CN115797862A - A Method for Monitoring the Environment of Coating Room by Image Recognition Self-learning - Google Patents
A Method for Monitoring the Environment of Coating Room by Image Recognition Self-learning Download PDFInfo
- Publication number
- CN115797862A CN115797862A CN202211496301.9A CN202211496301A CN115797862A CN 115797862 A CN115797862 A CN 115797862A CN 202211496301 A CN202211496301 A CN 202211496301A CN 115797862 A CN115797862 A CN 115797862A
- Authority
- CN
- China
- Prior art keywords
- monitoring
- coating room
- learning
- image recognition
- self
- Prior art date
- Legal status (The legal status is an assumption and is not a legal conclusion. Google has not performed a legal analysis and makes no representation as to the accuracy of the status listed.)
- Pending
Links
Images
Landscapes
- Image Analysis (AREA)
Abstract
本发明公开了一种通过图像识别自学习监测涂层室环境的方法,其特征在于,包括以下步骤:S1:在涂层室系统关键位置安装红外防爆摄像头;S2:采集工艺和环境参数;S3:将采集的参数数据与已构建的可视化三维模型相互协同关联,可在模型空间中进行显示提示、报警等功能,并将采集的数据归入“大数据库”中;S4:建立图像自学习算法系统。本发明的有益效果:本方法在涂层室新增红外防爆摄像头,将中心传递的设备运行数据与环境监控的实时数据集成在与可视化三维模型中,构建协同空间,对于火灾/机器异常等故障,构建监控、温感、烟雾感应器等多数据监控,通过大数据自学习,在判断设备早期故障、火灾评估、故障快检等方面提供决策支持。
The invention discloses a method for monitoring the environment of a coating room through image recognition self-learning, which is characterized in that it comprises the following steps: S1: installing an infrared explosion-proof camera at a key position of the coating room system; S2: collecting process and environmental parameters; S3 : The collected parameter data and the constructed visual 3D model are collaboratively correlated with each other, and functions such as display prompts and alarms can be performed in the model space, and the collected data is included in the "big database"; S4: Establish image self-learning algorithm system. Beneficial effects of the present invention: This method adds an infrared explosion-proof camera to the coating room, integrates the equipment operation data transmitted by the center and the real-time data of environmental monitoring into the visualized three-dimensional model, and builds a collaborative space, which can prevent fires/machine abnormalities and other failures , Build monitoring, temperature sensor, smoke sensor and other multi-data monitoring, through big data self-learning, provide decision support in judging early equipment failures, fire evaluation, and quick fault detection.
Description
技术领域technical field
本发明涉及冶金工业监测涂层室环境技术领域,具体涉及一种通过图像识别自学习监测涂层室环境的方法。The invention relates to the technical field of monitoring the environment of a coating room in the metallurgical industry, in particular to a method for monitoring the environment of a coating room through image recognition self-learning.
背景技术Background technique
冶金就是从矿物中提取金属或金属化合物,用各种加工方法将金属制成具有一定性能的金属材料的过程和工艺,彩涂使对工件上喷涂油漆,所以涂层室环境恶劣,油漆味道大,在冷轧彩涂机组涂层室布设红外防爆摄像头,采集涂层室内设备运行、环境监控的实时数据,采集的数据既可以与可视化三维空间相互关联联动,进行协同同步;也可以构建数据分析的大数据库,可通过自学习的方式对故障、异常等行为进行判断和评估,并提供决策支持和解决方案。通过故障与诊断保证维护设备运行稳定,通过危险场景预警判断保证设备人员生命安全。Metallurgy is the process and process of extracting metals or metal compounds from minerals, using various processing methods to make metals into metal materials with certain properties, color coating is to spray paint on the workpiece, so the environment of the coating room is bad, and the paint smells strong Infrared explosion-proof cameras are installed in the coating room of the cold rolling color coating unit to collect real-time data of equipment operation and environmental monitoring in the coating room. The collected data can be correlated with the visualized three-dimensional space for synergy and synchronization; data analysis can also be constructed It can judge and evaluate behaviors such as faults and abnormalities through self-learning, and provide decision support and solutions. Ensure the stable operation of maintenance equipment through fault and diagnosis, and ensure the safety of equipment personnel through early warning and judgment of dangerous scenes.
如授权公告号为CN112446232U,授权公告日为2021.03.05的一种持续自学习的图像识别方法及系统,包括持续自学习图像识别图像服务器,所述持续自学习图像识别图像服务器包括图像采集模块、图片初次标记模块、图像识别模型训练模块、新图片标记模块、自动/人工图片核验模块和最优模型生成模块,优选的,所述图像采集模块为交通专用高倍监控摄像头。优选的,包括以下步骤:S1,首先通过图像采集模块,交通专用高倍监控摄像头对人员的图像进行采集;S2,将S1采集的图像传送至图片初次标记模块中,并且通过图片初次标记模块完成从不同图片标记人员处获取人工标记的图片,并按照图像识别模型训练所需要的结构进行整理,作为初始的图像识别模型的训练集。For example, the authorized announcement number is CN112446232U, and the authorized announcement date is 2021.03.05, a continuous self-learning image recognition method and system, including a continuous self-learning image recognition image server, and the continuous self-learning image recognition image server includes an image acquisition module, The first image marking module, the image recognition model training module, the new image marking module, the automatic/manual image verification module and the optimal model generation module, preferably, the image acquisition module is a special high-power surveillance camera for traffic. Preferably, the following steps are included: S1, at first through the image acquisition module, the image of the personnel is collected by the special high-magnification surveillance camera for traffic; S2, the image collected by S1 is sent to the initial marking module of the picture, and the initial marking module completes the process from Manually marked pictures are obtained from different picture marking personnel, and organized according to the structure required for image recognition model training, as the initial training set of the image recognition model.
如授权公告号为CN05825235B,授权公告日为2018.12.25的一种基于多特征图深度学习的图像识别方法,包括多特征图深度学习的训练过程和使用训练好的深度学习系统进行图像识别的过程,其中,所述多特征图深度学习的训练过程包括以下步骤:步骤a:对训练样本集图片求取其灰度图;对所述灰度图求取灰度图中每个像素点的特征构成的特征图,所述特征图包括:LBP特征图、梯度幅值特征图和梯度方向特征图;设置深度卷积网络的各个网络层及分类器的初始参数,将步骤a中获得的灰度图和步骤b中获得的特征图输入所述深度卷积网络以提取高层特征即深度卷积特征,并将所述深度卷积特征输入到所述分类器,所述分类器获得系统的前向预测输出,其中深度卷积网络和分类器的参数均为前一次学习的结果;将步骤c获得的所述前向预测输出与所述训练样本集图片的标签进行比对,将两者的误差反传,根据所述误差来更新所述深度卷积网络的参数和所述分类器的参数。For example, the authorized announcement number is CN05825235B, and the authorized announcement date is 2018.12.25, an image recognition method based on multi-feature map deep learning, including the training process of multi-feature map deep learning and the process of using the trained deep learning system for image recognition. , wherein, the training process of the multi-feature map deep learning includes the following steps: step a: obtain the grayscale image of the training sample set picture; obtain the feature of each pixel in the grayscale image for the grayscale image The feature map of composition, described feature map comprises: LBP feature map, gradient amplitude feature map and gradient direction feature map; Set the initial parameters of each network layer of deep convolutional network and classifier, the grayscale obtained in step a The feature map obtained in the figure and step b is input into the deep convolutional network to extract high-level features, that is, deep convolutional features, and the deep convolutional features are input into the classifier, and the classifier obtains the forward direction of the system The prediction output, wherein the parameters of the deep convolutional network and the classifier are the results of the previous study; the forward prediction output obtained in step c is compared with the label of the training sample set picture, and the error of the two Backpropagation, updating parameters of the deep convolutional network and parameters of the classifier according to the error.
彩涂机组涂层室环境恶劣,油漆味道大,但是此区域没有视频监控,部分故障造成的后果十分严重,因此,亟需设计一种通过图像识别自学习监测涂层室环境的方法来解决上述问题。The environment of the coating room of the color coating unit is harsh and the paint smells strong, but there is no video surveillance in this area, and the consequences caused by some failures are very serious. Therefore, it is urgent to design a method for monitoring the environment of the coating room through image recognition self-learning to solve the above problems. question.
发明内容Contents of the invention
本发明的目的是提供一种通过图像识别自学习监测涂层室环境的方法,以解决现有技术中的上述不足之处。The purpose of the present invention is to provide a method for monitoring the coating room environment through image recognition self-learning, so as to solve the above-mentioned deficiencies in the prior art.
为了实现上述目的,本发明提供如下技术方案:In order to achieve the above object, the present invention provides the following technical solutions:
一种通过图像识别自学习监测涂层室环境的方法,包括以下步骤:A method for monitoring the environment of a coating room through image recognition self-learning, comprising the following steps:
S1:在涂层室系统关键位置安装红外防爆摄像头;S1: Install infrared explosion-proof cameras at key positions of the coating room system;
S2:采集工艺和环境参数;S2: collecting process and environmental parameters;
S3:将采集的参数数据与已构建的可视化三维模型相互协同关联,可在模型空间中进行显示提示、报警等功能,并将采集的数据归入“大数据库”中;S3: Collaboratively correlate the collected parameter data with the constructed visual 3D model, display prompts, alarm and other functions in the model space, and put the collected data into the "big database";
S4:建立图像自学习算法系统;S4: Establish an image self-learning algorithm system;
S5:收集的数据达到一定规模后,开始学习分析,逐步优化判断标准;S5: After the collected data reaches a certain scale, start learning and analyzing, and gradually optimize the judgment criteria;
S6:开始进行实施数据的图像识别分析;S6: start image recognition and analysis of the implementation data;
S7:对比和检查;(1)对比实施数据与“库”中数据分析结论偏差并进行再次优化;(2)检查判断分析报警与三维空间的协同稳定度;S7: Comparison and inspection; (1) Compare the deviation between the implementation data and the data analysis conclusion in the "library" and optimize again; (2) Check and judge the synergistic stability between the analysis alarm and the three-dimensional space;
S8:验证实施。S8: Verify implementation.
作为本发明优选的实施例,所述步骤2中的采集参数包括:(1)采集涂层室内集涂层室内辊涂机等关键设备运行时的工艺参数、(2)采集涂层室内的环境参数。As a preferred embodiment of the present invention, the collection parameters in step 2 include: (1) collection of process parameters in the coating chamber when key equipment such as roller coaters in the coating chamber are in operation, (2) collection of the environment in the coating chamber parameter.
作为本发明优选的实施例,所述工艺参数包括面涂/背涂速度、辊子压力比、辊涂负载、带钢规格和速度等生产数据参数等。As a preferred embodiment of the present invention, the process parameters include production data parameters such as top coating/back coating speed, roller pressure ratio, roller coating load, steel strip specification and speed, etc.
作为本发明优选的实施例,所述环境参数包括环境温度、湿度、带钢表面温度、轴承温度、烟雾参数等。As a preferred embodiment of the present invention, the environmental parameters include ambient temperature, humidity, steel strip surface temperature, bearing temperature, smoke parameters and the like.
作为本发明优选的实施例,所述工艺参数和环境参数均通过传感器检测上传获取数据。As a preferred embodiment of the present invention, the process parameters and environmental parameters are both detected and uploaded to acquire data by sensors.
作为本发明优选的实施例,所述步骤S4中的建立学习算法的具体过程为训练图像采集—预处理—特征提取—模型测试—输出结果。As a preferred embodiment of the present invention, the specific process of establishing the learning algorithm in the step S4 is training image collection—preprocessing—feature extraction—model testing—outputting results.
作为本发明优选的实施例,所述步骤S5中的自学习、逐步优化判断标准的具体过程为:图像输入—层1—层2—层3—图像标签。As a preferred embodiment of the present invention, the specific process of self-learning and gradually optimizing the judgment criteria in the step S5 is: image input—layer 1—layer 2—layer 3—image label.
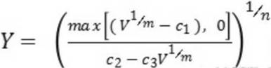
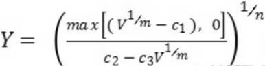
作为本发明优选的实施例,所述图像处理的方法为:(1)接收图像的感知曲线数字代码值D;(2)从所述感知曲线数字代码值D确定归一化感知曲线信号值V;(3)基于以下函数模型确定归一化颜色分量值Y:,其中,基于人类视觉的对比敏感度的感知曲线数字代码值集合与颜色分量水平集合之间的映射是基于所述函数模型的;并且从所述归一化颜色分量值Y确定颜色分量绝对值L,以便用于图形显示。As a preferred embodiment of the present invention, the image processing method is: (1) receiving the perceptual curve digital code value D of the image; (2) determining the normalized perceptual curve signal value V from the perceptual curve digital code value D ; (3) Determine the normalized color component value Y based on the following function model: , wherein the mapping between the set of perceptual curve digital code values and the set of color component levels based on the contrast sensitivity of human vision is based on the functional model; and the absolute value of the color component is determined from the normalized color component value Y L for graphical display.
作为本发明优选的实施例,所述参数n代表数量、m代表时间段、c1、c2和c3是选定范围内预定值。As a preferred embodiment of the present invention, the parameter n represents the number, m represents the time period, c1, c2 and c3 are predetermined values within a selected range.
作为本发明优选的实施例,所述根据图像不同的颜色,可应对不同的场景。As a preferred embodiment of the present invention, according to the different colors of the image, different scenes can be dealt with.
在上述技术方案中,本发明提供的一种通过图像识别自学习监测涂层室环境的方法,有益效果:本方法在涂层室新增红外防爆摄像头,将中心传递的设备运行数据与环境监控的实时数据集成在与可视化三维模型中,构建协同空间,对于火灾/机器异常等故障,构建监控、温感、烟雾感应器等多数据监控,通过大数据自学习,在判断设备早期故障、火灾评估、故障快检等方面提供决策支持,通过故障与诊断保证维护设备运行稳定,通过危险场景预警判断保证设备人员生命安全。In the above technical solution, the present invention provides a method for monitoring the environment of the coating room through image recognition self-learning, which has beneficial effects: this method adds an infrared explosion-proof camera to the coating room, and the equipment operation data and environment monitoring transmitted by the center The real-time data is integrated in the visualized 3D model to build a collaborative space. For faults such as fire/machine abnormality, multiple data monitoring such as monitoring, temperature sensor, and smoke sensor are built. Through big data self-learning, it can judge early equipment faults, fire Provide decision support in terms of evaluation and quick fault detection, ensure the stable operation of maintenance equipment through fault and diagnosis, and ensure the safety of equipment personnel through early warning and judgment of dangerous scenes.
附图说明Description of drawings
为了更清楚地说明本申请实施例或现有技术中的技术方案,下面将对实施例中所需要使用的附图作简单地介绍,显而易见地,下面描述中的附图仅仅是本发明中记载的一些实施例,对于本领域普通技术人员来讲,还可以根据这些附图获得其他的附图。In order to more clearly illustrate the technical solutions in the embodiments of the present application or the prior art, the following will briefly introduce the accompanying drawings that are required in the embodiments. Obviously, the accompanying drawings in the following description are only described in the present invention For some embodiments of the present invention, those skilled in the art can also obtain other drawings according to these drawings.
图1为本发明一种通过图像识别自学习监测涂层室环境的方法实施例提供的自学习算法系统的具体过程流程结构示意图。FIG. 1 is a schematic structural diagram of the specific process flow of the self-learning algorithm system provided by the embodiment of the method for monitoring the environment of the coating room through image recognition self-learning according to the present invention.
图2为本发明一种通过图像识别自学习监测涂层室环境的方法实施例提供的逐步优化判断标准的具体过程流程结构示意图。Fig. 2 is a schematic diagram of the specific process flow structure of the step-by-step optimization of the judgment standard provided by the embodiment of the method for monitoring the environment of the coating room through image recognition self-learning in the present invention.
图3为本发明一种通过图像识别自学习监测涂层室环境的方法实施例提供的流程结构示意图。Fig. 3 is a schematic diagram of a flow chart provided by an embodiment of a method for monitoring the environment of a coating room through image recognition self-learning in the present invention.
具体实施方式Detailed ways
为了使本领域的技术人员更好地理解本发明的技术方案,下面将结合附图对本发明作进一步的详细介绍。In order to enable those skilled in the art to better understand the technical solutions of the present invention, the present invention will be further described in detail below in conjunction with the accompanying drawings.
如图1-3所示,本发明实施例提供的一种通过图像识别自学习监测涂层室环境的方法,包括以下步骤:As shown in Figures 1-3, a method for monitoring the environment of a coating room through image recognition self-learning provided by an embodiment of the present invention includes the following steps:
S1:在涂层室系统关键位置安装红外防爆摄像头;S1: Install infrared explosion-proof cameras at key positions of the coating room system;
S2:采集工艺和环境参数;S2: collecting process and environmental parameters;
S3:将采集的参数数据与已构建的可视化三维模型相互协同关联,可在模型空间中进行显示提示、报警等功能,并将采集的数据归入“大数据库”中;S3: Collaboratively correlate the collected parameter data with the constructed visual 3D model, display prompts, alarm and other functions in the model space, and put the collected data into the "big database";
S4:建立图像自学习算法系统;S4: Establish an image self-learning algorithm system;
S5:收集的数据达到一定规模后,开始学习分析,逐步优化判断标准;S5: After the collected data reaches a certain scale, start learning and analyzing, and gradually optimize the judgment criteria;
S6:开始进行实施数据的图像识别分析;S6: start image recognition and analysis of the implementation data;
S7:对比和检查;(1)对比实施数据与“库”中数据分析结论偏差并进行再次优化;(2)检查判断分析报警与三维空间的协同稳定度;S7: Comparison and inspection; (1) Compare the deviation between the implementation data and the data analysis conclusion in the "library" and optimize again; (2) Check and judge the synergistic stability between the analysis alarm and the three-dimensional space;
S8:验证实施。S8: Verify implementation.
具体的,本实施例中,一种通过图像识别自学习监测涂层室环境的方法,包括以下步骤:S1:在涂层室系统关键位置安装红外防爆摄像头;S2:采集工艺和环境参数;S3:将采集的参数数据与已构建的可视化三维模型相互协同关联,可在模型空间中进行显示提示、报警等功能,并将采集的数据归入“大数据库”中;S4:建立图像自学习算法系统;S5:收集的数据达到一定规模后,开始学习分析,逐步优化判断标准;S6:开始进行实施数据的图像识别分析;S7:对比和检查;(1)对比实施数据与“库”中数据分析结论偏差并进行再次优化;(2)检查判断分析报警与三维空间的协同稳定度;S8:验证实施,本方法在涂层室新增红外防爆摄像头,将中心传递的设备运行数据与环境监控的实时数据集成在与可视化三维模型中,构建协同空间,对于火灾/机器异常等故障,构建监控、温感、烟雾感应器等多数据监控,通过大数据自学习,在判断设备早期故障、火灾评估、故障快检等方面提供决策支持。Specifically, in this embodiment, a method for monitoring the coating room environment through image recognition self-learning includes the following steps: S1: installing an infrared explosion-proof camera at a key position of the coating room system; S2: collecting process and environmental parameters; S3 : The collected parameter data and the constructed visual 3D model are collaboratively correlated with each other, and functions such as display prompts and alarms can be performed in the model space, and the collected data is included in the "big database"; S4: Establish image self-learning algorithm System; S5: After the collected data reaches a certain scale, start learning and analyzing, and gradually optimize the judgment standard; S6: Start image recognition and analysis of the implementation data; S7: Comparison and inspection; (1) Compare the implementation data with the data in the "library" Analyze the deviation of the conclusion and optimize it again; (2) Check and judge the synergistic stability between the alarm and the three-dimensional space; S8: verify the implementation, this method adds an infrared explosion-proof camera in the coating room, and the equipment operation data transmitted by the center and the environment monitoring The real-time data is integrated in the visualized 3D model to build a collaborative space. For faults such as fire/machine abnormality, multiple data monitoring such as monitoring, temperature sensor, and smoke sensor are built. Through big data self-learning, it can judge early equipment faults, fire Provide decision support in terms of evaluation, quick fault detection, etc.
本发明提供的一种通过图像识别自学习监测涂层室环境的方法,本方法在涂层室新增红外防爆摄像头,将中心传递的设备运行数据与环境监控的实时数据集成在与可视化三维模型中,构建协同空间,对于火灾/机器异常等故障,构建监控、温感、烟雾感应器等多数据监控,通过大数据自学习,在判断设备早期故障、火灾评估、故障快检等方面提供决策支持,通过故障与诊断保证维护设备运行稳定,通过危险场景预警判断保证设备人员生命安全。The invention provides a method for monitoring the environment of the coating room through image recognition self-learning. This method adds an infrared explosion-proof camera to the coating room, and integrates the equipment operation data transmitted by the center and the real-time data of environmental monitoring into the visualized three-dimensional model. In the middle, build a collaborative space. For faults such as fire/machine abnormality, build monitoring, temperature sensor, smoke sensor and other multi-data monitoring. Through big data self-learning, provide decision-making in judging early equipment failures, fire evaluation, and quick fault detection. Support, ensure the stable operation of maintenance equipment through fault and diagnosis, and ensure the safety of equipment personnel through early warning and judgment of dangerous scenes.
本发明提供的另一个实施例中,如图1所示的,步骤2中的采集参数包括:(1)采集涂层室内集涂层室内辊涂机等关键设备运行时的工艺参数、(2)采集涂层室内的环境参数。In another embodiment provided by the present invention, as shown in Figure 1, the collection parameters in step 2 include: (1) collection of process parameters during the operation of key equipment such as the roller coater in the coating room and the coating room, (2 ) to collect the environmental parameters in the coating chamber.
本发明提供的另一个实施例中,如图1所示的,工艺参数包括面涂/背涂速度、辊子压力比、辊涂负载、带钢规格和速度等生产数据参数等。In another embodiment provided by the present invention, as shown in FIG. 1 , the process parameters include production data parameters such as top coating/back coating speed, roller pressure ratio, roller coating load, strip specification and speed, etc.
作为本发明优选的实施例,环境参数包括环境温度、湿度、带钢表面温度、轴承温度、烟雾参数等。As a preferred embodiment of the present invention, the environmental parameters include ambient temperature, humidity, steel strip surface temperature, bearing temperature, smoke parameters and the like.
本发明提供的另一个实施例中,工艺参数和环境参数均通过传感器检测上传获取数据。In another embodiment provided by the present invention, both process parameters and environmental parameters are detected and uploaded to acquire data through sensors.
本发明提供的另一个实施例中,如图2所示的,步骤S4中的建立学习算法的具体过程为训练图像采集—预处理—特征提取—模型测试—输出结果。In another embodiment provided by the present invention, as shown in FIG. 2 , the specific process of establishing a learning algorithm in step S4 is training image collection—preprocessing—feature extraction—model testing—outputting results.
本发明提供的另一个实施例中,如图3所示的,步骤S5中的自学习、逐步优化判断标准的具体过程为:图像输入—层1—层2—层3—图像标签。In another embodiment provided by the present invention, as shown in FIG. 3 , the specific process of self-learning and gradually optimizing the judgment criteria in step S5 is: image input—layer 1—layer 2—layer 3—image label.
本发明提供的另一个实施例中,图像处理的方法为:(1)接收图像的感知曲线数字代码值D;(2)从感知曲线数字代码值D确定归一化感知曲线信号值V;(3)基于以下函数模型确定归一化颜色分量值Y:,其中,基于人类视觉的对比敏感度的感知曲线数字代码值集合与颜色分量水平集合之间的映射是基于函数模型的;并且从归一化颜色分量值Y确定颜色分量绝对值L,以便用于图形显示。In another embodiment provided by the present invention, the image processing method is: (1) receiving the perceptual curve digital code value D of the image; (2) determining the normalized perceptual curve signal value V from the perceptual curve digital code value D; ( 3) Determine the normalized color component value Y based on the following function model: , where the mapping between the set of perceptual curve digital code values and the set of color component levels based on the contrast sensitivity of human vision is based on a functional model; and the absolute value of the color component L is determined from the normalized color component value Y in order to use in the graphic display.
本发明提供的另一个实施例中,参数n代表数量、m代表时间段、c1、c2和c3是选定范围内预定值。In another embodiment provided by the present invention, the parameter n represents the number, m represents the time period, and c1, c2 and c3 are predetermined values within a selected range.
本发明提供的另一个实施例中,根据图像不同的颜色,可应对不同的场景。In another embodiment provided by the present invention, different scenes can be handled according to different colors of images.
实施例一Embodiment one
一种通过图像识别自学习监测涂层室环境的方法,包括以下步骤:S1:在涂层室系统关键位置安装红外防爆摄像头;S2:采集工艺和环境参数;S3:将采集的参数数据与已构建的可视化三维模型相互协同关联,可在模型空间中进行显示提示、报警等功能,并将采集的数据归入“大数据库”中;S4:建立图像自学习算法系统;S5:收集的数据达到一定规模后,开始学习分析,逐步优化判断标准;S6:开始进行实施数据的图像识别分析;S7:对比和检查;(1)对比实施数据与“库”中数据分析结论偏差并进行再次优化;(2)检查判断分析报警与三维空间的协同稳定度;S8:验证实施A method for monitoring the environment of a coating room through image recognition self-learning, comprising the following steps: S1: installing an infrared explosion-proof camera at a key position of the coating room system; S2: collecting process and environmental parameters; S3: combining the collected parameter data with the The constructed visualized 3D models are coordinated and correlated with each other, and can perform functions such as display prompts and alarms in the model space, and the collected data are included in the "big database"; S4: Establish an image self-learning algorithm system; S5: The collected data reaches After a certain scale, start to learn and analyze, and gradually optimize the judgment standard; S6: start image recognition and analysis of the implementation data; S7: comparison and inspection; (1) compare the deviation between the implementation data and the data analysis conclusion in the "library" and optimize again; (2) Check, judge and analyze the synergistic stability between the alarm and the three-dimensional space; S8: Verify the implementation
本发明提供的另一个实施例中,如图1所示的,步骤2中的采集参数包括:(1)采集涂层室内集涂层室内辊涂机等关键设备运行时的工艺参数(工艺参数包括面涂/背涂速度、辊子压力比、辊涂负载、带钢规格和速度等生产数据参数等)、(2)采集涂层室内的环境参数(环境参数包括环境温度、湿度、带钢表面温度、轴承温度、烟雾参数等)。In another embodiment provided by the present invention, as shown in Figure 1, the collection parameters in step 2 include: (1) collection of process parameters (process parameters Including production data parameters such as top/back coating speed, roller pressure ratio, roller coating load, strip steel specification and speed, etc.), (2) Collect environmental parameters in the coating room (environmental parameters include ambient temperature, humidity, strip surface temperature, bearing temperature, smoke parameters, etc.).
本发明提供的另一个实施例中,工艺参数和环境参数均通过传感器检测上传获取数据。In another embodiment provided by the present invention, both process parameters and environmental parameters are detected and uploaded to acquire data through sensors.
本发明提供的另一个实施例中,如图2所示的,步骤S5中的建立学习算法的具体过程为训练图像采集—预处理—特征提取—模型测试—输出结果。In another embodiment provided by the present invention, as shown in FIG. 2 , the specific process of establishing a learning algorithm in step S5 is training image collection—preprocessing—feature extraction—model testing—outputting results.
本发明提供的另一个实施例中,如图3所示的,步骤S5中的自学习、逐步优化判断标准的具体过程为:图像输入—层1—层2—层3—图像标签。In another embodiment provided by the present invention, as shown in FIG. 3 , the specific process of self-learning and gradually optimizing the judgment criteria in step S5 is: image input—layer 1—layer 2—layer 3—image label.
本发明提供的另一个实施例中,图像处理的方法为:(1)接收图像的感知曲线数字代码值D;(2)从感知曲线数字代码值D确定归一化感知曲线信号值V;(3)基于以下函数模型确定归一化颜色分量值Y:,其中,基于人类视觉的对比敏感度的感知曲线数字代码值集合与颜色分量水平集合之间的映射是基于函数模型的;并且从归一化颜色分量值Y确定颜色分量绝对值L,以便用于图形显示,参数n代表数量、m代表时间段、c1、c2和c3是选定范围内预定值,根据图像不同的颜色,可应对不同的场景。In another embodiment provided by the present invention, the image processing method is: (1) receiving the perceptual curve digital code value D of the image; (2) determining the normalized perceptual curve signal value V from the perceptual curve digital code value D; ( 3) Determine the normalized color component value Y based on the following function model: , where the mapping between the set of perceptual curve digital code values and the set of color component levels based on the contrast sensitivity of human vision is based on a functional model; and the absolute value of the color component L is determined from the normalized color component value Y in order to use For graphic display, the parameter n represents the number, m represents the time period, c1, c2 and c3 are predetermined values within the selected range, and can deal with different scenes according to different colors of the image.
工作原理:该通过图像识别自学习监测涂层室环境的方法的步骤为S1:在涂层室系统关键位置安装红外防爆摄像头;S2:采集工艺和环境参数,(1)采集涂层室内集涂层室内辊涂机等关键设备运行时的工艺参数,工艺参数包括:包括面涂/背涂速度、辊子压力比、辊涂负载、带钢规格和速度等生产数据参数等;(2)采集涂层室内的环境参数,环境参数包括环境温度、湿度、带钢表面温度、轴承温度、烟雾参数等;S3:将采集的参数数据与已构建的可视化三维模型相互协同关联,可在模型空间中进行显示提示、报警等功能,并将采集的数据归入“大数据库”中;S4:建立图像自学习算法系统,建立学习算法的具体过程为训练图像采集—预处理—特征提取—模型测试—输出结果;S5:收集的数据达到一定规模后,开始学习分析,逐步优化判断标准,自学习、逐步优化判断标准的具体过程为:图像输入—层1—层2—层3—图像标签;S6:开始进行实施数据的图像识别分析;S7:对比和检查;(1)对比实施数据与“库”中数据分析结论偏差并进行再次优化;(2)检查判断分析报警与三维空间的协同稳定度;S8:验证实施,对图像处理的方法为接收图像的感知曲线数字代码值D;(2)从所述感知曲线数字代码值D确定归一化感知曲线信号值V;(3)基于以下函数模型确定归一化颜色分量值Y:,其中,基于人类视觉的对比敏感度的感知曲线数字代码值集合与颜色分量水平集合之间的映射是基于所述函数模型的;并且从所述归一化颜色分量值Y确定颜色分量绝对值L,以便用于图形显示,参数n代表数量、m代表时间段、c1、c2和c3是选定范围内预定值,根据图像不同的颜色,可应对不同的场景。Working principle: The steps of the method of monitoring the environment of the coating room through image recognition self-learning are S1: installing an infrared explosion-proof camera at a key position of the coating room system; S2: collecting process and environmental parameters, (1) collecting the collected coating in the coating room Process parameters of key equipment such as roller coaters in the layer chamber during operation. The process parameters include: production data parameters including top coating/back coating speed, roller pressure ratio, roller coating load, strip steel specification and speed, etc.; (2) collecting coating Environmental parameters in the layer room, including environmental temperature, humidity, steel surface temperature, bearing temperature, smoke parameters, etc.; S3: The collected parameter data and the constructed visual 3D model are collaboratively correlated, which can be carried out in the model space Display prompts, alarms and other functions, and put the collected data into the "big database"; S4: Establish an image self-learning algorithm system, and the specific process of establishing a learning algorithm is training image collection—preprocessing—feature extraction—model testing—output Results; S5: After the collected data reaches a certain scale, start to learn and analyze, and gradually optimize the judgment criteria. The specific process of self-learning and gradual optimization of the judgment criteria is: image input—layer 1—layer 2—layer 3—image label; S6: Start the image recognition and analysis of the implementation data; S7: Comparison and inspection; (1) Compare the deviation between the implementation data and the data analysis conclusion in the "library" and optimize again; (2) Check and judge the collaborative stability of the analysis alarm and the three-dimensional space; S8: Verify the implementation, the image processing method is to receive the digital code value D of the perceptual curve of the image; (2) determine the normalized perceptual curve signal value V from the digital code value D of the perceptual curve; (3) based on the following function model Determine the normalized color component value Y: , wherein the mapping between the set of perceptual curve digital code values and the set of color component levels based on the contrast sensitivity of human vision is based on the functional model; and the absolute value of the color component is determined from the normalized color component value Y L, for graphic display, the parameter n represents the number, m represents the time period, c1, c2 and c3 are predetermined values in the selected range, and can deal with different scenes according to different colors of the image.
以上只通过说明的方式描述了本发明的某些示范性实施例,毋庸置疑,对于本领域的普通技术人员,在不偏离本发明的精神和范围的情况下,可以用各种不同的方式对所描述的实施例进行修正。因此,上述附图和描述在本质上是说明性的,不应理解为对本发明权利要求保护范围的限制。Certain exemplary embodiments of the present invention have been described above only by way of illustration, and it goes without saying that those skilled in the art can use various methods without departing from the spirit and scope of the present invention. The described embodiments are modified. Therefore, the above drawings and descriptions are illustrative in nature and should not be construed as limiting the protection scope of the claims of the present invention.
Claims (10)
Priority Applications (1)
| Application Number | Priority Date | Filing Date | Title |
|---|---|---|---|
| CN202211496301.9A CN115797862A (en) | 2022-11-26 | 2022-11-26 | A Method for Monitoring the Environment of Coating Room by Image Recognition Self-learning |
Applications Claiming Priority (1)
| Application Number | Priority Date | Filing Date | Title |
|---|---|---|---|
| CN202211496301.9A CN115797862A (en) | 2022-11-26 | 2022-11-26 | A Method for Monitoring the Environment of Coating Room by Image Recognition Self-learning |
Publications (1)
| Publication Number | Publication Date |
|---|---|
| CN115797862A true CN115797862A (en) | 2023-03-14 |
Family
ID=85441922
Family Applications (1)
| Application Number | Title | Priority Date | Filing Date |
|---|---|---|---|
| CN202211496301.9A Pending CN115797862A (en) | 2022-11-26 | 2022-11-26 | A Method for Monitoring the Environment of Coating Room by Image Recognition Self-learning |
Country Status (1)
| Country | Link |
|---|---|
| CN (1) | CN115797862A (en) |
Citations (5)
| Publication number | Priority date | Publication date | Assignee | Title |
|---|---|---|---|---|
| CN106095352A (en) * | 2011-12-06 | 2016-11-09 | 杜比实验室特许公司 | Improve apparatus and method based on the exchange of perceived illumination intensity nonlinear view data between different display capabilities |
| CN109543631A (en) * | 2018-11-28 | 2019-03-29 | 公安部沈阳消防研究所 | A kind of fire image detection alarm method based on machine learning |
| CN112072798A (en) * | 2020-09-23 | 2020-12-11 | 国网河南省电力公司南阳供电公司 | Fire-fighting auxiliary control integrated monitoring system and monitoring method for intelligent substation |
| KR20220048636A (en) * | 2020-10-13 | 2022-04-20 | 미소에이스 주식회사 | Indoor low coal field self-ingnition monitoring system based on deep learning model |
| CN114565529A (en) * | 2022-02-28 | 2022-05-31 | 浙江大学 | Optical environment self-adaptive high dynamic range image modulation method |
-
2022
- 2022-11-26 CN CN202211496301.9A patent/CN115797862A/en active Pending
Patent Citations (5)
| Publication number | Priority date | Publication date | Assignee | Title |
|---|---|---|---|---|
| CN106095352A (en) * | 2011-12-06 | 2016-11-09 | 杜比实验室特许公司 | Improve apparatus and method based on the exchange of perceived illumination intensity nonlinear view data between different display capabilities |
| CN109543631A (en) * | 2018-11-28 | 2019-03-29 | 公安部沈阳消防研究所 | A kind of fire image detection alarm method based on machine learning |
| CN112072798A (en) * | 2020-09-23 | 2020-12-11 | 国网河南省电力公司南阳供电公司 | Fire-fighting auxiliary control integrated monitoring system and monitoring method for intelligent substation |
| KR20220048636A (en) * | 2020-10-13 | 2022-04-20 | 미소에이스 주식회사 | Indoor low coal field self-ingnition monitoring system based on deep learning model |
| CN114565529A (en) * | 2022-02-28 | 2022-05-31 | 浙江大学 | Optical environment self-adaptive high dynamic range image modulation method |
Similar Documents
| Publication | Publication Date | Title |
|---|---|---|
| CN103632158B (en) | Forest fire prevention monitor method and forest fire prevention monitor system | |
| CA3081967C (en) | Method and system for connected advanced flare analytics | |
| CN113820326B (en) | Defect detection system of long-code zipper | |
| CN118067727B (en) | Rotor welding defect assessment method | |
| CN112967335B (en) | Bubble size monitoring method and device | |
| CN110255318B (en) | Method for detecting idle articles in elevator car based on image semantic segmentation | |
| CN111178424A (en) | Petrochemical production site safety compliance real-time detection system and method | |
| CN113095160B (en) | Power system personnel safety behavior identification method and system based on artificial intelligence and 5G | |
| CN116091506B (en) | Machine vision defect quality inspection method based on YOLOV5 | |
| CN112801965A (en) | Sintering belt foreign matter monitoring method and system based on convolutional neural network | |
| CN112465747A (en) | Intelligent identification method for transmission tower hardware corrosion | |
| CN107977531A (en) | A kind of method that ground resistance hard measurement is carried out based on image procossing and field mathematical model | |
| CN111178198A (en) | An automatic monitoring method for laboratory dangerous goods safety hazards based on machine vision | |
| EP3748444B1 (en) | Method and system for connected advanced flare analytics | |
| CN117994220A (en) | Highway pavement detection method | |
| CN115346208A (en) | Identification method for sealing member and other illegal members in scrap steel grading | |
| CN115797862A (en) | A Method for Monitoring the Environment of Coating Room by Image Recognition Self-learning | |
| CN119359630B (en) | An intelligent detection method and system for steel surface defect identification | |
| CN101853393A (en) | Automatic production and automatic learning method of machine vision system detection algorithm | |
| CN115909623B (en) | A method, system, electronic equipment and medium for abnormal early warning of fully mechanized mining working face | |
| CN117853295B (en) | A safety and environmental protection emergency system based on industrial interconnection and digital panorama | |
| CN119579673A (en) | Smoke detection method and device | |
| CN106875414B (en) | A kind of moving target detecting method of view-based access control model quality sensor model | |
| TWI739203B (en) | A method and system of evaluating the valid analysis region of images | |
| CN108181315B (en) | A kind of biscuit damage detection device and detection method based on image processing |
Legal Events
| Date | Code | Title | Description |
|---|---|---|---|
| PB01 | Publication | ||
| PB01 | Publication | ||
| SE01 | Entry into force of request for substantive examination | ||
| SE01 | Entry into force of request for substantive examination |





