CN115932770A - Method, system, equipment and terminal for precise and intelligent identification of radar radiation source individuals - Google Patents
Method, system, equipment and terminal for precise and intelligent identification of radar radiation source individuals Download PDFInfo
- Publication number
- CN115932770A CN115932770A CN202211264282.7A CN202211264282A CN115932770A CN 115932770 A CN115932770 A CN 115932770A CN 202211264282 A CN202211264282 A CN 202211264282A CN 115932770 A CN115932770 A CN 115932770A
- Authority
- CN
- China
- Prior art keywords
- radiation source
- radar radiation
- radar
- bispectrum
- individual
- Prior art date
- Legal status (The legal status is an assumption and is not a legal conclusion. Google has not performed a legal analysis and makes no representation as to the accuracy of the status listed.)
- Granted
Links
Images
Classifications
-
- Y—GENERAL TAGGING OF NEW TECHNOLOGICAL DEVELOPMENTS; GENERAL TAGGING OF CROSS-SECTIONAL TECHNOLOGIES SPANNING OVER SEVERAL SECTIONS OF THE IPC; TECHNICAL SUBJECTS COVERED BY FORMER USPC CROSS-REFERENCE ART COLLECTIONS [XRACs] AND DIGESTS
- Y02—TECHNOLOGIES OR APPLICATIONS FOR MITIGATION OR ADAPTATION AGAINST CLIMATE CHANGE
- Y02A—TECHNOLOGIES FOR ADAPTATION TO CLIMATE CHANGE
- Y02A90/00—Technologies having an indirect contribution to adaptation to climate change
- Y02A90/10—Information and communication technologies [ICT] supporting adaptation to climate change, e.g. for weather forecasting or climate simulation
Landscapes
- Radar Systems Or Details Thereof (AREA)
Abstract
Description
技术领域technical field
本发明属于雷达精准识别中辐射源个体识别技术领域,尤其涉及一种雷达辐射源个体精准智能识别方法、系统、设备及终端。The invention belongs to the technical field of individual radiation source identification in radar precise identification, and in particular relates to a precise and intelligent identification method, system, equipment and terminal for radar radiation source individuals.
背景技术Background technique
目前,雷达辐射源识别,即对接收到的雷达辐射源个体信号在经过一系列的分析处理后,从而判断收到的个体信号来自于哪一步雷达辐射源及其位置和参数等信息。早期雷达较为简单,雷达辐射源识别大多是通过人工对雷达辐射源的测量得到的脉间参数进行处理和分析,然后与已知建立的数据库中各雷达辐射源个体信息进行对比和分析。但近些年雷达技术突飞猛进,各种新式雷达层出不穷,战场电磁环境变得更加错综复杂,各雷达辐射源之间的指纹信息相似度很高,导致雷达接收装置截取的雷达信号变得难以区分。因此,寻找更加准确快捷的识别方式成为雷达辐射源领域迫切需要解决的问题和主要发展方向。At present, the identification of radar emitters means that after a series of analysis and processing of the received individual signals of radar emitters, it is judged which step the received individual signals come from, the radar emitter and its position and parameters. The early radar was relatively simple, and the radar emitter identification was mostly processed and analyzed by artificially processing and analyzing the pulse-to-pulse parameters obtained from the measurement of the radar emitter, and then compared and analyzed with the individual information of each radar emitter in the known established database. However, in recent years, radar technology has advanced by leaps and bounds, and various new radars have emerged in an endless stream. The electromagnetic environment of the battlefield has become more complicated. The fingerprint information of each radar radiation source has a high degree of similarity, which makes it difficult to distinguish the radar signals intercepted by the radar receiving device. Therefore, finding a more accurate and quick identification method has become an urgent problem and the main development direction in the field of radar radiation sources.
基于指纹信息的辐射源个体识别技术在上个世纪已经开始。美国学者Boorstyn提出了“Specific Emitter Identification,SEI”这一理论,利用其截获的特定雷达辐射源信号,提取信号的指纹特征,与先前已经建立的信息库进行对比、分析,根据匹配结果进行分类,识别出发射此信号的雷达辐射源,但是该方法依赖专家判别,人为影响因素较大,容易产生误判。同时,现有的雷达辐射源个体识别比较依赖雷达指纹信息之间的差异性,若差异性较小,会严重影响识别结果。基于此,国外提出了一种利用星座图来提取指纹信息的方法,并输入卷积神经网络中进行识别;基于辐射源常规参数达方向(DOA)、脉冲宽度(PW)、脉冲重复频率(PRF)和雷达频率(RF)等统计量作为分类识别的依据,输入网络采用朴素贝叶斯分类器、聚类、SVM等方法;基于核主成分分析(KPCA)预测学习方法;基于一种使用Frechet距离来计算信号间距离、脉冲包络或瞬时频率的方法;基于双谱+SURF(Speed-uprobust features)特征。但是,采用部分指纹特征虽准确率高,但是计算量巨大,而计算量小的指纹特征往往准确率较低。The radiation source individual identification technology based on fingerprint information has started in the last century. The American scholar Boorstyn proposed the theory of "Specific Emitter Identification, SEI", which uses the intercepted specific radar emitter signal to extract the fingerprint characteristics of the signal, compares and analyzes it with the previously established information database, and classifies it according to the matching results. The radar radiation source that emits this signal is identified, but this method relies on expert judgment, and the human influence factor is large, which is prone to misjudgment. At the same time, the existing individual identification of radar emitters relies more on the difference between radar fingerprint information. If the difference is small, the identification result will be seriously affected. Based on this, a method of extracting fingerprint information by using the constellation diagram is proposed abroad, and input into the convolutional neural network for identification; ) and radar frequency (RF) and other statistics as the basis for classification and identification, the input network adopts naive Bayesian classifier, clustering, SVM and other methods; based on kernel principal component analysis (KPCA) predictive learning method; based on a method using Frechet The method of calculating the distance between signals, the pulse envelope or the instantaneous frequency based on the distance; based on the bispectrum + SURF (Speed-uprobust features) feature. However, although the accuracy rate is high by using some fingerprint features, the calculation amount is huge, and the accuracy rate of fingerprint features with a small amount of calculation is often low.
而对于国内,则有基于相位观测模型+长短时记忆网络的方法、基于VMD分解的雷达辐射源个体精准智能识别方法、基于脉冲数据流构建数据集合的方法、基于模糊函数的个体识别方法、基于希尔伯特变换来进行特征提取的雷达辐射源个体精准智能识别方法以及基于利用深度置信网络DBN和辐射源信号包络特性进行辐射源个体分类方法。但是,部分网络模型对于训练集过于拟合,导致训练时准确率较高但是测试运用时效果不理想。因此,亟需找到一种既快又准的雷达指纹特征并将其凸显,放大其差异性;同时改进网络模型,使其降低对于训练集的依赖性,防止其过拟合。For China, there are methods based on phase observation model + long-short-term memory network, precise intelligent identification method of radar radiation source individual based on VMD decomposition, method of constructing data set based on pulse data stream, individual identification method based on fuzzy function, based on A precise intelligent identification method for radar emitter individuals based on Hilbert transform for feature extraction, and a classification method for emitter individuals based on deep belief network DBN and emitter signal envelope characteristics. However, some network models are overfitting to the training set, resulting in high accuracy during training but unsatisfactory results during testing. Therefore, it is urgent to find a fast and accurate radar fingerprint feature and highlight it to amplify its differences; at the same time, improve the network model to reduce its dependence on the training set and prevent its overfitting.
通过上述分析,现有技术存在的问题及缺陷为:Through the above analysis, the problems and defects in the prior art are:
(1)随着雷达技术的发展,信号复杂程度以及电磁环境复杂程度日益增加,使得脉间参数难以满足识别准确率的要求,需要利用脉内调制信息。而现有的利用脉内信息进行的雷达辐射源个体识别比较依赖雷达辐射源指纹信息之间的差异性,若待识别的辐射源指纹信息之间差异性较小,会使识别准确率严重下降。(1) With the development of radar technology, the complexity of signals and the complexity of electromagnetic environment are increasing day by day, making it difficult for inter-pulse parameters to meet the requirements of recognition accuracy, and it is necessary to use intra-pulse modulation information. However, the existing individual identification of radar emitters using intrapulse information is more dependent on the difference between the fingerprint information of radar emitters. If the difference between the fingerprint information of emitters to be identified is small, the recognition accuracy will be seriously reduced. .
(2)现有基于指纹信息的辐射源个体识别技术依赖专家判别,利用人工进行识别率误差较大,需要利用人工智能的方法挖掘更深层抽象的特征进行识别。(2) The existing individual radiation source identification technology based on fingerprint information relies on expert judgment, and the error in the recognition rate is relatively large when using artificial intelligence. It is necessary to use artificial intelligence methods to mine deeper abstract features for identification.
(3)现有的利用人工智能的方法进行雷达辐射源个体识别时,浅层网络往往得不到较好的识别效果,而深层网络会大大增加消耗时间,并有过拟合以及网络退化的问题。(3) When the existing artificial intelligence method is used to identify individual radar emitters, the shallow network often does not get a good recognition effect, while the deep network will greatly increase the time consumption, and there are problems of overfitting and network degradation. question.
发明内容Contents of the invention
针对现有技术存在的问题,本发明提供了一种雷达辐射源个体精准智能识别方法、系统、设备及终端,尤其涉及一种指纹特征相近时的雷达辐射源个体精准智能识别方法、系统、介质、设备及终端。Aiming at the problems existing in the prior art, the present invention provides a precise and intelligent identification method, system, device and terminal of a radar radiation source individual, and particularly relates to a precise and intelligent identification method, system and medium of a radar radiation source individual when the fingerprint features are similar , equipment and terminals.
本发明是这样实现的,一种雷达辐射源个体精准智能识别方法,所述雷达辐射源个体精准智能识别方法包括:求取雷达辐射源信号所对应的双谱并进行拉普拉斯-高斯算子特征提取;利用提取的特征构建已训练模型,利用已训练模型实现雷达辐射源个体的精准智能识别。The present invention is achieved in this way, a method for precise and intelligent identification of radar radiation source individuals. The precise and intelligent identification method for radar radiation source individuals includes: obtaining the bispectrum corresponding to the radar radiation source signal and performing Laplacian-Gauss calculation Sub-feature extraction; use the extracted features to build a trained model, and use the trained model to realize the precise and intelligent identification of individual radar emitters.
进一步,所述雷达辐射源个体精准智能识别方法包括以下步骤:Further, the method for precise and intelligent identification of radar radiation source individuals includes the following steps:
步骤一,对所接收的雷达辐射源信号求得对应的双谱,挖掘雷达辐射源信号的深层特征;Step 1, obtain the corresponding bispectrum for the received radar emitter signal, and mine the deep features of the radar emitter signal;
步骤二,将所述双谱依据拉普拉斯-高斯算子进行特征提取,进一步凸显雷达辐射源个体之间的边缘差异性信息;Step 2, extracting the features of the bispectrum according to the Laplacian-Gaussian operator, further highlighting the edge difference information between individual radar emitters;
步骤三,将提取的所述特征输入到基于范数和动态学习率的深度残差网络中进行训练,得到已训练模型,在较小消耗的情况下达到理想的识别效果;
步骤四,利用所述已训练模型实现对雷达辐射源信号的个体智能识别。Step 4, using the trained model to realize individual intelligent recognition of radar emitter signals.
进一步,所述步骤一中的对所接收的雷达辐射源信号求得对应的双谱包括:Further, obtaining the corresponding bispectrum for the received radar emitter signal in the step 1 includes:
对雷达辐射源信号x(t)求三阶累积量,表达式如下:The third-order cumulant is calculated for the radar emitter signal x(t), and the expression is as follows:
C3s(τ1,τ2)=E{s*(t)x(t+τ1)x(t+τ2)};C 3s (τ 1 ,τ 2 )=E{s * (t)x(t+τ 1 )x(t+τ 2 )};
其中,x为接收信号,τ为时延,s*(t)为共轭信号;E为求对应值的数学期望,所得C3s(τ1,τ2)为对应的三阶累积量。Among them, x is the received signal, τ is the time delay, s * (t) is the conjugate signal; E is the mathematical expectation for calculating the corresponding value, and the obtained C 3s (τ 1 , τ 2 ) is the corresponding third-order cumulant.
对三阶累积量C3s(τ1,τ2)求双谱变换,表达式如下:The bispectral transformation is calculated for the third-order cumulant C 3s (τ 1 , τ 2 ), the expression is as follows:
其中,C3s(τ1,τ2)为所求得对应的三阶累积量,为求得三阶累积量的二维傅里叶变换,所得Bs(ω1,ω2)为双谱。Among them, C 3s (τ 1 , τ 2 ) is the obtained corresponding third-order cumulant, In order to obtain the two-dimensional Fourier transform of the third-order cumulant, the obtained B s (ω 1 , ω 2 ) is a bispectrum.
进一步,所述步骤二中的将双谱依据拉普拉斯-高斯算子进行特征提取包括:Further, performing feature extraction of the bispectrum according to the Laplacian-Gaussian operator in the step 2 includes:
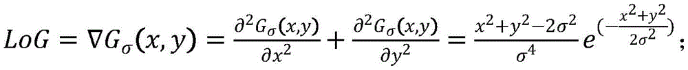
以0为中心,以σ为高斯标准差的拉普拉斯-高斯算子,表达式如下:The Laplacian-Gaussian operator with 0 as the center and σ as the Gaussian standard deviation is expressed as follows:
其中,Gσ(x,y)为二阶高斯函数,表达式如下:Among them, G σ (x, y) is a second-order Gaussian function, the expression is as follows:
其中,σ为高斯标准差。Among them, σ is the Gaussian standard deviation.
则对双谱进行拉普拉斯-高斯算子特征提取:Then perform Laplacian-Gaussian feature extraction on the bispectrum:
LoGBs(ω1,ω2)=LoG*Bs(ω1,ω2);LoGB s (ω 1 , ω 2 ) = LoG*B s (ω 1 , ω 2 );
其中,*代表卷积运算,利用算子对双谱进行卷积运算。Among them, * represents the convolution operation, and the operator is used to perform the convolution operation on the bispectrum.
进一步,所述步骤三中的将提取的所述特征输入到基于范数和动态学习率的深度残差网络中进行训练,得到已训练模型包括:Further, in the
在网络计算每层参数时,引入L2范数,将各特征向量元素的平方和后求平方根,以使得网络更加稀疏平滑。When the network calculates the parameters of each layer, the L2 norm is introduced, and the square root of each feature vector element is calculated to make the network more sparse and smooth.
||x||2=(|x1|2+|x1|2+|x1|2+...+|xn|2)1/2;||x|| 2 = (|x 1 | 2 +|x 1 | 2 +|x 1 | 2 +...+|x n | 2 ) 1/2 ;
在每轮次学习中采用动态学习率如下:The dynamic learning rate used in each round of learning is as follows:
lr(n)=lr*0.2[n/10];lr(n)=lr*0.2 [n/10] ;
其中,lr(n)为当前学习率,n为批次,lr为预设学习率,每经过10个批次学习率变为当前的0.2倍,随着轮次变换使得学习率逐步降低。Among them, lr(n) is the current learning rate, n is the batch, and lr is the preset learning rate. After every 10 batches, the learning rate becomes 0.2 times the current one, and the learning rate gradually decreases with the round change.
深度残差网络由各种残差块组成,其中每个残差快学习规律为:The deep residual network is composed of various residual blocks, and the fast learning rule of each residual is:
F(x)=H(x)-x;F(x)=H(x)-x;
其中,H(x)为反向传播函数,F(x)为前向传播函数,x为网络输入。Among them, H(x) is the backpropagation function, F(x) is the forward propagation function, and x is the network input.
将拉普拉斯-高斯算子提取的双谱输入到单通道中,生成H×W×1的特征,其中H和W分别为特征图的长和宽,1为通道数;将特征输入至残差块1中进行卷积运算,并将结果输入至残差块2中,直到经过4个残差块的运算;最后通过池化层和全连接层,得到最终识别结果。Input the bispectrum extracted by the Laplacian-Gaussian operator into a single channel to generate H×W×1 features, where H and W are the length and width of the feature map, and 1 is the number of channels; the features are input into The convolution operation is performed in the residual block 1, and the result is input into the residual block 2 until the operation of 4 residual blocks; finally, the final recognition result is obtained through the pooling layer and the fully connected layer.
进一步,所述步骤四中的利用所述已训练模型实现对雷达辐射源信号的个体智能识别包括:Further, using the trained model in the step 4 to realize the individual intelligent identification of the radar emitter signal includes:
在接收已训练雷达辐射源个体的未分类的预处理后的信号求得对应的双谱,将双谱依据拉普拉斯-高斯算子进行特征提取,并加载已训练的网络模型;将特征输入到网络中,得到识别结果;经过Softmax层得到为各雷达辐射源个体的概率矩阵,概率最高者为识别结果,Softmax表达式如下:After receiving the unclassified preprocessed signal of the trained radar emitter individual, the corresponding bispectrum is obtained, and the bispectrum is extracted according to the Laplacian-Gaussian operator, and the trained network model is loaded; the feature Input it into the network to get the recognition result; through the Softmax layer, the probability matrix of each radar radiation source individual is obtained, and the one with the highest probability is the recognition result. The Softmax expression is as follows:
M=max(z);M=max(z);
其中,z为结果向量,max为z的最大值,zi为第i个结果。Among them, z is the result vector, max is the maximum value of z, z i is the ith result.
本发明的另一目的在于提供一种应用所述的雷达辐射源个体精准智能识别方法的雷达辐射源个体精准智能识别系统,所述雷达辐射源个体精准智能识别系统包括:Another object of the present invention is to provide a system for precise and intelligent identification of individual radar radiation sources using the method for precise and intelligent identification of individual radar radiation sources. The system for precise and intelligent identification of individual radar radiation sources includes:
双谱求取模块,用于对所接收的雷达辐射源信号求得对应的双谱;The bispectrum obtaining module is used to obtain the corresponding bispectrum for the received radar emitter signal;
特征提取模块,用于将所述双谱依据拉普拉斯-高斯算子进行特征提取;A feature extraction module is used to extract the features of the bispectrum according to the Laplacian-Gaussian operator;
特征训练模块,用于将提取的所述特征输入到基于范数和动态学习率的深度残差网络中进行训练,得到已训练模型;A feature training module, configured to input the extracted features into a deep residual network based on norm and dynamic learning rate for training to obtain a trained model;
个体识别模块,用于利用已训练模型实现对雷达辐射源信号个体智能识别。The individual identification module is used to realize the intelligent identification of the individual of the radar radiation source signal by using the trained model.
本发明的另一目的在于提供一种计算机设备,所述计算机设备包括存储器和处理器,所述存储器存储有计算机程序,所述计算机程序被所述处理器执行时,使得所述处理器执行所述的雷达辐射源个体精准智能识别方法的步骤。Another object of the present invention is to provide a computer device, the computer device includes a memory and a processor, the memory stores a computer program, when the computer program is executed by the processor, the processor executes the The steps of the method for precise and intelligent identification of radar radiation source individuals are described.
本发明的另一目的在于提供一种计算机可读存储介质,存储有计算机程序,所述计算机程序被处理器执行时,使得所述处理器执行所述的雷达辐射源个体精准智能识别方法的步骤。Another object of the present invention is to provide a computer-readable storage medium, which stores a computer program. When the computer program is executed by a processor, the processor executes the steps of the method for precise and intelligent identification of radar radiation source individuals. .
本发明的另一目的在于提供一种信息数据处理终端,所述信息数据处理终端用于实现所述的雷达辐射源个体精准智能识别系统。Another object of the present invention is to provide an information data processing terminal, which is used to realize the precise intelligent identification system for individual radar radiation sources.
结合上述的技术方案和解决的技术问题,本发明所要保护的技术方案所具备的优点及积极效果为:Combining the above-mentioned technical solutions and technical problems to be solved, the advantages and positive effects of the technical solutions to be protected in the present invention are as follows:
第一,针对上述现有技术存在的技术问题以及解决该问题的难度,紧密结合本发明的所要保护的技术方案以及研发过程中结果和数据等,详细、深刻地分析本发明技术方案如何解决的技术问题,解决问题之后带来的一些具备创造性的技术效果。具体描述如下:First, aiming at the technical problems existing in the above-mentioned prior art and the difficulty of solving the problems, closely combining the technical solution to be protected in the present invention and the results and data in the research and development process, etc., a detailed and profound analysis of how the technical solution of the present invention is solved Technical problems, some creative technical effects brought about after solving the problems. The specific description is as follows:
本发明提供的雷达辐射源个体精准智能识别方法,首先对所接收的雷达辐射源信号求得其对应的双谱;并将该双谱依据拉普拉斯—高斯算子(Laplacian of gaussain,LoG)对其进行特征提取;最后将提取的特征输入到基于范数和动态学习率的深度残差网络(Resnet)中进行训练得到已训练模型,并利用该模型实现对雷达辐射源信号的个体智能识别。本发明有效地深层挖掘辐射源个体间的差异特征,在雷达指纹特征相近情况下可达到更好的识别效果。In the radar radiation source individual accurate intelligent identification method provided by the present invention, at first obtain its corresponding bispectrum to the received radar radiation source signal; ) to perform feature extraction; finally, input the extracted features into the deep residual network (Resnet) based on norm and dynamic learning rate for training to obtain the trained model, and use this model to realize the individual intelligence of the radar emitter signal identify. The invention effectively digs deeply into the difference characteristics among radiation source individuals, and can achieve better recognition effect under the condition of similar radar fingerprint characteristics.
本发明可以有效实现在雷达指纹特征相近情况下的辐射源情况下的辐射源个体识别,且比较其他方法具有较好的性能。此外,本发明提供的雷达辐射源个体识别方法也同样适用于雷达指纹特征差异性较大时的辐射源个体识别。The invention can effectively realize individual radiation source identification in the case of radiation sources with similar radar fingerprint features, and has better performance compared with other methods. In addition, the radar radiation source individual identification method provided by the present invention is also applicable to the radiation source individual identification when the radar fingerprint features have large differences.
第二,把技术方案看做一个整体或者从产品的角度,本发明所要保护的技术方案具备的技术效果和优点,具体描述如下:Second, regarding the technical solution as a whole or from the perspective of a product, the technical effects and advantages of the technical solution to be protected by the present invention are specifically described as follows:
本发明提供的雷达辐射源个体精准智能识别方法,实现了在复杂电磁环境中,雷达指纹特征提取不充分,相互间差异性不明显的情况下进行辐射源个体识别,同时改进网络在保证其准确率的情况下提升了辐射源个体识别效率,提升网络模型的泛化性和鲁棒性并提升其使用时的准确率。The precise and intelligent identification method for radar radiation source individuals provided by the present invention realizes the identification of radiation source individuals in complex electromagnetic environments where the extraction of radar fingerprint features is insufficient and the differences between them are not obvious, while improving the network to ensure its accuracy In the case of high efficiency, the identification efficiency of individual radiation sources is improved, the generalization and robustness of the network model are improved, and the accuracy of its use is improved.
第三,作为本发明的权利要求的创造性辅助证据,还体现在以下几个重要方面:Third, as an auxiliary evidence of the inventiveness of the claims of the present invention, it is also reflected in the following important aspects:
本发明提供的雷达辐射源个体精准智能识别方法,将神经网络、雷达脉内信号处理技术与模式识别理论增强结合。The precise and intelligent identification method for radar radiation source individuals provided by the present invention combines neural network, radar intrapulse signal processing technology and pattern recognition theory enhancement.
(1)本发明的技术方案转化后的商业价值为:(1) The commercial value after the conversion of the technical solution of the present invention is:
本发明将雷达辐射源个体识别技术真正用于实际雷达辐射源个体信号识别中去,不仅仅停留于理论仿真信号的识别。The present invention truly applies the radar radiation source individual identification technology to the actual radar radiation source individual signal identification, not only in the identification of theoretical simulation signals.
(2)本发明的技术方案否解决了人们一直渴望解决、但始终未能获得成功的技术难题:(2) Whether the technical solution of the present invention solves the technical problem that people have always been eager to solve but have not been able to achieve success:
在当今复杂的电磁环境下能有效地进一步提取雷达辐射源特征,将雷达辐射源之间的差异性放大,在雷达辐射源指纹相近时提供更高的识别正确率。同时,改进的网络在保证训练正确率的同时阻止了过拟合的现象的产生,在训练时不用堆叠网络层数,减小开支,识别时依然保持较高正确率。In today's complex electromagnetic environment, it can effectively further extract the characteristics of radar radiation sources, amplify the differences between radar radiation sources, and provide higher recognition accuracy when the fingerprints of radar radiation sources are similar. At the same time, the improved network prevents the phenomenon of overfitting while ensuring the correct rate of training. There is no need to stack the number of network layers during training, which reduces the cost and maintains a high correct rate during recognition.
附图说明Description of drawings
为了更清楚地说明本发明实施例的技术方案,下面将对本发明实施例中所需要使用的附图做简单的介绍,显而易见地,下面所描述的附图仅仅是本发明的一些实施例,对于本领域普通技术人员来讲,在不付出创造性劳动的前提下还可以根据这些附图获得其他的附图。In order to more clearly illustrate the technical solutions of the embodiments of the present invention, the following will briefly introduce the drawings that need to be used in the embodiments of the present invention. Obviously, the drawings described below are only some embodiments of the present invention. For Those of ordinary skill in the art can also obtain other drawings based on these drawings without making creative efforts.
图1是本发明实施例提供的雷达辐射源个体精准智能识别方法流程图;Fig. 1 is a flowchart of a method for precise and intelligent identification of radar radiation source individuals provided by an embodiment of the present invention;
图2(a)是本发明实施例提供的利用雷达辐射源个体精准智能识别方法进行辐射源个体识别正确率与损失函数的示意图;Fig. 2(a) is a schematic diagram of the accuracy rate and loss function of individual radiation source identification using the precise intelligent identification method for individual radar radiation sources provided by an embodiment of the present invention;
图2(b)是本发明实施例提供的使用双谱法进行辐射源个体识别正确率与损失函数的示意图。Fig. 2(b) is a schematic diagram of the correct rate and loss function of individual radiation source identification using the bispectrum method provided by the embodiment of the present invention.
具体实施方式Detailed ways
为了使本发明的目的、技术方案及优点更加清楚明白,以下结合实施例,对本发明进行进一步详细说明。应当理解,此处所描述的具体实施例仅仅用以解释本发明,并不用于限定本发明。In order to make the object, technical solution and advantages of the present invention more clear, the present invention will be further described in detail below in conjunction with the examples. It should be understood that the specific embodiments described here are only used to explain the present invention, not to limit the present invention.
针对现有技术存在的问题,本发明提供了一种雷达辐射源个体精准智能识别方法、系统、设备及终端,下面结合附图对本发明作详细的描述。Aiming at the problems existing in the prior art, the present invention provides a precise and intelligent identification method, system, equipment and terminal for individual radar radiation sources. The present invention will be described in detail below with reference to the accompanying drawings.
一、解释说明实施例。为了使本领域技术人员充分了解本发明如何具体实现,该部分是对权利要求技术方案进行展开说明的解释说明实施例。1. Explain the embodiment. In order to make those skilled in the art fully understand how to implement the present invention, this part is an explanatory embodiment for explaining the technical solution of the claims.
如图1所示,本发明实施例提供的雷达辐射源个体精准智能识别方法包括以下步骤:As shown in Figure 1, the precise and intelligent identification method for individual radar emitters provided by the embodiment of the present invention includes the following steps:
S101,对所接收的雷达辐射源信号求得对应的双谱;S101. Obtain a corresponding bispectrum for the received radar emitter signal;
S102,将双谱依据拉普拉斯-高斯算子进行特征提取;S102, performing feature extraction on the bispectrum according to the Laplacian-Gaussian operator;
S103,将提取的特征输入到基于范数和动态学习率的深度残差网络中进行训练,得到已训练模型;S103, inputting the extracted features into a deep residual network based on a norm and a dynamic learning rate for training to obtain a trained model;
S104,利用已训练模型实现对雷达辐射源信号的个体智能识别。S104, using the trained model to realize individual intelligent identification of radar emitter signals.
作为优选实施例,本发明实施例提供的针对于指纹特征相近时的雷达辐射源个体精准智能识别方法,具体包括以下步骤:As a preferred embodiment, the embodiment of the present invention provides a method for precise and intelligent identification of radar radiation source individuals when the fingerprint features are similar, specifically including the following steps:
第一步,对所接收的雷达辐射源信号求得其对应的双谱,将该双谱依据拉普拉斯-高斯算子(Laplacian of gaussain,LoG)对其进行特征提取,具体实施过程为:The first step is to obtain the corresponding bispectrum of the received radar emitter signal, and extract the features of the bispectrum according to the Laplacian of Gaussian (LoG) operator. The specific implementation process is as follows: :
对雷达辐射源信号x(t)求三阶累积量,表达式如下:The third-order cumulant is calculated for the radar emitter signal x(t), and the expression is as follows:
C3s(τ1,τ2)=E{s*(t)x(t+τ1)x(t+τ2)}C 3s (τ 1 ,τ 2 )=E{s * (t)x(t+τ 1 )x(t+τ 2 )}
其中,x为接收信号,τ为时延,s*(t)为其共轭信号,E求其对应值的数学期望,所得C3s(τ1,τ2)为其对应的三阶累积量。Among them, x is the received signal, τ is the time delay, s * (t) is its conjugate signal, E calculates the mathematical expectation of its corresponding value, and the obtained C 3s (τ 1 , τ 2 ) is its corresponding third-order cumulant .
对三阶累积量C3s(τ1,τ2)求双谱变换,表达式如下:The bispectral transformation is calculated for the third-order cumulant C 3s (τ 1 , τ 2 ), the expression is as follows:
其中,C3s(τ1,τ2)为所求得对应的三阶累积量,即为求得三阶累积量的二维傅里叶变换,所得Bs(ω1,ω2)即为双谱。Among them, C 3s (τ 1 , τ 2 ) is the obtained corresponding third-order cumulant, That is to obtain the two-dimensional Fourier transform of the third-order cumulant, and the obtained B s (ω 1 , ω 2 ) is the bispectrum.
以0为中心,以σ为高斯标准差的拉普拉斯-高斯算子表达式,具体如下:The Laplacian-Gaussian operator expression with 0 as the center and σ as the Gaussian standard deviation is as follows:
其中,Gσ(x,y)为二阶高斯函数,具体如下:Among them, G σ (x, y) is a second-order Gaussian function, as follows:
其中,σ为高斯标准差。Among them, σ is the Gaussian standard deviation.
则对双谱进一步进行拉普拉斯-高斯算子特征提取具体如下:Then, the Laplacian-Gaussian operator feature extraction is further performed on the bispectrum as follows:
LoGBs(ω1,ω2)=LoG*Bs(ω1,ω2)LoGB s (ω 1 , ω 2 ) = LoG*B s (ω 1 , ω 2 )
其中,*代表卷积运算,即用算子对双谱进行卷积运算。Among them, * represents a convolution operation, that is, an operator is used to perform a convolution operation on the bispectrum.
第二步,将提取的特征输入到基于范数和动态学习率的深度残差网络(Resnet)中进行训练得到已训练模型,具体实施过程为:The second step is to input the extracted features into the deep residual network (Resnet) based on norm and dynamic learning rate for training to obtain the trained model. The specific implementation process is as follows:
在网络计算每层参数时,引入L2范数,即将各特征向量元素的平方和然后求其平方根,以使得网络更加稀疏平滑。When the network calculates the parameters of each layer, the L2 norm is introduced, that is, the square sum of the elements of each feature vector is then calculated to make the network more sparse and smooth.
||x||2=(|x1|2+|x1|2+|x1|2+...+|xn|2)1/2 ||x|| 2 =(|x 1 | 2 +|x 1 | 2 +|x 1 | 2 +...+|x n | 2 ) 1/2
在每轮次学习中采用动态学习率具体如下:The dynamic learning rate used in each round of learning is as follows:
lr(n)=lr*0.2[n/10] lr(n)=lr*0.2 [n/10]
其中,lr(n)为当前学习率,n为批次,lr为预设学习率,即每经过10个批次学习率变为当前的0.2倍,即随着轮次变换使得学习率逐步降低。Among them, lr(n) is the current learning rate, n is the batch, and lr is the preset learning rate, that is, the learning rate becomes 0.2 times the current after every 10 batches, that is, the learning rate gradually decreases with the round transformation .
深度残差网络由各种残差块组成,其中每个残差快学习规律为:The deep residual network is composed of various residual blocks, and the fast learning rule of each residual is:
F(x)=H(x)-xF(x)=H(x)-x
其中,H(x)为反向传播函数,F(x)为前向传播函数,x为网络输入。Among them, H(x) is the backpropagation function, F(x) is the forward propagation function, and x is the network input.
将拉普拉斯-高斯算子提取的双谱输入到单通道中,生成H×W×1的特征,其中H和W分别为特征图的长和宽,1为通道数,然后将该特征输入至残差块1中进行卷积运算,并将其结果输入至残差块2中,直到经过4个残差块的运算,最后通过池化层和全连接层,得到最终识别结果。Input the bispectrum extracted by the Laplacian-Gaussian operator into a single channel to generate H×W×1 features, where H and W are the length and width of the feature map, 1 is the number of channels, and then the feature Input to the residual block 1 for convolution operation, and input the result to the residual block 2 until the operation of 4 residual blocks, and finally through the pooling layer and the fully connected layer to obtain the final recognition result.
第三步,利用该模型实现对雷达辐射源信号的个体智能识别,具体实施过程为:The third step is to use the model to realize the individual intelligent identification of the radar emitter signal. The specific implementation process is as follows:
在接收已训练雷达辐射源个体的未分类的预处理后的信号求得其对应的双谱,将该双谱依据拉普拉斯-高斯算子(Laplacian of gaussain,LoG)对其进行特征提取,并加载已训练的网络模型。将该特征输入到网络中,得到识别结果,并经过Softmax层得到其为各雷达辐射源个体的概率矩阵,概率最高者即为识别结果,Softmax表达式具体如下:After receiving the unclassified preprocessed signal of the trained radar emitter individual, the corresponding bispectrum is obtained, and the feature extraction of the bispectrum is performed according to the Laplacian of Gaussian operator (Laplacian of gaussain, LoG). , and load the trained network model. Input this feature into the network to obtain the recognition result, and obtain the probability matrix of each radar emitter individual through the Softmax layer. The one with the highest probability is the recognition result. The Softmax expression is as follows:
M=max(z)M=max(z)
其中,z为结果向量,max为z的最大值,zi为第i个结果。Among them, z is the result vector, max is the maximum value of z, z i is the ith result.
本发明实施例提供的雷达辐射源个体精准智能识别系统包括:The radar radiation source individual accurate intelligent identification system provided by the embodiment of the present invention includes:
双谱求取模块,用于对所接收的雷达辐射源信号求得对应的双谱;The bispectrum obtaining module is used to obtain the corresponding bispectrum for the received radar emitter signal;
特征提取模块,用于将双谱依据拉普拉斯-高斯算子进行特征提取;The feature extraction module is used to extract the features of the bispectrum according to the Laplacian-Gaussian operator;
特征训练模块,用于将提取的特征输入到基于范数和动态学习率的深度残差网络中进行训练,得到已训练模型;The feature training module is used to input the extracted features into the deep residual network based on norm and dynamic learning rate for training to obtain the trained model;
个体识别模块,用于利用已训练模型实现对雷达辐射源信号个体智能识别。The individual identification module is used to realize the intelligent identification of the individual of the radar radiation source signal by using the trained model.
二、应用实施例。为了证明本发明的技术方案的创造性和技术价值,该部分是对权利要求技术方案进行具体产品上或相关技术上的应用实施例。2. Application examples. In order to prove the creativity and technical value of the technical solution of the present invention, this part is the application example of the claimed technical solution on specific products or related technologies.
本发明在截获雷达辐射源个体信号后,在接收机预处理后将该信号传入本系统,经过本方法对信号提取双谱并用高斯拉普拉斯算子进行特征的进一步提取组成训练集以及验证集。在训练时,加载改进后的模型,利用训练集得到已训练模型并用验证集验证效果。在后续截获雷达辐射源个体信号后,在接收机预处理后将该信号传入本系统,经过本方法对信号提取双谱并用高斯拉普拉斯算子进行特征的进一步提取,利用已训练模型判断其为哪一部雷达辐射源个体发射信号,实现对雷达辐射源个体的识别。After the present invention intercepts the individual signal of the radar radiation source, the signal is passed into the system after the receiver is preprocessed, and the bispectrum is extracted from the signal through this method, and the further extraction of the feature is carried out with the Gaussian Laplacian operator to form a training set and Validation set. During training, load the improved model, use the training set to get the trained model and use the validation set to verify the effect. After subsequent interception of the individual signal of the radar radiation source, the signal is transmitted to the system after preprocessing by the receiver, and the bispectrum is extracted from the signal by this method, and the feature is further extracted by the Gaussian Laplacian operator, and the trained model is used It is judged which radar emitter individual emits the signal, so as to realize the identification of the radar emitter individual.
三、实施例相关效果的证据。本发明实施例在研发或者使用过程中取得了一些积极效果,和现有技术相比的确具备很大的优势,下面内容结合试验过程的数据、图表等进行描述。3. Evidence of the relevant effects of the embodiment. The embodiment of the present invention has achieved some positive effects in the process of research and development or use, and indeed has great advantages compared with the prior art. The following content is described in conjunction with the data and charts of the test process.
本发明实施例提供的仿真实验使用5种不同雷达辐射源个体的信号,信道环境为高斯白噪声,设置信噪比为10dB,每个个体有1500个样本数据用于网络的训练、500个样本数据用于测试,因此训练样本总量为7500个,测试集样本数量共为2500个。训练时,对照组采用对样本集的所有信号进行双谱特征提取,输入深度残差网络进行训练,训练过程中采用SGD优化方法,损失函数为交叉熵损失函数,训练过程中每一批的样本数据量设置为32,共设置100个训练批次。另采用本方法对样本集的所有信号进行双谱特征提取,并采用拉普拉斯-高斯算子进一步提取特征,输入改进后深度残差网络进行训练,训练过程中采用SGD优化方法,损失函数为交叉熵损失函数,训练过程中每一批的样本数据量设置为32,共设置100个训练批次。如图2(a)~(b)所示,横轴为训练轮次,纵轴为正确率以及损失函数,通过两种方法的训练集以及验证集的比较可以看出,在训练集以及验证集上,本发明实施例提供的雷达辐射源个体精准智能识别方法与双谱法比较,正确率从67%提升至80%,损失函数大幅下降,即证明了本发明方法在雷达指纹信息相近情况下的可行性,取得了较好的效果。The simulation experiment provided by the embodiment of the present invention uses the signals of 5 different radar radiation source individuals, the channel environment is Gaussian white noise, the signal-to-noise ratio is set to 10dB, and each individual has 1500 sample data for network training, 500 samples The data is used for testing, so the total number of training samples is 7500, and the total number of test set samples is 2500. During training, the control group used bispectral feature extraction for all signals in the sample set, and input the deep residual network for training. During the training process, the SGD optimization method was used, and the loss function was the cross-entropy loss function. The amount of data is set to 32, and a total of 100 training batches are set. In addition, this method is used to extract bispectral features from all signals in the sample set, and the Laplacian-Gaussian operator is used to further extract features, and the improved deep residual network is input for training. The SGD optimization method is used in the training process, and the loss function is the cross-entropy loss function, the sample data size of each batch is set to 32 during the training process, and a total of 100 training batches are set. As shown in Figure 2(a)~(b), the horizontal axis is the training rounds, and the vertical axis is the correct rate and loss function. Through the comparison of the training set and the verification set of the two methods, it can be seen that in the training set and the verification set In summary, compared with the bispectrum method, the accurate intelligent identification method for radar radiation source individuals provided by the embodiment of the present invention has an accuracy rate increased from 67% to 80%, and the loss function is greatly reduced, which proves that the method of the present invention can be used in the case of similar radar fingerprint information. Under the feasibility, better results have been achieved.
应当注意,本发明的实施方式可以通过硬件、软件或者软件和硬件的结合来实现。硬件部分可以利用专用逻辑来实现;软件部分可以存储在存储器中,由适当的指令执行系统,例如微处理器或者专用设计硬件来执行。本领域的普通技术人员可以理解上述的设备和方法可以使用计算机可执行指令和/或包含在处理器控制代码中来实现,例如在诸如磁盘、CD或DVD-ROM的载体介质、诸如只读存储器(固件)的可编程的存储器或者诸如光学或电子信号载体的数据载体上提供了这样的代码。本发明的设备及其模块可以由诸如超大规模集成电路或门阵列、诸如逻辑芯片、晶体管等的半导体、或者诸如现场可编程门阵列、可编程逻辑设备等的可编程硬件设备的硬件电路实现,也可以用由各种类型的处理器执行的软件实现,也可以由上述硬件电路和软件的结合例如固件来实现。It should be noted that the embodiments of the present invention can be realized by hardware, software, or a combination of software and hardware. The hardware part can be implemented using dedicated logic; the software part can be stored in memory and executed by a suitable instruction execution system such as a microprocessor or specially designed hardware. Those of ordinary skill in the art will understand that the above-described devices and methods can be implemented using computer-executable instructions and/or contained in processor control code, for example, on a carrier medium such as a magnetic disk, CD or DVD-ROM, such as a read-only memory Such code is provided on a programmable memory (firmware) or on a data carrier such as an optical or electronic signal carrier. The device and its modules of the present invention may be implemented by hardware circuits such as VLSI or gate arrays, semiconductors such as logic chips, transistors, etc., or programmable hardware devices such as field programmable gate arrays, programmable logic devices, etc., It can also be realized by software executed by various types of processors, or by a combination of the above-mentioned hardware circuits and software such as firmware.
以上所述,仅为本发明的具体实施方式,但本发明的保护范围并不局限于此,任何熟悉本技术领域的技术人员在本发明揭露的技术范围内,凡在本发明的精神和原则之内所作的任何修改、等同替换和改进等,都应涵盖在本发明的保护范围之内。The above is only a specific embodiment of the present invention, but the scope of protection of the present invention is not limited thereto. Anyone familiar with the technical field within the technical scope disclosed in the present invention, whoever is within the spirit and principles of the present invention Any modifications, equivalent replacements and improvements made within shall fall within the protection scope of the present invention.
Claims (10)
Priority Applications (1)
| Application Number | Priority Date | Filing Date | Title |
|---|---|---|---|
| CN202211264282.7A CN115932770B (en) | 2022-10-17 | 2022-10-17 | Methods, systems, equipment and terminals for precise and intelligent identification of individual radar radiation sources |
Applications Claiming Priority (1)
| Application Number | Priority Date | Filing Date | Title |
|---|---|---|---|
| CN202211264282.7A CN115932770B (en) | 2022-10-17 | 2022-10-17 | Methods, systems, equipment and terminals for precise and intelligent identification of individual radar radiation sources |
Publications (2)
| Publication Number | Publication Date |
|---|---|
| CN115932770A true CN115932770A (en) | 2023-04-07 |
| CN115932770B CN115932770B (en) | 2025-12-23 |
Family
ID=86549525
Family Applications (1)
| Application Number | Title | Priority Date | Filing Date |
|---|---|---|---|
| CN202211264282.7A Active CN115932770B (en) | 2022-10-17 | 2022-10-17 | Methods, systems, equipment and terminals for precise and intelligent identification of individual radar radiation sources |
Country Status (1)
| Country | Link |
|---|---|
| CN (1) | CN115932770B (en) |
Cited By (2)
| Publication number | Priority date | Publication date | Assignee | Title |
|---|---|---|---|---|
| CN116738210A (en) * | 2023-06-21 | 2023-09-12 | 西安电子科技大学 | A small sample radar radiation source modulation identification method, system, equipment and medium based on bispectral characteristics |
| CN116842457A (en) * | 2023-07-17 | 2023-10-03 | 中国船舶集团有限公司第七二三研究所 | A method for individual identification of radar radiation sources based on long short-term memory network |
Citations (4)
| Publication number | Priority date | Publication date | Assignee | Title |
|---|---|---|---|---|
| US6658234B1 (en) * | 1995-06-02 | 2003-12-02 | Northrop Grumman Corporation | Method for extending the effective dynamic range of a radio receiver system |
| CN110456733A (en) * | 2019-09-18 | 2019-11-15 | 吉林大学 | A comprehensive performance detection and analysis platform and analysis method for portable numerical control equipment |
| CN111680737A (en) * | 2020-06-03 | 2020-09-18 | 西安电子科技大学 | Individual identification method of radar radiation source under the condition of differential signal-to-noise ratio |
| CN112668498A (en) * | 2020-12-30 | 2021-04-16 | 西安电子科技大学 | Method, system, terminal and application for identifying individual intelligent increment of aerial radiation source |
-
2022
- 2022-10-17 CN CN202211264282.7A patent/CN115932770B/en active Active
Patent Citations (4)
| Publication number | Priority date | Publication date | Assignee | Title |
|---|---|---|---|---|
| US6658234B1 (en) * | 1995-06-02 | 2003-12-02 | Northrop Grumman Corporation | Method for extending the effective dynamic range of a radio receiver system |
| CN110456733A (en) * | 2019-09-18 | 2019-11-15 | 吉林大学 | A comprehensive performance detection and analysis platform and analysis method for portable numerical control equipment |
| CN111680737A (en) * | 2020-06-03 | 2020-09-18 | 西安电子科技大学 | Individual identification method of radar radiation source under the condition of differential signal-to-noise ratio |
| CN112668498A (en) * | 2020-12-30 | 2021-04-16 | 西安电子科技大学 | Method, system, terminal and application for identifying individual intelligent increment of aerial radiation source |
Non-Patent Citations (2)
| Title |
|---|
| SHIEH C S ET.AL: "《Avector neural network for emitter identification》", 《IEEE TRANS ANTENNAS PROPAG》, vol. 50, no. 8, 31 December 2002 (2002-12-31) * |
| 雷迎科;郝晓军;韩慧;王李军;: "一种新颖的通信辐射源个体细微特征提取方法", 电波科学学报, no. 01, 15 February 2016 (2016-02-15) * |
Cited By (3)
| Publication number | Priority date | Publication date | Assignee | Title |
|---|---|---|---|---|
| CN116738210A (en) * | 2023-06-21 | 2023-09-12 | 西安电子科技大学 | A small sample radar radiation source modulation identification method, system, equipment and medium based on bispectral characteristics |
| CN116738210B (en) * | 2023-06-21 | 2025-07-04 | 西安电子科技大学 | Small sample radar radiation source modulation identification method, system, equipment and medium based on bispectrum characteristics |
| CN116842457A (en) * | 2023-07-17 | 2023-10-03 | 中国船舶集团有限公司第七二三研究所 | A method for individual identification of radar radiation sources based on long short-term memory network |
Also Published As
| Publication number | Publication date |
|---|---|
| CN115932770B (en) | 2025-12-23 |
Similar Documents
| Publication | Publication Date | Title |
|---|---|---|
| CN113156391B (en) | Radar signal multi-dimensional feature intelligent sorting method | |
| Liu | Multi-feature fusion for specific emitter identification via deep ensemble learning | |
| CN109344845B (en) | Feature matching method based on triple deep neural network structure | |
| US11558810B2 (en) | Artificial intelligence radio classifier and identifier | |
| Wan et al. | Recognizing the HRRP by combining CNN and BiRNN with attention mechanism | |
| CN112036239B (en) | Radar signal working mode identification method and system based on deep learning network | |
| CN110188647A (en) | A Feature Extraction and Classification Method of Radar Emitter Based on Variational Mode Decomposition | |
| CN112749633A (en) | Separate and reconstructed individual radiation source identification method | |
| CN115932770A (en) | Method, system, equipment and terminal for precise and intelligent identification of radar radiation source individuals | |
| CN112884059A (en) | Small sample radar working mode classification method fusing priori knowledge | |
| CN113435246A (en) | Radiation source individual intelligent identification method, system and terminal | |
| CN116430317A (en) | Radiation source modulation pattern and individual identification method and system | |
| Harkat et al. | Classifier design by a multi-objective genetic algorithm approach for GPR automatic target detection | |
| CN110471026B (en) | A Phase-Enhanced Method for Estimating Low-Elevation DOA for Meter-Wave Radar Targets | |
| CN118051799A (en) | A method for identifying individuals in aliased radar based on PDW clustering | |
| CN114675249A (en) | Recognition method of radar signal modulation mode based on attention mechanism | |
| CN116559809B (en) | Radar radiation source individual identification method based on multi-source fusion network | |
| CN115358273A (en) | Radar signal modulation type identification network lightweight method | |
| CN120009848B (en) | A two-stage fusion radar signal sorting method | |
| Liao et al. | LPI radar waveform recognition based on semi-supervised model all mean teacher | |
| CN114036976A (en) | Radiation source individual identification method and related device | |
| CN114067171A (en) | Image recognition precision improving method and system for overcoming small data training set | |
| CN118465721B (en) | Intelligent Identification Method for Individual Radar Radiation Sources Based on Multi-Branch Feature Fusion | |
| CN119167146A (en) | A method and device for automatic modulation recognition of small sample signals | |
| CN110780270A (en) | Target library attribute discrimination local regular learning subspace feature extraction method |
Legal Events
| Date | Code | Title | Description |
|---|---|---|---|
| PB01 | Publication | ||
| PB01 | Publication | ||
| SE01 | Entry into force of request for substantive examination | ||
| SE01 | Entry into force of request for substantive examination | ||
| GR01 | Patent grant | ||
| GR01 | Patent grant |














