CN115329369B - Model joint construction method based on multi-party longitudinal privacy protection and logistic regression - Google Patents
Model joint construction method based on multi-party longitudinal privacy protection and logistic regression Download PDFInfo
- Publication number
- CN115329369B CN115329369B CN202210900706.8A CN202210900706A CN115329369B CN 115329369 B CN115329369 B CN 115329369B CN 202210900706 A CN202210900706 A CN 202210900706A CN 115329369 B CN115329369 B CN 115329369B
- Authority
- CN
- China
- Prior art keywords
- client
- model
- logistic regression
- mask
- server
- Prior art date
- Legal status (The legal status is an assumption and is not a legal conclusion. Google has not performed a legal analysis and makes no representation as to the accuracy of the status listed.)
- Active
Links
Images
Classifications
-
- G—PHYSICS
- G06—COMPUTING OR CALCULATING; COUNTING
- G06F—ELECTRIC DIGITAL DATA PROCESSING
- G06F21/00—Security arrangements for protecting computers, components thereof, programs or data against unauthorised activity
- G06F21/60—Protecting data
- G06F21/62—Protecting access to data via a platform, e.g. using keys or access control rules
- G06F21/6218—Protecting access to data via a platform, e.g. using keys or access control rules to a system of files or objects, e.g. local or distributed file system or database
- G06F21/6245—Protecting personal data, e.g. for financial or medical purposes
-
- G—PHYSICS
- G06—COMPUTING OR CALCULATING; COUNTING
- G06F—ELECTRIC DIGITAL DATA PROCESSING
- G06F21/00—Security arrangements for protecting computers, components thereof, programs or data against unauthorised activity
- G06F21/60—Protecting data
- G06F21/602—Providing cryptographic facilities or services
Landscapes
- Engineering & Computer Science (AREA)
- Theoretical Computer Science (AREA)
- Health & Medical Sciences (AREA)
- Bioethics (AREA)
- General Health & Medical Sciences (AREA)
- Computer Hardware Design (AREA)
- Computer Security & Cryptography (AREA)
- Software Systems (AREA)
- Physics & Mathematics (AREA)
- General Engineering & Computer Science (AREA)
- General Physics & Mathematics (AREA)
- Databases & Information Systems (AREA)
- Medical Informatics (AREA)
- Information Retrieval, Db Structures And Fs Structures Therefor (AREA)
- Management, Administration, Business Operations System, And Electronic Commerce (AREA)
Abstract
The invention discloses a model joint construction method based on multi-party longitudinal privacy protection and logistic regression, and belongs to the technical field of data privacy protection. Compared with the conventional multi-party longitudinal privacy protection logistic regression algorithm based on Paillier homomorphic encryption, the public and private keys are generated at each client, the public and private keys of all clients are used for encryption operation, when the Paillier keys are 512 in length, the speed of each round of combined logistic regression modeling is nearly doubled, and multi-party combined modeling is not limited to two parties any more. The gradient of the federal model is protected, and each client only sends part of locally calculated model gradients to the server, so that the server does not know all data of each client, and simultaneously cannot accurately judge the gradient of the model when the model is updated every time, and the original data of each client is protected from being leaked.
Description
Technical Field
The invention relates to the technical field of data privacy protection, in particular to a model joint construction method based on longitudinal privacy protection and logistic regression.
Background
The conventional logistic regression algorithm for protecting the multi-party longitudinal privacy is mainly realized based on homomorphic encryption or based on secret sharing, wherein the logistic regression algorithm for protecting the multi-party longitudinal privacy based on Paillier homomorphic encryption is more popular. The principle of a multi-party longitudinal privacy protection logic regression algorithm based on Paillier homomorphic encryption is as follows:
each party needs to own a set of Paillier public and private keys, and various computing operations are executed once on the ciphertext encrypted by each set of public keys. For example, in the case of two parties, the data needs to be encrypted once by the public key of the own party and the public key of the other party, and since the calculation is performed by the two calculation parties, the extra calculation time is negligible. However, when the number of parties is expanded to N, private data of each party needs to be encrypted by public keys of other N-1 parties, the calculation amount is increased by N-1 times, and when the number of N is larger, the calculation time is greatly increased, so that the federal learning efficiency is seriously influenced. Therefore, the multi-party longitudinal privacy protection logistic regression algorithm based on the Paillier homomorphic encryption is usually effective only for two parties and is difficult to expand to multiple parties.
Disclosure of Invention
The invention provides a model joint construction method based on multi-party longitudinal privacy protection and logistic regression, aiming at supporting multi-party joint modeling without being limited to two parties and improving the federal learning efficiency.
In order to achieve the purpose, the invention adopts the following technical scheme:
the model joint construction method based on multi-party longitudinal privacy protection and logistic regression comprises the following steps:
s1, a server under a federal learning framework generates and stores a public key pk and a private key sk, and sends the public key pk to each client participating in federal learning;
s2, the server side aggregates partial model gradients beta _ i which are sent by each client side and calculated locally to obtain aggregate gradients beta _ agg, then the public key pk is used for encrypting the beta _ agg, and the encrypted [ beta _ agg ]]] pk Sending the data to each client;
s3, each client calculates [ beta _ agg ]]] pk Gradient of [ grad _ i ] of]] pk And adding a random mask _ i to the result of the encryption [ [ grad ] i +mask_i]] pk Sending the random mask to the server, and locally storing the random mask _ i;
s4, the server side decrypts [ grad ] by using the private key sk i +mask_i]] pk And decrypting the result [ grad ] i + mask_i]Sending the data to the corresponding client;
s5, each client uses the locally stored random mask _ i to decrypt the decryption result [ grad i + mask_i]Making mask _ i matching, filtering mask _ i to obtain plaintext gradient grad i To update the local model.
Preferably, the server generates the public key pk and the private key sk based on a Paillier homomorphic encryption algorithm.
Preferably, the partial model gradient beta _ i sent by the client as the initiator of the federal learning task to the server for gradient aggregation is expressed by the following expression (1):
in the expression (1), y i Sample X representing client A as the task initiator locally training a logistic regression model Ai The true value of (d);
u Ai a hypothetical function, u, representing a linear regression of the logistic regression model trained by the client A Ai Is expressed by the following expression (2):
in the expression (2),denotes θ A Transpose of theta A Parameters of the logistic regression model trained locally for the client a;
X Ai the ith sample representing the local model training performed by the client a.
Preferably, the partial model gradient beta _ i sent by the client as a federal learning task acceptor to the server for gradient aggregation is expressed by the following expression (3):
in the expression (3), u Mi A hypothetical function, u, representing a linear regression of a logistic regression model locally trained by the client M as the task recipient Mi Expressed by the following expression (4):
in the expression (4) above, the first,denotes θ M Transpose of theta M Parameters of the logistic regression model locally trained for the client M;
X Mi the ith sample representing the local model training performed by the client a.
The invention has the following beneficial effects:
1. compared with the conventional multi-party longitudinal privacy protection logistic regression algorithm based on Paillier homomorphic encryption, the public and private keys are generated at each client, the public and private keys of all clients are used for encryption operation, and when the length of the Pailier key is 512, the speed of each round of combined logistic regression modeling is nearly doubled, so that the multi-party combined modeling is not limited to two parties any more.
2. The gradient of the federal model is protected, and each client only sends part of locally calculated model gradients to the server, so that the server does not know all data of each client, and simultaneously cannot accurately judge the gradient of the model during each update, and the original data of each client is protected from being leaked.
Drawings
In order to more clearly illustrate the technical solutions of the embodiments of the present invention, the drawings required to be used in the embodiments of the present invention will be briefly described below. It is obvious that the drawings described below are only some embodiments of the invention, and that for a person skilled in the art, other drawings can be derived from them without inventive effort.
Fig. 1 is a schematic flowchart of a model joint construction method based on multi-party longitudinal privacy protection and logistic regression according to an embodiment of the present invention.
Detailed Description
The technical scheme of the invention is further explained by the specific implementation mode in combination with the attached drawings.
Wherein the showings are for the purpose of illustration only and are shown by way of illustration only and not in actual form, and are not to be construed as limiting the present patent; for a better explanation of the embodiments of the present invention, some parts of the drawings may be omitted, enlarged or reduced, and do not represent the size of an actual product; it will be understood by those skilled in the art that certain well-known structures in the drawings and descriptions thereof may be omitted.
The same or similar reference numerals in the drawings of the embodiments of the present invention correspond to the same or similar components; in the description of the present invention, it should be understood that if the terms "upper", "lower", "left", "right", "inner", "outer", etc. are used to indicate an orientation or a positional relationship based on that shown in the drawings, it is only for convenience of description and simplification of description, but not to indicate or imply that the device or element referred to must have a specific orientation, be constructed and operated in a specific orientation, and therefore, the terms describing the positional relationship in the drawings are only used for illustrative purposes and are not to be construed as limitations on the present patent, and specific meanings of the terms may be understood according to specific situations by those of ordinary skill in the art.
In the description of the present invention, unless otherwise explicitly specified or limited, the term "connected" or the like, if appearing to indicate a connection relationship between the components, is to be understood broadly, for example, as being fixed or detachable or integral; can be mechanically or electrically connected; they may be connected directly or indirectly through intervening media, or they may be connected through any combination of two or more members or structures. The specific meanings of the above terms in the present invention can be understood in a specific case to those of ordinary skill in the art.
Assuming that a plurality of parties are three parties, a task initiator with a sample label is A, and a task receiver without a label is B, C, A, B, C, the algorithm principle and the specific flow of the model joint construction method based on multi-party longitudinal privacy protection and logistic regression provided by the embodiment are implemented in a federal learning framework as follows:
principle of algorithm
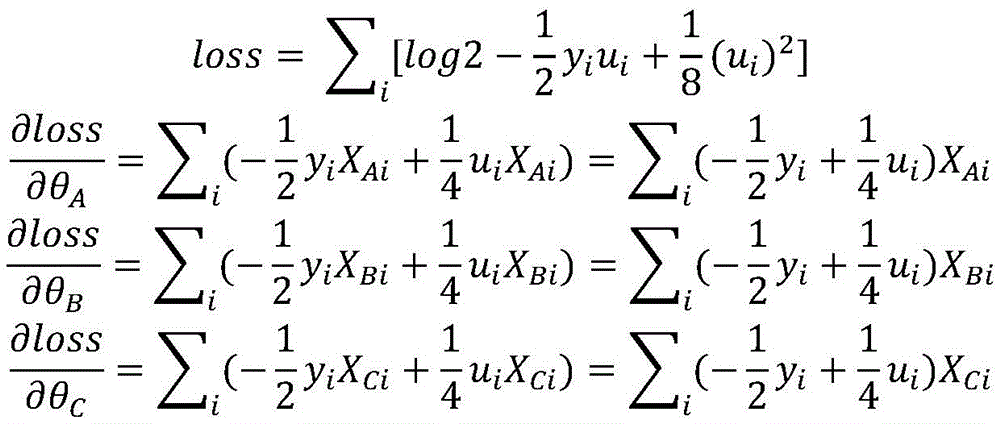
Sample data carried by a task initiator A is assumed to be X A And y, y ∈ { -1, +1},1, -1 is data X A 1 represents a positive exemplar, -1 represents a negative exemplar; data of B is X B (ii) a C has data of X C B, C without sample labels, assuming the samples are already aligned. If the parameter of the logistic regression model is theta, letθ T Is transposed theta, the output value of the logistic regression model is ÷>With the idea of maximum likelihood estimation in statistics, the optimization objective is determined to minimize the "negative log-likelihood function", i.e.: The objective function (also the loss function) is subjected to Taylor second-order expansion at the origin with ^ er> Marking/combining> The gradient of the loss function and the customer local modelThe calculation formulas are respectively as follows:
[ detailed procedure ]
As shown in fig. 1, the model joint construction method based on multi-party longitudinal privacy protection and logistic regression provided in this embodiment includes the steps of:
s1, a Server (Server) under a federated learning framework generates and stores a public key pk and a private key sk based on a Paillier homomorphic encryption algorithm, and sends the public key pk to each client (including a task initiator and a task receiver) participating in federated learning for storage;
s2, the server side aggregates partial model gradients beta _ i which are sent by each client side and calculated locally to obtain aggregate gradient beta _ agg, then encrypts the beta _ agg by using a public key pk, and encrypts the encrypted [ beta _ agg ]]] pk Sending the data to each client;
in order to ensure that the server does not know all data of the client, the gradient of the federated model is protected in this embodiment, that is, the client only sends a part of the locally calculated model gradient to the server, and the server cannot know the gradient of each client's local model each time the local model is updated.
Preferably, the part of model gradients beta _ i which is sent by the client as the initiator of the federal learning task to the server for gradient aggregation is expressed by the following expression (1):
in the expression (1), y i Representing client A as a task initiator to input samples X using a locally trained logistic regression model Ai The predicted output value of (a);
u Ai an assumption function, u, representing the linear regression of the logistic regression model trained at client A Ai Is expressed by the following expression (2):
in the expression (2) above, the expression,denotes theta A Is transposed, θ A Parameters of a logistic regression model locally trained for the client A;
X Ai the ith sample representing the local model training performed by client a.
Preferably, the partial model gradient beta _ i sent by the client as the receiver of the federal learning task to the server for gradient aggregation is expressed by the following expression (3):
in the expression (3), u Mi U is an assumed function representing a linear regression of a locally trained logistic regression model of the client M (in this embodiment, M is clients A and B) as the task receiver Mi Expressed by the following expression (4):
in the expression (4) above, the first,denotes θ M Is transposed, θ M Parameters of a logistic regression model locally trained for the client M;
X Mi the ith sample representing the local model training performed by client a.
S3, each client calculates [ beta _ agg ]]] pk Gradient of [ grad _ i ] below]] pk (client computes gradient [ [ grad _ i ] using public key pk]] pk FromIn [ [ grad _ i ]]] pk Does not describe the specific process because the specific calculation method is not the scope of the claimed invention), and adds a random mask i to encrypt the result [ [ grad [ ]) i +mask_i]] pk Sending the random mask to a server, and locally storing the random mask _ i;
adding random mask improves grad cracking of other clients i The difficulty of the data transmission is improved.
S4, the server side decrypts the [ grad ] by using the private key sk i +mask_i]] pk And decrypting the result [ grad ] i +mask_i]Sending the data to a corresponding client;
it should be emphasized here that the client cannot decrypt the ciphertext, which aims to reduce the amount of encryption and decryption computation of the client, so that the model joint construction method based on multi-party longitudinal privacy protection and logistic regression provided by the embodiment of the present invention is more easily expanded to multiple parties.
S5, each client uses the locally stored random mask _ i to decrypt the decryption result [ grad i +mask_i]Making mask _ i matching, filtering out mask _ i to obtain plaintext gradient grad i To update the local model.
It should be noted here that the client cannot directly utilize the ciphertext [ [ grad _ i ]]] pk Update the local model, need to [ grad _ i [ ]]] pk Decrypting to obtain plaintext gradient grad i The model can be updated later, but if the decryption process is placed at the client, the encryption and decryption of the client are increased, and when the number of clients participating in federal learning is huge, the overall training efficiency of the model is affected because a large number of clients consume a long time to decrypt locally, so that the gradient decryption is uniformly placed at the server in the embodiment, but the information interaction between the client and the server is inevitably increased, and in order to improve the data transmission security during the information interaction, in step S3, the ciphertext [ [ beta _ agg ] is directly encrypted]] pk Lower calculated gradient [ [ grad _ i [ ] _ i]] pk And is in [ [ grad _ i ]]] pk Adds a random mask i, and passes through the pair [ [ beta _ agg ]]] pk Not decrypting + adding random mask to data transmissionDouble privacy protection is added.
It should be emphasized that, in the model joint construction method based on multi-party longitudinal privacy protection and logistic regression provided in this embodiment, a public and private key is generated only once at the server, and each client does not participate in other encryption and decryption processes except adding a random mask in step S3. The following table a shows comparison data of model training speed of the model joint construction method provided by the invention and the traditional logistic regression algorithm based on Paillier homomorphic encryption, each client side of which has a set of public and private keys respectively, when the Paillier keys are 512 in length and the model training parameters are the same:
TABLE a
As can be seen from the above table a, the efficiency of the model joint construction method through server encryption and decryption provided by this embodiment is improved by nearly one time compared with the efficiency of the model training method through the traditional client side participating in encryption and decryption, and the effectiveness of the method in improving the training speed of the joint model is verified.
It should be understood that the above-described embodiments are merely preferred embodiments of the invention and the technical principles applied thereto. Various modifications, equivalent substitutions, changes, etc., will also be apparent to those skilled in the art. However, such variations are within the scope of the invention as long as they do not depart from the spirit of the invention. In addition, certain terms used in the specification and claims of the present application are not limiting, but are used merely for convenience of description.
Claims (4)
1. A model combined construction method based on multi-party longitudinal privacy protection and logistic regression is characterized by comprising the following steps:
s1, a server under a federal learning framework generates and stores a public key pk and a private key sk, and sends the public key pk to each client participating in federal learning;
s2, the server side aggregates partial model gradients beta _ i which are sent by each client side and calculated locally to obtain aggregate gradients beta _ agg, then the public key pk is used for encrypting the beta _ agg, and the encrypted [ beta _ agg ]]] pk Sending the data to each client;
s3, each client calculates [ beta _ agg ]]] pk Gradient of [ grad _ i ] below]] pk And adding a random mask _ i to the result of the encryption [ [ grad ] i +mask_i]] pk Sending the random mask to the server, and locally storing the random mask _ i;
s4, the server side decrypts [ grad ] by using the private key sk i +mask_i]] pk And decrypting the result [ grad ] i +mask_i]Sending the data to the corresponding client;
s5, each client uses the locally stored random mask _ i to decrypt the decryption result [ grad i +mask_i]Making mask _ i matching, filtering out mask _ i to obtain plaintext gradient grad i To update the local model.
2. The model joint construction method based on multi-party longitudinal privacy protection and logistic regression as claimed in claim 1, wherein the server generates the public key pk and the private key sk based on Paillier homomorphic encryption algorithm.
3. The model joint construction method based on multi-party longitudinal privacy protection and logistic regression as claimed in claim 1, wherein the partial model gradient beta _ i sent by the client as the initiator of the federal learning task to the server for gradient aggregation is expressed by the following expression (1):
in expression (1), y i Sample X representing a logistic regression model locally trained by client A as the task initiator Ai The true value of (d);
u Ai a hypothesis function, u, representing a linear regression of the logistic regression model trained by the client A Ai Is expressed by the following expression (2):
in the expression (2),denotes theta A Is transposed, θ A Parameters of the logistic regression model trained locally for the client a;
X Ai the ith sample representing the local model training performed by the client a.
4. The model joint construction method based on multi-party longitudinal privacy protection and logistic regression as claimed in claim 1, wherein the partial model gradient beta _ i sent by the client as the federate learning task recipient to the server for gradient aggregation is expressed by the following expression (3):
in the expression (3), u Mi A hypothetical function, u, representing a linear regression of a logistic regression model locally trained by the client M as the task recipient Mi Expressed by the following expression (4):
in the expression (4) above, the first,denotes θ M Is transposed, θ M Parameters of the logistic regression model locally trained for the client M; />
X Mi The ith sample representing the local model training performed by the client a.
Priority Applications (1)
| Application Number | Priority Date | Filing Date | Title |
|---|---|---|---|
| CN202210900706.8A CN115329369B (en) | 2022-07-28 | 2022-07-28 | Model joint construction method based on multi-party longitudinal privacy protection and logistic regression |
Applications Claiming Priority (1)
| Application Number | Priority Date | Filing Date | Title |
|---|---|---|---|
| CN202210900706.8A CN115329369B (en) | 2022-07-28 | 2022-07-28 | Model joint construction method based on multi-party longitudinal privacy protection and logistic regression |
Publications (2)
| Publication Number | Publication Date |
|---|---|
| CN115329369A CN115329369A (en) | 2022-11-11 |
| CN115329369B true CN115329369B (en) | 2023-04-14 |
Family
ID=83919118
Family Applications (1)
| Application Number | Title | Priority Date | Filing Date |
|---|---|---|---|
| CN202210900706.8A Active CN115329369B (en) | 2022-07-28 | 2022-07-28 | Model joint construction method based on multi-party longitudinal privacy protection and logistic regression |
Country Status (1)
| Country | Link |
|---|---|
| CN (1) | CN115329369B (en) |
Families Citing this family (1)
| Publication number | Priority date | Publication date | Assignee | Title |
|---|---|---|---|---|
| CN116112147A (en) * | 2022-11-17 | 2023-05-12 | 北京八分量信息科技有限公司 | TEE privacy enhanced longitudinal logistic regression protection method |
Citations (3)
| Publication number | Priority date | Publication date | Assignee | Title |
|---|---|---|---|---|
| CN113434873A (en) * | 2021-06-01 | 2021-09-24 | 内蒙古大学 | Federal learning privacy protection method based on homomorphic encryption |
| CN114186263A (en) * | 2021-12-17 | 2022-03-15 | 大连理工大学 | Data regression method based on longitudinal federal learning and electronic device |
| CN114650134A (en) * | 2022-03-31 | 2022-06-21 | 深圳前海环融联易信息科技服务有限公司 | A Longitudinal Privacy-Preserving Logistic Regression Method Based on Secret Sharing |
Family Cites Families (1)
| Publication number | Priority date | Publication date | Assignee | Title |
|---|---|---|---|---|
| US8630422B2 (en) * | 2009-11-10 | 2014-01-14 | International Business Machines Corporation | Fully homomorphic encryption method based on a bootstrappable encryption scheme, computer program and apparatus |
-
2022
- 2022-07-28 CN CN202210900706.8A patent/CN115329369B/en active Active
Patent Citations (3)
| Publication number | Priority date | Publication date | Assignee | Title |
|---|---|---|---|---|
| CN113434873A (en) * | 2021-06-01 | 2021-09-24 | 内蒙古大学 | Federal learning privacy protection method based on homomorphic encryption |
| CN114186263A (en) * | 2021-12-17 | 2022-03-15 | 大连理工大学 | Data regression method based on longitudinal federal learning and electronic device |
| CN114650134A (en) * | 2022-03-31 | 2022-06-21 | 深圳前海环融联易信息科技服务有限公司 | A Longitudinal Privacy-Preserving Logistic Regression Method Based on Secret Sharing |
Non-Patent Citations (3)
| Title |
|---|
| 唐春明 ; 魏伟明 ; .基于安全两方计算的具有隐私性的回归算法.信息网络安全.2018,(10),全文. * |
| 李娟 ; 马飞 ; .基于同态加密的分布式隐私保护线性回归分析模型.微电子学与计算机.2016,(01),全文. * |
| 马飞 ; 蒋建国 ; .具有隐私保护的分布式协作统计计算方案.计算机工程与设计.2015,(09),全文. * |
Also Published As
| Publication number | Publication date |
|---|---|
| CN115329369A (en) | 2022-11-11 |
Similar Documents
| Publication | Publication Date | Title |
|---|---|---|
| Qin et al. | Attribute-based encryption with efficient verifiable outsourced decryption | |
| Xu et al. | Tapfed: Threshold secure aggregation for privacy-preserving federated learning | |
| Emura et al. | Generic constructions of secure‐channel free searchable encryption with adaptive security | |
| Liu et al. | Privacy-preserving data sharing scheme with fl via mpc in financial permissioned blockchain | |
| Bay et al. | Multi-party private set intersection protocols for practical applications | |
| CN118984216B (en) | Medical data secure sharing method based on-grid updatable agent re-encryption | |
| Qian et al. | CryptoFE: Practical and privacy-preserving federated learning via functional encryption | |
| Xu et al. | Secure Multi-Party Quantum Summation Based on Quantum Homomorphic Encryption. | |
| Dayong et al. | Research on blockchain: privacy protection of cryptography blockchain-based applications | |
| Sekar et al. | Comparative study of encryption algorithm over big data in cloud systems | |
| CN115329369B (en) | Model joint construction method based on multi-party longitudinal privacy protection and logistic regression | |
| Bouamama et al. | Edgesa: Secure aggregation for privacy-preserving federated learning in edge computing | |
| Gong et al. | Nearly optimal protocols for computing multi-party private set union | |
| Blaise et al. | An understanding and perspectives of end-to-end encryption | |
| Hong et al. | Secure privacy-preserving association rule mining with single cloud server | |
| Li et al. | Privacy-preserving data aggregation for big data in financial institutions | |
| Li et al. | An efficient privacy-preserving bidirectional friends matching scheme in mobile social networks | |
| Zhu | Research of hybrid cipher algorithm application to hydraulic information transmission | |
| Muhammed et al. | Enhanced MORE algorithm for fully homomorphic encryption based on secret information moduli set | |
| Jeong et al. | Concurrent two-party key exchange with forward unlinkability in Internet of Drones | |
| Hraiz et al. | Symmetric encryption algorithm using graph representation | |
| Babu et al. | A review on securing distributed systems using symmetric key cryptography | |
| Chang et al. | Research on forgery attack on authentication encryption algorithm ACE | |
| Sun et al. | Efficient secure multiparty computation protocol for sequencing problem over insecure channel | |
| Zhao et al. | An Efficient Privacy-Preserving Data Aggregation Scheme without Trusted Authority in Smart Grid |
Legal Events
| Date | Code | Title | Description |
|---|---|---|---|
| PB01 | Publication | ||
| PB01 | Publication | ||
| SE01 | Entry into force of request for substantive examination | ||
| SE01 | Entry into force of request for substantive examination | ||
| GR01 | Patent grant | ||
| GR01 | Patent grant |




























