CN114903648B - 一种基于eso和模型预测控制的双激素人工胰腺控制器 - Google Patents
一种基于eso和模型预测控制的双激素人工胰腺控制器 Download PDFInfo
- Publication number
- CN114903648B CN114903648B CN202210500896.4A CN202210500896A CN114903648B CN 114903648 B CN114903648 B CN 114903648B CN 202210500896 A CN202210500896 A CN 202210500896A CN 114903648 B CN114903648 B CN 114903648B
- Authority
- CN
- China
- Prior art keywords
- model
- blood glucose
- eso
- switching
- predictive control
- Prior art date
- Legal status (The legal status is an assumption and is not a legal conclusion. Google has not performed a legal analysis and makes no representation as to the accuracy of the status listed.)
- Active
Links
Images
Classifications
-
- A—HUMAN NECESSITIES
- A61—MEDICAL OR VETERINARY SCIENCE; HYGIENE
- A61F—FILTERS IMPLANTABLE INTO BLOOD VESSELS; PROSTHESES; DEVICES PROVIDING PATENCY TO, OR PREVENTING COLLAPSING OF, TUBULAR STRUCTURES OF THE BODY, e.g. STENTS; ORTHOPAEDIC, NURSING OR CONTRACEPTIVE DEVICES; FOMENTATION; TREATMENT OR PROTECTION OF EYES OR EARS; BANDAGES, DRESSINGS OR ABSORBENT PADS; FIRST-AID KITS
- A61F2/00—Filters implantable into blood vessels; Prostheses, i.e. artificial substitutes or replacements for parts of the body; Appliances for connecting them with the body; Devices providing patency to, or preventing collapsing of, tubular structures of the body, e.g. stents
- A61F2/02—Prostheses implantable into the body
- A61F2/022—Artificial gland structures using bioreactors
Landscapes
- Health & Medical Sciences (AREA)
- Transplantation (AREA)
- Cardiology (AREA)
- Oral & Maxillofacial Surgery (AREA)
- Engineering & Computer Science (AREA)
- Biomedical Technology (AREA)
- Heart & Thoracic Surgery (AREA)
- Vascular Medicine (AREA)
- Life Sciences & Earth Sciences (AREA)
- Animal Behavior & Ethology (AREA)
- General Health & Medical Sciences (AREA)
- Public Health (AREA)
- Veterinary Medicine (AREA)
- External Artificial Organs (AREA)
Abstract
本发明公开了一种基于ESO和模型预测控制的双激素人工胰腺控制器,包括基于ESO的误差估计与切换控制模块、胰岛素输注模型预测控制模块,胰高血糖素输注模型预测控制模块;基于ESO的误差估计与切换控制模块是使用ESO进行对人体血糖代谢简化模型的总扰动的估计,通过模型迭代完成预测过程,基于预测结果完成切换规则的建立。本发明采用上述的一种基于ESO和模型预测控制的双激素人工胰腺控制器,使用辅助ESO对系统建模过程中的未知扰动部分进行估计,从而完成对于下一时刻系统状态的预测,使用预测结果完成切换模型的建立实现双激素模式的转换,同时通过模型预测控制算法完成核心胰岛素‑胰高血糖素控制器的设计,实现了对糖尿病患者血糖水平的有效控制。
Description
技术领域
本发明涉及人工胰腺的开发与测试技术领域,尤其是涉及一种基于扩展状态观测器(Extended State Observer,ESO)和模型预测控制的双激素人工胰腺控制器。
背景技术
糖尿病,主要是指因胰岛素绝对或者相对分泌不足或胰岛素使用障碍引起的糖类、蛋白质等物质代谢紊乱的疾病,是导致心脑血管疾病、截肢、失明、肾功能衰竭甚至是导致死亡的重要疾病之一,通常主要标志为高血糖。就目前的统计数据来看,糖尿病对整个社会都产生巨大了的影响,是当今世界人类社会必须去面对和解决的重要健康问题之一。根据世界卫生组织的统计数据,目前我国糖尿病成人的患病率几乎要达到12%,居世界首位。我国几乎成为全世界拥有糖尿病患者人数最多的国家。因此,研究开发、完善优化适合我国糖尿病患者的先进治疗技术,具有现实意义。
人工胰腺系统作为当代社会有效治疗糖尿病的方式之一,目前已经得到了各国学者的广泛关注。对于人工胰腺的研究,国外的相关研究开始较早,目前已有部分团队进入临床试验或达到上市阶段,比如哈佛大学人工胰腺研究团队所开发的人工胰腺系统,该人工胰腺系统目前已经进入临床试验阶段;美国美敦力公司在2017年推出了完整的人工胰腺系统:Medtronic MiniMedTM 670G系统。该人工胰腺系统主要采用的是PID控制。2016年9月,美国食品药品监督管理局(FDA)通过了美敦力公司上市前最后的审批,这是首个上市的人工胰腺装置,这套人工胰腺系统目前已进入商业化阶段,也令广大糖尿病患者看到了糖尿病有效治疗的未来。
在复杂的人体内环境中,血糖水平的平衡与稳定往往取决于多种激素的共同作用,单激素的人工胰腺控制系统,往往容易拥有致人体于危险情况的隐患,双激素人工胰腺控制器则可以有效避免这一弊端。
一方面,双激素人工胰腺控制器更加真实的模拟人体胰腺的正常工作状态,具有胰岛素-胰高血糖素的双激素控制模式,在血糖状态高于正常水平时胰岛素输注起主导作用,在可能发生低血糖现象时及时干预,关停胰岛素输注,激活胰高糖素输注模式,达到升高血糖避免低血糖风险,有效控制血糖状态相对稳定。
另一方面,从技术方法研究上说,使用扩展状态观测器和模型预测控制的双激素人工胰腺控制器,在设计实现的过程中,可有效利用扩展状态观测器(ESO)对系统建模过程中的未知扰动部分进行估计,同时建立基于预测信息的切换规则,实现胰岛素与胰高糖素输注的智能切换,进一步提升控制性能。因此研究基于扩展状态观测器和模型预测控制的双激素人工胰腺控制器具有重要意义。
发明内容
本发明的目的是提供一种基于ESO和模型预测控制的双激素人工胰腺控制器,使用辅助扩展状态观测器对系统建模过程中的未知扰动部分进行估计,从而完成对于下一时刻系统状态的预测,使用预测结果完成切换模型的建立实现双激素模式的转换,同时通过模型预测控制算法完成核心胰岛素-胰高血糖素控制器的设计,实现有效可靠的双激素人体血糖水平控制。
为实现上述目的,本发明提供了一种基于ESO和模型预测控制的双激素人工胰腺控制器,包括基于ESO的误差估计与切换控制模块、胰岛素输注模型预测控制模块,胰高血糖素输注模型预测控制模块;
基于ESO的误差估计与切换控制模块是使用ESO进行对人体血糖代谢简化模型的总扰动的估计,通过模型迭代完成预测过程,基于预测结果完成切换规则的建立;通过切换模型将已有系统分为胰岛素输注模式和胰高血糖素输注模式两种方式,其中胰岛素输注模式为该控制器主要控制模式,胰高血糖素输注模式为辅,用以有效规避风险。
胰岛素输注模型预测控制模块是使用控制量胰岛素完成对于血糖高于或处于正常水平状态时的控制调节部分,为该控制器主要控制模式。
胰高血糖素输注模型预测控制模块是使用控制量胰高血糖素完成对于血糖低于正常水平状态的控制调节,主要用于避免低血糖危险情况的发生。
优选的,所述基于ESO的误差估计与切换控制模块包括人体血糖模型ESO误差估计部分、模型迭代预测部分、双激素模型切换控制部分;
所述人体血糖模型ESO误差估计部分为考虑人体血糖代谢整个过程的复杂性,建立以血糖浓度和血糖浓度变化率为主要变量的近似模型描述系统:
系统输入为时间间隔T的离散CGM人体血糖数据,对上述模型进行以T为周期的离散化;
考虑到系统建模时未知扰动部分的存在,使用离散ESO对系统未知总扰动部分进行估计,从而获得下一时刻系统的状态模型;定义x1=G,将系统中的不确定的总扰动定义为扩展的状态变量x3,其离散ESO模型则可以表示为:
其中令:
ei=z1,i-yi
z1,i+1=z1,i+T(z2,i-β1*ei)
z2,i+1=z2,i+T(z3,i-β2*f1,i)+bu
z3,i+1=z3,i+T(-β3*f2,i)
则可以计算出总干扰的观测值z3,完成对系统扰动的估计。
优选的,所述模型迭代预测部分,使用所计算出的总干扰观测值作为系统总干扰部分的估计,根据当前血糖浓度和血糖浓度变化率即可得到当前血糖代谢模型,使用该模型进行4次模型迭代即可预测之后4个时间周期血糖数据预测值;之后进入再下一时刻预测估计;循环往复,周而复始,从而完成整个过程的实时预测过程。
优选的,所述双激素模型切换控制部分,根据上述实时预测的结果作为切换模型切换判断依据,建立切换规则:
其中,θL为低血糖风险发生值,切换标准为规避低血糖情况的发生;NN表示为胰岛素输注模式,AN表示为胰高血糖素输注模式,为从而完成不同输注模式的转换;
根据切换模型控制器将进入不同输注模式,模型预测控制所使用人体血糖数学模型由人体血糖代谢房室模型简化整合得到;其基本状态空间如下:
xi+1=Axi+BIuI,i+BGuG,i
yi=Cxi
其中BI、BG为不同激素输注系数,在不同输注模式下二者均不同时不为0,保证控制器激素输注量不发生相互抵消的作用。
优选的,所述胰岛素输注模型预测控制模块包括胰岛素输注模型预测控制律设计部分、模型预测控制约束条件建立部分、使用二次规划的方法进行控制量的最优化求解部分;
所述胰岛素输注模型预测控制律设计部分为简化控制器设计,不考虑人体血糖代谢方式模型中胰岛素与胰高血糖素存在同时作用的复杂情况,在胰岛素输注模式下将胰高血糖素控制量系数为0,仅使用胰岛素-血糖代谢模型确定系统状态空间方程,同时,在模型中使用离散ESO进行对于总扰动的估计,并在状态空间模型中进行补偿,设计目标函数具有以下形式:
其中:
其约束为:
x0=xi
优选的,所述模型预测控制约束条件建立部分,根据胰岛素实际物理意义及安全性考虑,在基本模型预测控制器约束条件的基础上,控制量uI还应该满足最大值约束,非负值约束,以及体内残余活性胰岛素(IOB)约束。
优选的,使用二次规划的方法进行控制量的最优化求解部分,将该模型预测控制问题转换为凸二次规划问题进行最优化求解,将原有公式中的 转化为四个独立的变量uI,k +、uI,k -、yk +、yk -,并令uI,k=uI,k +-uI,k -、yk=yk +-yk -,且uI,k +、uI,k -、yk +、yk -均为非负数;并将原有模型预测问题改写为矩阵向量形式从而完成程序的实现,得到可以控制血糖数据处于正常水平的胰岛素输注剂量。
优选的,所述胰高血糖素输注模型预测控制模块与胰岛素输注模式控制器具有相同的设计过程;同样包括胰高血糖素输注模型预测控制律设计部分、模型预测控制约束条件建立部分、使用二次规划的方法进行控制量的最优化求解部分;
所述胰高血糖素输注模型预测控制律设计部分,为简化控制器设计,在胰高血糖素输注模式下将胰岛素控制量系数为0,仅使用胰高血糖素-血糖代谢模型确定系统状态空间方程,同时,在模型中使用离散ESO进行对于总扰动的估计,并在状态空间模型中进行补偿,设计目标函数具有以下形式:
其中:
其约束为:
x0=xi
优选的,所述模型预测控制约束条件建立部分,根据胰高血糖素实际物理意义及安全性考虑,在基本模型预测控制器约束条件的基础上,控制量uI还应该满足最大值约束,非负值约束,以及体内残余活性胰高血糖素约束。
优选的,使用二次规划的方法进行控制量的最优化求解部分,将该模型预测控制问题转换为凸二次规划问题进行最优化求解,将原有公式中的 转化为四个独立的变量uG,k +、uG,k -、yk +、yk -,并令uG,k=uG,k +-uG,k -、yk=yk +-yk -,且uG,k +、uG,k -、yk +、yk -均为非负数;并将原有模型预测问题改写为矩阵向量形式从而完成程序的实现,得到可以控制血糖数据处于正常水平的胰高血糖素输注剂量。
因此,本发明采用上述一种基于ESO和模型预测控制的双激素人工胰腺控制器,使用辅助扩展状态观测器(ESO)对系统建模过程中的未知扰动部分进行估计,从而完成对于下一时刻系统状态的预测,使用预测结果完成切换模型的建立实现双激素模式的转换,同时通过模型预测控制算法完成核心胰岛素-胰高血糖素控制器的设计,实现了对糖尿病患者血糖水平的有效控制。
其具体的技术效果如下:
(1)本发明控制器使用胰岛素-胰高血糖素下不同的医学人体血糖水平模型,不同血糖状态下预测模型的实时调整,胰岛素、胰高血糖素不同输注模式下,分别使用不同模型进行预测控制,具有医学和工程上的可解释性。
(2)本发明控制器使用扩展状态观测器中对于系统总扰动进行估计,进一步进行预测并建立切换模型完成双激素模式的转换,可解决从传统单激素人工胰腺控制器到双激素人工胰腺控制器设计过程中核心转换问题。
(3)本发明使得双激素控制人体血糖水平从医学研究问题落实为可系统性评估有效性的具体实例。
下面通过附图和实施例,对本发明的技术方案做进一步的详细描述。
附图说明
图1是本发明实施例一种基于扩展状态观测器(ESO)和模型预测控制的双激素人工胰腺控制器的结构框图;
图2是本发明实施例中为相同场景进行对于所设计控制器的控制性能测试仿真结果;
图3是本发明实施例中10位仿真患者24小时血糖数据绘制的统计学箱线图;
图4是本发明实施例中10位仿真患者血糖数据仿真结果及计算相关指标统计。
具体实施方式
以下通过附图和实施例对本发明的技术方案作进一步说明。
除非另外定义,本发明使用的技术术语或者科学术语应当为本发明所属领域内具有一般技能的人士所理解的通常意义。
对于本领域技术人员而言,显然本发明不限于上述示范性实施例的细节,而且在不背离本发明的主旨或基本特征的情况下,能够以其它的具体形式实现本发明。因此,无论从哪一点来看,均应将实施例看作是示范性的,而且是非限制性的,本发明的范围由所附权利要求而不是上述说明限定,因此旨在将落在权利要求的等同要件的含义和范围内的所有变化囊括在本发明内,不应将权利要求中的任何附图标记视为限制所涉及的权利要求。
此外,应当理解,虽然本说明书按照实施方式加以描述,但并非每个实施方式仅包含一个独立的技术方案,说明书的这种叙述方式仅仅是为清楚起见,本领域技术人员应当将说明书作为一个整体,各实施例中的技术方案也可以经适当组合,形成本领域技术人员可以理解的其它实施方式。这些其它实施方式也涵盖在本发明的保护范围内。
还应当理解,以上所述的具体实施例仅用于解释本发明,本发明的保护范围并不限于此,任何熟悉本技术领域的技术人员在本发明揭露的技术范围内,根据本发明的技术方案及其发明构思加以等同替换或改变,都应涵盖在本发明/发明的保护范围之内。
本发明中使用的“包括”或者“包含”等类似的词语意指在该词前的要素涵盖在该词后列举的要素,并不排除也涵盖其它要素的可能。术语“内”、“外”、“上”、“下”等指示的方位或位置关系为基于附图所示的方位或位置关系,仅是为了便于描述本发明和简化描述,而不是指示或暗示所指的装置或元件必须具有特定的方位、以特定的方位构造和操作,因此不能理解为对本发明的限制,当被描述对象的绝对位置改变后,则该相对位置关系也可能相应地改变。在本发明中,除非另有明确的规定和限定,术语“附着”等术语应做广义理解,例如,可以是固定连接,也可以是可拆卸连接,或成一体;可以是直接相连,也可以通过中间媒介间接相连,可以是两个元件内部的连通或两个元件的相互作用关系。对于本领域的普通技术人员而言,可以根据具体情况理解上述术语在本发明中的具体含义。本发明中使用的术语“约”具有本领域技术人员公知的含义,优选指该术语所修饰的数值在其±50%,±40%,±30%,±20%,±10%,±5%或±1%范围内。
本公开使用的所有术语(包括技术术语或者科学术语)与本公开所属领域的普通技术人员理解的含义相同,除非另外特别定义。还应当理解,在诸如通用词典中定义的术语应当被理解为具有与它们在相关技术的上下文中的含义相一致的含义,而不应用理想化或极度形式化的意义来解释,除非本文有明确地这样定义。
对于相关领域普通技术人员已知的技术、方法和设备可能不作为详细讨论,但在适当情况下,所述技术、方法和设备应当被视为说明书的一部分。
本发明说明书中引用的现有技术文献所公开的内容整体均通过引用并入本发明中,并且因此是本发明公开内容的一部分。
实施例一
本发明的一种辅助扩展状态观测器预测切换模型的双激素模型预测人工胰腺控制器,在模型预测控制理论框架下,使用辅助扩展状态观测器对系统建模过程中的未知扰动部分进行估计,进一步通过模型迭代完成对于下一时刻系统状态的预测,使用预测结果完成切换模型的建立实现双激素模式的转换。利用胰岛素-胰高血糖素下不同的医学人体血糖水平模型,不同血糖状态下预测模型的实时调整,胰岛素、胰高血糖素不同输注模式下,分别使用不同模型进行预测控制。最后使用UVA/Pavoda T1DM硬件在环仿真平台进行实验,测试并验证该控制系统的有效性。实现有效可靠的人体血糖水平控制。
基于扩展状态观测器(ESO)和模型预测控制的双激素人工胰腺控制器主要包括以下模块:基于扩展状态观测器(ESO)的误差估计与切换控制模块,胰岛素输注模型预测控制模块,胰高血糖素输注模型预测控制模块。
基于扩展状态观测器(ESO)的误差估计与切换控制模块:使用扩展状态观测器(ESO)进行对人体血糖数学模型的总扰动的估计与补偿,通过模型迭代完成预测过程,基于预测结果完成切换规则的建立。通过切换模型将已有系统分为胰岛素输注模式和胰高血糖素输注模式两种方式,其中胰岛素输注模式为该控制器主要控制模式,胰高血糖素输注模式为辅,用以有效规避风险。
这一模块包括人体血糖模型ESO误差估计部分,模型迭代预测部分,双激素模型切换部分。
人体血糖模型ESO误差估计部分,考虑人体血糖代谢整个过程的复杂性,建立以血糖浓度和血糖浓度变化率为主要变量的近似模型描述系统:
系统输入为时间间隔T的离散CGM人体血糖数据,对上述模型进行以T为周期的离散化。
考虑到系统建模时未知扰动部分的存在,使用离散ESO对系统未知总扰动部分进行估计,从而获得下一时刻系统的状态模型。定义x1=G,将系统中的不确定的总扰动定义为扩展的状态变量x3,其离散ESO模型则可以表示为:
其中令:
ei=z1,i-yi
z1,i+1=z1,i+T(z2,i-β1*ei)
z2,i+1=z2,i+T(z3,i-β2*f1,i)+bu
z3,i+1=z3,i+T(-β3*f2,i)
则可以计算出i+1时刻总干扰的观测值z3,i+1,完成对系统扰动的估计。其中z1,i为血糖浓度G的观测值,z2,i为血糖浓度变化率的观测值,β1,β2,β3为离散观测器系数,根据上述计算方法可以确定。
下面使用该观测器估计状态完成对于血糖的预测的过程,在血糖数据预测的过程中。根据建立好的扩展状态观测器,首先计算下一时刻状态估计和此时状态值的误差,使用误差对总扰动的估计值z3,i进行计算,从而得到下一状态的预测值并更新状态:
使用更新后的系统状态进行下一时刻血糖数据预测,每一次状态估计之后进行4次模型迭代预测之后4个时间周期血糖数据预测值(时间周期T为5分钟,4个周期即可获得20分钟后血糖预测值)。之后进入再下一时刻预测估计。循环往复,周而复始,从而完成整个过程的实时预测过程。
根据上述实时预测的结果作为切换模型切换判断依据,建立切换规则:
其中,θL为低血糖风险发生值,切换标准为规避低血糖情况的发生;NN表示为胰岛素输注模式,AN表示为胰高血糖素输注模式,为从而完成不同输注模式的转换。
进一步地,根据切换模型控制器将进入不同输注模式,模型预测控制所使用人体血糖数学模型由人体血糖代谢方式模型简化整合得到。其基本状态空间表示如下:
xi+1=Axi+BIuI,i+BGuG,i
yi=Cxi
其中BI,BG为不同激素输注系数,在不同输注模式下二者均不同时不为0,保证控制器激素输注量不发生相互抵消的作用。
首先是胰岛素输注模型预测控制模块,使用控制量胰岛素完成对于血糖不低于正常水平状态的控制调节,该模块主要包括胰岛素输注模型预测控制律设计部分,模型预测控制约束条件建立部分,使用二次规划的方法进行控制量的最优化求解部分。
为简化控制器设计,不考虑人体血糖代谢方式模型中胰岛素与胰高血糖素存在同时作用的复杂情况,在胰岛素输注模式下将胰高血糖素控制量系数为0,仅使用胰岛素-血糖代谢模型确定系统状态空间方程。
通常将人体血糖-胰岛素系统认为是一个离散、线性时不变的模型,模型的输入输出为:
yi=yBG,i-ys
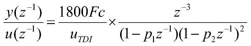
其中uBASAL[U/h]为胰岛素基础率,uIN,i为i时刻输入的胰岛素量,T为时间;目标血糖值为ys为110mg/dL。使用z变换得到其传递函数为:
极点p1=0.980,p2=0.965,F=1.5,c=-60(1-p1)(1-p2)2,状态空间模型如下所示:
xi+1=Axi+BIuI,i
yi=Cxi
C=[0 0 1]∈R1×3。
预测控制目标函数的选取反映对系统性能的要求,胰岛素输注模式下,即在血糖状态高于正常水平时及时降低,控制血糖状态相对稳定,同时尽量控制激素注射量最少,减少药物使用量,设计目标函数具有以下形式:
其中:
其约束为:
x0=xi
为该时刻三维系统状态变量估计值,为该时刻控制量胰岛素估计值,为系统输出血糖估计值。初始状态x0由历史数据估计得。在预测的每一步,可得出控制输入的最优轨迹取作为最优控制输入。qv为与误差积分相关的权重,和分别表示非负输出和非正输出的权重,和分别表示非负控制输入和非正控制输入的权重。
根据胰岛素实际物理意义及安全性考虑,在基本模型预测控制器约束条件的基础上,控制量uI还应该满足最大值约束,非负值约束,以及体内残余活性胰岛素(IOB)约束。
使用二次规划的方法进行控制量的最优化求解部分,将该模型预测控制问题转换为凸二次规划问题进行最优化求解,将原有公式中的 转化为四个独立的变量uI,k +、uI,k -、yk +、yk -,并令uI,k=uI,k +-uI,k -、yk=yk +-yk -,且uI,k +、uI,k -、yk +、yk -均为非负数。并将原有模型预测问题改写为矩阵向量形式从而完成程序的实现。得到可以控制血糖数据处于正常水平的胰岛素输注剂量。
进一步地,胰高血糖素输注模型预测控制模块与胰岛素输注模式控制器具有相同的设计过程。同样包括胰高血糖素输注模型预测控制律设计部分,模型预测控制约束条件建立部分,使用二次规划的方法进行控制量的最优化求解部分。
为简化控制器设计,在胰高血糖素输注模式下将胰岛素控制量系数为0,仅使用胰高血糖素-血糖代谢模型确定系统状态空间方程,与胰岛素-血糖代谢模型建立过程相同可得到其状态空间模型如下所示:
xi+1=Axi+BGuG,i
yi=Cxi
其中:
C=[0 0 1]∈R1×3。
预测控制目标函数的选取反映对系统性能的要求,胰高血糖素输注模式下,即避免低血糖情况的出现,同时尽量控制激素注射量最少,减少药物使用量,设计目标函数具有以下形式:
其中:
其约束为:
x0=xi
为该时刻三维系统状态变量估计值,为该时刻控制量胰高血糖素估计值,为系统输出血糖估计值。yS为标准血糖值,初始状态x0由历史数据估计得。在预测的每一步,可得出控制输入的最优轨迹取作为最优控制输入。qv为与误差积分相关的权重,和分别表示非负输出和非正输出的权重,和分别表示非负控制输入和非正控制输入的权重。
根据胰高血糖素实际物理意义及安全性考虑,在基本模型预测控制器约束条件的基础上,控制量uI还应该满足最大值约束,非负值约束,以及体内残余活性胰高血糖素约束。
其中,γ为胰岛素吸收率与胰高血糖素吸收率的转换比例。
使用二次规划的方法进行控制量的最优化求解部分,将该模型预测控制问题转换为凸二次规划问题进行最优化求解,将原有公式中的 转化为四个独立的变量uG,k +、uG,k -、yk +、yk -,并令uG,k=uG,k +-uG,k -、yk=yk +-yk -,且uG,k +、uG,k -、yk +、yk -均为非负数。并将原有模型预测问题改写为矩阵向量形式从而完成程序的实现。得到可以控制血糖数据处于正常水平的胰高血糖素输注剂量。
最后,使用美国FDA认可的UVA/Pavoda T1DM血糖仿真器完成该双激素控制器仿真实现及测试过程,该仿真平台可模拟十位具有不同生理特性的糖尿病患者的血糖动态过程,为编号001-010的是为患者分别提供相同场景进行对于所设计控制器的控制性能测试,仿真器每间隔5分钟进行一次数据输入输出,得到控制器仿真结果如图2所示(00-010中某位仿真患者数据),仿真患者24小时内CGM实时数据及控制器胰岛素、胰高血糖素输出结果,绿色背景所示为正常血糖水平范围,其中红色数据点为仿真患者CGM实时数据血糖数据,在摄入早餐、午餐、晚餐的时间有明显升高趋势,在控制器的有效控制下,基本保持在正常血糖水平范围内波动;蓝色星号数据为扩展状态观测器预测值的显示,预测趋势与血糖变化趋势基本一致,在低血糖情况出现前切换胰高血糖素输注模式,完成对于低血糖危险情况的有效规避。
使用10位仿真患者24小时血糖数据绘制箱线图(如图3所示),通过箱线图能够有效地识别该组患者血糖数据的特征:可以直观地识别数据集中的异常值(即离群点),在箱线图中使用圆圈表示,十位仿真患者中大部分患者没有异常值出现,少部分出现异常值患者异常值出现频率不超过两个。箱线图不受异常值的影响,可以以一种相对稳定的方式描述数据的离散分布情况。十位仿真患者血糖数据总体来说相对集中于6.11mmol/L(110mg/dL)至8.89mmol/L(160mg/dL)安全区间,血糖数据均值与中位数差别不大,控制器控制血糖相对稳定效果基本达到。
使用医学中对于糖尿病患者血糖水平的评价指标进行控制器有效性的评价,TAR(Time Above Range):血糖在高血糖范围内的时间,即在该控制器治疗调整期间CGM数据中在>10.0mmol/L(180mg/dL)范围内的所占比例;TBR(Time Below Range):血糖在低血糖范围内的时间,即在该控制器治疗调整期间CGM数据中<3.9mmol/L(70mg/dL)的比例;TIR(Time In Range):血糖在正常范围内的时间,即该控制器治疗调整期间CGM数据中3.9mmol/L(70mg/dL)至10.0mmol/L(180mg/dL)范围内的比例;MEAN:在该控制器治疗调整期间CGM数据平均值;SD:在该控制器治疗调整期间CGM数据的标准差。具体指标及患者仿真结果如图4所示,10位仿真患者血糖在正常范围内的时间均值达93%以上,单位患者控制有效率最高可达99%,最低不低于82%;24小时内血糖均值稳定在6.67mmol/L(120mg/dL)至7.89mmol/L(142mg/dL)之间,24小时内血糖水平标准差均值为1.4476mmol/L(26.0568mg/dL)。
因此,本发明采用上述一种基于ESO和模型预测控制的双激素人工胰腺控制器,实现了较为有效可靠的人体血糖水平控制,为双激素控制人体血糖水平从医学研究问题落实为可系统性评估有效性的提供了具体实例。
最后应说明的是:以上实施例仅用以说明本发明的技术方案而非对其进行限制,尽管参照较佳实施例对本发明进行了详细的说明,本领域的普通技术人员应当理解:其依然可以对本发明的技术方案进行修改或者等同替换,而这些修改或者等同替换亦不能使修改后的技术方案脱离本发明技术方案的精神和范围。
Claims (1)
1.一种基于ESO和模型预测控制的双激素人工胰腺控制器,其特征在于:包括基于ESO的误差估计与切换控制模块、胰岛素输注模型预测控制模块,胰高血糖素输注模型预测控制模块;
基于ESO的误差估计与切换控制模块是使用ESO进行对人体血糖代谢简化模型的总扰动的估计,通过模型迭代完成预测过程,基于预测结果完成切换规则的建立;通过切换模型将已有系统分为胰岛素输注模式和胰高血糖素输注模式两种方式,其中胰岛素输注模式为该控制器主要控制模式,胰高血糖素输注模式为辅;
胰岛素输注模型预测控制模块是使用控制量胰岛素完成对于血糖高于或处于正常水平状态时的控制调节部分;
胰高血糖素输注模型预测控制模块是使用控制量胰高血糖素完成对于血糖低于正常水平状态的控制调节;
所述基于ESO的误差估计与切换控制模块包括人体血糖模型ESO误差估计部分、模型迭代预测部分、双激素模型切换控制部分;
所述人体血糖模型ESO误差估计部分为考虑人体血糖代谢整个过程的复杂性,建立以血糖浓度和血糖浓度变化率为主要变量的近似模型描述系统:
系统输入为时间间隔T的离散CGM人体血糖数据,对上述模型进行以T为周期的离散化;
考虑到系统建模时未知扰动部分的存在,使用离散ESO对系统未知总扰动部分进行估计,从而获得下一时刻系统的状态模型;定义x1=G,将系统中的不确定的总扰动定义为扩展的状态变量x3,其离散ESO模型则可以表示为:
其中令:
ei=z1,i-yi
z1,i+1=z1,i+T(z2,i-β1*ei)
z2,i+1=z2,i+T(z3,i-β2*f1,i)+bu
z3,i+1=z3,i+T(-β3*f2,i)
所述模型迭代预测部分,使用所计算出的总干扰观测值作为系统总干扰部分的估计,根据当前血糖浓度和血糖浓度变化率即可得到当前血糖代谢模型,使用该模型进行4次模型迭代即可预测之后4个时间周期血糖数据预测值;之后进入再下一时刻预测估计;循环往复,周而复始,从而完成整个过程的实时预测过程;
所述双激素模型切换控制部分,根据上述实时预测的结果作为切换模型切换判断依据,建立切换规则:
其中,θL为低血糖风险发生值,切换标准为规避低血糖情况的发生;NN表示为胰岛素输注模式,AN表示为胰高血糖素输注模式,为从而完成不同输注模式的转换。
Priority Applications (1)
| Application Number | Priority Date | Filing Date | Title |
|---|---|---|---|
| CN202210500896.4A CN114903648B (zh) | 2022-05-09 | 2022-05-09 | 一种基于eso和模型预测控制的双激素人工胰腺控制器 |
Applications Claiming Priority (1)
| Application Number | Priority Date | Filing Date | Title |
|---|---|---|---|
| CN202210500896.4A CN114903648B (zh) | 2022-05-09 | 2022-05-09 | 一种基于eso和模型预测控制的双激素人工胰腺控制器 |
Publications (2)
| Publication Number | Publication Date |
|---|---|
| CN114903648A CN114903648A (zh) | 2022-08-16 |
| CN114903648B true CN114903648B (zh) | 2022-11-22 |
Family
ID=82767532
Family Applications (1)
| Application Number | Title | Priority Date | Filing Date |
|---|---|---|---|
| CN202210500896.4A Active CN114903648B (zh) | 2022-05-09 | 2022-05-09 | 一种基于eso和模型预测控制的双激素人工胰腺控制器 |
Country Status (1)
| Country | Link |
|---|---|
| CN (1) | CN114903648B (zh) |
Families Citing this family (3)
| Publication number | Priority date | Publication date | Assignee | Title |
|---|---|---|---|---|
| CN116999649B (zh) * | 2023-07-21 | 2024-10-25 | 北京理工大学 | 一种实现血糖无偏移跟踪的人工胰腺模型预测控制器 |
| CN117133377B (zh) * | 2023-10-27 | 2024-07-16 | 浙江大学 | 一种基于代谢组学的代谢物组合模型的数据迭代处理方法 |
| CN120241051B (zh) * | 2025-06-05 | 2025-08-08 | 天津中智云海软件科技有限公司 | 一种基于医疗机器人的血糖监测调控方法及系统 |
Citations (7)
| Publication number | Priority date | Publication date | Assignee | Title |
|---|---|---|---|---|
| JP2002023807A (ja) * | 2000-06-19 | 2002-01-25 | Kyosei Kan | 最適かつ自動的に外乱を排除するフィードバック制御を実現するための方法及び装置 |
| CN106094524A (zh) * | 2016-07-07 | 2016-11-09 | 西北工业大学 | 基于输入趋势补偿的快速模型预测控制方法 |
| CN109999270A (zh) * | 2019-03-22 | 2019-07-12 | 北京理工大学 | 一种基于血糖变化趋势的人工胰腺自适应自抗扰控制器 |
| CN110124150A (zh) * | 2019-04-30 | 2019-08-16 | 广东食品药品职业学院 | 一种基于自适应柔化因子策略的广义预测控制闭环胰岛素输注系统 |
| CN110517748A (zh) * | 2019-08-29 | 2019-11-29 | 燕山大学 | 一种基于三支决策的双激素人工胰脏模型预测控制算法 |
| CN111025904A (zh) * | 2019-12-11 | 2020-04-17 | 浙江工业大学 | 一种基于扩张状态观测器的磁悬浮球连续滑模控制方法 |
| WO2020127936A1 (en) * | 2018-12-21 | 2020-06-25 | Université de Nantes | Method for estimating glycemia and/or controlling an insulin injection device |
Family Cites Families (5)
| Publication number | Priority date | Publication date | Assignee | Title |
|---|---|---|---|---|
| EP2447792A1 (en) * | 2005-09-19 | 2012-05-02 | Cleveland State University | Controllers, observer, and applications thereof |
| WO2012058694A2 (en) * | 2010-10-31 | 2012-05-03 | Trustees Of Boston University | Blood glucose control system |
| US12128212B2 (en) * | 2018-06-19 | 2024-10-29 | President And Fellows Of Harvard College | Adaptive zone model predictive control with a glucose and velocity dependent dynamic cost function for an artificial pancreas |
| EP3998943A4 (en) * | 2019-07-16 | 2023-09-06 | Beta Bionics, Inc. | Blood glucose control system |
| US20220044783A1 (en) * | 2020-08-10 | 2022-02-10 | Universitat Politècnica De València (Upv) | Control Method and Artificial Pancreas for Administration of Insulin, Glucagon and Rescue Carbohydrates |
-
2022
- 2022-05-09 CN CN202210500896.4A patent/CN114903648B/zh active Active
Patent Citations (7)
| Publication number | Priority date | Publication date | Assignee | Title |
|---|---|---|---|---|
| JP2002023807A (ja) * | 2000-06-19 | 2002-01-25 | Kyosei Kan | 最適かつ自動的に外乱を排除するフィードバック制御を実現するための方法及び装置 |
| CN106094524A (zh) * | 2016-07-07 | 2016-11-09 | 西北工业大学 | 基于输入趋势补偿的快速模型预测控制方法 |
| WO2020127936A1 (en) * | 2018-12-21 | 2020-06-25 | Université de Nantes | Method for estimating glycemia and/or controlling an insulin injection device |
| CN109999270A (zh) * | 2019-03-22 | 2019-07-12 | 北京理工大学 | 一种基于血糖变化趋势的人工胰腺自适应自抗扰控制器 |
| CN110124150A (zh) * | 2019-04-30 | 2019-08-16 | 广东食品药品职业学院 | 一种基于自适应柔化因子策略的广义预测控制闭环胰岛素输注系统 |
| CN110517748A (zh) * | 2019-08-29 | 2019-11-29 | 燕山大学 | 一种基于三支决策的双激素人工胰脏模型预测控制算法 |
| CN111025904A (zh) * | 2019-12-11 | 2020-04-17 | 浙江工业大学 | 一种基于扩张状态观测器的磁悬浮球连续滑模控制方法 |
Non-Patent Citations (1)
| Title |
|---|
| 基于胰岛素基础率估计的人工胰腺系统自抗扰控制;史大威等;《自动化学报》;20210531;第47卷(第5期);第1043-1057页 * |
Also Published As
| Publication number | Publication date |
|---|---|
| CN114903648A (zh) | 2022-08-16 |
Similar Documents
| Publication | Publication Date | Title |
|---|---|---|
| CN114903648B (zh) | 一种基于eso和模型预测控制的双激素人工胰腺控制器 | |
| Sun et al. | A dual mode adaptive basal-bolus advisor based on reinforcement learning | |
| KR101423807B1 (ko) | 환자 생리학의 모델링에 기초하여 환자 맞춤형 치료를 개발하는 시스템 및 방법 | |
| Patek et al. | Modular closed-loop control of diabetes | |
| Daskalaki et al. | An Actor–Critic based controller for glucose regulation in type 1 diabetes | |
| CN110289094B (zh) | 一种基于专家规则的胰岛素精准给药决策方法 | |
| WO2005113036A1 (en) | Method and apparatus for glucose control and insulin dosing for diabetics | |
| EP2521483A1 (en) | Systems, devices and methods to deliver biological factors or drugs to a subject | |
| CN118737371A (zh) | 基于溯源模型和多智能体深度强化学习的血糖调控决策支持系统 | |
| Ruiz-Velazquez et al. | Robust μ-synthesis: Towards a unified glucose control in adults, adolescents and children with T1DM | |
| CN109935333A (zh) | 基于ovmd-se-pso-bp的在线血糖预测方法 | |
| CN103083751B (zh) | 一种胰岛素泵基础输注模型的建立方法 | |
| Reenberg et al. | High-performance uncertainty quantification in large-scale virtual clinical trials of closed-loop diabetes treatment | |
| CN110517748A (zh) | 一种基于三支决策的双激素人工胰脏模型预测控制算法 | |
| WO2023092908A1 (zh) | 人工胰腺控制方法、可读存储介质及血糖管理系统 | |
| Oroojeni Mohammad Javad et al. | Reinforcement learning algorithm for blood glucose control in diabetic patients | |
| Soylu et al. | Comparison of PID based control algorithms for daily blood glucose control | |
| CN118366606B (zh) | 一种血糖闭环控制方法与装置 | |
| CN109925569A (zh) | 一种基于自适应参考曲线策略的广义预测控制胰岛素输注量计算方法 | |
| De Falco et al. | Grammatical evolution-based approach for extracting interpretable glucose-dynamics models | |
| CN116999649B (zh) | 一种实现血糖无偏移跟踪的人工胰腺模型预测控制器 | |
| Kardar et al. | Application of fuzzy logic controller for intensive insulin therapy in type 1 diabetic mellitus patients by subcutaneous route | |
| CN114613509B (zh) | 基于贝叶斯优化的人工胰腺长期适应的个体化学习系统 | |
| Pellizzari et al. | A deep-learning based algorithm for the management of hyperglycemia in type 1 diabetes therapy | |
| Ghasemi et al. | Different types of nonlinear sliding mode technique for nonlinear uncertain type 1 diabetes model |
Legal Events
| Date | Code | Title | Description |
|---|---|---|---|
| PB01 | Publication | ||
| PB01 | Publication | ||
| SE01 | Entry into force of request for substantive examination | ||
| SE01 | Entry into force of request for substantive examination | ||
| GR01 | Patent grant | ||
| GR01 | Patent grant |







































































































