CN114577134A - 一种大量程全天候滑坡体倾斜变形监测装置及方法 - Google Patents
一种大量程全天候滑坡体倾斜变形监测装置及方法 Download PDFInfo
- Publication number
- CN114577134A CN114577134A CN202210191999.7A CN202210191999A CN114577134A CN 114577134 A CN114577134 A CN 114577134A CN 202210191999 A CN202210191999 A CN 202210191999A CN 114577134 A CN114577134 A CN 114577134A
- Authority
- CN
- China
- Prior art keywords
- coordinates
- deformation
- monitoring device
- landslide body
- weather
- Prior art date
- Legal status (The legal status is an assumption and is not a legal conclusion. Google has not performed a legal analysis and makes no representation as to the accuracy of the status listed.)
- Granted
Links
- 238000012806 monitoring device Methods 0.000 title claims abstract description 66
- 238000000034 method Methods 0.000 title claims abstract description 19
- 238000012544 monitoring process Methods 0.000 claims abstract description 59
- 230000005540 biological transmission Effects 0.000 claims abstract description 23
- 230000005484 gravity Effects 0.000 claims abstract description 17
- 238000007405 data analysis Methods 0.000 claims description 20
- 230000006698 induction Effects 0.000 claims description 19
- 230000008859 change Effects 0.000 claims description 11
- 238000012545 processing Methods 0.000 claims description 9
- 239000000725 suspension Substances 0.000 claims description 8
- 238000004458 analytical method Methods 0.000 claims description 7
- 230000009471 action Effects 0.000 claims description 6
- 230000002787 reinforcement Effects 0.000 claims description 4
- 230000015572 biosynthetic process Effects 0.000 claims description 3
- 238000011835 investigation Methods 0.000 claims description 3
- 230000008569 process Effects 0.000 claims description 3
- 238000009434 installation Methods 0.000 claims description 2
- 230000009466 transformation Effects 0.000 claims 1
- 238000003466 welding Methods 0.000 claims 1
- 229910000831 Steel Inorganic materials 0.000 abstract description 2
- 239000010959 steel Substances 0.000 abstract description 2
- 238000005516 engineering process Methods 0.000 description 17
- 238000006073 displacement reaction Methods 0.000 description 10
- 238000005259 measurement Methods 0.000 description 6
- 238000005553 drilling Methods 0.000 description 5
- 239000000463 material Substances 0.000 description 3
- 238000006243 chemical reaction Methods 0.000 description 2
- 238000005260 corrosion Methods 0.000 description 2
- 230000007547 defect Effects 0.000 description 2
- 238000010586 diagram Methods 0.000 description 2
- 238000011160 research Methods 0.000 description 2
- 239000011435 rock Substances 0.000 description 2
- 238000007665 sagging Methods 0.000 description 2
- 239000000523 sample Substances 0.000 description 2
- 238000012876 topography Methods 0.000 description 2
- 238000004891 communication Methods 0.000 description 1
- 230000001934 delay Effects 0.000 description 1
- 238000011161 development Methods 0.000 description 1
- 230000003993 interaction Effects 0.000 description 1
- 230000005622 photoelectricity Effects 0.000 description 1
- 230000002265 prevention Effects 0.000 description 1
- 239000002689 soil Substances 0.000 description 1
- 230000003068 static effect Effects 0.000 description 1
- 238000006467 substitution reaction Methods 0.000 description 1
Images
Classifications
-
- G—PHYSICS
- G01—MEASURING; TESTING
- G01B—MEASURING LENGTH, THICKNESS OR SIMILAR LINEAR DIMENSIONS; MEASURING ANGLES; MEASURING AREAS; MEASURING IRREGULARITIES OF SURFACES OR CONTOURS
- G01B11/00—Measuring arrangements characterised by the use of optical techniques
- G01B11/16—Measuring arrangements characterised by the use of optical techniques for measuring the deformation in a solid, e.g. optical strain gauge
-
- G—PHYSICS
- G01—MEASURING; TESTING
- G01C—MEASURING DISTANCES, LEVELS OR BEARINGS; SURVEYING; NAVIGATION; GYROSCOPIC INSTRUMENTS; PHOTOGRAMMETRY OR VIDEOGRAMMETRY
- G01C9/00—Measuring inclination, e.g. by clinometers, by levels
-
- G—PHYSICS
- G08—SIGNALLING
- G08B—SIGNALLING OR CALLING SYSTEMS; ORDER TELEGRAPHS; ALARM SYSTEMS
- G08B21/00—Alarms responsive to a single specified undesired or abnormal condition and not otherwise provided for
- G08B21/02—Alarms for ensuring the safety of persons
- G08B21/10—Alarms for ensuring the safety of persons responsive to calamitous events, e.g. tornados or earthquakes
-
- G—PHYSICS
- G08—SIGNALLING
- G08C—TRANSMISSION SYSTEMS FOR MEASURED VALUES, CONTROL OR SIMILAR SIGNALS
- G08C17/00—Arrangements for transmitting signals characterised by the use of a wireless electrical link
- G08C17/02—Arrangements for transmitting signals characterised by the use of a wireless electrical link using a radio link
-
- Y—GENERAL TAGGING OF NEW TECHNOLOGICAL DEVELOPMENTS; GENERAL TAGGING OF CROSS-SECTIONAL TECHNOLOGIES SPANNING OVER SEVERAL SECTIONS OF THE IPC; TECHNICAL SUBJECTS COVERED BY FORMER USPC CROSS-REFERENCE ART COLLECTIONS [XRACs] AND DIGESTS
- Y02—TECHNOLOGIES OR APPLICATIONS FOR MITIGATION OR ADAPTATION AGAINST CLIMATE CHANGE
- Y02A—TECHNOLOGIES FOR ADAPTATION TO CLIMATE CHANGE
- Y02A50/00—TECHNOLOGIES FOR ADAPTATION TO CLIMATE CHANGE in human health protection, e.g. against extreme weather
Landscapes
- Physics & Mathematics (AREA)
- General Physics & Mathematics (AREA)
- Engineering & Computer Science (AREA)
- Environmental & Geological Engineering (AREA)
- Remote Sensing (AREA)
- Life Sciences & Earth Sciences (AREA)
- Radar, Positioning & Navigation (AREA)
- General Life Sciences & Earth Sciences (AREA)
- Geology (AREA)
- Business, Economics & Management (AREA)
- Emergency Management (AREA)
- Computer Networks & Wireless Communication (AREA)
- Testing Or Calibration Of Command Recording Devices (AREA)
- Pit Excavations, Shoring, Fill Or Stabilisation Of Slopes (AREA)
Abstract
本发明提供一种大量程全天候滑坡体倾斜变形监测装置及方法,该装置包括支座、传力杆、太阳能板、数据监测装置、滑坡体变形数据分析预警系统,所述数据监测装置包括激光发生器、带坐标的光电感应板、光电控制器以及无线传输装置。三个支座的一端固定于滑坡体内,三个支座的另一端分别通过传力杆与所述数据监测装置连接,所述带坐标的光电感应板设于激光发生器下方,光电控制器与激光发生器和带坐标的光电感应板电性连接,所述无线传输装置与所述光电控制器连接。本发明是利用地球重力方向始终竖直向下不变的特性,把重力方向作为滑坡体变形的基准线,实现了高精度、大量程和不受外界气候、通视条件影响的全天候监测。
Description
技术领域
本发明涉及地质滑坡体倾斜变形监测领域,具体是一种大量程全天候滑坡体倾斜变形监测装置及方法。
背景技术
为减少滑坡灾害带来的严重危害,科学准确的预测预报是关键。滑坡的发生、发展、演化过程,伴随着大量宏观可测物理信息的改变,如地表位移、深部位移、地表倾角、岩土体压力等。通过实时监测上述物理信息的变化,可以及时地、准确地实现对滑坡体运行状态的预报。
传统监测技术主要分为地表位移监测技术和深部位移监测技术。典型的地表位移监测技术如通过导航卫星与地面接收机之间的信号交互获知地面测点的绝对位移量的GPS全球定位监测技术,该项技术需要地面良好的通视条件,监测精度受雨天、雾天等外界不良天气的影响更大,且观测距离的增加,其监测精度也将会大大降低。典型的深部位移监测技术如采用移动式测斜仪在测量管内安装导轨,每次测量时,通过带有倾角传感器的活动探头自上而下从导轨内部划过,逐点记录各测点的角度变化量,并最终计算出各测点的侧向位移的钻孔倾斜测量技术,钻孔倾斜监测技术监测精度高,但当深部位移较大或滑面发生错动时,测斜仪的探头容易发生卡位现象,无法反映过大的角度变化,另外该项技术需要钻孔,且钻孔深度要大于滑动面的深度,监测成本高,尤其在复杂地形地貌条件下难以实施。
近年来,InSAR技术作为现代新型技术手段之一,在国内外开展了大量研究工作,研究表明:该项技术不仅可以体现滑坡体静态信息,也可以体现滑坡体的动态变化规律,具有大面积、全天候、高精度的特点,但是,滑坡发生地区多为山区,尤其是我国西南地区,植被茂密,InSAR技术受时空和大气延迟等影响,常常致使监测结果不能准确反映滑坡体的形变信息。
发明内容
本发明的目的在于提供一种大量程全天候滑坡体倾斜变形监测装置及方法,解决了传统监测技术需要钻孔,费用高、监测仪器量程小等问题,也解决了当前先进监测技术如INSAR监测技术受雨天、雾天等不良天气和通视条件影响导致监测结果不能准确反映滑坡体倾斜的形变信息的问题,实现了高精度、大量程和不受外界气候、通视条件影响的全天候监测。
为解决上述技术问题,本发明采用如下技术方案:
一种大量程全天候滑坡体倾斜变形监测装置,包括支座、传力杆、太阳能板、数据监测装置、滑坡体变形数据分析预警系统,所述数据监测装置包括激光发生器、带坐标的光电感应板、光电控制器以及无线传输装置;三个支座的一端固定于滑坡体内,三个支座的另一端分别通过传力杆与所述数据监测装置连接,所述带坐标的光电感应板设于激光发生器下方,光电控制器与激光发生器和带坐标的光电感应板电性连接,所述无线传输装置与所述光电控制器连接;所述带坐标的光电感应板用于在滑坡体发生倾斜变形时,感应数据监测装置变形后导致激光发生器发射的光线路径偏离初始路径后的平面坐标,所述无线传输装置用于将带坐标的光电感应板所感应到的平面坐标无线传送到滑坡体变形数据分析预警系统,所述滑坡体倾斜变形数据分析预警系统用于根据接收的平面坐标计算滑坡体倾斜变形量,绘制滑坡体倾斜变形量随监测时间的变化关系、分析滑坡体的滑移方向和滑移趋势。
进一步的,三个支座在滑坡体的安装位置连线构成等边三角形,支座长度大于1.0m,一端埋入滑坡体内,采用混凝土浇筑,另一端外露且固定一个铰链的铰座。
进一步的,所述传力杆的数量为三个,传力杆的一端与支座外露的铰座采用铰链连接,另一端与数据监测装置采用刚性连接,形成稳定的三角形支架,确保数据监测装置悬于空中,不与地面接触。
进一步的,所述太阳能板位于数据监测装置上表面,为数据监测装置提供动力能源。
进一步的,所述太阳能板的电缆线与光电控制器以及无线传输装置的电源相连接,激光发生器的电缆与光电控制器相连接。
进一步的,所述数据监测装置形状为密闭的圆柱筒,圆柱筒上部为顶部盖板,顶部盖板的上表面固定与太阳能板相连接的装置,顶部盖板的下表面安装三个悬挂装置,三个悬挂装置呈等边三角形布置,悬挂装置用于悬挂激光发生器,在重力作用下,激光发生器发射的激光方向始终与重力方向保持一致,圆柱筒底部固定带坐标的光电感应板,所述激光发生器发射的激光竖直射向带坐标的光电感应板上。
进一步的,所述圆柱筒高度为1.0m,直径为0.5m,圆柱筒由三个长度为1.0m的主筋和三个直径为0.5m的圆形箍筋焊接而成,三个主筋沿圆柱筒周围均匀布置,三个箍筋安装在主筋的上部、中部和下部。
进一步的,所述光电控制器用于控制激光发生器的发射频率和光电感应信号的形成,并将带坐标的光电感应板所感应到的平面坐标无线传送到滑坡体变形数据分析预警系统。
一种大量程全天候滑坡体倾斜变形监测方法,使用上述装置进行,所述方法包括如下步骤:
步骤1:对滑坡体进行实地调查,制定监测方案,选取监测点的位置;
步骤2:安装支座:以监测点为圆心,以R为半径的圆周上取3 点,3点连线组成等边三角线,三个支座分别固定在三个点对应的位置上,使其与滑坡体成为一个整体;
步骤3:取三个传力杆,传力杆的一端通过铰链与支座外露端链接,传力杆的另一端与数据监测装置的上部侧面进行刚性连接,数据监测装置不与滑坡体表面接触;
步骤4:调节光电控制器的各项参数,开启无线传输装置,设置倾斜变形阈值,调整光点的初始位置,并将初始位置传送到后台的滑坡体倾斜变形数据分析预警系统保存;
步骤5:开启整个监测系统,在监测过程中,若滑坡体发生不均匀变形,滑坡体倾斜变形通过支座、传力杆传递到数据监测装置,使数据监测装置发生倾斜变形,导致激光发生器重力方向偏离初始重力方向,激光照射到带坐标的光电感应板上的坐标发生改变,并实时将光点坐标传送到后台的滑坡体倾斜变形数据分析预警系统进行处理、分析和比较,计算出倾角值,进一步可以确定滑坡体滑动方向,当变形量或变形速率超过阈值,系统发出预警信号。
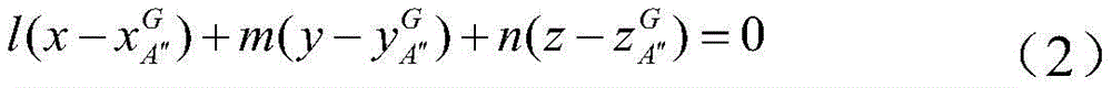
进一步的,滑坡体倾斜变形数据分析预警系统在数据处理分析过程中,首先假定oxyz为筒体全局坐标系,变形后上平面的倾向和倾角分别为α和β,即绕z轴逆时针旋转α,绕x轴逆时针旋转β;
获得A″、B″和C″三点的全局坐标后,首先通过此三点构造一个通过该三点的空间平面,记该平面在全局坐标下的单位法线矢量为 (l,m,n):
将A、B和C三点的全局坐标分别代入(2)式,得到下式:
求解联立方程,即可得到(l,m,n):
即可计算获得筒体倾斜变形后上下平面倾向α和倾角β:
β=arcsin(n)
本发明是利用重力方向始终竖直向下不变的特性,滑坡体的倾斜变形通过支座、连接杆的传递,导致数据监测装置发生转动,再利用数据监测装置内部的光电感应装置感应光点坐标位置变化,进而预测滑坡体的倾斜变形情况,适用于通视条件不良的复杂山区的滑坡体监测,也不会因不良天气降低监测结果的准确性,可准确预报滑坡体的倾斜变形方向。
利用该装置进行滑坡体倾斜变形监测,主要优点体现在以下几方面:
(1)适用于复杂天气条件下的滑坡体倾斜变形监测,克服了目前最新流行的inSAR技术变形监测结果受雾天、雨天等不良天气影响较大的缺陷;
(2)量程大,本发明的测量量程和测量分辨率与数据监测装置的筒体直径和高度有关,测量分辨率与圆柱筒高度成正比,高度越大,分辨率越高,圆柱筒直径越大,激光发生器的间距以及与圆柱筒内壁的距离相应增大,测量量程就越大,克服了传统的倾斜变形监测方法如钻孔倾斜仪量程小,滑坡体倾斜变形较大时容易被损坏的缺陷;
(3)精度高,可以准确预测滑坡体的滑动方向,为滑坡体的防治赢得时间;
(4)不需要知道滑动面的深度,克服了传统倾斜变形监测方法如钻孔倾斜仪、多点位移计均要求监测基点应位于不动岩体内;
(5)不需要钻孔,成本相对较低,操作简单,适用于复杂的地形地貌;
(6)监测数据通过无线传输,实现全天候在线监测。
附图说明
图1是本发明大量程全天候滑坡体倾斜变形监测装置其中一个实施例的结构示意图;
图2是本发明实施例支座初始状态坐标,即倾斜变形前的初始状态;
图3是本发明实施例变形后坐标变化示意图。
图中:1—支座、2—传力杆、3—太阳能板、4—顶部盖板、5—激光发生器、6—数据监测装置、7—带坐标的光电感应板、8—光电控制器、9—无线传输装置、10—滑坡体变形数据分析预警系统。
具体实施方式
下面将结合本发明中的附图,对本发明中的技术方案进行清楚、完整地描述。
请参阅图1及图2,本发明滑坡体倾斜变形监测装置包括支座1、传力杆2、太阳能板3、数据监测装置6和滑坡体倾斜变形数据分析预警系统10,其中数据监测装置6包括激光发生器5、带坐标的光电感应板7、光电控制器8和无线传输装置9,光电控制器8与激光发生器5和带坐标的光电感应板(7)电性连接,用于控制激光发生器 5的发射频率和光电感应信号的形成,并将模拟信号转化为光电数值信号;所述无线传输装置9与所述光电控制器8连接,用于将所感应到的平面坐标(光电数值信号)无线传送到滑坡体变形数据分析预警系统4进行处理,所述滑坡体倾斜变形数据分析预警系统10用于根据接收的平面坐标计算变形量,绘制变形量随监测时间的变化趋势,根据变化趋势判断滑坡体的变化情况。
所述支座1数量为三个,每个支座1所用材料为防腐蚀刚性材料,不易变形,可采用工字钢或角钢,支座1长度大于1.0m。三个支座1 固定在滑坡体上,三个支座1的位置的连线构成1个等边三角形,三个支座覆盖面积大小可根据滑坡体的地形地貌等因素综合确定。支座 1的一端插入滑坡体内固定,采用混凝土浇筑,支座1另一端外露 20cm,外露端端头固定一个铰链的铰座。
所述传力杆2数量为三个,其一端通过铰链与支座1的固定铰链铰座相连,另一端与数据监测装置6的上部刚性连接,三个传力杆2 组成一个三角形支架支撑数据监测装置6,使数据监测装置6不与地面接触,且在外界作用下不得晃动。
所述数据监测装置6为密闭的圆柱筒,高度为1.0m,直径为0.5m。圆柱筒由三个长度为1.0m的主筋和三个直径为0.5m的圆形箍筋焊接而成,三个主筋沿圆柱筒周围均匀布置,三个箍筋安装在主筋的上部、中部和下部。圆柱筒上部为直径0.5m的圆形顶部盖板4,与主筋相接固定,顶部盖板4的上表面固定与太阳能板3相连接的装置,顶部盖板4的下表面安装三个悬挂装置,三个悬挂装置呈等边三角形布置,均距盖板边缘10cm,悬挂装置用于悬挂激光发生器5,在重力作用下,激光发生器发射5的激光方向始终与重力方向保持一致。
所述圆柱筒内还设有带坐标的光电感应板7、光电控制系统8和无线传输装置9,所述激光发生器5发射的激光竖直射向圆柱筒下部的带坐标的光电感应板7上。所述带坐标的光电感应板7固定在距圆柱筒底部20cm高的位置。在带坐标的光电感应板7和圆柱体底板形成20cm的内部空间,用于安装光电控制器8和无线传输装置9,所述光电控制器8和所述无线传输装置9可安装在圆柱筒底部的内表面。所述滑坡体倾斜变形数据分析预警系统10安装在后台的计算机里,与所述数据监测装置6的无线传输装置9进行无线通信。
太阳能板3的电缆线通过上部小孔沿圆柱筒的内壁牵引到与光电控制器8以及无线传输装置9的电源相连接,激光发生器5的电缆沿圆柱筒内壁牵引与光电控制器8相连接。用防腐材料对圆柱筒进行密封,防止外界作用(如自然风)造成悬挂的自然下垂激光发生器5 产生晃动。
当滑坡体发生倾斜变形时,所述支座1将与滑坡体一起运动,由于所述传力杆2通过刚性方式将所述支座1和所述数据监测装置6连接成一个整体,所述支座1的变形将通过传力杆2传递给所述数据监测装置6,所述数据监测装置6发生倾斜变形,导致所述数据监测装置6中自然下垂的激光发生器5发射的光线路径偏离初始路径,并被数据监测装置6中带坐标的光电感应板7所感应,将所感应到的平面坐标通过无线传输装置9传送到滑坡体变形数据分析预警系统10进行处理,计算变形量,绘制变形量随监测时间的变化趋势,进而判断滑坡体的变化情况。
本发明实施例还提供一种大量程全天候滑坡体倾斜变形监测按方法,其采用上述大量程全天候滑坡体倾斜变形监测装置进行,所述方法包括如下步骤:
步骤1:对滑坡体进行实地调查,制定监测方案,选取监测点的位置。
步骤2:安装支座1:以监测点为圆心,以R为半径的圆周上取 3点,3点连线组成等边三角线,三个支座1分别固定在三个点对应的位置上,使其与滑坡体成为一个整体。
步骤3:取三个传力杆2,传力杆2的一端通过铰链与支座1外露端链接,传力杆2的另一端与数据监测装置6的上部侧面的主筋进行刚性连接,使数据监测装置2不得与滑坡体表面接触;
步骤4:调节光电控制器8的各项参数,如激光发生器的发射频率,开启无线传输装置9,设置变形阈值,调整光点的初始位置,并将初始位置传送到后台的滑坡体变形数据分析预警系统4保存。
步骤5:开启整个监测系统。在监测过程中,若滑坡体发生不均匀变形,滑坡体倾斜变形通过支座1、传力杆2传递到数据监测装置 6,使数据监测装置6发生转动,导致激光发生器5重力方向偏离初始重力方向,激光照射到带坐标的光电感应板7上的坐标发生改变,并实时将光点坐标传送到后台的滑坡体倾斜变形数据分析预警系统 10进行处理、分析和比较,当倾斜变形量或变形速率超过阈值,系统发出预警信号。
在数据处理分析过程中,首先假定oxyz为筒体全局坐标系(如图2所示),变形后上平面的倾向和倾角分别为α和β,即绕z轴逆时针旋转α,绕x轴逆时针旋转β,记A″、B″和C″三点在局部坐标系下的实时坐标分别为和记A″、B″和 C″三点在全局大地坐标下的坐标为和全局坐标与局部坐标之间的转换关系如下式:
获得A″、B″和C″三点的全局坐标后,首先通过此三点构造一个通过该三点的空间平面,记该平面在全局坐标下的单位法线矢量为 (l,m,n):
将A、B和C三点的全局坐标分别代入式(2),可以得到下式:
求解联立方程,即可得到(l,m,n)
即可计算获得变形后上下平面倾角α和β:
β=arcsin(n)
本发明是利用重力方向始终竖直向下不变的特性,滑坡体的倾斜变形通过支座、传力杆的传递,将滑坡体形变传递给数据监测装置,导致数据监测装置发生发生转动(倾斜变形),数据监测装置中的激光发生器在重力作用下,发出的激光射向光电感应板的位置发生改变,再利用数据监测装置内部的光电感应装置感应光点位置的变化,通过无线传输装置将位置坐标传送到后台的滑坡体倾斜变形数据分析预警系统进行处理,分析和比较,进而预测滑坡体的倾斜变形情况。利用该装置进行滑坡体倾斜变形监测,不需要钻孔,具有量程大、精度高等优点,适用于通视条件不良的复杂山区的滑坡体监测,也不会因不良天气降低监测结果的准确性,可准确预报滑坡体的倾斜变形和方向,同时解决了国内外不管是传统监测方法还是当前热门的监测方法受通视条件或气候对监测结果的影响问题,具有监测量程大,可以预报滑坡体的滑移程度和滑移方向。
本说明书未作详细描述的内容属于本领域专业技术人员公知的现有技术。
以上所述,仅为本发明的具体实施方式,但本发明的保护范围并不局限于此,任何属于本技术领域的技术人员在本发明揭露的技术范围内,可轻易想到的变化或替换,都应涵盖在本发明的保护范围之内。因此,本发明的保护范围应该以权利要求的保护范围为准。
Claims (10)
1.一种大量程全天候滑坡体倾斜变形监测装置,其特征在于:包括支座(1)、传力杆(2)、太阳能板(3)、数据监测装置(6)、滑坡体变形数据分析预警系统(10),所述数据监测装置(6)包括激光发生器(5)、带坐标的光电感应板(7)、光电控制器(8)以及无线传输装置(9);三个支座(1)的一端固定于滑坡体内,三个支座(1)的另一端分别通过传力杆(2)与所述数据监测装置(6)连接,所述带坐标的光电感应板(7)设于激光发生器(5)下方,光电控制器(8)与激光发生器(5)和带坐标的光电感应板(7)电性连接,所述无线传输装置(9)与所述光电控制器(8)连接;所述带坐标的光电感应板(7)用于在滑坡体发生倾斜变形时,感应数据监测装置(6)变形后导致激光发生器(5)发射的光线路径偏离初始路径后的平面坐标,所述无线传输装置(9)用于将带坐标的光电感应板(7)所感应到的平面坐标无线传送到滑坡体变形数据分析预警系统(10),所述滑坡体倾斜变形数据分析预警系统(10)用于根据接收的平面坐标计算滑坡体倾斜变形量,绘制滑坡体倾斜变形量随监测时间的变化关系、分析滑坡体的滑移方向和滑移趋势。
2.如权利要求1所述一种大量程全天候滑坡体倾斜变形监测装置,其特征在于:三个支座(1)在滑坡体的安装位置连线构成等边三角形,支座(1)长度大于1.0m,一端埋入滑坡体内,采用混凝土浇筑,另一端外露且固定一个铰链的铰座。
3.如权利要求2所述一种大量程全天候滑坡体倾斜变形监测装置,其特征在于:所述传力杆(2)的数量为三个,传力杆(2)的一端与支座(1)外露的铰座采用铰链连接,另一端与数据监测装置(6)采用刚性连接,形成稳定的三角形支架,确保数据监测装置(6)悬于空中,不与地面接触。
4.如权利要求1所述一种大量程全天候滑坡体倾斜变形监测装置,其特征在于:所述太阳能板(3)位于数据监测装置(6)上表面,为数据监测装置(6)提供动力能源。
5.如权利要求4所述一种大量程全天候滑坡体倾斜变形监测装置,其特征在于:所述太阳能板(3)的电缆线与光电控制器(8)以及无线传输装置(9)的电源相连接,激光发生器(5)的电缆与光电控制器8相连接。
6.如权利要求4所述一种大量程全天候滑坡体倾斜变形监测装置,其特征在于:所述数据监测装置(6)形状为密闭的圆柱筒,圆柱筒上部为顶部盖板(4),顶部盖板(4)的上表面固定与太阳能板(3)相连接的装置,顶部盖板(4)的下表面安装三个悬挂装置,三个悬挂装置呈等边三角形布置,悬挂装置用于悬挂激光发生器(5),在重力作用下,激光发生器发射的激光方向始终与重力方向保持一致,圆柱筒底部固定带坐标的光电感应板(7),所述激光发生器(5)发射的激光竖直射向带坐标的光电感应板(7)上。
7.如权利要求6所述一种大量程全天候滑坡体倾斜变形监测装置,其特征在于:所述圆柱筒高度为1.0m,直径为0.5m,圆柱筒由三个长度为1.0m的主筋和三个直径为0.5m的圆形箍筋焊接而成,三个主筋沿圆柱筒周围均匀布置,三个箍筋安装在主筋的上部、中部和下部。
8.如权利要求1所述一种大量程全天候滑坡体倾斜变形监测装置,其特征在于:所述光电控制器(8)用于控制激光发生器(5)的发射频率和光电感应信号的形成,并将带坐标的光电感应板(7)所感应到的平面坐标无线传送到滑坡体变形数据分析预警系统(4)。
9.一种大量程全天候滑坡体倾斜变形监测方法,其特征在于使用权利要求1-8中任一项所述装置进行,所述方法包括如下步骤:
步骤1:对滑坡体进行实地调查,制定监测方案,选取监测点的位置;
步骤2:安装支座(1):以监测点为圆心,以R为半径的圆周上取3点,3点连线组成等边三角线,三个支座(1)分别固定在三个点对应的位置上,使其与滑坡体成为一个整体;
步骤3:取三个传力杆(2),传力杆(2)的一端通过铰链与支座(1)外露端链接,传力杆(2)的另一端与数据监测装置(6)的上部侧面进行刚性连接,数据监测装置(6)不与滑坡体表面接触;
步骤4:调节光电控制器(8)的各项参数,开启无线传输装置(9),设置倾斜变形阈值,调整光点的初始位置,并将初始位置传送到后台的滑坡体倾斜变形数据分析预警系统(10)保存;
步骤5:开启整个监测系统,在监测过程中,若滑坡体发生不均匀变形,滑坡体倾斜变形通过支座(1)、传力杆(2)传递到数据监测装置(6),使数据监测装置(6)发生倾斜变形,导致激光发生器(5)重力方向偏离初始重力方向,激光照射到带坐标的光电感应板上的坐标发生改变,并实时将光点坐标传送到后台的滑坡体倾斜变形数据分析预警系统(10)进行处理、分析和比较,计算出倾角值,进一步可以确定滑坡体滑动方向,当变形量或变形速率超过阈值,系统发出预警信号。
10.如权利要求9所述的一种大量程全天候滑坡体倾斜变形监测方法,其特征在于:
滑坡体倾斜变形数据分析预警系统(10)在数据处理分析过程中,首先假定oxyz为筒体全局坐标系,变形后上平面的倾向和倾角分别为α和β,即绕z轴逆时针旋转α,绕x轴逆时针旋转β;
获得A″、B″和C″三点的全局坐标后,首先通过此三点构造一个通过该三点的空间平面,记该平面在全局坐标下的单位法线矢量为(l,m,n):
将A、B和C三点的全局坐标分别代入(2)式,得到下式:
求解联立方程,即可得到(l,m,n):
即可计算获得筒体倾斜变形后上下平面倾向α和倾角β:
β=arcsin(n)
Priority Applications (1)
| Application Number | Priority Date | Filing Date | Title |
|---|---|---|---|
| CN202210191999.7A CN114577134B (zh) | 2022-03-01 | 2022-03-01 | 一种大量程全天候滑坡体倾斜变形监测装置及方法 |
Applications Claiming Priority (1)
| Application Number | Priority Date | Filing Date | Title |
|---|---|---|---|
| CN202210191999.7A CN114577134B (zh) | 2022-03-01 | 2022-03-01 | 一种大量程全天候滑坡体倾斜变形监测装置及方法 |
Publications (2)
| Publication Number | Publication Date |
|---|---|
| CN114577134A true CN114577134A (zh) | 2022-06-03 |
| CN114577134B CN114577134B (zh) | 2023-08-15 |
Family
ID=81777165
Family Applications (1)
| Application Number | Title | Priority Date | Filing Date |
|---|---|---|---|
| CN202210191999.7A Active CN114577134B (zh) | 2022-03-01 | 2022-03-01 | 一种大量程全天候滑坡体倾斜变形监测装置及方法 |
Country Status (1)
| Country | Link |
|---|---|
| CN (1) | CN114577134B (zh) |
Cited By (3)
| Publication number | Priority date | Publication date | Assignee | Title |
|---|---|---|---|---|
| CN115561735A (zh) * | 2022-10-10 | 2023-01-03 | 中铁二局第四工程有限公司 | 一种激光雷达检测点设定装置及其检测点的坐标提取方法 |
| CN117073634A (zh) * | 2023-08-18 | 2023-11-17 | 苏州奥格瑞玛仓储设备有限公司 | 货架倾斜监测预警系统 |
| CN118031807A (zh) * | 2022-11-14 | 2024-05-14 | 长庆工程设计有限公司 | 边坡侧滑自动监测装置 |
Citations (8)
| Publication number | Priority date | Publication date | Assignee | Title |
|---|---|---|---|---|
| JP2007285989A (ja) * | 2006-04-20 | 2007-11-01 | Wako Sokki:Kk | 地滑りの計測方法及び計測装置 |
| KR20080002092A (ko) * | 2006-06-30 | 2008-01-04 | 주식회사 케이티 | 무선센서 네트워크에 의한 산사태 감지 모니터링 시스템 |
| JP2008139195A (ja) * | 2006-12-04 | 2008-06-19 | Yunitekku:Kk | 地滑り測定方法 |
| CN201540087U (zh) * | 2009-08-18 | 2010-08-04 | 中国科学院武汉岩土力学研究所 | 一种无通视高陡边坡变形监测装置 |
| CN103196384A (zh) * | 2013-03-26 | 2013-07-10 | 辽宁工程技术大学 | 一种用于危险边坡变形监测的棱镜装置 |
| CN105526908A (zh) * | 2015-09-16 | 2016-04-27 | 鞍钢集团矿业公司 | 一种三维激光扫描和gps相结合的边坡监测方法 |
| CN110849322A (zh) * | 2019-12-03 | 2020-02-28 | 国网湖北省电力有限公司电力科学研究院 | 一种输电线路塔基三维位移轨迹高精度监测方法 |
| CN110984249A (zh) * | 2019-12-12 | 2020-04-10 | 河南恒宇工程管理有限公司 | 一种基坑变形实时监测系统 |
-
2022
- 2022-03-01 CN CN202210191999.7A patent/CN114577134B/zh active Active
Patent Citations (8)
| Publication number | Priority date | Publication date | Assignee | Title |
|---|---|---|---|---|
| JP2007285989A (ja) * | 2006-04-20 | 2007-11-01 | Wako Sokki:Kk | 地滑りの計測方法及び計測装置 |
| KR20080002092A (ko) * | 2006-06-30 | 2008-01-04 | 주식회사 케이티 | 무선센서 네트워크에 의한 산사태 감지 모니터링 시스템 |
| JP2008139195A (ja) * | 2006-12-04 | 2008-06-19 | Yunitekku:Kk | 地滑り測定方法 |
| CN201540087U (zh) * | 2009-08-18 | 2010-08-04 | 中国科学院武汉岩土力学研究所 | 一种无通视高陡边坡变形监测装置 |
| CN103196384A (zh) * | 2013-03-26 | 2013-07-10 | 辽宁工程技术大学 | 一种用于危险边坡变形监测的棱镜装置 |
| CN105526908A (zh) * | 2015-09-16 | 2016-04-27 | 鞍钢集团矿业公司 | 一种三维激光扫描和gps相结合的边坡监测方法 |
| CN110849322A (zh) * | 2019-12-03 | 2020-02-28 | 国网湖北省电力有限公司电力科学研究院 | 一种输电线路塔基三维位移轨迹高精度监测方法 |
| CN110984249A (zh) * | 2019-12-12 | 2020-04-10 | 河南恒宇工程管理有限公司 | 一种基坑变形实时监测系统 |
Non-Patent Citations (1)
| Title |
|---|
| 周航;刘乐军;王东亮;李萍;高伟;周庆杰;杨庆乐;: "滑坡监测系统在北长山岛山后村山体滑坡监测中的应用", 海洋学报, no. 01 * |
Cited By (4)
| Publication number | Priority date | Publication date | Assignee | Title |
|---|---|---|---|---|
| CN115561735A (zh) * | 2022-10-10 | 2023-01-03 | 中铁二局第四工程有限公司 | 一种激光雷达检测点设定装置及其检测点的坐标提取方法 |
| CN118031807A (zh) * | 2022-11-14 | 2024-05-14 | 长庆工程设计有限公司 | 边坡侧滑自动监测装置 |
| CN117073634A (zh) * | 2023-08-18 | 2023-11-17 | 苏州奥格瑞玛仓储设备有限公司 | 货架倾斜监测预警系统 |
| CN117073634B (zh) * | 2023-08-18 | 2024-03-08 | 苏州奥格瑞玛仓储设备有限公司 | 货架倾斜监测预警系统 |
Also Published As
| Publication number | Publication date |
|---|---|
| CN114577134B (zh) | 2023-08-15 |
Similar Documents
| Publication | Publication Date | Title |
|---|---|---|
| CN114577134A (zh) | 一种大量程全天候滑坡体倾斜变形监测装置及方法 | |
| CN112880639A (zh) | 一种基于三维激光扫描监测采矿塌陷区地面沉降的方法 | |
| CN104596405B (zh) | 地下雨污管道变形接触式实时监测装置与方法 | |
| CN206959778U (zh) | 一种基于滑坡体位移和坡度姿态变化的监测系统 | |
| CN106705939B (zh) | 一种坡体倾斜快速测量装置及方法 | |
| CN205861000U (zh) | 一种隧道变形监测装置 | |
| CN208059856U (zh) | 基于直角三角形原理的隧道沉降位移监测装置 | |
| CN110186442A (zh) | 固定于钻机的开孔定向测量装置及方法 | |
| CN112326790B (zh) | 一种超声波成孔检测探头装置及其检测方法 | |
| CN116625263B (zh) | 基于云处理技术的隧道变形监测分析方法 | |
| CN111623747B (zh) | 一种地表沉降监测系统及其监测方法 | |
| CN117970512A (zh) | 车载时频重力位测量系统 | |
| Fan et al. | Real-time monitoring instrument designed for the deformation and sliding period of colluvial landslides | |
| CN117471558A (zh) | 一种用于钻爆施工隧道的孔内瞬变电磁地质预报方法 | |
| CN114689017B (zh) | 一种用于岩土工程边坡的智能监测预警装置 | |
| CN111486781A (zh) | 一种基于gnss技术的深层位移监测装置及方法 | |
| CN107727152B (zh) | 野外自动土壤侵蚀监测装置及监测方法 | |
| CN112359884B (zh) | 一种超声波成槽检测探头装置及其检测方法 | |
| CN113654596A (zh) | 一种深基坑监测装置 | |
| CN206430721U (zh) | 坡体倾斜快速测量装置 | |
| CN106705929A (zh) | 建筑物倾斜动态测量仪及其使用方法 | |
| CN114593711B (zh) | 非接触地下管道二维毫米级沉降实时监控方法 | |
| CN215639587U (zh) | 一种深基坑监测装置 | |
| CN213932334U (zh) | 传感集成装置及深井测斜检测监测装置 | |
| CN206459653U (zh) | 一种坡面变化监测装置 |
Legal Events
| Date | Code | Title | Description |
|---|---|---|---|
| PB01 | Publication | ||
| PB01 | Publication | ||
| SE01 | Entry into force of request for substantive examination | ||
| SE01 | Entry into force of request for substantive examination | ||
| GR01 | Patent grant | ||
| GR01 | Patent grant |























































