CN115037351B - Hyperbolic space embedded representation method of satellite communication network - Google Patents
Hyperbolic space embedded representation method of satellite communication network Download PDFInfo
- Publication number
- CN115037351B CN115037351B CN202210515229.3A CN202210515229A CN115037351B CN 115037351 B CN115037351 B CN 115037351B CN 202210515229 A CN202210515229 A CN 202210515229A CN 115037351 B CN115037351 B CN 115037351B
- Authority
- CN
- China
- Prior art keywords
- satellite
- node
- nodes
- model
- communication network
- Prior art date
- Legal status (The legal status is an assumption and is not a legal conclusion. Google has not performed a legal analysis and makes no representation as to the accuracy of the status listed.)
- Active
Links
- 238000004891 communication Methods 0.000 title claims abstract description 69
- 238000000034 method Methods 0.000 title claims abstract description 51
- 238000013507 mapping Methods 0.000 claims abstract description 10
- 238000011478 gradient descent method Methods 0.000 claims abstract description 6
- 238000012216 screening Methods 0.000 claims abstract description 5
- 238000012545 processing Methods 0.000 claims description 6
- 238000004364 calculation method Methods 0.000 claims description 4
- 239000000470 constituent Substances 0.000 claims description 2
- 230000006870 function Effects 0.000 description 3
- 238000004458 analytical method Methods 0.000 description 2
- 238000005457 optimization Methods 0.000 description 2
- 230000009286 beneficial effect Effects 0.000 description 1
- 230000005540 biological transmission Effects 0.000 description 1
- 230000010485 coping Effects 0.000 description 1
- 238000005516 engineering process Methods 0.000 description 1
- 238000004880 explosion Methods 0.000 description 1
- 239000002360 explosive Substances 0.000 description 1
- 230000014759 maintenance of location Effects 0.000 description 1
- 238000012986 modification Methods 0.000 description 1
- 230000004048 modification Effects 0.000 description 1
- 230000003287 optical effect Effects 0.000 description 1
- 238000004904 shortening Methods 0.000 description 1
- 238000006467 substitution reaction Methods 0.000 description 1
Images
Classifications
-
- H—ELECTRICITY
- H04—ELECTRIC COMMUNICATION TECHNIQUE
- H04B—TRANSMISSION
- H04B7/00—Radio transmission systems, i.e. using radiation field
- H04B7/14—Relay systems
- H04B7/15—Active relay systems
- H04B7/185—Space-based or airborne stations; Stations for satellite systems
- H04B7/1851—Systems using a satellite or space-based relay
- H04B7/18519—Operations control, administration or maintenance
-
- H—ELECTRICITY
- H04—ELECTRIC COMMUNICATION TECHNIQUE
- H04L—TRANSMISSION OF DIGITAL INFORMATION, e.g. TELEGRAPHIC COMMUNICATION
- H04L41/00—Arrangements for maintenance, administration or management of data switching networks, e.g. of packet switching networks
- H04L41/12—Discovery or management of network topologies
-
- H—ELECTRICITY
- H04—ELECTRIC COMMUNICATION TECHNIQUE
- H04L—TRANSMISSION OF DIGITAL INFORMATION, e.g. TELEGRAPHIC COMMUNICATION
- H04L41/00—Arrangements for maintenance, administration or management of data switching networks, e.g. of packet switching networks
- H04L41/14—Network analysis or design
- H04L41/145—Network analysis or design involving simulating, designing, planning or modelling of a network
-
- H—ELECTRICITY
- H04—ELECTRIC COMMUNICATION TECHNIQUE
- H04W—WIRELESS COMMUNICATION NETWORKS
- H04W84/00—Network topologies
- H04W84/02—Hierarchically pre-organised networks, e.g. paging networks, cellular networks, WLAN [Wireless Local Area Network] or WLL [Wireless Local Loop]
- H04W84/04—Large scale networks; Deep hierarchical networks
- H04W84/06—Airborne or Satellite Networks
-
- Y—GENERAL TAGGING OF NEW TECHNOLOGICAL DEVELOPMENTS; GENERAL TAGGING OF CROSS-SECTIONAL TECHNOLOGIES SPANNING OVER SEVERAL SECTIONS OF THE IPC; TECHNICAL SUBJECTS COVERED BY FORMER USPC CROSS-REFERENCE ART COLLECTIONS [XRACs] AND DIGESTS
- Y02—TECHNOLOGIES OR APPLICATIONS FOR MITIGATION OR ADAPTATION AGAINST CLIMATE CHANGE
- Y02D—CLIMATE CHANGE MITIGATION TECHNOLOGIES IN INFORMATION AND COMMUNICATION TECHNOLOGIES [ICT], I.E. INFORMATION AND COMMUNICATION TECHNOLOGIES AIMING AT THE REDUCTION OF THEIR OWN ENERGY USE
- Y02D30/00—Reducing energy consumption in communication networks
- Y02D30/70—Reducing energy consumption in communication networks in wireless communication networks
Landscapes
- Engineering & Computer Science (AREA)
- Computer Networks & Wireless Communication (AREA)
- Signal Processing (AREA)
- Physics & Mathematics (AREA)
- Astronomy & Astrophysics (AREA)
- General Physics & Mathematics (AREA)
- Aviation & Aerospace Engineering (AREA)
- Radio Relay Systems (AREA)
Abstract
The invention discloses a hyperbolic space embedded representation method of a satellite communication network, which comprises the following steps: constructing a Poincare sphere model; constructing a satellite communication network; in Euclidean space, representing a satellite communication network by using a first satellite network model; calculating the probability of the existence of an edge between two satellite nodes in the first satellite network model by using the meta-path, and solving the maximum probability; mapping the first satellite network model into a second satellite network model by using a Poincare sphere model in the hyperbolic space; screening satellite nodes and neighbor satellite nodes thereof in the second satellite network model to obtain negative type nodes of the satellite nodes; and optimizing a probability maximization model of the edge existing between the satellite node and the neighbor satellite node by using a Riemann gradient descent method to obtain a hyperbolic embedded representation updating model of the satellite communication network. The invention improves the accuracy and the rapidity of the topological structure representation of the satellite communication network, and is particularly suitable for the efficient representation of a large-scale complex satellite communication network under multi-satellite high-dynamic topology.
Description
Technical Field
The invention relates to the technical field of satellite communication, in particular to a hyperbolic space embedded representation method of a satellite communication network.
Background
Compared with a ground communication system, the satellite communication system has the remarkable advantages of wide coverage range and no limitation of terrain conditions, and plays an irreplaceable role in serving users in the air, offshore, desert, mountain and remote areas and unmanned areas and in coping with ground communication infrastructure damage caused by natural disasters such as earthquake, flood and the like; with rapid progress in technology, satellite nodes of a space low-orbit constellation satellite are increasingly increased day by day, which results in an exponential increase in the number of links in satellite communications of each constellation. The conventional euclidean space can only adapt to the growth mode of the polynomial level, and the embedded model of the satellite communication network in the conventional euclidean space has hardly satisfied the current situation of the satellite communication network which is rapidly developed nowadays. The non-Euclidean space belongs to the expansion of Euclidean geometric space, the hyperbolic space is a normally negative curvature space, and compared with the Euclidean space, the hyperbolic space has larger capacity, is more suitable for the analysis modeling of a large-scale complex network, and is easier for the complex data of the low-dimensional embedded representation to build a model more suitable for an actual system.
Disclosure of Invention
The technical problem to be solved by the invention is to provide the hyperbolic space embedded representation method of the satellite communication network, which can obtain a model which is more fit with an actual system by mapping the satellite communication network into the hyperbolic space, better adapt to the increasing number of satellites and the exponential explosion growth of the network connectivity thereof, provide a low-dimensional, efficient and accurate embedded mode for a large-scale multi-satellite complex satellite communication network, thereby reducing the calculation amount of route optimization, capacity optimization and the like of the large-scale multi-satellite complex satellite communication network and shortening the calculation time.
In order to solve the technical problems, an embodiment of the present invention discloses a hyperbolic space embedded representation method of a satellite communication network, the method comprising:
s1, constructing a Poincare sphere model; the Poincare sphere model is represented by a plurality of open d-dimensional unit spheres and a Riemann metric tensor; presetting a first satellite network model and presetting a second satellite network model;
s2, constructing a satellite communication network; the satellite communication network is composed of a plurality of satellites, and each satellite is set as a satellite node;
s3, in Euclidean space, the satellite communication network is represented by the first satellite network model; calculating two satellite nodes in the first satellite network model by using a meta-path to obtain a first probability of an edge existing between the two satellite nodes;
s4, mapping the first satellite network model into the second satellite network model by using the Poincare sphere model in a hyperbolic space;
calculating a second probability of an edge existing between two satellite nodes in the second satellite network model, and obtaining a second probability maximum value of the edge;
s5, presetting a time delay threshold and an error rate threshold;
screening satellite nodes in the second satellite network model and neighbor satellite nodes thereof to obtain negative type nodes and non-negative type nodes of the satellite nodes;
the negative type node of the satellite node is a neighbor satellite node of the satellite node with channel time delay larger than a preset time delay threshold and bit error rate larger than a preset bit error rate threshold;
the non-negative type node of the satellite node is a neighbor satellite node of the satellite node with channel time delay smaller than a preset time delay threshold and error rate smaller than a preset error rate threshold; processing the satellite nodes, and negative type nodes and non-negative type nodes thereof to obtain a probability maximization model of edges between the satellite nodes and neighboring satellite nodes thereof;
and S6, optimizing the probability maximization model by using a Riemann gradient descent method to obtain a hyperbolic embedded representation updating model of the satellite communication network.
As an optional implementation manner, in the embodiment of the present invention, the method for representing the poincare sphere model is:
the Poincare sphere model representation method comprises the following steps:
the Poincare sphere model uses a plurality of open D-dimensional unit spheres D d And Riemann metric tensorTo express, the calculation formula is:
D d ={x∈R d :||x||<1}
wherein R is d Is d-dimensional real number domain, lambda x Tensor g E Constant multiple of D d Is D dimension unit sphere, x is E D d ,g E Let g be the Euclidean metric tensor E =Ι,Is a Riemann metric tensor.
As an optional implementation manner, in an embodiment of the present invention, the first satellite network model includes:
the satellite communication network is composed of satellite nodes v i Constituent, i=1, 2,..n, n is the number of satellite nodes in the satellite communication network; the satellite node v i Forming a satellite node set V;
in the satellite communication network, the directional connection between any two satellite nodes is set as one side;
satellite node v i To satellite node v j Is directed edge e ij I, j=1, 2,..n, n is the number of satellite nodes in the satellite communication network; the directed edge e ij Forming a directed edge set E;
in Euclidean space, the satellite communication network is denoted as G (V, E), V i ∈V,e ij E, i, j=1, 2,..n, n is the number of satellite nodes in the satellite communication network; g (V, E) is the first satellite network model.
In an embodiment of the present invention, the calculating, by using a meta-path, the first probability that an edge exists between two satellite nodes in the first satellite network model includes:
the meta path is:
wherein n is the number of satellite nodes in the satellite communication network; satellite node v in said satellite communication network i With satellite node v j Edge e is present ij Is the first probability p of ij The method comprises the following steps:
wherein, gamma ij Is a satellite node v i With satellite node v j Channel delay Γ is delay threshold value, ζ ij Is a satellite node v i With satellite nodesv j The channel error rate between the two is the threshold value of the error rate, W (gamma) ij ,ξ ij ) Is related to channel delay gamma ij And channel error rate xi ij Is a function of (2); when p is ij At > 0, satellite node v j Called satellite node v i Is a neighbor satellite node of (a).
As an optional implementation manner, in an embodiment of the present invention, the mapping of the first satellite network model to the second satellite network model includes:
the first satellite network model G (V, E) is mapped to the second satellite network model Θ in hyperbolic space, and the method is as follows:
wherein V is a satellite node set; e is directed edge set, θ i Representing satellite nodes in the second satellite network model, i=1, 2, … |v|, and |v| is the mapped satellite node θ i Is a number of (3).
As an optional implementation manner, in an embodiment of the present invention, the processing the satellite node, and the negative type node and the non-negative type node thereof, to obtain a probability maximization model of an edge existing between the satellite node and a neighboring satellite node thereof includes:
minimizing the probability of edges existing between the satellite nodes and negative type nodes of the satellite nodes;
maximizing a probability of an edge existing between the satellite node and a non-negative type node of the satellite node;
and obtaining a probability maximization model of the edges existing between the satellite nodes and the neighboring satellite nodes.
In an optional implementation manner, in an embodiment of the present invention, the calculating a second probability that an edge exists between two satellite nodes in the second satellite network model, to obtain a second probability maximum value of the edge, includes:
s41, the satellite node theta i With its neighbor satellite node c (θ i ) j Distance d between D (θ i ,c(θ i ) j ) The method comprises the following steps:
in the satellite node theta i Is C (theta), C (theta) i ) j E C (Θ) and V are mapped satellite nodes θ i Θ is the number of satellite nodes in the second satellite network model;
s42, the satellite node theta i With its neighbor satellite node c (θ i ) j Second probability p (θ) of edge existence therebetween i |c(θ i ) j The method comprises the steps of carrying out a first treatment on the surface of the Θ) is:
p(θ i |c(θ i ) j ;Θ)=1/1+exp[d D (θ i ,c(θ i ) j )]
s43, the satellite node theta i With its neighbor satellite node c (θ i ) j Second probability p (θ) of edge existence therebetween i |c(θ i ) j The method comprises the steps of carrying out a first treatment on the surface of the Θ) maximum value is:
a second probability maximum for the edge is obtained.
As an optional implementation manner, in an embodiment of the present invention, the processing the satellite node, and the negative type node and the non-negative type node thereof, to obtain a probability maximization model of an edge existing between the satellite node and a neighboring satellite node thereof includes:
s51, in a second satellite network model, the satellite node theta i Is Q l ,Q l E Θ, l=1, 2,..m, m < |v| -1, |v| is the mapped satellite node θ i Is the number of (3);
the negative type node Q l And the satellite node theta i The probability of an edge being present between:
s52, the satellite node theta i And the negative type node Q l Minimizing the probability of edges being present in between;
the satellite node theta i Neighbor satellite node c with the non-negative type node g (θ i ) j Maximizing the probability of edges existing between them;
obtaining the satellite node theta i With its neighbor satellite node c (θ i ) j The probability maximization model S (Θ) of the edge present in between, the method comprising:
wherein Θ is a set of satellite nodes in the second satellite network model, and the satellite nodes θ i Neighbor satellite node c of non-negative type node g (θ i ) j The distance between them is d D (θ i ,c g (θ i ) j ) Negative type node Q l And satellite node theta i The distance between them is d D (θ i ,Q l ),C t (Θ) is a neighbor node set of negative type nodes, S (Θ) is the probability maximization model, and C (Θ) is a satellite node θ i Is described herein).
As an optional implementation manner, in an embodiment of the present invention, the optimizing the probability maximization model by using a Riemann gradient descent method to obtain a hyperbolic embedded representation update model of a satellite communication network includes:
in the method, in the process of the invention,for the exponential mapping function on the Poincare sphere, η is constant, ++>
S62, in a non-Euclidean space,
in hyperbolic space, the Riemann gradient is utilizedUpdating the satellite node θ i ,θ i The updating is as follows:
obtaining theta i Updating the result, wherein D d Is d-dimensional unit sphere, x is E R d ,R d The d-dimensional real number domain, and R is the real number domain.
Compared with the prior art, the embodiment of the invention has the following beneficial effects:
(1) According to the invention, the Poincare sphere is selected as an equivalent model, so that the problem that the hyperbolic space and the Euclidean space cannot be embedded equidistantly is solved, and the specific angle retention property of the Poincare sphere is utilized, so that the calculated amount of network embedding is simplified, and the accuracy and the rapidity of network topology structure analysis are improved;
(2) The invention solves the problem of large-scale complex network form expression under multi-satellite high-dynamic topology by utilizing the infinite ductility and radial exponential growth of the Poincare sphere equivalent model, and lays a foundation for embedding a large-scale low-orbit satellite communication network in the future by utilizing the characteristic that a potential hierarchical structure exists in a hyperbolic space and embedding the hyperbolic space into the Euclidean space, thereby greatly improving the accuracy and rapidity of information transmission;
(3) By researching a network embedding method of a satellite communication network in hyperbolic space, the method can better adapt to the current situation that the number of satellites which are increasing day by day and the network connectivity thereof are exponentially explosive; by mapping the satellite communication network into the hyperbolic space, a model representation which is more fit with an actual system is obtained, and a technical and theoretical basis is laid for greatly improving the forwarding efficiency between satellite nodes.
Drawings
In order to more clearly illustrate the technical solutions of the embodiments of the present invention, the drawings required for the description of the embodiments will be briefly described below, and it is apparent that the drawings in the following description are only some embodiments of the present invention, and other drawings may be obtained according to these drawings without inventive effort for a person skilled in the art.
Fig. 1 is a flow chart of a hyperbolic space embedded representation method of a satellite communication network according to an embodiment of the present invention.
Detailed Description
In order to make the present invention better understood by those skilled in the art, the following description will clearly and completely describe the technical solutions in the embodiments of the present invention with reference to the accompanying drawings, and it is apparent that the described embodiments are only some embodiments of the present invention, not all embodiments. All other embodiments, which can be made by those skilled in the art based on the embodiments of the invention without making any inventive effort, are intended to be within the scope of the invention.
The terms first, second and the like in the description and in the claims and in the above-described figures are used for distinguishing between different objects and not necessarily for describing a sequential or chronological order. Furthermore, the terms "comprise" and "have," as well as any variations thereof, are intended to cover a non-exclusive inclusion. For example, a process, method, apparatus, article, or device that comprises a list of steps or elements is not limited to the list of steps or elements but may, in the alternative, include other steps or elements not expressly listed or inherent to such process, method, article, or device.
Reference herein to "an embodiment" means that a particular feature, structure, or characteristic described in connection with the embodiment may be included in at least one embodiment of the invention. The appearances of such phrases in various places in the specification are not necessarily all referring to the same embodiment, nor are separate or alternative embodiments mutually exclusive of other embodiments. Those of skill in the art will explicitly and implicitly appreciate that the embodiments described herein may be combined with other embodiments.
Fig. 1 is a flow chart of a hyperbolic space embedded representation method of a satellite communication network according to an embodiment of the present invention, and the method shown in fig. 1 includes the following steps:
s1, a plurality of open D-dimensional unit balls D d And Riemann metric tensorTo represent the poincare sphere model, which is specifically:
D d ={x∈R d :||x||<1}
wherein R is d Is d-dimensional real number domain, lambda x Tensor g E Constant multiple of D d Is D dimension unit sphere, x is E D d ,g E Let g be the Euclidean metric tensor E =Ι,Is a Riemann metric tensor.
S2, setting each satellite in the satellite communication network as a satellite node by adopting a graph theory expression method, and recording as v i I=1, 2,..n, n being the number of satellite nodes in the satellite communication network; the directional connection between any two satellite nodes is set as one side, and e is used ij Representing a slave satellite node v i To satellite node v j Is a side of (2); the satellite communication network is denoted G (V, E), V in Euclidean space i ∈V,e ij E, i, j=1, 2,..n, V is a set of satellite nodes of the satellite communication network in the european space, E is a set of directed edges between the satellite nodes of the satellite communication network in the european space, G (V, E) is referred to as a first satellite network model;
s3, giving the element path asi, j e {1, 2..n }, defining a satellite node v in a satellite communications network i With satellite node v j Edge e is present ij The probability of (2) is
Wherein, gamma ij Is a satellite node v i With satellite node v j Channel delay Γ is delay threshold value, ζ ij Is a satellite node v i With satellite node v j The channel error rate between the two is the error rate threshold value,a epsilon (0, 1); when p is ij At > 0, satellite node v j Called satellite node v i Is a neighbor satellite node of (a);
s4, setting the representation of the satellite node set on the Poincare sphere in the hyperbolic space asWherein θ i Representing satellite nodes in a satellite communication network, i=1, 2,.|v|, |v| is the satellite node θ after mapping of the node set V on the poincare sphere of hyperbolic space i Calculating the probability of the existence of edges between two satellite nodes, solving the maximum value of the probability, wherein Θ is a second satellite network model;
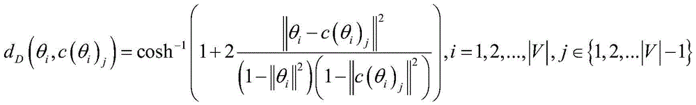
s41, let satellite node theta i And a neighbor satellite node c (θ i ) j The distance between them is
Wherein the satellite node theta i Is C (theta), C (theta) i ) j ∈C(Θ),j∈{1,2,...|V|-1};
S42, satellite node θ i With a neighboring satellite node c (θ i ) j The probability of edge existence between them is
p(θ i |c(θ i ) j ;Θ)=1/1+exp[d D (θ i ,c(θ i ) j )]
S43, obtaining satellite node θ i With its neighbor satellite node c (θ i ) j Probability maximum of edge existence in between
S5, for satellite node theta i Screening all neighbor satellite nodes, and defining an originating neighbor satellite node with channel delay larger than a delay threshold and bit error rate higher than a bit error rate threshold as a satellite node theta j Is a negative type node of (a); by minimizing satellite node theta i Probability of edge existence with negative type node to maximize satellite node theta i And to thisThe probability of edges existing between neighboring satellite nodes of non-negative type nodes is obtained to obtain satellite node theta i A probability maximization model of edges existing between the model and the adjacent satellite nodes;
s51, for satellite node θ i Screening all the neighbor satellite nodes to obtain negative type nodes, namely Q l ,Q l E Θ, l=1, 2,..m, m < |v| -1, then node Q of negative type l And satellite node theta i The probability of the existence of edges between is
S52, by minimizing satellite node θ i And negative type node Q l Probability of edge existence therebetween to maximize satellite node θ i Neighbor satellite node c with negative type node g (θ i ) j The probability of edge exists between them, so that the satellite node theta in S43 i With its neighbor satellite node c (θ i ) j The probability maximization model with edges in between is optimized as
And S6, optimizing the probability maximization model of the edge existing between any satellite node and the neighbor satellite node by using a Riemann gradient descent method to obtain a satellite node representation updating model.
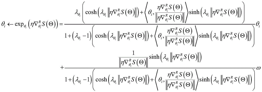
S61, orderRepresented as satellite node θ i ∈D d Embedded tangent space, calculating satellite node theta i With its neighbor satellite node c (θ i ) j Riemann gradient of probability maximization model S (Θ) with edge in between>Maximizing the satellite node theta corresponding to the S (theta) i The representation is updated as
Wherein the method comprises the steps ofAn exponential mapping function on Poincare sphere, wherein eta is a constant;
Satellite node theta in hyperbolic space i With its neighbor satellite node c (θ i ) j Satellite node theta corresponding to probability maximization model S (theta) with edge i The representation updates are:
obtaining theta i Updating the result, wherein D d Is d-dimensional unit sphere, x is E R d ,R d In the d-dimensional real number domain,r is the real number domain.
From the above detailed description of the embodiments, it will be apparent to those skilled in the art that the embodiments may be implemented by means of software plus necessary general hardware platforms, or of course by means of hardware. Based on such understanding, the foregoing technical solutions may be embodied essentially or in part in the form of a software product that may be stored in a computer-readable storage medium including Read-Only Memory (ROM), random-access Memory (Random Access Memory, RAM), programmable Read-Only Memory (Programmable Read-Only Memory, PROM), erasable programmable Read-Only Memory (Erasable Programmable Read Only Memory, EPROM), one-time programmable Read-Only Memory (OTPROM), electrically erasable programmable Read-Only Memory (EEPROM), compact disc Read-Only Memory (Compact Disc Read-Only Memory, CD-ROM) or other optical disc Memory, magnetic disc Memory, tape Memory, or any other medium that can be used for computer-readable carrying or storing data.
Finally, it should be noted that: the hyperbolic space embedded representation method of the satellite communication network disclosed by the embodiment of the invention is disclosed as a preferred embodiment of the invention, and is only used for illustrating the technical scheme of the invention, but not limiting the technical scheme; although the invention has been described in detail with reference to the foregoing embodiments, those of ordinary skill in the art will understand that; the technical scheme recorded in the various embodiments can be modified or part of technical features in the technical scheme can be replaced equivalently; such modifications and substitutions do not depart from the spirit and scope of the corresponding technical solutions.
Claims (9)
1. A method for hyperbolic spatial embedded representation of a satellite communication network, the method comprising:
s1, constructing a Poincare sphere model; the Poincare sphere model is represented by a plurality of open d-dimensional unit spheres and a Riemann metric tensor; presetting a first satellite network model and presetting a second satellite network model;
s2, constructing a satellite communication network; the satellite communication network is composed of a plurality of satellites, and each satellite is set as a satellite node;
s3, in Euclidean space, the satellite communication network is represented by the first satellite network model; calculating two satellite nodes in the first satellite network model by using a meta-path to obtain a first probability of an edge existing between the two satellite nodes;
s4, mapping the first satellite network model into the second satellite network model by using the Poincare sphere model in a hyperbolic space;
calculating a second probability of an edge existing between two satellite nodes in the second satellite network model, and obtaining a second probability maximum value of the edge;
s5, presetting a time delay threshold and an error rate threshold;
screening satellite nodes in the second satellite network model and neighbor satellite nodes thereof to obtain negative type nodes and non-negative type nodes of the satellite nodes;
the negative type node of the satellite node is a neighbor satellite node of the satellite node with channel time delay larger than a preset time delay threshold and bit error rate larger than a preset bit error rate threshold;
the non-negative type node of the satellite node is a neighbor satellite node of the satellite node with channel time delay smaller than a preset time delay threshold and error rate smaller than a preset error rate threshold; processing the satellite nodes, and negative type nodes and non-negative type nodes thereof to obtain a probability maximization model of edges between the satellite nodes and neighboring satellite nodes thereof;
and S6, optimizing the probability maximization model by using a Riemann gradient descent method to obtain a hyperbolic embedded representation updating model of the satellite communication network.
2. The hyperbolic space embedded representation method of a satellite communication network according to claim 1, wherein the representation method of the poincare sphere model is as follows:
the Poincare sphere model uses a plurality of open D-dimensional unit spheres D d And Riemann metric tensorTo express, the calculation formula is:
D d ={x∈R d :||x||<1}
3. The method of hyperbolic spatial embedded representation of a satellite communication network of claim 1, wherein said first satellite network model comprises:
the satellite communication network is composed of satellite nodes v i Constituent, i=1, 2,..n, n is the number of satellite nodes in the satellite communication network; the satellite node v i Forming a satellite node set V;
in the satellite communication network, the directional connection between any two satellite nodes is set as one side;
satellite node v i To satellite node v j Is directed edge e ij I, j=1, 2,..n, n is the number of satellite nodes in the satellite communication network; the directed edge e ij Forming a directed edge set E;
in Euclidean space, the satellite communication network is denoted as G (V, E), V i ∈V,e ij E, i, j=1, 2,..n, n is the number of satellite nodes in the satellite communication network; g (V, E) is the first satellite network model.
4. The method for hyperbolic spatial embedding representation of a satellite communication network according to claim 1, wherein said calculating two satellite nodes in said first satellite network model using a meta path to obtain a first probability that an edge exists between the two satellite nodes, comprises:
the meta path is:
wherein n is the number of satellite nodes in the satellite communication network; satellite node v in said satellite communication network i With satellite node v j Edge e is present ij Is the first probability p of ij The method comprises the following steps:
wherein, gamma ij Is a satellite node v i With satellite node v j Channel delay Γ is delay threshold value, ζ ij Is a satellite node v i With satellite node v j The channel error rate between the two is the threshold value of the error rate, W (gamma) ij ,ξ ij ) Is related to channel delay gamma ij And channel error rate xi ij Is a function of (2); when p is ij At > 0, satellite node v j Called satellite node v i Is a neighbor satellite node of (a).
5. The method of hyperbolic spatial embedded representation of a satellite communication network of claim 1, wherein said first satellite network model is mapped to a second satellite network model, comprising:
the first satellite network model G (V, E) is mapped to the second satellite network model Θ in hyperbolic space, and the method is as follows:
wherein V is a satellite node set; e is directed edge set, θ i Representing satellite nodes in the second satellite network model, i=1, 2,.|v|, |v| is the mapped satellite node θ i Is of (1)A number.
6. The method for hyperbolic spatial embedded representation of a satellite communication network according to claim 1, wherein said processing said satellite node, its negative type node and its non-negative type node, to obtain a probability maximization model of an edge existing between said satellite node and its neighboring satellite node, comprises:
minimizing the probability of edges existing between the satellite nodes and negative type nodes of the satellite nodes;
maximizing a probability of an edge existing between the satellite node and a non-negative type node of the satellite node;
and obtaining a probability maximization model of the edges existing between the satellite nodes and the neighboring satellite nodes.
7. The method for hyperbolic spatial embedded representation of a satellite communication network of claim 1, wherein calculating a second probability of an edge existing between two satellite nodes in said second satellite network model, to obtain a second probability maximum for said edge, comprises:
s41, the satellite node theta i With its neighbor satellite node c (θ i ) j Distance d between D (θ i ,c(θ i ) j ) The method comprises the following steps:
in the satellite node theta i Is C (theta), C (theta) i ) j E C (Θ) and V are mapped satellite nodes θ i Θ is the number of satellite nodes in the second satellite network model;
s42, the satellite node theta i With its neighbor satellite node c (θ i ) j Second probability p (θ) of edge existence therebetween i |c(θ i ) j The method comprises the steps of carrying out a first treatment on the surface of the Θ) is:
p(θ i |c(θ i ) j ;Θ)=1/1+exp[d D (θ i ,c(θ i ) j )]
s43, the satellite node theta i With its neighbor satellite node c (θ i ) j Second probability p (θ) of edge existence therebetween i |c(θ i ) j The method comprises the steps of carrying out a first treatment on the surface of the Θ) maximum value is:
a second probability maximum for the edge is obtained.
8. The method for hyperbolic spatial embedded representation of a satellite communication network according to claim 1, wherein said processing said satellite node, its negative type node and its non-negative type node, to obtain a probability maximization model of an edge existing between said satellite node and its neighboring satellite node, comprises:
s51, in a second satellite network model, the satellite node theta i Is Q l ,Q l E Θ, l=1, 2,..m, m < |v| -1, |v| is the mapped satellite node θ i Is the number of (3);
the negative type node Q l And the satellite node theta i The probability of an edge being present between:
s52, the satellite node theta i And the negative type node Q l Minimizing the probability of edges being present in between;
the satellite node theta i Neighbor satellite node c with the non-negative type node g (θ i ) j Maximizing the probability of edges existing between them;
obtaining the satellite node theta i With its neighbor satellite node c (θ i ) j The probability maximization model S (Θ) of the edge present in between, the method comprising:
wherein Θ is a set of satellite nodes in the second satellite network model, and the satellite nodes θ i Neighbor satellite node c of non-negative type node g (θ i ) j The distance between them is d D (θ i ,c g (θ i ) j ) Negative type node Q l And satellite node theta i The distance between them is d D (θ i ,Q l ),C t (Θ) is a neighbor node set of negative type nodes, S (Θ) is the probability maximization model, and C (Θ) is a satellite node θ i Is described herein).
9. The method for hyperbolic spatial embedded representation of a satellite communication network according to claim 1, wherein said optimizing said probability maximization model by using a Riemann gradient descent method results in a hyperbolic embedded representation update model of the satellite communication network, the method comprising:
Using the Riemann gradientUpdating the satellite node θ i The method comprises the following steps: />
In the method, in the process of the invention,for the exponential mapping function on the Poincare sphere, η is constant, ++>
S62, in a non-Euclidean space,
in hyperbolic space, the Riemann gradient is utilizedUpdating the satellite node θ i ,θ i The updating is as follows:
obtaining theta i Updating the result, wherein D d Is d-dimensional unit sphere, x is E R d ,R d The d-dimensional real number domain is adopted, and R is adopted as the real number domain.
Priority Applications (1)
| Application Number | Priority Date | Filing Date | Title |
|---|---|---|---|
| CN202210515229.3A CN115037351B (en) | 2022-05-11 | 2022-05-11 | Hyperbolic space embedded representation method of satellite communication network |
Applications Claiming Priority (1)
| Application Number | Priority Date | Filing Date | Title |
|---|---|---|---|
| CN202210515229.3A CN115037351B (en) | 2022-05-11 | 2022-05-11 | Hyperbolic space embedded representation method of satellite communication network |
Publications (2)
| Publication Number | Publication Date |
|---|---|
| CN115037351A CN115037351A (en) | 2022-09-09 |
| CN115037351B true CN115037351B (en) | 2023-05-16 |
Family
ID=83120415
Family Applications (1)
| Application Number | Title | Priority Date | Filing Date |
|---|---|---|---|
| CN202210515229.3A Active CN115037351B (en) | 2022-05-11 | 2022-05-11 | Hyperbolic space embedded representation method of satellite communication network |
Country Status (1)
| Country | Link |
|---|---|
| CN (1) | CN115037351B (en) |
Family Cites Families (4)
| Publication number | Priority date | Publication date | Assignee | Title |
|---|---|---|---|---|
| US6591084B1 (en) * | 1998-04-27 | 2003-07-08 | General Dynamics Decision Systems, Inc. | Satellite based data transfer and delivery system |
| IL226218A (en) * | 2013-05-07 | 2015-04-30 | Oscar Glottmann | Method and mobile ad-hoc network with satellite node |
| CN111193540B (en) * | 2020-04-08 | 2020-09-01 | 北京大学深圳研究生院 | A unified routing method for sky-ground information network based on hyperbolic geometry |
| CN111526090B (en) * | 2020-07-06 | 2020-12-25 | 北京大学深圳研究生院 | Routing method of heaven-earth integrated information network |
-
2022
- 2022-05-11 CN CN202210515229.3A patent/CN115037351B/en active Active
Also Published As
| Publication number | Publication date |
|---|---|
| CN115037351A (en) | 2022-09-09 |
Similar Documents
| Publication | Publication Date | Title |
|---|---|---|
| CN112543049B (en) | An energy efficiency optimization method and device for integrating a terrestrial satellite network | |
| CN113194493B (en) | Method and device for recovering missing attributes of wireless network data based on graph neural network | |
| CN107133398B (en) | A method for predicting river runoff based on complex network | |
| CN115713009B (en) | Dynamic aggregation federal learning method based on connection density of satellite and ground station | |
| CN119628718B (en) | Data cooperative transmission method and system for low-orbit satellite Internet of things terminal | |
| CN116523351B (en) | A source-load joint typical scene set generation method, system and equipment | |
| CN115796394A (en) | Numerical weather forecast correction method and device, electronic equipment and storage medium | |
| CN110856184A (en) | Node Deployment Method of Double-layer Structure Wireless Sensor Network Based on K-Means Algorithm | |
| CN113065443A (en) | Training method, recognition method, system, device and medium of image recognition model | |
| CN115037351B (en) | Hyperbolic space embedded representation method of satellite communication network | |
| CN113905386B (en) | Mesh gateway deployment optimization method based on self-adaptive hybrid particle swarm algorithm | |
| Ajayi et al. | Africa 3: A continental network model to enable the African fourth industrial revolution | |
| CN120456043A (en) | A large-scale low-orbit satellite network traffic prediction method based on regional mapping | |
| CN117835463B (en) | Spatiotemporal dynamic deployment method of air-ground ad hoc communication network based on deep reinforcement learning | |
| CN116346196B (en) | Multi-layer constellation interlayer link design method with enhanced service coverage capability | |
| CN119272617A (en) | Sponge city design method and system | |
| CN115620171B (en) | Forest storage amount evaluation method, device, equipment and storage medium | |
| CN116015552B (en) | Erasure coding method, system and readable storage medium for cross-domain data centers | |
| CN118611736A (en) | A path selection method for giant constellation networks based on rolling optimization | |
| CN118314370A (en) | Layered motion restoration structure method based on grid common view | |
| CN114697221B (en) | Reliability Mapping Algorithm Based on Snapshot Tree Model in Space-Space-Ground Integrated Network | |
| CN117118616B (en) | Quantum key distribution network construction method and device based on power distribution network | |
| CN112560946A (en) | Edge server hot spot prediction method for online and offline associated reasoning | |
| Khamesi et al. | Distributed robust error‐constrained filter for sensor networks with polytopic uncertainty and non‐Gaussian noises | |
| CN119316850B (en) | Method and device for constructing ocean monitoring buoy network based on satellite and storage medium |
Legal Events
| Date | Code | Title | Description |
|---|---|---|---|
| PB01 | Publication | ||
| PB01 | Publication | ||
| SE01 | Entry into force of request for substantive examination | ||
| SE01 | Entry into force of request for substantive examination | ||
| GR01 | Patent grant | ||
| GR01 | Patent grant |





























































