H—ELECTRICITY
- H04—ELECTRIC COMMUNICATION TECHNIQUE
- H04L—TRANSMISSION OF DIGITAL INFORMATION, e.g. TELEGRAPHIC COMMUNICATION
- H04L67/00—Network arrangements or protocols for supporting network services or applications
- H04L67/01—Protocols
- H04L67/12—Protocols specially adapted for proprietary or special-purpose networking environments, e.g. medical networks, sensor networks, networks in vehicles or remote metering networks
- H04L67/125—Protocols specially adapted for proprietary or special-purpose networking environments, e.g. medical networks, sensor networks, networks in vehicles or remote metering networks involving control of end-device applications over a network
-
- G—PHYSICS
- G08—SIGNALLING
- G08C—TRANSMISSION SYSTEMS FOR MEASURED VALUES, CONTROL OR SIMILAR SIGNALS
- G08C17/00—Arrangements for transmitting signals characterised by the use of a wireless electrical link
- G08C17/02—Arrangements for transmitting signals characterised by the use of a wireless electrical link using a radio link
-
- H—ELECTRICITY
- H04—ELECTRIC COMMUNICATION TECHNIQUE
- H04B—TRANSMISSION
- H04B3/00—Line transmission systems
- H04B3/54—Systems for transmission via power distribution lines
- H04B3/546—Combination of signalling, telemetering, protection
-
- Y—GENERAL TAGGING OF NEW TECHNOLOGICAL DEVELOPMENTS; GENERAL TAGGING OF CROSS-SECTIONAL TECHNOLOGIES SPANNING OVER SEVERAL SECTIONS OF THE IPC; TECHNICAL SUBJECTS COVERED BY FORMER USPC CROSS-REFERENCE ART COLLECTIONS [XRACs] AND DIGESTS
- Y02—TECHNOLOGIES OR APPLICATIONS FOR MITIGATION OR ADAPTATION AGAINST CLIMATE CHANGE
- Y02D—CLIMATE CHANGE MITIGATION TECHNOLOGIES IN INFORMATION AND COMMUNICATION TECHNOLOGIES [ICT], I.E. INFORMATION AND COMMUNICATION TECHNOLOGIES AIMING AT THE REDUCTION OF THEIR OWN ENERGY USE
- Y02D30/00—Reducing energy consumption in communication networks
- Y02D30/70—Reducing energy consumption in communication networks in wireless communication networks
Landscapes
- Engineering & Computer Science (AREA)
- Computer Networks & Wireless Communication (AREA)
- Signal Processing (AREA)
- Health & Medical Sciences (AREA)
- Computing Systems (AREA)
- General Health & Medical Sciences (AREA)
- Medical Informatics (AREA)
- Physics & Mathematics (AREA)
- General Physics & Mathematics (AREA)
- Power Engineering (AREA)
- Feedback Control In General (AREA)
Abstract
The invention discloses a method and a system for intelligent park building optimization regulation and control by integrating broadband PLC (programmable logic controller) with wireless communication, wherein a multistage communication structure is formed by mutually matching a wireless transmission network, a communication base point and a regulation and control center, so that the communication is ensured to be effective and timely, all stages are combined, defect complementation can be effectively carried out, and the problems that management systems are not communicated, are not compatible, data are difficult to share and cannot be uniformly managed through the regulation and control center are solved; and building energy consumption models are built based on the energy consumption characteristics of the building and the working parameters of the energy consumption equipment, the working parameters in the building energy consumption models are optimized through an energy iterative optimization algorithm to obtain optimal working parameters, and intelligent optimization regulation and control of the energy consumption equipment of the building are realized through the optimal working parameters.
Description
Technical Field
The invention belongs to the technical field of building communication and energy optimization regulation and control, and particularly relates to an intelligent park building optimization regulation and control method and system integrating broadband PLC (programmable logic controller) with wireless communication.
Background
Along with the rapid development of information technologies represented by the Internet of things, cloud computing, big data and the like, the development of the building industry is also greatly influenced, the building industry is also developed towards networking, intelligent and humanization, and intelligent buildings, green buildings and energy-saving buildings become great trends; however, conventional campus and building management systems have the following problems:
the traditional management system is generally composed of a plurality of subsystems, each subsystem is provided with an independent management platform and a data center, the management systems are not communicated and compatible, data are difficult to share, and unified management cannot be carried out through a regulation and control center;
moreover, the traditional management system does not perform targeted optimization and control on energy consumption equipment of a building, so that the running state of the energy consumption equipment in the building cannot be improved, and further the practical running requirement of the system is difficult to meet due to the fact that the day-ahead optimal scheduling result is caused, and the economical efficiency and the safety of the energy consumption equipment in the running process cannot be effectively guaranteed.
Disclosure of Invention
Aiming at the defects of the prior art, the application provides a method and a system for intelligent park building optimization regulation and control by integrating broadband PLC with wireless communication.
In a first aspect, the application provides an intelligent park building optimization regulation and control method for integrating broadband PLC with wireless communication, which comprises the following steps:
setting up communication base points for all building systems under the park by taking the park main end as a regulation center, and establishing data transmission through a wireless data transmission network;
transmitting the collected working parameters of the energy consumption equipment in the building system to the regulation and control center through a wireless data transmission network based on a communication base point;
the regulation and control center builds a building energy consumption model through the working parameters and the energy consumption characteristics corresponding to the building system, and optimizes the building energy consumption model by using an energy iterative optimization algorithm to obtain optimal working parameters;
and the regulation and control center transmits the optimal working parameters to the communication base point through a wireless data transmission network, and the building system optimally adjusts energy consumption equipment through the optimal working parameters received by the communication base point, so that the intelligent park building optimization regulation and control management is realized.
In some optional implementations of some embodiments, the setting up a communication base point with the campus master as a regulation center for all building systems in the campus, and setting up data transmission through a wireless data transmission network includes:
setting a communication base point in a corresponding area of the building system, receiving a data transmission signal through the communication base point, and sending the data transmission signal to the regulation and control center;
identifying the received data transmission signals based on the regulation and control center, encoding the data transmission signals into area signals, and transmitting the encoded area signals to communication base points of corresponding buildings through a wireless data transmission network;
the communication base point receives the area signal, modulates the area signal through a power carrier modulator and sends the modulated area signal to a corresponding power carrier modem;
the power carrier modem is connected with a coordinator through a serial port;
and receiving the regional signal through the power carrier modem, transmitting the regional signal to the coordinator, and transmitting the regional signal to energy consumption equipment corresponding to the building system through the coordinator.
In some optional implementations of some embodiments, the communication-based base station transmits collected working parameters of energy consumption devices in the building system to the regulation center through a wireless data transmission network, where the working parameters include an air distribution rate and an air supply temperature;
collecting the air distribution rate through an air speed sensor;
and collecting the air supply temperature through a temperature sensor.
In some optional implementations of some embodiments, the building energy consumption model is constructed by the regulation center through the working parameters and the corresponding energy consumption characteristics of the building system, including:
building energy consumption models:
representing the heat capacity of a wall>All node sets representing wall neighbors +.>Representing the temperature of node p;representing the temperature of the wall;Representing the thermal resistance between node y and node p;Representing the heat absorption rate of the wall;representing the surface area of the wall;Representing the illumination intensity corresponding to the wall body;Representing the heat capacity of the heating area;Room temperature representing the heating area;Representing all nodes adjacent to a y-th heating area;Representing the corresponding air distribution rate of the representative wind speed sensor;The air supply temperature corresponding to the temperature sensor is represented;Represents the specific heat capacity of the air in the heating area;represents the thermal resistance of the window between nodes y and p, ">Indicating the transmittance of the window;Represents window surface area;indicating the heating of the internal heat source;And the illumination intensity corresponding to the window is represented.
In some optional implementations of some embodiments, the optimizing the building energy consumption model using an energy iterative optimization algorithm to obtain the optimal operating parameters includes:
carrying out algorithm initialization;
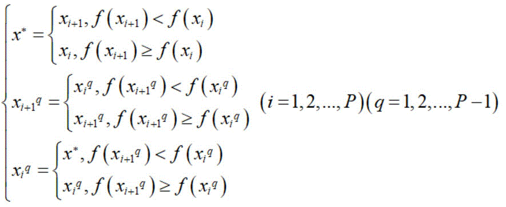
taking the working parameters of energy consumption equipment in a building energy consumption model as each dimension component of a particle swarm in an energy iterative optimization algorithm, calculating a particle fitness value, and adjusting an equalization factor to offset deviation caused by unbalanced working parameter quantity according to particles with inconsistent working parameter quantity;
finding an individual extremum by comparing the fitness with the fitness of the historical optimal individual particles;
obtaining local optimum by comparing the fitness with adjacent particles;
updating the particle speed and position, and evaluating the fitness of the updated particles;
outputting an optimal solution according to a preset iteration termination condition;
and outputting the optimal solution to obtain the iterative optimal working parameters.
The second aspect of the application provides an intelligent park building optimization regulation and control system integrating broadband PLC with wireless communication, which comprises a data transmission module, a parameter acquisition module, a parameter optimization module and an optimization regulation and control module;
the data transmission module is used for setting up communication base points for all building systems under the park by taking the park main end as a regulation center, and establishing data transmission through a wireless data transmission network;
the parameter acquisition module is used for transmitting the acquired working parameters of the energy consumption equipment in the building system to the regulation and control center through a wireless data transmission network based on a communication base point;
the parameter optimization module is used for constructing a building energy consumption model by the regulation and control center through the working parameters and the energy consumption characteristics corresponding to the building system, and optimizing the building energy consumption model by using an energy iterative optimization algorithm to obtain optimal working parameters;
the optimizing regulation and control module is used for transmitting the optimal working parameters to the communication base point through the wireless data transmission network based on the regulation and control center, and the building system optimally adjusts the energy consumption equipment through the optimal working parameters received by the communication base point, so that the intelligent park building optimizing regulation and control management is realized.
In some optional implementations of some embodiments, the parameter acquisition module includes a wind speed acquisition unit and a temperature acquisition unit;
the wind speed acquisition unit is used for acquiring the wind distribution rate through a wind speed sensor;
the temperature acquisition unit is used for acquiring the air supply temperature through the temperature sensor.
In some optional implementations of some embodiments, the data transmission module includes a communication setup unit, an encoding unit, a signal demodulation unit, a communication connection unit, and a data transmission unit;
the communication establishing unit is used for setting a communication base point in a corresponding area of the building system, receiving a data transmission signal through the communication base point and sending the data transmission signal to the regulation and control center;
the coding unit is used for identifying the received data transmission signals based on the regulation and control center, coding the data transmission signals into area signals, and sending the coded area signals to communication base points of corresponding buildings through a wireless data transmission network;
the signal demodulation unit is used for modulating the area signal through the power carrier modulator after the communication base point receives the area signal, and sending the modulated area signal to the corresponding power carrier modem;
the communication connection unit is used for connecting the power carrier modem with the coordinator in a serial port manner;
the data transmission unit is configured to receive the area signal through the power carrier modem, send the area signal to the coordinator, and send the area signal to energy consumption equipment corresponding to the building system through the coordinator.
In some optional implementations of some embodiments, the parameter optimization module includes a model building unit;
the model construction unit is used for constructing a building energy consumption model:
representing the heat capacity of a wall>All node sets representing wall neighbors +.>Representing the temperature of node p;representing the temperature of the wall;Representing the thermal resistance between node y and node p;Representing the heat absorption rate of the wall;representing the surface area of the wall;Representing the illumination intensity corresponding to the wall body;Representing the heat capacity of the heating area;Room temperature representing the heating area;Representing all nodes adjacent to a y-th heating area;Representing the corresponding air distribution rate of the representative wind speed sensor;The air supply temperature corresponding to the temperature sensor is represented;Represents the specific heat capacity of the air in the heating area;represents the thermal resistance of the window between nodes y and p, ">Display windowIs a light transmittance of (a);Represents window surface area;indicating the heating of the internal heat source;And the illumination intensity corresponding to the window is represented.
In some optional implementations of some embodiments, the parameter optimization module further comprises an optimization unit;
the optimization unit is used for carrying out algorithm initialization, taking the working parameters of energy consumption equipment in a building energy consumption model as each dimensional component of a particle swarm in an energy iterative optimization algorithm, calculating a particle fitness value, adjusting an equalization factor to offset deviation caused by unbalanced quantity of the working parameters according to particles with inconsistent quantity of the working parameters, finding an individual extremum through comparison with the fitness of historical optimal individual particles, obtaining local best through comparison with adjacent particles, updating particle speed and position, evaluating the fitness of the updated particles, outputting an optimal solution according to preset termination iteration conditions, and obtaining the iterative optimal working parameters.
The invention has the beneficial effects that:
the wireless transmission network, the communication base point and the regulation and control center are mutually matched to form a multi-stage communication structure, so that the communication is ensured to be effective and timely, all stages are combined, the defect complementation can be effectively carried out, and the problems that management systems are not mutually communicated and are not compatible, data are difficult to share and unified management cannot be carried out through the regulation and control center are solved; and building energy consumption models are built based on the energy consumption characteristics of the building and the working parameters of the energy consumption equipment, the working parameters in the building energy consumption models are optimized through an energy iterative optimization algorithm to obtain optimal working parameters, and intelligent optimization regulation and control of the energy consumption equipment of the building are realized through the optimal working parameters.
Drawings
Fig. 1 is a general flow chart of the present invention.
Fig. 2 is a schematic flow chart of step 5.
Fig. 3 is a schematic flow chart of step 8.
Fig. 4 is a flow chart of step 9.
Detailed Description
Exemplary embodiments of the present disclosure will be described in more detail below with reference to the accompanying drawings. While exemplary embodiments of the present disclosure are shown in the drawings, it should be understood that the present disclosure may be embodied in various forms and should not be limited to the embodiments set forth herein; rather, these embodiments are provided so that this disclosure will be thorough and complete, and will fully convey the scope of the disclosure to those skilled in the art.
In a first aspect, the application provides an intelligent park building optimization regulation method for integrating broadband PLC into wireless communication, as shown in fig. 1, comprising the following steps of S100-S400;
s100: setting up communication base points for all building systems under the park by taking the park main end as a regulation center, and establishing data transmission through a wireless data transmission network;
in some optional implementations of some embodiments, the setting up a communication base point with the campus master as a regulation center for all building systems in the campus, and setting up data transmission through a wireless data transmission network includes:
setting a communication base point in a corresponding area of the building system, receiving a data transmission signal through the communication base point, and sending the data transmission signal to the regulation and control center;
identifying the received data transmission signals based on the regulation and control center, encoding the data transmission signals into area signals, and transmitting the encoded area signals to communication base points of corresponding buildings through a wireless data transmission network;
the wireless transmission network may use existing technologies such as: 2.4G, 433M, GPRS, NB-lOT, 5G, etc.; further, the data transmission signals are identified, and the building area and the specific function to which the data transmission signals belong are judged; building areas refer to buildings to which the data transmission signals are sent, and different numbers are adopted among the buildings to mark, so that the buildings are convenient to distinguish; the specific functions are as follows: the system comprises a plurality of functions such as video monitoring, environment sensing, service facility remote control, illumination regulation and control, parameter acquisition, parameter transmission and the like, and the functions are marked by different marks; the area signal is composed of area code and function code plus data transmission signal;
the communication base point receives the area signal, modulates the area signal through a power carrier modulator and sends the modulated area signal to a corresponding power carrier modem;
the power carrier modem is connected with a coordinator through a serial port;
and receiving the regional signal through the power carrier modem, transmitting the regional signal to the coordinator, and transmitting the regional signal to energy consumption equipment corresponding to the building system through the coordinator.
The coordinator adopts a Zigbee coordinator, the Zigbee coordinator is installed in each specific area, such as a room and a corridor, in the building, and an independent terminal wireless network is formed by the Zigbee coordinator and functional equipment, so that the terminal wireless network can be limited in a range, the influence among the terminal wireless networks is reduced, the propagation loss can be reduced by matching with a PLC, and the signal to noise ratio is improved.
S200: transmitting the collected working parameters of the energy consumption equipment in the building system to the regulation and control center through a wireless data transmission network based on a communication base point;
in some optional implementations of some embodiments, the communication-based base station transmits collected working parameters of energy consumption devices in the building system to the regulation center through a wireless data transmission network, where the working parameters include an air distribution rate and an air supply temperature;
collecting the air distribution rate through an air speed sensor;
and collecting the air supply temperature through a temperature sensor.
S300: the regulation and control center builds a building energy consumption model through the working parameters and the energy consumption characteristics corresponding to the building system, and optimizes the building energy consumption model by using an energy iterative optimization algorithm to obtain optimal working parameters;
in some optional implementations of some embodiments, the building energy consumption model is constructed by the regulation center through the working parameters and the corresponding energy consumption characteristics of the building system, including:
building energy consumption models:
representing the heat capacity of a wall>All node sets representing wall neighbors +.>Representing the temperature of node p;representing the temperature of the wall;Representing the thermal resistance between node y and node p;Representing the heat absorption rate of the wall;representing the surface area of the wall;Representing the illumination intensity corresponding to the wall body;Representing the heat capacity of the heating area;Room temperature representing the heating area;Representing all nodes adjacent to a y-th heating area;Representing the corresponding air distribution rate of the representative wind speed sensor;The air supply temperature corresponding to the temperature sensor is represented;Represents the specific heat capacity of the air in the heating area;represents the thermal resistance of the window between nodes y and p, ">Indicating the transmittance of the window;Represents window surface area;indicating the heating of the internal heat source;And the illumination intensity corresponding to the window is represented.
In some optional implementations of some embodiments, the optimizing the building energy consumption model using an energy iterative optimization algorithm to obtain the optimal operating parameters includes:
carrying out algorithm initialization;
initializing particle positions, speeds, individual particle extrema, particle optimization-genetic algorithm and iteration times of the genetic algorithm according to actual working parameters acquired from energy consumption equipment;
further, the particle position, velocity are initialized:
initializing the iteration number of a particle optimization-genetic algorithm (hereinafter abbreviated as APSO-GA algorithm) and a genetic algorithm (hereinafter abbreviated as GA algorithm):
wherein i represents the number of particles, i-th particle; j represents a particle dimension number, represents a particle j-th dimension vector, defines actual working parameters collected in energy consumption equipment, including air distribution rate and air supply temperature, as each dimension component in a particle group, and j can represent the air distribution rate and the air supply temperature in the working parameters; rand (1) represents [0, 1 ]]Random numbers uniformly distributed among the random numbers; p (P) besti Indicating individual optima for the ith particle; i terP Representing the iteration times of the APSO-GA algorithm; i terG Representing the iteration times of the GA algorithm;
taking the working parameters of energy consumption equipment in a building energy consumption model as each dimension component of a particle swarm in an energy iterative optimization algorithm, calculating a particle fitness value, and adjusting an equalization factor to offset deviation caused by unbalanced working parameter quantity according to particles with inconsistent working parameter quantity;
evaluating all particle fitness, including obtaining particle fitness and determining whether particles are updated;
further, it is necessary to obtain the particle fitness first:
the fitness function f is used for quantitatively evaluating the quality of the given particles, and is related to the function to be realized, in this embodiment, the fitness function f is used for representing the calculation of the optimal working parameter (i.e., optimal solution), D represents the particle dimension, i.e., the number of independent variables, j in this embodiment represents the working parameter of the energy consumption device, i.e., j can be defined as the air distribution rate and the air supply temperature, in this embodiment, D includes two independent variables of the air distribution rate and the air supply temperature, so d=2;
step 1: finding an individual extremum by comparing the fitness with the fitness of the historical optimal individual particles;
nu represents the number of particle updating times in the APSO particle ring, and is used for judging whether all particles are updated;
further, by comparing with the optimal fitness of the historical individuals, the individual maximum (or minimum) values of all particles are found, and the maximum or minimum selection is related to the setting of the fitness function and the function to be realized. The following takes the minimum values as examples:
wherein, the initial value of the particle serial number i is set to be 1 to prepare for the particle update,,representing the j-th dimension vector of particle I at I terP Position in the iteration, ++>Representing the j-th dimension vector of particle I at I terP Speed in the second iteration;
step 2: obtaining local optimum by comparing the fitness with adjacent particles;
and comparing the fitness of the ith particle with that of the adjacent particles to obtain the local best. Wherein the method comprises the steps ofRepresenting the individual extremum of the updated particle:
Wherein P is i Taking one particle about the particle i as a neighborhood of the particle i in the algorithm; l (L) besti Indicating the local best of the i-th particle.
Updating the particle speed and position, and evaluating the fitness of the updated particles;
step 3: updating particle velocity and position;
update speed:
wherein the method comprises the steps ofIs [0, 1]Random numbers uniformly distributed among the random numbers; c 1 、c 2 Is an acceleration coefficient;The inertial factor, which is used for updating the particle velocity, is as follows:
update particle update times: nu=nu+1, i terPmax Represents the maximum value of the iterative times of the algorithm, is used for terminating the iteration, and has the value range of [100,4000 ]];Representing the minimum value of the inertia factor, wherein the value is 0.4;The maximum value of the inertia factor is represented, and the value is 0.9. The inertia factor represents the influence of the velocity of the particles of the previous generation on the velocity of the particles of the current generation, greater +.>The global searching is facilitated, the local extremum is jumped out, and the local optimum is not trapped; while a smaller ∈>The method is favorable for local search, and the algorithm can be quickly converged to the optimal solution.
Step 4: evaluating the fitness of the updated particles;
and performing fitness calculation by adopting the i-th particle after updating, wherein the updated particle is individually optimal and is used for updating the next particle.
Further, the method also comprises the step 5: judging whether all particles in the ring are updated, and if the particles are not updated, returning to the step 2;
as shown in fig. 2, the particles in the algorithm are arranged in a ring, and if there are particles that are not updated, the process returns to step 2.
Step 6: if all particles are updated, selecting an optimal individual, and performing cross operation in a genetic algorithm;
if all in the ringAnd if the particles are updated, selecting an optimal individual, and performing cross operation in a genetic algorithm. Assuming that the selected particle position is x i ’ Selecting the number of individuals as M, and then:
in order to select individuals with smaller fitness, an bubbling method is adopted to carry out progressive ranking on the fitness of all particles of the population P:
wherein q represents the bubbling sequencing traversal times, namely the circulation times of the inertia factor formula in the step 3, the inertia factor formula in the step 3 is required to be circulated for P-1 times to finish sequencing of all particles, and after the selected individual is circulated for P-1 times, the individual serial number is 1~M particles; x is x * Representing a position assistance parameter for ordering of particles.
wherein x is i ’ To represent the position of the particles selected in step 6, for refinement of the genetic algorithm; x is x i q Representing the position of the ith particle after the qth traversal in the sorting; m represents the individual number of particles selected for refinement.
Step 7: after the crossover operation, selecting particles with smaller fitness to be reserved:
after the crossover operation, selecting particles with smaller fitness to be reserved for the next iteration:
crossover operation:
wherein x is i(i+1) For the sub-particles generated by the crossing,
particle selection:
outputting an optimal solution according to a preset iteration termination condition;
step 8: judging whether the current iteration times are ended or not by comparing the current iteration times with the maximum iteration times of the genetic algorithm;
wherein, as shown in FIG. 3, whether the iteration is terminated or not is judged by comparing the current iteration number with the GA maximum iteration number, I terGmax -maximum number of iterations of the genetic algorithm for terminating the iterations of the genetic algorithm, the value being 6.
Step 9: judging whether the particle optimization-genetic algorithm is terminated, if so, inputting the optimal particles, namely the optimal air distribution rate and air supply temperature, and taking the current air distribution rate and air supply temperature as the optimal working parameters.
The optimized particles are put back into the rest particles of the population P, and are reordered to be used for the next iteration of APSO:
as shown in fig. 4, whether the termination is judged by comparing the current iteration number with the maximum iteration number of the APSO-GA: and finally outputting optimal x which is an optimal particle, namely a solution of optimal dimension of the air distribution rate and the air supply temperature, and representing the optimal air distribution rate and the optimal air supply temperature.
And outputting the optimal solution to obtain the iterative optimal working parameters.
S400: and the regulation and control center transmits the optimal working parameters to the communication base point through a wireless data transmission network, and the building system optimally adjusts energy consumption equipment through the optimal working parameters received by the communication base point, so that the intelligent park building optimization regulation and control management is realized.
After obtaining the optimal working parameters, the regulation and control center transmits the optimal working parameters to energy consumption equipment corresponding to each building through the established communication connection via the communication base points, and the energy consumption equipment performs parameter configuration according to the optimal working parameters, so that the intelligent park building optimization regulation and control management is realized.
The second aspect of the application provides an intelligent park building optimization regulation and control system integrating broadband PLC with wireless communication, which comprises a data transmission module, a parameter acquisition module, a parameter optimization module and an optimization regulation and control module;
the data transmission module is used for setting up communication base points for all building systems under the park by taking the park main end as a regulation center, and establishing data transmission through a wireless data transmission network;
the parameter acquisition module is used for transmitting the acquired working parameters of the energy consumption equipment in the building system to the regulation and control center through a wireless data transmission network based on a communication base point;
in some optional implementations of some embodiments, the parameter acquisition module includes a wind speed acquisition unit and a temperature acquisition unit;
the wind speed acquisition unit is used for acquiring the wind distribution rate through a wind speed sensor;
the temperature acquisition unit is used for acquiring the air supply temperature through the temperature sensor.
The parameter optimization module is used for constructing a building energy consumption model by the regulation and control center through the working parameters and the energy consumption characteristics corresponding to the building system, and optimizing the building energy consumption model by using an energy iterative optimization algorithm to obtain optimal working parameters;
in some optional implementations of some embodiments, the data transmission module includes a communication setup unit, an encoding unit, a signal demodulation unit, a communication connection unit, and a data transmission unit;
the communication establishing unit is used for setting a communication base point in a corresponding area of the building system, receiving a data transmission signal through the communication base point and sending the data transmission signal to the regulation and control center;
the coding unit is used for identifying the received data transmission signals based on the regulation and control center, coding the data transmission signals into area signals, and sending the coded area signals to communication base points of corresponding buildings through a wireless data transmission network;
the signal demodulation unit is used for modulating the area signal through the power carrier modulator after the communication base point receives the area signal, and sending the modulated area signal to the corresponding power carrier modem;
the communication connection unit is used for connecting the power carrier modem with the coordinator in a serial port manner;
the data transmission unit is configured to receive the area signal through the power carrier modem, send the area signal to the coordinator, and send the area signal to energy consumption equipment corresponding to the building system through the coordinator.
In some optional implementations of some embodiments, the parameter optimization module includes a model building unit;
the model construction unit is used for constructing a building energy consumption model:
representing the heat capacity of a wall>All node sets representing wall neighbors +.>Representing the temperature of node p;representing the temperature of the wall;Representing the thermal resistance between node y and node p;Representing the heat absorption rate of the wall;representing the surface area of the wall;Representing the illumination intensity corresponding to the wall body;Representing the heat capacity of the heating area;Room temperature representing the heating area;Representing all nodes adjacent to a y-th heating area;Representing the corresponding air distribution rate of the representative wind speed sensor;The air supply temperature corresponding to the temperature sensor is represented;Represents the specific heat capacity of the air in the heating area;represents the thermal resistance of the window between nodes y and p, ">Indicating the transmittance of the window;Represents window surface area;indicating the heating of the internal heat source;And the illumination intensity corresponding to the window is represented.
In some optional implementations of some embodiments, the parameter optimization module further comprises an optimization unit;
the optimization unit is used for carrying out algorithm initialization, taking the working parameters of energy consumption equipment in a building energy consumption model as each dimensional component of a particle swarm in an energy iterative optimization algorithm, calculating a particle fitness value, adjusting an equalization factor to offset deviation caused by unbalanced quantity of the working parameters according to particles with inconsistent quantity of the working parameters, finding an individual extremum through comparison with the fitness of historical optimal individual particles, obtaining local best through comparison with adjacent particles, updating particle speed and position, evaluating the fitness of the updated particles, outputting an optimal solution according to preset termination iteration conditions, and obtaining the iterative optimal working parameters.
The optimizing regulation and control module is used for transmitting the optimal working parameters to the communication base point through the wireless data transmission network based on the regulation and control center, and the building system optimally adjusts the energy consumption equipment through the optimal working parameters received by the communication base point, so that the intelligent park building optimizing regulation and control management is realized.
The foregoing is merely a preferred embodiment of the present invention, and it should be noted that modifications and improvements made by those skilled in the art without departing from the present technical solution shall be considered as falling within the scope of the claims.
Claims (10)
1. The intelligent park building optimization regulation and control method based on broadband PLC converged wireless communication is characterized in that: the method comprises the following steps:
setting up communication base points for all building systems under the park by taking the park main end as a regulation center, and establishing data transmission through a wireless data transmission network;
transmitting the collected working parameters of the energy consumption equipment in the building system to the regulation and control center through a wireless data transmission network based on a communication base point;
the regulation and control center builds a building energy consumption model through the working parameters and the energy consumption characteristics corresponding to the building system, and optimizes the building energy consumption model by using an energy iterative optimization algorithm to obtain optimal working parameters;
and the regulation and control center transmits the optimal working parameters to the communication base point through a wireless data transmission network, and the building system optimally adjusts energy consumption equipment through the optimal working parameters received by the communication base point, so that the intelligent park building optimization regulation and control management is realized.
2. The method according to claim 1, characterized in that: the communication base point is set up by using the park master end as a control center in all building systems in the park, and data transmission is established through a wireless data transmission network, comprising the following steps:
setting a communication base point in a corresponding area of the building system, receiving a data transmission signal through the communication base point, and sending the data transmission signal to the regulation and control center;
identifying the received data transmission signals based on the regulation and control center, encoding the data transmission signals into area signals, and transmitting the encoded area signals to communication base points of corresponding buildings through a wireless data transmission network;
the communication base point receives the area signal, modulates the area signal through a power carrier modulator and sends the modulated area signal to a corresponding power carrier modem;
the power carrier modem is connected with a coordinator through a serial port;
and receiving the regional signal through the power carrier modem, transmitting the regional signal to the coordinator, and transmitting the regional signal to energy consumption equipment corresponding to the building system through the coordinator.
3. The method according to claim 2, characterized in that: the communication base station transmits the collected working parameters of the energy consumption equipment in the building system to the regulation and control center through a wireless data transmission network, wherein the working parameters comprise air distribution rate and air supply temperature;
collecting the air distribution rate through an air speed sensor;
and collecting the air supply temperature through a temperature sensor.
4. A method according to claim 3, characterized in that: the regulation and control center builds a building energy consumption model through the working parameters and the energy consumption characteristics corresponding to the building system, and the regulation and control center comprises:
building energy consumption models:
representing the heat capacity of a wall>All node sets representing wall neighbors +.>Representing the temperature of node p;Representing the temperature of the wall;Representing the thermal resistance between node y and node p;Representing the heat absorption rate of the wall;Representing the surface area of the wall;Representing the illumination intensity corresponding to the wall body;Representing the heat capacity of the heating area;Room temperature representing the heating area;Representing all nodes adjacent to a y-th heating area;Representing the corresponding air distribution rate of the representative wind speed sensor;The air supply temperature corresponding to the temperature sensor is represented;Represents the specific heat capacity of the air in the heating area;Represents the thermal resistance of the window between nodes y and p, ">Indicating the transmittance of the window;Represents window surface area;Indicating the heating of the internal heat source;And the illumination intensity corresponding to the window is represented.
5. The method according to claim 4, wherein: the optimizing the building energy consumption model by using the energy iterative optimization algorithm to obtain the optimal working parameters comprises the following steps:
carrying out algorithm initialization;
taking the working parameters of energy consumption equipment in a building energy consumption model as each dimension component of a particle swarm in an energy iterative optimization algorithm, calculating a particle fitness value, and adjusting an equalization factor to offset deviation caused by unbalanced working parameter quantity according to particles with inconsistent working parameter quantity;
finding an individual extremum by comparing the fitness with the fitness of the historical optimal individual particles;
obtaining local optimum by comparing the fitness with adjacent particles;
updating the particle speed and position, and evaluating the fitness of the updated particles;
outputting an optimal solution according to a preset iteration termination condition;
and outputting the optimal solution to obtain the iterative optimal working parameters.
6. Intelligent park building optimization regulation and control system integrating wireless communication through broadband PLC, and is characterized in that: the system comprises a data transmission module, a parameter acquisition module, a parameter optimization module and an optimization regulation module;
the data transmission module is used for setting up communication base points for all building systems under the park by taking the park main end as a regulation center, and establishing data transmission through a wireless data transmission network;
the parameter acquisition module is used for transmitting the acquired working parameters of the energy consumption equipment in the building system to the regulation and control center through a wireless data transmission network based on a communication base point;
the parameter optimization module is used for constructing a building energy consumption model by the regulation and control center through the working parameters and the energy consumption characteristics corresponding to the building system, and optimizing the building energy consumption model by using an energy iterative optimization algorithm to obtain optimal working parameters;
the optimizing regulation and control module is used for transmitting the optimal working parameters to the communication base point through the wireless data transmission network based on the regulation and control center, and the building system optimally adjusts the energy consumption equipment through the optimal working parameters received by the communication base point, so that the intelligent park building optimizing regulation and control management is realized.
7. The system according to claim 6, wherein: the parameter acquisition module comprises a wind speed acquisition unit and a temperature acquisition unit;
the wind speed acquisition unit is used for acquiring the wind distribution rate through a wind speed sensor;
the temperature acquisition unit is used for acquiring the air supply temperature through the temperature sensor.
8. The system according to claim 7, wherein: the data transmission module comprises a communication establishment unit, a coding unit, a signal demodulation unit, a communication connection unit and a data transmission unit;
the communication establishing unit is used for setting a communication base point in a corresponding area of the building system, receiving a data transmission signal through the communication base point and sending the data transmission signal to the regulation and control center;
the coding unit is used for identifying the received data transmission signals based on the regulation and control center, coding the data transmission signals into area signals, and sending the coded area signals to communication base points of corresponding buildings through a wireless data transmission network;
the signal demodulation unit is used for modulating the area signal through the power carrier modulator after the communication base point receives the area signal, and sending the modulated area signal to the corresponding power carrier modem;
the communication connection unit is used for connecting the power carrier modem with the coordinator in a serial port manner;
the data transmission unit is configured to receive the area signal through the power carrier modem, send the area signal to the coordinator, and send the area signal to energy consumption equipment corresponding to the building system through the coordinator.
9. The system according to claim 8, wherein: the parameter optimization module comprises a model construction unit;
the model construction unit is used for constructing a building energy consumption model:
representing the heat capacity of a wall>All node sets representing wall neighbors +.>Representing the temperature of node p;Representing the temperature of the wall;Representing the thermal resistance between node y and node p;Representing the heat absorption rate of the wall;Representing the surface area of the wall;Representing the illumination intensity corresponding to the wall body;Representing the heat capacity of the heating area;Room temperature representing the heating area;Representing all nodes adjacent to a y-th heating area;Representing the corresponding air distribution rate of the representative wind speed sensor;The air supply temperature corresponding to the temperature sensor is represented;Represents the specific heat capacity of the air in the heating area;Represents the thermal resistance of the window between nodes y and p, ">Indicating the transmittance of the window;Represents window surface area;Indicating the heating of the internal heat source;And the illumination intensity corresponding to the window is represented.
10. The system according to claim 9, wherein: the parameter optimization module further comprises an optimization unit;
the optimization unit is used for carrying out algorithm initialization, taking the working parameters of energy consumption equipment in a building energy consumption model as each dimensional component of a particle swarm in an energy iterative optimization algorithm, calculating a particle fitness value, adjusting an equalization factor to offset deviation caused by unbalanced quantity of the working parameters according to particles with inconsistent quantity of the working parameters, finding an individual extremum through comparison with the fitness of historical optimal individual particles, obtaining local best through comparison with adjacent particles, updating particle speed and position, evaluating the fitness of the updated particles, outputting an optimal solution according to preset termination iteration conditions, and obtaining the iterative optimal working parameters.
Priority Applications (1)
| Application Number | Priority Date | Filing Date | Title |
|---|---|---|---|
| CN202310410220.0A CN116170485A (en) | 2023-04-18 | 2023-04-18 | Intelligent park building optimization regulation and control method and system integrating broadband PLC with wireless communication |
Applications Claiming Priority (1)
| Application Number | Priority Date | Filing Date | Title |
|---|---|---|---|
| CN202310410220.0A CN116170485A (en) | 2023-04-18 | 2023-04-18 | Intelligent park building optimization regulation and control method and system integrating broadband PLC with wireless communication |
Publications (1)
| Publication Number | Publication Date |
|---|---|
| CN116170485A true CN116170485A (en) | 2023-05-26 |
Family
ID=86411734
Family Applications (1)
| Application Number | Title | Priority Date | Filing Date |
|---|---|---|---|
| CN202310410220.0A Pending CN116170485A (en) | 2023-04-18 | 2023-04-18 | Intelligent park building optimization regulation and control method and system integrating broadband PLC with wireless communication |
Country Status (1)
| Country | Link |
|---|---|
| CN (1) | CN116170485A (en) |
Citations (7)
| Publication number | Priority date | Publication date | Assignee | Title |
|---|---|---|---|---|
| US20180198680A1 (en) * | 2015-07-08 | 2018-07-12 | Convida Wireless, Llc | M2m clustering management |
| CN109270841A (en) * | 2018-10-11 | 2019-01-25 | 东北电力大学 | A kind of energy flexibility regulation method of the intelligent building based on Model Predictive Control |
| CN109740899A (en) * | 2018-12-25 | 2019-05-10 | 国网浙江省电力有限公司电力科学研究院 | A kind of multi-user multi-stage optimization dispatching method considering active distribution network |
| CN110225075A (en) * | 2019-03-25 | 2019-09-10 | 北京快电科技有限公司 | A kind of building energy internet wisdom operation cloud operating system |
| CN115052027A (en) * | 2022-08-16 | 2022-09-13 | 北京国芯能集成电路科技有限公司 | Comprehensive control system and method for intelligent park building with broadband PLC integrated with wireless transmission |
| CN115264768A (en) * | 2022-07-19 | 2022-11-01 | 上海蒙帕智能科技股份有限公司 | An energy-saving control method and system for building air conditioners based on the Internet of Things |
| CN115826542A (en) * | 2023-02-16 | 2023-03-21 | 北京网藤科技有限公司 | Intelligent production regulation and control system and method based on industrial Internet |
-
2023
- 2023-04-18 CN CN202310410220.0A patent/CN116170485A/en active Pending
Patent Citations (7)
| Publication number | Priority date | Publication date | Assignee | Title |
|---|---|---|---|---|
| US20180198680A1 (en) * | 2015-07-08 | 2018-07-12 | Convida Wireless, Llc | M2m clustering management |
| CN109270841A (en) * | 2018-10-11 | 2019-01-25 | 东北电力大学 | A kind of energy flexibility regulation method of the intelligent building based on Model Predictive Control |
| CN109740899A (en) * | 2018-12-25 | 2019-05-10 | 国网浙江省电力有限公司电力科学研究院 | A kind of multi-user multi-stage optimization dispatching method considering active distribution network |
| CN110225075A (en) * | 2019-03-25 | 2019-09-10 | 北京快电科技有限公司 | A kind of building energy internet wisdom operation cloud operating system |
| CN115264768A (en) * | 2022-07-19 | 2022-11-01 | 上海蒙帕智能科技股份有限公司 | An energy-saving control method and system for building air conditioners based on the Internet of Things |
| CN115052027A (en) * | 2022-08-16 | 2022-09-13 | 北京国芯能集成电路科技有限公司 | Comprehensive control system and method for intelligent park building with broadband PLC integrated with wireless transmission |
| CN115826542A (en) * | 2023-02-16 | 2023-03-21 | 北京网藤科技有限公司 | Intelligent production regulation and control system and method based on industrial Internet |
Similar Documents
| Publication | Publication Date | Title |
|---|---|---|
| Sikder et al. | IoT-enabled smart lighting systems for smart cities | |
| CN109583665B (en) | Unmanned aerial vehicle charging task scheduling method in wireless sensor network | |
| CN102546059B (en) | Non-supervision clustering-based distributed cooperative spectrum sensing method for cognitive self-organizing network | |
| CN111582691A (en) | Double-layer planning-based transportation capacity matching method for multiple transportation modes of passenger transport hub | |
| CN113411766A (en) | Intelligent Internet of things comprehensive sensing system and method | |
| CN112923435B (en) | Central heating secondary side regulation and control method based on artificial intelligence and optimization algorithm | |
| CN110823291A (en) | Method and system for indoor temperature and humidity environment monitoring in buildings based on K-means clustering algorithm | |
| CN117872763A (en) | A path optimization method for multi-UAV road network traffic flow monitoring | |
| Dang et al. | AoI oriented UAV trajectory planning in wireless powered IoT networks | |
| CN114449482B (en) | Heterogeneous Internet of vehicles user association method based on multi-agent deep reinforcement learning | |
| CN114885340B (en) | Ultra-dense wireless network power distribution method based on deep migration learning | |
| CN117833329A (en) | A distributed resource dynamic aggregation control method for distribution network optimization scheduling | |
| CN118363314A (en) | Internet of things intelligent home remote control method | |
| CN116170485A (en) | Intelligent park building optimization regulation and control method and system integrating broadband PLC with wireless communication | |
| CN109152103A (en) | A kind of pair of wireless sensor network carries out network-building method and device | |
| CN112465212A (en) | Building cluster demand side energy management method and system | |
| CN116933318A (en) | Power consumption data privacy protection method based on federal learning | |
| CN118913293B (en) | A method, system and device for planning charging paths for multiple mobile robots | |
| CN114298973A (en) | Intelligent heat supply monitoring method based on infrared image segmentation | |
| CN119758852A (en) | Comprehensive management method and system for building equipment | |
| CN113179544B (en) | A wireless sensor cluster routing cluster head selection method applied to the power Internet of things | |
| Duda et al. | Information technology sets formation and" TNTU Smart Campus" services network support. | |
| Adams | Wireless sensors and controls make the organic building | |
| CN117094527B (en) | Hot water management system and management method for caravan | |
| CN118797871B (en) | A fast equivalent simplification method and system for complex mine ventilation networks |
Legal Events
| Date | Code | Title | Description |
|---|---|---|---|
| PB01 | Publication | ||
| PB01 | Publication | ||
| SE01 | Entry into force of request for substantive examination | ||
| SE01 | Entry into force of request for substantive examination | ||
| RJ01 | Rejection of invention patent application after publication | ||
| RJ01 | Rejection of invention patent application after publication |
Application publication date: 20230526 |



























































































































































