CN114874122A - Novel small molecule inhibitor and preparation method and application thereof - Google Patents
Novel small molecule inhibitor and preparation method and application thereof Download PDFInfo
- Publication number
- CN114874122A CN114874122A CN202210607054.9A CN202210607054A CN114874122A CN 114874122 A CN114874122 A CN 114874122A CN 202210607054 A CN202210607054 A CN 202210607054A CN 114874122 A CN114874122 A CN 114874122A
- Authority
- CN
- China
- Prior art keywords
- molecule inhibitor
- small molecule
- psma
- preparation
- compound
- Prior art date
- Legal status (The legal status is an assumption and is not a legal conclusion. Google has not performed a legal analysis and makes no representation as to the accuracy of the status listed.)
- Pending
Links
Images
Classifications
-
- C—CHEMISTRY; METALLURGY
- C07—ORGANIC CHEMISTRY
- C07D—HETEROCYCLIC COMPOUNDS
- C07D207/00—Heterocyclic compounds containing five-membered rings not condensed with other rings, with one nitrogen atom as the only ring hetero atom
- C07D207/46—Heterocyclic compounds containing five-membered rings not condensed with other rings, with one nitrogen atom as the only ring hetero atom with hetero atoms directly attached to the ring nitrogen atom
-
- A—HUMAN NECESSITIES
- A61—MEDICAL OR VETERINARY SCIENCE; HYGIENE
- A61K—PREPARATIONS FOR MEDICAL, DENTAL OR TOILETRY PURPOSES
- A61K51/00—Preparations containing radioactive substances for use in therapy or testing in vivo
- A61K51/02—Preparations containing radioactive substances for use in therapy or testing in vivo characterised by the carrier, i.e. characterised by the agent or material covalently linked or complexing the radioactive nucleus
- A61K51/04—Organic compounds
- A61K51/08—Peptides, e.g. proteins, carriers being peptides, polyamino acids, proteins
-
- C—CHEMISTRY; METALLURGY
- C07—ORGANIC CHEMISTRY
- C07C—ACYCLIC OR CARBOCYCLIC COMPOUNDS
- C07C275/00—Derivatives of urea, i.e. compounds containing any of the groups, the nitrogen atoms not being part of nitro or nitroso groups
- C07C275/04—Derivatives of urea, i.e. compounds containing any of the groups, the nitrogen atoms not being part of nitro or nitroso groups having nitrogen atoms of urea groups bound to acyclic carbon atoms
- C07C275/06—Derivatives of urea, i.e. compounds containing any of the groups, the nitrogen atoms not being part of nitro or nitroso groups having nitrogen atoms of urea groups bound to acyclic carbon atoms of an acyclic and saturated carbon skeleton
- C07C275/16—Derivatives of urea, i.e. compounds containing any of the groups, the nitrogen atoms not being part of nitro or nitroso groups having nitrogen atoms of urea groups bound to acyclic carbon atoms of an acyclic and saturated carbon skeleton being further substituted by carboxyl groups
-
- C—CHEMISTRY; METALLURGY
- C07—ORGANIC CHEMISTRY
- C07B—GENERAL METHODS OF ORGANIC CHEMISTRY; APPARATUS THEREFOR
- C07B2200/00—Indexing scheme relating to specific properties of organic compounds
- C07B2200/05—Isotopically modified compounds, e.g. labelled
-
- Y—GENERAL TAGGING OF NEW TECHNOLOGICAL DEVELOPMENTS; GENERAL TAGGING OF CROSS-SECTIONAL TECHNOLOGIES SPANNING OVER SEVERAL SECTIONS OF THE IPC; TECHNICAL SUBJECTS COVERED BY FORMER USPC CROSS-REFERENCE ART COLLECTIONS [XRACs] AND DIGESTS
- Y02—TECHNOLOGIES OR APPLICATIONS FOR MITIGATION OR ADAPTATION AGAINST CLIMATE CHANGE
- Y02P—CLIMATE CHANGE MITIGATION TECHNOLOGIES IN THE PRODUCTION OR PROCESSING OF GOODS
- Y02P20/00—Technologies relating to chemical industry
- Y02P20/50—Improvements relating to the production of bulk chemicals
- Y02P20/55—Design of synthesis routes, e.g. reducing the use of auxiliary or protecting groups
Landscapes
- Chemical & Material Sciences (AREA)
- Organic Chemistry (AREA)
- Health & Medical Sciences (AREA)
- Life Sciences & Earth Sciences (AREA)
- Proteomics, Peptides & Aminoacids (AREA)
- Pharmacology & Pharmacy (AREA)
- Medicinal Chemistry (AREA)
- Optics & Photonics (AREA)
- Physics & Mathematics (AREA)
- Epidemiology (AREA)
- Animal Behavior & Ethology (AREA)
- General Health & Medical Sciences (AREA)
- Public Health (AREA)
- Veterinary Medicine (AREA)
- Medicines Containing Antibodies Or Antigens For Use As Internal Diagnostic Agents (AREA)
- Medicines That Contain Protein Lipid Enzymes And Other Medicines (AREA)
Abstract
The invention belongs to the field of preparation of radiopharmaceuticals, particularly relates to the field of preparation of radiopharmaceuticals formed by combining PSMA (patterned silica gel column), and more particularly relates to a novel small-molecule inhibitor and a preparation method and application thereof. The invention constructs a novel small molecule inhibitor which can be directly combined with PSMA in a non-chelated state, so as to obtain positive prostate cancer PET imaging for PSMA 89 Zr 4+ The label forms a probe. Not only the process is simpler, but also the problem of purity caused by introducing exogenous metal ions in the existing preparation process is solvedThe difficulty of chemical treatment is high, the quality control requirement is too high, and the like.
Description
Technical Field
The invention belongs to the field of preparation of radiopharmaceuticals, particularly relates to the field of preparation of radiopharmaceuticals formed by combining PSMA (patterned silica gel column), and more particularly relates to a novel small-molecule inhibitor and a preparation method and application thereof.
Background
Prostate Specific Membrane Antigen (PSMA) is overexpressed on the surface of more than 90% of prostate cancer cells, 100-1000 fold higher than normal prostate cells, and is expressed at higher levels in cancer cells of patients with advanced or castration-resistant prostate cancer (mCRPC), making it an ideal target for radionuclide diagnosis and therapy. The development of PET imaging agents for PSMA has focused primarily on some small urea inhibitors. Prominent examples in the field of PSMA PET/CT imaging of prostate cancer include 18 F]DCFBC、[ 18 F]DCFPyL、[ 18 F]PSMA-1007 and [ solution ] of 68 Ga]Ga-PSMA-11。[ 68 Ga]Ga-PSMA-11 is the first radiometal-labeled radiopharmaceutical used for PET imaging of PSMA-positive prostate cancer, which was approved by the FDA for marketing in 2020. In the PSMA targeted radiotherapy, the most representative is a small molecule polypeptide probe [ 2 ] 177 Lu]Lu-PSMA-617 has also recently been approved for marketing.
Most PSMA PET imaging agents used in the existing research 68 Ga 3+ Marks, rarely 89 Zr 4+ Correlation studies of the markers. But instead of the other end of the tube 68 Ga 3+ The half-life period is only 68.1min, the requirement of long-time observation of biological distribution can not be met, 89 Zr 4+ half-life ratio of 68 Ga 3+ The length is longer, about 78.4h, repeated administration is not needed in a short period, and the distribution of the target molecules in the body can be better observed.
Disclosure of Invention
The invention is toSolves the technical problem of providing a small molecule inhibitor which can be directly combined with PSMA and passes through radionuclide 89 Zr 4+ The label-forming probe was used for PSMA-positive PET imaging of prostate cancer.
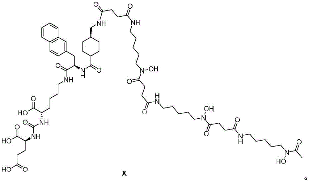
In order to solve the technical problems, the invention discloses a novel small molecule inhibitor, which has the following structural formula:
further, the preparation method of the small molecule inhibitor comprises two steps, and the synthetic route is as follows:
preferably, DFO2 is prepared by reacting DFO1 with DCC or HOSU in DMF.
Furthermore, the invention also discloses a molecular probe, and the structural formula of the probe is shown in the specification 89 Zr]Zr-X, wherein the chemical structural formula of X is as follows:
also, the present invention further discloses a molecular probe [ 2 ] 89 Zr]The preparation method of the Zr-X comprises two steps, firstly, the small molecular inhibitor is combined with the PSMA-617 (PSMA-617') with the protective group removed to form a compound X, and then the compound X is used 89 Zr 4+ The marking forms the target compound 89 Zr]Zr-X。
Further preferably, the small molecule inhibitor DFO2 is reacted with the deprotected PSMA-617 in DMF to produce compound X.
More preferably, the concentration of the small molecule inhibitor DFO2 in the DMF solution is 20-25 g/L, and more preferably 22 g/L.
Finally, the invention further discloses application of the small molecule inhibitor and the molecular probe in preparing PSMA positive prostate cancer PET imaging drugs.
The invention constructs a novel small molecule inhibitor which can be directly combined with PSMA molecules in a non-chelated state, so as to obtain the positive prostate cancer PET imaging for PSMA 89 Zr 4+ The label forms a probe. Not only the process is simpler, but also the problems of high purification difficulty, high quality control requirement and the like caused by introducing exogenous metal ions in the existing preparation process are solved.
Drawings
FIG. 1 is an LC-MS spectrum of Compound X.
FIG. 2 is the administration of the [ alpha ], [ alpha ] LNCaP-bearing tumor model mouse 89 Zr]PET visualization at different time points after Zr-X.
Detailed Description
In order that the invention may be better understood, we now provide further explanation of the invention with reference to specific examples.
Example 1
Dissolving 300mg DFO in 5mL DMF (N, N-dimethylformamide), adding succinic anhydride (1eq) into the reaction solution, finally adding DIPEA (N, N-diisopropylethylamine) (2eq), reacting at room temperature for 12h, performing liquid quality monitoring after the raw materials are consumed, removing the solvent by rotary evaporation, dissolving the crude product in 20mL water and 5mL acetonitrile, filtering, performing gradient elution by using a preparative high performance liquid phase in 0.1% TFA/water (V/V) and acetonitrile, collecting the required components, detecting, and performing freeze drying to obtain 200mg DFO1 (Suc-DFO).
200mg of DFO1 was dissolved in 10mL of DMF, and DCC (dicyclohexylcarbodiimide) (1.2eq) and HOSu (N-hydroxysuccinimide) (1.2eq) were added to react at room temperature for 6 hours, and the precipitated solid DCU (dicyclohexylurea) was removed by filtration, and the filtrate was dried by rotary drying to give 220mg of DFO2 (Suc-DFO-NHS).
The product was used directly in the subsequent reaction.
Example 2
PSMA-617' (deprotection of PSMA-617, 1.1eq) was dissolved in 10mL of DMF, DIPEA (2eq) was added, finally 220mg of DFO2 obtained in example 1 was added to the reaction solution, reaction was carried out at room temperature for 2h, after completion of the consumption of the starting material for liquid chromatography, the solvent was removed by rotary evaporation, the crude product was dissolved in 30mL of water and 5mL of acetonitrile, the crude product was filtered and eluted with preparative HPLC in a gradient of 0.1% TFA (trifluoroacetic acid)/water (V/V) and acetonitrile, the desired fractions were collected and assayed, and 120mg of Compound X was obtained after lyophilization.
LC-MS:649.8[M/2+H] + The spectrum is shown in figure 1.
Example 3
2 [ 2 ] 89 Zr]ZrCl 4 (400. mu. Ci, 50. mu.L), the pH of the reaction mixture was adjusted to about 7, and the compound X (20. mu.L, 1mg/mL) obtained in example 2 was added thereto and reacted at room temperature for 1 hour. Passing the reaction solution through a C18 column to allow the reaction solution to be sufficiently adsorbed 89 Zr 4+ Then, the C18 column was washed with 10mL of water, and then the C18 column was rinsed with 1mL of 60% ethanol to obtain [ DETA2 ], [ solution of (A) 89 Zr]Zr-X. Radiochemical purity, measured by TLC, was 100%.
Example 4
Taking a methanol solution (0.231 mu mol, 50 mu L, 6.5mg/mL) of the compound X, adjusting the pH value to 5-6, adding a methanol solution (0.060 mu mol, 14 mu L,1mg/mL) of zirconium chloride, reacting for 2H at room temperature, and filtering the solution to obtain a compound X standard product (LC-MS: 693.3[ M/2+ H + M) marked by stable metal Zr] + )。
Comparison of the metals obtained in example 3 of the present invention 89 The HPLC profile data of the Zr-labeled compound X and the standard of the stable metal Zr-labeled compound X prepared in the previous step of this example shows that the standard has a UV peak Rt of 8.184min, and the results show thatThe radioactivity peak Rt is 8.306min, confirming that the structure of the radiolabeled compound X is consistent with that of the stable metal Zr labeled compound X standard.
Example 5
The labeled product obtained in example 3 89 Zr]After the Zr-X is placed at room temperature for 48 hours, the radioactive chemical purity is 100 percent; after the strain is respectively placed in mouse serum and physiological saline and incubated in a 37 ℃ water bath for 48 hours, the radioactive chemical purities are respectively 98% and 99%, which shows that the strain has good in vitro stability.
Example 6
And establishing an LNCaP tumor-bearing mouse model according to the guidance of the existing operation technology.
About 3.7MBq of the product of example 3 of the present invention is injected from the rat tail vein 89 Zr]Zr-X, used for Micro-PET imaging study.
Mice were anesthetized with isoflurane and placed in a scanner for general scans at different time points (1h, 4h, 24h, 48h, 72h, 96h, 168h and 216h) after intravenous injection of the molecular probes, respectively. The scanning method is to scan the mouse under the scanning energy window of 350-650 keV for 10-30 min. At each time point, the CT scan is performed before/after the PET scan. PMOD software was used to reconstruct and attenuation correct the images. The results of the experiment are shown in FIG. 2.
As can be seen in FIG. 2, the term 89 Zr]Zr-X is mainly excreted through the urinary system (kidney and bladder), the radioactive uptake of the tumor is continuously increased within 1h to 48h until the uptake of the tumor part (arrow) is still high within 216h, which means 89 Zr]The Zr-X has high in-vivo stability, strong specificity and good imaging effect.
What has been described above is a specific embodiment of the present invention. It should be noted that those skilled in the art can make various improvements and modifications without departing from the principle of the present invention, and such improvements and modifications are also considered to be within the scope of the present invention.
Claims (8)
3. the method of preparing a small molecule inhibitor according to claim 2, wherein: DFO2 was prepared by reacting DFO1 with DCC and HOSU in DMF.
5. preparation of the molecular probe of claim 4 89 Zr]A method of Zr-X, characterized by: comprising the steps of first combining a small molecule inhibitor of claim 1 with deprotected PSMA-617 (PSMA-617') to form compound X, and then using the compound X 89 Zr 4+ The marking forms the target compound 89 Zr]Zr-X。
6. The method of claim 5, wherein: reacting small molecule inhibitor DFO2 with PSMA-617 with removed protecting group in DMF solution to obtain compound X.
7. The method of claim 6, wherein: the concentration of the small molecule inhibitor DFO2 in the DMF solution is 20-25 g/L, and the preferable concentration is 22 g/L.
8. Use of the small molecule inhibitor of claim 1 or the molecular probe of claim 4 for the preparation of a PSMA-positive PET imaging drug for prostate cancer.
Priority Applications (1)
| Application Number | Priority Date | Filing Date | Title |
|---|---|---|---|
| CN202210607054.9A CN114874122A (en) | 2022-05-31 | 2022-05-31 | Novel small molecule inhibitor and preparation method and application thereof |
Applications Claiming Priority (1)
| Application Number | Priority Date | Filing Date | Title |
|---|---|---|---|
| CN202210607054.9A CN114874122A (en) | 2022-05-31 | 2022-05-31 | Novel small molecule inhibitor and preparation method and application thereof |
Publications (1)
| Publication Number | Publication Date |
|---|---|
| CN114874122A true CN114874122A (en) | 2022-08-09 |
Family
ID=82679392
Family Applications (1)
| Application Number | Title | Priority Date | Filing Date |
|---|---|---|---|
| CN202210607054.9A Pending CN114874122A (en) | 2022-05-31 | 2022-05-31 | Novel small molecule inhibitor and preparation method and application thereof |
Country Status (1)
| Country | Link |
|---|---|
| CN (1) | CN114874122A (en) |
Citations (8)
| Publication number | Priority date | Publication date | Assignee | Title |
|---|---|---|---|---|
| CN105636924A (en) * | 2013-10-18 | 2016-06-01 | 德国癌症研究中心 | Labeled inhibitors of prostate-specific membrane antigen (PSMA), their use as imaging agents and agents for the treatment of prostate cancer |
| CN106075484A (en) * | 2016-06-28 | 2016-11-09 | 北京肿瘤医院 | Isotopically labeled prostate specific membrane antigen targeted inhibition agent and preparation method thereof |
| WO2017096430A1 (en) * | 2015-12-09 | 2017-06-15 | The University Of Sydney | Hydroxamic acid-based compounds |
| CN108541302A (en) * | 2015-12-31 | 2018-09-14 | 五制药股份有限公司 | Urea-based prostate-specific membrane antigen (PSMA) inhibitors for imaging and therapy |
| CN110272468A (en) * | 2019-05-14 | 2019-09-24 | 上海益泰医药科技有限公司 | The preparation and application of a kind of prostate-specific membrane antigen micromolecular inhibitor and its radio nuclide compound |
| CN111410625A (en) * | 2019-01-04 | 2020-07-14 | 南京江原安迪科正电子研究发展有限公司 | Synthesis method and application of ferrioxamine succinimide activated ester |
| CN112062695A (en) * | 2020-08-14 | 2020-12-11 | 北京大学第一医院 | Prostate specific membrane antigen targeted inhibitor, application and probe |
| CN112851637A (en) * | 2021-01-22 | 2021-05-28 | 北京瑞达福明科技有限公司 | PSMA inhibitor, compound, preparation method and application thereof |
-
2022
- 2022-05-31 CN CN202210607054.9A patent/CN114874122A/en active Pending
Patent Citations (9)
| Publication number | Priority date | Publication date | Assignee | Title |
|---|---|---|---|---|
| CN105636924A (en) * | 2013-10-18 | 2016-06-01 | 德国癌症研究中心 | Labeled inhibitors of prostate-specific membrane antigen (PSMA), their use as imaging agents and agents for the treatment of prostate cancer |
| CN109053616A (en) * | 2013-10-18 | 2018-12-21 | 德国癌症研究中心 | The inhibitor of label and application thereof of prostate-specific membrane antigen (PSMA) |
| WO2017096430A1 (en) * | 2015-12-09 | 2017-06-15 | The University Of Sydney | Hydroxamic acid-based compounds |
| CN108541302A (en) * | 2015-12-31 | 2018-09-14 | 五制药股份有限公司 | Urea-based prostate-specific membrane antigen (PSMA) inhibitors for imaging and therapy |
| CN106075484A (en) * | 2016-06-28 | 2016-11-09 | 北京肿瘤医院 | Isotopically labeled prostate specific membrane antigen targeted inhibition agent and preparation method thereof |
| CN111410625A (en) * | 2019-01-04 | 2020-07-14 | 南京江原安迪科正电子研究发展有限公司 | Synthesis method and application of ferrioxamine succinimide activated ester |
| CN110272468A (en) * | 2019-05-14 | 2019-09-24 | 上海益泰医药科技有限公司 | The preparation and application of a kind of prostate-specific membrane antigen micromolecular inhibitor and its radio nuclide compound |
| CN112062695A (en) * | 2020-08-14 | 2020-12-11 | 北京大学第一医院 | Prostate specific membrane antigen targeted inhibitor, application and probe |
| CN112851637A (en) * | 2021-01-22 | 2021-05-28 | 北京瑞达福明科技有限公司 | PSMA inhibitor, compound, preparation method and application thereof |
Non-Patent Citations (6)
| Title |
|---|
| AMERICAN CHEMICAL SOCIETY(ACS): "RN 2454676-25-4", 《STNEXT REGISTRY 数据库》, 11 August 2020 (2020-08-11) * |
| 曾戎著: "《多糖基高分子 药物轭合物的设计、合成、表征和评价》", 广州:华南理工大学出版社, pages: 69 - 70 * |
| 穆博帅等: "靶向PSMA放射性小分子药物研究进展", 《同位素》 * |
| 穆博帅等: "靶向PSMA放射性小分子药物研究进展", 《同位素》, vol. 34, no. 6, 31 December 2021 (2021-12-31), pages 565 - 580 * |
| 陈文等: "正电子核素89Zr:药物化学及其生物体内行为评价的研究新进展", 《核化学与放射化学》 * |
| 陈文等: "正电子核素89Zr:药物化学及其生物体内行为评价的研究新进展", 《核化学与放射化学》, vol. 40, no. 1, 28 February 2018 (2018-02-28), pages 11 - 22 * |
Similar Documents
| Publication | Publication Date | Title |
|---|---|---|
| CN112194651B (en) | Precursor compound of PET tracer and application thereof | |
| CN113372285B (en) | Prostate specific membrane antigen inhibitor, radionuclide marker, preparation method and application thereof | |
| CN107353323B (en) | Al18F-labeled PSMA targeting inhibitor and preparation method and application thereof | |
| CN118930523B (en) | Protein anchored copper response photoacoustic probe and preparation method and application thereof | |
| CN116925041A (en) | Fluorine-labeled radiopharmaceuticals precursors, radiolabeled compounds, and uses thereof, targeting fibroblast activation proteins | |
| CN117285601A (en) | Nuclear medicine diagnosis and treatment integrated probe targeting CXCR4 receptor and preparation method and application thereof | |
| CN109776587B (en) | A carbon chain-extended glutamine boron trifluoride analog | |
| CN107586317B (en) | Activatable tumor apoptosis PET imaging agent and preparation method and application thereof | |
| EP4660254A1 (en) | Heptamethine cyanine near-infrared fluorescent dye, preparation method therefor, and use thereof | |
| WO2023098007A1 (en) | Intelligent conversion double-stimuli-responsive probe chelated with metal ions, and preparation method therefor and use thereof | |
| CN114874122A (en) | Novel small molecule inhibitor and preparation method and application thereof | |
| CN118126125A (en) | FAP-binding cyclic peptide with introduced methoxyl group, its radionuclide label, preparation method and application | |
| CN102603647B (en) | 18/19F-ester nitroimidazole compound and its preparation method and use as hypoxic tissue imaging agent | |
| CN111253308B (en) | A group of small molecule inhibitors of protein kinase A and their preparation methods and applications | |
| CN112250680A (en) | A novel berberine derivative and its synthesis method and application | |
| CN114075268A (en) | Affibodies targeting HER2 and their applications | |
| CN119101006B (en) | Prostate specific membrane antigen inhibitor, radioactive marker thereof, preparation method and application thereof | |
| CN114703194B (en) | Fluorine-18 labeled CD63 targeted compound and preparation method and application thereof | |
| CN119219607B (en) | Near infrared fluorescent probe for actively targeting vascular epidermal growth factor receptor detection and preparation method and application thereof | |
| CN116570736B (en) | Radioactive probe for targeting angiotensin receptor II based on SARS-CoV series virus S protein sequence | |
| CN120987916B (en) | A targeted c-MET nuclide probe, its preparation method and application | |
| CN118307640B (en) | A PET imaging agent precursor, a PET imaging agent, and a preparation method and application thereof | |
| CN105214105B (en) | A kind of developer for PET/CT | |
| CN114805109B (en) | High-efficiency preparation method of fluoro[18F]safinamide and its application as PET imaging agent | |
| CN120247873A (en) | A single-photon tracer targeting PARP, its labeled precursor, preparation method and application |
Legal Events
| Date | Code | Title | Description |
|---|---|---|---|
| PB01 | Publication | ||
| PB01 | Publication | ||
| SE01 | Entry into force of request for substantive examination | ||
| SE01 | Entry into force of request for substantive examination | ||
| RJ01 | Rejection of invention patent application after publication | ||
| RJ01 | Rejection of invention patent application after publication |
Application publication date: 20220809 |








