CN114929688A - 作为H1和5-HT2A-受体调节剂、用于治疗睡眠障碍的3-(4-(11H-二苯并[b,e][1,4]吖庚英-6-基)哌嗪-1-基)-和3-(4-(二苯并[b,f][1,4]氧杂吖庚英/硫杂吖庚英/二吖庚英-11-基)哌嗪-1-基)-丙酸衍生物 - Google Patents
作为H1和5-HT2A-受体调节剂、用于治疗睡眠障碍的3-(4-(11H-二苯并[b,e][1,4]吖庚英-6-基)哌嗪-1-基)-和3-(4-(二苯并[b,f][1,4]氧杂吖庚英/硫杂吖庚英/二吖庚英-11-基)哌嗪-1-基)-丙酸衍生物 Download PDFInfo
- Publication number
- CN114929688A CN114929688A CN202080089997.6A CN202080089997A CN114929688A CN 114929688 A CN114929688 A CN 114929688A CN 202080089997 A CN202080089997 A CN 202080089997A CN 114929688 A CN114929688 A CN 114929688A
- Authority
- CN
- China
- Prior art keywords
- alkyl
- compound
- sleep
- alkynyl
- alkenyl
- Prior art date
- Legal status (The legal status is an assumption and is not a legal conclusion. Google has not performed a legal analysis and makes no representation as to the accuracy of the status listed.)
- Granted
Links
Images
Classifications
-
- C—CHEMISTRY; METALLURGY
- C07—ORGANIC CHEMISTRY
- C07D—HETEROCYCLIC COMPOUNDS
- C07D223/00—Heterocyclic compounds containing seven-membered rings having one nitrogen atom as the only ring hetero atom
- C07D223/14—Heterocyclic compounds containing seven-membered rings having one nitrogen atom as the only ring hetero atom condensed with carbocyclic rings or ring systems
- C07D223/18—Dibenzazepines; Hydrogenated dibenzazepines
- C07D223/20—Dibenz [b, e] azepines; Hydrogenated dibenz [b, e] azepines
-
- C—CHEMISTRY; METALLURGY
- C07—ORGANIC CHEMISTRY
- C07D—HETEROCYCLIC COMPOUNDS
- C07D267/00—Heterocyclic compounds containing rings of more than six members having one nitrogen atom and one oxygen atom as the only ring hetero atoms
- C07D267/02—Seven-membered rings
- C07D267/08—Seven-membered rings having the hetero atoms in positions 1 and 4
- C07D267/12—Seven-membered rings having the hetero atoms in positions 1 and 4 condensed with carbocyclic rings or ring systems
- C07D267/16—Seven-membered rings having the hetero atoms in positions 1 and 4 condensed with carbocyclic rings or ring systems condensed with two six-membered rings
- C07D267/18—[b, e]-condensed
-
- C—CHEMISTRY; METALLURGY
- C07—ORGANIC CHEMISTRY
- C07D—HETEROCYCLIC COMPOUNDS
- C07D413/00—Heterocyclic compounds containing two or more hetero rings, at least one ring having nitrogen and oxygen atoms as the only ring hetero atoms
- C07D413/02—Heterocyclic compounds containing two or more hetero rings, at least one ring having nitrogen and oxygen atoms as the only ring hetero atoms containing two hetero rings
- C07D413/04—Heterocyclic compounds containing two or more hetero rings, at least one ring having nitrogen and oxygen atoms as the only ring hetero atoms containing two hetero rings directly linked by a ring-member-to-ring-member bond
-
- A—HUMAN NECESSITIES
- A61—MEDICAL OR VETERINARY SCIENCE; HYGIENE
- A61K—PREPARATIONS FOR MEDICAL, DENTAL OR TOILETRY PURPOSES
- A61K31/00—Medicinal preparations containing organic active ingredients
- A61K31/33—Heterocyclic compounds
- A61K31/395—Heterocyclic compounds having nitrogen as a ring hetero atom, e.g. guanethidine or rifamycins
- A61K31/55—Heterocyclic compounds having nitrogen as a ring hetero atom, e.g. guanethidine or rifamycins having seven-membered rings, e.g. azelastine, pentylenetetrazole
- A61K31/553—Heterocyclic compounds having nitrogen as a ring hetero atom, e.g. guanethidine or rifamycins having seven-membered rings, e.g. azelastine, pentylenetetrazole having at least one nitrogen and one oxygen as ring hetero atoms, e.g. loxapine, staurosporine
-
- A—HUMAN NECESSITIES
- A61—MEDICAL OR VETERINARY SCIENCE; HYGIENE
- A61P—SPECIFIC THERAPEUTIC ACTIVITY OF CHEMICAL COMPOUNDS OR MEDICINAL PREPARATIONS
- A61P25/00—Drugs for disorders of the nervous system
-
- A—HUMAN NECESSITIES
- A61—MEDICAL OR VETERINARY SCIENCE; HYGIENE
- A61P—SPECIFIC THERAPEUTIC ACTIVITY OF CHEMICAL COMPOUNDS OR MEDICINAL PREPARATIONS
- A61P25/00—Drugs for disorders of the nervous system
- A61P25/20—Hypnotics; Sedatives
-
- C—CHEMISTRY; METALLURGY
- C07—ORGANIC CHEMISTRY
- C07D—HETEROCYCLIC COMPOUNDS
- C07D403/00—Heterocyclic compounds containing two or more hetero rings, having nitrogen atoms as the only ring hetero atoms, not provided for by group C07D401/00
- C07D403/02—Heterocyclic compounds containing two or more hetero rings, having nitrogen atoms as the only ring hetero atoms, not provided for by group C07D401/00 containing two hetero rings
- C07D403/04—Heterocyclic compounds containing two or more hetero rings, having nitrogen atoms as the only ring hetero atoms, not provided for by group C07D401/00 containing two hetero rings directly linked by a ring-member-to-ring-member bond
-
- C—CHEMISTRY; METALLURGY
- C07—ORGANIC CHEMISTRY
- C07D—HETEROCYCLIC COMPOUNDS
- C07D417/00—Heterocyclic compounds containing two or more hetero rings, at least one ring having nitrogen and sulfur atoms as the only ring hetero atoms, not provided for by group C07D415/00
- C07D417/02—Heterocyclic compounds containing two or more hetero rings, at least one ring having nitrogen and sulfur atoms as the only ring hetero atoms, not provided for by group C07D415/00 containing two hetero rings
- C07D417/04—Heterocyclic compounds containing two or more hetero rings, at least one ring having nitrogen and sulfur atoms as the only ring hetero atoms, not provided for by group C07D415/00 containing two hetero rings directly linked by a ring-member-to-ring-member bond
Landscapes
- Chemical & Material Sciences (AREA)
- Organic Chemistry (AREA)
- Health & Medical Sciences (AREA)
- Medicinal Chemistry (AREA)
- Veterinary Medicine (AREA)
- Public Health (AREA)
- General Health & Medical Sciences (AREA)
- Animal Behavior & Ethology (AREA)
- Life Sciences & Earth Sciences (AREA)
- Pharmacology & Pharmacy (AREA)
- Bioinformatics & Cheminformatics (AREA)
- General Chemical & Material Sciences (AREA)
- Nuclear Medicine, Radiotherapy & Molecular Imaging (AREA)
- Chemical Kinetics & Catalysis (AREA)
- Neurosurgery (AREA)
- Neurology (AREA)
- Biomedical Technology (AREA)
- Engineering & Computer Science (AREA)
- Anesthesiology (AREA)
- Epidemiology (AREA)
- Pharmaceuticals Containing Other Organic And Inorganic Compounds (AREA)
- Nitrogen Condensed Heterocyclic Rings (AREA)
- Plural Heterocyclic Compounds (AREA)
Abstract
本公开涉及式(I)、(II’)和(II)的3‑(4‑(11H‑二苯并[b,e][1,4]吖庚英‑6‑基)哌嗪‑1‑基)‑、3‑(4‑(二苯并[b,f][1,4]氧杂吖庚英‑11‑基)哌嗪‑1‑基)‑、3‑(4‑(二苯并[b,f][1,4]硫杂吖庚英‑11‑基)哌嗪‑1‑基)‑和3‑(4‑(二苯并[b,f][1,4]二吖庚英‑11‑基)哌嗪‑1‑基)‑丙酸衍生物,其中X是CR7R8、O、S或NR7,和它们药学上可接受的盐,药物组合物、其制备方法以及用于医学治疗方法的所述化合物。本文所公开的化合物可用于调节H1和5‑HT2A受体且用于治疗睡眠障碍如睡眠碎片化、睡眠/觉醒紊乱和觉醒阈。本说明书公开了示例性化合物的合成和表征以及其药理学数据(例如143至224页;实施例1至33;化合物1至39;表A至R)。示例性的化合物是例如3‑(4‑(7‑氯‑3‑甲基二苯并[b,f][1,4]氧杂吖庚英‑11‑基)哌嗪‑1‑基)‑2,2‑二甲基丙酸(实施例1,化合物1)。
Description
相关申请
本申请要求于2019年10月21日提交的美国申请号62/923,762和于2020年3月30日提交的美国申请号63/002,096的优先权和权益,其各自的全部内容通过引用并入本文。
本公开的领域
本公开涉及哌嗪取代的氮杂庚英(azapine)衍生物、其前药和药学上可接受的盐,其可具有双重作用的H1反向激动剂和5-HT2A拮抗剂(H1/5-HT2A)活性,且由此可用于治疗人体或动物体的方法。本公开还涉及制备这些化合物的方法、包含它们的药物组合物以及它们在治疗睡眠障碍如睡眠碎片化、睡眠/觉醒紊乱(disturbed sleep/arousals)和觉醒阈值(arousal threshold)中的用途。
背景
睡眠障碍研究领域的突破已经引起对安宁和恢复性睡眠的健康益处的广泛的科学和普遍的赞赏。睡眠以及饮食和运动现在被认为是良好健康的三大支柱之一。成年人中当前或先前睡眠障碍的总体患病率估计为人口的52.4%。几乎三分之二(即64%)的人口报告每周至少有几次睡眠困难(National Sleep Foundation,“2012Sleep in America”Poll,2012))。睡眠障碍的国际分类区分了超过80种不同的障碍,并且每种障碍都可能具有深远的健康和经济影响。虽然长期以来一直认识到由睡眠不良引起的白天损害,但睡眠不良也对警觉性、认知、学习和记忆、警觉、表现和广泛的共存病健康状况(包括急性和慢性疼痛和疼痛障碍、精神状况、神经变性疾病、发育障碍、代谢病和糖尿病、肥胖、心血管疾病、免疫障碍和许多其他医学状况)具有级联的负面影响。
睡眠障碍受试者现在容易被分成更广泛的睡眠障碍类别和病症,这些类别和病症更适合于新的和定制的疗法,这些疗法有望提供更好的受试者结果。睡眠的客观测量可以对理解不良睡眠及其改善起到至关重要的作用。尽管睡眠7-8小时或更长时间,但睡眠频繁被中断或“碎片化”的受试者遭受睡眠剥夺的所有后果。实际上,睡眠巩固对于要实现的睡眠的恢复生理益处和共存病状况是必要的。
用于治疗睡眠碎片化的药理学选择是有限的。响应于缺乏药理学选择,存在迫切的未满足的临床需求,以开发治疗睡眠碎片化的新方法,包括药理学治疗方法。
概述
在一个方面,本公开特别提供了式(I)、(II)或(II’)的化合物:
或其前药、溶剂化物或药学上可接受的盐。
在一个方面,本公开提供了可通过制备如本文所述的化合物的方法(例如包含一个或多个方案1-3中所述步骤的方法)得到或通过该方法得到的化合物。
在一个方面,本公开提供了药物组合物,其包含本公开的化合物或其药学上可接受的盐和药学上可接受的稀释剂或载体。
在一个方面,本公开提供了如本文所述的中间体,其适用于制备如本文所述的化合物(例如该中间体选自实施例1-24合成中所述的中间体)。
在一个方面,本公开提供了调节H1/5-HT2A活性(例如体外或体内)的方法,包含使细胞接触有效量的本公开的化合物或其药学上可接受的盐。在一个方面,本公开提供了治疗或预防有需要的受试者的本文公开的疾病或病症的方法,通过向所述受试者施用治疗有效量的本公开的化合物或其药学上可接受的盐或本公开的药物组合物来进行。
在一个方面,本公开提供了治疗有需要的受试者的本文公开的疾病或病症的方法,通过向所述受试者施用治疗有效量的本公开的化合物或其药学上可接受的盐或本公开的药物组合物来进行。
在一个方面,本公开提供了本公开的化合物或其药学上可接受的盐,其用于调节H1/5-HT2A活性(例如体外或体内)。在一个方面,本公开提供了本公开的化合物或其药学上可接受的盐,其用于治疗或预防本文公开的疾病或病症。
在一个方面,本公开提供了本公开的化合物或其药学上可接受的盐,其用于治疗本文公开的疾病或病症。
在一个方面,本公开提供了本公开的化合物或其药学上可接受的盐在制备用于调节H1/5-HT2A活性(例如体外或体内)的药物中的用途。
在一个方面,本公开提供了本公开的化合物或其药学上可接受的盐在制备用于治疗或预防本文公开的疾病或病症的药物中的用途。
在一个方面,本公开提供了本公开的化合物或其药学上可接受的盐在制备用于治疗本文公开的疾病或病症的药物中的用途。
在一个方面,待治疗的疾病或病症为睡眠障碍。
在一些实施方案中,所述睡眠障碍为增加的睡眠紊乱、增加的睡眠碎片化、增加的觉醒或降低的觉醒阈值。
在一些实施方案中,所述睡眠障碍由医学病症引起或与医学病症共病,其中所述医学病症引起或恶化所述睡眠障碍。
在一些实施方案中,所述睡眠障碍由医学病症引起,其中所述医学病症引起或恶化所述睡眠障碍。
在一些实施方案中,所述睡眠障碍与医学病症共病,其中所述医学病症引起或恶化睡眠障碍。
在一个方面,本公开提供了制备本公开化合物的方法。
在一个方面,本公开提供了制备化合物的方法,包含本文所述的一个或多个步骤。
除非另有定义,否则本文使用的所有技术和科学术语具有与本公开所属领域的普通技术人员通常理解的含义相同的含义。在本说明书中,单数形式也包括复数,除非上下文另有明确规定。尽管与本文所述的那些类似或等同的方法和材料可用于本公开的实践或测试,但下文描述了适合的方法和材料。本文提及的所有出版物、专利申请、专利和其他参考文献通过引用并入本文。本文引用的参考文献不被认为是针对所要求保护的发明的现有技术。在冲突的情况下,以本说明书(包括定义)为准。此外,所述材料、方法和实施例仅为示例性的,而不是限制性的。在本文公开的化合物的化学结构和名称之间冲突的情况下,以化学结构为准。
根据以下详细的说明书和权利要求,本公开的其他特征和优点将是显而易见的。
附图简述
图1描绘了在施用化合物8后每小时的平均对准睡眠回合(average alignedsleep bout),其中细线描绘了以10mg/kg PO施用化合物8(CT-18,n=9),并且粗线描绘了以1mL/kg PO施用对照甲基纤维素(CT-18,n=10)。
图2描绘了在施用化合物8后每小时转换到觉醒的次数,其中细线描绘了以10mg/kg PO施用化合物8(CT-5,n=11),并且粗线描绘了以1mL/kg PO施用对照甲基纤维素(CT-5,n=11)。
图3描绘了施用化合物8后的归一化EEGδ功率,其中细线描绘了以3mg/kg PO施用化合物8(CT-18,n=10),并且粗线描绘了以1mL/kg PO施用对照甲基纤维素(CT-18,n=10)。
图4描绘了在施用化合物8后总睡眠时间(NREM+REM睡眠)的每小时累积,从治疗时间(横坐标上的第0小时)测量,相对于治疗前24小时的未受干扰基线,其中细线描绘了以30mg/kg PO施用化合物8(CT-18,n=12),并且粗线描绘了以1mL/kg PO施用对照甲基纤维素(CT-18,n=15)。虚线描绘了总睡眠时间增加约70分钟。
图5描绘了施用化合物7后每小时的平均对准睡眠回合,其中细线描绘了以30mg/kg口服施用化合物7(CT-18,n=10),并且粗线描绘了以1mL/kg口服施用对照甲基纤维素(CT-18,n=10)。
图6描述了施用化合物7后每小时苏醒转换的次数,其中细线描述了30mg/kg口服给药化合物7(CT-5,n=8),粗线描述了2ml/kg口服给药对照2HPβCD 20%(CT-5,n=10)。
图7描绘了施用化合物7后的归一化EEGδ功率,其中细线描绘了以30mg/kg PO施用化合物7(CT-18,n=10),并且粗线描绘了以1mL/kg PO施用对照甲基纤维素(CT-18,n=10)。
图8描述了施用化合物15后每小时平均的平均对准睡眠回合,其中细线描述了以30mg/kg口服给药化合物15(CT-18,n=11),粗线描述了以2ml/kg口服给药对照20%2HPβCD(CT-18,n=11)。
图9描述了施用化合物15后每小时苏醒转换的次数,其中细线描述了以30mg/kg口服给药化合物15(CT-5,n=10),粗线描述了以2ml/kg口服给药对照20%2HPβCD(CT-5,n=20)。
图10描述了施用化合物15后的归一化EEGδ功率,其中细线描述了以30mg/kg PO施用化合物15(CT-18,n=11),粗线描述了以2ml/kg PO施用对照20%2HPβCD(CT-18,n=11)。
详细描述
本文所述的化合物通常被设计为调节H1/5-HT2A功能,因此作为H1/5-HT2A受体拮抗剂用于治疗和预防受试者的睡眠障碍。如本文所用,调节是指双重作用的H1反向激动剂和5-HT2A拮抗剂活性。
在某些实施方案中,如本文所述的化合物作为双重作用H1反向激动剂和5-HT2A拮抗剂起作用,例如以正或负方式影响H1/5-HT2A受体。
5-HT2受体是血清素受体的亚类,其是一组G-蛋白偶联受体和配体门控离子通道。在中枢神经系统中发现的5-HT2A受体介导兴奋性神经传递。5-HT2A拮抗剂阻断兴奋性神经传递。不希望受理论束缚,阻断兴奋性神经传递可能与促进更好的睡眠(例如治疗睡眠障碍)相关。H1受体是G-蛋白偶联受体,已知其在激动时诱导觉醒。不希望受理论束缚,H1反向激动剂可诱导睡意(例如治疗睡眠障碍)。
本公开涉及特别适合于治疗全部或部分以睡眠碎片化为特征的睡眠障碍的化合物。
因此,本文提供的化合物和药物组合物可用作预防或治疗受试者(例如哺乳动物,包括人和非人哺乳动物)的睡眠障碍的治疗剂。本文提供的化合物和药物组合物可用作治疗受试者(例如哺乳动物,包括人和非人哺乳动物)的睡眠障碍的治疗剂。本公开在其范围内包括并扩展至所述治疗方法,以及用于此类方法的化合物,以及此类化合物用于制备可用于此类方法的药物的用途。
本公开涉及可用于调节H1/5-HT2A的化合物。特别地,期望具有与现有H1/5-HT2A-调节化合物相比改善的物理化学、药理学和药学性质的化合物。
在一些实施方案中,本公开提供了一种调节H1/5-HT2A功能(例如双重作用H1反向激动剂和5-HT2A拮抗剂活性,例如体外或体内)的方法,其包含使细胞与有效量的本公开的化合物或其药学上可接受的盐接触。在一些实施方案中,本公开提供了通过向有需要的受试者施用治疗有效量的本公开的化合物或其药学上可接受的盐或本公开的药物组合物来减轻本文公开的疾病或病症的症状、治疗或预防所述疾病或病症的方法。
定义
除非另有说明,否则本说明书和权利要求书中使用的以下术语具有下文所述的以下含义。
如本文所用,“烷基”、“C1、C2、C3、C4、C5或C6烷基”或“C1-C6烷基”旨在包括C1、C2、C3、C4、C5或C6直链(线性)饱和脂族烃基和C2、C3、C4、C5或C6支链饱和脂族烃基。例如,C1-C6烷基旨在包括C1、C2、C3、C4、C5或C6烷基。烷基的实例包括具有1至6个碳原子的部分,例如但不限于甲基、乙基、正丙基、异丙基、正丁基、仲丁基、叔丁基、正戊基、异戊基或正己基。在一些实施方案中,直链或支链烷基具有六个或更少的碳原子(例如对于直链为C1-C6,对于支链为C3-C6),并且在另一个实施方案中,直链或支链烷基具有四个或更少的碳原子。
如本文所用,术语“任选取代的烷基”是指未取代的烷基或具有替代烃主链的一个或多个碳上的一个或多个氢原子的指定取代基的烷基。此类取代基可包括例如烷基、烯基、炔基、卤素、羟基、烷基羰基氧基、芳基羰基氧基、烷氧基羰基氧基、芳氧基羰基氧基、羧酸酯、烷基羰基、芳基羰基、烷氧基羰基、氨基羰基、烷基氨基羰基、二烷基氨基羰基、烷硫基羰基、烷氧基、磷酸酯、膦酸酯(phosphonato)、次膦酸酯(phosphinato)、氨基(包括烷基氨基、二烷基氨基、芳基氨基、二芳基氨基和烷基芳基氨基)、酰氨基(包括烷基羰基氨基、芳基羰基氨基、氨基甲酰基和脲基)、脒基、亚氨基、巯基、烷硫基、芳硫基、硫代羧酸酯、硫酸酯、烷基亚磺酰基、磺酸酯基(sulphonato)、氨磺酰基、磺酰氨基、硝基、三氟甲基、氰基、叠氮基、杂环基、烷基芳基或芳族或杂芳基部分。
如本文所用,术语“烯基”包括在长度和可能的取代上类似于上述烷基但含有至少一个双键的不饱和脂族基团。例如,术语“烯基”包括直链烯基(例如乙烯基、丙烯基、丁烯基、戊烯基、己烯基、庚烯基、辛烯基、壬烯基、癸烯基)和支链烯基。在某些实施方案中,直链或支链烯基在其主链中具有六个或更少的碳原子(例如C2-C6直链,C3-C6支链)。术语“C2-C6”包括含有2至6个碳原子的烯基。术语“C3-C6”包括含有3至6个碳原子的烯基。
如本文所用,术语“任选取代的烯基”是指未取代的烯基或具有替代一个或多个烃主链碳原子上的一个或多个氢原子的指定取代基的烯基。此类取代基可包括例如烷基、烯基、炔基、卤素、羟基、烷基羰基氧基、芳基羰基氧基、烷氧基羰基氧基、芳氧基羰基氧基、羧酸酯基、烷基羰基、芳基羰基、烷氧基羰基、氨基羰基、烷基氨基羰基、二烷基氨基羰基、烷硫基羰基、烷氧基、磷酸酯、膦酸酯基、次膦酸酯基、氨基(包括烷基氨基、二烷基氨基、芳基氨基、二芳基氨基和烷基芳基氨基)、酰氨基(包括烷基羰基氨基、芳基羰基氨基、氨基甲酰基和脲基)、脒基、亚氨基、巯基、烷硫基、芳硫基、硫代羧酸酯、硫酸酯、烷基亚磺酰基、磺酸酯基、氨磺酰基、磺酰氨基、硝基、三氟甲基、氰基、杂环基、烷基芳基或芳族或杂芳族部分。
如本文所用,术语“炔基”包括在长度和可能的取代上类似于上述烷基但含有至少一个三键的不饱和脂族基团。例如,“炔基”包括直链炔基(例如乙炔基、丙炔基、丁炔基、戊炔基、己炔基、庚炔基、辛炔基、壬炔基、癸炔基)和支链炔基。在某些实施方案中,直链或支链炔基在其主链中具有六个或更少的碳原子(例如C2-C6直链,C3-C6支链)。术语“C2-C6”包括含有2至6个碳原子的炔基。术语“C3-C6”包括含有3至6个碳原子的炔基。如本文所用,“C2-C6亚烯基连接基”或“C2-C6亚炔基连接基”旨在包括C2、C3、C4、C5或C6链(直链或支链)二价不饱和脂族烃基。例如,C2-C6亚烯基连接基团旨在包括C2、C3、C4、C5和C6亚烯基连接基团。
如本文所用,术语“任选取代的炔基”是指未取代的炔基或具有替代一个或多个烃主链碳原子上的一个或多个氢原子的指定取代基的炔基。此类取代基可包括例如烷基、烯基、炔基、卤素、羟基、烷基羰基氧基、芳基羰基氧基、烷氧基羰基氧基、芳氧基羰基氧基、羧酸酯基、烷基羰基、芳基羰基、烷氧基羰基、氨基羰基、烷基氨基羰基、二烷基氨基羰基、烷硫基羰基、烷氧基、磷酸酯、膦酸酯基、次膦酸酯基、氨基(包括烷基氨基、二烷基氨基、芳基氨基、二芳基氨基和烷基芳基氨基)、酰氨基(包括烷基羰基氨基、芳基羰基氨基、氨基甲酰基和脲基)、脒基、亚氨基、巯基、烷硫基、芳硫基、硫代羧酸酯、硫酸酯、烷基亚磺酰基、磺酸酯基、氨磺酰基、磺酰胺基、硝基、三氟甲基、氰基、叠氮基、杂环基、烷基芳基或芳族或杂芳族部分。
其它任选取代的部分(例如任选取代的环烷基、杂环烷基、芳基或杂芳基)包括未取代的部分和具有一个或多个指定取代基的部分。例如,取代的杂环烷基包括被一个或多个烷基取代的那些,例如2,2,6,6-四甲基-哌啶基和2,2,6,6-四甲基-1,2,3,6-四氢吡啶基。
如本文所用,术语“环烷基”是指具有3至30个碳原子(例如C3-C12、C3-C10或C3-C8)的饱和或部分不饱和烃单环或多环(例如稠合、桥接或螺环)系统。环烷基的实例包括但不限于环丙基、环丁基、环戊基、环己基、环庚基、环辛基、环戊烯基、环己烯基、环庚烯基、1,2,3,4-四氢萘基和金刚烷基。在多环环烷基的情况下,环烷基中只有一个环需要是非芳族的。
如本文所用,术语“杂环烷基”是指饱和或部分不饱和的3-8元单环、7-12元双环(稠合、桥接或螺环)或11-14元三环系统(稠合、桥接或螺环),其具有一个或多个杂原子(例如O、N、S、P或Se),例如1或1-2或1-3或1-4或1-5或1-6个杂原子,或例如1、2、3、4、5或6个杂原子,其独立地选自氮、氧和硫,除非另有说明。杂环烷基的实例包括但不限于哌啶基、哌嗪基、吡咯烷基、二噁烷基、四氢呋喃基、异二氢吲哚基、二氢吲哚基、咪唑烷基、吡唑烷基、噁唑烷基、异噁唑烷基、三唑烷基、环氧乙烷基、氮杂环丁烷基、氧杂环丁烷基、硫杂环丁烷基、1,2,3,6-四氢吡啶基、四氢吡喃基、二氢吡喃基、吡喃基、吗啉基、四氢噻喃基、1,4-二氮杂环庚烷基、1,4-氧杂氮杂环庚烷基、2-氧杂-5-氮杂双环[2.2.1]庚烷基、2,5-二氮杂双环[2.2.1]庚烷基、2-氧杂-6-氮杂螺[3.3]庚烷基、2,6-二氮杂螺[3.3]庚烷基、1,4-二氧杂-8-氮杂螺[4.5]癸烷基;1,4-二-氧杂螺[4.5]癸烷基、1-氧杂螺[4.5]癸烷基、1-氮杂螺[4.5]癸烷基、3'H-螺[环己烷-1,1'-异苯并呋喃]-基、7'H-螺[环己烷-1,5'-呋喃并[3,4-b]吡啶]-基、3'H-螺[环己烷-1,1'-呋喃并[3,4-c]吡啶]-基、3-氮杂双环[3.1.0]己烷、3-氮杂双环[3.1.0]己-3-基、1,4,5,6-四氢吡咯并[3,4-c]吡唑基、3,4,5,6,7,8-六氢吡啶并[4,3-d]嘧啶基、4,5,6,7-四氢-1H-吡唑并[3,4-c]吡啶基、5,6,7,8-四氢吡啶并[4,3-d]嘧啶基、2-氮杂螺[3.3]庚基、2-甲基-2-氮杂螺[3.3]庚基、2-氮杂螺[3.5]壬基、2-甲基-2-氮杂螺[3.5]壬基、2-氮杂螺[4.5]癸基、2-甲基-2-氮杂螺[4.5]癸基、2-氧杂-氮杂螺[3.4]辛基、2-氧杂-氮杂螺[3.4]辛-6-基等。在多环杂环烷基的情况下,杂环烷基中只有一个环需要是非芳族的(例如4,5,6,7-四氢苯并[c]异噁唑基)。
如本文所用,术语“芳基”包括具有芳香性的基团,包括具有一个或多个芳族环并且在环结构中不含任何杂原子的“共轭”或多环体系。术语芳基包括单价物质和二价物质。芳基的实例包括但不限于苯基、联苯基、萘基等。适宜地,芳基为苯基。
如本文所用,术语“杂芳基”旨在包括稳定的5-、6-或7-元单环或7-、8-、9-、10-、11-或12-元双环芳族杂环,其由碳原子和一个或多个杂原子组成,例如1或1-2或1-3或1-4或1-5或1-6个杂原子,或例如1、2、3、4、5或6个杂原子,所述杂原子独立地选自氮、氧和硫。氮原子可以是取代的或未取代的(即N或NR,其中R是H或其他取代基,如所定义)。氮和硫杂原子可以任选地被氧化(即N→O和S(O)p,其中p=1或2)。应注意,芳族杂环中S和O原子的总数不超过1。杂芳基的实例包括吡咯、呋喃、噻吩、噻唑、异噻唑、咪唑、三唑、四唑、吡唑、噁唑、异噁唑、吡啶、吡嗪、哒嗪、嘧啶等。杂芳基还可以与非芳族的脂环族或杂环稠合或桥接,以形成多环体系(例如4,5,6,7-四氢苯并[c]异噁唑基)。
此外,术语“芳基”和“杂芳基”包括多环芳基和杂芳基,例如三环、双环,例如萘、苯并噁唑、苯并二噁唑、苯并噻唑、苯并咪唑、苯并噻吩、喹啉、异喹啉、萘啶、吲哚、苯并呋喃、嘌呤、苯并呋喃、去氮嘌呤、吲嗪。
环烷基、杂环烷基、芳基或杂芳基环可以在一个或多个环位置(例如成环碳或杂原子如N)被如上所述的取代基取代,所述取代基例如烷基、烯基、炔基、卤素、羟基、烷氧基、烷基羰基氧基、芳基羰基氧基、烷氧基羰基氧基、芳氧基羰基氧基、羧酸酯、烷基羰基、烷基氨基羰基、芳烷基氨基羰基、烯基氨基羰基、烷基羰基、芳基羰基、芳烷基羰基、烯基羰基、烷氧基羰基、氨基羰基、烷硫基羰基、磷酸酯、膦酸酯基、次膦酸酯基、氨基(包括烷基氨基、二烷基氨基、芳基氨基、二芳基氨基和烷基芳基氨基)、酰氨基(包括烷基羰基氨基、芳基羰基氨基、氨基甲酰基和脲基)、脒基、亚氨基、巯基、烷硫基、芳硫基、硫代羧酸酯、硫酸酯、烷基亚磺酰基、磺酸酯基、氨磺酰基、磺酰氨基、硝基、三氟甲基、氰基、叠氮基、杂环基、烷基芳基或芳族或杂芳族部分。芳基和杂芳基也可以与非芳族的脂环族或杂环稠合或桥接,以形成多环体系(例如四氢化萘、亚甲二氧基苯基如苯并[d][1,3]间二氧杂环戊烯-5-基)。
如本文所用,术语“取代的”是指指定原子上的任何一个或多个氢原子被选自所示基团的基团替代,条件是不超过指定原子的正常化合价,并且取代产生稳定的化合物。当取代基是氧代或酮基(即=O)时,则该原子上的2个氢原子被替换。酮取代基不存在于芳族部分上。如本文所用,环双键是在两个相邻环原子之间形成的双键(例如C=C、C=N或N=N)。“稳定的化合物”和“稳定的结构”意指足够稳健以经受从反应混合物中分离至有用的纯度并配制成有效的治疗剂的化合物。
当显示与取代基的键与连接环中两个原子的键交叉时,则这样的取代基可以键合到环中的任何原子。当列出取代基而没有指出该取代基通过其与给定通式的化合物的其余部分键合的原子时,则该取代基可以通过该式中的任何原子键合。取代基和/或变量的组合是允许的,但仅当此类组合产生稳定的化合物时。
当任何变量(例如R)在化合物的任何成分或通式中出现多于一次时,其在每次出现时的定义独立于其在其他每次出现时的定义。因此,例如,如果显示一个基团被0-2个R部分取代,则该基团可以任选地被至多两个R部分取代,并且R在每次出现时独立地选自R的定义。此外,取代基和/或变量的组合是允许的,但仅当这种组合产生稳定的化合物时。
如本文所用,术语“羟基(hydroxy)”或“羟基(hydroxyl)”包括具有-OH或-O-的基团。
如本文所用,术语“卤代”或“卤素”是指氟、氯、溴和碘。
如本文所用,术语“任选取代的卤代烷基”是指具有替代一个或多个烃主链碳原子上的一个或多个氢原子的指定取代基的未取代的卤代烷基。此类取代基可包括例如烷基、烯基、炔基、卤素、羟基、烷基羰基氧基、芳基羰基氧基、烷氧基羰基氧基、芳氧基羰基氧基、羧酸酯基、烷基羰基、芳基羰基、烷氧基羰基、氨基羰基、烷基氨基羰基、二烷基氨基羰基、烷硫基羰基、烷氧基、磷酸酯、膦酸酯基、次膦酸酯基、氨基(包括烷基氨基、二烷基氨基、芳基氨基、二芳基氨基和烷基芳基氨基)、酰氨基(包括烷基羰基氨基、芳基羰基氨基、氨基甲酰基和脲基)、脒基、亚氨基、巯基、烷硫基、芳硫基、硫代羧酸酯、硫酸酯、烷基亚磺酰基、磺酸酯基、氨磺酰基、磺酰胺基、硝基、三氟甲基、氰基、叠氮基、杂环基、烷基芳基,或芳族或杂芳族部分。
如本文所用,除非另有说明,否则表述“A、B或C中的一个或多个”、“一个或多个A、B或C”、“A、B和C中的一个或多个”、“一个或多个A、B和C”、“选自由A、B和C组成的组”、“选自A、B和C”等可互换使用,并且都是指选自由A、B和/或C组成的组的选择,即一个或多个A、一个或多个B、一个或多个C或其任何组合。
应当理解,本公开提供了用于合成本文所述的任何通式的化合物的方法。本公开还提供了根据以下方案以及实施例中所示的那些合成本公开的各种公开的化合物的详细方法。
应当理解,在整个说明书中,当组合物被描述为具有、包括或包含特定组分时,预期组合物也基本上由所述组分组成或由所述组分组成。类似地,在方法或工艺被描述为具有、包括或包含特定工艺步骤的情况下,所述工艺也基本上由所述工艺步骤组成或由所述工艺步骤组成。此外,应当理解,只要本发明保持可操作,步骤的顺序或执行某些行为的顺序是无关紧要的。此外,可以同时进行两个或更多个步骤或行为。
应当理解,本公开的合成方法可以容许各种各样的官能团,因此可以使用各种取代的起始材料。这些方法通常在整个方法结束时或接近结束时提供所需的最终化合物,尽管在某些情况下可能需要将化合物进一步转化为其药学上可接受的盐。
应当理解,本公开的化合物可以使用市售起始材料、文献中已知的化合物或由容易制备的中间体,通过采用本领域技术人员已知的或根据本文的教导对于本领域技术人员显而易见的标准合成方法和程序,以多种方式制备。用于制备有机分子和官能团转化和操作的标准合成方法和程序可以从相关科学文献或从本领域的标准教科书获得。尽管不限于任何一个或几个来源,但典型教科书,例如Smith,M.B.,March,J.,March’s AdvancedOrganic Chemistry:Reactions,Mechanisms,and Structure,第5版,John Wiley&Sons:New York,2001;Greene,T.W.,Wuts,P.G.M.,Protective Groups in Organic Synthesis,第3版,John Wiley&Sons:New York,1999;R.Larock,Comprehensive OrganicTransformations,VCH Publishers(1989);L.Fieser和M.Fieser,Fieser and Fieser’sReagents for Organic Synthesis,John Wiley和Sons(1994);和L.Paquette,ed.,Encyclopedia of Reagents for Organic Synthesis,John Wiley和Sons(1995)为本领域技术人员已知的有用和公认的有机合成参考教科书,其通过引用并入本文。
本领域普通技术人员将注意到,在本文所述的反应顺序和合成方案期间,可以改变某些步骤的顺序,例如引入和除去保护基团。本领域普通技术人员将认识到,某些基团可能需要通过使用保护基团来保护免受反应条件的影响。保护基团也可用于区分分子中的类似官能团。保护基团的列表以及如何引入和除去这些基团可以在Greene,T.W.,Wuts,P.G.M.,Protective Groups in Organic Synthesis,第3版,John Wiley&Sons:New York,1999中找到。
应当理解,除非另有说明,否则治疗方法的任何说明包括使用化合物来提供如本文所述的这种治疗或预防,以及使用化合物来制备治疗或预防这种病症的药物。应当理解,除非另有说明,否则治疗方法的任何描述包括使用化合物来提供如本文所述的这种治疗或预防,以及使用化合物来制备治疗这种病症的药物。治疗包括治疗人或非人动物,包括啮齿动物和其他疾病模型。
如本文所用,术语“受试者”可与术语“有需要的受试者”互换,两者都是指患有疾病或病症或具有增加的发展疾病或病症的风险的受试者。在一些实施方案中,受试者患有睡眠障碍或具有发展睡眠障碍的增加的风险。“受试者”包括哺乳动物。哺乳动物可以是例如人或适当的非人哺乳动物,例如灵长类动物、小鼠、大鼠、狗、猫、牛、马、山羊、骆驼、绵羊或猪。受试者也可以是鸟或家禽。在一个实施方案中,哺乳动物是人。有需要的受试者可以是先前已被诊断或鉴定为患有本文公开的疾病或病症的受试者。有需要的受试者也可以是正患有本文公开的疾病或病症的受试者。或者,有需要的受试者可以是相对于整个群体具有增加的发展这种疾病或病症的风险的受试者(即相对于整个群体倾向于发展这种病症的受试者)。有需要的受试者可患有本文公开的难治性或抗性疾病或病症(即本文公开的对治疗没有反应或尚未反应的疾病或病症)。受试者可以在治疗开始时具有抗性,或者可以在治疗期间变得具有抗性。在一些实施方案中,有需要的受试者接受了针对本文公开的疾病或病症的所有已知有效疗法并失败了。在一些实施方案中,有需要的受试者接受至少一种在先疗法。
如本文所用,术语“治疗(treating)”或“治疗(treat)”描述了为了对抗疾病、病症或障碍的目的而管理和护理受试者,并且包括施用本公开的化合物或其药学上可接受的盐、多晶型物或溶剂化物,以减轻疾病、病症或障碍的症状或并发症,或消除疾病、病症或障碍。术语“治疗”还可以包括体外细胞或动物模型的治疗。
应当理解,提及“治疗(treating)”或“治疗(treatment)”包括缓解已确定的病症症状。因此,状态、障碍或病症的“治疗(Treating)”或“治疗(treatment)”包括:(1)延迟在可能患有或易患该状态、障碍或病症但尚未经历或显示该状态、障碍或病症的临床或亚临床症状的人中发展的状态、障碍或病症的临床症状的出现,(2)抑制该状态、障碍或病症,即阻止、减少或延迟疾病或其复发(在维持治疗的情况下)或其至少一种临床或亚临床症状的发展,或(3)缓解或减轻疾病,即引起状态、障碍或病症或其至少一种临床或亚临床症状的消退。
应当理解,本公开的化合物或其药学上可接受的盐、多晶型物或溶剂化物能够或也可以用于预防相关疾病、病症或障碍,或用于鉴定用于此类目的的合适候选物。
如本文所用,术语“预防(preventing)”、“预防(prevent)”或“保护免受”描述了减少或消除此类疾病、病症或障碍的症状或并发症的发作。
应当理解,本领域技术人员可以参考一般参考文本来详细描述本文所讨论的已知技术或等效技术。这些教科书包括Ausubel等人,Current Protocols in MolecularBiology,John Wiley and Sons,Inc.(2005);Sambrook等人,Molecular Cloning,ALaboratory Manual(第3版),Cold Spring Harbor Press,Cold Spring Harbor,New York(2000);Coligan等人,Current Protocols in Immunology,John Wiley&Sons,N.Y.;Enna等人,Current Protocols in Pharmacology,John Wiley&Sons,N.Y.;Fingl等人,ThePharmacological Basis of Therapeutics(1975),Remington's PharmaceuticalSciences,Mack Publishing Co.,Easton,PA,第18版(1990)。当然,这些教科书也可以在制作或使用本公开的一个方面时被提及。
应当理解,本公开还提供了药物组合物,其包含本文所述的任何化合物与至少一种药学上可接受的赋形剂或载体的组合。
如本文所用,术语“药物组合物”是含有本公开的化合物的制剂,其呈适于向受试者施用的形式。在一个实施方案中,药物组合物是散装的或单位剂型。单位剂型是多种形式中的任一种,包括例如胶囊、IV袋、片剂、气溶胶吸入器上的单个泵或小瓶。单位剂量组合物中活性成分(例如所公开的化合物或其盐、水合物、溶剂化物或异构体的制剂)的量是有效量,并且根据所涉及的特定治疗而变化。本领域技术人员将理解,有时需要根据受试者的年龄和状况对剂量进行常规变化。剂量还将取决于施用途径。考虑了多种途径,包括口服、肺部、直肠、肠胃外、透皮、皮下、静脉内、肌内、腹膜内、吸入、口腔、舌下、胸膜内、鞘内、鼻内等。用于局部或透皮施用本公开化合物的剂型包括粉末、喷雾剂、软膏、糊剂、乳膏、洗剂、凝胶、溶液、贴剂和吸入剂。在一个实施方案中,将活性化合物在无菌条件下与药学上可接受的载体以及与所需的任何防腐剂、缓冲剂或推进剂混合。
如本文所用,术语“药学上可接受的”是指在合理的医学判断范围内,适合用于与人类和动物的组织接触而没有过度毒性、刺激、过敏反应或其他问题或并发症,与合理的利益/风险比相称的那些化合物、阴离子、阳离子、材料、组合物、载体和/或剂型。
如本文所用,术语“药学上可接受的赋形剂”是指可用于制备药物组合物的赋形剂,其通常是安全的、无毒的并且既不是生物学上也不是其他方面不期望的,并且包括兽医用途以及人类药物用途可接受的赋形剂。如说明书和权利要求书中使用的“药学上可接受的赋形剂”包括一种和多于一种这样的赋形剂。
应当理解,本公开的药物组合物被配制成与其预期的施用途径相容。施用途径的实例包括肠胃外,例如静脉内、皮内、皮下、口服(例如摄取)、吸入、透皮(局部)和透粘膜施用。用于肠胃外、皮内或皮下应用的溶液或悬浮液可包括以下组分:无菌稀释剂,例如注射用水、盐水溶液、固定油、聚乙二醇、甘油、丙二醇或其他合成溶剂;抗菌剂如苯甲醇或对羟基苯甲酸甲酯;抗氧化剂如抗坏血酸或亚硫酸氢钠;螯合剂如乙二胺四乙酸;缓冲剂如乙酸盐、柠檬酸盐或磷酸盐,以及用于调节张力的试剂如氯化钠或右旋糖。可以用酸或碱调节pH,例如盐酸或氢氧化钠。肠胃外制剂可以封装在由玻璃或塑料制成的安瓿、一次性注射器或多剂量小瓶中。
应当理解,本公开的化合物或药物组合物可以以许多众所周知的方法施用于受试者。作为非限制性实例,本公开的化合物可以作为注射剂、口服施用,或用贴剂通过皮肤施用。所选择的剂量应足以构成有效治疗,但不会高到起不可接受的副作用。疾病状况(例如本文公开的疾病或病症)的状态和受试者的健康应优选在治疗期间和治疗后的合理时间段内密切监测。
如本文所用,术语“有效量”是指治疗、改善或预防所鉴定的疾病、病症或病况或表现出可检测的治疗或抑制作用的药剂的量。可以通过本领域已知的任何测定方法检测效果。受试者的精确有效量将取决于受试者的体重、体型和健康状况;病症的性质和程度;和选择用于施用的治疗剂或治疗剂的组合。对于给定情况的治疗有效量可以通过临床医生的技能和判断范围内的常规实验来确定。
如本文所用,术语“治疗有效量”是指治疗或改善所鉴定的疾病、病症或病况或表现出可检测的治疗或抑制作用的药剂的量。可以通过本领域已知的任何测定方法检测效果。受试者的精确有效量将取决于受试者的体重、体型和健康状况;病症的性质和程度;和选择用于施用的治疗剂或治疗剂的组合。对于给定情况的治疗有效量可以通过临床医生的技能和判断范围内的常规实验来确定。可以向受试者施用“治疗有效量”用于治疗疾病或病症。“治疗有效量”将根据化合物、疾病及其严重程度以及待治疗受试者的年龄、体重等而变化。
应当理解,对于任何化合物,最初可以在细胞培养测定(例如肿瘤细胞)或动物模型(通常是大鼠、小鼠、家兔、狗或猪)中估计治疗有效量。动物模型也可用于确定适当的浓度范围和施用途径。然后可以使用这样的信息来确定用于在人中施用的有用剂量和途径。治疗/预防功效和毒性可以通过细胞培养物或实验动物中的标准药学程序来确定,例如ED50(在50%的群体中治疗有效的剂量)和LD50(对50%的群体致死的剂量)。毒性和治疗效果之间的剂量比是治疗指数,并且它可以表示为比率LD50/ED50。表现出大治疗指数的药物组合物是优选的。剂量可以在该范围内变化,这取决于所采用的剂型、受试者的敏感性和施用途径。
调整剂量和施用以提供足够水平的活性剂或维持所需效果。可以考虑的因素包括疾病或病症状态的严重程度、受试者的一般健康状况、受试者的年龄、体重和性别、饮食、施用时间和频率、药物组合、反应敏感性和对治疗的耐受性/反应。
含有本公开的活性化合物的药物组合物可以以通常已知的方式制备,例如通过常规的混合、溶解、制粒、制糖衣丸、磨细(levigating)、乳化、包封、包埋或冻干方法。药物组合物可以使用一种或多种药学上可接受的载体以常规方式配制,所述载体包括有助于将活性化合物加工成药学上可使用制剂的赋形剂和/或助剂。当然,适当的制剂取决于所选择的施用途径。
适合于可注射使用的药物组合物包括无菌水溶液(在水溶性的情况下)或分散体和用于临时制备无菌可注射溶液或分散体的无菌粉末。对于静脉内施用,适合的载体包括生理盐水、抑菌水、Cremophor ELTM(BASF,Parsippany,N.J.)或磷酸盐缓冲盐水(PBS)。在所有情况下,组合物必须是无菌的,并且应该是达到存在容易注射性的程度的流体。它在制造和储存条件下必须是稳定的,并且必须防止微生物如细菌和真菌的污染作用。载体可以是溶剂或分散介质,其含有例如水、乙醇、多元醇(例如甘油、丙二醇和液体聚乙二醇等)及其适合的混合物。可以例如通过使用包衣如卵磷脂、在分散体的情况下通过维持所需的粒度和通过使用表面活性剂来维持适当的流动性。防止微生物的作用可以通过各种抗细菌剂和抗真菌剂来实现,例如对羟基苯甲酸酯、氯丁醇、苯酚、抗坏血酸、硫柳汞等。在许多情况下,优选在组合物中包含等渗剂,例如糖、多元醇(如甘露醇和山梨醇)和氯化钠。可注射组合物的延长吸收可以通过在组合物中包含延迟吸收的试剂(例如单硬脂酸铝和明胶)来实现。
无菌可注射溶液可以通过将所需量的活性化合物与上文列举的成分中的一种或组合(根据需要)一起掺入适当的溶剂中,然后过滤灭菌来制备。通常,通过将活性化合物掺入无菌媒介物中来制备分散体,所述无菌媒介物含有基础分散介质和来自上文列举的那些的所需其他成分。在用于制备无菌可注射溶液的无菌粉末的情况下,制备方法是真空干燥和冷冻干燥,其产生活性成分加上来自其先前无菌过滤溶液的任何另外的所需成分的粉末。
口服组合物通常包括惰性稀释剂或可食用的药学上可接受的载体。它们可以包封在明胶胶囊中或压制成片剂。为了口服治疗给药的目的,可以将活性化合物与赋形剂混合并以片剂、锭剂或胶囊的形式使用。口服组合物也可以使用用作漱口水的流体载体制备,其中流体载体中的化合物口服施用并漱口和吐出或吞咽。可以包括药学上相容的粘合剂和/或佐剂材料作为组合物的一部分。片剂、丸剂、胶囊、锭剂等可含有以下成分或类似性质的化合物中的任一种:粘合剂如微晶纤维素、黄蓍胶或明胶;赋形剂如淀粉或乳糖,崩解剂如海藻酸、Primogel或玉米淀粉;润滑剂如硬脂酸镁或Sterotes;助流剂如胶体二氧化硅;甜味剂如蔗糖或糖精;或调味剂如薄荷、水杨酸甲酯或橙味调味剂。
对于通过吸入施用,化合物以气雾剂的形式从加压容器或分配器递送,所述加压容器或分配器含有适合的推进剂,例如气体如二氧化碳,或雾化剂。
全身施用也可以通过透粘膜或透皮方式进行。对于经粘膜或经皮施用,在制剂中使用适合于待渗透的屏障的渗透剂。此类渗透剂通常是本领域已知的,并且包括例如用于经粘膜施用的洗涤剂、胆汁盐和夫西地酸(fusidic acid)衍生物。经粘膜施用可以通过使用鼻喷雾剂或栓剂来实现。对于透皮给药,将活性化合物配制成本领域通常已知的软膏、油膏、凝胶或乳膏。
活性化合物可以用药学上可接受的载体制备,所述载体将保护化合物免于从体内快速消除,例如控释制剂,包括植入物和微囊化递送系统。可以使用生物可降解的、生物相容的聚合物,例如乙烯乙酸乙烯酯、聚酐、聚乙醇酸、胶原、聚原酸酯和聚乳酸。制备此类制剂的方法对于本领域技术人员来说是显而易见的。所述材料也可以从Alza Corporation和Nova Pharmaceuticals,Inc.商购获得。脂质体悬浮液(包括用针对病毒抗原的单克隆抗体靶向感染细胞的脂质体)也可以用作药学上可接受的载体。这些可以根据本领域技术人员已知的方法制备,例如美国专利号4,522,811中所述。
特别有利的是以剂量单位形式配制口服或肠胃外组合物,以便于施用和剂量的均匀性。如本文所用的剂量单位形式是指适合作为用于待治疗受试者的单位剂量的物理上离散的单位;每个单位含有经计算产生所需治疗效果的预定量的活性化合物以及所需的药物载体。本公开的剂量单位形式的规格由活性化合物的独特特征和待实现的特定治疗效果决定并且直接取决于活性化合物的独特特征和待实现的特定治疗效果。
在治疗应用中,根据本公开使用的药物组合物的剂量根据药剂、受体受试者的年龄、体重和临床状况以及施用疗法的临床医生或从业者的经验和判断以及影响所选剂量的其他因素而变化。通常,剂量应足以导致本文公开的疾病或病症的症状减慢,优选消退,并且还优选引起疾病或病症的完全消退。药剂的有效量是提供如临床医生或其他有资格的观察者所指出的客观上可识别的改善的量。睡眠紊乱、睡眠碎片化、觉醒或觉醒阈值的改善表明消退。如本文所用,术语“剂量有效方式”是指在受试者或细胞中产生所需生物效应的活性化合物的量。
应当理解,药物组合物可以与施用说明书一起包含在容器、包装或分配器中。
应当理解,对于能够进一步形成盐的本公开的化合物,所有这些形式也被考虑在所要求保护的公开的范围内。
如本文所用,术语“药学上可接受的盐”是指本公开化合物的衍生物,其中母体化合物通过制备其酸盐或碱盐来修饰。药学上可接受的盐的实例包括但不限于碱性残基(例如胺)的无机酸盐或有机酸盐、酸性残基(例如羧酸)的碱盐或有机盐等。药学上可接受的盐包括例如由无毒无机或有机酸形成的母体化合物的常规无毒盐或季铵盐。例如,这样的常规无毒盐包括但不限于衍生自选自以下的无机和有机酸的那些:2-乙酰氧基苯甲酸、2-羟基乙磺酸、乙酸、抗坏血酸、苯磺酸、苯甲酸、碳酸氢盐、碳酸、柠檬酸、乙二胺四乙酸、乙二磺酸、1,2-乙磺酸、富马酸、葡庚糖酸、葡糖酸、谷氨酸、乙醇酸、乙醇基对氨基苯砷酸(glycollyarsanilic)、己基间苯二酚酸(hexylresorcinic)、hydrabamic、氢溴酸、盐酸、氢碘酸、羟基马来酸、羟基萘甲酸、羟乙磺酸、乳酸、乳糖酸、月桂基磺酸、马来酸、苹果酸、扁桃酸、甲磺酸、萘磺酸(napsylic acid)、硝酸、草酸、双羟萘酸、泛酸、苯乙酸、磷酸、聚半乳糖醛酸(polygalacturonic)、丙酸、水杨酸、硬脂酸、次乙酸(subacetic)、琥珀酸、氨基磺酸、对氨基苯磺酸(sulphanilic)、硫酸、单宁酸、酒石酸、甲苯磺酸和通常存在的氨基酸,例如甘氨酸、丙氨酸、苯丙氨酸、精氨酸等。
在一些实施方案中,药学上可接受的盐是钠盐、钾盐、钙盐、镁盐、二乙胺盐、胆碱盐、葡甲胺盐、苄星(benzathine)盐、氨丁三醇盐、铵盐、精氨酸盐或赖氨酸盐。
药学上可接受的盐的其它实例包括己酸、环戊烷丙酸、丙酮酸、丙二酸、3-(4-羟基苯甲酰基)苯甲酸、肉桂酸、4-氯苯磺酸、2-萘磺酸、4-甲苯磺酸、樟脑磺酸、4-甲基双环-[2.2.2]-辛-2-烯-1-羧酸、3-苯基丙酸、三甲基乙酸、叔丁基乙酸、粘康酸等。本公开还涵盖当母体化合物中存在的酸性质子被金属离子(例如碱金属离子、碱土金属离子或铝离子)置换时形成的盐;或与有机碱如乙醇胺、二乙醇胺、三乙醇胺、氨丁三醇、N-甲基葡糖胺等配位时形成的盐。在盐形式中,应当理解,化合物与盐的阳离子或阴离子的比率可以是1:1,或除1:1之外的任何比率,例如3:1、2:1、1:2或1:3。
应当理解,对药学上可接受的盐的所有提及包括相同盐的如本文所定义的溶剂加成形式(溶剂化物)或晶体形式(多晶型物)。
所述化合物或其药学上可接受的盐经口、经鼻、经皮、经肺、吸入、经颊、舌下、腹膜内、皮下、肌肉内、静脉内、经直肠、胸膜内、鞘内和肠胃外施用。在一个实施方案中,口服施用化合物。本领域技术人员将认识到某些施用途径的优点。
作为实例,盐可以在阴离子和本文公开的取代的化合物上的带正电荷的基团(例如氨基)之间形成。适合的阴离子包括氯离子、溴离子、碘离子、硫酸根、硫酸氢根、氨基磺酸根、硝酸根、磷酸根、柠檬酸根、甲磺酸根、三氟乙酸根、谷氨酸根、葡糖醛酸根、戊二酸根、苹果酸根、马来酸根、琥珀酸根、富马酸根、酒石酸根、甲苯磺酸根、水杨酸根、乳酸根、萘磺酸根和乙酸根(例如三氟乙酸根)。
如本文所用,术语“药学上可接受的阴离子”是指适于形成药学上可接受的盐的阴离子。同样,盐也可以在阳离子和本文公开的取代的化合物上的带负电荷的基团(例如羧酸根)之间形成。适合的阳离子包括钠离子、钾离子、镁离子、钙离子和铵阳离子如四甲基铵离子或二乙胺离子。本文公开的取代的化合物还包括含有季氮原子的那些盐。
应当理解,本公开的化合物,例如化合物的盐,可以以水合或未水合(无水)形式存在或作为与其他溶剂分子的溶剂化物存在。水合物的非限制性实例包括一水合物、二水合物等。溶剂化物的非限制性实例包括乙醇溶剂化物、丙酮溶剂化物等。
如本文所用,术语“溶剂化物”意指含有化学计量或非化学计量量的溶剂的溶剂加成形式。一些化合物倾向于在结晶固态中捕获固定摩尔比的溶剂分子,从而形成溶剂化物。如果溶剂是水,则形成的溶剂化物是水合物;并且如果溶剂是醇,则形成的溶剂化物是醇化物。水合物通过一个或多个水分子与一个物质分子的组合形成,其中水保持其分子状态为H2O。
如本文所用,术语“类似物”是指在结构上与另一种化合物相似但在组成上略有不同(如一个原子被不同元素的原子替代或在特定官能团的存在下,或一个官能团被另一个官能团替代)的化合物。因此,类似物是在功能和外观上、但不在结构或来源上与参比化合物相似或相当的化合物。
如本文所用,术语“衍生物”是指具有共同核心结构并且被如本文所述的各种基团取代的化合物。
如本文所用,术语“生物电子等排体”是指由一个原子或一组原子与另一个广泛相似的原子或一组原子的交换产生的化合物。生物电子等排置换的目的是产生具有与母体化合物相似的生物学性质的新化合物。生物电子等排置换可以是基于物理化学或拓扑学的。羧酸生物电子等排体的实例包括但不限于酰基磺酰胺、四唑、磺酸酯和膦酸酯。参见例如Patani和LaVoie,Chem.Rev.96,3147-3176,1996。
如本文所用,“2HPβCD”是指(2-羟丙基)-β-环糊精。
如本文所用,“REM”是指快动眼睡眠阶段(rapid eye movement sleep stage)。
如本文所用,“SEM”是指平均值的标准误差。
如本文所用,“CT”是指昼夜节律时间。
如本文所用,“睡眠连续性”是指睡眠-回合长度(sleep-bout length)的测量。
如本文所用,睡眠的“深度”由EEG慢波活动表征,其可以促进睡眠连续性或睡眠巩固,这是睡眠质量的若干决定因素之一。
如本文所用,“SWA”是指慢波活动,其可以通过使用傅里叶分析被例示为EEGΔ功率。
如本文所用,术语“大鼠”和“实验室大鼠”可互换使用。
如本文所用,措词“本公开的化合物”是指本文一般和具体公开的那些化合物。
“不间断睡眠回合”(平均睡眠回合持续时间)在本文中定义为每小时发生的所有不间断睡眠回合的平均持续时间,以分钟计。“中断”被定义为2个或更多个连续的10秒觉醒时期。将延伸到后续小时中的回合长度的值分配给其开始的小时。可以对觉醒回合进行类似的定量。睡眠回合长度是特别感兴趣的,因为它可以反映人类在夜间周期性醒来的趋势(这种醒来通常不会被回忆),这又可能是确定人类睡眠恢复值的重要因素。睡眠回合持续时间的临床前测量也是人类中催眠功效的强预测因子。
“到觉醒的转变次数”(从睡眠到觉醒的转变次数)是每小时在睡眠(包括任何客观确定的睡眠阶段)之后觉醒(包括任何客观确定的觉醒阶段)的次数的计数。出于该定义的目的,紧跟在睡眠之后的单个合格的10秒觉醒时期构成从睡眠到醒来的转变。紧跟在一个或多个10秒时期睡眠或睡眠之后的一个或多个连续10秒时期觉醒也被计数为从睡眠到觉醒的转变。包含最少50%觉醒内容(由该时期内的EEG和EMG确定)的10秒时期可以被分类为整个时期的觉醒。转变到醒来的次数是令人感兴趣的,因为它们提供了每小时觉醒次数(从睡眠到醒来的转变)的直接测量。觉醒次数是动物和人类中睡眠碎片化的有用量度。改善睡眠碎片化的药物已被证明可改善睡眠的恢复益处。
“LMA强度”定义为每分钟EEG定义的觉醒的LMA计数。该变量允许评估与清醒时间量无关的LMA;因此,它可用于量化觉醒或睡眠促进作用的特异性。
如本文所用,“时间接近”(temporal proximity)意指一种治疗剂的施用在另一种治疗剂施用之前或之后的时间段内发生,使得一种治疗剂的治疗效果与另一种治疗剂的治疗效果重叠。在一些实施方案中,一种治疗剂的治疗效果与另一种治疗剂的治疗效果完全重叠。在一些实施方案中,“时间接近”意指一种治疗剂的施用发生在施用另一种治疗剂之前或之后的时间段内,使得在一种治疗剂和另一种治疗剂之间存在协同效应。“时间接近”可以根据各种因素而变化,包括但不限于待施用治疗剂的受试者的年龄、性别、体重、遗传背景、医学状况、病症、疾病史和治疗史;待治疗或改善的疾病、病症或病状;待实现的治疗结果;治疗剂的剂量、给药频率和给药持续时间;治疗剂的药代动力学和药效学;以及施用治疗剂的途径。在一些实施方案中,“时间接近”意指在15分钟内、30分钟内、1小时内、2小时内、4小时内、6小时内、8小时内、12小时内、18小时内、24小时内、36小时内、2天内、3天内、4天内、5天内、6天内、1周内、2周内、3周内、4周内、6周内或8周内。在一些实施方案中,一种治疗剂的多次施用可以在时间上接近于另一种治疗剂的单次施用而发生。在一些实施方案中,时间接近可以在治疗周期期间或在给药方案内改变。
除非另有明确说明,否则术语“大约”和“约”是同义的。在一些实施方案中,“大约”和“约”是指所列举的量、值、剂量或持续时间±20%、±15%、±10%、±8%、±6%、±5%、±4%、±2%、±1%或±0.5%。在另一个实施方案中,“大约”和“约”是指列出的量或持续时间±10%、±8%、±6%、±5%、±4%或±2%。在一些实施方案中,“大约”和“约”是指列出的量、值、剂量或持续时间±5%。在一些实施方案中,“大约”和“约”是指列出的量、值、剂量或持续时间±2%。在一些实施方案中,“大约”和“约”是指列出的量、值、剂量或持续时间±1%。
还应当理解,本文公开的任何一种通式的某些化合物可以以溶剂化以及非溶剂化形式存在,例如水合形式。适合的药学上可接受的溶剂化物是例如水合物,例如半水合物、一水合物、二水合物或三水合物。应理解,本公开涵盖具有H1/5-HT2A调节活性的所有此类溶剂化形式。
还应理解,本文公开的任一通式的某些化合物可表现出多晶型,并且本公开涵盖具有H1/5-HT2A调节活性的所有此类形式或其混合物。通常已知可以使用常规技术分析结晶材料,例如X射线粉末衍射分析、差示扫描量热法、热重分析、漫反射红外傅里叶变换(DRIFT)光谱法、近红外(NIR)光谱法、溶液和/或固态核磁共振光谱法。此类结晶材料的水含量可通过卡尔·费歇尔分析测定。
本文公开的任何一个通式的化合物可以以许多不同的互变异构形式存在,并且提及式(I)、(II)和(II')的化合物包括所有这些形式。为避免疑义,当化合物可以以几种互变异构形式中的一种存在,并且仅具体描述或显示了一种时,所有其他形式仍然包括在式(I)、(II)或(II')中。互变异构形式的实例包括酮-、烯醇-和烯醇化物-形式,例如以下互变异构对:酮/烯醇(如下所示)、亚胺/烯胺、酰胺/亚氨基醇、脒/脒、亚硝基/肟、硫酮/烯硫醇和硝基/酸式硝基。
含有胺官能团的本文公开的任何一种通式的化合物也可以形成N-氧化物。本文提及的含有胺官能团的式(I)、(II)和(II')的化合物还包括N-氧化物。当化合物含有几个胺官能团时,一个或多于一个氮原子可以被氧化以形成N-氧化物。N-氧化物的具体实例是叔胺或含氮杂环的氮原子的N-氧化物。N-氧化物可以通过用氧化剂如过氧化氢或过酸(例如过氧羧酸)处理相应的胺来形成,参见例如Advanced Organic Chemistry,Jerry March,第4版,Wiley Interscience,页。具体地,N-氧化物可以通过L.W.Deady(Syn.Comm.1977,7,509-514)的方法制备,其中胺化合物与间氯过氧苯甲酸(mCPBA)反应,例如在惰性溶剂如二氯甲烷中。
本文公开的任一通式的化合物可以以前药的形式施用,所述前药在人或动物体内分解以释放本公开的化合物。前药可用于改变本公开化合物的物理性质和/或药代动力学性质。当本公开的化合物含有可以连接性质修饰基团的适合的基团或取代基时,可以形成前药。前药的实例包括在本文公开的任一个通式中的酯或酰胺基团处含有体内可裂解的烷基或酰基取代基的衍生物。
如本文所用,术语“异构现象”是指具有相同分子式但在其原子的键合顺序或其原子的空间排列方面不同的化合物。原子空间排列不同的异构体称为“立体异构体”,彼此不是镜像的立体异构体称为“非对映异构体”,彼此是不可重叠镜像的立体异构体称为“对映异构体”或有时称为光学异构体。含有等量的相反手性的单独对映异构体形式的混合物称为“外消旋混合物”。
如本文所用,术语“手性中心”是指与四个不相同的取代基(例如碳原子)键合的原子。
如本文所用,术语“手性异构体”是指具有至少一个手性中心的化合物。具有一个以上手性中心的化合物作为单个非对映异构体或对映异构体混合物存在,称作“非对映异构体混合物”。当存在一个手性中心时,立体异构体的特征在于该手性中心的绝对构型(R或S)。绝对构型是指与手性中心连接的取代基的空间排列。连接到所考虑的手性中心的取代基根据Cahn、Ingold和Prelog的顺序规则排序(Cahn等人,Angew.Chem.Inter.Edit.1966,5,385;errata 511;Cahn等人,Angew.Chem.1966,78,413;Cahn and Ingold,J.Chem.Soc.1951(London),612;Cahn等人,Experientia 1956,12,81;Cahn,J.Chem.Educ.1964,41,116)。
如本文所用,术语“几何异构体”意指其存在归因于围绕双键或环烷基接头(例如1,3-环丁基)的受阻旋转的非对映异构体。这些构型在其名称上通过前缀顺式和反式或Z和E区分,其指示根据Cahn-Ingold-Prelog规则,基团在分子中双键的同侧或相对侧。
应当理解,本公开的化合物可以描述为不同的手性异构体或几何异构体。还应理解,当化合物具有手性异构或几何异构形式时,所有异构形式都旨在包括在本公开的范围内,并且化合物的命名不排除任何异构形式,应理解,并非所有异构体都可以具有相同水平的活性。
应当理解,本公开中讨论的结构和其他化合物包括其所有阻转异构体。还应当理解,并非所有的阻转异构体都可以具有相同水平的活性。
如本文所用,术语“阻转异构体”是其中两种异构体的原子在空间上排列不同的立体异构体类型。阻转异构体的存在归因于大基团围绕中心键的旋转受阻引起的旋转受限。这样的阻转异构体典型地以混合物形式存在,然而,由于色谱技术的最新进展,已经可以在选择的情况下分离两种阻转异构体的混合物。
如本文所用,术语“互变异构体”为平衡存在的两种或更多种结构异构体中的一种,并且容易从一种异构形式转化为另一种异构形式。这种转化导致氢原子的形式迁移,伴随着相邻共轭双键的转换。互变异构体在溶液中作为互变异构组的混合物存在。在可能互变异构化的溶液中,将达到互变异构体的化学平衡。互变异构体的确切比例取决于若干因素,包括温度、溶剂和pH。可通过互变异构相互转化的互变异构体的概念称为互变异构现象。在可能的各种类型的互变异构现象中,通常观察到两种。在酮-烯醇互变异构中,电子和氢原子同时发生位移。环-链互变异构现象是由于糖链分子中的醛基(-CHO)与同一分子中的羟基(-OH)中的一个反应而产生环状(环形)形式,如葡萄糖所示。
应当理解,本公开的化合物可以描述为不同的互变异构体。还应当理解,当化合物具有互变异构形式时,所有互变异构形式旨在包括在本公开的范围内,并且化合物的命名不排除任何互变异构体形式。应当理解,某些互变异构体可以具有比其他互变异构体更高的活性水平。
具有相同分子式但其原子键合的性质或顺序或其原子在空间中的排列不同的化合物被称为“异构体”。原子空间排列不同的异构体称为“立体异构体”。彼此不是镜像的立体异构体被称为“非对映异构体”,并且彼此是不可重叠的镜像的那些被称为“对映异构体”。当化合物具有不对称中心时,例如,它与四个不同的基团键合,一对对映异构体是可能的。对映异构体可以通过其不对称中心的绝对构型来表征,并且通过Cahn和Prelog的R-和S-排序规则来描述,或者通过分子旋转偏振光平面的方式来描述,并指定为右旋或左旋(即分别为(+)或(-)-异构体)。手性化合物可以作为单独的对映异构体或作为其混合物存在。含有等比例对映异构体的混合物称为“外消旋混合物”。
本公开的化合物可具有一个或多个不对称中心;因此,这样的化合物可以作为单独的(R)-或(S)-立体异构体或作为其混合物产生。除非另有说明,否则说明书和权利要求书中特定化合物的说明或命名旨在包括单独的对映异构体及混合物、其外消旋混合物或其他混合物。用于测定立体化学和分离立体异构体的方法是本领域熟知的(参见AdvancedOrganic Chemistry”第4章中的讨论,第4版,J.March,John Wiley和Sons,New York,2001),例如通过从光学活性起始材料合成或通过拆分外消旋形式。本公开的一些化合物可具有几何异构中心(E-和Z-异构体)。应理解,本公开涵盖具有H1/5-HT2A-调节活性的所有光学异构体、非对映异构体和几何异构体及其混合物。
因此,本公开包括当通过有机合成可获得时以及当通过其前药的裂解在人或动物体内可获得时如上文所定义的本文公开的任何一种通式的那些化合物。因此,本公开包括通过有机合成方法产生的本文公开的任何一种通式的那些化合物,以及通过前体化合物的代谢在人或动物体内产生的这样的化合物,即本文公开的任何一种通式的化合物可以是合成产生的化合物或代谢产生的化合物。
本文公开的任何一种通式的化合物的适合的药学上可接受的前药是基于合理的医学判断为适合于向受试者施用而没有不期望的药理学活性并且没有过度毒性的前药。各种形式的前体药物已有描述,例如在以下文件中:a)Methods in Enzymology,第42卷,p.309-396,K.Widder等人编辑(Academic Press,1985);b)Design of Pro-drugs,H.Bundgaard编辑(Elsevier,1985);c)A Textbook of Drug Design and Development,Krogsgaard-Larsen和H.Bundgaard编辑,第5章“Design and Application of Pro-drugs”,H.Bundgaard p.113-191(1991);d)H.Bundgaard,Advanced Drug DeliveryReviews,8,1-38(1992);e)H.Bundgaard,等人,Journal of Pharmaceutical Sciences,77,285(1988);f)N.Kakeya,等人,Chem.Pharm.Bull.,32,692(1984);g)T.Higuchi和V.Stella,“Pro-Drugs as Novel Delivery Systems”,A.C.S.Symposium Series,第14卷;和h)E.Roche(editor),“Bioreversible Carriers in Drug Design”,Pergamon Press,1987。
具有羟基基团的本文公开的任一通式的化合物的适合的药学上可接受的前药是例如其体内可裂解的酯或醚。含有羟基基团的具有本文披露的化学式中的任一个的化合物的体内可裂解的酯或醚是例如药学上可接受的酯或醚,其在受试者中裂解以产生母体羟基化合物。羟基的适合的药学上可接受的酯形成基团包括无机酯,例如磷酸酯(包括磷酰胺环酯)。羟基的其它适合的药学上可接受的酯形成基团包括:C1-C10烷酰基如乙酰基、苯甲酰基、苯乙酰基和取代的苯甲酰基和苯乙酰基、C1-C10烷氧基羰基如乙氧基羰基、N,N-(C1-C6烷基)2氨基甲酰基、2-二烷基氨基乙酰基和2-羧基乙酰基。苯乙酰基和苯甲酰基上的环取代基的实例包括氨基甲基、N-烷基氨基甲基、N,N-二烷基氨基甲基、吗啉代甲基、哌嗪-1-基甲基和4-(C1-C4烷基)哌嗪-1-基甲基。羟基的适合的药学上可接受的醚形成基团包括α-酰氧基烷基,例如乙酰氧基甲基和新戊酰氧基甲基。
具有羧基基团的本文公开的任何一个通式的化合物的适合的药学上可接受的前药是例如其体内可裂解的酰胺,例如与以下形成的酰胺:胺如氨、C1-4烷基胺如甲胺、(C1-C4烷基)2胺如二甲胺、N-乙基-N-甲胺或二乙胺、C1-C4烷氧基-C2-C4烷基胺如2-甲氧基乙胺、苯基-C1-C4烷基胺如苄胺,和氨基酸如甘氨酸或其酯。
具有氨基基团的本文公开的任一通式的化合物的适合的药学上可接受的前药是例如其体内可裂解的酰胺衍生物。来自氨基的适合的药学上可接受的酰胺包括例如与以下形成的酰胺:C1-C10烷酰基如乙酰基、苯甲酰基、苯乙酰基和取代的苯甲酰基和苯乙酰基。苯乙酰基和苯甲酰基上的环取代基的实例包括氨基甲基、N-烷基氨基甲基、N,N-二烷基氨基甲基、吗啉代甲基、哌嗪-1-基甲基和4-(C1-C4烷基)哌嗪-1-基甲基。
利用化合物的剂量方案根据多种因素选择,包括受试者的类型、物种、年龄、体重、性别和医学状况;待治疗病症的严重程度;给药途径;受试者的肾和肝功能;以及所用的具体化合物或其盐。普通熟练的医师或兽医可以容易地确定和开出预防、对抗或阻止病症进展所需的药物的有效量。普通技能的医师或兽医可以容易地确定和开出对抗或阻止病症进展所需的药物的有效量。
用于配制和施用所公开的本公开化合物的技术可见于Remington:the Scienceand Practice of Pharmacy,第19版,Mack Publishing Co.,Easton,PA(1995)。在一个实施方案中,本文所述的化合物及其药学上可接受的盐与药学上可接受的载体或稀释剂组合用于药物制剂中。适合的药学上可接受的载体包括惰性固体填充剂或稀释剂和无菌水溶液或有机溶液。化合物将以足以提供本文所述范围内的所需剂量的量存在于此类药物组合物中。
除非另有说明,否则本文所用的所有百分比和比率均按重量计。根据不同的实施例,本公开的其他特征和优点是显而易见的。所提供的实施例说明了可用于实践本公开的不同组分和方法。实施例不限制所要求保护的公开内容。基于本公开,本领域技术人员可以鉴定和采用可用于实施本公开的其他成分和方法。
在本文所述的合成方案中,为简单起见,化合物可以用一种特定构型绘制。此类特定构型不应解释为将本公开限制于一种或另一种异构体、互变异构体、区域异构体或立体异构体,也不排除异构体、互变异构体、区域异构体或立体异构体的混合物;然而,应当理解,给定的异构体、互变异构体、区域异构体或立体异构体可以具有比另一种异构体、互变异构体、区域异构体或立体异构体更高水平的活性。
本文引用的所有出版物和专利文献通过引用并入本文,如同每个这样的出版物或文献被具体地和单独地指出通过引用并入本文。出版物和专利文献的引用并不旨在承认任何出版物和专利文献是相关的现有技术,也不构成对其内容或日期的任何承认。现在已经通过书面说明书描述了本发明,本领域技术人员将认识到,本发明可以在各种实施方案中实践,并且前述说明书和以下实施例是出于示例的目的,而不是限制所附权利要求。
本公开的化合物
在一些方面,本公开特别地提供了式(I)的化合物:
或其前药、溶剂化物或药学上可接受的盐,其中:
R1为C1-C6烷基、C2-C6烯基、C2-C6炔基、C1-C6卤代烷基、C1-C6烷氧基或C3-C6环烷基;
R2为C1-C6烷基、C2-C6烯基、C2-C6炔基、C1-C6卤代烷基、C1-C6烷氧基或C3-C6环烷基;或
R1和R2与它们所连接的原子一起形成C3-C6饱和或部分不饱和环烷基或包含1-5个选自N、O和S的杂原子的3-至14-元饱和或部分不饱和杂环;
R3为H、卤素、–S(C1-C6烷基)、–N(C1-C6烷基)2、–NH(C1-C6烷基)、–NH2、C1-C6烷基、C2-C6烯基、C2-C6炔基、C1-C6卤代烷基、C1-C6烷氧基、C1-C6卤代烷氧基或C3-C6环烷基;
R4为H、卤素、–S(C1-C6烷基)、–N(C1-C6烷基)2、–NH(C1-C6烷基)、–NH2、C1-C6烷基、C2-C6烯基、C2-C6炔基、C1-C6卤代烷基、C1-C6烷氧基、C1-C6卤代烷氧基或C3-C6环烷基;
R5为H、卤素、–S(C1-C6烷基)、–N(C1-C6烷基)2、–NH(C1-C6烷基)、–NH2、C1-C6烷基、C2-C6烯基、C2-C6炔基、C1-C6卤代烷基、C1-C6烷氧基、C1-C6卤代烷氧基或C3-C6环烷基;
R6为H、卤素、–S(C1-C6烷基)、–N(C1-C6烷基)2、–NH(C1-C6烷基)、–NH2、C1-C6烷基、C2-C6烯基、C2-C6炔基、C1-C6卤代烷基、C1-C6烷氧基、C1-C6卤代烷氧基或C3-C6环烷基;
R7为H、氘、C1-C6烷基、C2-C6烯基或C2-C6炔基;
R8为H、氘、C1-C6烷基、C2-C6烯基或C2-C6炔基;且
R9为H、C1-C6烷基、C2-C6烯基、C2-C6炔基、C1-C6卤代烷基或C3-C6环烷基,
条件是R3、R4、R5和R6的至少一个为H。
在一些方面,本公开特别地提供了式(II)的化合物:
或其前药、溶剂化物或药学上可接受的盐,其中:
X为CR7R8、O、S或NR7;
R1为C1-C6烷基、C2-C6烯基、C2-C6炔基、C1-C6卤代烷基、C1-C6烷氧基或C3-C6环烷基;
R2为C1-C6烷基、C2-C6烯基、C2-C6炔基、C1-C6卤代烷基、C1-C6烷氧基或C3-C6环烷基;或
R1和R2与它们所连接的原子一起形成C3-C6饱和或部分不饱和环烷基或包含1-5个选自N、O和S的杂原子的3-至14-元饱和或部分不饱和杂环;
R3为H、卤素、–S(C1-C6烷基)、–N(C1-C6烷基)2、–NH(C1-C6烷基)、–NH2、C1-C6烷基、C2-C6烯基、C2-C6炔基、C1-C6卤代烷基、C1-C6烷氧基、C1-C6卤代烷氧基或C3-C6环烷基;
R4为H、卤素、–S(C1-C6烷基)、–N(C1-C6烷基)2、–NH(C1-C6烷基)、–NH2、C1-C6烷基、C2-C6烯基、C2-C6炔基、C1-C6卤代烷基、C1-C6烷氧基、C1-C6卤代烷氧基或C3-C6环烷基;
R5为H、卤素、–S(C1-C6烷基)、–N(C1-C6烷基)2、–NH(C1-C6烷基)、–NH2、C1-C6烷基、C2-C6烯基、C2-C6炔基、C1-C6卤代烷基、C1-C6烷氧基、C1-C6卤代烷氧基或C3-C6环烷基;
R6为H、卤素、–S(C1-C6烷基)、–N(C1-C6烷基)2、–NH(C1-C6烷基)、–NH2、C1-C6烷基、C2-C6烯基、C2-C6炔基、C1-C6卤代烷基、C1-C6烷氧基、C1-C6卤代烷氧基或C3-C6环烷基;
R7为H、氘、C1-C6烷基、C2-C6烯基或C2-C6炔基;
R8为H、氘、C1-C6烷基、C2-C6烯基或C2-C6炔基;且
R9为H、C1-C6烷基、C2-C6烯基、C2-C6炔基、C1-C6卤代烷基或C3-C6环烷基,
条件是:
(a)当R5为H时,X为CR7R8或S;
(b)当R5为卤素、R4为H时,R3不为甲基、甲氧基或Br,且X为CR7R8或S;和
(c)当R5为甲氧基或甲基时,R4不为H。
在一些方面,本公开特别地提供了式(II’)的化合物:
或其前药、溶剂化物或药学上可接受的盐,其中:
X为CR7R8、O、S或NR7;
R1为C1-C6烷基、C2-C6烯基、C2-C6炔基、C1-C6卤代烷基、C1-C6烷氧基或C3-C6环烷基;
R2为C1-C6烷基、C2-C6烯基、C2-C6炔基、C1-C6卤代烷基、C1-C6烷氧基或C3-C6环烷基;或
R1和R2与它们所连接的原子一起形成C3-C6饱和或部分不饱和环烷基或包含1-5个选自N、O和S的杂原子的3-至14-元饱和或部分不饱和杂环;
R3为H、卤素、–S(C1-C6烷基)、–N(C1-C6烷基)2、–NH(C1-C6烷基)、–NH2、C1-C6烷基、C2-C6烯基、C2-C6炔基、C1-C6卤代烷基、C1-C6烷氧基、C1-C6卤代烷氧基或C3-C6环烷基;
R4为H、卤素、–S(C1-C6烷基)、–N(C1-C6烷基)2、–NH(C1-C6烷基)、–NH2、C1-C6烷基、C2-C6烯基、C2-C6炔基、C1-C6卤代烷基、C1-C6烷氧基、C1-C6卤代烷氧基或C3-C6环烷基;
R5为H、卤素、–S(C1-C6烷基)、–N(C1-C6烷基)2、–NH(C1-C6烷基)、–NH2、C1-C6烷基、C2-C6烯基、C2-C6炔基、C1-C6卤代烷基、C1-C6烷氧基、C1-C6卤代烷氧基或C3-C6环烷基;
R6为H、卤素、–S(C1-C6烷基)、–N(C1-C6烷基)2、–NH(C1-C6烷基)、–NH2、C1-C6烷基、C2-C6烯基、C2-C6炔基、C1-C6卤代烷基、C1-C6烷氧基、C1-C6卤代烷氧基或C3-C6环烷基;
R7为H、氘、C1-C6烷基、C2-C6烯基或C2-C6炔基;
R8为H、氘、C1-C6烷基、C2-C6烯基或C2-C6炔基;
R9为H、C1-C6烷基、C2-C6烯基、C2-C6炔基、C1-C6卤代烷基或C3-C6环烷基;
且
R10为H或卤素,
条件是:
(a)(i)当R5为H时,X为CR7R8或S,或(ii)当R5为H且X为O时,R10为卤素;
(b)当R5为卤素、R4为H时,R3不为甲基、甲氧基或Br且X为CR7R8或S;和
(c)当R5为甲氧基或甲基时,R4不为H。
应当理解,对于式(I)、(II)和(II')的化合物,X、R1、R2、R3、R4、R5、R6、R7、R8、R9和R10在适用的情况下可各自选自本文所述的基团,并且本文针对X、R1、R2、R3、R4、R5、R6、R7、R8、R9和R10中的任一个所述的任何基团在适用的情况下可与本文针对其余X、R1、R2、R3、R4、R5、R6、R7、R8、R9和R10中的一个或多个所述的任何基团组合。
对于式(I)、(II)或(II’)的化合物,在适用的情况下:
在一些实施方案中,X为CR7R8、O、S或NR7。在一些实施方案中,X为CR7R8、O或S。在一些实施方案中,X为CR7R8或S。在一些实施方案中,X为CR7R8或O。在一些实施方案中,X为CR7R8。在一些实施方案中,X为O。在一些实施方案中,X为S。在一些实施方案中,X为NR7。
在一些实施方案中,X为CH2。
在一些实施方案中,R1为C1-C6烷基、C2-C6烯基、C2-C6炔基、C1-C6卤代烷基、C1-C6烷氧基或C3-C6环烷基。
在一些实施方案中,R1为C1-C6烷基、C2-C6烯基、C2-C6炔基、C1-C6卤代烷基、C1-C6烷氧基或C3-C6环烷基。
在一些实施方案中,R1为C1-C6烷基、C2-C6烯基或C2-C6炔基。
在一些实施方案中,R1为C1-C6烷基。在一些实施方案中,R1为甲基。在一些实施方案中,R1为乙基。在一些实施方案中,R1为丙基。在一些实施方案中,R1为丁基。在一些实施方案中,R1为异丙基。在一些实施方案中,R1为异丁基。在一些实施方案中,R1为仲丁基。在一些实施方案中,R1为叔丁基。在一些实施方案中,R1为戊基。在一些实施方案中,R1为异戊基。在一些实施方案中,R1为己基。在一些实施方案中,R1为异己基。
在一些实施方案中,R1为C2-C6烯基。在一些实施方案中,R1为C2烯基。在一些实施方案中,R1为C3烯基。在一些实施方案中,R1为C4烯基。在一些实施方案中,R1为C5烯基。在一些实施方案中,R1为C6烯基。
在一些实施方案中,R1为C2-C6炔基。在一些实施方案中,R1为C2炔基。在一些实施方案中,R1为C3炔基。在一些实施方案中,R1为C4炔基。在一些实施方案中,R1为C5炔基。在一些实施方案中,R1为C6炔基。
在一些实施方案中,R1为C1-C6卤代烷基、C1-C6烷氧基或C3-C6环烷基。
在一些实施方案中,R1为C3-C6环烷基。在一些实施方案中,R1为环丙基。在一些实施方案中,R1为环丁基。在一些实施方案中,R1为环戊基。在一些实施方案中,R1为环己基。
在一些实施方案中,R1为C1-C6卤代烷基。在一些实施方案中,R1为卤代甲基。在一些实施方案中,R1为卤代乙基。在一些实施方案中,R1为卤代丙基。在一些实施方案中,R1为卤代丁基。在一些实施方案中,R1为卤代戊基。在一些实施方案中,R1为卤代己基。
在一些实施方案中,R1为C1-C6烷氧基。在一些实施方案中,R1为甲氧基。在一些实施方案中,R1为乙氧基。在一些实施方案中,R1为丙氧基。在一些实施方案中,R1为丁氧基。在一些实施方案中,R1为戊氧基。在一些实施方案中,R1为己氧基。
在一些实施方案中,R2为C1-C6烷基、C2-C6烯基、C2-C6炔基、C1-C6卤代烷基、C1-C6烷氧基或C3-C6环烷基。
在一些实施方案中,R2为C1-C6烷基、C2-C6烯基或C2-C6炔基。
在一些实施方案中,R2为C1-C6烷基。在一些实施方案中,R2为甲基。在一些实施方案中,R2为乙基。在一些实施方案中,R2为丙基。在一些实施方案中,R2为丁基。在一些实施方案中,R2为异丙基。在一些实施方案中,R2为异丁基。在一些实施方案中,R2为仲丁基。在一些实施方案中,R2为叔丁基。在一些实施方案中,R2为戊基。在一些实施方案中,R2为异戊基。在一些实施方案中,R2为己基。在一些实施方案中,R2为异己基。
在一些实施方案中,R2为C2-C6烯基。在一些实施方案中,R2为C2烯基。在一些实施方案中,R2为C3烯基。在一些实施方案中,R2为C4烯基。在一些实施方案中,R2为C5烯基。在一些实施方案中,R2为C6烯基。
在一些实施方案中,R2为C2-C6炔基。在一些实施方案中,R2为C2炔基。在一些实施方案中,R2为C3炔基。在一些实施方案中,R2为C4炔基。在一些实施方案中,R2为C5炔基。在一些实施方案中,R2为C6炔基。
在一些实施方案中,R2为C1-C6卤代烷基、C1-C6烷氧基或C3-C6环烷基。
在一些实施方案中,R2为C3-C6环烷基。在一些实施方案中,R2为环丙基。在一些实施方案中,R2为环丁基。在一些实施方案中,R2为环戊基。在一些实施方案中,R2为环己基。
在一些实施方案中,R2为C1-C6卤代烷基。在一些实施方案中,R2为卤代甲基。在一些实施方案中,R2为卤代乙基。在一些实施方案中,R2为卤代丙基。在一些实施方案中,R2为卤代丁基。在一些实施方案中,R2为卤代戊基。在一些实施方案中,R2为卤代己基。
在一些实施方案中,R2为C1-C6烷氧基。在一些实施方案中,R2为甲氧基。在一些实施方案中,R2为乙氧基。在一些实施方案中,R2为丙氧基。在一些实施方案中,R2为丁氧基。在一些实施方案中,R2为戊氧基。在一些实施方案中,R2为己氧基。
在一些实施方案中,R1和R2与它们所连接的原子一起形成C3-C6饱和或部分不饱和环烷基或包含1-5个选自N、O和S的杂原子的3-至14-元饱和或部分不饱和杂环。
在一些实施方案中,R1和R2与它们所连接的原子一起形成C3-C6饱和或部分不饱和环烷基。
在一些实施方案中,R1和R2与它们所连接的原子一起形成C3饱和或部分不饱和环烷基。
在一些实施方案中,R1和R2与它们所连接的原子一起形成C4饱和或部分不饱和环烷基。
在一些实施方案中,R1和R2与它们所连接的原子一起形成C5饱和或部分不饱和环烷基。
在一些实施方案中,R1和R2与它们所连接的原子一起形成C6饱和或部分不饱和环烷基。
在一些实施方案中,R1和R2与它们所连接的原子一起形成C3-C6饱和环烷基。
在一些实施方案中,R1和R2与它们所连接的原子一起形成C3饱和环烷基。
在一些实施方案中,R1和R2与它们所连接的原子一起形成C4饱和环烷基。
在一些实施方案中,R1和R2与它们所连接的原子一起形成C5饱和环烷基。
在一些实施方案中,R1和R2与它们所连接的原子一起形成C6饱和环烷基。
在一些实施方案中,R1和R2与它们所连接的原子一起形成C3-C6部分不饱和环烷基。
在一些实施方案中,R1和R2与它们所连接的原子一起形成C3部分不饱和环烷基。
在一些实施方案中,R1和R2与它们所连接的原子一起形成C4部分不饱和环烷基。
在一些实施方案中,R1和R2与它们所连接的原子一起形成C5部分不饱和环烷基。
在一些实施方案中,R1和R2与它们所连接的原子一起形成C6部分不饱和环烷基。
在一些实施方案中,R1和R2与它们所连接的原子一起形成环丙基。在一些实施方案中,R1和R2与它们所连接的原子一起形成环丁基。在一些实施方案中,R1和R2与它们所连接的原子一起形成环戊基。在一些实施方案中,R1和R2与它们所连接的原子一起形成环己基。
在一些实施方案中,R1和R2与它们所连接的原子一起形成包含1-5个选自N、O和S的杂原子的3-至14-元饱和或部分不饱和杂环。
在一些实施方案中,R1和R2与它们所连接的原子一起形成包含1-5个选自N、O和S的杂原子的3-元饱和或部分不饱和杂环。
在一些实施方案中,R1和R2与它们所连接的原子一起形成包含1-5个选自N、O和S的杂原子的4-元饱和或部分不饱和杂环。
在一些实施方案中,R1和R2与它们所连接的原子一起形成包含1-5个选自N、O和S的杂原子的5-元饱和或部分不饱和杂环。
在一些实施方案中,R1和R2与它们所连接的原子一起形成包含1-5个选自N、O和S的杂原子的6-元饱和或部分不饱和杂环。
在一些实施方案中,R1和R2与它们所连接的原子一起形成包含1-5个选自N、O和S的杂原子的7-元饱和或部分不饱和杂环。
在一些实施方案中,R1和R2与它们所连接的原子一起形成包含1-5个选自N、O和S的杂原子的8-元饱和或部分不饱和杂环。
在一些实施方案中,R1和R2与它们所连接的原子一起形成包含1-5个选自N、O和S的杂原子的9-元饱和或部分不饱和杂环。
在一些实施方案中,R1和R2与它们所连接的原子一起形成包含1-5个选自N、O和S的杂原子的10-元饱和或部分不饱和杂环。
在一些实施方案中,R1和R2与它们所连接的原子一起形成包含1-5个选自N、O和S的杂原子的11-元饱和或部分不饱和杂环。
在一些实施方案中,R1和R2与它们所连接的原子一起形成包含1-5个选自N、O和S的杂原子的12-元饱和或部分不饱和杂环。
在一些实施方案中,R1和R2与它们所连接的原子一起形成包含1-5个选自N、O和S的杂原子的13-元饱和或部分不饱和杂环。
在一些实施方案中,R1和R2与它们所连接的原子一起形成包含1-5个选自N、O和S的杂原子的14-元饱和或部分不饱和杂环。
在一些实施方案中,R1和R2与它们所连接的原子一起形成包含1-5个选自N、O和S的杂原子的3-至14-元饱和杂环。
在一些实施方案中,R1和R2与它们所连接的原子一起形成包含1-5个选自N、O和S的杂原子的3-元饱和杂环。
在一些实施方案中,R1和R2与它们所连接的原子一起形成包含1-5个选自N、O和S的杂原子的4-元饱和杂环。
在一些实施方案中,R1和R2与它们所连接的原子一起形成包含1-5个选自N、O和S的杂原子的5-元饱和杂环。
在一些实施方案中,R1和R2与它们所连接的原子一起形成包含1-5个选自N、O和S的杂原子的6-元饱和杂环。
在一些实施方案中,R1和R2与它们所连接的原子一起形成包含1-5个选自N、O和S的杂原子的7-元饱和杂环。
在一些实施方案中,R1和R2与它们所连接的原子一起形成包含1-5个选自N、O和S的杂原子的8-元饱和杂环。
在一些实施方案中,R1和R2与它们所连接的原子一起形成包含1-5个选自N、O和S的杂原子的9-元饱和杂环。
在一些实施方案中,R1和R2与它们所连接的原子一起形成包含1-5个选自N、O和S的杂原子的10-元饱和杂环。
在一些实施方案中,R1和R2与它们所连接的原子一起形成包含1-5个选自N、O和S的杂原子的11-元饱和杂环。
在一些实施方案中,R1和R2与它们所连接的原子一起形成包含1-5个选自N、O和S的杂原子的12-元饱和杂环。
在一些实施方案中,R1和R2与它们所连接的原子一起形成包含1-5个选自N、O和S的杂原子的13-元饱和杂环。
在一些实施方案中,R1和R2与它们所连接的原子一起形成包含1-5个选自N、O和S的杂原子的14-元饱和杂环。
在一些实施方案中,R1和R2与它们所连接的原子一起形成包含1-5个选自N、O和S的杂原子的3-至14-元部分不饱和杂环。
在一些实施方案中,R1和R2与它们所连接的原子一起形成包含1-5个选自N、O和S的杂原子的3-元部分不饱和杂环。
在一些实施方案中,R1和R2与它们所连接的原子一起形成包含1-5个选自N、O和S的杂原子的4-元部分不饱和杂环。
在一些实施方案中,R1和R2与它们所连接的原子一起形成包含1-5个选自N、O和S的杂原子的5-元部分不饱和杂环。
在一些实施方案中,R1和R2与它们所连接的原子一起形成包含1-5个选自N、O和S的杂原子的6-元部分不饱和杂环。
在一些实施方案中,R1和R2与它们所连接的原子一起形成包含1-5个选自N、O和S的杂原子的7-元部分不饱和杂环。
在一些实施方案中,R1和R2与它们所连接的原子一起形成包含1-5个选自N、O和S的杂原子的8-元部分不饱和杂环。
在一些实施方案中,R1和R2与它们所连接的原子一起形成包含1-5个选自N、O和S的杂原子的9-元部分不饱和杂环。
在一些实施方案中,R1和R2与它们所连接的原子一起形成包含1-5个选自N、O和S的杂原子的10-元部分不饱和杂环。
在一些实施方案中,R1和R2与它们所连接的原子一起形成包含1-5个选自N、O和S的杂原子的11-元部分不饱和杂环。
在一些实施方案中,R1和R2与它们所连接的原子一起形成包含1-5个选自N、O和S的杂原子的12-元部分不饱和杂环。
在一些实施方案中,R1和R2与它们所连接的原子一起形成包含1-5个选自N、O和S的杂原子的13-元部分不饱和杂环。
在一些实施方案中,R1和R2与它们所连接的原子一起形成包含1-5个选自N、O和S的杂原子的14-元部分不饱和杂环。
在一些实施方案中,R1和R2与它们所连接的原子一起形成包含1个选自N、O和S的杂原子的3-至14-元饱和或部分不饱和杂环。
在一些实施方案中,R1和R2与它们所连接的原子一起形成包含2个选自N、O和S的杂原子的3-至14-元饱和或部分不饱和杂环.
在一些实施方案中,R1和R2与它们所连接的原子一起形成包含3个选自N、O和S的杂原子的3-至14-元饱和或部分不饱和杂环.
在一些实施方案中,R1和R2与它们所连接的原子一起形成包含4个选自N、O和S的杂原子的3-至14-元饱和或部分不饱和杂环.
在一些实施方案中,R1和R2与它们所连接的原子一起形成包含5个选自N、O和S的杂原子的3-至14-元饱和或部分不饱和杂环。
在一些实施方案中,R3为H、卤素、–S(C1-C6烷基)、–N(C1-C6烷基)2、–NH(C1-C6烷基)、–NH2、C1-C6烷基、C2-C6烯基、C2-C6炔基、C1-C6卤代烷基、C1-C6烷氧基、C1-C6卤代烷氧基或C3-C6环烷基。
在一些实施方案中,R3为H。
在一些实施方案中,R3为卤素、–S(C1-C6烷基),–N(C1-C6烷基)2、–NH(C1-C6烷基)、–NH2、C1-C6烷基、C2-C6烯基、C2-C6炔基、C1-C6卤代烷基、C1-C6烷氧基、C1-C6卤代烷氧基或C3-C6环烷基。
在一些实施方案中,R3为卤素。在一些实施方案中,R3为H、F、Cl或I。在一些实施方案中,R3为F、Cl或Br。在一些实施方案中,R3为F或Cl。在一些实施方案中,R3为F。在一些实施方案中,R3为Cl。在一些实施方案中,R3为Br。在一些实施方案中,R3为I。
在一些实施方案中,R3为C1-C6烷基、C2-C6烯基或C2-C6炔基。
在一些实施方案中,R3为C1-C6烷基。在一些实施方案中,R3为甲基。在一些实施方案中,R3为乙基。在一些实施方案中,R3为丙基。在一些实施方案中,R3为丁基。在一些实施方案中,R3为异丙基。在一些实施方案中,R3为异丁基。在一些实施方案中,R3为仲丁基。在一些实施方案中,R3为叔丁基。在一些实施方案中,R3为戊基。在一些实施方案中,R3为异戊基。在一些实施方案中,R3为己基。在一些实施方案中,R3为异己基。
在一些实施方案中,R3为C2-C6烯基。在一些实施方案中,R3为C2烯基。在一些实施方案中,R3为C3烯基。在一些实施方案中,R3为C4烯基。在一些实施方案中,R3为C5烯基。在一些实施方案中,R3为C6烯基。
在一些实施方案中,R3为C2-C6炔基。在一些实施方案中,R3为C2炔基。在一些实施方案中,R3为C3炔基。在一些实施方案中,R3为C4炔基。在一些实施方案中,R3为C5炔基。在一些实施方案中,R3为C6炔基。
在一些实施方案中,R3为C1-C6卤代烷基、C1-C6烷氧基、C1-C6卤代烷氧基或C3-C6环烷基。
在一些实施方案中,R3为C1-C6卤代烷基。在一些实施方案中,R3为卤代甲基。在一些实施方案中,R3为卤代乙基。在一些实施方案中,R3为卤代丙基。在一些实施方案中,R3为卤代丁基。在一些实施方案中,R3为卤代戊基。在一些实施方案中,R3为卤代己基。
在一些实施方案中,R3为C1-C6烷氧基。在一些实施方案中,R3为甲氧基。在一些实施方案中,R3为乙氧基。在一些实施方案中,R3为丙氧基。在一些实施方案中,R3为丁氧基。在一些实施方案中,R3为戊氧基。在一些实施方案中,R3为己氧基。
在一些实施方案中,R3为C1-C6卤代烷氧基。在一些实施方案中,R3为卤代甲氧基。在一些实施方案中,R3为卤代乙氧基。在一些实施方案中,R3为卤代丙氧基。在一些实施方案中,R3为卤代丁氧基。在一些实施方案中,R3为卤代戊氧基。在一些实施方案中,R3为卤代己氧基。
在一些实施方案中,R3为C3-C6环烷基。在一些实施方案中,R3为环丙基。在一些实施方案中,R3为环丁基。在一些实施方案中,R3为环戊基。在一些实施方案中,R3为环己基。
在一些实施方案中,R3为–S(C1-C6烷基)、–N(C1-C6烷基)2或–NH(C1-C6烷基)。
在一些实施方案中,R3为–S(C1-C6烷基)。在一些实施方案中,R3为–S(甲基)。在一些实施方案中,R3为–S(乙基)。在一些实施方案中,R3为–S(丙基)。在一些实施方案中,R3为–S(丁基)。在一些实施方案中,R3为–S(戊基)。在一些实施方案中,R3为–S(己基)。
在一些实施方案中,R3为–N(C1-C6烷基)2、–NH(C1-C6烷基)或–NH2。
在一些实施方案中,R3为–NH2。
在一些实施方案中,R3为–N(C1-C6烷基)2。在一些实施方案中,R3为–N(甲基)2。在一些实施方案中,R3为–N(乙基)2。在一些实施方案中,R3为–N(丙基)2。在一些实施方案中,R3为–N(丁基)2。在一些实施方案中,R3为–N(戊基)2。在一些实施方案中,R3为–N(己基)2。
在一些实施方案中,R3为–NH(C1-C6烷基)。在一些实施方案中,R3为–NH(甲基)。在一些实施方案中,R3为–NH(乙基)。在一些实施方案中,R3为–NH(丙基)。在一些实施方案中,R3为–NH(丁基)。在一些实施方案中,R3为–NH(戊基)。在一些实施方案中,R3为–NH(己基)。
在一些实施方案中,R3为H、F、Cl、甲基或甲氧基。
在一些实施方案中,R4为H、卤素、–S(C1-C6烷基)、–N(C1-C6烷基)2、–NH(C1-C6烷基)、–NH2、C1-C6烷基、C2-C6烯基、C2-C6炔基、C1-C6卤代烷基、C1-C6烷氧基、C1-C6卤代烷氧基或C3-C6环烷基。
在一些实施方案中,R4为H。
在一些实施方案中,R4为卤素、–S(C1-C6烷基)、–N(C1-C6烷基)2、–NH(C1-C6烷基)、–NH2、C1-C6烷基、C2-C6烯基、C2-C6炔基、C1-C6卤代烷基、C1-C6烷氧基、C1-C6卤代烷氧基或C3-C6环烷基。
在一些实施方案中,R4为卤素。在一些实施方案中,R4为H、F、Cl或I。在一些实施方案中,R4为F、Cl或Br。在一些实施方案中,R4为F或Cl。在一些实施方案中,R4为F。在一些实施方案中,R4为Cl。在一些实施方案中,R4为Br。在一些实施方案中,R4为I。
在一些实施方案中,R4为C1-C6烷基、C2-C6烯基或C2-C6炔基。
在一些实施方案中,R4为C1-C6烷基。在一些实施方案中,R4为甲基。在一些实施方案中,R4为乙基。在一些实施方案中,R4为丙基。在一些实施方案中,R4为丁基。在一些实施方案中,R4为异丙基。在一些实施方案中,R4为异丁基。在一些实施方案中,R4为仲丁基。在一些实施方案中,R4为叔丁基。在一些实施方案中,R4为戊基。在一些实施方案中,R4为异戊基。在一些实施方案中,R4为己基。在一些实施方案中,R4为异己基。
在一些实施方案中,R4为C2-C6烯基。在一些实施方案中,R4为C2烯基。在一些实施方案中,R4为C3烯基。在一些实施方案中,R4为C4烯基。在一些实施方案中,R4为C5烯基。在一些实施方案中,R4为C6烯基。
在一些实施方案中,R4为C2-C6炔基。在一些实施方案中,R4为C2炔基。在一些实施方案中,R4为C3炔基。在一些实施方案中,R4为C4炔基。在一些实施方案中,R4为C5炔基。在一些实施方案中,R4为C6炔基。
在一些实施方案中,R4为C1-C6卤代烷基、C1-C6烷氧基、C1-C6卤代烷氧基或C3-C6环烷基。
在一些实施方案中,R4为C1-C6卤代烷基。在一些实施方案中,R4为卤代甲基。在一些实施方案中,R4为卤代乙基。在一些实施方案中,R4为卤代丙基。在一些实施方案中,R4为卤代丁基。在一些实施方案中,R4为卤代戊基。在一些实施方案中,R4为卤代己基。
在一些实施方案中,R4为C1-C6烷氧基。在一些实施方案中,R4为甲氧基。在一些实施方案中,R4为乙氧基。在一些实施方案中,R4为丙氧基。在一些实施方案中,R4为丁氧基。在一些实施方案中,R4为戊氧基。在一些实施方案中,R4为己氧基。
在一些实施方案中,R4为C1-C6卤代烷氧基。在一些实施方案中,R4为卤代甲氧基。在一些实施方案中,R4为卤代乙氧基。在一些实施方案中,R4为卤代丙氧基。在一些实施方案中,R4为卤代丁氧基。在一些实施方案中,R4为卤代戊氧基。在一些实施方案中,R4为卤代己氧基。
在一些实施方案中,R4为C3-C6环烷基。在一些实施方案中,R4为环丙基。在一些实施方案中,R4为环丁基。在一些实施方案中,R4为环戊基。在一些实施方案中,R4为环己基。
在一些实施方案中,R4为–S(C1-C6烷基)、–N(C1-C6烷基)2或–NH(C1-C6烷基)。
在一些实施方案中,R4为–S(C1-C6烷基)。在一些实施方案中,R4为–S(甲基)。在一些实施方案中,R4为–S(乙基)。在一些实施方案中,R4为–S(丙基)。在一些实施方案中,R4为–S(丁基)。在一些实施方案中,R4为–S(戊基)。在一些实施方案中,R4为–S(己基)。
在一些实施方案中,R4为–N(C1-C6烷基)2、–NH(C1-C6烷基)或–NH2。
在一些实施方案中,R4为–NH2。
在一些实施方案中,R4为–N(C1-C6烷基)2。在一些实施方案中,R4为–N(甲基)2。在一些实施方案中,R4为–N(乙基)2。在一些实施方案中,R4为–N(丙基)2。在一些实施方案中,R4为–N(丁基)2。在一些实施方案中,R4为–N(戊基)2。在一些实施方案中,R4为–N(己基)2。
在一些实施方案中,R4为–NH(C1-C6烷基)。在一些实施方案中,R4为–NH(甲基)。在一些实施方案中,R4为–NH(乙基)。在一些实施方案中,R4为–NH(丙基)。在一些实施方案中,R4为–NH(丁基)。在一些实施方案中,R4为–NH(戊基)。在一些实施方案中,R4为–NH(己基)。
在一些实施方案中,R4为H、F、Cl、甲基或CHF2。
在一些实施方案中,R5为H、卤素、–S(C1-C6烷基)、–N(C1-C6烷基)2、–NH(C1-C6烷基)、–NH2、C1-C6烷基、C2-C6烯基、C2-C6炔基、C1-C6卤代烷基、C1-C6烷氧基、C1-C6卤代烷氧基或C3-C6环烷基。
在一些实施方案中,R5为H。
在一些实施方案中,R5为卤素、–S(C1-C6烷基)、–N(C1-C6烷基)2、–NH(C1-C6烷基)、–NH2、C1-C6烷基、C2-C6烯基、C2-C6炔基、C1-C6卤代烷基、C1-C6烷氧基、C1-C6卤代烷氧基或C3-C6环烷基。
在一些实施方案中,R5为卤素。在一些实施方案中,R5为F、Cl、Br或I。在一些实施方案中,R5为F、Cl或Br。在一些实施方案中,R5为F或Cl。在一些实施方案中,R5为F。在一些实施方案中,R5为Cl。在一些实施方案中,R5为Br。在一些实施方案中,R5为I。
在一些实施方案中,R5为C1-C6烷基、C2-C6烯基或C2-C6炔基。
在一些实施方案中,R5为C1-C6烷基。在一些实施方案中,R5为甲基。在一些实施方案中,R5为乙基。在一些实施方案中,R5为丙基。在一些实施方案中,R5为丁基。在一些实施方案中,R5为异丙基。在一些实施方案中,R5为异丁基。在一些实施方案中,R5为仲丁基。在一些实施方案中,R5为叔丁基。在一些实施方案中,R5为戊基。在一些实施方案中,R5为异戊基。在一些实施方案中,R5为己基。在一些实施方案中,R5为异己基。
在一些实施方案中,R5为C2-C6烯基。在一些实施方案中,R5为C2烯基。在一些实施方案中,R5为C3烯基。在一些实施方案中,R5为C4烯基。在一些实施方案中,R5为C5烯基。在一些实施方案中,R5为C6烯基。
在一些实施方案中,R5为C2-C6炔基。在一些实施方案中,R5为C2炔基。在一些实施方案中,R5为C3炔基。在一些实施方案中,R5为C4炔基。在一些实施方案中,R5为C5炔基。在一些实施方案中,R5为C6炔基。
在一些实施方案中,R5为C1-C6卤代烷基、C1-C6烷氧基、C1-C6卤代烷氧基或C3-C6环烷基。
在一些实施方案中,R5为C1-C6卤代烷基。在一些实施方案中,R5为卤代甲基。在一些实施方案中,R5为卤代乙基。在一些实施方案中,R5为卤代丙基。在一些实施方案中,R5为卤代丁基。在一些实施方案中,R5为卤代戊基。在一些实施方案中,R5为卤代己基。
在一些实施方案中,R5为C1-C6烷氧基。在一些实施方案中,R5为甲氧基。在一些实施方案中,R5为乙氧基。在一些实施方案中,R5为丙氧基。在一些实施方案中,R5为丁氧基。在一些实施方案中,R5为戊氧基。在一些实施方案中,R5为己氧基。
在一些实施方案中,R5为C1-C6卤代烷氧基。在一些实施方案中,R5为卤代甲氧基。在一些实施方案中,R5为卤代乙氧基。在一些实施方案中,R5为卤代丙氧基。在一些实施方案中,R5为卤代丁氧基。在一些实施方案中,R5为卤代戊氧基。在一些实施方案中,R5为卤代己氧基。
在一些实施方案中,R5为C3-C6环烷基。在一些实施方案中,R5为环丙基。在一些实施方案中,R5为环丁基。在一些实施方案中,R5为环戊基。在一些实施方案中,R5为环己基。
在一些实施方案中,R5为–S(C1-C6烷基)、–N(C1-C6烷基)2或–NH(C1-C6烷基).
在一些实施方案中,R5为–S(C1-C6烷基)。在一些实施方案中,R5为–S(甲基)。在一些实施方案中,R5为–S(乙基)。在一些实施方案中,R5为–S(丙基)。在一些实施方案中,R5为–S(丁基)。在一些实施方案中,R5为–S(戊基)。在一些实施方案中,R5为–S(己基)。
在一些实施方案中,R5为–N(C1-C6烷基)2、–NH(C1-C6烷基)或–NH2。
在一些实施方案中,R5为–NH2。
在一些实施方案中,R5为–N(C1-C6烷基)2。在一些实施方案中,R5为–N(甲基)2。在一些实施方案中,R5为–N(乙基)2。在一些实施方案中,R5为–N(丙基)2。在一些实施方案中,R5为–N(丁基)2。在一些实施方案中,R5为–N(戊基)2。在一些实施方案中,R5为–N(己基)2。
在一些实施方案中,R5为–NH(C1-C6烷基)。在一些实施方案中,R5为–NH(甲基)。在一些实施方案中,R5为–NH(乙基)。在一些实施方案中,R5为–NH(丙基)。在一些实施方案中,R5为–NH(丁基)。在一些实施方案中,R5为–NH(戊基)。在一些实施方案中,R5为–NH(己基)。
在一些实施方案中,R5为H、F、Cl、甲基、乙基、异-丙基、正-丙基、甲氧基、甲硫基或CHF2。
在一些实施方案中,R6为H、卤素、–S(C1-C6烷基)、–N(C1-C6烷基)2、–NH(C1-C6烷基)、–NH2、C1-C6烷基、C2-C6烯基、C2-C6炔基、C1-C6卤代烷基、C1-C6烷氧基、C1-C6卤代烷氧基或C3-C6环烷基。
在一些实施方案中,R6为H。
在一些实施方案中,R6为卤素、–S(C1-C6烷基),–N(C1-C6烷基)2、–NH(C1-C6烷基)、–NH2、C1-C6烷基、C2-C6烯基、C2-C6炔基、C1-C6卤代烷基、C1-C6烷氧基、C1-C6卤代烷氧基或C3-C6环烷基。
在一些实施方案中,R6为卤素。在一些实施方案中,R6为H、F、Cl或I。在一些实施方案中,R6为F、Cl或Br。在一些实施方案中,R6为F或Cl。在一些实施方案中,R6为F。在一些实施方案中,R6为Cl。在一些实施方案中,R6为Br。在一些实施方案中,R6为I。
在一些实施方案中,R6为C1-C6烷基、C2-C6烯基或C2-C6炔基。
在一些实施方案中,R6为C1-C6烷基。在一些实施方案中,R6为甲基。在一些实施方案中,R6为乙基。在一些实施方案中,R6为丙基。在一些实施方案中,R6为丁基。在一些实施方案中,R6为异丙基。在一些实施方案中,R6为异丁基。在一些实施方案中,R6为仲丁基。在一些实施方案中,R6为叔丁基。在一些实施方案中,R6为戊基。在一些实施方案中,R6为异戊基。在一些实施方案中,R6为己基。在一些实施方案中,R6为异己基。
在一些实施方案中,R6为C2-C6烯基。在一些实施方案中,R6为C2烯基。在一些实施方案中,R6为C3烯基。在一些实施方案中,R6为C4烯基。在一些实施方案中,R6为C5烯基。在一些实施方案中,R6为C6烯基。
在一些实施方案中,R6为C2-C6炔基。在一些实施方案中,R6为C2炔基。在一些实施方案中,R6为C3炔基。在一些实施方案中,R6为C4炔基。在一些实施方案中,R6为C5炔基。在一些实施方案中,R6为C6炔基。
在一些实施方案中,R6为C1-C6卤代烷基、C1-C6烷氧基、C1-C6卤代烷氧基或C3-C6环烷基。
在一些实施方案中,R6为C1-C6卤代烷基。在一些实施方案中,R6为卤代甲基。在一些实施方案中,R6为卤代乙基。在一些实施方案中,R6为卤代丙基。在一些实施方案中,R6为卤代丁基。在一些实施方案中,R6为卤代戊基。在一些实施方案中,R6为卤代己基。
在一些实施方案中,R6为C1-C6烷氧基。在一些实施方案中,R6为甲氧基。在一些实施方案中,R6为乙氧基。在一些实施方案中,R6为丙氧基。在一些实施方案中,R6为丁氧基。在一些实施方案中,R6为戊氧基。在一些实施方案中,R6为己氧基。
在一些实施方案中,R6为C1-C6卤代烷氧基。在一些实施方案中,R6为卤代甲氧基。在一些实施方案中,R6为卤代乙氧基。在一些实施方案中,R6为卤代丙氧基。在一些实施方案中,R6为卤代丁氧基。在一些实施方案中,R6为卤代戊氧基。在一些实施方案中,R6为卤代己氧基。
在一些实施方案中,R6为C3-C6环烷基。在一些实施方案中,R6为环丙基。在一些实施方案中,R6为环丁基。在一些实施方案中,R6为环戊基。在一些实施方案中,R6为环己基。
在一些实施方案中,R6为–S(C1-C6烷基)、–N(C1-C6烷基)2或–NH(C1-C6烷基)。
在一些实施方案中,R6为–S(C1-C6烷基)。在一些实施方案中,R6为–S(甲基)。在一些实施方案中,R6为–S(乙基)。在一些实施方案中,R6为–S(丙基)。在一些实施方案中,R6为–S(丁基)。在一些实施方案中,R6为–S(戊基)。在一些实施方案中,R6为–S(己基)。
在一些实施方案中,R6为–N(C1-C6烷基)2、–NH(C1-C6烷基)或–NH2。
在一些实施方案中,R6为–NH2。
在一些实施方案中,R6为–N(C1-C6烷基)2。在一些实施方案中,R6为–N(甲基)2。在一些实施方案中,R6为–N(乙基)2。在一些实施方案中,R6为–N(丙基)2。在一些实施方案中,R6为–N(丁基)2。在一些实施方案中,R6为–N(戊基)2。在一些实施方案中,R6为–N(己基)2。
在一些实施方案中,R6为–NH(C1-C6烷基)。在一些实施方案中,R6为–NH(甲基)。在一些实施方案中,R6为–NH(乙基)。在一些实施方案中,R6为–NH(丙基)。在一些实施方案中,R6为–NH(丁基)。在一些实施方案中,R6为–NH(戊基)。在一些实施方案中,R6为–NH(己基)。
在一些实施方案中,R6为H、甲基或甲氧基。
在一些实施方案中,R7为H、氘、C1-C6烷基、C2-C6烯基或C2-C6炔基。
在一些实施方案中,R7为H、C1-C6烷基、C2-C6烯基或C2-C6炔基。
在一些实施方案中,R7为H或氘。
在一些实施方案中,R7为H。在一些实施方案中,R7为氘。
在一些实施方案中,R7为C1-C6烷基、C2-C6烯基或C2-C6炔基。
在一些实施方案中,R7为C1-C6烷基。在一些实施方案中,R7为甲基。在一些实施方案中,R7为乙基。在一些实施方案中,R7为丙基。在一些实施方案中,R7为丁基。在一些实施方案中,R7为异丙基。在一些实施方案中,R7为异丁基。在一些实施方案中,R7为仲丁基。在一些实施方案中,R7为叔丁基。在一些实施方案中,R7为戊基。在一些实施方案中,R7为异戊基。在一些实施方案中,R7为己基。在一些实施方案中,R7为异己基。
在一些实施方案中,R7为C2-C6烯基。在一些实施方案中,R7为C2烯基。在一些实施方案中,R7为C3烯基。在一些实施方案中,R7为C4烯基。在一些实施方案中,R7为C5烯基。在一些实施方案中,R7为C6烯基。
在一些实施方案中,R7为C2-C6炔基。在一些实施方案中,R7为C2炔基。在一些实施方案中,R7为C3炔基。在一些实施方案中,R7为C4炔基。在一些实施方案中,R7为C5炔基。在一些实施方案中,R7为C6炔基。
在一些实施方案中,R8为H、氘、C1-C6烷基、C2-C6烯基或C2-C6炔基。
在一些实施方案中,R8为H、C1-C6烷基、C2-C6烯基或C2-C6炔基。
在一些实施方案中,R8为H或氘。
在一些实施方案中,R8为H。在一些实施方案中,R8为氘。
在一些实施方案中,R8为C1-C6烷基、C2-C6烯基或C2-C6炔基。
在一些实施方案中,R8为C1-C6烷基。在一些实施方案中,R8为甲基。在一些实施方案中,R8为乙基。在一些实施方案中,R8为丙基。在一些实施方案中,R8为丁基。在一些实施方案中,R8为异丙基。在一些实施方案中,R8为异丁基。在一些实施方案中,R8为仲丁基。在一些实施方案中,R8为叔丁基。在一些实施方案中,R8为戊基。在一些实施方案中,R8为异戊基。在一些实施方案中,R8为己基。在一些实施方案中,R8为异己基。
在一些实施方案中,R8为C2-C6烯基。在一些实施方案中,R8为C2烯基。在一些实施方案中,R8为C3烯基。在一些实施方案中,R8为C4烯基。在一些实施方案中,R8为C5烯基。在一些实施方案中,R8为C6烯基。
在一些实施方案中,R8为C2-C6炔基。在一些实施方案中,R8为C2炔基。在一些实施方案中,R8为C3炔基。在一些实施方案中,R8为C4炔基。在一些实施方案中,R8为C5炔基。在一些实施方案中,R8为C6炔基。
在一些实施方案中,R9为H、C1-C6烷基、C2-C6烯基、C2-C6炔基、C1-C6卤代烷基或C3-C6环烷基。
在一些实施方案中,R9为H。
在一些实施方案中,R9为C1-C6烷基、C2-C6烯基或C2-C6炔基。
在一些实施方案中,R9为C1-C6烷基。在一些实施方案中,R9为甲基。在一些实施方案中,R9为乙基。在一些实施方案中,R9为丙基。在一些实施方案中,R9为丁基。在一些实施方案中,R9为异丙基。在一些实施方案中,R9为异丁基。在一些实施方案中,R9为仲丁基。在一些实施方案中,R9为叔丁基。在一些实施方案中,R9为戊基。在一些实施方案中,R9为异戊基。在一些实施方案中,R9为己基。在一些实施方案中,R9为异己基。
在一些实施方案中,R9为C2-C6烯基。在一些实施方案中,R9为C2烯基。在一些实施方案中,R9为C3烯基。在一些实施方案中,R9为C4烯基。在一些实施方案中,R9为C5烯基。在一些实施方案中,R8为C6烯基。
在一些实施方案中,R9为C2-C6炔基。在一些实施方案中,R9为C2炔基。在一些实施方案中,R9为C3炔基。在一些实施方案中,R9为C4炔基。在一些实施方案中,R9为C5炔基。在一些实施方案中,R9为C6炔基。
在一些实施方案中,R9为C1-C6卤代烷基或C3-C6环烷基。
在一些实施方案中,R9为C1-C6卤代烷基。在一些实施方案中,R9为卤代甲基。在一些实施方案中,R9为卤代乙基。在一些实施方案中,R9为卤代丙基。在一些实施方案中,R9为卤代丁基。在一些实施方案中,R9为卤代戊基。在一些实施方案中,R9为卤代己基。
在一些实施方案中,R9为C3-C6环烷基。在一些实施方案中,R9为环丙基。在一些实施方案中,R9为环丁基。在一些实施方案中,R9为环戊基。在一些实施方案中,R9为环己基。
在一些实施方案中,R3、R4、R5和R6的至少一个为H。
在一些实施方案中,R3、R4、R5和R6的至少一个不为H。
在一些实施方案中,R3和R4的至少一个为H。
在一些实施方案中,R5和R6的至少一个为H。
在一些实施方案中,X为CR7R8或S,且R5为H。
在一些实施方案中,X为CR7R8,且R5为H。
在一些实施方案中,X为CH2,且R5为H。
在一些实施方案中,X为S,且R5为H。
在一些实施方案中,当R5为卤素且R4为H时,R3不为甲基、甲氧基或Br且X为CR7R8或S。
在一些实施方案中,R5为卤素、R4为H,X为CR7R8或S,且R3为H、F、Cl、I、–S(C1-C6烷基)、–N(C1-C6烷基)2、–NH(C1-C6烷基)、–NH2、C2-C6烷基、C2-C6烯基、C2-C6炔基、C1-C6卤代烷基、C2-C6烷氧基、C1-C6卤代烷氧基或C3-C6环烷基。
在一些实施方案中,当R5为卤素且R4为H时,X为S且R3不为甲基、甲氧基或Br。
在一些实施方案中,R5为卤素,R4为H,X为S,且R3为H、F、Cl、I、–S(C1-C6烷基)、–N(C1-C6烷基)2、–NH(C1-C6烷基)、–NH2、C2-C6烷基、C2-C6烯基、C2-C6炔基、C1-C6卤代烷基、C2-C6烷氧基、C1-C6卤代烷氧基或C3-C6环烷基。
在一些实施方案中,当R5为卤素且R4为H时,X为CR7R8且R3不为甲基、甲氧基或Br。
在一些实施方案中,R5为卤素、R4为H、X为CR7R8和R3为H、F、Cl、I、–S(C1-C6烷基)、–N(C1-C6烷基)2、–NH(C1-C6烷基)、–NH2、C2-C6烷基、C2-C6烯基、C2-C6炔基、C1-C6卤代烷基、C2-C6烷氧基、C1-C6卤代烷氧基或C3-C6环烷基。
在一些实施方案中,当R5为卤素且R4为H时,X为CH2且R3不为甲基、甲氧基或Br。
在一些实施方案中,R5为卤素、R4为H、X为CH2和R3为H、F、Cl、I、–S(C1-C6烷基)、–N(C1-C6烷基)2、–NH(C1-C6烷基)、–NH2、C2-C6烷基、C2-C6烯基、C2-C6炔基、C1-C6卤代烷基、C2-C6烷氧基、C1-C6卤代烷氧基或C3-C6环烷基。
在一些实施方案中,当R5为卤素和R4为H时,X不为O且R3不为甲基、甲氧基或Br。
在一些实施方案中,R5为卤素,R4为H,X不为O,且R3为H、F、Cl、I、–S(C1-C6烷基)、–N(C1-C6烷基)2、–NH(C1-C6烷基)、–NH2、C2-C6烷基、C2-C6烯基、C2-C6炔基、C1-C6卤代烷基、C2-C6烷氧基、C1-C6卤代烷氧基或C3-C6环烷基。
在一些实施方案中,R5为卤素、R4为H、X为CR7R8或S且R3为H、F或Cl。
在一些实施方案中,R5为卤素、R4为H、X为CR7R8且R3为H、F或Cl。
在一些实施方案中,R5为卤素、R4为H、X为CH2且R3为H、F或Cl。
在一些实施方案中,R5为甲氧基或甲基且R4不为H。
在一些实施方案中,R5为甲氧基且R4不为H。
在一些实施方案中,R5为甲基且R4不为H。
在一些实施方案中,R5为甲氧基或甲基且R4为卤素、–S(C1-C6烷基)、–N(C1-C6烷基)2、–NH(C1-C6烷基)、–NH2、C1-C6烷基、C2-C6烯基、C2-C6炔基、C1-C6卤代烷基、C1-C6烷氧基、C1-C6卤代烷氧基或C3-C6环烷基。
在一些实施方案中,R5为甲氧基或甲基且R4为F、Cl、甲基或CHF2。
在一些实施方案中,R10为H或卤素。在一些实施方案中,R10为H。在一些实施方案中,R10为卤素。在一些实施方案中,R10为H、F、Cl或I。在一些实施方案中,R10为F、Cl或Br。在一些实施方案中,R10为F或Cl。在一些实施方案中,R10为F。在一些实施方案中,R10为Cl。在一些实施方案中,R10为Br。在一些实施方案中,R10为I。
在一些实施方案中,X为O且R9为H。
在一些实施方案中,X为O、R9为H且R1为C1-C6烷基。
在一些实施方案中,X为O、R9为H且R1为甲基。
在一些实施方案中,X为O、R9为H、R1为甲基且R2为C1-C6烷基。
在一些实施方案中,X为O、R9为H、R1为甲基且R2为甲基。
在一些实施方案中,X为O、R9为H、R1为甲基、R2为甲基且R3为H。
在一些实施方案中,X为O、R9为H、R1为甲基、R2为甲基且R3为卤素、C1-C6烷基、C1-C6卤代烷基或C1-C6烷氧基。
在一些实施方案中,X为O、R9为H、R1为甲基、R2为甲基且R3为F、Cl、甲基、CHF2或甲氧基。
在一些实施方案中,X为O、R9为H、R1为甲基、R2为甲基且R4为H。
在一些实施方案中,X为O、R9为H、R1为甲基、R2为甲基且R4为卤素、C1-C6烷基或C1-C6卤代烷基。
在一些实施方案中,X为O、R9为H、R1为甲基、R2为甲基且R4为F、Cl、甲基或CHF2。
在一些实施方案中,X为O、R9为H、R1为甲基、R2为甲基且R5为H。
在一些实施方案中,X为O、R9为H、R1为甲基、R2为甲基且R5为卤素、C1-C6烷基、C1-C6卤代烷基、C1-C6烷氧基或S(C1-C6烷基)。
在一些实施方案中,X为O,R9为H,R1为甲基,R2为甲基且R5为F、Cl、甲基、乙基、正-丙基、异-丙基、CHF2、甲氧基或甲硫基。
在一些实施方案中,X为O、R9为H、R1为甲基、R2为甲基且R6为H。
在一些实施方案中,X为O、R9为H、R1为甲基、R2为甲基且R6为C1-C6烷基或C1-C6烷氧基。
在一些实施方案中,X为O、R9为H、R1为甲基、R2为甲基且R6为甲基或甲氧基。
在一些实施方案中,X为O,R9为H,且R1和R2与它们所连接的原子一起连接成C3-C6饱和或不饱和环烷基。
在一些实施方案中,X为O,R9为H,且R1和R2与它们所连接的原子一起连接成C3-C6饱和环烷基。
在一些实施方案中,X为O,R9为H,R1和R2与它们所连接的原子一起连接成环丙基。
在一些实施方案中,X为O,R9为H,R1和R2与它们所连接的原子一起连接成环丙基且R3为H。
在一些实施方案中,X为O,R9为H,R1和R2与它们所连接的原子一起连接成环丙基且R4为H。
在一些实施方案中,X为O,R9为H,R1和R2与它们所连接的原子一起连接成环丙基且R4为卤素或C1-C6烷基。
在一些实施方案中,X为O,R9为HR1,且R2与它们所连接的原子一起连接成环丙基且R4为F、Cl或甲基。
在一些实施方案中,X为O、R9为H,R1和R2与它们所连接的原子一起连接成环丙基且R5为H。
在一些实施方案中,X为O,R9为H,R1和R2与它们所连接的原子一起连接成环丙基且R5为卤素或C1-C6烷基。
在一些实施方案中,X为O,R9为H,R1和R2与它们所连接的原子一起连接成环丙基且R5为F、甲基或乙基。
在一些实施方案中,X为CH2和R9为H。
在一些实施方案中,X为CH2、R9为H且R1为甲基。
在一些实施方案中,X为CH2、R9为H、R1为甲基且R2为甲基。
在一些实施方案中,X为CH2、R9为H、R1为甲基、R2为甲基且R3为H。
在一些实施方案中,X为CH2、R9为H、R1为甲基、R2为甲基且R4为H。
在一些实施方案中,X为CH2、R9为H、R1为甲基、R2为甲基且R4为卤素或C1-C6烷基。
在一些实施方案中,X为CH2、R9为H、R1为甲基、R2为甲基且R4为Cl或甲基。
在一些实施方案中,X为CH2、R9为H、R1为甲基、R2为甲基且R5为H。
在一些实施方案中,X为CH2、R9为H、R1为甲基、R2为甲基且R5为卤素或C1-C6烷基。
在一些实施方案中,X为CH2、R9为H、R1为甲基、R2为甲基且R5为F、Cl或甲基。
在一些实施方案中,X为CH2,R9为H,且R1和R2与它们所连接的原子一起连接成C3-C6饱和或不饱和环烷基。
在一些实施方案中,X为CH2,R9为H,且R1和R2与它们所连接的原子一起连接成C3-C6饱和环烷基。
在一些实施方案中,X为CH2,R9为H,R1和R2与它们所连接的原子一起连接成环丙基。
在一些实施方案中,X为CH2,R9为H,R1和R2与它们所连接的原子一起连接成环丙基且R3为H。
在一些实施方案中,X为CH2,R9为H,R1和R2与它们所连接的原子一起连接成环丙基且R4为H。
在一些实施方案中,X为CH2、R9为H、R1和R2与它们所连接的原子一起连接成环丙基且R4为卤素或C1-C6烷基。
在一些实施方案中,X为CH2,R9为H,R1和R2与它们所连接的原子一起连接成环丙基且R4为Cl或甲基。
在一些实施方案中,X为CH2、R9为H、R1和R2与它们所连接的原子一起连接成环丙基且R5为H。
在一些实施方案中,X为CH2,R9为H,R1和R2与它们所连接的原子一起连接成环丙基且R5为C1-C6烷基。
在一些实施方案中,X为CH2、R9为H,R1和R2与它们所连接的原子一起连接成环丙基且R5为甲基。
在一些实施方案中,当R5为H且X为O时,R10为卤素。
在一些实施方案中,当R10不为H时,X为O。在一些实施方案中,当R10为卤素时,X为O。
在一些实施方案中,式(I)的化合物为式(Ia)的化合物:
或其前药、溶剂化物或药学上可接受的盐,其中R3、R4、R5和R6如本文对式(I)所述。
在一些实施方案中,式(I)的化合物为式(Ib)的化合物:
或其前药、溶剂化物或药学上可接受的盐,其中R3、R4、R5和R6如本文对式(I)所述。
在一些实施方案中,式(II)的化合物为式(IIa)的化合物:
或其前药、溶剂化物或药学上可接受的盐,其中X、R1、R2、R4、R5和R9如本文对式(II)所述。
在一些实施方案中,式(II)的化合物为式(IIa-1)的化合物:
或其前药、溶剂化物或药学上可接受的盐,其中X、R4和R5如本文对式(II)所述。
在一些实施方案中,式(II)的化合物为式(IIa-2)的化合物:
或其前药、溶剂化物或药学上可接受的盐,其中X、R4和R5如本文对式(II)所述。
在一些实施方案中,式(II)的化合物为式(IIb)的化合物:
或其前药、溶剂化物或药学上可接受的盐,其中X、R1、R2、R3、R5和R9如本文对式(II)所述。
在一些实施方案中,式(II)的化合物为式(IIb-1)的化合物:
或其前药、溶剂化物或药学上可接受的盐,其中X、R3和R5如本文对式(II)所述。
在一些实施方案中,式(II)的化合物为式(IIb-2)的化合物:
或其前药、溶剂化物或药学上可接受的盐,其中X、R3和R5如本文对式(II)所述。
在一些实施方案中,式(II)的化合物为式(IIc)的化合物:
或其前药、溶剂化物或药学上可接受的盐,其中X、R1、R2、R3、R6和R9如本文对式(II)所述。
在一些实施方案中,式(II)的化合物为式(IIc-1)的化合物:
或其前药、溶剂化物或药学上可接受的盐,其中X、R3和R6如本文对式(II)所述。
在一些实施方案中,式(II)的化合物为式(IIc-2)的化合物:
或其前药、溶剂化物或药学上可接受的盐,其中X、R3和R6如本文对式(II)所述。
在一些实施方案中,式(II’)的化合物为式(II’a)的化合物:
或其前药、溶剂化物或药学上可接受的盐,其中X、R1、R2、R9和R10如本文对式(II’)所述。
应当理解,对于本文所述的任何一种通式的化合物,X、R1、R2、R3、R4、R5、R6、R7、R8、R9和R10在适用的情况下可以各自选自本文所述的基团,并且本文针对任何X、R1、R2、R3、R4、R5、R6、R7、R8、R9和R10所述的任何基团在适用的情况下可以与本文针对X、R1、R2、R3、R4、R5、R6、R7、R8、R9和R10的其余部分中的一个或多个所述的任何基团组合。
在一些实施方案中,所述化合物选自1或2中所述的化合物及其前药和药学上可接受的盐。
在一些实施方案中,所述化合物选自1或2中所述的化合物及其药学上可接受的盐。
在一些实施方案中,所述化合物选自1或2中所述的化合物的前药及其药学上可接受的盐。
在一些实施方案中,所述化合物选自1或2中所述的化合物。
表1
表2
在一些方面,本公开提供了化合物,其为本文公开的式的化合物中的任一个的同位素衍生物(例如同位素标记的化合物)。
在一些实施方案中,来自表1或2的化合物具有式(I)。
在一些实施方案中,来自表1或2的化合物具有式(II)。
在一些实施方案中,来自表1或2的化合物具有式(II’)。
在一些实施方案中,所述化合物为化合物1、2、3、4、5、6、7、8、9、10、11、12、13、14、15、16、17、18、19、20、21、22、23、24、25、26、27、28、29、32、33、36、37、38或39或其药学上可接受的盐。
在一些实施方案中,所述化合物为化合物1、2、3、4、5、6、7、8、9、10、11、12、13、14、15、16、17、18、19、20、21、22、23、24、25、26、27、28、29、32、33、36、37或38或其药学上可接受的盐。
在一些实施方案中,所述化合物为化合物1、2、3、4、5、6、7、8、9、10、11、12、13、14、15、16、17、18、19、20、21、22、23、24、25、26、27、28、29、32、33或36或其药学上可接受的盐。
在一些实施方案中,所述化合物为化合物1、2、3、4、5、6、7、8、9、10、11、12、13、14、15、16、17、18、19、20、21、22、23、24、25、26、27、28、29、32或33或其药学上可接受的盐。
在一些实施方案中,所述化合物为化合物7、8、15或17或其药学上可接受的盐。
在一些实施方案中,所述化合物为化合物7、8或17或其药学上可接受的盐。
在一些实施方案中,所述化合物为化合物7或其药学上可接受的盐。
在一些实施方案中,所述化合物为化合物8或其药学上可接受的盐。
在一些实施方案中,所述化合物为化合物15或其药学上可接受的盐。
在一些实施方案中,所述化合物为化合物17或其药学上可接受的盐。
在一些实施方案中,所述化合物为化合物30、31、4或35或其药学上可接受的盐。
在一些实施方案中,所述化合物为化合物30或其药学上可接受的盐。
在一些实施方案中,所述化合物为化合物31或其药学上可接受的盐。
在一些实施方案中,所述化合物为化合物34或其药学上可接受的盐。
在一些实施方案中,所述化合物为化合物35或其药学上可接受的盐。
在一些实施方案中,所述化合物为化合物36或其药学上可接受的盐。
在一些实施方案中,所述化合物为表1或2中所示的化合物的任一个的同位素衍生物及其前药和药学上可接受的盐。
在一些实施方案中,所述化合物为表1或2中所示的化合物的任一个的同位素衍生物及其药学上可接受的盐。
在一些实施方案中,所述化合物为表1或2中所示的化合物的前药的任一个的同位素衍生物及其药学上可接受的盐。
在一些实施方案中,所述化合物为表1或2中所示的化合物的任一个的同位素衍生物。
应当理解,同位素衍生物可以使用多种本领域公认的技术中的任一种来制备。例如,同位素衍生物通常可以通过进行本文所述的方案和/或实施例中公开的方法、通过用同位素标记的试剂取代非同位素标记的试剂来制备。
在一些实施方案中,所述同位素衍生物为氘标记的化合物。在一些实施方案中,所述化合物为18F标记的化合物。在一些实施方案中,所述化合物为123I标记的化合物、124I标记的化合物、125I标记的化合物、129I标记的化合物、131I标记的化合物、135I标记的化合物或其任意组合。在一些实施方案中,所述化合物为33S标记的化合物、34S标记的化合物、35S标记的化合物、36S标记的化合物或其任意组合。
应当理解,18F、123I、124I、125I、129I、131I、135I、3S、34S、35S和/或36S标记的化合物可以使用多种本领域公认的技术中的任何一种来制备。例如,氘标记的化合物通常可以通过用18F、123I、124I、125I、129I、131I、135I、3S、34S、35S和/或36S标记的试剂取代非同位素标记的试剂、通过进行本文所述的方案和/或实施例中公开的方法来制备。
含有上述18F、123I、124I、125I、129I、131I、135I、3S、34S、35S和36S原子中的一个或多个的本发明化合物或其药学上可接受的盐或溶剂化物在本发明的范围内。此外,用同位素(例如18F、123I、124I、125I、129I、131I、135I、3S、34S、35S和/或36S)取代可以提供由更大的代谢稳定性产生的某些治疗优势,例如增加的体内半衰期或降低的剂量需求。
为了避免疑义,应当理解,在本说明书中,当基团由“本文所述”限定时,所述基团包括首次出现和最广泛的定义以及该基团的每个和所有特定定义。
典型地选择构成式(I)、(II)和(II′)化合物的各种官能团和取代基,使得化合物的分子量不超过1000道尔顿。更通常地,化合物的分子量将小于900,例如小于800、或小于750、或小于700、或小于650道尔顿。更方便地,分子量小于600,并且例如为550道尔顿或更小。
应当理解,本文公开的任何一种通式的化合物及其任何药学上可接受的盐包括立体异构体、立体异构体的混合物、所述化合物的所有异构形式的多晶型物。
本公开还涵盖如本文所定义的本公开化合物,其包含一个或多个同位素取代。
应当理解,本文所述的任何通式的化合物包括化合物本身,以及它们的盐和它们的溶剂化物(如果适用的话)。
本文公开的任一通式的化合物的体内作用可以部分地通过在施用本文公开的任一通式的化合物后在人或动物体内形成的一种或多种代谢物来发挥。如上文所述,本文公开的任何一种通式的化合物的体内作用也可以通过前体化合物(前药)的代谢来发挥。
适当地,本公开排除了不具有本文定义的生物活性的任何单独的化合物。
合成方法
在一些方面,本公开提供了制备本公开的化合物的方法。
在一些方面,本公开提供了制备化合物的方法,包含如本文所述的一个或多个步骤。
在一些方面,本公开提供了通过如本文所述的制备化合物的方法可得到或通过该方法得到、或通过该方法直接得到的化合物。
在一些方面,本公开提供了如本文所述的中间体,其适用于制备如本文所述的化合物。
本公开的化合物可以通过本领域已知的任何适合的技术制备。制备这些化合物的具体方法在所附实施例中进一步描述。
在本文所述的合成方法的说明书中和在用于制备起始材料的任何参考合成方法中,应当理解,本领域技术人员可以选择所有提出的反应条件,包括溶剂、反应气氛、反应温度、实验持续时间和后处理方法的选择。
有机合成领域的技术人员理解,分子的各个部分上存在的官能团必须与所用的试剂和反应条件相容。
应当理解,在本文定义的方法中合成本公开化合物期间,或在合成某些起始材料期间,可能需要保护某些取代基以防止其不期望的反应。熟练的化学家将理解何时需要这种保护,以及如何将这种保护基团放置在适当位置并随后除去。关于保护基团的实例,参见关于该主题的许多通用教科书之一,例如“Protective Groups in Organic Synthesis”,Theodora Green(publisher:John Wiley&Sons)。保护基团可以通过文献中描述的或熟练的化学家已知的适合于除去所讨论的保护基团的任何方便的方法除去,选择这样的方法以便在对分子中其他基团的干扰最小的情况下实现保护基团的除去。因此,如果反应物包括例如氨基、羧基或羟基的基团,则可能需要在本文提及的一些反应中保护该基团。
作为实例,氨基或烷基氨基的合适保护基是例如酰基,例如烷酰基如乙酰基,烷氧基羰基如甲氧基羰基、乙氧基羰基或叔丁氧基羰基,芳基甲氧基羰基如苄氧基羰基,或芳酰基如苯甲酰基。上述保护基团的脱保护条件必须随保护基团的选择而变化。因此,例如,酰基如烷酰基或烷氧基羰基或芳酰基可以通过例如用适合的碱如碱金属氢氧化物如氢氧化锂或氢氧化钠水解来除去。或者,酰基如叔丁氧基羰基可以例如通过用适合的酸如盐酸、硫酸或磷酸或三氟乙酸处理来除去,芳基甲氧基羰基如苄氧基羰基可以例如通过在催化剂如钯/碳上氢化或通过用路易斯酸如三(三氟乙酸)硼处理来除去。伯氨基的适合的替代保护基是例如邻苯二甲酰基,其可以通过用烷基胺例如二甲基氨基丙胺或用肼处理而除去。
羟基的适合保护基是例如酰基,例如烷酰基如乙酰基,芳酰基如苯甲酰基,或芳基甲基如苄基。上述保护基团的脱保护条件必须随保护基团的选择而变化。因此,例如,酰基如烷酰基或芳酰基可以例如通过用适合的碱如碱金属氢氧化物如氢氧化锂、氢氧化钠或氨水解来除去。或者,芳基甲基如苄基可以例如通过用催化剂如钯/碳氢化来除去。
羧基的适合保护基是例如酯化基团,例如甲基或乙基,其可以例如通过用碱如氢氧化钠水解除去,或例如叔丁基,其可以例如通过用酸例如有机酸如三氟乙酸处理除去,或例如苄基,其可以例如通过用催化剂如披钯碳氢化除去。
一旦通过本文定义的任何一种方法合成了式(I)、(II)或(II’)的化合物,则该方法可以进一步包括以下另外的步骤:(i)除去存在的任何保护基团;(ii)将式(I)、(II)或(II′)化合物转化为另一种式(I)、(II)或(II′)化合物;(iii)形成其药学上可接受的盐、水合物或溶剂化物;和/或(iv)形成其前药。
可以使用本领域熟知的技术分离和纯化所得的式(I)、(II)和(II’)的化合物。
便利地,化合物的反应在适合的溶剂存在下进行,所述溶剂优选在相应的反应条件下是惰性的。适合的溶剂的实例包括但不限于烃,例如己烷、石油醚、苯、甲苯或二甲苯;氯代烃,如三氯乙烯、1,2-二氯乙烷、四氯甲烷、氯仿或二氯甲烷;醇,如甲醇、乙醇、异丙醇、正丙醇、正丁醇或叔丁醇;醚,如乙醚、二异丙醚、四氢呋喃(THF)、2-甲基四氢呋喃、环戊基甲基醚(CPME)、甲基叔丁基醚(MTBE)或二噁烷;乙二醇醚,如乙二醇单甲基或单乙基醚或乙二醇二甲基醚(二甘醇二甲醚);酮,如丙酮、甲基异丁基酮(MIBK)或丁酮;酰胺,如乙酰胺、二甲基乙酰胺、二甲基甲酰胺(DMF)或N-甲基吡咯烷酮(NMP);腈,如乙腈;亚砜,如二甲亚砜(DMSO);硝基化合物,如硝基甲烷或硝基苯;酯,例如乙酸乙酯或乙酸甲酯,或所述溶剂的混合物或与水的混合物。
此外,通过利用本文所述的方法,结合本领域普通技术,可以容易地制备本公开的另外的化合物。本领域技术人员将容易理解,可以使用以下制备程序的条件和方法的已知变化来制备这些化合物。
正如有机合成领域的技术人员将理解的,本公开的化合物可通过各种合成途径容易地获得,其中一些在所附实施例中示例。本领域技术人员将容易地认识到要使用哪种试剂和反应条件以及如何在任何特定情况下(无论何处必要或有用)应用和调整它们,以获得本公开的化合物。此外,本公开的一些化合物可以通过在适合的条件下使本公开的其他化合物反应来容易地合成,例如,通过应用标准合成方法(如还原、氧化、加成或取代反应)将存在于本公开的化合物或其适合的前体分子中的一个特定官能团转化为另一个官能团;那些方法是本领域技术人员熟知的。同样,本领域技术人员将在必要或有用时应用合成保护(或保护性)基团;适合的保护基团以及引入和除去它们的方法是化学合成领域技术人员熟知的,并且更详细地描述于例如P.G.M.Wuts,T.W.Greene,“Greene’s Protective Groupsin Organic Synthesis”,第4版(2006)(John Wiley&Sons)中。
在一些实施方案中,本公开的化合物如方案1、2或3所述制备。
在一些实施方案中,本公开的化合物如方案1所述制备。
在一些实施方案中,本公开的化合物如方案2所述制备。
在一些实施方案中,本公开的化合物如方案3所述制备。
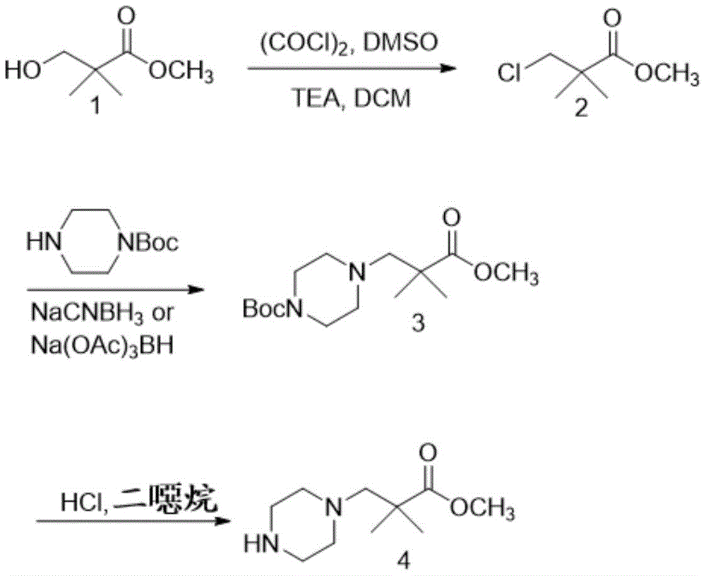
方案1
方案1描述2,2-二甲基-3-(哌嗪-1-基)丙酸甲酯(4)的制备,其可以在方案2和3中偶联至中间体9,通过置换氯化物,形成化合物10。
方案2
方案3
方案2和3描述了制备本文中例示的双重H1/5HT2a拮抗剂的合成路线。方案2中描述的中间体5和6可以由本领域技术人员通过文献方法容易地制备。方案3中描述的中间体11和12可以由本领域技术人员通过文献方法容易地制备。
生物学测定
通过上述方法设计、选择和/或优化的化合物一旦产生,就可以使用本领域技术人员已知的多种测定来表征,以确定化合物是否具有生物活性。例如,分子可以通过常规测定来表征,包括但不限于下文描述的那些测定,以确定它们是否具有预测的活性、结合活性和/或结合特异性。
此外,高通量筛选可用于加速使用此类测定的分析。因此,可以使用本领域已知的技术快速筛选本文所述的分子的活性。进行高通量筛选的一般方法描述于例如Devlin(1998)High Throughput Screening,Marcel Dekker和美国专利No.5,763,263。高通量测定可以使用一种或多种不同的测定技术,包括但不限于下文所述的那些。
各种体外或体内生物学测定可适用于检测本公开化合物的作用。这些体外或体内生物测定可包括但不限于酶活性测定、电泳迁移率变动测定、报告基因测定、体外细胞活力测定和本文所述的测定。
本公开的化合物的生物活性可以利用结合测定来确定。结合测定可以针对H1和5-HT2A,5-HT2C或D2。
本公开的化合物的生物活性可以利用结合测定来确定。结合测定可以针对H1和5-HT2A,5-HT2C或D2。
本公开的化合物的生物活性可以利用结合测定来确定。结合测定可以用于H1和5-HT2A。本公开的化合物的生物活性可以利用结合测定来确定。结合测定可以针对H1。本公开的化合物的生物活性可以利用结合测定来确定。结合测定可以用于5-HT2A。结合测定可以针对D2。
可以与参比标准品(例如酮色林或吡拉明)相比较来测定本公开的化合物。可以将本公开的化合物转移至测定板以进行非特异性结合或总结合。可以将测定板密封并摇动。在测定完成后,可以过滤反应混合物并用缓冲液洗涤。过滤板可以被干燥和密封。可以使用以下等式计算抑制常数:
并且分析数据。可以计算IC50并且转化成Ki。
本公开的化合物的生物活性可以利用结合测定来确定。结合测定可以针对5-HT2C。可以与参比标准品例如SB-206553(即5-甲基-1-(3-吡啶基氨基甲酰基)-1,2,3,5-四氢吡咯并[2,3-b]吲哚盐酸盐水合物)相比较来测定本公开的化合物。可以将本公开的化合物转移至测定板以进行非特异性结合或总结合。可以将测定板密封并摇动。在测定完成后,可以过滤反应混合物并用缓冲液洗涤。过滤板可以被干燥和密封。可以使用以下等式计算抑制常数:
并且分析数据。可以计算IC50并且转化成Ki。
本公开的化合物的生物活性可以利用结合测定来确定。结合测定可以针对D2。可以与参比标准品例如氟哌利多(即3-[1-[4-(4-氟苯基)-4-氧代丁基]-3,6-二氢-2H-吡啶-4-基]-1H-苯并咪唑-2-酮)相比较来测定本公开的化合物。可以将本公开的化合物转移至测定板以进行非特异性结合或总结合。可以将测定板密封并摇动。在测定完成后,可以过滤反应混合物并用缓冲液洗涤。过滤板可以被干燥和密封。可以使用以下等式计算抑制常数:
并且分析数据。可以计算IC50并且转化成Ki。
在一些实施方案中,本公开的化合物选择性地靶向H1/5-HT2A。在一些实施方案中,本公开的化合物不选择性地靶向5-HT2C。在一些实施方案中,本公开的化合物与5-HT2C相比更大程度地靶向H1/5-HT2A(例如当与5-HT2C比较时,化合物以大于约10%、约20%、约30%、约40%、约50%、约60%、约70%、约80%、约90%、约95%或约99%的百分比靶向H1/5-HT2A)。
在一些实施方案中,5-HT2A的Ki值约为1nM-约150nM。在一些实施方案中,5-HT2A的Ki值约为1nM-约125nM。在一些实施方案中,5-HT2A的Ki值约为1nM-约100nM。在一些实施方案中,5-HT2A的Ki值约为1nM-约75nM。在一些实施方案中,5-HT2A的Ki值约为1nM-约50nM。在一些实施方案中,5-HT2A的Ki值约为1nM-约40nM。在一些实施方案中,5-HT2A的Ki值约为1nM-约30nM。在一些实施方案中,5-HT2A的Ki值约为1nM-约20nM。在一些实施方案中,5-HT2A的Ki值约为1nM-约10nM。在一些实施方案中,5-HT2A的Ki值约为1nM-约5nM。
在一些实施方案中,5-HT2A的Ki值约为150nM。在一些实施方案中,5-HT2A的Ki值约为125nM。在一些实施方案中,5-HT2A的Ki值约为100nM。在一些实施方案中,5-HT2A的Ki值约为75nM。在一些实施方案中,5-HT2A的Ki值约为50nM。在一些实施方案中,5-HT2A的Ki值约为40nM。在一些实施方案中,5-HT2A的Ki值约为30nM。在一些实施方案中,5-HT2A的Ki值约为20nM。在一些实施方案中,5-HT2A的Ki值约为15nM。在一些实施方案中,5-HT2A的Ki值约为10nM。在一些实施方案中,5-HT2A的Ki值约为9nM。在一些实施方案中,5-HT2A的Ki值约为8nM。在一些实施方案中,5-HT2A的Ki值约为7nM。在一些实施方案中,5-HT2A的Ki值约为6nM。在一些实施方案中,5-HT2A的Ki值约为5nM。在一些实施方案中,5-HT2A的Ki值约为4nM。在一些实施方案中,5-HT2A的Ki值约为3nM。在一些实施方案中,5-HT2A的Ki值约为2nM。在一些实施方案中,5-HT2A的Ki值约为1nM。
在一些实施方案中,H1的Ki值约为1nM-约150nM。在一些实施方案中,H1的Ki值约为1nM-约125nM。在一些实施方案中,H1的Ki值约为1nM-约100nM。在一些实施方案中,H1的Ki值约为1nM-约75nM。在一些实施方案中,H1的Ki值约为1nM-约50nM。在一些实施方案中,H1的Ki值约为1nM-约40nM。在一些实施方案中,H1的Ki值约为1nM-约30nM。在一些实施方案中,H1的Ki值约为1nM-约20nM。在一些实施方案中,H1的Ki值约为1nM-约10nM。在一些实施方案中,H1的Ki值约为1nM-约5nM。
在一些实施方案中,H1的Ki值约为150nM。在一些实施方案中,H1的Ki值约为125nM。在一些实施方案中,H1的Ki值约为100nM。在一些实施方案中,H1的Ki值约为90nM。在一些实施方案中,H1的Ki值约为80nM。在一些实施方案中,H1的Ki值约为70nM。在一些实施方案中,H1的Ki值约为60nM。在一些实施方案中,H1的Ki值约为50nM。在一些实施方案中,H1的Ki值约为40nM。在一些实施方案中,H1的Ki值约为30nM。在一些实施方案中,H1的Ki值约为20nM。在一些实施方案中,H1的Ki值约为15nM。在一些实施方案中,H1的Ki值约为10nM。
在一些实施方案中,5-HT2C的Ki值约为500nM-约10μM。在一些实施方案中,5-HT2C的Ki值约为500nM。在一些实施方案中,5-HT2C的Ki值约为750nM。在一些实施方案中,5-HT2C的Ki值约为1μM。在一些实施方案中,5-HT2C的Ki值约为2μM。在一些实施方案中,5-HT2C的Ki值约为3μM。在一些实施方案中,5-HT2C的Ki值约为4μM。在一些实施方案中,5-HT2C的Ki值约为5μM。在一些实施方案中,5-HT2C的Ki值约为6μM。在一些实施方案中,5-HT2C的Ki值约为7μM。在一些实施方案中,5-HT2C的Ki值约为8μM。在一些实施方案中,5-HT2C的Ki值约为9μM。在一些实施方案中,5-HT2C的Ki值约为10μM。
在一些实施方案中,本公开的化合物对5-HT2C具有低亲和力(例如Ki值高于约100nM、约200nM、约500nM、约750nM、约1,000nM、约1,500nM或约2,000nM)。在一些实施方案中,化合物编号7对5-HT2C具有低亲和力(例如Ki值约2,200nM)。
在一些实施方案中,本公开的化合物对5-HT2A具有亲和力(例如Ki值低于1,500nM、约1,000nM、约750nM、约500nM、约250nM或约100nM)。在一些实施方案中,化合物编号8对具5-HT2A有亲和力(例如Ki值约87nM)。
在一些实施方案中,D2的Ki值大于约100nM。在一些实施方案中,D2的Ki值大于约500nM。在一些实施方案中,D2的Ki值大于约1,000nM。在一些实施方案中,D2的Ki值大于约10,000nM。在一些实施方案中,D2的Ki值大于约25,000nM。在一些实施方案中,D2的Ki值大于约50,000nM。
在一些实施方案中,本公开的化合物对D2具有低亲和力(例如Ki值高于约100nM、约200nM、约500nM、约750nM、约1,000nM、约1,500nM、约2,000nM、约10,000nM、约25,000nM或约50,000nM)。在一些实施方案中,化合物编号7对D2具有低亲和力(例如约高于50,000nM的Ki值)。
不希望受理论束缚,非选择性5-HT2调节剂(例如靶向5-HT2A和5-HT2C两者)不缓解睡眠障碍的症状、治疗或预防睡眠障碍。
此外,不希望受理论束缚,调节5-HT2C功能不缓解睡眠障碍的症状、治疗或预防睡眠障碍。
本公开化合物的生物活性可以利用在人中的估算(projected)人清除率(CL)和半衰期来确定。使用由猴清除率缩放的单个物种的异速生长缩放方法来估算清除率。从动物Vd估算人分布体积(Vd),针对血浆蛋白结合的差异进行调整并假设物种间的未结合Vd相似。使用T1/2=0.693×(估算的Vd/估算的CL)的关系,基于单室模型计算人半衰期(T1/2)。
在一些实施方案中,估算的人半衰期(t1/2)约为10小时-约1小时。在一些实施方案中,估算的人半衰期约为10小时。在一些实施方案中,估算的人半衰期约为9小时。在一些实施方案中,估算的人半衰期约为8小时。在一些实施方案中,估算的人半衰期约为7小时。在一些实施方案中,估算的人半衰期约为6小时。在一些实施方案中,估算的人半衰期约为5小时。在一些实施方案中,估算的人半衰期约为4小时。在一些实施方案中,估算的人半衰期约为3小时。在一些实施方案中,估算的人半衰期约为2小时。在一些实施方案中,估算的人半衰期约为1小时。
膜片钳电生理学系统,例如SyncroPatch 384PE(Nanion),可适用于获得与各个分离细胞中的离子电流相关的数据。
基于微型计算机的睡眠-觉醒和生理监测系统SCORETM可适用于确定睡眠和觉醒。先前已经描述了啮齿动物中SCORETM睡眠阶段鉴定算法的验证和在临床前药物评估中的实用性(Van Gelder等人1991;Edgar等人,Psychopharmacology,1991,105:374-380;Edgar等人,J Pharmacology&Experimental Therapeutics,1997,283:757-769;Edgar等人,J.Pharmacol.Exp.Ther,1997,282:420-429;Seidel等人,J Pharmacology&ExperimentalTherapeutics,1995,275:263-273;Olive等人,J Pharmacology&ExperimentalTherapeutics,1998,285:1073-1083)。
SCORE数据的标准记录持续时间在治疗前后可以不小于30小时。30小时治疗前基线记录本身可以至少24小时,其中动物在居住/记录笼中不受干扰。可以将大鼠随机分配到平行组中的治疗。一些大鼠可以接受多于一次的积极治疗,在这种情况下,在每次治疗之间经过至少7天的“清除”。
受试者可以通过手术准备EEG和EMG记录,并施用镇痛剂和抗生素,然后通过腹膜内或口服施用进行治疗递送。可以使用SCORETM来确定睡眠和觉醒。
可以使用应用于每小时分箱数据(hourly binned data)的事后斯氏T-检验筛选药物和媒介物之间的统计学显著性差异,并针对重复测量进行调整。
本公开的化合物可以表现出改善的睡眠碎片化,如通过评估在该靶标处具有确定的亲和力和功能活性的几种双重作用的H1反向激动剂和5-HT2A拮抗剂化合物的睡眠结构和睡眠质量终点所评估的。
在一些实施方案中,通过(i)减少觉醒次数(如通过每小时转变到醒来的次数所测量),或(ii)增加睡眠巩固(如通过每小时平均睡眠回合持续时间所测量)来改善睡眠碎片化。在一些实施方案中,通过(i)减少觉醒次数(如通过每小时转变到醒来的次数所测量)和(ii)增加睡眠巩固(如通过每小时平均睡眠回合持续时间所测量)来改善睡眠片段化。在一些实施例中,通过减少觉醒次数(如通过每小时转变到醒来的次数来测量)来改善睡眠片段化。在一些实施方案中,通过增加睡眠巩固(如通过每小时平均睡眠回合持续时间来测量)来改善睡眠碎片化。
通过评估本公开化合物的睡眠结构和睡眠质量终点来评估双重作用H1反向激动剂和5-HT2A拮抗剂分子改善睡眠碎片化的效用。
本公开的化合物的H1和5-HT2A结合活性可以通过利用本公开的测定来评估。在一些实施方案中,将本公开的化合物的H1和5-HT2A结合活性与另一种化合物进行比较。
在一些实施方案中,可以与参比标品准(例如酮色林或吡拉明)相比较来测定用于比较的化合物。可以将用于比较的化合物转移到测定板中用于非特异性结合或总结合。可以将测定板密封并摇动。在测定完成后,可以过滤反应混合物并用缓冲液洗涤。过滤板可以被干燥和密封。可以使用以下等式计算抑制常数:
并分析数据。可以计算IC50并转化为Ki。
本公开的化合物的5-HT2C结合活性可以通过利用本公开的测定来评估。在一些实施方案中,将本公开的化合物的5-HT2C结合活性与另一种化合物进行比较。
用于比较的化合物的生物活性可以利用结合测定来确定。结合测定可以用于5-HT2C。用于比较的化合物可以与参比标准品例如SB-206553(即5-甲基-1-(3-吡啶基氨基甲酰基)-1,2,3,5-四氢吡咯并[2,3-f]吲哚盐酸盐水合物)进行比较来测定。可以将用于比较的化合物转移到测定板中用于非特异性结合或总结合。可以将测定板密封并摇动。在测定完成后,可以过滤反应混合物并用缓冲液洗涤。过滤板可以被干燥和密封。可以使用以下等式计算抑制常数:
并分析数据。可以计算IC50并转化为Ki。
本公开的化合物的D2结合活性可以通过利用本公开的测定来评估。在一些实施方案中,将本公开的化合物的D2结合活性与另一种化合物进行比较。
用于比较的化合物的生物活性可以利用结合测定来确定。结合测定可以针对D2。用于比较的化合物可以与参考标准例如氟哌利多(即3-[1-[4-(4-氟苯基)-4-氧代丁基]-3,6-二氢-2H-吡啶-4-基]-1H-苯并咪唑-2-酮)进行比较来测定。可以将用于比较的化合物转移到测定板中用于非特异性结合或总结合。可以将测定板密封并摇动。在测定完成后,可以过滤反应混合物并用缓冲液洗涤。过滤板可以被干燥和密封。可以使用以下等式计算抑制常数:
并分析数据。可以计算IC50并转化为Ki。
药物组合物
在一些方面,本公开提供了包含本公开的化合物作为活性成分的药物组合物。在一些实施方案中,本公开提供了药物组合物,其包含至少一种本文所述的每个通式的化合物,或其药学上可接受的盐或溶剂化物,以及一种或多种药学上可接受的载体或赋形剂。在一些实施方案中,本公开提供了包含至少一种选自表1的化合物的药物组合物。
如本文所用,术语“组合物”旨在涵盖包含特定量的特定成分的产品,以及直接或间接由特定量的特定成分的组合产生的任何产品。
本公开的化合物可以配制成用于口服施用的形式,例如片剂、胶囊(其各自包括持续释放或定时释放制剂)、丸剂、粉末、颗粒、酏剂、酊剂、悬浮液、糖浆和乳剂。本公开的化合物还可以配制用于静脉内(推注或输注)、腹膜内、局部、皮下、肌内或透皮(例如贴剂)施用,所有使用药学领域普通技术人员熟知的形式。
本公开的制剂可以是包含水性载体的水溶液的形式。水性载体组分可包含水和至少一种药学上可接受的赋形剂。适合的可接受的赋形剂包括选自溶解度增强剂、螯合剂、防腐剂、张度剂、粘度/悬浮剂、缓冲剂和pH调节剂及其混合物的那些。
可以使用任何适合的溶解度增强剂。增溶剂的实例包括环糊精,例如选自羟丙基-β-环糊精、甲基-β-环糊精、无规甲基化-β-环糊精、乙基化-β-环糊精、三乙酰基-β-环糊精、全乙酰化-β-环糊精、羧甲基-β-环糊精、羟乙基-β-环糊精、2-羟基-3-(三甲基铵基)丙基-β-环糊精、葡糖基-β-环糊精、硫酸化β-环糊精(S-β-CD)、麦芽糖基-β-环糊精、β-环糊精磺丁基醚、支链-β-环糊精、羟丙基-γ-环糊精、无规甲基化-γ-环糊精和三甲基-γ-环糊精及其混合物。
可以使用任何适合的螯合剂。适合的螯合剂的实例包括选自乙二胺四乙酸及其金属盐、乙二胺四乙酸二钠、乙二胺四乙酸三钠和乙二胺四乙酸四钠及其混合物的那些。
可以使用任何适合的防腐剂。防腐剂的实例包括选自以下的那些:季铵盐,例如苯扎卤铵(优选苯扎氯铵)、葡萄糖酸氯己定、苄索氯铵、氯化十六烷基吡啶鎓、苄基溴、硝酸苯汞、乙酸苯汞、新癸酸苯汞、硫柳汞、对羟基苯甲酸甲酯、对羟基苯甲酸丙酯、山梨酸、山梨酸钾、苯甲酸钠、丙酸钠、对羟基苯甲酸乙酯、丙基氨基丙基双胍和对羟基苯甲酸丁酯和山梨酸及其混合物。
水性媒介物还可以包括张力剂以调节张力(渗透压)。张力剂可以选自二醇(例如丙二醇、二甘醇、三甘醇)、甘油、右旋糖、甘油、甘露醇、氯化钾和氯化钠及其混合物。
水性媒介物还可以包含粘度/助悬剂。适合的粘度/助悬剂包括选自以下的那些:纤维素衍生物,例如甲基纤维素、乙基纤维素、羟乙基纤维素、聚乙二醇(例如聚乙二醇300、聚乙二醇400)、羧甲基纤维素、羟丙基甲基纤维素和交联丙烯酸聚合物(卡波姆),例如与聚烯基醚或二乙烯基乙二醇交联的丙烯酸聚合物(Carbopols-例如Carbopol 934、Carbopol934P、Carbopol 971、Carbopol 974和Carbopol 974P)、以及它们的混合物。
为了将制剂调节至可接受的pH(典型地,pH范围约为5.0-约9.0,更优选约5.5-约8.5,特别是约6.0-约8.5、约7.0-约8.5、约7.2-约7.7、约7.1-约7.9或约7.5-约8.0),制剂可含有pH调节剂。pH调节剂通常是无机酸或金属氢氧化物碱,选自氢氧化钾、氢氧化钠和盐酸及其混合物,优选氢氧化钠和/或盐酸。加入这些酸性和/或碱性pH调节剂以将制剂调节至目标可接受的pH范围。因此,可能不需要同时使用酸和碱--取决于制剂,添加酸或碱中的一种可足以使混合物达到所需的pH范围。
水性媒介物还可含有缓冲剂以稳定pH。当使用时,缓冲剂选自磷酸盐缓冲剂(例如磷酸二氢钠和磷酸氢二钠)、硼酸盐缓冲剂(例如硼酸或其盐,包括四硼酸二钠)、柠檬酸盐缓冲剂(例如柠檬酸或其盐,包括柠檬酸钠)和ε-氨基己酸及其混合物。
制剂可进一步包含润湿剂。适合类别的润湿剂包括选自以下的那些:聚氧丙烯-聚氧乙烯嵌段共聚物(poloxamers/泊洛沙姆)、蓖麻油的聚乙氧基化醚、聚氧乙烯化脱水山梨糖醇酯(聚山梨醇酯)、氧乙基化辛基酚的聚合物(Tyloxapol/泰洛沙泊)、聚氧乙烯(polyoxyl)40硬脂酸酯、脂肪酸乙二醇酯、脂肪酸甘油酯、蔗糖脂肪酸酯和聚氧乙烯脂肪酸酯,以及它们的混合物。
根据本公开的另外的方面,提供了药物组合物,所述药物组合物包含与药学上可接受的稀释剂或载体联合的如上文定义的本公开的化合物或其药学上可接受的盐、水合物或溶剂化物。
本公开的组合物可以是适于口服使用的形式(例如作为片剂、锭剂、硬或软胶囊、水性或油性悬浮液、乳液、可分散粉末或颗粒、糖浆或酏剂)、适于局部使用的形式(例如作为乳膏、软膏、凝胶或水性或油性溶液或悬浮液)、适于通过吸入施用的形式(例如作为细碎粉末或液体气雾剂)、适于通过吹入施用的形式(例如作为细碎粉末)或适于肠胃外施用的形式(例如作为用于静脉内、皮下、肌内、腹膜内或肌内施用的无菌水性或油性溶液或作为直肠给药的栓剂)。
本公开的组合物可以使用本领域熟知的常规药物赋形剂通过常规程序获得。因此,用于口服使用的组合物可含有例如一种或多种着色剂、甜味剂、矫味剂和/或防腐剂。
用于疗法的本公开化合物的有效量是足以治疗或预防本文提及的睡眠障碍相关病症、减缓其进展和/或减轻与病症相关的症状的量。
用于疗法的本公开化合物的有效量是足以治疗本文提及的睡眠障碍相关病症、减缓其进展和/或减轻与病症相关的症状的量。
根据众所周知的医学原理,用于治疗或预防目的的式(I)、(II)和(II')化合物的剂量大小将根据病症的性质和严重程度、动物或受试者的年龄和性别以及施用途径的不同而自然变化。
使用方法
睡眠碎片化,一种以睡眠巩固不良为特征的人类病症,包括频繁的短暂觉醒或微觉醒(由美国睡眠医学学会定义为皮质EEG激活发作,持续至少2秒至16秒并中断睡眠)和频繁过渡到睡眠的较轻阶段,当睡眠碎片化伴随疼痛、睡眠呼吸障碍和其他疾病状态时,这可能导致显著的白天损伤(daytime impairment)、继发发病和死亡。白天损伤可能包括注意力和集中受损、过度嗜睡、判断受损、记忆和学习受损以及事故风险增加。患有睡眠碎片化的受试者通常不知道可能在夜间发生的数百次短暂觉醒,并且主要抱怨严重的白天损伤。睡眠碎片化受试者经常抱怨他们的睡眠不有益或不提神(refreshing)。
睡眠碎片化的诊断及其治疗方法不同于失眠,失眠是单独且不同的医学诊断。失眠的特征通常在于受试者意识到对他们的睡眠不满意。大多数失眠患者具有过度觉醒障碍,这使得难以入睡和/或难以保持睡眠状态,但使他们能够在白天期间良好地发挥作用。通过测量持续睡眠的潜伏期(LPS≥30分钟满足睡眠开始(sleep-onset)失眠的定义)和/或测量睡眠开始后清醒的时间量(WASO≥50分钟满足睡眠维持性失眠的定义)来诊断失眠。对于失眠患者,特别是老年人来说,在半夜醒来并且不能恢复睡眠是常见的。与患有睡眠碎片化的受试者不同,失眠患者几乎总是高度意识到他们不能在夜间入睡或保持睡眠,并抱怨他们的夜间经历,并且通常不抱怨白天损伤。
本文的实施方案涉及鉴定特别适合于治疗全部或部分以睡眠碎片化为特征的睡眠障碍的药理学化合物类别。本公开的化合物可以被描述为具有双重H1受体反向激动剂和5-HT2A受体拮抗剂活性以改善睡眠碎片化,如通过减少的觉醒次数(测量为每小时转变到觉醒的次数减少)、增加的睡眠连续性/巩固(通过每小时平均睡眠回合持续时间测量)和增加的睡眠深度(通过脑电图(EEG)频谱分析临床前测量以鉴定0.5-4.0赫兹的EEG频带中的功率(EEG“δ功率”))所证明的。
具有必需的H1反向激动剂和5-HT2A拮抗剂受体药理学的分子可以使用改进和扩展版本的(一种复杂的睡眠-觉醒生物测定和分析系统,此后将其称为“SCORETM”)研究它们对实验室大鼠的EEG睡眠-觉醒、运动活动、饮料和食物相关活动和体温的影响。
该技术非常适合于睡眠-觉醒功效以及生理和行为副作用评估。与该技术相关的是广泛的药理学数据库,其具有超过500种不同分子的标准化睡眠-觉醒、生理和行为数据。实验设计、数据质量控制和数据分析方法的标准化性质使得能够在分子之间进行直接比较。
大鼠和人睡眠
本公开提供了使用大鼠的临床前药物评估。不希望受理论束缚,大鼠睡眠和人睡眠具有所有必要的基本相似性,以允许大鼠用作临床前模型。因此,在人中催眠的化合物可在大鼠中具有催眠作用,并且在大鼠中催眠的化合物可在人中具有催眠作用。大鼠和人都表现出对睡眠趋势和睡眠结构的强大的昼夜节律调节。
睡眠的“稳态”控制在哺乳动物物种(包括人类)中具有相似性,因为睡眠的丧失增加了睡眠的稳态驱动,这通过以下证明:睡眠开始潜伏期的减少、睡眠深度的增加(其可以通过非REM期间的低频“Δ”EEG(“EEG慢波”)的量来反映)、通过睡眠回合持续时间测量的睡眠巩固的增加、或总睡眠时间的增加。受试者的睡眠剥夺可能导致受试者更快地入睡、更深地睡眠、更有效地睡眠(例如睡眠回合的更巩固)或更多地睡眠(例如睡眠时间的增加),直到睡眠的稳态驱动通过睡眠过程充分释放。
不间断的、良好巩固的睡眠可以决定大鼠和人的睡眠质量。不希望受理论束缚,无论受试者睡眠多少或什么样的EEG频率在睡眠期间占主导地位,睡眠过程的有益工作要求睡眠不被频繁的觉醒分割(中断)。
不希望受理论束缚,通过在受试者中减少睡眠开始的潜伏期、增加睡眠时间、增加睡眠的深度和/或巩固、减少觉醒或上述作用的组合来影响NREM睡眠的本公开化合物在不同的受试者中具有相同的作用。本公开的化合物通过减少受试者中睡眠开始效应的潜伏期来影响NREM睡眠,其可以对不同物种的受试者具有相同的作用。通过降低大鼠睡眠开始潜伏期来影响NREM睡眠的本公开的化合物可对不同物种的受试者具有相同的作用。通过减少大鼠睡眠开始潜伏期来影响NREM睡眠的本公开化合物可能对人具有相同的作用。
不希望受理论束缚,通过增加受试者的睡眠时间来影响NREM睡眠的本公开的化合物对不同的受试者具有相同的作用。通过增加受试者的睡眠时间来影响NREM睡眠的本公开化合物可以对不同物种的受试者具有相同的作用。通过增加大鼠的睡眠时间来影响NREM睡眠的本公开化合物可以对不同物种的受试者具有相同的作用。通过增加大鼠的睡眠时间来影响NREM睡眠的本公开化合物可能对人具有相同的作用。
不希望受理论束缚,通过增加受试者的睡眠深度和/或巩固来影响NREM睡眠的本公开化合物在不同的受试者中具有相同的效果。通过增加受试者的睡眠深度和/或巩固来影响NREM睡眠的本公开化合物可在不同物种的受试者中具有相同的作用。通过增加大鼠睡眠的深度和/或巩固来影响NREM睡眠的本公开化合物可在不同物种的受试者中具有相同的作用。通过增加大鼠睡眠的深度和/或巩固来影响NREM睡眠的本公开化合物在人类中可能具有相同的作用。
不希望受理论束缚,通过增加受试者的睡眠深度和巩固来影响NREM睡眠的本公开化合物在不同的受试者中具有相同的作用。通过增加受试者的睡眠深度和巩固来影响NREM睡眠的本公开化合物可在不同物种的受试者中具有相同的作用。通过增加大鼠睡眠的深度和巩固来影响NREM睡眠的本公开化合物可在不同物种的受试者中具有相同的作用。通过增加大鼠睡眠的深度和巩固来影响NREM睡眠的本公开化合物在人类中可能具有相同的作用。
不希望受理论束缚,通过增加受试者的睡眠深度或巩固来影响NREM睡眠的本公开化合物在不同的受试者中具有相同的作用。通过增加受试者的睡眠深度或巩固来影响NREM睡眠的本公开化合物可在不同物种的受试者中具有相同的作用。通过增加大鼠睡眠的深度或巩固来影响NREM睡眠的本公开化合物可在不同物种的受试者中具有相同的作用。通过增加大鼠睡眠的深度或巩固来影响NREM睡眠的本公开化合物在人类中可能具有相同的作用。
不希望受理论束缚,通过增加受试者的睡眠深度来影响NREM睡眠的本公开化合物在不同的受试者中具有相同的作用。通过增加受试者的睡眠深度来影响NREM睡眠的本公开化合物可在不同物种的受试者中具有相同的作用。通过增加大鼠的睡眠深度来影响NREM睡眠的本公开化合物可在不同物种的受试者中具有相同的作用。通过增加大鼠的睡眠深度来影响NREM睡眠的本公开化合物在人类中可能具有相同的作用。
不希望受理论束缚,通过增加受试者的睡眠巩固来影响NREM睡眠的本公开化合物在不同的受试者中具有相同的作用。通过增加受试者的睡眠巩固来影响NREM睡眠的本公开化合物在不同物种的受试者中可具有相同的作用。通过增加大鼠睡眠巩固来影响NREM睡眠的本公开化合物在不同物种的受试者中可具有相同的作用。通过增加大鼠睡眠巩固来影响NREM睡眠的本公开化合物在人中可能具有相同的作用。
不希望受理论束缚,通过减少受试者的觉醒来影响NREM睡眠的本公开化合物在不同的受试者中具有相同的作用。通过减少受试者的觉醒来影响NREM睡眠的本公开化合物在不同物种的受试者中具有相同的作用。通过减少大鼠的觉醒来影响NREM睡眠的本公开化合物在不同物种的受试者中具有相同的作用。通过减少大鼠的觉醒来影响NREM睡眠的本公开化合物在人类中具有相同的作用。
不希望受理论束缚,通过在受试者中减少睡眠开始的潜伏期、增加睡眠时间、增加睡眠的深度和/或巩固、减少觉醒或上述作用的组合来影响REM睡眠的本公开化合物在不同的受试者中具有相同的作用。本公开的化合物,其通过减少受试者中睡眠开始效应的潜伏期来影响REM睡眠,可以对不同物种的受试者具有相同的作用。通过减少大鼠睡眠开始潜伏期来影响REM睡眠的本公开化合物可对不同物种的受试者具有相同的作用。通过减少大鼠睡眠开始潜伏期来影响REM睡眠的本公开化合物可对人具有相同的作用。
不希望受理论束缚,通过增加受试者的睡眠时间来影响REM睡眠的本公开化合物对不同的受试者具有相同的作用。通过增加受试者的睡眠时间来影响REM睡眠的本公开化合物可以对不同物种的受试者具有相同的作用。通过增加大鼠的睡眠时间来影响REM睡眠的本公开化合物可以对不同物种的受试者具有相同的作用。通过增加大鼠的睡眠时间来影响REM睡眠的本公开化合物可能对人具有相同的作用。
不希望受理论束缚,通过增加受试者的睡眠深度和/或巩固来影响REM睡眠的本公开化合物在不同的受试者中具有相同的作用。通过增加受试者的睡眠深度和/或巩固来影响REM睡眠的本公开化合物可在不同物种的受试者中具有相同的作用。通过增加大鼠睡眠的深度和/或巩固来影响REM睡眠的本公开化合物可在不同物种的受试者中具有相同的作用。通过增加大鼠睡眠的深度和/或巩固来影响REM睡眠的本公开化合物在人类中可能具有相同的作用。
不希望受理论束缚,通过增加受试者的睡眠深度和巩固来影响REM睡眠的本公开化合物在不同的受试者中具有相同的作用。通过增加受试者的睡眠深度和巩固来影响REM睡眠的本公开化合物可在不同物种的受试者中具有相同的作用。通过增加大鼠睡眠的深度和巩固来影响REM睡眠的本公开化合物可在不同物种的受试者中具有相同的作用。通过增加大鼠睡眠的深度和巩固来影响REM睡眠的本公开化合物在人类中可能具有相同的作用。
不希望受理论束缚,通过增加受试者的睡眠深度或巩固来影响REM睡眠的本公开化合物在不同的受试者中具有相同的作用。通过增加受试者的睡眠深度或巩固来影响REM睡眠的本公开化合物可在不同物种的受试者中具有相同的作用。通过增加大鼠睡眠的深度或巩固来影响REM睡眠的本公开化合物可在不同物种的受试者中具有相同的作用。通过增加大鼠睡眠的深度或巩固来影响REM睡眠的本公开化合物在人类中可能具有相同的作用。
不希望受理论束缚,通过增加受试者的睡眠深度来影响REM睡眠的本公开化合物在不同的受试者中具有相同的作用。通过增加受试者的睡眠深度来影响REM睡眠的本公开化合物在不同物种的受试者中可具有相同的作用。通过增加大鼠的睡眠深度来影响REM睡眠的本公开化合物在不同物种的受试者中可具有相同的作用。通过增加大鼠的睡眠深度来影响REM睡眠的本公开化合物在人类中可能具有相同的作用。
不希望受理论束缚,通过增加受试者的睡眠巩固来影响REM睡眠的本公开化合物在不同的受试者中具有相同的作用。通过增加受试者的睡眠巩固来影响REM睡眠的本公开化合物可在不同物种的受试者中具有相同的作用。通过增加大鼠睡眠巩固来影响REM睡眠的本公开化合物可在不同物种的受试者中具有相同的作用。通过增加大鼠睡眠巩固来影响REM睡眠的本公开化合物在人中可具有相同的作用。
不希望受理论束缚,通过减少受试者的觉醒来影响REM睡眠的本公开化合物在不同的受试者中具有相同的作用。通过减少受试者的觉醒来影响REM睡眠的本公开化合物在不同物种的受试者中具有相同的作用。通过减少大鼠的觉醒来影响REM睡眠的本公开化合物在不同物种的受试者中具有相同的作用。通过减少大鼠的觉醒来影响REM睡眠的本公开化合物在人类中具有相同的作用。
不希望受理论束缚,睡眠连续性可以测量为NREM“回合”的持续时间或REM回合的持续时间,或NREM+REM“回合”的持续时间,其中觉醒或清醒回合中断了NREM-REM循环。
在一些实施方案中,睡眠回合可由NREM、REM或NREM+REM组成。
在一些实施方案中,睡眠回合可以由NREM组成。在一些实施方案中,睡眠回合可由REM组成。在一些实施方案中,睡眠回合可以由NREM+REM组成。
在一些实施方案中,NREM和REM睡眠交替,这可以称为NREM-REM周期。在一些实施方案中,NREM在REM之前。
在一些实施方案中,在NREM与REM中花费的时间比例对于不同的受试者相同。在一些实施方案中,在NREM与REM中花费的时间比例对于不同物种的不同受试者相同。在一些实施方案中,在NREM与REM中花费的时间比例对于大鼠和不同物种的受试者相同。在一些实施方案中,在NREM与REM中花费的时间比例对于大鼠和人相同。
在一些实施方案中,在NREM与REM中花费的时间比例约为5:1。在一些实施方案中,在NREM与REM中花费的时间比例约为4:1。在一些实施方案中,在NREM与REM中花费的时间比例约为3:1。在一些实施方案中,在NREM与REM中花费的时间比例约为2:1。
在一些实施方案中,在NREM与REM中花费的时间比例约为100:1-约1:1。在一些实施方案中,在NREM与REM中花费的时间比例约为90:1-约1:1。在一些实施方案中,在NREM与REM中花费的时间比例约为80:1-约1:1。在一些实施方案中,在NREM与REM中花费的时间比例约为70:1-约1:1。在一些实施方案中,在NREM与REM中花费的时间比例约为60:1-约1:1。在一些实施方案中,在NREM与REM中花费的时间比例约为50:1-约1:1。在一些实施方案中,在NREM与REM中花费的时间比例约为40:1-约1:1。在一些实施方案中,在NREM与REM中花费的时间比例约为30:1-约1:1。在一些实施方案中,在NREM与REM中花费的时间比例约为20:1-约1:1。在一些实施方案中,在NREM与REM中花费的时间比例约为10:1-约1:1。在一些实施方案中,在NREM与REM中花费的时间比例约为5:1-约1:1。在一些实施方案中,物种为小鼠。在一些实施方案中,物种为有蹄动物。在一些实施方案中,有蹄动物为马或牛。在一些实施方案中,物种不为实验室大鼠。在一些实施方案中,物种不为人。
在一些实施方案中,催眠药在一定程度上减少REM睡眠,并且几类睡眠障碍药物可以强烈抑制REM睡眠。不希望受理论束缚,REM睡眠抑制可能与学习、记忆和/或精神健康相关。
不希望受理论束缚,抑制或刺激REM睡眠的、用于睡眠障碍、神经精神障碍和心血管疾病的一些类别的药物的相对效果从受试者转化为不同的受试者。抑制或刺激REM睡眠的、用于睡眠障碍、神经精神障碍和心血管疾病的一些类别的药物的相对作用从受试者转化为不同物种的受试者。抑制或刺激REM睡眠的、用于睡眠障碍、神经精神障碍和心血管疾病的一些类别的药物的相对作用从大鼠转化为不同物种的受试者。抑制或刺激REM睡眠的、用于睡眠障碍的一些类别的药物的相对作用可以从实验室大鼠转化为人类。
在大鼠和人类睡眠之间可能存在两个差异。首先,老鼠是夜间活跃的,而人类是白天活跃的。这种差异本身对于测试药物对睡眠和觉醒的影响可能不重要。当比较大鼠和人睡眠时,在评估药物对睡眠相关变量(例如REM睡眠的抑制)的功效时,可以依赖于相对于正常睡眠期的给药时间。大鼠和人之间的差异在于睡眠回合的长度,也称为“睡眠连续性”。此外,人可以每天将睡眠巩固为单个时段,仅被短时间(例如小于2小时、小于1小时、小于45分钟、小于30分钟、小于25分钟、小于20分钟、小于15分钟、小于10分钟、小于5分钟或小于1分钟)的觉醒回合中断。异常状况可能导致人类睡眠变得碎片化,减少睡眠的恢复益处。大鼠可以具有在整个24小时一天中发生的较短的睡眠回合(例如平均每20分钟,大鼠完成睡眠-觉醒周期)。在黑暗期间(当大鼠可能最活跃时),睡眠通常占用每20分钟周期是1/3,REM睡眠是罕见的。在白天(开灯),大鼠通常大约睡觉每20分钟周期的2/3。大鼠中睡眠的多相性质和较短的自发睡眠回合持续时间使得能够高度灵敏地评估药物作用,例如增加睡眠巩固(睡眠回合持续时间)、减少觉醒次数(觉醒回合次数)的药物作用,以及睡眠质量的各种次要但期望的量度,例如非REM睡眠中的EEG慢波活动,以及通过觉醒回合持续时间测量的觉醒维持的量度。睡眠回合长度也可以是生理嗜睡的敏感量度,并且可以是人类中催眠功效的临床前预测因子。
治疗时机
经验优化可以通过在一天中的两个昼夜时间CT-18和CT-5施用睡眠相关化合物来评估这些化合物来进行,其中CT-0被定义为开灯(lights-on)。CT-18是大鼠昼夜节律周期活动期的中点,在熄灯后6小时,并且可能对催眠药物对睡眠回合长度的作用敏感,尽管在CT-18和CT-5都可以观察到这种作用。CT-5开始于REM睡眠的峰值丰度的几个小时,因此是揭示REM睡眠的药物相关抑制的敏感时间。CT-18和CT-5都是用于评估药物对睡眠碎片化的影响的一天中的合适时间,所述睡眠碎片化通过觉醒(醒来回合(wake bout)次数或转变到醒来的次数)、睡眠巩固(睡眠回合持续时间)以及评估保持清醒(醒来回合长度)和药物相关副作用来测量。
在CT-5(在对应于开灯后5小时的一天中的时间施用的治疗)和/或CT-18(在对应于开灯后18小时或关灯后6小时的一天中的时间施用的治疗,此时动物被圈养在由12小时光照和12小时黑暗组成的24小时光照黑暗周期中)观察到的临床前效果,被认为足以鉴定可减少睡眠碎片化的化合物。
使用方法
在一些实施方案中,本公开提供了调节H1/5-HT2A功能(例如双重作用的H1反向激动剂和5-HT2A拮抗剂活性,例如体外或体内)的方法,其包含使细胞与有效量的本公开化合物或其药学上可接受的盐接触。在一些实施方案中,本公开提供了通过向有需要的受试者施用治疗有效量的本公开化合物或其药学上可接受的盐或本公开的药物组合物来减轻本文公开的疾病或病症的症状、治疗或预防所述疾病或病症的方法。
在一些实施方案中,调节H1/5-HT2A功能(例如双重作用的H1反向激动剂和5-HT2A拮抗剂活性,例如体外或体内)缓解睡眠障碍的症状、治疗或预防睡眠障碍。
在一些实施方案中,调节H1/5-HT2A功能(例如双重作用的H1反向激动剂和5-HT2A拮抗剂活性,例如体外或体内)缓解睡眠障碍的症状或治疗睡眠障碍。
在一些实施方案中,调节H1/5-HT2A功能(例如双重作用的H1反向激动剂和5-HT2A拮抗剂活性,例如体外或体内)治疗睡眠障碍。
在一些方面,本公开提供了缓解睡眠障碍的症状、治疗或预防睡眠障碍的方法。
在一些实施方案中,本公开提供了通过向有需要的受试者施用治疗有效量的本公开的化合物或其药学上可接受的盐或本公开的药物组合物来治疗或预防所述受试者的本文公开的疾病或病症的方法。
在一些实施方案中,本公开提供了治疗有需要的受试者的本文公开的疾病或病症的方法,通过向该受试者施用治疗有效量的本公开化合物或其药学上可接受的盐或本公开的药物组合物来进行。
在一些实施方案中,本公开提供了本公开的化合物或其药学上可接受的盐在治疗或预防疾病或病症中的用途。
在一些实施方案中,本公开提供了本公开的化合物或其药学上可接受的盐在治疗疾病或病症中的用途。
在一些实施方案中,本公开提供了本公开的化合物或其药学上可接受的盐在制备用于治疗或预防疾病或病症的药物中的用途。
在一些实施方案中,本公开提供了本公开的化合物或其药学上可接受的盐在制备用于治疗疾病或病症的药物中的用途。
在一些实施方案中,本公开提供了本公开的化合物或其药学上可接受的盐,用于治疗或预防疾病或病症。
在一些实施方案中,本公开提供了本公开的化合物或其药学上可接受的盐,用于治疗疾病或病症。
在一些实施方案中,所述疾病或病症为睡眠障碍。
在一些实施方案中,睡眠障碍为增加的睡眠紊乱、增加的睡眠碎片化、增加的觉醒或降低的觉醒阈值。
在一些实施方案中,所述睡眠碎片化与医学病症共病。
在一些实施方案中,睡眠障碍由医学病症引起或与医学病症共病,其中医学病症引起或恶化睡眠障碍。
在一些实施方案中,睡眠障碍由医学病症引起,其中医学病症引起或恶化睡眠障碍。
在一些实施方案中,睡眠障碍与医学病症共病,其中医学病症引起或恶化睡眠障碍。
在一些方面,本公开提供了通过向有需要的受试者施用治疗有效量的本公开化合物或其药学上可接受的盐或本公开的药物组合物来缓解所述受试者的睡眠障碍的症状、治疗或预防所述受试者的睡眠障碍的方法。
在一些方面,本公开提供了通过向有需要的受试者施用治疗有效量的本公开的化合物或其药学上可接受的盐或本公开的药物组合物来治疗或预防所述受试者的睡眠障碍的方法。
在一些方面,本公开提供了通过向有需要的受试者施用治疗有效量的本公开的化合物或其药学上可接受的盐或本公开的药物组合物来治疗所述受试者的睡眠障碍的方法。
在一些方面,本公开提供了本公开的化合物或其药学上可接受的盐在缓解睡眠障碍症状、治疗或预防睡眠障碍中的用途。
在一些方面,本公开提供了本公开的化合物或其药学上可接受的盐在缓解睡眠障碍症状中的用途。
在一些方面,本公开提供了本公开的化合物或其药学上可接受的盐在治疗睡眠障碍中的用途。
在一些方面,本公开提供了本公开的化合物或其药学上可接受的盐在制备用于缓解睡眠障碍症状、治疗或预防睡眠障碍的药物中的用途。
在一些方面,本公开提供了本公开的化合物或其药学上可接受的盐在制备用于缓解睡眠障碍症状或治疗睡眠障碍的药物中的用途。
在一些方面,本公开提供了本公开的化合物或其药学上可接受的盐在制备用于治疗睡眠障碍的药物中的用途。
在一些方面,本公开提供了本公开的化合物或其药学上可接受的盐,用于缓解睡眠障碍症状、治疗或预防睡眠障碍。
在一些方面,本公开提供了本公开的化合物或其药学上可接受的盐,用于缓解睡眠障碍症状或治疗睡眠障碍。
在一些方面,本公开提供了本公开的化合物或其药学上可接受的盐,用于治疗睡眠障碍。
在一些实施方案中,调节H1/5-HT2A功能(例如双重作用的H1反向激动剂和5-HT2A拮抗剂活性,例如体外或体内)缓解睡眠障碍症状、治疗或预防睡眠障碍。
在一些实施方案中,调节H1/5-HT2A功能(例如双重作用的H1反向激动剂和5-HT2A拮抗剂活性,例如体外或体内)缓解睡眠障碍症状、治疗睡眠障碍。
在一些实施方案中,调节H1/5-HT2A功能(例如双重作用的H1反向激动剂和5-HT2A拮抗剂活性,例如体外或体内)治疗睡眠障碍。
在一些实施方案中,本公开提供了调节H1/5-HT2A功能(例如双重作用的H1反向激动剂和5-HT2A拮抗剂活性,例如体外或体内)的方法,通过施用本公开的化合物或其药学上可接受的盐来进行。
在一些实施方案中,本公开提供了本公开的化合物或其药学上可接受的盐在调节H1/5-HT2A功能(例如双重作用的H1反向激动剂和5-HT2A拮抗剂活性,例如体外或体内)中的用途。
在一些实施方案中,本公开提供了本公开的化合物或其药学上可接受的盐在制备用于调节H1/5-HT2A功能(例如双重作用的H1反向激动剂和5-HT2A拮抗活性,例如体外或体内)的药物中的用途。
在一些实施方案中,本公开提供了本公开的化合物或其药学上可接受的盐,用于调节H1/5-HT2A功能(例如双重作用的H1反向激动剂和5-HT2A拮抗剂活性,例如体外或体内)。
在一些实施方案中,H1/5-HT2A受体调节睡眠。在一些实施方案中,调节H1/5-HT2A功能改善睡眠障碍。在一些实施方案中,调节H1/5-HT2A功能改善睡眠紊乱。在一些实施方案中,调节H1/5-HT2A功能改善睡眠碎片化。在一些实施方案中,调节H1/5-HT2A功能改善睡眠觉醒。在一些实施方案中,调节H1/5-HT2A功能改善觉醒阈值。在一些实施方案中,H1/5-HT2A受体上调。在一些实施方案中,H1/5-HT2A受体下调。
在一些实施方案中,本公开提供了调节H1/5-HT2A功能(例如双重作用的H1反向激动剂和5-HT2A拮抗剂活性,例如体外或体内)的方法,通过向受试者施用治疗有效量的式(I)、(II)或(II’)的化合物或其药学上可接受的盐或本公开的药物组合物来进行。
在一些实施方案中,本公开提供了式(I)、(II)或(II’)的化合物或其药学上可接受的盐或本公开的药物组合物用于调节H1/5-HT2A功能(例如双重作用的H1反向激动剂和5-HT2A拮抗剂活性,例如体外或体内)中的用途。
在一些实施方案中,本公开提供了式(I)、(II)或(II’)的化合物或其药学上可接受的盐或本公开的药物组合物在制备用于调节H1/5-HT2A功能(例如双重作用的H1反向激动剂和5-HT2A拮抗剂活性,例如体外或体内)的药物中的用途。
在一些实施方案中,本公开提供了式(I)、(II)或(II’)的化合物或其药学上可接受的盐或本公开的药物组合物,用于调节H1/5-HT2A功能(例如双重作用的H1反向激动剂和5-HT2A拮抗剂活性,例如体外或体内)。
在一些实施方案中,本文提供了用于治疗睡眠障碍的式(I)、(II)或(II’)的化合物或其药学上可接受的盐。在一些实施方案中,本文提供了用于治疗睡眠障碍的式(I)的化合物或其药学上可接受的盐。在一些实施方案中,本文提供了用于治疗睡眠障碍的式(II)的化合物或其药学上可接受的盐。在一些实施方案中,本文提供了用于治疗睡眠障碍的式(II’)的化合物或其药学上可接受的盐。
在一些实施方案中,本文提供了式(I)、(II)或(II’)的化合物或其药学上可接受的盐,其用于治疗患有与医学病症共病的受试者的睡眠障碍。在一些实施方案中,本文提供了式(I)的化合物或其药学上可接受的盐,其用于治疗患有与医学病症共病的受试者的睡眠障碍。在一些实施方案中,本文提供了式(II)的化合物或其药学上可接受的盐,其用于治疗患有与医学病症共病的受试者的睡眠障碍。在一些实施方案中,本文提供了式(II’)的化合物或其药学上可接受的盐,其用于治疗患有与医学病症共病的受试者的睡眠障碍。
在一些实施方案中,本公开提供了式(I)、(II)或(II’)的化合物或其药学上可接受的盐在治疗睡眠障碍中的用途。在一些实施方案中,本公开提供了式(I)的化合物或其药学上可接受的盐在治疗睡眠障碍中的用途。在一些实施方案中,本公开提供了式(II)的化合物或其药学上可接受的盐在治疗睡眠障碍中的用途。在一些实施方案中,本公开提供了式(II’)的化合物或其药学上可接受的盐在治疗睡眠障碍中的用途。
在一些实施方案中,本公开提供了式(I)、(II)或(II’)的化合物或其药学上可接受的盐在治疗患有与医学病症共病的受试者的睡眠障碍中的用途。在一些实施方案中,本公开提供了式(I)的化合物或其药学上可接受的盐在治疗患有与医学病症共病的受试者的睡眠障碍中的用途。在一些实施方案中,本公开提供了式(II)的化合物或其药学上可接受的盐在治疗患有与医学病症共病的受试者的睡眠障碍中的用途。在一些实施方案中,本公开提供了式(II’)的化合物或其药学上可接受的盐在治疗患有与医学病症共病的受试者的睡眠障碍中的用途。
在一些实施方案中,本公开提供了式(I)、(II)或(II’)的化合物或其药学上可接受的盐在制备用于治疗睡眠障碍的药物中的用途。在一些实施方案中,本公开提供了式(I)的化合物或其药学上可接受的盐在制备用于治疗睡眠障碍的药物中的用途。在一些实施方案中,本公开提供了式(II)的化合物或其药学上可接受的盐在制备用于治疗睡眠障碍的药物中的用途。在一些实施方案中,本公开提供了式(II’)的化合物或其药学上可接受的盐在制备用于治疗睡眠障碍的药物中的用途。
在一些实施方案中,本公开提供了式(I)、(II)或(II’)的化合物或其药学上可接受的盐在制备用于治疗患有与医学病症共病的受试者的睡眠障碍的药物中的用途。在一些实施方案中,本公开提供了式(I)的化合物或其药学上可接受的盐在制备用于治疗患有与医学病症共病的受试者的睡眠障碍的药物中的用途。在一些实施方案中,本公开提供了式(II)的化合物或其药学上可接受的盐在制备用于治疗患有与医学病症共病的受试者的睡眠障碍的药物中的用途。在一些实施方案中,本公开提供了式(II’)的化合物或其药学上可接受的盐在制备用于治疗患有与医学病症共病的受试者的睡眠障碍的药物中的用途。
在一些实施方案中,本公开提供了式(I)、(II)或(II’)的化合物或其药学上可接受的盐,用于治疗睡眠障碍。在一些实施方案中,本公开提供了式(I)的化合物或其药学上可接受的盐,用于治疗睡眠障碍。在一些实施方案中,本公开提供了式(II)的化合物或其药学上可接受的盐,用于治疗睡眠障碍。在一些实施方案中,本公开提供了式(II’)的化合物或其药学上可接受的盐,用于治疗睡眠障碍。
在一些实施方案中,本公开提供了式(I)、(II)或(II’)的化合物或其药学上可接受的盐,用于治疗患有与医学病症共病的受试者的睡眠障碍。在一些实施方案中,本公开提供了式(I)的化合物或其药学上可接受的盐,用于治疗患有与医学病症共病的受试者的睡眠障碍。在一些实施方案中,本公开提供了式(II)的化合物或其药学上可接受的盐,用于治疗患有与医学病症共病的受试者的睡眠障碍。在一些实施方案中,本公开提供了式(II’)的化合物或其药学上可接受的盐,用于治疗患有与医学病症共病的受试者的睡眠障碍。
在一些实施方案中,本公开提供了调节H1/5-HT2A功能(例如双重作用的H1反向激动剂和5-HT2A拮抗剂活性,例如体外或体内)的方法,通过向受试者施用治疗有效量的化合物30、31、34或35或其药学上可接受的盐来进行。
在一些实施方案中,本公开提供了化合物30、31、34或35或其药学上可接受的盐在调节H1/5-HT2A功能(例如双重作用的H1反向激动剂和5-HT2A拮抗剂活性,例如体外或体内)中的用途。
在一些实施方案中,本公开提供了化合物30、31、34或35或其药学上可接受的盐在制备用于调节H1/5-HT2A功能(例如双重作用的H1反向激动剂和5-HT2A拮抗剂活性,例如体外或体内)的药物中的用途。
在一些实施方案中,本公开提供了化合物30、31、34或35或其药学上可接受的盐,用于调节H1/5-HT2A功能(例如双重作用的H1反向激动剂和5-HT2A拮抗剂活性,例如体外或体内)。
在一些实施方案中,本公开提供了缓解睡眠障碍症状、治疗或预防睡眠障碍的方法,通过向受试者施用治疗有效量的化合物30、31、34或35或其药学上可接受的盐。
在一些实施方案中,本公开提供了缓解睡眠障碍症状或治疗睡眠障碍的方法,通过向受试者施用治疗有效量的化合物30、31、34或35或其药学上可接受的盐来进行。
在一些实施方案中,本公开提供了治疗睡眠障碍的方法,通过向受试者施用治疗有效量的化合物30、31、34或35或其药学上可接受的盐来进行。
在一些实施方案中,本公开提供了化合物30、31、34或35或其药学上可接受的盐在缓解睡眠障碍症状、治疗或预防睡眠障碍中的用途。
在一些实施方案中,本公开提供了化合物30、31、34或35或其药学上可接受的盐在缓解睡眠障碍症状或治疗睡眠障碍中的用途。
在一些实施方案中,本公开提供了化合物30、31、34或35或其药学上可接受的盐在治疗睡眠障碍中的用途。
在一些实施方案中,本公开提供了化合物30、31、34或35或其药学上可接受的盐在制备用于缓解睡眠障碍症状、治疗或预防睡眠障碍的药物中的用途。
在一些实施方案中,本公开提供了化合物30、31、34或35或其药学上可接受的盐在制备用于缓解睡眠障碍症状或治疗睡眠障碍的药物中的用途。
在一些实施方案中,本公开提供了化合物30、31、34或35或其药学上可接受的盐在制备用于治疗睡眠障碍的药物中的用途。
在一些实施方案中,本公开提供了化合物30、31、34或35或其药学上可接受的盐,用于缓解睡眠障碍症状、治疗或预防睡眠障碍。
在一些实施方案中,本公开提供了化合物30、31、34或35或其药学上可接受的盐,用于缓解睡眠障碍症状或治疗睡眠障碍。
在一些实施方案中,本公开提供了化合物30、31、34或35或其药学上可接受的盐,用于治疗睡眠障碍。
在一些实施方案中,本公开涉及缓解睡眠障碍的症状、治疗或预防睡眠障碍,其中所述睡眠障碍是受试者中增加的睡眠紊乱、增加的睡眠碎片化、增加的觉醒或降低的觉醒阈值,其中所述睡眠障碍由以下引起或与以下共病:睡眠呼吸暂停、不宁腿综合征、高呼吸障碍指数(RDI)、神经系统疾病、昼夜节律障碍、疼痛、周期性腿部运动障碍(PLMD)、REM行为障碍、老年(elderly)碎片化睡眠、年龄相关的睡眠碎片化、绝经后睡眠障碍、物质滥用、物质滥用戒断、发作性睡眠(narcolepsy)、精神障碍、对疼痛的敏感性增加、心血管疾病、高血压、非恢复性睡眠、中风、代谢紊乱或认知障碍。
在一些实施方案中,本公开涉及缓解睡眠障碍的症状、治疗或预防睡眠障碍,其中所述睡眠障碍是受试者中增加的睡眠紊乱、增加的睡眠碎片化、增加的觉醒或降低的觉醒阈值,其中所述睡眠障碍由以下引起:睡眠呼吸暂停、不宁腿综合征、高呼吸障碍指数(RDI)、神经系统疾病、昼夜节律障碍、疼痛、周期性腿部运动障碍(PLMD)、REM行为障碍、老年碎片化睡眠、年龄相关的睡眠碎片化、绝经后睡眠障碍、物质滥用、物质滥用戒断、发作性睡眠、精神障碍、对疼痛的敏感性增加、心血管疾病、高血压、非恢复性睡眠、中风、代谢紊乱或认知障碍。
在一些实施方案中,本公开涉及缓解睡眠障碍的症状、治疗或预防睡眠障碍,其中所述睡眠障碍是受试者中增加的睡眠紊乱、增加的睡眠碎片化、增加的觉醒或降低的觉醒阈值,其中所述睡眠障碍与以下共病:睡眠呼吸暂停、不宁腿综合征、高呼吸障碍指数(RDI)、神经系统疾病、昼夜节律障碍、疼痛、周期性腿部运动障碍(PLMD)、REM行为障碍、老年碎片化睡眠、年龄相关的睡眠碎片化、绝经后睡眠障碍、物质滥用、物质滥用戒断、发作性睡眠、精神障碍、对疼痛的敏感性增加、心血管疾病、高血压、非恢复性睡眠、中风、代谢紊乱或认知障碍。
在一些实施方案中,本公开涉及缓解睡眠障碍的症状、治疗或预防睡眠障碍,其中所述睡眠障碍是受试者中增加的睡眠紊乱、增加的睡眠碎片化、增加的觉醒或降低的觉醒阈值,其中所述睡眠障碍由以下引起或与以下共病:睡眠呼吸暂停、不宁腿综合征、高呼吸障碍指数(RDI)、神经系统疾病、昼夜节律障碍、疼痛、周期性腿部运动障碍(PLMD)、REM行为障碍、老年碎片化睡眠、年龄相关的睡眠碎片化、绝经后睡眠障碍、物质滥用、物质滥用戒断、发作性睡眠、精神障碍或非恢复性睡眠。
在一些实施方案中,本公开涉及缓解睡眠障碍的症状、治疗或预防睡眠障碍,其中所述睡眠障碍是受试者中增加的睡眠紊乱、增加的睡眠碎片化、增加的觉醒或降低的觉醒阈值,其中所述睡眠障碍由以下引起:睡眠呼吸暂停、不宁腿综合征、高呼吸障碍指数(RDI)、神经系统疾病、昼夜节律障碍、疼痛、周期性腿部运动障碍(PLMD)、REM行为障碍、老年碎片化睡眠、年龄相关的睡眠碎片化、绝经后睡眠障碍、物质滥用、物质滥用戒断、发作性睡眠、精神障碍或非恢复性睡眠。
在一些实施方案中,本公开涉及缓解睡眠障碍的症状、治疗或预防睡眠障碍,其中所述睡眠障碍是受试者中增加的睡眠紊乱、增加的睡眠碎片化、增加的觉醒或降低的觉醒阈值,其中所述睡眠障碍与以下共病:睡眠呼吸暂停、不宁腿综合征、高呼吸障碍指数(RDI)、神经系统疾病、昼夜节律障碍、疼痛、周期性腿部运动障碍(PLMD)、REM行为障碍、老年碎片化睡眠、年龄相关的睡眠碎片化、绝经后睡眠障碍、物质滥用、物质滥用戒断、发作性睡眠、精神障碍或非恢复性睡眠。
在一些实施方案中,睡眠障碍由一种或多种类型的疼痛引起或与一种或多种类型的疼痛共病。
在一些实施方案中,睡眠障碍由一种或多种类型的疼痛引起。
在一些实施方案中,睡眠障碍与一种或多种类型的疼痛共病。
在一些实施方案中,所述疼痛选自炎性疼痛、伤害性疼痛、神经性疼痛、混合性伤害性和神经性疼痛、术后疼痛、疱疹后疼痛、创伤性疼痛、幻肢疼痛、纤维肌痛(fibromyalgia)、背痛、癌症疼痛和骨关节炎性疼痛。
在一些实施方案中,所述疼痛为慢性疼痛。
在一些实施方案中,所述疼痛为关节炎性疼痛。
在一些实施方案中,所述疼痛为炎性疼痛。
在一些实施方案中,炎性疼痛为关节炎。在一些实施方案中,关节炎为类风湿性关节炎。在一些实施方案中,关节炎为骨关节炎。
在一些实施方案中,所述疼痛为伤害性疼痛。在一些实施方案中,所述伤害性疼痛为急性的。在一些实施方案中,所述伤害性疼痛是慢性的。在一些实施方案中,所述伤害性疼痛由癌症疗法引起。在一些实施方案中,所述伤害性疼痛由手术引起。
在一些实施方案中,所述疼痛为神经性疼痛。在一些实施方案中,所述神经性疼痛为慢性的。在一些实施方案中,所述神经性疼痛为急性的。在一些实施方案中,所述神经性疼痛是背痛。在一些实施方案中,所述神经性疼痛由脊髓损伤引起。在一些实施方案中,所述神经性疼痛由多发性硬化引起。在一些实施方案中,所述神经性疼痛由中风引起。在一些实施方案中,所述神经性疼痛由糖尿病引起。在一些实施方案中,所述神经性疼痛由代谢病症引起。
在一些实施方案中,所述疼痛为混合的伤害性疼痛和神经性疼痛。
在一些实施方案中,所述疼痛为术后疼痛。
在一些实施方案中,所述疼痛为疱疹后疼痛。
在一些实施方案中,所述疼痛为创伤性疼痛。在一些实施方案中,创伤性疼痛由灼痛(causalgia)引起。
在一些实施方案中,所述疼痛为幻肢疼痛。
在一些实施方案中,所述疼痛为纤维肌痛。
在一些实施方案中,所述疼痛为背痛。在一些实施方案中,所述疼痛为腰痛。
在一些实施方案中,所述疼痛为癌症疼痛。在一些实施方案中,所述癌症疼痛是癌症。在一些实施方案中,所述癌症疼痛由肿瘤引起。在一些实施方案中,所述癌症疼痛由癌症治疗引起。在一些实施方案中,所述癌症疼痛由化学疗法引起。在一些实施方案中,所述癌症疼痛为放射疗法。在一些实施方案中,所述癌症疼痛由手术引起。
在一些实施方案中,所述疼痛为骨关节炎性疼痛。
在一些实施方案中,所述疼痛的特征可以在于情绪的变化。
在一些实施方案中,睡眠障碍由睡眠呼吸暂停引起或与睡眠呼吸暂停共病。
在一些实施方案中,睡眠障碍由睡眠呼吸暂停引起。
在一些实施方案中,睡眠障碍与睡眠呼吸暂停共病。
在一些实施方案中,睡眠呼吸暂停是阻塞性睡眠呼吸暂停
在一些实施方案中,睡眠呼吸暂停为阻塞性睡眠呼吸暂停,其归因于与升高的呼吸事件相关觉醒(RERA)相关的高呼吸障碍指数(RDI),有或没有伴随的呼吸暂停。
在一些实施方案中,睡眠呼吸暂停为阻塞性睡眠呼吸暂停,其归因于与升高的呼吸事件相关觉醒(RERA)相关的高呼吸障碍指数(RDI),有伴随的呼吸暂停。
在一些实施方案中,睡眠呼吸暂停是阻塞性睡眠呼吸暂停,其是由于与升高的呼吸事件相关唤醒(RERA)相关的高呼吸障碍指数(RDI),有或没有伴随的呼吸不足。
在一些实施方案中,睡眠呼吸暂停为阻塞性睡眠呼吸暂停,其归因于与升高的呼吸事件相关觉醒(RERA)相关的高呼吸障碍指数(RDI),有伴随呼吸不足。
在一些实施方案中,睡眠呼吸暂停为阻塞性睡眠呼吸暂停,其归因于与升高的呼吸事件相关觉醒(RERA)相关的高呼吸障碍指数(RDI),有或没有伴随的急性血红蛋白去饱和。s
在一些实施方案中,睡眠呼吸暂停为阻塞性睡眠呼吸暂停,其归因于与升高的呼吸事件相关唤醒(RERA)相关的高呼吸障碍指数(RDI),具有伴随的急性血红蛋白去饱和。
在一些实施方案中,阻塞性睡眠呼吸暂停的特征可以在于白天过度嗜睡。
在一些实施方案中,阻塞性睡眠呼吸暂停的特征可以在于存在心血管生物标志物。
在一些实施方案中,睡眠呼吸暂停为中枢性睡眠呼吸暂停。
在一些实施方案中,睡眠呼吸暂停为低觉醒阈值睡眠呼吸暂停。
在一些实施方案中,睡眠呼吸暂停为呼吸不足。
在一些实施方案中,睡眠障碍由不宁腿综合征引起或与其共病。
在一些实施方案中,睡眠障碍由不宁腿综合征引起。
在一些实施方案中,睡眠障碍与不宁腿综合征共病。
在一些实施方案中,睡眠障碍由高呼吸障碍指数(RDI)引起或与其共病。
在一些实施方案中,睡眠障碍由高呼吸障碍指数(RDI)引起。
在一些实施方案中,睡眠障碍与高呼吸障碍指数(RDI)共病。
在一些实施方案中,RDI与具有或不具有伴随呼吸暂停的升高的呼吸事件相关觉醒(RERA)相关。
在一些实施方案中,RDI与具有伴随呼吸暂停的升高的呼吸事件相关觉醒(RERA)相关。
在一些实施方案中,RDI与具有或不具有伴随的呼吸不足的升高的呼吸事件相关觉醒(RERA)相关。
在一些实施方案中,RDI与具有伴随呼吸不足的升高的呼吸事件相关觉醒(RERA)相关。
在一些实施方案中,RDI与具有或不具有伴随的急性血红蛋白去饱和的升高的呼吸事件相关觉醒(RERA)相关。
在一些实施方案中,RDI与具有伴随急性血红蛋白去饱和的升高的呼吸事件相关觉醒(RERA)相关。
在一些实施方案中,RDI与具有或不具有伴随血红蛋白去饱和的升高的呼吸事件相关觉醒(RERA)相关。
在一些实施方案中,RDI与具有伴随血红蛋白去饱和的升高的呼吸事件相关觉醒(RERA)相关。
在一些实施方案中,睡眠障碍由精神障碍引起或与精神障碍共病。
在一些实施方案中,睡眠障碍由精神障碍引起。
在一些实施方案中,睡眠障碍与精神障碍共病。
在一些实施方案中,精神障碍为抑郁症、重度抑郁症、创伤后应激障碍、焦虑症、双相情感障碍或精神分裂症。
在一些实施方案中,精神障碍为抑郁症。在一些实施方案中,精神障碍为重度抑郁症。在一些实施方案中,精神障碍式创伤后应激障碍。在一些实施方案中,精神障碍为焦虑症。在一些实施方案中,精神障碍为双相情感障碍。在一些实施方案中,精神障碍为精神分裂症。
在一些实施方案中,创伤后精神紧张性精神障碍的特征可以在于发生噩梦。
在一些实施方案中,创伤后精神紧张性精神障碍的特征可以在于睡眠质量降低。
在一些实施方案中,创伤后应激障碍的特征可以在于破坏性夜间行为。
在一些实施方案中,创伤后应激障碍可以与抑郁症共病。
在一些实施方案中,创伤后应激障碍可以与焦虑共病。
在一些实施方案中,睡眠障碍由神经系统疾病引起或与神经系统疾病共病。
在一些实施方案中,睡眠障碍由神经系统疾病引起。
在一些实施方案中,睡眠障碍与神经系统疾病共病。
在一些实施方案中,神经系统疾病为神经变性疾病。
在一些实施方案中,神经变性疾病为Lewy body病(即Lewy body痴呆)。在一些实施方案中,Lewy body病为弥漫性的。
在一些实施方案中,神经变性疾病为肌萎缩性侧索硬化(ALS)。在一些实施方案中,神经变性疾病为亨廷顿舞蹈病。在一些实施方案中,神经变性疾病为帕金森病。在一些实施方案中,神经变性疾病为阿尔茨海默病。在一些实施方案中,神经变性疾病为共核蛋白病(Synucleinopathy)。
在一些实施方案中,共核蛋白病为阿尔茨海默病、帕金森病或Lewy body痴呆。在一些实施方案中,共核蛋白病为阿尔茨海默病。在一些实施方案中,共核蛋白病为帕金森病。在一些实施方案中,共核蛋白病为Lewy body痴呆。在一些实施方案中,共核蛋白病为多系统萎缩。
在一些实施方案中,帕金森病的特征可以在于帕金森病相关的睡眠紊乱。
在一些实施方案中,帕金森病的特征可以在于发生噩梦。
在一些实施方案中,帕金森病的特征可以在于发生幻觉(hallucinations)。
在一些实施方案中,帕金森病的特征可以在于白天过度嗜睡。
在一些实施方案中,阿尔茨海默病的特征可以在于阿尔茨海默病相关的睡眠障碍。
在一些实施方案中,阿尔茨海默病的特征可以在于夜间游荡。
在一些实施方案中,神经系统疾病为神经发育疾病。在一些实施方案中,神经发育疾病为自闭症。在一些实施方案中,神经疾病为肌张力障碍(muscular dystonia)。在一些实施方案中,肌张力障碍为神经肌肉张力障碍。在一些实施方案中,神经肌张力障碍为痉挛性斜颈(spasmodic torticollis)。
在一些实施方案中,神经系统疾病为多发性硬化(MS)。
在一些实施方案中,睡眠障碍由昼夜节律障碍引起或与昼夜节律障碍共病。
在一些实施方案中,睡眠障碍由昼夜节律障碍引起。
在一些实施方案中,睡眠障碍与昼夜节律障碍共病。
在一些实施方案中,所述昼夜节律障碍为晚期睡眠-醒来期障碍。在一些实施方案中,所述昼夜节律紊乱为不规则的睡眠-醒来节律障碍。在一些实施方案中,所述昼夜节律障碍为时差综合征。在一些实施方案中,所述昼夜节律障碍为轮班工作睡眠障碍。在一些实施方案中,所述昼夜节律紊乱为睡眠期延迟综合征。在一些实施方案中,昼夜节律紊乱为非24小时节律障碍。
在一些实施方案中,睡眠障碍由老年碎片化睡眠引起或与老年碎片化睡眠共病。
在一些实施方案中,睡眠障碍由老年碎片化睡眠引起。
在一些实施方案中,睡眠障碍与老年碎片化睡眠共病。
在一些实施方案中,睡眠障碍由年龄相关的睡眠碎片化引起或与其共病。
在一些实施方案中,睡眠障碍由年龄相关的睡眠碎片化引起。
在一些实施方案中,睡眠障碍与年龄相关的睡眠碎片化共病。
在一些实施方案中,睡眠障碍由绝经后睡眠障碍引起或与绝经后睡眠障碍共病。
在一些实施方案中,睡眠障碍由绝经后睡眠障碍引起。
在一些实施方案中,睡眠障碍与绝经后睡眠障碍共病。
在一些实施方案中,睡眠障碍由物质滥用引起或与物质滥用共病。
在一些实施方案中,睡眠障碍由物质滥用引起。
在一些实施方案中,睡眠障碍与物质滥用共病。
在一些实施方案中,物质滥用为阿片样物质滥用或酒精中毒。在一些实施方案中,物质滥用为阿片样物质滥用。在一些实施方案中,物质滥用为酒精中毒。
在一些实施方案中,睡眠障碍由物质滥用戒断引起或与其共病。
在一些实施方案中,睡眠障碍由物质滥用戒断引起。
在一些实施方案中,睡眠障碍与物质滥用戒断共病。
在一些实施方案中,物质滥用戒断为阿片样物质戒断或酒精戒断。在一些实施方案中,物质滥用戒断为阿片样物质戒断。在一些实施方案中,物质滥用为酒精戒断。
在一些实施方案中,睡眠障碍由发作性睡眠引起或与发作性睡眠共病。
在一些实施方案中,睡眠障碍由发作性睡眠引起。
在一些实施方案中,睡眠障碍与发作性睡眠共病。
在一些实施方案中,睡眠障碍由周期性腿部运动障碍(PLMD)引起或与其共病。
在一些实施方案中,睡眠障碍由周期性腿部运动障碍(PLMD)引起。
在一些实施方案中,睡眠障碍与周期性腿部运动障碍(PLMD)共病。
在一些实施方案中,睡眠障碍由REM行为障碍引起或与其共病。
在一些实施方案中,睡眠障碍由REM行为障碍引起。
在一些实施方案中,睡眠障碍与REM行为障碍共病。
在一些实施方案中,睡眠障碍由老年零碎睡眠引起或与老年碎片化睡眠共病。
在一些实施方案中,睡眠障碍由老年碎片化睡眠引起。
在一些实施方案中,睡眠障碍与老年碎片化睡眠共病。
在一些实施方案中,睡眠障碍由特发性睡眠增多症(hypersomia)引起或与其共病。
在一些实施方案中,睡眠障碍由特发性睡眠增多症引起。
在一些实施方案中,睡眠障碍与特发性睡眠增多症共病。
在一些实施方案中,睡眠障碍由非恢复性睡眠引起或与非恢复性睡眠共病。
在一些实施方案中,睡眠障碍由非恢复性睡眠引起。
在一些实施方案中,睡眠障碍与非恢复性睡眠共病。
在一些实施方案中,睡眠障碍由打鼾引起或与打鼾共病。
在一些实施方案中,睡眠障碍由打鼾引起。
在一些实施方案中,睡眠障碍与打鼾共病。
在一些实施方案中,睡眠障碍由对疼痛的敏感性增加引起或与其共病。
在一些实施方案中,睡眠障碍由对疼痛的敏感性增加引起。
在一些实施方案中,睡眠障碍与对疼痛的敏感性增加共病。
在一些实施方案中,睡眠障碍由心血管疾病引起或与心血管疾病共病。
在一些实施方案中,睡眠障碍由心血管疾病引起。
在一些实施方案中,睡眠障碍与心血管疾病共病。
在一些实施方案中,睡眠障碍由高血压引起或与高血压共病。
在一些实施方案中,睡眠障碍由高血压引起。
在一些实施方案中,睡眠障碍与高血压共病。
在一些实施方案中,睡眠障碍由中风引起或与中风共病。
在一些实施方案中,睡眠障碍由中风引起。
在一些实施方案中,睡眠障碍与中风共病。
在一些实施方案中,睡眠障碍由代谢障碍引起或与代谢障碍共病。
在一些实施方案中,睡眠障碍由代谢障碍引起。
在一些实施方案中,睡眠障碍与代谢障碍共病。
在一些实施方案中,所述代谢障碍为糖尿病。
在一些实施方案中,睡眠障碍由认知缺损引起或与认知障碍共病。
在一些实施方案中,睡眠障碍因认知缺损引起。
在一些实施方案中,睡眠障碍与认知缺损共病。
本公开提供了用作H1/5-HT2A功能调节剂的化合物。因此,本公开提供了在体外或体内调节H1反向激动作用和5-HT2A拮抗作用的方法。该方法包括使细胞与有效量的如本文所定义的化合物或其药学上可接受的盐接触。
本公开的化合物的有效性可以根据本领域所述的、阐明其的标准实践、通过行业接受的测定或疾病模型来确定,并且在当前的公知常识中找到。
本公开还提供了在需要这种治疗的受试者中治疗其中涉及H1/5-HT2A功能的疾病或病症的方法,所述方法通过向所述受试者施用治疗有效量的如本文所定义的化合物或其药学上可接受的盐或药物组合物。
本公开的化合物或其药学上可接受的盐可以作为唯一疗法单独施用,或者可以与一种或多种其他物质和/或治疗一起施用。在一些实施方案中,一种或多种其他物质和/或治疗和本公开的化合物或其药学上可接受的盐可以在时间上接近地施用。这种联合治疗可以通过同时、顺序或分开施用治疗的各个成分来实现。
在一些实施方案中,本公开的方法牵涉向受试者施用本公开的化合物和另外的活性剂。在一些实施方案中,所述另外的活性剂可以为例如镇静催眠药。
在一些实施方案中,本公开的方法包含施用单独的本公开的化合物或其药学上可接受的衍生物。
在一些实施方案中,本公开的方法包含施用本公开的化合物或其药学上可接受的衍生物与单一的另外活性剂的组合。
在一些实施方案中,本公开的方法包含施用本公开的化合物或其药学上可接受的衍生物,与活性剂的组合。
在一些实施方案中,本公开的方法牵涉在临睡前(hora somni)、睡前(h.s.)(就寝时/at bedtime)或就寝前约0-4小时之间施用本公开的化合物(如果存在的话)。
在一些实施方案中,本公开的方法牵涉在临睡前、睡前(就寝时)或就寝前约4小时之间施用本公开的化合物(如果存在的话)。
在一些实施方案中,本公开的方法牵涉在就寝前0-约4小时之间施用本公开的化合物和任何另外的活性剂。
在一些实施方案中,本公开的方法牵涉在就寝前约1小时施用本公开的化合物和任何另外的活性剂。
在一些实施方案中,本公开的方法牵涉在就寝前约2小时施用本公开的化合物和任何另外的活性剂。
在一些实施方案中,本公开的方法牵涉在就寝前约3小时施用本公开的化合物和任何另外的活性剂。
在一些实施方案中,本公开的方法牵涉在就寝前约4小时施用本公开的化合物和任何另外的活性剂。
例如,可以通过施用佐剂来增强治疗有效性(即佐剂本身可能仅具有最小的治疗益处,但是与另一种治疗剂组合时,增强了对个体的总体治疗益处)。或者,仅举例而言,可通过施用式(I)、(II)或(II')化合物与也具有治疗益处的另一种治疗剂(其也包括治疗方案)来增加个体所经历的益处。
在本公开的化合物与其他治疗剂组合施用的情况下,本公开的化合物不需要通过与其他治疗剂相同的途径施用,并且由于不同的物理和化学特性,可以通过不同的途径施用。例如,本公开的化合物可以口服施用以产生并维持其良好的血液水平,而其他治疗剂可以静脉内施用。初始给药可以根据本领域已知的既定方案进行,然后,基于观察到的效果,熟练的临床医生可以修改剂量、施用方式和施用时间。
其他治疗剂的具体选择将取决于主治医师的诊断及其对个体状况的判断和适当的治疗方案。根据本公开的该方面,提供了用于治疗睡眠障碍的组合,其包含如上文所定义的本公开的化合物或其药学上可接受的盐和另一种适合的药剂。
根据本公开的另一方面,提供了一种药物组合物,其包含本公开的化合物或其药学上可接受的盐,其与适合的药学上可接受的稀释剂或载体组合。
除了其在治疗药物中的用途之外,式(I)、(II)或(II′)化合物及其药学上可接受的盐还可用作体外和体内测试系统的开发和标准化中的药理学工具,所述体外和体内测试系统用于评价H1/5-HT2A功能在实验室动物如狗、家兔、猴、大鼠和小鼠中的作用,作为寻找新治疗剂的一部分。
在一些实施方案中,本公开的方法包含单独或与单一的另外活性剂组合施用本公开的化合物或其药学上可接受的盐。
在一些实施方案中,本公开的方法包含与单一的另外活性剂组合施用本公开的化合物或其药学上可接受的盐。
在一些实施方案中,本公开的方法包括施用本公开的化合物或其药学上可接受的盐,和活性剂的组合。
在一些实施方案中,本公开的方法包含向受试者施用本公开的化合物或其药学上可接受的盐,作为与基于医疗装置的治疗的共同疗法。
在一些实施方案中,本公开的方法包含向受试者施用本公开的化合物或其药学上可接受的盐,作为与基于医疗装置的治疗(例如持续气道正压通气(CPAP)技术或经颅磁刺激或经颅电磁刺激技术)的联合疗法。
在一些实施方案中,本公开的方法包括单独或与单一的另外活性剂组合施用式(I)、(II)或(II')的化合物或其药学上可接受的盐。
在一些实施方案中,本公开的方法包括与单一的另外活性剂组合施用式(I)、(II)或(II')的化合物或其药学上可接受的盐。
在一些实施方案中,本公开的方法包括施用式(I)、(II)或(II')的化合物或其药学上可接受的盐,和活性剂的组合。
在一些实施方案中,本公开的方法包括向受试者施用式(I)、式(II)或式(II')化合物或其药学上可接受的盐,作为与基于医疗装置的治疗的联合疗法。
在一些实施方案中,本公开的方法包括向受试者施用式(I)、(II)或(II’)的化合物或其药学上可接受的盐,作为与基于医疗装置的治疗(例如持续气道正压通气(CPAP)技术或经颅磁刺激或经颅电磁刺激技术)的联合疗法。
在一些实施方案中,本公开的方法包括单独或与单一的另外活性剂组合施用式(I)或(II)的化合物或其药学上可接受的盐。
在一些实施方案中,本公开的方法包括与单一的另外活性剂组合施用式(I)或(II)的化合物或其药学上可接受的盐。
在一些实施方案中,本公开的方法包含施用式(I)或(II)的化合物或其药学上可接受的盐,和活性剂的组合。
在一些实施方案中,本公开的方法包括向受试者施用式(I)或式(II)化合物或其药学上可接受的盐,作为与基于医疗装置的治疗的联合疗法。
在一些实施方案中,本公开的方法包含向受试者施用式(I)或(II)的化合物或其药学上可接受的盐,作为与基于医疗装置的治疗(例如持续气道正压通气(CPAP)技术或经颅磁刺激或经颅电磁刺激技术)的联合疗法。
在一些实施方案中,本公开的方法包括单独或与单一的另外活性剂组合施用化合物30、31、34或35或其药学上可接受的盐。
在一些实施方案中,本公开的方法包含与单一的另外活性剂组合施用化合物30、31、34或35或其药学上可接受的盐。
在一些实施方案中,本公开的方法包含施用化合物30、31、34或35或其药学上可接受的盐,以及活性剂的组合。
在一些实施方案中,本公开的方法包含向受试者施用化合物30、31、34或35或其药学上可接受的盐,作为与基于医疗装置的治疗的共同疗法。
在一些实施方案中,本公开的方法包含向受试者施用化合物30、31、34或35或其药学上可接受的盐,作为与基于医疗装置的治疗(例如持续气道正压通气(CPAP)技术或经颅磁刺激或经颅电磁刺激技术)的联合疗法。
在一些实施方案中,基于医疗装置的治疗为持续气道正压通气(CPAP)技术、经颅磁刺激技术或经颅电磁刺激技术。
在一些实施方案中,基于医疗装置的治疗为持续气道正压通气(CPAP)技术。
在一些实施方案中,基于医疗装置的治疗为经颅磁刺激技术。
在一些实施方案中,基于医疗装置的治疗为经颅电磁刺激技术。
在一些实施方案中,本公开的方法包含向受试者施用式(I)或式(II)化合物,作为与认知行为疗法(CBT)的联合疗法。
在一些实施方案中,CBT为简短认知行为疗法(BCBT)、认知情绪行为疗法(CEBT)、结构认知行为训练(SCBT)、道德调和疗法(moral reconation therapy)、应激接种训练(stress inoculation training)或活动引导的CBT。
在一些实施方案中,CBT为短暂认知行为疗法(BCBT)。
在一些实施方案中,CBT为认知情绪行为疗法(CEBT)。
在一些实施方案中,CBT为结构认知行为训练(SCBT)。
在一些实施方案中,CBT为道德调和疗法。
在一些实施方案中,CBT为应激接种训练。
在一些实施方案中,CBT为活动引导的CBT。
在一些实施方案中,本公开的化合物可以改善睡眠碎片化。
可以通过评估多导睡眠图(polysomnogram)导出的睡眠结构和睡眠深度终点来评估睡眠碎片化,包括觉醒次数(通过从睡眠到清醒的转变次数测量)、睡眠连续性/巩固(通过睡眠回合的平均持续时间测量)和通过EEGδ功率(非REM睡眠期间皮层EEG中0.5-4.0Hz频带的傅立叶分析导出功率)测量的睡眠深度。
可以通过评估多导睡眠图导出的睡眠结构和睡眠终点深度来评估睡眠碎片化,包括觉醒次数(通过从睡眠到清醒的转变次数来测量)。可以通过评估多导睡眠图导出的睡眠结构和睡眠终点的深度来评估睡眠碎片化,包括睡眠连续性/巩固(如通过睡眠回合的平均持续时间测量)。可以通过评估多导睡眠图导出的睡眠结构和睡眠深度终点来评估睡眠碎片化,包括通过EEGδ功率(非REM睡眠期间皮质EEG中0.5-4.0Hz频带中的傅里叶分析导出的功率)测量的睡眠深度。
在一些实施方案中,本公开的化合物满足用于鉴定减少睡眠碎片化的分子的最小共同必需临床前终点。
在一些实施方案中,本公开的化合物可以改善指示促进睡眠维持的分子的睡眠质量的其他量度。
在一些实施方案中,本公开的化合物可以改善指示促进睡眠维持的分子的睡眠质量的其他量度,如通过EEG测量的增加的睡眠深度或间接使用其他行为参数所证明。
在一些实施方案中,本公开的化合物可以改善睡眠碎片化而不产生某些不需要的副作用。在一些实施方案中,不需要的副作用选自肌松弛(myorelaxation)、运动功能受损、缺乏反弹性失眠症(rebound insomnia)和睡眠阶段架构的显著变化(例如每单位时间的睡眠阶段百分比)。
在一些实施方案中,不需要的副作用为肌松弛。
在一些实施方案中,不需要的副作用为运动功能受损。
在一些实施方案中,不需要的副作用为反跳性失眠症(rebound insomnia)。
在一些实施方案中,不需要的副作用为睡眠阶段架构的显著变化。
在本公开的任何上述药物组合物、过程、方法、用途、药物和制造特征中,本文所述的本公开的大分子的任何替代实施方案也适用。
施用途径
本公开的化合物或包含这些化合物的药物组合物可以通过任何方便的施用途径施用于受试者,无论是全身/外周还是局部(即在所需作用的部位)。
施用途径包括但不限于口服(例如通过消化);口腔;舌下;透皮(包括例如通过贴剂、膏药等);经粘膜(包括例如通过贴剂、膏药等);鼻内(例如通过鼻喷雾);眼部(例如通过滴眼剂);肺部(例如通过吸入或吹入疗法,使用例如经由气溶胶,例如通过口或鼻);直肠(例如通过栓剂或灌肠剂);阴道(例如通过子宫托);肠胃外,例如通过注射,包括皮下、皮内、肌内、静脉内、动脉内、心内、鞘内、脊柱内、囊内、囊下、眶内、腹膜内、气管内、表皮下、关节内、蛛网膜下和胸骨内;通过例如皮下或肌内植入贮库或储库。
示例性实施方案
实施方案编号1.式(I)的化合物:
或其前药、溶剂化物或药学上可接受的盐,其中:
R1为C1-C6烷基、C2-C6烯基、C2-C6炔基、C1-C6卤代烷基、C1-C6烷氧基或C3-C6环烷基;
R2为C1-C6烷基、C2-C6烯基、C2-C6炔基、C1-C6卤代烷基、C1-C6烷氧基或C3-C6环烷基;或
R1和R2与它们所连接的原子一起形成C3-C6饱和或部分不饱和环烷基或包含1-5个选自N、O和S的杂原子的3-至14-元饱和或部分不饱和杂环;
R3为H、卤素、–S(C1-C6烷基)、–N(C1-C6烷基)2、–NH(C1-C6烷基)、–NH2、C1-C6烷基、C2-C6烯基、C2-C6炔基、C1-C6卤代烷基、C1-C6烷氧基、C1-C6卤代烷氧基或C3-C6环烷基;
R4为H、卤素、–S(C1-C6烷基)、–N(C1-C6烷基)2、–NH(C1-C6烷基)、–NH2、C1-C6烷基、C2-C6烯基、C2-C6炔基、C1-C6卤代烷基、C1-C6烷氧基、C1-C6卤代烷氧基或C3-C6环烷基;
R5为H、卤素、–S(C1-C6烷基)、–N(C1-C6烷基)2、–NH(C1-C6烷基)、–NH2、C1-C6烷基、C2-C6烯基、C2-C6炔基、C1-C6卤代烷基、C1-C6烷氧基、C1-C6卤代烷氧基或C3-C6环烷基;
R6为H、卤素、–S(C1-C6烷基)、–N(C1-C6烷基)2、–NH(C1-C6烷基)、–NH2、C1-C6烷基、C2-C6烯基、C2-C6炔基、C1-C6卤代烷基、C1-C6烷氧基、C1-C6卤代烷氧基或C3-C6环烷基;
R7为H、氘、C1-C6烷基、C2-C6烯基或C2-C6炔基;
R8为H、氘、C1-C6烷基、C2-C6烯基或C2-C6炔基;且
R9为H、C1-C6烷基、C2-C6烯基、C2-C6炔基、C1-C6卤代烷基或C3-C6环烷基,
条件是R3、R4、R5和R6的至少一个为H。
实施方案编号2.式(II)的化合物:
或其前药、溶剂化物或药学上可接受的盐,其中:
X为CR7R8、O、S或NR7;
R1为C1-C6烷基、C2-C6烯基、C2-C6炔基、C1-C6卤代烷基、C1-C6烷氧基或C3-C6环烷基;
R2为C1-C6烷基、C2-C6烯基、C2-C6炔基、C1-C6卤代烷基、C1-C6烷氧基或C3-C6环烷基;或
R1和R2与它们所连接的原子一起形成C3-C6饱和或部分不饱和环烷基或包含1-5个选自N、O和S的杂原子的3-至14-元饱和或部分不饱和杂环;
R3为H、卤素、–S(C1-C6烷基)、–N(C1-C6烷基)2、–NH(C1-C6烷基)、–NH2、C1-C6烷基、C2-C6烯基、C2-C6炔基、C1-C6卤代烷基、C1-C6烷氧基、C1-C6卤代烷氧基或C3-C6环烷基;
R4为H、卤素、–S(C1-C6烷基)、–N(C1-C6烷基)2、–NH(C1-C6烷基)、–NH2、C1-C6烷基、C2-C6烯基、C2-C6炔基、C1-C6卤代烷基、C1-C6烷氧基、C1-C6卤代烷氧基或C3-C6环烷基;
R5为H、卤素、–S(C1-C6烷基)、–N(C1-C6烷基)2、–NH(C1-C6烷基)、–NH2、C1-C6烷基、C2-C6烯基、C2-C6炔基、C1-C6卤代烷基、C1-C6烷氧基、C1-C6卤代烷氧基或C3-C6环烷基;
R6为H、卤素、–S(C1-C6烷基)、–N(C1-C6烷基)2、–NH(C1-C6烷基)、–NH2、C1-C6烷基、C2-C6烯基、C2-C6炔基、C1-C6卤代烷基、C1-C6烷氧基、C1-C6卤代烷氧基或C3-C6环烷基;
R7为H、氘、C1-C6烷基、C2-C6烯基或C2-C6炔基;
R8为H、氘、C1-C6烷基、C2-C6烯基或C2-C6炔基;且
R9为H、C1-C6烷基、C2-C6烯基、C2-C6炔基、C1-C6卤代烷基或C3-C6环烷基,
条件是:
(a)当R5为H、X为CR7R8或S;
(b)当R5为卤素且R4为H时,R3不为甲基、甲氧基或Br,且X为CR7R8或S;和
(c)当R5为甲氧基或甲基时,R4不为H。
实施方案编号3.式(II’)的化合物:
或其前药、溶剂化物或药学上可接受的盐,其中:
X为CR7R8、O、S或NR7;
R1为C1-C6烷基、C2-C6烯基、C2-C6炔基、C1-C6卤代烷基、C1-C6烷氧基或C3-C6环烷基;
R2为C1-C6烷基、C2-C6烯基、C2-C6炔基、C1-C6卤代烷基、C1-C6烷氧基或C3-C6环烷基;或
R1和R2与它们所连接的原子一起形成C3-C6饱和或部分不饱和环烷基或包含1-5个选自N、O和S的杂原子的3-至14-元饱和或部分不饱和杂环;
R3为H、卤素、–S(C1-C6烷基)、–N(C1-C6烷基)2、–NH(C1-C6烷基)、–NH2、C1-C6烷基、C2-C6烯基、C2-C6炔基、C1-C6卤代烷基、C1-C6烷氧基、C1-C6卤代烷氧基或C3-C6环烷基;
R4为H、卤素、–S(C1-C6烷基)、–N(C1-C6烷基)2、–NH(C1-C6烷基)、–NH2、C1-C6烷基、C2-C6烯基、C2-C6炔基、C1-C6卤代烷基、C1-C6烷氧基、C1-C6卤代烷氧基或C3-C6环烷基;
R5为H、卤素、–S(C1-C6烷基)、–N(C1-C6烷基)2、–NH(C1-C6烷基)、–NH2、C1-C6烷基、C2-C6烯基、C2-C6炔基、C1-C6卤代烷基、C1-C6烷氧基、C1-C6卤代烷氧基或C3-C6环烷基;
R6为H、卤素、–S(C1-C6烷基)、–N(C1-C6烷基)2、–NH(C1-C6烷基)、–NH2、C1-C6烷基、C2-C6烯基、C2-C6炔基、C1-C6卤代烷基、C1-C6烷氧基、C1-C6卤代烷氧基或C3-C6环烷基;
R7为H、氘、C1-C6烷基、C2-C6烯基或C2-C6炔基;
R8为H、氘、C1-C6烷基、C2-C6烯基或C2-C6炔基;
R9为H、C1-C6烷基、C2-C6烯基、C2-C6炔基、C1-C6卤代烷基或C3-C6环烷基;且
R10为H或卤素,
条件是:
(a)(i)当R5为H时,X为CR7R8或S,或(ii)当R5为H且R10为卤素时,X为O;
(b)当R5为卤素、R4为H时,R3不为甲基、甲氧基或Br,且X为CR7R8或S;和
(c)当R5为甲氧基或甲基时,R4不为H。
实施方案编号4.实施方案2的化合物,其中X为O或CR7R8。
实施方案编号5.实施方案2的化合物,其中X为O。
实施方案编号6.实施方案2的化合物,其中X为CH2。
实施方案编号7.上述实施方案任一项的化合物,其中R1为C1-C6烷基。
实施方案编号8.上述实施方案任一项的化合物,其中R1为甲基。
实施方案编号9.上述实施方案任一项的化合物,其中R2为C1-C6烷基。
实施方案编号10.上述实施方案任一项的化合物,其中R2为甲基。
实施方案编号11.上述实施方案任一项的化合物,其中R1和R2与它们所连接的原子一起形成C3-C6饱和或部分不饱和环烷基或包含1-5个选自N、O和S的杂原子的3-至14-元饱和或部分不饱和杂环。
实施方案编号12.上述实施方案任一项的化合物,其中R1和R2与它们所连接的原子一起形成环丙基。
实施方案编号13.上述实施方案任一项的化合物,其中R3为H、卤素、C1-C6烷基或C1-C6烷氧基。
实施方案编号14.上述实施方案任一项的化合物,其中R3为H、F、Cl、甲基或甲氧基。
实施方案编号15.上述实施方案任一项的化合物,其中R3为H。
实施方案编号16.上述实施方案任一项的化合物,其中R3为F。
实施方案编号17.上述实施方案任一项的化合物,其中R3为Cl。
实施方案编号18.上述实施方案任一项的化合物,其中R3为甲基。
实施方案编号19.上述实施方案任一项的化合物,其中R3为甲氧基。
实施方案编号20.上述实施方案任一项的化合物,其中R4为H、卤素、C1-C6烷基或C1-C6卤代烷基。
实施方案编号21.上述实施方案任一项的化合物,其中R4为H、F、Cl、甲基或CHF2。
实施方案编号22.上述实施方案任一项的化合物,其中R4为H。
实施方案编号23.上述实施方案任一项的化合物,其中R4为F。
实施方案编号24.上述实施方案任一项的化合物,其中R4为Cl。
实施方案编号25.上述实施方案任一项的化合物,其中R4为甲基。
实施方案编号26.上述实施方案任一项的化合物,其中R4为CHF2。
实施方案编号27.上述实施方案任一项的化合物,其中R5为H、卤素、C1-C6烷基、C1-C6烷氧基、S(C1-C6烷基)或C1-C6卤代烷基。
实施方案编号28.上述实施方案任一项的化合物,其中R5为H、F、Cl、甲基、乙基、异丙基、正丙基、甲氧基、-SCH3或CHF2。
实施方案编号29.上述实施方案任一项的化合物,其中R5为H。
实施方案编号30.上述实施方案任一项的化合物,其中R5为F。
实施方案编号31.上述实施方案任一项的化合物,其中R5为Cl。
实施方案编号32.上述实施方案任一项的化合物,其中R5为甲基。
实施方案编号33.上述实施方案任一项的化合物,其中R5为乙基。
实施方案编号34.上述实施方案任一项的化合物,其中R5为异丙基。
实施方案编号35.上述实施方案任一项的化合物,其中R5为正丙基。
实施方案编号36.上述实施方案任一项的化合物,其中R5为甲氧基。
实施方案编号37.上述实施方案任一项的化合物,其中R5为甲硫基。
实施方案编号38.上述实施方案任一项的化合物,其中R5为CHF2。
实施方案编号39.上述实施方案任一项的化合物,其中R6为H、C1-C6烷基或C1-C6烷氧基。
实施方案编号40.上述实施方案任一项的化合物,其中R6为H、甲基或甲氧基。
实施方案编号41.上述实施方案任一项的化合物,其中R6为H。
实施方案编号42.上述实施方案任一项的化合物,其中R6为甲基。
实施方案编号43.上述实施方案任一项的化合物,其中R6为甲氧基。
实施方案编号44.上述实施方案任一项的化合物,其中R7为H。
实施方案编号45.上述实施方案任一项的化合物,其中R8为H。
实施方案编号46.上述实施方案任一项的化合物,其中R9为H。
实施方案编号47.上述实施方案任一项的化合物,其中R10为H。
实施方案编号48.上述实施方案任一项的化合物,其中R10为F。
实施方案编号49.上述实施方案任一项的化合物,其中该化合物为式(Ia)的化合物:
或其前药、溶剂化物或药学上可接受的盐,其中R3、R4、R5和R6如本文所述。
实施方案编号50.上述实施方案任一项的化合物,其中该化合物为式(Ib)的化合物:
或其前药、溶剂化物或药学上可接受的盐,其中R3、R4、R5和R6如本文所述。
实施方案编号51.上述实施方案任一项的化合物,其中该化合物为式(IIa)的化合物:
或其前药、溶剂化物或药学上可接受的盐,其中X、R1、R2、R4、R5和R9如本文所述。
实施方案编号52.上述实施方案任一项的化合物,其中该化合物为式(IIa-1)的化合物:
或其前药、溶剂化物或药学上可接受的盐,其中X、R4和R5如本文所述。
实施方案编号53.上述实施方案任一项的化合物,其中该化合物为式(IIa-2)的化合物:
或其前药、溶剂化物或药学上可接受的盐,其中X、R4和R5如本文所述。
实施方案编号54.上述实施方案任一项的化合物,其中该化合物为式(IIb)的化合物:
或其前药、溶剂化物或药学上可接受的盐,其中X、R1、R2、R3、R5和R9如本文所述。
实施方案编号55.上述实施方案任一项的化合物,其中该化合物为式(IIb-1)的化合物:
或其前药、溶剂化物或药学上可接受的盐,其中X、R3和R5如本文所述。
实施方案编号56.上述实施方案任一项的化合物,其中该化合物为式(IIb-2)的化合物:
或其前药、溶剂化物或药学上可接受的盐,其中X、R3和R5如本文所述。
实施方案编号57.上述实施方案任一项的化合物,其中该化合物为式(IIc)的化合物:
或其前药、溶剂化物或药学上可接受的盐,其中X、R1、R2、R3、R6和R9如本文所述。
实施方案编号58.上述实施方案任一项的化合物,其中该化合物为式(IIc-1)的化合物:
或其前药、溶剂化物或药学上可接受的盐,其中X、R3和R6如本文所述。
实施方案编号59.上述实施方案任一项的化合物,其中该化合物为式(IIc-2)的化合物:
或其前药、溶剂化物或药学上可接受的盐,其中X、R3和R6如本文所述。
实施方案编号60.上述实施方案任一项的化合物,其中该化合物为式(II’a)的化合物
或其前药、溶剂化物或药学上可接受的盐,其中X、R1、R2、R9和R10如本文对式(II’)所述。
实施方案编号61.上述方案1-60任一项的化合物,其选自化合物编号1-39、其前药和药学上可接受的盐。
实施方案编号62.上述方案1-60任一项的化合物,其选自化合物编号1-39及其药学上可接受的盐。
实施方案编号63.上述方案1-60任一项的化合物,其选自化合物编号1-39。
实施方案编号64.上述方案1-60任一项的化合物,其选自化合物编号30、31、34和35。
实施方案编号65.可通过或通过本文所述方法得到的化合物;任选地,该方法包含方案1-3中所述的一个或多个步骤。
实施方案编号66.药物组合物,包含实施方案1-65任一项的化合物或其药学上可接受的盐和药学上可接受的稀释剂或载体。
实施方案编号67.实施防范66的药物组合物,其中该化合物选自化合物编号1-39。
实施方案编号68.缓解受试者睡眠障碍症状、治疗或预防受试者睡眠障碍的方法,通过向有此需要的受试者施用实施方案1-65任一项的化合物或实施方案66或67的药物组合物来进行。
实施方案编号69.实施方案68的方法,其中睡眠障碍为增加的睡眠碎片化。
实施方案编号70.实施方案68或69的方法,其中所述化合物为H1/5-HT2A受体调节剂。
实施方案编号71.实施方案68或69的方法,其中所述睡眠障碍由以下引起或与以下共病:睡眠呼吸暂停、不宁腿综合征、高呼吸障碍指数(RDI)、神经系统疾病、昼夜节律紊乱、疼痛、周期性腿部运动障碍(PLMD)、REM行为障碍、老年碎片化睡眠、年龄相关的睡眠碎片化、绝经后睡眠障碍、物质滥用、物质滥用戒断、发作性睡眠、精神障碍、对疼痛的敏感性增加、心血管疾病、高血压、非恢复性睡眠(non-restorative sleep)、中风、代谢障碍或认知障碍。
实施方案编号72.实施方案71的方法,其中所述睡眠呼吸暂停为阻塞性睡眠呼吸暂停,所述阻塞性睡眠呼吸暂停是由与升高的呼吸事件相关觉醒(RERA)相关的高呼吸障碍指数(RDI)引起,具有或不具有伴随的呼吸暂停、呼吸不足或急性血红蛋白去饱和。
实施方案编号73.实施方案71的方法,其中神经系统疾病为阿尔茨海默病、帕金森病、亨廷顿舞蹈病或Lewy body痴呆。
实施方案编号74.实施方案71的方法,其中神经系统疾病为神经变性疾病。
实施方案编号75.实施方案74的方法,其中神经变性疾病为共核蛋白病。
实施方案编号76.实施方案75的方法,其中所述共核蛋白病为阿尔茨海默病、帕金森病或路易体痴呆(dementia with Lewy bodies)
实施方案编号77.实施方案74的方法,其中神经变性疾病为路易体病、肌萎缩性侧索硬化、帕金森病、阿尔茨海默病或亨廷顿舞蹈病。
实施方案编号78.实施方案71的方法,其中所述疼痛为急性伤害性疼痛、慢性神经性疼痛、炎性疼痛、关节炎性疼痛、癌症疼痛或混合的伤害性疼痛和神经性疼痛。
实施方案编号79.实施方案78的方法,其中所述混合性伤害感受性和神经性疼痛是腰痛(lowback pain)。
实施方案编号80.实施方案71的方法,其中昼夜节律紊乱为时差综合征(jet-lag)、轮班工作、睡眠时相延迟障碍(delayed sleep phase disorder)或非24小时节律紊乱。
实施方案编号81.实施方案71的方法,其中所述物质滥用是阿片样物质滥用或酒精中毒。
实施方案编号82.实施方案71的方法,其中物质滥用戒断是阿片样物质戒断或酒精戒断。
实施方案编号83.实施方案71的方法,其中所述精神障碍为抑郁症、重度抑郁症、创伤后应激障碍(post-traumatic stress disorder)、焦虑症、双相情感障碍或精神分裂症。
实施方案编号84.实施方案68-83任一项的方法,其中所述化合物与另外的活性剂组合施用。
实施方案编号85.实施方案84的方法,其中所述另外的活性剂是镇静催眠药。
实施方案编号86.实施方案68-85任一项的方法,其中所述化合物和任何另外的活性剂(如果存在的话)在临睡前、睡前(就寝时)或就寝前约0-4小时之间施用。
实施方案编号87.实施方案1-65任一项的化合物或实施方案66或67的药物组合物,用于缓解睡眠障碍症状、治疗或预防睡眠障碍。
实施方案编号88.用于实施方案87的用途的化合物或药物组合物,其中睡眠障碍为增加的睡眠碎片化。
实施方案编号89.用于实施方案87或88的用途的化合物或药物组合物,其中所述化合物或药物组合物为H1/5-HT2A受体调节剂。
实施方案编号90.用于实施方案87或88的用途的化合物或药物组合物,其中睡眠障碍由以下引起或与以下共病:睡眠呼吸暂停、不宁腿综合征、高呼吸障碍指数(RDI)、神经系统疾病、昼夜节律紊乱、疼痛、周期性腿部运动障碍(PLMD)、REM行为障碍、老年碎片化睡眠、年龄相关的睡眠碎片化、绝经后睡眠障碍、物质滥用、物质滥用戒断、发作性睡眠、精神障碍、对疼痛的敏感性增加、心血管疾病、高血压、非恢复性睡眠、中风、代谢障碍或认知障碍。
实施方案编号91.用于实施方案90的用途的化合物或药物组合物,其中所述睡眠呼吸暂停为阻塞性睡眠呼吸暂停,其归因于与升高的呼吸事件相关觉醒(RERA)相关的高呼吸障碍指数(RDI),有或没有伴随的呼吸暂停、呼吸不足或急性血红蛋白去饱和。
实施方案编号92.用于实施方案90的用途的化合物或药物组合物,其中神经系统疾病为阿尔茨海默病、帕金森病、亨廷顿舞蹈病或Lewy body痴呆。
实施方案编号93.用于实施方案90的用途的化合物或药物组合物,其中神经系统疾病为神经变性疾病。
实施方案编号94.用于实施方案93的用途的化合物或药物组合物,其中神经变性疾病为共核蛋白病。
实施方案编号95.用于实施方案94的用途的化合物或药物组合物,其中所述共核蛋白病为阿尔茨海默病、帕金森病或路易体痴呆。
实施方案编号96.用于实施方案93的用途的化合物或药物组合物,其中所述神经变性疾病为Lewy body病、肌萎缩性侧索硬化、帕金森病、阿尔茨海默病或亨廷顿舞蹈病。
实施方案编号97.用于实施方案90的用途的化合物或药物组合物,其中所述疼痛是急性伤害性疼痛、慢性神经性疼痛、炎性疼痛、关节炎性疼痛、癌症疼痛或混合的伤害性疼痛和神经性疼痛。
实施方案编号98.用于实施方案97的用途的化合物或药物组合物,其中所述混合性伤害感受性和神经性疼痛为腰痛。
实施方案编号99.用于实施方案90的用途的化合物或药物组合物,其中昼夜节律紊乱为时差综合征、轮班工作、睡眠时相延迟障碍或非24小时节律障碍。
实施方案编号100.用于实施方案90的用途的化合物或药物组合物,其中所述物质滥用是阿片样物质滥用或酒精中毒。
实施方案编号101.用于实施方案90的用途的化合物或药物组合物,其中物质滥用戒断是阿片样物质戒断或酒精戒断。
实施方案编号102.用于实施方案90的用途的化合物或药物组合物,其中所述精神障碍为抑郁症、重度抑郁症、创伤后应激障碍、焦虑症、双相情感障碍或精神分裂症。
实施方案编号103.用于实施方案87-102任一项的用途的化合物或药物组合物,其中所述化合物与另外的活性剂组合施用。
实施方案编号104.用于实施方案103的用途的化合物或药物组合物,其中所述另外的活性剂为镇静催眠药。
实施方案编号105.用于实施方案87-104任一项的用途的化合物或药物组合物,其中所述化合物和任何另外的活性剂(如果存在的话)在临睡前、睡前)(在就寝时间)或就寝前约0-4小时之间施用。
实施方案编号106.实施方案1-65任一项的化合物或实施方案66或67的药物组合物在制备用于缓解睡眠障碍症状或治疗或预防睡眠障碍的药物中的用途。
实施方案编号107.实施方案106的化合物或药物组合物在制备药物中的用途,其中睡眠障碍为增加的睡眠碎片化。
实施方案编号108.实施方案106或107的化合物或药物组合物在制备药物中的用途,其中所述化合物或药物组合物为H1/5-HT2A受体调节剂。
实施方案编号109.实施方案106或107的化合物或药物组合物在制备药物中的用途,其中睡眠障碍由以下引起或与以下共病:睡眠呼吸暂停、不宁腿综合征、高呼吸障碍指数(RDI)、神经系统疾病、昼夜节律紊乱、疼痛、周期性腿部运动障碍(PLMD)、REM行为障碍、老年碎片化睡眠、年龄相关的睡眠碎片化、绝经后睡眠障碍、物质滥用、物质滥用戒断、发作性睡眠、精神障碍、对疼痛的敏感性增加、心血管疾病、高血压、非恢复性睡眠、中风、代谢障碍或认知障碍。
实施方案编号110.实施方案109的化合物或药物组合物在制备药物中的用途,其中所述睡眠呼吸暂停是阻塞性睡眠呼吸暂停,归因于与升高的呼吸事件相关觉醒(RERA)相关的高呼吸障碍指数(RDI),有或没有伴随的呼吸暂停、呼吸不足性血红蛋白去饱和。
实施方案编号111.实施方案109的化合物或药物组合物在制备药物中的用途,其中所述神经疾病是阿尔茨海默病、帕金森舞蹈病、亨廷顿病或Lewy body痴呆。
实施方案编号112.实施方案109的化合物或药物组合物在制备药物中的用途,其中神经系统疾病为神经变性疾病。
实施方案编号113.实施方案112的化合物或药物组合物在制备药物中的用途,其中神经变性疾病为共核蛋白病。
实施方案编号114.实施方案113的化合物或药物组合物在制备药物中的用途,其中所述共核蛋白病为阿尔茨海默病、帕金森病或路易体痴呆。
实施方案编号115.实施方案112的化合物或药物组合物在制备药物中的用途,其中神经变性疾病为Lewy body病、肌萎缩性侧索硬化、帕金森病、阿尔茨海默病或亨廷顿舞蹈病。
实施方案编号116.实施方案109的化合物或药物组合物在制备药物中的用途,其中所述疼痛是急性伤害性疼痛、慢性神经性疼痛、炎性疼痛、关节炎性疼痛、癌症疼痛或混合的伤害性疼痛和神经性疼痛。
实施方案编号117.实施方案116的化合物或药物组合物在制备药物中的用途,其中所述混合性伤害感受性和神经性疼痛为腰痛。
实施方案编号118.实施方案109的方法,其中昼夜节律紊乱为时差综合征、轮班工作、睡眠时相延迟障碍或非24小时节律紊乱。
实施方案编号119.实施方案109的化合物或药物组合物在制备药物中的用途,其中所述物质滥用是阿片样物质滥用或酒精中毒。
实施方案编号120.实施方案109的化合物或药物组合物在制备药物中的用途,其中所述物质滥用戒断为阿片样物质戒断或酒精戒断。
实施方案编号121.实施方案109的化合物或药物组合物在制备药物中的用途,其中所述精神障碍为抑郁症、重度抑郁症、创伤后应激障碍、焦虑症、双相情感障碍或精神分裂症。
实施方案编号122.实施方案106-121任一项的化合物或药物组合物在制备药物中的用途,其中所述化合物与另外的活性剂组合施用。
实施方案编号123.化合物或药物组合物在制备实施方案122的药物中的用途,其中所述另外的活性剂为镇静催眠药。
实施方案编号124.实施方案106-123任一项的化合物或药物组合物在制备药物中的用途,其中所述化合物和任何另外的活性剂(如果存在的话)在临睡前、睡前(在就寝时间)或就寝前约0-4小时之间施用。
实施方案编号125.实施方案1-65任一项的化合物或实施方案66或67的药物组合物在缓解睡眠障碍症状、治疗或预防睡眠障碍中的用途。
实施方案编号126.实施方案125的用途,其中睡眠障碍为增加的睡眠碎片化。
实施方案编号127.实施方案125或127的化合物或药物组合物,其中所述化合物或药物组合物为H1/5-HT2A受体调节剂。
实施方案编号128.实施方案的125或126用途,其中睡眠障碍由以下引起或与以下共病:睡眠呼吸暂停、不宁腿综合征、高呼吸障碍指数(RDI)、神经系统疾病、昼夜节律紊乱、疼痛、周期性腿部运动障碍(PLMD)、REM行为障碍、老年碎片化睡眠、年龄相关的睡眠碎片化、绝经后睡眠障碍、物质滥用、物质滥用戒断、发作性睡眠、精神障碍、对疼痛的敏感性增加、心血管疾病、高血压、非恢复性睡眠、中风、代谢障碍或认知缺损。
实施方案编号129.实施方案128的用途,其中所述睡眠呼吸暂停为阻塞性睡眠呼吸暂停,所述阻塞性睡眠呼吸暂停归因于与升高的呼吸事件相关觉醒(RERA)相关的高呼吸障碍指数(RDI),有或没有伴随的呼吸暂停、呼吸不足或急性血红蛋白去饱和。
实施方案编号130.实施方案128的用途,其中神经系统疾病为阿尔茨海默病、帕金森病、亨廷顿舞蹈病或Lewy body痴呆。
实施方案编号131.实施方案128的用途,其中神经系统疾病为神经变性疾病。
实施方案编号132.实施方案129的用途,其中神经变性疾病为共核蛋白病。
实施方案编号133.实施方案130的用途,其中所述共核蛋白病为阿尔茨海默病、帕金森病或路易体痴呆。
实施方案编号134.实施方案129的用途,其中神经变性疾病为Lewy body病、肌萎缩性侧索硬化、帕金森病、阿尔茨海默病或亨廷顿舞蹈病。
实施方案编号135.实施方案128的用途,其中所述疼痛为急性伤害性疼痛、慢性神经性疼痛、炎性疼痛、关节炎性疼痛、癌症疼痛或混合的伤害性疼痛和神经性疼痛。
实施方案编号136.实施方案135的用途,其中所述混合性伤害感受性和神经性疼痛为腰痛。
实施方案编号137.实施方案128的用途,其中昼夜节律紊乱为时差综合征、轮班工作、睡眠期延迟障碍或非24小时节律紊乱。
实施方案编号138.实施方案128的用途,其中所述物质滥用是阿片样物质滥用或酒精中毒。
实施方案编号139.实施方案128的用途,其中所述物质滥用戒断为阿片样物质戒断或酒精戒断。
实施方案编号140.实施方案128的用途,其中所述精神障碍为抑郁症、重度抑郁症、创伤后应激障碍、焦虑症、双相情感障碍或精神分裂症。
实施方案编号141.实施方案125-140任一项的用途,其中所述化合物与另外的活性剂组合施用。
实施方案编号142.实施方案141的用途,其中所述另外的活性剂为镇静催眠药。
实施方案编号143.实施方案125-142任一项的用途,其中所述化合物和任何另外的活性剂(如果存在的话)在临睡前、睡前(在就寝时间)或就寝前约0-4小时之间施用。
实施例
出于示例性目的,在实施例中合成并测试式(I)和(II)的中性化合物。应当理解,式(I)和(II)的中性化合物可以使用本领域的常规技术转化为化合物的相应的药学上可接受的盐(例如通过将酯皂化为羧酸盐,或通过水解酰胺以形成相应的羧酸,然后将羧酸转化为羧酸盐)。
核磁共振(NMR)光谱如所述在400MHz或300MHz下记录;化学位移(δ)以百万分率(ppm)报告。使用Bruker或Varian仪器以8、16或32次扫描记录光谱。
除非另有说明,否则使用Agilent 1200或Shimadzu LC-20AD&MS 2020仪器,使用C-18柱如Xtimate C18 2.1×30mm,3um,在2min色谱中记录LC-MS色谱图和光谱。注射体积为0.7-8.0μl,流速典型地为0.8或1.2mL/min。检测方法是二极管阵列(DAD)或蒸发光散射(ELSD)以及正离子电喷雾电离。MS范围为100-1000Da。溶剂是水和乙腈的梯度,两者均含有改性剂(典型地为0.01-0.04%),例如三氟乙酸或碳酸铵。
缩写:
实施例1. 3-(4-(7-氯-3-甲基二苯并[b,f][1,4]氧杂吖庚英-11-基)哌嗪-1-基)-2,2-二甲基丙酸(化合物编号1)
步骤1:2-氟-4-甲基苯甲酰氯的合成
向2-氟-4-甲基苯甲酸(10.00g,64.88mmol,1eq.)在SOCl2(40mL)中的溶液中加入DMF(48mg,648.80μmol,49.92μL,0.01eq.)。将该混合物在80℃搅拌2hr。将该反应体系浓缩至干。将残余物直接用于下一步。得到2-氟-4-甲基苯甲酰氯(11.00g,粗),为黄色固体。
步骤2:N-(4-氯-2-羟基苯基)-2-氟-4-甲基苯甲酰胺
在0℃向2-氨基-5-氯-苯酚(9.15g,63.74mmol,1eq.)和TEA(12.90g,127.47mmol,17.7mL,2eq.)在THF(120mL)中的溶液中分批加入2-氟-4-甲基苯甲酰氯(11.00g,63.74mmol,1eq.)。将该混合物在25℃搅拌16hr。用2N HCl(200mL)使该反应混合物淬灭,用EtOAc(300mL*2)萃取。用盐水(200mL)洗涤合并的有机层,用N2SO4干燥,过滤,浓缩,得到残余物。通过硅胶combi快速色谱法纯化残余物(SiO2,石油醚/乙酸乙酯=3:1)。得到N-(4-氯-2-羟基苯基)-2-氟-4-甲基苯甲酰胺(8.60g,26.49mmol,41.57%收率,86.16%纯度),为棕色固体。H NMR(CDCl3,400MHz)δH=9.05(s,1H),8.73(d,J=18.0Hz,1H),8.08(t,J=8.4Hz,1H),7.15(d,J=8.0Hz,1H),7.10-7.02(m,3H),6.93–6.87(m,1H),2.45(s,3H).
步骤3:7-氯-3-甲基二苯并[b,f][1,4]氧杂吖庚英-11(10H)-酮的合成
向N-(4-氯-2-羟基苯基)-2-氟-4-甲基苯甲酰胺(8.30g,29.68mmol,1eq.)在DMF(150mL)中的溶液中加入t-BuOK(6.66g,59.36mmol,2eq.)。将该混合物在140℃搅拌2hr。将该混合物缓慢地倾入H2O(200mL)。过滤沉淀。减压干燥滤饼。将产物不经进一步纯化直接用于下一步。得到7-氯-3-甲基二苯并[b,f][1,4]氧杂吖庚英-11(10H)-酮(4.10g,15.79mmol,53.19%收率),为棕色固体。H NMR(CDCl3,400MHz)δH=8.62(brs,1H),7.82(d,J=8.0Hz,1H),7.28-7.23(m,1H),7.13-7.04(m,3H),7.01-6.99(m,1H),2.40(s,3H).
步骤4:7,11-二氯-3-甲基二苯并[b,f][1,4]氧杂吖庚英的合成
将7-氯-3-甲基二苯并[b,f][1,4]氧杂吖庚英-11(10H)-酮(1.00g,3.85mmol,1eq.)在POCl3(57.75g,376.64mmol,35mL,97.81eq.)中的混合物在100℃搅拌3hr。浓缩该混合物,得到粗产物。得到将粗产物不经进一步纯化直接用于下一步。得到7,11-二氯-3-甲基二苯并[b,f][1,4]氧杂吖庚英(1.00g,粗),为淡黄色固体。
步骤5:7-氯-3-甲基-11-(哌嗪-1-基)二苯并[b,f][1,4]氧杂吖庚英的合成
将7,11-二氯-3-甲基二苯并[b,f][1,4]氧杂吖庚英(1.00g,3.60mmol,1eq.)和哌嗪(3.10g,35.95mmol,10eq.)在1,4-二噁烷(50mL)中的混合物在120℃搅拌10hr。用H2O(300mL)稀释该混合物,用EtOAc(200mL*3)萃取。浓缩合并的有机层,得到粗产物。通过硅胶柱色谱法纯化粗产物(DCM:MeOH=3:1)。得到7-氯-3-甲基-11-(哌嗪-1-基)二苯并[b,f][1,4]氧杂吖庚英(300mg,665.33μmol,18.51%收率,72.7%纯度),为淡黄色固体。LCMSRt=0.784min,1.5min色谱(Merk RP18e 25-3mm,纯度72.7%).MS ESI计算值327.11[M+H]+328.11,测定值327.9.
步骤6:3-(4-(7-氯-3-甲基二苯并[b,f][1,4]氧杂吖庚英-11-基)哌嗪-1-基)-2,2-二甲基丙酸甲酯的合成
向7,11-二氯-3-甲基二苯并[b,f][1,4]氧杂吖庚英(300mg,915.17μmol,1eq.)和2,2-二甲基-3-氧代-丙酸甲酯(1.79g,13.73mmol,15eq.)在DCM(5mL)中的混合物中加入NaBH(OAc)3(969.8mg,4.58mmol,5eq.)。将得到的混合物在25℃搅拌10hr。用DCM(30mL)稀释该混合物,用饱和NaHCO3水溶液(30mL*5)洗涤。浓缩合并的有机层,得到粗产物。通过硅胶柱色谱法纯化粗产物(PE:EtOAc=6:1)。得到3-(4-(7-氯-3-甲基二苯并[b,f][1,4]氧杂吖庚英-11-基)哌嗪-1-基)-2,2-二甲基丙酸甲酯(200mg,452.54μmol,49.45%收率,100%纯度),为黄色油状物。1H NMR(DMSO-d6,400MHz)δH=7.28-7.21(m,3H),7.15-7.09(m,2H),7.00(d,J=8.4Hz,1H),3.60(s,3H),3.51-3.35(m,6H),2.60-2.52(m,4H),2.34(s,3H),1.13(s,6H).
步骤7:3-(4-(7-氯-3-甲基二苯并[b,f][1,4]氧杂吖庚英-11-基)哌嗪-1-基)-2,2-二甲基丙酸的合成
向3-(4-(7-氯-3-甲基二苯并[b,f][1,4]氧杂吖庚英-11-基)哌嗪-1-基)-2,2-二甲基丙酸甲酯(200mg,452.54μmol,1eq.)在MeOH(4mL)和H2O(2mL)中的混合物中加入NaOH(54mg,1.36mmol,3eq.)。将得到的混合物在35℃搅拌10hr。浓缩该混合物,以除去MeOH,用HCOOH将该混合物的pH调整至约5。通过制备型-HPLC(柱:Xtimate C18 150*40mm*10um;流动相:[水(0.225%FA)-ACN];B%:29%-59%,8min)纯化粗产物。得到3-(4-(7-氯-3-甲基二苯并[b,f][1,4]氧杂吖庚英-11-基)哌嗪-1-基)-2,2-二甲基丙酸(11.9mg,24.67μmol,5.45%收率,98.26%纯度,FA),为白色固体。1H NMR(DMSO-d6,400MHz)δH=7.28-7.26(m,2H),7.22(s,1H),7.15-7.09(m,2H),7.01(d,J=8.8Hz,1H),3.54-3.38(m,6H),2.55-2.50(m,4H),2.34(s,3H),1.06(s,6H).HPLCRt=4.73min,8min色谱,Utimate 3.0*50mm,纯度98.50%.LCMSRt=1.245min,2min色谱,Xtimate C18 2.1*30mm,纯度100%,MS ESI计算值427.17[M+H]+428.17,测定值428.0.
实施例2. 3-(4-(7-氟-3-甲基二苯并[b,f][1,4]氧杂吖庚英-11-基)哌嗪-1-基)-2,2-二甲基丙酸(化合物编号6)
步骤1:4-溴-2-氟苯甲酰氯的合成
向4-溴-2-氟苯甲酸(10.0g,45.66mmol,1eq.)在SOCl2(98.40g,827.10mmol,60mL,18.11eq.)中的混合物中加入DMF(334mg,4.57mmol,351.32μL,0.1eq.)。将该混合物在80℃搅拌2hr。浓缩该混合物,得到残余物。浓缩滤液,得到粗产物。将粗产物不经进一步纯化直接用于下一步。得到4-溴-2-氟苯甲酰氯(10g,42.11mmol,92.23%收率),为淡黄色油状物。
步骤2:4-溴-2-氟-N-(4-氟-2-羟基苯基)苯甲酰胺
在0℃向2-氨基-5-氟苯酚(6.42g,50.54mmol,1.2eq.)和TEA(12.78g,126.34mmol,17.59mL,3eq.)在THF(80mL)中的混合物中滴加4-溴-2-氟苯甲酰氯(10.0g,42.11mmol,1eq.)在THF(20mL)中的溶液。将得到的混合物温热至25℃,搅拌2hr。用EtOAc(500mL)稀释该混合物,用盐水(800mL*8)洗涤。用Na2SO4干燥合并的有机层,浓缩,得到粗产物。通过硅胶柱色谱法纯化产物(PE:EtOAc=7:3)。得到4-溴-2-氟-N-(4-氟-2-羟基苯基)苯甲酰胺(5.5g,13.62mmol,32.35%收率,81.27%纯度),为棕色固体。H NMR(DMSO-d6,400MHz)δH=10.52(brs,1H),9.47(d,J=6.0Hz,1H),7.90(dd,J=2.8,12.4Hz,1H),7.76-7.72(m,3H),7.60-7.57(m,1H),6.74-6.67(m,2H).
步骤3:3-溴-7-氟二苯并[b,f][1,4]氧杂吖庚英-11(10H)-酮的合成
向4-溴-2-氟-N-(4-氟-2-羟基苯基)苯甲酰胺(5.20g,15.85mmol,1eq.)在DMSO(100mL)中的混合物中加入t-BuOK(3.56g,31.70mmol,2eq.)。将该混合物在140℃搅拌2hr。用DCM(800mL)稀释该混合物,用盐水(1000mL*3)洗涤。浓缩合并的有机层,得到粗产物。通过硅胶柱色谱法纯化产物(DCM:MeOH=4:1)。得到3-溴-7-氟二苯并[b,f][1,4]氧杂吖庚英-11(10H)-酮(2.4g,6.68mmol,42.18%收率,85.81%纯度),为棕色固体。H NMR(DMSO-d6,400MHz)δH=10.62(s,1H),7.72-7.69(m,2H),7.57(dd,J=2.0,8.4Hz,1H),7.36(dd,J=2.8,9.2Hz,1H),7.21-7.17(m,1H),7.14-7.08(m,1H).
步骤4:7-氟-3-甲基二苯并[b,f][1,4]氧杂吖庚英-11(10H)-酮的合成
向3-溴-7-氟二苯并[b,f][1,4]氧杂吖庚英-11(10H)-酮(500mg,1.62mmol,1eq.)和MeBF3K(396mg,3.25mmol,2eq.)在H2O(1mL)和1,4-二噁烷(4mL)中的混合物中加入Pd(dppf)Cl2(238mg,324.57μmol,0.2eq.)和Cs2CO3(1.06g,3.25mmol,2eq.)。将该混合物在80℃搅拌2hr。用EtOAc(100mL)稀释该混合物,用盐水洗涤(200mL*3)。用Na2SO4干燥合并的有机层,浓缩,得到粗产物。通过硅胶柱色谱法纯化产物(PE:EtOAc=7:3)。得到7-氟-3-甲基二苯并[b,f][1,4]氧杂吖庚英-11(10H)-酮(260mg,975.94μmol,60.14%收率,91.30%纯度),为棕色固体。LCMSRt=1.497min,2min色谱,Xtimate C18 2.1*30mm,纯度77.40%,MSESI计算值243.07[M+H]+244.07,测定值244.1.
步骤5:11-氯-7-氟-3-甲基二苯并[b,f][1,4]氧杂吖庚英的合成
将7-氟-3-甲基二苯并[b,f][1,4]氧杂吖庚英-11(10H)-酮(260mg,1.07mmol,1eq.)在POCl3(33.00g,215.22mmol,20mL,201.34eq.)中的混合物在100℃搅拌5hr。浓缩该混合物,得到粗产物。将产物不经进一步纯化直接用于下一步。得到11-氯-7-氟-3-甲基二苯并[b,f][1,4]氧杂吖庚英(260mg,993.59μmol,92.95%收率),为淡黄色固体。
步骤5:3-(4-(7-氟-3-甲基二苯并[b,f][1,4]氧杂吖庚英-11-基)哌嗪-1-基)-2,2-二甲基丙酸甲酯的合成
向11-氯-7-氟-3-甲基二苯并[b,f][1,4]氧杂吖庚英(250mg,955.37μmol,1eq.)和TEA(967mg,9.55mmol,1.33mL,10eq.)在二噁烷(15mL)中的混合物中加入2,2-二甲基-3-(哌嗪-1-基)丙酸甲酯(392mg,1.43mmol,1.5eq.,2HCl)。将该混合物在110℃搅拌10hr。用EtOAc(100mL)稀释该混合物,用盐水(500mL*3)洗涤。用Na2SO4干燥合并的有机层,浓缩,得到粗产物。通过硅胶柱色谱法纯化产物(PE:EtOAc=4:1)。得到3-(4-(7-氟-3-甲基二苯并[b,f][1,4]氧杂吖庚英-11-基)哌嗪-1-基)-2,2-二甲基丙酸甲酯(250mg,587.55μmol,61.50%收率,100%纯度),为黄色油状物。LCMSRt=1.196min,2min色谱,Xtimate C182.1*30mm,纯度100%,MS ESI计算值425.21[M+H]+426.21,测定值426.2.
步骤6:3-(4-(7-氟-3-甲基二苯并[b,f][1,4]氧杂吖庚英-11-基)哌嗪-1-基)-2,2-二甲基丙酸的合成
向3-(4-(7-氟-3-甲基二苯并[b,f][1,4]氧杂吖庚英-11-基)哌嗪-1-基)-2,2-二甲基丙酸甲酯(250mg,587.55μmol,1eq)在MeOH(6mL)和H2O(3mL)中的混合物中加入NaOH(71mg,1.76mmol,3eq.)。将该混合物在60℃搅拌10hr。浓缩该混合物以除去MeOH。用HCOOH将该混合物的pH调整至约5。通过制备型-HPLC(柱:Welch Xtimate C18 100*25mm*3um;流动相:[水(0.225%FA)-ACN];B%:24%-34%,12min)纯化产物。得到3-(4-(7-氟-3-甲基二苯并[b,f][1,4]氧杂吖庚英-11-基)哌嗪-1-基)-2,2-二甲基丙酸(63.2mg,138.14μmol,23.51%收率,100%纯度,FA),为白色固体。1H NMR(DMSO-d6,400MHz)δH=7.27(d,J=8.0Hz,1H),7.19(s,1H),7.13(d,J=8.0Hz,1H),7.09(dd,J=2.8,8.8Hz,1H),7.05-7.00(m,1H),6.96-6.92(m,1H),3.45-3.36(m,6H),2.64-2.53(m,4H),2.34(s,3H),1.10(s,6H).HPLCRt=3.95min,8min色谱,Utimate 3.0*50mm,纯度100%.LCMS Rt=1.306min,2.0min色谱,Xtimate C18 2.1*30mm,纯度100%,MS ESI计算值411.20[M+H]+412.20,测定值412.3.
实施例3. 3-(4-(3,7-二甲基二苯并[b,f][1,4]氧杂吖庚英-11-基)哌嗪-1-基)-2,2-二甲基丙酸(化合物编号7)
步骤1:3,7-二甲基二苯并[b,f][1,4]氧杂吖庚英-11(10H)-酮的合成
给7-溴-3-甲基二苯并[b,f][1,4]氧杂吖庚英-11(10H)-酮(576mg,1.89mmol,1eq.)、MeBF3K(462mg,3.79mmol,2eq.)、Cs2CO3(1.85g,5.68mmol,3eq.)和Pd(dppf)Cl2(139mg,189.29μmol,0.1eq.)在1,4-二噁烷(15mL)和H2O(6mL)中的混合物脱气,用N2吹扫3次,然后将该混合物在100℃在N2气氛中搅拌3hr。用EtOAc(500mL)稀释该混合物,用盐水(200mL*3)洗涤。浓缩合并的有机层,得到粗产物。通过硅胶柱色谱法纯化粗产物(PE:EtOAc=6:1)。得到3,7-二甲基二苯并[b,f][1,4]氧杂吖庚英-11(10H)-酮(507mg,1.86mmol,98.23%收率,87.75%纯度),为黄色固体。LCMS Rt=0.899min,1.5min色谱,Merk RP18e25-3mm,纯度87.75%,MS ESI计算值239.09[M+H]+240.09,测定值239.9.
步骤2:11-氯-3,7-二甲基二苯并[b,f][1,4]氧杂吖庚英的合成
将3,7-二甲基二苯并[b,f][1,4]氧杂吖庚英-11(10H)-酮(500mg,2.09mmol,1eq.)在POCl3(33.00g,215.22mmol,20mL,102.99eq.)中的混合物在110℃搅拌3hr。浓缩该混合物,得到粗产物。将粗产物不经进一步纯化直接用于下一步。得到11-氯-3,7-二甲基二苯并[b,f][1,4]氧杂吖庚英(500mg,1.94mmol,92.84%收率),为黄色固体。
步骤3:3-(4-(3,7-二甲基二苯并[b,f][1,4]氧杂吖庚英-11-基)哌嗪-1-基)-2,2-二甲基丙酸甲酯的合成
向11-氯-3,7-二甲基二苯并[b,f][1,4]氧杂吖庚英(500mg,1.94mmol,1eq.)和TEA(1.96g,19.40mmol,2.70mL,10eq.)在1,4-二噁烷(20mL)中的混合物中加入2,2-二甲基-3-哌嗪-1-基-丙酸甲酯(795mg,2.91mmol,1.5eq.,2HCl)。将得到的混合物在110℃搅拌10hr。用EtOAc(100mL)稀释该混合物,用盐水(50mL*3)洗涤。浓缩合并的有机层,得到粗产物。通过硅胶柱色谱法纯化产物(PE:EtOAc=6:1)。得到3-(4-(3,7-二甲基二苯并[b,f][1,4]氧杂吖庚英-11-基)哌嗪-1-基)-2,2-二甲基丙酸甲酯(300mg,711.69μmol,36.68%收率),为黄色油状物。1HNMR(DMSO-d6,400MHz)δH=7.24(d,J=8.0Hz,1H),7.14(s,1H),7.09(d,J=8.4Hz,1H),6.96(s,1H),6.91-6.85(m,2H),3.60(s,3H),3.45-3.36(m,6H),2.56-2.52(m,4H),2.33(s,3H),2.22(s,3H),1.13(s,6H).
步骤4:3-(4-(3,7-二甲基二苯并[b,f][1,4]氧杂吖庚英-11-基)哌嗪-1-基)-2,2-二甲基丙酸的合成
向3-(4-(3,7-二甲基二苯并[b,f][1,4]氧杂吖庚英-11-基)哌嗪-1-基)-2,2-二甲基丙酸甲酯(300mg,711.69μmol,1eq.)在MeOH(10mL)和H2O(4mL)中的混合物中加入NaOH(86mg,2.14mmol,3eq.)。将得到的混合物在60℃搅拌10hr。浓缩该混合物以除去MeOH。用HCOOH将该混合物的pH调整至约5。通过制备型-HPLC(柱:Welch Xtimate C18 150*30mm*5um;流动相:[水(0.225%FA)-ACN];B%:20%-40%,8min)纯化产物。得到3-(4-(3,7-二甲基二苯并[b,f][1,4]氧杂吖庚英-11-基)哌嗪-1-基)-2,2-二甲基丙酸(115mg,253.57μmol,35.63%收率,100%纯度,FA),为白色固体。1H NMR(DMSO-d6,400MHz)δH=7.24(d,J=8.0Hz,1H),7.14(s,1H),7.09(d,J=8.0Hz,1H),6.96(d,J=1.2Hz,1H),6.92-6.84(m,2H),3.76-3.42(m,6H),2.64-2.52(m,4H),2.33(s,3H),2.22(s,3H),1.10(s,6H).HPLCRt=3.93min,8min色谱,Utimate 3.0*50mm,纯度100%.LCMS Rt=1.117min,2min色谱,Xtimate C18 2.1*30mm,纯度100%,MS ESI计算值407.22[M+H]+408.22,测定值408.2.
实施例4. 3-(4-(7-氯-3-丙基二苯并[b,f][1,4]氧杂吖庚英-11-基)哌嗪-1-基)-2,2-二甲基丙酸(化合物编号5)
步骤1:(E)-2-氟-4-(丙-1-烯-1-基)苯甲酸甲酯的合成
给4-溴-2-氟苯甲酸甲酯(10.0g,42.91mmol,1eq.)、氢化钾、三氟-[(E)-丙-1-烯基]硼(9.52g,64.37mmol,1.5eq.)、Cs2CO3(41.94g,128.74mmol,3eq.)和Pd(dppf)Cl2(3.14g,4.29mmol,0.1eq.)在1,4-二噁烷(100mL)和H2O(40mL)中的混合物脱气,用N2吹扫3次,然后将该混合物在100℃在N2气氛中搅拌1hr。用EtOAc(100mL)稀释该混合物,用盐水(50mL*3)洗涤。浓缩合并的有机层,得到粗产物。通过硅胶柱色谱法纯化粗产物(PE:EtOAc=10:1)。得到(E)-2-氟-4-(丙-1-烯-1-基)苯甲酸甲酯(8.2g,42.22mmol,98.40%收率),为白色固体。1HNMR(DMSO-d6,400MHz)δH=7.86(t,J=8.0Hz,1H),7.13(dd,J=1.6,8.4Hz,1H),7.07(dd,J=1.6,12.4Hz,1H),6.41-6.36(m,2H),3.92(s,3H),1.92(d,J=4.8Hz,3H).
步骤2:2-氟-4-丙基苯甲酸甲酯的合成
在N2气氛中向(E)-2-氟-4-(丙-1-烯-1-基)苯甲酸甲酯(9.0g,46.34mmol,1eq.)在MeOH(90mL)中的混合物中加入Pd/C(1.0g,10%纯度)。给该混悬液脱气,用H2吹扫几次。将该混合物在25℃在H2气氛中(15psi)搅拌16hr。过滤该反应混合物,浓缩滤液。将粗产物不经进一步纯化用于下一步。得到2-氟-4-丙基苯甲酸甲酯(8.92g,45.46mmol,98.09%收率),为黄色油状物。1HNMR(DMSO-d6,400MHz)δH=7.76(t,J=8.4Hz,1H),6.92(dd,J=1.6,8.0Hz,1H),6.89-6.83(m,1H),3.83(s,3H),2.59-2.49(m,2H),1.57(q,J=7.6Hz,2H),0.86(t,J=7.2Hz,3H).
步骤3:2-氟-4-丙基苯甲酸的合成
向2-氟-4-丙基苯甲酸甲酯(8.92g,45.46mmol,1eq.)在MeOH(100mL)、H2O(100mL)和THF(100mL)中的混合物中加入LiOH·H2O(5.72g,136.38mmol,3eq.)。将该混合物在25℃搅拌4hr。浓缩该混合物以除去MeOH。用1N HCl将该混合物的pH调整至约1。通过滤纸过滤该混合物,减压干燥滤饼。将产物不经进一步纯化直接用于下一步。得到2-氟-4-丙基苯甲酸(7.88g,43.25mmol,95.14%收率),为白色固体。1HNMR(DMSO-d6,400MHz)δH=7.94(t,J=8.0Hz,1H),7.06(dd,J=1.6,8.0Hz,1H),7.02-6.95(m,1H),2.69-2.61(m,2H),1.68(q,J=7.6Hz,2H),0.96(t,J=7.2Hz,3H).
步骤4:2-氟-4-丙基苯甲酰氯的合成
给2-氟-4-丙基苯甲酸(7.88g,43.25mmol,1eq.)在SOCl2(131.20g,1.10mol,80mL,25.50eq.)中的混合物脱气,用N2吹扫3次,然后将该混合物在80℃在N2气氛中搅拌2hr。将该反应混合物浓缩至干。将产物不经进一步纯化直接用于下一步。得到2-氟-4-丙基苯甲酰氯(9.31g,粗),为棕色油状物。
步骤5:N-(4-氯-2-羟基苯基)-2-氟-4-丙基苯甲酰胺的合成
在0℃向2-氟-4-丙基苯甲酰氯(7.99g,55.68mmol,1.2eq.)和TEA(14.09g,139.21mmol,19.38mL,3eq.)在THF(130mL)中的混合物中滴加2-氟-4-丙基-苯甲酰氯(9.31g,46.40mmol,1eq.)在THF(20mL)中的溶液。将得到的混合物在25℃搅拌3hr。用EtOAc(200mL)稀释该混合物,用盐水(200mL*3)洗涤。浓缩合并的有机层,得到粗产物。通过硅胶柱色谱法纯化粗产物(PE:EtOAc=10%~100%)。将产物与EtOAc(30mL)一起研磨。得到N-(4-氯-2-羟基苯基)-2-氟-4-丙基苯甲酰胺(13.16g,42.76mmol,92.16%收率),为棕色固体。HNMR(DMSO-d6,400MHz)δH=9.05-9.01(m,1H),8.08(t,J=8.0Hz,1H),7.21(d,J=8.4Hz,1H),7.14(dd,J=1.6,8.4Hz,1H),7.04-6.98(m,1H),6.89(dd,J=2.4,8.4Hz,1H),6.81-6.68(m,1H),2.72-2.59(m,2H),1.72-1.64(m,2H),0.96(t,J=7.6Hz,3H).
步骤6:7-氯-3-丙基二苯并[b,f][1,4]氧杂吖庚英-11(10H)-酮的合成
给N-(4-氯-2-羟基苯基)-2-氟-4-丙基苯甲酰胺(13.0g,42.24mmol,1eq.)和tBuOK(9.48g,84.49mmol,2eq.)在DMF(170mL)中的混合物脱气,用N2吹扫3次,然后将该混合物在140℃在N2气氛中搅拌2hr。将该混合物缓慢地倾入H2O(400mL)。通过滤纸过滤该混合物,减压干燥滤饼。通过硅胶柱色谱法纯化粗产物(PE:EtOAc=6%~20%)。得到7-氯-3-丙基二苯并[b,f][1,4]氧杂吖庚英-11(10H)-酮(3g,8.84mmol,20.92%收率,84.74%纯度),为黄色固体。1HNMR(DMSO-d6,400MHz)δH=8.48(s,1H),7.77(d,J=8.0Hz,1H),7.20(d,J=2.4Hz,1H),7.03(d,J=2.4Hz,1H),6.97(s,1H),6.92(d,J=8.4Hz,1H),2.60-2.51(m,2H),1.60(q,J=7.6Hz,2H),0.88(t,J=7.2Hz,3H)
步骤7:7,11-二氯-3-丙基二苯并[b,f][1,4]氧杂吖庚英的合成
将7-氯-3-丙基二苯并[b,f][1,4]氧杂吖庚英-11(10H)-酮(300mg,1.04mmol,1eq)在POCl3(15mL)中的混合物在100℃搅拌5小时。减压浓缩该反应混合物。用DCM(30mL)稀释残余物,用盐水(20mL*2)洗涤。用Na2SO4干燥合并的有机层,过滤,浓缩,得到残余物。将粗产物不经纯化直接用于下一步。得到7,11-二氯-3-丙基二苯并[b,f][1,4]氧杂吖庚英(350mg,粗),为黄色油状物。LCMS Rt=1.105min,1.5min色谱,Agilent Pursult C18 2.1*30mm,纯度78.871%,MS ESI计算值305.04[M+H]+306.04,测定值305.9.
步骤8:3-(4-(7-氯-3-丙基二苯并[b,f][1,4]氧杂吖庚英-11-基)哌嗪-1-基)-2,2-二甲基丙酸甲酯的合成
向7,11-二氯-3-丙基二苯并[b,f][1,4]氧杂吖庚英(300mg,979.80μmol,1eq.)在二噁烷(10mL)中的混合物中加入TEA(496mg,4.90mmol,681.88μL,5eq.)和2,2-二甲基-3-哌嗪-1-基-丙酸甲酯(589mg,2.94mmol,3eq.)。将该混合物在110℃在N2气氛中搅拌10hr。用EtOAc(500mL)稀释该混合物,用盐水(200mL*3)洗涤。浓缩合并的有机层,得到粗产物。通过硅胶柱色谱法纯化粗产物(PE:EtOAc=10%~20%)。得到3-(4-(7-氯-3-丙基二苯并[b,f][1,4]氧杂吖庚英-11-基)哌嗪-1-基)-2,2-二甲基丙酸甲酯(290mg,607.40μmol,61.99%收率,98.441%纯度),为黄色油状物。LCMS Rt=1.503min,2min色谱,Xtimate C182.1*30mm,纯度98.441%,MS ESI计算值469.21[M+H]+470.21,测定值470.3.
步骤9:3-(4-(7-氯-3-丙基二苯并[b,f][1,4]氧杂吖庚英-11-基)哌嗪-1-基)-2,2-二甲基丙酸的合成
向3-(4-(7-氯-3-丙基二苯并[b,f][1,4]氧杂吖庚英-11-基)哌嗪-1-基)-2,2-二甲基丙酸甲酯(250mg,531.91μmol,1eq)在MeOH(6mL)和H2O(2mL)中的混合物中加入NaOH(64mg,1.60mmol,3eq),然后将该混合物在60℃在N2气氛中搅拌10hr。浓缩该混合物以除去MeOH。用HCOOH将该混合物的pH调整至约5。通过制备型-HPLC(柱:Welch Xtimate C18 150*25mm*5um;流动相:[水(0.225%FA)-ACN];B%:32%-52%,7min)纯化粗产物。得到3-(4-(7-氯-3-丙基二苯并[b,f][1,4]氧杂吖庚英-11-基)哌嗪-1-基)-2,2-二甲基丙酸(70.1mg,149.29μmol,28.07%收率,97.11%纯度),为白色固体。1HNMR(DMSO-d6,400MHz)δH=7.22(d,J=8.4Hz,1H),7.16-7.13(m,1H),7.09-7.02(m,4H),3.77-3.56(m,4H),2.96-2.84(m,4H),2.66-2.58(m,4H),1.68(q,J=7.2Hz,2H),1.28(s,6H),0.98(t,J=7.6Hz,3H).HPLCRt=5.34min,8min色谱,Utimate 3.0*50mm,纯度97.11%.LCMS Rt=1.489min,2min色谱,Xtimate C18 2.1*30mm,纯度96.89%,MS ESI计算值455.20[M+H]+456.20,测定值456.3.
实施例5. 3-(4-(11H-二苯并[b,e]吖庚英-6-基)哌嗪-1-基)-2,2-二甲基丙酸(化合物编号8)
步骤1:5,11-二氢-6H-二苯并[b,e]吖庚英-6-酮的合成
向5H-二苯并[b,e]吖庚英-6,11-二酮(4.9g,21.95mmol,1eq.)在TFA(200mL)中的混合物中加入三乙基硅烷(25.52g,219.51mmol,35.06mL,10eq.)。将该混合物在25℃搅拌10hr。浓缩该混合物,得到残余物。通过硅胶柱色谱法纯化产物(PE:EtOAc=6:1)。得到5,11-二氢-6H-二苯并[b,e]吖庚英-6-酮(5.3g,21.79mmol,99.27%收率,86.03%纯度),为白色固体。1H NMR(DMSO-d6,400MHz)δH=10.44(s,1H),7.71(d,J=7.2Hz,1H),7.52-7.44(m,1H),7.40-7.29(m,3H),7.21-7.15(m,1H),7.15-7.10(m,1H),7.10-7.04(m,1H),3.90(s,2H).
步骤2:6-氯-11H-二苯并[b,e]吖庚英的合成
给5,11-二氢-6H-二苯并[b,e]吖庚英-6-酮(300mg,1.43mmol,1eq.)在POCl3(20mL)中的混合物脱气,用N2吹扫3次,然后将该混合物在110℃在N2气氛中搅拌3hr。通过添加水(50mL)使该反应混合物淬灭,然后用DCM(50mL*2)萃取。用盐水(50mL*2)洗涤合并的有机层,用无水Na2SO4干燥,过滤,减压浓缩,得到残余物。将残余物不经进一步纯化用于下一步。得到6-氯-11H-二苯并[b,e]吖庚英(300mg,1.32mmol,91.90%收率),为棕色油状物。
步骤3:3-(4-(11H-二苯并[b,e]吖庚英-6-基)哌嗪-1-基)-2,2-二甲基丙酸甲酯
向6-氯-11H-二苯并[b,e]吖庚英(300mg,1.32mmol,1eq.)和TEA(1.33g,13.18mmol,1.83mL,10eq.)在二噁烷(20mL)中的混合物中加入2,2-二甲基-3-哌嗪-1-基-丙酸甲酯(540mg,1.98mmol,1.5eq.,2HCl)。将该混合物在110℃搅拌20hr。用EtOAc(100mL)稀释该混合物,用盐水(200mL*3)洗涤。用Na2SO4干燥合并的有机层,浓缩,得到粗产物。通过硅胶柱色谱法纯化产物(PE:EtOAc=4:1)。得到3-(4-(11H-二苯并[b,e]吖庚英-6-基)哌嗪-1-基)-2,2-二甲基丙酸甲酯(250mg,584.92μmol,44.39%收率,91.60%纯度),为黄色油状物。1H NMR(DMSO-d6,400MHz)δH=7.41-7.37(m,2H),7.36-7.31(m,1H),7.31-7.25(m,1H),7.18(d,J=7.2Hz,1H),7.10-7.02(m,1H),6.95-6.86(m,2H),3.68(d,J=14.8Hz,1H),3.59(s,3H),3.45(d,J=10.0Hz,1H),3.43-3.35(m,6H),2.58-2.56(m,2H),2.55-2.52(m,2H),1.12(s,6H)
步骤4:3-(4-(11H-二苯并[b,e]吖庚英-6-基)哌嗪-1-基)-2,2-二甲基丙酸的合成
向3-(4-(11H-二苯并[b,e]吖庚英-6-基)哌嗪-1-基)-2,2-二甲基丙酸甲酯(250mg,638.56μmol,1eq.)在MeOH(6mL)和H2O(3mL)中的混合物中加入NaOH(77mg,1.92mmol,3eq.)。将该混合物在60℃搅拌10hr。浓缩该混合物以除去MeOH。用HCOOH将该混合物的pH调整至约5。通过制备型-HPLC(柱:Welch Xtimate C18 150*30mm*5um;流动相:[水(0.225%FA)-ACN];B%:15%-40%,6min)纯化产物。得到3-(4-(11H-二苯并[b,e]吖庚英-6-基)哌嗪-1-基)-2,2-二甲基丙酸(118.3mg,279.34μmol,43.74%收率,100%纯度,FA),为白色固体。1H NMR(DMSO-d6,400MHz)δH=12.39(s,1H),8.15(s,0.14H),7.45-7.25(m,2H),7.19(d,J=7.2Hz,1H),7.06(t,J=7.6Hz,1H),6.97-6.86(m,2H),3.68(d,J=13.2Hz,1H),3.52-3.37(m,7H),2.72-2.57(m,3H),1.10(s,6H).HPLCRt=3.14min,8min色谱,Utimate 3.0*50mm,纯度99.92%.LCMS Rt=0.978min,2min色谱,Xtimate C18 2.1*30mm,纯度100%,MS ESI计算值377.21[M+H]+378.21,测定值378.2.
实施例6. 1-((4-(7-氯-3-甲基二苯并[b,f][1,4]氧杂吖庚英-11-基)哌嗪-1-基)甲基)环丙烷-1-甲酸(化合物编号13)
步骤1:1-((4-(7-氯-3-甲基二苯并[b,f][1,4]氧杂吖庚英-11-基)哌嗪-1-基)甲基)环丙烷-1-甲酸甲酯的合成
向7-氯-3-甲基-11-(哌嗪-1-基)二苯并[b,f][1,4]氧杂吖庚英(150mg,457.59μmol,1eq.)和1-甲酰基环丙烷-1-甲酸甲酯(293mg,2.29mmol,5eq.)在DCM(5mL)中的混合物中加入NaBH(OAc)3(485mg,2.29mmol,5eq.)。将得到的混合物在25℃搅拌2hr。用EtOAc(100mL)稀释该混合物,用盐水(50mL*3)洗涤。浓缩合并的有机层,得到粗产物。通过硅胶柱色谱法纯化粗产物(PE:EtOAc=1:1)。得到1-((4-(7-氯-3-甲基二苯并[b,f][1,4]氧杂吖庚英-11-基)哌嗪-1-基)甲基)环丙烷-1-甲酸甲酯(120mg,248.38μmol,54.28%收率,91.06%纯度),为黄色油状物。LCMS Rt=1.431min,2min色谱,Xtimate C18 2.1*30mm,纯度91.06%,MS ESI计算值439.17[M+H]+440.17,测定值440.3.
步骤2:1-((4-(7-氯-3-甲基二苯并[b,f][1,4]氧杂吖庚英-11-基)哌嗪-1-基)甲基)环丙烷-1-甲酸的合成
向1-((4-(7-氯-3-甲基二苯并[b,f][1,4]氧杂吖庚英-11-基)哌嗪-1-基)甲基)环丙烷-1-甲酸甲酯(120mg,272.77μmol,1eq.)在MeOH(6mL)和H2O(4mL)中的混合物中加入NaOH(33mg,818.30μmol,3eq.)。将得到的混合物在60℃搅拌10hr。浓缩该混合物以除去MeOH。用HCOOH将该混合物的pH调整至约5。通过制备型-HPLC(柱:Venusil ASB Phenyl150*30mm*5um;流动相:[水(0.05%HCl)-ACN];B%:36%-66%,9min)纯化产物。得到1-((4-(7-氯-3-甲基二苯并[b,f][1,4]氧杂吖庚英-11-基)哌嗪-1-基)甲基)环丙烷-1-甲酸(35.5mg,75.08μmol,27.53%收率,97.79%纯度,HCl),为淡黄色固体。1H NMR(DMSO-d6,400MHz)δH=10.83(brs,1H),7.56-7.44(m,2H),7.39-7.21(m,4H),4.20-4.07(m,4H),3.68-3.15(m,6H),2.39(s,3H),1.46-1.40(m,2H),1.36-1.29(m,2H).HPLC Rt=4.62min,8min色谱,Utimate 3.0*50mm,纯度97.79%.LCMS Rt=1.224min,2min色谱,Xtimate C182.1*30mm,纯度100%,MS ESI计算值425.15[M+H]+425.15,测定值426.2.
实施例7. 3-(4-(7-(二氟甲基)-3-甲基二苯并[b,f][1,4]氧杂吖庚英-11-基)哌嗪-1-基)-2,2-二甲基丙酸(化合物编号16)
步骤1:3-甲基-7-乙烯基二苯并[b,f][1,4]氧杂吖庚英-11(10H)-酮的合成
给7-溴-3-甲基二苯并[b,f][1,4]氧杂吖庚英-11(10H)-酮(1g,3.29mmol,1eq.)、乙烯基三氟硼酸钾(1.01g,6.58mmol,2eq.)、Cs2CO3(2.14g,6.58mmol,2eq.)、Pd(dppf)Cl2(241mg,328.80μmol,0.1eq.)在H2O(2mL)和二噁烷(10mL)中的混合物脱气,用N2吹扫3次,然后将该混合物在100℃在N2气氛中搅拌2hr。用水(100mL)稀释该反应混合物,用EtOAc(100mL*2)萃取。用盐水(100mL*2)洗涤合并的有机层,用无水Na2SO4干燥,过滤,浓缩。通过快速硅胶色谱法纯化残余物(硅胶快速柱,0~15%乙酸乙酯/石油醚的洗脱液)。得到3-甲基-7-乙烯基二苯并[b,f][1,4]氧杂吖庚英-11(10H)-酮(600mg,2.13mmol,64.92%收率,89.39%纯度),为黄色固体。LCMS Rt=0.910min,1.5min色谱,Merk RP18e25-3mm,纯度89.39%,MS ESI计算值251.09[M+H]+252.09,测定值252.
步骤2:3-甲基-11-氧代-10,11-二氢二苯并[b,f][1,4]氧杂吖庚英-7-甲醛的合成
在-5℃向3-甲基-7-乙烯基二苯并[b,f][1,4]氧杂吖庚英-11(10H)-酮(600mg,2.39mmol,1eq.)在THF(10mL)和H2O(3mL)中的混合物中加入OsO4(30mg,119.50μmol,6.19μL,0.05eq.)。在-5℃搅拌10min后,在-5℃加入NaIO4(1.02g,4.78mmol,265μL,2eq.)在H2O(10mL)中的溶液,然后将该混合物在-5℃搅拌2hr。通过添加饱和Na2SO3(100mL)使该反应混合物淬灭,然后用EtOAc(100mL*2)萃取。用盐水(100mL*2)洗涤合并的有机层,用无水Na2SO4干燥,过滤,减压浓缩,得到残余物。通过快速硅胶色谱法纯化残余物(硅胶快速柱,0~30%乙酸乙酯/石油醚的洗脱液)。得到3-甲基-11-氧代-10,11-二氢二苯并[b,f][1,4]氧杂吖庚英-7-甲醛(500mg,1.92mmol,80.30%收率,97.21%纯度),为黄色固体。LCMS Rt=0.784min,1.5min色谱,Agilent Pursult 5C18 20*2.0mm,纯度97.21%,MS ESI计算值253.07[M+H]+254.07,测定值253.8.
步骤3:7-(二氟甲基)-3-甲基二苯并[b,f][1,4]氧杂吖庚英-11(10H)-酮的合成
在-5℃向3-甲基-11-氧代-10,11-二氢二苯并[b,f][1,4]氧杂吖庚英-7-甲醛(500mg,1.97mmol,1eq.)在DCM(10mL)中的混合物中加入DAST(955mg,5.92mmol,783μL,3eq.),然后将该混合物在-5℃在N2气氛中搅拌16hr。通过添加饱和NaHCO3(100mL)使该反应混合物淬灭,然后用DCM(100mL*2)萃取。用盐水(100mL*2)洗涤合并的有机层,用无水Na2SO4干燥,浓缩。通过快速硅胶色谱法纯化残余物(硅胶快速柱,0~15%乙酸乙酯/石油醚的洗脱液)。得到7-(二氟甲基)-3-甲基二苯并[b,f][1,4]氧杂吖庚英-11(10H)-酮(500mg,粗),为黄色固体。1H NMR(CDCl3,400MHz)δH=8.43(s,1H),7.88-7.80(m,1H),7.43(s,1H),7.18-7.03(m,4H),6.62(t,J=56.4Hz,1H),2.41(s,3H).
步骤4:11-氯-7-(二氟甲基)-3-甲基二苯并[b,f][1,4]氧杂吖庚英的合成
给7-(二氟甲基)-3-甲基二苯并[b,f][1,4]氧杂吖庚英-11(10H)-酮(170mg,617.62μmol,1eq.)在POCl3(20mL)中的混合物脱气,用N2吹扫3次,然后将该混合物在100℃在N2气氛中搅拌3hr。蒸发该反应混合物,用DCM(100mL*2)稀释残余物,用盐水(100mL*2)洗涤。用无水Na2SO4干燥合并的有机层,过滤,减压浓缩。将粗产物不经进一步纯化用于下一步。得到11-氯-7-(二氟甲基)-3-甲基二苯并[b,f][1,4]氧杂吖庚英(150mg,510.73μmol,82.69%收率),为黄色油状物。
步骤5:3-(4-(7-(二氟甲基)-3-甲基二苯并[b,f][1,4]氧杂吖庚英-11-基)哌嗪-1-基)-2,2-二甲基丙酸甲酯的合成
给11-氯-7-(二氟甲基)-3-甲基二苯并[b,f][1,4]氧杂吖庚英(150mg,510.73μmol,1eq.)、2,2-二甲基-3-哌嗪-1-基-丙酸甲酯(307mg,1.53mmol,3eq.)、TEA(258mg,2.55mmol,355μL,5eq.)在1,4-二噁烷(10mL)中的混合物脱气,用N2吹扫3次,然后将该混合物在120℃在N2气氛中搅拌16hr。通过添加100mL水使该反应混合物淬灭,然后用EtOAc(50mL*2)萃取。用盐水(100mL*2)洗涤合并的有机层,用无水Na2SO4干燥,过滤,浓缩。通过快速硅胶色谱法纯化残余物(硅胶快速柱,0~20%乙酸乙酯/石油醚的洗脱液)。得到3-(4-(7-(二氟甲基)-3-甲基二苯并[b,f][1,4]氧杂吖庚英-11-基)哌嗪-1-基)-2,2-二甲基丙酸甲酯(150mg,208.45μmol,40.81%收率,63.58%纯度),为黄色油状物。LCMS Rt=0.803min,1.5min色谱,Agilent Pursult 5C18 20*2.0mm,纯度63.58%,MS ESI计算值457.22[M+H]+458.22,测定值458.1.
步骤6:3-(4-(7-(二氟甲基)-3-甲基二苯并[b,f][1,4]氧杂吖庚英-11-基)哌嗪-1-基)-2,2-二甲基丙酸的合成
给3-(4-(7-(二氟甲基)-3-甲基二苯并[b,f][1,4]氧杂吖庚英-11-基)哌嗪-1-基)-2,2-二甲基丙酸甲酯(150mg,327.86μmol,1eq.)、NaOH(39mg,983.58μmol,3eq.)在MeOH(5mL)和H2O(2mL)中的混合物脱气,用N2吹扫3次,然后将该混合物在60℃在N2气氛中搅拌16hr。用HCOOH将该反应混合物酸化至pH=5,然后浓缩。通过制备型-HPLC(柱:WelchXtimate C18 150*25mm*5um;流动相:[水(0.225%FA)-ACN];B%:30%-60%,8min)纯化残余物。得到3-(4-(7-(二氟甲基)-3-甲基二苯并[b,f][1,4]氧杂吖庚英-11-基)哌嗪-1-基)-2,2-二甲基丙酸(41mg,91.94μmol,28.04%收率,99.45%纯度),为淡黄色固体。1HNMR(CDCl3,400MHz)δH=7.31-7.29(m,1H),7.25-7.16(m,3H),7.13-7.10(m,1H),7.04(d,J=7.6Hz,1H),6.60(t,J=56.4Hz,1H),3.95-3.46(m,4H),3.02-2.78(m,4H),2.63(s,2H),2.40(s,3H),1.28(s,6H).HPLC Rt=4.47min,8min色谱,Ultimate 3.0*50mm 3um,纯度99.45%.LCMS Rt=1.180min,2min色谱,Xtimate C18 2.1*30mm,纯度100%,MS ESI计算值443.20[M+H]+444.20,测定值444.3.
实施例8. 3-(4-(3-(二氟甲基)-7-甲基二苯并[b,f][1,4]氧杂吖庚英-11-基)哌嗪-1-基)-2,2-二甲基丙酸(化合物编号15)
步骤1:7-甲基-11-氧代-10,11-二氢二苯并[b,f][1,4]氧杂吖庚英-3-甲醛的合成
向7-甲基-3-乙烯基二苯并[b,f][1,4]氧杂吖庚英-11(10H)-酮(1.4g,5.57mmol,1eq.)在THF(30mL)中的溶液中加入在H2O(5mL)中的OsO4(71mg,278.57μmol,14.45μL,0.05eq.)。将该混合物在0℃搅拌10min。向该混合物中加入在H2O(5mL)中的NaIO4(4.77g,22.29mmol,1.23mL,4eq.)。然后将该混合物温热至25℃,搅拌1hr。用饱和Na2S2O3水溶液(30mL)使该反应混合物淬灭,将该混合物在0℃再搅拌1小时,用EtOAc(50mL*3)萃取。用盐水(50mL)洗涤合并的有机层,用Na2SO4干燥,过滤,浓缩。通过柱色谱法纯化残余物(SiO2,EtOAc/(PE:DCM=1:1)=0-20%)。得到7-甲基-11-氧代-10,11-二氢二苯并[b,f][1,4]氧杂吖庚英-3-甲醛(1g,3.95mmol,70.87%收率),为白色固体。1H NMR(400MHz,CDCl3)δ=10.06(s,1H),8.49(s,1H),8.10(d,J=8.8Hz,1H),7.77-7.71(m,2H),7.13(s,1H),7.00-6.90(m,2H),2.33(s,3H).
步骤2:3-(二氟甲基)-7-甲基二苯并[b,f][1,4]氧杂吖庚英-11(10H)-酮的合成
在-5℃在N2气氛中向7-甲基-11-氧代-10,11-二氢二苯并[b,f][1,4]氧杂吖庚英-3-甲醛(500mg,1.97mmol,1eq.)在DCM(10mL)中的混合物中加入DAST(955mg,5.92mmol,782.55μL,3eq.),然后将该混合物温热至25℃,搅拌16hr。通过添加NaHCO3水溶液(100mL)使该反应混合物淬灭,然后用EtOAc(100mL*2)萃取。用盐水(100mL*2)洗涤合并的有机层,用无水Na2SO4干燥,过滤,减压浓缩。通过快速硅胶色谱法纯化残余物(硅胶快速柱,0~25%乙酸乙酯/石油醚的洗脱液)。得到3-(二氟甲基)-7-甲基二苯并[b,f][1,4]氧杂吖庚英-11(10H)-酮(190mg,687.38μmol,34.82%收率,99.58%纯度),为白色固体。1H NMR(400MHz,CDCl3)δ=8.05-7.95(m,2H),7.45-7.35(m,2H),7.15-7.05(m,1H),7.01-6.86(m,2H),6.65(t,J=56Hz,1H),2.33(s,3H).
步骤3:11-氯-3-(二氟甲基)-7-甲基-10,11-二氢二苯并[b,f][1,4]氧杂吖庚英的合成
将3-(二氟甲基)-7-甲基二苯并[b,f][1,4]氧杂吖庚英-11(10H)-酮(190mg,690.28mmol,1eq.)在POCl3(40mL)中的混合物在110℃搅拌5hr。减压干燥该反应混合物。然后将其溶于DCM(100mL),用H2O(100mL)萃取。用盐水(100mL)洗涤有机层,用Na2SO4干燥,过滤,减压浓缩。将产物不经进一步纯化直接用于下一步。得到11-氯-3-(二氟甲基)-7-甲基-10,11-二氢二苯并[b,f][1,4]氧杂吖庚英(250mg,粗),为黄色油状物。
步骤4:3-(4-(3-(二氟甲基)-7-甲基二苯并[b,f][1,4]氧杂吖庚英-11-基)哌嗪-1-基)-2,2-二甲基丙酸甲酯的合成
将2,2-二甲基-3-(哌嗪-1-基)丙酸甲酯(271mg,1.35mmol,2eq.)、11-氯-3-(二氟甲基)-7-甲基-10,11-二氢二苯并[b,f][1,4]氧杂吖庚英(200mg,676.34μmol,1eq.)和TEA(685mg,6.76mmol,941.38μL,10eq.)在二噁烷(10mL)和DMSO(2mL)中的混合物在120℃搅拌16hr。用H2O(50mL)稀释该反应混合物,用DCM(100mL*3)萃取。用盐水(100mL)洗涤合并的有机层,用Na2SO4干燥,过滤,减压浓缩,得到残余物。通过柱色谱法纯化残余物(SiO2,EtOAc/PE=0-20%)。得到3-(4-(3-(二氟甲基)-7-甲基二苯并[b,f][1,4]氧杂吖庚英-11-基)哌嗪-1-基)-2,2-二甲基丙酸甲酯(100mg,216.02μmol,31.94%收率,98.83%纯度),为黄色油状物。LCMS Rt=1.220min,2min色谱,Xtimate C18 2.1*30mm,纯度67.53%,MS ESI计算值457.51[M+H]+458.51,测定值458.2.
步骤5:3-(4-(3-(二氟甲基)-7-甲基二苯并[b,f][1,4]氧杂吖庚英-11-基)哌嗪-1-基)-2,2-二甲基丙酸的合成
将3-(4-(3-(二氟甲基)-7-甲基二苯并[b,f][1,4]氧杂吖庚英-11-基)哌嗪-1-基)-2,2-二甲基丙酸甲酯(100mg,218.57μmol,1eq.)和NaOH(26mg,655.72μmol,3eq.)在MeOH(10mL)和H2O(3mL)中的混合物在60℃搅拌16hr。浓缩该反应混合物以除去MeOH。用HCOOH将该混合物的pH调整至约5。通过制备型-HPLC纯化残余物(柱:Welch Xtimate C18150*30mm*5um;流动相:[水(0.225%FA)-ACN];B%:22%-52%,8min)。得到3-(4-(3-(二氟甲基)-7-甲基二苯并[b,f][1,4]氧杂吖庚英-11-基)哌嗪-1-基)-2,2-二甲基丙酸(67.8mg,152.88μmol,69.94%收率,100%纯度),为白色固体。1H NMR(400MHz,DMSO-d6)δ=7.60-7.45(m,3H),7.07(t,J=55.6Hz,1H),7.04(s,1H),7.94-6.87(m,2H),3.42-3.37(m,6H),2.65-2.53(m,4H),2.23(s,3H),1.09(s,6H).HPLCRt=4.36min,8min色谱,Ultimate3.0*50mm 3um,纯度100%.
LCMS Rt=1.188min,2min色谱,Xtimate C18 2.1*30mm,纯度100%,MS ESI计算值443.49[M+H]+444.49,测定值444.2.
实施例9. 1-((4-(3,7-二氟二苯并[b,f][1,4]氧杂吖庚英-11-基)哌嗪-1-基)甲基)环丙烷-1-甲酸(化合物编号10)
步骤1:11-氯-3,7-二氟二苯并[b,f][1,4]氧杂吖庚英的合成
将3,7-二氟二苯并[b,f][1,4]氧杂吖庚英-11(10H)-酮(500mg,2.02mmol,1eq.)在POCl3(24.69g,161.06mmol,14.97mL,79.63eq.)中的混合物在110℃搅拌4hr。浓缩该混合物,得到残余物。用DCM(100mL)稀释残余物,用盐水(50mL*3)洗涤。用Na2SO4干燥合并的有机层,浓缩,得到粗产物。将粗产物不经进一步纯化直接用于下一步。得到11-氯-3,7-二氟二苯并[b,f][1,4]氧杂吖庚英(500mg,1.88mmol,93.06%收率),为棕色固体。
步骤2:1-((4-(3,7-二氟二苯并[b,f][1,4]氧杂吖庚英-11-基)哌嗪-1-基)甲基)环丙烷甲酸甲酯的合成
向11-氯-3,7-二氟二苯并[b,f][1,4]氧杂吖庚英(400mg,1.51mmol,1eq.)和TEA(1.52g,15.06mmol,2.10mL,10eq.)在二噁烷(50mL)中的混合物中加入1-(哌嗪-1-基甲基)环丙烷-1-甲酸甲酯(597.08mg,3.01mmol,2eq.)。将该混合物在110℃搅拌10hr。用EtOAc(300mL)稀释该混合物,用盐水(500mL*3)洗涤。用Na2SO4干燥合并的有机层,浓缩,得到粗产物。通过硅胶柱色谱法纯化产物(PE:EtOAc=3:2)。得到1-((4-(3,7-二氟二苯并[b,f][1,4]氧杂吖庚英-11-基)哌嗪-1-基)甲基)环丙烷-1-甲酸甲酯(290mg,549.07μmol,36.46%收率,80.93%纯度),为黄色油状物。LCMS Rt=1.397min,2min色谱,Xtimate C18 2.1*30mm,纯度80%,MS ESI计算值427.44[M+H]+428.17,测定值428.3.
步骤3:1-((4-(3,7-二氟二苯并[b,f][1,4]氧杂吖庚英-11-基)哌嗪-1-基)甲基)环丙烷甲酸的合成
向1-((4-(3,7-二氟二苯并[b,f][1,4]氧杂吖庚英-11-基)哌嗪-1-基)甲基)环丙烷-1-甲酸甲酯(290mg,678.45μmol,1eq.)在H2O(1mL)和MeOH(3mL)中的混合物中加入LiOH·H2O(142mg,3.39mmol,5eq.)。将该混合物在60℃搅拌10hr。浓缩该混合物以除去MeOH。用HCOOH将该混合物的pH调整至约5。用DCM(80mL)稀释该混合物,用盐水(100mL*2)洗涤,浓缩,得到粗产物。通过制备型-HPLC纯化产物(柱:Welch Xtimate C18 150*30mm*5um;流动相:[水(0.225%FA)-ACN];B%:26%-42%,8min)。得到1-((4-(3,7-二氟二苯并[b,f][1,4]氧杂吖庚英-11-基)哌嗪-1-基)甲基)环丙烷-1-甲酸(142mg,337.47μmol,49.74%收率,98.25%纯度),为白色固体。1H NMR(DMSO-d6,400MHz)δH=7.51-7.45(m,1H),7.37(dd,J=2.4,9.2Hz,1H),7.23(td,J=2.4Hz,8.4Hz,1H),7.15(dd,J=2.8Hz,8.8Hz,1H),7.10-7.05(m,1H),7.00-6.95(m,1H),3.50-3.42(m,4H),2.77-2.61(m,6H),1.12-1.06(m,2H),0.79-0.73(m,2H).HPLC Rt=4.11min,8min色谱,Utimate 3.0*50mm,纯度98.25%.LCMSRt=1.129min,2.0min色谱,Xtimate C18 2.1*30mm,纯度100%,MS ESI计算值413.42[M+H]+414.16,测定值414.2.
实施例10. 1-((4-(3,7-二甲基二苯并[b,f][1,4]氧杂吖庚英-11-基)哌嗪-1-基)甲基)环丙烷-1-甲酸(化合物编号9)
步骤1:3,7-二甲基二苯并[b,f][1,4]氧杂吖庚英-11(10H)-酮的合成
向7-溴-3-甲基二苯并[b,f][1,4]氧杂吖庚英-11(10H)-酮(1g,3.29mmol,1eq.)在H2O(4mL)和二噁烷(20mL)中的混合物中加入Pd(dppf)Cl2(481mg,657.60μmol,0.2eq.)、MeBF4K(1.20g,9.86mmol,3eq.)和Cs2CO3(2.14g,6.58mmol,2eq.)。用N2保护该混合物,在110℃搅拌10hr。用EtOAc(500mL)稀释该混合物,用盐水(800mL*3)洗涤。用Na2SO4干燥合并的有机层,浓缩,得到粗产物。通过硅胶柱色谱法纯化产物(PE:EtOAc=7:3)。得到3,7-二甲基二苯并[b,f][1,4]氧杂吖庚英-11(10H)-酮(740mg,2.12mmol,64.52%收率,68.59%纯度),为黄色固体。LCMS Rt=1.342min,2min色谱,Xtimate C18 2.1*30mm,纯度91.06%,MSESI计算值239.09[M+H]+240.09,测定值239.9.
步骤2:11-氯-3,7-二甲基二苯并[b,f][1,4]氧杂吖庚英的合成
将3,7-二甲基二苯并[b,f][1,4]氧杂吖庚英-11(10H)-酮(500mg,2.09mmol,1eq.)在POCl3(25.51g,166.39mmol,15.46mL,79.63eq.)中的混合物在110℃搅拌4hr。浓缩该混合物,得到残余物。用DCM(100mL)稀释残余物,用盐水(50mL*3)洗涤。用Na2SO4干燥合并的有机层,浓缩,得到粗产物。将粗产物不经进一步纯化直接用于下一步。得到11-氯-3,7-二甲基二苯并[b,f][1,4]氧杂吖庚英(500mg,1.94mmol,92.84%收率),为棕色固体。
步骤3:1-((4-(3,7-二甲基二苯并[b,f][1,4]氧杂吖庚英-11-基)哌嗪-1-基)甲基)环丙烷甲酸甲酯的合成
向11-氯-3,7-二甲基二苯并[b,f][1,4]氧杂吖庚英(400mg,1.55mmol,1eq.)在1,4-二噁烷(10mL)和DMSO(3mL)中的混合物中加入TEA(1.57g,15.52mmol,2.16mL,10eq.)和1-(哌嗪-1-基甲基)环丙烷甲酸甲酯(616mg,3.10mmol,2eq.)。将得到的混合物在110℃搅拌10hr。用EtOAc(500mL)稀释该混合物,用盐水(300mL*3)洗涤。浓缩合并的有机层,得到粗产物。通过硅胶柱色谱法纯化粗产物(PE:EtOAc=3:1)。得到1-((4-(3,7-二甲基二苯并[b,f][1,4]氧杂吖庚英-11-基)哌嗪-1-基)甲基)环丙烷-1-甲酸甲酯(350mg,698.89μmol,45.03%收率,83.77%纯度),为淡黄色油状物。1H NMR(DMSO-d6,400MHz)δH=7.27-7.23(m,1H),7.15(s,1H),7.13-7.09(m,1H),6.97-6.94(m,1H),6.92-6.88(m,1H),6.86-6.84(m,1H),3.65(s,3H),3.47-3.33(m,4H),2.63(s,2H),2.57-2.52(m,4H),2.33(s,3H),2.22(s,3H),1.15-1.10(m,2H),0.92-0.84(m,2H).
步骤4:1-((4-(3,7-二甲基二苯并[b,f][1,4]氧杂吖庚英-11-基)哌嗪-1-基)甲基)环丙烷甲酸的合成
向1-((4-(3,7-二甲基二苯并[b,f][1,4]氧杂吖庚英-11-基)哌嗪-1-基)甲基)环丙烷-1-甲酸甲酯(350mg,834.30μmol,1eq.)在MeOH(20mL)和H2O(5mL)中的混合物中加入LiOH·H2O(175mg,4.17mmol,5eq.)。将得到的混合物在60℃搅拌10hr。浓缩该混合物以除去MeOH。用HCOOH将该混合物的pH调整至约5。通过制备型-HPLC纯化产物(柱:WelchXtimate C18 150*30mm*5um;流动相:[水(0.225%FA)-ACN];B%:26%-31%,8min)。得到1-((4-(3,7-二甲基二苯并[b,f][1,4]氧杂吖庚英-11-基)哌嗪-1-基)甲基)环丙烷-1-甲酸(105.3mg,233.22μmol,27.95%收率,100%纯度,FA),为白色固体。1H NMR(DMSO-d6,400MHz)δH=7.27(d,J=7.6Hz,1H),7.16(s,1H),7.11(d,J=8.0Hz,1H),6.97(s,1H),6.94-6.86(m,2H),3.60-3.37(m,4H),2.83-2.62(m,6H),2.34(s,3H),2.29(s,3H),1.12-1.05(m,2H),0.79-0.72(m,2H).HPLC Rt=3.86min,8min色谱,Utimate3.0*50mm,纯度98.94%.LCMS Rt=1.289min,2min色谱,Xtimate C182.1*30mm,纯度100%,MS ESI计算值405.21[M+H]+406.21,测定值406.3.
实施例11. 3-(4-(7-氯-3-异丙基二苯并[b,f][1,4]氧杂吖庚英-11-基)哌嗪-1-基)-2,2-二甲基丙酸(化合物编号2)
步骤9:3-(4-(7-氯-3-异丙基二苯并[b,f][1,4]氧杂吖庚英-11-基)哌嗪-1-基)-2,2-二甲基丙酸的合成
给3-(4-(7-氯-3-异丙基二苯并[b,f][1,4]氧杂吖庚英-11-基)哌嗪-1-基)-2,2-二甲基丙酸甲酯(3g,6.38mmol,1eq.)、NaOH(766mg,19.15mmol,3eq.)在H2O(10mL)和MeOH(30mL)中的混合物脱气,用N2吹扫3次,然后将该混合物在60℃在N2气氛中搅拌16hr。用HCOOH将该反应混合物酸化至pH=5。用水(100mL)稀释该混合物,用DCM(100mL*2)萃取。用盐水(100mL*2)洗涤合并的有机层,用无水Na2SO4干燥,过滤,浓缩。从乙腈中研磨粗产物,通过制备型-HPLC进一步纯化(柱:Welch Xtimate C18 150*40mm*10um;流动相:[水(0.2%FA)-ACN];B%:35%-75%,8min)。得到3-(4-(7-氯-3-异丙基二苯并[b,f][1,4]氧杂吖庚英-11-基)哌嗪-1-基)-2,2-二甲基丙酸(1.5g,3.17mmol,49.60%收率,96.24%纯度),为白色固体。1H NMR(CDCl3,400MHz)δH=7.24(d,J=8.0Hz,1H),7.17-7.14(m,1H),7.12-7.05(m,4H),3.82-3.54(m,4H),3.02-2.82(m,5H),2.63(s,2H),1.31-1.24(m,12H).HPLC Rt=4.13min,8min色谱,Ultimate XB-C18 3.0*50mm,3um,纯度96.24%.
LCMS Rt=1.064min,2min色谱,Xtimate C18 2.1*30mm,纯度100%,MS ESI计算值455.20[M+H]+456.20,测定值456.2.
实施例12. 1-((4-(11H-二苯并[b,e]吖庚英-6-基)哌嗪-1-基)甲基)环丙烷-1-甲酸(化合物编号12)
步骤1:6-氯-11H-二苯并[b,e]吖庚英的合成
将5,11-二氢-6H-二苯并[b,e]吖庚英-6-酮(500mg,2.39mmol,1eq.)在POCl3(33.00g,215.22mmol,20mL,90.07eq.)中的混合物在110℃搅拌3hr。浓缩该混合物,得到残余物。用DCM(100mL)稀释残余物,用盐水(50mL*3)洗涤。用Na2SO4干燥合并的有机层,浓缩,得到粗产物。将粗产物不经进一步纯化直接用于下一步。得到6-氯-11H-二苯并[b,e]吖庚英(500mg,2.20mmol,91.90%收率),为棕色固体。
步骤2:1-((4-(11H-二苯并[b,e]吖庚英-6-基)哌嗪-1-基)甲基)环丙烷甲酸甲酯的合成
向6-氯-11H-二苯并[b,e]吖庚英(400.00mg,1.76mmol,1eq.)和TEA(1.78g,17.57mmol,2.45mL,10eq.)在二噁烷(50mL)中的混合物中加入1-(哌嗪-1-基甲基)环丙烷-1-甲酸甲酯(697mg,3.51mmol,2eq.)。将该混合物在110℃搅拌10hr。浓缩该混合物,得到残余物。将残余物溶于DMSO(50mL),然后加入TEA(2mL)和1-(哌嗪-1-基甲基)环丙烷-1-甲酸甲酯(349mg,1.76mmol,1eq.)。将该混合物在140℃搅拌10hr。用EtOAc(300mL)稀释该混合物,用盐水(500mL*3)洗涤。用Na2SO4干燥合并的有机层,浓缩,得到粗产物。通过硅胶柱色谱法纯化产物(PE:EtOAc=3:2)。得到1-((4-(11H-二苯并[b,e]吖庚英-6-基)哌嗪-1-基)甲基)环丙烷-1-甲酸甲酯(500mg,1.13mmol,64.52%收率,88.29%纯度),为黄色油状物。LCMS Rt=0.681min,1.5min色谱,Xtimate C18 2.0*20mm,纯度93.15%,MS ESI计算值389.21[M+H]+390.21,测定值390.1.
步骤3:1-((4-(11H-二苯并[b,e]吖庚英-6-基)哌嗪-1-基)甲基)环丙烷甲酸的合成
向1-((4-(11H-二苯并[b,e]吖庚英-6-基)哌嗪-1-基)甲基)环丙烷-1-甲酸甲酯(500mg,1.28mmol,1eq)在H2O(3mL)和MeOH(6mL)中的混合物中加入LiOH·H2O(154mg,6.42mmol,5eq.)。将该混合物在60℃搅拌10hr。浓缩该混合物以除去MeOH。用HCOOH将该混合物的pH调整至约5。通过制备型-HPLC纯化产物(柱:Welch Xtimate C18 150*25mm*5um;流动相:[水(0.225%FA)-MeOH];B%:17%-47%,7.8min)。得到1-((4-(11H-二苯并[b,e]吖庚英-6-基)哌嗪-1-基)甲基)环丙烷-1-甲酸(114.4mg,302.80μmol,23.59%收率,99.38%纯度),为白色固体。1H NMR(DMSO-d6,400MHz)δH=8.198(s,0.41H),7.46-7.35(m,3H),7.33-7.27(m,1H),7.20(d,J=6.4Hz,1H),7.10-7.05(m,1H),6.97-6.89(m,2H),3.69(d,J=12.8Hz,1H),3.49-3.40(m,5H),2.80-2.71(m 2H),2.70-2.61(m,4H),1.10-1.00(m,2H),0.77-0.73(m,2H).HPLCRt=6.61min,15min色谱,Utimate 4.6*150mm,纯度99.38%.LCMS Rt=1.101min,2.0min色谱,Xtimate C18 2.1*30mm,纯度100%,MS ESI计算值375.19[M+H]+376.20,测定值376.3.
实施例13. 3-(4-(3,7-二氟二苯并[b,f][1,4]氧杂吖庚英-11-基)哌嗪-1-基)-2,2-二甲基丙酸(化合物编号11)
步骤1:2,4-二氟苯甲酰氯的合成
向2,4-二氟苯甲酸(10.00g,63.25mmol,1eq.)在SOCl2(100mL)中的混合物中加入DMF(462mg,6.33mmol,486.65μL,0.1eq.)。将该混合物在80℃搅拌3hr。浓缩该混合物,得到残余物。将粗产物不经进一步纯化直接用于下一步。得到2,4-二氟苯甲酰氯(11g,62.31mmol,98.51%收率),为黄色油状物。
步骤2:2,4-二氟-N-(4-氟-2-羟基苯基)苯甲酰胺的合成
在0℃向2-氨基-5-氟苯酚(9.90g,77.88mmol,1.25eq.)和TEA(18.91g,186.92mmol,26.02mL,3eq.)在THF(160mL)中的混合物中滴加2,4-二氟苯甲酰氯(11g,62.31mmol,7.64mL,1eq)在THF(40mL)中的溶液。将得到的混合物温热至25℃,搅拌2hr。用EtOAc(1000mL)稀释该混合物,用2N HCl(500mL*1)和盐水(1500mL*3)洗涤。用Na2SO4干燥合并的有机层,浓缩,得到粗产物。将产物不经进一步纯化直接用于下一步。得到2,4-二氟-N-(4-氟-2-羟基苯基)苯甲酰胺(10.9g,40.79mmol,65.47%收率),为棕色固体。H NMR(DMSO-d6,400MHz)δH=10.52(brs,1H),9.42(d,J=6.4Hz,1H),7.97-7.88(m,2H),7.49-7.38(m,1H),7.25(td,J=2.0Hz,8.4Hz,1H),6.76-6.63(m,2H).
向2,4-二氟-N-(4-氟-2-羟基苯基)苯甲酰胺(10.4g,38.92mmol,1eq.)在DMF(100mL)中的混合物中加入t-BuOK(8.73g,77.84mmol,2eq.)。将该混合物在130℃搅拌4hr。将该混合物缓慢地倾入H2O(300mL)。通过滤纸过滤该混合物,减压干燥滤饼。通过硅胶柱色谱法纯化产物(DCM:MeOH=9:1)。得到3,7-二氟二苯并[b,f][1,4]氧杂吖庚英-11(10H)-酮(3.08g,6.19mmol,15.90%收率,49.66%纯度),为红棕色固体。1H NMR(DMSO-d6,400MHz)δH=10.57(s,1H),7.87-7.84(m,1H),7.34-7.30(M,2H),7.26-7.17(m,2H),7.14-7.08(m,1H).
步骤4:11-氯-3,7-二氟二苯并[b,f][1,4]氧杂吖庚英的合成
将3,7-二氟二苯并[b,f][1,4]氧杂吖庚英-11(10H)-酮(500mg,2.02mmol,1eq.)在POCl3(49.50g,322.83mmol,30mL,159.60eq.)中的混合物在110℃搅拌3hr。浓缩该混合物,得到残余物。用DCM(100mL)稀释残余物,用盐水(50mL*3)洗涤。用Na2SO4干燥合并的有机层,浓缩,得到粗产物。将粗产物不经进一步纯化直接用于下一步。得到11-氯-3,7-二氟二苯并[b,f][1,4]氧杂吖庚英(500mg,1.88mmol,93.06%收率),为黄色固体。
步骤5:3-(4-(3,7-二氟二苯并[b,f][1,4]氧杂吖庚英-11-基)哌嗪-1-基)-2,2-二甲基丙酸甲酯的合成
向11-氯-3,7-二氟二苯并[b,f][1,4]氧杂吖庚英(500mg,1.88mmol,1eq)和TEA(1.90g,18.82mmol,2.62mL,10eq.)在二噁烷(50mL)中的混合物中加入2,2-二甲基-3-(哌嗪-1-基)丙酸甲酯(1.03g,3.76mmol,2eq.,2HCl)。将该混合物在110℃搅拌10hr。用EtOAc(300mL)稀释该混合物,用盐水(500mL*3)洗涤。用Na2SO4干燥合并的有机层,浓缩,得到粗产物。通过硅胶柱色谱法纯化产物(PE:EtOAc=4:1)。得到3-(4-(3,7-二氟二苯并[b,f][1,4]氧杂吖庚英-11-基)哌嗪-1-基)-2,2-二甲基丙酸甲酯(190mg,442.42μmol,23.50%收率,100%纯度),为黄色油状物。1H NMR(DMSO-d6,400MHz)δH=7.48-7.41(m,1H),7.35(dd,J=2.4Hz,9.2Hz,1H),7.21(td,J=2.4Hz,8.4Hz,1H),7.13(dd,J=2.8,9.2Hz,1H),7.08-7.02(m,1H),7.00-6.94(m,1H),3.60(s,3H),3.46-3.34(m,6H),2.58-2.52(m,4H),1.12(s,6H).
步骤6:3-(4-(3,7-二氟二苯并[b,f][1,4]氧杂吖庚英-11-基)哌嗪-1-基)-2,2-二甲基丙酸的合成
向3-(4-(3,7-二氟二苯并[b,f][1,4]氧杂吖庚英-11-基)哌嗪-1-基)-2,2-二甲基丙酸甲酯(190mg,442.42μmol,1eq.)在H2O(5mL)和THF(5mL)中的混合物中加入NaOH(53mg,1.33mmol,3eq.)。将该混合物在60℃搅拌10hr。浓缩该混合物以除去MeOH。用HCOOH将该混合物的pH调整至约5。用DCM(80mL)稀释该混合物,用盐水(100mL*2)洗涤。浓缩合并的有机层,得到粗产物。通过制备型-HPLC纯化产物(柱:Welch Xtimate C18 150*30mm*5um;流动相:[水(0.225%FA)-ACN];B%:20%-50%,8min)。得到3-(4-(3,7-二氟二苯并[b,f][1,4]氧杂吖庚英-11-基)哌嗪-1-基)-2,2-二甲基丙酸(110.7mg,237.35μmol,53.65%收率,98.94%纯度,FA),为白色固体。1H NMR(DMSO-d6,400MHz)δH=7.48-7.43(m,1H),7.35(dd,J=2.8Hz,9.6Hz,1H),7.21(td,J=2.8Hz,8.4Hz,1H),7.14(dd,J=2.8Hz,9.2Hz,1H),7.08-7.02(m,1H),7.00-6.94(m,1H),3.46-3.34(m,4H),2.64-2.52(m,6H),1.10(s,6H).HPLC Rt=4.17min,8min色谱,Utimate3.0*50mm,纯度98.94%.LCMS Rt=1.360min,2.0min色谱,Xtimate C182.1*30mm,纯度100%,MS ESI计算值415.43[M+H]+416.17,测定值416.3.
实施例14. 1-((4-(3-乙基-7-甲基二苯并[b,f][1,4]氧杂吖庚英-11-基)哌嗪-1-基)甲基)环丙烷-1-甲酸(化合物编号14)
步骤1:4-溴-2-(5-甲基-2-硝基苯氧基)苯甲酸甲酯的合成
将4-溴-2-羟基苯甲酸甲酯(10g,43.28mmol,1eq.)、2-氟-4-甲基-1-硝基-苯(6.71g,43.28mmol,1eq.)、K2CO3(17.95g,129.85mmol,3eq.)在DMF(200mL)中的混合物在90℃搅拌6hr。用H2O(150mL)稀释该反应混合物,用EtOAc(150mL*3)萃取。用盐水(100mL)洗涤合并的有机层,用Na2SO4干燥,过滤,减压浓缩,得到残余物。通过柱色谱法纯化残余物(SiO2,乙酸乙酯/石油醚=0-20%)。得到4-溴-2-(5-甲基-2-硝基苯氧基)苯甲酸甲酯(10g,27.31mmol,63.10%收率),为白色固体。1H NMR(400MHz,CDCl3)δ=7.93(d,J=8.4Hz,1H),7.86(d,J=8.8Hz,1H),7.41(dd,J=2.0Hz,8.4Hz,1H),7.16-7.15(m,1H),7.05-7.00(m,1H),6.71-6.66(m,1H),3.78(s,3H),2.35(s,3H).
将4-溴-2-(5-甲基-2-硝基苯氧基)苯甲酸甲酯(17g,46.43mmol,1eq.)、Fe(15.56g,278.56mmol,6eq.)在CH3COOH(340mL)中的混合物在120℃搅拌2hr。通过C盐垫过滤该反应混合物。用EtOAc(1000mL*3)洗涤饼状物。用H2O(1000mL*2)和饱和NaHCO3水溶液(1000mL*2)洗涤合并的滤液,然后用盐水(1000mL)洗涤。用Na2SO4干燥有机层,真空浓缩。将残余物与EtOAc(200mL)一起研磨。得到3-溴-7-甲基二苯并[b,f][1,4]氧杂吖庚英-11(10H)-酮(11.3g,37.15mmol,80.03%收率),为白色固体。1H NMR(400MHz,CDCl3)δ=8.14(s,1H),7.80(d,J=8.4Hz,1H),7.45-7.35(m,2H),7.10-7.05(m,1H),7.00-6.87(m,2H),2.32(s,3H).
步骤3:7-甲基-3-乙烯基二苯并[b,f][1,4]氧杂吖庚英-11(10H)-酮的合成
给3-溴-7-甲基二苯并[b,f][1,4]氧杂吖庚英-11(10H)-酮(1g,3.29mmol,1eq.)、三氟-[(Z)-乙烯基亚硼烷基-荧烷基(fluoranyl)]钾(1.01g,6.58mmol,2eq.)、Pd(dppf)Cl2(240.58mg,328.80μmol,0.1eq.)、Cs2CO3(2.14g,6.58mmol,2eq.)在二噁烷(30mL)和H2O(3mL)的混合物脱气,用N2吹扫3次,然后将该混合物在100℃在N2气氛中搅拌2hr。通过C盐过滤该反应混合物。然后将其浓缩至干。通过柱色谱法纯化残余物(SiO2,EtOAc/PE=0-30%)。得到7-甲基-3-乙烯基二苯并[b,f][1,4]氧杂吖庚英-11(10H)-酮(760mg,3.02mmol,91.99%收率),为白色固体。1H NMR(400MHz,CDCl3)δ=7.88(d,J=8.0Hz,1H),7.83(s,1H),7.25-7.24(m,2H),7.13-7.05(m,1H),6.97-6.86(m,2H),6.76-6.64(m,1H),5.87(d,J=17.6Hz,1H),5.41(d,J=10.8Hz,1H),2.32(s,3H).
步骤4:3-乙基-7-甲基二苯并[b,f][1,4]氧杂吖庚英-11(10H)-酮的合成
将7-甲基-3-乙烯基二苯并[b,f][1,4]氧杂吖庚英-11(10H)-酮(760mg,3.02mmol,1eq.)、Pd/C(0.4g,3.02mmol,10%纯度,1eq.)在MeOH(10mL)中的混合物在25℃在H2(15psi)气氛中搅拌2hr。通过C盐过滤该反应混合物。用DCM(100mL*3)洗涤饼状物。真空浓缩合并的滤液。将产物不经进一步纯化直接用于下一步。得到3-乙基-7-甲基二苯并[b,f][1,4]氧杂吖庚英-11(10H)-酮(760mg,2.94mmol,97.04%收率,97.82%纯度),为白色固体。1H NMR(400MHz,CDCl3)δ=7.90-7.80(m,2H),7.09-7.04(m,3H),6.96-6.90(m,1H),6.89-6.85(m,1H),2.68(q,J=8.0Hz,2H),2.32(s,3H),1.25(t,J=7.6Hz,3H).
步骤5:11-氯-3-乙基-7-甲基二苯并[b,f][1,4]氧杂吖庚英的合成
将3-乙基-7-甲基二苯并[b,f][1,4]氧杂吖庚英-11(10H)-酮(300mg,1.18mmol,1eq.)在POCl3(40mL)中的混合物在110℃搅拌5hr。减压浓缩该反应混合物。然后用DCM(100mL)稀释,用H2O(100mL*2)洗涤。用盐水(100mL)洗涤合并的有机层,用Na2SO4干燥,过滤,减压浓缩,得到残余物。将产物不经进一步纯化直接用于下一步。得到11-氯-3-乙基-7-甲基二苯并[b,f][1,4]氧杂吖庚英(200mg,粗),为黄色油状物。
步骤6:1-((4-(3-乙基-7-甲基二苯并[b,f][1,4]氧杂吖庚英-11-基)哌嗪-1-基)甲基)环丙烷甲酸甲酯的合成
将11-氯-3-乙基-7-甲基二苯并[b,f][1,4]氧杂吖庚英(200mg,736.00mmol,1eq.)、1-(哌嗪-1-基甲基)环丙烷-1-甲酸甲酯(292mg,1.47mmol,2eq.)、TEA(745mg,7.36mmol,1.02mL,10eq.)在二噁烷(6mL)和DMSO(6mL)中的混合物在120℃搅拌16hr。用H2O(100mL)稀释该反应混合物,用EtOAc(100mL*3)萃取。用盐水(100mL)洗涤合并的有机层,用Na2SO4干燥,过滤,减压浓缩,得到残余物。通过柱色谱法纯化残余物(SiO2,EtOAc/PE=0-35%)。得到1-((4-(3-乙基-7-甲基二苯并[b,f][1,4]氧杂吖庚英-11-基)哌嗪-1-基)甲基)环丙烷-1-甲酸甲酯(250mg,544.99μmol,74.05%收率,94.51%纯度),为无色油状物。LCMS Rt=2.069min,3min色谱,Xtimate C18 2.1*30mm,纯度47.58%,MS ESI计算值433.54[M+H]+434.54,测定值434.3.
步骤7:1-((4-(3-乙基-7-甲基二苯并[b,f][1,4]氧杂吖庚英-11-基)哌嗪-1-基)甲基)环丙烷甲酸的合成
将1-((4-(3-乙基-7-甲基二苯并[b,f][1,4]氧杂吖庚英-11-基)哌嗪-1-基)甲基)环丙烷-1-甲酸甲酯(250mg,576.65μmol,1eq.)和NaOH(69mg,1.73mmol,3eq.)在MeOH(15mL)和H2O(5mL)中的混合物在60℃搅拌6hr。浓缩该反应混合物以除去MeOH。用HCOOH将该混合物的pH调整至约5。通过制备型-HPLC纯化残余物(柱:Welch Xtimate C18 150*25mm*5um;流动相:[水(0.225%FA)-ACN];B%:15%-45%,8min)。得到1-((4-(3-乙基-7-甲基二苯并[b,f][1,4]氧杂吖庚英-11-基)哌嗪-1-基)甲基)环丙烷-1-甲酸(147.5mg,351.60μmol,60.97%收率,100%纯度),为白色固体。1H NMR(400MHz,DMSO-d6)δ=8.17(s,0.3H),7.29(d,J=8.0Hz,1H),7.20-7.10(m,2H),7.02-6.96(m,1H),6.95-6.85(m,2H),3.50-3.42(m,4H),2.78-2.58(m,8H),2.23(s,3H),1.18(t,J=8Hz,3H),1.11-1.04(m,2H),0.80-0.70(m,2H).HPLC Rt=4.09min,8min色谱,Ultimate3.0*50mm 3um,纯度99.83%.LCMS Rt=1.133min,2min色谱,Xtimate C182.1*30mm,纯度100%,MS ESI计算值419.52[M+H]+420.52,测定值420.2.
实施例15. 1-((4-(7-氟-3-甲基二苯并[b,f][1,4]氧杂吖庚英-11-基)哌嗪-1-基)甲基)环丙烷-1-甲酸(化合物编号18)
步骤1:2-氟-4-甲基苯甲酰氯的合成
向2-氟-4-甲基苯甲酸(5g,32.44mmol,1eq.)在SOCl2(50mL)中的混合物中加入DMF(237mg,3.24mmol,249.58μL,0.1eq.)。将该混合物在80℃搅拌4hr。浓缩该混合物,得到残余物。将粗产物不经进一步纯化直接用于下一步。得到2-氟-4-甲基苯甲酰氯(5g,28.97mmol,89.31%收率),为黄色油状物。
步骤2:2-氟-N-(4-氟-2-羟基苯基)-4-甲基苯甲酰胺的合成
在0℃向2-氨基-5-氟苯酚(4.60g,36.21mmol,1.25eq.)和TEA(8.79g,86.91mmol,12.10mL,3eq.)在THF(60mL)中的混合物中滴加2-氟-4-甲基苯甲酰氯(5g,28.97mmol,1eq.)在THF(40mL)中的溶液。将得到的混合物温热至25℃,搅拌4hr。用EtOAc(500mL)稀释该混合物,用盐水(500mL*3)洗涤。用Na2SO4干燥合并的有机层,浓缩,得到粗产物。通过硅胶柱色谱法纯化产物(PE:EtOAc=7:3),与EtOAc(100mL)一起研磨。得到2-氟-N-(4-氟-2-羟基苯基)-4-甲基苯甲酰胺(5g,18.99mmol,65.56%收率),为棕色固体。H NMR(DMSO-d6,400MHz)δH=10.61(s,1H),9.30(d,J=9.6Hz,1H),8.05-8.01(m,1H),7.80(t,J=8.0Hz,1H),7.25-7.14(m,2H),6.76-6.63(m,2H),2.39(s,3H).
步骤3:7-氟-3-甲基二苯并[b,f][1,4]氧杂吖庚英-11(10H)-酮的合成
向2-氟-N-(4-氟-2-羟基苯基)-4-甲基苯甲酰胺(3.8g,14.44mmol,1eq.)在DMSO(38mL)中的混合物中加入t-BuOK(3.24g,28.87mmol,2eq.)。将该混合物在140℃搅拌4hr。通过C盐垫过滤该混合物,用EtOAc(300mL*3)洗涤垫。用盐水(500mL*2)洗涤该混合物。用Na2SO4干燥合并的有机层,浓缩,得到粗产物。将产物不经进一步纯化直接用于下一步。得到7-氟-3-甲基二苯并[b,f][1,4]氧杂吖庚英-11(10H)-酮(2.91g,10.98mmol,76.05%收率,91.76%纯度),为红棕色固体。1H NMR(DMSO-d6,400MHz)δH=10.44(s,1H),7.66(d,J=8.0Hz,1H),7.27(dd,J=2.8Hz,9.2Hz,1H),7.21-7.12(m,3H),7.07(td,J=2.8Hz,8.4Hz,1H),2.35(s,3H).
步骤4:11-氯-7-氟-3-甲基二苯并[b,f][1,4]氧杂吖庚英的合成
将7-氟-3-甲基二苯并[b,f][1,4]氧杂吖庚英-11(10H)-酮(900mg,3.70mmol,1eq.)在POCl3(49.50g,322.83mmol,30mL,87.25eq.)中的混合物在10℃搅拌3hr。浓缩该混合物,得到残余物。用DCM(100mL)稀释残余物,用盐水(50mL*3)洗涤。用Na2SO4干燥合并的有机层,浓缩,得到粗产物。得到11-氯-7-氟-3-甲基二苯并[b,f][1,4]氧杂吖庚英(900mg,3.44mmol,92.95%收率),为棕色固体。步骤5:1-((4-(7-氟-3-甲基二苯并[b,f][1,4]氧杂吖庚英-11-基)哌嗪-1-基)甲基)环丙烷甲酸甲酯的合成
向11-氯-7-氟-3-甲基二苯并[b,f][1,4]氧杂吖庚英(500mg,1.91mmol,1eq.)和TEA(1.93g,19.11mmol,2.66mL,10eq.)在二噁烷(15mL)中的混合物中加入1-(哌嗪-1-基甲基)环丙烷-1-甲酸甲酯(379mg,1.91mmol,1eq.)。将该混合物在110℃搅拌10hr。用EtOAc(200mL)稀释该混合物,用盐水(300mL*3)洗涤。用Na2SO4干燥合并的有机层,浓缩,得到粗产物。通过硅胶柱色谱法纯化产物(PE:EtOAc=7:3)。得到1-((4-(7-氟-3-甲基二苯并[b,f][1,4]氧杂吖庚英-11-基)哌嗪-1-基)甲基)环丙烷-1-甲酸甲酯(300mg,708.42μmol,37.08%收率,100%纯度),为黄色油状物。LCMS Rt=1.139min,2min色谱,Xtimate C182.1*30mm,纯度100%,MS ESI计算值423.48[M+H]+424.20,测定值424.1.
步骤6:1-((4-(7-氟-3-甲基二苯并[b,f][1,4]氧杂吖庚英-11-基)哌嗪-1-基)甲基)环丙烷甲酸的合成
向1-((4-(7-氟-3-甲基二苯并[b,f][1,4]氧杂吖庚英-11-基)哌嗪-1-基)甲基)环丙烷-1-甲酸甲酯(300mg,708.42μmol,1eq.)在H2O(5mL)和MeOH(4mL)中的混合物中加入NaOH(85mg,2.13mmol,3eq.)。将该混合物在60℃搅拌10hr。浓缩该混合物以除去MeOH。用HCOOH将该混合物的pH调整至约5。通过制备型-HPLC纯化产物(柱:Welch Xtimate C18150*25mm*5um;流动相:[水(0.05%HCl)-ACN];B%:10%-40%,8.5min)。得到1-((4-(7-氟-3-甲基二苯并[b,f][1,4]氧杂吖庚英-11-基)哌嗪-1-基)甲基)环丙烷-1-甲酸(40mg,97.69μmol,13.79%收率,100%纯度),为黄色固体。1H NMR(DMSO-d6,400MHz)δH=11.04(s,1H),7.63(d,J=8.0Hz,1H),7.49(t,J=6.4Hz,1H),7.42-7.34(m,2H),7.28(d,J=7.6Hz,1H),7.16(td,J=2.8Hz,8.4Hz,1H),3.80-3.25(m,6H),2.56-2.51(m,4H),2.40(s,3H),1.48-1.43(m,2H),1.36-1.31(m,2H).HPLCRt=2.65min,4min色谱,Utimate 3.0*50mm,纯度98.12%.LCMS Rt=3.325min,7min色谱,Xtimate C18 2.1*30mm,纯度100%,MS ESI计算值409.45[M+H]+410.18,测定值410.1.
实施例16. 3-(4-(7-氯-3-甲氧基二苯并[b,f][1,4]氧杂吖庚英-11-基)哌嗪-1-基)-2,2-二甲基丙酸(化合物编号20)
步骤1:3-(4-(7-氯-3-甲氧基二苯并[b,f][1,4]氧杂吖庚英-11-基)哌嗪-1-基)-2,2-二甲基丙酸甲酯的合成
向7,11-二氯-3-甲氧基二苯并[b,f][1,4]氧杂吖庚英(400mg,1.36mmol,1eq.)在TEA(1.38g,13.60mmol,1.89mL,10eq.)和二噁烷(10mL)中的混合物中加入2,2-二甲基-3-哌嗪-1-基-丙酸甲酯(545mg,2.72mmol,2eq.)。将该混合物在120℃搅拌10hr。用DCM(200mL)稀释该混合物,用盐水(200mL*3)洗涤。用Na2SO4干燥合并的有机层,浓缩,得到粗产物。通过硅胶柱色谱法纯化产物(PE:EtOAc=6:1)。得到3-(4-(7-氯-3-甲氧基二苯并[b,f][1,4]氧杂吖庚英-11-基)哌嗪-1-基)-2,2-二甲基丙酸甲酯(400mg,873.46μmol,64.23%收率,100%纯度),为无色固体。LCMS Rt=0.820min,1.5min色谱,Xtimate C18 2.1*30mm,纯度100%,MS ESI计算值457.18[M+H]+458.18,测定值458.0.
步骤2:3-(4-(7-氯-3-甲氧基二苯并[b,f][1,4]氧杂吖庚英-11-基)哌嗪-1-基)-2,2-二甲基丙酸的合成
向3-(4-(7-氯-3-甲氧基二苯并[b,f][1,4]氧杂吖庚英-11-基)哌嗪-1-基)-2,2-二甲基丙酸甲酯(380mg,829.79μmol,1eq.)在MeOH(3mL)、H2O(4mL)和THF(3mL)中的混合物中加入NaOH(67mg,1.66mmol,2.00eq.)。将该混合物在60℃搅拌4hr。浓缩该混合物以除去MeOH。用HCOOH将该混合物的pH调整至约5。用DMSO(6mL)、H2O(30mL)和MeOH(10mL)稀释该混合物。通过滤纸过滤该混合物,将滤饼溶于CH3CN(10mL)和H2O(40mL),冻干。得到3-(4-(7-氯-3-甲氧基二苯并[b,f][1,4]氧杂吖庚英-11-基)哌嗪-1-基)-2,2-二甲基丙酸(218mg,491.08μmol,59.18%收率,100%纯度),为白色固体。1H NMR(DMSO-d6,400MHz)δH=7.32-7.27(m,2H),7.12(dd,J=2.4Hz,8.4Hz,1H),7.03-6.99(m,2H),6.95(dd,J=2.8Hz,8.8Hz,1H),3.81(s,3H),3.43-3.37(m,4H),2.60-2.50(m,6H),1.10(s,6H).HPLC Rt=2.83min,4min色谱,Ultimate 3.0*50mm 3um,纯度100.00%.LCMSRt=3.684min,7min色谱,XtimateC18 2.1*30mm,纯度94.11%,MS ESI计算值443.16[M+H]+444.16,测定值444.1.
实施例17. 1-((4-(3-氟-7-甲基二苯并[b,f][1,4]氧杂吖庚英-11-基)哌嗪-1-基)甲基)环丙烷-1-甲酸(化合物编号19)
步骤1:11-氯-3-氟-7-甲基二苯并[b,f][1,4]氧杂吖庚英的合成
将3-氟-7-甲基二苯并[b,f][1,4]氧杂吖庚英-11(10H)-酮(600mg,2.47mmol,1eq.)在POCl3(33.00g,215.22mmol,20mL,87.25eq.)中的混合物在110℃搅拌3hr。浓缩该混合物,得到残余物。用DCM(100mL)稀释残余物,用盐水(50mL*3)洗涤。用Na2SO4干燥合并的有机层,浓缩,得到粗产物。将产物不经进一步纯化直接用于下一步。得到11-氯-3-氟-7-甲基二苯并[b,f][1,4]氧杂吖庚英(600mg,2.29mmol,92.95%收率),为棕色固体。
步骤2:1-((4-(3-氟-7-甲基二苯并[b,f][1,4]氧杂吖庚英-11-基)哌嗪-1-基)甲基)环丙烷甲酸甲酯的合成
向11-氯-3-氟-7-甲基二苯并[b,f][1,4]氧杂吖庚英(300mg,1.15mmol,1eq.)在TEA(1.16g,11.46mmol,1.60mL,10eq.)和二噁烷(10mL)中的混合物中加入2,2-二甲基-3-哌嗪-1-基-丙酸甲酯(459mg,2.29mmol,2eq.)。将该混合物在110℃搅拌10hr。用EtOAc(100mL)稀释该反应混合物,用盐水(50mL*3)洗涤。用Na2SO4干燥合并的有机层,浓缩,得到粗产物。通过硅胶柱色谱法纯化产物(PE:EtOAc=3:1)。得到1-((4-(3-氟-7-甲基二苯并[b,f][1,4]氧杂吖庚英-11-基)哌嗪-1-基)甲基)环丙烷-1-甲酸甲酯(220mg,519.51μmol,45.17%收率,100%纯度),为黄色固体。1H NMR(CDCl3,400MHz)δH=7.37-7.20(m,1H),7.05-7.02(m,1H),6.99-6.95(m,1H),6.94-6.88(m,3H),3.69(s,3H),3.53-3.37(m,4H),2.72(s,2H),2.66-2.55(m,4H),2.30(s,3H),1.33-1.24(m,2H),0.91-0.82(m,2H).
步骤3:1-((4-(3-氟-7-甲基二苯并[b,f][1,4]氧杂吖庚英-11-基)哌嗪-1-基)甲基)环丙烷甲酸的合成
向1-((4-(3-氟-7-甲基二苯并[b,f][1,4]氧杂吖庚英-11-基)哌嗪-1-基)甲基)环丙烷-1-甲酸甲酯(200mg,472.28μmol,1eq.)在MeOH(3mL)、H2O(4mL)和THF(3mL)中的混合物中加入NaOH(38mg,944.56μmol,2eq.)。将该混合物在60℃搅拌4hr。浓缩该反应混合物以除去MeOH。用HCOOH将该混合物的pH调整至约5。通过制备型-HPLC纯化残余物(柱:WelchXtimate C18150*25mm*5um;流动相:[水(0.05%HCl)-ACN];B%:10%-40%,8.5min)。得到1-((4-(3-氟-7-甲基二苯并[b,f][1,4]氧杂吖庚英-11-基)哌嗪-1-基)甲基)环丙烷-1-甲酸(60.5mg,147.76μmol,31.29%收率,100.00%纯度),为黄色固体。1H NMR(DMSO-d6,400MHz)δH=7.68(t,J=7.2Hz,1H),7.45(d,J=8.8Hz,1H),7.33-7.25(m,1H),7.19-7.12(m,2H),7.03(d,J=8.0Hz,1H),3.50-3.45(m,4H),2.50-2.49(m,6H),2.28(s,3H),1.44-1.32(m,4H).HPLCRt=2.66min,4min色谱,Ultimate 3.0*50mm 3um,纯度98.62%.LCMS Rt=3.515min,7min色谱,Xtimate C18 2.1*30mm,纯度100.00%,MS ESI计算值409.18[M+H]+410.18,测定值410.1.
实施例18. 3-(4-(7-氯-3-(甲硫基)二苯并[b,f][1,4]氧杂吖庚英-11-基)哌嗪-1-基)-2,2-二甲基丙酸(化合物编号4)
步骤1:2-氟-4-(甲硫基)苯甲酸的合成
给2-氟-4-巯基苯甲酸(5g,29.04mmol,1eq.)、MeI(20.61g,145.20mmol,9.04mL,5eq.)、K2CO3(20.07g,145.20mmol,5eq.)在CH3CN(50mL)中的混合物脱气,用N2吹扫3次,然后将该混合物在50℃在N2气氛中搅拌16hr。通过添加水(200mL)使该反应混合物淬灭,然后用EtOAc(200mL*2)萃取。用2N HCl酸化水层至pH=5,过滤该混合物,减压干燥滤饼。2-氟-4-(甲硫基)苯甲酸(1.9g,10.20mmol,35.14%收率),为淡黄色固体。1H NMR(CDCl3,400MHz)δH=7.93(t,J=8.4Hz,1H),7.07-6.94(m,2H),2.53(s,3H).
步骤2:2-氟-4-(甲硫基)苯甲酰氯的合成
给2-氟-4-(甲硫基)苯甲酸(1.9g,10.20mmol,1eq.)在SOCl2(20mL)中的混合物脱气,用N2吹扫3次,然后将该混合物在85℃在N2气氛中搅拌3hr。浓缩该反应混合物至干。将粗产物不经进一步纯化用于下一步。得到2-氟-4-(甲硫基)苯甲酰氯(2g,粗),为黄色油状物。
步骤3:N-(4-氯-2-羟基苯基)-2-氟-4-(甲硫基)苯甲酰胺的合成
在0℃向2-氨基-5-氯-苯酚(2.00g,13.93mmol,1.5eq.)、TEA(3.76g,37.14mmol,5.17mL,4eq.)在THF(20mL)中的混合物中加入2-氟-4-(甲硫基)苯甲酰氯(1.9g,9.28mmol,1eq.)在THF(20mL)中的溶液,将该混合物在25℃在N2气氛中搅拌16hr。通过添加水(300mL)使该反应混合物淬灭,然后用EtOAc(300mL*2)萃取。用盐水(300mL*2)洗涤合并的有机层,用无水Na2SO4干燥,过滤,浓缩。通过快速硅胶色谱法纯化残余物(硅胶快速柱,0~80%乙酸乙酯/石油醚的洗脱液)。得到N-(4-氯-2-羟基苯基)-2-氟-4-(甲硫基)苯甲酰胺(1g,3.21mmol,34.55%收率),为灰色固体。1H NMR(CDCl3,400MHz)δH=8.69(d,J=17.6Hz,1H),8.10(t,J=8.4Hz,1H),7.28-7.27(m,1H),7.16(d,J=2.4Hz,1H),7.11-7.09(m,2H),7.03(d,J=13.6Hz,1H),6.90(d,J=6.4Hz,1H),2.55(s,3H).
步骤4:7-氯-3-(甲硫基)二苯并[b,f][1,4]氧杂吖庚英-11(10H)-酮的合成
给N-(4-氯-2-羟基苯基)-2-氟-4-(甲硫基)苯甲酰胺(800mg,2.57mmol,1eq.)、t-BuOK(576mg,5.13mmol,2eq.)在DMF(15mL)中的混合物脱气,用N2吹扫3次,然后将该混合物在140℃在N2气氛中搅拌3hr。冷却至25℃后,将该反应混合物倾入冰水,过滤该混悬液,采集滤饼。减压蒸发粗产物。将粗产物不经进一步纯化用于下一步。得到7-氯-3-(甲硫基)二苯并[b,f][1,4]氧杂吖庚英-11(10H)-酮(400mg,1.37mmol,53.43%收率),为棕色固体。HNMR(CDCl3,400MHz)δH=8.40(s,1H),7.83(d,J=8.0Hz,1H),7.28(d,J=2.4Hz,1H),7.16-6.95(m,4H),2.53(s,3H).
步骤5:7,11-二氯-3-(甲硫基)二苯并[b,f][1,4]氧杂吖庚英的合成
给7-氯-3-(甲硫基)二苯并[b,f][1,4]氧杂吖庚英-11(10H)-酮(400mg,1.37mmol,1eq.)在POCl3(30mL)中的混合物脱气,用N2吹扫3次,然后将该混合物在100℃在N2气氛中搅拌3hr。浓缩该反应混合物,然后用DCM(100mL)萃取残余物。用(100mL*2)盐水洗涤合并的有机层,用无水Na2SO4干燥,过滤,减压浓缩。将粗产物不经进一步纯化用于下一步。得到7,11-二氯-3-(甲硫基)二苯并[b,f][1,4]氧杂吖庚英(400mg,1.29mmol,94.05%收率),为棕色油状物。
步骤6:3-(4-(7-氯-3-(甲硫基)二苯并[b,f][1,4]氧杂吖庚英-11-基)哌嗪-1-基)-2,2-二甲基丙酸甲酯的合成
将7,11-二氯-3-(甲硫基)二苯并[b,f][1,4]氧杂吖庚英(400mg,1.29mmol,1eq.)、2,2-二甲基-3-哌嗪-1-基-丙酸甲酯(775mg,3.87mmol,3eq.)和TEA(652mg,6.45mmol,897.42μL,5eq.)在二噁烷(10mL)和DMSO(5mL)中的混合物在120℃在N2气氛中搅拌16hr。用水(100mL)稀释该反应混合物,用EtAOc(100mL*2)萃取。用盐水(100mL*2)洗涤合并的有机层,用Na2SO4干燥,过滤,减压浓缩,得到残余物。通过快速硅胶色谱法纯化残余物(0~15%乙酸乙酯/石油醚的洗脱液)。得到3-(4-(7-氯-3-(甲硫基)二苯并[b,f][1,4]氧杂吖庚英-11-基)哌嗪-1-基)-2,2-二甲基丙酸甲酯(200mg,421.93μmol,32.72%收率,100%纯度),为黄色油状物。LCMS Rt=1.053min,2min色谱,Xtimate C18 2.1*30mm,纯度100%,MS ESI计算值473.15[M+H]+474.15,测定值474.1.
步骤7:3-(4-(7-氯-3-(甲硫基)二苯并[b,f][1,4]氧杂吖庚英-11-基)哌嗪-1-基)-2,2-二甲基丙酸的合成
给3-(4-(7-氯-3-(甲硫基)二苯并[b,f][1,4]氧杂吖庚英-11-基)哌嗪-1-基)-2,2-二甲基丙酸甲酯(200mg,421.93μmol,1eq.)、NaOH(51mg,1.27mmol,3eq.)在MeOH(9mL)和H2O(3mL)中的混合物脱气,用N2吹扫3次,然后将该混合物在60℃在N2气氛中搅拌16hr。用HCOOH将该反应混合物酸化至pH=6,浓缩。通过制备型-HPLC纯化残余物(柱:WelchXtimate C18 150*30mm*5um;流动相:[水(0.225%FA)-ACN];B%:25%-55%,8min)。得到3-(4-(7-氯-3-(甲硫基)二苯并[b,f][1,4]氧杂吖庚英-11-基)哌嗪-1-基)-2,2-二甲基丙酸(61.3mg,133.26μmol,31.58%收率,100%纯度),为白色固体。1H NMR(CDCl3,400MHz)δH=7.19(d,J=8.0Hz,1H),7.13(d,J=1.6Hz,1H),7.09-7.01(m,4H),3.78-3.47(m,4H),2.95-2.77(m,4H),2.61(s,2H),2.52(s,3H),1.27(s,6H).HPLC Rt=4.81min,8min色谱,Ultimate 3.0*50mm 3um,纯度100%.LCMS Rt=1.025min,2min色谱,Xtimate C18 2.1*30mm,纯度100%,MS ESI计算值459.14[M+H]+460.14,测定值460.1.
实施例19. 3-(4-(3-氟-7-甲基二苯并[b,f][1,4]氧杂吖庚英-11-基)哌嗪-1-基)-2,2-二甲基丙酸(化合物编号17)
步骤1:4-氟-2-(5-甲基-2-硝基苯氧基)苯甲酸甲酯的合成
向4-氟-2-羟基苯甲酸甲酯(5g,29.39mmol,1eq.)和2-氟-4-甲基-1-硝基-苯(4.56g,29.39mmol,1eq.)在DMF(150mL)中的混合物中加入K2CO3(8.12g,58.78mmol,2eq.)。将得到的混合物在100℃搅拌16hr。用EtOAc(500mL)稀释该混合物,用盐水(400mL*3)洗涤。用Na2SO4干燥合并的有机层,浓缩,得到粗产物。将粗产物不经进一步纯化直接用于下一步。得到4-氟-2-(5-甲基-2-硝基苯氧基)苯甲酸甲酯(8.5g,27.85mmol,94.75%收率),为黄色固体。1H NMR(400MHz,DMSO-d6)δ=8.05-7.96(m,2H),7.24-7.21(m,1H),7.17(d,J=8.4Hz,1H),7.13-7.10(m,1H),6.88(s,1H),3.69(s,3H),2.33(s,3H).
步骤2:3-氟-7-甲基二苯并[b,f][1,4]氧杂吖庚英-11(10H)-酮的合成
向4-氟-2-(5-甲基-2-硝基苯氧基)苯甲酸甲酯(22g,68.38mmol,1eq.)在HOAc(220mL)中的混合物中加入Fe(22.91g,410.30mmol,6eq.)。将该混合物在120℃搅拌2hr。通过C盐垫过滤该混合物,用DCM(800mL*3)洗涤。用盐水(500mL*3)洗涤滤液。用Na2SO4干燥合并的有机层,浓缩,得到粗产物。将粗产物与EtOAc(100mL)一起研磨。得到3-氟-7-甲基二苯并[b,f][1,4]氧杂吖庚英-11(10H)-酮(16g,61.61mmol,90.10%收率),为淡黄色固体。1HNMR(400MHz,DMSO-d6)δ=10.46(s,1H),7.84-7.80(m,1H),7.29-7.26(m,1H),7.23-7.15(m,2H),7.06-6.98(m,2H),2.26(s,3H).
步骤3:11-氯-3-氟-7-甲基二苯并[b,f][1,4]氧杂吖庚英的合成
给3-氟-7-甲基二苯并[b,f][1,4]氧杂吖庚英-11(10H)-酮(300mg,1.23mmol,1eq.)在POCl3(20mL)中的混合物脱气,用N2吹扫3次,然后将该混合物在100℃在N2气氛中搅拌3hr。浓缩该反应混合物,然后用DCM(200mL)稀释残余物,用水(100mL*2)和盐水(100mL*2)洗涤。用无水Na2SO4干燥合并的有机层,过滤,减压浓缩。将粗产物不经进一步纯化用于下一步。得到11-氯-3-氟-7-甲基二苯并[b,f][1,4]氧杂吖庚英(300mg,粗),为棕色油状物。
步骤4:3-(4-(3-氟-7-甲基二苯并[b,f][1,4]氧杂吖庚英-11-基)哌嗪-1-基)-2,2-二甲基丙酸甲酯的合成
将11-氯-3-氟-7-甲基二苯并[b,f][1,4]氧杂吖庚英(300mg,1.15mmol,1eq.)、2,2-二甲基-3-哌嗪-1-基-丙酸甲酯(689mg,3.44mmol,3eq.)和TEA(580.0mg,5.73mmol,797.86μL,5eq.)在二噁烷(10mL)和DMSO(5mL)中的混合物在120℃在N2气氛中搅拌16hr。用水(100mL)稀释该反应混合物,用EtAOc(100mL*2)萃取。用盐水(100mL*2)洗涤合并的有机层,用无水Na2SO4干燥,过滤,减压浓缩。通过快速硅胶色谱法纯化残余物(0~15%乙酸乙酯/石油醚的洗脱液)。得到3-(4-(3-氟-7-甲基二苯并[b,f][1,4]氧杂吖庚英-11-基)哌嗪-1-基)-2,2-二甲基丙酸甲酯(150mg,328.73μmol,28.67%收率,93.25%纯度),为黄色油状物。LCMS Rt=0.729min,1.5min色谱,Agilent Pursit 5C18 20*2.0mm,纯度93.26%,MS ESI计算值425.21[M+H]+426.21,测定值426.1.
步骤5:3-(4-(3-氟-7-甲基二苯并[b,f][1,4]氧杂吖庚英-11-基)哌嗪-1-基)-2,2-二甲基丙酸的合成
给3-(4-(3-氟-7-甲基二苯并[b,f][1,4]氧杂吖庚英-11-基)哌嗪-1-基)-2,2-二甲基丙酸甲酯(150mg,352.53μmol,1eq.)、NaOH(14.0mg,352.53μmol,1eq.)在MeOH(10mL)和H2O(3mL)中的混合物脱气,用N2吹扫3次,然后将该混合物在60℃在N2气氛中搅拌3hr。用HCOOH将残余物酸化至pH=6,浓缩。通过制备型-HPLC纯化残余物(柱:Welch Xtimate C18150*30mm*5um;流动相:[水(0.225%FA)-ACN];B%:20%-50%,8min)。得到3-(4-(3-氟-7-甲基二苯并[b,f][1,4]氧杂吖庚英-11-基)哌嗪-1-基)-2,2-二甲基丙酸(70mg,170.12μmol,48.26%收率,100%纯度),为白色固体。1H NMR(CDCl3,400MHz)δH=7.35-7.30(m,1H),7.03(d,J=7.6Hz,1H),6.98(dd,J=2.4,8.8Hz,1H),6.96-6.88(m,3H),3.68-3.53(m,4H),2.93-2.87(m,4H),2.62(s,2H),2.30(s,3H),1.27(s,6H).HPLC Rt=4.30min,8min色谱,Ultimate 3.0*50mm 3um,纯度100%.LCMS Rt=0.920min,2min色谱,Xtimate C18 2.1*30mm,纯度100%,MS ESI计算值411.20[M+H]+412.20,测定值412.2.
实施例20. 3-(4-(7-氟-3-甲氧基二苯并[b,f][1,4]氧杂吖庚英-11-基)哌嗪-1-基)-2,2-二甲基丙酸(化合物编号21)
步骤1:3-(4-(7-氟-3-甲氧基二苯并[b,f][1,4]氧杂吖庚英-11-基)哌嗪-1-基)-2,2-二甲基丙酸甲酯的合成
向11-氯-7-氟-3-甲氧基二苯并[b,f][1,4]氧杂吖庚英(400mg,1.44mmol,1eq.)在TEA(1.46g,14.41mmol,2.01mL,10eq.)和二噁烷(10mL)中的混合物中加入2,2-二甲基-3-哌嗪-1-基-丙酸甲酯(577mg,2.88mmol,2eq.)。将该混合物在10℃搅拌10hr。用EtOAc(200mL)稀释该混合物,用盐水(200mL*3)洗涤。用Na2SO4干燥合并的有机层,浓缩,得到粗产物。通过硅胶柱色谱法纯化产物(PE:EtOAc=3:1)。得到3-(4-(7-氟-3-甲氧基二苯并[b,f][1,4]氧杂吖庚英-11-基)哌嗪-1-基)-2,2-二甲基丙酸甲酯(300mg,679.51μmol,47.17%收率,100%纯度),为黄色固体。LCMSRt=1.146min,2min色谱,Xtimate C18 2.1*30mm,纯度100.00%,MS ESI计算值441.21[M+H]+442.21,测定值442.1.
步骤2:3-(4-(7-氟-3-甲氧基二苯并[b,f][1,4]氧杂吖庚英-11-基)哌嗪-1-基)-2,2-二甲基丙酸的合成
向3-(4-(7-氟-3-甲氧基二苯并[b,f][1,4]氧杂吖庚英-11-基)哌嗪-1-基)-2,2-二甲基丙酸甲酯(300mg,679.51μmol,1eq.)在MeOH(3mL)、H2O(4mL)和THF(3mL)中的混合物中加入NaOH(54mg,1.36mmol,2eq.)。将该混合物在60℃搅拌4hr。浓缩该混合物以除去MeOH。用HCOOH将该混合物的pH调整至约5。通过滤纸过滤该混合物,将滤饼溶于CH3CN(10ml)和H2O(40ml),冻干。得到3-(4-(7-氟-3-甲氧基二苯并[b,f][1,4]氧杂吖庚英-11-基)哌嗪-1-基)-2,2-二甲基丙酸(191.0mg,446.82μmol,65.76%收率,100%纯度),为白色固体。1H NMR(DMSO-d6,400MHz)δH=7.29(d,J=8.8Hz,1H),7.13-7.07(m,1H),7.06-7.00(m,1H),6.98-6.93(m,2H),6.91-6.86(m,1H),3.81(s,3H),3.53-3.35(m,4H),2.78-2.67(m,6H),1.10(s,6H).HPLC Rt=2.59min,4min色谱,Ultimate3.0*50mm 3um,纯度99.11%.LCMS Rt=3.098min,7min色谱,Xtimate C182.1*30mm,纯度100%,MS ESI计算值427.19[M+H]+428.19,测定值428.1.
实施例21. 3-(4-(3-(二氟甲基)二苯并[b,f][1,4]氧杂吖庚英-11-基)哌嗪-1-基)-2,2-二甲基丙酸(化合物编号36)
步骤1:4-(3-乙烯基二苯并[b,f][1,4]氧杂吖庚英-11-基)哌嗪-1-甲酸叔丁酯的合成
给4-(3-溴二苯并[b,f][1,4]氧杂吖庚英-11-基)哌嗪-1-甲酸叔丁酯(2g,4.36mmol,1eq.)、氢化钾;三氟(乙烯基)硼(1.2g,8.73mmol,2eq.)、Pd(dppf)Cl2(319mg,436.35μmol,0.1eq.)、Cs2CO3(4.3g,13.09mmol,3eq.)在二噁烷(15mL)和H2O(3mL)中的混合物脱气,用N2吹扫3次,然后将该混合物在110℃在N2气氛中搅拌2hr。通过添加水(100mL)使该反应混合物淬灭,然后用EtOAc(100mL*2)萃取。用盐水(100mL*2)洗涤合并的有机层,用无水Na2SO4干燥,过滤,减压浓缩,得到残余物。通过快速硅胶色谱法纯化残余物(0-15%乙酸乙酯/石油醚的洗脱液)。得到4-(3-乙烯基二苯并[b,f][1,4]氧杂吖庚英-11-基)哌嗪-1-甲酸叔丁酯(1.37g,3.26mmol,74.73%收率,96.51%纯度),为黄色油状物。LCMS Rt=0.853min,1.5min色谱,Merk RP18e 25-3mm,纯度96.51%,MS ESI计算值405.21[M+H]+406.22,测定值406.1.
步骤2:4-(3-甲酰基二苯并[b,f][1,4]氧杂吖庚英-11-基)哌嗪-1-甲酸叔丁酯的合成
给4-(3-乙烯基二苯并[b,f][1,4]氧杂吖庚英-11-基)哌嗪-1-甲酸叔丁酯(1.37g,3.38mmol,1eq.)在MeOH(8mL)中的混合物脱气,用O3吹扫,然后将该混合物在-78℃在O3气氛搅拌0.5h中,然后向该混合物中加入Me2S(4.20g,67.57mmol,4.96mL,20eq.),将该混合物在25℃搅拌15.5hr。浓缩该反应混合物。用水(100mL)稀释残余物,然后用EtOAc(100mL*2)萃取。用盐水(100mL*2)洗涤合并的有机层。用无水Na2SO4干燥有机相,过滤,浓缩。通过快速硅胶色谱法纯化残余物(硅胶快速柱,0-20%乙酸乙酯/石油醚的洗脱液)。得到4-(3-甲酰基二苯并[b,f][1,4]氧杂吖庚英-11-基)哌嗪-1-甲酸叔丁酯(220mg,527.89μmol,15.62%收率,97.77%纯度),为黄色油状物。LCMS Rt=0.848min,1.5min色谱,MerkRP18e 25-3mm,纯度68.68%,MS ESI计算值407.18[M+H]+408.18,测定值408.1.
步骤3:4-(3-(二氟甲基)二苯并[b,f][1,4]氧杂吖庚英-11-基)哌嗪-1-甲酸叔丁酯的合成
向4-(3-甲酰基二苯并[b,f][1,4]氧杂吖庚英-11-基)哌嗪-1-甲酸叔丁酯(220mg,539.93μmol,1eq.)在DCM(5mL)中的混合物中加入DAST(261mg,1.62mmol,214.01μL,3eq.),给该混合物脱气,用N2吹扫3次,然后将该混合物在-10℃在N2气氛中搅拌16hr。通过添加饱和NaHCO3(100mL)使该反应混合物淬灭,然后用EtOAc(100mL*2)萃取。用盐水(100mL*2)洗涤合并的有机层,用无水Na2SO4干燥,过滤,减压浓缩,得到残余物。通过快速硅胶色谱法纯化残余物(硅胶快速柱,0-20%乙酸乙酯/石油醚的洗脱液)。得到4-(3-(二氟甲基)二苯并[b,f][1,4]氧杂吖庚英-11-基)哌嗪-1-甲酸叔丁酯(200mg,465.70μmol,86.25%收率,100%纯度),为黄色油状物。LCMS Rt=0.869min,1.5min色谱,MerkRP18e25-3mm,纯度100%,MS ESI计算值429.19[M+H]+430.19,测定值430.0.
步骤4:3-(二氟甲基)-11-(哌嗪-1-基)二苯并[b,f][1,4]氧杂吖庚英的合成
将4-(3-(二氟甲基)二苯并[b,f][1,4]氧杂吖庚英-11-基)哌嗪-1-甲酸叔丁酯(200mg,465.70μmol,1eq.)在HCl/二噁烷(4M,15mL)中的混合物在25℃在N2气氛中搅拌3hr。浓缩该反应混合物,得到粗产物。将粗产物不经进一步纯化用于下一步。得到3-(二氟甲基)-11-(哌嗪-1-基)二苯并[b,f][1,4]氧杂吖庚英(150mg,446.39μmol,95.85%收率,98.01%纯度),为黄色固体。LCMS Rt=0.758min,1.5min色谱,Merk RP18e 25-3mm,纯度98.10%,MS ESI计算值329.13[M+H]+330.13,测定值329.9.
步骤5:3-(4-(3-(二氟甲基)二苯并[b,f][1,4]氧杂吖庚英-11-基)哌嗪-1-基)-2,2-二甲基丙酸甲酯的合成
给3-(二氟甲基)-11-(哌嗪-1-基)二苯并[b,f][1,4]氧杂吖庚英(150mg,455.45μmol,1eq.)、2,2-二甲基-3-氧代-丙酸甲酯(593mg,4.55mmol,10eq.)、NaBH(OAc)3(483mg,2.28mmol,5eq.)和TEA(461mg,4.55mmol,633.94μL,10eq.)在DCM(10mL)中的混合物脱气,用N2吹扫3次,然后将该混合物在25℃在N2气氛中搅拌16hr。通过添加水(100mL)使该反应混合物淬灭,然后用EtOAc(100mL*2)萃取。用盐水(100mL*2)洗涤合并的有机层,用无水Na2SO4干燥,过滤,减压浓缩,得到残余物。通过快速硅胶色谱法纯化残余物(硅胶快速柱,0-20%乙酸乙酯/石油醚的洗脱液)。得到3-(4-(3-(二氟甲基)二苯并[b,f][1,4]氧杂吖庚英-11-基)哌嗪-1-基)-2,2-二甲基丙酸甲酯(200mg,450.97μmol,99.02%收率,100%纯度),为无色油状物。LCMS Rt=0.824min,1.5min色谱,Merk RP18e25-3mm,纯度100%,MS ESI计算值443.20[M+H]+444.20,测定值444.1.
步骤6:3-(4-(3-(二氟甲基)二苯并[b,f][1,4]氧杂吖庚英-11-基)哌嗪-1-基)-2,2-二甲基丙酸的合成
给3-(4-(3-(二氟甲基)二苯并[b,f][1,4]氧杂吖庚英-11-基)哌嗪-1-基)-2,2-二甲基丙酸甲酯(200mg,450.97μmol,1eq.)、NaOH(54mg,1.35mmol,3eq.)在MeOH(8mL)和H2O(3mL)中的混合物脱气,吹扫,然后将该混合物在25℃在N2气氛中搅拌16hr。浓缩该反应混合物,用HCOOH将残余物调整至pH=5。通过制备型-HPLC纯化残余物(柱:Welch XtimateC18 150*30mm*5um;流动相:[水(0.225%FA)-ACN];B%:20%-50%,8min)。得到3-(4-(3-(二氟甲基)二苯并[b,f][1,4]氧杂吖庚英-11-基)哌嗪-1-基)-2,2-二甲基丙酸(79mg,183.95μmol,40.79%收率,100%纯度),为白色固体。1H NMR(CDCl3,400MHz)δH=7.48-7.42(m 2H),7.40-7.32(m,1H),7.21-7.10(m,3H),7.09-7.03(m,1H),6.65(t,J=56.0Hz,1H),3.95-3.45(m,4H),3.06-2.89(m,4H),2.71(s,2H),1.31(s,6H).HPLC Rt=4.28min,8min色谱,Ultimate 3.0*50mm 3um,纯度100%.LCMS Rt=1.166min,2min色谱,Xtimate C182.1*30mm,纯度100%,MS ESI计算值429.19[M+H]+430.19,测定值430.3.
实施例22. 2,2-二甲基-3-(4-(7-甲基二苯并[b,f][1,4]硫杂吖庚英-11-基)哌嗪-1-基)丙酸(化合物编号37)
将3-(4-(9-氟-11H-二苯并[b,e]吖庚英-6-基)哌嗪-1-基)-2,2-二甲基丙酸甲酯(1.3g,3.17mmol,1eq.)和LiOH·H2O(666mg,15.87mmol,5eq.)在THF(12mL),MeOH(3mL)和H2O(3mL)中的混合物在25℃在N2气氛中搅拌16小时。浓缩该混合物以除去MeOH。用HCOOH将该混合物的pH调整至约4。通过制备型-HPLC纯化粗产物(柱:Xtimate C18 150*40mm*5μm;流动相:[水(0.05%HCl)-CAN];B%:1%-30%,10min),得到2,2-二甲基-3-(4-(7-甲基二苯并[b,f][1,4]硫杂吖庚英-11-基)哌嗪-1-基)丙酸(1.25g,3.16mmol,80.90%收率,100%纯度),为白色固体。1H NMR(400MHz,DMSO-d6)δH=10.92(br s,1H),7.81(s,1H),7.57-7.35(m,3H),7.34-7.21(m,3H),4.41-3.75(m,2H),3.55-3.10(m,6H),2.56-2.50(m,4H),1.33(s,6H).HPLC Rt=3.20min,8min色谱,Utimate3.0*50mm,纯度100%.LCMS Rt=0.688min,1.5min色谱,Xtimate C18 2.0*20mm,纯度100.00%,MS ESI计算值395.20[M+H]+396.20,测定值396.2.
实施例23. 2,2-二甲基-3-(4-(2-甲基-11H-二苯并[b,e]吖庚英-6-基)哌嗪-1-基)丙酸(化合物编号38)
步骤1:2-(溴甲基)-4-甲基-1-硝基苯的合成
在0℃向(5-甲基-2-硝基苯基)甲醇(8.7g,52.05mmol,1eq.)在DCM(100mL)中的混合物中加入NBS(13.89g,78.07mmol,1.5eq.)和PPh3(20.48g,78.07mmol,1.5eq.)。将得到的混合物温热至25℃,搅拌16hr。用DCM(200mL)稀释该反应混合物,用盐水(100mL)洗涤,用Na2SO4干燥,真空浓缩。通过硅胶combi快速色谱法纯化残余物(在PE中的EtOAc:0-10%)。得到2-(溴甲基)-4-甲基-1-硝基苯(10g,43.47mmol,83.52%收率),为淡黄色固体。1H NMR(CDCl3,400MHz)δH=7.99(d,J=8.0Hz,1H),7.37(s,1H),7.32-7.22(m,1H),4.84(s,2H),2.46(s,3H).
步骤2:2-(5-甲基-2-硝基苄基)苯甲酸甲酯的合成
给2-(溴甲基)-4-甲基-1-硝基苯(2.0g,8.69mmol,1eq.)、2-(4,4,5,5-四甲基-1,3,2-二氧杂环戊硼烷-2-基)苯甲酸甲酯(4.56g,17.39mmol,2eq.)、K2CO3(3.00g,21.73mmol,2.5eq.)和PdCl2(308mg,1.74mmol,0.2eq.)在丙酮(30mL)和H2O(10mL)中的混合物脱气,用N2吹扫3次。将该反应混合物在25℃搅拌16小时。用EtOAc(250mL)稀释该反应体系,通过C盐过滤,用盐水(250mL)洗涤,用Na2SO4干燥,真空浓缩。通过硅胶combi快速色谱法纯化残余物(在PE中EtOAc:0-5%)。得到2-(5-甲基-2-硝基苄基)苯甲酸甲酯(1.8g,粗),为黄色油状物。1H NMR(CDCl3,400MHz)δH=7.91(dd,J=1.2,8.0Hz,1H),7.84(d,J=8.0Hz,1H),7.40-7.35(m,1H),7.29-7.23(m,1H),7.07(d,J=8.4Hz,1H),7.02(d,J=7.6Hz,1H),6.76(s,1H),4.59(s,2H),3.72(s,3H),2.24(s,3H).
步骤3:2-甲基-5H-二苯并[b,e]吖庚英-6(11H)-酮的合成
将2-(5-甲基-2-硝基苄基)苯甲酸甲酯(1.8g,6.31mmol,1eq.)和Fe(2.11g,37.86mmol,6eq.)在AcOH(40mL)中的混合物在120℃搅拌3小时。用DCM/MeOH(200mL,10:1)稀释该反应混合物,通过C盐过滤。用盐水(100mL*3)和饱和NaHCO3水溶液(100mL*2)洗涤滤液,用Na2SO4干燥,真空浓缩。将残余物与EtOAc(10mL)一起研磨,然后过滤。真空干燥饼状物。得到2-甲基-5H-二苯并[b,e]吖庚英-6(11H)-酮(800mg,3.58mmol,56.79%收率),为白色固体。1HNMR(CDCl3,400MHz)δH=8.35(br s,1H),7.84(d,J=7.2Hz,1H),7.36(dt,J=1.2Hz,7.6Hz,1H),7.28-7.20(m,1H),7.18-7.16(m,1H),7.02(s,1H),6.97-6.81(m,2H),3.84(s,2H),2.23(s,3H).
步骤4:6-氯-2-甲基-11H-二苯并[b,e]吖庚英的合成
给2-甲基-5H-二苯并[b,e]吖庚英-6(11H)-酮(300mg,1.34mmol,1eq.)在POCl3(15mL)中的混合物脱气,用N2吹扫3次,然后将该混合物在110℃在N2气氛中搅拌5hr。浓缩该混合物,得到残余物。用DCM(10mL*2)稀释该混合物,减压浓缩,得到残余物。得到6-氯-2-甲基-11H-二苯并[b,e]吖庚英(324mg,1.34mmol,99.76%收率),为棕色固体。
步骤5:2,2-二甲基-3-(4-(2-甲基-11H-二苯并[b,e]吖庚英-6-基)哌嗪-1-基)丙酸甲酯的合成
向6-氯-2-甲基-11H-二苯并[b,e]吖庚英(324mg,1.34mmol,1eq.)在二噁烷(20mL)和TEA(1.36g,13.40mmol,1.87mL,10eq.)中的溶液中加入2,2-二甲基-3-哌嗪-1-基-丙酸甲酯(805mg,4.02mmol,3eq.)。将该混合物在110℃搅拌16hr。冷却至室温后,向该混合物中加入水(40mL),用EtOAc(40mLx 3)萃取水层。用盐水(40mL)洗涤合并的有机相,用无水Na2SO4干燥,过滤,减压浓缩。通过快速硅胶色谱法纯化残余物(0-94%乙酸乙酯/石油醚的洗脱液)。得到2,2-二甲基-3-(4-(2-甲基-11H-二苯并[b,e]吖庚英-6-基)哌嗪-1-基)丙酸甲酯(65mg,128.23μmol,9.57%收率,80%纯度),为黄色油状物。LCMS Rt=0.685min,1.5min色谱,Xtimate C18 2.0*20mm,纯度80.00%,MS ESI计算值405.24[M+H]+406.24,测定值406.1
步骤6:2,2-二甲基-3-(4-(2-甲基-11H-二苯并[b,e]吖庚英-6-基)哌嗪-1-基)丙酸的合成
向2,2-二甲基-3-(4-(2-甲基-11H-二苯并[b,e]吖庚英-6-基)哌嗪-1-基)丙酸甲酯(65mg,128.23μmol,80%纯度,1eq.)在THF(8mL)、H2O(2mL)和MeOH(2mL)中的溶液中加入LiOH·H2O(27mg,641.13μmol,5eq.)。将该混合物在25℃搅拌16hr,得到黄色混合物。浓缩该反应混合物,得到残余物,用HCOOH酸化至pH为5。通过制备型-HPLC(柱:3_PhenomenexLuna C18 75*30mm*3μm;流动相:[水(0.05%HCl)-ACN];B%:5%-35%,6.5min)纯化残余物。得到2,2-二甲基-3-(4-(2-甲基-11H-二苯并[b,e]吖庚英-6-基)哌嗪-1-基)丙酸(10.1mg,25.11μmol,19.58%收率,97.34%纯度),为白色固体。1H NMR(DMSO-d6,400MHz)δH=10.78(brs,1H),7.69-7.08(m,7H),4.30-4.10(m,2H),3.83(d,J=12.8Hz,1H),3.70-3.50(m,9H),2.27(s,3H),1.32(s,6H).HPLC Rt=3.43min,8min色谱,Utimate 3.0*50mm,纯度97.34%.LCMS Rt=0.639min,1.5min色谱,Xtimate C18 2.0*20mm,纯度98.98%,MSESI计算值391.23[M+H]+392.23,测定值392.1.
实施例24. 3-(4-(1-氟二苯并[b,f][1,4]氧杂吖庚英-11-基)哌嗪-1-基)-2,2-二甲基丙酸(化合物编号39)
步骤1:2,6-二氟苯甲酰氯的合成
将2,6-二氟苯甲酸(3g,18.98mmol,1eq.)在SOCl2(30mL)中的溶液在80℃在N2气氛中搅拌2小时。减压浓缩该反应混合物。将粗产物不经纯化直接用于下一步。得到2,6-二氟苯甲酰氯(3g,21.79mmol,99.27%收率,86.03%纯度),为淡黄色油状物。
步骤3:2,6-二氟-N-(2-羟基苯基)苯甲酰胺的合成
在0℃向2-氨基苯酚(2.41g,22.09mmol,1.3eq.)和TEA(5.16g,50.98mmol,7.10mL,3eq.)在THF(20mL)中的溶液中加入2,6-二氟苯甲酰氯(3g,16.99mmol,2.14mL,1eq.)在THF(20mL)中的溶液。将该混合物温热至25℃,搅拌12小时。用EtOAc(200mL)稀释该反应体系,用H2O(200mL x 3)洗涤。用NH4Cl(200mL x 3)洗涤该混合物。用Na2SO4干燥合并的有机层,过滤,浓缩至干。将粗产物与PE/EtOAc(5:1,200mL)一起研磨。得到2,6-二氟-N-(2-羟基苯基)苯甲酰胺(3.97g,15.93mmol,93.75%收率,92.63%纯度),为棕色固体。1HNMR(DMSO-d6,400MHz)δH=9.96(s,1H),9.81(s,1H),7.85(dd,J=1.6,8.0Hz,1H),7.55-7.52(m,1H),7.23-7.14(m,2H),7.06-6.76(m,3H).
步骤3:7-氟-5H-苯并[b][1,4]苯并氧杂吖庚英-6-酮的合成
向2,6-二氟-N-(2-羟基苯基)苯甲酰胺(1.5g,6.02mmol,1eq.)在DMSO(15mL)中的混合物中加入NaOH(482mg,12.05mmol,2eq.)。将该混合物在120℃搅拌2小时。用H2O(100mL)使该混合物淬灭,用DCM(200mL)稀释,用盐水(100mL x 3)洗涤。用Na2SO4干燥合并的有机层,浓缩。将该反应混合物不经纯化直接用于下一步。得到7-氟-5H-苯并[b][1,4]苯并氧杂吖庚英-6-酮(1.7g,粗),为棕色固体。1H NMR(DMSO-d6,400MHz)δH=7.67-7.57(m,1H),7.50(d,J=6.4Hz,1H),7.39-7.28(m,1H),7.27-7.12(m,4H),7.12-7.05(m,1H).
步骤4:6-氯-7-氟-苯并[b][1,4]苯并氧杂吖庚英的合成
给7-氟-5H-苯并[b][1,4]苯并氧杂吖庚英-6-酮(1.7g,7.42mmol,1eq.)在POCl3(64.6g,421.31mmol,39.15mL,56.80eq.)中的混合物脱气,用N2吹扫3次,然后将该混合物在110℃在N2气氛中搅拌5hr。用DCM(300mL)稀释残余物,用H2O(100mL x 2)洗涤。用无水Na2SO4干燥合并的有机层,过滤,减压浓缩。得到6-氯-7-氟-苯并[b][1,4]苯并氧杂吖庚英(1.6g,6.46mmol,87.11%收率),为棕黑色固体。
步骤5:3-[4-(7-氟苯并[b][1,4]苯并氧杂吖庚英-6-基)哌嗪-1-基]-2,2-二甲基-丙酸甲酯的合成
将6-氯-7-氟-苯并[b][1,4]苯并氧杂吖庚英(1.6g,6.46mmol,1eq.)在TEA(17.45g,172.43mmol,24mL,26.69eq.)和二噁烷(15mL)和DMSO(5mL)中的混合物添加2,2-二甲基-3-哌嗪-1-基-丙酸甲酯(2.59g,12.92mmol,2eq.)。将该混合物在110℃搅拌12小时。用EtOAc(200mL)稀释该反应混合物,用盐水(200mL x3)洗涤。用Na2SO4干燥合并的有机层,过滤,浓缩至干。通过快速硅胶色谱法纯化粗产物,洗脱液为0-5%EtOAc/PE。得到3-[4-(7-氟苯并[b][1,4]苯并氧杂吖庚英-6-基)哌嗪-1-基]-2,2-二甲基-丙酸甲酯(597mg,1.40mmol,21.68%收率,96.556%纯度),为红色油状物。1H NMR(DMSO-d6,400MHz)δH=7.59-7.55(m,1H),7.25-7.12(m,3H),7.07-6.90(m,3H),4.01(q,J=7.2Hz,1H),2.50(s,6H),2.48-2.39(m,4H),1.97(s,2H),1.10(s,6H).
步骤6:3-[4-(7-氟苯并[b][1,4]苯并氧杂吖庚英-6-基)哌嗪-1-基]-2,2-二甲基-丙酸的合成
向3-[4-(7-氟苯并[b][1,4]苯并氧杂吖庚英-6-基)哌嗪-1-基]-2,2-二甲基-丙酸甲酯(597mg,1.45mmol,1eq.)在THF(8mL)、MeOH(2mL)和H2O(2mL)中的溶液中加入LiOH·H2O(305mg,7.27mmol,5.01eq.)。将该混合物在25℃搅拌12小时。浓缩该混合物以除去MeOH。用HCOOH将该混合物的pH调整至约5。通过制备型-HPLC(柱:3_Phenomenex Luna C1875*30mm*3μm;流动相:[水(0.05%HCl)-ACN];B%:5%-35%,6.5min)纯化产物。得到3-[4-(7-氟苯并[b][1,4]苯并氧杂吖庚英-6-基)哌嗪-1-基]-2,2-二甲基-丙酸(380.6mg,954.75μmol,65.80%收率,99.7%纯度),为白色固体。1H NMR(DMSO-d6,400MHz)δH=7.76-7.62(m,1H),7.32(d,J=8.4Hz,1H),7.29-7.22(m,2H),7.18-7.10(m,2H),7.09-7.02(m,1H),3.47-3.30(m,6H),2.51-2.51(m,4H),1.30(d,J=2.4Hz,6H)。HPLC Rt=3.78min,8min色谱,Utimate 3.0*50mm,纯度99.70%。LCMS Rt=0.741min,4min色谱,Xtimate C18 2.1*30mm,纯度99.817%,MS ESI计算值397.18[M+H]+398.18,测定值398.2。
实施例25.H1和5-HT2A结合测定方案
利用本文所述的测定法测定本公开化合物的生物活性。
表A.用于实施例25的试剂
| 靶标 | 宿主细胞 | 膜的来源 | 放射性配体 |
| 5-HT<sub>2A</sub> | HEK293 | 稳定细胞系 | [3H]酮色林 |
| H1 | HEK293 | 稳定细胞系 | [3H]吡拉明 |
制备Tris碱的1M储备溶液(Sigma,目录号:T1503-1KG)并且将pH调整至7.4。
表B.测定缓冲液和洗涤缓冲液
| 靶标 | 测定缓冲液 | 洗涤缓冲液 |
| 5-HT2A | 50mMTris-HCl,pH7.4 | 50mMTris-HCl,pH7.4 |
| H1 | 50mMTris-HCl,pH7.4 | 50mMTris-HCl,pH7.4 |
表C.参比化合物信息
| 靶标 | 参比化合物 |
| 5-HT<sub>2A</sub> | 酮色林 |
| H1 | 吡拉明 |
膜制备和配体制备
表D.使用测定缓冲液稀释膜和放射性配体
化合物制备
将测试化合物用DMSO稀释,从2mM开始,进行8个点和5倍连续稀释。用DMSO稀释酮色林和吡拉明,从0.2mM开始,8个点和5倍连续稀释。
测定方法
将1μl本公开的化合物和任一参比化合物(表C)转移至测定板。根据用于非特异性结合的板图谱(低对照:LC),将1μl 0.2mM酮色林或吡拉明转移到测定板中。根据用于总结合(高对照:HC)的板图谱,将1μl DMSO转移至测定板。
根据板图谱,将100μl膜储备液分配到板中。加入100μl放射性配体。将板密封并在室温下以300rpm振荡1小时。将Unifilter-96GF/C滤板用每孔50μl0.3%PEI在室温下浸泡至少0.5小时。
当结合测定完成时,使用Perkin Elmer Filtermate Harvester将反应混合物过滤通过GF/C板,然后将每个板用冷洗涤缓冲液洗涤4次。将滤板在50度下干燥1小时。干燥后,使用Perkin Elmer Unifilter-96背衬密封带密封过滤板孔的底部。加入50μl PerkinElmer Microscint 20混合物。过滤板的顶部用Perkin Elmer TopSeal-A密封膜密封。
使用Perkin Elmer MicroBeta2读数器计数捕获在过滤器上的3H。使用以下等式计算抑制常数:
使用Prism 5分析数据。使用的模型是“log(抑制剂)与响应--可变斜率”以拟合数据并计算IC50。然后使用以下等式将IC50转化为Ki:Ki=IC50/(1+L/Kd)。L是反应体系中的放射性配体浓度;Kd是放射性配体对受体的亲和力。
本公开化合物的测量Ki值示于下表E和表F中(“*”意指≥1且≤25nM;“**”意指≥25且≤50nM;“***”意指≥50nM)。
表E
表F
实施例26.H1和5-HT2A结合的比较
通过与3-(4-(11H-二苯并[b,e]吖庚英-6-基)哌嗪-1-基)-2-甲基丙酸(即化合物A-1)比较Ki值,评估化合物编号8的H1和5-HT2A结合活性。如表G中所示,化合物编号8具有比3-(4-(11H-二苯并[b,e]吖庚英-6-基)哌嗪-1-基)-2-甲基丙酸更高的H1和5-HT2A亲和力。
表G.H1和5-HT2AKi值的比较
| 化合物 | H1 K<sub>i</sub>(nM) | 5-HT<sub>2A</sub>K<sub>i</sub>(nM) |
| 化合物编号8 | 46 | 87 |
| A-1 | 104 | 1,376 |
实施例27. 5-HT2C结合测定方案
利用本文所述的测定法测定本公开化合物的生物活性。
表H.用于实施例27的试剂
制备1M tris碱储备溶液并且调整至pH 7.4。
表I.测定缓冲液和洗涤缓冲液
表J.参比化合物信息
| 靶标 | 参比化合物 |
| 5-HT<sub>2C</sub> | SB-206553 |
膜和配备制备
表K.使用测定缓冲液稀释膜和放射性配体
化合物制备
将测试化合物用DMSO稀释,从2mM开始,进行8个点和5倍连续稀释。
用DMSO稀释SB-206553,从0.2mM开始,进行8个点和4倍连续稀释。
测定方法
将1μL本公开的化合物、参比化合物(表J)转移至测定板。根据用于非特异性结合(低对照:LC)的板图谱,将1μL的0.2mM SB-206533转移至测定板。根据用于总结合(高对照:HC)的板图谱,将1μL DMSO转移至测定板。
在室温下,将Unifilter-96GF/C滤板用每孔50μL 0.3%PEI浸泡约0.5小时。当结合测定完成时,使用Perkin Elmer Filtermate Harvester将反应混合物过滤通过GF/C滤板,并将每个板用冷洗涤缓冲液洗涤4次。将滤板在50℃下干燥1小时。干燥后,使用PerkinElmer Unifilter-96背衬密封带密封滤板孔的底部。加入50μL Perkin Elmer Microscint20混合物。过滤板的顶部用Perkin Elmer TopSeal-A密封膜密封。
使用Perkin Elmer MicroBeta 2读数器计数捕获在过滤器上的3H。使用以下等式计算抑制常数:
使用Prism 5分析数据。使用的模型是“log(抑制剂)与响应--可变斜率”以拟合数据并计算IC50。然后使用以下等式将IC50转化为Ki:Ki=IC50/(1+L/Kd),其中L是反应体系中的放射性配体浓度;Kd是放射性配体对受体的亲和力。
本公开化合物的测量的Ki值显示在下表1中(“*”意指≤100nM;“**”意指>100且≤500nM;“***”意指>500nM)。
表L
| 化合物编号 | 5HT<sub>2C</sub> K<sub>i</sub>(nM) |
| 1 | *** |
| 6 | *** |
| 7 | *** |
| 8 | *** |
| 28 | ** |
| 29 | * |
| 31 | * |
| 33 | * |
| 34 | * |
| 35 | ** |
| 37 | *** |
| 38 | * |
| 39 | * |
实施例28. 5-HT2C和D2结合的比较
5-HT2C结合测定方案
通过与下列化合物比较Ki值,评估化合物编号7的5-HT2C结合活性:3-(4-(2,8-二甲基二苯并[b,f][1,4]氧杂吖庚英-11-基)哌嗪-1-基)-2,2-二甲基丙酸(即化合物A-2)、3-(4-(2,7-二甲基二苯并[b,f][1,4]氧杂吖庚英-11-基)哌嗪-1-基)-2,2-二甲基丙酸(即化合物A-3)、3-(4-(3,8-二甲基二苯并[b,f][1,4]氧杂吖庚英-11-基)哌嗪-1-基)-2,2-二甲基丙酸(即化合物A-4)和3-(4-(二苯并[b,f][1,4]氧杂吖庚英-11-基)哌嗪-1-基)-2,2-二甲基丙酸(即化合物A-5)。如表Q中所示,当与化合物A-2、A-3、A-4和A-5相比时,化合物编号7对5-HT2C具有较低的亲和力。
D2结合测定方案
利用本文所述的测定法测定本公开化合物的生物活性。
表M.用于D2结合测定方案的试剂
| 靶标 | 宿主细胞 | 膜的来源 | 放射性配体 |
| D2L | HEK293 | WuXi,Cat#PE-NET1169250UC | [3H]7-OH-DPAT |
表N.测定缓冲液和洗涤缓冲液
| 靶标 | 测定缓冲液 | 洗涤缓冲液 |
| D2L | 50mM Tris-HCl,pH7.4 | 50mM Tris-HCl,pH7.4 |
表O.参比化合物信息
| 靶标 | 参比化合物 |
| D2 | 10μM氟哌利多 |
表P.使用测定缓冲液稀释膜和放射性配体
化合物制备
将测试化合物用DMSO稀释,从2 mM开始,进行8个点和5倍连续稀释。用DMSO稀释氟哌利多,从0.2 mM开始,进行8个点和4倍连续稀释。
测定方法
将1μL本公开化合物和参比化合物(表O)转移至测定板。根据用于非特异性结合(低对照:LC)的板图谱,将1μL氟哌利多转移到测定板中。根据用于总结合(高对照:HC)的板图谱,将1μL DMSO转移至测定板。在板图谱之后,将100μL膜储备溶液和放射性配体加入板中。将板密封并以300rpm振荡。
在室温下,将Unifilter-96GF/C滤板用每孔50μL 0.3%PEI浸泡约0.5小时。当结合测定完成时,使用Perkin Elmer Filtermate Harvester将反应混合物过滤通过GF/B滤板,并将每个板用冷洗涤缓冲液洗涤4次。将滤板在50℃下干燥1小时。干燥后,使用PerkinElmer Unifilter-96背衬密封带密封滤板孔的底部。加入50μL Perkin Elmer Microscint20合剂。过滤板的顶部用Perkin Elmer TopSeal-A密封膜密封。
用Perkin Elmer MicroBeta 2读数器计数捕获在过滤器上的3H。使用以下等式计算抑制常数:
使用Prism 5分析数据。使用的模型是“log(抑制剂)与响应--可变斜率”以拟合数据并计算IC50。然后使用以下等式将IC50转化为Ki:Ki=IC50/(1+L/Kd),其中L是反应体系中的放射性配体浓度;Kd是放射性配体对受体的亲和力。如表Q所示,当与化合物A-2、A-3、A-4和A-5相比时,化合物编号7对D2具有较低的亲和力。
表Q.5-HT2C和D2 Ki值的比较
| 化合物 | 5-HT<sub>2C</sub>K<sub>i</sub>(nM) | D2 K<sub>i</sub>(nM) |
| 化合物编号7 | 2,220 | >50,000 |
| A-2 | 265 | 60 |
| A-3 | 125 | 152 |
| A-4 | 772 | 1,902 |
| A-5 | 680 | 2,874 |
实施例29.人体清除率和半衰期估算
估算的人清除率(CL)和人中的半衰期显示在下表R中。使用由猴清除率缩放的单个物种的异速生长缩放方法来估算清除率。从动物Vd估算人分布体积(Vd),针对血浆蛋白结合的差异进行调整并假设物种间的未结合Vd相似。使用T1/2=0.693x(估算的Vd/估算的CL)的关系,基于单室模型计算人半衰期(T1/2)。
表R
实施例30.用于确定睡眠连续性、觉醒次数和睡眠深度的实验细节和方法
处理细节图(参见例如图1-10)描绘了在CT-18处理(关灯后6小时)之前和之后±30小时的处理前和处理后时间序列图或在CT-5处理(关灯后5小时)之前29小时和之后31小时的处理前和处理后时间序列图。在图的横坐标上的三角形标记的小时开始时进行处理。以每小时仓(hourly bin)计算变量。
将所有数据绘制为组平均值±SEM(参见例如图1-10)。灰色阴影区域涵盖媒介物处理平均值±SEM。沿x轴,除非另有说明,否则用三角形标记治疗时间。沿着x轴,亮/暗条指示灯开/关。
动物准备-大鼠
向成年雄性Wistar大鼠(手术时约270g,Charles River Laboratories)施用右美托咪定(Dexmedetomidine)25μg/kg并麻醉(在95/5氧气中的2%异氟烷,以起作用)并用允许长期脑电图(EEG)和肌电图(EMG)记录的颅骨植入物进行手术准备。在植入颅部时的相同麻醉事件期间,通过手术在腹部中放置微型发射器(Minimitter Series PDT4000E-Mitter,Bend,Oreg.),通过其监测体温和运动活动。颅骨植入物由用于EEG记录的微型不锈钢螺钉(2个额部[距前囟+3.9AP,±2.0mL],2个枕部[-6.4AP,±5.5mL],和1个底部(ground),矢状放置且在lamda之后)组成。将两根特氟隆涂覆的多股不锈钢丝定位在颈部梯形肌(nuchal trapezoid muscle)下用于EMG记录。将所有引线焊接到微型连接器(Omnetics,Minneapolis,MN)并在手术前用环氧乙烷气体灭菌。通过EEG记录螺钉、施加在气密密封的植入物连接器和颅骨之间的氰基丙烯酸酯和UV固化牙科丙烯酸的组合将植入物组件固定到颅骨。在手术前1天和手术后2天每天施用镇痛剂(美洛昔康1mg/kg IP)。将具有利多卡因的新孢菌素(Neosporin)局部应用于移植物周围边缘。在任何数据收集之前,允许手术恢复至少三周。
记录环境
将大鼠单独圈养在特别改进的笼中,所述笼配备有定制的超低扭矩滑环换向器和定制的聚碳酸酯笼顶。这些笼子位于改进的不锈钢动物架的架子上,所述动物架预先连线用于生理和行为数据收集。食物和水可随意获得,环境温度为22±1℃。在整个研究过程中使用LED照明条保持24小时光-暗循环(LD 12:12)。在笼子内的中等水平处,光强度平均为35勒克斯。相对湿度平均约为50%。在每次处理之前和之后,动物不受干扰两天。
自动数据收集
使用SCORETM-测定睡眠和觉醒,一种基于Linux和Windows-10的实时计算机睡眠-唤醒和生理监测系统。先前已经描述了啮齿动物中SCORETM睡眠阶段识别算法的验证以及该系统在临床前药物发现和评估中的实用性(Edgar等人Psychopharmacology 1991,105,374;Gilmour等人,Neuropharmacology2012,64,224;McCarthy等人,2016,Neuropharmacology 108,415;Olive等人,J.Pharmacology&Experimental Therapeutics1998 285,1073;Phillips et al,Neuropharmacology 2012,62,1359;Seidel等人JPharmacology&Experimental Therapeutics 1995,275,263;Van Gelder等人Sleep 1991,14,48)。对于本文所述的研究,系统监测放大的EEG(×10,000,带通0.7-30Hz;初始数字化速率400Hz[Grass Corp.,Quincy,MA]),放大的EMG(×10,000-20,000,带通10-100Hz,并使用均方根(RMS)积分每10秒量化。取样遥测体温,并计数非特异性运动活动(LMA)事件,并每分钟将数值数字化。使用跨越最少48个特征维度的EEG周期和幅度特征提取、集成EMG阈值标准和排序成员算法,每10秒将唤醒状态在线分类为NREM睡眠、REM睡眠、觉醒或θ主导的觉醒。单独教导的EEG觉醒状态模板和EMG标准区分每只动物的觉醒状态。将LMA自动记录为每分钟计数,并每分钟记录体温。通过笼子下方的定制遥测接收器(ER4000,Minmitter,Bend,Oreg.)在水平和垂直平面两者中检测LMA。
遥测测量(LMA和体温)不是SCORE觉醒状态确定算法的一部分;因此,睡眠评分和遥测数据是同时但独立的测量。除了频繁在线检查EEG和EMG信号之外,数据的质量控制由具有最少4年经验的专家分析人员、使用专有的一套质量保证和分析程序(SCOREviewTM,Hypnion,Inc.,Lexington,MA,如Eli Lilly和Company,Windlesham,Surrey UK,和Alairion,Inc.,Cambridge MA进一步改进)来确保,其允许使用图形和统计评估的组合,在(i)原始EEG和EMG信号的个体视觉检查,(ii)个体每小时平均时间序列,和(iii)组平均时间序列的水平上灵活地仔细检查所有变量的数据质量。集成的关系数据库用每个单独治疗的数据质量控制决策更新,并且该数据库控制这些数据的所有后续使用。完整的数字化原始EEG、EMG和生理数据被永久地存档用于所有治疗。
治疗和药物制备
描述了每种化合物的药物剂量、施用途径和施用时间,并且在数据示例中是可变的。在适用的情况下,(i)将甲基纤维素媒介物制备为甲基纤维素的无菌0.25%溶液(15厘泊,Sigma,St.Louis,MO.,USA),以1或2ml/kg口服(PO)递送,或(ii)制备2-羟丙基-β-环糊精20%(2HPβCD,Sigma,St.Louis,Mo.,USA)并以2ml/kg口服递送。
使用分析天平(d=0.01mg)称重药物。使用无菌2mL毛玻璃研杵和研钵将化合物与媒介物混合直至完全溶解或充分悬浮,然后转移到无菌真空采血管(红顶)中。将溶液充分搅拌,然后立即吸入注射器中。口服管饲给药(PO)通常为1或2ml/kg的体积。为了给予治疗,将每只大鼠从其笼子中取出约60秒以称重和治疗(居住笼是SCORETM系统中的记录笼)。注意,与动物必须首先适应特殊记录室的情况不同,该程序不会导致先前的睡眠损失。该实验中的大鼠永久生活在记录室内的“居住笼”中。先前的睡眠丧失(例如其他研究者通常使用的“适应”)显著影响对药物的睡眠-觉醒反应的测量。
研究设计
SCORE数据的标准记录持续时间在治疗前后不少于30小时。30小时治疗前基线记录本身之前是至少24小时,其中动物在居住/记录笼中不受干扰。将大鼠随机分配到平行组中的治疗。一些大鼠接受多于一次的积极治疗,在这种情况下,在每次治疗之间经过至少7天的“清除”。
统计分析
使用应用于每小时分箱数据的事后斯氏T-检验,筛选药物与媒介物之间的统计学显著差异,并针对重复测量进行调整。
实施例31.增加的睡眠连续性/巩固、减少的觉醒次数和增加的睡眠深度睡眠连续性/巩固
在CT-18时将化合物8施用于雄性Wistar大鼠(熄灯后6小时,治疗时间由横坐标上的三角形表示,图1),并且通过每小时的平均睡眠回合持续时间来测量增加的睡眠连续性。平均睡眠回合持续时间计算为个体动物每小时开始的所有睡眠回合的平均持续时间,绘制为群体(N=9)治疗前(基线)和治疗后30小时的每小时平均值±SEM。与甲基纤维素媒介物对照的差异用星号表示。横坐标上指示24小时明-暗循环(LD 12:12)(图1)。化合物8产生睡眠巩固的增加,如每小时睡眠回合-长度的增加所例示,其比在媒介物对照动物中观察到的效果高约4倍。
觉醒次数减少
化合物8在CT-5施用于雄性Wistar大鼠(开灯后5小时,治疗时间由横坐标上的三角形表示,图2),并减少了觉醒次数,如通过从睡眠到觉醒的转变次数所测量。将从睡眠到觉醒的转变次数绘制为治疗前(基线)和治疗后30小时的群体(N=11)每小时平均值±SEM。与甲基纤维素媒介物对照的差异用星号表示。横坐标上指示24小时明-暗循环(LD 12:12)(图2)。化合物8产生觉醒的减少,这通过相对于对照、治疗后每小时从睡眠到觉醒的转变次数减少高达50%来证明。
在非REM睡眠期间通过EEGδ功率测量的增加的睡眠深度
在CT-18将化合物8施用于雄性Wistar大鼠(关灯后6小时,用横坐标上的三角形表示治疗时间,图3),并记录非REM睡眠中EEG慢波活动的增加,如通过每小时非REM睡眠期间归一化的(相对于基线的百分比变化)EEGδ功率所测量。在该实施例中将归一化的EEGδ功率(在0.5-4.0Hz的频率下EEG中的功率,使用傅里叶分析计算)绘制为治疗前(基线)和治疗后30小时的群体(N=10)每小时平均值±SEM。与甲基纤维素媒介物对照的差异用星号表示。横坐标上指示24小时明-暗循环(LD 12:12)(图3)。EEGδ功率(慢波活动)的增加与觉醒阈值值的升高一致,这与化合物减少睡眠碎片化的能力相关。
累积总睡眠时间
在CT-18以30mg/kg向雄性Wistar大鼠施用化合物8(关灯后6小时,在横坐标上的时间=0时递送治疗;图4),并且根据先前描述的方法(Olive等人,JPharmacology&ExperimentalTherapeutics,1998,285:1073-1083),每小时计算总睡眠时间(NREM+REM睡眠)相对于24小时前基线的变化,作为每只动物治疗后30小时的每一个小时的累积总和。将数据绘制为处理后30小时期间的群体(N=12)每小时平均值±SEM。与甲基纤维素媒介物对照(N=15)的差异用星号表示。化合物8使总睡眠时间累积增加为70-分钟。
实施例32.增加的睡眠连续性/巩固、减少的觉醒次数和增加的睡眠深度增加的睡眠连续性/巩固
在CT-18时将化合物7施用于雄性Wistar大鼠(熄灯后6小时,治疗时间由横坐标上的三角形指示,图5),并且通过每小时平均睡眠回合持续时间来测量增加的睡眠连续性。平均睡眠回合持续时间计算为个体动物每小时开始的所有睡眠回合的平均持续时间,绘制为治疗前(基线)和治疗后30小时的群体(N=10)每小时平均值±SEM。与甲基纤维素媒介物对照的差异用星号表示。横坐标上指示24小时明-暗循环(LD 12:12)(图5)。化合物7产生睡眠巩固的增加,如每小时睡眠回合-长度的增加所例示,其比在媒介物对照动物中观察到的效果高约3-4倍。
觉醒次数减少
化合物7在CT-5施用于雄性Wistar大鼠(开灯后5小时,治疗时间由横坐标上的三角形表示,图6),并减少了觉醒次数,如通过从睡眠到觉醒的转变次数所测量的。将从睡眠到觉醒的转变次数绘制为治疗前(基线)和治疗后30小时的群体(N=8)每小时平均值±SEM。与甲基纤维素媒介物对照的差异用星号表示。横坐标上指示24小时明-暗循环(LD 12:12)(图6)。化合物7产生觉醒的减少,这通过相对于对照、治疗后每小时从睡眠到觉醒的转变次数减少高达40-50%来证明。
在非REM睡眠期间通过EEGδ功率测量的增加的睡眠深度
在CT-18时将化合物7给予雄性Wistar大鼠(关灯后6小时,用横坐标上的三角形表示治疗时间;图7)。记录非REM睡眠中EEG慢波活动的增加,如通过每小时非REM睡眠期间归一化的(相对于基线的百分比变化)EEGδ功率所测量。在该实施例中将归一化的EEGδ功率(在0.5-4.0Hz频率下EEG中的功率,使用傅里叶分析计算)绘制为治疗前(基线)和治疗后30小时的群体(N=10)每小时平均值±SEM。与甲基纤维素媒介物对照的差异用星号表示。横坐标上指示24小时明-暗循环(LD 12:12)(图7)。EEGδ功率(慢波活动)的增加与觉醒阈值的升高一致,这与化合物减少睡眠碎片化的能力相关。
实施例33.增加的睡眠连续性/巩固、减少的觉醒次数和增加的睡眠深度睡眠连续性/巩固
在CT-18时将化合物15施用于雄性Wistar大鼠(熄灯后6小时,治疗时间由横坐标上的三角形表示,图8),并且通过每小时的平均睡眠回合持续时间来测量增加的睡眠连续性。平均睡眠回合持续时间计算为个体动物每小时开始的所有睡眠回合的平均持续时间,绘制为治疗前(基线)和治疗后30小时的群体(N=11)每小时平均值±SEM。星号表示与20%HPβCD载体对照的差异。横坐标上指示24小时明-暗循环(LD 12:12)(图8)。化合物15产生睡眠巩固的增加,如每小时睡眠回合-长度的增加所例示,其比在媒介物对照动物中观察到的效果高约3倍。
觉醒次数减少
在CT-5将化合物15施用于雄性Wistar大鼠(开灯后5小时,处理时间由横坐标上的三角形表示,图9),并减少了觉醒次数,如通过从睡眠到觉醒的转变次数所测量。将从睡眠到觉醒的转变次数绘制为治疗前(基线)和治疗后30小时的群体(N=10)每小时平均值±SEM。星号表示与20%HPβCD载体对照的差异。横坐标上指示24小时明-暗循环(LD 12:12)(图9)。化合物15产生觉醒的减少,通过相对于对照、治疗后每小时从睡眠到觉醒的转变次数减少约30%来证明。在非REM睡眠期间通过EEGδ功率测量的增加的睡眠深度
在CT-18时将化合物15施用于雄性Wistar大鼠(关灯后6小时,用横坐标上的三角形表示治疗时间,图10),并记录非REM睡眠中EEG慢波活动的增加,如通过每小时非REM睡眠期间归一化的(相对于基线的百分比变化)EEGδ功率所测量。在该实施例中将归一化的EEGδ功率(在0.5-4.0Hz频率下EEG中的功率,使用傅里叶分析计算)绘制为治疗前(基线)和治疗后30小时的群体(N=11)每小时平均值±SEM。星号表示与20%HPβCD载体对照的差异。横坐标上指示24小时明-暗循环(LD 12:12)(图10)。EEGδ功率(慢波活动)的增加与觉醒阈值的升高一致,这与化合物减少睡眠碎片化的能力有关。
等效方案
本公开的一个或多个实施方案的细节在上文所附描述中阐述。尽管与本文描述的那些相似或等效的任何方法和材料可以用于本公开的实施或测试,但现在描述的是优选的方法。本公开的其他特征、目的和优点从本说明书和权利要求中变得明显。在本说明书和所附权利要求中,单数形式包括复数指示物,除非上下文另有明确规定。除非另有定义,否则,本文使用的所有技术和科学术语与本公开所属领域的普通技术人员通常理解的含义相同。本说明书中引用的所有专利和出版物均通过引用并入。
上述描述仅出于示例的目的而呈现,并不旨在将本公开限制为所公开的精确形式,而是由所附权利要求限定。
Claims (34)
1.式(I)的化合物:
或其前药、溶剂化物或药学上可接受的盐,其中:
R1为C1-C6烷基、C2-C6烯基、C2-C6炔基、C1-C6卤代烷基、C1-C6烷氧基或C3-C6环烷基;
R2为C1-C6烷基、C2-C6烯基、C2-C6炔基、C1-C6卤代烷基、C1-C6烷氧基或C3-C6环烷基;或
R1和R2与它们所连接的原子一起形成C3-C6饱和或部分不饱和环烷基或包含1-5个选自N、O和S的杂原子的3-至14-元饱和或部分不饱和杂环;
R3为H、卤素、–S(C1-C6烷基)、–N(C1-C6烷基)2、–NH(C1-C6烷基)、–NH2、C1-C6烷基、C2-C6烯基、C2-C6炔基、C1-C6卤代烷基、C1-C6烷氧基、C1-C6卤代烷氧基或C3-C6环烷基;
R4为H、卤素、–S(C1-C6烷基)、–N(C1-C6烷基)2、–NH(C1-C6烷基)、–NH2、C1-C6烷基、C2-C6烯基、C2-C6炔基、C1-C6卤代烷基、C1-C6烷氧基、C1-C6卤代烷氧基或C3-C6环烷基;
R5为H、卤素、–S(C1-C6烷基)、–N(C1-C6烷基)2、–NH(C1-C6烷基)、–NH2、C1-C6烷基、C2-C6烯基、C2-C6炔基、C1-C6卤代烷基、C1-C6烷氧基、C1-C6卤代烷氧基或C3-C6环烷基;
R6为H、卤素、–S(C1-C6烷基)、–N(C1-C6烷基)2、–NH(C1-C6烷基)、–NH2、C1-C6烷基、C2-C6烯基、C2-C6炔基、C1-C6卤代烷基、C1-C6烷氧基、C1-C6卤代烷氧基或C3-C6环烷基;
R7为H、氘、C1-C6烷基、C2-C6烯基或C2-C6炔基;
R8为H、氘、C1-C6烷基、C2-C6烯基或C2-C6炔基;且
R9为H、C1-C6烷基、C2-C6烯基、C2-C6炔基、C1-C6卤代烷基或C3-C6环烷基,
条件是R3、R4、R5和R6的至少一个为H。
2.式(II)的化合物:
或其前药、溶剂化物或药学上可接受的盐,其中:
X为CR7R8、O、S或NR7;
R1为C1-C6烷基、C2-C6烯基、C2-C6炔基、C1-C6卤代烷基、C1-C6烷氧基或C3-C6环烷基;
R2为C1-C6烷基、C2-C6烯基、C2-C6炔基、C1-C6卤代烷基、C1-C6烷氧基或C3-C6环烷基;或
R1和R2与它们所连接的原子一起形成C3-C6饱和或部分不饱和环烷基或包含1-5个选自N、O和S的杂原子的3-至14-元饱和或部分不饱和杂环;
R3为H、卤素、–S(C1-C6烷基)、–N(C1-C6烷基)2、–NH(C1-C6烷基)、–NH2、C1-C6烷基、C2-C6烯基、C2-C6炔基、C1-C6卤代烷基、C1-C6烷氧基、C1-C6卤代烷氧基或C3-C6环烷基;
R4为H、卤素、–S(C1-C6烷基)、–N(C1-C6烷基)2、–NH(C1-C6烷基)、–NH2、C1-C6烷基、C2-C6烯基、C2-C6炔基、C1-C6卤代烷基、C1-C6烷氧基、C1-C6卤代烷氧基或C3-C6环烷基;
R5为H、卤素、–S(C1-C6烷基)、–N(C1-C6烷基)2、–NH(C1-C6烷基)、–NH2、C1-C6烷基、C2-C6烯基、C2-C6炔基、C1-C6卤代烷基、C1-C6烷氧基、C1-C6卤代烷氧基或C3-C6环烷基;
R6为H、卤素、–S(C1-C6烷基)、–N(C1-C6烷基)2、–NH(C1-C6烷基)、–NH2、C1-C6烷基、C2-C6烯基、C2-C6炔基、C1-C6卤代烷基、C1-C6烷氧基、C1-C6卤代烷氧基或C3-C6环烷基;
R7为H、氘、C1-C6烷基、C2-C6烯基或C2-C6炔基;
R8为H、氘、C1-C6烷基、C2-C6烯基或C2-C6炔基;且
R9为H、C1-C6烷基、C2-C6烯基、C2-C6炔基、C1-C6卤代烷基或C3-C6环烷基,
条件是:
(a)当R5为H时,X为CR7R8或S;
(b)当R5卤素且R4为H时,R3不为甲基、甲氧基或Br,且X为CR7R8或S;且
(c)当R5为甲氧基或甲基时,R4不为H。
3.式(II’)的化合物:
或其前药、溶剂化物或药学上可接受的盐,其中:
X为CR7R8、O、S或NR7;
R1为C1-C6烷基、C2-C6烯基、C2-C6炔基、C1-C6卤代烷基、C1-C6烷氧基或C3-C6环烷基;
R2为C1-C6烷基、C2-C6烯基、C2-C6炔基、C1-C6卤代烷基、C1-C6烷氧基或C3-C6环烷基;或
R1和R2与它们所连接的原子一起形成C3-C6饱和或部分不饱和环烷基或包含1-5个选自N、O和S的杂原子的3-至14-元饱和或部分不饱和杂环;
R3为H、卤素、–S(C1-C6烷基)、–N(C1-C6烷基)2、–NH(C1-C6烷基)、–NH2、C1-C6烷基、C2-C6烯基、C2-C6炔基、C1-C6卤代烷基、C1-C6烷氧基、C1-C6卤代烷氧基或C3-C6环烷基;
R4为H、卤素、–S(C1-C6烷基)、–N(C1-C6烷基)2、–NH(C1-C6烷基)、–NH2、C1-C6烷基、C2-C6烯基、C2-C6炔基、C1-C6卤代烷基、C1-C6烷氧基、C1-C6卤代烷氧基或C3-C6环烷基;
R5为H、卤素、–S(C1-C6烷基)、–N(C1-C6烷基)2、–NH(C1-C6烷基)、–NH2、C1-C6烷基、C2-C6烯基、C2-C6炔基、C1-C6卤代烷基、C1-C6烷氧基、C1-C6卤代烷氧基或C3-C6环烷基;
R6为H、卤素、–S(C1-C6烷基)、–N(C1-C6烷基)2、–NH(C1-C6烷基)、–NH2、C1-C6烷基、C2-C6烯基、C2-C6炔基、C1-C6卤代烷基、C1-C6烷氧基、C1-C6卤代烷氧基或C3-C6环烷基;
R7为H、氘、C1-C6烷基、C2-C6烯基或C2-C6炔基;
R8为H、氘、C1-C6烷基、C2-C6烯基或C2-C6炔基;
R9为H、C1-C6烷基、C2-C6烯基、C2-C6炔基、C1-C6卤代烷基或C3-C6环烷基;且
R10为H或卤素,
条件是:
(a)(i)当R5为H时,X为CR7R8或S或(ii)当R5为H且X为O时,R10为卤素;
(b)当R5为卤素、R4为H时,R3不为甲基、甲氧基或Br,且X为CR7R8或S;且
(c)当R5为甲氧基或甲基时,R4不为H。
4.权利要求2的化合物,其中X为O或CR7R8。
5.上述权利要求任一项的化合物,其中R1为C1-C6烷基。
6.上述权利要求任一项的化合物,其中R2为C1-C6烷基。
7.上述权利要求任一项的化合物,其中R1和R2与它们所连接的原子一起形成包含1-5个选自N、O和S的杂原子的C3-C6饱和或部分不饱和环烷基或3-至14-元饱和或部分不饱和杂环。
8.上述权利要求任一项的化合物,其中R3为H、卤素、C1-C6烷基或C1-C6烷氧基。
9.上述权利要求任一项的化合物,其中R4为H、卤素、C1-C6烷基或C1-C6卤代烷基。
10.上述权利要求任一项的化合物,其中R5为H、卤素、C1-C6烷基、C1-C6烷氧基、S(C1-C6烷基)或C1-C6卤代烷基。
11.上述权利要求任一项的化合物,其中R6为H、C1-C6烷基或C1-C6烷氧基。
12.上述权利要求任一项的化合物,其中R7为H。
13.上述权利要求任一项的化合物,其中R8为H。
14.上述权利要求任一项的化合物,其中R9为H。
15.上述权利要求任一项的化合物,其中R10为F。
21.权利要求1-20任一项的化合物,其选自化合物编号1-39、其前药和药学上可接受的盐。
22.可通过本文所述的方法得到或通过该方法得到的化合物;任选地,该方法包含方案1-3中所述的一个或多个步骤。
23.药物组合物,包含权利要求1-22任一项的化合物或其药学上可接受的盐和药学上可接受的稀释剂或载体。
24.权利要求23的药物组合物,其中所述化合物选自化合物编号1-36。
25.缓解受试者睡眠障碍症状、治疗或预防睡眠障碍的方法,通过向有此需要的受试者施用权利要求1-22任一项的化合物或权利要求23或24的药物组合物来进行。
26.权利要求1-22任一项的化合物或权利要求23或24的药物组合物,用于缓解睡眠障碍症状、治疗或预防睡眠障碍。
27.权利要求1-22任一项的化合物或权利要求23或24的药物组合物在制备用于缓解睡眠障碍症状、治疗或预防睡眠障碍的药物中的用途。
28.权利要求1-22任一项的化合物或权利要求23或24的药物组合物用于缓解睡眠障碍症状、治疗或预防睡眠障碍的药物的用途。
29.权利要求25-28任一项的方法、化合物、药物组合物或用途,其中所述睡眠障碍为增加的睡眠碎片化。
30.权利要求25-28任一项的方法、化合物、药物组合物或用途,其中所述化合物为H1/5-HT2A受体调节剂。
31.权利要求25-28任一项的方法、化合物、药物组合物或用途,其中所述睡眠障碍由如下导致或与如下共存:睡眠呼吸暂停、不宁腿综合征、高呼吸紊乱指数(RDI)、神经系统疾病、昼夜节律障碍、疼痛、周期性腿运动障碍(PLMD)、REM行为障碍、老年碎片化睡眠、与年龄相关的睡眠碎片化、绝经后睡眠障碍、物质滥用、物质滥用戒断、发作性睡眠、精神障碍、对疼痛的敏感性增加、心血管疾病、高血压、非恢复性睡眠、中风、代谢紊乱或认知缺损。
32.权利要求31的方法、化合物、药物组合物或用途,其中所述睡眠呼吸暂停是由于与升高的呼吸事件相关觉醒(RERA)相关的高呼吸紊乱指数(RDI)导致的阻塞性睡眠呼吸暂停,有或没有伴随性呼吸暂停、呼吸不足或急性血红蛋白去饱和。
33.权利要求25-32任一项的方法、化合物、药物组合物或用途,其中将所述化合物与另一种活性剂联合施用。
34.权利要求25-33任一项的方法、化合物、药物组合物或用途,其中将所述化合物和如果存在的任何另一种活性剂在临睡前、睡前(就寝时)或就寝前约0-4小时之间施用。
Applications Claiming Priority (5)
| Application Number | Priority Date | Filing Date | Title |
|---|---|---|---|
| US201962923762P | 2019-10-21 | 2019-10-21 | |
| US62/923,762 | 2019-10-21 | ||
| US202063002096P | 2020-03-30 | 2020-03-30 | |
| US63/002,096 | 2020-03-30 | ||
| PCT/US2020/056520 WO2021080997A1 (en) | 2019-10-21 | 2020-10-20 | 3-(4-(11h-dibenzo[b,e][1,4]azepin-6-yl)piperazin-1-yl)- and 3-(4-(dibenzo[b,f][1,4]oxazepin/thiazepin/diazepin-11-yl)piperazin-1-yl)-propano ic acid derivatives as h1 and 5-ht2a-receptor modulators for the treatment of sleep disorders |
Publications (2)
| Publication Number | Publication Date |
|---|---|
| CN114929688A true CN114929688A (zh) | 2022-08-19 |
| CN114929688B CN114929688B (zh) | 2024-11-01 |
Family
ID=73543319
Family Applications (1)
| Application Number | Title | Priority Date | Filing Date |
|---|---|---|---|
| CN202080089997.6A Active CN114929688B (zh) | 2019-10-21 | 2020-10-20 | 作为H1和5-HT2A-受体调节剂、用于治疗睡眠障碍的3-(4-(11H-二苯并[b,e][1,4]吖庚英-6-基)哌嗪-1-基)-和3-(4-(二苯并[b,f][1,4]氧杂吖庚英/硫杂吖庚英/二吖庚英-11-基)哌嗪-1-基)-丙酸衍生物 |
Country Status (11)
| Country | Link |
|---|---|
| US (1) | US11046651B2 (zh) |
| EP (1) | EP4048667B1 (zh) |
| JP (1) | JP7696354B2 (zh) |
| KR (1) | KR20220084369A (zh) |
| CN (1) | CN114929688B (zh) |
| AU (1) | AU2020370063B2 (zh) |
| BR (1) | BR112022007503A2 (zh) |
| CA (1) | CA3154630A1 (zh) |
| IL (1) | IL292370B2 (zh) |
| MX (1) | MX2022004736A (zh) |
| WO (1) | WO2021080997A1 (zh) |
Citations (6)
| Publication number | Priority date | Publication date | Assignee | Title |
|---|---|---|---|---|
| EP0447857A1 (en) * | 1990-03-05 | 1991-09-25 | Hokuriku Pharmaceutical Co., Ltd. | A polycyclic compound, method for preparing the same, and pharmaceutical composition comprising the same |
| JPH05345765A (ja) * | 1992-04-16 | 1993-12-27 | Hokuriku Seiyaku Co Ltd | ジベンズアゼピン誘導体 |
| US20060063754A1 (en) * | 2004-09-21 | 2006-03-23 | Edgar Dale M | Methods of treating a sleep disorder |
| US20060094705A1 (en) * | 2004-10-29 | 2006-05-04 | Dale Edgar | Quetiapine analogs and methods of use thereof |
| CN1909909A (zh) * | 2004-01-16 | 2007-02-07 | 弗·哈夫曼-拉罗切有限公司 | 作为5-羟色胺受体(5-ht)调节剂用于治疗中枢神经系统疾病的1-苄基-5-哌嗪-1-基-3,4二氢-1h-喹唑啉-2-酮衍生物和各个1h-苯并(1,2,6)噻二嗪-2,2-二氧化物和1,4-二氢-苯并(d)(1,3) 噁嗪-2-酮衍生物 |
| US20120129834A1 (en) * | 2010-09-17 | 2012-05-24 | Buck Institute For Research On Aging | Serotonin receptor antagonists for use in the treatment of huntington's disease |
Family Cites Families (24)
| Publication number | Priority date | Publication date | Assignee | Title |
|---|---|---|---|---|
| US4522811A (en) | 1982-07-08 | 1985-06-11 | Syntex (U.S.A.) Inc. | Serial injection of muramyldipeptides and liposomes enhances the anti-infective activity of muramyldipeptides |
| JPH03184963A (ja) | 1989-12-13 | 1991-08-12 | Hokuriku Seiyaku Co Ltd | ジベンズオキサゼピン誘導体 |
| JPH05163245A (ja) | 1991-12-13 | 1993-06-29 | Hokuriku Seiyaku Co Ltd | ジベンズアゼピン誘導体 |
| US5763263A (en) | 1995-11-27 | 1998-06-09 | Dehlinger; Peter J. | Method and apparatus for producing position addressable combinatorial libraries |
| JP2005529840A (ja) | 2001-10-16 | 2005-10-06 | ヒプニオン, インコーポレイテッド | Cns標的モジュレータを使用するcns障害の治療 |
| JP2005539076A (ja) | 2002-09-18 | 2005-12-22 | エフ エム シー コーポレーション | 殺虫用三環式誘導体 |
| JP2006510697A (ja) | 2002-12-20 | 2006-03-30 | ビーエーエスエフ アクチェンゲゼルシャフト | 殺虫性ジベンゾ(ヘテロ)アゼピン誘導体 |
| CA2550735A1 (en) | 2003-12-22 | 2005-07-14 | Acadia Pharmaceuticals Inc. | Amino substituted diaryl[a,d]cycloheptene analogs as muscarinic agonists and methods of treatment of neuropsychiatric disorders |
| WO2008021463A2 (en) | 2006-08-15 | 2008-02-21 | Acadia Pharmaceuticals, Inc. | Amino substituted diaryl[a,d]cycloheptene analogs as muscarinic agonists and methods of treatment of neuropsychiatric disorders |
| ES2378452T3 (es) | 2004-09-21 | 2012-04-12 | Hypnion, Inc. | �?cido 3-[4-(dibenzo[b,f][1,4]oxazepin-11-il)-piperazin-1-il]-2,2¿dimetil-propanoico para usarlo en el tratamiento de trastornos del sueño |
| MX2007009797A (es) | 2005-02-14 | 2007-11-06 | Combinatorx Inc | Compuestos y sus usos. |
| WO2006107948A2 (en) | 2005-04-04 | 2006-10-12 | Acadia Pharmaceuticals Inc. | Use of n-desmethylclozapine and related compounds as dopamine stabilizing agents |
| US7807828B2 (en) * | 2005-08-11 | 2010-10-05 | Hypnion, Inc. | Olanzapine analogs and methods of use thereof |
| EP1937614A1 (en) | 2005-10-17 | 2008-07-02 | Arcadia Pharmaceuticals Inc. | Iron catalyzed cross-coupling reactions of imidoyl derivatives |
| US20080090805A1 (en) | 2005-10-17 | 2008-04-17 | Acadia Pharmaceuticals Inc. | Cb-1 modulating compounds and their use |
| US20070105819A1 (en) | 2005-10-17 | 2007-05-10 | Roger Olsson | CB-1 modulating compounds and their use |
| WO2007053618A1 (en) | 2005-10-31 | 2007-05-10 | Acadia Pharmaceuticals Inc. | Prodrugs of muscarinic agonists and methods of treatment of neuropsychiatric disorders |
| WO2008118141A2 (en) | 2006-10-17 | 2008-10-02 | Acadia Pharmaceuticals Inc. | Use of cannabinoid modulating compounds in combination with other therapeutic compounds for adjunctive therapy |
| CN101878042B (zh) | 2007-11-28 | 2013-06-19 | 尼克塔治疗公司 | 低聚物-三环共轭物 |
| AR084867A1 (es) * | 2011-02-07 | 2013-07-10 | Lilly Co Eli | Compuestos de acido [(5h-pirrolo[2,1-c][1,4]benzodiazepin-11-il)piperazin-1-il]-2,2-dimetilpropanoico sustituido como antagonistas de 5-ht/agonistas inversos de actividad dual |
| SI2751115T1 (sl) * | 2011-08-30 | 2017-11-30 | Eli Lilly And Company | SPOJINE (TIENO(2,3-b)(1,5)BENZOKSAZEPIN-4-IL)PIPERAZIN-1-OLA KOT DVOJNO AKTIVNI H1 INVERZNI AGONISTI/5-HT2A ANTAGONISTI |
| WO2014116684A1 (en) | 2013-01-22 | 2014-07-31 | Edward Roberts | Non-peptidic neuropeptide y receptor modulators |
| EP3449918A1 (en) | 2017-09-01 | 2019-03-06 | Technische Universität Dortmund | Bmp-mimetics |
| US20210275696A1 (en) | 2018-06-21 | 2021-09-09 | National Institutes For Quantum And Radiological Science And Technology | Novel compound binding to designer receptor, imaging method for designer receptor, agonist or antagonist, therapeutic agent, companion diagnostic agent, and imaging method for nerve cell |
-
2020
- 2020-10-20 MX MX2022004736A patent/MX2022004736A/es unknown
- 2020-10-20 IL IL292370A patent/IL292370B2/en unknown
- 2020-10-20 BR BR112022007503A patent/BR112022007503A2/pt not_active Application Discontinuation
- 2020-10-20 KR KR1020227016683A patent/KR20220084369A/ko not_active Ceased
- 2020-10-20 US US17/075,468 patent/US11046651B2/en active Active
- 2020-10-20 WO PCT/US2020/056520 patent/WO2021080997A1/en not_active Ceased
- 2020-10-20 EP EP20811472.8A patent/EP4048667B1/en active Active
- 2020-10-20 CA CA3154630A patent/CA3154630A1/en active Pending
- 2020-10-20 AU AU2020370063A patent/AU2020370063B2/en active Active
- 2020-10-20 CN CN202080089997.6A patent/CN114929688B/zh active Active
- 2020-10-20 JP JP2022550652A patent/JP7696354B2/ja active Active
Patent Citations (6)
| Publication number | Priority date | Publication date | Assignee | Title |
|---|---|---|---|---|
| EP0447857A1 (en) * | 1990-03-05 | 1991-09-25 | Hokuriku Pharmaceutical Co., Ltd. | A polycyclic compound, method for preparing the same, and pharmaceutical composition comprising the same |
| JPH05345765A (ja) * | 1992-04-16 | 1993-12-27 | Hokuriku Seiyaku Co Ltd | ジベンズアゼピン誘導体 |
| CN1909909A (zh) * | 2004-01-16 | 2007-02-07 | 弗·哈夫曼-拉罗切有限公司 | 作为5-羟色胺受体(5-ht)调节剂用于治疗中枢神经系统疾病的1-苄基-5-哌嗪-1-基-3,4二氢-1h-喹唑啉-2-酮衍生物和各个1h-苯并(1,2,6)噻二嗪-2,2-二氧化物和1,4-二氢-苯并(d)(1,3) 噁嗪-2-酮衍生物 |
| US20060063754A1 (en) * | 2004-09-21 | 2006-03-23 | Edgar Dale M | Methods of treating a sleep disorder |
| US20060094705A1 (en) * | 2004-10-29 | 2006-05-04 | Dale Edgar | Quetiapine analogs and methods of use thereof |
| US20120129834A1 (en) * | 2010-09-17 | 2012-05-24 | Buck Institute For Research On Aging | Serotonin receptor antagonists for use in the treatment of huntington's disease |
Non-Patent Citations (1)
| Title |
|---|
| H MURAMATSU等: "[Studies on zwitter-ionization of drugs. III. Synthesis and pharmacological activities of N-alkylcarboxylic acid derivatives of 1, 2, 3, 4, 10, 14b-Hexahydrodibenzo[c, f]-pyrazino[1, 2-a]azepine and 2, 3, 4, 9-tetrahydro-1H-dibenzo[3, 4: 6, 7]cyclohepta[1, 2-c]pyridine].", YAKUGAKU ZASSHI, vol. 112, no. 7, pages 479 - 488 * |
Also Published As
| Publication number | Publication date |
|---|---|
| JP2023501000A (ja) | 2023-01-17 |
| IL292370A (en) | 2022-06-01 |
| US11046651B2 (en) | 2021-06-29 |
| CA3154630A1 (en) | 2021-04-29 |
| KR20220084369A (ko) | 2022-06-21 |
| MX2022004736A (es) | 2022-07-27 |
| WO2021080997A1 (en) | 2021-04-29 |
| US20210114989A1 (en) | 2021-04-22 |
| JP7696354B2 (ja) | 2025-06-20 |
| AU2020370063B2 (en) | 2025-10-23 |
| IL292370B1 (en) | 2025-02-01 |
| EP4048667A1 (en) | 2022-08-31 |
| EP4048667B1 (en) | 2024-07-03 |
| EP4048667C0 (en) | 2024-07-03 |
| CN114929688B (zh) | 2024-11-01 |
| BR112022007503A2 (pt) | 2022-07-12 |
| IL292370B2 (en) | 2025-06-01 |
| AU2020370063A1 (en) | 2022-06-02 |
Similar Documents
| Publication | Publication Date | Title |
|---|---|---|
| JP4054369B2 (ja) | オルト置換アリールまたはヘテロアリールアミド化合物 | |
| AU638096B2 (en) | Novel benzimidazole and azabenzimidazole derivatives which are thromboxane receptor antagonists, their methods of preparation, synthesis intermediates and pharmaceutical compositions in which they are present | |
| JP2023540344A (ja) | 二環式複素環誘導体およびオレキシン-2受容体アゴニストとしてのそれらの使用 | |
| CN113321654A (zh) | 作为激酶抑制剂的稠合吡啶酮类化合物 | |
| JP5419355B2 (ja) | 選択的な5ht2aアンタゴニストとしての置換されたビスアリールおよびヘテロアリール化合物 | |
| JP6531093B2 (ja) | 含窒素複素環化合物 | |
| WO2017038838A1 (ja) | 新規なピラゾロ[3,4-d]ピリミジン化合物又はその塩 | |
| JP2007530656A (ja) | ORL1受容体拮抗薬としてのαアリールまたはヘテロアリールメチルβピペリジノプロパンアミド化合物 | |
| JPH0940607A (ja) | 新規芳香族化合物、その製造方法、製造の中間体および前記化合物を含有する苦痛緩和治療用医薬組成物 | |
| IL304090B1 (en) | Process for making tapinaroof | |
| JP2004505070A (ja) | カルボキサミド化合物およびそれらのヒト11cby受容体アンタゴニストとしての使用 | |
| CN108834412A (zh) | 嘧啶及其变体、及其用途 | |
| TWI429631B (zh) | 甘胺酸轉運體-1抑制劑 | |
| KR101606184B1 (ko) | 파킨슨병을 치료하기 위한 엔유알알-1 활성자로서 인돌 유도체의 용도 | |
| CN114641466B (zh) | 磺酰脲衍生物及其用途 | |
| WO2020067455A1 (ja) | 複素環化合物 | |
| CN114929688B (zh) | 作为H1和5-HT2A-受体调节剂、用于治疗睡眠障碍的3-(4-(11H-二苯并[b,e][1,4]吖庚英-6-基)哌嗪-1-基)-和3-(4-(二苯并[b,f][1,4]氧杂吖庚英/硫杂吖庚英/二吖庚英-11-基)哌嗪-1-基)-丙酸衍生物 | |
| TW202535389A (zh) | Ptpn2/ptp1b降解劑及其治療方法 | |
| CN111548313A (zh) | 预防和治疗慢性疼痛药物的胍类化合物 | |
| CN107428682B (zh) | 酰胺类衍生物、其制备方法及其在医药上的用途 | |
| JP5057982B2 (ja) | ヒスタミンh3受容体阻害剤、製造及び治療的使用 | |
| CN103958466B (zh) | 作为crth2拮抗剂的含氮并环化合物 | |
| TW201206910A (en) | Substituted N-heterocycloalkyl bipyrrolidinylphenyl amide derivatives, preparation and therapeutic use thereof | |
| CN117304182A (zh) | 一类具有嘧啶并六元环结构的化合物、包含其的药物组合物及其应用 | |
| WO2017067527A1 (zh) | 一种苯并双环化合物或其药学上可接受的盐、药物组合物及其应用 |
Legal Events
| Date | Code | Title | Description |
|---|---|---|---|
| PB01 | Publication | ||
| PB01 | Publication | ||
| SE01 | Entry into force of request for substantive examination | ||
| SE01 | Entry into force of request for substantive examination | ||
| GR01 | Patent grant | ||
| GR01 | Patent grant |





























































































































































































