CN114469019B - Pulse wave signal filtering method and device and computer equipment - Google Patents
Pulse wave signal filtering method and device and computer equipment Download PDFInfo
- Publication number
- CN114469019B CN114469019B CN202210391331.7A CN202210391331A CN114469019B CN 114469019 B CN114469019 B CN 114469019B CN 202210391331 A CN202210391331 A CN 202210391331A CN 114469019 B CN114469019 B CN 114469019B
- Authority
- CN
- China
- Prior art keywords
- pulse wave
- wave signal
- filtering
- signal
- value
- Prior art date
- Legal status (The legal status is an assumption and is not a legal conclusion. Google has not performed a legal analysis and makes no representation as to the accuracy of the status listed.)
- Active
Links
- 238000001914 filtration Methods 0.000 title claims abstract description 158
- 238000000034 method Methods 0.000 title claims abstract description 37
- 238000012545 processing Methods 0.000 claims abstract description 27
- 238000004364 calculation method Methods 0.000 claims abstract description 19
- 238000004590 computer program Methods 0.000 claims description 12
- 238000012216 screening Methods 0.000 claims description 5
- 238000012937 correction Methods 0.000 claims description 4
- 230000009467 reduction Effects 0.000 claims description 4
- 230000008602 contraction Effects 0.000 claims description 3
- 238000000605 extraction Methods 0.000 claims description 3
- 238000006467 substitution reaction Methods 0.000 claims 1
- 238000005259 measurement Methods 0.000 abstract description 4
- 230000008569 process Effects 0.000 description 11
- QVGXLLKOCUKJST-UHFFFAOYSA-N atomic oxygen Chemical compound [O] QVGXLLKOCUKJST-UHFFFAOYSA-N 0.000 description 3
- 239000008280 blood Substances 0.000 description 3
- 210000004369 blood Anatomy 0.000 description 3
- 238000010586 diagram Methods 0.000 description 3
- 229910052760 oxygen Inorganic materials 0.000 description 3
- 239000001301 oxygen Substances 0.000 description 3
- 230000003068 static effect Effects 0.000 description 2
- 230000001360 synchronised effect Effects 0.000 description 2
- 230000008859 change Effects 0.000 description 1
- 238000012512 characterization method Methods 0.000 description 1
- 230000009977 dual effect Effects 0.000 description 1
- 238000012986 modification Methods 0.000 description 1
- 230000004048 modification Effects 0.000 description 1
- 230000003287 optical effect Effects 0.000 description 1
Images
Classifications
-
- A—HUMAN NECESSITIES
- A61—MEDICAL OR VETERINARY SCIENCE; HYGIENE
- A61B—DIAGNOSIS; SURGERY; IDENTIFICATION
- A61B5/00—Measuring for diagnostic purposes; Identification of persons
- A61B5/02—Detecting, measuring or recording for evaluating the cardiovascular system, e.g. pulse, heart rate, blood pressure or blood flow
-
- A—HUMAN NECESSITIES
- A61—MEDICAL OR VETERINARY SCIENCE; HYGIENE
- A61B—DIAGNOSIS; SURGERY; IDENTIFICATION
- A61B5/00—Measuring for diagnostic purposes; Identification of persons
- A61B5/72—Signal processing specially adapted for physiological signals or for diagnostic purposes
- A61B5/7203—Signal processing specially adapted for physiological signals or for diagnostic purposes for noise prevention, reduction or removal
-
- A—HUMAN NECESSITIES
- A61—MEDICAL OR VETERINARY SCIENCE; HYGIENE
- A61B—DIAGNOSIS; SURGERY; IDENTIFICATION
- A61B5/00—Measuring for diagnostic purposes; Identification of persons
- A61B5/72—Signal processing specially adapted for physiological signals or for diagnostic purposes
- A61B5/7235—Details of waveform analysis
- A61B5/725—Details of waveform analysis using specific filters therefor, e.g. Kalman or adaptive filters
Landscapes
- Health & Medical Sciences (AREA)
- Life Sciences & Earth Sciences (AREA)
- Engineering & Computer Science (AREA)
- Medical Informatics (AREA)
- Surgery (AREA)
- Biophysics (AREA)
- Pathology (AREA)
- Physiology (AREA)
- Biomedical Technology (AREA)
- Heart & Thoracic Surgery (AREA)
- Signal Processing (AREA)
- Molecular Biology (AREA)
- Physics & Mathematics (AREA)
- Animal Behavior & Ethology (AREA)
- General Health & Medical Sciences (AREA)
- Public Health (AREA)
- Veterinary Medicine (AREA)
- Artificial Intelligence (AREA)
- Computer Vision & Pattern Recognition (AREA)
- Psychiatry (AREA)
- Cardiology (AREA)
- Measuring Pulse, Heart Rate, Blood Pressure Or Blood Flow (AREA)
Abstract
The application relates to the technical field of medical instruments and discloses a filtering method, a device and computer equipment for pulse wave signals, wherein first bandwidth filtering processing is carried out on first pulse wave signals to obtain second pulse wave signals, then the signal to noise ratio of the second pulse wave signals is calculated, if the signal to noise ratio does not meet an expected threshold value, second bandwidth filtering is carried out on the second pulse wave signals, the second pulse wave signals subjected to second bandwidth filtering are compared with preset pulse wave signals, if the second pulse wave signals are not preset pulse wave signals, the steps can be repeated according to preset repeated steps, and therefore clutter and unnecessary noise can be further filtered out by carrying out multiple filtering on the second pulse wave signals, so that the quality of the obtained third pulse wave signals and fourth pulse wave signals is improved, and the third pulse wave signals, the fourth pulse wave signals and the third pulse wave signals can be conveniently used in the later period, When the fourth pulse wave signal is used for measuring and calculating the human body data, the accuracy rate of measurement and calculation is improved.
Description
Technical Field
The present application relates to the field of medical devices, and in particular, to a method and an apparatus for filtering a pulse wave signal, and a computer device.
Background
At present, wearable devices such as smart bracelets and smart watches acquire pulse wave signals (Photo pulse waveform, PPG for short) through sensors to measure and calculate human body data such as heart rate values and blood oxygen values.
However, since the pulse wave signal is a kind of optical signal, the pulse wave signal is relatively unstable to be collected and the noise signal is significant according to the movement of the wearer, the change of the ambient light, and the like. In order to accurately realize the relevant measurement and calculation, the filtering processing of the pulse wave signals is very important. In the prior art, only basic filtering can be performed on a static scene, and the use requirement is difficult to meet.
Disclosure of Invention
The application mainly aims to provide a pulse wave signal filtering method, and aims to solve the technical problem that a large amount of clutter still exists after pulse wave signals are filtered in a dynamic scene in the prior art.
The application provides a filtering method of pulse wave signals, which comprises the following steps:
carrying out first bandwidth filtering on the first pulse wave signal to obtain a second pulse wave signal;
calculating a signal-to-noise ratio according to the second pulse wave signal;
judging whether the signal-to-noise ratio meets an expected threshold value;
if the signal-to-noise ratio does not meet an expected threshold value, performing second bandwidth filtering on the second pulse wave signal;
judging whether the second pulse wave signal after the second bandwidth filtering is a preset pulse wave signal or not;
if the second pulse wave signal subjected to the second bandwidth filtering is not a preset pulse wave signal, repeating the step of calculating the signal-to-noise ratio according to the second pulse wave signal according to preset repetition times to the step of performing the second bandwidth filtering on the second pulse wave signal if the signal-to-noise ratio does not meet an expected threshold, so as to obtain a plurality of filtered second pulse wave signals;
carrying out filtering operation processing on the plurality of second pulse wave signals to obtain third pulse wave signals;
and if the second pulse wave signal after the second bandwidth filtering is a preset pulse wave signal, performing band-pass filtering on the second pulse wave signal to obtain a fourth pulse wave signal.
Simultaneously, this application still provides a pulse wave signal's filter equipment, includes:
the first bandwidth filtering module is used for carrying out first bandwidth filtering on the first pulse wave signal to obtain a second pulse wave signal;
the calculation module is used for calculating the signal to noise ratio according to the second pulse wave signal;
the first judgment module is used for judging whether the signal-to-noise ratio meets an expected threshold value;
a second bandwidth filtering module, configured to perform a second bandwidth filtering on the second pulse wave signal if the signal-to-noise ratio does not meet an expected threshold;
the judging module is used for judging whether the second pulse wave signal subjected to second bandwidth filtering is a preset pulse wave signal or not;
a repeating module, configured to repeat, according to a preset number of repetitions, the step of calculating the signal-to-noise ratio according to the second pulse wave signal to the step of performing second bandwidth filtering on the second pulse wave signal if the second pulse wave signal subjected to the second bandwidth filtering is not a preset pulse wave signal, and obtain a plurality of filtered second pulse wave signals;
the filtering operation processing module is used for carrying out filtering operation processing on the plurality of second pulse wave signals to obtain third pulse wave signals;
and the band-pass filtering module is used for performing band-pass filtering on the second pulse wave signal to obtain a fourth pulse wave signal if the second pulse wave signal subjected to second bandwidth filtering is a preset pulse wave signal.
Meanwhile, the application also provides computer equipment which comprises a memory and a processor, wherein the memory stores a computer program, and the processor realizes the steps of the pulse wave signal filtering method when executing the computer program.
Meanwhile, the present application also provides a computer-readable storage medium on which a computer program is stored, which, when being executed by a processor, implements the steps of the above-mentioned method for filtering a pulse wave signal.
Has the advantages that: the method comprises the steps of firstly carrying out first bandwidth filtering processing on a first pulse wave signal to obtain a second pulse wave signal, then calculating the signal to noise ratio of the second pulse wave signal, so that the quality condition of the second pulse wave signal can be known according to the signal to noise ratio, if the signal to noise ratio does not meet an expected threshold value, the current second pulse wave signal has poor quality and still has partial noise and clutter, then carrying out second bandwidth filtering on the second pulse wave signal to filter redundant noise and clutter, then comparing the second pulse wave signal subjected to the second bandwidth filtering with a preset pulse wave signal, if the second pulse wave signal subjected to the second bandwidth filtering is not the preset pulse wave signal, repeating the steps according to preset repeated steps to obtain a plurality of second pulse wave signals, and then carrying out filtering operation processing on the plurality of second pulse wave signals, finally, obtaining a third pulse signal; if the second pulse wave signal after the second bandwidth filtering is a preset pulse wave signal, performing band-pass filtering on the second pulse wave signal to obtain a fourth pulse wave signal; therefore, by filtering the second pulse wave signal for multiple times, clutter and unnecessary noise can be further filtered, so that the quality of the obtained third pulse wave signal and the fourth pulse wave signal is improved, and the accuracy of measurement and calculation is improved when the third pulse wave signal and the fourth pulse wave signal are used for measuring and calculating human body data (such as a heart rate value, a blood oxygen value and the like) in the later period.
Drawings
Fig. 1 is a flowchart illustrating a method for filtering a pulse wave signal according to an embodiment of the present disclosure.
Fig. 2 is a schematic structural diagram of a pulse wave signal filtering apparatus according to an embodiment of the present application.
Fig. 3 is a schematic diagram of an internal structure of a computer device according to an embodiment of the present application.
The implementation, functional features and advantages of the objectives of the present application will be further explained with reference to the accompanying drawings.
Detailed Description
The technical solutions in the embodiments of the present application will be clearly and completely described below with reference to the drawings in the embodiments of the present application. It is to be understood that the embodiments described are only a few embodiments of the present application and not all embodiments. All other embodiments, which can be derived by a person skilled in the art from the embodiments given herein without making any creative effort, shall fall within the protection scope of the present application.
As shown in fig. 1-3, the present application provides a method for filtering a pulse wave signal, including:
s1, performing first bandwidth filtering on the first pulse wave signal to obtain a second pulse wave signal;
s2, calculating a signal-to-noise ratio according to the second pulse wave signal;
s3, judging whether the signal-to-noise ratio meets an expected threshold value;
s4, if the signal-to-noise ratio does not meet the expected threshold value, performing second bandwidth filtering on the second pulse wave signal;
s5, judging whether the second pulse wave signal after the second bandwidth filtering is a preset pulse wave signal;
s6, if the second pulse wave signal subjected to the second bandwidth filtering is not a preset pulse wave signal, repeating the step of calculating the signal-to-noise ratio according to the second pulse wave signal according to a preset repetition number until the step of performing the second bandwidth filtering on the second pulse wave signal if the signal-to-noise ratio does not satisfy an expected threshold, to obtain a plurality of filtered second pulse wave signals;
s7, carrying out filtering operation processing on the plurality of second pulse wave signals to obtain third pulse wave signals;
and S8, if the second pulse wave signal after the second bandwidth filtering is a preset pulse wave signal, performing band-pass filtering on the second pulse wave signal to obtain a fourth pulse wave signal.
As described in the above steps S1-S8, first, a first bandwidth filtering process may be performed on the first pulse wave signal according to a normal bandwidth (0.5 hz-4 hz) to obtain a second pulse wave signal, and then, a signal-to-noise ratio of the second pulse wave signal is calculated, so that a quality condition of the second pulse wave signal can be known according to the signal-to-noise ratio, if the signal-to-noise ratio does not satisfy an expected threshold, it represents that the current second pulse wave signal has poor quality and still has partial noise and clutter, at this time, a second bandwidth filtering process may be performed on the second pulse wave signal to filter out redundant noise and clutter, then, the second pulse wave signal subjected to the second bandwidth filtering process is compared with a preset pulse wave signal, if the second pulse wave signal subjected to the second bandwidth filtering process is not a preset pulse wave signal, the steps S2-S4 may be repeated according to a preset repetition procedure, thus, a plurality of second pulse wave signals can be obtained, then the second pulse wave signals are subjected to filtering operation processing, and finally a third pulse signal is obtained; if the second pulse wave signal after the second bandwidth filtering is a preset pulse wave signal, performing band-pass filtering on the second pulse wave signal to obtain a fourth pulse wave signal; therefore, by filtering the second pulse wave signal for multiple times, clutter and unnecessary noise can be further filtered, so that the quality of the obtained third pulse wave signal and fourth pulse wave signal is improved, and the accuracy of measurement is improved when the third pulse wave signal and fourth pulse wave signal are used for measuring and calculating human body data (such as a heart rate value, a blood oxygen value and the like) in the later period.
In one embodiment, the step S2 of calculating the signal-to-noise ratio according to the second pulse wave signal includes:
s21, acquiring a thermal noise current value and a shot noise value of the second pulse wave signal;
s22, calculating a total noise output current value according to the thermal noise current value and the shot noise value, wherein the calculation formula is as follows:
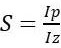
wherein,Izwhich represents the total noise output current value,representing a thermal noise current value, b representing a shot noise value;
s23, acquiring a current average value of the second pulse wave signal;
s24, calculating a signal-to-noise ratio according to the current average value and the total noise output current value, wherein the calculation formula is as follows:
As described in the foregoing steps S21-S24, since the noise of the second pulse wave signal is mainly thermal noise and shot noise, the thermal noise current value can be calculated according to the voltage value of the thermal noise and the resistance value of the sensor, so as to obtain the thermal noise current value, and then the thermal noise current value and the shot noise value can be used to calculate the total noise output current value, and the signal-to-noise ratio is calculated according to the current average value and the total noise output current value, so that the calculated signal-to-noise ratio is objective and accurate.
In one embodiment, the step S4 of performing the second bandwidth filtering on the second pulse wave signal if the signal-to-noise ratio does not satisfy the expected threshold includes:
s41, obtaining a first band-pass filtering value of the first bandwidth filtering;
s42, setting a second band-pass filtering value of a second band-pass filtering according to the first band-pass filtering value;
s43, performing deviation correction processing and noise reduction processing on the second pulse wave signal according to the second band-pass filtering value to obtain a second pulse wave signal after second bandwidth filtering.
As described in the foregoing steps S41-S43, the first band-pass filter value of the first band-pass filter is obtained, so that the second band-pass filter value can be set to a value narrower than the first band-pass filter value, and then the second pulse wave signal is subjected to the deviation correction processing and the noise reduction processing according to the second band-pass filter value, so that the problem of baseline drift of the second pulse wave signal can be prevented, and the subsequent filtering operation processing of the second pulse wave signal is facilitated.
In one embodiment, the step S6 of repeating the step of calculating the signal-to-noise ratio according to the second pulse wave signal according to the preset number of repetitions to the step of performing the second bandwidth filtering on the second pulse wave signal if the signal-to-noise ratio does not satisfy the expected threshold to obtain a plurality of filtered second pulse wave signals includes:
s61, acquiring preset repetition times;
s62, setting a second band-pass filtering value of second bandwidth filtering according to the preset repetition times and the signal-to-noise ratio to obtain a plurality of second band-pass filtering values corresponding to the preset repetition times;
and S63, sequentially substituting each second band-pass filtering value into the repeated step of carrying out second band-pass filtering on the second pulse wave signals to obtain a plurality of second pulse wave signals.
By obtaining the preset number of repetitions as described in the above steps S61-S63, the second band-pass filter value of the second pulse wave signal for each second band-pass filtering can be set according to the number of repetitions, for example, the number of repetitions is three, the second band-pass filtered value at the first repetition may be set to be between 3.5 Hz and 4Hz, the second band-pass filtered value at the second repetition may be set to be between 1.5Hz and 2.5 Hz, and the second band-pass filtered value at the third repetition may be set to be between 0.5Hz and 1.5Hz, which enables the second pulse wave signals to be filtered at different bandwidth frequencies, therefore, the second pulse wave signals obtained by the second bandwidth filtering are different, so that the integral filtering operation processing of the plurality of second pulse wave signals is convenient, and the third pulse wave signals with relatively good quality are obtained.
In one embodiment, the step S7 of performing a filtering operation on the plurality of second pulse wave signals to obtain a third pulse wave signal includes:
s71, obtaining peak information of a plurality of second pulse wave signals;
s72, extracting the waveform characteristics of the second pulse wave signals according to the wave crest information to obtain waveform characteristic data of the second pulse wave signals;
s73, performing score calculation on the plurality of second pulse wave signals according to the waveform characteristic data to obtain a plurality of score values corresponding to the plurality of second pulse wave signals;
s74, the highest score value is selected from the multiple score values, and the second pulse wave signal corresponding to the highest score value is used as the third pulse wave signal.
As described in the above steps S71-S74, the peak information of each second pulse wave signal is obtained, so that the waveform feature of each second pulse wave signal can be extracted according to the peak information to obtain the waveform feature data of each second pulse wave signal, and then the score value of each second pulse wave signal is calculated according to the waveform feature data, the higher the score value is, the better the quality of the second pulse wave signal is, so that the second pulse wave signal with the best quality can be selected from the plurality of second pulse wave signals as the third pulse wave signal, so that when the third pulse wave signal is used as the basic data to measure and calculate the human body data, the accuracy of measuring and calculating the human body data is improved.
In one embodiment, the waveform characterization data includes: the starting position of the pulse wave, the peak position, the peak amplitude, the interval between adjacent peaks, the contraction time and the relaxation time.
The application also provides a filtering device of pulse wave signal, which is characterized by comprising:
the first bandwidth filtering module 1 is configured to perform first bandwidth filtering on the first pulse wave signal to obtain a second pulse wave signal;
the calculating module 2 is used for calculating a signal to noise ratio according to the second pulse wave signal;
a first judging module 3, configured to judge whether the signal-to-noise ratio meets an expected threshold;
a second bandwidth filtering module 4, configured to perform second bandwidth filtering on the second pulse wave signal if the signal-to-noise ratio does not meet an expected threshold;
the judging module 5 is configured to judge whether the second pulse wave signal after the second bandwidth filtering is a preset pulse wave signal;
a repeating module 6, configured to repeat, according to a preset number of repetitions, the step of calculating the signal-to-noise ratio according to the second pulse wave signal to the step of performing second bandwidth filtering on the second pulse wave signal if the second pulse wave signal subjected to the second bandwidth filtering is not a preset pulse wave signal, so as to obtain a plurality of filtered second pulse wave signals;
the filtering operation processing module 7 is configured to perform filtering operation processing on the plurality of second pulse wave signals to obtain a third pulse wave signal;
and the band-pass filtering module 8 is used for performing band-pass filtering on the second pulse wave signal to obtain a fourth pulse wave signal if the second pulse wave signal subjected to the second bandwidth filtering is a preset pulse wave signal.
In one embodiment, the calculation module 2 comprises:
a first acquisition unit configured to acquire a thermal noise current value and a shot noise value of the second pulse wave signal;
a first calculating unit, configured to calculate a total noise output current value according to the thermal noise current value and the shot noise value, where the calculation formula is:
wherein,Izwhich represents the total noise output current value,representing a thermal noise current value, b representing a shot noise value;
the second acquisition unit is used for acquiring the current average value of the second pulse wave signal;
a second calculating unit, configured to calculate a signal-to-noise ratio according to the current average value and the total noise output current value, where the calculation formula is:
In one embodiment, the second bandwidth filtering module 4 includes:
a third obtaining unit configured to obtain a first band-pass filter value of the first bandwidth filtering;
the first setting unit is used for setting a second band-pass filtering value of second band-pass filtering according to the first band-pass filtering value;
and the processing unit is used for performing deviation correction processing and noise reduction processing on the second pulse wave signal according to the second band-pass filtering value to obtain the second pulse wave signal after second bandwidth filtering.
In one embodiment, the repeating module 6 includes:
a fourth obtaining unit, configured to obtain a preset repetition number;
the second setting unit is used for setting a second band-pass filtering value of second bandwidth filtering according to the preset repetition times and the signal-to-noise ratio to obtain a plurality of second band-pass filtering values corresponding to the preset repetition times;
and the substituting unit is used for substituting each second band-pass filtering value into the repeating step of carrying out second bandwidth filtering on the second pulse wave signals in sequence to obtain a plurality of second pulse wave signals.
In one embodiment, the filtering operation processing module includes:
a fifth acquiring unit configured to acquire peak information of the plurality of second pulse wave signals;
the waveform feature extraction unit is used for extracting the waveform features of the second pulse wave signals according to the wave crest information to obtain waveform feature data of the second pulse wave signals;
the score calculating unit is used for performing score calculation on the second pulse wave signals according to the waveform characteristic data to obtain a plurality of score values corresponding to the second pulse wave signals;
and the screening unit is used for screening out the highest score value from the plurality of score values and taking the second pulse wave signal corresponding to the highest score value as the third pulse wave signal.
In one embodiment, the waveform signature data includes: the starting position of the pulse wave, the peak position, the peak amplitude, the interval between adjacent peaks, the contraction time and the relaxation time.
As shown in fig. 3, the present application also provides a computer device, which may be a server, and the internal structure of which may be as shown in fig. 3. The computer device includes a processor, a memory, a network interface, and a database connected by a system bus. Wherein the computer designed processor is used to provide computational and control capabilities. The memory of the computer device comprises a nonvolatile storage medium and an internal memory. The non-volatile storage medium stores an operating system, a computer program, and a database. The memory provides an environment for the operation of the operating system and the computer program in the non-volatile storage medium. The database of the computer device is used to store all data required for the process of the filtering method of the pulse wave signals. The network interface of the computer device is used for communicating with an external terminal through a network connection. The computer program is executed by a processor to implement a method of filtering a pulse wave signal.
Those skilled in the art will appreciate that the architecture shown in fig. 3 is only a block diagram of some of the structures associated with the disclosed aspects and is not intended to limit the computing devices to which the disclosed aspects may be applied.
An embodiment of the present application further provides a computer-readable storage medium, on which a computer program is stored, and the computer program, when executed by a processor, implements any one of the above-mentioned pulse wave signal filtering methods.
It will be understood by those skilled in the art that all or part of the processes of the methods of the above embodiments may be implemented by hardware associated with instructions of a computer program, which may be stored on a non-volatile computer-readable storage medium, and when executed, may include processes of the above embodiments of the methods. Any reference to memory, storage, database, or other medium provided herein and used in the examples may include non-volatile and/or volatile memory. Non-volatile memory can include read-only memory (ROM), Programmable ROM (PROM), Electrically Programmable ROM (EPROM), Electrically Erasable Programmable ROM (EEPROM), or flash memory. Volatile memory can include Random Access Memory (RAM) or external cache memory. By way of illustration and not limitation, RAM is available in a variety of forms such as Static RAM (SRAM), Dynamic RAM (DRAM), Synchronous DRAM (SDRAM), dual data rate SDRAM (SSRSDRAM), Enhanced SDRAM (ESDRAM), synchronous Link (Synchlink) DRAM (SLDRAM), Rambus (Rambus) direct RAM (RDRAM), direct bused dynamic RAM (DRDRAM), and bused dynamic RAM (RDRAM).
It should be noted that, in this document, the terms "comprises," "comprising," or any other variation thereof, are intended to cover a non-exclusive inclusion, such that a process, apparatus, article, or method that comprises a list of elements does not include only those elements but may include other elements not expressly listed or inherent to such process, apparatus, article, or method. Without further limitation, an element defined by the phrase "comprising an … …" does not exclude the presence of other identical elements in the process, apparatus, article or method that comprises the element.
The above description is only a preferred embodiment of the present application, and not intended to limit the scope of the present application, and all modifications of equivalent structures and equivalent processes, which are made by the contents of the specification and the drawings of the present application, or which are directly or indirectly applied to other related technical fields, are also included in the scope of the present application.
Claims (8)
1. A method of filtering a pulse wave signal, comprising:
carrying out first bandwidth filtering on the first pulse wave signal to obtain a second pulse wave signal;
calculating a signal-to-noise ratio according to the second pulse wave signal;
judging whether the signal-to-noise ratio meets an expected threshold value;
if the signal-to-noise ratio does not meet an expected threshold value, performing second bandwidth filtering on the second pulse wave signal;
judging whether the second pulse wave signal subjected to second bandwidth filtering is a preset pulse wave signal or not;
if the second pulse wave signal subjected to the second bandwidth filtering is not a preset pulse wave signal, repeating the step of calculating the signal-to-noise ratio according to the second pulse wave signal according to preset repetition times to the step of performing the second bandwidth filtering on the second pulse wave signal if the signal-to-noise ratio does not meet an expected threshold value, so as to obtain a plurality of filtered second pulse wave signals;
carrying out filtering operation processing on the plurality of second pulse wave signals to obtain third pulse wave signals;
if the second pulse wave signal after the second bandwidth filtering is a preset pulse wave signal, performing band-pass filtering on the second pulse wave signal to obtain a fourth pulse wave signal;
wherein, the step of repeating the step of calculating the signal-to-noise ratio according to the second pulse wave signal to the step of performing the second bandwidth filtering on the second pulse wave signal if the signal-to-noise ratio does not satisfy the expected threshold according to the preset repetition number of times to obtain a plurality of filtered second pulse wave signals includes:
acquiring preset repetition times;
setting a second band-pass filtering value of second bandwidth filtering according to the preset repetition times and the signal-to-noise ratio to obtain a plurality of second band-pass filtering values corresponding to the preset repetition times;
sequentially substituting each second band-pass filtering value into the repeated step of performing second bandwidth filtering on the second pulse wave signals to obtain a plurality of second pulse wave signals;
wherein, carry out filtering operation to a plurality of second pulse wave signals and handle, obtain the step of third pulse wave signal, include:
obtaining peak information of a plurality of second pulse wave signals;
performing waveform feature extraction on the plurality of second pulse wave signals according to the peak information to obtain waveform feature data of the plurality of second pulse wave signals;
performing score calculation on a plurality of second pulse wave signals according to the waveform characteristic data to obtain a plurality of score values corresponding to the plurality of second pulse wave signals;
and screening the highest score value from the plurality of score values, and taking the second pulse wave signal corresponding to the highest score value as a third pulse wave signal.
2. The method for filtering a pulse wave signal according to claim 1, wherein the step of calculating a signal-to-noise ratio from the second pulse wave signal includes:
acquiring a thermal noise current value and a shot noise value of the second pulse wave signal;
calculating a total noise output current value according to the thermal noise current value and the shot noise value, wherein the calculation formula is as follows:
wherein,Izwhich represents the total noise output current value,representing a thermal noise current value, b representing a shot noise value;
acquiring a current average value of the second pulse wave signal;
calculating the signal-to-noise ratio according to the current average value and the total noise output current value, wherein the calculation formula is as follows:
3. The method for filtering a pulse wave signal according to claim 1, wherein the step of performing a second bandwidth filtering on the second pulse wave signal if the snr does not satisfy a predetermined threshold comprises:
acquiring a first band-pass filtering value of a first bandwidth filtering;
setting a second band-pass filtering value of a second band-pass filtering according to the first band-pass filtering value;
and performing deviation correction processing and noise reduction processing on the second pulse wave signal according to the second band-pass filtering value to obtain the second pulse wave signal after second bandwidth filtering.
4. The method for filtering a pulse wave signal according to claim 1, wherein the waveform feature data includes: the starting position of the pulse wave, the peak position, the peak amplitude, the interval between adjacent peaks, the contraction time and the relaxation time.
5. An apparatus for filtering a pulse wave signal, comprising:
the first bandwidth filtering module is used for carrying out first bandwidth filtering on the first pulse wave signal to obtain a second pulse wave signal;
the calculation module is used for calculating the signal to noise ratio according to the second pulse wave signal;
the first judgment module is used for judging whether the signal-to-noise ratio meets an expected threshold value;
a second bandwidth filtering module, configured to perform a second bandwidth filtering on the second pulse wave signal if the signal-to-noise ratio does not meet an expected threshold;
the judging module is used for judging whether the second pulse wave signal after the second bandwidth filtering is a preset pulse wave signal or not;
a repeating module, configured to repeat, according to a preset number of repetitions, the step of calculating the signal-to-noise ratio according to the second pulse wave signal to the step of performing second bandwidth filtering on the second pulse wave signal if the second pulse wave signal subjected to the second bandwidth filtering is not a preset pulse wave signal, and obtain a plurality of filtered second pulse wave signals;
the filtering operation processing module is used for carrying out filtering operation processing on the plurality of second pulse wave signals to obtain third pulse wave signals;
the band-pass filtering module is used for performing band-pass filtering on the second pulse wave signal to obtain a fourth pulse wave signal if the second pulse wave signal subjected to second bandwidth filtering is a preset pulse wave signal;
wherein the repeating module comprises:
a fourth obtaining unit, configured to obtain a preset repetition number;
the second setting unit is used for setting a second band-pass filtering value of second bandwidth filtering according to the preset repetition times and the signal-to-noise ratio to obtain a plurality of second band-pass filtering values corresponding to the preset repetition times;
a substitution unit, configured to substitute each of the second band-pass filtering values into the repeated step of performing second bandwidth filtering on the second pulse wave signals in sequence, so as to obtain a plurality of second pulse wave signals;
wherein, the filtering operation processing module comprises:
a fifth acquisition unit configured to acquire peak information of the plurality of second pulse wave signals;
the waveform feature extraction unit is used for extracting the waveform features of the second pulse wave signals according to the wave crest information to obtain waveform feature data of the second pulse wave signals;
the score calculating unit is used for performing score calculation on the second pulse wave signals according to the waveform characteristic data to obtain a plurality of score values corresponding to the second pulse wave signals;
and the screening unit is used for screening out the highest score value from the plurality of score values and taking the second pulse wave signal corresponding to the highest score value as the third pulse wave signal.
6. The apparatus for filtering a pulse wave signal according to claim 5, wherein the calculation module comprises:
a first acquisition unit configured to acquire a thermal noise current value and a shot noise value of the second pulse wave signal;
a first calculating unit, configured to calculate a total noise output current value according to the thermal noise current value and the shot noise value, where the calculation formula is:
wherein,Izwhich represents the total noise output current value,representing a thermal noise current value, b representing a shot noise value;
a second acquisition unit configured to acquire a current average value of the second pulse wave signal;
a second calculating unit, configured to calculate a signal-to-noise ratio according to the current average value and the total noise output current value, where the calculation formula is:
7. A computer device comprising a memory and a processor, the memory storing a computer program, characterized in that the processor, when executing the computer program, implements the steps of the method of filtering a pulse wave signal according to any one of claims 1 to 4.
8. A computer-readable storage medium, on which a computer program is stored, which, when being executed by a processor, carries out the steps of the method for filtering a pulse wave signal according to any one of claims 1 to 4.
Priority Applications (1)
| Application Number | Priority Date | Filing Date | Title |
|---|---|---|---|
| CN202210391331.7A CN114469019B (en) | 2022-04-14 | 2022-04-14 | Pulse wave signal filtering method and device and computer equipment |
Applications Claiming Priority (1)
| Application Number | Priority Date | Filing Date | Title |
|---|---|---|---|
| CN202210391331.7A CN114469019B (en) | 2022-04-14 | 2022-04-14 | Pulse wave signal filtering method and device and computer equipment |
Publications (2)
| Publication Number | Publication Date |
|---|---|
| CN114469019A CN114469019A (en) | 2022-05-13 |
| CN114469019B true CN114469019B (en) | 2022-06-21 |
Family
ID=81489053
Family Applications (1)
| Application Number | Title | Priority Date | Filing Date |
|---|---|---|---|
| CN202210391331.7A Active CN114469019B (en) | 2022-04-14 | 2022-04-14 | Pulse wave signal filtering method and device and computer equipment |
Country Status (1)
| Country | Link |
|---|---|
| CN (1) | CN114469019B (en) |
Families Citing this family (1)
| Publication number | Priority date | Publication date | Assignee | Title |
|---|---|---|---|---|
| CN116502124A (en) * | 2023-04-27 | 2023-07-28 | 芯海科技(深圳)股份有限公司 | Pulse wave signal quality assessment method and device, computer-readable storage medium |
Citations (11)
| Publication number | Priority date | Publication date | Assignee | Title |
|---|---|---|---|---|
| JPH11276448A (en) * | 1998-03-31 | 1999-10-12 | Seiko Epson Corp | Signal extraction device and signal extraction method |
| CN101911704A (en) * | 2008-01-14 | 2010-12-08 | 汤姆森许可贸易公司 | Method and apparatus for de-artifact filtering using multi-lattice sparsity-based filtering |
| CN103823910A (en) * | 2012-11-16 | 2014-05-28 | 镇江市顶智微电子科技有限公司 | Intelligent-algorithm based spatial sunlight analysis platform implementing method |
| CN108801131A (en) * | 2018-06-11 | 2018-11-13 | 华中师范大学 | The filtering method and system of Big Dipper high frequency distortions monitoring data |
| CN109316172A (en) * | 2018-10-18 | 2019-02-12 | 大连理工大学 | Detection method of human health status based on pulse wave characteristic parameters |
| CN109565098A (en) * | 2016-08-18 | 2019-04-02 | 华为技术有限公司 | a filter |
| CN110801210A (en) * | 2019-11-06 | 2020-02-18 | 心核心科技(北京)有限公司 | Pulse wave signal filtering method and device, readable medium and electronic equipment |
| CN111513752A (en) * | 2020-04-01 | 2020-08-11 | 中国海洋大学 | A Pulse Diagnosis Instrument Based on Pulse Acoustic Signal |
| CN112152725A (en) * | 2019-06-28 | 2020-12-29 | 阿尔卡塔尔海底网络公司 | Method and apparatus for suppressing noise generated by instability of transmission signal |
| CN112262512A (en) * | 2018-04-10 | 2021-01-22 | 伊顿智能动力有限公司 | System, method and apparatus for power distribution in power mobile applications using a combined circuit breaker and relay |
| CN212588311U (en) * | 2020-04-23 | 2021-02-23 | 深圳芯森微电子有限公司 | Configurable low-frequency high-pass filter |
Family Cites Families (8)
| Publication number | Priority date | Publication date | Assignee | Title |
|---|---|---|---|---|
| US7190994B2 (en) * | 2002-03-18 | 2007-03-13 | Sonomedica, Inc. | Method and system for generating a likelihood of cardiovascular disease, analyzing cardiovascular sound signals remotely from the location of cardiovascular sound signal acquisition, and determining time and phase information from cardiovascular sound signals |
| US7924936B2 (en) * | 2006-06-19 | 2011-04-12 | Xg Technology, Inc. | System and method for wave damping |
| US8212941B2 (en) * | 2008-04-30 | 2012-07-03 | Mediatek Inc. | Digitized analog TV signal processing system |
| US8202223B2 (en) * | 2008-09-19 | 2012-06-19 | Medtronic, Inc. | Method and apparatus for determining respiratory effort in a medical device |
| CN201333055Y (en) * | 2008-12-05 | 2009-10-28 | 中国医学科学院生物医学工程研究所 | High frequency ultrasonic signal dynamic filter based on distributed algorithm |
| US8483628B2 (en) * | 2010-06-03 | 2013-07-09 | Broadcom Corporation | Multiple-phase frequency translated filter |
| CN102004264B (en) * | 2010-10-18 | 2015-09-23 | 中国石油化工股份有限公司 | A kind of earthquake-capturing data quality quantitative test and evaluation method |
| CN107595249B (en) * | 2017-09-30 | 2021-03-23 | 深圳前海全民健康科技有限公司 | Pregnant woman screening method based on pulse waves |
-
2022
- 2022-04-14 CN CN202210391331.7A patent/CN114469019B/en active Active
Patent Citations (11)
| Publication number | Priority date | Publication date | Assignee | Title |
|---|---|---|---|---|
| JPH11276448A (en) * | 1998-03-31 | 1999-10-12 | Seiko Epson Corp | Signal extraction device and signal extraction method |
| CN101911704A (en) * | 2008-01-14 | 2010-12-08 | 汤姆森许可贸易公司 | Method and apparatus for de-artifact filtering using multi-lattice sparsity-based filtering |
| CN103823910A (en) * | 2012-11-16 | 2014-05-28 | 镇江市顶智微电子科技有限公司 | Intelligent-algorithm based spatial sunlight analysis platform implementing method |
| CN109565098A (en) * | 2016-08-18 | 2019-04-02 | 华为技术有限公司 | a filter |
| CN112262512A (en) * | 2018-04-10 | 2021-01-22 | 伊顿智能动力有限公司 | System, method and apparatus for power distribution in power mobile applications using a combined circuit breaker and relay |
| CN108801131A (en) * | 2018-06-11 | 2018-11-13 | 华中师范大学 | The filtering method and system of Big Dipper high frequency distortions monitoring data |
| CN109316172A (en) * | 2018-10-18 | 2019-02-12 | 大连理工大学 | Detection method of human health status based on pulse wave characteristic parameters |
| CN112152725A (en) * | 2019-06-28 | 2020-12-29 | 阿尔卡塔尔海底网络公司 | Method and apparatus for suppressing noise generated by instability of transmission signal |
| CN110801210A (en) * | 2019-11-06 | 2020-02-18 | 心核心科技(北京)有限公司 | Pulse wave signal filtering method and device, readable medium and electronic equipment |
| CN111513752A (en) * | 2020-04-01 | 2020-08-11 | 中国海洋大学 | A Pulse Diagnosis Instrument Based on Pulse Acoustic Signal |
| CN212588311U (en) * | 2020-04-23 | 2021-02-23 | 深圳芯森微电子有限公司 | Configurable low-frequency high-pass filter |
Also Published As
| Publication number | Publication date |
|---|---|
| CN114469019A (en) | 2022-05-13 |
Similar Documents
| Publication | Publication Date | Title |
|---|---|---|
| US8099250B2 (en) | Impedance parameter values | |
| CN112043258A (en) | Dynamic heart rate prediction method, device, equipment and readable storage medium | |
| US20180042510A1 (en) | Identifying ecg signals having the same morphology | |
| CN114469019B (en) | Pulse wave signal filtering method and device and computer equipment | |
| EP3351169B1 (en) | Apparatus and method for measuring bioelectrical impedance | |
| EP1639497A1 (en) | Method and apparatus for extracting causal information from a chaotic time series | |
| EP3928089B1 (en) | Method and system for glucose concentration monitoring using harmonic relationships | |
| CN106687033A (en) | Heartbeat detection method and heartbeat detection device | |
| CN110881972A (en) | ST detection method, device, computer equipment and storage medium | |
| CN108261196B (en) | Electrocardio-electrode falling detection method and device, computer equipment and storage medium | |
| CN117357080B (en) | Near infrared spectrum signal denoising method and device, terminal equipment and storage medium | |
| JP2020048674A (en) | Biological information acquisition method, biological information acquisition model learning method, device, and program | |
| CN109063652B (en) | Signal processing method, system and computer storage medium | |
| JP2015217060A (en) | Heart rate detection method and heart rate detection device | |
| US20230363656A1 (en) | Blood pressure measuring method and a blood pressure measuring sysyem | |
| CN116327133A (en) | Multi-physiological index detection method, device and related equipment | |
| CN118830850B (en) | Muscle strength recovery prediction method, system and equipment | |
| US12102429B2 (en) | Personalized calibration for glucose sensing | |
| Copot et al. | Fractional order modeling of diffusion processes: A new approach for glucose concentration estimation | |
| US20080208017A1 (en) | Method and Apparatus for Monitoring a Sedated Patient | |
| DE4032152A1 (en) | Strain gauge sensor for blood vol. measurement at human extremities - embraces human extremity and its resistance alters depending on circumference of extremity | |
| CN113100735A (en) | Thrombus detection device and method based on venous blood flow graph | |
| CN117056664A (en) | Heart beat detection method, device, equipment and medium based on deep evidence learning | |
| JPWO2021044712A5 (en) | ||
| CN111387939B (en) | Method, device, computer equipment and storage medium for measuring heart displacement |
Legal Events
| Date | Code | Title | Description |
|---|---|---|---|
| PB01 | Publication | ||
| PB01 | Publication | ||
| SE01 | Entry into force of request for substantive examination | ||
| SE01 | Entry into force of request for substantive examination | ||
| GR01 | Patent grant | ||
| GR01 | Patent grant |















