CN114491387B - Method and device for arranging identification equipment of dry separator, electronic equipment and separation system - Google Patents
Method and device for arranging identification equipment of dry separator, electronic equipment and separation system Download PDFInfo
- Publication number
- CN114491387B CN114491387B CN202210352820.1A CN202210352820A CN114491387B CN 114491387 B CN114491387 B CN 114491387B CN 202210352820 A CN202210352820 A CN 202210352820A CN 114491387 B CN114491387 B CN 114491387B
- Authority
- CN
- China
- Prior art keywords
- height range
- interval
- granularity
- particles
- angle
- Prior art date
- Legal status (The legal status is an assumption and is not a legal conclusion. Google has not performed a legal analysis and makes no representation as to the accuracy of the status listed.)
- Active
Links
Images
Classifications
-
- G—PHYSICS
- G06—COMPUTING OR CALCULATING; COUNTING
- G06F—ELECTRIC DIGITAL DATA PROCESSING
- G06F17/00—Digital computing or data processing equipment or methods, specially adapted for specific functions
- G06F17/10—Complex mathematical operations
- G06F17/11—Complex mathematical operations for solving equations, e.g. nonlinear equations, general mathematical optimization problems
-
- B—PERFORMING OPERATIONS; TRANSPORTING
- B07—SEPARATING SOLIDS FROM SOLIDS; SORTING
- B07C—POSTAL SORTING; SORTING INDIVIDUAL ARTICLES, OR BULK MATERIAL FIT TO BE SORTED PIECE-MEAL, e.g. BY PICKING
- B07C5/00—Sorting according to a characteristic or feature of the articles or material being sorted, e.g. by control effected by devices which detect or measure such characteristic or feature; Sorting by manually actuated devices, e.g. switches
- B07C5/02—Measures preceding sorting, e.g. arranging articles in a stream orientating
-
- B—PERFORMING OPERATIONS; TRANSPORTING
- B07—SEPARATING SOLIDS FROM SOLIDS; SORTING
- B07C—POSTAL SORTING; SORTING INDIVIDUAL ARTICLES, OR BULK MATERIAL FIT TO BE SORTED PIECE-MEAL, e.g. BY PICKING
- B07C5/00—Sorting according to a characteristic or feature of the articles or material being sorted, e.g. by control effected by devices which detect or measure such characteristic or feature; Sorting by manually actuated devices, e.g. switches
- B07C5/04—Sorting according to size
- B07C5/10—Sorting according to size measured by light-responsive means
Landscapes
- Engineering & Computer Science (AREA)
- Physics & Mathematics (AREA)
- Mathematical Physics (AREA)
- General Physics & Mathematics (AREA)
- Pure & Applied Mathematics (AREA)
- Mathematical Optimization (AREA)
- Mathematical Analysis (AREA)
- Computational Mathematics (AREA)
- Data Mining & Analysis (AREA)
- Theoretical Computer Science (AREA)
- Operations Research (AREA)
- Algebra (AREA)
- Databases & Information Systems (AREA)
- Software Systems (AREA)
- General Engineering & Computer Science (AREA)
- Analysing Materials By The Use Of Radiation (AREA)
- Combined Means For Separation Of Solids (AREA)
Abstract
The invention provides an arrangement method and device of identification equipment of a dry separator, electronic equipment and a separation system, wherein the method is applied to the dry separator comprising a vibrating feeder and the identification equipment; when the identification equipment is arranged, according to the granularity interval and the preset rotation angle interval of the particles to be sorted by the dry sorting machine, a first height range and a second height range corresponding to the granularity interval are determined, and at least one target height range is further determined. When the rotation angle of the particles belongs to the rotation angle interval, the included angle between the maximum surface of the particles and the vertical plane of the ray irradiation direction of the identification device is smaller than the preset angle, so that the identification device arranged in the target height range can ensure that the size of the projection plane of the particles on the vertical plane meets the particle identification requirement, and the particle identification precision is improved.
Description
Technical Field
The invention relates to the technical field of material sorting, in particular to an arrangement method and device of identification equipment of a dry separator, electronic equipment and a sorting system.
Background
The free falling type dry separator is lack of a belt conveyor which is a stable device for particle speed and posture, so that for particles with higher roundness coefficient, the posture of the particles has little influence on the final recognition result during recognition; however, for flat particles, the size of the projection plane of the flat particles on a plane perpendicular to the irradiation direction of the radiation of the recognition device has a large influence on the recognition result, resulting in low accuracy of particle recognition.
Disclosure of Invention
The invention aims to provide an arrangement method and device of identification equipment of a dry separator, electronic equipment and a separation system, so as to improve the particle identification precision.
In a first aspect, an embodiment of the present invention provides an arrangement method for identification devices of a dry separator, which is applied to a dry separator including a vibrating feeder and identification devices, wherein particles to be separated fall in a free-fall manner after being discharged from the vibrating feeder, and the identification devices are used for identifying the particles falling in the free-fall manner; the arrangement method of the identification equipment of the dry separator comprises the following steps:
obtaining the granularity interval of the particles to be sorted by the dry sorting machine;
determining a first height range corresponding to the maximum value of the granularity interval and a second height range corresponding to the minimum value of the granularity interval according to a preset rotation angle interval; when the rotation angle of the particles belongs to the rotation angle interval, the included angle between the maximum surface of the particles and the vertical plane of the ray irradiation direction of the identification device is smaller than a preset angle; the first height range refers to a falling height range of particles with the largest particle size when the rotation angle is the rotation angle interval, and the second height range refers to a falling height range of particles with the smallest particle size when the rotation angle is the rotation angle interval;
and determining at least one target height range according to the first height range and the second height range corresponding to the granularity interval, so as to arrange a group of identification devices in each target height range respectively.
Further, the rotation angle interval comprises an initial angle interval, the initial angle interval is the Nth rotation angle range of the particles with postures meeting the identification precision requirement after the particles are discharged from the vibrating feeder, and N is an integer greater than or equal to 1; the determining, according to a preset rotation angle interval, a first height range corresponding to a maximum value of the granularity interval and a second height range corresponding to a minimum value of the granularity interval includes:
calculating to obtain a first height range corresponding to the granularity interval according to the maximum value of the granularity interval and the mass of the corresponding particles as well as the maximum angle and the minimum angle of the initial angle interval;
and calculating to obtain a second height range corresponding to the granularity interval according to the minimum value of the granularity interval, the mass of the corresponding particles, and the maximum angle and the minimum angle of the initial angle interval.
Further, the calculating, according to the maximum value of the particle size interval and the mass of the corresponding particles, and the maximum angle and the minimum angle of the starting angle interval, to obtain the first height range corresponding to the particle size interval includes:
substituting the maximum value of the granularity interval, the mass of the corresponding granules and the maximum angle of the initial angle interval into the following formula, and calculating to obtain the maximum height value of the first height range corresponding to the granularity interval:
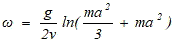
wherein,Hthe value of the height is represented by,βwhich indicates the angle of rotation of the disc,awhich represents the particle size of the particles,mwhich is indicative of the mass of the particles,kwhich represents a pre-set correction factor, is,gwhich represents the acceleration of the force of gravity,vrepresenting the speed of movement of the particles on the vibratory feeder.
Further, the determining at least one target height range according to the first height range and the second height range corresponding to the granularity interval includes:
when the intersection of the first height range and the second height range corresponding to the granularity interval is not an empty set, determining the intersection of the first height range and the second height range corresponding to the granularity interval as a target height range;
when the intersection of the first height range and the second height range corresponding to the granularity interval is an empty set, dividing the granularity interval into two sections to obtain two sections of first granularity subintervals;
for each segment of the first granularity subinterval, determining a first height range corresponding to the maximum value of the first granularity subinterval and a second height range corresponding to the minimum value of the first granularity subinterval; when the intersection of the first height range and the second height range corresponding to the first granularity subinterval is not an empty set, determining the intersection of the first height range and the second height range corresponding to the first granularity subinterval as a height range to be selected; when the intersection of the first height range and the second height range corresponding to the first granularity subinterval is an empty set, continuously dividing the first granularity subinterval into two sections to obtain two sections of second granularity subintervals until the intersection of the first height range and the second height range corresponding to the newly divided granularity subinterval is not an empty set, and determining the intersection of the first height range and the second height range corresponding to the newly divided granularity subinterval as a height range to be selected;
and determining a target height range according to each height range to be selected.
Further, the rotation angle interval includes an initial angle interval and a non-initial angle interval, a minimum angle of the non-initial angle interval is greater than a maximum angle of the initial angle interval, and each initial height range to be selected is determined based on a first height range and a second height range calculated from the initial angle interval; the determining a target height range according to each of the candidate height ranges includes:
sequencing the height ranges to be selected according to the sequence of the maximum height values from small to large;
whether two groups of identification equipment can be accommodated in the adjacent two height ranges to be selected or not is sequentially judged according to the sorting result;
when the judgment result is yes, determining the current two height ranges to be selected as target height ranges;
when the judgment result is negative, determining the current height range to be selected which is ranked in the front of the current two height ranges to be selected as a target height range; updating each height range to be selected after the target height range in the sequencing result based on a current non-starting angle interval, and updating the current non-starting angle interval, wherein the minimum angle of the updated non-starting angle interval is greater than the maximum angle of the non-starting angle interval before updating; and for each updated height range to be selected, re-executing the step of sequencing the height ranges to be selected according to the sequence of the maximum height value from small to large until all target height ranges are determined.
Further, the rotation angle interval comprises (pi/4-3 pi/4) + n x pi, wherein n is an integer greater than or equal to 0.
In a second aspect, an embodiment of the present invention further provides an identification device arrangement apparatus for a dry separator, which is applied to a dry separator including a vibratory feeder and an identification device, wherein particles to be separated fall in a free fall manner after being discharged from the vibratory feeder, and the identification device is configured to identify the particles in the free fall manner; the identification equipment arrangement device of the dry separator comprises:
the particle size obtaining module is used for obtaining a particle size interval of particles to be sorted by the dry sorting machine;
the first determining module is used for determining a first height range corresponding to the maximum value of the granularity interval and a second height range corresponding to the minimum value of the granularity interval according to a preset rotation angle interval; when the rotation angle of the particles belongs to the rotation angle interval, the included angle between the maximum surface of the particles and the vertical plane of the ray irradiation direction of the identification device is smaller than a preset angle; the first height range refers to a falling height range of particles with the largest particle size when the rotation angle is the rotation angle interval, and the second height range refers to a falling height range of particles with the smallest particle size when the rotation angle is the rotation angle interval;
and the second determining module is used for determining at least one target height range according to the first height range and the second height range corresponding to the granularity interval so as to respectively arrange a group of the identification devices in each target height range.
In a third aspect, an embodiment of the present invention further provides an electronic device, including a memory and a processor, where the memory stores a computer program operable on the processor, and the processor, when executing the computer program, implements the method for arranging the identification device of the dry separator according to the first aspect.
In a fourth aspect, an embodiment of the present invention further provides a sorting system, including a dry separator and the electronic device in the third aspect;
the dry separator comprises a vibrating feeder and identification equipment, and the identification equipment is arranged based on a target height range output by the electronic equipment; and the particles to be sorted fall in a free falling mode after being discharged from the vibrating feeder, and the identification equipment is used for identifying the particles falling in the free falling mode.
In a fifth aspect, the embodiment of the present invention further provides a computer-readable storage medium, where a computer program is stored on the computer-readable storage medium, and when the computer program is executed by a processor, the method for arranging the identification device of the dry separator according to the first aspect is executed.
The method and the device for arranging the identification equipment of the dry separator, the electronic equipment and the separation system provided by the embodiment of the invention are applied to the dry separator comprising the vibrating feeder and the identification equipment, particles to be separated fall in a free fall mode after being discharged from the vibrating feeder, and the identification equipment is used for identifying the particles falling in the free fall mode; when the identification equipment is arranged, firstly, acquiring a granularity interval of particles to be sorted by a dry sorting machine; then according to a preset rotation angle interval, determining a first height range corresponding to the maximum value of the granularity interval and a second height range corresponding to the minimum value of the granularity interval; when the rotation angle of the particles belongs to the rotation angle interval, the included angle between the maximum surface of the particles and the vertical plane of the ray irradiation direction of the identification device is smaller than a preset angle; the first height range refers to the falling height range of the particles with the largest particle size when the rotation angle is the rotation angle interval, and the second height range refers to the falling height range of the particles with the smallest particle size when the rotation angle is the rotation angle interval; and determining at least one target height range according to the first height range and the second height range corresponding to the granularity interval so as to arrange a group of identification devices in each target height range respectively. Therefore, the target height range for arranging the recognition device is determined based on the preset rotation angle interval, the recognition device arranged in the target height range can ensure that the included angle between the maximum surface of the particles and the vertical plane of the ray irradiation direction of the recognition device is smaller than the preset angle, namely the size of the projection plane of the particles on the vertical plane meets the particle recognition requirement, and therefore the particle recognition precision is improved.
Drawings
In order to more clearly illustrate the embodiments of the present invention or the technical solutions in the prior art, the drawings used in the description of the embodiments or the prior art will be briefly described below, and it is obvious that the drawings in the following description are some embodiments of the present invention, and other drawings can be obtained by those skilled in the art without creative efforts.
Fig. 1 is a schematic structural diagram of a dry separator according to an embodiment of the present invention;
fig. 2 is a schematic flow chart of an arrangement method of identification equipment of a dry separator according to an embodiment of the present invention;
fig. 3 is a schematic flow chart of another arrangement method of identification equipment of a dry separator according to an embodiment of the present invention;
fig. 4 is a block diagram of an arrangement device of an identification device of a dry separator according to an embodiment of the present invention;
fig. 5 is a block diagram of an electronic device according to an embodiment of the present invention.
Icon: 101-a vibrating feeder; 102-a source of radiation; 103-linear array detector; 104-an execution device; 105-product collection bin.
Detailed Description
The technical solutions of the present invention will be described clearly and completely with reference to the following embodiments, and it should be understood that the described embodiments are some, but not all, embodiments of the present invention. All other embodiments, which can be derived by a person skilled in the art from the embodiments given herein without making any creative effort, shall fall within the protection scope of the present invention.
As shown in fig. 1, the free fall dry separator comprises a vibrating feeder 101, at least one set of identification devices consisting of a source 102 and a line detector 103, an execution device 104 comprising a nozzle, and a product collection bin 105; the particles to be sorted fall in a free falling mode after being discharged from the vibrating feeder 101, the identification device is used for identifying the particles falling in the free falling mode (the radiation source 102 emits X rays and the like, the X rays are detected by the linear array detector 103 after passing through the particles, identification signals are formed in the linear array detector 103, and therefore the material types of the particles are identified), the execution device 104 is used for blowing and striking the corresponding particles through the nozzles based on the identification result of the identification device, the particles of different material types are separated, and the product collection bin 105 is used for collecting the separated corresponding particles through different material collection channels.
For flat particles, the size of their projection plane on a plane perpendicular to the irradiation direction of the radiation from the source 102 has a large influence on the recognition result, and how to ensure that the particles are irradiated with a large posture of the projection plane is the key to improve the accuracy of particle recognition. Through the mode of adding long slide at the discharge gate of vibrating feeder 101, can lead to particle velocity inhomogeneous, and then lead to follow-up execution equipment 104 to hit the precision reduction, can't satisfy the demand of high separation precision. Based on the above, the identification device arrangement method, the identification device arrangement apparatus, the electronic device and the sorting system for the dry sorting machine provided by the embodiments of the present invention meet the maximum requirement of the radiation source on the particle irradiation surface by arranging the identification device at a specific position, so that the particle identification precision can be improved without affecting the particle movement, and further the particle sorting precision can be improved.
For the convenience of understanding the embodiment, the method for arranging the identification device of the dry separator disclosed by the embodiment of the invention is first described in detail.
The embodiment of the invention provides an identification device arrangement method of a dry separator, which can be executed by an electronic device with data processing capacity. Referring to fig. 2, a schematic flow chart of an arrangement method of identification devices of a dry separator mainly includes the following steps S202 to S206:
step S202, the granularity interval of the particles to be sorted of the dry sorting machine is obtained.
Step S204, determining a first height range corresponding to the maximum value of the granularity interval and a second height range corresponding to the minimum value of the granularity interval according to a preset rotation angle interval; when the rotation angle of the particles belongs to the rotation angle interval, the included angle between the maximum surface of the particles and the vertical plane of the ray irradiation direction of the identification device is smaller than a preset angle.
The largest surface of the particle refers to one of the side surfaces of the particle having the largest area, for example, a flat particle can be approximately regarded as a rectangular parallelepiped having 3 pairs of side surfaces each including 2 side surfaces having the same area size and being parallel to each other, and any one of the pair of side surfaces having the largest area among the 6 side surfaces of the particle can be regarded as the largest surface of the particle. The first height range refers to a falling height range of the particles having the largest particle size when the rotation angle is the rotation angle interval, and the second height range refers to a falling height range of the particles having the smallest particle size when the rotation angle is the rotation angle interval, and the particle size refers to the size of the particle size.
Step S206, determining at least one target height range according to the first height range and the second height range corresponding to the granularity interval, and respectively arranging a group of identification devices in each target height range.
According to the method for arranging the identification equipment of the dry separator, when the identification equipment is arranged, the granularity interval of particles to be separated by the dry separator is firstly obtained; then according to a preset rotation angle interval, determining a first height range corresponding to the maximum value of the granularity interval and a second height range corresponding to the minimum value of the granularity interval; when the rotation angle of the particles belongs to the rotation angle interval, the included angle between the maximum surface of the particles and the vertical plane of the ray irradiation direction of the identification device is smaller than a preset angle; the first height range refers to a falling height range of the particles with the largest particle size when the rotation angle is the rotation angle interval, and the second height range refers to a falling height range of the particles with the smallest particle size when the rotation angle is the rotation angle interval; and determining at least one target height range according to the first height range and the second height range corresponding to the granularity interval so as to arrange a group of identification devices in each target height range. Therefore, the target height range for arranging the identification equipment is determined based on the preset rotation angle interval, the identification equipment arranged in the target height range can ensure that the included angle between the maximum surface of the particles and the vertical plane of the ray irradiation direction of the identification equipment is smaller than the preset angle, namely the size of the projection plane of the particles on the vertical plane meets the particle identification requirement, and therefore the particle identification precision is improved.
In some possible embodiments, the rotation angle intervals include a starting angle interval, the starting angle interval is an nth rotation angle range of the particles with postures meeting the identification precision requirement after being discharged from the vibrating feeder, and N is an integer greater than or equal to 1. The rotation angle interval may include a plurality of angle intervals, such as a start angle interval, a second angle interval, and a third angle interval, where the start angle interval is an angle interval with a smallest maximum value among the plurality of angle intervals.
Through test, an angle formed by the maximum surface of the particle and the vertical plane of the radiation direction of the identification device is less than 45 degrees, so that a good identification effect can be achieved, the rotation angle of the particle during horizontal discharging is recorded as 0 degree (at this time, the angle formed by the maximum surface of the particle and the vertical plane of the radiation direction of the identification device is 90 degrees), and the allowable rotation angle range of the particle is as follows: (pi/4-3 pi/4) + n pi, namely (pi/4 + n pi) — (3 pi/4 + n pi), wherein n is an integer greater than or equal to 0, the rotation angle range when n is 0 refers to the 1 st rotation angle range of the particles with the postures meeting the identification precision requirement after being discharged from the vibrating feeder, and the rotation angle range when n is i refers to the i +1 st rotation angle range of the particles with the postures meeting the identification precision requirement after being discharged from the vibrating feeder. Based on the above, the rotation angle interval includes (pi/4-3 pi/4) + n pi; for example, the rotation angle interval includes 3 angle intervals, N =2, and then the starting angle interval is the 2 nd rotation angle range of the particle whose posture meets the identification accuracy requirement after being discharged from the vibrating feeder: (π/4+ π) - (3 π/4+ π); the second angle interval is from vibrating feeder ejection of compact back, and the 3 rd rotation angle range of the granule that the gesture satisfies the requirement of discernment precision: (π/4+2 π) - (3 π/4+2 π); after the third angular interval is discharged from the vibrating feeder, the posture meets the 4 th rotation angle range of the particles with the recognition precision requirement: (π/4+3 π) — (3 π/4+3 π).
When the rotation angle interval includes the starting angle interval, the step S204 may be calculated by: calculating to obtain a first height range corresponding to the granularity interval according to the maximum value of the granularity interval and the mass of the corresponding particles as well as the maximum angle and the minimum angle of the initial angle interval; and calculating to obtain a second height range corresponding to the granularity interval according to the minimum value of the granularity interval and the mass of the corresponding particles as well as the maximum angle and the minimum angle of the initial angle interval.
Further, the embodiment of the present invention further provides a formula for calculating a falling height of the particles:
wherein,Hthe value of the height is represented by,βwhich indicates the angle of rotation of the disc,awhich represents the particle size of the particles,mwhich is indicative of the mass of the particles,kwhich represents a pre-set correction factor, is,gwhich represents the acceleration of the force of gravity,vrepresenting the velocity of the particles moving on the vibratory feeder.
When calculating specifically, can beThe maximum value of the particle size interval and the corresponding mass of the particles, and the maximum angle of the initial angle interval are substituted into the above falling height calculation formula (1), that is, the maximum value of the particle size interval and the corresponding mass of the particles, that is, the maximum angle of the initial angle interval are substituted into the falling height calculation formulaa=The maximum value of the particle size interval,m=Mass sum of particles corresponding to maximum value of particle size intervalβ=Substituting the maximum angle of the initial angle interval into a falling height calculation formula (1), and calculating to obtain the maximum height value of a first height range corresponding to the granularity interval; substituting the maximum value of the particle size interval, the mass of the corresponding particles and the minimum angle of the initial angle interval into a falling height calculation formula (1), and calculating to obtain the minimum height value of a first height range corresponding to the particle size interval; substituting the minimum value of the particle size interval, the mass of the particles corresponding to the minimum value of the particle size interval and the maximum angle of the initial angle interval into a falling height calculation formula (1), and calculating to obtain the maximum height value of a second height range corresponding to the particle size interval; and substituting the minimum value of the particle size interval, the mass of the corresponding particles and the minimum angle of the initial angle interval into a falling height calculation formula (1), and calculating to obtain the minimum height value of a second height range corresponding to the particle size interval.
The above falling height calculation formula (1) is derived by the following procedure:
the vibrating feeder selects the electromagnetic vibrating screen with high frequency and low amplitude (the amplitude is about 1-2 mm), the influence of the amplitude on the particle discharging is ignored, and the flat particles can be equivalent to 2 long particlesaOf mass ofmThe standard rectangular model (the flat particles can be regarded as a cuboid, the length of the cuboid (namely the particle diameter of the particles) is the length of the model, and the thickness of the cuboid is the width of the model), the standard rectangular model starts from the position of a discharge port, the position of the mass center of the particles exceeds the boundary of the screen surface of the electromagnetic vibrating screen, the particles start to rotate due to the moment caused by gravity, and the rotating speed is increased until the particles completely slide out of the screen surface.
Sliding the screening surface out of the center of mass as the initial moment and time zero, i.e.t= 0; the particle slip-out is the final moment in timea/vI.e. byt=a/v,vRepresenting the velocity of movement of the particles. Because the time from the initial time to the final time is shorter, the grains are crushedThe particle speed is regarded as uniform in the process, and the particles are horizontal before completely sliding out of the screen surface, do not rotate and only have the rotation acceleration. For any time in the processtThe rotational torque of the particles ismg*vtThe rotational inertia of the particles isma 2/3+m*(vt)2The angular velocity increase for a very short time of rotation of the particles is then:
proceed from 0-a/vIntegration gives the angular velocity of rotation at which the particles slide out of the screen:
the formula (3) is modified to obtain:
wherein,kthe correction factor is expressed and measured by experiment.
Falling height of particlesHAnd angle of rotationβThe corresponding relation is as follows:
H=gt 2 /2,t=β/ω, (5)
substituting the formula (4) into the formula (5) to obtain the formula (1) for calculating the falling height.
As can be seen from the falling height calculation formula (1), the falling height of the particlesHDepending on the angle of rotation of the particles and the properties of the particles, including the particle size (2) of the particlesa) And mass (m). It should be noted that the thickness of the particles (width of the standard rectangular model) can change the mass by affecting the volume, and thus indirectly affect the rotational angular velocityAnd therefore does not take into account thickness.
For mineral sorting, the average density corresponding to the injected minerals is generally used as the density to calculate the mass, the particle size is the main difference, and the corresponding falling height can be obtained by calculating the rotation angle required by different particle sizes.
In some possible embodiments, the step S206 may be implemented by the following processes:
1. when the intersection of the first height range and the second height range corresponding to the granularity interval is not an empty set, determining the intersection of the first height range and the second height range corresponding to the granularity interval as a target height range;
2. when the intersection of the first height range and the second height range corresponding to the granularity interval is an empty set, dividing the granularity interval into two sections to obtain two sections of first granularity subintervals; for each section of the first granularity subintervals, determining a first height range corresponding to the maximum value of the first granularity subintervals and a second height range corresponding to the minimum value of the first granularity subintervals; when the intersection of the first height range and the second height range corresponding to the first granularity subinterval is not an empty set, determining the intersection of the first height range and the second height range corresponding to the first granularity subinterval as a height range to be selected; when the intersection of the first height range and the second height range corresponding to the first granularity subinterval is an empty set, continuously dividing the first granularity subinterval into two sections to obtain two sections of second granularity subintervals until the intersection of the first height range and the second height range corresponding to the newly divided granularity subinterval is not an empty set, and determining the intersection of the first height range and the second height range corresponding to the newly divided granularity subinterval as a height range to be selected;
3. and determining a target height range according to each height range to be selected.
Each candidate height range may be determined as a target height range, with a set of identification devices being arranged within each target height range.
Considering that two adjacent target height ranges may not accommodate two sets of identification devices, in this embodiment, the rotation angle interval is divided into two types, i.e., a start angle interval and a non-start angle interval, a minimum angle of the non-start angle interval is greater than a maximum angle of the start angle interval, that is, both the second angle interval and the third angle interval may be used as the non-start angle interval, and each initial height range to be selected (i.e., each height range to be selected obtained in the step 2) is determined based on the first height range and the second height range obtained by calculating the start angle interval, and on this basis, the target height range may be determined in the following manner:
firstly, sequencing all height ranges to be selected according to the sequence of the maximum height value from small to large; then, sequentially judging whether two adjacent height ranges to be selected can accommodate two groups of identification equipment according to the sequencing result; in case 1, when the judgment result is yes, determining both current two height ranges to be selected as target height ranges; in case 2, when the judgment result is negative, determining the current height range to be selected, which is ranked in the front of the current two height ranges to be selected, as the target height range; updating each height range to be selected after the target height range in the sequencing result based on the current non-initial angle interval, and updating the current non-initial angle interval, wherein the minimum angle of the updated non-initial angle interval is larger than the maximum angle of the non-initial angle interval before updating; and for each updated height range to be selected, the step of sequencing the height ranges to be selected in the order from the maximum height value to the maximum height value is executed again until all target height ranges are determined.
For the convenience of understanding, the embodiment of the invention provides a recognition method for improving the recognition rate in a multiple recognition mode, and the maximum requirement of a radiation source on a particle irradiation surface is met by setting specific recognition times and recognition positions. Referring to a flow chart of another arrangement method of the identification device of the dry separator shown in FIG. 3, another arrangement method of the identification device is as follows, wherein the particle size interval of the particles is [ alpha ], [ beta ] isa 1 ,a 2 ]Quality interval [ 2 ]m 1 ,m 2 ]:
3.1 determination of suitable height intervals for particles of different particle size: selecting a second rotation angleThe range of the degree is taken as an initial angle interval, namely 5 pi/4 to 7/4 pi, and the length of the particle with the largest particle size is recorded asa 2 Mass is recorded asm 2 (ii) a The length of the smallest particle size is recordeda 1 Quality is recorded asm 1 . Respectively substituting the particle diameters and the masses of particles with the maximum particle diameter and the minimum particle diameter in the starting angle interval (the maximum particle diameter and the minimum particle diameter are both 5 pi/4-7/4 pi), and respectively calculating the falling height ranges (namely the proper height intervals) corresponding to the particles with the maximum particle diameter and the minimum particle diameter in the rotating angle range, wherein the first height range corresponding to the particles with the maximum particle diameter is recorded as [ [ phi ] ]H max1 ,H max2 ]And the second height range corresponding to the smallest particle size particles is designated as [ 2 ]H min1 ,H min2 ]。
3.2 judging whether there is an intersection between the two height sections, i.e., judgingH max1 ,H max2 ]、[H min1 ,H min2 ]Whether an intersection exists between the two.
3.2.1 if there is an intersection, taking the height corresponding to the intersection of the two as the installation position of the identification equipment, wherein the number of the corresponding identification equipment is 1 (namely single identification).
3.2.2 if there is no intersection, that is, the intersection of the two is empty, then take the median of the granularity interval and record it asb 1 Whereinb 1 =(a 1 +a 2 ) [ 2 ] this single particle size interval is divided into two sections by the dichotomya 1 ,b 1 ],[b 1 ,a 2 ]。
3.3 the newly divided two-stage particle size interval [ 2 ]a 1 ,b 1 ],[b 1 ,a 2 ]And respectively calculating corresponding appropriate height intervals, namely respectively repeating 3.1 to calculate a first height range and a second height range, and judging whether intersection exists. If it calculatesThe first height range and the second height range corresponding to each section of granularity interval have intersection, the height corresponding to the two intersection is the installation position of the identification device, and the number of the corresponding identification devices is 2 (namely, two times of identification).
3.4 if the intersection of the first height range and the second height range corresponding to a certain section of granularity interval is an empty set, further dividing the section of granularity interval, calculating again whether the intersection exists between the first height range and the second height range corresponding to two sections of new granularity intervals, until the intersection exists between the first height range and the second height range corresponding to all the granularity intervals, namely further dividing the granularity intervals without the intersection between the suitable height intervals, until all the suitable height intervals have the intersection, and finally dividing the granularity intervals into p groups, namely corresponding to p groups of identification devices, wherein the positions of the p groups of identification devices are respectively the intersection corresponding to each other.
3.5 according to the identification result of each identification device (a plurality of identification results corresponding to the same particle can be determined by predicting the motion track of the particle), taking the identification result with the largest projection area of the same particle as the final identification result of the particle.
Corresponding to the identification device arrangement method of the dry separator, the embodiment of the invention also provides an identification device arrangement device of the dry separator, the device is applied to the dry separator comprising the vibrating feeder and the identification device, the particles to be separated fall in a free-fall manner after being discharged from the vibrating feeder, and the identification device is used for identifying the particles falling in the free-fall manner. Referring to fig. 4, a block diagram of a configuration of an apparatus for arranging identification devices includes:
a granularity obtaining module 41, configured to obtain a granularity interval of the particles to be sorted by the dry sorting machine;
a first determining module 42, configured to determine, according to a preset rotation angle interval, a first height range corresponding to a maximum value of the granularity interval and a second height range corresponding to a minimum value of the granularity interval; when the rotation angle of the particles belongs to the rotation angle interval, the included angle between the maximum surface of the particles and the vertical plane of the ray irradiation direction of the identification device is smaller than a preset angle; the first height range refers to the falling height range of the particles with the largest particle size when the rotation angle is the rotation angle interval, and the second height range refers to the falling height range of the particles with the smallest particle size when the rotation angle is the rotation angle interval;
and a second determining module 43, configured to determine at least one target height range according to the first height range and the second height range corresponding to the granularity interval, so as to arrange a set of identification devices in each target height range respectively.
According to the identification equipment arrangement device of the dry separator, when the identification equipment is arranged, the granularity interval of particles to be separated by the dry separator is firstly obtained; then according to a preset rotation angle interval, determining a first height range corresponding to the maximum value of the granularity interval and a second height range corresponding to the minimum value of the granularity interval; when the rotation angle of the particles belongs to the rotation angle interval, the included angle between the maximum surface of the particles and the vertical plane of the ray irradiation direction of the identification device is smaller than a preset angle; the first height range refers to the falling height range of the particles with the largest particle size when the rotation angle is the rotation angle interval, and the second height range refers to the falling height range of the particles with the smallest particle size when the rotation angle is the rotation angle interval; and determining at least one target height range according to the first height range and the second height range corresponding to the granularity interval so as to arrange a group of identification devices in each target height range. Therefore, the target height range for arranging the identification equipment is determined based on the preset rotation angle interval, the identification equipment arranged in the target height range can ensure that the included angle between the maximum surface of the particles and the vertical plane of the ray irradiation direction of the identification equipment is smaller than the preset angle, namely the size of the projection plane of the particles on the vertical plane meets the particle identification requirement, and therefore the particle identification precision is improved.
Optionally, the rotation angle interval includes an initial angle interval, the initial angle interval is an nth rotation angle range of the particles of which the postures meet the identification precision requirement after the particles are discharged from the vibrating feeder, and N is an integer greater than or equal to 1; the first determining module 42 is specifically configured to:
calculating to obtain a first height range corresponding to the granularity interval according to the maximum value of the granularity interval and the mass of the corresponding particles as well as the maximum angle and the minimum angle of the initial angle interval;
and calculating to obtain a second height range corresponding to the granularity interval according to the minimum value of the granularity interval and the mass of the corresponding particles as well as the maximum angle and the minimum angle of the initial angle interval.
Further, the first determining module 42 is further configured to:
substituting the maximum value of the particle size interval, the mass of the corresponding particles and the maximum angle of the initial angle interval into the following formula, and calculating to obtain the maximum height value of the first height range corresponding to the particle size interval:
wherein,Hthe value of the height is represented by,βwhich indicates the angle of rotation of the disc,awhich represents the particle size of the particles,mwhich is indicative of the mass of the particles,kwhich represents a pre-set correction factor, is,gwhich represents the acceleration of the force of gravity,vrepresenting the speed of movement of the particles on the vibratory feeder.
Optionally, the second determining module 43 is specifically configured to:
when the intersection of the first height range and the second height range corresponding to the granularity interval is not an empty set, determining the intersection of the first height range and the second height range corresponding to the granularity interval as a target height range;
when the intersection of the first height range and the second height range corresponding to the granularity interval is an empty set, dividing the granularity interval into two sections to obtain two sections of first granularity subintervals;
for each section of the first granularity subintervals, determining a first height range corresponding to the maximum value of the first granularity subintervals and a second height range corresponding to the minimum value of the first granularity subintervals; when the intersection of the first height range and the second height range corresponding to the first granularity subinterval is not an empty set, determining the intersection of the first height range and the second height range corresponding to the first granularity subinterval as a height range to be selected; when the intersection of the first height range and the second height range corresponding to the first granularity subinterval is an empty set, continuously dividing the first granularity subinterval into two sections to obtain two sections of second granularity subintervals until the intersection of the first height range and the second height range corresponding to the newly divided granularity subinterval is not an empty set, and determining the intersection of the first height range and the second height range corresponding to the newly divided granularity subinterval as a height range to be selected;
and determining a target height range according to each height range to be selected.
Further, the rotation angle interval includes an initial angle interval and a non-initial angle interval, a minimum angle of the non-initial angle interval is greater than a maximum angle of the initial angle interval, and each initial height range to be selected is determined based on a first height range and a second height range calculated from the initial angle interval; the second determining module 43 is specifically configured to:
sequencing all height ranges to be selected according to the sequence of the maximum height value from small to large;
whether two groups of identification equipment can be accommodated in two adjacent height ranges to be selected or not is sequentially judged according to the sorting result;
when the judgment result is yes, determining the current two height ranges to be selected as target height ranges;
when the judgment result is negative, determining the current height range to be selected, which is ranked in the front, in the current two height ranges to be selected as a target height range; updating each height range to be selected after the target height range in the sequencing result based on the current non-initial angle range, and updating the current non-initial angle range, wherein the minimum angle of the updated non-initial angle range is larger than the maximum angle of the non-initial angle range before updating; and for each updated height range to be selected, the step of sequencing the height ranges to be selected in the order from the maximum height value to the maximum height value is executed again until all target height ranges are determined.
Optionally, the rotation angle interval includes (pi/4-3 pi/4) + n × pi, where n is an integer greater than or equal to 0.
The device provided by the embodiment has the same implementation principle and technical effect as the method embodiments, and for the sake of brief description, reference may be made to the corresponding contents in the method embodiments without reference to the device embodiments.
As shown in fig. 5, an electronic device 500 according to an embodiment of the present invention includes: the identification device arrangement method of the dry separator comprises a processor 501, a memory 502 and a bus, wherein the memory 502 stores a computer program capable of running on the processor 501, when the electronic device 500 runs, the processor 501 and the memory 502 communicate through the bus, and the processor 501 executes the computer program to realize the identification device arrangement method of the dry separator.
Specifically, the memory 502 and the processor 501 can be general-purpose memories and processors, and are not limited thereto.
The embodiment of the invention also provides a sorting system, which comprises a dry separator and the electronic equipment; the dry separation machine comprises a vibrating feeder and a recognition device, the particles to be separated fall in a free fall mode after being discharged from the vibrating feeder, and the recognition device is used for recognizing the particles falling in the free fall mode; the identification device is arranged based on a target height range output by the electronic device.
An embodiment of the present invention further provides a computer-readable storage medium, where a computer program is stored on the computer-readable storage medium, and when the computer program is executed by a processor, the computer program performs the method for arranging the identification device of the dry separator described in the foregoing method embodiment. The computer-readable storage medium includes: various media capable of storing program codes, such as a usb disk, a removable hard disk, a Read-Only Memory (ROM), a RAM, a magnetic disk, or an optical disk.
In all examples shown and described herein, any particular value should be construed as exemplary only and not as a limitation, and thus other examples of example embodiments may have different values.
The flowchart and block diagrams in the figures illustrate the architecture, functionality, and operation of possible implementations of systems, methods and computer program products according to various embodiments of the present invention. In this regard, each block in the flowchart or block diagrams may represent a module, segment, or portion of code, which comprises one or more executable instructions for implementing the specified logical function(s). It should also be noted that, in some alternative implementations, the functions noted in the block may occur out of the order noted in the figures. For example, two blocks shown in succession may, in fact, be executed substantially concurrently, or the blocks may sometimes be executed in the reverse order, depending upon the functionality involved. It will also be noted that each block of the block diagrams and/or flowchart illustration, and combinations of blocks in the block diagrams and/or flowchart illustration, can be implemented by special purpose hardware-based systems which perform the specified functions or acts, or combinations of special purpose hardware and computer instructions.
In the several embodiments provided in the present application, it should be understood that the disclosed system, apparatus and method may be implemented in other ways. The above-described embodiments of the apparatus are merely illustrative, and for example, the division of the units is only one logical division, and there may be other divisions when actually implemented, and for example, a plurality of units or components may be combined or integrated into another system, or some features may be omitted, or not executed. In addition, the shown or discussed mutual coupling or direct coupling or communication connection may be an indirect coupling or communication connection of devices or units through some communication interfaces, and may be in an electrical, mechanical or other form.
The units described as separate parts may or may not be physically separate, and parts displayed as units may or may not be physical units, may be located in one position, or may be distributed on multiple network units. Some or all of the units can be selected according to actual needs to achieve the purpose of the solution of the embodiment.
In addition, functional units in the embodiments of the present invention may be integrated into one processing unit, or each unit may exist alone physically, or two or more units are integrated into one unit.
Finally, it should be noted that: the above embodiments are only used to illustrate the technical solution of the present invention, and not to limit the same; while the invention has been described in detail and with reference to the foregoing embodiments, it will be understood by those skilled in the art that: the technical solutions described in the foregoing embodiments may still be modified, or some or all of the technical features may be equivalently replaced; and the modifications or the substitutions do not make the essence of the corresponding technical solutions depart from the scope of the technical solutions of the embodiments of the present invention.
Claims (10)
1. The arrangement method of the identification equipment of the dry separator is characterized by being applied to the dry separator comprising a vibrating feeder and the identification equipment, wherein particles to be separated fall in a free-fall mode after being discharged from the vibrating feeder, and the identification equipment is used for identifying the particles falling in the free-fall mode; the arrangement method of the identification equipment of the dry separator comprises the following steps:
obtaining the granularity interval of the particles to be sorted by the dry sorting machine;
determining a first height range corresponding to the maximum value of the granularity interval and a second height range corresponding to the minimum value of the granularity interval according to a preset rotation angle interval; when the rotation angle of the particles belongs to the rotation angle interval, the included angle between the maximum surface of the particles and the vertical plane of the ray irradiation direction of the identification device is smaller than a preset angle; the first height range refers to a falling height range of particles with the largest particle size when the rotation angle is the rotation angle interval, and the second height range refers to a falling height range of particles with the smallest particle size when the rotation angle is the rotation angle interval;
and determining at least one target height range according to a first height range and a second height range corresponding to the granularity interval, so as to arrange a group of identification devices in each target height range respectively.
2. The method according to claim 1, characterized in that the rotation angle intervals comprise a start angle interval, the start angle interval is the Nth rotation angle range of the particles with the postures meeting the identification precision requirement after being discharged from the vibrating feeder, and N is an integer greater than or equal to 1; the determining, according to a preset rotation angle interval, a first height range corresponding to a maximum value of the granularity interval and a second height range corresponding to a minimum value of the granularity interval includes:
calculating to obtain a first height range corresponding to the granularity interval according to the maximum value of the granularity interval and the mass of the corresponding particles as well as the maximum angle and the minimum angle of the initial angle interval;
and calculating to obtain a second height range corresponding to the granularity interval according to the minimum value of the granularity interval and the mass of the corresponding particles as well as the maximum angle and the minimum angle of the initial angle interval.
3. The method according to claim 2, wherein the calculating a first height range corresponding to the size interval according to the maximum value of the size interval and the mass of the corresponding particles, and the maximum angle and the minimum angle of the starting angle interval comprises:
substituting the maximum value of the granularity interval, the mass of the corresponding granules and the maximum angle of the initial angle interval into the following formula, and calculating to obtain the maximum height value of the first height range corresponding to the granularity interval:
wherein,Hthe value of the height is represented by,βwhich indicates the angle of rotation of the disc,awhich represents the particle size of the particles,mwhich is indicative of the mass of the particles,kwhich represents a pre-set correction factor, is,gwhich represents the acceleration of the force of gravity,vrepresenting the speed of movement of the particles on the vibratory feeder.
4. The method according to claim 1, wherein determining at least one target height range according to the first height range and the second height range corresponding to the granularity interval comprises:
when the intersection of the first height range and the second height range corresponding to the granularity interval is not an empty set, determining the intersection of the first height range and the second height range corresponding to the granularity interval as a target height range;
when the intersection of the first height range and the second height range corresponding to the granularity interval is an empty set, dividing the granularity interval into two sections to obtain two sections of first granularity subintervals;
for each segment of the first granularity subinterval, determining a first height range corresponding to the maximum value of the first granularity subinterval and a second height range corresponding to the minimum value of the first granularity subinterval; when the intersection of the first height range and the second height range corresponding to the first granularity subinterval is not an empty set, determining the intersection of the first height range and the second height range corresponding to the first granularity subinterval as a height range to be selected; when the intersection of the first height range and the second height range corresponding to the first granularity subinterval is an empty set, continuously dividing the first granularity subinterval into two sections to obtain two sections of second granularity subintervals until the intersection of the first height range and the second height range corresponding to the newly divided granularity subinterval is not an empty set, and determining the intersection of the first height range and the second height range corresponding to the newly divided granularity subinterval as a height range to be selected;
and determining a target height range according to each height range to be selected.
5. The method according to claim 4, wherein the rotation angle interval comprises a starting angle interval and a non-starting angle interval, wherein a minimum angle of the non-starting angle interval is greater than a maximum angle of the starting angle interval, and each initial candidate height range is determined based on a first height range and a second height range calculated from the starting angle interval; the determining a target height range according to each of the candidate height ranges includes:
sequencing the height ranges to be selected according to the sequence of the maximum height values from small to large;
sequentially judging whether two adjacent height ranges to be selected can accommodate two groups of identification equipment or not according to the sequencing result;
when the judgment result is yes, determining the two current height ranges to be selected as target height ranges;
when the judgment result is negative, determining the current height range to be selected, which is ranked in the front, in the current two height ranges to be selected as a target height range; updating each height range to be selected after the target height range in the sequencing result based on a current non-starting angle interval, and updating the current non-starting angle interval, wherein the minimum angle of the updated non-starting angle interval is larger than the maximum angle of the non-starting angle interval before updating; and for each updated height range to be selected, re-executing the step of sequencing the height ranges to be selected according to the sequence of the maximum height value from small to large until all target height ranges are determined.
6. The method according to any one of claims 1 to 5, wherein the rotation angle interval comprises (pi/4-3 pi/4) + n x pi, wherein n is an integer greater than or equal to 0.
7. The device is characterized by being applied to a dry separation machine comprising a vibrating feeder and a recognition device, wherein particles to be separated fall in a free fall mode after being discharged from the vibrating feeder, and the recognition device is used for recognizing the particles falling in the free fall mode; the identification equipment arrangement device of the dry separator comprises:
the particle size obtaining module is used for obtaining a particle size interval of particles to be sorted by the dry sorting machine;
the first determining module is used for determining a first height range corresponding to the maximum value of the granularity interval and a second height range corresponding to the minimum value of the granularity interval according to a preset rotation angle interval; when the rotation angle of the particles belongs to the rotation angle interval, the included angle between the maximum surface of the particles and the vertical plane of the ray irradiation direction of the identification device is smaller than a preset angle; the first height range refers to a falling height range of particles with the largest particle size when the rotation angle is the rotation angle interval, and the second height range refers to a falling height range of particles with the smallest particle size when the rotation angle is the rotation angle interval;
and the second determining module is used for determining at least one target height range according to the first height range and the second height range corresponding to the granularity interval so as to respectively arrange a group of the identification devices in each target height range.
8. An electronic device comprising a memory, a processor, and a computer program stored in the memory and operable on the processor, wherein the processor, when executing the computer program, implements the method for arranging identification devices of a dry sorting machine according to any one of claims 1 to 6.
9. A sorting system comprising a dry sorter and the electronic device of claim 8;
the dry separator comprises a vibrating feeder and identification equipment, and the identification equipment is arranged based on a target height range output by the electronic equipment; and the particles to be sorted fall in a free falling mode after being discharged from the vibrating feeder, and the identification equipment is used for identifying the particles falling in the free falling mode.
10. A computer-readable storage medium, on which a computer program is stored which, when being executed by a processor, carries out the method for arranging identification devices of a dry separator according to any one of claims 1 to 6.
Priority Applications (1)
| Application Number | Priority Date | Filing Date | Title |
|---|---|---|---|
| CN202210352820.1A CN114491387B (en) | 2022-04-06 | 2022-04-06 | Method and device for arranging identification equipment of dry separator, electronic equipment and separation system |
Applications Claiming Priority (1)
| Application Number | Priority Date | Filing Date | Title |
|---|---|---|---|
| CN202210352820.1A CN114491387B (en) | 2022-04-06 | 2022-04-06 | Method and device for arranging identification equipment of dry separator, electronic equipment and separation system |
Publications (2)
| Publication Number | Publication Date |
|---|---|
| CN114491387A CN114491387A (en) | 2022-05-13 |
| CN114491387B true CN114491387B (en) | 2022-07-12 |
Family
ID=81488645
Family Applications (1)
| Application Number | Title | Priority Date | Filing Date |
|---|---|---|---|
| CN202210352820.1A Active CN114491387B (en) | 2022-04-06 | 2022-04-06 | Method and device for arranging identification equipment of dry separator, electronic equipment and separation system |
Country Status (1)
| Country | Link |
|---|---|
| CN (1) | CN114491387B (en) |
Families Citing this family (1)
| Publication number | Priority date | Publication date | Assignee | Title |
|---|---|---|---|---|
| CN119618931B (en) * | 2025-02-14 | 2025-05-02 | 内蒙古工业大学 | A method for detecting particle size composition of transported ore particles considering bad posture |
Citations (10)
| Publication number | Priority date | Publication date | Assignee | Title |
|---|---|---|---|---|
| CN1282378A (en) * | 1997-10-17 | 2001-01-31 | 金尼康科学有限公司 | Analyte assay using particulate labels |
| CN1905957A (en) * | 2004-04-29 | 2007-01-31 | 瓦克I/P公司 | Vibratory separator |
| CN101234381A (en) * | 2008-03-07 | 2008-08-06 | 天津市华核科技有限公司 | Granular material sorting classifying method based on visual sense recognition |
| CN104138851A (en) * | 2014-06-25 | 2014-11-12 | 山东大学 | Vibrating feeding and imaging recognition-based large particle material sorting system and method |
| CN104138854A (en) * | 2014-06-25 | 2014-11-12 | 山东大学 | Pseudo dual-energy ray imaging-based ore separation system and method |
| CN111729873A (en) * | 2020-08-25 | 2020-10-02 | 天津美腾科技股份有限公司 | Material sorting method and device, controller and storage medium |
| CN112837311A (en) * | 2021-03-02 | 2021-05-25 | 苏州零样本智能科技有限公司 | Polyethylene particle defect detection and identification system and method based on deep learning |
| CN113500014A (en) * | 2021-07-08 | 2021-10-15 | 湖州霍里思特智能科技有限公司 | Method and system for intelligently sorting based on dynamic adjustment of threshold |
| CN113714093A (en) * | 2021-11-02 | 2021-11-30 | 天津美腾科技股份有限公司 | Double-sided sorting dry separator, sorting control method and computer-readable storage medium |
| CN113869251A (en) * | 2021-09-30 | 2021-12-31 | 河南工业大学 | An online detection method of wheat imperfect grains based on improved ResNet |
Family Cites Families (1)
| Publication number | Priority date | Publication date | Assignee | Title |
|---|---|---|---|---|
| KR20100087104A (en) * | 2007-09-17 | 2010-08-03 | 루미넥스 코포레이션 | Systems, storage mediums, and methods for identifying particles in flow |
-
2022
- 2022-04-06 CN CN202210352820.1A patent/CN114491387B/en active Active
Patent Citations (10)
| Publication number | Priority date | Publication date | Assignee | Title |
|---|---|---|---|---|
| CN1282378A (en) * | 1997-10-17 | 2001-01-31 | 金尼康科学有限公司 | Analyte assay using particulate labels |
| CN1905957A (en) * | 2004-04-29 | 2007-01-31 | 瓦克I/P公司 | Vibratory separator |
| CN101234381A (en) * | 2008-03-07 | 2008-08-06 | 天津市华核科技有限公司 | Granular material sorting classifying method based on visual sense recognition |
| CN104138851A (en) * | 2014-06-25 | 2014-11-12 | 山东大学 | Vibrating feeding and imaging recognition-based large particle material sorting system and method |
| CN104138854A (en) * | 2014-06-25 | 2014-11-12 | 山东大学 | Pseudo dual-energy ray imaging-based ore separation system and method |
| CN111729873A (en) * | 2020-08-25 | 2020-10-02 | 天津美腾科技股份有限公司 | Material sorting method and device, controller and storage medium |
| CN112837311A (en) * | 2021-03-02 | 2021-05-25 | 苏州零样本智能科技有限公司 | Polyethylene particle defect detection and identification system and method based on deep learning |
| CN113500014A (en) * | 2021-07-08 | 2021-10-15 | 湖州霍里思特智能科技有限公司 | Method and system for intelligently sorting based on dynamic adjustment of threshold |
| CN113869251A (en) * | 2021-09-30 | 2021-12-31 | 河南工业大学 | An online detection method of wheat imperfect grains based on improved ResNet |
| CN113714093A (en) * | 2021-11-02 | 2021-11-30 | 天津美腾科技股份有限公司 | Double-sided sorting dry separator, sorting control method and computer-readable storage medium |
Non-Patent Citations (2)
| Title |
|---|
| X射线灰分仪在选煤厂的应用分析;张秀峰等;《选煤技术》;20200630(第3期);全文 * |
| 选煤行业新技术浪潮下的智能化选煤厂;李太友等;《选煤技术》;20190228(第1期);全文 * |
Also Published As
| Publication number | Publication date |
|---|---|
| CN114491387A (en) | 2022-05-13 |
Similar Documents
| Publication | Publication Date | Title |
|---|---|---|
| CA2871632C (en) | High capacity cascade-type mineral sorting machine and method | |
| CN114491387B (en) | Method and device for arranging identification equipment of dry separator, electronic equipment and separation system | |
| CN115454779A (en) | Cloud monitoring stream data detection method and device based on cluster analysis and storage medium | |
| CN115793470B (en) | Parameter control method of ore separator and ore separator | |
| CN111986313B (en) | Loop detection method and device, electronic equipment and storage medium | |
| CN113971426A (en) | Information acquisition method, device, equipment and storage medium | |
| CN114971217A (en) | A method and system for assessing the risk of unmanned aerial vehicles on the ground | |
| CN107122475A (en) | Big data abnormal point detecting method and its system | |
| CN103488656B (en) | A kind of data processing method and device | |
| CN119588642A (en) | Material sorting method, sorting equipment and computer readable storage medium | |
| CN104239372B (en) | A kind of audio data classification method and device | |
| Liu et al. | DEM investigation of the conveyor belt sorting system for coated fuel particles with a large feeding rate | |
| CN119158796A (en) | An intelligent processing system for decoration waste | |
| CN117686393A (en) | Method and device for precisely measuring granularity parameters in real time in machine-made sand production | |
| CN110084157A (en) | The data processing method and device that image identifies again | |
| CN119618931B (en) | A method for detecting particle size composition of transported ore particles considering bad posture | |
| CN116227759B (en) | Maintenance time prediction method, device and equipment based on multi-equipment information | |
| CN114707273A (en) | Method for designing precise micro spiral conveying mechanism | |
| CN110706146B (en) | Image processing method and device | |
| CN120790552B (en) | Ore intelligent preselection system and method based on airflow separation | |
| CN118350402B (en) | Automatic grain counting instrument | |
| CN119565942B (en) | Petroleum propping agent finished product sorting control method and system based on machine learning | |
| CN218743037U (en) | Ore separator shale shaker | |
| CN113344276A (en) | Method for predicting ore particle shape, quality and density index probability distribution | |
| CN108235332A (en) | A kind of MPS process appraisal procedure and device |
Legal Events
| Date | Code | Title | Description |
|---|---|---|---|
| PB01 | Publication | ||
| PB01 | Publication | ||
| SE01 | Entry into force of request for substantive examination | ||
| SE01 | Entry into force of request for substantive examination | ||
| GR01 | Patent grant | ||
| GR01 | Patent grant |






