CN114397681A - GNSS receiver carrier tracking method based on robust prediction variable structure filtering - Google Patents
GNSS receiver carrier tracking method based on robust prediction variable structure filtering Download PDFInfo
- Publication number
- CN114397681A CN114397681A CN202111418951.7A CN202111418951A CN114397681A CN 114397681 A CN114397681 A CN 114397681A CN 202111418951 A CN202111418951 A CN 202111418951A CN 114397681 A CN114397681 A CN 114397681A
- Authority
- CN
- China
- Prior art keywords
- carrier
- representing
- error
- state
- gnss receiver
- Prior art date
- Legal status (The legal status is an assumption and is not a legal conclusion. Google has not performed a legal analysis and makes no representation as to the accuracy of the status listed.)
- Granted
Links
- 238000001914 filtration Methods 0.000 title claims abstract description 47
- 238000000034 method Methods 0.000 title claims abstract description 44
- 230000008859 change Effects 0.000 claims abstract description 15
- 230000008878 coupling Effects 0.000 claims abstract description 4
- 238000010168 coupling process Methods 0.000 claims abstract description 4
- 238000005859 coupling reaction Methods 0.000 claims abstract description 4
- 102000012498 secondary active transmembrane transporter activity proteins Human genes 0.000 claims abstract description 4
- 108040003878 secondary active transmembrane transporter activity proteins Proteins 0.000 claims abstract description 4
- 239000011159 matrix material Substances 0.000 claims description 15
- 230000010354 integration Effects 0.000 claims description 5
- 230000005540 biological transmission Effects 0.000 abstract description 5
- 230000008569 process Effects 0.000 description 7
- 239000000243 solution Substances 0.000 description 5
- 238000009825 accumulation Methods 0.000 description 4
- 238000005516 engineering process Methods 0.000 description 4
- 230000009471 action Effects 0.000 description 3
- 238000005259 measurement Methods 0.000 description 3
- 238000012545 processing Methods 0.000 description 3
- 230000001427 coherent effect Effects 0.000 description 2
- 230000001133 acceleration Effects 0.000 description 1
- 238000005311 autocorrelation function Methods 0.000 description 1
- 238000004364 calculation method Methods 0.000 description 1
- 239000000969 carrier Substances 0.000 description 1
- 238000006243 chemical reaction Methods 0.000 description 1
- 238000011161 development Methods 0.000 description 1
- 238000010586 diagram Methods 0.000 description 1
- 238000002347 injection Methods 0.000 description 1
- 239000007924 injection Substances 0.000 description 1
- 238000012986 modification Methods 0.000 description 1
- 230000004048 modification Effects 0.000 description 1
- 238000012544 monitoring process Methods 0.000 description 1
- 238000010606 normalization Methods 0.000 description 1
- 230000009467 reduction Effects 0.000 description 1
- 238000005070 sampling Methods 0.000 description 1
- 230000035945 sensitivity Effects 0.000 description 1
- 238000001228 spectrum Methods 0.000 description 1
- 238000006467 substitution reaction Methods 0.000 description 1
- 230000000007 visual effect Effects 0.000 description 1
Images
Classifications
-
- G—PHYSICS
- G01—MEASURING; TESTING
- G01S—RADIO DIRECTION-FINDING; RADIO NAVIGATION; DETERMINING DISTANCE OR VELOCITY BY USE OF RADIO WAVES; LOCATING OR PRESENCE-DETECTING BY USE OF THE REFLECTION OR RERADIATION OF RADIO WAVES; ANALOGOUS ARRANGEMENTS USING OTHER WAVES
- G01S19/00—Satellite radio beacon positioning systems; Determining position, velocity or attitude using signals transmitted by such systems
- G01S19/38—Determining a navigation solution using signals transmitted by a satellite radio beacon positioning system
- G01S19/39—Determining a navigation solution using signals transmitted by a satellite radio beacon positioning system the satellite radio beacon positioning system transmitting time-stamped messages, e.g. GPS [Global Positioning System], GLONASS [Global Orbiting Navigation Satellite System] or GALILEO
- G01S19/42—Determining position
-
- G—PHYSICS
- G01—MEASURING; TESTING
- G01S—RADIO DIRECTION-FINDING; RADIO NAVIGATION; DETERMINING DISTANCE OR VELOCITY BY USE OF RADIO WAVES; LOCATING OR PRESENCE-DETECTING BY USE OF THE REFLECTION OR RERADIATION OF RADIO WAVES; ANALOGOUS ARRANGEMENTS USING OTHER WAVES
- G01S19/00—Satellite radio beacon positioning systems; Determining position, velocity or attitude using signals transmitted by such systems
- G01S19/01—Satellite radio beacon positioning systems transmitting time-stamped messages, e.g. GPS [Global Positioning System], GLONASS [Global Orbiting Navigation Satellite System] or GALILEO
- G01S19/13—Receivers
- G01S19/24—Acquisition or tracking or demodulation of signals transmitted by the system
- G01S19/25—Acquisition or tracking or demodulation of signals transmitted by the system involving aiding data received from a cooperating element, e.g. assisted GPS
- G01S19/256—Acquisition or tracking or demodulation of signals transmitted by the system involving aiding data received from a cooperating element, e.g. assisted GPS relating to timing, e.g. time of week, code phase, timing offset
-
- G—PHYSICS
- G01—MEASURING; TESTING
- G01S—RADIO DIRECTION-FINDING; RADIO NAVIGATION; DETERMINING DISTANCE OR VELOCITY BY USE OF RADIO WAVES; LOCATING OR PRESENCE-DETECTING BY USE OF THE REFLECTION OR RERADIATION OF RADIO WAVES; ANALOGOUS ARRANGEMENTS USING OTHER WAVES
- G01S19/00—Satellite radio beacon positioning systems; Determining position, velocity or attitude using signals transmitted by such systems
- G01S19/01—Satellite radio beacon positioning systems transmitting time-stamped messages, e.g. GPS [Global Positioning System], GLONASS [Global Orbiting Navigation Satellite System] or GALILEO
- G01S19/13—Receivers
- G01S19/24—Acquisition or tracking or demodulation of signals transmitted by the system
- G01S19/29—Acquisition or tracking or demodulation of signals transmitted by the system carrier including Doppler, related
Landscapes
- Engineering & Computer Science (AREA)
- Radar, Positioning & Navigation (AREA)
- Remote Sensing (AREA)
- Computer Networks & Wireless Communication (AREA)
- Physics & Mathematics (AREA)
- General Physics & Mathematics (AREA)
- Position Fixing By Use Of Radio Waves (AREA)
Abstract
The invention discloses a GNSS receiver carrier tracking method based on robust prediction variable structure filtering, which comprises the following steps: generating two paths of carrier signals by using an NCO carrier generator, and sending the two paths of carrier signals to an in-phase branch correlator and a coupler; the in-phase branch correlator is used for correlating a carrier signal and an intermediate frequency signal to obtain in-phase branch data; coupling the other path of carrier signal by using a coupler; utilizing an orthogonal branch correlator to correlate the other path of coupled carrier signal and the intermediate frequency signal to obtain orthogonal branch data; and based on the in-phase branch data and the orthogonal branch data, determining a state vector comprising a carrier phase, a carrier angular frequency shift and a carrier angular frequency shift change rate in a robust prediction variable structure filtering control mode by using a carrier ring Kalman filter, and sending the state vector to an NCO carrier generator. The method can realize the estimation and the transmission of the carrier tracking state vector of the receiver under the condition of considering the disturbance and the uncertainty model error existing in the system, and improve the positioning precision of the receiver.
Description
Technical Field
The invention relates to the technical field of satellite navigation, in particular to a GNSS receiver carrier tracking method based on robust prediction variable structure filtering.
Background
A Global Navigation Satellite System (GNSS) is a space-based radio Navigation Positioning System capable of providing all-weather three-dimensional coordinates, speed and time information to a user at any place on the earth surface or in a near-earth space, the GNSS is not only an infrastructure of national security and economy, but also an important sign for embodying the status of modern big countries and national comprehensive strength, the GNSS mainly includes a Global Positioning System (GPS), a BeiDou Navigation Satellite System (BDS), a GLONASS (GLONASS) and a Galileo Navigation Satellite System (Galileo Navigation System, Galileo), the basic components of the above System include a space portion (satellites, etc.), a ground control portion (master control station, injection station, monitoring station, etc.) and a user portion (receiver, navigator, etc.); at present, the satellite navigation and positioning technology has basically replaced the ground-based radio navigation, the traditional geodetic survey and the astronomical survey navigation and positioning technology, and promotes the brand new development of the field of geodetic survey and navigation and positioning.
Because the GNSS has inherent disadvantages that the signal is weak and the GNSS is easily subjected to electromagnetic interference, the GNSS still has serious potential safety hazard in practical application. Specifically, due to the low transmission power and the long distance between the satellite and the earth surface, the satellite signal is weak when reaching the earth surface, usually about-160 dBW, and various intentional and unintentional interferences are near the earth surface and near the ground navigation receiver, which easily causes the ground navigation receiver to be unable to normally lock the satellite signal.
When an existing GNSS receiver receives and processes satellite signals, the GNSS receiver receives wireless signals, carries out down-conversion and sampling processing, then searches and captures GNSS visible satellites in a visual field, tracks C/A codes (pseudo-random codes) and carrier waves of the captured signals to demodulate navigation data, and demodulates self position information based on the demodulated navigation data. However, under the influence of noise, the receiver cannot accurately judge the code phase and the carrier phase of the C/a code, and for the receiver that uses carrier phase positioning and the receiver that uses carrier-assisted C/a code tracking, a carrier tracking error may affect the positioning accuracy of the receiver, cause a determination error of navigation data, and further fail to provide a positioning result. In addition, for a high dynamic receiver applied to a high-speed moving object such as an airplane, a missile, etc., the doppler shift and the frequency change rate caused by the relative motion also have a great influence on the receiver tracking, for example, in the case of a high-speed fighter, if the speed of the high-speed fighter is 748m/s and the carrier frequency is 1575.42MHz, the doppler shift attached to the carrier signal can reach 3.93kHz when the two are in relative motion, and if the relative acceleration between the two is 2g, the doppler shift change rate attached to the carrier signal is 102.93 Hz/s. It can be seen that the doppler shift and the change rate thereof under high dynamic conditions can seriously interfere the process of accurately aligning the carrier frequency and the phase of the local signal and the received signal by the spread spectrum receiver, resulting in an increase in the system error rate and the positioning error.
In order to solve the above problems, carrier stripping of the received signal is currently implemented by using a carrier tracking loop tracking technology; specifically, the existing carrier tracking loop tracking technology mainly includes: phase Locked Loops (PLLs), Frequency Locked Loops (FLLs), and kalman filter-based carrier tracking.
In order to adapt to a high dynamic environment, the loop bandwidth of the phase-locked loop and the frequency-locked loop needs to be widened to capture and track the Doppler frequency and the change of the Doppler frequency of an input signal, however, the increase of the loop bandwidth can cause the reduction of the carrier tracking sensitivity, and when the loop is in a low signal-to-noise ratio working state, the carrier tracking is also out-of-lock; moreover, when a high dynamic environment and a low signal-to-noise ratio scene are changed continuously, the phase-locked loop and the frequency-locked loop need to adjust bandwidth continuously, and the filtering state is unstable due to the fact that the bandwidth switching threshold is not easy to determine and the loop switching is frequent. Therefore, it is difficult to use a phase-locked loop or a frequency-locked loop in a high dynamic and low signal-to-noise ratio scenario simultaneously. The carrier tracking based on Kalman filtering is essentially a phase-locked loop with the optimal bandwidth gradually changed, and the carrier tracking based on Kalman filtering utilizes the optimal estimation theory of a discrete time system to adaptively adjust the gain of a filtering loop according to the noise statistical characteristic in the loop convergence process so as to complete the adjustment of the loop bandwidth; however, the kalman filter in the loop is the optimal estimation filter only when the carrier tracking based on the kalman filter meets the condition that the system model parameters and the noise statistical characteristics are accurately known, otherwise, the optimal estimation performance is degraded, the error in the filtering equation gradually tends to zero or a certain stable value along with the increase of recursion times, but the deviation between the filtering estimation value and the actual value is larger and larger, which leads to the divergence of the filter. In practical application, the established dynamic model often cannot completely and accurately simulate a real physical process, and the statistical characteristics of noise may be unknown or time-varying; for this reason, applying kalman filter-based carrier tracking directly to the carrier tracking loop of GNSS signals easily leads to filter divergence.
Disclosure of Invention
In order to solve part or all technical problems in the prior art, the invention provides a GNSS receiver carrier tracking method based on robust prediction variable structure filtering.
The technical scheme of the invention is as follows:
the method is realized by utilizing a GNSS receiver carrier tracking loop based on Kalman filtering, and the GNSS receiver carrier tracking loop based on the Kalman filtering comprises the following steps: the method comprises the following steps of NCO carrier generator, coupler, in-phase branch correlator, quadrature branch correlator and carrier ring Kalman filter, and comprises the following steps:
generating two paths of carrier signals by using an NCO carrier generator, sending one path of carrier signal to an in-phase branch correlator, and sending the other path of carrier signal to a coupler;
the in-phase branch correlator is used for correlating one path of carrier signals with intermediate frequency signals corresponding to satellite signals to obtain in-phase branch data, and the in-phase branch data are sent to a carrier ring Kalman filter;
performing 90-degree orthogonal coupling on the other path of carrier signal by using a coupler, and sending the coupled other path of carrier signal to an orthogonal branch correlator;
the orthogonal branch correlator is used for correlating the other path of coupled carrier signals with intermediate frequency signals corresponding to satellite signals to obtain orthogonal branch data and sending the orthogonal branch data to the carrier ring Kalman filter;
and receiving the in-phase branch data and the orthogonal branch data by using a carrier ring Kalman filter, determining a state vector comprising a carrier phase, a carrier angular frequency shift and a carrier angular frequency shift change rate by using a robust predictive variable structure filtering control mode based on the in-phase branch data and the orthogonal branch data, and sending the state vector to an NCO carrier generator.
Further, in the GNSS receiver carrier tracking method based on the robust predictive variable structure filtering, determining a state vector including a carrier phase, a carrier angular frequency shift, and a carrier angular frequency shift change rate by using a robust predictive variable structure filtering control method based on in-phase branch data and quadrature branch data includes:
constructing a novel state equation corresponding to the state vector based on the uncertainty model error of the system;
performing time-removing Taylor expansion on the observation vector to obtain a Taylor expansion item corresponding to the observation vector;
calculating and determining an estimation error of the novel state equation according to the Taylor expansion term corresponding to the observation vector;
calculating and determining the model error compensation quantity of the novel state equation according to the estimation error of the novel state equation;
correcting the novel state equation by using the model error compensation quantity to obtain an improved state equation;
and performing numerical integration on the improved state equation to determine a state vector of carrier tracking at the next moment.
Further, in the GNSS receiver carrier tracking method based on the robust prediction variable structure filtering, the novel state equation corresponding to the state vector is as follows:
xk+1=f(xk)+g(xk)dk
wherein x isk+1Representing the state vector at time k +1, xkState vector representing time k, f (x)k) Represents the initial equation of state, g (x)k) System matrix representing model errors, dkRepresenting the amount of model error compensation.
Further, in the GNSS receiver carrier tracking method based on robust prediction variable structure filtering, estimating an error includes: a priori estimation error and a posteriori estimation error.
Further, in the GNSS receiver carrier tracking method based on the robust prediction variable structure filtering, a priori estimation error is calculated and determined by using the following formula;
wherein,representing a priori estimation error, zk+1Represents the observation vector at time k +1,an observation vector z representing the time kkEstimate of (a), Z' (x)k) Representing observation vector zk+1The taylor expansion term of (1).
Further, in the GNSS receiver carrier tracking method based on the robust prediction variable structure filtering, the posterior estimation error is calculated and determined by using the following formula;
wherein,representing a posteriori estimation error,zkThe observation vector representing the time instant k,denotes zkAn estimate of (d).
Further, in the GNSS receiver carrier tracking method based on the robust prediction variable structure filtering, the model error compensation quantity of the novel state equation is calculated and determined by using the following formula;
wherein d iskThe amount of model error compensation is represented,a state matrix representing the amount of model error,state vector x representing time kkIs determined by the estimated value of (c),which is indicative of an a priori estimation error,the error of the a posteriori estimation is indicated,representing the estimated residual variation gradient and gamma representing a constant parameter.
Further, in the GNSS receiver carrier tracking method based on the robust prediction variable structure filtering, the improved state equation is as follows:
wherein x isk+1Representing the state vector at time k +1, xkState vector representing time k, f (x)k) Represents the initial equation of state, g (x)k) A system matrix representing the error of the model,a state matrix representing the amount of model error,state vector x representing time kkIs determined by the estimated value of (c),which is indicative of an a priori estimation error,the error of the a posteriori estimation is indicated,representing the estimated residual variation gradient and gamma representing a constant parameter.
The technical scheme of the invention has the following main advantages:
the GNSS receiver carrier tracking method based on the robust prediction variable structure filtering can realize the estimation and the transmission of the carrier tracking state vector of the GNSS receiver under the condition of considering various disturbance and uncertainty model errors existing in the system, can improve the positioning precision of the GNSS receiver, and ensures the reliability of the positioning result.
Drawings
The accompanying drawings, which are included to provide a further understanding of embodiments of the invention and are incorporated in and constitute a part of this specification, illustrate embodiments of the invention and together with the description serve to explain the invention and not to limit the invention. In the drawings:
fig. 1 is a schematic structural diagram of a GNSS receiver carrier tracking loop based on kalman filtering according to an embodiment of the present invention.
Detailed Description
In order to make the objects, technical solutions and advantages of the present invention more apparent, the technical solutions of the present invention will be clearly and completely described below with reference to the specific embodiments of the present invention and the accompanying drawings. It is to be understood that the described embodiments are merely a few embodiments of the invention, and not all embodiments. All other embodiments, which can be derived by a person skilled in the art from the embodiments of the present invention without making any creative effort, shall fall within the protection scope of the present invention.
The technical scheme provided by the embodiment of the invention is described in detail below with reference to the accompanying drawings.
An embodiment of the present invention provides a GNSS receiver carrier tracking method based on robust predictive variable structure filtering, which is implemented by using a GNSS receiver carrier tracking loop based on kalman filtering, as shown in fig. 1, where the GNSS receiver carrier tracking loop based on the kalman filtering includes: the GNSS receiver carrier tracking method based on robust prediction variable structure filtering provided by the embodiment of the invention comprises the following steps:
generating two paths of carrier signals by using an NCO carrier generator, sending one path of carrier signal to an in-phase branch correlator, and sending the other path of carrier signal to a coupler;
the in-phase branch correlator is used for correlating one path of carrier signals with intermediate frequency signals corresponding to satellite signals to obtain in-phase branch data, and the in-phase branch data are sent to a carrier ring Kalman filter;
performing 90-degree orthogonal coupling on the other path of carrier signal by using a coupler, and sending the coupled other path of carrier signal to an orthogonal branch correlator;
the orthogonal branch correlator is used for correlating the other path of coupled carrier signals with intermediate frequency signals corresponding to satellite signals to obtain orthogonal branch data and sending the orthogonal branch data to the carrier ring Kalman filter;
and receiving the in-phase branch data and the orthogonal branch data by using a carrier ring Kalman filter, determining a state vector comprising a carrier phase, a carrier angular frequency shift and a carrier angular frequency shift change rate by using a robust predictive variable structure filtering control mode based on the in-phase branch data and the orthogonal branch data, and sending the state vector to an NCO carrier generator.
The following specifically describes the steps and principles of the GNSS receiver carrier tracking method based on robust predictive variable structure filtering according to an embodiment of the present invention;
specifically, in the existing kalman filter for carrier tracking, the state vector output by the kalman filter can be expressed as:
xk=[θk ωk ak] (1)
in the formula, xkState vector representing time k, thetak、ωkAnd akRespectively representing the carrier phase, the carrier angular frequency shift and the carrier angular frequency shift change rate at the k moment;
wherein the carrier angular frequency is shifted by omegakIs determined by the acquisition result of the GNSS receiver, the carrier phase thetakAnd the carrier angular frequency shift rate akIs set to 0.
Under the condition of not considering various disturbance and uncertainty model errors existing in the system, the conventional Kalman filter calculates and determines an output state vector by using an initial state equation shown in formula 2;
xk=Axk-1+wk-1 (2)
formula 2 may be specifically represented as:
in the formula, xkState vector, x, representing time kk-1Representing the state vector at time k-1, theta, omega and a representing the carrier phase, carrier angular frequency shift and carrier angular frequency shift variation rate, respectively, matrixTcohRepresenting the coherent integration time, wk-1Representing the process noise at time k-1, wk-1=[wθ wω wa]k-1,wθ、wωAnd waAnd respectively represent the measurement noise of the carrier phase theta, the carrier angular frequency shift omega and the carrier angular frequency shift change rate a.
The existing carrier tracking based on Kalman filtering is an optimal estimation filter only when the condition that system model parameters and noise statistical characteristics are accurately known is met, otherwise, the optimal estimation performance is degraded, errors in a filtering equation gradually tend to zero or a certain stable value along with the increase of recursion times, but the deviation between a filtering estimation value and an actual value is larger and larger, so that the filter is diverged.
In an embodiment of the present invention, in order to increase the application range of the carrier-loop kalman filter, enable the carrier-loop kalman filter to be applicable to any type of model error and system noise, reduce the deviation between the estimated filtering value and the actual value, and reduce the processing amount, the carrier-loop kalman filter is controlled by using a robust predictive variable structure filtering control method, and a state vector including a carrier phase, a carrier angular frequency shift, and a carrier angular frequency shift change rate is determined.
Specifically, the method for determining the state vector comprising the carrier phase, the carrier angular frequency shift and the carrier angular frequency shift change rate by using the robust predictive variable structure filtering control mode comprises the following steps:
(1) constructing a novel state equation corresponding to the state vector based on the uncertainty model error of the system;
specifically, under the condition of considering various disturbances and uncertainty model errors existing in the system, a novel state equation corresponding to a state vector can be constructed by using an initial state equation, and the novel state equation can be expressed as:
xk+1=f(xk)+g(xk)dk (4)
in the formula, xk+1Representing the state vector at time k +1, xkState vector representing time k, f (x)k) Represents the initial equation of state, g (x)k) System matrix representing model errors, dkRepresenting the amount of model error compensation.
(2) Performing time-removing Taylor expansion on the observation vector to obtain a Taylor expansion item corresponding to the observation vector;
specifically, in the existing kalman filter for carrier tracking, an observation vector at the time k is a correlation value output by an I branch correlator and a Q branch correlator, that is, in-phase branch data and quadrature branch data;
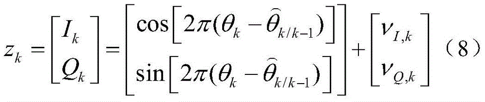
suppose that: i iskAnd QkIn-phase branch data and quadrature branch data respectively representing time k, zkAn observation vector representing the time k, zk=[Ik,Qk]The observation vector at time k can be determined using the following equation;
in the formula, NkThe number of coherent accumulation points is represented,representing the mean value of the phase amplitudes of the carriers within the accumulation interval, dmRepresenting navigation data bits, Δ φkRepresenting the mean value of the phase errors of the carrier, Δ φ, in the accumulation intervalk=φ(t)-φNCO(t), phi (t) represents the carrier phase of the incoming intermediate frequency signal, phiNCO(t) denotes the carrier phase of the locally generated carrier signal, Δ tkRepresenting the code phase error at the midpoint of the accumulation interval, R (-) representing the pseudo code autocorrelation function, nIkAnd nQkRepresenting an uncorrelated white gaussian noise sequence.
Further, the GNSS receiver satisfies under a stable tracking condition: Δ tk0 and R (Δ t)k) Based on this, normalization processing is performed on the instantaneous branch correlation integral of the loop, and a simplified system observation equation can be obtained as follows:
zk=h(xk)+νk (7)
formula 7 may be specifically represented as:
in the formula, zkAn observation vector representing the time k, IkAnd QkIn-phase branch data and quadrature branch data, h (x), respectively representing time kk) A matrix of the relationship is represented,denotes a predicted value, v, for predicting the carrier phase at the time k by using the carrier phase at the time k-1kWhich is indicative of the noise of the measurement,νI,kv and vQ,kRepresenting the measurement noise of the I branch and the Q branch, respectively.
Will relation matrix h (x)k) Spread and linearized at the estimated value to obtain k times of observation matrix H (x)k) Comprises the following steps:
In one embodiment of the invention, in order to determine the model error of the novel state equation, the observation vector is subjected to time-removing Taylor expansion;
specifically, the observation vector is subjected to de-temporal Taylor expansion to obtain an expansion function shown as the following formula;
zk+1=zk+Z′(xk)+U(xk)dk+o(ek+1) (10)
in the formula, zk+1Represents the observation vector at time k +1, zkThe observation vector representing the time k, vector function Z' (x)k) Representing observation vector zk+1The term of the taylor expansion of (c),U(xk) A state matrix representing the amount of model error,dkrepresents the amount of model error compensation, o (e)k+1) Representing an approximation error containing high order taylor expansion errors and system noise,ek+1representing after Taylor expansion zk+1The high order error term of (2).
(3) Calculating and determining an estimation error of the novel state equation according to the Taylor expansion term corresponding to the observation vector;
in an embodiment of the present invention, the estimation error of the new state equation includes: a priori estimation error and a posteriori estimation error of state estimation at the last moment; the prior estimation error and the posterior estimation error can be calculated and determined by the following formula;
in the formula,which is indicative of an a priori estimation error,denotes zkThe corresponding error of the a posteriori estimation,denotes zkAn estimate of (d).
Based on the determined prior estimation error and the posterior estimation error, the estimated residual variation gradient can be determined by the following formula;
in the formula,which represents the estimation of the residual change gradient,denotes zk-1The corresponding a posteriori estimation error.
(4) Calculating and determining the model error compensation quantity of the novel state equation according to the estimation error of the novel state equation;
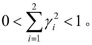
in an embodiment of the present invention, based on the estimation error of the new state equation determined above, the model error compensation d of the new state equationkCan be determined by calculation as follows;
in the formula,a state matrix representing the amount of model error,state vector x representing time kkGamma represents a constant parameter,γ1and gamma2Represents the actually selected constant and satisfies
(5) Correcting the novel state equation by using the model error compensation quantity to obtain an improved state equation;
in one embodiment of the invention, based on the determined model error compensation quantity, a novel state equation of carrier tracking can be corrected; specifically, substituting the determined model error compensation amount into equation 4 can obtain an improved state equation:
(6) performing numerical integration on the improved state equation, and determining a state vector of carrier tracking at the next moment;
further, based on the determined improved state equation of carrier tracking, the state recursion can be performed by performing numerical integration on the improved state equation by using a numerical method, so that the carrier tracking state vector at the next moment can be obtained according to the carrier tracking state vector at the previous moment, and the estimation and transmission of the stable state vector without covariance are realized.
Therefore, the GNSS receiver carrier tracking method based on the robust predictive variable structure filtering provided by the embodiment of the invention can realize the estimation and transmission of the carrier tracking state vector of the GNSS receiver under the condition of considering various disturbances and uncertainty model errors existing in the system, can improve the positioning accuracy of the GNSS receiver, and ensures the reliability of the positioning result.
It is noted that, in this document, relational terms such as "first" and "second," and the like, may be used solely to distinguish one entity or action from another entity or action without necessarily requiring or implying any actual such relationship or order between such entities or actions. Also, the terms "comprises," "comprising," or any other variation thereof, are intended to cover a non-exclusive inclusion, such that a process, method, article, or apparatus that comprises a list of elements does not include only those elements but may include other elements not expressly listed or inherent to such process, method, article, or apparatus. In addition, "front", "rear", "left", "right", "upper" and "lower" in this document are referred to the placement states shown in the drawings.
Finally, it should be noted that: the above examples are only for illustrating the technical solutions of the present invention, and not for limiting the same; although the present invention has been described in detail with reference to the foregoing embodiments, it will be understood by those of ordinary skill in the art that: the technical solutions described in the foregoing embodiments may still be modified, or some technical features may be equivalently replaced; and such modifications or substitutions do not depart from the spirit and scope of the corresponding technical solutions of the embodiments of the present invention.
Claims (8)
1. A GNSS receiver carrier tracking method based on robust prediction variable structure filtering is characterized in that the method is realized by utilizing a GNSS receiver carrier tracking loop based on Kalman filtering, and the GNSS receiver carrier tracking loop based on Kalman filtering comprises the following steps: the method comprises the following steps of NCO carrier generator, coupler, in-phase branch correlator, quadrature branch correlator and carrier ring Kalman filter, and comprises the following steps:
generating two paths of carrier signals by using an NCO carrier generator, sending one path of carrier signal to an in-phase branch correlator, and sending the other path of carrier signal to a coupler;
the in-phase branch correlator is used for correlating one path of carrier signals with intermediate frequency signals corresponding to satellite signals to obtain in-phase branch data, and the in-phase branch data are sent to a carrier ring Kalman filter;
performing 90-degree orthogonal coupling on the other path of carrier signal by using a coupler, and sending the coupled other path of carrier signal to an orthogonal branch correlator;
the orthogonal branch correlator is used for correlating the other path of coupled carrier signals with intermediate frequency signals corresponding to satellite signals to obtain orthogonal branch data and sending the orthogonal branch data to the carrier ring Kalman filter;
and receiving the in-phase branch data and the orthogonal branch data by using a carrier ring Kalman filter, determining a state vector comprising a carrier phase, a carrier angular frequency shift and a carrier angular frequency shift change rate by using a robust predictive variable structure filtering control mode based on the in-phase branch data and the orthogonal branch data, and sending the state vector to an NCO carrier generator.
2. The GNSS receiver carrier tracking method based on robust predictor variable structure filter according to claim 1, characterized in that, based on the in-phase branch data and the quadrature branch data, the state vector comprising the carrier phase, the carrier angular frequency shift and the carrier angular frequency shift change rate is determined by using the robust predictor variable structure filter control method, comprising:
constructing a novel state equation corresponding to the state vector based on the uncertainty model error of the system;
performing time-removing Taylor expansion on the observation vector to obtain a Taylor expansion item corresponding to the observation vector;
calculating and determining an estimation error of the novel state equation according to the Taylor expansion term corresponding to the observation vector;
calculating and determining the model error compensation quantity of the novel state equation according to the estimation error of the novel state equation;
correcting the novel state equation by using the model error compensation quantity to obtain an improved state equation;
and performing numerical integration on the improved state equation to determine a state vector of carrier tracking at the next moment.
3. The GNSS receiver carrier tracking method based on robust predictive variable structure filtering according to claim 2, characterized in that the new state equation corresponding to the state vector is:
xk+1=f(xk)+g(xk)dk
wherein x isk+1Representing the state vector at time k +1, xkState vector representing time k, f (x)k) Represents the initial equation of state, g (x)k) System matrix representing model errors, dkError of representation modelA difference compensation amount.
4. The robust predictor-variable structure filter based GNSS receiver carrier tracking method according to claim 2 or 3, wherein estimating the error comprises: a priori estimation error and a posteriori estimation error.
5. The GNSS receiver carrier tracking method based on robust prediction variable structure filtering as claimed in claim 4, characterized in that the prior estimation error is calculated and determined by the following formula;
6. The GNSS receiver carrier tracking method based on robust prediction variable structure filtering according to claim 4, characterized in that the a posteriori estimation error is calculated and determined by the following formula;
7. The GNSS receiver carrier tracking method based on robust predictive variable structure filtering according to any of the claims 2 to 6, characterized in that the model error compensation amount of the new state equation is calculated and determined by the following formula;
wherein d iskThe amount of model error compensation is represented,a state matrix representing the amount of model error,state vector x representing time kkIs determined by the estimated value of (c),which is indicative of an a priori estimation error,the error of the a posteriori estimation is indicated,representing the estimated residual variation gradient and gamma representing a constant parameter.
8. The GNSS receiver carrier tracking method based on robust predictor variable structure filtering according to any of the claims 2 to 7, characterized in that the improved state equation is:
wherein x isk+1Representing the state vector at time k +1, xkState vector representing time k, f (x)k) Represents the initial equation of state, g (x)k) A system matrix representing the error of the model,a state matrix representing the amount of model error,state vector x representing time kkIs determined by the estimated value of (c),which is indicative of an a priori estimation error,the error of the a posteriori estimation is indicated,representing the estimated residual variation gradient and gamma representing a constant parameter.
Priority Applications (1)
| Application Number | Priority Date | Filing Date | Title |
|---|---|---|---|
| CN202111418951.7A CN114397681B (en) | 2021-11-26 | 2021-11-26 | GNSS receiver carrier tracking method based on robust prediction variable structure filtering |
Applications Claiming Priority (1)
| Application Number | Priority Date | Filing Date | Title |
|---|---|---|---|
| CN202111418951.7A CN114397681B (en) | 2021-11-26 | 2021-11-26 | GNSS receiver carrier tracking method based on robust prediction variable structure filtering |
Publications (2)
| Publication Number | Publication Date |
|---|---|
| CN114397681A true CN114397681A (en) | 2022-04-26 |
| CN114397681B CN114397681B (en) | 2023-02-28 |
Family
ID=81226039
Family Applications (1)
| Application Number | Title | Priority Date | Filing Date |
|---|---|---|---|
| CN202111418951.7A Active CN114397681B (en) | 2021-11-26 | 2021-11-26 | GNSS receiver carrier tracking method based on robust prediction variable structure filtering |
Country Status (1)
| Country | Link |
|---|---|
| CN (1) | CN114397681B (en) |
Cited By (1)
| Publication number | Priority date | Publication date | Assignee | Title |
|---|---|---|---|---|
| CN120428272A (en) * | 2025-07-08 | 2025-08-05 | 北京李龚导航科技股份有限公司 | A GNSS baseband signal tracking method based on rolling time domain estimation |
Citations (8)
| Publication number | Priority date | Publication date | Assignee | Title |
|---|---|---|---|---|
| US20070118286A1 (en) * | 2005-11-23 | 2007-05-24 | The Boeing Company | Ultra-tightly coupled GPS and inertial navigation system for agile platforms |
| US20070205940A1 (en) * | 2005-07-01 | 2007-09-06 | Chun Yang | Method and device for tracking weak global navigation satellite system (gnss) signals |
| US20100027603A1 (en) * | 2007-07-31 | 2010-02-04 | Harris Corporation | System and method for automatic recovery and covariance adjustment in linear filters |
| US20110254734A1 (en) * | 2010-04-14 | 2011-10-20 | The Boeing Company | Software GNSS Receiver for High-Altitude Spacecraft Applications |
| CN102540216A (en) * | 2011-11-14 | 2012-07-04 | 北京航空航天大学 | Self-adaptive tracking loop and implementation method |
| CN102749633A (en) * | 2012-06-29 | 2012-10-24 | 北京航空航天大学 | Solution method for dynamic positioning of satellite navigation receiver |
| CN110018506A (en) * | 2019-04-08 | 2019-07-16 | 南京航空航天大学 | Combine track algorithm based on the GNSS double frequency with subtractive combination Kalman filter |
| CN111158023A (en) * | 2019-12-27 | 2020-05-15 | 中国人民解放军军事科学院国防科技创新研究院 | Receiver terminal anti-interference method based on low-earth orbit satellite |
-
2021
- 2021-11-26 CN CN202111418951.7A patent/CN114397681B/en active Active
Patent Citations (8)
| Publication number | Priority date | Publication date | Assignee | Title |
|---|---|---|---|---|
| US20070205940A1 (en) * | 2005-07-01 | 2007-09-06 | Chun Yang | Method and device for tracking weak global navigation satellite system (gnss) signals |
| US20070118286A1 (en) * | 2005-11-23 | 2007-05-24 | The Boeing Company | Ultra-tightly coupled GPS and inertial navigation system for agile platforms |
| US20100027603A1 (en) * | 2007-07-31 | 2010-02-04 | Harris Corporation | System and method for automatic recovery and covariance adjustment in linear filters |
| US20110254734A1 (en) * | 2010-04-14 | 2011-10-20 | The Boeing Company | Software GNSS Receiver for High-Altitude Spacecraft Applications |
| CN102540216A (en) * | 2011-11-14 | 2012-07-04 | 北京航空航天大学 | Self-adaptive tracking loop and implementation method |
| CN102749633A (en) * | 2012-06-29 | 2012-10-24 | 北京航空航天大学 | Solution method for dynamic positioning of satellite navigation receiver |
| CN110018506A (en) * | 2019-04-08 | 2019-07-16 | 南京航空航天大学 | Combine track algorithm based on the GNSS double frequency with subtractive combination Kalman filter |
| CN111158023A (en) * | 2019-12-27 | 2020-05-15 | 中国人民解放军军事科学院国防科技创新研究院 | Receiver terminal anti-interference method based on low-earth orbit satellite |
Non-Patent Citations (4)
| Title |
|---|
| FANCHEN MENG等: ""Strong tracking filter modeling for GPS robust navigation"", 《THE SIXTH INTERNATIONAL WORKSHOP ON SIGNAL DESIGN AND ITS APPLICATIONS IN COMMUNICATIONS》 * |
| RUI ZHENG等: ""A novel fine code phase determination approach for a bandwidth limited snapshot GPS receiver"", 《IEEE/ION POSITION, LOCATION AND NAVIGATION SYMPOSIUM》 * |
| 张小军: ""基于卡尔曼滤波的GPS高动态载波跟踪环路设计"", 《测绘科学》 * |
| 范广腾等: ""基于检测器性能实时评估的欺骗检测融合算法"", 《哈尔滨工业大学学报》 * |
Cited By (2)
| Publication number | Priority date | Publication date | Assignee | Title |
|---|---|---|---|---|
| CN120428272A (en) * | 2025-07-08 | 2025-08-05 | 北京李龚导航科技股份有限公司 | A GNSS baseband signal tracking method based on rolling time domain estimation |
| CN120428272B (en) * | 2025-07-08 | 2025-09-26 | 北京李龚导航科技股份有限公司 | GNSS baseband signal tracking method based on rolling time domain estimation |
Also Published As
| Publication number | Publication date |
|---|---|
| CN114397681B (en) | 2023-02-28 |
Similar Documents
| Publication | Publication Date | Title |
|---|---|---|
| US11287534B1 (en) | Systems and methods for tracking power modulation | |
| US6240367B1 (en) | Full fusion positioning method for vehicle | |
| US8364401B2 (en) | Highly integrated GPS, Galileo and inertial navigation system | |
| US8525727B2 (en) | Position and velocity uncertainty metrics in GNSS receivers | |
| US7274504B2 (en) | System and method for advanced tight coupling of GPS and inertial navigation sensors | |
| CN111158023B (en) | Receiver terminal anti-interference method based on low-earth orbit satellite | |
| CN111458730B (en) | GNSS carrier tracking method based on Doppler residual estimation and receiver | |
| CN105806339B (en) | A kind of Combinated navigation method and equipment based on GNSS, INS and Time keeping system | |
| US20070252754A1 (en) | System and method for advanced tight coupling of GPS and navigation based on dead reckoning | |
| US20230129514A1 (en) | Positioning system and method | |
| Tang et al. | Practical implementation and performance assessment of an Extended Kalman Filter-based signal tracking loop | |
| Soloviev et al. | Deeply Integrated GPS/Low‐Cost IMU for Low CNR Signal Processing: Concept Description and In‐Flight Demonstration | |
| Wu et al. | An adaptive deep-coupled GNSS/INS navigation system with hybrid pre-filter processing | |
| CN114397681B (en) | GNSS receiver carrier tracking method based on robust prediction variable structure filtering | |
| CN105572700B (en) | One kind is disturbed channel self-test GPS vector tracking loop methods | |
| WO2007043982A2 (en) | Extended frequency error correction in a wireless communication receiver | |
| TW448304B (en) | Fully-coupled positioning process and system | |
| Zhang et al. | A 2-step GPS carrier tracking loop for urban vehicle applications | |
| RU2731784C2 (en) | Method and system for satellite signal processing | |
| Vani et al. | Evaluation of GPS data for navigational solution and error reduction using kalman filter | |
| Shytermeja et al. | Dual-constellation vector tracking algorithm in ionosphere and multipath conditions | |
| Fan et al. | Frequency diversity combined robust GNSS signal tracking using a bank of correlators | |
| WO2019088866A1 (en) | Shadow recovery of a single satellite signal in a gnss receiver | |
| CN119667723A (en) | A method for monitoring integrity and optimizing positioning of shipborne navigation systems | |
| Sineglazov et al. | Perspectives of integrated inertial-satellite systems development of civil aviation aircraft |
Legal Events
| Date | Code | Title | Description |
|---|---|---|---|
| PB01 | Publication | ||
| PB01 | Publication | ||
| SE01 | Entry into force of request for substantive examination | ||
| SE01 | Entry into force of request for substantive examination | ||
| GR01 | Patent grant | ||
| GR01 | Patent grant |






























































