CN114756743A - User behavior based recommendation method, system, device and medium - Google Patents
User behavior based recommendation method, system, device and medium Download PDFInfo
- Publication number
- CN114756743A CN114756743A CN202210309312.5A CN202210309312A CN114756743A CN 114756743 A CN114756743 A CN 114756743A CN 202210309312 A CN202210309312 A CN 202210309312A CN 114756743 A CN114756743 A CN 114756743A
- Authority
- CN
- China
- Prior art keywords
- recommendation
- user
- resource
- resources
- algorithm
- Prior art date
- Legal status (The legal status is an assumption and is not a legal conclusion. Google has not performed a legal analysis and makes no representation as to the accuracy of the status listed.)
- Pending
Links
Images
Classifications
-
- G—PHYSICS
- G06—COMPUTING OR CALCULATING; COUNTING
- G06F—ELECTRIC DIGITAL DATA PROCESSING
- G06F16/00—Information retrieval; Database structures therefor; File system structures therefor
- G06F16/90—Details of database functions independent of the retrieved data types
- G06F16/95—Retrieval from the web
- G06F16/953—Querying, e.g. by the use of web search engines
- G06F16/9535—Search customisation based on user profiles and personalisation
-
- G—PHYSICS
- G06—COMPUTING OR CALCULATING; COUNTING
- G06F—ELECTRIC DIGITAL DATA PROCESSING
- G06F16/00—Information retrieval; Database structures therefor; File system structures therefor
- G06F16/90—Details of database functions independent of the retrieved data types
- G06F16/95—Retrieval from the web
- G06F16/953—Querying, e.g. by the use of web search engines
- G06F16/9536—Search customisation based on social or collaborative filtering
Landscapes
- Engineering & Computer Science (AREA)
- Databases & Information Systems (AREA)
- Theoretical Computer Science (AREA)
- Data Mining & Analysis (AREA)
- Physics & Mathematics (AREA)
- General Engineering & Computer Science (AREA)
- General Physics & Mathematics (AREA)
- Information Retrieval, Db Structures And Fs Structures Therefor (AREA)
Abstract
The embodiment of the invention discloses a recommendation method, a system, equipment and a medium based on user behaviors, wherein the recommendation method comprises the following steps: acquiring a user use behavior table and a resource detail table of resources to be recommended, and storing the resource detail table and the resource detail table in a distributed file system; if the user to be recommended is a new user, carrying out group division according to the gender and age of the user, and calculating a resource recommendation table of different groups based on a collaborative filtering algorithm and the user use behavior table; obtaining a recommendation result set according to a resource recommendation table corresponding to the new user group; otherwise, acquiring a recommendation result table corresponding to each recommendation mode by using at least one resource recommendation method, wherein the resource recommendation method at least comprises at least one of a resource similarity algorithm, a collaborative filtering algorithm and an association rule algorithm; sequencing resources based on the recommendation result sets and the priorities corresponding to the sets; and displaying a preset number of recommendation results to the user based on the resource sorting result.
Description
Technical Field
The invention relates to the technical field of computer internet, in particular to a recommendation method, a recommendation system, recommendation equipment and recommendation media based on user behaviors.
Background
With the development of internet technology, the information presentation indexes on the internet are exponentially increased, and the recommendation system is driven by how to extract information needed and interested by a user from a wide data bank. The personalized recommendation system is one of the most effective methods and tools to solve the above contradiction.
At present, the recommendation of the conventional recommendation system is mainly based on the principle that the user has the same preference for reading resource types. However, the mode depends on the granularity of the resource types, and under the condition that the classification is not fine enough, the embarrassment that the child care and the examination are recommended mutually because the child care and the examination belong to the education type can occur; in addition, the traditional recommendation is limited to the books of the same category in the operation recommendation book list, and the recommendation is not carried out by combining the interrelation between the user and the resources, so that the discovery of long-tail resources is not facilitated;
although the traditional recommendation system is based on comprehensive weight, the traditional recommendation system still leaves the existing preference of the user and cannot discover new interest;
and the recommended refreshing period is based on the data statistical period, any operation of the user needs to be fed back by the recommending system in the next statistical period, and the requirement of the user cannot be sensed in time.
Disclosure of Invention
The invention aims to provide a recommendation method, a recommendation system, a recommendation device and a recommendation medium based on user behaviors, and at least one of the defects in the prior art is overcome.
To this end, in one aspect, the present invention provides a recommendation method based on user behavior, including:
acquiring a user use behavior table and a resource detail table of resources to be recommended, and storing the resource detail table and the resource detail table in a distributed file system;
if the user is a new user, carrying out group division according to the gender and age of the user, and calculating to obtain resource recommendation tables of different groups based on a collaborative filtering algorithm and the user use behavior table; obtaining a recommendation result set according to a resource recommendation table corresponding to the new user group;
otherwise, acquiring a recommendation result table corresponding to each recommendation mode by using at least one resource recommendation method, wherein the resource recommendation method at least comprises at least one of a resource similarity algorithm, a collaborative filtering algorithm and an association rule algorithm;
sequencing resources based on the recommendation result sets and the priorities corresponding to the sets;
and displaying a preset number of recommendation results to the user based on the resource sequencing result.
Further, the obtaining of the recommendation result set corresponding to each recommendation mode by using at least one resource recommendation method includes:
Calculating the similarity between different resources by using the similarity algorithm to obtain a resource similarity result table;
mining the correlation among resources in a read list of a user by using an association rule algorithm, finding out a potential rule and a reading behavior of the user, and obtaining a recessive preference resource table;
the method comprises the steps of distributing weights for different behaviors of a user according to a behavior table and an entropy weight method used by the user to obtain scores of the user on read resources, calculating scores of the user on unread resources by adopting a model-based collaborative filtering algorithm, learning a recessive factor between the user and the resources based on an alternating least square method, and obtaining a user resource recommendation table based on the ranking of the scores of the user on the unread resources.
Further, if the total resource number of the recommendation result set does not reach the preset number, performing supplementary recommendation according to resources of the same category as the recommended content in the operation recommendation bill, and performing supplementary recommendation by taking the result of each newly-added category of the time-to-live generated by the system offline as a candidate set.
Further, the resource detail table includes a classification, an author, a publisher, a continuous status, a brief introduction, and a hotword of the resource.
Further, the user usage behavior table comprises reading depth of the user, user payment and user interaction,
Wherein,
the reading depth comprises the reading times of the user on the resource, whether the user has read the resource, the reading time length and the total online time length;
the user payment comprises the payment times and payment amount of the user;
the user interaction comprises collection, bookshelf adding, downloading and comment of the user.
The second aspect of the present invention provides a recommendation system based on user behavior, including:
a data acquisition unit configured to: acquiring a user use behavior table and a resource detail table, and storing data into a distributed file system;
a personalized recommendation unit configured to: acquiring a recommendation result set corresponding to each recommendation mode by using at least one resource recommendation method, or performing group division according to the gender and age of a user, calculating resource recommendation tables of different groups based on a collaborative filtering algorithm and the user use behavior table, and acquiring a recommendation result set according to a resource recommendation table corresponding to a group to which a new user belongs;
a data processing unit configured to: performing resource sequencing based on the recommendation result sets and the priorities corresponding to the sets;
an online recommendation unit configured to: and the recommendation server is used for displaying a preset number of recommendation results to the user based on the resource sorting result.
Further, the resource recommendation method at least comprises at least one of a resource similarity algorithm, a collaborative filtering algorithm and an association rule algorithm.
Further, the obtaining of the recommendation result set corresponding to each recommendation mode by using at least one resource recommendation method includes:
calculating the similarity between different resources by using the similarity algorithm to obtain a resource similarity result table;
mining the correlation among resources in a read list of a user by using an association rule algorithm, finding out a potential rule and a reading behavior of the user, and obtaining a recessive preference resource table;
the method comprises the steps of scoring resources by utilizing an entropy weight method and a user use behavior table, calculating scores of users on unread resources by adopting a model-based collaborative filtering algorithm, learning a recessive factor between the users and the resources on the basis of an alternating least square method, and obtaining a user resource recommendation table on the basis of ranking of the scores of the users on the unread resources.
A third aspect of the present invention provides an electronic device comprising a processor and a storage medium storing a program that, when executed, implements the recommendation method of the first aspect of the present invention.
A fourth aspect of the present invention provides a storage medium storing a program that, when executed, implements the recommendation method of the first aspect of the present invention.
The invention has the following beneficial effects:
the recommendation method based on the user behaviors analyzes the digital reading behaviors of the users through big data, shortens the update period of the model, improves the efficiency and the accuracy of user resource recommendation and the reading/paying conversion rate, improves the calculation speed of the model by calculating based on the Spark distributed calculation platform, and meanwhile, for new users, performs group division according to the basic information of the users, obtains an adaptive recommendation result set according to the resource recommendation tables of different groups in the system, and solves the problem that the preference of the users is difficult to judge due to no historical behaviors.
Drawings
The following describes embodiments of the present invention in further detail with reference to the accompanying drawings.
FIG. 1 illustrates a flow diagram of a method according to one embodiment of the invention;
FIG. 2 shows a flow diagram of a recommendation method of one embodiment of the present invention;
FIG. 3 shows a flow chart of a recommendation method of another embodiment of the present invention;
4-5 show a flow chart of a collaborative filtering algorithm proposed by the present invention;
FIG. 6 illustrates an application interface screenshot in accordance with one embodiment of the present invention;
FIG. 7 shows a schematic block diagram of a recommendation system in accordance with one embodiment of the present invention;
FIG. 8 illustrates a system architecture diagram of a recommendation system, according to one embodiment of the present invention;
FIG. 9 illustrates an architecture diagram of a computing device, according to one embodiment of the invention.
Detailed Description
In order to more clearly illustrate the present invention, the present invention is further described below with reference to the following examples and the accompanying drawings. Similar components in the figures are denoted by the same reference numerals. It is to be understood by persons skilled in the art that the following detailed description is illustrative and not restrictive, and is not to be taken as limiting the scope of the invention.
As shown in fig. 1, an embodiment of the present invention provides a recommendation method based on user behavior, including:
s10: acquiring a user use behavior table of a user to be recommended and a resource detail table of resources to be recommended, and storing the user use behavior table and the resource detail table in a distributed file system;
s20: if the user to be recommended is a new user, carrying out group division according to the gender and age of the user, and calculating a resource recommendation table of different groups based on a collaborative filtering algorithm and the user use behavior table; obtaining a recommendation result set according to a resource recommendation table corresponding to the new user group;
otherwise, acquiring a recommendation result table corresponding to each recommendation mode by using at least one resource recommendation method, wherein the resource recommendation method at least comprises at least one of a resource similarity algorithm, a collaborative filtering algorithm and an association rule algorithm;
S30: sequencing resources based on the recommendation result sets and the priorities corresponding to the sets;
s40: and displaying a preset number of recommendation results to the user based on the resource sequencing result.
Different from the traditional mode, the scheme analyzes the digital reading behaviors of the user through big data, shortens the updating period of the model, improves the resource recommendation efficiency, the accuracy and the reading/payment conversion rate of the user, improves the calculation speed of the model by calculating based on a Spark distributed calculation platform, meanwhile, for a new user, carries out group division according to the basic information of the user, obtains an adaptive recommendation result set according to the resource recommendation tables of different groups in the system, and solves the problem that the user preference is difficult to judge due to no historical behaviors.
In a possible implementation manner, the obtaining, by using at least one resource recommendation method, a recommendation result set corresponding to each recommendation manner includes:
calculating the similarity between different resources by using the similarity algorithm to obtain a resource similarity result table;
mining the correlation among resources in a read list of a user by using an association rule algorithm, finding out a potential rule and a reading behavior of the user, and obtaining a recessive preference resource table;
The method comprises the steps of distributing weights for resources by utilizing an entropy weight method and a user use behavior table, calculating scores of users for unread resources by adopting a model-based collaborative filtering algorithm, learning recessive factors between the users and the resources based on an alternating least square method, and obtaining a user resource recommendation table based on ranking of the scores of the users for the unread resources.
Specifically, the recommendation modes are roughly divided into two types, one is resource-based recommendation, and the other is user-based recommendation;
as shown in fig. 2, for a resource-based recommendation model process, first, a recommendation set is obtained based on association rules, a text similarity algorithm, and a booklist of the same author, then, the resources in the recommendation set are obfuscated and rearranged according to a weight factor of the algorithm, if the obtained number of recommended resources does not satisfy the number of resources required by a page, the resources in the operation booklist are preferentially displayed, and if the number is still not satisfied, new resources are preferentially displayed, so as to obtain final recommendation data.
As shown in fig. 3, for a user-based recommendation model process, firstly, recommendation sets are respectively obtained based on collaborative filtering and user history preferences, then, resources in the recommendation sets are obfuscated and rearranged according to a weight factor of an algorithm, if the obtained number of the recommendation resources does not satisfy the number of resources required by a page, resources in an operation book list are preferentially displayed, and if the number is still not satisfied, new resources are preferentially displayed, so that final recommendation data is obtained.
And the weight factor is distributed to each classification weight according to the recommendation effect.
The association rule algorithm is mainly used for mining the reading correlation among the resources in the existing reading list, finding out the potential rules and the reading behaviors, and obtaining the association relation among the resources by adopting the classic FP-Growth algorithm in Spark model association and through the sequence of the user reading; the algorithm comprises the following steps:
1) finding a frequent item set from the transaction set;
2) generating association rules satisfying a lowest confidence level from the frequent item set;
3) and deleting and selecting the generated rule according to the promotion degree.
As will be understood by those skilled in the art, the transaction set is the resource items in the existing reading list.
In a specific embodiment, the resource detail table includes a classification, author, publisher, run-through status, introduction, and hotword of the resource.
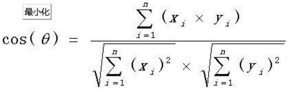
In a possible implementation manner, the similarity calculation method adopts a combined manner of TF-IDF and cosine law to calculate the similarity word frequency-inverse file frequency (TF-IDF) between different resources, which is a feature vectorization method widely used in text mining and can reflect the importance degree of words in a corpus of a document. TF-IDF is the numerical document information that measures how much information a term can provide to distinguish documents.
In a possible implementation manner, the cosine similarity between the feature vectors obtained through the TF-IDF is calculated by using the cosine theorem to calculate the similarity, and specifically, the similarity between the two vectors is evaluated by calculating the cosine value of the included angle between the two vectors. The cosine similarity draws the vector into the vector space according to the coordinate value,
the cosine value ranges between [ -1,1], the closer the value is to 1, the closer the directions of the two vectors are represented; the closer to-1, the more opposite their direction; close to 0 indicates that the two vectors are nearly orthogonal.
In a possible implementation manner, the same-author worksheets are matched according to author names, and the worksheets under the same author are ordered and recommended according to the access amount.
In a specific embodiment, as shown in fig. 4, the objective of the collaborative filtering algorithm is to mine the relationship between the user and the resource, analyze the potential reading direction of the user, adopt the reading behavior of the users on the whole network, and obtain the scoring table of the user on the unread resource. The calculation mode based on the real reading behavior of the user can better fit the requirements of the user. The part is formed by integrating two algorithms, firstly, the entropy weight method is adopted to assign weight to the behavior of a user, the behavior is the grading evaluation index of resources, secondly, the resources are graded through the collaborative filtering algorithm and the conditions of the user accessing, reading and paying the resources, the grading value of the user to the unread resources is predicted, then, the scores of other resources are obtained based on the alternating least square Algorithm (ALS),
Specifically, data of about 9 months to about 3 months are used as an input model, a collaborative filtering model is trained, and a recommendation result is verified by using data of about 3 months, wherein the data of about 3 months is clicking and reading of recommended resources by a user in the next three months.
In a specific embodiment, the objective of the collaborative filtering algorithm is to mine the relationship between users and resources, analyze the potential reading direction of users, train the reading behavior of the users in the whole network for nearly six months, predict the scoring of unread resources by the users, and recommend TOP10 resources individually for each user. The part is mainly formed by two algorithms in a set mode, firstly, an entropy weight method is used for weighting to score resources, secondly, the service consideration is combined with the real distribution of data to divide all types of resource scores into 10 grades (1-10), and finally, a collaborative filtering algorithm is used for calculating the potential score grade of the resources for a user to recommend. The algorithm flow is shown in fig. 5, and includes:
s2011: and (3) grading the resources by using an entropy weight method: and standardizing, calculating information entropy and weighting each dimension data by using active historical behavior data of the users, and finally processing to obtain the scoring value of each user to each book. The scoring dimensions include:
Reading depth: visit PV, visit days, reading chapter number, reading PV, reading days;
and (4) paying by the user: income, payment days;
user interaction: collecting, adding a bookshelf and commenting.
The method comprises the following specific steps:
1) standardizing each index data;
2) calculating the information entropy of each index;
3) determining the weight of each index;
s2012: grading grades according to service and actual data distribution conditions: the resource types are combined with the service and actual data distribution, and the resource scores are reduced to 1-10 grades by the detail shown in table 1.
TABLE 1
S2013, a resource recommendation list is obtained through model-based collaborative filtering: AlS used for calculation. ALS uses matrix factorization to learn implicit factors between users and items. By decomposing the scoring matrix R into two matrices U × P user product and making R ≈ U × P, the error is as small as possible. The input of the ALS algorithm is a sparse matrix R for scoring the items by the user, namely, the user does not score all the items, and the user is presumed to score the missing items according to the scores of other items by the user.
In a particular embodiment, the user usage behavior profile includes a reading depth of the user, a user payment, and a user interaction, wherein,
The reading depth comprises the reading times of the user on the resource, whether the user has read the resource, the reading time length and the total online time length;
the user payment comprises the payment times and payment amount of the user;
the user interaction comprises collection, bookshelf adding, downloading and comment of the user.
In one possible implementation, the user historical preference algorithm first calculates a second level classification 3 before the user prefers in the last 6 months, and then makes a recommendation based on the ranking list of classified resources,
the classification is that of the digital book, such as, the speech, the fantasy, the swordsmen, the history, and the military teacher;
secondary classifications, such as those of speech, include: urban speech, modern speech, ancient speech, etc.
The resource detail list comprises the classification and the keywords of the resource.
It should be noted that the scheme provided by the present invention is not limited to the above recommendation method based on user and the recommendation method based on resource, and in a practical situation, the two recommendation methods work together.
In order to further enhance the richness of recommended contents, introduce operation intervention and solve the cold start problem, the results of a base layer are mixed and rearranged based on a weight factor, and then operability is enhanced through operation book order intervention, new resource book order intervention and forced book order setting, specifically, if the total resource number of the recommended result set does not reach a preset number, supplementary recommendation is performed according to resources in the operation recommended book order, which are the same as the recommended contents, and the result of the off-line generation of each new added category of the on-shelf time of the system is used as a candidate set for supplementary recommendation.
According to the method, long-tail resources and resources in a user emerging area are mined by combining a similarity algorithm and a collaborative filtering algorithm, algorithm improvement is carried out according to feedback used by the user, and recommendation precision is increased along with the time.
In a specific embodiment, the result obtained by the collaborative filtering algorithm has a priority of 1; recommending resources with similar attributes to the recommended content according to the result obtained by the resource similarity algorithm, wherein the priority is 2; recommending resources of the same category as the recommended contents according to the operation recommendation book list, wherein the priority is 3; and generating a result of the shelf loading time of each newly-added category as a candidate set according to the system offline, wherein the priority is 4.
The embodiment improves the defect that the new resources cannot be effectively recommended through a resource similarity algorithm and a new book recommendation mechanism, and solves the blank problem.
In a specific embodiment, the user enters the main page by logging in the client or the web page, as shown in fig. 6, the recommendation module includes two parts of similar popular and popular books, a detail page of a book is opened by the user, and the recommendation module is also read by the user after the user clicks the book, specifically,
hot part of the same kind: the principle of original innovation recommendation, publication recommendation and publication, and book listening recommendation is followed, and the similarity calculation result table is mainly relied on. Resources are generated 12 for which the content preferences are relatively fixed.
The book has also been viewed in part: and selecting a recommended book list similar to the score mean of the resource of the detail pages from the user scoring list generated by using the collaborative filtering algorithm, extracting 24 books from the background, and displaying 12 books.
Hot book part: and selecting the favorite resources of the user by utilizing the calculation result of the collaborative filtering, and rearranging the priority of the 40 recommendation lists according to the recently read resources of the user to ensure that the resources of the same type are ahead.
In a second aspect of the present invention, there is provided a recommendation system based on user behavior, as shown in fig. 7, where the recommendation system 10 includes:
the data acquisition unit 100 is used for acquiring a user usage behavior table and a resource detail table and storing data into a distributed file system;
the personalized recommendation unit 110 is configured to obtain a recommendation result set corresponding to each recommendation mode by using at least one resource recommendation method, or perform group division according to the gender and age of the user, calculate resource recommendation tables of different groups based on a collaborative filtering algorithm and the user usage behavior table, and obtain a recommendation result set according to a resource recommendation table corresponding to a group to which a new user belongs;
a data processing unit 120, configured to perform resource sorting based on the recommendation result sets and priorities corresponding to the sets;
And the online recommendation unit 130 is configured to show a preset number of recommendation results to the user based on the resource sorting result.
In a specific embodiment, the resource recommendation method at least includes at least one of a resource similarity algorithm, a collaborative filtering algorithm, and an association rule algorithm.
In a specific embodiment, as shown in fig. 8, the obtaining, by using at least one resource recommendation method, a recommendation result set corresponding to each recommendation manner includes:
calculating the similarity between different resources by using the similarity algorithm to obtain a resource similarity result table;
mining the correlation among resources in a read list of a user by using an association rule algorithm, finding out a potential rule and a reading behavior of the user, and obtaining a recessive preference resource table;
the method comprises the steps of scoring resources by utilizing an entropy weight method and a user use behavior table, calculating scores of users on unread resources by adopting a model-based collaborative filtering algorithm, learning a recessive factor between the users and the resources on the basis of an alternating least square method, and obtaining a user resource recommendation table on the basis of ranking of the scores of the users on the unread resources.
It should be noted that the principle and the workflow of the recommendation system based on user behavior provided in this embodiment are similar to those of the recommendation method based on user behavior, and reference may be made to the above description for relevant parts, which are not described herein again.
As shown in fig. 9, a computing device suitable for use in performing the methods provided by the above embodiments or in loading the above systems. The computing device includes a central processing module (CPU) that can perform various appropriate actions and processes according to a program stored in a Read Only Memory (ROM) or a program loaded from a storage section into a Random Access Memory (RAM). In the RAM, various programs and data necessary for the operation of the computer system are also stored. The CPU, ROM, and RAM are connected thereto via a bus. An input/output (I/O) interface is also connected to the bus.
An input section including a keyboard, a mouse, and the like; an output section including a speaker and the like such as a Liquid Crystal Display (LCD); a storage section including a hard disk and the like; and a communication section including a network interface card such as a LAN card, a modem, or the like. The communication section performs communication processing via a network such as the internet. The drive is also connected to the I/O interface as needed. A removable medium such as a magnetic disk, an optical disk, a magneto-optical disk, a semiconductor memory, or the like is mounted on the drive as necessary, so that a computer program read out therefrom is mounted into the storage section as necessary.
In particular, the processes described by the above flowcharts may be implemented as computer software programs according to the present embodiment. For example, the present embodiments include a computer program product comprising a computer program tangibly embodied on a computer-readable medium, the computer program comprising program code for performing the method illustrated in the flow chart. In such an embodiment, the computer program may be downloaded and installed from a network via the communication section, and/or installed from a removable medium.
The flowchart and schematic diagrams in the figures illustrate the architecture, functionality, and operation of possible implementations of systems, methods and computer program products according to the present embodiments. In this regard, each block in the flowchart or schematic diagrams may represent a module, segment, or portion of code, which comprises one or more executable instructions for implementing the specified logical function(s). It should also be noted that, in some alternative implementations, the functions noted in the block may occur out of the order noted in the figures. For example, two blocks shown in succession may, in fact, be executed substantially concurrently, or the blocks may sometimes be executed in the reverse order, depending upon the functionality involved. It will also be noted that each block of the schematic and/or flowchart illustration, and combinations of blocks in the schematic and/or flowchart illustration, can be implemented by special purpose hardware-based systems which perform the specified functions or acts, or combinations of special purpose hardware and computer instructions. The modules described in the present embodiment may be implemented by software or hardware.
On the other hand, an embodiment of the present invention further provides a nonvolatile computer storage medium, which may be the nonvolatile computer storage medium included in the apparatus in the foregoing embodiment, or may be a nonvolatile computer storage medium that exists separately and is not installed in a terminal.
The non-volatile computer storage medium stores one or more programs that, when executed by an apparatus, cause the apparatus to implement the analysis method according to the above-described embodiment of the present application.
It should be noted that, in the description of the present invention, the terms "comprises," "comprising," or any other variation thereof are intended to cover a non-exclusive inclusion, so that a process, method, article, or apparatus that comprises a list of elements does not include only those elements but also other elements not expressly listed or inherent to such process, method, article, or apparatus. Without further limitation, an element defined by the phrase "comprising an … …" does not exclude the presence of other identical elements in the process, method, article, or apparatus that comprises the element.
It should be understood that the above-mentioned embodiments of the present invention are only examples for clearly illustrating the present invention, and are not intended to limit the embodiments of the present invention, and it will be obvious to those skilled in the art that other variations and modifications can be made on the basis of the above description, and all embodiments cannot be exhaustive, and all obvious variations and modifications belonging to the technical scheme of the present invention are within the protection scope of the present invention.
Claims (10)
1. A recommendation method based on user behavior is characterized by comprising the following steps:
acquiring a user use behavior table and a resource detail table of resources to be recommended and storing the resource detail table and the resource detail table in a distributed file system;
if the user is a new user, carrying out group division according to the gender and age of the user, and calculating a resource recommendation table of different groups based on a collaborative filtering algorithm and the user use behavior table; obtaining a recommendation result set according to a resource recommendation table corresponding to the new user group;
otherwise, acquiring a recommendation result table corresponding to each recommendation mode by using at least one resource recommendation method, wherein the resource recommendation method at least comprises at least one of a resource similarity algorithm, a collaborative filtering algorithm and an association rule algorithm;
Sequencing resources based on the recommendation result sets and the priorities corresponding to the sets;
and displaying a preset number of recommendation results to the user based on the resource sequencing result.
2. The recommendation method according to claim 1,
the obtaining of the recommendation result set corresponding to each recommendation mode by using at least one resource recommendation method includes:
calculating the similarity between different resources by using the similarity algorithm to obtain a resource similarity result table;
mining the correlation among resources in a read list of a user by using an association rule algorithm, finding out a potential rule and a reading behavior of the user, and obtaining a recessive preference resource table;
the method comprises the steps of distributing weights for different behaviors of a user according to a behavior table and an entropy weight method used by the user to obtain scores of the user on read resources, calculating scores of the user on unread resources by adopting a collaborative filtering algorithm based on a model, learning recessive factors between the user and the resources based on an alternating least square method, and obtaining a user resource recommendation table based on ranking of the scores of the user on the unread resources.
3. The recommendation method according to claim 2, further comprising,
And if the total resource number of the recommendation result set does not reach the preset number, performing supplementary recommendation according to the resources in the operation recommendation bill, which are of the same category as the recommended contents, and performing supplementary recommendation by taking the result of generating each newly-added classification shelf-loading time offline by the system as a candidate set.
4. The recommendation method according to claim 1,
the resource detail table comprises classification, author, publishing house, continuous loading state, introduction and hotword of the resource.
5. The method of claim 1,
the user usage behavior table comprises reading depth of the user, user payment and user interaction,
wherein,
the reading depth comprises the reading times of the user on the resource, whether the user has read the resource, the reading time length and the total online time length;
the user payment comprises the payment times and payment amount of the user;
the user interaction comprises collection, bookshelf adding, downloading and comment of the user.
6. A recommendation system based on user behavior, comprising:
a data acquisition unit configured to: acquiring a user use behavior table and a resource detail table, and storing data into a distributed file system;
a personalized recommendation unit configured to: acquiring a recommendation result set corresponding to each recommendation mode by using at least one resource recommendation method, or performing group division according to the gender and age of a user, calculating resource recommendation tables of different groups based on a collaborative filtering algorithm and the user use behavior table, and acquiring a recommendation result set according to a resource recommendation table corresponding to a group to which a new user belongs;
A data processing unit configured to: performing resource sequencing based on the recommendation result sets and the priorities corresponding to the sets;
an online recommendation unit configured to: and the recommendation server is used for displaying a preset number of recommendation results to the user based on the resource sorting result.
7. The system of claim 6,
the resource recommendation method at least comprises at least one of a resource similarity algorithm, a collaborative filtering algorithm and an association rule algorithm.
8. The system of claim 6,
the obtaining of the recommendation result set corresponding to each recommendation mode by using at least one resource recommendation method includes:
calculating the similarity between different resources by using the similarity algorithm to obtain a resource similarity result table;
mining the correlation among resources in a read list of a user by using an association rule algorithm, finding out a potential rule and a reading behavior of the user, and obtaining a recessive preference resource table;
the method comprises the steps of scoring resources by utilizing an entropy weight method and a user use behavior table, calculating scores of users for unread resources by adopting a model-based collaborative filtering algorithm, learning implicit factors between the users and the resources based on an alternating least square method, and obtaining a user resource recommendation table based on ranking of the scores of the users for the unread resources.
9. A storage medium storing a program which, when executed, implements the method of any one of claims 1-5.
10. An electronic device comprising a processor and a storage medium storing a program, wherein the program when executed implements the recommendation method of any one of claims 1-5.
Priority Applications (1)
| Application Number | Priority Date | Filing Date | Title |
|---|---|---|---|
| CN202210309312.5A CN114756743A (en) | 2022-03-28 | 2022-03-28 | User behavior based recommendation method, system, device and medium |
Applications Claiming Priority (1)
| Application Number | Priority Date | Filing Date | Title |
|---|---|---|---|
| CN202210309312.5A CN114756743A (en) | 2022-03-28 | 2022-03-28 | User behavior based recommendation method, system, device and medium |
Publications (1)
| Publication Number | Publication Date |
|---|---|
| CN114756743A true CN114756743A (en) | 2022-07-15 |
Family
ID=82326315
Family Applications (1)
| Application Number | Title | Priority Date | Filing Date |
|---|---|---|---|
| CN202210309312.5A Pending CN114756743A (en) | 2022-03-28 | 2022-03-28 | User behavior based recommendation method, system, device and medium |
Country Status (1)
| Country | Link |
|---|---|
| CN (1) | CN114756743A (en) |
Cited By (3)
| Publication number | Priority date | Publication date | Assignee | Title |
|---|---|---|---|---|
| CN116304325A (en) * | 2023-03-14 | 2023-06-23 | 中国工商银行股份有限公司 | Application software function recommendation method, recommended device, equipment and storage medium |
| CN118312639A (en) * | 2024-06-05 | 2024-07-09 | 河源职业技术学院 | An audio management system for multimedia teaching |
| CN120179912A (en) * | 2025-05-19 | 2025-06-20 | 南昌童言童语信息技术有限公司 | Children's book sharing management method and system |
Citations (24)
| Publication number | Priority date | Publication date | Assignee | Title |
|---|---|---|---|---|
| US20070106656A1 (en) * | 2003-05-12 | 2007-05-10 | Koninklijke Philips Electronics, N.V. | Apparatus and method for performing profile based collaborative filtering |
| CN101334792A (en) * | 2008-07-10 | 2008-12-31 | 中国科学院计算技术研究所 | A personalized service recommendation system and method |
| CN101431485A (en) * | 2008-12-31 | 2009-05-13 | 深圳市迅雷网络技术有限公司 | Method and system for automatically recommending internet information |
| US20090287687A1 (en) * | 2008-04-14 | 2009-11-19 | Gianni Martire | System and method for recommending venues and events of interest to a user |
| CN101957834A (en) * | 2010-08-12 | 2011-01-26 | 百度在线网络技术(北京)有限公司 | Content recommending method and device based on user characteristics |
| US20110191311A1 (en) * | 2010-02-03 | 2011-08-04 | Gartner, Inc. | Bi-model recommendation engine for recommending items and peers |
| US20130036121A1 (en) * | 2011-08-01 | 2013-02-07 | Nhn Corporation | System and method for recommending blog |
| CN103885987A (en) * | 2012-12-21 | 2014-06-25 | 中国移动通信集团公司 | Music recommendation method and system |
| CN104992352A (en) * | 2015-07-10 | 2015-10-21 | 安徽新华传媒股份有限公司 | Individualized resource retrieval method |
| US20160212494A1 (en) * | 2013-09-06 | 2016-07-21 | Beijing Qihoo Technology Company Limited | Video recommendation method and device |
| CN105824818A (en) * | 2015-01-04 | 2016-08-03 | 中国移动通信集团河北有限公司 | Informationized management method, platform and system |
| CN106383908A (en) * | 2016-09-30 | 2017-02-08 | 北京奇虎科技有限公司 | Data object pushing method and device |
| CN106682417A (en) * | 2016-12-27 | 2017-05-17 | 杭州火小二科技有限公司 | Healthcare based recommended menu generation method |
| CN107657004A (en) * | 2017-09-21 | 2018-02-02 | 广州华多网络科技有限公司 | Video recommendation method, system and equipment |
| CN108108446A (en) * | 2017-12-27 | 2018-06-01 | 暴风集团股份有限公司 | Video recommendation method and device, electronic equipment, storage medium, program |
| CN110362740A (en) * | 2019-06-10 | 2019-10-22 | 河海大学 | A kind of water conservancy gateway information mixed recommendation method |
| CN110727856A (en) * | 2019-09-04 | 2020-01-24 | 福州智永信息科技有限公司 | Optimized collaborative recommendation method and system based on low-age users |
| CN111310051A (en) * | 2019-12-13 | 2020-06-19 | 北京邮电大学 | Cold start solution based on knowledge graph |
| CN112905875A (en) * | 2019-12-04 | 2021-06-04 | 深圳云天励飞技术有限公司 | Offline interactive content recommendation method and system and storage medium |
| CN113420180A (en) * | 2021-05-18 | 2021-09-21 | 北京达佳互联信息技术有限公司 | Video recommendation method and device, electronic equipment and storage medium |
| CN113779395A (en) * | 2021-09-10 | 2021-12-10 | 粒子文化科技集团(杭州)股份有限公司 | Media asset recommendation method, device, system, electronic device and storage medium |
| CN113886701A (en) * | 2021-10-13 | 2022-01-04 | 万达信息股份有限公司 | Urban service intelligent recommendation method based on hybrid algorithm |
| CN113988970A (en) * | 2021-10-18 | 2022-01-28 | 笑拼购网络科技有限公司 | Shopping recommendation method and online shopping platform |
| CN114048389A (en) * | 2022-01-11 | 2022-02-15 | 山东捷瑞数字科技股份有限公司 | Content recommendation method and system for engineering machinery industry |
-
2022
- 2022-03-28 CN CN202210309312.5A patent/CN114756743A/en active Pending
Patent Citations (24)
| Publication number | Priority date | Publication date | Assignee | Title |
|---|---|---|---|---|
| US20070106656A1 (en) * | 2003-05-12 | 2007-05-10 | Koninklijke Philips Electronics, N.V. | Apparatus and method for performing profile based collaborative filtering |
| US20090287687A1 (en) * | 2008-04-14 | 2009-11-19 | Gianni Martire | System and method for recommending venues and events of interest to a user |
| CN101334792A (en) * | 2008-07-10 | 2008-12-31 | 中国科学院计算技术研究所 | A personalized service recommendation system and method |
| CN101431485A (en) * | 2008-12-31 | 2009-05-13 | 深圳市迅雷网络技术有限公司 | Method and system for automatically recommending internet information |
| US20110191311A1 (en) * | 2010-02-03 | 2011-08-04 | Gartner, Inc. | Bi-model recommendation engine for recommending items and peers |
| CN101957834A (en) * | 2010-08-12 | 2011-01-26 | 百度在线网络技术(北京)有限公司 | Content recommending method and device based on user characteristics |
| US20130036121A1 (en) * | 2011-08-01 | 2013-02-07 | Nhn Corporation | System and method for recommending blog |
| CN103885987A (en) * | 2012-12-21 | 2014-06-25 | 中国移动通信集团公司 | Music recommendation method and system |
| US20160212494A1 (en) * | 2013-09-06 | 2016-07-21 | Beijing Qihoo Technology Company Limited | Video recommendation method and device |
| CN105824818A (en) * | 2015-01-04 | 2016-08-03 | 中国移动通信集团河北有限公司 | Informationized management method, platform and system |
| CN104992352A (en) * | 2015-07-10 | 2015-10-21 | 安徽新华传媒股份有限公司 | Individualized resource retrieval method |
| CN106383908A (en) * | 2016-09-30 | 2017-02-08 | 北京奇虎科技有限公司 | Data object pushing method and device |
| CN106682417A (en) * | 2016-12-27 | 2017-05-17 | 杭州火小二科技有限公司 | Healthcare based recommended menu generation method |
| CN107657004A (en) * | 2017-09-21 | 2018-02-02 | 广州华多网络科技有限公司 | Video recommendation method, system and equipment |
| CN108108446A (en) * | 2017-12-27 | 2018-06-01 | 暴风集团股份有限公司 | Video recommendation method and device, electronic equipment, storage medium, program |
| CN110362740A (en) * | 2019-06-10 | 2019-10-22 | 河海大学 | A kind of water conservancy gateway information mixed recommendation method |
| CN110727856A (en) * | 2019-09-04 | 2020-01-24 | 福州智永信息科技有限公司 | Optimized collaborative recommendation method and system based on low-age users |
| CN112905875A (en) * | 2019-12-04 | 2021-06-04 | 深圳云天励飞技术有限公司 | Offline interactive content recommendation method and system and storage medium |
| CN111310051A (en) * | 2019-12-13 | 2020-06-19 | 北京邮电大学 | Cold start solution based on knowledge graph |
| CN113420180A (en) * | 2021-05-18 | 2021-09-21 | 北京达佳互联信息技术有限公司 | Video recommendation method and device, electronic equipment and storage medium |
| CN113779395A (en) * | 2021-09-10 | 2021-12-10 | 粒子文化科技集团(杭州)股份有限公司 | Media asset recommendation method, device, system, electronic device and storage medium |
| CN113886701A (en) * | 2021-10-13 | 2022-01-04 | 万达信息股份有限公司 | Urban service intelligent recommendation method based on hybrid algorithm |
| CN113988970A (en) * | 2021-10-18 | 2022-01-28 | 笑拼购网络科技有限公司 | Shopping recommendation method and online shopping platform |
| CN114048389A (en) * | 2022-01-11 | 2022-02-15 | 山东捷瑞数字科技股份有限公司 | Content recommendation method and system for engineering machinery industry |
Cited By (4)
| Publication number | Priority date | Publication date | Assignee | Title |
|---|---|---|---|---|
| CN116304325A (en) * | 2023-03-14 | 2023-06-23 | 中国工商银行股份有限公司 | Application software function recommendation method, recommended device, equipment and storage medium |
| CN118312639A (en) * | 2024-06-05 | 2024-07-09 | 河源职业技术学院 | An audio management system for multimedia teaching |
| CN118312639B (en) * | 2024-06-05 | 2024-08-23 | 河源职业技术学院 | Audio management system for multimedia teaching |
| CN120179912A (en) * | 2025-05-19 | 2025-06-20 | 南昌童言童语信息技术有限公司 | Children's book sharing management method and system |
Similar Documents
| Publication | Publication Date | Title |
|---|---|---|
| Harring et al. | The significance of political culture, economic context and instrument type for climate policy support: a cross-national study | |
| Dash et al. | Personalized ranking of online reviews based on consumer preferences in product features | |
| Newman et al. | Wicked tendencies in policy problems: Rethinking the distinction between social and technical problems | |
| Kim et al. | When Bitcoin encounters information in an online forum: Using text mining to analyse user opinions and predict value fluctuation | |
| Preoţiuc-Pietro et al. | Studying user income through language, behaviour and affect in social media | |
| Shmueli et al. | Care to comment? Recommendations for commenting on news stories | |
| Beel | Towards effective research-paper recommender systems and user modeling based on mind maps | |
| Khatter et al. | An intelligent personalized web blog searching technique using fuzzy-based feedback recurrent neural network: H. Khatter, AK Ahlawat | |
| Khademizadeh et al. | Analysis of book circulation data and a book recommendation system in academic libraries using data mining techniques | |
| CN114756743A (en) | User behavior based recommendation method, system, device and medium | |
| Rashid et al. | Sentiment analysis on consumer reviews of amazon products | |
| CN103714413A (en) | System and method for constructing quality model based on position information | |
| Rahayu et al. | A systematic review of recommender system for e-portfolio domain | |
| Gobster et al. | Landscape journal and scholarship in landscape architecture: The next 25 years | |
| Hox et al. | Incomplete multilevel data: problems and solutions | |
| Kobayashi et al. | A method of gathering, selecting and hierarchizing kansei words for a hierarchized kansei model | |
| Kim et al. | Improving a recommender system by collective matrix factorization with tag information | |
| Zhong et al. | Feature screening for interval-valued response with application to study association between posted salary and required skills | |
| Newman et al. | Recent trends in LA-based research: a topic analysis of CELA abstract content | |
| Begum et al. | Exploring the benefits of AI for content retrieval | |
| CN110717008A (en) | Semantic recognition-based search result ordering method and related device | |
| Sönning et al. | Seeing the wood for the trees: Predictive margins for random forests | |
| US20250378498A1 (en) | Software systems and methods to automatically correlate subject matter items and provider data across multiple platforms | |
| CN106997340A (en) | The generation of dictionary and the Document Classification Method and device using dictionary | |
| Li et al. | Incorporating textual network improves Chinese stock market analysis |
Legal Events
| Date | Code | Title | Description |
|---|---|---|---|
| PB01 | Publication | ||
| PB01 | Publication | ||
| SE01 | Entry into force of request for substantive examination | ||
| SE01 | Entry into force of request for substantive examination | ||
| RJ01 | Rejection of invention patent application after publication | ||
| RJ01 | Rejection of invention patent application after publication |
Application publication date: 20220715 |

