CN115028644A - SOS1 inhibitor heterocyclic compounds - Google Patents
SOS1 inhibitor heterocyclic compounds Download PDFInfo
- Publication number
- CN115028644A CN115028644A CN202210222619.1A CN202210222619A CN115028644A CN 115028644 A CN115028644 A CN 115028644A CN 202210222619 A CN202210222619 A CN 202210222619A CN 115028644 A CN115028644 A CN 115028644A
- Authority
- CN
- China
- Prior art keywords
- membered
- alkyl
- methyl
- ring
- 400mhz
- Prior art date
- Legal status (The legal status is an assumption and is not a legal conclusion. Google has not performed a legal analysis and makes no representation as to the accuracy of the status listed.)
- Pending
Links
Classifications
-
- C—CHEMISTRY; METALLURGY
- C07—ORGANIC CHEMISTRY
- C07D—HETEROCYCLIC COMPOUNDS
- C07D491/00—Heterocyclic compounds containing in the condensed ring system both one or more rings having oxygen atoms as the only ring hetero atoms and one or more rings having nitrogen atoms as the only ring hetero atoms, not provided for by groups C07D451/00 - C07D459/00, C07D463/00, C07D477/00 or C07D489/00
- C07D491/02—Heterocyclic compounds containing in the condensed ring system both one or more rings having oxygen atoms as the only ring hetero atoms and one or more rings having nitrogen atoms as the only ring hetero atoms, not provided for by groups C07D451/00 - C07D459/00, C07D463/00, C07D477/00 or C07D489/00 in which the condensed system contains two hetero rings
- C07D491/04—Ortho-condensed systems
- C07D491/056—Ortho-condensed systems with two or more oxygen atoms as ring hetero atoms in the oxygen-containing ring
-
- A—HUMAN NECESSITIES
- A61—MEDICAL OR VETERINARY SCIENCE; HYGIENE
- A61P—SPECIFIC THERAPEUTIC ACTIVITY OF CHEMICAL COMPOUNDS OR MEDICINAL PREPARATIONS
- A61P35/00—Antineoplastic agents
-
- C—CHEMISTRY; METALLURGY
- C07—ORGANIC CHEMISTRY
- C07D—HETEROCYCLIC COMPOUNDS
- C07D471/00—Heterocyclic compounds containing nitrogen atoms as the only ring hetero atoms in the condensed system, at least one ring being a six-membered ring with one nitrogen atom, not provided for by groups C07D451/00 - C07D463/00
- C07D471/02—Heterocyclic compounds containing nitrogen atoms as the only ring hetero atoms in the condensed system, at least one ring being a six-membered ring with one nitrogen atom, not provided for by groups C07D451/00 - C07D463/00 in which the condensed system contains two hetero rings
- C07D471/04—Ortho-condensed systems
-
- C—CHEMISTRY; METALLURGY
- C07—ORGANIC CHEMISTRY
- C07D—HETEROCYCLIC COMPOUNDS
- C07D519/00—Heterocyclic compounds containing more than one system of two or more relevant hetero rings condensed among themselves or condensed with a common carbocyclic ring system not provided for in groups C07D453/00 or C07D455/00
Landscapes
- Chemical & Material Sciences (AREA)
- Organic Chemistry (AREA)
- Health & Medical Sciences (AREA)
- General Chemical & Material Sciences (AREA)
- Medicinal Chemistry (AREA)
- Nuclear Medicine, Radiotherapy & Molecular Imaging (AREA)
- Chemical Kinetics & Catalysis (AREA)
- Pharmacology & Pharmacy (AREA)
- Life Sciences & Earth Sciences (AREA)
- Animal Behavior & Ethology (AREA)
- General Health & Medical Sciences (AREA)
- Public Health (AREA)
- Veterinary Medicine (AREA)
- Pharmaceuticals Containing Other Organic And Inorganic Compounds (AREA)
Abstract
本发明涉及一类新型SOS1抑制剂杂环化合物;具体地,本发明提供了式(I)化合物、或其前药、酯、醚、溶剂化物、多晶型物、异构体或上述任一种的药学上可接受的盐,或者上述任意两种以上的混合物、包含这些化合物的药物组合物,以及其在治疗由SOS1和/或KRAS介导的疾病中的用途。 The present invention relates to a new class of SOS1 inhibitor heterocyclic compounds; in particular, the present invention provides a compound of formula (I), or a prodrug, ester, ether, solvate, polymorph, isomer or any of the above pharmaceutically acceptable salts of these compounds, or mixtures of any two or more of the foregoing, pharmaceutical compositions comprising these compounds, and their use in the treatment of diseases mediated by SOS1 and/or KRAS.
Description
Technical Field
The invention relates to heterocyclic compounds of a novel SOS1 inhibitor, and also relates to a preparation method, a pharmaceutical composition and application of the compounds.
Background
RAS family proteins are small gtpases present in cells in either the GTP-bound state or the GDP-bound state, have weaker intrinsic gtpase activity and slower nucleotide exchange rates (cancer. r., 2015, 13 (9): 1325-1335), whereas the binding of guanine nucleotide exchange factors (GEFs) such as SOS1(Son of Sevenless 1) promotes the RAS family proteins to release GDP, thereby achieving GTP binding. RAS activates downstream signaling pathways such as RAS-RAF-MEK-ERK and RAS-PI3K-PDK1-AKT by binding GTP (nat. rev. cancer., 2003, 3: 11-22.) to regulate life processes such as cell growth, proliferation, differentiation and apoptosis. RAS mutations are closely associated with the development of cancer, and cancer-related mutations inhibit their intrinsic and Gtpase Activating Protein (GAP) -induced gtpase activity, leading to increased GTP-binding/active RAS proteins in cells, leading to uncontrolled cell proliferation and carcinogenesis. There are three family members of the RAS family of proteins: HRAS, KRAS and NRAS. The KRAS mutation is the most common mutation type in the RAS family (nat. Rev. drug. Discov., 2014, 13 (11): 828-. Among lung cancers, mutations in the RAS gene are seen in 32% of lung adenocarcinomas, with KRAS mutations accounting for 96%. The KRAS mutations associated with cancer were mainly concentrated at amino acids G12, G13 and Q61, with the G12 mutation accounting for 77%. Among them, G12D is the most prominent mutation in human malignancies (35%), followed by G12V (29%), G12C (21%), G12A (7%), G12R (5%) and G12S (3%). KRAS, one of the most frequently mutated oncogenes, is very challenging to target drug development. Currently, only covalent inhibitor drugs that specifically bind to the G12C mutation are in clinical research, and other types of mutations have no effective targeted drugs.
SOS1, as a guanylate exchanger of RAS, plays an important regulatory role in the activation of RAS proteins and their downstream signaling pathways (nat. Commun, 2012, 3: 1168.). SOS1 has two binding sites for RAS family proteins; one is a catalytic site that binds to a GDP-bound RAS family protein to promote guanine nucleotide exchange, and one is an ectopic site that binds to a GTP-bound RAS family protein to cause a further increase in the catalytic GEF function of SOS1 (proc. natl. acad. sci. usa., 2006, 103 (45): 16692-16697.). Published data show that SOS1 is involved in regulating activation of mutant KRAS and oncogenic signaling in tumor cells. Knockdown of the expression level of SOS1 protein decreased the proliferation rate and survival of tumor cells carrying KRAS mutations, whereas no effect was observed in KRAS wild-type cell lines. The inability of SOS1 to complement the effect of SOS1 knockdown by introducing a catalytic site mutation demonstrates a critical role of SOS1GEF activity in KRAS mutant cancer cells. Therefore, we hope to find a blocking KRAS: : the interaction of SOS1 protein is a small molecule inhibitor, so as to achieve the purpose of inhibiting KRAS activation, and treat KRAS-driven cancers with various mutation types.
To date, a number of selective inhibition of KRAS have been reported: : small molecule inhibitors of SOS1 protein interactions (WO2018/115380, WO2018/172250, WO2019122129, WO2020180768, etc.), of which some drug candidates (BI 1701963, etc.) are in clinical trial research phase. The present application addresses the inhibition of KRAS: : SOS1 protein interaction is taken as a starting point, and a novel heterocyclic small molecule compound is developed and used for treating KRAS-driven tumor diseases such as lung cancer, colorectal cancer and the like.
Disclosure of Invention
In one aspect, the present invention provides a compound of formula (I), or a prodrug, ester, ether, solvate, polymorph, isomer, or a pharmaceutically acceptable salt of any of the foregoing, or a mixture of any two or more of the foregoing,
wherein,
l is a bond, 6-10 membered arylene, or 5-12 membered heteroarylene, which arylene or heteroarylene may be optionally substituted with halogen, -CN, -OH, -NH 2 、-CF 3 、C 1-6 Alkyl, -O-C 1-6 Alkyl, -NH-C 1-6 Alkyl, 3-8 membered cycloalkyl, or 3-8 membered heterocycloalkyl, which alkyl, cycloalkyl and heterocycloalkyl may be optionally substituted with (═ O), halogen, -CN, -OH, -NH 2 、-CF 3 、C 1-6 Alkyl, -O-C 1-6 Alkyl, -NH-C 1-6 Alkyl, 3-8 membered cycloalkyl, or 3-8 membered heterocycloalkyl,
R 2 each independently selected from hydrogen, halogen, -CN, -OH, -NH 2 、-CF 3 、C 1-6 Alkyl radical, C 1-4 Alkoxy, 3-to 8-membered cycloalkyl and 3-to 8-membered heterocycloalkyl, C 1-6 Alkyl radical, C 1-4 Alkoxy, 3-8 membered cycloalkyl and 3-8 membered heterocycloalkyl optionally substituted by halogen, -OH, -NH 2 、-CN、-O-C 1-6 Alkyl, or-NH-C 1-6 The substitution of the alkyl group is carried out,
R 3 is C 1-4 Alkyl radical, C 2-4 Alkenyl radical, C 2-4 Alkynyl, C 1-4 Alkoxy or C 3-4 Cycloalkyl, said alkyl, alkenyl, alkynyl, alkoxy or cycloalkyl being optionally substituted by halogen, -OH, -NH 2 CN, or methyl, or a salt thereof,
R 5 selected from hydrogen, halogen, -CN, -OH、-NH 2 、-CF 3 、C 1-6 Alkyl radical, C 1-4 Alkoxy, 3-to 8-membered cycloalkyl and 3-to 8-membered heterocycloalkyl, C 1-6 Alkyl radical, C 1-4 Alkoxy, 3-to 8-membered cycloalkyl and 3-to 8-membered heterocycloalkyl optionally substituted by halogen, -OH, -NH 2 Or a substitution of CN,
n is 0, 1, 2, 3, or 4,
ring B is Z 1 、Z 2 Or Z 3 ,
Z 1 Is a bicyclic ring system comprising a phenyl ring fused to ring A, and a 4-6 membered carbocyclic or 4-6 membered heterocyclic ring fused to the phenyl ring, the 4-6 membered carbocyclic or 4-6 membered heterocyclic ring optionally substituted with R 1 Optionally substituted, the phenyl ring being optionally substituted by halogen, -OH, -NH 2 CN, alkyl, R 10 or-O-R 10 The substitution is carried out by the following steps,
Z 2 is a bicyclic ring system comprising a ring fused to the A ring, optionally substituted by halogen, -OH, -NH 2 CN, or alkyl substituted 4-6 membered heterocycle, and a phenyl ring fused to said heterocycle or a 4-6 membered heterocycle, the phenyl ring fused to said heterocycle or the 4-6 membered heterocycle optionally being substituted with-O-R 10 The substitution is carried out by the following steps,
Z 3 is a phenyl ring, a 5-6 membered heteroaryl ring, a 5-6 membered carbocycle or a 5-6 membered heterocycle and the phenyl, heteroaryl, carbocycle or heterocycle may optionally be substituted with halogen, -OH, -NH 2 CN, alkyl, R 10 or-O-R 10 The substitution is carried out by the following steps,
R 10 is C 1-6 Alkyl, 6-10 membered aryl, 5-12 membered heteroaryl, 3-12 membered cycloalkyl or 3-12 membered heterocycloalkyl, said alkyl, aryl, heteroaryl, cycloalkyl and heterocycloalkyl optionally substituted with halo, -OH, -NH 2 、-CN、-(CO)-R 11 、-(CO)-O-R 11 、-(CO)-NH-R 11 、-(CO)-N(C 1-6 Alkyl) -R 11 、-NH-(CO)-R 11 、-N(C 1-6 Alkyl) - (CO) -R 11 、-NH-(CO)-O-R 11 、-N(C 1-6 Alkyl) - (CO) -O-R 11 、-(SO 2 )-R 11 、-(SO 2 )-NH-R 11 、-(SO 2 )-N(C 1-6 Alkyl) -R 11 Or is- (CH) 2 ) 0-4 -R 6 The substitution is carried out by the following steps,
R 1 is H, C 1-6 Alkyl radical, C 1-6 Alkoxy, halo C 1-6 Alkyl radical, C 2-6 Alkenyl radical, C 2-6 Alkynyl, - (CO) -R 11 、-(CO)-O-R 11 、-(CO)-NH-R 11 、-(CO)-N(C 1-6 Alkyl) -R 11 、-NH-(CO)-R 11 、-N(C 1-6 Alkyl) - (CO) -R 11 、-NH-(CO)-O-R 11 、-N(C 1-6 Alkyl) - (CO) -O-R 11 、-(SO 2 )-R 11 、-(SO 2 )-NH-R 11 、-(SO 2 )-N(C 1-6 Alkyl) -R 11 Or is- (CH) 2 )0-4-R 6 ,
R 6 Is 6-10 membered aryl, 5-12 membered heteroaryl, 3-12 membered cycloalkyl or 3-12 membered heterocycloalkyl, which aryl, heteroaryl, cycloalkyl or heterocycloalkyl may optionally be substituted by halogen, -CN, -NH 2 、-OH、-CF 3 、C 1-6 Alkyl, halo C 1-6 Alkyl radical, C 1-4 Alkoxy, 3-12 membered cycloalkyl, 3-12 membered heterocycloalkyl, - (CO) -R 11 、-(CO)-O-R 11 、-(CO)-NH-R 11 、-(CO)-N(C 1-6 Alkyl) -R 11 、-NH-(CO)-R 11 、-N(C 1-6 Alkyl) - (CO) -R 11 、-NH-(CO)-O-R 11 、-N(C 1-6 Alkyl) - (CO) -O-R 11 Or is- (SO) 2 )-R 11 、-(SO 2 )-NH-R 11 Or is- (SO) 2 )-N(C 1-6 Alkyl) -R 11 The substitution is carried out by the following steps,
R 11 is hydrogen, C 1-6 Alkyl, halo C 1-6 Alkyl radical, C 1-4 Alkoxy or 3-8 membered cycloalkyl.
In some embodiments, ring B is Z 1 Or Z 3 ,Z 1 And Z 3 As defined above.
In some embodiments, R 11 Is hydrogen, C 1-6 Alkyl, halo C 1-6 Alkyl or 3-to 8-membered cycloalkyl, preferably hydrogen, C 1-6 Alkyl, or 3-to 8-membered cycloalkyl, more preferably hydrogen or C 1-6 An alkyl group;
in some embodiments, R 2 Each independently selected from hydrogen, halogen, -CN, -OH, -NH 2 、-CF 3 、C 1-6 Alkyl radical, C 1-4 Alkoxy, 3-to 8-membered cycloalkyl and 3-to 8-membered heterocycloalkyl, C 1-6 Alkyl radical, C 1-4 Alkoxy, 3-8 membered cycloalkyl and 3-8 membered heterocycloalkyl optionally substituted by halogen, -OH, -NH 2 Or CN substitution;
in some embodiments, R 6 Is phenyl, 5-6 membered heteroaryl, 3-8 membered cycloalkyl or 3-8 membered heterocycloalkyl, which phenyl, heteroaryl, cycloalkyl or heterocycloalkyl may optionally be substituted by halogen, -CN, -NH 2 、-OH、-CF 3 、C 1-6 Alkyl, halo C 1-6 Alkyl radical, C 1-4 Alkoxy, 3-8 membered cycloalkyl, or 3-8 membered heterocycloalkyl;
in some embodiments, R 10 Is C 1-6 Alkyl, 3-8 membered cycloalkyl or 3-8 membered heterocycloalkyl, which alkyl, cycloalkyl and heterocycloalkyl may optionally be substituted by halogen, -OH, -NH 2 Or CN substitution;
in some embodiments, Z 1 Is a bicyclic ring system comprising a phenyl ring fused to ring A, and a 4-6 membered carbocyclic or 4-6 membered heterocyclic ring fused to said phenyl ring, said phenyl ring optionally being substituted with halogen, -OH, -NH 2 CN, alkyl, R 10 or-O-R 10 Substituted, R 10 As defined above.
In some embodiments, Z 1 Is a bicyclic ring system comprising a phenyl ring fused to ring A, and a 4-6 membered carbocyclic or 4-6 membered heterocyclic ring fused to the phenyl ring, optionally substituted with R 10 or-O-R 10 Substituted, R 10 As defined above.
In some embodiments, Z 3 Is a phenyl ring, a 5-6 membered heteroaromatic ring or a 5-6 membered heterocyclic ring, and the phenyl ring, heteroaromatic ring or heterocyclic ring may optionally be substituted with R 10 or-O-R 10 Substituted, R 10 Such as the aboveAs defined.
In some embodiments, R 3 Is C 1-4 Alkyl or C 3-4 Cycloalkyl radical, R 5 Is C 1-6 An alkyl group.
In some embodiments, R 3 Is methyl or cyclopropyl, R 5 Is methyl.
In some embodiments, ring B is the following:
In some embodiments, ring B is the following:
wherein R is 20 Is R 10 or-O-R 10 ,R 21 Is C 1-6 Alkyl or C 3-8 Cycloalkyl radical, R 10 As defined above.
In another aspect, the present invention provides a compound of formula (II), or a prodrug, ester, ether, solvate, polymorph, isomer, or a pharmaceutically acceptable salt of any of the foregoing, or a mixture of any two or more of the foregoing,
wherein,
R 2 each independently selected from hydrogen, halogen, -CN, -OH, -NH 2 、-CF 3 、C 1-6 Alkyl radical, C 1-4 Alkoxy, 3-to 8-membered cycloalkyl and 3-to 8-membered heterocycloalkyl, C 1-6 Alkyl radical, C 1-4 Alkoxy, 3-8 membered cycloalkyl and 3-8 membered heterocycloalkyl optionally substituted by halogen, -OH, -NH 2 Or a substitution of CN,
R 3 is C 1-4 Alkyl radical, C 2-4 Alkenyl radical, C 2-4 Alkynyl, C 1-4 Alkoxy or C 3-4 Cycloalkyl, said alkyl, alkenyl, alkynyl, alkoxy or cycloalkyl being optionally substituted by halogen, -OH, -NH 2 CN, or methyl, or a salt thereof,
R 5 selected from hydrogen, halogen, -CN, -OH, -NH 2 、-CF 3 、C 1-6 Alkyl radical, C 1-4 Alkoxy, 3-to 8-membered cycloalkyl and 3-to 8-membered heterocycloalkyl, C 1-6 Alkyl radical, C 1-4 Alkoxy, 3-to 8-membered cycloalkyl and 3-to 8-membered heterocycloalkyl optionally substituted by halogen, -OH, -NH 2 Or a substitution of CN,
n is 0, 1, 2, 3, or 4,
ring B is Z 1 Or Z 2 ,
Z 1 Is a bicyclic ring system comprising a benzene ring fused to ring A, and a 4-6 membered carbocyclic or 4-6 membered heterocyclic ring fused to the benzene ring, the 4-6 membered carbocyclic or 4-6 membered heterocyclic ring optionally substituted with R 1 Optionally substituted, the phenyl ring being optionally substituted by halogen, -OH, -NH 2 CN, or methyl, or a salt thereof,
Z 2 is a bicyclic ring system comprising a ring fused to the A ring, optionally substituted by halogen, -OH, -NH 2 CN, or methyl substituted 4-6 membered heterocycle, and a phenyl ring fused to said heterocycle or a 4-6 membered heterocycle, the phenyl ring fused to said heterocycle or the 4-6 membered heterocycle optionally being substituted with-O-R 10 The substitution is carried out by the following steps,
R 1 is H, C 1-6 Alkyl radical, C 1-6 Alkoxy, halo C 1-6 Alkyl radical, C 2-6 Alkenyl radical, C 2-6 Alkynyl, - (CO) -R 11 、-(CO)-O-R 11 、-(CO)-NH-R 11 、-(CO)-N(C 1-6 Alkyl) -R 11 、-NH-(CO)-R 11 、-N(C 1-6 Alkyl) - (CO) -R 11 、-NH-(CO)-O-R 11 、-N(C 1-6 Alkyl) - (CO) -O-R 11 、-(SO 2 )-R 11 Or is- (CH) 2 ) 0-4 -R 6 ,
R 6 Is phenyl5-6 membered heteroaryl, 3-8 membered cycloalkyl or 3-8 membered heterocycloalkyl, said phenyl, heteroaryl, cycloalkyl or heterocycloalkyl optionally being substituted by halogen, -CN, -NH 2 、-OH、-CF 3 、C 1-6 Alkyl, halo C 1-6 Alkyl radical, C 1-4 Alkoxy, 3-8 membered cycloalkyl, or 3-8 membered heterocycloalkyl,
R 11 is hydrogen, C 1-6 Alkyl, halo C 1-6 Alkyl radical, C 1-4 Alkoxy or 3-to 8-membered cycloalkyl,
R 10 is C 1-6 Alkyl, 3-8 membered cycloalkyl or 3-8 membered heterocycloalkyl, which alkyl, cycloalkyl and heterocycloalkyl may optionally be substituted by halogen, -OH, -NH 2 Or CN substitution.
In some embodiments, Z 1 Is a bicyclic ring system comprising a phenyl ring fused to ring A, and a 4-6 membered heterocyclic ring fused to the phenyl ring, said 4-6 membered heterocyclic ring being optionally substituted with R 1 Optionally substituted, the phenyl ring being optionally substituted by halogen, -OH, -NH 2 CN, or methyl; the 4-6 membered heterocyclic ring contains N and/or O heteroatoms; the R is 1 As defined above.
In some embodiments, Z 2 Is a bicyclic ring system comprising a ring fused to the A ring, optionally substituted by halogen, -OH, -NH 2 CN, or methyl substituted 4-6 membered heteroaromatic ring, and a phenyl ring fused to said heterocycle or a 4-6 membered heteroaromatic ring, said phenyl ring fused to said heterocycle or said 4-6 membered heteroaromatic ring optionally substituted with-O-R 10 Substitution; the R is 10 As defined above.
In some embodiments, R 3 Is C 1-4 Alkyl or C 3-4 Cycloalkyl radical, R 5 Is C 1-6 An alkyl group.
In some embodiments, R 3 Is methyl or cyclopropyl, R 5 Is methyl.
In some embodiments, ring B is the following:
wherein, X 1 And X 4 Each independently selected from CHR 1 O or NR 1 ,X 2 And X 3 Each independently selected from the group consisting of a bond, CHR 1 O or NR 1 Said R is 1 As defined above.
In some embodiments, ring B is the following:
wherein R is 1 And R 10 Each as defined above.
In some embodiments, ring B is the following:
wherein R is 1 As defined above.
In some embodiments, the present invention provides compounds, or prodrugs, solvates, polymorphs, isomers, or pharmaceutically acceptable salts of any of the foregoing,
in another aspect, the present application provides a pharmaceutical composition comprising a compound of the present invention, or a prodrug, solvate, polymorph, isomer, or a pharmaceutically acceptable salt of any of the foregoing.
In some embodiments, the pharmaceutical composition may further comprise other pharmacological agents selected from any 1 or 2 or more of the following components:
an inhibitor of MEK and/or a mutant thereof;
an inhibitor of EGFR and/or a mutant thereof;
inhibitors of KRAS G12C;
an immunotherapeutic agent;
a taxane;
an antimetabolite;
an inhibitor of FGFR1 and/or FGFR2 and/or FGFR3 and/or mutants thereof;
inhibitors of mitotic kinases;
anti-angiogenic agents;
a topoisomerase inhibitor;
a platinum-containing compound;
inhibitors of ALK and/or mutants thereof;
an inhibitor of c-MET and/or mutants thereof;
an inhibitor of BCR-ABL and/or mutants thereof;
inhibitors of Her2 and/or mutants thereof;
an inhibitor of AXL and/or a mutant thereof;
an inhibitor of NTRK1 and/or mutants thereof;
an inhibitor of ROS1 and/or mutants thereof;
inhibitors of RET and/or mutants thereof;
inhibitors of A-Raf and/or B-Raf and/or C-Raf and/or mutants thereof;
inhibitors of ERK and/or mutants thereof;
MDM2 inhibitors;
an inhibitor of mTOR;
an inhibitor of BET;
inhibitors of IGF1/2 and/or IGF 1-R; and
inhibitors of CDK 9.
In some embodiments, the pharmaceutical compositions of the present application further comprise a pharmaceutically acceptable excipient.
In another aspect, the present application provides a method of treating a disease mediated by SOS1 and/or KRAS in a mammal, comprising administering to a mammal, preferably a human, in need of such treatment a therapeutically effective amount of a compound of the present invention, or a prodrug, solvate, polymorph, isomer or a pharmaceutically acceptable salt of any of the foregoing, or a pharmaceutical composition thereof.
In another aspect, the present application provides the use of a compound of the present invention, or a prodrug, solvate, polymorph, isomer or a pharmaceutically acceptable salt of any of the foregoing, or a pharmaceutical composition thereof, in the manufacture of a medicament for the treatment of a disease mediated by SOS1 and/or KRAS.
In some embodiments of the present application, the disease mediated by SOS1 and/or KRAS is cancer. Preferably, the cancer is a solid tumor or a hematological tumor, more preferably, the cancer is lung cancer, prostate cancer, cholangiocarcinoma, colorectal cancer or pancreatic cancer.
Detailed Description
Exemplary embodiments utilizing the principles of the present invention are set forth in the following detailed description of the invention. The features and advantages of the present invention may be better understood by reference to the following summary.
It should be understood that the scope of the various aspects of the invention is defined by the claims and that methods and structures within the scope of these claims and their equivalents are intended to be covered thereby.
Unless defined otherwise, all technical and scientific terms used herein have the same meaning as commonly understood by one of ordinary skill in the art to which the claimed subject matter belongs. All patents, patent applications, and publications cited herein are incorporated by reference in their entirety unless otherwise indicated.
It is to be understood that both the foregoing general description and the following detailed description are exemplary, explanatory and are not restrictive of any inventive subject matter. The use of the singular forms also includes the plural unless specifically stated otherwise. The use of "or", "or" means "and/or" unless stated otherwise. Furthermore, the term "comprising" as well as other forms, such as "includes," "including," and "containing," are not limiting.
Certain chemical terms
The terms "optional," "optional," or "optionally" mean that the subsequently described event or circumstance may or may not occur, and that the description includes instances where said event or circumstance occurs and instances where it does not. For example, "optionally substituted alkyl" means "unsubstituted alkyl" or "substituted alkyl". And, optionally substituted groups may be unsubstituted (e.g., -CH) 2 CH 3 ) Fully substituted (e.g.: -CF 2 CF 3 ) Monosubstituted (e.g.: -CH 2 CH 2 F) Or any level between mono-and fully substituted (e.g.: -CH 2 CHF 2 、-CF 2 CH 3 、-CFHCHF 2 Etc.). It will be appreciated by those skilled in the art that any group containing one or more substituents will not incorporate any substitution or substitution pattern which is sterically impossible and/or cannot be synthesized.
Unless otherwise indicated, conventional methods within the skill of the art are employed, such as mass spectrometry, nuclear magnetism, high performance liquid chromatography, infrared and ultraviolet/visible spectroscopy, and pharmacological methods. Unless specific definitions are set forth, the nomenclature used herein to describe analytical chemistry, organic synthetic chemistry, and pharmaceutical and medicinal chemistry, as well as the laboratory procedures and techniques, are those known in the art. Standard techniques can be used in chemical synthesis, chemical analysis, pharmaceutical preparation, formulation and delivery, and treatment of patients. For example, the reaction and purification can be carried out using the instructions of the kit from the manufacturer, or according to the methods known in the art or the instructions of the present invention. The techniques and methods described above can generally be practiced according to conventional methods well known in the art, as described in various general and more specific documents referred to and discussed in this specification. In the present specification, groups and substituents thereof may be selected by one skilled in the art to provide stable moieties and compounds.
When a substituent is described by a general formula written from left to right, the substituent also includes chemically equivalent substituents obtained when the formula is written from right to left. For example, -CH 2 O-is equivalent to-OCH 2 -。
As used herein, the terms "group," "chemical group," and "chemical group" refer to a particular moiety or functional group of a molecule. A chemical group is often considered to be a chemical entity that is embedded in or attached to a molecule.
Some of the chemical groups named herein may be referred to by a shorthand notation for the total number of carbon atoms. E.g. C 1- C 6 Alkyl describes an alkyl group, as defined below, having a total of 1 to 6 carbon atoms. The total number of carbon atoms indicated by shorthand notation does not include carbon atoms on possible substituents.
The terms "halogen", "halo" or "halide" refer to bromine, chlorine, fluorine or iodine.
The terms "aromatic", "aromatic ring", "aromatic" and "aromatic-cyclic" as used herein refer to a planar ring portion of one or more rings having a delocalized electron-conjugated system of 4n +2 electrons, where n is an integer. The aromatic ring may be formed of 5, 6, 7, 8, 9 or more atoms. The aromatic compound may be optionally substituted and may be monocyclic or fused-ring polycyclic. The term aromatic compound includes all carbocyclic rings (e.g., benzene rings) and rings containing one or more heteroatoms (e.g., pyridine).
The term "heteroatom" or "hetero" as used herein alone or as part of another ingredient refers to atoms other than carbon and hydrogen. The heteroatoms are independently selected from oxygen, nitrogen, sulfur, phosphorus, silicon, selenium and tin, but are not limited to these atoms. In embodiments where two or more heteroatoms are present, the two or more heteroatoms may be the same as each other, or some or all of the two or more heteroatoms may be different from each other.
The term "bridged ring" as used herein, alone or in combination, refers to a cyclic structure in which any two rings in a compound share two carbon atoms which are not directly connected.
The terms "fused" or "fused ring" as used herein, alone or in combination, refer to a cyclic structure in which two or more rings share one or more bonds.
The term "spiro" or "spirocyclic" as used herein, alone or in combination, refers to a cyclic structure in which two or more rings share one or more atoms.
The term "alkyl" as used herein alone or as part of another component (e.g., monoalkylamino) refers to an optionally substituted straight or optionally substituted branched chain monovalent saturated hydrocarbon having 1 to 12 carbon atoms, preferably 1 to 8 carbon atoms, more preferably 1 to 6 carbon atoms, attached to the rest of the molecule by a single bond, e.g., methyl, ethyl, n-propyl, isopropyl, n-butyl, isobutyl, sec-butyl, tert-butyl, n-pentyl, n-hexyl, n-heptyl, 2-methylhexyl, 3 methylhexyl, n-octyl, n-nonyl, n-decyl, and the like.
The term "alkoxy" as used herein alone or as part of another component is alkyl-O-.
The term "alkenyl" as used herein, alone or in combination, refers to an optionally substituted straight or optionally substituted branched chain monovalent hydrocarbon radical having one or more C ═ C double bonds and having from 2 to about 10 carbon atoms, more preferably from 2 to about 6 carbon atoms. The double bond in these groups may be in either the cis or trans conformation and should be understood to encompass both isomers. Examples include, but are not limited to, ethenyl (CH ═ CH) 2 ) 1-propenyl (CH) 2 CH=CH 2 ) Isopropenyl (C (CH) 3 )=CH 2 ) Butenyl, 1, 3-butadienyl and the like. When a numerical range is present for alkenyl as defined herein, e.g. "C 2- C 6 Alkenyl "or" C 2-6 The "alkenyl group" means an alkenyl group which may be composed of 2 carbon atoms, 3 carbon atoms, 4 carbon atoms, 5 carbon atoms or 6 carbon atoms, and the alkenyl group herein also covers the case where no numerical range is specified.
The term "alkynyl", as used herein, alone or in combination, means optionallySubstituted, straight or branched chain, monovalent hydrocarbon radicals having one or more C.ident.C triple bonds and having from 2 to about 10 carbon atoms, more preferably from 2 to about 6 carbon atoms. Examples include, but are not limited to, ethynyl, 2-propynyl, 2-butynyl, 1, 3-butadiynyl, and the like. When the alkynyl radical as defined herein appears in a numerical range, e.g. "C 2- C 6 Alkynyl "or" C 2-6 Alkynyl "refers to an alkynyl group that can be composed of 2 carbon atoms, 3 carbon atoms, 4 carbon atoms, 5 carbon atoms, or 6 carbon atoms, and alkynyl groups herein also encompass instances where no numerical range is specified.
The terms "cycloalkyl", "carbocycle", as used herein alone or as part of another ingredient, refer to stable non-aromatic monocyclic or polycyclic hydrocarbon groups containing only carbon and hydrogen atoms, and may include fused, spiro or bridged ring systems containing from 3 to 15 ring-forming carbon atoms, preferably from 3 to 10 ring-forming carbon atoms, more preferably from 3 to 8 ring-forming carbon atoms, which may or may not be saturated, attached to the rest of the molecule by single bonds. Non-limiting examples of "cycloalkyl" include, but are not limited to, cyclopropyl, cyclobutyl, cyclopentyl, cyclohexyl, cycloheptyl, and the like.
The terms "heterocyclyl", "heterocycloalkyl", "heterocycle", as used herein alone or as part of another ingredient, refer to a stable 3-18 membered monovalent non-aromatic ring comprising 2-12 carbon atoms, 1-6 heteroatoms selected from nitrogen, oxygen and sulfur. Unless otherwise specified, a heterocyclyl group can be a monocyclic, bicyclic, tricyclic, or tetracyclic ring system, which may contain fused, spiro, or bridged ring systems, to which the nitrogen, carbon, or sulfur atoms are optionally oxidized, to which the nitrogen atoms are optionally quaternized, and which may be partially or fully saturated. The heterocyclic group may be attached to the rest of the molecule through a single bond via a carbon or heteroatom in the ring. The heterocyclic group containing fused rings may contain one or more aromatic or heteroaromatic rings, provided that the atoms on the non-aromatic ring are attached to the rest of the molecule. For purposes of this application, a heterocyclyl group is preferably a stable 4-11 membered monovalent non-aromatic monocyclic or bicyclic ring containing 1-3 heteroatoms selected from nitrogen, oxygen and sulfur, and more preferably a stable 4-8 membered monovalent non-aromatic monocyclic ring containing 1-3 heteroatoms selected from nitrogen, oxygen and sulfur. Non-limiting examples of heterocyclyl groups include azepanyl, azetidinyl, decahydroisoquinolinyl, dihydrofuranyl, indolinyl, dioxolanyl, 1-dioxo-thiomorpholinyl, imidazolidinyl, imidazolinyl, isothiazolidinyl, isoxazolidinyl, morpholinyl, octahydroindolyl, octahydroisoindolyl, oxazinyl, piperazinyl, piperidinyl, 4-piperidinonyl, pyranyl, pyrazolidinyl, pyrrolidinyl, quinolizinyl, quinuclidinyl, tetrahydrofuranyl, tetrahydropyranyl and the like.
The term "heteroaryl" refers to a monocyclic or fused ring of 5 to 12 ring atoms, having 5, 6, 7, 8, 9, 10, 11 or 12 ring atoms, containing 1, 2, 3 or 4 ring atoms selected from N, O, S, the remaining ring atoms being C, and having a fully conjugated pi-electron system. Heteroaryl groups may be unsubstituted or substituted, and the substituents include, but are not limited to, alkyl, alkyloxy, aryl, aralkyl, amino, halo, hydroxy, cyano, nitro, carbonyl, and heteroalicyclic. Non-limiting examples of unsubstituted heteroaryl groups include, but are not limited to, pyrrolyl, furanyl, thienyl, imidazolyl, oxazolyl, pyrazolyl, pyridyl, pyrimidinyl, pyrazinyl, quinolinyl, isoquinolinyl, tetrazolyl, triazinyl.
The term "polymorph" or "polymorph" as used herein means that the compounds of the present invention have multiple lattice morphologies. Some of the compounds of the present invention may have more than one crystal form, and the present invention encompasses all polymorphic forms or mixtures thereof.
Intermediate compounds of the present invention and polymorphs thereof are also within the scope of the present invention.
Unless otherwise specified, the compounds of the present invention contain olefinic double bonds including E and Z isomers.
It is understood that the compounds of the present invention may contain asymmetric centers. These asymmetric centers may independently be in the R or S configuration. It will be apparent to those skilled in the art that some of the compounds of the present invention may also exhibit cis-trans isomerism. It is to be understood that the compounds of the present invention include their individual geometric and stereoisomers as well as mixtures thereof, including racemic mixtures. These isomers may be separated from their mixtures by carrying out or modifying known methods such as chromatographic techniques and recrystallization techniques, or they may be prepared separately from the appropriate isomers of their intermediates.
The term "pharmaceutically acceptable salts" as used herein includes both acid and base salts.
"pharmaceutically acceptable acid addition salts" refers to those salts formed with inorganic acids such as, but not limited to, hydrochloric acid, hydrobromic acid, sulfuric acid, nitric acid, phosphoric acid, and the like, or organic acids such as, but not limited to, acetic acid, 2-dichloroacetic acid, adipic acid, alginic acid, ascorbic acid, aspartic acid, benzenesulfonic acid, benzoic acid, capric acid, caproic acid, carbonic acid, cinnamic acid, citric acid, and the like, which retain the biological potency and properties of the free base of the compound, which are not biologically or otherwise undesirable. "pharmaceutically acceptable salt to be added to base" refers to those salts that retain the biological potency and properties of the free acid of the compound and are not biologically or otherwise undesirable. These salts are prepared by reacting the free acid with an inorganic or organic base. Salts formed by reaction with an inorganic base include, but are not limited to, sodium, potassium, lithium, ammonium, calcium, magnesium, iron, zinc, copper, manganese, aluminum, and the like. Preferred inorganic salts are ammonium, sodium, potassium, calcium, and manganese salts.
Salt-forming organic bases include, but are not limited to, primary, secondary, tertiary, cyclic amines, and the like, such as ammonia, isopropylamine, trimethylamine, diethylamine, triethylamine, tripropylamine, ethanolamine, diethanolamine, ethanolamine, dicyclohexylamine, ethylenediamine, purine, piperazine, piperidine, choline, caffeine, and the like. Particularly preferred organic bases are isopropylamine, diethylamine, ethanolamine, trimethylamine, dicyclohexylamine, choline, and caffeine.
Crystallization often produces solvates of the compounds of the present invention. The term "solvate" as used herein refers to a combination of one or more molecules of the compound of the present invention and one or more molecules of a solvent.
The solvent may be water, in which case the solvate is a hydrate. In addition, an organic solvent may be used. Thus, the compounds of the present invention may exist as hydrates, including monohydrate, dihydrate, hemihydrate, trihydrate, tetrahydrate and the like, as well as the corresponding solvated forms. The compounds of the present invention may be true solvates, but in other cases, the compounds of the present invention may also retain water only by chance or a mixture of water and some other solvent. The compounds of the invention may be reacted in a solvent or precipitated or crystallized in a solvent. Solvates of the compounds of the invention are also included within the scope of the invention.
The term "pharmaceutical composition" as used herein refers to a formulation mixed with a compound of the present invention and a vehicle generally accepted in the art for delivering biologically active compounds to a mammal, such as a human. Such media comprise all pharmaceutically acceptable carriers.
As used herein, the term "acceptable" in reference to a formulation, composition or ingredient means that there is no lasting deleterious effect on the overall health of the subject being treated.
The term "pharmaceutically acceptable" as used herein refers to a substance (e.g., carrier or diluent) that does not interfere with the biological activity or properties of the compounds of the present invention, and is relatively non-toxic, i.e., the substance can be administered to an individual without causing an undesirable biological response or interacting in an undesirable manner with any of the components contained in the composition.
"pharmaceutically acceptable carriers" include, but are not limited to, adjuvants, carriers, excipients, adjuvants, deodorants, diluents, preservatives, dyes/colorants, flavor enhancers, surfactants and wetting agents, dispersants, suspending agents, stabilizers, isotonic agents, solvents, or emulsifiers that have been approved by the relevant governmental authorities for use in humans and domestic animals.
The terms "subject," "patient," "subject" or "individual" as used herein refer to an individual suffering from a disease, disorder or condition, and the like, including mammals and non-mammals. Examples of mammals include, but are not limited to, any member of the class mammalia: humans, non-human primates (e.g., chimpanzees and other apes and monkeys); livestock, such as cattle, horses, sheep, goats, pigs; domestic animals such as rabbits, dogs, and cats; laboratory animals, including rodents, such as rats, mice, and guinea pigs, and the like. Examples of non-human mammals include, but are not limited to, birds, fish, and the like. In one embodiment of the methods and compositions provided herein, the mammal is a human.
The term "treatment" as used herein refers to the treatment of a disease or condition associated with a mammal, particularly a human, and includes
(i) Preventing the development of a disease or condition in a mammal, particularly a mammal that has previously been exposed to the disease or condition but has not been diagnosed as having the disease or condition;
(ii) inhibiting the disease or disorder, i.e., controlling its development;
(iii) relieving the disease or condition, i.e., causing regression of the disease or condition;
(iv) relieving symptoms caused by the disease or disorder.
The terms "disease" and "condition" as used herein may be used interchangeably and may have different meanings, as certain specific diseases or conditions have no known causative agent (and therefore the cause of the disease is not yet clear) and therefore are not considered as a disease but can be considered as an unwanted condition or syndrome, with more or less specific symptoms being confirmed by clinical researchers.
The terms "effective amount," "therapeutically effective amount," or "pharmaceutically effective amount" as used herein, refer to an amount of at least one agent or compound that is sufficient to alleviate one or more symptoms of the disease or disorder being treated to some extent after administration. The result may be a reduction and/or alleviation of signs, symptoms, or causes, or any other desired change in a biological system. For example, an "effective amount" for treatment is the amount of a composition comprising a compound disclosed herein that is clinically necessary to provide a significant disorder-relieving effect. An effective amount suitable in any individual case can be determined using techniques such as a dose escalation assay.
The terms "administering," "administration," "administering," and the like as used herein refer to a method capable of delivering a compound or composition to a desired site for biological action. These methods include, but are not limited to, oral routes, via the duodenal route, parenteral injection (including intravenous, subcutaneous, intraperitoneal, intramuscular, intraarterial injection or infusion), topical administration, and rectal administration. In preferred embodiments, the compounds and compositions discussed herein are administered orally.
Detailed Description
Synthesis method
Scheme 1
Scheme 2
Scheme 3
Scheme 4
Scheme 5
The compounds of the present application can be prepared according to the routes described in scheme 1 or scheme 2 or scheme 3. Each of the products of the reactions in scheme 1 or scheme 2 or scheme 3 or scheme 4 or scheme 5 may be obtained by conventional separation techniques including, but not limited to, filtration, distillation, crystallization, chromatographic separation, and the like. The starting materials may be synthesized by themselves or purchased from commercial establishments (such as, but not limited to, Adrich or Sigma). These materials can be characterized using conventional means, such as physical constants and spectral data. The compounds described herein can be synthesized as a single isomer or as a mixture of isomers.
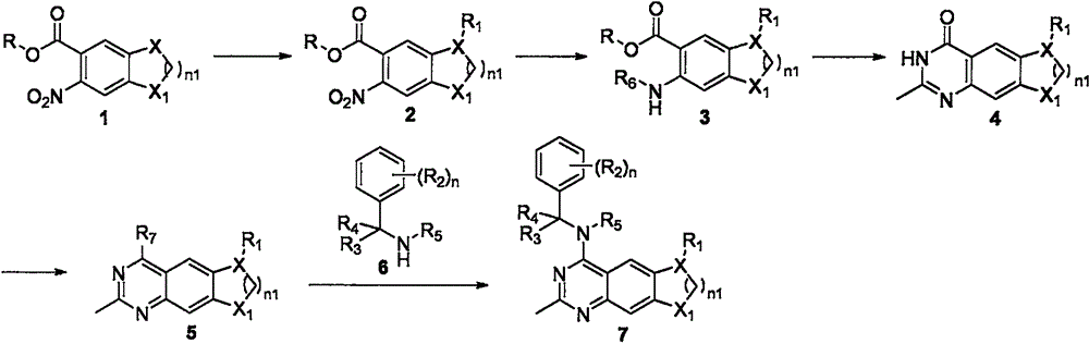
In the process 1, a compound 1 is subjected to reductive amination or substitution reaction to obtain an intermediate 2, then, hydrogenation reduction is performed to obtain an intermediate 3, the intermediate 3 is subjected to ring closure to obtain an intermediate 4, the intermediate 4 is reacted with sulfonyl chloride derivatives or phosphorus oxychloride to obtain an intermediate 5, and the intermediate 5 and a compound 6 are subjected to substitution reaction to obtain a compound 7.
In the process 2, the intermediate 9 is obtained by ring closure of the raw material 8, and then the intermediate 10 is obtained by reaction with sulfonyl chloride derivatives or phosphorus oxychloride, and the compound 11 is obtained by substitution reaction of the intermediate 10 and the compound 6.
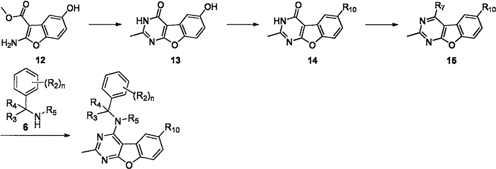
In the process 3, the raw material 12 is subjected to ring closure in the presence of ammonium acetate and trimethyl orthoacetate to obtain an intermediate 13, then a substitution reaction is performed to obtain an intermediate 14, the intermediate 14 is subjected to a reaction with a sulfonyl chloride derivative or phosphorus oxychloride to obtain an intermediate 15, and the intermediate 15 is subjected to a substitution reaction with the compound 6 to obtain a compound 16.
In the scheme 4, the raw material 1 and diiodomethane are heated and subjected to ring closing to obtain an intermediate 2, the intermediate 2 reacts with benzyl chloride to generate an intermediate 3, and then the intermediate 4 is subjected to nitration reaction with concentrated nitric acid. The intermediate 4 is oxidized into an intermediate 5 by air under the condition of palladium carbon hydrogen, the intermediate 5 and alcohol are subjected to substitution reaction to generate an intermediate 6, the intermediate 6 is subjected to ring closure to generate an intermediate 7, the intermediate 7 and sulfonyl chloride derivative or phosphorus oxychloride are subjected to reaction to generate an intermediate 8, and the intermediate 9 and the compound 9 are subjected to substitution reaction to generate a compound 10.
In scheme 5, starting material 2 is reacted with triflic anhydride to produce intermediate 11, followed by nitration to produce intermediate 12, buchwald-hartwig reaction or Suzuki-Miyaura reaction of intermediate 12 with amine or corresponding boronic acid and its derivatives to produce intermediate 13, and intermediate 13 is reduced to produce intermediate 14. And hydrolyzing the intermediate 14 to generate an intermediate 15, heating the intermediate 15 and amidine salt to close the ring to generate an intermediate 17, reacting the intermediate 17 with sulfonyl chloride derivatives or phosphorus oxychloride to obtain an intermediate 18, and carrying out substitution reaction on the intermediate 18 and a compound 9 to obtain a compound 19.
Examples
The following non-limiting examples are illustrative only and do not limit the application in any way.
Unless otherwise indicated, temperatures are in degrees celsius. Reagents were purchased from commercial suppliers such as national drug group chemical reagents beijing ltd, Alfa Aesar (Alfa Aesar), or beijing carbofuran technologies ltd, and these reagents were used directly without further purification unless otherwise specified.
Unless otherwise stated, the following reactions are carried out in anhydrous solvents, under positive pressure of nitrogen or argon or using a drying tube; the reaction bottle is provided with a rubber diaphragm so as to add the substrate and the reagent through an injector; glassware was dried and/or heat dried.
Unless otherwise stated, column chromatography purification was performed using 200-300 mesh silica gel from the Qingdao oceanic plant; the thin-layer chromatography silica gel precast slab (HSGF254) produced by the institute of chemical industry of cigarette end is used for the preparation of the thin-layer chromatography separation; MS was measured using a Thermo LCQ fly model (ESI) liquid chromatography-mass spectrometer.
Nuclear magnetic data ( 1 H NMR) was run at 400MHz using a Varian instrument. The solvent used for nuclear magnetic data is CDCl 3 、CD 3 OD、D 2 O、DMSO-d 6 Etc., based on tetramethylsilane (0.00ppm) or based on residual solvent (CDCl) 3 :7.26ppm;CD 3 OD:3.31ppm;D 2 O:4.79ppm;DMSO-d 6 : 2.50 ppm). When indicating the diversity of the peak shapes, the following abbreviations represent the different peak shapes: s (singlet), d (doublet), t (triplet), q (quartet), m (multiplet), br (broad), dd (doublet of doublets), dt (doublet of triplets). If the coupling constant is given, it is given in Hertz (Hz).
Abbreviations:
CDCl 3 deuterated chloroform
DCM dichloromethane
DIEA N, N-diisopropylethylamine
DAST diethylaminosulfur trifluoride
DMF N, N-dimethylformamide
DMSO dimethyl sulfoxide
EtOAc ethyl acetate
Pd/C palladium on carbon
MeOH methanol
MS Mass Spectrometry
PE Petroleum Ether
TFA trifluoroacetic acid
THF tetrahydrofuran
Rf shift value
Example 1
(R) -N- {1- [ 3-amino-5- (trifluoromethyl) phenyl ] ethyl } -2-methyl-6- (2-morpholinylethyl) -7, 8-dihydro-6H-pyrrolo [2, 3-g ] quinazolin-4-amine
Step A: 1- [ 3-nitro-5- (trifluoromethyl) phenyl ] ethan-1-one
To a solution of 1-bromo-3-nitro-5- (trifluoromethyl) benzene (27g) in 1, 4-dioxane (400mL) was added tributyl (1-ethoxyethylene) tin (44mL) and bis-triphenylphosphine palladium dichloride (3.5g) under protection of N2, and the mixture was heated to 120 ℃ and stirred for 12 hours. Cooling to room temperature, treating with aqueous KF, extracting with ethyl acetate, spin-drying the organic phase, dissolving the residue in tetrahydrofuran (150ml), adding 4N hydrochloric acid (150ml), stirring for 2 hours, after completion of the reaction, extracting with ethyl acetate and water, combining the organic phases, washing the organic phases with saturated brine, drying over anhydrous sodium sulfate, filtering, concentrating the filtrate under reduced pressure, and separating and purifying the obtained residue by silica gel column chromatography (ethyl acetate/petroleum ether ═ 1: 3) to obtain a yellow solid product (20 g).
1 H NMR(400MHz,CDCl 3 )δ8.93(s,1H),8.67(s,1H),8.51(s,1H),2.73(s,3H)。
And B, step B: (R, E) -2-methyl-N- {1- [ 3-nitro-5- (trifluoromethyl) phenyl ] ethylidene } propane-2-sulfinylamine
To a solution of 1- [ 3-nitro-5- (trifluoromethyl) phenyl ] ethan-1-one (20g) in tetrahydrofuran (250ml) were added (R) - (+) -tert-butylsulfinamide (15.6g) and tetraethyl titanate (49g), and the mixture was warmed to 80 ℃ and stirred for 12 hours. After cooling to room temperature, ethyl acetate was added, the filtrate was filtered through celite, the filtrate was concentrated under reduced pressure, and the resulting residue was purified by silica gel column chromatography (ethyl acetate/petroleum ether: 1: 3) to give a yellow oily product (25 g).
1 H NMR(400MHz,CDCl 3 )δ8.83(s,1H),8.60(s,1H),8.40(s,1H),2.86(s,3H),1.34(s,9H)。
And C: (R) -2-methyl-N- { (R) -1- [ 3-nitro-5- (trifluoromethyl) phenyl ] ethyl } propane-2-sulfinylamine
To a solution of (R, E) -2-methyl-N- {1- [ 3-nitro-5- (trifluoromethyl) benzene ] ethylidene } propane-2-sulfinylamine (10g) in tetrahydrofuran (100ml) at-78 deg.C was added sodium borohydride (2.0g), and the mixture was allowed to return to room temperature and stirred for 4 hours. After quenching with ice water, extraction with ethyl acetate was performed, the organic phases were combined, washed with saturated brine, dried over anhydrous sodium sulfate, filtered, the filtrate was concentrated under reduced pressure, and the obtained residue was separated and purified by silica gel column chromatography (ethyl acetate/petroleum ether ═ 2: 5) to give a yellow oily product (4.2 g).
1 H NMR(400MHz,CDCl 3 )δ8.41(s,1H),8.39(s,1H),7.94(s,1H),4.66-4.73(m,1H),3.64(d,J=4.8Hz,1H),1.59(d,J=6.4Hz,3H),1.23(s,9H)。
Step D: (R) -1- [ 3-nitro-5- (trifluoromethyl) phenyl ] ethan-1-amine hydrochloride
To a solution of (R) -2-methyl-N- { (R) -1- [ 3-nitro-5- (trifluoromethyl) phenyl ] ethyl } propane-2-sulfinylamine (1.0g) in 1, 4-dioxane (10mL) was added a solution of 4mol/L HCl in 1, 4-dioxane (10mL) at room temperature, and the mixture was stirred for 4 hours. The reaction was concentrated in vacuo, filtered and washed with ether to give the product as a yellow solid (760 mg).
1 H NMR(400MHz,DMSO)δ8.73(s,1H),8.56-8.71(br,3H),8.49(s,1H),8.41(s,1H),4.68-4.76(m,1H),1.54(d,J=7.2Hz,3H)。
Step E: (R) -3- (1-aminoethyl) -5- (trifluoromethyl) aniline hydrochloride
To (R) -1- [ 3-nitro-5- (trifluoromethyl) phenyl]Ethane-1-amine (760mg) in methanol (10ml) 10% Palladium on carbon (100mg), H 2 The mixture was purged and stirred at room temperature for 12 hours. The reaction solution was filtered through celite, and the filtrate was concentrated under reduced pressure to obtain a yellow solid product (680 mg).
1 H NMR(400MHz,DMSO)δ8.26-8.52(br,3H),6.93(s,1H),6.81(s,2H),5.58-5.86(br,2H),4.21-4.32(m,1H),1.43(d,J=6.8Hz,3H)。
Step F: indoline-6-carboxylic acid methyl ester
To a solution of methyl indole-6-carboxylate (5.0g) in glacial acetic acid (80mL) at room temperature was added sodium cyanoborohydride (5.4g), and the mixture was stirred at room temperature for 30 min; sodium cyanoborohydride (1.8g) was added and stirring was continued for 3 hours. The solvent was evaporated to dryness, the residue was dissolved in ethyl acetate (200mL), washed with 2mol/L aqueous sodium hydroxide and saturated brine in this order, dried over anhydrous sodium sulfate, filtered, and the filtrate was concentrated under reduced pressure to give a crude product, which was then separated and purified by silica gel column chromatography (ethyl acetate/petroleum ether ═ 1: 5) to give the product as a white solid (2.8 g).
1 H NMR(400MHz,CDCl 3 )δ3.41(dd,J=8.0Hz,1.6Hz,1H),7.25(d,J=1.6Hz,1H),7.13(d,J=8.0Hz,1H),3.86(s,3H),3.59(t,J=8.4Hz,2H),3.05(t,J=8.4Hz,2H)。
Step G: n-acetylindoline-6-carboxylic acid methyl ester
To a solution of methyl indoline-6-carboxylate (2.42g) in dichloromethane (50mL) at 0 ℃ was added acetic anhydride (6.45mL), followed by the slow dropwise addition of triethylamine (14.2mL), and after the addition was completed, the mixture was warmed to room temperature (20 ℃ C., the same applies) and stirred for 5 hours. After the reaction, crushed ice was added to quench the reaction, the organic phase was washed successively with saturated aqueous ammonium chloride solution and saturated brine, dried over anhydrous sodium sulfate, filtered, and the filtrate was concentrated under reduced pressure to give a crude product, which was then separated and purified by silica gel column chromatography (ethyl acetate/petroleum ether: 1) to give a white solid product (2.88 g).
1 H NMR(400MHz,CDCl 3 )δ8.77(s,1H),7.71(d,J=8.0Hz,1H),7.19(d,J=8.0Hz,1H),4.08(t,J=8.4Hz,2H),3.87(s,3H),3.21(t,J=8.4Hz,2H),2.21(s,3H)。
Step H: n-acetyl-5-nitroindoline-6-carboxylic acid methyl ester
To a solution of methyl N-acetylindoline-6-carboxylate (2.8g) in concentrated sulfuric acid (20mL) at 0 ℃ was added potassium nitrate (3.87g), and the mixture was warmed to room temperature and stirred for 3 hours. The reaction solution was poured into crushed ice to precipitate a yellow solid, which was filtered under suction to give a crude product, which was then separated and purified by silica gel column chromatography (ethyl acetate/petroleum ether ═ 1: 1) to give a yellow solid product (3.12 g).
1 H NMR(400MHz,CDCl 3 )δ8.37(s,1H),7.82(s,1H),4.18(t,J=8.4Hz,2H),3.90(s,3H),3.29(t,J=8.4Hz,2H),2.26(s,3H)。
Step I: 5-Nitroindoline-6-carboxylic acid methyl ester
Methyl N-acetyl-5-nitroindoline-6-carboxylate (2.0g) obtained in the above reaction was added to a mixed solution of 6mol/L HCl/MeOH (1: 1, 3mL), and the mixture was stirred at 80 ℃ for 2 hours. Cooling to room temperature, adjusting the pH value to 8-10 with 2mol/L sodium hydroxide aqueous solution under the ice-water bath condition, extracting with ethyl acetate, combining organic phases, washing with saturated ammonium chloride aqueous solution and saturated salt water in sequence, drying with anhydrous sodium sulfate, filtering, concentrating the filtrate under reduced pressure to obtain a crude product, and separating and purifying by silica gel column chromatography (ethyl acetate/petroleum ether is 1: 3) to obtain a yellow solid product (0.83 g).
1 H NMR(400MHz,CD 3 OD)δ7.79(s,1H),6.39(s,1H),3.83(s,3H),3.72(t,J=8.8Hz,2H),3.09(t,J=8.8Hz,2H)。
Step J: n- (2-Morpholinylethyl) -5-nitroindoline-6-carboxylic acid methyl ester
The methyl 5-nitroindoline-6-carboxylate (220mg) obtained by the above reaction, N- (2-chloroethyl) morpholine hydrochloride (223mg), cesium carbonate (815mg), potassium iodide (33mg) and acetonitrile (8ml) were added to a sealed tube, and the temperature was raised to 110 ℃ and stirred for 18 hours. Water (10ml) was added to dissolve the inorganic salt, extraction was performed with ethyl acetate, the organic phases were combined, washed with saturated brine, dried over anhydrous sodium sulfate, filtered, and the filtrate was concentrated under reduced pressure to give a crude product, which was separated and purified by silica gel column chromatography (ethyl acetate/petroleum ether ═ 2: 1) to give a yellow solid product (170 mg).
1 H NMR(400MHz,CDCl 3 )δ7.77(s,1H),6.25(s,1H),3.90(s,3H),3.76(t,J=8.8Hz,2H),3.67-3.74(m,4H),3.37(t,J=6.4Hz,2H),3.08(t,J=8.8Hz,2H),2.40-2.63(m,6H)。
Step K: 5-amino-N- (2-morpholinoethyl) indoline-6-carboxylic acid methyl ester
To a solution of methyl N- (2-morpholinoethyl) -5-nitroindoline-6-carboxylate (170mg) in anhydrous methanol (8mL) was added 10% palladium on charcoal (35mg) at room temperature, and the inside of the flask was replaced with hydrogen gas three times, followed by stirring under a hydrogen atmosphere overnight. The reaction mixture was filtered through celite, and the filtrate was concentrated under reduced pressure to give a crude product (128mg), which was subjected to the next reaction without purification.
Step L: 2-methyl-6- (2-morpholinylethyl) -7, 8-dihydro-3H-pyrrolo [2, 3-g ] quinazolin-4 (6H) -one
The methyl 5-amino-N- (2-morpholinoethyl) indoline-6-carboxylate (128mg), trimethyl orthoacetate (505mg), ammonium acetate (162mg) and methanol (5mL) obtained by the above reaction were put into a sealed tube, heated to 120 ℃ and stirred for 18 hours. The product was obtained as an off-white solid by direct silica gel stirring and isolation and purification by silica gel column chromatography (methanol/dichloromethane ═ 1: 15).
1 H NMR(400MHz,CDCl 3 )δ11.50-11.59(br,1H),7.30(s,1H),7.02(s,1H),3.68-3.74(m,4H),3.54(t,J=8.0Hz,2H),3.35(t,J=6.8Hz,2H),3.09(t,J=8.0Hz,2H),2.64(t,J=6.8Hz,2H),2.51-2.58(m,4H),2.48(s,3H)。
Step M: 2-methyl-6- (2-morpholinoethyl) -7, 8-dihydro-6H-pyrrolo [2, 3-g ] quinazolin-4-yl 2, 4, 6-triisopropylbenzenesulfonate
The 2-methyl-6- (2-morpholinoethyl) -7, 8-dihydro-3H-pyrrolo [2, 3-g ] quinazolin-4 (6H) -one (64mg), 2, 4, 6-triisopropylbenzenesulfonyl chloride (124mg), 4-dimethylaminopyridine (3mg) and triethylamine (93mg) obtained in the above reaction were dissolved in dichloromethane (5mL) and stirred at room temperature overnight. After dilution with dichloromethane (15mL), washed with saturated brine, dried over anhydrous sodium sulfate, filtered, and the filtrate was concentrated under reduced pressure, the obtained residue was purified by silica gel column chromatography (ethyl acetate/petroleum ether ═ 1: 1) to give a solid product (64 mg).
1 H NMR(400MHz,CDCl 3 )δ7.42(s,1H),7.16(s,2H),6.64(s,1H),4.27-4.34(m,2H),3.71-3.78(m,4H),3.63(t,J=7.6Hz,2H),3.37-3.45(m,2H),3.15(t,J=7.6Hz,2H),2.86-2.93(m,1H),2.53-2.74(m,6H),2.42(s,3H),1.23(d,J=6.8Hz,18H)。
And step N: (R) -N- {1- [ 3-amino-5- (trifluoromethyl) phenyl ] ethyl } -2-methyl-6- (2-morpholinylethyl) -7, 8-dihydro-6H-pyrrolo [2, 3-g ] quinazolin-4-amine
2-methyl-6- (2-morpholinoethyl) -7, 8-dihydro-6H-pyrrolo [2, 3-g ] quinazolin-4-yl 2, 4, 6-triisopropylbenzenesulfonate (60mg), (R) -3- (1-aminoethyl) -5- (trifluoromethyl) aniline hydrochloride (27mg), N-diisopropylethylamine (28mg), and absolute ethanol (5mL) were added to a sealed tube, and the mixture was stirred at 120 ℃ for 16 hours. The solvent was evaporated to dryness and the resulting residue was isolated and purified by silica gel preparation plate (methanol/dichloromethane ═ 1: 10) to give the product as a pale yellow solid (35 mg).
1 H NMR(400MHz,CDCl 3 )δ8.96(d,J=6.8Hz,1H),7.53(s,1H),7.42(s,1H),7.27(s,1H),7.10(s,1H),6.72(s,1H),5.56-5.63(m,1H),3.98-4.46(br,2H),3.77-3.88(m,4H),3.58(t,J=6.0Hz,2H),3.37(t,J=8.0Hz,2H),2.81-3.03(m,6H),2.63(s,3H),2.58(t,J=7.6Hz,2H),1.79(d,J=6.8Hz,3H)。
Example 2
N- { (R) -1- [ 3-amino-5- (trifluoromethyl) phenyl ] ethyl } -2-methyl-6- (tetrahydrofuran-3-yl) -7, 8-dihydro-6H-pyrrolo [2, 3-g ] quinazolin-4-amine
Step A: 5-Nitro-N- (tetrahydrofuran-3-yl) indoline-6-carboxylic acid methyl ester
Trifluoroacetic acid (0.5mL) was added dropwise to a solution of methyl 5-nitroindoline-6-carboxylate (600mg) and dihydro-3 (2H) -furanone (350mg) in dichloromethane (20mL) at room temperature, and stirred at room temperature for 1 hour, and sodium borohydride (510mg) was added, followed by stirring overnight. The reaction was quenched by slowly adding crushed ice, the aqueous phase was extracted with dichloromethane, the organic phases were combined, washed with saturated brine, dried over anhydrous sodium sulfate, filtered, the filtrate was concentrated under reduced pressure, and the obtained residue was separated and purified by silica gel column chromatography (ethyl acetate/petroleum ether ═ 1: 1) to give a yellow solid product (570 mg).
1 H NMR(400MHz,CDCl 3 )δ7.77(s,1H),6.32(s,1H),4.26-4.33(m,1H),4.00-4.06(m,1H),3.93(dd,J=10.0Hz,3.2Hz,1H),3.90(s,3H),3.63-3.81(m,4H),3.06(t,J=8.4Hz,2H),2.21-2.30(m,1H),1.94-2.02(m,1H)。
And B: 5-amino-N- (tetrahydrofuran-3-yl) indoline-6-carboxylic acid methyl ester
To a solution of methyl 5-nitro-N- (tetrahydrofuran-3-yl) indoline-6-carboxylate (550mg) in anhydrous methanol (25mL) was added 10% palladium on charcoal (110mg) at room temperature, the gas in the flask was replaced three times with hydrogen, and then the mixture was stirred under a hydrogen atmosphere overnight. The reaction solution was filtered through celite, and the filtrate was concentrated under reduced pressure to give a crude product (410mg), which was subjected to the next reaction without purification.
And C: 2-methyl-6- (tetrahydrofuran-3-yl) -7, 8-dihydro-3H-pyrrolo [2, 3-g ] quinazolin-4 (6H) -one
The 5-amino-N- (tetrahydrofuran-3-yl) indoline-6-carboxylic acid methyl ester (300mg), trimethyl orthoacetate (1.37g), ammonium acetate (440mg) and methanol (6mL) obtained by the above reaction were added to a sealed tube, and the temperature was raised to 120 ℃ and stirred for 18 hours. The product was obtained as an off-white solid by direct silica gel stirring and isolation and purification by silica gel column chromatography (methanol/dichloromethane ═ 1: 30).
1 H NMR(400MHz,CDCl 3 )δ10.59-11.50(br,1H),7.35(s,1H),7.05(s,1H),4.35-4.41(m,1H),3.95-4.05(m,2H),3.78-3.89(m,2H),3.47-3.61(m,2H),3.10(t,J=8.0Hz,2H),2.53(s,3H),2.23-2.32(m,1H),1.99-2.07(m,1H)。
Step D: 2-methyl-6- (tetrahydrofuran-3-yl) -7, 8-dihydro-6H-pyrrolo [2, 3-g ] quinazolin-4-yl 2, 4, 6-triisopropylbenzenesulfonate
2-methyl-6- (tetrahydrofuran-3-yl) -7, 8-dihydro-3H-pyrrolo [2, 3-g ] quinazolin-4 (6H) -one (230mg), 2, 4, 6-triisopropylbenzenesulfonyl chloride (515mg), 4-dimethylaminopyridine (10mg) and triethylamine (344mg) obtained in the above reaction were dissolved in dichloromethane (10mL) and stirred at room temperature overnight. After diluting with dichloromethane (15mL), washed with saturated brine, dried over anhydrous sodium sulfate, filtered, the filtrate was concentrated under reduced pressure, and the obtained residue was purified by silica gel column chromatography (ethyl acetate/petroleum ether ═ 1: 1) to give a solid product (256 mg).
1 H NMR(400MHz,CDCl 3 )δ7.47(s,1H),7.17(s,2H),6.67(s,1H),4.37-4.43(m,1H),4.27-4.35(m,2H),3.97-4.07(m,2H),3.81-3.90(m,2H),3.53-3.67(m,2H),3.15(t,J=8.0Hz,2H),2.85-2.95(m,1H),2.45(s,3H),2.27-2.37(m,1H),1.99-2.07(m,1H),1.24(d,J=6.8Hz,12H),1.23(d,J=6.8Hz,6H)。
Step E: n- { (R) -1- [ 3-amino-5- (trifluoromethyl) phenyl ] ethyl } -2-methyl-6- (tetrahydrofuran-3-yl) -7, 8-dihydro-6H-pyrrolo [2, 3-g ] quinazolin-4-amine
2-methyl-6- (tetrahydrofuran-3-yl) -7, 8-dihydro-6H-pyrrolo [2, 3-g ] quinazolin-4-yl 2, 4, 6-triisopropylbenzenesulfonate (60mg), (R) -3- (1-aminoethyl) -5- (trifluoromethyl) aniline hydrochloride (27mg), NN-diisopropylethylamine (28mg), and absolute ethanol (5mL) were added to a sealed tube, and the mixture was stirred at 120 ℃ for 16 hours. The solvent was evaporated to dryness and the resulting residue was isolated and purified by silica gel preparation plate (methanol/dichloromethane ═ 1: 10) to give the product as a pale yellow solid (39 mg).
1 H NMR(400MHz,CDCl 3 )δ9.01-9.04(m,1H),7.56(s,0.5H),7.47(s,0.5H),7.34(s,0.5H),7.28(s,0.5H),7.22(s,0.5H),7.21(s,0.5H),6.98(s,1H),6.73(s,1H),5.54(q,J=7.6Hz,1H),4.75-4.83(m,1H),3.54-3.94(m,5H),3.25-3.44(m,2H),2.53(s,1.5H),2.52(s,1.5H),2.12-2.51(m,3H),1.78(d,J=7.6Hz,1.5H),1.76(d,J=7.6Hz,1.5H)。
Example 3
(R) -N- {1- [ 3-amino-5- (trifluoromethyl) phenyl ] ethyl } -2-methyl-6- (oxetan-3-yl) -7, 8-dihydro-6H-pyrrolo [2, 3-g ] quinazolin-4-amine
Step A: 5-Nitro-N- (Oxetadin-3-yl) indoline-6-carboxylic acid methyl ester
Using methyl 5-nitroindoline-6-carboxylate (400mg) and 3-oxetanone (195mg) as starting materials, the title compound (306mg) was obtained in the same manner as in example 2, step A.
1 H NMR(400MHz,CDCl 3 )δ7.80(s,1H),6.25(s,1H),4.78-4.91(m,5H),3.85-3.92(m,5H),3.14(t,J=8.4Hz,2H)。
And B: 5-amino-N- (oxetan-3-yl) indoline-6-carboxylic acid methyl ester
Using methyl 5-nitro-N- (oxetan-3-yl) indoline-6-carboxylate (306mg) as a starting material, the procedure of example 2, step B was followed to give a crude target compound (250mg), which was reacted without purification.
And C: 2-methyl-6- (Oxetadin-3-yl) -7, 8-dihydro-3H-pyrrolo [2, 3-g ] quinazolin-4 (6H) -one
Using methyl 5-amino-N- (oxetan-3-yl) indoline-6-carboxylate (250mg) as a starting material, the title compound (202mg) was obtained in the same manner as in step C of example 2.
1 H NMR(400MHz,CDCl 3 )δ11.74-12.14(br,1H),7.35(s,1H),6.90(s,1H),4.89-4.95(m,4H),4.744.81(m,1H),3.66(t,J=8.0Hz,2H),3.16(t,J=8.0Hz,2H),2.52(s,3H)。
Step D: 2-methyl-6- (Oxetabut-3-yl) -7, 8-dihydro-6H-pyrrolo [2, 3-g ] quinazolin-4-yl 2, 4, 6-triisopropylbenzenesulfonate
Starting from 2-methyl-6- (oxetan-3-yl) -7, 8-dihydro-3H-pyrrolo [2, 3-g ] quinazolin-4 (6H) -one (200mg) and 2, 4, 6-triisopropylbenzenesulfonyl chloride (470mg), the title compound (266mg) was obtained according to the method of example 2, step D.
1 H NMR(400MHz,CDCl 3 )δ7.50(s,1H),7.18(s,2H),6.54(s,1H),4.84-4.97(m,5H),4.27-4.34(m,2H),3.77(t,J=8.0Hz,2H),3.23(t,J=8.0Hz,2H),2.87-2.94(m,1H),2.46(s,3H),1.22-1.25(m,18H)。
Step E: (R) -N- {1- [ 3-amino-5- (trifluoromethyl) phenyl ] ethyl } -2-methyl-6- (oxetan-3-yl) -7, 8-dihydro-6H-pyrrolo [2, 3-g ] quinazolin-4-amine
Starting from 2-methyl-6- (oxetan-3-yl) -7, 8-dihydro-6H-pyrrolo [2, 3-g ] quinazolin-4-yl 2, 4, 6-triisopropylbenzenesulfonate (60mg) and (R) -3- (1-aminoethyl) -5- (trifluoromethyl) aniline hydrochloride (28mg), the title compound (18mg) was obtained according to the procedure of example 2, step E.
1 H NMR(400MHz,CDCl 3 )δ9.07(d,J=6.4Hz,1H),7.48(s,1H),7.43(s,1H),7.29(s,1H),7.01(s,1H),6.71(s,1H),5.51-5.58(m,1H),4.88(t,J=7.2Hz,1H),4.82(t,J=7.2Hz,1H),4.69-4.76(m,3H),3.86-4.36(br,2H),3.64(t,J=7.6Hz,2H),2.53-2.77(m,2H),2.49(s,3H),1.78(d,J=7.2Hz,3H)。
Example 4
N- { (R) -1- [ 3-amino-5- (trifluoromethyl) phenyl ] ethyl } -2-methyl-6- (tetrahydro-2H-pyran-3-yl) -7, 8-dihydro-6H-pyrrolo [2, 3-g ] quinazolin-4-amine
Step A: 5-Nitro-N- (tetrahydro-2H-pyran-3-yl) indoline-6-carboxylic acid methyl ester
Starting from methyl 5-nitroindoline-6-carboxylate (400mg) and dihydro-2H-pyran-3 (4H) -one (270mg), the title compound (474mg) was obtained in accordance with the procedure described in example 2, step A.
1 H NMR(400MHz,CDCl 3 )δ7.73(s,1H),6.26(s,1H),3.85-3.90(m,4H),3.51-3.77(m,4H),3.35-3.40(m,2H),3.02-3.07(m,2H),1.69-1.98(m,3H),1.47-1.62(m,1H)。
And B, step B: 5-amino-N- (tetrahydro-2H-pyran-3-yl) indoline-6-carboxylic acid methyl ester
Using methyl 5-nitro-N- (tetrahydrofuran-3-yl) indoline-6-carboxylate (474mg) as a starting material, the procedure of example 2, step B was followed to give a crude target compound (410mg), which was reacted without purification.
And C: 2-methyl-6- (tetrahydro-2H-pyran-3-yl) -7, 8-dihydro-3H-pyrrolo [2, 3-g ] quinazolin-4 (6H) -one
Starting from methyl 5-amino-N- (tetrahydrofuran-3-yl) indoline-6-carboxylate (410mg), the title compound (372mg) was obtained according to the procedure in step C of example 2.
1 H NMR(400MHz,CDCl 3 )δ10.41-10.64(br,1H),7.31(s,1H),7.03(s,1H),3.98-4.03(m,1H),3.89-3.95(m,1H),3.60-3.74(m,2H),3.48-3.54(m,1H),3.34-3.44(m,2H),3.11(t,J=8.4Hz,2H),2.51(s,3H),1.98-2.05(m,1H),1.66-1.82(m,3H)。
Step D: 2-methyl-6- (tetrahydro-2H-pyran-3-yl) -7, 8-dihydro-6H-pyrrolo [2, 3-g ] quinazolin-4-yl 2, 4, 6-triisopropylbenzenesulfonate
Starting from 2-methyl-6- (tetrahydrofuran-3-yl) -7, 8-dihydro-3H-pyrrolo [2, 3-g ] quinazolin-4 (6H) -one (372mg) and 2, 4, 6-triisopropylbenzenesulfonyl chloride (790mg), the title compound (493mg) was obtained in the same manner as in step D of example 2.
1 H NMR(400MHz,CDCl 3 )δ7.43(s,1H),7.17(s,2H),6.63(s,1H),4.30-4.37(m,2H),3.91-4.01(m,2H),3.65-3.75(m,2H),3.53-3.59(m,1H),3.37-3.47(m,2H),3.15(t,J=8.0Hz,2H),2.87-2.94(m,1H),2.44(s,3H),2.00-2.07(m,1H),1.70-1.90(m,3H),1.21-1.27(m,18H)。
Step E: n- { (R) -1- [ 3-amino-5- (trifluoromethyl) phenyl ] ethyl } -2-methyl-6- (tetrahydro-2H-pyran-3-yl) -7, 8-dihydro-6H-pyrrolo [2, 3-g ] quinazolin-4-amine
Starting from 2-methyl-6- (tetrahydrofuran-3-yl) -7, 8-dihydro-6H-pyrrolo [2, 3-g ] quinazolin-4-yl 2, 4, 6-triisopropylbenzenesulfonate (60mg) and (R) -3- (1-aminoethyl) -5- (trifluoromethyl) aniline hydrochloride (28mg), the title compound (18mg) was obtained according to the procedure of example 2, step E.
1 H NMR(400MHz,CDCl 3 )δ8.37-8.47(m,0.5H),8.20-8.30(m,0.5H),7.58(s,0.5H),7.49(s,0.5H),7.36(s,0.5H),7.19(s,0.5H),7.05(s,0.5H),7.00(s,1.5H),6.74(s,0.5H),6.71(s,0.5H),5.54-5.61(m,1H),3.76-3.97(m,3H),3.25-3.65(m,4H),2.72-2.90(m,1.5H),2.54-2.63(m,3.5H),1.99-2.07(m,1H),1.61-1.84(m,6H)。
Example 5
(R) -1- [4- ({1- [ 3-amino-5- (trifluoromethyl) phenyl ] ethyl } amino) -2-methyl-7, 8-dihydro-6H-pyrrolo [2, 3-g ] quinazolin-6-yl ] ethan-1-one
Step A: n-acetyl-5-aminoindoline-6-carboxylic acid methyl ester
The procedure of example 2, step B was repeated using methyl N-acetyl-5-nitroindoline-6-carboxylate (220mg) as the starting material to give the title compound (180 mg).
1 H NMR(400MHz,CD 3 OD)δ8.62(s,1H),6.51(s,1H),4.94-6.31(br,2H),3.99(t,J=7.6Hz,2H),3.83(s,3H),3.10(t,J=7.6Hz,2H),2.18(s,3H)。
And B: n-acetyl-2-methyl-7, 8-dihydro-3H-pyrrolo [2, 3-g ] quinazolin-4 (6H) -one
Adding the N-acetyl-5-aminoindoline-6-methyl formate (180mg), 4mol/L hydrochloric acid/1, 4-dioxane solution (2mL) and acetonitrile (2mL) obtained by the reaction in the previous step into a sealed tube, heating to 110 ℃, and stirring for 10 hours. Cooling to room temperature, adjusting pH to 9 with 2mol/L sodium hydroxide aqueous solution, evaporating the solvent to dryness, and separating and purifying the obtained residue by silica gel column chromatography (methanol/dichloromethane is 1: 10) to obtain an off-white solid product (100 mg).
1 H NMR(400MHz,CD 3 OD)δ8.70(s,1H),7.38(s,1H),4.20(t,J=8.4Hz,2H),3.33(t,J=8.4Hz,2H),2.40(s,3H),2.26(s,3H)。
Step C: n-acetyl-2-methyl-7, 8-dihydro-6H-pyrrolo [2, 3-g ] quinazolin-4-yl 2, 4, 6-triisopropylbenzenesulfonate
Starting from N-acetyl-2-methyl-7, 8-dihydro-3H-pyrrolo [2, 3-g ] quinazolin-4 (6H) -one (100mg) and 2, 4, 6-triisopropylbenzenesulfonyl chloride (373mg), the procedure of example 2, step D was followed to give the crude target compound (30mg), which was directly subjected to the next reaction without purification.
Step D: (R) -1- [4- ({1- [ 3-amino-5- (trifluoromethyl) phenyl ] ethyl } amino) -2-methyl-7, 8-dihydro-6H-pyrrolo [2, 3-g ] quinazolin-6 yl ] ethan-1-one
Starting from N-acetyl-2-methyl-7, 8-dihydro-6H-pyrrolo [2, 3-g ] quinazolin-4-yl 2, 4, 6-triisopropylbenzenesulfonate (30mg) and (R) -3- (1-aminoethyl) -5- (trifluoromethyl) aniline hydrochloride (26mg), the title compound (5mg) was obtained according to the procedure of example 2, step E.
1 H NMR(400MHz,CD 3 OD)δ8.82(s,1H),7.49(s,1H),6.96(s,2H),6.80(s,1H),5.74(q,J=7.2Hz,1H),4.24(t,J=8.4Hz,2H),3.39(t,J=8.4Hz,2H),2.60(s,3H),2.30(s,3H),1.68(d,J=6.8Hz,3H)。
Example 6
(R) - [4- ({1- [ 3-amino-5- (trifluoromethyl) phenyl ] ethyl } amino) -2-methyl-7, 8-dihydro-6H-pyrrolo [2, 3-g ] quinazolin-6-yl ] (cyclopropyl) methanone
Step A: N-Cyclopropylformyl-5-nitroindoline-6-carboxylic acid methyl ester
5-Nitroindoline-6-carboxylic acid methyl ester (300mg) and cyclopropyl carbonyl chloride (212mg) were added to dichloromethane (10mL), cooled to about 0 ℃ in an ice water bath, N-diisopropylethylamine (350mg) was added dropwise, and the mixture was allowed to warm to room temperature and stirred overnight. Saturated aqueous ammonium chloride solution was added dropwise to quench the reaction, the aqueous phase was extracted with dichloromethane, the organic phases were combined, washed with saturated brine, dried over anhydrous sodium sulfate, filtered, and the filtrate was concentrated under reduced pressure to give a crude product which was separated and purified by silica gel column chromatography (ethyl acetate/petroleum ether ═ 1: 1) to give a yellow solid product (382 mg).
1 H NMR(400MHz,CDCl 3 )δ8.35(s,1H),7.85(s,1H),4.40(t,J=8.8Hz,2H),3.89(s,3H),3.31(t,J=8.8Hz,2H),1.73-1.79(m,1H),1.14-1.17(m,2H),0.94-0.98(m,2H)。
And B, step B: N-Cyclopropylformyl-5-aminoindoline-6-carboxylic acid methyl ester
The procedure of example 2, step B was repeated except for using methyl N-cyclopropylformyl-5-nitroindoline-6-carboxylate (330mg) as a starting material to give the title compound (102 mg).
1 H NMR(400MHz,CDCl 3 )δ8.64(s,1H),6.55(s,1H),4.58-6.30(br,2H),4.23(t,J=8.4Hz,2H),3.81(s,3H),3.15(t,J=8.4Hz,2H),1.67-1.73(m,1H),1.09-1.13(m,2H),0.82-0.86(m,2H)。
And C: N-Cyclopropylformyl-2-methyl-7, 8-dihydro-3H-pyrrolo [2, 3-g ] quinazolin-4 (6H) -one
The procedure of example 2, step C was repeated using methyl N-cyclopropylformyl-5-aminoindoline-6-carboxylate (102mg) as a starting material to give the title compound (85 mg).
1 H NMR(400MHz,CD 3 OD)δ8.75(s,1H),7.43(s,1H),4.37-4.44(m,2H),3.38(t,J=7.2Hz,2H),2.41(s,3H),1.93-2.03(m,1H),1.01-1.06(m,2H),0.92-1.00(m,2H)。
Step D: 4-chloro-2-methyl-6-cyclopropylformyl-7, 8-dihydro-6H-pyrrolo [2, 3-g ] quinazoline
N-Cyclopropylformyl-2-methyl-7, 8-dihydro-3H-pyrrolo [2, 3-g ] quinazolin-4 (6H) -one (100mg) obtained in the above reaction was suspended in acetonitrile (5mL), and N, N-diisopropylethylamine (144mg) was added with stirring at room temperature, followed by mixing and stirring for 10 minutes, then, phosphorus oxychloride (114mg) was added dropwise, and then, the mixture was stirred at room temperature overnight. The reaction was quenched by dropwise addition of saturated aqueous sodium bicarbonate, the aqueous phase was extracted with dichloromethane, the organic phases were combined, washed with saturated brine, dried over anhydrous sodium sulfate, filtered, and the filtrate was concentrated under reduced pressure to give a crude product, which was separated and purified by silica gel preparation plates (methanol/dichloromethane ═ 1: 15) to give a pale yellow solid product (36 mg).
1 H NMR(400MHz,CDCl 3 )δ8.84(s,1H),7.69(s,1H),4.40(t,J=8.4Hz,2H),3.45(t,J=8.4Hz,2H),2.78(s,3H),1.76-1.88(m,1H),1.18-1.22(m,2H),0.94-0.99(m,2H)。
Step E: (R) - [4- ({1- [ 3-amino-5- (trifluoromethyl) phenyl ] ethyl } amino) -2-methyl-7, 8-dihydro-6H-pyrrolo [2, 3-g ] quinazolin-6-yl ] (cyclopropyl) methanone
Starting from 4-chloro-2-methyl-6-cyclopropylformyl-7, 8-dihydro-6H-pyrrolo [2, 3-g ] quinazoline (36mg) and (R) -3- (1-aminoethyl) -5- (trifluoromethyl) aniline hydrochloride (30mg), the title compound (6mg) was obtained according to the procedure in step E of example 2.
1 H NMR(400MHz,CDCl 3 )δ8.55(s,1H),8.12(s,1H),7.44-7.64(br,1H),6.95(s,1H),6.89(s,1H),6.78(s,1H),5.60-5.67(m,1H),3.98-4.43(m,4H),3.22-3.38(m,2H),2.72(s,3H),1.75-1.83(m,1H),1.61(d,J=7.2Hz,3H),1.05-1.11(m,2H),0.93-0.99(m,2H)。
Example 7
N- { (R) -1- [ 3-amino-5- (trifluoromethyl) phenyl ] ethyl } -2-methyl-6- (tetrahydrofuran-3-yl) -7, 8-dihydro-6H- [1, 4] oxazine [3, 2-g ] quinazolin-4-amine
Step A: 4- (2-methoxy-2-oxoethoxy) -3-nitrobenzoic acid methyl ester
Methyl bromoacetate (0.5mL) and potassium carbonate (1.4g) were added to a solution of methyl 4-hydroxy-3-nitrobenzoate (1.0g) in acetone (10mL), and the mixture was stirred at 55 ℃ for 3 hours. Cooling to room temperature, diluting with water, extracting with dichloromethane, combining the organic phases, washing with saturated brine, drying over anhydrous sodium sulfate, filtering, concentrating the filtrate under reduced pressure, and separating and purifying the obtained residue by silica gel column chromatography (ethyl acetate/petroleum ether ═ 1: 3) to obtain a yellow solid product (1.5 g).
1 H NMR(400MHz,DMSO)δ8.36(d,J=2.0Hz,1H),8.12(dd,J=8.8Hz,2.0Hz,1H),7.41(d,J=8.8Hz,1H),5.13(s,2H),3.83(s,3H),3.68(s,3H)。
And B: 3-oxo-3, 4-dihydro-2H-benzo [ b ] [1, 4] oxazine-6-carboxylic acid methyl ester
To a suspension of methyl 4- (2-methoxy-2-oxoethoxy) -3-nitrobenzoate (1.5g) in acetic acid (10ml) was added iron powder (900mg), and the mixture was stirred at 120 ℃ for 6 hours. Cooling to room temperature, diluting with water, neutralizing with saturated sodium carbonate solution to pH 9, extracting with dichloromethane, combining the organic phases, washing with saturated brine, drying over anhydrous sodium sulfate, filtering, concentrating the filtrate under reduced pressure, and isolating and purifying the resulting residue by silica gel column chromatography (ethyl acetate/petroleum ether 1: 1) to give the product as a yellow solid (1.2 g).
1 H NMR(400MHz,CDCl 3 )δ9.44-9.64(br,1H),7.69(d,J=8.4Hz,1H),7.54(s,1H),6.98(d,J=8.4Hz,1H),4.67(s,2H),3.88(s,3H)。
And C: 7-Nitro-3-oxo-3, 4-dihydro-2H-benzo [ b ] [1, 4] oxazine-6-carboxylic acid methyl ester
Concentrated nitric acid (1.2mL) was added slowly dropwise to a suspension of methyl 3-oxo-3, 4-dihydro-2H-benzo [ b ] [1, 4] oxazine-6-carboxylate (1.8g) in acetic anhydride (20mL) at 0 ℃ and the mixture was allowed to warm to room temperature and stirred for 1 hour. Diluting with water, neutralizing with saturated sodium carbonate solution to pH 9, extracting with dichloromethane, mixing organic phases, washing with saturated brine, drying over anhydrous sodium sulfate, filtering, concentrating the filtrate under reduced pressure, and separating and purifying the obtained residue by silica gel column chromatography (ethyl acetate/petroleum ether 1: 1) to obtain a yellow solid product (1.5 g).
1 H NMR(400MHz,DMSO)δ11.28(s,1H),7.65(s,1H),7.20(s,1H),4.75(s,2H),3.78(s,3H)。
Step D: 7-Nitro-3, 4-dihydro-2H-benzo [ b ] [1, 4] oxazine-6-carboxylic acid methyl ester
N 2 Under the protection, to 7-nitro-3-oxo-3, 4-dihydro-2H-benzo [ b][1,4]Borane dimethylsulfide (0.9mL, 94%) was slowly added dropwise to a solution of oxazine-6-carboxylic acid methyl ester (1.0g) in tetrahydrofuran (10mL), and the mixture was stirred at 50 ℃ for 1 hour. Diluting with water, extracting with dichloromethane, mixing organic phases, washing with saturated brine, drying over anhydrous sodium sulfate, filtering, and concentrating the filtrate under reduced pressure to obtain a yellow solid product (900 mg).
1 H NMR(400MHz,CDCl 3 )δ7.49(s,1H),6.61(s,1H),4.30-5.10(br,1H),4.23(t,J=4.4Hz,2H),3.86(s,3H),3.50(t,J=4.4Hz,2H)。
And E, step E: 7-Nitro-4- (tetrahydrofuran-3-yl) -3, 4-dihydro-2H-benzo [ b ] [1, 4] oxazine-6-carboxylic acid methyl ester
To a solution of methyl 7-nitro-3, 4-dihydro-2H-benzo [ b ] [1, 4] oxazine-6-carboxylate (900mg) in dichloromethane (10mL) were added dihydro-3 (2H) -furanone (500mg), trifluoroacetic acid (0.2mL) and sodium borohydride (750mg), and the mixture was heated to 40 ℃ and stirred for 12 hours. After dilution with water, the mixture was neutralized to pH 9 with saturated sodium carbonate solution, extracted with dichloromethane, the organic phases were combined, washed with saturated brine, dried over anhydrous sodium sulfate, filtered, and the filtrate was concentrated under reduced pressure, and the resulting residue was separated and purified by silica gel column chromatography (dichloromethane/methanol 1: 30) to give a yellow solid product (800 mg).
1 H NMR(400MHz,CDCl 3 )δ7.50(s,1H),6.79(s,1H),4.48-4.54(m,1H),4.18-4.29(m,2H),4.02-4.07(m,1H),3.99(dd,J=10.4Hz,1.6Hz,1H),3.88(s,3H),3.74-3.80(m,2H),3.39-3.52(m,2H),2.31-2.40(m,1H),1.91-1.99(m,1H)。
Step F: 7-amino-4- (tetrahydrofuran-3-yl) -3, 4-dihydro-2H-benzo [ b ] [1, 4] oxazine-6-carboxylic acid methyl ester
Using methyl 7-nitro-4- (tetrahydrofuran-3-yl) -3, 4-dihydro-2H-benzo [ B ] [1, 4] oxazine-6-carboxylate (180mg) as a starting material, the procedure of example 2, step B was followed to give the title compound H (150mg), which was directly subjected to the next reaction.
Step G: 2-methyl-6- (tetrahydrofuran-3-yl) -7, 8-dihydro-6H- [1, 4] oxazino [3, 2-g ] quinazolin-4-ol
Methyl 7-amino-4- (tetrahydrofuran-3-yl) -3, 4-dihydro-2H-benzo [ b ] [1, 4] oxazine-6-carboxylate (150mg), 4mol/L HCl in 1, 4-dioxane (3mL) and acetonitrile (3mL) were added to the vial, warmed to 100 ℃ and stirred for 12H. After the reaction was completed, it was cooled to room temperature, stirred directly on silica gel, and purified by silica gel column chromatography (methanol/dichloromethane ═ 1: 20) to give a white solid product (75 mg).
1 H NMR(400MHz,CDCl 3 )δ9.32-9.67(br,1H),7.42(s,1H),7.03(s,1H),4.59-4.64(m,1H),4.32-4.38(m,2H),4.02-4.07(m,1H),3.98(dd,J=10.0Hz,2.0Hz,1H),3.76-3.84(m,2H),3.39-3.45(m,1H),3.27-3.33(m,1H),2.46(s,3H),2.32-2.41(m,1H),1.91-2.01(m,1H)。
Step H: 2-methyl-6- (tetrahydrofuran-3-yl) -7, 8-dihydro-6H- [1, 4] oxazine [3, 2-g ] quinazolin-4-yl 2, 4, 6-triisopropylbenzene sulfonate
To a solution of 2-methyl-6- (tetrahydrofuran-3-yl) -7, 8-dihydro-6H- [1, 4] oxazino [3, 2-g ] quinazolin-4-ol (70mg) in methylene chloride (5m1) was added 2, 4, 6-triisopropylbenzenesulfonyl chloride (88mg), 4-dimethylaminopyridine (6mg) and triethylamine (73mg) at room temperature, and the mixture was stirred for 4 hours. After dilution with water and extraction with dichloromethane, the organic phases were combined, washed with brine, dried over anhydrous sodium sulfate, filtered and the filtrate was concentrated under reduced pressure, the residue was isolated and purified by means of a silica gel preparation plate (methanol/dichloromethane ═ 1: 20) to give the product as a yellow solid (30 mg).
1 H NMR(400MHz,CDCl 3 )δ7.24(s,1H),7.18(s,2H),7.11(s,1H),4.56-4.62(m,1H),4.27-4.40(m,4H),4.03-4.11(m,2H),3.81-3.87(m,2H),3.44-3.51(m,1H),3.32-3.39(m,1H),2.87-2.94(m,1H),2.37-2.48(m,4H),1.93-2.03(m,1H),1.23-1.25(m,18H)。
Step I: n- { (R) -1- [ 3-amino-5- (trifluoromethyl) phenyl ] ethyl } -2-methyl-6- (tetrahydrofuran-3-yl) -7, 8-dihydro-6H- [1, 4] oxazine [3, 2-g ] quinazolin-4-amine
Starting from 2-methyl-6- (tetrahydrofuran-3-yl) -7, 8-dihydro-6H- [1, 4] oxazine [3, 2-g ] quinazolin-4-yl-2, 4, 6-triisopropylbenzenesulfonate (15mg) and (R) -3- (1-aminoethyl) -5- (trifluoromethyl) aniline hydrochloride (10mg), the procedure of example 2, step E was carried out to give the objective compound (5 mg).
1 H NMR(400MHz,CD 3 OD)δ7.63(s,1H),6.95(s,1H),6.93(s,1H),6.91(s,1H),6.81(s,1H),5.71-5.78(m,1H),4.76-4.83(m,1H),4.39(t,J=3.6Hz,2H),4.04-4.10(m,1H),3.96-4.01(m,1H),3.77-3.88(m,2H),3.37-3.50(m,2H),2.56(s,3H),2.37-2.45(m,1H),1.96-2.06(m,1H),1.69(d,J=7.2Hz,3H)。
Example 8
N- { (R) -1- [ 3-amino-5- (trifluoromethyl) phenyl ] ethyl } -2-methyl-6- ((tetrahydrofuran-3-yl) methyl) -7, 8-dihydro-6H-pyrrolo [2, 3-g ] quinazolin-4-amine
Step A: 5-Nitro-1- [ (tetrahydrofuran-3-yl) methyl ] indole-6-carboxylic acid methyl ester
Starting from methyl 5-nitroindole-6-carboxylate (300mg) and tetrahydrofuran-3-carbaldehyde (400mg), the title compound (270mg) was obtained in the same manner as in example 2, step A.
1 H NMR(400MHz,CDCl 3 )δ7.76(s,1H),6.26(s,1H),3.86-3.94(m,4H),3.65-3.82(m,5H),3.52-3.56(m,1H),3.16-3.19(m,1H),3.06-3.11(m,2H),2.57-2.64(m,1H),2.02-2.11(m,1H),1.56-1.64(m,1H)。
And B: 5-amino-1- [ (tetrahydrofuran-3-yl) methyl ] indole-6-carboxylic acid methyl ester
Starting from methyl 5-nitro-1- ((tetrahydrofuran-3-yl) methyl) indole-6-carboxylate (270mg), the procedure of example 2, step B was followed to give the title compound (240 mg).
1 H NMR(400MHz,DMSO)δ6.69(s,1H),6.56(s,1H),6.16(s,2H),3.70-3.79(m,5H),3.55-3.65(m,2H),3.38-3.42(m,1H),3.15-3.21(m,1H),3.05-3.11(m,1H),2.75-2.86(m,4H),1.92-2.01(m,1H),1.52-1.60(m,1H)。
Step C: 2-methyl-6- [ (tetrahydrofuran-3-yl) methyl ] -3, 6, 7, 8-tetrahydro-4H-pyrrolo [2, 3-g ] quinazolin-4-one
Starting from methyl 5-amino-1- ((tetrahydrofuran-3-yl) methyl) indole-6-carboxylate (240mg), the procedure of example 7, step G was followed to give the title compound (200 mg).
1 H NMR(400MHz,DMSO)δ11.86(s,1H),7.19(s,1H),6.85(s,1H),3.73-3.78(m,2H),3.60-3.66(m,1H),3.36-3.49(m,3H),3.00-3.10(m,4H),2.52-2.59(m,1H),2.23(s,3H),1.95-2.03(m,1H),1.54-1.63(m,1H)。
Step D: 4-chloro-2-methyl-6- [ (tetrahydrofuran-3-yl) methyl ] -7, 8-dihydro-6H-pyrrolo [2, 3-g ] quinazoline
To a solution of 2-methyl-6- [ (tetrahydrofuran-3-yl) methyl ] -3, 6, 7, 8-tetrahydro-4H-pyrrolo [2, 3-g ] quinazolin-4-one (200mg) in acetonitrile (10mL) were added phosphorus oxychloride (0.25mL) and N, N-diisopropylethylamine (0.5mL), and the mixture was stirred at 80 ℃ for 4 hours. After cooling to room temperature, water was added to quench, and extraction was performed with dichloromethane, and the organic phases were combined, washed with saturated brine, dried over anhydrous sodium sulfate, filtered, and the filtrate was concentrated under reduced pressure, and the obtained residue was separated and purified by silica gel column chromatography (methanol/dichloromethane ═ 1: 20) to give a product (100mg) as a yellow solid.
1 H NMR(400MHz,CDCl 3 )δ7.51(s,1H),6.69(s,1H),3.94-3.99(m,1H),3.86-3.90(m,1H),3.76-3.82(m,1H),3.59-3.65(m,3H),3.19-3.24(m,4H),2.66-2.73(m,4H),2.07-2.16(m,1H),1.67-1.76(m,1H)。
Step E: n- { (R) -1- [ 3-amino-5- (trifluoromethyl) phenyl ] ethyl } -2-methyl-6- [ (tetrahydrofuran-3-yl) methyl ] -7, 8-dihydro-6H-pyrrolo [2, 3-g ] quinazolin-4-amine
Starting from 4-chloro-2-methyl-6- [ (tetrahydrofuran-3-yl) methyl ] -7, 8-dihydro-6H-pyrrolo [2, 3-g ] quinazoline (100mg) and (R) -3- (1-aminoethyl) -5- (trifluoromethyl) aniline hydrochloride (75mg), the title compound (40mg) was obtained according to the procedure of example 2, step E.
1 H NMR(400MHz,CDCl 3 )δ7.42(s,1H),7.07(s,1H),6.91(s,1H),6.78(s,1H),6.28(s,1H),5.55-5.63(m,1H),3.94-4.00(m,1H),3.74-3.86(m,3H),3.63-3.69(m,1H),3.40-3.53(m,2H),3.06-3.16(m,3H),2.60-2.70(m,1H),2.53(s,3H),2.06-2.16(m,1H),1.66-1.78(m,1H),1.65(d,J=7.2Hz,3H)。
Example 9
(R) -N- {1- [ 3-amino-5- (trifluoromethyl) phenyl ] ethyl } -2-methyl-6- (tetrahydro-2H-pyran-4-yl) -7, 8-dihydro-6H-pyrrolo [2, 3-g ] quinazolin-4-amine
Step A: 5-Nitro-1- (tetrahydro-2H-pyran-4-yl) indole-6-carboxylic acid methyl ester
Starting from methyl 5-nitroindole-6-carboxylate (300mg) and tetrahydro-4H-pyran-4-one (200mg), the title compound (350mg) was obtained according to the procedure in example 2, step A.
1 H NMR(400MHz,CDCl 3 )δ7.78(s,1H),6.26(s,1H),4.08(dd,J=11.2Hz,4.4Hz,2H),3.90(s,3H),3.63-3.69(m,3H),3.44-3.50(m,2H),3.08(t,J=8.8Hz,2H),1.70-1.85(m,4H)。
And B: 5-amino-1- (tetrahydro-2H-pyran-4-yl) -indole-6-carboxylic acid methyl ester
Starting from methyl 5-nitro-1- (tetrahydro-2H-pyran-4-yl) indole-6-carboxylate (350mg), the title compound (300mg) was obtained according to the procedure in example 2, step B.
1 H NMR(400MHz,DMSO)δ6.64(s,1H),6.55(s,1H),6.11(s,2H),3.86-3.91(m,2H),3.71(s,3H),3.35-3.48(m,3H),3.17(t,J=8.0Hz,2H),2.77(t,J=8.0Hz,2H),1.49-1.58(m,4H)。
And C: 2-methyl-6- (tetrahydro-2H-pyran-4-yl) -3, 6, 7, 8-tetrahydro-4H-pyrrolo [2, 3-g ] quinazolin-4-one
Starting from methyl 5-amino-1- (tetrahydro-2H-pyran-4-yl) indole-6-carboxylate (300mg), the procedure of example 7, step G was carried out to give the title compound (250 mg).
1 H NMR(400MHz,DMSO)δ11.85(s,1H),7.18(s,1H),6.84(s,1H),3.89-3.93(m,2H),3.68-3.76(m,1H),3.40-3.47(m,4H),3.00(t,J=8.0Hz,2H),2.23(s,3H),1.60-1.65(m,4H)。
Step D: 4-chloro-2-methyl-6- (tetrahydro-2H-pyran-4-yl) -7, 8-dihydro-6H-pyrrolo [2, 3-g ] quinazoline
Starting from 2-methyl-6- (tetrahydro-2H-pyran-4-yl) -3, 6, 7, 8-tetrahydro-4H-pyrrolo [2, 3-g ] quinazolin-4-one (250mg), the title compound (200mg) was obtained according to the method of example 8, step D.
1 H NMR(400MHz,CDCl 3 )δ7.50(s,1H),6.64(s,1H),4.09-4.14(m,2H),3.73-3.81(m,1H),3.54-3.63(m,4H),3.20(td,J=8.4Hz,1.2Hz,2H),2.73(s,3H),1.79-1.85(m,4H)。
Step E: (R) -N- {1- [ 3-amino-5- (trifluoromethyl) phenyl ] ethyl } -2-methyl-6- (tetrahydro-2H-pyran-4-yl) -7, 8-dihydro-6H-pyrrolo [2, 3-g ] quinazolin-4-amine
Starting from 4-chloro-2-methyl-6- (tetrahydro-2H-pyran-4-yl) -7, 8-dihydro-6H-pyrrolo [2, 3-g ] quinazoline (100mg) and (R) -3- (1-aminoethyl) -5- (trifluoromethyl) aniline hydrochloride (75mg), the title compound (50mg) was obtained according to the procedure of example 2, step E.
1 H NMR(400MHz,CDCl 3 )δ7.38(s,1H),7.06(s,1H),6.89(s,1H),6.77(s,1H),6.24(s,1H),5.43-5.69(m,2H),4.04-4.10(m,2H),3.85(s,2H),3.64-3.72(m,1H),3.44-3.53(m,4H),3.07(t,J=8.0Hz,2H),2.51(s,3H),1.66-1.81(m,4H),1.63(d,J=6.4Hz,3H)。
Example 10
N- { (R) -1- [ 3-amino-5- (trifluoromethyl) phenyl ] ethyl } -2-methyl-7- (tetrahydrofuran-3-yl) -7, 8-dihydro-6H-pyrrolo [3, 4-g ] quinazolin-4-amine
Step A: 5-Nitroisoindoline
Concentrated nitric acid (1.4mL) was slowly added dropwise to a suspension of isoindole (2.0g) in concentrated sulfuric acid (10mL) at 0 ℃ and allowed to return to room temperature and stir for 2 hours. The reaction solution was poured into ice water, stirred for 0.5 hour, a white precipitate was precipitated, and filtered to obtain a white solid product (1.8 g).
1 H NMR(400MHz,DMSO)δ9.32-9.73(br,2H),8.28(d,J=2.4Hz,1H),8.20(dd,J=8.4Hz,2.4Hz,1H),7.66(d,J=8.0Hz,1H),4.59-4.63(m,4H)。
And B, step B: 5-Nitroisoindoline-2-carboxylic acid benzyl ester
0 ℃ and N 2 To a suspension of 5-nitroisoindoline (1.8g) in dichloromethane (20mL) was added triethylamine (4.0mL) and benzyl chloroformate (2.0mL) with protection, and the mixture was allowed to return to room temperature and stirred for 3 hours. After quenching with water and extraction with dichloromethane, the organic phases were combined, washed with saturated sodium bicarbonate solution and saturated brine, dried over anhydrous sodium sulfate, filtered and the filtrate was concentrated under reduced pressure to give the product as a yellow solid (1.2 g).
1 H NMR(400MHz,CDCl 3 )δ8.08-8.18(m,2H),7.33-7.44(m,6H),5.21(s,2H),4.81-4.84(m,4H)。
And C: 5-Aminoisoindoline-2-carboxylic acid benzyl ester
Tin dichloride dihydrate (4.0g) was added to a solution of benzyl 5-nitroisoindoline-2-carboxylate (1.2g) in DMF (15ml) at room temperature and stirred overnight. After quenching with ice water, extraction with ethyl acetate was performed, the organic phases were combined, washed with saturated brine, dried over anhydrous sodium sulfate, filtered, the filtrate was concentrated under reduced pressure, and the obtained residue was separated and purified by silica gel column chromatography (ethyl acetate/petroleum ether ═ 1: 3) to give a yellow solid product (0.8 g).
1 H NMR(400MHz,CDCl 3 )δ7.26-7.40(m,5H),6.97(d,J=9.2Hz,1H),6.57-6.61(m,2H),5.19(s,2H),4.61-4.66(m,6H)。
Step D: 5-amino-6-iodoisoindole-2-carboxylic acid benzyl ester
To a solution of benzyl 5-aminoisoindoline-2-carboxylate (1.0g) in dichloromethane (10mL) was added iodine chloride (0.2mL) and sodium hydrogen carbonate (4.0g) at room temperature, followed by stirring for 0.5 hour. After quenching with sodium bisulfite solution, extraction with ethyl acetate, combination of the organic phases, washing with saturated brine, drying over anhydrous sodium sulfate, filtration, concentration of the filtrate under reduced pressure, the residue obtained is purified by column chromatography on silica gel (methanol/dichloromethane ═ 1: 50) to give the product as a yellow solid (0.5 g).
1 H NMR(400MHz,CDCl 3 )δ7.53(s,0.5H),7.46(s,0.5H),7.29-7.40(m,5H),6.66(s,0.5H),6.59(s,0.5H),5.18(s,2H),4.62(s,2H),4.60(s,2H),3.64-4.41(br,2H)。
Step E: 2-benzyl-5-methyl-6-aminoisoindole-2, 5-dicarboxylic acid ester
Pd (dppf) Cl2(18mg) and triethylamine (76mg) were added to a solution of benzyl 5-amino-6-iodoisoindole-2-carboxylate (100mg) in methanol (10ml), and the mixture was purged with carbon monoxide, warmed to 65 ℃ and stirred overnight. Cooled to room temperature, extracted with dichloromethane, the organic phases were combined, washed with saturated brine, dried over anhydrous sodium sulfate, filtered, the filtrate was concentrated under reduced pressure, and the resulting residue was isolated and purified by means of a silica gel preparation plate (methanol/dichloromethane ═ 1: 30) to give the product as a yellow solid (80 mg).
1 H NMR(400MHz,CDCl 3 )δ7.79(s,0.5H),7.73(s,0.5H),7.31-7.40(m,5H),6.72(s,0.5H),6.70(s,0.5H),5.19(s,2H),4.62-4.68(m,4H),3.87(s,1.5H),3.86(s,1.5H)。
Step F: 2-methyl-3, 6, 7, 8-tetrahydro-4H-pyrrolo [3, 4-g ] quinazolin-4-one
Starting from 2-benzyl-5-methyl-6-aminoisoindole-2, 5-dicarboxylate (80mg), the title compound (75mg) was obtained according to the procedure of example 7, step G.
1 H NMR(400MHz,DMSO)δ10.23-1032(br,2H),8.12(s,1H),7.77(s,1H),4.56-4.64(m,4H),2.52(s,3H)。
Step G: 2-methyl-7- (tetrahydrofuran-3-yl) -3, 6, 7, 8-tetrahydro-4H-pyrrolo [3, 4-g ] quinazolin-4-one
To a solution of 2-methyl-3, 6, 7, 8-tetrahydro-4H-pyrrolo [3, 4-g ] quinazolin-4-one (75mg) in dichloromethane (5mL) were added dihydrofuran-3 (2H) -one (65mg), trifluoroacetic acid (0.1mL) and sodium borohydride (100mg), and the mixture was heated to 40 ℃ and stirred for 12 hours. After dilution with water, the mixture was neutralized to pH 9 with saturated sodium carbonate solution, extracted with dichloromethane, the organic phases were combined, washed with saturated brine, dried over anhydrous sodium sulfate, filtered, and the filtrate was concentrated under reduced pressure, and the resulting residue was separated and purified by silica gel column chromatography (dichloromethane/methanol 1: 30) to give a yellow solid product (80 mg).
1 H NMR(400MHz,CDCl 3 )δ11.21(s,1H),8.08(s,1H),7.48(s,1H),4.59-4.67(m,2H),4.39-4.46(m,2H),4.19-4.24(m,1H),4.01-4.09(m,2H),3.88-3.93(m,1H),3.65-3.71(m,1H),2.54(s,3H),2.20-2.30(m,1H),2.02-2.13(m,1H)。
Step H: 2-methyl-7- (tetrahydrofuran-3-yl) -7, 8-dihydro-6H-pyrrolo [3, 4-g ] quinazolin-4-yl 2, 4, 6-triisopropylbenzenesulfonate
Starting from 2-methyl-7- (tetrahydrofuran-3-yl) -3, 6, 7, 8-tetrahydro-4H-pyrrolo [3, 4-g ] quinazolin-4-one (10mg) and 2, 4, 6-triisopropylbenzenesulfonyl chloride (13mg), the title compound (10mg) was obtained in the same manner as in step H of example 7.
1 H NMR(400MHz,CDCl 3 )δ7.96(s,1H),7.67(s,1H),7.18(s,2H),4.28-4.35(m,2H),3.93-4.18(m,6H),3.75-3.90(m,2H),3.28-3.43(m,1H),2.87-2.94(m,1H),2.54(s,3H),2.11-2.22(m,1H),1.97-2.10(m,1H),1.22-1.25(m,18H)。
Step I: n- ((R) -1- (3-amino-5- (trifluoromethyl) phenyl) ethyl) -2-methyl-7- (tetrahydrofuran-3-yl) -7, 8-dihydro-6H-pyrrolo [3, 4-g ] quinazolin-4-amine
Starting from 2-methyl-7- (tetrahydrofuran-3-yl) -7, 8-dihydro-6H-pyrrolo [3, 4-g ] quinazolin-4-yl 2, 4, 6-triisopropylbenzenesulfonate (10mg) and (R) -3- (1-aminoethyl) -5- (trifluoromethyl) aniline hydrochloride (6mg), the title compound (3mg) was obtained according to the procedure of example 2, step E.
1 H NMR(400MHz,CD 3 OD)δ8.00(s,1H),7.53(s,1H),6.92(s,1H),6.91(s,1H),6.88(s,1H),4.30-4.35(m,1H),4.02-4.11(m,4H),3.91-4.00(m,2H),3.76-3.85(m,2H),3.36-3.42(m,1H),2.53(s,3H),2.16-2.22(m,1H),1.99-2.04(m,1H),1.56(d,J=6.4Hz,3H)。
Example 11
(R) -N- {1- [ 3-amino-5- (trifluoromethyl) phenyl ] ethyl } -2-methyl-7, 8-dihydro-6H-cyclopenta [ g ] quinazolin-4-amine
Step A: n- (2, 3-dihydro-1H-indan-5-yl) acetamide
Triethylamine (9.0g) and acetic anhydride (6.1g) were added to a carbon dichloride (100mL) solution of 5-aminoindan (5.07g) at room temperature, and the mixture was stirred at room temperature for 3 hours. The reaction mixture was added with water, extracted with carbon dichloride, the organic phases were combined, washed with saturated brine, dried over anhydrous sodium sulfate, filtered, and the filtrate was concentrated under reduced pressure to give a solid product (4.9g) which was directly subjected to the next step.
And B: n- (6-bromo-2, 3-dihydro-1H-inden-5-yl) acetamide
N- (2, 3-dihydro-1H-indan-5-yl) acetamide (4.9g) was dissolved in glacial acetic acid (20mL), and then liquid bromine (6.7g) was added dropwise and stirred at room temperature for 6 hours. And adding a sodium sulfite saturated solution to quench the reaction, directly pouring the reaction solution into ice water, performing suction filtration, and washing a filter cake for multiple times by using distilled water to obtain a white solid product (4.3 g).
1 H NMR(400MHz,DMSO)δ9.34(s,1H),7.44(s,1H),7.34(s,1H),2.75-2.82(m,4H),1.95-2.03(m,5H)。
And C: 6-acetamido-2, 3-dihydro-1H-indenyl-5-carboxylic acid methyl ester
To a solution of N- (6-bromo-2, 3-dihydro-1H-inden-5-yl) acetamide (200mg) in methanol (20ml) was added Pd (dppf) Cl 2 (28mg) and Triethylamine (240mg), carbon monoxide was purged three times and then connected by a carbon monoxide balloon (1atm)The reaction was heated to 65 ℃ and stirred overnight. Cooling to room temperature, adding water, extracting with ethyl acetate, combining the organic phases, washing with saturated brine, drying over anhydrous sodium sulfate, filtering, concentrating the filtrate under reduced pressure, and separating and purifying the obtained residue by silica gel column chromatography (methanol/dichloromethane ═ 1: 20) to obtain a yellow solid product (103 mg).
1 H NMR(400MHz,CDCl 3 )δ11.03(s,1H),8.52(s,1H),7.83(s,1H),3.87(s,3H),2.92(t,J=7.6Hz,2H),2.84(t,J=7.6Hz,2H),2.20(s,3H),2.02-2.09(m,2H)。
Step D: 6-amino-2, 3-dihydro-1H-indene-5-carboxylic acid methyl ester
Methyl 6-acetylamino-2, 3-dihydro-1H-indenyl-5-carboxylate (100mg) was dissolved in methanol (2mL) and hydrochloric acid (2mL, 6mol/L), warmed to 110 ℃ and stirred for 2 hours, cooled to room temperature, the reaction solution was concentrated under reduced pressure, a saturated solution of sodium hydrogen carbonate (5mL) was added, extraction was performed with ethyl acetate, the organic phases were combined, washed with saturated brine, dried over anhydrous sodium sulfate, and the filtrate was concentrated under reduced pressure to give a white solid product (56 mg).
Step E: 2-methyl-3, 6, 7, 8-tetrahydro-4H-cyclopenta [ g ] quinazolin-4-one
Starting from methyl 6-acetylamino-2, 3-dihydro-1H-indenyl-5-carboxylate (56mg), the title compound (22mg) was obtained according to the procedure in step B of example 5.
1 H NMR(400MHz,CDCl 3 )δ11.58-11.75(br,1H),8.06(s,1H),7.51(s,1H),2.99-3.05(m,4H),2.57(s,3H),2.10-2.18(m,2H)。
Step F: 2-methyl-7, 8-dihydro-6H-cyclopenta [ g ] quinazolin-4-yl 2, 4, 6-triisopropylbenzenesulfonate
Starting from 2-methyl-3, 6, 7, 8-tetrahydro-4H-cyclopenta [ g ] quinazolin-4-one (22mg) and 2, 4, 6-triisopropylbenzenesulfonyl chloride (37mg), the title compound (10mg) was obtained according to the procedure in example 7, step H.
1 H NMR(400MHz,CDCl 3 )δ7.93(s,1H),7.67(s,1H),7.19(s,2H),4.27-4.37(m,2H),3.04-3.10(m,4H),2.86-2.96(m,1H),2.53(s,3H),2.12-2.20(m,2H),1.23-1.25(m,18H)。
Step G: (R) -N- {1- [ 3-amino-5- (trifluoromethyl) phenyl ] ethyl } -2-methyl-7, 8-dihydro-6H-cyclopenta [ g ] quinazolin-4-amine
2-methyl-7, 8-dihydro-6H-cyclopenta [ g ] quinazolin-4-yl-2, 4, 6-triisopropylbenzenesulfonate (10mg), (R) -3- (1-aminoethyl) -5- (trifluoromethyl) aniline hydrochloride (8mg), N-diisopropylethylamine (25mg), and DMF (3mL) were added to a sealed tube, and stirred at 120 ℃ for 16 hours. After the reaction was complete, the solvent was evaporated to dryness and the resulting residue was isolated and purified by silica gel preparation plate (methanol/dichloromethane ═ 1: 10) to give the product as a pale yellow solid (4 mg).
1 H NMR(400MHz,CD 3 OD)δ8.30(s,1H),7.50(s,1H),6.95(s,2H),6.81(s,1H),5.75(q,J=7.2Hz,1H),3.08-3.12(m,4H),2.62(s,3H),2.15-2.23(m,2H),1.68(d,J=7.2Hz,3H)。
Example 12
(R) -1- {1- ({1- [ 3-amino-5- (trifluoromethyl) phenyl ] ethyl } amino) -3-methyl-8, 9-dihydro-7H-pyrrolo [3, 2-f ] quinazolin-7-yl } ethan-1-one
Step A: indoline-4-carboxylic acid methyl ester
To a solution of methyl indole-4-carboxylate (1.0g) in glacial acetic acid (15mL) at room temperature was added sodium cyanoborohydride (1.4g), and the mixture was stirred at room temperature for 30 minutes; sodium cyanoborohydride (0.7g) was added and stirring was continued for 3 hours. The solvent was evaporated to dryness and the residue was dissolved in ethyl acetate (50mL), washed successively with 2mol/L aqueous sodium hydroxide and saturated brine, dried over anhydrous sodium sulfate, filtered and the filtrate was concentrated under reduced pressure to give a crude product which was then separated and purified by silica gel column chromatography (ethyl acetate/petroleum ether: 1: 5) to give the product as a white solid (0.8 g).
1 H NMR(400MHz,CDCl 3 )δ7.31(d,J=7.6Hz,1H),7.04(t,J=7.6Hz,1H),6.75(d,J=8.0Hz,1H),3.86(s,3H),3.56(t,J=8.4Hz,2H),3.35(t,J=8.4Hz,2H)。
And B: n-acetylindoline-4-carboxylic acid methyl ester
Using indoline-6-carboxylic acid methyl ester (0.8G) as a starting material, the procedure of example 1, step G was repeated to give the title compound (0.9G).
1 H NMR(400MHz,CDCl 3 )δ8.43(d,J=8.0Hz,1H),7.65(d,J=8.0Hz,1H),7.25(t,J=8.0Hz,1H),4.07(t,J=8.4Hz,2H),3.88(s,3H),3.53(t,J=8.4Hz,2H),2.23(s,3H)。
And C: n-acetyl-5-nitroindoline-4-carboxylic acid methyl ester
Using methyl N-acetylindoline-4-carboxylate (0.7g) as a starting material, the procedure of example 1, step H was followed to give the title compound (0.3 g).
1 H NMR(400MHz,CDCl 3 )δ8.31(d,J=9.2Hz,1H),7.99(d,J=9.2Hz,1H),4.18(t,J=8.4Hz,2H),3.92(s,3H),3.27(t,J=8.4Hz,2H),2.27(s,3H)。
Step D: n-acetyl-5-aminoindoline-4-carboxylic acid methyl ester
The procedure of example 5, step A was repeated except for using methyl N-acetyl-5-nitroindoline-4-carboxylate (0.3g) as a starting material to give the title compound (200 mg).
1 H NMR(400MHz,CDCl 3 )δ8.25(d,J=9.2Hz,1H),6.53(d,J=9.2Hz,1H),5.50(s,2H),3.96(t,J=8.8Hz,2H),3.85(s,3H),3.41(t,J=8.8Hz,2H),2.17(s,3H)。
And B: n-acetyl-3-methyl-2, 7, 8, 9-tetrahydro-1H-pyrrolo [3, 2-f ] quinazolin-1-one
The procedure of example 5, step B was repeated using N-acetyl-5-aminoindoline-4-carboxylic acid methyl ester (200mg) as a starting material to give the objective compound (69 mg).
1 H NMR(400MHz,DMSO)δ8.41(d,J=8.8Hz,1H),7.33(d,J=8.8Hz,1H),4.14(t,J=8.8Hz,2H),3.53(t,J=8.8Hz,2H),2.25(s,3H),2.13(s,3H)。
And C: n-acetyl-3-methyl-8, 9-dihydro-7H-pyrrolo [3, 2-f ] quinazolin-1-yl 2, 4, 6-triisopropylbenzenesulfonate
Starting from N-acetyl-3-methyl-2, 7, 8, 9-tetrahydro-1H-pyrrolo [3, 2-f ] quinazolin-1-one (69mg) and 2, 4, 6-triisopropylbenzenesulfonyl chloride (121mg), the title compound (22mg) was obtained according to the method described in example 2, step D.
1 H NMR(400MHz,CDCl 3 )δ8.87(d,J=9.2Hz,1H),7.73(d,J=9.2Hz,1H),7.19(s,2H),4.23-4.31(m,4H),3.81(t,J=8.8Hz,2H),2.86-2.96(m,1H),2.46(s,3H),2.28(s,3H),1.25(d,J=6.4Hz,18H)。
Step D: (R) -1- {1- ({1- [ 3-amino-5- (trifluoromethyl) phenyl ] ethyl } amino) -3-methyl-8, 9-dihydro-7H-pyrrolo [3, 2-f ] quinazolin-7-yl } ethanone
Starting from N-acetyl-2-methyl-7, 8-dihydro-6H-pyrrolo [2, 3-G ] quinazolin-4-yl 2, 4, 6-triisopropylbenzenesulfonate (22mg) and (R) -3- (1-aminoethyl) -5- (trifluoromethyl) aniline hydrochloride (13mg), the title compound (6mg) was obtained according to the procedure of example 11, step G.
1 H NMR(400MHz,CD 3 OD)δ8.76(d,J=9.2Hz,1H),7.51(d,J=9.2Hz,1H),7.00(s,1H),6.98(s,1H),6.83(s,1H),5.60(q,J=6.8Hz,1H),4.35(t,J=8.8Hz,2H),3.76-3.93(m,2H),2.56(s,3H),2.27(s,3H),1.69(d,J=6.8Hz,3H)。
Example 13
N- { (R) -1- [ 3-amino-5- (trifluoromethyl) phenyl ] ethyl } -2-methyl-7- [ ((R) -tetrahydrofuran-3-yl) oxy ] benzofuran [3, 2-d ] pyrimidin-4-amine
Step A: 3-amino-6-methoxybenzofuran-2-carboxylic acid methyl ester
Methyl bromoacetate (4mL) and potassium carbonate (9.2g) were added to a solution of 2-hydroxy-4-methoxybenzonitrile (5.0g) in DMF (50mL), the mixture was stirred for 3 hours at an elevated temperature of 80 ℃ and then stirred overnight at an elevated temperature of 145 ℃. Cooling to room temperature, adding water, extracting with ethyl acetate, combining the organic phases, washing with saturated brine, drying over anhydrous sodium sulfate, filtering, concentrating the filtrate under reduced pressure, and separating and purifying the obtained residue by silica gel column chromatography (methanol/dichloromethane ═ 1: 30) to obtain a yellow solid product (6.8 g).
1 H NMR(400MHz,CDCl 3 )δ7.40(d,J=9.2Hz,1H),6.90(d,J=2.4Hz,1H),6.85(dd,J=9.2Hz,2.4Hz,1H),4.72-5.13(br,2H),3.93(s,3H),3.84(s,3H)。
And B: 7-methoxy-2-methylbenzofuran [3, 2-d ] pyrimidin-4-ol
Using methyl 3-amino-6-methoxybenzofuran-2-carboxylate (5.0G) and a 4mol/L solution of HCl in 1, 4-dioxane (30mL) as starting materials, the title compound (4.0G) was obtained in the same manner as in step G of example 7.
1 H NMR(400MHz,DMSO)δ12.65(s,1H),7.83(d,J=8.8Hz,1H),7.36(d,J=2.0Hz,1H),7.03(dd,J=8.8Hz,2.0Hz,1H),3.85(s,3H),2.39(s,3H)。
Step C: 2-methylbenzofuran [3, 2-d ] pyrimidine-4, 7-diol
To a suspension of 7-methoxy-2-methylbenzofuran [3, 2-d ] pyrimidin-4-ol (4.0g) in methanesulfonic acid (40mL) was added DL-methionine (4mL), the temperature was raised to 120 ℃, stirred for 4 hours, cooled to room temperature, stirred directly on silica gel, and purified by silica gel column chromatography (methanol/dichloromethane ═ 1: 20) to give the product as a white solid (3.5 g).
1 H NMR(400MHz,DMSO)δ11.94-13.24(br,1H),9.68-10.89(br,1H),7.75(d,J=8.8Hz,1H),7.04(d,J=2.4Hz,1H),6.91(dd,J=8.4Hz,1.6Hz,1H),2.40(s,3H)。
Step D: (R) -tetrahydrofuran-3-yl-4-tosylate
To a solution of (R) -tetrahydrofuran-3-ol (3.5g) in pyridine (50mL) at 0 ℃ was added p-toluenesulfonyl chloride (11.3g), and the mixture was allowed to return to room temperature and stirred overnight. After diluting with dichloromethane (100mL), washed with saturated brine, dried over anhydrous sodium sulfate, filtered, and the filtrate was concentrated under reduced pressure, the obtained residue was purified by silica gel column chromatography (ethyl acetate/petroleum ether ═ 1: 1) to give a colorless oily product (6.0 g).
1 H NMR(400MHz,CDCl 3 )δ7.77(d,J=8.0Hz,2H),7.33(d,J=8.0Hz,2H),5.07-5.11(m,1H),3.76-3.89(m,4H),2.43(s,3H),2.04-2.09(m,2H)。
Step E: (R) -2-methyl-7- [ (tetrahydrofuran-3-yl) oxy ] benzofuran [3, 2-d ] pyrimidin-4-ol
To a solution of 2-methylbenzofuran [3, 2-d ] pyrimidine-4, 7-diol (200mg) in DMF (10ml) were added (R) -tetrahydrofuran-3-yl-4-toluenesulfonate (230mg) and cesium carbonate (900mg), and the mixture was stirred at 120 ℃ for 4 hours. Cooling to room temperature, adding water, extracting with ethyl acetate, combining the organic phases, washing with saturated brine, drying over anhydrous sodium sulfate, filtering, concentrating the filtrate under reduced pressure, and separating and purifying the obtained residue by silica gel column chromatography (methanol/dichloromethane ═ 1: 20) to obtain a yellow solid product (180 mg).
1 H NMR(400MHz,CDCl 3 )δ7.88(d,J=8.8Hz,1H),7.00(d,J=2.4Hz,1H),6.96(dd,J=8.8Hz,2.0Hz,1H),4.96-5.00(m,1H),3.94-4.04(m,4H),2.58(s,3H),2.12-2.33(m,2H)。
Step F: (R) -2-methyl-7- [ (tetrahydrofuran-3-yl) oxy ] benzofuran [3, 2-d ] pyrimidin-4-yl 2, 4, 6-triisopropylbenzenesulfonate
Starting from (R) -2-methyl-7- ((tetrahydrofuran-3-yl) oxy) benzofuran [3, 2-d ] pyrimidin-4-ol (180mg) and 2, 4, 6-triisopropylbenzenesulfonyl chloride (218mg), the title compound (140mg) was obtained according to the procedure of example 7, step H.
1 H NMR(400MHz,CDCl 3 )δ8.01(d,J=8.8Hz,1H),7.21(s,2H),6.99-7.02(m,2H),4.99-5.03(m,1H),4.20-4.30(m,2H),3.89-4.08(m,4H),2.88-2.96(m,1H),2.61(s,3H),2.24-2.33(m,1H),2.15-2.21(m,1H),1.25(d,J=6.8Hz,18H)。
Step G: n- { (R) -1- [ 3-amino-5- (trifluoromethyl) phenyl ] ethyl } -2-methyl-7- [ ((R) -tetrahydrofuran-3-yl) oxy ] benzofuran [3, 2-d ] pyrimidin-4-amine
Starting from (R) -2-methyl-7- [ (tetrahydrofuran-3-yl) oxy ] benzofuran [3, 2-d ] pyrimidin-4-yl 2, 4, 6-triisopropylbenzenesulfonate (140mg) and (R) -3- (1-aminoethyl) -5- (trifluoromethyl) aniline hydrochloride (75mg), the title compound (30mg) was obtained according to the procedure of example 2, step E.
1 H NMR(400MHz,CDCl 3 )δ7.97(d,J=9.2Hz,1H),7.06(s,1H),6.91-6.93(m,2H),6.88(s,1H),6.76(s,1H),5.47-5.54(m,1H),5.40(d,J=7.6Hz,1H),4.95-4.99(m,1H),3.96-4.02(m,3H),3.76-3.93(m,3H),2.61(s,3H),2.14-2.29(m,2H),1.62(d,J=6.8Hz,3H)。
Example 14
(R) -N- {1- [ 3-amino-5- (trifluoromethyl) phenyl ] ethyl } -7-methoxy-2-methylbenzofuran [3, 2-d ] pyrimidin-4-amine
Step A: 7-methoxy-2-methylbenzofuran [3, 2-d ] pyrimidin-4-yl-2, 4, 6-triisopropylbenzenesulfonate
Starting from 7-methoxy-2-methylbenzofuran [3, 2-d ] pyrimidin-4-ol (230mg) and 2, 4, 6-triisopropylbenzenesulfonyl chloride (363mg), the title compound (160mg) was obtained according to the procedure in example 7, step H.
1 H NMR(400MHz,CDCl 3 )δ8.03(d,J=8.4Hz,1H),7.21(s,2H),7.07(d,J=2.0Hz,1H),7.04(dd,J=8.4Hz,2.0Hz,1H),4.23-4.29(m,2H),3.92(s,3H),2.89-2.96(m,1H),2.62(s.3H),1.25-1.27(m,18H)。
And B: (R) -N- {1- [ 3-amino-5- (trifluoromethyl) phenyl ] ethyl } -7-methoxy-2-methylbenzofuran [3, 2-d ] pyrimidin-4-amine
Starting from 7-methoxy-2-methylbenzofuran [3, 2-d ] pyrimidin-4-yl-2, 4, 6-triisopropylbenzenesulfonate (160mg) and (R) -3- (1-aminoethyl) -5- (trifluoromethyl) aniline hydrochloride (96mg), the title compound (60mg) was obtained in the same manner as in example 2, step E.
1 H NMR(400MHz,CDCl 3 )δ7.98(d,J=8.8Hz,1H),7.07(s,1H),6.95-6.99(m,2H),6.88(s,1H),6.77(s,1H),5.48-5.55(m,1H),5.34(d,J=8.0Hz,1H),3.77-3.92(m,5H),2.62(s,3H),1.63(d,J=6.8Hz,3H)。
Example 15
N- { (R) -1- [ 3-amino-5- (trifluoromethyl) phenyl ] ethyl } -2-methyl-6- [ ((S) -tetrahydrofuran-3-yl) oxy ] benzofuran [2, 3-d ] pyrimidin-4-amine
Step A: 2-amino-5-hydroxybenzofuran-3-carboxylic acid methyl ester
Methyl cyanoacetate (0.75g) and sodium carbonate (1.03g) were added to a solution of p-benzoquinone (1.08g) in ethanol (50mL) at room temperature, and the mixture was stirred at room temperature for 3 hours after purging nitrogen. The reaction mixture was filtered through celite, and the filtrate was concentrated under reduced pressure to give a crude product, which was separated and purified by silica gel column chromatography (ethyl acetate: petroleum ether ═ 1: 1) to give a solid product (0.15 g).
1 H NMR(400MHz,CDCl 3 )δ7.10(s,1H),7.05(d,J=8.8Hz,1H),6.70(s,1H),6.53(dd,J=8.4Hz,2.8Hz,1H),5.83-5.99(br,2H),3.88(s,3H)。
And B: 6-hydroxy-2-methylbenzo [2, 3-d ] pyrimidin-4 (3H) -one
Using methyl 2-amino-5-hydroxybenzofuran-3-carboxylate (0.15g) as a starting material, the title compound (60mg) was obtained in the same manner as in step C of example 2.
1 H NMR(400MHz,DMSO)δ12.71(s,1H),9.50(s,1H),7.45(d,J=8.8Hz,1H),7.19(d,J=2.4Hz,1H),6.79(dd,J=8.8Hz,2.8Hz,1H),2.40(s,3H)。
And C: (S) -2-methyl-6- [ (tetrahydrofuran-3-yl) oxy ] benzofuro [2, 3-d ] pyrimidin-4 (3H) -one
To a solution of 6-hydroxy-2-methylbenzo [2, 3-d ] pyrimidin-4 (3H) -one (60mg) in DMF (6ml) were added (R) -tetrahydrofuran-3-yl-4-toluenesulfonate (72mg) and cesium carbonate (246mg), and the mixture was stirred at 120 ℃ for 4 hours. Cooling to room temperature, adding water, extracting with ethyl acetate, combining the organic phases, washing with saturated brine, drying over anhydrous sodium sulfate, filtering, concentrating the filtrate under reduced pressure, and separating and purifying the resulting residue by silica gel column chromatography (methanol/dichloromethane ═ 1: 20) to give a yellow solid product (54 mg).
1 H NMR(400MHz,CDCl 3 )δ12.30-12.43(br,1H),7.47(d,J=8.8Hz,1H),7.46(d,J=2.4Hz,1H),6.98(dd,J=8.8Hz,2.4Hz,1H),5.01-5.05(m,1H),3.99-4.05(m,3H),3.90-3.95(m,1H),2.68(s,3H),2.16-2.30(m,2H)。
Step D: (S) -2-methyl-6- [ (tetrahydrofuran-3-yl) oxy ] benzofuran [2, 3-d ] pyrimidin-4-yl 2, 4, 6-triisopropylbenzenesulfonate
Starting from (S) -2-methyl-6- [ (tetrahydrofuran-3-yl) oxy ] benzofuro [2, 3-d ] pyrimidin-4 (3H) -one (54mg) and 2, 4, 6-triisopropylbenzenesulfonyl chloride (69mg), the procedure of example 7, step H was followed to give the title compound (26 mg).
1 H NMR(400MHz,CDCl 3 )δ7.52(d,J=9.2Hz,1H),7.45(d,J=2.4Hz,1H),7.20(s,2H),7.09(dd,J=9.2Hz,2.8Hz,1H),4.99-5.03(m,1H),4.27-4.34(m,2H),4.00-4.06(m,3H),3.90-3.96(m,1H),2.88-2.95(m,1H),2.56(s,3H),2.16-2.33(m,2H),1.24-1.26(m,18H)。
And E, step E: n- { (R) -1- [ 3-amino-5- (trifluoromethyl) phenyl ] ethyl } -2-methyl-6- [ ((S) -tetrahydrofuran-3-yl) oxy ] benzofuran [2, 3-d ] pyrimidin-4-amine
Starting from (S) -2-methyl-6- [ (tetrahydrofuran-3-yl) oxy ] benzofuran [2, 3-d ] pyrimidin-4-yl 2, 4, 6-triisopropylbenzenesulfonate (26mg) and (R) -3- (1-aminoethyl) -5- (trifluoromethyl) aniline hydrochloride (24mg), the title compound (4mg) was obtained according to the procedure of example 11, step G.
1 H NMR(400MHz,CDCl 3 )δ7.48(d,J=9.2Hz,1H),7.08(d,J=2.8Hz,1H),7.07(s,1H),6.92(dd,J=8.8Hz,2.4Hz,1H),6.88(s,1H),6.80(s,1H),5.60-5.67(m,1H),5.13(d,J=7.2Hz,1H),4.98-5.01(m,1H),3.80-4.06(m,6H),2.60(s,3H),2.18-2.24(m,2H),1.67(d,J=7.2Hz,3H)。
Example 16
(R) -N- {1- [ 3-amino-5- (trifluoromethyl) phenyl ] ethyl } -6-methoxy-2-methyl-5H-pyrimido [5, 4-b ] indol-4-amine
Step A: 2-amino-3-methoxybenzonitrile
To a solution of 2-nitro-3-methoxybenzonitrile (6g) in isopropanol (150mL) was added 10% palladium on charcoal (1.2g) at room temperature, and the bottle atmosphere was replaced with hydrogen three times, followed by stirring under a hydrogen atmosphere overnight. The reaction mixture was filtered through celite, and the filtrate was concentrated under reduced pressure to give a crude product, which was separated and purified by silica gel column chromatography (ethyl acetate/petroleum ether ═ 1: 3) to give a solid product (2.46 g).
1 H NMR(400MHz,CDCl 3 )δ6.96(d,J=8.4Hz,1H),6.87(d,J=8.0Hz,1H),6.65(t,J=8.0Hz,1H),4.44-4.72(br,2H),3.85(s,3H)。
And B: 2- (2-cyano-6-methoxyanilino) acetic acid methyl ester
Methyl bromoacetate (5.16g) and sodium hydrogencarbonate (1.7g) were added to a solution of 2-amino-3-methoxybenzonitrile (2.5g) in acetonitrile (50mL), and after stirring under reflux for 24 hours, methyl bromoacetate (2.58g) was further added, and stirring under reflux was continued for 24 hours. After cooling to room temperature, the reaction mixture was filtered through celite, and then concentrated under reduced pressure to give a crude product, which was isolated and purified by silica gel column chromatography (ethyl acetate/petroleum ether ═ 1: 5) to give a solid product (1.76 g).
1 H NMR(400MHz,CDCl 3 )δ7.00(dd,J=8.0Hz,1.2Hz,1H),6.86(dd,J=8.0Hz,1.2Hz,1H),6.69(t,J=8.0Hz,1H),5.39-5.46(br,1H),4.40(d,J=6.0Hz,2H),3.86(s,3H),3.79(s,3H)。
And C: 3-amino-7-methoxy-1H-indole-2-carboxylic acid methyl ester
Under the protection of nitrogen, potassium tert-butoxide (1.26g) was added to dry tetrahydrofuran (25mL), the temperature was reduced to about 0 ℃, a solution of methyl 2- (2-cyano-6-methoxyanilino) acetate (2.48g) in tetrahydrofuran (25mL) was slowly added dropwise, and after the addition, the mixture was allowed to warm to room temperature and stirred for 2 hours. The reaction was quenched by slow addition of crushed ice, the aqueous phase was extracted with ethyl acetate, the organic phases were combined, washed with saturated brine, dried over anhydrous sodium sulfate, filtered, and the filtrate was concentrated under reduced pressure to give a crude product which was isolated and purified by silica gel column chromatography (ethyl acetate/petroleum ether ═ 1: 3) to give a solid product (1.96 g).
1 H NMR(400MHz,CDCl 3 )δ7.91-8.14(br,1H),7.12(d,J=8.8Hz,1H),6.94(t,J=8.0Hz,1H),6.70(d,J=7.6Hz,1H),4.44-5.02(br,2H),3.92(s,3H),3.90(s,3H)。
Step D: 6-methoxy-2-methyl-3H-pyrimido [5, 4-b ] indol-4 (5H) -one
The 3-amino-7-methoxy-1H-indole-2-carboxylic acid methyl ester (1.5g) obtained by the reaction in the previous step, 4mol/L hydrochloric acid/1, 4-dioxane solution (10mL) and acetonitrile (10mL) were added to a sealed tube, and the temperature was raised to 110 ℃ and stirred for 10 hours. Cooling to room temperature, adjusting pH to 9 with 2mol/L sodium hydroxide aqueous solution, evaporating the solvent to dryness, filtering the obtained residue by thin-layer silica gel column chromatography (methanol/dichloromethane is 1: 15) to obtain a crude product (1.2g), and directly carrying out the next reaction without purification.
Step E: 6-methoxy-2-methyl-5H-pyrimido [5, 4-b ] indol-4-yl 2, 4, 6-triisopropylbenzenesulfonate
Starting from 6-methoxy-2-methyl-3H-pyrimido [5, 4-b ] indol-4 (5H) -one (260mg) and 2, 4, 6-triisopropylbenzenesulfonyl chloride (1.03g), the title compound (435mg) was obtained according to the procedure in step D of example 2.
1 H NMR(400MHz,DMSO)δ12.48(s,1H),7.67(d,J=7.6Hz,1H),7.29(s,2H),7.15-7.22(m,2H),4.19-4.29(m,2H),3.98(s,3H),2.88-2.96(m,1H),2.43(s,3H),1.15-1.18(m,18H)。
Step F: (R) -N- {1- [ 3-amino-5- (trifluoromethyl) phenyl ] ethyl } -6-methoxy-2-methyl-5H-pyrimido [5, 4-b ] indol-4-amine
Starting from 6-methoxy-2-methyl-5H-pyrimido [5, 4-b ] indol-4-yl 2, 4, 6-triisopropylbenzenesulfonate (235mg) and (R) -3- (1-aminoethyl) -5- (trifluoromethyl) aniline hydrochloride (170mg), the title compound (46mg) was obtained according to the procedure of example 2, step E.
1 H NMR(400MHz,CDCl 3 )δ11.24-11.40(br,1H),9.01-9.15(br,1H),7.63-7.78(m,1H),7.27-7.41(m,1H),6.96-7.05(m,1H),6.74-6.84(m,1H),6.58-6.72(m,1H),6.46-6.56(m,1H),4.65-4.76(m,1H),3.80(s,3H),2.52(s,3H),1.72(d,J=6.8Hz,3H).。
Example 17
6- [ (1R, 3S, 5R, 7R) -adamantan-2-yl ] -N- { (R) -1- [ 3-amino-5- (trifluoromethyl) phenyl ] ethyl } -2-methyl-7, 8-dihydro-6H-pyrrolo [2, 3-g ] quinazolin-4-amine
Step A: 1- [ (1R, 3S, 5R, 7R) -adamantan-2-yl ] -5-nitroindole-6-carboxylic acid methyl ester
Starting from methyl 5-nitroindole-6-carboxylate (300mg) and 2-adamantanone (305mg), the title compound (200mg) was obtained according to the procedure in example 2, step A.
1 H NMR(400MHz,CDCl 3 )δ7.78(s,1H),6.13(s,1H),3.96(t,J=8.4Hz,2H),3.90(s,3H),3.51-3.54(m,1H),3.07(t,J=8.4Hz,2H),2.17-2.21(m,2H),1.91-2.02(m,5H),1.76-1.90(m,2H),1.65-1.73(m,2H),1.48-1.56(m,3H)。
And B: 1- [ (1R, 3S, 5R, 7R) -adamantan-2-yl ] -5-aminoindole-6-carboxylic acid methyl ester
Using methyl 1- [ (1R, 3S, 5R, 7R) -adamantan-2-yl ] -5-nitroindole-6-carboxylate (200mg) as a starting material, the title compound (180mg) was obtained in the same manner as in step B of example 2, and then the compound was directly subjected to the next reaction.
And C: 6- [ (1R, 3S, 5R, 7R) -adamantan-2-yl ] -2-methyl-3, 6, 7, 8-tetrahydro-4H-pyrrolo [2, 3-g ] quinazolin-4-one
Starting from methyl 1- [ (1R, 3S, 5R, 7R) -adamantan-2-yl ] -5-aminoindole-6-carboxylate (180mg), the title compound (120mg) was obtained according to the procedure of example 2, step C.
1 H NMR(400MHz,DMSO)δ11.91(s,1H),7.20(s,1H),6.74(s,1H),3.59(t,J=7.6Hz,2H),3.26-3.29(m,1H),2.98(t,J=7.6Hz,2H),2.20-2.25(m,5H),1.80-2.13(m,8H),1.58-1.78(m,4H)。
Step D: 6- [ (1R, 3S, 5R, 7R) -adamantan-2-yl ] -4-chloro-2-methyl-7, 8-dihydro-6H-pyrrolo [2, 3-g ] quinazoline
Starting from 6- [ (1R, 3S, 5R, 7R) -adamantan-2-yl ] -2-methyl-3, 6, 7, 8-tetrahydro-4H-pyrrolo [2, 3-g ] quinazolin-4-one (100mg), the title compound (50mg) was obtained according to the method of example 8, step D.
1 H NMR(400MHz,CDCl 3 )δ7.49(s,1H),6.60(s,1H),3.83(t,J=7.6Hz,2H),3.50-3.52(m,1H),3.18(t,J=7.6Hz,2H),2.73(s,3H),2.32-2.36(m,2H),2.03-2.10(m,2H),1.90-2.01(m,6H),1.79-1.82(m,2H),1.68-1.74(m,2H)。
Step E: 6- [ (1R, 3S, 5R, 7R) -adamantan-2-yl ] -N- { (R) -1- [ 3-amino-5- (trifluoromethyl) phenyl ] ethyl } -2-methyl-7, 8-dihydro-6H-pyrrolo [2, 3-g ] quinazolin-4-amine
Starting from 6- [ (1R, 3S, 5R, 7R) -adamantan-2-yl ] -4-chloro-2-methyl-7, 8-dihydro-6H-pyrrolo [2, 3-g ] quinazoline (30mg) and (R) -3- (1-aminoethyl) -5- (trifluoromethyl) anilinium hydrochloride (31mg), the procedure of example 2, step E was carried out to give the objective compound (10 mg).
1 H NMR(400MHz,CDCl 3 )δ7.42(s,1H),7.06(s,1H),6.88(s,1H),6.78(s,1H),6.08(s,1H),5.52-5.59(m,1H),5.16-5.40(br,1H),3.83(s,2H),3.70(t,J=7.6Hz,2H),3.38-3.42(m,1H),3.06(t,J=7.6Hz,2H),2.53(s,3H),2.26-2.32(m,2H),2.05-2.12(m,2H),1.88-1.98(m,6H),1.77-1.81(m,2H),1.66-1.72(m,2H),1.63(d,J=7.2Hz,3H)。
Example 18
(R) -5- [4- ({1- [ 3-amino-5- (trifluoromethyl) phenyl ] ethyl } amino) -2-methyl-7, 8-dihydro-6H-pyrrolo [2, 3-g ] quinazolin-6-yl ] -1-methylpyridin-2 (1H) -one
Step A: 1- (1-methyl-6-oxo-1, 6-dihydropyridin-3-yl) -5-nitroindole-6-carboxylic acid methyl ester
To a solution of methyl 5-nitroindole-6-carboxylate (300mg) in toluene (10ml) were added 5-bromo-1-methylpyridin-2 (1H) -one (305mg), tris (dibenzylidene-BASE acetone) dipalladium (0) (31mg), 2-dicyclohexylphosphorus-2 ', 6 ' -diisopropoxy-1, 1 ' -biphenyl (63mg) and potassium phosphate (573mg), and the mixture was stirred at 110 ℃ for 12 hours. The solvent was evaporated to dryness, dichloromethane dissolved, celite filtered, the filtrate concentrated under reduced pressure and the resulting residue was purified by silica gel column chromatography (ethyl acetate/petroleum ether ═ 1: 3) to give the product as a yellow solid (200 mg).
1 H NMR(400MHz,CDCl 3 )δ7.85(s,1H),7.31-7.33(m,2H),6.65(d,J=10.8Hz,1H),6.34(s,1H),3.94(t,J=8.4Hz,2H),3.87(s,3H),3.55(s,3H),3.21(t,J=8.4Hz,2H)。
And B: 5-amino-1- (1-methyl-6-oxo-1, 6-dihydropyridin-3-yl) indole-6-carboxylic acid methyl ester
Starting from methyl 1- (1-methyl-6-oxo-1, 6-dihydropyridin-3-yl) -5-nitroindole-6-carboxylate (200mg), the title compound (150mg) was obtained according to the procedure in step B of example 2, and was directly used in the next reaction.
And C: 2-methyl-6- (1-methyl-6-oxo-1, 6-dihydropyridin-3-yl) -3, 6, 7, 8-tetrahydro-4H-pyrrolo [2, 3-g ] quinazolin-4-one
The procedure of example 2, step C was repeated except for using methyl 5-amino-1- (1-methyl-6-oxo-1, 6-dihydropyridin-3-yl) indole-6-carboxylate (150mg) as a starting material to give the objective compound (50 mg).
1 H NMR(400MHz,DMSO)δ11.93(s,1H),7.77(d,J=2.8Hz,1H),7.57(dd,J=9.6Hz,2.8Hz,1H),7.30(s,1H),6.84(s,1H),6.48(d,J=9.6Hz,1H),3.78(t,J=7.6Hz,2H),3.43(s,3H),3.16(t,J=7.6Hz,2H),2.24(s,3H)。
Step D: 5- (4-chloro-2-methyl-7, 8-dihydro-6H-pyrrolo [2, 3-g ] quinazolin-6-yl) -1-methylpyridin-2 (1H) -one
Starting from 2-methyl-6- (1-methyl-6-oxo-1, 6-dihydropyridin-3-yl) -3, 6, 7, 8-tetrahydro-4H-pyrrolo [2, 3-g ] quinazolin-4-one (50mg), the title compound (20mg) was obtained according to the method of example 8, step D.
1 H NMR(400MHz,CDCl 3 )δ7.61(s,1H),7.47(dd,J=10.0Hz,2.8Hz,1H),7.35(d,J=2.8Hz,1H),6.82(s,1H),6.71(d,J=10.0Hz,1H),3.90(t,J=8.0Hz,2H),3.59(s,3H),3.34(t,J=8.0Hz,2H),2.75(s,3H)。
And E, step E: (R) -5- [4- ({1- [ 3-amino-5- (trifluoromethyl) phenyl ] ethyl } amino) -2-methyl-7, 8-dihydro-6H-pyrrolo [2, 3-g ] quinazolin-6-yl ] -1-methylpyridin-2 (1H) -one
Starting from 5- (4-chloro-2-methyl-7, 8-dihydro-6H-pyrrolo [2, 3-g ] quinazolin-6-yl) -1-methylpyridin-2 (1H) -one (20mg) and (R) -3- (1-aminoethyl) -5- (trifluoromethyl) aniline hydrochloride (22mg), the title compound (5mg) was obtained according to the method of example 2, step E.
1 H NMR(400MHz,CD 3 OD)δ7.73-7.77(m,2H),7.38(s 1H),7.12(s,1H),6.92(s,1H),6.90(s,1H),6.76(s,1H),6.66(d,J=9.6Hz,1H),5.58(q,J=7.2Hz,1H),3.85-3.90(m,2H),3.60(s,3H),3.26(t,J=8.0Hz,2H),2.43(s,3H),1.56(d,J=6.8Hz,3H)。
Example 19
N- { (R) -1- [ 3-amino-5- (trifluoromethyl) phenyl ] ethyl } -2-methyl-6-morpholino-7, 8-dihydro-6H-cyclopenta [ g ] quinazolin-4-amine
Step A: n- (6-bromo-1-oxo-2, 3-dihydro-1H-inden-5-yl) acetamide
N- (6-bromo-2, 3-dihydro-1H-inden-5-yl) acetamide (15g) was dissolved in acetic acid (100ml), warmed to 55 ℃, and then chromium trioxide (18g) was dissolved in acetic acid (20ml) and water (20ml), slowly added to the above solution, and stirring was continued for 2 hours. After the reaction was completed, it was cooled to room temperature, isopropyl alcohol (100ml) was added thereto and stirred overnight, then spin-dried, the residue was extracted with ethyl acetate and water, the organic phases were combined, washed with saturated brine, dried over anhydrous sodium sulfate, filtered, the filtrate was concentrated under reduced pressure, and the obtained residue was separated and purified by silica gel column chromatography (ethyl acetate/petroleum ether ═ 1: 5) to obtain a yellow solid product (10 g).
1 H NMR(400MHz,CDCl 3 )δ8.55(s,1H),7.90(s,1H),3.06-3.09(m,2H),2.66-2.69(m,2H),2.27(s,3H)。
And B: n- (6-bromo-1-morpholino-2, 3-dihydro-1H-inden-5-yl) acetamide
To a solution of N- (6-bromo-1-oxo-2, 3-dihydro-1H-inden-5-yl) acetamide (400mg) in tetrahydrofuran (20ml) were added morpholine (169mg) and tetraisopropyl titanate (426mg), and the mixture was stirred at 100 ℃ for 6 hours. After the reaction is finished, cooling to room temperature, adding sodium cyanoborohydride (200mg), stirring overnight, then adding saturated sodium bicarbonate (10ml) to quench the reaction, filtering through diatomite, extracting the filtrate with ethyl acetate and water, combining organic phases, washing with saturated saline solution, drying with anhydrous sodium sulfate, filtering, concentrating the filtrate under reduced pressure, separating and purifying to obtain a crude product (260mg), and directly carrying out the next step.
And C: methyl-6-acetylamino-3-morpholino-2, 3-dihydro-1H-indene-5-carboxylic acid methyl ester
To a solution of N- (6-bromo-1-oxo-2, 3-dihydro-1H-inden-5-yl) acetamide (200mg) in methanol (50ml) were added triethylamine (160mg) and Pd (dppf) Cl 2 (20mg) after which the carbon monoxide was removed three times, added to a carbon monoxide balloon and stirred overnight at 65 ℃. The mixture was cooled to room temperature, extracted with ethyl acetate and water, and the organic phases were combined, washed with saturated brine, dried over anhydrous sodium sulfate, filtered, and the filtrate was concentrated under reduced pressure, and the obtained residue was separated and purified by silica gel column chromatography (ethyl acetate/petroleum ether: 1: 5) to give a yellow oily product (110 mg).
1 H NMR(400MHz,CDCl 3 )δ11.11(s,1H),8.54(s,1H),7.97(s,1H),4.23-4.26(m,1H),3.91(s,3H),3.66-3.72(m,4H),2.92-3.01(m,1H),2.81-2.89(m,1H),2.41-2.57(m,4H),2.22(s,3H),2.02-2.18(m,2H)。
Step D: 2-methyl-6-morpholino-3, 6, 7, 8-tetrahydro-4H-cyclopenta [ g ] quinazolin-4-one
Methyl-6-acetamido-3-morpholino-2, 3-dihydro-1H-indene-5-carboxylate (100mg) and 5mol/L ammonia gas in methanol (10mL) were added to a polytetrafluoroethylene inner liner at room temperature, placed in a stainless steel reaction vessel, heated to 125 ℃ and stirred for 24 hours. After completion of the reaction, the reaction solution was concentrated in vacuo, and the obtained residue was isolated and purified by silica gel preparation plate (methanol/dichloromethane ═ 1: 15) to obtain a solid product (39 mg).
1 H NMR(400MHz,CDCl 3 )δ8.14(s,1H),7.62-7.66(m,2H),4.44(t,J=3.6Hz,1H),2.62-2.94(m,9H),2.16-2.22(m,5H),1.77-1.84(m,1H)。
Step E: 2-methyl-6-morpholino-7, 8-dihydro-6H-cyclopenta [ g ] quinazolin-4-yl 2, 4, 6-triisopropylbenzenesulfonate
Starting from 2-methyl-6-morpholino-3, 6, 7, 8-tetrahydro-4H-cyclopenta [ g ] quinazolin-4-one (39mg), the title compound (23mg) was obtained according to the method of example 2, step D.
1 H NMR(400MHz,CDCl 3 )δ8.07(s,1H),7.66(s,1H),7.18(s,2H),4.31-4.44(m,3H),3.69-3.79(m,4H),3.08-3.17(m,1H),2.87-3.01(m,2H),2.45-2.62(m,7H),2.12-2.26(m,2H),1.24(d,J=6.8Hz,12H),1.23(d,J=6.8Hz,6H)。
Step F: n- { (R) -1- [ 3-amino-5- (trifluoromethyl) phenyl ] ethyl } -2-methyl-6-morpholino-7, 8-dihydro-6H-cyclopenta [ g ] quinazolin-4-amine
The procedure of example 2, step E was repeated except for using 2-methyl-6-morpholino-7, 8-dihydro-6H-cyclopenta [ g ] quinazolin-4-yl 2, 4, 6-triisopropylbenzenesulfonate as a starting material (23mg) and (R) -3- (1-aminoethyl) -5- (trifluoromethyl) aniline hydrochloride (10mg) to obtain the objective compound (8 mg).
1 H NMR(400MHz,CDCl 3 )δ7.86-8.24(m,2H),6.98-7.05(m,2H),6.79(s,1H),5.61-5.69(m,1H),4.45-4.58(m,1H),3.88-4.11(br,2H),3.72-3.86(m,4H),2.90-314(m,2H),2.52-2.76(m,7H),2.15-2.32(m,2H),1.69-1.73(m,3H)。
Example 20
N- { (R) -1- [ 3-amino-5- (trifluoromethyl) phenyl ] ethyl } -2-methyl-6- [4- (oxetan-3-yl) piperazin-1-yl ] -7, 8-dihydro-6H-cyclopenta [ g ] quinazolin-4-amine
Step A: n- { 6-bromo-1- [4- (oxetan-3-yl) piperazin-1-yl ] -2, 3-dihydro-1H-inden-5-yl } acetamide
Starting from N- (6-bromo-1-oxo-2, 3-dihydro-1H-inden-5-yl) acetamide (400mg) and 1- (oxetan-3-yl) piperazine (229mg), the title compound (160mg) was obtained according to the method of example 19, step B.
1 H NMR(400MHz,CDCl 3 )δ8.14(s,1H),7.60(s,1H),7.58(s,1H),4.60-4.64(m,2H),4.54-4.58(m,2H),4.33-4.39(m,1H),3.47-3.53(m,1H),2.86-2.94(m,1H),2.74-2.82(m,1H),2.54-2.73(m,4H),2.34-2.50(m,4H),2.20(s,3H),2.08-2.19(m,2H)。
And B: 6-acetylamino-3- [4- (oxetan-3-yl) piperazin-1-yl ] -2, 3-dihydro-1H-indenyl-5-carboxylic acid methyl ester
Starting from N- { 6-bromo-1- [4- (oxetan-3-yl) piperazin-1-yl ] -2, 3-dihydro-1H-inden-5-yl } acetamide (160mg), the title compound (70mg) was obtained according to the method of example 19, step C.
1 H NMR(400MHz,CDCl 3 )δ11.14(s,1H),8.58(s,1H),7.95-8.30(br,1H),4.30-4.66(m,5H),3.91(s,3H),3.49-3.58(m,1H),2.08-3.06(m,15H)。
And C: 2-methyl-6- [4- (Oxetadin-3-yl) piperazin-1-yl ] -3, 6, 7, 8-tetrahydro-4H-cyclopenta [ g ] quinazolin-4-one
Starting from methyl 6-acetylamino-3- [4- (oxetan-3-yl) piperazin-1-yl ] -2, 3-dihydro-1H-indenyl-5-carboxylate (32mg), the title compound (21mg) was obtained according to the method of step D of example 19.
1 H NMR(400MHz,CDCl 3 )δ11.26(s,1H),8.22(s,1H),7.49(s,1H),4.63-4.67(m,2H),4.56-4.59(m,2H),4.43-4.51(m,1H),3.50-3.57(m,1H),3.10-3.26(m,1H),2.62-3.01(m,5H),2.42-2.60(m,7H),2.17-2.40(m,2H)。
Step D: 2-methyl-6- [4- (oxetan-3-yl) piperazin-1-yl ] -7, 8-dihydro-6H-cyclopenta [ g ] quinazolin-4-yl 2, 4, 6-triisopropylbenzenesulfonate
Starting from 2-methyl-6- [4- (oxetan-3-yl) piperazin-1-yl ] -3, 6, 7, 8-tetrahydro-4H-cyclopenta [ g ] quinazolin-4-one (21mg), the title compound (20mg) was obtained according to the method of example 2, step D.
1 H NMR(400MHz,CDCl 3 )δ8.08(s,1H),7.67(s,1H),7.18(s,2H),4.57-4.70(m,4H),4.42-4.55(m,1H),4.30-4.37(m,2H),3.51-3.69(m,1H),2.87-3.22(m,3H),2.33-2.82(m,11H),2.10-2.32(m,2H).1.21-1.25(m,18H)。
Step E: n- { (R) -1- [ 3-amino-5- (trifluoromethyl) phenyl ] ethyl } -2-methyl-6- [4- (oxetan-3-yl) piperazin-1-yl ] -7, 8-dihydro-6H-cyclopenta [ g ] quinazolin-4-amine
Starting from 2-methyl-6- [4- (oxetan-3-yl) piperazin-1-yl ] -7, 8-dihydro-6H-cyclopenta [ g ] quinazolin-4-yl 2, 4, 6-triisopropylbenzenesulfonate (20mg) and (R) -3- (1-aminoethyl) -5- (trifluoromethyl) aniline hydrochloride (10mg), the title compound (7mg) was obtained according to the method of example 2, step E.
1 H NMR(400MHz,CD 3 OD)δ8.51(s,1H),7.53(s,1H),6.94-7.01(m,2H),6.80-6.83(m,1H),5.76-5.83(m,1H),4.68-4.73(m,2H),4.57-4.65(m,3H),3.66-3.76(m,1H),2.50-3.14(m,15H),1.71(d,J=6.0Hz,3H)。
Example 21
N- { (R) -1- [ 3-amino-5- (trifluoromethyl) phenyl ] ethyl } -6- (4-cyclopropylpiperazin-1-yl) -2-methyl-7, 8-dihydro-6H-cyclopenta [ g ] quinazolin-4-amine
Step A: n- [ 6-bromo-1- (4-cyclopropylpiperazin-1-yl) -2, 3-dihydro-1H-inden-5-yl ] acetamide
Starting from N- (6-bromo-1-oxo-2, 3-dihydro-1H-inden-5-yl) acetamide (400mg) and 1-cyclopropylpiperazine (227mg), the title compound (221mg) was obtained according to the procedure in step B of example 19.
1 H NMR(400MHz,CDCl 3 )δ8.14(s,1H),7.64-7.66(m,2H),4.44(t,J=6.4Hz,1H),2.62-2.94(m,10H),2.16-2.22(m,5H),1.77-1.83(m,1H),0.48-0.58(m,4H)。
And B: 6-acetylamino-3- (4-cyclopropylpiperazin-1-yl) -2, 3-dihydro-1H-indenyl-5-carboxylic acid methyl ester
Starting from N- [ 6-bromo-1- (4-cyclopropylpiperazin-1-yl) -2, 3-dihydro-1H-inden-5-yl ] acetamide (221mg), the title compound (90mg) was obtained according to the procedure of example 19, step C.
1 H NMR(400MHz,CDCl 3 )δ11.13(s,1H),8.57(s,1H),7.94-8.32(br,1H),4.28-4.59(m,1H),3.91(s,3H),2.50-3.06(m,10H),2.10-2.37(m,5H),1.66-1.86(m,1H),0.22-0.68(m,4H)。
Step C: 6- (4-Cyclopropylpiperazin-1-yl) -2-methyl-3, 6, 7, 8-tetrahydro-4H-cyclopenta [ g ] quinazolin-4-one
The procedure of example 19, step D was repeated except for using methyl 6-acetylamino-3- (4-cyclopropylpiperazin-1-yl) -2, 3-dihydro-1H-indenyl-5-carboxylate (45mg) as a starting material to give the objective compound (23 mg).
1 H NMR(400MHz,CD 3 OD)δ8.21(s,1H),7.48(s,1H),4.62-4.68(m,1H),2.75-3.23(m,10H),2.43(s,3H),2.28-2.37(m,2H),2.04-2.15(m,1H),0.55-0.67(m,4H)。
Step D: 6- (4-Cyclopropylpiperazin-1-yl) -2-methyl-7, 8-dihydro-6H-cyclopenta [ g ] quinazolin-4-yl 2, 4, 6-triisopropylbenzenesulfonate
Starting from 6- (4-cyclopropylpiperazin-1-yl) -2-methyl-3, 6, 7, 8-tetrahydro-4H-cyclopenta [ g ] quinazolin-4-one (23mg), the title compound (24mg) was obtained according to the method of example 2, step D.
1 H NMR(400MHz,CDCl 3 )δ8.07(s,1H),7.66(s,1H),7.18(s,2H),4.44-4.53(m,1H),4.28-4.38(m,2H),2.65-3.16(m,9H),2.38-2.62(m,6H),2.10-2.26(m,2H),1.23-1.26(m,18H),0.81-0.88(m,4H)。
Step E: n- { (R) -1- [ 3-amino-5- (trifluoromethyl) phenyl ] ethyl } -6- (4-cyclopropylpiperazin-1-yl) -2-methyl-7, 8-dihydro-6H-cyclopenta [ g ] quinazolin-4-amine
Starting from 6- (4-cyclopropylpiperazin-1-yl) -2-methyl-7, 8-dihydro-6H-cyclopenta [ g ] quinazolin-4-yl 2, 4, 6-triisopropylbenzenesulfonate (14mg) and (R) -3- (1-aminoethyl) -5- (trifluoromethyl) aniline hydrochloride (20mg), the title compound (5mg) was obtained according to the method of example 2, step E.
1 H NMR(400MHz,CD 3 OD)δ8.51(s,1H),7.52(s,1H),6.97-6.98(m,2H),6.81(s,1H),5.78(q,J=7.2Hz,1H),4.56-4.63(m,1H),2.99-3.23(m,6H),2.83-2.97(m,2H),2.69-2.80(m,2H),2.63(s,3H),2.20-2.36(m,3H),1.71(d,J=6.8Hz,3H),0.65-0.76(m,4H)。
Example 22
(R) -N- {1- [ 3-amino-5- (trifluoromethyl) phenyl ] ethyl } -2-methyl-6- [4- (tert-butoxycarbonylamino) cyclohexyl ] -7, 8-dihydro-6H-pyrrolo [2, 3-g ] quinazolin-4-amine
Step A: n- [4- (tert-Butoxycarbonylamino) cyclohexyl ] -5-nitroindoline-6-carboxylic acid methyl ester
The procedure of example 2, step A was repeated except for using methyl 5-nitroindoline-6-carboxylate (300mg) and 4- (tert-butoxycarbonylamino) cyclohexanone (432mg) as starting materials to give the title compound (516mg).
1 H NMR(400MHz,CDCl 3 )δ7.74-7.75(m,1H),6.19(s,1H),4.58-4.70(br,0.4H),4.31-4.50(br,0.6H),3.89(s,3H),3.78-3.86(m,0.4H),3.61-3.70(m,2H),3.34-3.46(m,1.6H),3.02-3.08(m,2H),2.08-2.15(m,1H),1.92-1.98(m,0.8H),1.80-1.87(m,1.2H),1.51-1.70(m,4H),1.44(s,3.6H),1.43(s,5.4H),1.17-1.27(m,1H)。
And B: n- [4- (tert-Butoxycarbonylamino) cyclohexyl ] -5-aminoindoline-6-carboxylic acid methyl ester
Using methyl N- [4- (tert-butoxycarbonylamino) cyclohexyl ] -5-nitroindoline-6-carboxylate (260mg) as a starting material, the procedure of example 2, step B was followed to give the title compound (160 mg).
1 H NMR(400MHz,CDCl 3 )δ6.12-6.76(m,2H),4.64-4.76(m,1H),4.39(d,J=7.6Hz,1H),3.77-3.92(m,5H),3.33-3.45(m,1H),1.38-1.99(m,17H),1.19-1.30(m,2H)。
And C: n- [4- (tert-Butoxycarbonylamino) cyclohexyl ] -2-methyl-7, 8-dihydro-3H-pyrrolo [2, 3-g ] quinazolin-4 (6H) -one
Using methyl N- [4- (tert-butoxycarbonylamino) cyclohexyl ] -5-aminoindoline-6-carboxylate (152mg) as a starting material, the procedure of example 2, step C was followed to give the title compound (88 mg).
1 H NMR(400MHz,CDCl 3 )δ11.20-12.04(br,1H),7.30(s,1H),6.92(s,1H),4.64-4.80(br,1H),3.77-3.89(m,1H),3.48-3.54(m,3H),3.06-3.10(m,2H),2.51(s,3H),1.88-1.97(m,2H),1.40-1.77(m,15H)。
Step D: 2-methyl-6- [4- (tert-butoxycarbonylamino) cyclohexyl ] -7, 8-dihydro-6H-pyrrolo [2, 3-g ] quinazolin-4-yl 2, 4, 6-triisopropylbenzenesulfonate
Starting from N- [4- (tert-butoxycarbonylamino) cyclohexyl ] -2-methyl-7, 8-dihydro-3H-pyrrolo [2, 3-g ] quinazolin-4 (6H) -one (88mg), the title compound (116mg) was obtained according to the method of example 2, step D.
1 H NMR(400MHz,CDCl 3 )δ7.42(s,1H),7.17(s,2H),6.55(s,1H),4.63-4.74(br,1H),4.29-4.36(m,2H),3.82-3.94(m,1H),3.48-3.59(m,3H),3.14(t,J=7.2Hz,2H),2.86-2.93(m,1H),3.42(s,3H),1.90-1.98(m,2H),1.70-1.80(m,3H),1.52-1.63(m,2H),1.46(s,9H),1.19-1.26(m,19H)。
Step E: (R) -N- {1- [ 3-amino-5- (trifluoromethyl) phenyl ] ethyl } -2-methyl-6- [4- (tert-butoxycarbonylamino) cyclohexyl ] -7, 8-dihydro-6H-pyrrolo [2, 3-g ] quinazolin-4-amine
Starting from 2-methyl-6- [4- (tert-butoxycarbonylamino) cyclohexyl ] -7, 8-dihydro-6H-pyrrolo [2, 3-g ] quinazolin-4-yl 2, 4, 6-triisopropylbenzenesulfonate (110mg) and (R) -3- (1-aminoethyl) -5- (trifluoromethyl) aniline hydrochloride (40mg), the title compound (90mg) was obtained according to the procedure of example 2, step E.
1 H NMR(400MHz,CDCl 3 )δ8.78-8.91(br,1H),7.34(s,2H),7.16(s,1H),7.02(s,1H),6.71(s,1H),5.52-5.60(m,1H),4.76(d,J=6.8Hz,1H),3.69-3.89(m,2H),3.30-3.40(m,2H),2.48-2.63(m,5H),1.61-2.04(m,10H),1.40-1.51(m,10H)。
Example 23
(R) -N- {1- [ 3-amino-5- (trifluoromethyl) phenyl ] ethyl } -2-methyl-6- (pyridin-3-yl) -7, 8-dihydro-6H-pyrrolo [2, 3-g ] quinazolin-4-amine
Step A: n- (pyridin-3-yl) -5-nitroindoline-6-carboxylic acid methyl ester
Methyl 5-nitroindoline-6-carboxylate (400mg), 3-bromopyridine (217mg), tris (dibenzylidene-BASE acetone) dipalladium (0) (41mg), 2-dicyclohexylphosphonium-2 ', 6 ' -diisopropoxy-1, 1 ' -biphenyl (84mg) and potassium phosphate (764mg) were added to toluene (12ml), ultrasonically deoxidized and the gas in the flask replaced with nitrogen three times, protected with nitrogen, heated to 110 ℃ and stirred for 24 hours. The reaction mixture was filtered through celite, the filtrate was concentrated under reduced pressure, and the obtained residue was separated and purified by silica gel column chromatography (methanol/dichloromethane ═ 1: 25) to give a yellow solid product (485 mg).
1 H NMR(400MHz,CDCl 3 )δ8.61(d,J=2.8Hz,1H),8.39(dd,J=4.4Hz,1.2Hz,1H),7.89(s,1H),7.59-7.62(m,1H),7.35(dd,J=8.4Hz,4.4Hz,1H),6.91(s,1H),4.18(t,J=8.8Hz,2H),3.88(s,3H),3.27(t,J=8.4Hz,2H)。
And B, step B: n- (pyridin-3-yl) -5-aminoindoline-6-carboxylic acid methyl ester
Starting from methyl N- (pyridin-3-yl) -5-nitroindoline-6-carboxylate (320mg), the title compound (274mg) was obtained according to the method of example 2, step B.
1 H NMR(400MHz,CDCl 3 )δ8.60(s,1H),8.15(d,J=4.0Hz,1H),7.64(s,1H),7.59(d,J=8.8Hz,1H),7.32-7.36(m,1H),6.59(s,1H),4.82-5.86(br,2H),3.89(t,J=8.0Hz,2H),3.85(s,3H),3.09(t,J=8.0Hz,2H)。
And C: n- (pyridin-3-yl) -2-methyl-7, 8-dihydro-3H-pyrrolo [2, 3-g ] quinazolin-4 (6H) -one
The title compound (270mg) was obtained by the procedure of example 2, step C, starting from methyl N- (pyridin-3-yl) -5-aminoindoline-6-carboxylate (274 mg).
1 H NMR(400MHz,CDCl 3 )δ8.56(d,J=2.0Hz,1H),8.17(d,J=4.4Hz,1H),7.85-7.87(m,1H),7.67(s,1H),7.45(dd,J=8.4Hz,4.4Hz,1H),7.41(s,1H),4.09(t,J=8.4Hz,2H),3.32(t,J=8.4Hz,2H),2.39(s,3H)。
Step D: 2-methyl-6- (pyridin-3-yl) -7, 8-dihydro-6H-pyrrolo [2, 3-g ] quinazolin-4-yl 2, 4, 6-triisopropylbenzenesulfonate
Starting from N- (pyridin-3-yl) -2-methyl-7, 8-dihydro-3H-pyrrolo [2, 3-g ] quinazolin-4 (6H) -one (100mg), the title compound (80mg) was obtained according to the procedure of example 2, step D.
1 H NMR(400MHz,CDCl 3 )δ8.62(d,J=2.0Hz,1H),8.34(d,J=4.4Hz,1H),7.74(d,J=8.4Hz,1H),7.59(s,1H),7.39(s,1H),7.36(dd,J=8.4Hz,4.8Hz,1H),7.16(s,2H),4.24-4.31(m,2H),4.11(t,J=8.0Hz,2H),3.36(t,J=8.0Hz,2H),2.86-2.93(m,1H),2.46(s,3H),1.21-1.24(m,18H)。
Step E: (R) -N- {1- [ 3-amino-5- (trifluoromethyl) phenyl ] ethyl } -2-methyl-6- (pyridin-3-yl) -7, 8-dihydro-6H-pyrrolo [2, 3-g ] quinazolin-4-amine
Starting from 2-methyl-6- (pyridin-3-yl) -7, 8-dihydro-6H-pyrrolo [2, 3-g ] quinazolin-4-yl 2, 4, 6-triisopropylbenzenesulfonate (60mg) and (R) -3- (1-aminoethyl) -5- (trifluoromethyl) aniline hydrochloride (28mg), the title compound (5mg) was obtained according to the procedure of example 2, step E.
1 H NMR(400MHz,CDCl 3 )δ9.06-9.16(br,1H),8.58(d,J=2.0Hz,1H),8.36(d,J=4.4Hz,1H),8.02(s,1H),7.77(s,1H),7.51(d,J=4.4Hz,1H),7.39(s,1H),7.02(s,1H),6.95(s,1H),6.69(s,1H),5.57-5.64(m,1H),4.02-4.44(br,2H),3.85-3.94(m,2H),2.89-2.99(m,2H),2.70(s,3H),1.74(d,J=8.0Hz,3H)。
Example 24
(R) -N- {1- [ 3-amino-5- (trifluoromethyl) phenyl ] ethyl } -2-methyl-6- (pyridin-3-ylmethyl) -7, 8-dihydro-6H-pyrrolo [2, 3-g ] quinazolin-4-amine
Step A: n- (pyridin-3-ylmethyl) -5-nitroindoline-6-carboxylic acid methyl ester
The procedure of example 2, step A was repeated except for using methyl 5-nitroindoline-6-carboxylate (300mg) and 3-pyridinecarboxaldehyde (217mg) as starting materials to give the objective product (290 mg).
1 H NMR(400MHz,CDCl 3 )δ8.52-8.62(m,2H),7.80(s,1H),7.61(d,J=7.6Hz,1H),7.32-7.35(m,1H),6.38(s,1H),4.43(s,2H),3.88(s,3H),3.61(t,J=8.8Hz,2H),3.11(t,J=8.8Hz,2H)。
And B: n- (pyridin-3-ylmethyl) -5-aminoindoline-6-carboxylic acid methyl ester
N- (pyridin-3-ylmethyl) -5-nitroindoline-6-carboxylic acid methyl ester (290mg) and glacial acetic acid (222mg) were added to absolute ethanol (10mL), and after cooling in an ice-water bath to 0 ℃, zinc powder (242mg) was added in portions, followed by warming to room temperature and stirring overnight. And filtering the reaction solution by using kieselguhr, evaporating the filtrate to dryness, adding dichloromethane (20mL), adjusting the pH value to 8-9 by using 2mol/L sodium hydroxide aqueous solution, extracting the water phase by using dichloromethane, combining organic phases, drying by using anhydrous sodium sulfate, filtering, and separating and purifying residues obtained by concentrating under reduced pressure by using silica gel column chromatography (methanol/dichloromethane is 1: 30) to obtain a solid product (180 mg).
1 H NMR(400MHz,CDCl 3 )δ8.65(s,1H),8.58(d,J=3.6Hz,1H),7.80(d,J=7.6Hz,1H),7.35(dd,J=7.6Hz,3.6Hz,1H),6.92(s,1H),6.53(s,1H),4.74-5.36(br,2H),4.18(s,2H),3.81(s,3H),3.10-3.21(m,2H),2.84-2.94(m,2H)。
Step C: n- (pyridin-3-ylmethyl) -2-methyl-7, 8-dihydro-3H-pyrrolo [2, 3-g) quinazoline 4(6H) -one
The procedure of example 2, step C was repeated using methyl N- (pyridin-3-ylmethyl) -5-aminoindoline-6-carboxylate (150mg) as the starting material to give the desired product (142 mg).
1 H NMR(400MHz,CDCl 3 )δ11.04-11.63(br,1H),8.59(s,1H),8.53(d,J=3.6Hz,1H),7.66(d,J=8.0Hz,1H),7.37(s,1H),7.27(dd,J=8.0Hz,4.8Hz,1H),7.10(s,1H),4.38(s,2H),3.42(t,J=7.6Hz,2H),3.12(t,J=7.6Hz,2H),2.47(s,3H)。
Step D: 2-methyl-6- (pyridin-3-ylmethyl) -7, 8-dihydro-6H-pyrrolo [2, 3-g ] quinazolin-4-yl 2, 4, 6-triisopropylbenzenesulfonate
Starting from N- (pyridin-3-ylmethyl) -2-methyl-7, 8-dihydro-3H-pyrrolo [2, 3-g ] quinazolin-4 (6H) -one (142mg), the title product (38mg) was obtained according to the method of example 2, step D.
1 H NMR(400MHz,CDCl 3 )δ8.61(d,J=1.6Hz,1H),8.57(dd,J=4.8Hz,1.2Hz,1H),7.67(d,J=8.0Hz,1H),7.49(s,1H),7.30(dd,J=7.6Hz,4.8Hz,1H),7.16(s,2H),6.78(s,1H),4.45(s,2H),4.25-4.32(m,2H),3.49(t,J=8.0Hz,2H),3.19(t,J=8.0Hz,2H),2.86-2.93(m,1H),2.45(s,3H),1.20-1.24(m,18H)。
Step E: (R) -N- {1- [ 3-amino-5- (trifluoromethyl) phenyl ] ethyl } -2-methyl-6- (pyridin-3-ylmethyl) -7, 8-dihydro-6H-pyrrolo [2, 3-g ] quinazolin-4-amine
Starting from 2-methyl-6- (pyridin-3-ylmethyl) -7, 8-dihydro-6H-pyrrolo [2, 3-g ] quinazolin-4-yl 2, 4, 6-triisopropylbenzenesulfonate (38mg) and (R) -3- (1-aminoethyl) -5- (trifluoromethyl) aniline hydrochloride (16mg), the title product (4mg) was obtained according to example 2, step E.
1 H NMR(400MHz,CDCl 3 )δ9.20-9.30(br,1H),8.64(d,J=2.0Hz,1H),8.44(d,J=4.4Hz,1H),7.90(s,1H),7.62(s,1H),7.47(d,J=4.4Hz,1H),7.35(s,1H),7.00(s,1H),6.85(s,1H),6.63(s,1H),5.61-5.71(m,3H),3.98-4.46(br,2H),3.72-3.78(m,2H),2.80-2.87(m,2H),2.65(s,3H),1.77(d,J=8.0Hz,3H)。
Example 25
N- {1- [3- (trifluoromethyl) phenyl ] cyclopropyl } -2-methyl-6- (tetrahydrofuran-3-yl) -7, 8-dihydro-6H-pyrrolo [2, 3-g ] quinazolin-4-amine
Step A: 1- [3- (trifluoromethyl) phenyl ] cyclopropylamine
To 3-trifluoromethylbenzonitrile (4g) and tetraisopropyl titanate (7.3g) in dry tetrahydrofuran (100mL) at-70 deg.C, a 1mol/L solution of ethylmagnesium bromide in tetrahydrofuran (52mL) was added slowly dropwise, stirred for 15 minutes with incubation, then warmed to room temperature and stirred for 1 hour; slowly dropwise adding boron trifluoride ethyl ether (6.6g), continuously stirring at room temperature for 1 hour, then quenching the reaction by using 1mol/L hydrochloric acid aqueous solution, adjusting the pH value to 9-10 by using 2mol/L sodium hydroxide aqueous solution, extracting by using ethyl acetate, combining organic phases, washing by using saturated saline solution, drying by using anhydrous sodium sulfate, filtering, concentrating under reduced pressure, and separating and purifying the obtained residue by silica gel column chromatography (methanol/dichloromethane is 1: 30) to obtain a light yellow oily substance (0.9 g).
1 H NMR(400MHz,CDCl 3 )δ7.57(s,1H),7.37-7.44(m,3H),1.92(s,2H),1.11-1.13(m,2H),0.99-1.02(m,2H)。
And B: n- {1- [3- (trifluoromethyl) phenyl ] cyclopropyl } -2-methyl-6- (tetrahydrofuran-3-yl) -7, 8-dihydro-6H-pyrrolo [2, 3-g ] quinazolin-4-amine
Starting from 2-methyl-6- (tetrahydrofuran-3-yl) -7, 8-dihydro-6H-pyrrolo [2, 3-g ] quinazolin-4-yl 2, 4, 6-triisopropylbenzenesulfonate (92mg) and 1- [3- (trifluoromethyl) phenyl ] cyclopropylamine (42mg), the expected product (10mg) was obtained according to example 2, step E.
1 H NMR(400MHz,CD 3 OD)δ7.71(s,1H),7.66-7.69(m,1H),7.45-7.50(m,2H),7.34(s,1H),7.12(s,1H),4.45-4.50(m,1H),3.96-4.06(m,2H),3.78-3.90(m,2H),3.61-3.70(m,2H),3.18(t,J=7.2Hz,2H),2.55(s,3H),2.30-2.39(m,1H),2.03-2.11(m,1H),1.51(s,4H)。
Example 26
(R) -N- {1- [ 3-amino-5- (trifluoromethyl) phenyl ] ethyl } -2-methyl-6- (1-allylpiperidin-4-yl) -7, 8-dihydro-6H-pyrrolo [2, 3-g ] quinazolin-4-amine
Step A: n- (1-Boc-piperidin-4-yl) -5-nitroindoline-6-carboxylic acid methyl ester
Starting from methyl 5-nitroindoline-6-carboxylate (1.6g) and N-tert-butoxycarbonyl-4-piperidone (2.15g), the expected product (2.78g) was obtained by the method of example 2, step A.
1 H NMR(400MHz,CDCl 3 )δ7.75(s,1H),6.23(s,1H),4.16-4.36(m,2H),3.89(s,3H),3.62(t,J=8.8Hz,2H),3.50-3.58(m,1H),3.05(t,J=8.8Hz,2H),2.66-2.83(m,2H),1.71-1.78(m,2H),1.55-1.65(m,2H),1.45(s,9H)。
And B: n- (piperidin-4-yl) -5-nitroindoline-6-carboxylic acid methyl ester
Trifluoroacetic acid (1.5mL) was added to a difluoromethane (40mL) solution of methyl N- (1-tert-butoxycarbonylpiperidin-4-yl) -5-nitroindoline-6-carboxylate (1.78g) at room temperature, the mixture was stirred at room temperature overnight, the pH was adjusted to 9 to 10 with 2mol/L aqueous sodium hydroxide solution, the aqueous phase was extracted with dichloromethane, the organic phases were combined, washed with saturated brine, dried over anhydrous sodium sulfate, filtered, the filtrate was concentrated under reduced pressure, and the obtained residue was separated and purified by silica gel column chromatography (methanol/dichloromethane ═ 1: 10) to give a yellow solid product (1.12 g).
1 H NMR(400MHz,CDCl 3 )δ7.74(s,1H),6.22(s,1H),3.88(s,3H),3.66(t,J=8.8Hz,2H),3.48-3.61(m,2H),3.22-3.28(m,2H),3.05(t,J=8.8Hz,2H),2.68-2.75(m,2H),1.70-1.81(m,4H)。
Step C: n- (1-allylpiperidin-4-yl) -5-nitroindoline-6-carboxylic acid methyl ester
Dissolving the methyl N- (piperidin-4-yl) -5-nitroindoline-6-carboxylate (305mg) obtained in the above reaction in dry tetrahydrofuran (10mL), cooling to 0 ℃ in an ice water bath, adding 60% sodium hydride (60mg), stirring for 15 minutes under constant temperature, dropwise adding allyl bromide (154mg), heating to room temperature, and stirring overnight. Saturated aqueous ammonium chloride solution was slowly added dropwise to quench the reaction, the aqueous phase was extracted with dichloromethane, the organic phases were combined, washed with saturated aqueous sodium bicarbonate solution, dried over anhydrous sodium sulfate, filtered, the filtrate was concentrated under reduced pressure, and the obtained residue was separated and purified by silica gel column chromatography (methanol/dichloromethane ═ 1: 30) to give a yellow solid product (280 mg).
1 H NMR(400MHz,CDCl 3 )δ7.75(s,1H),6.21(s,1H),5.79-5.89(m,1H),5.14-5.21(m,2H),3.89(s,3H),3.66(t,J=8.8Hz,2H),3.37-3.45(m,1H),3.00-3.07(m,6H),1.98-2.04(m,2H),1.72-1.84(m,4H)。
Step D: n- (1-allylpiperidin-4-yl) -5-aminoindoline-6-carboxylic acid methyl ester
At room temperature, N- (pyridin-3-ylmethyl) -5-nitroindoline-6-carboxylic acid methyl ester (230mg) and ammonium chloride (222mg) were added to an anhydrous ethanol/water mixed solvent (10mL, 2: 1), and after cooling to 0 ℃ in an ice-water bath, zinc powder (174mg) was added in portions, followed by warming to room temperature and stirring overnight. Filtering the reaction solution by using kieselguhr, evaporating the organic solvent to dryness, adding dichloromethane (20mL), adjusting the pH value to 8-9 by using 2mol/L sodium hydroxide aqueous solution, extracting the water phase by using dichloromethane, combining the organic phases, drying by using anhydrous sodium sulfate, filtering, concentrating under reduced pressure, and separating and purifying the obtained residue by using silica gel column chromatography (methanol/dichloromethane is 1: 20) to obtain a solid product (180 mg).
1 H NMR(400MHz,CDCl 3 )δ6.60-6.90(br,1H),6.51(s,1H),6.14-6.24(m,1H),5.53(d,J=9.6Hz,1H),5.46(d,J=16.8Hz,1H),3.82(s,3H),3.46-3.70(m,5H),3.18-3.43(m,2H),2.62-3.02(m,4H),2.30-2.56(m,2H),1.89-2.06(m,2H)。
Step E: 2-methyl-6- (1-allylpiperidin-4-yl) -7, 8-dihydro-3H-pyrrolo [2, 3-g ] quinazolin-4 (6H) -one
The procedure of example 2, step C was repeated except for using N- (1-allylpiperidin-4-yl) -5-aminoindoline-6-carboxylic acid methyl ester (210mg) as a starting material to give a target product (86 mg).
1 H NMR(400MHz,CDCl 3 )δ11.51-11.88(br,1H),7.30(s,1H),6.93(s,1H),5.84-5.94(m,1H),5.18-5.24(m,2H),3.48-3.59(m,3H),3.06-3.15(m,6H),2.50(s,3H),2.13-2.19(m,2H),1.80-1.87(m,4H)。
Step F: 2-methyl-6- (1-allylpiperidin-4-yl) -7, 8-dihydro-6H-pyrrolo [2, 3-g ] quinazolin-4-yl 2, 4, 6-triisopropylbenzenesulfonate
Starting from 2-methyl-6- (1-allylpiperidin-4-yl) -7, 8-dihydro-3H-pyrrolo [2, 3-g ] quinazolin-4 (6H) -one (86mg), the title product (25mg) was obtained according to the method described in example 2, step D.
1 H NMR(400MHz,CDCl 3 )δ7.44(s,1H),7.17(s,2H),6.60(s,1H),6.08-6.18(m,1H),5.48-5.56(m,2H),4.22-4.31(m,2H),3.52-3.82(m,7H),3.09-3.16(m,2H),2.80-2.94(m,3H),2.40-2.59(m,2H),2.38(s,3H),1.98-2.05(m,2H),1.21-1.25(m,18H)。
And step N: (R) -N- {1- [ 3-amino-5- (trifluoromethyl) phenyl ] ethyl } -2-methyl-6- (1-allylpiperidin-4-yl) -7, 8-dihydro-6H-pyrrolo [2, 3-g ] quinazolin-4-amine
Starting from 2-methyl-6- (1-allylpiperidin-4-yl) -7, 8-dihydro-6H-pyrrolo [2, 3-g ] quinazolin-4-yl 2, 4, 6-triisopropylbenzenesulfonate (25mg) and (R) -3- (1-aminoethyl) -5- (trifluoromethyl) aniline hydrochloride (10mg), the title product (5mg) was obtained according to the method of example 2, step E.
1 H NMR(400MHz,CD 3 OD)δ7.50(s,1H),7.30(s,1H),7.07(s,1H),7.01(s,1H),6.80(s,1H),5.97-6.07(m,1H),5.72(q,J=7.2Hz,1H),5.54-5.60(m,2H),3.96-4.04(m,1H),3.71(d,J=7.2Hz,2H),3.65(t,J=8.0Hz,2H),3.56-3.61(m,2H),3.20(t,J=8.0Hz,2H),3.07-3.16(m,2H),2.57(s,3H),2.06-2.18(m,4H),1.75(d,J=6.8Hz,3H)。
Example 27
N- ((R) -1- (3-amino-5- (trifluoromethyl) phenyl) ethyl) -8-methyl-4- (((S) -tetrahydrofuran-3-yl) oxy) - [1, 3] dioxacyclopenteno [4, 5-h ] quinazolin-6-amine
Step A: 7-hydroxybenzo [ d ] [1, 3] dioxole-5-carboxylic acid methyl ester
Methyl gallate (10g), diiodomethane (21.8g) and sodium hydrogen carbonate (16g) were added to N, N-dimethylformamide (150ml), and the mixture was heated to 80 ℃ and stirred for 12 hours. Cooled to room temperature, extracted with dichloromethane, the combined extracts washed with water, dried over anhydrous sodium sulfate, filtered, the filtrate concentrated under reduced pressure, and the resulting residue purified by silica gel column chromatography (ethyl acetate/petroleum ether ═ 1: 2) to give the product (7.06g) as a yellow solid.
1 H NMR(400MHz,CDCl 3 )δ7.31(d,J=1.6Hz,1H),7.14(d,J=1.6Hz,1H),6.05(s,2H),5.02-5.08(br,1H),3.87(s,3H)。
And B: 7-Benzyloxybenzo [ d ] [1, 3] dioxole-5-carboxylic acid methyl ester
Methyl 7-hydroxybenzo [ d ] [1, 3] dioxole-5-carboxylate (7g), benzyl bromide (9.2g) and potassium carbonate (9.9g) were added to N, N-dimethylformamide (120ml), and the mixture was heated to 80 ℃ and stirred for 15 hours. After cooling to room temperature, the reaction mixture was poured into ice water to precipitate a solid, which was filtered and the crude product was purified by silica gel column chromatography (ethyl acetate/petroleum ether: 1: 5) to give a yellow solid product (6.7 g).
1 H NMR(400MHz,CDCl 3 )δ7.41-7.45(m,2H),7.29-7.39(m,4H),7.19(d,J=1.2Hz,1H),6.04(s,2H),5.18(s,2H),3.86(s,3H)。
And C: 7-benzyloxy-4-nitrobenzo [ d ] [1, 3] dioxole-5-carboxylic acid methyl ester
To a solution of methyl 7-benzyloxybenzo [ d ] [1, 3] dioxole-5-carboxylate (6g) in dichloromethane (120mL) was added trifluoroacetic anhydride (35.3g), and the mixture was stirred for 15 minutes; concentrated nitric acid (7.78g) was then added slowly dropwise with stirring for 2 hours. The reaction was quenched with saturated sodium bicarbonate solution in an ice-water bath, extracted with dichloromethane, the extracts were dried over anhydrous sodium sulfate, filtered, the filtrate was concentrated under reduced pressure, and the obtained residue was purified by silica gel column chromatography (ethyl acetate/petroleum ether ═ 1: 6) to obtain a solid product (244 mg).
1 H NMR(400MHz,CDCl 3 )δ7.30-7.37(m,5H),7.11(s,1H),6.11(s,2H),5.29(s,2H),3.84(s,3H)。
Step D: 4-amino-7-hydroxybenzo [ d ] [1, 3] dioxole-5-carboxylic acid methyl ester
To a solution of methyl 7-benzyloxy-4-nitrobenzo [ d ] [1, 3] dioxole-5-carboxylate (300mg) in dry methanol (20mL) at room temperature was added 10% palladium on carbon (60mg), followed by stirring under a hydrogen atmosphere overnight. The reaction solution was filtered through celite, the filtrate was concentrated under reduced pressure, and the obtained residue was directly subjected to the next reaction without purification.
Step E: (S) -4-amino-7- ((tetrahydrofuran-3-yl) oxy) benzo [ d ] [1, 3] dioxole-5-carboxylic acid methyl ester
Methyl 4-amino-7-hydroxybenzo [ d ] [1, 3] dioxole-5-carboxylate (211mg), (R) -tetrahydrofuran-3-yl 4-methylbenzenesulfonate (242mg), and cesium carbonate (391mg) were added to N, N-dimethylformamide (12ml) under nitrogen, and heated to 100 ℃ and stirred for 5 hours. After cooling to room temperature, the reaction mixture was poured into ice water, extracted with ethyl acetate, the extracts were concentrated under reduced pressure, and the obtained residue was purified by silica gel column chromatography (ethyl acetate/petroleum ether ═ 1: 3) to obtain a solid product (214 mg).
1H NMR(400MHz,CDCl3)δ7.04(s,1H),5.40-6.20(m,4H),5.17-5.20(m,1H),3.86-4.09(m,4H),3.81(s,3H),2.05-2.21(m,2H)。
Step F: (S) -8-methyl-4- ((tetrahydrofuran-3-yl) oxy) - [1, 3] dioxolo [4, 5-H ] quinazolin-6 (7H) -one
Methyl (S) -4-amino-7- [ (tetrahydrofuran-3-yl) oxy ] benzo [ d ] [1, 3] dioxole-5-carboxylate (214mg), trimethyl orthoacetate (913mg), ammonium acetate (293mg) and methanol (7mL) obtained in the above reaction were charged into a sealed tube, heated to 120 ℃ and stirred for 16 hours, cooled to room temperature, the reaction solution was directly stirred with silica gel, and purified by silica gel column chromatography (methanol/dichloromethane ═ 1: 30) to give an off-white solid product (158mg).
1 H NMR(400MHz,CDCl 3 )δ7.30(s,1H),6.21(s,2H),5.16-5.20(m,1H),3.85-4.00(m,4H),2.39(s,3H),2.24-2.33(m,1H),2.12-2.19(m,1H)。
Step G: (S) -8-methyl-4- ((tetrahydrofuran-3-yl) oxy) - [1, 3] dioxolo [4, 5-h ] quinazolin-6-yl 2, 4, 6-triisopropylbenzenesulfonate
(S) -8-methyl-4- [ (tetrahydrofuran-3-yl) oxy ] - [1, 3] dioxolo [4, 5-H ] quinazolin-6 (7H) -one (158mg), 2, 4, 6-triisopropylbenzenesulfonyl chloride (495mg), 4-dimethylaminopyridine (13mg) and triethylamine (275mg) obtained in the above reaction were dissolved in dichloromethane (8mL) and stirred at room temperature overnight. The reaction solution was concentrated under reduced pressure, and the residue was purified by silica gel column chromatography (ethyl acetate/petroleum ether ═ 1: 1) to give a solid product (188mg).
1 H NMR(400MHz,CDCl 3 )δ7.19(s,2H),7.08(s,1H),6.27(s,2H),5.14-5.19(m,1H),4.25-4.32(m,2H),4.01-4.07(m,3H),3.92-3.98(m,1H),2.87-2.94(m,1H),2.48(s,3H),2.28-2.37(m,1H),2.18-2.26(m,1H),1.22-1.25(m,18H)。
Step H: n- ((R) -1- (3-amino-5- (trifluoromethyl) phenyl) ethyl) -8-methyl-4- (((S) -tetrahydrofuran-3-yl) oxy) - [1, 3] dioxolo [4, 5-h ] quinazolin-6-amine
(S) -8-methyl-4- ((tetrahydrofuran-3-yl) oxy) - [1, 3] dioxolo [4, 5-h ] quinazolin-6-yl 2, 4, 6-triisopropylbenzenesulfonate (150mg), (R) -3- (1-aminoethyl) -5- (trifluoromethyl) aniline hydrochloride (78mg), N-diisopropylethylamine (105mg), and absolute ethanol (10mL) were added to a sealed tube, heated to 120 ℃ and stirred for 16 hours. Cooled to room temperature, the solvent was evaporated to dryness and the residue was purified on a silica gel preparation plate (methanol/dichloromethane ═ 1: 10) to give the product as a pale yellow solid (80 mg).
1 H NMR(400MHz,CD 3 OD)δ7.44(s,1H),6.97(s,1H),6.95(s,1H),6.79(s,1H),6.17-6.19(m,2H),5.63(q,J=7.2Hz,1H),5.22-5.25(m,1H),3.94-4.01(m,3H),3.86-3.92(m,1H),2.45(s,3H),2.22-2.31(m,1H),2.14-2.21(m,1H),1.62(d,J=6.8Hz,3H)。
Example 28
N- ((R) -1- (3- (difluoromethyl) -2-fluorophenyl) ethyl) -8-methyl-4- (((S) -tetrahydrofuran-3-yl) oxy) - [1, 3] dioxolo [4, 5-h ] quinazolin-6-amine
Starting from (S) -8-methyl-4- [ (tetrahydrofuran-3-yl) oxy ] - [1, 3] dioxolo [4, 5-H ] quinazolin-6-yl 2, 4, 6-triisopropylbenzenesulfonate (35mg) and (R) -1- [ 2-fluoro-3-difluoromethylphenyl ] ethylamine hydrochloride (17mg), step H of example 27 was carried out to give a pale yellow solid product (20 mg).
1 H NMR(400MHz,CD 3 OD)δ7.57(t,J=7.2Hz,1H),7.42-7.47(m,2H),7.20(t,J=8.0Hz,1H),6.99(t,J=54.8Hz,1H),6.17-6.19(m,2H),5.82(q,J=6.8Hz,1H),5.23-5.28(m,1H),3.96-4.02(m,3H),3.88-3.93(m,1H),2.37(s,3H),2.24-2.33(m,1H),2.15-2.22(m,1H),1.66(d,J=6.8Hz,3H)。
Example 29
(R) -N- (1- (3-amino-5- (trifluoromethyl) phenyl) ethyl) -8-methyl-4- (1, 2, 3, 6-tetrahydropyridin-4-yl) - [1, 3] dioxacyclopenteno [4, 5-h ] quinazolin-6-amine
Step A: 7- (trifluoromethylsulfonyloxy) benzo [ d ] [1, 3] dioxolane-5-carboxylic acid methyl ester
Methyl 7-hydroxybenzo [ d ] [1, 3] dioxole-5-carboxylate (1g) and pyridine (0.6g) were added to dichloromethane (30mL), trifluoromethanesulfonic anhydride (1.2g) was added at 0 ℃, and the mixture was stirred at room temperature for 2 hours, water (30mL) was added to the reaction solution, extraction was performed with dichloromethane, the extract was dried over anhydrous sodium sulfate, filtration was performed, the filtrate was concentrated under reduced pressure, and the obtained residue was purified by silica gel column chromatography (ethyl acetate/petroleum ether ═ 1: 12) to obtain a product (1.3g).
1 H NMR(400MHz,CDCl 3 )δ7.56(d,J=1.6Hz,1H),7.48(d,J=1.6Hz,1H),6.17(s,2H),3.90(s,3H)。
And B, step B: 4-Nitro-7- (trifluoromethylsulfonyloxy) benzo [ d ] [1, 3] dioxolane-5-carboxylic acid methyl ester
Methyl 7- (trifluoromethylsulfonyloxy) benzo [ d ] [1, 3] dioxolane-5-carboxylate (1.0g) was dissolved in concentrated sulfuric acid (10mL), and potassium nitrate (308mg) was added portionwise at 0 ℃ and stirred at room temperature for 1 hour. The reaction solution was poured into ice water, extracted with ethyl acetate, the extract was concentrated under reduced pressure, and the obtained residue was purified by silica gel column chromatography (ethyl acetate/petroleum ether ═ 1: 12) to give a yellow solid product (214 mg).
1 H NMR(400MHz,CDCl 3 )δ7.39(s,1H),6.36(s,2H),3.89(s,3H)。
And C: 4- (6- (methoxycarbonyl) -7-nitrobenzo [ d ] [1, 3] dioxolan-4-yl) -5, 6-dihydropyridine-1 (2H) -carboxylic acid tert-butyl ester
Under the protection of nitrogen, 4-nitro-7- (trifluoromethyl sulfonyloxy) benzo [ d][1,3]Dioxolane-5-carboxylic acid methyl ester (200mg), 1- (tert-butoxycarbonyl) -1, 2, 3, 6-tetrahydropyridin-4-ylboronic acid (248mg), Pd (dppf) Cl 2 (20mg) and cesium carbonate (352mg) were added to dioxane (10mL) and water (1mL), stirred overnight at room temperature, the reaction solution was concentrated under reduced pressure, and the obtained residue was purified by silica gel column chromatography (ethyl acetate/petroleum ether: 1: 3) to give a solid product (190 mg).
1 H NMR(400MHz,CDCl 3 )δ7.34(s,1H),6.35-6.49(m,1H),6.23(s,2H),4.10(s,2H),3.86(s,3H),3.62(t,J=5.6Hz,2H),2.48-2.54(m,2H),1.48(s,9H)。
Step D: 4- (7-amino-6- (methoxycarbonyl) benzo [ d ] [1, 3] dioxolan-4-yl) -5, 6-dihydropyridine-1 (2H) -carboxylic acid tert-butyl ester
Tert-butyl 4- (6- (methoxycarbonyl) -7-nitrobenzo [ d ] [1, 3] dioxolan-4-yl) -5, 6-dihydropyridine-1 (2H) -carboxylate (190mg) was dissolved in acetic acid (5mL), and zinc powder (300mg) was added to stir at room temperature for 5 hours. The reaction mixture was filtered through celite, the filtrate was concentrated under reduced pressure, and the obtained residue was purified by silica gel column chromatography (ethyl acetate/petroleum ether ═ 1: 4) to obtain a solid product (100 mg).
1 H NMR(400MHz,CDCl 3 )δ7.48(s,1H),6.13-6.24(m,1H),6.03(s,2H),5.48(s,2H),4.05(s,2H),3.85(s,3H),3.60(t,J=5.6Hz,2H),2.46-2.52(m,2H),1.47(s,9H)。
Step E: 7- (1- (tert-Butoxycarbonyl) -1, 2, 3, 6-tetrahydropyridin-4-yl) -4-aminobenzo [ d ] [1, 3] dioxolane-5-carboxylic acid
Tert-butyl 4- (7-amino-6- (methoxycarbonyl) benzo [ d ] [1, 3] dioxolan-4-yl) -5, 6-dihydropyridine-1 (2H) -carboxylate (100mg) was added to methanol (10mL) and 1N aqueous sodium hydroxide solution (5mL), and the mixture was heated to 70 ℃ and stirred for 2 hours. After cooling to room temperature, the reaction mixture was concentrated under reduced pressure and then adjusted to pH 7 with 1N hydrochloric acid, the aqueous phase was extracted 3 times with ethyl acetate, and the extracts were combined and concentrated under reduced pressure to give a solid product (60 mg).
1 H NMR(400MHz,CDCl 3 )δ7.55(s,1H),6.14-6.28(m,1H),6.05(s,2H),5.40-5.58(br,2H),4.06(s,2H),3.61(t,J=5.6Hz,2H),2.46-2.54(m,2H),1.48(s,9H)。
Step F: 4- (6-hydroxy-8-methyl- [1, 3] dioxo [4, 5-H ] quinazolin-4-yl) -5, 6-dihydropyridine-1 (2H) -carboxylic acid tert-butyl ester
7- (1- (tert-butoxycarbonyl) -1, 2, 3, 6-tetrahydropyridin-4-yl) -4-aminobenzo [ d ] [1, 3] dioxolane-5-carboxylic acid (70mg), acetamidine hydrochloride (210mg) and sodium acetate (170mg) were added to ethylene glycol monomethyl ether (10mL), and the mixture was heated to 130 ℃ and stirred for 12 hours. The reaction mixture was cooled to room temperature, concentrated under reduced pressure, and the residue was purified by silica gel column chromatography (methanol/dichloromethane 1: 30) to give a solid product (50 mg).
1 H NMR(400MHz,CDCl 3 )δ10.07(s,1H),7.78(s,1H),6.40-6.55(m,1H),6.23(s,2H),4.11(s,2H),3.64(t,J=5.6Hz,2H),2.57-2.63(m,2H),2.52(s,3H),1.48(s,9H)。
G: (R) -N- (1- (3-amino-5- (trifluoromethyl) phenyl) ethyl) -8-methyl-4- (1, 2, 3, 6-tetrahydropyridin-4-yl) - [1, 3] dioxacyclopenteno [4, 5-h ] quinazolin-6-amine
Starting from tert-butyl 4- (6-hydroxy-8-methyl- [1, 3] dioxo [4, 5-H ] quinazolin-4-yl) -5, 6-dihydropyridine-1 (2H) -carboxylate (50mg), the procedure of example 27 was followed to give tert-butyl (R) -4- (6- (1- (3-amino-5- (trifluoromethyl) phenyl) ethylamino) -8-methyl- [1, 3] dioxolo [4, 5-H ] quinazolin-4-yl) -5, 6-dihydropyridine-1 (2H) -carboxylate, which was deprotected with hydrochloric acid gas to give the product (4 mg).
1 H NMR(400MHz,CD 3 OD)δ8.34(s,1H),7.95(s,1H),7.93(s,1H),7.58(s,1H),6.65-6.69(m,1H),6.40(d,J=3.2Hz,2H),5.94(q,J=6.8Hz,1H),3.93(s,2H),3.51(t,J=6.0Hz,2H),2.96-3.05(m,2H),2.63(s,3H),1.83(d,J=7.2Hz,3H)。
Example 30
(R) -N- (1- (3-amino-5- (trifluoromethyl) phenyl) ethyl) -8-methyl-4- (piperidin-4-yl) - [1, 3] dioxolo [4, 5-h ] quinazolin-6-amine
Tert-butyl 4- (6-hydroxy-8-methyl- [1, 3] dioxo [4, 5-H ] quinazolin-4-yl) -5, 6-dihydropyridine-1 (2H) -carboxylate (35mg) was used as the starting material, and reduction was carried out to give 4- (6-hydroxy-8-methyl- [1, 3] dioxolo [4, 5-H ] quinazolin-4-yl) piperidine-1-tert-butyl carboxylate, which was then subjected to the procedure of example 27 to give the final product (26 mg).
1 H NMR(400MHz,CD 3 OD)δ8.36(s,1H),7.88(s,1H),7.85(s,1H),7.52(s,1H),6.38(s,2H),5.88-5.97(m,1H),3.50-3.70(m,3H),3.12-3.27(m,2H),2.62(s,3H),2.08-2.30(m,4H),1.83(d,J=6.8Hz,3H)。
Example 31
(R) -N- (1- (3-amino-5- (trifluoromethyl) phenyl) ethyl) -8-methyl-4-morpholino- [1, 3] dioxolo [4, 5-h ] quinazolin-6-amine
Step A: 7-Morpholine-4-nitrobenzo [ d ] [1, 3] dioxole-5-carboxylic acid methyl ester
Methyl 4-nitro-7- (trifluoromethylsulfonyloxy) benzo [ d ] [1, 3] dioxolane-5-carboxylate (230mg), morpholine (210mg), methanesulfonic acid (2-dicyclohexylphosphino-2 ', 6' -diisopropoxy-1, 1 '-biphenyl) (2-amino-1, 1' -biphenyl-2-yl) palladium (II) (51mg), and cesium carbonate (640mg) were added to dioxane (20mL), heated to 110 ℃ and stirred overnight, cooled to room temperature, the reaction solution was concentrated under reduced pressure, and the resulting residue was purified by silica gel column chromatography (ethyl acetate/petroleum ether ═ 1: 3) to give a solid product (130 mg).
1 H NMR(400MHz,CDCl 3 )δ6.70(s,1H),6.17(s,2H),3.86(s,3H),3.81-3.83(m,4H),3.32-3.35(m,4H)。
And B, step B: (R) -N- (1- (3-amino-5- (trifluoromethyl) phenyl) ethyl) -8-methyl-4-morpholino- [1, 3] dioxolo [4, 5-h ] quinazolin-6-amine
Using methyl 7-morpholine-4-nitrobenzo [ d ] [1, 3] dioxole-5-carboxylate (130mg) as a starting material, the procedure of example 29 was followed to give a solid product (12 mg).
1 H NMR(400MHz,CD 3 OD)δ7.32(s,1H),6.96(s,2H),6.80(s,1H),6.22(d,J=1.2Hz,1H),6.21(d,J=1.2Hz,1H),5.68(q,J=6.8Hz,1H),3.83-3.85(m,4H),3.26-3.29(m,4H),2.50(s,3H),1.65(d,J=7.6Hz,3H)。
Example 32
(R) -N- (1- (3-amino-5- (trifluoromethyl) phenyl) ethyl) -4-morpholino- [1, 3] dioxolo [4, 5-h ] quinazolin-6-amine
Step A: 4-morpholino- [1, 3] dioxolo [4, 5-h ] quinazolin-6-ol
Starting from 4-amino-7-morpholinobenzo [ d ] [1, 3] dioxole-5-carboxylic acid (90mg) and formamidine hydrochloride (340mg), step F of example 29 gave a solid product (51 mg).
1 H NMR(400MHz,DMSO)δ11.97(s,1H),7.87(s,1H),7.09(s,1H),6.20(s,2H),3.71-3.73(m,4H),3.12-3.14(m,4H)。
And B: (R) -N- (1- (3-amino-5- (trifluoromethyl) phenyl) ethyl) -4-morpholino- [1, 3] dioxolo [4, 5-h ] quinazolin-6-amine
Starting from 4-morpholino- [1, 3] dioxolo [4, 5-h ] quinazolin-6-ol (51mg), the procedure of example 27 was followed to obtain a solid product (9 mg).
1 H NMR(400MHz,CD 3 OD)δ8.22(s,1H),7.28(s,1H),6.94(s,2H),6.79(s,1H),6.18-6.20(m,2H),5.55(q,J=7.2Hz,1H),3.83-3.86(m,4H),3.26-3.30(m,4H),1.63(d,J=7.2Hz,3H)。
Example 33
(R) -N- (1- (3-amino-5- (trifluoromethyl) phenyl) ethyl) -8-methyl-4- (1-methylpiperidin-4-yl) - [1, 3] dioxolo [4, 5-h ] quinazolin-6-amine
Step A: 8-methyl-4- (1-methylpiperidin-4-yl) - [1, 3] dioxolo [4, 5-h ] quinazolin-6-ol
4- (6-hydroxy-8-methyl- [1, 3] dioxolo [4, 5-h ] quinazolin-4-yl) piperidine-1-tert-butyl carboxylate (75mg) was dissolved in dichloromethane (5mL), trifluoroacetic acid (2mL) was added, stirring was performed at room temperature for 2 hours, the solvent was removed under reduced pressure, methanol (10mL) and 40% aqueous formaldehyde (0.5mL) were added, stirring was performed at room temperature for 1 hour, palladium on carbon (20mg) was added, stirring was performed under hydrogen atmosphere overnight, celite was filtered, the filtrate was concentrated under reduced pressure, and the residue was purified by chromatography (methanol/dichloromethane ═ 1: 6) to give a solid product (48 mg).
1 H NMR(400MHz,CD 3 OD)δ7.66(s,1H),6.23(s,2H),3.58-3.65(m,1H),3.47-3.54(m,1H),3.10-3.21(m,3H),2.91(s,3H),2.41(s,3H),1.98-2.23(m,4H)。
And B: (R) -N- (1- (3-amino-5- (trifluoromethyl) phenyl) ethyl) -8-methyl-4- (1-methylpiperidin-4-yl) - [1, 3] dioxolo [4, 5-h ] quinazolin-6-amine
Starting from 8-methyl-4- (1-methylpiperidin-4-yl) - [1, 3] dioxacyclopenta [4, 5-h ] quinazolin-6-ol (48mg), the procedure of example 27 was followed to obtain a solid product (8 mg).
1 H NMR(400MHz,CD 3 OD)δ7.68(s,1H),6.98(s,1H),6.95(s,1H),6.79(s,1H),6.15-6.17(m,2H),5.63(q,J=7.2Hz,1H),3.05-3.12(m,2H),2.78-2.87(m,1H),2.42(s,3H),2.40(s,3H),2.23-2.32(m,2H),1.91-2.04(m,4H),1.61(d,J=7.2Hz,3H)。
Example 34
4- (((R) -1- (3-amino-5- (trifluoromethyl) phenyl) ethyl) amino) -2, 7-dimethyl-6- (((S) -tetrahydrofuran-3-yl) oxy) pyrido [3, 4-d ] pyrimidin-8 (7H) -one
Step A: 6-fluoro-2-methylpyrido [3, 4-d ] pyrimidin-4-ol
To a solution of 5-amino-2-fluoroisonicotinic acid (1.00g) in ethylene glycol monomethyl ether (15mL) were added acetamidine hydrochloride (1.62g) and anhydrous sodium acetate (1.39g) in this order, and the mixture was heated to 130 ℃ and stirred for 24 hours. After cooling to room temperature, the reaction mixture was slowly poured into ice water (100mL), stirred for 30 minutes, filtered, and the solid was collected to give the product (1.05 g).
1 H NMR(400MHz,DMSO)δ12.58(s,1H),8.66(s,1H),7.60(d,J=3.2Hz,1H),2.35(s,3H)。
And B: (S) -2-methyl-6- ((tetrahydrofuran-3-yl) oxy) pyrido [3, 4-d ] pyrimidin-4-ol
To a solution of (S) -tetrahydrofuran-3-ol (1.77g) in anhydrous DMF (15mL) was added 60% sodium hydride (1.00g) in portions while cooling with ice water for about 10 minutes, and then the mixture was stirred at room temperature for 30 minutes. 6-fluoro-2-methylpyrido [3, 4-d ] pyrimidin-4-ol (0.90g) was added to the reaction mixture, and the mixture was stirred for 30 minutes, heated to 80 ℃ and stirred for 8 hours. After cooling to room temperature, the reaction mixture was slowly poured into ice water (100mL), stirred for 30 minutes, and extracted with ethyl acetate (3X 40 mL). The combined extracts were washed with water and saturated brine, dried over anhydrous sodium sulfate, filtered, the filtrate was concentrated under reduced pressure to remove the solvent, and the residue was separated by silica gel column chromatography (EtOAc/PE. 1/1-3/1) to give the product (0.63 g).
1 H NMR(400MHz,DMSO)δ12.25-12.37(br,1H),8.61(s,1H),7.18(s,1H),5.48-5.52(m,1H),3.71-3.92(m,4H),2.30(s,3H),2.17-2.26(m,1H),1.95-2.03(m,1H)。
And C: (S) -4-hydroxy-2, 7-dimethyl-6- ((tetrahydrofuran-3-yl) oxy) pyrido [3, 4-d ] pyrimidin-7-ium trifluoromethanesulfonate salt
To a solution of (S) -2-methyl-6- ((tetrahydrofuran-3-yl) oxy) pyrido [3, 4-d ] pyrimidin-4-ol (0.58g) in anhydrous dichloromethane (10mL) was added methyl trifluoromethanesulfonate (1.15g) with ice water cooling, and the mixture was stirred at room temperature for 24 hours. Filtration and collection of the solid gave the product (1.00 g).
1 H NMR(400MHz,DMSO)δ12.77-13.07(br,1H),9.41(s,1H),8.01(s,1H),5.77-5.82(m,1H),4.08(s,3H),3.87-3.95(m,2H),3.78-3.83(m,2H),2.31-2.39(m,4H),2.13-2.20(m,1H)。
Step D: (S) -4-hydroxy-2, 7-dimethyl-6- ((tetrahydrofuran-3-yl) oxy) pyrido [3, 4-d ] pyrimidin-8 (7H) -one
(S) -4-hydroxy-2, 7-dimethyl-6- ((tetrahydrofuran-3-yl) oxy) pyrido [3, 4-d ] pyrimidin-7-ium trifluoromethanesulfonate (0.63g) was dissolved in anhydrous DMSO (8mL), and potassium tert-butoxide (0.60g) was added to the solution in portions and stirred at room temperature for 36 hours. The reaction mixture was slowly poured into cold saturated brine (100mL), stirred for 30 minutes, and extracted with dichloromethane (3X 40 mL). The combined extracts were washed with water and saturated brine, dried over anhydrous sodium sulfate, filtered, the filtrate was concentrated under reduced pressure to remove the solvent, and the residue was separated by silica gel column chromatography (EtOAc/PE. 1/1-3/1) to give the product (0.10 g).
1 H NMR(400MHz,DMSO)δ12.44-12.53(br,1H),5.94(s,1H),5.21-5.25(m,1H),3.82-3.93(m,3H),3.73-3.78(m,1H),3.36(s,3H),2.20-2.30(m,4H),2.03-2.11(m,1H)。
And E, step E: (S) -2, 7-dimethyl-8-oxo-6- ((tetrahydrofuran-3-yl) oxy) -7, 8-dihydropyrido [3, 4-d ] pyrimidin-4-yl 2, 4, 6-triisopropylbenzenesulfonate
To a solution of (S) -4-hydroxy-2, 7-dimethyl-6- ((tetrahydrofuran-3-yl) oxy) pyrido [3, 4-d ] pyrimidin-8 (7H) -one (84mg) in methylene chloride (1mL) was added 2, 4, 6-triisopropylbenzenesulfonyl chloride (90mg), 4-dimethylaminopyridine (5mg) and diisopropylethylamine (0.21g) in this order under cooling with ice water, and the mixture was reacted at room temperature for 5 hours. After-spin drying, the target product (75mg) was obtained by direct column chromatography.
1 H NMR(400MHz,CDCl 3 )δ7.18(s,2H),5.77(s,1H),5.10-5.14(m,1H),4.20-4.26(m,2H),4.00-4.12(m,3H),3.93-3.98(m,1H),3.55(s,3H),2.87-2.94(m,1H),2.50(s,3H),2.34-2.43(m,1H),2.20-2.27(m,1H),1.22-1.25(m,18H)。
Step F: 4- (((R) -1- (3-amino-5- (trifluoromethyl) phenyl) ethyl) amino) -2, 7-dimethyl-6- (((S) -tetrahydrofuran-3-yl) oxy) pyrido [3, 4-d ] pyrimidin-8 (7H) -one
(S) -2, 7-dimethyl-8-oxo-6- ((tetrahydrofuran-3-yl) oxy) -7, 8-dihydropyrido [3, 4-d ] pyrimidin-4-yl 2, 4, 6-triisopropylbenzenesulfonate (54mg) and (R) -3- (1-aminoethyl) -5- (trifluoromethyl) aniline hydrochloride (40mg) were dissolved in absolute ethanol (2mL), followed by addition of diisopropylethylamine (0.15g), and heating to 120 ℃ was performed overnight with stirring. Cool to room temperature, spin dry the solvent, add dichloromethane (30mL), wash sequentially with water and saturated brine, dry over anhydrous sodium sulfate, filter, concentrate the filtrate under reduced pressure to remove the solvent, and isolate the residue on silica gel preparative thin layer plate (MeOH/DCM ═ 1/15) to give the product (25mg).
1 H NMR(400MHz,CD 3 OD)δ6.97(s,1H),6.95(s,1H),6.81(s,1H),6.72(s,1H),5.63(q,J=6.8Hz,1H),5.27-5.31(m,1H),3.98-4.11(m,3H),3.90-3.96(m,1H),3.65(s,3H),2.77(s,3H),2.37-2.45(m,1H),2.25-2.32(m,1H),1.67(d,J=6.8Hz,3H)。
Example 35
4- (((R) -1- (3- (difluoromethyl) -2-fluorophenyl) ethyl) amino) -2, 7-dimethyl-6- (((S) -tetrahydrofuran-3-yl) oxy) pyrido [3, 4-d ] pyrimidin-8 (7H) -one
Starting from (S) -2, 7-dimethyl-8-oxo-6- ((tetrahydrofuran-3-yl) oxy) -7, 8-dihydropyrido [3, 4-d ] pyrimidin-4-yl 2, 4, 6-triisopropylbenzenesulfonate (54mg), N-diisopropylethylamine (75mg) and (R) -1- (3- (difluoromethyl) -2-fluorophenyl) ethan-1-amine hydrochloride, the title product (45mg) was obtained according to example 34, step F.
1 H NMR(400MHz,CD 3 OD)δ7.63-7.68(m,1H),7.47-7.52(m,1H),7.26(t,J=8.0Hz,1H),6.99(t,J=55.2Hz,1H),6.84(s,1H),5.84(q,J=7.2Hz,1H),5.31-5.36(m,1H),3.98-4.11(m,3H),3.90-3.96(m,1H),3.64(s,3H),2.74(s,3H),2.39-2.48(m,1H),2.25-2.32(m,1H),1.73(d,J=7.6Hz,3H)。
Example 36
2, 7-dimethyl-4- (((R) -1- (2-methyl-3- (trifluoromethyl) phenyl) ethyl) amino) -6- (((S) -tetrahydrofuran-3-yl) oxy) pyrido [3, 4-d ] pyrimidin-8 (7H) -one
Starting from (R) -2, 7-dimethyl-8-oxo-6- ((tetrahydrofuran-3-yl) oxy) -7, 8-dihydropyrido [3, 4-d ] pyrimidin-4-yl 2, 4, 6-triisopropylbenzenesulfonate (54mg), N-diisopropylethylamine (75mg), and (R) -1- (2-methyl-3- (trifluoromethyl) phenyl) ethylamine hydrochloride (48mg), the objective product (21mg) was obtained according to step F of example 34.
1 H NMR(400MHz,CD 3 OD)δ7.75(d,J=8.0Hz,1H),7.54(d,J=8.0Hz,1H),7.30(t,J=8.0Hz,1H),6.87(s,1H),5.84(q,J=7.2Hz,1H),5.36-5.39(m,1H),3.97-4.11(m,3H),3.89-3.95(m,1H),3.61(s,3H),2.69(s,3H),2.64(s,3H),3.40-3.49(m,1H),2.24-2.30(m,1H),1.68(d,J=7.2Hz,3H)。
Example 37
2, 7-dimethyl-4- (((S) -1- (2-methyl-3- (trifluoromethyl) phenyl) ethyl) amino) -6- (((S) -tetrahydrofuran-3-yl) oxy) pyrido [3, 4-d ] pyrimidin-8 (7H) -one
Starting from (R) -2, 7-dimethyl-8-oxo-6- ((tetrahydrofuran-3-yl) oxy) -7, 8-dihydropyrido [3, 4-d ] pyrimidin-4-yl 2, 4, 6-triisopropylbenzenesulfonate (54mg), N-diisopropylethylamine (75mg), and (S) -1- (2-methyl-3- (trifluoromethyl) phenyl) ethylamine hydrochloride (48mg), the objective product (19mg) was obtained according to step F of example 34.
1 H NMR(400MHz,CD 3 OD)δ7.72(d,J=7.2Hz,1H),7.54(d,J=7.2Hz,1H),7.31(t,J=7.2Hz,1H),6.83(s,1H),5.84(q,J=6.8Hz,1H),5.33-5.38(m,1H),3.97-4.11(m,3H),3.90-3.96(m,1H),3.61(s,3H),2.68(s,3H),2.64(s,3H),2.40-2.48(m,1H),2.24-2.30(m,1H),1.68(d,J=6.8Hz,3H)。
Example 38
2, 7-dimethyl-4- (((R) -1- (5- (2- ((methylamino) methyl) phenyl) thiophen-2-yl) ethyl) amino) -6- (((S) -tetrahydrofuran-3-yl) oxy) pyrido [3, 4-d ] pyrimidin-8 (7H) -one
Step A: tert-butyl (2- (5- ((R) -1- ((2, 7-dimethyl-8-oxo-6- (((S) -tetrahydrofuran-3-yl) oxy) -7, 8-dihydropyrido [3, 4-d ] pyrimidin-4-yl) amino) ethyl) thiophen-2-yl) benzyl) (methyl) carbamate.
Starting from (R) -2, 7-dimethyl-8-oxo-6- ((tetrahydrofuran-3-yl) oxy) -7, 8-dihydropyrido [3, 4-d ] pyrimidin-4-yl 2, 4, 6-triisopropylbenzenesulfonate (54mg), N-diisopropylethylamine (75mg), and tert-butyl (R) - (2- (5- (1-aminoethyl) thiophen-2-yl) benzyl) (methyl) carbamate (70mg), the objective product (27mg) was obtained according to step F of example 34.
1 H NMR(400MHz,CD 3 OD)δ7.23-7.36(m,3H),7.20(d,J=7.2Hz,1H),7.14(d,J=3.6Hz,1H),6.87(d,J=3.6Hz,1H),6.73(s,1H),6.05(q,J=6.8Hz,1H),5.26-5.30(m,1H),4.51(s,2H),3.95-4.10(m,3H),3.87-3.93(m,1H),3.64(s,3H),2.87(s,3H),2.70(s,3H),2.35-2.44(m,1H),2.21-2.28(m,1H),1.83(d,J=6.8Hz,3H),1.44(s,4.5H),1.31(s,4.5H)。
And B: 2, 7-dimethyl-4- (((R) -1- (5- (2- ((methylamino) methyl) phenyl) thiophen-2-yl) ethyl) amino) -6- (((S) -tetrahydrofuran-3-yl) oxy) pyrido [3, 4-d ] pyrimidin-8 (7H) -one
The product obtained in the previous step is dissolved in 1.4-dioxane solution of hydrochloric acid, stirred for 2 hours at normal temperature, and then the solution is dried by spinning to obtain a target product (17 mg).
1 H NMR(400MHz,CD 3 OD)δ7.58-7.61(m,1H),7.45-7.52(m,3H),7.26(dd,J=7.6Hz,1.2Hz,1H),7.03(d,J=7.6Hz,1H),6.63(s,1H),6.16(q,J=6.8Hz,1H),5.32-5.37(m,1H),4.34(s,2H),3.97-4.10(m,3H),3.89-3.95(m,1H),3.57(s,3H),2.71(s,3H),2.65(s,3H),2.39-2.48(m,1H),2.22-2.29(m,1H),1.88(d,J=7.2Hz,3H)。
Example 39
4- (((R) -1- (3-amino-5- (trifluoromethyl) phenyl) ethyl) amino) -2, 7-dimethyl-6- (((R) -tetrahydrofuran-3-yl) oxy) pyrido [3, 4-d ] pyrimidin-8 (7H) -one
Starting from (R) -tetrahydrofuran-3-ol (1.77g) and 6-fluoro-2-methylpyrido [3, 4-d ] pyrimidin-4-ol (0.90g), the expected product (23mg) was obtained according to example 34, Steps B-F.
1 H NMR(400MHz,CD 3 OD)δ6.99(s,1H),6.96(s,1H),6.81(s,1H),6.78(s,1H),5.62(q,J=7.2Hz,1H),5.28-5.33(m,1H),4.08(d,J=10.8Hz,1H),3.97-4.03(m,2H),3.89-3.95(m,1H),3.64(s,3H),2.79(s,3H),2.38-2.47(m,1H),2.23-2.30(m,1H),1.68(d,J=7.2Hz,3H)。
Example 40
4- (((R) -1- (3-amino-5- (trifluoromethyl) phenyl) ethyl) amino) -2, 7-dimethyl-6- ((tetrahydro-2H-pyran-4-yl) oxy) pyrido [3, 4-d ] pyrimidin-8 (7H) -one
Starting from tetrahydro-2H-pyran-4-ol (1.4g) and 6-fluoro-2-methylpyrido [3, 4-d ] pyrimidin-4-ol (500mg), the expected product (20mg) was obtained according to example 34, Steps B-F.
1 H NMR(400MHz,CD 3 OD)δ6.98(s,1H),6.95(s,1H),6.83(s,1H),6.81(s,1H),5.64(q,J=7.2Hz,1H),4.90-4.98(m,1H),3.94-4.00(m,2H),3.62-3.71(m,5H),2.76(s,3H),2.13-2.23(m,2H),1.83-1.93(m,2H),1.68(d,J=7.2Hz,3H)。
EXAMPLE 41
4- (((R) -1- (3- (difluoromethyl) -2-fluorophenyl) ethyl) amino) -2, 7-dimethyl-6- ((tetrahydro-2H-pyran-4-yl) oxy) pyrido [3, 4-d ] pyrimidin-8 (7H) -one
Starting from 2, 7-dimethyl-8-oxo-6- ((tetrahydro-2H-pyran-4-yl) oxy) -7, 8-dihydropyrido [3, 4-d ] pyrimidin-4-yl 2, 4, 6-triisopropylbenzenesulfonate (60mg), (R) -1- (3- (difluoromethyl) -2-fluorophenyl) ethylamine hydrochloride (30mg) and N, N-diisopropylethylamine (35mg), the objective product (8mg) was obtained according to step F of example 34.
1 H NMR(400MHz,CD 3 OD)δ7.63-7.68(m,1H),7.47-7.52(m,1H),7.25(t,J=7.6Hz,1H),6.99(t,J=55.2Hz,1H),6.87(s,1H),5.85(q,J=7.2Hz,1H),4.92-4.99(m,1H),3.95-4.00(m,2H),3.62-3.70(m,5H),2.68(s,3H),2.14-2.22(m,2H),1.84-1.94(m,2H),1.73(d,J=7.2Hz,3H)。
Example 42
4- (((R) -1- (3-amino-5- (trifluoromethyl) phenyl) ethyl) amino) -2, 7-dimethyl-6- ((tetrahydro-2H-pyran-3-yl) oxy) pyrido [3, 4-d ] pyrimidin-8 (7H) -one
Starting from tetrahydro-2H-pyran-3-ol (1.14g) and 6-fluoro-2-methylpyrido [3, 4-d ] pyrimidin-4-ol (500mg), the product was obtained (42mg) according to example 34, steps B-F.
1 H NMR(400MHz,CDCl 3 )δ7.02(s,1H),6.86-6.89(m,1H),6.78(s,1H),5.48-5.64(m,3H),4.47-4.54(m,1H),3.62-3.96(m,6H),3.56(s,3H),2.56(s,3H),2.06-2.15(m,1H),1.86-2.00(m,3H),1.62(d,J=6.8Hz,3H)。
Example 43
4- (((R) -1- (3- (difluoromethyl) -2-fluorophenyl) ethyl) amino) -2, 7-dimethyl-6- ((tetrahydro-2H-pyran-3-yl) oxy) pyrido [3, 4-d ] pyrimidin-8 (7H) -one
Starting from 2, 4, 6-triisopropylbenzenesulfonic acid 2, 7-dimethyl-8-oxo-6- ((tetrahydro-2H-pyran-3-yl) oxy) -7, 8-dihydropyrido [3, 4-d ] pyrimidin-4-yl ester (110mg) and (R) -1- (3- (difluoromethyl) -2-fluorophenyl) ethylamine hydrochloride (53mg), the title product was obtained according to example 34, step F.
1 H NMR(400MHz,CDCl 3 )δ7.46-7.57(m,2H),7.19(t,J=8.0Hz,1H),6.89(t,J=55.2Hz,1H),5.72(s,1H),5.40-5.62(m,1H),4.50-4.58(m,1H),3.95-4.01(m,1H),3.64-3.80(m,4H),3.57(s,3H),2.53(s,3H),2.10-2.20(m,1H),1.90-2.04(m,3H),1.69(d,J=6.8Hz,3H)。
Example 44
(R) -4- ((1- (3-amino-5- (trifluoromethyl) phenyl) ethyl) amino) -2, 7-dimethyl-6- (neopentyloxy) pyrido [3, 4-d ] pyrimidin-8 (7H) -one
Starting from 2, 2-dimethylpropan-1-ol and 6-fluoro-2-methylpyrido [3, 4-d ] pyrimidin-4-ol, the product was obtained according to steps B-F of example 34 (45 mg).
1 H NMR(400MHz,CDCl 3 )δ7.04(s,1H),6.90(s,1H),6.80(s,1H),5.50-5.58(m,1H),5.23-5.43(m,2H),3.69-3.96(m,4H),3.59(s,3H),2.58(s,3H),1.64(d,J=7.2Hz,3H),1.09(s,9H)。
Example 45
(R) -4- ((1- (3- (difluoromethyl) -2-fluorophenyl) ethyl) amino) -2, 7-dimethyl-6- (neopentyloxy) pyrido [3, 4-d ] pyrimidin-8 (7H) -one
Starting from 2, 4, 6-triisopropylbenzenesulfonic acid 2, 7-dimethyl-6- (neopentyloxy) -8-oxo-7, 8-dihydropyrido [3, 4-d ] pyrimidin-4-yl ester (100mg) (R) -1- (3- (difluoromethyl) -2-fluorophenyl) ethylamine hydrochloride (50mg), the product was obtained (28mg) according to example 34, step F.
1 H NMR(400MHz,CDCl 3 )δ8.82-8.91(m,0.4H),8.67-8.77(m,0.6H),7.68-7.84(m,1H),7.34-7.42(m,1H),7.20-7.28(m,1H),6.70-7.04(m,2H),5.75-5.92(m,1H),4.04-4.14(m,2H),3.63(s,1.6H),3.60(s,1.4H),2.84(s,1.6H),2.57(s,1.4H),1.78(d,J=7.2Hz,3H),1.04(s,9H)。
Example 46
(R) -4- ((1- (3-amino-5- (trifluoromethyl) phenyl) ethyl) amino) -2, 7-dimethyl-6-morpholinopyridine [3, 4-d ] pyrimidin-8 (7H) -one
Step A: 6-chloro-2-methylpyrido [3, 4-d ] pyrimidin-4-ol
Product (5g) was obtained according to example 34, step A, starting from 5-amino-2-chloropyridine-4-carboxylic acid (10g), acetamidine hydrochloride (16.5g) and sodium acetate (14.3 g).
1 H NMR(400MHz,DMSO)δ12.65(s,1H),8.79(s,1H),7.90(s,1H),2.36(s,3H)。
And B: 6-chloro-4-hydroxy-2, 7-dimethylpyrido [3, 4-d ] pyrimidin-7-ium trifluoromethanesulfonate salt
Starting from 6-chloro-2-methylpyrido [3, 4-d ] pyrimidin-4-ol (2g) and methyl trifluoromethanesulfonate (5g), the crude product (3.48g) was obtained as in step C of example 34.
1 H NMR(400MHz,DMSO)δ13.22(s,1H),9.81(s,1H),8.75(s,1H),4.41(s,3H),2.44(s,3H)。
Step C: 4-hydroxy-2, 7-dimethyl-6-morpholinopyrido [3, 4-d ] pyrimidin-7-ium trifluoromethanesulfonate
6-chloro-4-hydroxy-2, 7-dimethylpyrido [3, 4-d ] pyrimidin-7-ium trifluoromethanesulfonate (1g) and morpholine (266mg) were successively added to a dichloromethane (50mL) solution, and the mixture was stirred at room temperature overnight. The solid obtained was filtered and dried to obtain the crude product (0.87 g).
1 H NMR(400MHz,DMSO)δ12.91(s,1H),9.40(s,1H),8.02(s,1H),4.26(s,3H),3.78-3.81(m,4H),3.24-3.28(m,4H),2.40(s,3H)。
And (D-F): (R) -4- ((1- (3-amino-5- (trifluoromethyl) phenyl) ethyl) amino) -2, 7-dimethyl-6-morpholinopyridine [3, 4-d ] pyrimidin-8 (7H) -one
Starting from 4-hydroxy-2, 7-dimethyl-6-morpholinopyrido [3, 4-D ] pyrimidin-7-ium trifluoromethanesulfonate, the product was obtained according to example 34, steps D-F (4 mg).
1 H NMR(400MHz,CD 3 OD)δ7.04(s,1H),6.99(s,1H),6.97(s,1H),6.81(s,1H),5.62(q,J=6.8Hz,1H),3.83-3.90(m,4H),3.77(s,3H),3.00-3.10(m,4H),2.83(s,3H).1.67(d,J=6.8Hz,3H)。
Example 47
(R) -4- ((1- (3- (difluoromethyl) -2-fluorophenyl) ethyl) amino) -2, 7-dimethyl-6-morpholinopyridine [3, 4-d ] pyrimidin-8 (7H) -one
Starting from 2, 7-dimethyl-6-morpholine-8-oxo-7, 8-dihydropyridin [3, 4-d ] pyrimidin-4-yl 2, 4, 6-triisopropylbenzenesulfonate (50mg) and (R) -1- (3- (difluoromethyl) -2-fluorophenyl) ethan-1-amine hydrochloride (34mg), the product (21mg) was obtained according to example 34, step F.
1 H NMR(400MHz,CD 3 OD)δ7.56(t,J=7.2Hz,1H),7.44(t,J=6.8Hz,1H),7.19(t,J=7.6Hz,1H),6.98(t,J=55.2Hz,1H),6.63(s,1H),5.74(q,J=6.8Hz,1H),3.78-3.90(m,4H),3.60(s,3H),2.92-3.06(m,4H),2.38(s,3H),1.65(d,J=6.8Hz,3H)。
Example 48
4- (((R) -1- (3- (difluoromethyl) -2-fluorophenyl) ethyl) amino) -2, 7-dimethyl-6- (2-oxo-7-azaspiro [4.4] non-7-yl) pyridine [3, 4-d ] pyrimidin-8 (7H) -one
Step A: 4-hydroxy-2, 7-dimethyl-6- (2-oxo-7-azaspiro [4.4] non-7-yl) pyridine [3, 4-d ] pyrimidine-7-trifluoromethylsulfonic acid ammonium salt
Starting from 6-chloro-4-hydroxy-2, 7-dimethylpyrido [3, 4-d ] pyrimidin-7-ium trifluoromethanesulfonate (400mg) and 2-oxo-7-azaspiro [4.4] nonane (212mg), the procedure is as in example 46, step C, and the resulting solid is dried and used directly in the next reaction.
And (B-D): 4- (((R) -1- (3- (difluoromethyl) -2-fluorophenyl) ethyl) amino) -2, 7-dimethyl-6- (2-oxo-7-azaspiro [4.4] non-7-yl) pyridine [3, 4-d ] pyrimidin-8 (7H) -one
Starting from ammonium 4-hydroxy-2, 7-dimethyl-6- (2-oxo-7-azaspiro [4.4] non-7-yl) pyridine [3, 4-D ] pyrimidine-7-trifluoromethylsulfonate, the product (20mg) was obtained according to example 34, steps D-F.
1 H NMR(400MHz,CD 3 OD)δ7.64(t,J=7.2Hz,1H),7.48(t,J=7.2Hz,1H),7.24(t,J=7.6Hz,1H),6.99(t,J=54.8Hz,1H),6.94(s,1H),5.84(q,J=7.2Hz,1H),3.86-3.95(m,2H),3.77(d,J=8.4Hz,1H),3.68-3.70(m,4H),3.39-3.50(m,2H),3.31-3.37(m,2H),2.74(s,3H),1.99-2.09(m,4H),1.71(d,J=7.2Hz,3H)。
Example 49
(R) -4- ((1- (3-amino-5- (trifluoromethyl) phenyl) ethyl) amino) -2, 7-dimethyl-6- (1, 2, 3, 6-tetrahydropyridin-4-yl) pyrido [3, 4-d ] pyrimidin-8 (7H) -one
Step A: 4- (4-hydroxy-2, 7-dimethyl-8-oxo-7, 8-dihydropyrido [3, 4-d ] pyrimidin-6-yl) -3, 6-dihydropyridine-1 (2H) -carboxylic acid tert-butyl ester
6-chloro-4-hydroxy-2, 7-dimethylpyrido [3, 4-d ] pyrimidin-7-ium trifluoromethanesulfonate (1g), N-Boc-1, 2, 5, 6-tetrahydropyridine-4-boronic acid pinacol ester (1.2g), [1, 1' -bis (diphenylphosphino) ferrocene ] palladium dichloride (206mg) and cesium carbonate (2.7g) were sequentially added to 1, 4-dioxane/water (25mL/2.5mL) under nitrogen protection, heated to 100 ℃ and stirred overnight. Cooled to room temperature, filtered through celite, the filtrate was concentrated under reduced pressure, and the resulting residue was purified by silica gel column (1: 10 methanol/dichloromethane) to give the product (110 mg).
1 H NMR(400MHz,CDCl 3 )δ12.04-12.41(br,1H),6.63(s,1H),5.91-6.00(m,1H),4.07(s,2H),3.62(t,J=5.6Hz,2H),3.53(s,3H),2.60(s,3H),2.30-2.37(m,2H),1.48(s,9H)。
Step B-C: (R) -4- (4- ((1- (3-amino-5- (trifluoromethyl) phenyl) ethyl) amino) -2, 7-dimethyl-8-oxo-7, 8-dihydropyrido [3, 4-d ] pyrimidin-6-yl) -3, 6-dihydropyridine-1 (2H) -carboxylic acid tert-butyl ester
Starting from 4- (4-hydroxy-2, 7-dimethyl-8-oxo-7, 8-dihydropyrido [3, 4-d ] pyrimidin-6-yl) -3, 6-dihydropyridine-1 (2H) -carboxylic acid tert-butyl ester, the title product was obtained according to example 34, steps E-F (32 mg).
1 H NMR(400MHz,CD 3 OD)δ7.23(s,1H),6.95(s,2H),6.80(s,1H),6.08-6.13(m,1H),5.59(q,J=6.8Hz,1H),4.12(s,2H),3.62-3.70(m,5H),2.84(s,3H),2.37-2.44(m,2H),1.63(d,J=6.8Hz,3H),1.49(s,9H)。
Step D: (R) -4- ((1- (3-amino-5- (trifluoromethyl) phenyl) ethyl) amino) -2, 7-dimethyl-6- (1, 2, 3, 6-tetrahydropyridin-4-yl) pyrido [3, 4-d ] pyrimidin-8 (7H) -one
Starting from (R) -tert-butyl 4- (4- ((1- (3-amino-5- (trifluoromethyl) phenyl) ethyl) amino) -2, 7-dimethyl-8-oxo-7, 8-dihydropyrido [3, 4-d ] pyrimidin-6-yl) -3, 6-dihydropyridine-1 (2H) -carboxylate (30mg), the title product was obtained according to example 38, step B.
1 H NMR(400MHz,CD 3 OD)δ7.76(s,2H),7.44(s,1H),7.37(s,1H),6.14-6.20(m,1H),5.83(q,J=6.8Hz,1H),3.94(s,2H),3.61(s,3H),3.51-3.56(m,2H),2.69-2.76(m,2H),2.68(s,3H),1.79(d,J=6.8Hz,3H)。
Example 50
(R) -4- ((1- (3-amino-5- (trifluoromethyl) phenyl) ethyl) amino) -2, 7-dimethyl-6- (piperidin-4-yl) pyrido [3, 4-d ] pyrimidin-8 (7H) -one
Step A: (R) -4- (4- ((1- (3-amino-5- (trifluoromethyl) phenyl) ethyl) amino) -2, 7-dimethyl-8-oxo-7, 8-dihydropyrido [3, 4-d ] pyrimidin-6-ylpiperidine-1-carboxylic acid tert-butyl ester
Tert-butyl (R) -4- (4- ((1- (3-amino-5- (trifluoromethyl) phenyl) ethyl) amino) -2, 7-dimethyl-8-oxo-7, 8-dihydropyrido [3, 4-d ] pyrimidin-6-yl) -3, 6-dihydropyridine-1 (2H) -carboxylate (20mg) was placed in a reaction flask, isopropanol (5mL) was added, followed by palladium on carbon (4mg), hydrogen gas was replaced three times, stirring at room temperature for 5 hours, celite filtration, the filtrate was evaporated to dryness, and the resulting residue was purified by a silica gel preparation plate (methanol/dichloromethane ═ 1: 15) to give a pale yellow solid product (11 mg).
1 H NMR(400MHz,CD 3 OD)δ7.30(s,1H),6.96(s,2H),6.81(s,1H),5.62(q,J=7.2Hz,1H),4.21-4.30(m,2H),3.83(s,3H),3.13-3.24(m,1H),2.82-3.06(m,5H),1.95-2.03(m,2H),1.62-1.75(m,5H),1.47(s,9H)。
And B: (R) -4- ((1- (3-amino-5- (trifluoromethyl) phenyl) ethyl) amino) -2, 7-dimethyl-6- (piperidin-4-yl) pyrido [3, 4-d ] pyrimidin-8 (7H) -one
Starting from (R) -tert-butyl 4- (4- ((1- (3-amino-5- (trifluoromethyl) phenyl) ethyl) amino) -2, 7-dimethyl-8-oxo-7, 8-dihydropyrido [3, 4-d ] pyrimidin-6-ylpiperidine-1-carboxylate (11mg), the expected product (6mg) was obtained according to example 38, step B.
1 H NMR(400MHz,CD 3 OD)δ7.93(s,2H),7.55(s,1H),7.37(s,1H),5.87(q,J=6.8Hz,1H),3.77(s,3H),3.54-3.62(m,2H),3.34-3.44(m,1H),3.22-3.30(m,2H),2.66(s,3H),2.15-2.30(m,4H),1.85(d,J=6.8Hz,3H)。
Example 51
(R) -4- ((1- (3- (difluoromethyl) -2-fluorophenyl) ethyl) amino) -2, 7-dimethyl-6- (1, 2, 3, 6-tetrahydropyridin-4-yl) pyrido [3, 4-d ] pyrimidin-8 (7H) -one
Step A: (R) -4- (4- ((1- (3- (difluoromethyl) -2-fluorophenyl) ethyl) amino) -2, 7-dimethyl-8-oxo-7, 8-dihydropyrido [3, 4-d ] pyrimidin-6-yl) -3, 6-dihydropyridine-1 (2H) -carboxylic acid tert-butyl ester
Starting from 4- (2, 7-dimethyl-8-oxo-4- (((2, 4, 6-triisopropylphenyl) sulfonyl) oxy) -7, 8-dihydropyrido [3, 4-d ] pyrimidin-6-yl) -3, 6-dihydropyridine-1 (2H) -carboxylic acid tert-butyl ester (64mg) and (R) -1- (3- (difluoromethyl) -2-fluorophenyl) ethan-1-amine hydrochloride (34mg), step F was followed for example 34 to a light yellow solid product (26 mg).
1 H NMR(400MHz,CD 3 OD)δ7.57(t,J=7.2Hz,1H),7.47(t,J=7.2Hz,1H),7.22(t,J=7.6Hz,1H),7.04(s,1H),6.99(t,J=55.2Hz,1H),6.04-6.10(m,1H),5.78(q,J=6.8Hz,1H),4.11(s,2H),3.62-3.70(m,2H),3.56(s,3H),2.55(s,3H),2.37-2.44(m,2H),1.65(d,J=6.8Hz,3H),1.49(s,9H)。
And B: (R) -4- ((1- (3- (difluoromethyl) -2-fluorophenyl) ethyl) amino) -2, 7-dimethyl-6- (1, 2, 3, 6-tetrahydropyridin-4-yl) pyrido [3, 4-d ] pyrimidin-8 (7H) -one
Starting from tert-butyl (R) -4- (4- ((1- (3- (difluoromethyl) -2-fluorophenyl) ethyl) amino) -2, 7-dimethyl-8-oxo-7, 8-dihydropyrido [3, 4-d ] pyrimidin-6-yl) -3, 6-dihydropyridine-1 (2H) -carboxylate (25mg), the expected product (16mg) was obtained according to example 38, step B
1 H NMR(400MHz,CD 3 OD)δ7.75(t,J=7.2Hz,1H),7.53(t,J=7.2Hz,1H),7.27-7.32(m,2H),6.98(t,J=54.8Hz,1H),6.14-6.18(m,1H),5.97(q,J=7.2Hz,1H),3.94(s,2H),3.61(s,3H),3.53(t,J=5.6Hz,2H),2.68-2.75(m,2H),2.65(s,3H),1.77(d,J=7.2Hz,3H)。
Example 52
(R) -4- ((1- (3- (difluoromethyl) -2-fluorophenyl) ethyl) amino) -2, 7-dimethyl-6- (piperidin-4-yl) pyrido [3, 4-d ] pyrimidin-8 (7H) -one
Step A: (R) -4- (4- ((1- (3-amino-5- (trifluoromethyl) phenyl) ethyl) amino) -2, 7-dimethyl-8-oxo-7, 8-dihydropyrido [3, 4-d ] pyrimidin-6-ylpiperidine-1-carboxylic acid tert-butyl ester
Starting from tert-butyl (R) -4- (4- ((1- (3- (difluoromethyl) -2-fluorophenyl) ethyl) amino) -2, 7-dimethyl-8-oxo-7, 8-dihydropyrido [3, 4-d ] pyrimidin-6-yl) -3, 6-dihydropyridine-1 (2H) -carboxylate (20mg), the title product was obtained (15mg) according to example 50, step A.
1 H NMR(400MHz,CDCl 3 )δ9.67(s,0.5H),7.77-7.92(m,1H),7.54-7.62(m,0.5H),7.44-7.51(m,0.5H),7.32-7.41(m,0.5H),7.14-7.22(m,0.5H),6.71-7.06(m,1.5H),6.06-6.50(br,1H),5.83-5.97(m,0.5H),5.66-5.81(m,0.5H),4.10-4.42(m,2H),3.73(s,1.5H),3.65(s,1.5H),2.62-2.94(m,4.5H),2.50(s,1.5H),1.58-2.04(m,7H),1.48(s,4.5H),1.44(s,4.5H)。
And B: (R) -4- ((1- (3- (difluoromethyl) -2-fluorophenyl) ethyl) amino) -2, 7-dimethyl-6- (piperidin-4-yl) pyrido [3, 4-d ] pyrimidin-8 (7H) -one
Starting from (R) -tert-butyl 4- (4- ((1- (3-amino-5- (trifluoromethyl) phenyl) ethyl) amino) -2, 7-dimethyl-8-oxo-7, 8-dihydropyrido [3, 4-d ] pyrimidin-6-ylpiperidine-1-carboxylate (15mg), the title product (9mg) was obtained according to example 38, step B.
1 H NMR(400MHz,CD 3 OD)δ7.80(t,J=7.2Hz,1H),7.53(t,J=7.2Hz,1H),7.27-7.32(m,2H),6.99(t,J=54.8Hz,1H),6.00(q,J=7.2Hz,1H),3.76(s,3H),3.54-3.62(m,2H),3.33-3.41(m,1H),3.22-3.30(m,2H),2.63(s,3H),2.08-2.27(m,4H),1.80(d,J=7.2Hz,3H)。
Example 53
(R) -4- ((1- (3-amino-5- (trifluoromethyl) phenyl) ethyl) amino) -6- (cyclohex-1-en-1-yl) -2, 7-dimethylpyridine [3, 4-d ] pyrimidin-8 (7H) -one
Step A: 6- (cyclohex-1-en-1-yl) -4-hydroxy-2, 7-dimethylpyridin [3, 4-d ] pyrimidin-8 (7H) -one
Starting from 6-chloro-4-hydroxy-2, 7-dimethylpyrido [3, 4-d ] pyrimidin-7-ium trifluoromethanesulfonate (1g) and cyclohexen-1-ylboronic acid (704mg), the title product (87mg) was obtained according to example 49, step A.
1 H NMR(400MHz,CD 3 OD)δ6.60(s,1H),5.95-5.98(m,1H),3.54(s,3H),2.45(s,3H),2.20-2.28(m,4H),1.69-1.84(m,4H)。
And B-C: (R) -4- ((1- (3-amino-5- (trifluoromethyl) phenyl) ethyl) amino) -6- (cyclohex-1-en-1-yl) -2, 7-dimethylpyridine [3, 4-d ] pyrimidin-8 (7H) -one
Starting from 6- (cyclohex-1-en-1-yl) -4-hydroxy-2, 7-dimethylpyridin [3, 4-d ] pyrimidin-8 (7H) -one, the desired product (25mg) was obtained according to example 34, steps E-F.
1 H NMR(400MHz,CD 3 OD)δ7.22(s,1H),6.97(s,2H),6.80(s,1H),6.02-6.06(m,1H),5.59(q,J=6.8Hz,1H),3.64(s,3H),2.85(s,3H),2.19-2.28(m,4H),1.68-1.83(m,4H),1.63(d,J=6.8Hz,3H)。
Example 54
(R) -6- (cyclohex-1-en-1-yl) -4- ((1- (3- (difluoromethyl) -2-fluorophenyl) ethyl) amino) -2, 7-dimethylpyridine [3, 4-d ] pyrimidin-8 (7H) -one
Starting from 6- (cyclohex-1-en-1-yl) -2, 7-dimethyl-8-oxo-7, 8-dihydropyridin [3, 4-d ] pyrimidin-4-yl 2, 4, 6-triisopropylbenzenesulfonate (60mg) and (R) -1- (3- (difluoromethyl) -2-fluorophenyl) ethane-1-amine hydrochloride (44mg), the product was obtained (26mg) according to example 34, step F.
1 H NMR(400MHz,CD 3 OD)δ7.61(t,J=7.2Hz,1H),7.47(t,J=7.2Hz,1H),7.24(t,J=7.6Hz,1H),7.19(s,1H),6.99(t,J=55.2Hz,1H),6.02-6.06(m,1H),5.82(q,J=6.8Hz,1H),3.61(s,3H),2.71(s,3H),2.18-2.28(m,4H),1.69-1.84(m,4H),1.67(d,J=6.8Hz,3H)。
Example 55
(R) -6-cyclohexyl-4- ((1- (3- (difluoromethyl) -2-fluorophenyl) ethyl) amino) -2, 7-dimethylpyridine [3, 4-d ] pyrimidin-8 (7H) -one
Starting from (R) -6- (cyclohex-1-en-1-yl) -4- ((1- (3- (difluoromethyl) -2-fluorophenyl) ethyl) amino) -2, 7-dimethylpyridine [3, 4-d ] pyrimidin-8 (7H) -one (10mg), the title compound (6mg) was obtained according to example 50, step A.
1 H NMR(400MHz,CD 3 OD)δ7.64(t,J=7.2Hz,1H),7.50(t,J=7.2Hz,1H),7.36(s,1H),7.26(t,J=7.6Hz,1H),7.00(t,J=54.8Hz,1H),5.86(q,J=6.8Hz,1H),3.80(s,3H),2.87-2.96(m,1H),2.79(s,3H),1.98-2.06(m,2H),1.88-1.95(m,2H),1.79-1.86(m,1H),1.72(d,J=7.2Hz,3H),1.46-1.64(m,4H),1.30-1.41(m,1H)。
Example 56
(R) -4- ((1- (3-amino-5- (trifluoromethyl) phenyl) ethyl) amino) -6- (6-methoxypyridin-3-yl) -2, 7-dimethylpyridine [3, 4-d ] pyrimidin-8 (7H) -one
Step A: 4-hydroxy-6- (6-methoxypyridin-3-yl) -2, 7-dimethylpyridin [3, 4-d ] pyrimidin-8 (7H) -one
Starting from 6-chloro-4-hydroxy-2, 7-dimethylpyrido [3, 4-d ] pyrimidin-7-ium trifluoromethanesulfonate (1g) and 2-methoxy-5-pyridineboronic acid (850mg), the product was obtained according to example 49, step A (110 mg).
And B-C: (R) -4- ((1- (3-amino-5- (trifluoromethyl) phenyl) ethyl) amino) -6- (6-methoxypyridin-3-yl) -2, 7-dimethylpyridine [3, 4-d ] pyrimidin-8 (7H) -one
Starting from 4-hydroxy-6- (6-methoxypyridin-3-yl) -2, 7-dimethylpyridin [3, 4-d ] pyrimidin-8 (7H) -one, the product was obtained (21mg) as in example 34, steps E-F.
1 H NMR(400MHz,CD 3 OD)δ8.30(d,J=2.8Hz,1H),7.83(dd,J=8.8Hz,2.8Hz,1H),7.14-7.33(br,1H),6.96(s,2H),6.91(d,J=8.8Hz,1H),6.78(s,1H),5.56(q,J=7.2HZ,1H),3.96(s,3H),3.52(s,3H),2.71(s,3H),1.61(d,J=7.2Hz,3H)。
Example 57
Step A: (R) -4- ((1- (3- (difluoromethyl) -2-fluorophenyl) ethyl) amino) -6- (6-methoxypyridin-3-yl) -2, 7-dimethylpyridine [3, 4-d ] pyrimidin-8 (7H) -one
Starting from 6- (6-methoxypyridin-3-yl) -2, 7-dimethyl-8-oxo-7, 8-dihydropyridin [3, 4-d ] pyrimidin-4-yl 2, 4, 6-triisopropylbenzenesulfonate (60mg) and (R) -1- (3- (difluoromethyl) -2-fluorophenyl) ethan-1-amine hydrochloride (37mg), product (5mg) was obtained according to example 34, step F.
1 H NMR(400MHz,CD 3 OD)δ7.32(d,J=2.4Hz,1H),7.85(dd,J=8.4Hz,2.4Hz,1H),7.57(t,J=7.6Hz,1H),7.47(t,J=7.2Hz,1H),7.22(t,J=7.6Hz,1H),7.08-7.20(m,1H),6.98(t,J=54.8Hz,1H),6.95(d,J=8.4Hz,1H),5.80(q,J=7.2Hz,1H),3.99(s,3H),3.50(s,3H),2.58(s,3H),1.64(d,J=7.2Hz,3H)。
Example 58
(R) -4- (1- (3-amino-5- (trifluoromethyl) phenyl) ethylamino) -6- (4, 4-difluoropiperidin-1-yl) -2, 7-dimethylpyrido [3, 4-d ] pyrimidin-8 (7H) -one
Step A: 6- (4, 4-Difluoropiperidin-1-yl) -4-hydroxy-2, 7-dimethylpyrido [3, 4-d ] pyrimidin-7-ium triflate
Starting from 6-chloro-4-hydroxy-2, 7-dimethylpyrido [3, 4-d ] pyrimidin-7-ium trifluoromethanesulfonate (1.0g) and 4, 4-difluoropiperidine hydrochloride (527mg), the procedure was as in example 46, step C, and the resulting solid was dried and used directly in the next reaction.
And (B-D): (R) -4- (1- (3-amino-5- (trifluoromethyl) phenyl) ethylamino) -6- (4, 4-difluoropiperidine-1-one-carboxylic acid
2, 7-dimethylpyrido [3, 4-d ] pyrimidin-8 (7H) -one
Starting from 6- (4, 4-difluoropiperidin-1-yl) -4-hydroxy-2, 7-dimethylpyrido [3, 4-D ] pyrimidin-7-ium trifluoromethanesulfonate, the product (8mg) was obtained according to example 34, steps D-F.
1 H NMR(400MHz,CD 3 OD)δ6.94(s,2H),6.78(s,1H),6.69(s,1H),5.46-5.58(m,1H),3.62(s,3H),2.90-3.28(m,4H),2.46(s,3H),2.10-2.27(m,4H),1.54-1.66(d,J=6.8Hz,3H)。
Example 59
(R) -6- (1-acetylpiperidin-4-yl) -4- (1- (3-amino-5- (trifluoromethyl) phenyl) ethylamino) -2, 7-dimethylpyrido [3, 4-d ] pyrimidin-8 (7H) -one
(R) -4- ((1- (3-amino-5- (trifluoromethyl) phenyl) ethyl) amino) -2, 7-dimethyl-6- (piperidin-4-yl) pyrido [3, 4-d ] pyrimidin-8 (7H) -one (30mg) was placed in dichloromethane (20mL), diisopropylethylamine (23mg) was added, followed by acetic anhydride (7mg), stirred at room temperature for 1 hour, the solvent was removed under reduced pressure, and the resulting residue was purified by a silica gel preparation plate (methanol/dichloromethane ═ 1: 12) to give a pale yellow solid product (5 mg).
1 H NMR(400MHz,CD 3 OD)δ6.93(s,3H),6.78(s,1H),5.49-5.57(m,1H),4.66-4.74(m,1H),4.02-4.10(m,1H),3.72(s,3H),3.14-3.24(m,1H),2.72-2.82(m,1H),2.51(s,3H),2.13(s,1.5H),2.14(s,1.5H),1.98-2.10(m,2H),1.62-1.79(m,2H),1.60(d,J=6.8Hz,3H),1.47-1.56(m,1H)。
Example 60
(R) -4- ((1- (3-amino-5- (trifluoromethyl) phenyl) ethyl) amino) -2, 7-dimethyl-6-isoallylpyrido [3, 4-d ] pyrimidin-8 (7H) -one
Starting from 6-chloro-4-hydroxy-2, 7-dimethylpyrido [3, 4-d ] pyrimidin-7-ium trifluoromethanesulfonate (1g) and pinacol ester of isopropenylboronic acid (0.9g), the expected product (22mg) was obtained according to example 49, steps A to C.
1 H NMR(400MHz,CD 3 OD)δ7.02(s,1H),6.86(s,1H),6.79(s,1H),6.03(s,1H),5.45-5.54(m,1H),5.33(s,2H),5.22(s,1H),3.87(s,1H),3.53(s,3H),2.61(s,3H),2.04(S,3H),1.61(d,J=6.8Hz,3H)。
Example 61
(R) -6- (8-acetyl-2, 8-diazaspiro [4.5] decan-2-yl) -4- ((1- (3- (difluoromethyl) -2-fluorophenyl) ethyl) amino) -2, 7-dimethylpyridine [3, 4-d ] pyrimidin-8 (7H) -one
Step A: 2- (4-hydroxy-2, 7-dimethyl-7 lambda) 4 -pyrido [3, 4-d]Pyrimidin-6-yl) -2, 8-diazaspiro [4.5]Decane-8-carboxylic acid tert-butyl ester trifluoromethanesulfonate
Starting from 6-chloro-4-hydroxy-2, 7-dimethylpyrido [3, 4-d ] pyrimidin-7-ium trifluoromethanesulfonate (600mg) and tert-butyl 2, 8-diazospiro [4.5] decane-8-carboxylate (680mg), the procedure is as in step C of example 46, and the resulting solid is dried and used directly in the subsequent reaction.
And (B-D): (R) -4- ((1- (3- (difluoromethyl) -2-fluorophenyl) ethyl) amino) -2, 7-dimethyl-6- (2, 8-diazaspiro [4.5] decan-2-yl) pyridin [3, 4-d ] pyrimidin-8 (7H) -one
With 2- (4-hydroxy-2, 7-dimethyl-7 lambda) 4 -pyrido [3, 4-d]Pyrimidin-6-yl) -2, 8-dinitrogenHetero spiro [4.5]]Decane-8-carboxylic acid tert-butyl ester trifluoromethanesulfonate (100mg) as a starting material, and a product (20mg) was obtained according to step D-F of example 34.
1 H NMR(400MHz,CD 3 OD)δ7.74-7.78(m,1H),7.49-7.54(m,1H),7.29(t,J=8.0Hz,1H),6.99(t,J=55.2Hz,1H),6.06(s,1H),5.97(q,J=7.2Hz,1H),3.22-3.74(m,11H),2.58(s,3H),1.88-2.07(m,5H),1.74-1.82(m,4H)。
And E, step E: (R) -6- (8-acetyl-2, 8-diazaspiro [4.5] decan-2-yl) -4- ((1- (3- (difluoromethyl) -2-fluorophenyl) ethyl) amino) -2, 7-dimethylpyridine [3, 4-d ] pyrimidin-8 (7H) -one
Starting from (R) -4- ((1- (3- (difluoromethyl) -2-fluorophenyl) ethyl) amino) -2, 7-dimethyl-6- (2, 8-diazaspiro [4.5] decan-2-yl) pyridin [3, 4-d ] pyrimidin-8 (7H) -one (16mg), the product was obtained according to example 59, step a (7 mg).
1 H NMR(400MHz,CD 3 OD)δ7.63(t,J=7.2Hz,1H),7.49(t,J=6.8Hz,1H),7.25(t,J=7.6Hz,1H),6.99(t,J=54.8Hz,1H),6.77-6.89(br,1H),5.85(q,J=7.2Hz,1H),3.66(s,3H),3.53-3.64(m,4H),3.40-3.47(m,2H),3.23-3.26(m,2H),2.66(s,3H),2.10(s,3H),1.94-1.99(m,2H),1.63-1.77(m,7H)。
Example 62
(R) -4- (1- (3-amino-5-trifluoromethylphenyl) allyl) -6- (4, 4-Difluoropiperidin-1-yl) -2, 7-Dimethylpyrido [3, 4-d ] pyrimidin-8 (7H) -one
Step A: (R) -2-methyl-N- (3-nitro-5- (trifluoromethyl) benzylidene) propane-2-sulfoxy amide
To a tetrahydrofuran solution (20mL) of 3-nitro-5-trifluoromethylbenzaldehyde (2.2g) was added cesium carbonate (3.26g) and (R) -tert-butylsulfenamide (1.21g) as starting materials, which was stirred at room temperature for 2 hours and quenched with water, extracted with ethyl acetate, and the organic phase was dried over anhydrous sodium sulfate and concentrated under reduced pressure to give the crude product (2.8g) which was used directly in the next reaction step as operated in example 46, step C.
And B: (R) -2-methyl-N- ((R) -1- (3-nitro-5- (trifluoromethyl) phenyl) allyl) propane-2-sulfinamide
To a tetrahydrofuran solution (20mL) of (R) -2-methyl-N- (3-nitro-5- (trifluoromethyl) benzylidene) propane-2-sulfoximine (1.4g) was added slowly dropwise vinylmagnesium bromide (1mol/L, 5.2mL) with a syringe at 78 ℃, followed by stirring for 0.5 hour, natural warming to room temperature, quenching with a saturated ammonium chloride solution, extraction with ethyl acetate, drying over anhydrous sodium sulfate, organic phase decompression concentration and column chromatography (PE/EA 3/1) to obtain a product (0.3 g).
1 H NMR(400MHz,CDCl 3 ),8.42(s,2H),7.95(s,1H),5.89-5.98(m,1H),5.45(d,J=17.2Hz,1H),5.39(d,J=10.0Hz,1H),5.14(dd,J=7.2Hz,4.0Hz,1H),3.61(d,J=4.0Hz,1H),1.26(s,9H)。
Step C: (R) -1- (3-nitro-5- (trifluoromethyl) phenyl) propan-2-en-1-amine hydrochloride
To a tetrahydrofuran solution (5mL) of (R) -2-methyl-N- ((R) -1- (3-nitro-5- (trifluoromethyl) phenyl) allyl) propane-2-sulfinamide (0.3g) was added hydrogen chloride 1.4-dioxane (4mol/L, 3mL), followed by stirring at room temperature for 2 hours, and petroleum ether (15mL) was added to filter the resulting precipitate and then dried to obtain the objective product (256 mg).
Step D: (R) -3- (1-Aminoallyl) -5- (trifluoromethyl) aniline
To a methanol solution (10mL) of (R) -1- (3-nitro-5- (trifluoromethyl) phenyl) propan-2-en-1-amine hydrochloride (0.25g) were added a saturated ammonium chloride solution (1mL) and iron powder (0.28g), followed by stirring at 60 ℃ for 4 hours, cooling to room temperature and filtration, the filtrate was concentrated, followed by addition of a saturated sodium carbonate solution, followed by extraction with ethyl acetate, and the organic phase was dried over anhydrous sodium sulfate and concentrated under pressure to give the objective product (140 mg).
1 H NMR(400MHz,CDCl 3 ),6.96(s,1H),6.83(s,1H),6.77(s,1H),5.91-5.99(m,1H),5.25(d,J=17.2Hz,1H),5.13(d,J=10.0Hz,1H),4.47(d,J=6.0Hz,1H),3.78-3.87(brs,2H)。
Steps E-G: (R) -4- (1- (3-amino-5-trifluoromethylphenyl) allyl) -6- (4, 4-difluoropiperidin-1-yl) -2, 7-
Dimethylpyrido [3, 4-d ] pyrimidin-8 (7H) -one
Starting from 6- (4, 4-difluoropiperidin-1-yl) -4-hydroxy-2, 7-dimethylpyrido [3, 4-D ] pyrimidin-7-ium trifluoromethanesulfonate, the product was obtained (28mg) according to example 34, steps D-F.
1 H NMR(400MHz,CD 3 OD),6.90-6.94(m,2H),6.81(s,1H),6.67(s,1H),6.10-6.22(m,2H),5.26-5.30(m,2H),3.64(s,3H),2.82-3.40(m,4H),2.48(s,3H),2.12-2.28(m,4H)。
Example 63
(R) -4- (1- (3- (difluoromethyl) -2-fluorophenyl) allyl) amino) -6- (4, 4-difluoropiperidin-1-yl) -2, 7-dimethylpyrido [3, 4-d ] pyrimidin-8 (7H) -one
Step A: 1-bromo-3-difluoromethyl-2-fluorobenzene
To a dichloromethane solution (20mL) of 3-bromo-2-fluorobenzaldehyde (2.1g) was added diethylaminosulfur trifluoride (4.5g), followed by stirring at room temperature for 2 hours, the reaction solution was added to a saturated sodium bicarbonate solution, dichloromethane was extracted, the organic phase was dried over anhydrous sodium sulfate and concentrated under reduced pressure, and the resulting solid was dried to give a crude product (1.8g) which was used directly in the next reaction.
1 H NMR(400MHz,CDCl 3 ),7.67(t,J=7.2Hz,1H),7.54(t,J=7.2Hz,1H),7.14(t,J=8.0Hz,1H),6.88(t,J=54.4Hz,1H)。
And B: 3- (difluoromethyl) -2-fluorobenzaldehyde
To a solution of 1-bromo-3-difluoromethyl-2-fluorobenzene (1.5g) in tetrahydrofuran (20mL) at-78 deg.C was slowly added a solution of n-butyllithium in tetrahydrofuran (2.5mol/L, 4mL) followed by 2 hours of reaction, followed by addition of DMF (0.98g) and reaction overnight. The reaction was quenched with saturated ammonium chloride solution, extracted with ethyl acetate, the organic phase was dried over anhydrous sodium sulfate and concentrated under reduced pressure, and the resulting solid was dried to give a crude product (1.2g) which was used directly in the next reaction.
And C: (R) -N- (3- (difluoromethyl) -2-fluorobenzyl) -2-methylpropane-2-sulphoxide amide
Cesium carbonate (4.5g) and (R) -tert-butylsulfinamide (1.21g) were added to a tetrahydrofuran solution (20mL) of 3- (difluoromethyl) -2-fluorobenzaldehyde (1.2g), and after stirring at room temperature for 2 hours, the reaction was quenched with water, extracted with ethyl acetate, the organic phase was dried over anhydrous sodium sulfate, concentrated under reduced pressure, and subjected to column chromatography (PE/EA ═ 5/1) to obtain a product (0.7g), which was used directly in the next reaction.
Step D: (R) -N- ((R) -1- (3- (difluoromethyl) -2-fluorophenyl) allyl) -2-methylpropane-2-sulfinamide
Vinyl magnesium bromide (1mol/L, 2.4mL) was added dropwise to a tetrahydrofuran (15mL) solution of (R) -N- (3- (difluoromethyl) -2-fluorobenzyl) -2-methylpropane-2-sulfoxylamide (0.5g) at-78 ℃, followed by stirring for 6 hours, cooling to room temperature, quenching the reaction with a saturated ammonium chloride solution, extraction with ethyl acetate, drying over anhydrous sodium sulfate, concentration of the organic phase under reduced pressure, and column chromatography (PE/EA ═ 3/1) to give a product (0.1 g).
1 H NMR(400MHz,CDCl 3 ),7.49-7.56(m,2H),7.23-7.27(m,1H),6.89(t,J=54.8Hz,1H),5.90-5.98(m,1H),5.25-5.37(m,3H),3.53(d,J=4.4Hz,1H),1.24(s,9H)。
Step E: (R) -1- (3- (difluoromethyl) -2-fluorophenyl) -2-en-1-amine hydrochloride
To (R) -N- ((R) -1- (3- (difluoromethyl) -2-fluorophenyl) allyl) -2-methylpropane-2-sulfinamide (0.1g)
Hydrogen chloride 1.4-dioxane (4mol/L, 1mL) was added to the tetrahydrofuran solution (3mL), followed by stirring at room temperature for 2 hours, petroleum ether (5mL) was added, and the resulting precipitate was filtered and dried to give the objective product (56 mg).
1 H NMR(400MHz,CD 3 OD),7.71(t,J=7.2Hz,1H),7.65(t,J=7.6Hz,1H),7.43(t,J=7.6Hz,1H),7.03(t,J=54.8Hz,1H),6.12-6.21(m,1H),5.52(dd,J=10.6Hz,1.2Hz,1H),5.46(d,J=16.8Hz,1H),5.27(d,J=7.2Hz,1H)
Steps F to H: (R) -4- (1- (3- (difluoromethyl) -2-fluorophenyl) allyl) amino) -6- (4, 4-difluoropiperidine-1-carboxylic acid
2, 7-dimethylpyrido [3, 4-d ] pyrimidin-8 (7H) -one
Starting from 6- (4, 4-difluoropiperidin-1-yl) -4-hydroxy-2, 7-dimethylpyrido [3, 4-D ] pyrimidin-7-ium trifluoromethanesulfonate, the product (7mg) was obtained according to example 34, steps D-F.
1 H NMR(400MHz,CD 3 OD),7.59(t,J=7.2Hz,1H),7.51(t,J=7.2Hz,1H),7.25(t,J=7.2Hz,1H),6.99(t,J=54.8Hz,1H),6.70(s,1H),6.36(d,J=6.0Hz,1H),6.20-6.39(m,1H),5.30(d,J=10.6Hz,1H),5.21(d,J=16.8Hz,1H),3.64(s,3H),2.83-3.32(m,4H),2.44(s,3H),2.13-2.28(m,4H)。
Biological activity assay
1. The compounds inhibit Pan-KRAS: : activity assay for SOS1 protein interaction
The enzymatic activity of the compound in the patent is determined by Homogeneous Time-Resolved Fluorescence (HTRF), which comprises the following steps: compounds were diluted in 5-fold gradient starting at 1mM with 100% DMSO (7 concentrations in total), and 2. mu.L of each compound was added to 98. mu.L of reaction buffer (5mM HEPES, pH 7.5, 150mM NaCl, 10mM EDTA, 1mM DTT, 0.05% BSA, 0.0025% NP40, 100mM KF) for dilution and mixing. mu.L of the final diluted compound was added to a black 384 well plate (OptiPlate-384, cat # 6007270, from Perkinelmer) followed by 2.5. mu.L of Biotin-KRASG12D (final concentration of 2nM) and 2.5. mu.L of GST-SOS1cat (final concentration of 5 nM). After placing the 384 well plates in an incubator at 23 ℃ for 2 hours, 5. mu.L of MAb Anti GST-Eu cryptate (product No. 61GSTKLA, available from PerkinElmer, 1: 100 dilution) and 5. mu.L of LStreptavidin-XL665 (product No. 610SAXLA, available from PerkinElmer, 1: 100 dilution) were added to each well, and after further reaction in the incubator at 23 ℃ for 2 hours, fluorescence values at 620nm and 665nm were read by a BMG Clariostar Microplate Reader. The ratio of 620nm/665nm signal values is calculated, and the IC50 value of the compound on the inhibition of the interaction between KRASG12D and SOS1 protein is calculated by using GraphPad Prism software. The compounds of this patent were determined to inhibit Pan-KRAS: : activity of SOS1 protein interaction.
The test results of some of the compounds are listed below and shown in table 1.
Table 1: the compounds inhibit Pan-KRAS: : activity results of SOS1 protein interaction
Assay for the inhibition of cell proliferation Activity by SOS1 Compound
The cell proliferation inhibiting activity of SOS1 compound in this patent employs human colorectal cancer cell line DLD-1 (containing KRAS) G13D Mutant) cells were assayed under 3D culture conditions. DLD-1 cells were cultured using DMEM medium plus 10% fetal bovine serum (FBS, available from Biological Industries, BI) and 1% penicillin/streptomycin (P/S, available from Thermo Fisher Scientific) at 37 deg.C, 5% CO 2. DLD-1 cells were plated at a concentration of 1000 cells/195. mu.L/well in suspension ball 96-well plates (#4520, purchased from CORNING). After 24 hours, compounds were diluted by 3-fold gradient from 10mM in 100% DMSO (10 concentrations) and 4. mu.L of each compound was added to 96. mu.L of serum-free DMEM medium. mu.L of each diluted compound was added to the plated cell suspension, and the compound and cells were incubated in a cell incubator for 7 days. Then 35. mu.L of 3D Cell-Titer was added(G9683 from Promega) reagent, mixed on a shaker for 5 minutes and left to stand at room temperature for 30 minutes. Chemiluminescence values were read on BMG CLARIO star, data were processed using GraphPad Prism software, and IC of the compound for inhibition of cell proliferation was calculated 50 The value is obtained.
The results of the tests on the above partial compounds are shown in Table 2.
Table 2: results of cell proliferation inhibitory Activity of SOS1 Compound
Claims (16)
1. A compound of formula (I), or a prodrug, ester, ether, solvate, polymorph, isomer, or a pharmaceutically acceptable salt of any of the foregoing, or a mixture of any two or more of the foregoing,
wherein,
l is a bond, 6-10 membered arylene, or 5-12 membered heteroarylene, which arylene or heteroarylene may optionally be substituted with halogen, -CN, -OH, -NH 2 、-CF 3 、C 1-6 Alkyl, -O-C 1-6 Alkyl, -NH-C 1-6 Alkyl, 3-8 membered cycloalkyl, or 3-8 membered heterocycloalkyl, which alkyl, cycloalkyl and heterocycloalkyl may be optionally substituted with (═ O), halogen, -CN, -OH, -NH 2 、-CF 3 、C 1-6 Alkyl, -O-C 1-6 Alkyl, -NH-C 1-6 Alkyl, 3-8 membered cycloalkyl, or 3-8 membered heterocycloalkyl,
R 2 each independently selected from hydrogen, halogen, -CN, -OH, -NH 2 、-CF 3 、C 1-6 Alkyl radical, C 1-4 Alkoxy, 3-to 8-membered cycloalkyl and 3-to 8-membered heterocycloalkyl, C 1-6 Alkyl radical, C 1-4 Alkoxy, 3-to 8-membered cycloalkylAnd 3-8 membered heterocycloalkyl optionally substituted by halogen, -OH, -NH 2 、-CN、-O-C 1-6 Alkyl, or-NH-C 1-6 The substitution of the alkyl group is carried out,
R 3 is C 1-4 Alkyl radical, C 2-4 Alkenyl radical, C 2-4 Alkynyl, C 1-4 Alkoxy or C 3-4 Cycloalkyl, said alkyl, alkenyl, alkynyl, alkoxy or cycloalkyl being optionally substituted by halogen, -OH, -NH 2 CN, or methyl substitution, or a salt thereof,
R 5 selected from hydrogen, halogen, -CN, -OH, -NH 2 、-CF 3 、C 1-6 Alkyl radical, C 1-4 Alkoxy, 3-to 8-membered cycloalkyl and 3-to 8-membered heterocycloalkyl, C 1-6 Alkyl radical, C 1-4 Alkoxy, 3-to 8-membered cycloalkyl and 3-to 8-membered heterocycloalkyl optionally substituted by halogen, -OH, -NH 2 Or a substitution of CN,
n is 0, 1, 2, 3, or 4,
ring B is Z 1 、Z 2 Or Z 3 ,
Z 1 Is a bicyclic ring system comprising a benzene ring fused to ring A, and a 4-6 membered carbocyclic or 4-6 membered heterocyclic ring fused to the benzene ring, the 4-6 membered carbocyclic or 4-6 membered heterocyclic ring optionally substituted with R 1 Optionally substituted, the phenyl ring being optionally substituted by halogen, -OH, -NH 2 CN, alkyl, R 10 or-O-R 10 The substitution is carried out by the following steps,
Z 2 is a bicyclic ring system comprising a ring fused to the A ring, optionally substituted by halogen, -OH, -NH 2 CN, or alkyl substituted 4-6 membered heterocycle, and a phenyl ring fused to said heterocycle or a 4-6 membered heterocycle, the phenyl ring fused to said heterocycle or the 4-6 membered heterocycle optionally being substituted with-O-R 10 The substitution is carried out by the following steps,
Z 3 is a phenyl ring, a 5-6 membered heteroaryl ring, a 5-6 membered carbocycle or a 5-6 membered heterocycle and the phenyl, heteroaryl, carbocycle or heterocycle may optionally be substituted with halogen, -OH, -NH 2 CN, alkyl, R 10 or-O-R 10 The substitution is carried out by the following steps,
R 10 is C 1-6 Alkyl, 6-to 10-membered aryl, 5-to 12-membered heteroaryl, 3-to 12-membered cycloalkylOr 3-12 membered heterocycloalkyl, said alkyl, aryl, heteroaryl, cycloalkyl and heterocycloalkyl optionally substituted with halogen, -OH, -NH 2 、-CN、-(CO)-R 11 、-(CO)-O-R 11 、-(CO)-NH-R 11 、-(CO)-N(C 1-6 Alkyl) -R 11 、-NH-(CO)-R 11 、-N(C 1-6 Alkyl) - (CO) -R 11 、-NH-(CO)-O-R 11 、-N(C 1-6 Alkyl) - (CO) -O-R 11 、-(SO 2 )-R 11 、-(SO 2 )-NH-R 11 、-(SO 2 )-N(C 1-6 Alkyl) -R 11 Or is- (CH) 2 ) 0-4 -R 6 The substitution is carried out by the following steps,
R 1 is H, C 1-6 Alkyl radical, C 1-6 Alkoxy, halo C 1-6 Alkyl radical, C 2-6 Alkenyl radical, C 2-6 Alkynyl, - (CO) -R 11 、-(CO)-O-R 11 、-(CO)-NH-R 11 、-(CO)-N(C 1-6 Alkyl) -R 11 、-NH-(CO)-R 11 、-N(C 1-6 Alkyl) - (CO) -R 11 、-NH-(CO)-O-R 11 、-N(C 1-6 Alkyl) - (CO) -O-R 11 、-(SO 2 )-R 11 、-(SO 2 )-NH-R 11 、-(SO 2 )-N(C 1-6 Alkyl) -R 11 Or is- (CH) 2 ) 0-4 -R 6 ,
R 6 Is 6-10 membered aryl, 5-12 membered heteroaryl, 3-12 membered cycloalkyl or 3-12 membered heterocycloalkyl, which aryl, heteroaryl, cycloalkyl or heterocycloalkyl may optionally be substituted by halogen, -CN, -NH 2 、-OH、-CF 3 、C 1-6 Alkyl, halo C 1-6 Alkyl radical, C 1-4 Alkoxy, 3-12 membered cycloalkyl, 3-12 membered heterocycloalkyl, - (CO) -R 11 、-(CO)-O-R 11 、-(CO)-NH-R 11 、-(CO)-N(C 1-6 Alkyl) -R 11 、-NH-(CO)-R 11 、-N(C 1-6 Alkyl) - (CO) -R 11 、-NH-(CO)-O-R 11 、-N(C 1-6 Alkyl) - (CO) -O-R 11 Or is- (SO) 2 )-R 11 、-(SO 2 )-NH-R 11 Or is- (SO) 2 )-N(C 1-6 Alkyl) -R 11 The substitution is carried out by the following steps,
R 11 is hydrogen, C 1-6 Alkyl, halo C 1-6 Alkyl radical, C 1-4 Alkoxy or 3-8 membered cycloalkyl.
2. The compound of claim 1, or a prodrug, ester, ether, solvate, polymorph, isomer, or a pharmaceutically acceptable salt of any of the foregoing, or a mixture of any two or more of the foregoing, wherein ring B is Z 1 Or Z 3 ,Z 1 And Z 3 As defined in claim 1.
3. The compound of claim 1, or a prodrug, ester, ether, solvate, polymorph, isomer, or a pharmaceutically acceptable salt of any of the foregoing, or a mixture of any two or more of the foregoing, having a structure represented by formula (II)
Wherein,
R 2 each independently selected from hydrogen, halogen, -CN, -OH, -NH 2 、-CF 3 、C 1-6 Alkyl radical, C 1-4 Alkoxy, 3-to 8-membered cycloalkyl and 3-to 8-membered heterocycloalkyl, C 1-6 Alkyl radical, C 1-4 Alkoxy, 3-to 8-membered cycloalkyl and 3-to 8-membered heterocycloalkyl optionally substituted by halogen, -OH, -NH 2 Or a substitution of CN,
R 3 is C 1-4 Alkyl radical, C 2-4 Alkenyl radical, C 2-4 Alkynyl, C 1-4 Alkoxy or C 3-4 Cycloalkyl, said alkyl, alkenyl, alkynyl, alkoxy or cycloalkyl being optionally substituted by halogen, -OH, -NH 2 CN, or methyl substitution, or a salt thereof,
R 5 selected from hydrogen, halogen, -CN, -OH, -NH 2 、-CF 3 、C 1-6 Alkyl radical, C 1-4 Alkoxy, 3-to 8-membered cycloalkyl and 3-to 8-membered heterocycloalkyl, C 1-6 Alkyl radical, C 1-4 Alkoxy, 3-to 8-membered cycloalkyl and 3-to 8-membered heterocycloalkyl optionally substituted by halogen, -OH, -NH 2 Or a substitution of CN,
n is 0, 1, 2, 3, or 4,
ring B is Z 1 Or Z 2 ,
Z 1 Is a bicyclic ring system comprising a benzene ring fused to ring A, and a 4-6 membered carbocyclic or 4-6 membered heterocyclic ring fused to the benzene ring, the 4-6 membered carbocyclic or 4-6 membered heterocyclic ring optionally substituted with R 1 Optionally substituted on the phenyl ring by halogen, -OH, -NH 2 CN or an alkyl group, or a substituted group,
Z 2 is a bicyclic ring system comprising a ring fused to the A ring, optionally substituted by halogen, -OH, -NH 2 CN, or alkyl substituted 4-6 membered heterocycle, and a phenyl ring fused to said heterocycle or a 4-6 membered heterocycle, the phenyl ring fused to said heterocycle or the 4-6 membered heterocycle optionally being substituted with-O-R 10 The substitution is carried out by the following steps,
R 1 is H, C 1-6 Alkyl radical, C 1-6 Alkoxy, halo C 1-6 Alkyl radical, C 2-6 Alkenyl radical, C 2-6 Alkynyl, - (CO) -R 11 、-(CO)-O-R 11 、-(CO)-NH-R 11 、-(CO)-N(C 1-6 Alkyl) -R 11 、-NH-(CO)-R 11 、-N(C 1-6 Alkyl) - (CO) -R 11 、-NH-(CO)-O-R 11 、-N(C 1-6 Alkyl) - (CO) -O-R 11 、-(SO 2 )-R 11 Or is- (CH) 2 ) 0-4 -R 6 ,
R 6 Is phenyl, 5-6 membered heteroaryl, 3-8 membered cycloalkyl or 3-8 membered heterocycloalkyl, which phenyl, heteroaryl, cycloalkyl or heterocycloalkyl may optionally be substituted by halogen, -CN, -NH 2 、-OH、-CF 3 、C 1-6 Alkyl, halo C 1-6 Alkyl radical, C 1-4 Alkoxy, 3-8 membered cycloalkyl, or 3-8 membered heterocycloalkyl,
R 11 is hydrogen, C 1-6 Alkyl, halo C 1-6 Alkyl radical, C 1-4 Alkoxy or 3-to 8-membered cycloalkyl,
R 10 is C 1-6 An alkyl group,3-8 membered cycloalkyl or 3-8 membered heterocycloalkyl, said alkyl, cycloalkyl and heterocycloalkyl optionally being substituted by halogen, -OH, -NH 2 Or CN substitution.
4. A compound according to any one of claims 1 to 3, or a prodrug, ester, ether, solvate, polymorph, isomer or a pharmaceutically acceptable salt of any of the foregoing, or a mixture of any two or more of the foregoing, wherein Z 1 Is a bicyclic ring system comprising a phenyl ring fused to ring A, and a 4-6 membered carbocyclic or 4-6 membered heterocyclic ring fused to said phenyl ring, said phenyl ring optionally being substituted with halogen, -OH, -NH 2 CN, alkyl, R 10 or-O-R 10 Substituted, R 10 As defined in claim 1.
5. A compound according to any one of claims 1 to 3, or a prodrug, ester, ether, solvate, polymorph, isomer or a pharmaceutically acceptable salt of any of the foregoing, or a mixture of any two or more of the foregoing, wherein Z 2 Is a bicyclic ring system comprising a ring fused to the A ring, optionally substituted by halogen, -OH, -NH 2 CN, or methyl substituted 4-6 membered heteroaromatic ring, and a phenyl ring fused to said heterocycle or a 4-6 membered heteroaromatic ring, said phenyl ring fused to said heterocycle or said 4-6 membered heteroaromatic ring optionally substituted with-O-R 10 Substitution; the R is 10 As defined in claim 1.
6. The compound according to any one of claims 1-3, or a prodrug, ester, ether, solvate, polymorph, isomer thereof, or a pharmaceutically acceptable salt of any of the foregoing, or a mixture of any two or more of the foregoing, wherein Z 3 Is a 5-6 membered heteroaromatic ring or a 5-6 membered heterocyclic ring, and the heteroaromatic or heterocyclic ring may optionally be substituted with R 10 or-O-R 10 Substituted, R 10 As defined in claim 1.
7. A compound according to any one of claims 1 to 3, or a prodrug, ester, ether, solvate thereofA solvate, polymorph, isomer or a pharmaceutically acceptable salt of any of the foregoing, or a mixture of any two or more of the foregoing, wherein R 3 Is methyl or cyclopropyl, R 5 Is a methyl group.
8. A compound according to any one of claims 1 to 3, or a prodrug, ester, ether, solvate, polymorph, isomer, or a pharmaceutically acceptable salt of any of the foregoing, or a mixture of any two or more of the foregoing, wherein ring B is the following group:
wherein, X 1 And X 4 Each independently selected from CHR 1 O or NR 1 ,X 2 And X 3 Each independently selected from the group consisting of a bond, CHR 1 O or NR 1 Said R is 1 As defined above.
9. The compound according to any one of claims 1-3, or a prodrug, ester, ether, solvate, polymorph, isomer, or a pharmaceutically acceptable salt of any of the foregoing, or a mixture of any two or more of the foregoing, wherein ring B is the following:
wherein R is 1 And R 10 Each as defined above.
11. The compound according to any one of claims 1-3, or a prodrug, ester, ether, solvate, polymorph, isomer, or a pharmaceutically acceptable salt of any of the foregoing, or a mixture of any two or more of the foregoing, wherein ring B is the following:
wherein R is 20 Is R 10 or-O-R 10 ,R 10 As defined in claim 1.
12. A compound according to any one of claims 1 to 3, or a prodrug, ester, ether, solvate, polymorph, isomer, or a pharmaceutically acceptable salt of any of the foregoing, or a mixture of any two or more of the foregoing, wherein ring B is the following group:
wherein R is 20 Is R 10 or-O-R 10 ,R 21 Is C 1-6 Alkyl or C 3-8 Cycloalkyl radical, R 10 As defined in claim 1.
14. a pharmaceutical composition comprising a compound according to any one of claims 1-13, or a prodrug, ester, ether, solvate, polymorph, isomer, or a pharmaceutically acceptable salt of any of the foregoing, and optionally including other pharmacological substances,
and, optionally, pharmaceutically acceptable excipients,
the other pharmacological substances are selected from any 1 or more than 2 of the following components:
an inhibitor of MEK and/or a mutant thereof;
an inhibitor of EGFR and/or a mutant thereof;
inhibitors of KRAS G12C;
an immunotherapeutic agent;
a taxane;
an antimetabolite;
inhibitors of FGFR1 and/or FGFR2 and/or FGFR3 and/or mutants thereof;
inhibitors of mitotic kinases;
anti-angiogenic agents;
a topoisomerase inhibitor;
a platinum-containing compound;
inhibitors of ALK and/or mutants thereof;
an inhibitor of c-MET and/or mutants thereof;
an inhibitor of BCR-ABL and/or mutants thereof;
inhibitors of Her2 and/or mutants thereof;
an inhibitor of AXL and/or a mutant thereof;
an inhibitor of NTRK1 and/or a mutant thereof;
an inhibitor of ROS1 and/or mutants thereof;
inhibitors of RET and/or mutants thereof;
inhibitors of A-Raf and/or B-Raf and/or C-Raf and/or mutants thereof;
inhibitors of ERK and/or mutants thereof;
MDM2 inhibitors;
an inhibitor of mTOR;
an inhibitor of BET;
inhibitors of IGF1/2 and/or IGF 1-R; and
inhibitors of CDK 9.
15. Use of a compound of any one of claims 1-13, or a prodrug, ester, ether, solvate, polymorph, isomer, or a pharmaceutically acceptable salt of any of the foregoing, a pharmaceutical composition of claim 14, in the manufacture of a medicament for treating a disease mediated by SOS1 and/or KRAS.
16. Use according to claim 15, wherein the disease mediated by SOS1 and/or KRAS is cancer, preferably lung, prostate, bile duct, colorectal or pancreatic cancer.
Applications Claiming Priority (4)
| Application Number | Priority Date | Filing Date | Title |
|---|---|---|---|
| CN202110253015 | 2021-03-08 | ||
| CN2021102530159 | 2021-03-08 | ||
| CN2021110464197 | 2021-09-07 | ||
| CN202111046419 | 2021-09-07 |
Publications (1)
| Publication Number | Publication Date |
|---|---|
| CN115028644A true CN115028644A (en) | 2022-09-09 |
Family
ID=83118615
Family Applications (1)
| Application Number | Title | Priority Date | Filing Date |
|---|---|---|---|
| CN202210222619.1A Pending CN115028644A (en) | 2021-03-08 | 2022-03-08 | SOS1 inhibitor heterocyclic compounds |
Country Status (1)
| Country | Link |
|---|---|
| CN (1) | CN115028644A (en) |
Cited By (16)
| Publication number | Priority date | Publication date | Assignee | Title |
|---|---|---|---|---|
| CN115215884A (en) * | 2021-04-19 | 2022-10-21 | 昆药集团股份有限公司 | Benzopyrimidine tricyclic derivative and preparation method and application thereof |
| CN115960117A (en) * | 2023-01-31 | 2023-04-14 | 上海翰森生物医药科技有限公司 | Sulfur-containing ring derivative inhibitor, its preparation method and application |
| WO2023165438A1 (en) * | 2022-03-03 | 2023-09-07 | 浙江海正药业股份有限公司 | Tricyclic derivative, preparation method therefor, and use thereof |
| WO2024206858A1 (en) | 2023-03-30 | 2024-10-03 | Revolution Medicines, Inc. | Compositions for inducing ras gtp hydrolysis and uses thereof |
| WO2024229406A1 (en) | 2023-05-04 | 2024-11-07 | Revolution Medicines, Inc. | Combination therapy for a ras related disease or disorder |
| WO2025034702A1 (en) | 2023-08-07 | 2025-02-13 | Revolution Medicines, Inc. | Rmc-6291 for use in the treatment of ras protein-related disease or disorder |
| WO2025080946A2 (en) | 2023-10-12 | 2025-04-17 | Revolution Medicines, Inc. | Ras inhibitors |
| WO2025171296A1 (en) | 2024-02-09 | 2025-08-14 | Revolution Medicines, Inc. | Ras inhibitors |
| WO2025240847A1 (en) | 2024-05-17 | 2025-11-20 | Revolution Medicines, Inc. | Ras inhibitors |
| WO2025255438A1 (en) | 2024-06-07 | 2025-12-11 | Revolution Medicines, Inc. | Methods of treating a ras protein-related disease or disorder |
| WO2025265060A1 (en) | 2024-06-21 | 2025-12-26 | Revolution Medicines, Inc. | Therapeutic compositions and methods for managing treatment-related effects |
| WO2026006747A1 (en) | 2024-06-28 | 2026-01-02 | Revolution Medicines, Inc. | Ras inhibitors |
| WO2026015825A1 (en) | 2024-07-12 | 2026-01-15 | Revolution Medicines, Inc. | Use of ras inhibitor for treating pancreatic cancer |
| WO2026015801A1 (en) | 2024-07-12 | 2026-01-15 | Revolution Medicines, Inc. | Methods of treating a ras related disease or disorder |
| WO2026015790A1 (en) | 2024-07-12 | 2026-01-15 | Revolution Medicines, Inc. | Methods of treating a ras related disease or disorder |
| WO2026015796A1 (en) | 2024-07-12 | 2026-01-15 | Revolution Medicines, Inc. | Methods of treating a ras related disease or disorder |
-
2022
- 2022-03-08 CN CN202210222619.1A patent/CN115028644A/en active Pending
Cited By (17)
| Publication number | Priority date | Publication date | Assignee | Title |
|---|---|---|---|---|
| CN115215884A (en) * | 2021-04-19 | 2022-10-21 | 昆药集团股份有限公司 | Benzopyrimidine tricyclic derivative and preparation method and application thereof |
| WO2023165438A1 (en) * | 2022-03-03 | 2023-09-07 | 浙江海正药业股份有限公司 | Tricyclic derivative, preparation method therefor, and use thereof |
| CN115960117A (en) * | 2023-01-31 | 2023-04-14 | 上海翰森生物医药科技有限公司 | Sulfur-containing ring derivative inhibitor, its preparation method and application |
| CN115960117B (en) * | 2023-01-31 | 2023-11-07 | 上海翰森生物医药科技有限公司 | Sulfur-containing fused ring derivative inhibitor, preparation method and application thereof |
| WO2024206858A1 (en) | 2023-03-30 | 2024-10-03 | Revolution Medicines, Inc. | Compositions for inducing ras gtp hydrolysis and uses thereof |
| WO2024229406A1 (en) | 2023-05-04 | 2024-11-07 | Revolution Medicines, Inc. | Combination therapy for a ras related disease or disorder |
| WO2025034702A1 (en) | 2023-08-07 | 2025-02-13 | Revolution Medicines, Inc. | Rmc-6291 for use in the treatment of ras protein-related disease or disorder |
| WO2025080946A2 (en) | 2023-10-12 | 2025-04-17 | Revolution Medicines, Inc. | Ras inhibitors |
| WO2025171296A1 (en) | 2024-02-09 | 2025-08-14 | Revolution Medicines, Inc. | Ras inhibitors |
| WO2025240847A1 (en) | 2024-05-17 | 2025-11-20 | Revolution Medicines, Inc. | Ras inhibitors |
| WO2025255438A1 (en) | 2024-06-07 | 2025-12-11 | Revolution Medicines, Inc. | Methods of treating a ras protein-related disease or disorder |
| WO2025265060A1 (en) | 2024-06-21 | 2025-12-26 | Revolution Medicines, Inc. | Therapeutic compositions and methods for managing treatment-related effects |
| WO2026006747A1 (en) | 2024-06-28 | 2026-01-02 | Revolution Medicines, Inc. | Ras inhibitors |
| WO2026015825A1 (en) | 2024-07-12 | 2026-01-15 | Revolution Medicines, Inc. | Use of ras inhibitor for treating pancreatic cancer |
| WO2026015801A1 (en) | 2024-07-12 | 2026-01-15 | Revolution Medicines, Inc. | Methods of treating a ras related disease or disorder |
| WO2026015790A1 (en) | 2024-07-12 | 2026-01-15 | Revolution Medicines, Inc. | Methods of treating a ras related disease or disorder |
| WO2026015796A1 (en) | 2024-07-12 | 2026-01-15 | Revolution Medicines, Inc. | Methods of treating a ras related disease or disorder |
Similar Documents
| Publication | Publication Date | Title |
|---|---|---|
| CN115028644A (en) | SOS1 inhibitor heterocyclic compounds | |
| JP7735594B2 (en) | Azatetracyclic oxazepine compounds and uses thereof | |
| AU2022254674A1 (en) | Oxazepine compounds and uses thereof in the treatment of cancer | |
| JP6529085B2 (en) | Heterocyclic compounds | |
| JP2025532125A (en) | Novel tetraheterocycle compounds | |
| JP2025541353A (en) | Pyrimidine-containing polycyclic derivative inhibitors, their preparation method and application | |
| TW202200563A (en) | Quinoxalinone derivative as irreversible inhibitor of kras g12c mutant protein | |
| EP3936509B1 (en) | Fgfr4 kinase inhibitor, preparation method therefor and use thereof | |
| BR112021002772A2 (en) | compounds, pharmaceutical compositions, method of treating cancer, methods of regulating the activity of a protein, for inhibiting the proliferation of a population of cells, for treating a disorder, for preparing a protein, for inhibiting tumor metastasis and for treating cancer and uses | |
| CN117736226A (en) | pan-KRAS inhibitors and their use in medicine | |
| ES2715676T3 (en) | Substituted 4,5,6,7-tetrahydro-pyrazolo [1,5-a] pyrazine derivatives and 5,6,7,8-tetrahydro-4h-pyrazolo [1,5-a] [1,4] diazepine as ros1 inhibitors | |
| CN118994158A (en) | Nitrogen-containing heterocyclic compound, preparation method and application | |
| JP2022500476A (en) | Cyclic dinucleotide analogs, their pharmaceutical compositions and uses | |
| WO2022242725A1 (en) | Class of novel protein degradation agents and application thereof | |
| KR20250022815A (en) | HPK1 inhibitors and their applications in medicine | |
| CN115536660A (en) | Benzylamino-substituted heteropolycyclic compounds, compositions, formulations and uses thereof | |
| CN112209925A (en) | RET selective inhibitor and preparation method and application thereof | |
| CN116057061A (en) | USP7 inhibitor | |
| WO2025157246A1 (en) | Pyrimidine polycyclic derivative inhibitor, preparation method therefor and use thereof | |
| CN114605414A (en) | DNA-PK selective inhibitor and preparation method and application thereof | |
| CN114195805A (en) | DNA-PK selective inhibitor and preparation method and application thereof | |
| CN114573584A (en) | DNA-PK selective inhibitor and preparation method and application thereof | |
| TWI894448B (en) | Ctla-4 small molecule inhibitor and its application | |
| KR20250154490A (en) | Aromatic amide derivatives, methods for preparing the same, and uses thereof | |
| CN112689636A (en) | Novel heteroatom aromatic amide derivative and drug containing the same |
Legal Events
| Date | Code | Title | Description |
|---|---|---|---|
| PB01 | Publication | ||
| PB01 | Publication | ||
| SE01 | Entry into force of request for substantive examination | ||
| SE01 | Entry into force of request for substantive examination |





















































































































































































































































































































