CN115779258A - IABP balloon adjusting method and device - Google Patents
IABP balloon adjusting method and device Download PDFInfo
- Publication number
- CN115779258A CN115779258A CN202211605096.5A CN202211605096A CN115779258A CN 115779258 A CN115779258 A CN 115779258A CN 202211605096 A CN202211605096 A CN 202211605096A CN 115779258 A CN115779258 A CN 115779258A
- Authority
- CN
- China
- Prior art keywords
- volume
- counterpulsation
- balloon
- pressure
- trigger
- Prior art date
- Legal status (The legal status is an assumption and is not a legal conclusion. Google has not performed a legal analysis and makes no representation as to the accuracy of the status listed.)
- Granted
Links
Images
Landscapes
- Media Introduction/Drainage Providing Device (AREA)
Abstract
Description
技术领域technical field
本发明涉及医疗器械技术领域,特别是涉及一种IABP的球囊调节方法及装置。The invention relates to the technical field of medical devices, in particular to an IABP balloon adjustment method and device.
背景技术Background technique
IABP(Intra-Aortic BalloonPump,主动脉内球囊反搏泵)通过增加冠状动脉和体循环的血液灌注量,降低心肌的工作负荷,为心肌供氧不足的患者提供心脏支持。IABP能够提高舒张压、增加冠状动脉灌注、增加心肌氧供给、降低左室后负荷、减轻心脏做功、减少心肌缺氧等。IABP (Intra-Aortic Balloon Pump) increases the blood perfusion of coronary artery and systemic circulation, reduces the workload of myocardium, and provides cardiac support for patients with insufficient myocardial oxygen supply. IABP can increase diastolic blood pressure, increase coronary perfusion, increase myocardial oxygen supply, reduce left ventricular afterload, reduce cardiac work, and reduce myocardial hypoxia.
IABP的主要结构如图1所示,IABP主要包括控制装置、球囊,在实际使用时,将球囊置于患者的降主动脉内,控制装置置于患者体外,控制装置通过球囊充气管路与球囊相连接。控制装置通过检测心脏的舒张和收缩对球囊进行充气和放气,以增加心输出量,提高冠状动脉的灌注,其中,控制装置包括风箱、电机,上述风箱为波纹管风箱,上述电机为步进电机,风箱分别与进气管路、球囊充气管路相连接。在开始反搏前,气体通过进气管路进入风箱,电机带动风箱收缩拉伸,风箱收缩时,通过球囊充气管路将气体排入球囊;风箱拉伸时,将球囊内的气体吸回风箱内部,通过调整电机的运动以使得球囊达到期望的体积,从而实现反搏。The main structure of the IABP is shown in Figure 1. The IABP mainly includes a control device and a balloon. In actual use, the balloon is placed in the patient's descending aorta, the control device is placed outside the patient's body, and the control device passes through the balloon inflation tube. The road is connected to the balloon. The control device inflates and deflates the balloon by detecting the diastole and contraction of the heart, so as to increase the cardiac output and improve the perfusion of the coronary arteries. The control device includes a bellows and a motor. The air intake motor and the bellows are respectively connected with the air intake pipeline and the balloon inflation pipeline. Before starting counterpulsation, the gas enters the bellows through the intake pipeline, and the motor drives the bellows to shrink and stretch. When the bellows shrinks, the gas is discharged into the balloon through the balloon inflation pipeline; Back to the inside of the air box, by adjusting the movement of the motor to make the balloon reach the desired volume, so as to achieve counterpulsation.
然而,受到人体的动脉血压等体内环境因素的影响,在进行反搏时球囊的实际体积与期望球囊达到的体积之间是有差异的,从而导致难以较为准确达到预期效果。However, affected by internal environmental factors such as the arterial blood pressure of the human body, there is a difference between the actual volume of the balloon and the expected volume of the balloon during counterpulsation, which makes it difficult to achieve the expected effect more accurately.
发明内容Contents of the invention
本发明实施例的目的在于提供一种IABP的球囊调节方法及装置,以更准确达到预期效果。具体技术方案如下:The purpose of the embodiments of the present invention is to provide an IABP balloon adjustment method and device, so as to more accurately achieve the desired effect. The specific technical scheme is as follows:
第一方面,本发明实施例提供了一种IABP的球囊调节方法,所述方法包括:In the first aspect, an embodiment of the present invention provides a method for regulating a balloon of IABP, the method comprising:
在当前反搏触发前,获得上一反搏触发前球囊的第一压力、以及上一反搏触发后球囊的第二压力;Before the current counterpulsation is triggered, the first pressure of the balloon before the previous counterpulsation is triggered, and the second pressure of the balloon after the last counterpulsation is triggered;
基于所述第一压力与第二压力,计算上一反搏触发后球囊的实际体积;Based on the first pressure and the second pressure, calculate the actual volume of the balloon after the last counterpulsation trigger;
在当前反搏触发开始后,计算所述实际体积与预设体积之间的体积差,基于所述体积差,对上一反搏触发后的电机运动步数进行更新,其中,所述预设体积为:预先设定的期望所述球囊在反搏时达到的体积;After the current counterpulsation trigger starts, calculate the volume difference between the actual volume and the preset volume, and based on the volume difference, update the number of motor movement steps after the last counterpulsation trigger, wherein the preset The volume is: the pre-set volume expected to be achieved by the balloon during counterpulsation;
按照更新后的运动步数操作电机,以实现对所述球囊进行体积调节。The motor is operated according to the updated number of motion steps to realize volume adjustment of the balloon.
本发明的一个实施例中,在所述基于所述第一压力与第二压力,计算上一反搏触发后球囊的实际体积之前,还包括:In an embodiment of the present invention, before calculating the actual volume of the balloon after the last counterpulsation trigger based on the first pressure and the second pressure, it further includes:
基于风箱初始体积、以及上一反搏触发后的电机运动步数,计算上一反搏触发后风箱的剩余体积;Based on the initial volume of the bellows and the number of motor movement steps after the last counterpulse trigger, calculate the remaining volume of the bellows after the last counterpulse trigger;
所述基于所述第一压力与第二压力,计算上一反搏触发后球囊的实际体积,包括:The calculation of the actual volume of the balloon after the last counterpulsation is triggered based on the first pressure and the second pressure includes:
基于所述风箱初始体积、剩余体积、第一压力与第二压力,计算上一反搏触发后球囊的实际体积。Based on the initial volume of the bellows, the remaining volume, the first pressure and the second pressure, the actual volume of the balloon after the last counterpulsation is triggered is calculated.
本发明的一个实施例中,上述基于所述风箱初始体积、剩余体积、第一压力与第二压力,计算上一反搏触发后球囊的实际体积,包括:In an embodiment of the present invention, the calculation of the actual volume of the balloon after the previous counterpulsation is triggered based on the initial volume of the bellows, the remaining volume, the first pressure and the second pressure includes:
按照以下表达式计算上一反搏触发后球囊的实际体积:Calculate the actual volume of the balloon after the last counterpulsation is triggered according to the following expression:
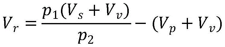
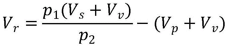
其中,Vr表示上一反搏触发后球囊的实际体积,p1表示第一压力,Vs表示风箱初始体积,Vv表示球囊充气管路所连接区域内不可压缩空间的体积,p2表示第二压力,Vp表示上一反搏触发后风箱的剩余体积。Among them, V r represents the actual volume of the balloon after the last counterpulsation was triggered, p 1 represents the first pressure, V s represents the initial volume of the bellows, V v represents the volume of the incompressible space in the area connected by the balloon inflation pipeline, p 2 represents the second pressure, and V p represents the remaining volume of the bellows after the last counterpulsation was triggered.
本发明的一个实施例中,上述基于所述体积差,对上一反搏触发后的电机运动步数进行更新,包括:In an embodiment of the present invention, based on the volume difference, the number of motor movement steps after the last counterpulsation trigger is updated, including:
计算体积差与单位体积运动步数之间的乘积,将计算得到的乘积作为运动步数差,其中,所述单位体积运动步数为:使球囊体积变化量为单位体积的电机运动步数;Calculate the product of the volume difference and the number of movement steps per unit volume, and use the calculated product as the difference in the number of movement steps, wherein the number of movement steps per unit volume is: the number of movement steps of the motor that makes the volume change of the balloon equal to the unit volume ;
基于所述运动步数差,对上一反搏触发后的电机运动步数进行更新。Based on the difference in the number of motion steps, the number of motor motion steps after the last counterpulsation trigger is updated.
本发明的一个实施例中,上述基于所述运动步数差,对上一反搏触发后的电机运动步数进行更新,包括:In an embodiment of the present invention, based on the difference in the number of movement steps, the number of movement steps of the motor after the last counterpulsation trigger is updated, including:
若实际体积大于预设体积,计算上一反搏触发后的电机运动步数与所述运动步数差之间的差值,将计算得到的差值确定为更新后的运动步数;If the actual volume is greater than the preset volume, calculate the difference between the number of motor movement steps after the last counterpulsation trigger and the difference between the number of movement steps, and determine the calculated difference as the updated number of movement steps;
若实际体积小于预设体积,计算上一反搏触发后的电机运动步数与所述运动步数差之间的和值,将计算得到的和值确定为更新后的运动步数。If the actual volume is smaller than the preset volume, calculate the sum of the motor movement steps after the last counterpulsation trigger and the difference in the movement steps, and determine the calculated sum as the updated movement steps.
第二方面,本发明实施例提供了一种IABP的球囊调节装置,所述装置包括:In the second aspect, an embodiment of the present invention provides an IABP balloon adjustment device, the device comprising:
压力获得模块,用于在当前反搏触发前,获得上一反搏触发前球囊的第一压力、以及上一反搏触发后球囊的第二压力;The pressure acquisition module is used to obtain the first pressure of the balloon before the last counterpulsation trigger and the second pressure of the balloon after the last counterpulsation trigger before the current counterpulsation trigger;
第一体积计算模块,用于基于所述第一压力与第二压力,计算上一反搏触发后球囊的实际体积;The first volume calculation module is configured to calculate the actual volume of the balloon after the last counterpulsation is triggered based on the first pressure and the second pressure;
步数更新模块,用于在当前反搏触发开始后,计算所述实际体积与预设体积之间的体积差,基于所述体积差,对上一反搏触发后的电机运动步数进行更新,其中,所述预设体积为:预先设定的期望所述球囊在反搏时达到的体积;The step number updating module is used to calculate the volume difference between the actual volume and the preset volume after the current counterpulsation trigger starts, and update the motor movement steps after the last counterpulsation trigger based on the volume difference , wherein the preset volume is: a preset volume that is expected to be achieved by the balloon during counterpulsation;
体积调节模块,用于按照更新后的运动步数操作电机,以实现对所述球囊进行体积调节。The volume adjustment module is used to operate the motor according to the updated number of motion steps, so as to adjust the volume of the balloon.
本发明的一个实施例中,上述装置还包括:In one embodiment of the present invention, the above-mentioned device also includes:
第二体积计算模块,用于在所述第一体积计算模块基于所述第一压力与第二压力,计算上一反搏触发后球囊的实际体积之前,基于风箱初始体积、以及上一反搏触发后的电机运动步数,计算上一反搏触发后风箱的剩余体积;The second volume calculation module is configured to, before the first volume calculation module calculates the actual volume of the balloon after the last counterpulse is triggered based on the first pressure and the second pressure, based on the initial volume of the bellows and the previous counterpulse The number of motor movement steps after the pulse is triggered, and the remaining volume of the bellows after the last counterpulse is triggered;
所述第一体积计算模块,具体用于基于所述风箱初始体积、剩余体积、第一压力与第二压力,计算上一反搏触发后球囊的实际体积。The first volume calculation module is specifically configured to calculate the actual volume of the balloon after the last counterpulsation is triggered based on the initial volume, the remaining volume, the first pressure and the second pressure of the bellows.
本发明的一个实施例中,上述第一体积计算模块,具体用于按照以下表达式计算上一反搏触发后球囊的实际体积:In an embodiment of the present invention, the above-mentioned first volume calculation module is specifically used to calculate the actual volume of the balloon after the last counterpulsation trigger according to the following expression:
其中,Vr表示上一反搏触发后球囊的实际体积,p1表示第一压力,Vs表示风箱初始体积,Vv表示球囊充气管路所连接区域内不可压缩空间的体积,p2表示第二压力,Vp表示上一反搏触发后风箱的剩余体积。Among them, V r represents the actual volume of the balloon after the last counterpulsation was triggered, p 1 represents the first pressure, V s represents the initial volume of the bellows, V v represents the volume of the incompressible space in the area connected by the balloon inflation pipeline, p 2 represents the second pressure, and V p represents the remaining volume of the bellows after the last counterpulsation was triggered.
本发明的一个实施例中,上述步数更新模块,包括:In one embodiment of the present invention, the above-mentioned steps update module includes:
步数差计算子模块,用于计算体积差与单位体积运动步数之间的乘积,将计算得到的乘积作为运动步数差,其中,所述单位体积运动步数为:使球囊体积变化量为单位体积的电机运动步数;The steps difference calculation sub-module is used to calculate the product of the volume difference and the number of movement steps per unit volume, and use the calculated product as the difference of movement steps, wherein the number of movement steps per unit volume is: to change the volume of the balloon The amount is the number of motor movement steps per unit volume;
步数更新子模块,用于基于所述运动步数差,对上一反搏触发后的电机运动步数进行更新。The step count updating sub-module is configured to update the motor motion step count after the previous counterpulsation trigger based on the motion step count difference.
本发明的一个实施例中,上述步数更新子模块,具体用于若实际体积大于预设体积,计算上一反搏触发后的电机运动步数与所述运动步数差之间的差值,将计算得到的差值确定为更新后的运动步数;若实际体积小于预设体积,计算上一反搏触发后的电机运动步数与所述运动步数差之间的和值,将计算得到的和值确定为更新后的运动步数。In one embodiment of the present invention, the above-mentioned steps update submodule is specifically used to calculate the difference between the motor movement steps after the last counterpulsation trigger and the movement step difference if the actual volume is greater than the preset volume , determine the calculated difference as the updated number of motion steps; if the actual volume is smaller than the preset volume, calculate the sum of the number of motor motion steps after the last counterpulsation trigger and the difference between the number of motion steps, and set The calculated sum value is determined as the updated number of motion steps.
第三方面,本发明实施例提供了一种电子设备,包括处理器、通信接口、存储器和通信总线,其中,处理器,通信接口,存储器通过通信总线完成相互间的通信;In a third aspect, an embodiment of the present invention provides an electronic device, including a processor, a communication interface, a memory, and a communication bus, wherein the processor, the communication interface, and the memory complete communication with each other through the communication bus;
存储器,用于存放计算机程序;memory for storing computer programs;
处理器,用于执行存储器上所存放的程序时,实现上述第一方面所述的方法步骤。The processor is configured to implement the method steps described in the first aspect above when executing the program stored in the memory.
第四方面,本发明实施例提供了一种计算机可读存储介质,该计算机可读存储介质内存储有计算机程序,所述计算机程序被处理器执行时实现上述第一方面所述的方法步骤。In a fourth aspect, an embodiment of the present invention provides a computer-readable storage medium, where a computer program is stored in the computer-readable storage medium, and when the computer program is executed by a processor, the method steps described in the above-mentioned first aspect are implemented.
本发明实施例还提供了一种包含指令的计算机程序产品,当其在计算机上运行时,使得计算机执行上述第一方面所述的方法步骤。An embodiment of the present invention also provides a computer program product containing instructions, which, when run on a computer, causes the computer to execute the method steps described in the first aspect above.
由以上可见,应用本发明实施例提供的方案时,由于上一反搏触发后球囊的实际体积能够准确地反映在当前电机现有运动步数的情况下球囊能够达到的充气体积,所以,实际体积与预设体积之间的体积差能够准确地反映球囊当前充气体积与期望充气体积之间的差异,从而基于上述体积差能够准确地对上一反搏触发后的电机运动步数进行更新,进而基于更新后的运动步数对球囊进行体积调节,以使得球囊充气体积尽可能接近预设体积,从而更准确达到预期效果。It can be seen from the above that when the solution provided by the embodiment of the present invention is applied, since the actual volume of the balloon after the last counterpulsation trigger can accurately reflect the inflated volume of the balloon under the current motor’s existing movement steps, so , the volume difference between the actual volume and the preset volume can accurately reflect the difference between the current inflated volume of the balloon and the expected inflated volume, so that based on the above volume difference, the motor movement steps after the last counterpulsation trigger can be accurately calculated The update is performed, and then the volume of the balloon is adjusted based on the updated number of motion steps, so that the inflated volume of the balloon is as close as possible to the preset volume, so as to more accurately achieve the desired effect.
并且,由于第一压力反映上一反搏触发前球囊在未充气的状态下的压力情况,上述第二压力反映上一反搏触发后球囊在充气的状态下的压力情况,又由于反搏触发前后球囊的压力能够反映反搏触发后球囊的实际体积,因此,基于第一压力与第二压力,能够准确地计算上一反搏触发后球囊的实际体积,进而准确地调节球囊体积,进一步准确达到预期效果。Moreover, since the first pressure reflects the pressure situation of the balloon in the uninflated state before the last counterpulsation trigger, the above-mentioned second pressure reflects the pressure situation of the balloon in the inflated state after the last counterpulsation trigger, and because the reaction The pressure of the balloon before and after the triggering of the counterpulsation can reflect the actual volume of the balloon after the triggering of the counterpulsation. Therefore, based on the first pressure and the second pressure, the actual volume of the balloon after the last counterpulsation is triggered can be accurately calculated, and then accurately adjusted. Balloon volume, further accurately achieve the desired effect.
另外,由于是在每一次反搏触发前后,对上一反搏触发后的电机运动步数进行更新,并按照更新后的运动步数调节球囊体积,从而使得每一次反搏能精确调节球囊体积,更好地达到预期效果。In addition, before and after each counterpulse is triggered, the number of motor movement steps after the previous counterpulse trigger is updated, and the volume of the balloon is adjusted according to the updated movement steps, so that each counterpulse can accurately adjust the ball. Capsule volume, better to achieve the desired effect.
当然,实施本发明的任一产品或方法并不一定需要同时达到以上所述的所有优点。Of course, implementing any product or method of the present invention does not necessarily need to achieve all the above-mentioned advantages at the same time.
附图说明Description of drawings
为了更清楚地说明本申请实施例或现有技术中的技术方案,下面将对实施例或现有技术描述中所需要使用的附图作简单地介绍,显而易见地,下面描述中的附图仅仅是本申请的一些实施例,对于本领域普通技术人员来讲,还可以根据这些附图获得其他的实施例。In order to more clearly illustrate the technical solutions in the embodiments of the present application or the prior art, the following will briefly introduce the drawings that need to be used in the description of the embodiments or the prior art. Obviously, the accompanying drawings in the following description are only These are some embodiments of the present application, and those skilled in the art can also obtain other embodiments according to these drawings.
图1为一种IABP的结构示意图;Fig. 1 is a structural schematic diagram of an IABP;
图2为本发明实施例提供的第一种IABP的球囊调节方法的流程示意图;Fig. 2 is a schematic flow chart of the first IABP balloon adjustment method provided by the embodiment of the present invention;
图3为本发明实施例提供的第二种IABP的球囊调节方法的流程示意图;Fig. 3 is a schematic flowchart of the second IABP balloon adjustment method provided by the embodiment of the present invention;
图4为本发明实施例提供的一种IABP的球囊调节装置的结构示意图;Fig. 4 is a schematic structural diagram of an IABP balloon adjustment device provided by an embodiment of the present invention;
图5为本发明实施例提供的一种电子设备的结构示意图。FIG. 5 is a schematic structural diagram of an electronic device provided by an embodiment of the present invention.
具体实施方式Detailed ways
下面将结合本发明实施例中的附图,对本发明实施例中的技术方案进行清楚、完整地描述,显然,所描述的实施例仅仅是本发明一部分实施例,而不是全部的实施例。基于本发明中的实施例,本领域普通技术人员基于本申请所获得的所有其他实施例,都属于本发明保护的范围。The following will clearly and completely describe the technical solutions in the embodiments of the present invention with reference to the accompanying drawings in the embodiments of the present invention. Obviously, the described embodiments are only some, not all, embodiments of the present invention. Based on the embodiments of the present invention, all other embodiments obtained by persons of ordinary skill in the art based on the present application belong to the protection scope of the present invention.
首先,在对本发明实施例进行具体说明,对本发明实施例的应用场景以及执行主体进行具体介绍。First, the embodiments of the present invention are described in detail, and the application scenarios and execution subjects of the embodiments of the present invention are specifically introduced.
本发明实施例的应用场景为:IABP为患者治疗的应用场景。The application scenario of the embodiment of the present invention is: an application scenario where the IABP treats patients.
本发明实施例的执行主体为:IABP的控制装置。上述控制装置用于采集患者的生理参数数据以及IABP的运行参数数据,并对球囊进行充气以及放气操作。The execution subject of the embodiment of the present invention is: the control device of the IABP. The above-mentioned control device is used to collect the physiological parameter data of the patient and the operating parameter data of the IABP, and to inflate and deflate the balloon.
以下对本发明实施例提供的IABP的球囊调节方法进行具体说明。The method for regulating the balloon of IABP provided by the embodiment of the present invention will be described in detail below.
参见图2,图2为本发明实施例提供的第一种IABP的球囊调节方法的流程示意图,上述方法包括以下步骤S201-S204。Referring to FIG. 2 , FIG. 2 is a schematic flowchart of the first IABP balloon adjustment method provided by the embodiment of the present invention. The above method includes the following steps S201-S204.
步骤S201:在当前反搏触发前,获得上一反搏触发前球囊的第一压力、以及上一反搏触发后球囊的第二压力。Step S201: Before the current counterpulsation is triggered, obtain the first pressure of the balloon before the last counterpulsation is triggered, and the second pressure of the balloon after the last counterpulsation is triggered.
在IABP为患者治疗过程中,是基于多次反搏周期进行治疗的,上述上一反搏可以理解为位于当前反搏周期的上一反搏周期内进行的反搏动作。In the process of treating patients with IABP, the treatment is based on multiple counterpulsation cycles, and the previous counterpulsation can be understood as the counterpulsation action performed in the previous counterpulsation cycle of the current counterpulsation cycle.
由于每次反搏触发后,均需要向球囊进行充气,每次反搏结束时,球囊气体被吸回风箱内部,因此,每次反搏触发前球囊处于未充气的状态,每次反搏触发后球囊处于充气的状态。基于此,上述第一压力反映上一反搏触发前球囊在未充气的状态下的压力情况,上述第二压力反映上一反搏触发后球囊在充气的状态下的压力情况。Since each counterpulsation is triggered, the balloon needs to be inflated, and at the end of each counterpulsation, the balloon gas is sucked back into the bellows. Therefore, the balloon is in an uninflated state before each counterpulsation is triggered. The balloon is inflated after the counterpulsation is triggered. Based on this, the above-mentioned first pressure reflects the pressure situation of the balloon in the uninflated state before the last counterpulsation trigger, and the above-mentioned second pressure reflects the pressure situation of the balloon in the inflated state after the last counterpulsation trigger.
上述第一压力、第二压力均可以利用压力传感器测量得到。具体的,压力传感器可以测量每一次反搏触发前后球囊的压力,并将测量得到的压力值传输至控制装置,以使得控制装置将上述压力值存储在本地,基于此,控制装置可以从本地存储的压力值中读取上一反搏触发前后球囊的压力。Both the above-mentioned first pressure and second pressure can be measured by a pressure sensor. Specifically, the pressure sensor can measure the pressure of the balloon before and after each counterpulsation trigger, and transmit the measured pressure value to the control device, so that the control device can store the above-mentioned pressure value locally. The pressure of the balloon before and after the last counterpulse trigger is read from the stored pressure value.
步骤S202:基于第一压力与第二压力,计算上一反搏触发后球囊的实际体积。Step S202: Based on the first pressure and the second pressure, calculate the actual volume of the balloon after the last counterpulsation trigger.
由于第一压力反映上一反搏触发前球囊在未充气的状态下的压力情况,上述第二压力反映上一反搏触发后球囊在充气的状态下的压力情况,又由于反搏触发前后球囊的压力能够反映反搏触发后球囊的实际体积,因此,可以基于第一压力与第二压力,计算上一反搏触发后球囊的实际体积。Because the first pressure reflects the pressure situation of the balloon in the uninflated state before the last counterpulsation trigger, the above-mentioned second pressure reflects the pressure situation of the balloon in the inflated state after the last counterpulsation trigger, and because the counterpulse trigger The pressures of the front and rear balloons can reflect the actual volume of the balloon after the counterpulsation is triggered, therefore, the actual volume of the balloon after the last counterpulsation is triggered can be calculated based on the first pressure and the second pressure.
一种实施方式中,可以计算第一压力与第二压力之间的压力比,按照预设的压力比与球囊体积之间的对应关系,将计算得到的压力比转换为球囊体积,作为上一反搏触发后球囊的实际体积。In one embodiment, the pressure ratio between the first pressure and the second pressure can be calculated, and the calculated pressure ratio can be converted into the balloon volume according to the preset correspondence between the pressure ratio and the balloon volume, as The actual volume of the balloon after the last counterpulse trigger.
上述对应关系可以是预先从历史反搏数据中提取得到的。上述对应关系中记录压力比与压力比相对应的球囊体积,按照上述对应关系,可以将计算得到的压力比转换为相对应的球囊体积。The above corresponding relationship may be extracted from historical counterpulsation data in advance. In the above correspondence relationship, the pressure ratio and the balloon volume corresponding to the pressure ratio are recorded. According to the above correspondence relationship, the calculated pressure ratio can be converted into the corresponding balloon volume.
计算实际体积的其他实施方式可以参见后续图3对应的实施例,在此不进行详述。For other implementation manners of calculating the actual volume, reference may be made to the subsequent embodiment corresponding to FIG. 3 , which will not be described in detail here.
步骤S203:在当前反搏触发开始后,计算实际体积与预设体积之间的体积差,基于体积差,对上一反搏触发后的电机运动步数进行更新。Step S203: After the current counterpulsation trigger starts, calculate the volume difference between the actual volume and the preset volume, and update the number of motor movement steps after the last counterpulsation trigger based on the volume difference.
上述预设体积为:预先设定的期望球囊在反搏时达到的体积。上述预设体积可以是医护人员预先基于患者当前情况设定的。在进行反搏时,若球囊能够达到上述预设体积,表示达到了最佳的反搏效果。The above-mentioned preset volume is: a preset volume expected to be achieved by the balloon during counterpulsation. The aforementioned preset volume may be pre-set by medical personnel based on the current condition of the patient. When performing counterpulsation, if the balloon can reach the preset volume, it means that the best counterpulsation effect has been achieved.
上述实际体积是上一反搏触发后球囊的实际体积,表示在当前电机带动下球囊实际达到的体积。The actual volume above is the actual volume of the balloon after the last counterpulsation was triggered, and represents the actual volume of the balloon driven by the current motor.
在确定球囊的预设体积后,可以将预设体积转换为电机的运动步数,在开始反搏时,电机按照上述运动步数带动风箱进行拉伸,以期望球囊的充气体积达到上述预设体积。然而,受到人体内压力环境的影响,在电机按照上述运动步数运动的情况下,球囊实际的充气体积可能无法达到或者超过上述预设体积,实际体积与预设体积之间的体积差能够准确反映球囊当前充气体积与期望充气体积之间的差异,所以,基于上述体积差能够准确地对球囊进行体积调节,以使得球囊充气体积尽可能接近预设体积,从而优化反搏效果。After the preset volume of the balloon is determined, the preset volume can be converted into the number of motor steps. When counterpulsation is started, the motor drives the bellows to stretch according to the above-mentioned number of motion steps, so that the inflation volume of the balloon can reach the above-mentioned Default volume. However, due to the influence of the pressure environment in the human body, when the motor moves according to the above-mentioned movement steps, the actual inflated volume of the balloon may not reach or exceed the above-mentioned preset volume, and the volume difference between the actual volume and the preset volume can be Accurately reflect the difference between the current inflated volume of the balloon and the expected inflated volume, so the volume of the balloon can be adjusted accurately based on the above-mentioned volume difference, so that the inflated volume of the balloon is as close as possible to the preset volume, thereby optimizing the counterpulsation effect .
在对运动步数进行更新时,一种实施方式中,可以计算体积差与单位体积运动步数之间的乘积,将计算得到的乘积作为运动步数差,基于上述运动步数差,对上一反搏触发后的电机运动步数进行更新。When updating the number of motion steps, in one embodiment, the product of the volume difference and the number of motion steps per unit volume can be calculated, and the calculated product can be used as the difference in the number of motion steps. Based on the above-mentioned difference in the number of motion steps, the above The number of motor movement steps after the counterpulsation is triggered is updated.
上述单位体积运动步数为:使球囊体积变化量为单位体积的电机运动步数。上述单位体积运动步数可以是预先测量得到的。由于单位体积运动步数表示使球囊体积变化量为单位体积的电机运动步数,那么体积差与单位体积运动步数之间的乘积能够准确表示上一反搏触发后的电机运动步数与预设体积所对应运动步数之间的运动步数差,从而基于上述运动步数差能够准确对电机运动步数进行更新。The above-mentioned number of movement steps per unit volume is: the number of movement steps of the motor to make the volume change of the balloon equal to the unit volume. The above-mentioned movement steps per unit volume may be obtained by pre-measurement. Since the number of movement steps per unit volume represents the number of motor movement steps that cause the balloon volume to change as a unit volume, the product of the volume difference and the number of movement steps per unit volume can accurately represent the number of motor movement steps after the last counterpulsation trigger and The difference in the number of motion steps between the number of motion steps corresponding to the preset volume, so that the number of motion steps of the motor can be accurately updated based on the above-mentioned difference in the number of motion steps.
在更新上一反搏触发后的电机运动步数时,若实际体积大于预设体积,表示球囊实际充气的体积相较于预设体积较大,需要减少电机运动步数,在这种情况下,可以计算上一反搏触发后的电机运动步数与运动步数差之间的差值,将计算得到的差值确定为调整后的运动步数。When updating the number of motor movement steps after the last counterpulsation trigger, if the actual volume is greater than the preset volume, it means that the actual inflated volume of the balloon is larger than the preset volume, and the number of motor movement steps needs to be reduced. In this case Next, the difference between the number of motion steps of the motor after the last counterpulse trigger and the difference between the number of motion steps can be calculated, and the calculated difference is determined as the adjusted number of motion steps.
若实际体积小于预设体积,表示球囊实际充气的体积相较于预设体积较小,需要增加电机运动步数,在这种情况下,可以计算上一反搏触发后的电机运动步数与运动步数差之间的和值,将计算得到的和值确定为调整后的运动步数。If the actual volume is smaller than the preset volume, it means that the actual inflated volume of the balloon is smaller than the preset volume, and the number of motor movement steps needs to be increased. In this case, the number of motor movement steps after the last counterpulsation trigger can be calculated and the difference between the number of motion steps, and the calculated sum value is determined as the adjusted number of motion steps.
由于是按照实际体积与预设体积之间的大小关系,调整电机运动步数,调整方向是与实际体积与预设体积之间大小差异的方向相一致,从而实现准确地调整电机运动步数。Because the number of motor movement steps is adjusted according to the size relationship between the actual volume and the preset volume, the adjustment direction is consistent with the direction of the size difference between the actual volume and the preset volume, thereby accurately adjusting the number of movement steps of the motor.
步骤S204:按照更新后的运动步数操作电机,以实现对球囊进行体积调节。Step S204: Operate the motor according to the updated number of motion steps, so as to adjust the volume of the balloon.
由于是基于体积差对电机运动步数进行更新,更新后的运动步数尽可能消除了球囊实际体积与预设体积之间的差异,从而基于更新后的运动步数操作电机,能够使得调节后的球囊的体积尽可能接近预设体积,从而优化反搏效果。Since the number of motor movement steps is updated based on the volume difference, the updated number of movement steps eliminates the difference between the actual volume of the balloon and the preset volume as much as possible, so that the operation of the motor based on the updated number of movement steps can make the adjustment The volume of the rear balloon is as close as possible to the preset volume, thereby optimizing the counterpulsation effect.
由以上可见,由于上一反搏触发后球囊的实际体积能够准确地反映在当前电机现有运动步数的情况下球囊能够达到的充气体积,所以,实际体积与预设体积之间的体积差能够准确地反映球囊当前充气体积与期望充气体积之间的差异,从而基于上述体积差能够准确地对上一反搏触发后的电机运动步数进行更新,进而基于更新后的运动步数对球囊进行体积调节,以使得球囊充气体积尽可能接近预设体积,从而更准确达到预期效果。It can be seen from the above that since the actual volume of the balloon after the last counterpulsation trigger can accurately reflect the inflated volume that the balloon can achieve under the current motor’s existing movement steps, the difference between the actual volume and the preset volume The volume difference can accurately reflect the difference between the current inflated volume of the balloon and the expected inflated volume, so that based on the above volume difference, the number of motor movement steps after the last counterpulsation trigger can be accurately updated, and then based on the updated movement steps Adjust the volume of the balloon several times to make the inflation volume of the balloon as close as possible to the preset volume, so as to more accurately achieve the desired effect.
并且,由于第一压力反映上一反搏触发前球囊在未充气的状态下的压力情况,上述第二压力反映上一反搏触发后球囊在充气的状态下的压力情况,又由于反搏触发前后球囊的压力能够反映反搏触发后球囊的实际体积,因此,基于第一压力与第二压力,能够准确地计算上一反搏触发后球囊的实际体积,进而准确地调节球囊体积,更准确达到预期效果。Moreover, since the first pressure reflects the pressure situation of the balloon in the uninflated state before the last counterpulsation trigger, the above-mentioned second pressure reflects the pressure situation of the balloon in the inflated state after the last counterpulsation trigger, and because the reaction The pressure of the balloon before and after the triggering of the counterpulsation can reflect the actual volume of the balloon after the triggering of the counterpulsation. Therefore, based on the first pressure and the second pressure, the actual volume of the balloon after the last counterpulsation is triggered can be accurately calculated, and then accurately adjusted. Balloon volume, more accurate to achieve the desired effect.
另外,由于是在每一次反搏触发前后,对上一反搏触发后的电机运动步数进行更新,并按照更新后的运动步数调节球囊体积,从而使得每一次反搏能精确调节球囊体积,更好地达到预期效果。In addition, before and after each counterpulse is triggered, the number of motor movement steps after the previous counterpulse trigger is updated, and the volume of the balloon is adjusted according to the updated movement steps, so that each counterpulse can accurately adjust the ball. Capsule volume, better to achieve the desired effect.
在前述图2对应实施例的步骤S202中,除了可以基于第一压力、第二压力计算上一反搏触发后球囊的实际体积,还可以结合上一反搏触发后风箱的剩余体积,基于此,本发明的一个实施例中,参见图3,图3为本发明实施例提供的第二种IABP的球囊调节方法的流程示意图,上述方法包括以下步骤S301-S306。In step S202 of the above-mentioned embodiment corresponding to FIG. 2 , in addition to calculating the actual volume of the balloon after the last counterpulsation trigger based on the first pressure and the second pressure, it can also be combined with the remaining volume of the bellows after the last counterpulsation trigger, based on Here, in one embodiment of the present invention, refer to FIG. 3 , which is a schematic flowchart of a second IABP balloon adjustment method provided by the embodiment of the present invention. The above method includes the following steps S301-S306.
步骤S301:在当前反搏触发前,获得上一反搏触发前球囊的第一压力、以及上一反搏触发后球囊的第二压力。Step S301: Before the current counterpulsation is triggered, obtain the first pressure of the balloon before the last counterpulsation is triggered, and the second pressure of the balloon after the last counterpulsation is triggered.
上述步骤S301与前述图2对应实施例的步骤S201相同,在此不再赘述。The foregoing step S301 is the same as the foregoing step S201 in the embodiment corresponding to FIG. 2 , and will not be repeated here.
步骤S302:基于风箱初始体积、以及上一反搏触发后的电机运动步数,计算上一反搏触发后风箱的剩余体积。Step S302: Based on the initial volume of the bellows and the number of motor movement steps after the last counterpulse trigger, calculate the remaining volume of the bellows after the last counterpulse trigger.
在IABP开始反搏前,需要对IABP进行初始化操作,初始化操作主要包括将风箱拉伸到预设位置、向风箱填充定量的气体等,基于此,风箱初始体积可以为将风箱拉伸到预设位置后风箱的体积。Before the IABP starts counterpulsation, it is necessary to initialize the IABP. The initialization operation mainly includes stretching the bellows to the preset position, filling the bellows with a certain amount of gas, etc. Based on this, the initial volume of the bellows can be stretched to the preset position. The volume of the bellows after the position.
上述初始化操作中,向风箱填充定量的气体时,需要使得填充气体后的风箱压力达到预设压力,上述预设压力可以为小于人体舒张压的压力。In the above initialization operation, when filling a certain amount of gas into the bellows, it is necessary to make the pressure of the bellows after filling the gas reach a preset pressure, and the preset pressure may be a pressure lower than the diastolic pressure of the human body.
上一反搏触发后风箱的剩余体积表示:在电机带动风箱拉伸对球囊充气后风箱的体积。The remaining volume of the bellows after the last counterpulsation is triggered indicates: the volume of the bellows after the motor drives the bellows to stretch and inflate the balloon.
在计算上述剩余体积时,第一种实施方式中,可以计算风箱初始体积与单位体积运动步数之间的乘积,计算上述乘积与上一反搏触发后电机运动步数之间的差值,将上述差值与单位步数体积之间的乘积确定为上一反搏触发后风箱的剩余体积。上述单位步数体积为:电机运动单位步数时使得球囊体积变化量为单位体积。When calculating the above remaining volume, in the first embodiment, the product of the initial volume of the bellows and the number of movement steps per unit volume can be calculated, and the difference between the above product and the number of movement steps of the motor after the last counterpulsation trigger can be calculated, The product of the above difference and the volume per unit step was determined as the remaining volume of the bellows after the last counterpulsation was triggered. The above-mentioned volume per unit step is: when the motor moves per unit step, the volume change of the balloon is the unit volume.
由于单位体积运动步数为使球囊体积变化量为单位体积的电机运动步数,上述风箱初始体积与单位体积运动步数之间的乘积表示使球囊充气变化量达到上述风箱初始体积的电机运动步数。基于此,上述乘积与上一反搏触发后电机运动步数之间的差值表示上一反搏触发后风箱剩余体积对应的电机运动步数,因此,上述差值与单位步数体积之间的乘积为上一反搏触发后风箱的剩余体积。Since the number of movement steps per unit volume is the number of movement steps of the motor that makes the volume change of the balloon equal to the unit volume, the product between the initial volume of the bellows and the number of movement steps per unit volume represents the motor that makes the inflation change of the balloon reach the initial volume of the bellows Movement steps. Based on this, the difference between the above product and the number of motor movement steps after the last counterpulse trigger indicates the number of motor movement steps corresponding to the remaining volume of the bellows after the last counterpulse trigger, therefore, the difference between the above difference and the volume per unit step The product of is the remaining volume of the bellows after the previous counterpulsation was triggered.
第二种实施方式中,可以将上一反搏触发后的电机运动步数与单位步数体积之间的乘积,计算风箱初始体积与上述计算得到的乘积之间的体积差,作为上一反搏触发后风箱的剩余体积。In the second embodiment, the volume difference between the initial volume of the bellows and the product obtained by the above calculation can be calculated by taking the product of the number of motor movement steps after the last counterpulse trigger and the volume per unit step, as the previous counterpulsation The remaining volume of the bellows after the stroke.
由于单位步数体积表示电机运动单位步数时使得球囊体积变化量为单位体积,上述上一反搏触发后的电机运动步数与单位步数体积之间的乘积表示上一反搏触发后电机运动步数使球囊充气的体积变化量。基于此,风箱初始体积与上述乘积之间的差值表示风箱初始体积与体积变化量之间的差异,即上一反搏触发后风箱的剩余体积。Since the volume per unit step represents the unit step of motor movement, the volume change of the balloon is the unit volume. The product between the motor movement steps after the last counterpulsation trigger and the unit step volume represents the volume after the last counterpulsation trigger. The amount of volume change that the balloon is inflated by the number of motor movement steps. Based on this, the difference between the initial volume of the bellows and the above product represents the difference between the initial volume of the bellows and the volume change, that is, the remaining volume of the bellows after the last counterpulsation trigger.
步骤S303:基于风箱初始体积、剩余体积、第一压力与第二压力,计算上一反搏触发后球囊的实际体积。Step S303: Based on the initial volume of the bellows, the remaining volume, the first pressure and the second pressure, calculate the actual volume of the balloon after the last counterpulsation trigger.
一种实施方式中,可以按照以下表达式计算上一反搏触发后球囊的实际体积:In one embodiment, the actual volume of the balloon after the last counterpulsation trigger can be calculated according to the following expression:
其中,Vr表示上一反搏触发后球囊的实际体积,p1表示第一压力,Vs表示风箱初始体积,Vv表示球囊充气管路所连接区域内不可压缩空间的体积,p2表示第二压力,Vp表示上一反搏触发后风箱的剩余体积。Among them, V r represents the actual volume of the balloon after the last counterpulsation was triggered, p 1 represents the first pressure, V s represents the initial volume of the bellows, V v represents the volume of the incompressible space in the area connected by the balloon inflation pipeline, p 2 represents the second pressure, and V p represents the remaining volume of the bellows after the last counterpulsation was triggered.
上述球囊充气管路所连接区域内不可压缩空间包括管路、气路阀块内的空腔等。The incompressible space in the area connected by the balloon inflation pipeline includes the pipeline, the cavity in the valve block of the gas circuit, and the like.
步骤S304:在当前反搏触发开始后,计算实际体积与预设体积之间的体积差,基于体积差,对电机运动步数进行更新。Step S304: After the current counterpulsation trigger starts, calculate the volume difference between the actual volume and the preset volume, and update the number of motor movement steps based on the volume difference.
其中,上述预设体积为:预先设定的期望球囊在反搏时达到的体积。Wherein, the aforementioned preset volume is: a preset volume expected to be achieved by the balloon during counterpulsation.
步骤S305:按照更新后的运动步数操作电机,以实现对球囊进行体积调节。Step S305: Operate the motor according to the updated number of motion steps, so as to adjust the volume of the balloon.
上述步骤S304-S305与前述图2对应实施例的步骤S203-S204相同,在此不再赘述。The foregoing steps S304-S305 are the same as the foregoing steps S203-S204 in the embodiment corresponding to FIG. 2 , and will not be repeated here.
由于是基于风箱初始体积、剩余体积、第一压力与第二压力,计算上一反搏触发后球囊的实际体积,又由于球囊的实际体积是与风箱初始体积、剩余体积、第一压力与第二压力具有关联关系,因此,基于风箱初始体积、剩余体积、第一压力与第二压力能够更加准确计算得到球囊的实际体积。Since it is based on the initial volume of the bellows, the remaining volume, the first pressure and the second pressure, the actual volume of the balloon after the last counterpulsation is triggered, and because the actual volume of the balloon is related to the initial volume of the bellows, the remaining volume, and the first pressure There is a correlation with the second pressure, therefore, the actual volume of the balloon can be calculated more accurately based on the initial volume of the bellows, the remaining volume, the first pressure and the second pressure.
与上述IABP的球囊调节方法相对应,本发明实施例还提供了一种IABP的球囊调节装置。Corresponding to the above-mentioned IABP balloon adjustment method, an embodiment of the present invention also provides an IABP balloon adjustment device.
参见图4,图4为本发明实施例提供的一种IABP的球囊调节装置的结构示意图,上述装置包括以下模块401-404。Referring to FIG. 4 , FIG. 4 is a schematic structural diagram of an IABP balloon adjustment device provided by an embodiment of the present invention. The above-mentioned device includes the following modules 401-404.
压力获得模块401,用于在当前反搏触发前,获得上一反搏触发前球囊的第一压力、以及上一反搏触发后球囊的第二压力;A
第一体积计算模块402,用于基于所述第一压力与第二压力,计算上一反搏触发后球囊的实际体积;The first
步数更新模块403,用于在当前反搏触发开始后,计算所述实际体积与预设体积之间的体积差,基于所述体积差,对上一反搏触发后的电机运动步数进行更新,其中,所述预设体积为:预先设定的期望所述球囊在反搏时达到的体积;The step
体积调节模块404,用于按照更新后的运动步数操作电机,以实现对所述球囊进行体积调节。The
由以上可见,由于上一反搏触发后球囊的实际体积能够准确地反映在当前电机现有运动步数的情况下球囊能够达到的充气体积,所以,实际体积与预设体积之间的体积差能够准确地反映球囊当前充气体积与期望充气体积之间的差异,从而基于上述体积差能够准确地对上一反搏触发后的电机运动步数进行更新,进而基于更新后的运动步数对球囊进行体积调节,以使得球囊充气体积尽可能接近预设体积,从而更准确达到预期效果。It can be seen from the above that since the actual volume of the balloon after the last counterpulsation trigger can accurately reflect the inflated volume of the balloon under the current motor’s existing movement steps, the difference between the actual volume and the preset volume The volume difference can accurately reflect the difference between the current inflated volume of the balloon and the expected inflated volume, so that based on the above volume difference, the number of motor movement steps after the last counterpulsation trigger can be accurately updated, and then based on the updated movement steps Adjust the volume of the balloon several times to make the inflation volume of the balloon as close as possible to the preset volume, so as to more accurately achieve the desired effect.
并且,由于第一压力反映上一反搏触发前球囊在未充气的状态下的压力情况,上述第二压力反映上一反搏触发后球囊在充气的状态下的压力情况,又由于反搏触发前后球囊的压力能够反映反搏触发后球囊的实际体积,因此,基于第一压力与第二压力,能够准确地计算上一反搏触发后球囊的实际体积,进而准确地调节球囊体积,进一步达到预期效果。Moreover, since the first pressure reflects the pressure situation of the balloon in the uninflated state before the last counterpulsation trigger, the above-mentioned second pressure reflects the pressure situation of the balloon in the inflated state after the last counterpulsation trigger, and because the reaction The pressure of the balloon before and after the triggering of the counterpulsation can reflect the actual volume of the balloon after the triggering of the counterpulsation. Therefore, based on the first pressure and the second pressure, the actual volume of the balloon after the last counterpulsation is triggered can be accurately calculated, and then accurately adjusted. Balloon volume, to further achieve the desired effect.
另外,由于是在每一次反搏触发前后,对上一反搏触发后的电机运动步数进行更新,并按照更新后的运动步数调节球囊体积,从而使得每一次反搏能精确调节球囊体积,更好地达到预期效果。In addition, before and after each counterpulse is triggered, the number of motor movement steps after the previous counterpulse trigger is updated, and the volume of the balloon is adjusted according to the updated movement steps, so that each counterpulse can accurately adjust the ball. Capsule volume, better to achieve the desired effect.
本发明的一个实施例中,上述装置还包括:In one embodiment of the present invention, the above-mentioned device also includes:
第二体积计算模块,用于在所述第一体积计算模块402基于所述第一压力与第二压力,计算上一反搏触发后球囊的实际体积之前,基于风箱初始体积、以及上一反搏触发后的电机运动步数,计算上一反搏触发后风箱的剩余体积;The second volume calculation module is used to calculate the actual volume of the balloon after the last counterpulsation trigger based on the initial volume of the bellows and the previous The number of motor movement steps after the counterpulsation is triggered, and calculate the remaining volume of the bellows after the previous counterpulsation is triggered;
所述第一体积计算模块402,具体用于基于所述风箱初始体积、剩余体积、第一压力与第二压力,计算上一反搏触发后球囊的实际体积。The first
由于是基于风箱初始体积、剩余体积、第一压力与第二压力,计算上一反搏触发后球囊的实际体积,又由于球囊的实际体积是与风箱初始体积、剩余体积、第一压力与第二压力具有关联关系,因此,基于风箱初始体积、剩余体积、第一压力与第二压力能够更加准确计算得到球囊的实际体积。Since it is based on the initial volume of the bellows, the remaining volume, the first pressure and the second pressure, the actual volume of the balloon after the last counterpulsation is triggered, and because the actual volume of the balloon is related to the initial volume of the bellows, the remaining volume, and the first pressure There is a correlation with the second pressure, therefore, the actual volume of the balloon can be calculated more accurately based on the initial volume of the bellows, the remaining volume, the first pressure and the second pressure.
本发明的一个实施例中,上述第一体积计算模块402,具体用于按照以下表达式计算上一反搏触发后球囊的实际体积:In one embodiment of the present invention, the above-mentioned first
其中,Vr表示上一反搏触发后球囊的实际体积,p1表示第一压力,Vs表示风箱初始体积,Vv表示球囊充气管路所连接区域内不可压缩空间的体积,p2表示第二压力,Vp表示上一反搏触发后风箱的剩余体积。Among them, V r represents the actual volume of the balloon after the last counterpulsation was triggered, p 1 represents the first pressure, V s represents the initial volume of the bellows, V v represents the volume of the incompressible space in the area connected by the balloon inflation pipeline, p 2 represents the second pressure, and V p represents the remaining volume of the bellows after the last counterpulsation was triggered.
本发明的一个实施例中,上述步数更新模块403,包括:In one embodiment of the present invention, the above-mentioned step
步数差计算子模块,用于计算体积差与单位体积运动步数之间的乘积,将计算得到的乘积作为运动步数差,其中,所述单位体积运动步数为:使球囊体积变化量为单位体积的电机运动步数;The steps difference calculation sub-module is used to calculate the product of the volume difference and the number of movement steps per unit volume, and use the calculated product as the difference of movement steps, wherein the number of movement steps per unit volume is: to change the volume of the balloon The amount is the number of motor movement steps per unit volume;
步数更新子模块,用于基于所述运动步数差,对上一反搏触发后的电机运动步数进行更新。The step count updating sub-module is configured to update the motor motion step count after the previous counterpulsation trigger based on the motion step count difference.
由于单位体积运动步数表示使球囊体积变化量为单位体积的电机运动步数,那么体积差与单位体积运动步数之间的乘积能够准确表示上一反搏触发后的电机运动步数与预设体积所对应运动步数之间的运动步数差,从而基于上述运动步数差能够准确对电机运动步数进行更新。Since the number of movement steps per unit volume represents the number of motor movement steps that cause the balloon volume to change as a unit volume, the product of the volume difference and the number of movement steps per unit volume can accurately represent the number of motor movement steps after the last counterpulsation trigger and The difference in the number of motion steps between the number of motion steps corresponding to the preset volume, so that the number of motion steps of the motor can be accurately updated based on the above-mentioned difference in the number of motion steps.
本发明的一个实施例中,上述步数更新子模块,具体用于若实际体积大于预设体积,计算上一反搏触发后的电机运动步数与所述运动步数差之间的差值,将计算得到的差值确定为更新后的运动步数;若实际体积小于预设体积,计算上一反搏触发后的电机运动步数与所述运动步数差之间的和值,将计算得到的和值确定为更新后的运动步数。In one embodiment of the present invention, the above-mentioned steps update submodule is specifically used to calculate the difference between the motor movement steps after the last counterpulsation trigger and the movement step difference if the actual volume is greater than the preset volume , determine the calculated difference as the updated number of motion steps; if the actual volume is smaller than the preset volume, calculate the sum of the number of motor motion steps after the last counterpulsation trigger and the difference between the number of motion steps, and set The calculated sum value is determined as the updated number of motion steps.
由于是按照实际体积与预设体积之间的大小关系,调整电机运动步数,调整方向是与实际体积与预设体积之间大小差异的方向相一致,从而实现准确地调整电机运动步数。Because the number of motor movement steps is adjusted according to the size relationship between the actual volume and the preset volume, the adjustment direction is consistent with the direction of the size difference between the actual volume and the preset volume, thereby accurately adjusting the number of movement steps of the motor.
与上述IABP的球囊调节方法相对应,本发明实施例还提供了一种电子设备。Corresponding to the above-mentioned IABP balloon adjustment method, an embodiment of the present invention also provides an electronic device.
参见图5,图5为本发明实施例提供的一种电子设备的结构示意图,包括处理器501、通信接口502、存储器503和通信总线504,其中,处理器501,通信接口502,存储器503通过通信总线504完成相互间的通信,Referring to FIG. 5, FIG. 5 is a schematic structural diagram of an electronic device provided by an embodiment of the present invention, including a
存储器503,用于存放计算机程序;
处理器501,用于执行存储器503上所存放的程序时,实现本发明实施例提供的IABP的球囊调节方法。The
上述电子设备提到的通信总线可以是外设部件互连标准(Peripheral ComponentInterconnect,PCI)总线或扩展工业标准结构(Extended IndustryStandardArchitecture,EISA)总线等。该通信总线可以分为地址总线、数据总线、控制总线等。为便于表示,图中仅用一条粗线表示,但并不表示仅有一根总线或一种类型的总线。The communication bus mentioned in the above electronic device may be a Peripheral Component Interconnect (PCI) bus or an Extended Industry Standard Architecture (Extended Industry Standard Architecture, EISA) bus or the like. The communication bus can be divided into an address bus, a data bus, a control bus, and the like. For ease of representation, only one thick line is used in the figure, but it does not mean that there is only one bus or one type of bus.
通信接口用于上述电子设备与其他设备之间的通信。The communication interface is used for communication between the electronic device and other devices.
存储器可以包括随机存取存储器(RandomAccess Memory,RAM),也可以包括非易失性存储器(Non-Volatile Memory,NVM),例如至少一个磁盘存储器。可选的,存储器还可以是至少一个位于远离前述处理器的存储装置。The memory may include a random access memory (Random Access Memory, RAM), and may also include a non-volatile memory (Non-Volatile Memory, NVM), such as at least one disk memory. Optionally, the memory may also be at least one storage device located far away from the aforementioned processor.
上述的处理器可以是通用处理器,包括中央处理器(Central Processing Unit,CPU)、网络处理器(NetworkProcessor,NP)等;还可以是数字信号处理器(Digital SignalProcessor,DSP)、专用集成电路(Application Specific Integrated Circuit,ASIC)、现场可编程门阵列(Field-Programmable GateArray,FPGA)或者其他可编程逻辑器件、分立门或者晶体管逻辑器件、分立硬件组件。The above-mentioned processor can be a general-purpose processor, including a central processing unit (Central Processing Unit, CPU), a network processor (NetworkProcessor, NP), etc.; it can also be a digital signal processor (Digital SignalProcessor, DSP), an application-specific integrated circuit ( Application Specific Integrated Circuit, ASIC), Field-Programmable Gate Array (Field-Programmable GateArray, FPGA) or other programmable logic devices, discrete gate or transistor logic devices, discrete hardware components.
在本发明提供的又一实施例中,还提供了一种计算机可读存储介质,该计算机可读存储介质内存储有计算机程序,所述计算机程序被处理器执行时实现本发明实施例提供的IABP的球囊调节方法。In yet another embodiment provided by the present invention, a computer-readable storage medium is also provided, and a computer program is stored in the computer-readable storage medium, and when the computer program is executed by a processor, it implements the Balloon regulation method of IABP.
在本发明提供的又一实施例中,还提供了一种包含指令的计算机程序产品,当其在计算机上运行时,使得计算机执行时实现本发明实施例提供的IABP的球囊调节方法。In yet another embodiment provided by the present invention, a computer program product including instructions is also provided, and when it is run on a computer, the computer implements the method for adjusting the balloon of the IABP provided by the embodiment of the present invention.
由以上可见,由于上一反搏触发后球囊的实际体积能够准确地反映在当前电机现有运动步数的情况下球囊能够达到的充气体积,所以,实际体积与预设体积之间的体积差能够准确地反映球囊当前充气体积与期望充气体积之间的差异,从而基于上述体积差能够准确地对上一反搏触发后的电机运动步数进行更新,进而基于更新后的运动步数对球囊进行体积调节,以使得球囊充气体积尽可能接近预设体积,从而更准确达到预期效果。It can be seen from the above that since the actual volume of the balloon after the last counterpulsation trigger can accurately reflect the inflated volume that the balloon can achieve under the current motor’s existing movement steps, the difference between the actual volume and the preset volume The volume difference can accurately reflect the difference between the current inflated volume of the balloon and the expected inflated volume, so that based on the above volume difference, the number of motor movement steps after the last counterpulsation trigger can be accurately updated, and then based on the updated movement steps Adjust the volume of the balloon several times to make the inflation volume of the balloon as close as possible to the preset volume, so as to more accurately achieve the desired effect.
并且,由于第一压力反映上一反搏触发前球囊在未充气的状态下的压力情况,上述第二压力反映上一反搏触发后球囊在充气的状态下的压力情况,又由于反搏触发前后球囊的压力能够反映反搏触发后球囊的实际体积,因此,基于第一压力与第二压力,能够准确地计算上一反搏触发后球囊的实际体积,进而准确地调节球囊体积,进一步达到预期效果。Moreover, since the first pressure reflects the pressure situation of the balloon in the uninflated state before the last counterpulsation trigger, the above-mentioned second pressure reflects the pressure situation of the balloon in the inflated state after the last counterpulsation trigger, and because the reaction The pressure of the balloon before and after the triggering of the counterpulsation can reflect the actual volume of the balloon after the triggering of the counterpulsation. Therefore, based on the first pressure and the second pressure, the actual volume of the balloon after the last counterpulsation is triggered can be accurately calculated, and then accurately adjusted. Balloon volume, to further achieve the desired effect.
另外,由于是在每一次反搏触发前后,对上一反搏触发后的电机运动步数进行更新,并按照更新后的运动步数调节球囊体积,从而使得每一次反搏能精确调节球囊体积,更好地达到预期效果。In addition, before and after each counterpulse is triggered, the number of motor movement steps after the previous counterpulse trigger is updated, and the volume of the balloon is adjusted according to the updated movement steps, so that each counterpulse can accurately adjust the ball. Capsule volume, better to achieve the desired effect.
在上述实施例中,可以全部或部分地通过软件、硬件、固件或者其任意组合来实现。当使用软件实现时,可以全部或部分地以计算机程序产品的形式实现。所述计算机程序产品包括一个或多个计算机指令。在计算机上加载和执行所述计算机程序指令时,全部或部分地产生按照本发明实施例所述的流程或功能。所述计算机可以是通用计算机、专用计算机、计算机网络、或者其他可编程装置。所述计算机指令可以存储在计算机可读存储介质中,或者从一个计算机可读存储介质向另一个计算机可读存储介质传输,例如,所述计算机指令可以从一个网站站点、计算机、服务器或数据中心通过有线(例如同轴电缆、光纤、数字用户线(DSL))或无线(例如红外、无线、微波等)方式向另一个网站站点、计算机、服务器或数据中心进行传输。所述计算机可读存储介质可以是计算机能够存取的任何可用介质或者是包含一个或多个可用介质集成的服务器、数据中心等数据存储设备。所述可用介质可以是磁性介质,(例如,软盘、硬盘、磁带)、光介质(例如,DVD)、或者半导体介质(例如固态硬盘Solid State Disk(SSD))等。In the above embodiments, all or part of them may be implemented by software, hardware, firmware or any combination thereof. When implemented using software, it may be implemented in whole or in part in the form of a computer program product. The computer program product includes one or more computer instructions. When the computer program instructions are loaded and executed on the computer, the processes or functions according to the embodiments of the present invention will be generated in whole or in part. The computer can be a general purpose computer, a special purpose computer, a computer network, or other programmable devices. The computer instructions may be stored in or transmitted from one computer-readable storage medium to another computer-readable storage medium, for example, the computer instructions may be transmitted from a website, computer, server or data center Transmission to another website site, computer, server, or data center by wired (eg, coaxial cable, fiber optic, digital subscriber line (DSL)) or wireless (eg, infrared, wireless, microwave, etc.). The computer-readable storage medium may be any available medium that can be accessed by a computer, or a data storage device such as a server or a data center integrated with one or more available media. The available medium may be a magnetic medium (for example, a floppy disk, a hard disk, or a magnetic tape), an optical medium (for example, DVD), or a semiconductor medium (for example, a Solid State Disk (SSD)).
需要说明的是,在本文中,诸如第一和第二等之类的关系术语仅仅用来将一个实体或者操作与另一个实体或操作区分开来,而不一定要求或者暗示这些实体或操作之间存在任何这种实际的关系或者顺序。而且,术语“包括”、“包含”或者其任何其他变体意在涵盖非排他性的包含,从而使得包括一系列要素的过程、方法、物品或者设备不仅包括那些要素,而且还包括没有明确列出的其他要素,或者是还包括为这种过程、方法、物品或者设备所固有的要素。在没有更多限制的情况下,由语句“包括一个……”限定的要素,并不排除在包括所述要素的过程、方法、物品或者设备中还存在另外的相同要素。It should be noted that in this article, relational terms such as first and second are only used to distinguish one entity or operation from another entity or operation, and do not necessarily require or imply that there is a relationship between these entities or operations. There is no such actual relationship or order between them. Furthermore, the term "comprises", "comprises" or any other variation thereof is intended to cover a non-exclusive inclusion such that a process, method, article, or apparatus comprising a set of elements includes not only those elements, but also includes elements not expressly listed. other elements of or also include elements inherent in such a process, method, article, or device. Without further limitations, an element defined by the phrase "comprising a ..." does not exclude the presence of additional identical elements in the process, method, article or apparatus comprising said element.
本说明书中的各个实施例均采用相关的方式描述,各个实施例之间相同相似的部分互相参见即可,每个实施例重点说明的都是与其他实施例的不同之处。尤其,对于装置、电子设备、计算机可读存储介质实施例而言,由于其基本相似于方法实施例,所以描述的比较简单,相关之处参见方法实施例的部分说明即可。Each embodiment in this specification is described in a related manner, the same and similar parts of each embodiment can be referred to each other, and each embodiment focuses on the differences from other embodiments. In particular, for the embodiments of the apparatus, electronic equipment, and computer-readable storage medium, since they are basically similar to the method embodiments, the description is relatively simple, and for relevant parts, please refer to part of the description of the method embodiments.
以上所述仅为本发明的较佳实施例而已,并非用于限定本发明的保护范围。凡在本发明的精神和原则之内所作的任何修改、等同替换、改进等,均包含在本发明的保护范围内。The above descriptions are only preferred embodiments of the present invention, and are not intended to limit the protection scope of the present invention. Any modification, equivalent replacement, improvement, etc. made within the spirit and principles of the present invention are included in the protection scope of the present invention.
Claims (10)
Priority Applications (1)
| Application Number | Priority Date | Filing Date | Title |
|---|---|---|---|
| CN202211605096.5A CN115779258B (en) | 2022-12-14 | 2022-12-14 | A balloon adjustment method and device for IABP |
Applications Claiming Priority (1)
| Application Number | Priority Date | Filing Date | Title |
|---|---|---|---|
| CN202211605096.5A CN115779258B (en) | 2022-12-14 | 2022-12-14 | A balloon adjustment method and device for IABP |
Publications (2)
| Publication Number | Publication Date |
|---|---|
| CN115779258A true CN115779258A (en) | 2023-03-14 |
| CN115779258B CN115779258B (en) | 2025-10-14 |
Family
ID=85420019
Family Applications (1)
| Application Number | Title | Priority Date | Filing Date |
|---|---|---|---|
| CN202211605096.5A Active CN115779258B (en) | 2022-12-14 | 2022-12-14 | A balloon adjustment method and device for IABP |
Country Status (1)
| Country | Link |
|---|---|
| CN (1) | CN115779258B (en) |
Citations (18)
| Publication number | Priority date | Publication date | Assignee | Title |
|---|---|---|---|---|
| US4782817A (en) * | 1987-05-29 | 1988-11-08 | Abiomed Cardiovascular, Inc. | Ventricular support system |
| JPH03280969A (en) * | 1990-03-30 | 1991-12-11 | Sumitomo Bakelite Co Ltd | Driving control device of intra-aortic balloon |
| US6082105A (en) * | 1995-11-21 | 2000-07-04 | Nippon Zeon Co., Ltd. | Drive device for medical appliances |
| US20030074144A1 (en) * | 1998-09-30 | 2003-04-17 | Freed Paul S. | Cardiovascular support control system |
| CN1647788A (en) * | 2005-01-24 | 2005-08-03 | 周裕龙 | Control method for external counterpulsation |
| US20060100639A1 (en) * | 2004-11-05 | 2006-05-11 | G&L Consulting, Llc | System and method for the treatment of reperfusion injury |
| US20070027393A1 (en) * | 2005-08-01 | 2007-02-01 | Datascope Investment Corp. | Calibration of in vivo blood pressure sensors |
| US20110202084A1 (en) * | 2010-02-16 | 2011-08-18 | Miracor Medical Systems Gmbh | Operating A Vessel Occlusion Catheter |
| CN102648011A (en) * | 2009-10-22 | 2012-08-22 | 努帕尔斯有限公司 | Intra-aortic balloon pump and driver |
| JP2012213474A (en) * | 2011-03-31 | 2012-11-08 | Nippon Zeon Co Ltd | Drive device control program and drive device for intraaortic balloon pumping |
| US20170014563A1 (en) * | 2015-07-15 | 2017-01-19 | Brunel University | Medical Balloon |
| JP2018143540A (en) * | 2017-03-06 | 2018-09-20 | 日本ゼオン株式会社 | IABP drive unit |
| US20190201002A1 (en) * | 2016-08-25 | 2019-07-04 | Medizinische Universität Graz | Balloon catheter device for use in an aorta of a rabbit or a human being |
| CN110446523A (en) * | 2017-01-12 | 2019-11-12 | 加利福尼亚大学董事会 | Endovascular perfusion enhancement for critical care |
| CN209900033U (en) * | 2018-05-10 | 2020-01-07 | 中山大学 | A double-pump cardiopulmonary resuscitation device with closed-loop control |
| CN110769749A (en) * | 2017-04-21 | 2020-02-07 | 加利福尼亚大学董事会 | Aortic flow meter and pump for partial aortic occlusion |
| CN111467597A (en) * | 2020-05-27 | 2020-07-31 | 四川大学华西医院 | Intra-aortic balloon counterpulsation pump and intra-aortic balloon counterpulsation method |
| US20210069396A1 (en) * | 2019-09-06 | 2021-03-11 | Aria Cv, Inc. | Diffusion and infusion resistant implantable devices for reducing pulsatile pressure |
-
2022
- 2022-12-14 CN CN202211605096.5A patent/CN115779258B/en active Active
Patent Citations (19)
| Publication number | Priority date | Publication date | Assignee | Title |
|---|---|---|---|---|
| US4782817A (en) * | 1987-05-29 | 1988-11-08 | Abiomed Cardiovascular, Inc. | Ventricular support system |
| JPH03280969A (en) * | 1990-03-30 | 1991-12-11 | Sumitomo Bakelite Co Ltd | Driving control device of intra-aortic balloon |
| US6082105A (en) * | 1995-11-21 | 2000-07-04 | Nippon Zeon Co., Ltd. | Drive device for medical appliances |
| US20030074144A1 (en) * | 1998-09-30 | 2003-04-17 | Freed Paul S. | Cardiovascular support control system |
| US20060100639A1 (en) * | 2004-11-05 | 2006-05-11 | G&L Consulting, Llc | System and method for the treatment of reperfusion injury |
| CN1647788A (en) * | 2005-01-24 | 2005-08-03 | 周裕龙 | Control method for external counterpulsation |
| US20070027393A1 (en) * | 2005-08-01 | 2007-02-01 | Datascope Investment Corp. | Calibration of in vivo blood pressure sensors |
| CN102648011A (en) * | 2009-10-22 | 2012-08-22 | 努帕尔斯有限公司 | Intra-aortic balloon pump and driver |
| US20110202084A1 (en) * | 2010-02-16 | 2011-08-18 | Miracor Medical Systems Gmbh | Operating A Vessel Occlusion Catheter |
| JP2012213474A (en) * | 2011-03-31 | 2012-11-08 | Nippon Zeon Co Ltd | Drive device control program and drive device for intraaortic balloon pumping |
| US20170014563A1 (en) * | 2015-07-15 | 2017-01-19 | Brunel University | Medical Balloon |
| US20190201002A1 (en) * | 2016-08-25 | 2019-07-04 | Medizinische Universität Graz | Balloon catheter device for use in an aorta of a rabbit or a human being |
| CN110446523A (en) * | 2017-01-12 | 2019-11-12 | 加利福尼亚大学董事会 | Endovascular perfusion enhancement for critical care |
| JP2018143540A (en) * | 2017-03-06 | 2018-09-20 | 日本ゼオン株式会社 | IABP drive unit |
| CN110769749A (en) * | 2017-04-21 | 2020-02-07 | 加利福尼亚大学董事会 | Aortic flow meter and pump for partial aortic occlusion |
| US20200046364A1 (en) * | 2017-04-21 | 2020-02-13 | Government Of The United States As Represented By The Secretary Of The Air Force | Aortic flow meter and pump for partial-aortic occlusion |
| CN209900033U (en) * | 2018-05-10 | 2020-01-07 | 中山大学 | A double-pump cardiopulmonary resuscitation device with closed-loop control |
| US20210069396A1 (en) * | 2019-09-06 | 2021-03-11 | Aria Cv, Inc. | Diffusion and infusion resistant implantable devices for reducing pulsatile pressure |
| CN111467597A (en) * | 2020-05-27 | 2020-07-31 | 四川大学华西医院 | Intra-aortic balloon counterpulsation pump and intra-aortic balloon counterpulsation method |
Also Published As
| Publication number | Publication date |
|---|---|
| CN115779258B (en) | 2025-10-14 |
Similar Documents
| Publication | Publication Date | Title |
|---|---|---|
| CN107847649B (en) | Method and computer system for processing cardiac sensor output | |
| CN115645736B (en) | Control device, ventricular assist system, dynamic control method, apparatus, and readable medium | |
| JP2020523089A5 (en) | ||
| JP2018525049A5 (en) | ||
| CN111241759A (en) | A Fast Calculation System Model of FFR Based on Zero-Dimensional Hemodynamic Model | |
| CN116807430B (en) | Data processing method and system for improving blood pressure measurement accuracy | |
| CN116999689A (en) | Traffic determination method, traffic detection model training method, equipment and media | |
| CN115779258A (en) | IABP balloon adjusting method and device | |
| CN118177866B (en) | REBOA placement determination device, computing equipment, storage medium and system | |
| CN118490976B (en) | Cardiac output estimation method and device based on right ventricular catheter pump | |
| CN112711881A (en) | Physiological dynamic blood flow simulation method, device, computer equipment and storage medium | |
| CN119587868A (en) | A control method and system for an intra-aortic balloon counterpulsation system | |
| CN118383746A (en) | Cardiac output estimation method and device based on ventricular catheter pump | |
| CN117222359A (en) | Determine blood pressure | |
| CN116404940B (en) | Motor control method and device for extracorporeal analog circulation system | |
| JPH0634781B2 (en) | Electronic blood pressure monitor | |
| CN116994739B (en) | Method and device for determining operating condition deviation of ventricular assist device | |
| van de Meerakker et al. | Comparing Heart Assist Devices, Using a Lumped Parameter Model and Mock-Loop | |
| CN120267509A (en) | Self-adaptive control method, equipment and medium based on external counterpulsation device | |
| CN121264996A (en) | Methods and devices for predicting ventricular elasticity | |
| CN115998271A (en) | Blood pressure measurement method, device and electronic equipment | |
| WO2022202355A1 (en) | Information processing device, program, pressure control device, and trained model generation method | |
| CN118319273A (en) | Servo value calibration method and calibration system based on volume compensation method blood pressure measurement | |
| Alwan et al. | Real-Time Determination of the Cardiovascular Mechanical Determinants Using the Intra-Aortic Balloon Pump Mechanism | |
| WO2025226749A1 (en) | Systems, apparatuses, devices and methods of leak detection for pneumatic cardiac assist devices |
Legal Events
| Date | Code | Title | Description |
|---|---|---|---|
| PB01 | Publication | ||
| PB01 | Publication | ||
| SE01 | Entry into force of request for substantive examination | ||
| SE01 | Entry into force of request for substantive examination | ||
| GR01 | Patent grant | ||
| GR01 | Patent grant |





