CN114098992A - Mechanical arm, slave operation device and surgical robot - Google Patents
Mechanical arm, slave operation device and surgical robot Download PDFInfo
- Publication number
- CN114098992A CN114098992A CN202111335525.7A CN202111335525A CN114098992A CN 114098992 A CN114098992 A CN 114098992A CN 202111335525 A CN202111335525 A CN 202111335525A CN 114098992 A CN114098992 A CN 114098992A
- Authority
- CN
- China
- Prior art keywords
- axis
- cyclone
- parallelogram
- arm
- intersects
- Prior art date
- Legal status (The legal status is an assumption and is not a legal conclusion. Google has not performed a legal analysis and makes no representation as to the accuracy of the status listed.)
- Pending
Links
Images
Classifications
-
- A—HUMAN NECESSITIES
- A61—MEDICAL OR VETERINARY SCIENCE; HYGIENE
- A61B—DIAGNOSIS; SURGERY; IDENTIFICATION
- A61B34/00—Computer-aided surgery; Manipulators or robots specially adapted for use in surgery
- A61B34/70—Manipulators specially adapted for use in surgery
-
- A—HUMAN NECESSITIES
- A61—MEDICAL OR VETERINARY SCIENCE; HYGIENE
- A61B—DIAGNOSIS; SURGERY; IDENTIFICATION
- A61B34/00—Computer-aided surgery; Manipulators or robots specially adapted for use in surgery
- A61B34/30—Surgical robots
- A61B34/35—Surgical robots for telesurgery
-
- A—HUMAN NECESSITIES
- A61—MEDICAL OR VETERINARY SCIENCE; HYGIENE
- A61B—DIAGNOSIS; SURGERY; IDENTIFICATION
- A61B34/00—Computer-aided surgery; Manipulators or robots specially adapted for use in surgery
- A61B34/70—Manipulators specially adapted for use in surgery
- A61B34/72—Micromanipulators
-
- A—HUMAN NECESSITIES
- A61—MEDICAL OR VETERINARY SCIENCE; HYGIENE
- A61B—DIAGNOSIS; SURGERY; IDENTIFICATION
- A61B34/00—Computer-aided surgery; Manipulators or robots specially adapted for use in surgery
- A61B34/30—Surgical robots
- A61B2034/305—Details of wrist mechanisms at distal ends of robotic arms
Landscapes
- Health & Medical Sciences (AREA)
- Surgery (AREA)
- Engineering & Computer Science (AREA)
- Life Sciences & Earth Sciences (AREA)
- Biomedical Technology (AREA)
- Robotics (AREA)
- Nuclear Medicine, Radiotherapy & Molecular Imaging (AREA)
- Heart & Thoracic Surgery (AREA)
- Medical Informatics (AREA)
- Molecular Biology (AREA)
- Animal Behavior & Ethology (AREA)
- General Health & Medical Sciences (AREA)
- Public Health (AREA)
- Veterinary Medicine (AREA)
- Manipulator (AREA)
Abstract
The application discloses a mechanical arm, which is connected with a directional platform, and comprises an operating arm and an adjusting arm connected with the operating arm, wherein the operating arm comprises a deflection joint and a deflection axis passing through a remote center RC point; one end of the cyclone joint is connected with the deflection joint, the other end of the cyclone joint is connected with the adjusting arm, a cyclone axis which does not penetrate through the RC point is arranged, and the cyclone axis and the deflection axis are coplanar; the operation arm is also provided with an insertion axis passing through the RC point, the surgical instrument on the operation arm moves along the insertion axis, and when the cyclone axis is intersected with the insertion axis, the intersection point is positioned at a non-RC point; the adjusting arm is used for keeping the coordinate of the RC point in the coordinate system of the directional platform unchanged when the cyclone joint rotates around the cyclone axis. The application also discloses a slave operation device and a surgical robot. The minimally invasive surgery instrument can keep the contact point between the long shaft of the surgery instrument and the minimally invasive incision on the patient body still, so that the wound of the patient is prevented from being torn.
Description
Technical Field
The application relates to the technical field of medical instruments, in particular to a mechanical arm, a slave operation device and a surgical robot.
Background
The minimally invasive surgery is a surgery mode for performing surgery in a human body cavity by using modern medical instruments such as a laparoscope, a thoracoscope and the like and related equipment. Compared with the traditional minimally invasive surgery, the minimally invasive surgery has the advantages of small wound, light pain, quick recovery and the like.
With the progress of science and technology, the minimally invasive surgery robot technology is gradually mature and widely applied. The minimally invasive surgery robot generally comprises a main operation table and a slave operation device, wherein the main operation table is used for sending control commands to the slave operation device according to the operation of a doctor so as to control the slave operation device, and the slave operation device is used for responding to the control commands sent by the main operation table and carrying out corresponding surgery operation. A surgical instrument is connected to the drive means of the slave manipulator apparatus for performing a surgical procedure, the surgical instrument having a long shaft and an end effector at the end of the long shaft. Ideally, the surgical instrument is in the process of performing a surgical procedure. The contact point between the long axis and the minimally invasive incision in the patient should remain stationary to avoid tearing the patient wound.
However, current techniques do not ensure that this point of contact remains stationary at the patient's minimally invasive incision.
Disclosure of Invention
The main purpose of this application is to provide a robotic arm, from operating device and surgical robot, aim at realizing that the contact point between the major axis of surgical instrument and the minimal access incision on the patient remains motionless to avoid causing the tear to patient's wound.
In order to achieve the above object, the present application provides a mechanical arm, the mechanical arm is connected with directional platform, the mechanical arm include the operation arm and with the adjustment arm that the operation arm is connected, the operation arm includes:
a yaw joint having a yaw axis passing through a remote center RC point;
one end of the cyclone joint is connected with the deflection joint, the other end of the cyclone joint is connected with the adjusting arm, a cyclone axis which does not penetrate through the RC point is arranged, and the cyclone axis is coplanar with the deflection axis;
the operation arm is also provided with an insertion axis passing through the RC point, the surgical instrument on the operation arm moves along the insertion axis, and when the cyclone axis intersects with the insertion axis, the intersection point is located at a non-RC point position;
the adjusting arm is used for keeping the coordinate of the RC point under a coordinate system of the directional platform unchanged when the cyclone joint rotates around the cyclone axis.
Optionally, the operating arm further comprises a parallelogram mechanism having a parallelogram first side having an extension line passing through the RC point, the parallelogram first side coinciding with the deflection axis.
Optionally, the operating arm further comprises a parallelogram mechanism having a parallelogram first side having an extension line passing through the RC point, the parallelogram first side being offset from the deflection axis.
Optionally, the manipulator arm further comprises a parallelogram mechanism and a pitch axis passing through the RC point, the parallelogram mechanism being pitched about the pitch axis.
Optionally, the angle between the yaw axis and the pitch axis is 90 °.
Optionally, the cyclone axis is non-coplanar with the pitch axis.
Optionally, the cyclone axis intersects the pitch axis at a non-RC point location.
Optionally, the operating arm further comprises an insertion axis passing through the RC point, the cyclone axis intersecting the insertion axis at a non-RC point location.
Optionally, the operating arm further comprises a parallelogram mechanism having a parallelogram first side adjacent the cyclone axis; the operating arm further having a pitch axis about which the parallelogram mechanism pitches; the operating arm also has an insertion axis, the pitch axis, the insertion axis, the yaw axis, and the parallelogram first side intersecting at the RC point.
Optionally, the cyclone axis does not intersect any of the pitch axis, the insertion axis, the yaw axis, and the first side of the parallelogram; or
The cyclone axis intersects only the pitch axis; or
The cyclone axis intersects only the insertion axis; or
The cyclone axis intersects only the deflection axis; or
The cyclone axis intersects only the parallelogram first side; or
The cyclone axis intersects any two of the insertion axis, the deflection axis, and the first side of the parallelogram; or
The cyclone axis intersects the pitch axis and any one of the yaw axis and the first side of the parallelogram.
Optionally, the operating arm further comprises a parallelogram mechanism having a parallelogram first side adjacent the cyclone axis; the operating arm further having a pitch axis about which the parallelogram mechanism pitches; the operating arm further having an insertion axis, the pitch axis, the insertion axis, the yaw axis, and the parallelogram first side intersecting at the RC point;
the parallelogram first side coincides with the yaw axis.
Optionally, the cyclone axis does not intersect any of the pitch axis, insertion axis and yaw axis; or
The cyclone axis intersects only the pitch axis; or
The cyclone axis intersects only the insertion axis; or
The cyclone axis intersects only the deflection axis; or
The cyclone axis intersects both the insertion axis and the deflection axis; or
The cyclone axis intersects the pitch axis and the yaw axis.
Optionally, the operating arm further comprises a parallelogram mechanism having a parallelogram first side adjacent the cyclone axis; the operating arm further having a pitch axis about which the parallelogram mechanism pitches; the operating arm further having an insertion axis, the pitch axis, the insertion axis, the yaw axis, and the parallelogram first side intersecting at the RC point;
the cyclone axis is coplanar with the pitching axis.
Optionally, the cyclone axis does not intersect any of the pitch axis, the insertion axis, the yaw axis and the first side of the parallelogram; or
The cyclone axis intersects only the insertion axis; or
The cyclone axis intersects only the deflection axis; or
The cyclone axis intersects only the parallelogram first side; or
The cyclone axis intersects the insertion axis, the deflection axis, and any two lines in the first side of the parallelogram.
Optionally, the operating arm further comprises a parallelogram mechanism having a parallelogram first side adjacent the cyclone axis; the operating arm further having a pitch axis about which the parallelogram mechanism pitches; the operating arm further having an insertion axis, the pitch axis, the insertion axis, the yaw axis, and the parallelogram first side intersecting at the RC point;
the cyclone axis intersects the pitch axis at a non-RC point location.
Optionally, the cyclone axis does not intersect any of the insertion axis and the deflection axis; or
The cyclone axis also intersects the deflection axis.
Optionally, the operating arm further comprises a parallelogram mechanism having a parallelogram first side adjacent the cyclone axis; the operating arm further having a pitch axis about which the parallelogram mechanism pitches; the operating arm further having an insertion axis, the pitch axis, the insertion axis, the yaw axis, and the parallelogram first side intersecting at the RC point;
the cyclone axis intersects the insertion axis at a non-RC point location.
Optionally, the cyclone axis and the pitch axis do not intersect; or
The cyclone axis also intersects the deflection axis; or
The cyclone axis also intersects the parallelogram first side.
Optionally, a line between the cyclone joint and the RC point has an angle with the cyclone axis.
Optionally, the cyclone axis passes through the RC point, and the deflection axis does not pass through the RC point.
Optionally, the operating arm further comprises a parallelogram mechanism having a parallelogram first side adjacent to the yaw axis; the operating arm further having a pitch axis about which the parallelogram mechanism pitches; the operating arm also has an insertion axis, the pitch axis, the insertion axis, the cyclone axis, and the parallelogram first side intersecting at the RC point.
Optionally, the cyclone axis does not intersect any of the pitch axis, the insertion axis, the cyclone axis and the first side of the parallelogram; or
The yaw axis intersects only the pitch axis; or
The deflection axis intersects only the insertion axis; or
The deflection axis intersects only the cyclone axis; or
The yaw axis intersects only the parallelogram first side; or
The deflection axis intersects the cyclone axis and the parallelogram first side; or
The deflection axis intersects any two of the insertion axis, the cyclone axis, and the first side of the parallelogram; or
The yaw axis intersects the pitch axis and any one of the cyclone axis and the first side of the parallelogram; or
The deflection axis intersects the insertion axis and any one of the cyclone axis and the first side of the parallelogram.
Optionally, the first parallelogram side coincides with the cyclone axis;
the yaw axis is not intersected with any one of the pitch axis, the insertion axis and the yaw axis; or
The yaw axis intersects only the pitch axis; or
The deflection axis intersects only the insertion axis; or
The deflection axis intersects only the cyclone axis; or
The deflection axis intersects both the insertion axis and the cyclone axis; or
The yaw axis intersects the pitch axis and the cyclone axis.
Optionally, the operating arm further includes a mounting base connected to the adjusting arm, and a linkage base, a first rod, and a second rod sequentially connected to the mounting base, where the linkage base includes a deflection joint connected to the mounting base and a linkage link connected to the deflection joint; the linkage connecting rod, the first connecting rod and the second connecting rod are located on different adjacent planes.
Optionally, the cyclone axis is parallel to or intersects the deflection axis at a non-RC point location.
To achieve the above object, the present application further provides a slave operation device, which includes a base, an orientation platform mounted on the base, and a robot arm as described above connected to the orientation platform.
To achieve the above object, the present application also provides a surgical robot, which includes a master console and the slave operation device as described above, wherein the slave operation device is used for responding to the control command sent by the master console to perform the corresponding surgical operation.
According to the mechanical arm, the slave operation equipment and the surgical robot, the deflection axis passing through the remote center RC point is arranged, and the cyclone axis not passing through the RC point is not arranged, so that the coordinate of the RC point under a coordinate system of the directional platform can be kept unchanged by using the adjusting arm when the cyclone joint rotates around the cyclone axis. Therefore, the contact point between the long shaft of the surgical instrument and the minimally invasive incision on the patient can be kept still, and the wound of the patient is prevented from being torn.
Drawings
FIG. 1 is a schematic view of an embodiment of a surgical robot according to the present application;
FIG. 2 is a schematic view of an embodiment of a surgical instrument of the surgical robot of the present application;
FIG. 3 is a schematic diagram of an embodiment of the manipulator arm of FIG. 1;
FIG. 4 is a simplified structural diagram of an embodiment of the operating arm and the adjusting arm of FIG. 1;
FIG. 5 is a simplified structural diagram of an alternative embodiment of the operating arm and the adjustment arm of FIG. 1;
FIG. 6 is an enlarged view of a portion a of FIG. 5;
FIG. 7 is a simplified structural diagram of an alternative embodiment of the operating arm and the adjustment arm of FIG. 1;
FIG. 8 is a simplified structural diagram of an alternative embodiment of the operating arm and the adjustment arm of FIG. 1;
FIG. 9 is a simplified structural diagram of an alternative embodiment of the operating arm and the adjustment arm of FIG. 1;
FIG. 10 is a simplified structural diagram of an alternative embodiment of the operating arm and the adjustment arm of FIG. 1;
FIG. 11 is a simplified structural diagram of an alternative embodiment of the operating arm and the adjustment arm of FIG. 1;
FIG. 12 is a simplified structural diagram of an alternative embodiment of the operating arm and the adjustment arm of FIG. 1;
FIG. 13 is a simplified structural diagram of an alternative embodiment of the operating arm and the adjustment arm of FIG. 1;
FIG. 14 is an enlarged view of the structure at b in FIG. 13;
FIG. 15 is a simplified structural diagram of an alternative embodiment of the operating arm and the adjustment arm of FIG. 1;
FIG. 16 is a simplified block diagram of an embodiment of a slave manipulator apparatus of the present application;
FIG. 17 is a simplified schematic diagram of a robot arm according to an embodiment of the present application;
FIG. 18 is a schematic structural view of an embodiment of the actuator arm and adjustment arm of the present application;
FIG. 19 is a flowchart illustrating an embodiment of compensating motion of the adjusting arm according to the present application.
The implementation, functional features and advantages of the objects of the present invention will be further explained with reference to the accompanying drawings.
Detailed Description
The technical solutions in the embodiments of the present application will be described clearly and completely with reference to the drawings in the embodiments of the present application, and it is obvious that the described embodiments are only a part of the embodiments of the present application, and not all of the embodiments. All other embodiments, which can be derived by a person skilled in the art from the embodiments given herein without making any creative effort, shall fall within the protection scope of the present application.
It should be noted that all directional indicators (such as up, down, left, right, front, and back) in the embodiments of the present application are only used to explain the relative position relationship between the components, the motion situation, and the like in a specific posture (as shown in the drawings), and if the specific posture is changed, the directional indicator is changed accordingly.
In this application, unless expressly stated or limited otherwise, the terms "connected," "secured," and the like are to be construed broadly, and for example, "secured" may be a fixed connection, a removable connection, or an integral part; can be mechanically or electrically connected; they may be directly connected or indirectly connected through intervening media, or they may be connected internally or in any other suitable relationship, unless expressly stated otherwise. The specific meaning of the above terms in the present application can be understood by those of ordinary skill in the art as appropriate.
In addition, descriptions in this application as to "first", "second", etc. are for descriptive purposes only and are not to be construed as indicating or implying relative importance or implicit to the number of technical features indicated. Thus, a feature defined as "first" or "second" may explicitly or implicitly include at least one such feature. In addition, technical solutions between various embodiments may be combined with each other, but must be realized by a person skilled in the art, and when the technical solutions are contradictory or cannot be realized, such a combination should not be considered to exist, and is not within the protection scope of the present application.
As shown in fig. 1 and 2, the present application provides a surgical robot 100, the surgical robot 100 includes a master console 1 and a slave operation device 2, the master console 1 is used for sending control commands to the slave operation device 2 according to the operation of a doctor to control the slave operation device 2; the slave operation device 2 is used for responding to the control command sent by the master operation table 1 and performing corresponding operation. The slave manipulator 2 comprises a base 200, an orienting platform 300 mounted on the base, and a robotic arm 400 connected to the orienting platform 300. The base 200 may further include a base body 21, a column 22 disposed on the base body 21, and a suspension arm 23 connected to the column 22, wherein the orientation platform 300 is connected to the suspension arm 23. The robot arm 400 includes an adjustment arm 500 connected to the orienting platform 300, a manipulation arm 600 connected to the adjustment arm 500, and a surgical instrument 700 mounted on the manipulation arm 600. The surgical instrument 700 may be an electrocautery, a forceps, a stapler, a scissors, etc. for performing a surgical procedure, or may be a camera or other surgical instrument for acquiring images, and a plurality of surgical instruments 700 are inserted into a patient's body from different incisions.
As shown in fig. 3, the operation arm 600 includes a base link 61 connected to the adjustment arm 500, a parallelogram mechanism 62 connected to the base link 61, and an instrument carrying arm 63, and the instrument carrying arm 63 is used to support a surgical instrument 700.
The base link 61 includes a mounting base 68 connected to the adjustment arm 500 and a linkage base 69 connected to the mounting base 68, and the mounting base 68 further includes a cyclone joint 681 connected to the adjustment arm 500 and having a cyclone axis 10 around which the cyclone joint 681 can rotate, and a mounting link 682 connected to the cyclone joint 681. The linkage base 69 further includes a yaw joint 691 coupled to the mounting link 682 that is rotatable about a yaw axis 20 and a linkage link 692 coupled to the yaw joint 691.
The parallelogram mechanism 62 further includes a first link 65 connected to the linkage link 692 through a first joint 67 and a second link 66 connected to the first link, the first joint 67 and the RC point forming a first side 50 of the parallelogram (as shown in fig. 4). The first link 65, second link 66 and instrument carrying arm 63 lie in adjacent planes. This arrangement can save space when the operating arm 600 is folded.
The instrument-carrying arm 63 has an insertion axis 30 such that the surgical instrument 700 may be moved along the insertion axis 30 to control the depth of the surgical instrument 700 into the patient. As shown in fig. 2, the surgical instrument 700 has a long shaft 720 and an end effector 730 located at the end of the long shaft 720, the long shaft 720 is provided with an RC point (Remote Center) at a side close to the end effector 730, which may also be referred to as: an instrument motionless point 11, this RC point or instrument motionless point 11 coinciding with the RC point of the surgical robot 100. During the movement of the operation arm 600, the surgical instrument 700 may swing around the RC point, so as to avoid the surgical robot 100 from causing damage to the patient during the operation. Wherein the orientation stage 300 has a coordinate system F0E.g. F0(a, b, c) the RC points relative to the coordinate system F of the orienting platform 3000The coordinates of (a) remain unchanged.
As shown in fig. 4 and 5, the yaw axis 20 and the insertion axis 30 both pass through the RC point, the operating arm 600 further includes a pitch axis 40 passing through the RC point, and the parallelogram mechanism 62 can perform a pitching motion about the pitch axis 40. The parallelogram mechanism 62 further comprises a second parallelogram side (not shown), a third parallelogram side (not shown) and a fourth parallelogram side (not shown) which are sequentially connected with the first parallelogram side 50, wherein the extension line of the first parallelogram side 50 passes through an RC point, the second parallelogram side is substantially coincident with the first link 65, the third parallelogram side is substantially coincident with the second link 66, and the fourth parallelogram side is substantially coincident with the instrument bearing arm 63. Without the cyclone axis 10 passing through the RC point. By the compensation and adjustment function of the adjustment arm 500, when the cyclone joint 681 rotates around the cyclone axis 10, the coordinate of the RC point in the coordinate system of the orientation platform 300 is maintained unchanged, so that the contact point (the instrument stationary point 11 or the RC point) between the long axis 720 of the surgical instrument 700 and the minimally invasive incision on the patient remains stationary, and the wound of the patient is prevented from being torn.
Since the deflection axis 20 passes through the RC point, the cyclone axis 10 does not pass through the RC point. Therefore, the relative spatial relationship between the cyclone axis 10 and the deflection axis 20 may be: the cyclone axis 10 may be non-coplanar with the deflection axis 20, or the cyclone axis 10 may be coplanar with the deflection axis 20. It should be understood that the relative positions between the cyclone axis 10 and the yaw axis 20 described herein, and the relative positions between the other axes mentioned later, are relative positional relationships before the adjustment of the adjustment arm 500. In addition, in order to help understand the present embodiment, the relative positional relationship between the axes mentioned later is the positional relationship between the whirling joint 681 and the yaw joint 691 in the initial state. The positional relationship of the yaw joint 691 or the whirling joint 681 during rotation will be described in particular.
The angle range of the parallelogram mechanism 62 pitching around the pitch axis 40 may be [ -30 °,160 ° ], may also be [ -30 °,150 ° ], may also be [ -20 °,140 ° ], may also be [ -15 °,140 ° ], may also be [ -10 °,135 ° ] and the like, and specific values may be reasonably set according to actual needs. Of course, the specific range values are only used to help understanding the scheme of the application and do not play a limiting role. That is, the minimum angle and the maximum angle can be adjusted according to actual needs.
The rotation angle range of the second side of the parallelogram relative to the third side of the parallelogram is [ -30 degrees, 160 degrees ], can also be [ -25 degrees, 150 degrees ], can also be [ -20 degrees, 140 degrees ], can also be [ -15 degrees, 140 degrees ], can also be [ -10 degrees, 135 degrees ] and the like, and the rotation angle range of the fourth side of the parallelogram relative to the third side of the parallelogram is [ -30 degrees, 160 degrees ], can also be [ -30 degrees, 150 degrees ], can also be [ -20 degrees, 140 degrees ], can also be [ -15 degrees, 135 degrees ], can also be [ -10 degrees, 135 degrees ] and the like.
The included angle between the pitch axis 40 and the yaw axis 20 may be 90 °, which is advantageous for processing of the surgical robot 100 and for system control calculation of the surgical robot 100. Of course, in other embodiments, the included angle between the pitch axis 40 and the yaw axis 20 may also be an angle close to 90 °, for example, may deviate by 1 to 10 ° or the like, and may be set reasonably according to actual needs.
When the pitch axis 40, the insertion axis 30, the yaw axis 20, and the parallelogram first side 50 intersect at an RC point, but the cyclone axis 10 does not pass through the RC point, the relationship of the cyclone axis 10 to the other lines is as follows:
1) the cyclone axis 10 may not intersect any of the pitch axis 40, insertion axis 30, yaw axis 20, and the parallelogram first side 50;
2) the cyclone axis 10 may also intersect only the pitch axis 40;
3) the cyclone axis 10 may also intersect only the insertion axis 30;
4) the cyclone axis 10 may also intersect only the deflection axis 20;
5) the cyclone axis 10 may also intersect only the parallelogram first side 50;
6) the cyclone axis 10 may also intersect any two of the insertion axis 30, the deflection axis 20, and the parallelogram first side 50;
7) the cyclone axis 10 may also intersect the pitch axis 40 and any one of the yaw axis 20 and the first side 50 of the parallelogram;
8) the cyclone axis 10 intersects the insertion axis 30 and either one of the deflection axis 20 and the parallelogram first side 50.
In the present embodiment, as shown in FIG. 4, the yaw axis 20 forms an angle α with the first parallelogram side 50, and the yaw axis 20 is offset from the first parallelogram side 50, and in this case, the first parallelogram side 50 is located below the yaw axis 20, and the angle α may be in the range of (0,45 ° ], or [2 °,30 ° ], or [2 °,20 ° ], or [5 °,20 ° ], etc. ], in other embodiments, the first parallelogram side 50 may be located above the yaw axis 20, and the angle α may be in the range of (0,75 ° ], or [2 °,55 ° ], or [2 °,50 ° ], or [5 °,40 ° ], etc. ], and by making the yaw axis 20 form an angle α with the first parallelogram side 50, the parallelogram mechanism 62 may be rotated about the yaw axis 20, the first joint 67 of the parallelogram mechanism 62 can be prevented from touching the patient when it is rotated to the lowest point, thereby improving the safety of the surgical robot 100 during the operation.
As shown in fig. 5, when the cyclone axis 10 is different from the deflection axis 20, the relationship between the cyclone axis 10 and other lines is as follows:
1) the cyclone axis 10 does not intersect any of the pitch axis 40, the insertion axis 30, the yaw axis 20, and the parallelogram first side 50; or
2) The cyclone axis 10 intersects only the pitch axis 40; or
3) The cyclone axis 10 intersects only the insertion axis 30; or
4) The cyclone axis 10 intersects only the parallelogram first side 50; or
5) The cyclone axis 10 intersects both the insertion axis 30 and the parallelogram first side 50.
Wherein, the included angle β between the connection line between the cyclone joint 681 and the RC point and the cyclone axis 10 may be: (0,10 ° ], or (0,5 ° ], or [1 °,4 ° ], or [1 °,2 ° ], or the like, or the angle between the yaw joint 691 and the cyclone joint 681 is β.
As shown in fig. 6, when the cyclone axis 10 is different from the deflection axis 20, the distance d between the cyclone axis 10 and the deflection axis 20 can be obtained by taking the distance between the two closest points. The distance d may range from: (0,10 cm), also can be (0,5 cm), (0,2 cm), (1 cm,2 cm), (0.5 cm,1.5 cm) and the like, and the specific numerical values can be reasonably set according to actual needs.
As shown in fig. 7, when the cyclone axis 10 is coplanar with the deflection axis 20, the cyclone axis 10 is parallel to or intersects the deflection axis 20. Taking the intersection of the cyclone axis 10 and the deflection axis 20 as an example, the cyclone axis and the deflection axis intersect at a non-RC point, such as a point C, and an included angle is formed between the cyclone axis and the deflection axis. It will be appreciated that the cyclone axis 10 and the yaw axis 20 may also be in a parallel relationship when the yaw joint 691 is relatively close to the cyclone joint 681.
Example 2 the cyclone axis 10 (but at the RC point) intersects both the pitch axis 40 and the insertion axis 30 at non-RC points
When the cyclone joint 681 rotates around the cyclone axis 10, if the cyclone axis 10 intersects with the pitch axis 40, the cyclone axis intersects with a non-RC point; similarly, when the cyclone joint 681 rotates around the cyclone axis 10, if the cyclone axis 10 intersects the insertion axis 30, it also intersects a position other than the RC point. It will be appreciated that when the cyclone 681 is in the initial position, the cyclone axis 10 may be out of plane with the pitch axis 40 or may intersect at a non-RC point; when the cyclone joint 681 is in the initial position, the cyclone axis 10 may be out of plane with the insertion axis 30 or may intersect at a non-RC point.
1. When the cyclone axis 10 is different from the pitch axis 40, the relationship between the cyclone axis 10 and each of the other lines is as follows (described based on embodiment 1):
1) the cyclone axis 10 may not intersect any of the pitch axis 40, the insertion axis 30, the yaw axis 20, and the parallelogram first side 50;
2) the cyclone axis 10 may also intersect only the insertion axis 30;
3) the cyclone axis 10 may also intersect only the parallelogram first side 50;
4) in some cases, the cyclone axis 10 may also intersect any two lines of the insertion axis 30, the deflection axis 20, and the parallelogram first side 50.
In case 1), when the cyclone axis 10 may not intersect any one of the pitch axis 40, the insertion axis 30, the yaw axis 20, and the first parallelogram side 50, taking a distance between two closest points between the cyclone axis 10 and the yaw axis 20, a distance m between the cyclone axis 10 and the yaw axis 20 is obtained, and the distance m may range from: (0,10 cm), also can be (0,5 cm), also can be (0,2 cm), also can be [1cm,2cm ], also can be [0.5cm,1.5cm ], etc., the concrete numerical value can be rationally set according to the actual need.
In case 2), as shown in fig. 8, the cyclone axis 10 intersects the insertion axis 30 at a non-RC point, such as a point X, and the cyclone axis 10 is located below the pitch axis 40. Of course, in other embodiments, the cyclone axis 10 may also be located above the pitch axis 40. Wherein, the lower part is the side close to the patient, and the upper part is the side far from the patient. In this case, the relationship between the cyclone axis 10 and each of the other lines is as follows:
1) the cyclone axis 10 does not intersect with the deflection axis 20 and any one line of the parallelogram;
2) the cyclone axis 10 also intersects the deflection axis 20;
3) the cyclone axis 10 also intersects the parallelogram first side 50;
4) in some cases, the cyclone axis 10 may also intersect the deflection axis 20 and the parallel first sides 50.
Wherein, the distance range between the RC point and the X point may be: (0,10 cm), or (0,5 cm), or (0,2 cm), or [1cm,2cm ], or [0.5cm,1.5cm ], and the like.
It is understood that in other embodiments, the cyclone axis 10 and the insertion axis 30 may be non-coplanar, and the distance l between the insertion axis 30 and the cyclone axis 10 is obtained by taking the distance between two nearest points between the insertion axis 30 and the cyclone axis 10, and the distance l may range from: (0,10 cm), or (0,5 cm), or (0,2 cm), or [1cm,2cm ], or [0.5cm,1.5cm ], and the like, and the distance range is not limited to the above-mentioned numerical range, and in other embodiments, it may be appropriately set as needed.
In addition, according to embodiment 1, when the cyclone axis 10 is different from both the yaw axis 20 and the pitch axis 40, the relationship between the cyclone axis 10 and each of the other lines is as follows:
1) the cyclone axis 10 may not intersect any of the pitch axis 40, the insertion axis 30, the yaw axis 20, and the parallelogram first side 50;
2) the cyclone axis 10 may also intersect only the insertion axis 30;
3) the cyclone axis 10 may also intersect only the parallelogram first side 50;
4) the cyclone axis 10 may also intersect the insertion axis 30 and the parallelogram first side 50.
In addition, according to embodiment 1, when the cyclone axis 10 is out of plane with the yaw axis 20 and the pitch axis 40 intersects the insertion axis 30 at a non-RC point, the relationship between the cyclone axis 10 and each of the other lines is as follows:
1) the cyclone axis 10 does not intersect any of the pitch axis 40 and yaw axis 20;
2) the cyclone axis 10 also intersects the pitch axis 40;
3) the cyclone axis 10 also intersects the parallelogram first side 50.
In addition, according to embodiment 1, when the cyclone axis 10 is coplanar with the yaw axis 20 and the cyclone axis 10 is different from the pitch axis 40, the relationship between the cyclone axis 10 and each of the other lines is as follows:
the cyclone axis 10 does not intersect any of the pitch axis 40, the insertion axis 30, the yaw axis 20, and the parallelogram first side 50; or
The cyclone axis 10 intersects only the insertion axis 30; or
The cyclone axis 10 intersects only the deflection axis 20; or
The cyclone axis 10 intersects only the parallelogram first side 50; or
The cyclone axis 10 intersects any two lines of the insertion axis 30, the yaw axis 20 and the parallelogram first side 50.
In addition, based on embodiment 1, when the cyclone axis 10 is coplanar with the deflection axis 20 and the cyclone axis 10 intersects the insertion axis 30 at a non-RC point, the relationship of the cyclone axis 10 to the other lines is as follows:
the cyclone axis 10 does not intersect the pitch axis 40; or
The cyclone axis 10 also intersects the deflection axis 20; or
The cyclone axis 10 also intersects the parallelogram first side 50.
2. When the cyclone axis 10 is different from the insertion axis 30, the relationship between the cyclone axis 10 and each of the other lines is as follows (described based on embodiment 1):
1) the cyclone axis 10 may not intersect any of the pitch axis 40, the insertion axis 30, the yaw axis 20, and the parallelogram first side 50;
3) the cyclone axis 10 may also intersect only the pitch axis 40;
4) the cyclone axis 10 may also intersect only the parallelogram first side 50;
5) the cyclone axis 10 may also intersect only the deflection axis 20;
6) the cyclone axis 10 may also intersect the pitch axis 40 and any one of the yaw axis 20 and the first side 50 of the parallelogram.
In case 1), when the cyclone axis 10 may not intersect any one of the pitch axis 40, the insertion axis 30, the yaw axis 20, and the first parallelogram side 50, taking a distance between two nearest points between the cyclone axis 10 and the insertion axis 30, obtaining a distance n between the cyclone axis 10 and the insertion axis 30, where the distance n may range from: (0,10 cm), also can be (0,5 cm), also can be (0,2 cm), also can be [1cm,2cm ], also can be [0.5cm,1.5cm ], etc., the concrete numerical value can be rationally set according to the actual need.
When case 2) is shown in fig. 9, the cyclone axis 10 intersects the pitch axis 40 at a non-RC point, such as point O, it is understood that the intersection point O may be located near the inside of the paper or may be located outside the paper. In this case, the relationship between the cyclone axis 10 and each of the other lines is as follows:
1) the cyclone axis 10 may not intersect any of the insertion axis 30, the deflection axis 20, and the parallelogram first side 50;
2) the cyclone axis 10 also intersects the deflection axis 20;
3) the cyclone axis 10 also intersects the parallelogram first side 50;
4) in some cases, the cyclone axis 10 may also intersect the deflection axis 20 and the parallel first sides 50.
Wherein, the distance range between the RC point and the O point can be: (0,10 cm), also can be (0,5 cm), also can be (0,2 cm), also can be [1cm,2cm ], also can be [0.5cm,1.5cm ], etc., the concrete numerical value can be rationally set according to the actual need.
It is understood that, in other embodiments, the cyclone axis 10 and the pitch axis 40 may be non-coplanar, and the distance d between the insertion axis 30 and the cyclone axis 10 is obtained by taking the distance between the two closest points between the cyclone axis 10 and the pitch axis 40, and the distance d may range from: (0,10 cm), or (0,5 cm), or (0,2 cm), or [1cm,2cm ], or [0.5cm,1.5cm ], and the like, and the distance range is not limited to the above-mentioned numerical range, and in other embodiments, it may be appropriately set as needed.
In addition, according to embodiment 1, when the cyclone axis 10 is out of plane with the yaw axis 20 and the cyclone axis 10 intersects with the pitch axis 40 at a non-RC point, the relationship between the cyclone axis 10 and each of the other lines is as follows:
the cyclone axis 10 does not intersect any of the insertion axis 30, the deflection axis 20 and the parallelogram first side 50; or
The cyclone axis 10 also intersects the parallelogram first side 50.
In addition, according to embodiment 1, when the cyclone axis 10 is coplanar with the yaw axis 20 and the cyclone axis 10 intersects the pitch axis 40 at a non-RC point, the relationship between the cyclone axis 10 and each of the other lines is as follows:
the cyclone axis 10 does not intersect any of the insertion axis 30 and the deflection axis 20; or
The cyclone axis 10 also intersects the deflection axis 20.
When the yaw axis 20 is collinear with the parallelogram first side 50, only the yaw axis 20/parallelogram first side 50 is referred to below with the yaw axis 20.
When the pitch axis 40, the insertion axis 30, and the yaw axis 20 intersect at the RC point and the cyclone axis 10 does not pass through the RC point, the relationship between the cyclone axis 10 and the other lines is as follows (described based on embodiment 1):
1) the cyclone axis 10 may not intersect any of the pitch axis 40, insertion axis 30 and yaw axis 20;
2) the cyclone axis 10 may also intersect only the pitch axis 40;
3) the cyclone axis 10 may also intersect only the insertion axis 30;
4) the cyclone axis 10 may also intersect only the deflection axis 20;
5) the cyclone axis 10 may also intersect both the insertion axis 30 and the deflection axis 20;
6) the cyclone axis 10 may also intersect the yaw axis 20 and the pitch axis 40;
7) the cyclone axis 10 intersects the deflection axis 20 and the insertion axis 30.
In the present embodiment, as shown in fig. 10, 11 and 12, the deflection axis 20 may be collinear with the first parallelogram side 50, i.e. the included angle α between the deflection axis 20 and the first parallelogram side 50 is 0. At this time, the first joint 67 and the yaw joint 691 are both located on the yaw axis 20, or on an extension line of the parallelogram first side 50.
As shown in fig. 11, when the cyclone axis 10 is different from the pitch axis 40, the relationship between the cyclone axis 10 and each of the other lines is as follows (described based on embodiment 2):
1) the cyclone axis 10 may not intersect any of the pitch axis 40, insertion axis 30 and yaw axis 20;
2) the cyclone axis 10 may also intersect only the insertion axis 30 (as shown in fig. 11);
3) the cyclone axis 10 may also intersect only the deflection axis 20;
4) in some cases, the cyclone axis 10 may also intersect the insertion axis 30 and the deflection axis 20.
As shown in fig. 12, when the cyclone axis 10 is different from the insertion axis 30, the relationship between the cyclone axis 10 and each of the other lines is as follows (described based on example 2):
1) the cyclone axis 10 may not intersect any of the pitch axis 40, insertion axis 30 and yaw axis 20;
2) the cyclone axis 10 may also intersect only the pitch axis 40 (as shown in fig. 12);
3) the cyclone axis 10 may also intersect only the deflection axis 20;
4) the cyclone axis 10 may also intersect the pitch axis 40 and the yaw axis 20.
Example 4 in contrast to example 1, the cyclone axis 10 passes through the RC point, while the yaw axis 20 does not pass through the RC point
Based on the embodiment 1, the present embodiment interchanges the respective relations between the deflecting axis 20 and the cyclone axis 10 and the RC point, that is, the cyclone axis 10 passes through the RC point instead of passing through the RC point; the deflection axis 20 changes from passing through the RC point to not passing through the RC point.
As shown in fig. 13, when the axis, the insertion axis 30, the parallelogram first side 50 and the cyclone axis 10 intersect at the RC point and the deflection axis 20 does not pass through the RC point, the relationship of the deflection axis 20 to the other lines is as follows:
the yaw axis 20 does not intersect any of the pitch axis 40, the insertion axis 30, the cyclone axis 10, and the parallelogram first side 50; or
The yaw axis 20 intersects only the pitch axis 40; or
The deflection axis 20 intersects only the insertion axis 30; or
The deflection axis 20 intersects only the cyclone axis 10; or
The yaw axis 20 intersects only the parallelogram first side 50; or
The deflection axis 20 intersects the cyclone axis 10 and the parallelogram first side 50; or
The yaw axis 20 intersects any two of the insertion axis 30, the cyclone axis 10, and the parallelogram first side 50; or
The yaw axis 20 intersects the pitch axis 40 and either of the cyclone axis 10 and the first side 50 of the parallelogram; or
The deflection axis 20 intersects the insertion axis 30 and either one of the cyclone axis 10 and the first side 50 of the parallelogram.
In this embodiment, as shown in FIG. 13, the cyclone axis 10 is at an angle α with respect to the first parallelogram side 50, and the cyclone axis 10 is offset from the first parallelogram side 50, in which case the first parallelogram side 50 is above the cyclone axis 10, and the angle α may range from (0,45 ° ], from [2 °,30 ° ], from [2 °,20 ° ], or from [5 °,20 ° ], etc. in other embodiments, the first parallelogram side 50 may be below the cyclone axis 10, and the angle α may range from (0,145 ° ], from (0,125 ° ], from (0,90 ° ], or from [5 °,45 ° ], etc. ], by making the cyclone axis 10 at an angle α with respect to the first parallelogram side 50, the parallelogram mechanism 62 may be rotated about the yaw axis 20, the first joint 67 of the parallelogram mechanism 62 can be prevented from touching the patient when it is rotated to the lowest point, thereby improving the safety of the surgical robot 100 during the operation.
As shown in fig. 14, taking the distance between the two closest points between the pitch axis 40 and the yaw axis 20, the distance d between the pitch axis 40 and the yaw axis 20 is obtained. The distance d may range from: (0,10 cm), or (0,5 cm), or (0,2 cm), or [1cm,2cm ], or [0.5cm,1.5cm ], and the like, it is to be understood that the specific numerical range of the distance d is not limited to the above-listed numerical values, and in other embodiments, it may be appropriately set as needed.
It is understood that, based on other embodiments of this embodiment, similar to embodiment 4, the pitch axis 40 passes through the RC point, the yaw axis 20 does not pass through the RC point, but the yaw axis 20 intersects the pitch axis 40 at the O point, and the distance between the RC point and the O point may be: (0,10 cm), or (0,5 cm), or (0,2 cm), or [1cm,2cm ], or [0.5cm,1.5cm ], etc., which will not be described herein again.
In addition, according to embodiment 1, when the cyclone axis 10 is different from the deflection axis 20, the relationship between the deflection axis 20 and each of the other lines is as follows:
the yaw axis 20 does not intersect any of the pitch axis 40, the insertion axis 30, the cyclone axis 10, and the parallelogram first side 50; or
The yaw axis 20 intersects only the pitch axis 40; or
The deflection axis 20 intersects only the insertion axis 30; or
The yaw axis 20 intersects only the parallelogram first side 50; or
The yaw axis 20 and the insertion axis 30 intersect the parallelogram first side 50; or
The yaw axis 20 intersects the parallelogram first side 50 and the pitch axis 40.
Example 5 in contrast to example 4, the cyclone axis 10 is collinear with the first side 50 of the parallelogram
As shown in fig. 15, when the cyclone axis 10 is collinear with the parallelogram first side 50, the cyclone axis 10/parallelogram first side 50 will be referred to hereinafter only as cyclone axis 10.
When the pitch axis 40, insertion axis 30, and cyclone axis 10 intersect at a RC point and the yaw axis 20 does not pass through the RC point, the yaw axis 20 is related to the other lines as follows:
the yaw axis 20 does not intersect any of the pitch axis 40, the insertion axis 30, and the cyclone axis 10; or
The yaw axis 20 intersects only the pitch axis 40; or
The deflection axis 20 intersects only the insertion axis 30; or
The deflection axis 20 intersects only the cyclone axis 10; or
The deflection axis 20 intersects the insertion axis 30 and the cyclone axis 10; or
The yaw axis 20 intersects the cyclone axis 10 and the pitch axis 40.
In the present embodiment, as shown in fig. 15, the deflection axis 20 is collinear with the first side 50 of the parallelogram, i.e. the included angle α between the deflection axis 20 and the first side 50 of the parallelogram is 0. At this time, the first joint 67 and the cyclone joint 681 are both located on the yaw axis 20 or on an extension line of the first side 50 of the parallelogram.
It is understood that, based on other embodiments of this embodiment, similar to embodiment 5, the insertion axis 30 passes through the RC point, and the cyclone axis 10 does not pass through the RC point, but the cyclone axis 10 intersects the insertion axis 30 at the X point, and the distance between the RC point and the X point may be: (0,10 cm), or (0,5 cm), or (0,2 cm), or [1cm,2cm ], or [0.5cm,1.5cm ], etc., which will not be described herein again.
In addition, according to embodiment 1, when the cyclone axis 10 is out of plane with the deflection axis 20 and the parallelogram first side 50 coincides with the cyclone axis 10, the relationship between the deflection axis 20 and each of the other lines is as follows:
the yaw axis 20 does not intersect any of the pitch axis 40, the insertion axis 30, and the cyclone axis 10; or
The yaw axis 20 intersects only the pitch axis 40; or
The deflection axis 20 intersects only the insertion axis 30.
As shown in fig. 16, orienting platform 124 'is connected to suspension arm 122', adjustment arm 126 'is connected to orienting platform 124', and operating arm 130 'is attached to and supported by adjustment arm 126'. The adjustment arm 126' may include: the device comprises a rotary joint 1 ', a rotary arm 2', a linear joint 3 ', a translation arm 4', a linear joint 5 ', a lifting arm 6', a rotary joint 7 ', a rotary arm 8', a cyclone joint 9 'and a deflection joint 10'. The various components of the adjustment arm 126' are coupled in sequence.
The adjustment arm 126 'is rotatably connected to the orienting platform 124' by a rotary joint 1 'and is supported by the orienting platform 124'. Orienting platform 124 ' is rotatably coupled to hanger arm 122 ' and supported by hanger arm 122 '. And hanger arm 122 'is fixedly attached to seat 72' via post 88 'and supported by seat 72'. Suspension arm 122 ' is operable to selectively set the angle of orienting platform 124 ' relative to base 72 '. The adjustment arm 126 ' is operable to selectively set the angle of the associated operating arm 130 ' relative to the orienting platform 124 '.
The operating arm 130 'further includes a coupling link 20' fixedly connecting the yaw joint 10 'to the cyclone joint 9'. The cyclone joint 9 ' is operable to rotate the yaw joint 10 ' relative to the support link 128 ' about a cyclone axis 150 ', the cyclone axis 150 ' not passing through the RC point. The deflection axis 140' passes through the RC point. Operation of the cyclonic joint 9 'can be used to reorient the parallelogram mechanism 82' relative to the patient without moving the RC point relative to the patient.
As shown in fig. 16 and 17, the rotary joint 1 ' rotates to drive the rotary arm 2 ' to rotate, the linear joint 3 ' moves to drive the translation arm 4 ' to move in the horizontal direction, the linear joint 5 ' moves to drive the lifting arm 6 ' to move in the vertical direction, the rotary joint 7 ' rotates to drive the rotary arm 8 ' to rotate, and the cyclone joint 9 rotates to drive the parallelogram mechanism 82 ' to rotate along the cyclone axis 12. The linear joint 3 ' is linked with the linear joint 5 ', and the rotary joint 1 ', the rotary joint 7 ' and the cyclone joint 9 ' can respectively and independently rotate.
In this embodiment, the instrument fixation point 11' refers to a position where the distal end of the long axis of the surgical instrument remains relatively stationary during the surgical procedure after the surgical instrument is mounted on the instrument carrying arm (not shown). The cyclone axis 150 ' of the cyclone joint 9 ' does not pass through the instrument immobilization point 11 '. The instrument motionless point 11' coincides with the RC point of the surgical robot.
Before the operation is started, the tail end of the instrument bearing arm is dragged to a position close to the operation position of a patient, the rotary joint 1 ', the linear joint 3 ', the linear joint 5 ' and the rotary joint 7 ' are linked to compensate the offset of the instrument immobile point 11 ' possibly caused by the rotation of the cyclone joint 9, namely, the instrument immobile point 11 ' is coincided with the RC point, in other words, the position of the RC point in the directional platform coordinate system can be unchanged through the adjustment compensation effect of the adjusting arm 126 '.
In other embodiments, the linear joint 3 ', the linear joint 5' and the rotary joint 7 'are linked, and the rotary joint 1' can not rotate, so as to compensate the offset of the instrument fixed point 11 'caused by the movement of the cyclone joint 9', maintain the position of the RC point in the coordinate system of the orientation platform unchanged, and avoid the movement of the surgical instrument entrance to tear the incision.
According to a robot kinematics modeling method, such as a DH (Denavit-Hartenberg) method, a directional platform, an adjusting arm and an operating arm are subjected to kinematics modeling, including coordinate system definition, transformation relation definition and the like. Wherein, transformation refers to transforming matrix or transforming coordinate system.
And then the compensation motion of the adjusting arm is carried out when the motion of the cyclone joint is adjusted by combining transformation calculation and kinematics forward solution and inverse solution calculation.
Defining a directional platform reference coordinate system F0Adjusting arm reference coordinate system FaWhirlwind joint reference coordinate system FbRC reference coordinate system FcWith particular reference to fig. 18.
From a directional platform reference frame F0To the adjustment arm reference frame FaIs converted into a fixed conversion T0a(ii) a Slave toneWhole arm reference coordinate system FaTo the cyclone joint reference frame FbIs determined by the position of the joints of the adjusting arm, and is defined as Tab(ii) a From the cyclone joint reference frame FbTo RC reference frame FcIs determined by the position of the cyclone joint, defined as TbcWith particular reference to fig. 8.
When a user adjusts the cyclone joint, the cyclone joint performs motion adjustment according to user input, and the adjusting arm joint performs compensation motion based on kinematic calculation, so that the RC point is kept unchanged all the time.
As shown in fig. 19, please refer to the following description for a specific motion compensation algorithm:
step 901: the operation of the cyclone joint is started: based on the user input, the controller initiates execution of a cyclone joint adjustment in response to the user input;
wherein the controller may be a robot arm controller.
Step 902: obtaining the position P of the RC point under the coordinate system of the directional platform0c:
The transformation from the directional platform reference frame to the RC reference frame is obtained by a kinematic forward solution technique, i.e. a transformation relation:
T0c=T0a*Tab*Tbc;
the transformation matrix can be expressed asR is the attitude component and P is the position component.
The position component in the transformation is the position P of the RC point in the coordinate system of the directional platform0cThe controller stores the position P0cThe purpose of the latter compensation method is to keep the position constant.
Step 903: the position of the cyclone joint is adjusted according to the operation: generally, based on user input, the cyclone joint will perform motion adjustments in a particular motion pattern (e.g., JOG motion). The user input may be a user pressing a cyclone joint adjustment button on the robotic arm.
Step 904: acquiring the actual position of the cyclone joint: the actual position of the cyclone joint can be obtained from the joint encoder. The joint encoder can be a position sensor, is arranged at the joint and can measure the motion angle and position of the joint.
Step 905: calculate the actual value of the transformation Tbc: from the cyclone Joint reference coordinate System F, as described abovebThe transformation to the RC reference coordinate system Fc is determined by the position of the cyclone joint, and the transformation T can be obtained through the connecting rod transformation relation based on the actual position of the cyclone joint acquired in the last stepbcThe actual value of (c).
The link transformation relationship in this document is obtained by a general serial mechanical arm DH modeling method, and this term appears elsewhere herein and is not described again.
Step 906: calculating the variation TabThe compensation value of (2).
In order to calculate the compensation value, the method for constructing the compensation solving model comprises the following steps:
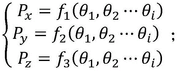
will T0c=T0a*Tab*TbcThe position component in (2) is decomposed to obtain:
P0c=R0a*Rab*Pbc+R0a*Pab+P0awherein, in the step (A),
P0c: transformation T0cA position component of (a); r0a: transformation T0aThe attitude component of (a); p0a: transformation T0aA position component of (a); rab: transformation TabThe attitude component of (a); pab: transformation TabA position component of (a); rbc: transformation TbcThe attitude component of (a); pbc: the position component of Tbc is transformed.
Wherein, P0cThe recording has been performed as described above; r0a、P0aRespectively representing the relative attitude and position between the reference system of the orientation platform and the reference system of the adjusting arm, wherein the relative attitude and position are fixed parameters and known; rbc、PbcRespectively representing the relative attitude and position between the cyclone joint reference system and the RC reference system, wherein only one variable of the cyclone joint position is available in the cyclone joint adjusting process and can be obtained in the previous step; it can be seen that in the above formula, onlyRab、PabIs an unknown variable and is related to the position of each joint of the adjusting arm.
After the above formula is developed according to X, Y, Z position components, the following equation system can be obtained, namely a compensation solution model:
wherein, Px、Py、PzRespectively, RC point position PocThree components of (a), (b), (c), (d) and (d)1、f2、f3Indicating the corresponding calculated function, and averaging the positions (theta) of the joints of the adjusting arm1,θ2…θi) And (4) correlating.
Step 907: calculating a compensation value of the joint position of the adjusting arm:
according to the solution model, if the number of the joints of the adjusting arm is 3, the compensation value (theta) of the position of the adjusting arm can be obtained by a solution method of an equation system1,θ2…θi) (ii) a If the number of the joints of the adjusting arm is larger than 3, at this time, the number of the equations is smaller than the number to be solved, and a solving strategy needs to be defined corresponding to the adjusting arm being a redundant joint.
Specifically, as shown in fig. 17, the adjustment arm may include 4 joints, which are a rotary joint a, a linear joint B, a linear joint C, and a rotary joint D from top to bottom. After the cyclone joint moves, X, Y, Z movement compensation in three directions needs to be considered, and the compensation combination selectable by the adjusting arm can be four combinations as follows by combining the structural characteristics:
1)A、B、C;2)A、C、D;3)B、C、D;4)A、B、C、D。
description 1: a, B, D, it is not possible to provide vertical compensation due to these three joints, either the horizontal revolute joint or the horizontal prismatic joint;
description 2: if the combination is the combination 1) or the combination 2), when the RC point is coincident with or close to the axis of the rotary joint a, the mobility of the combination is pathological or close to pathological, specifically, when the close coincidence is shown, the rotary joint a needs to move a larger range to realize position compensation when the cyclone joint 9' is adjusted, and cannot realize compensation when the RC point is coincident with the axis.
In the above steps, the mobility represents the feasibility and effectiveness of the mechanical arm to adjust the movement of the end through each joint motion. The pathological state refers to that under some forms, the combined motion of all joints of the mechanical arm cannot realize the expected movement of the tail end.
The approach to the ill-conditioned condition means that the combined motion of the joints of the mechanical arm requires a greater speed to meet the desired movement of the tip. The embodiments are as described above.
The preferred compensation combinations are the above combinations 3) or 4);
for No. 3) or combination, e.g. as described above1For the known variable, the current position of the rotary joint A is expressed, and the compensation value (theta) can be obtained through derivation according to the equation system2,θ3,θ4)。
Aiming at the 4) or the combination, the joints are redundant, and a redundancy strategy needs to be defined when the joint is solved.
The idea of adjusting arm compensation combination is as follows: a. the main task of the movement of the adjusting arm is to compensate the position deviation of the RC point caused by the movement of the cyclone joint; b. the spatial positioning of the four mechanical arms is considered, so that collision easily occurs in the operation is avoided.
The rotary joint A is defined as an active joint, when the cyclone joint 9' is adjusted, the rotary joint A moves according to a related path (such as moving according to the recommended included angle direction), and the related path is defined by an adjusting arm controller based on the space between adjusting arms; the other adjusting arm joints are derived according to the above equation set to obtain corresponding compensation values (theta)2,θ3,θ4). The directional platform comprises four arms, and the recommended included angle is the included angle between the adjusting arm and the adjusting arm.
Step 908: based on the position compensation value calculated as described above, each joint of the adjustment arm performs position drive.
Step 909: the operation of the cyclone joint is stopped.
Step 910: if the cyclone joint reaches the limit, or the adjusting arm joint reaches the limit, or the operation of the cyclone joint is stopped, the cyclone joint and the adjusting arm joint do not move.
As described in the above embodiments, a method of ensuring that the RC point is stationary in the case of cyclonic articulation is provided. Therefore, by the mechanical structure and the compensation algorithm, the end effector can be kept still at the minimally invasive incision on the patient no matter how the mechanical arm moves in the operation process, and the mechanical arm cannot touch the patient. The problem of mechanical arm collision in the operation is solved by adjusting the space positioning of a plurality of mechanical arms.
Claims (27)
1. The utility model provides a mechanical arm, the mechanical arm is connected with directional platform, its characterized in that, the mechanical arm include the operation arm and with the adjustment arm that the operation arm is connected, the operation arm includes:
a yaw joint having a yaw axis passing through a remote center RC point;
one end of the cyclone joint is connected with the deflection joint, the other end of the cyclone joint is connected with the adjusting arm, a cyclone axis which does not penetrate through the RC point is arranged, and the cyclone axis is coplanar with the deflection axis;
the operation arm is also provided with an insertion axis passing through the RC point, the surgical instrument on the operation arm moves along the insertion axis, and when the cyclone axis intersects with the insertion axis, the intersection point is located at a non-RC point position;
the adjusting arm is used for keeping the coordinate of the RC point under a coordinate system of the directional platform unchanged when the cyclone joint rotates around the cyclone axis.
2. The robotic arm of claim 1, wherein said manipulator arm further comprises a parallelogram mechanism having a parallelogram first side having an extension through said RC point, said parallelogram first side coinciding with said deflection axis.
3. The robotic arm of claim 1, wherein said manipulator arm further comprises a parallelogram mechanism having a parallelogram first side having an extension through said RC point, said parallelogram first side being offset from said deflection axis.
4. The robotic arm of claim 1, wherein said manipulator arm further comprises a parallelogram mechanism and a pitch axis passing through said RC point, said parallelogram mechanism being pitched about said pitch axis.
5. The mechanical arm of claim 4, wherein the angle between the yaw axis and the pitch axis is 90 °.
6. A robotic arm as claimed in claim 4, in which the cyclone axis is non-coplanar with the pitch axis.
7. A robotic arm as claimed in claim 4, in which the cyclone axis intersects the pitch axis at a non-RC point location.
8. The robotic arm of claim 1, wherein said manipulator arm further comprises an insertion axis passing through said RC point, said cyclone axis intersecting said insertion axis at a non-RC point location.
9. The robotic arm of claim 1, wherein said manipulator arm further comprises a parallelogram mechanism having a parallelogram first side adjacent to said cyclone axis; the operating arm further having a pitch axis about which the parallelogram mechanism pitches; the operating arm also has an insertion axis, the pitch axis, the insertion axis, the yaw axis, and the parallelogram first side intersecting at the RC point.
10. The robotic arm of claim 9, wherein said cyclone axis does not intersect any of said pitch axis, insertion axis, yaw axis, and a first side of said parallelogram; or
The cyclone axis intersects only the pitch axis; or
The cyclone axis intersects only the insertion axis; or
The cyclone axis intersects only the deflection axis; or
The cyclone axis intersects only the parallelogram first side; or
The cyclone axis intersects any two of the insertion axis, the deflection axis, and the first side of the parallelogram; or
The cyclone axis intersects the pitch axis and any one of the yaw axis and the first side of the parallelogram.
11. The robotic arm of claim 1, wherein said manipulator arm further comprises a parallelogram mechanism having a parallelogram first side adjacent to said cyclone axis; the operating arm further having a pitch axis about which the parallelogram mechanism pitches; the operating arm further having an insertion axis, the pitch axis, the insertion axis, the yaw axis, and the parallelogram first side intersecting at the RC point;
the parallelogram first side coincides with the yaw axis.
12. A robotic arm as claimed in claim 11, in which the cyclone axis does not intersect any of the pitch, insertion and yaw axes; or
The cyclone axis intersects only the pitch axis; or
The cyclone axis intersects only the insertion axis; or
The cyclone axis intersects only the deflection axis; or
The cyclone axis intersects both the insertion axis and the deflection axis; or
The cyclone axis intersects the pitch axis and the yaw axis.
13. The robotic arm of claim 1, wherein said manipulator arm further comprises a parallelogram mechanism having a parallelogram first side adjacent to said cyclone axis; the operating arm further having a pitch axis about which the parallelogram mechanism pitches; the operating arm further having an insertion axis, the pitch axis, the insertion axis, the yaw axis, and the parallelogram first side intersecting at the RC point;
the cyclone axis is coplanar with the pitching axis.
14. A robotic arm as claimed in claim 13, in which the cyclone axis does not intersect any of the pitch axis, the insertion axis, the yaw axis and the first side of the parallelogram; or
The cyclone axis intersects only the insertion axis; or
The cyclone axis intersects only the deflection axis; or
The cyclone axis intersects only the parallelogram first side; or
The cyclone axis intersects the insertion axis, the deflection axis, and any two lines in the first side of the parallelogram.
15. The robotic arm of claim 1, wherein said manipulator arm further comprises a parallelogram mechanism having a parallelogram first side adjacent to said cyclone axis; the operating arm further having a pitch axis about which the parallelogram mechanism pitches; the operating arm further having an insertion axis, the pitch axis, the insertion axis, the yaw axis, and the parallelogram first side intersecting at the RC point;
the cyclone axis intersects the pitch axis at a non-RC point location.
16. A robotic arm as claimed in claim 15, in which the cyclone axis does not intersect any of the insertion axis and the deflection axis; or
The cyclone axis also intersects the deflection axis.
17. The robotic arm of claim 1, wherein said manipulator arm further comprises a parallelogram mechanism having a parallelogram first side adjacent to said cyclone axis; the operating arm further having a pitch axis about which the parallelogram mechanism pitches; the operating arm further having an insertion axis, the pitch axis, the insertion axis, the yaw axis, and the parallelogram first side intersecting at the RC point;
the cyclone axis intersects the insertion axis at a non-RC point location.
18. The mechanical arm of claim 17, wherein the cyclone axis does not intersect the pitch axis; or
The cyclone axis also intersects the deflection axis; or
The cyclone axis also intersects the parallelogram first side.
19. A robotic arm as claimed in claim 1, in which a line drawn between the cyclone joint and the RC point makes an angle with the cyclone axis.
20. The mechanical arm of claim 1, wherein the cyclone axis passes through the RC point and the deflection axis does not pass through the RC point.
21. The robotic arm of claim 20, wherein said manipulator arm further comprises a parallelogram mechanism having a parallelogram first side adjacent to said yaw axis; the operating arm further having a pitch axis about which the parallelogram mechanism pitches; the operating arm also has an insertion axis, the pitch axis, the insertion axis, the cyclone axis, and the parallelogram first side intersecting at the RC point.
22. The robotic arm of claim 21, wherein said cyclone axis does not intersect any of said pitch axis, insertion axis, cyclone axis and said parallelogram first side; or
The yaw axis intersects only the pitch axis; or
The deflection axis intersects only the insertion axis; or
The deflection axis intersects only the cyclone axis; or
The yaw axis intersects only the parallelogram first side; or
The deflection axis intersects the cyclone axis and the parallelogram first side; or
The deflection axis intersects any two of the insertion axis, the cyclone axis, and the first side of the parallelogram; or
The yaw axis intersects the pitch axis and any one of the cyclone axis and the first side of the parallelogram; or
The deflection axis intersects the insertion axis and any one of the cyclone axis and the first side of the parallelogram.
23. A robotic arm as claimed in claim 21, in which the parallelogram first side is coincident with the cyclone axis;
the yaw axis is not intersected with any one of the pitch axis, the insertion axis and the yaw axis; or
The yaw axis intersects only the pitch axis; or
The deflection axis intersects only the insertion axis; or
The deflection axis intersects only the cyclone axis; or
The deflection axis intersects both the insertion axis and the cyclone axis; or
The yaw axis intersects the pitch axis and the cyclone axis.
24. The mechanical arm of claim 1, wherein the operating arm further comprises a mounting base connected to the adjustment arm, and a linkage base, a first rod, and a second rod connected to the mounting base in sequence, the linkage base comprising a yaw joint connected to the mounting base and a linkage link connected to the yaw joint; the linkage connecting rod, the first connecting rod and the second connecting rod are located on different adjacent planes.
25. A robotic arm as claimed in claim 1, in which the cyclone axis is parallel to or intersects the deflection axis at a non-RC point location.
26. A slave manipulator apparatus comprising a base, an orienting platform mounted on the base, a robotic arm as claimed in any one of claims 1 to 25 connected to the orienting platform.
27. A surgical robot comprising a master console and a slave console device according to claim 26, the slave console device being adapted to perform a corresponding surgical operation in response to control commands sent from the master console.
Priority Applications (1)
| Application Number | Priority Date | Filing Date | Title |
|---|---|---|---|
| CN202111335525.7A CN114098992A (en) | 2021-11-11 | 2021-11-11 | Mechanical arm, slave operation device and surgical robot |
Applications Claiming Priority (1)
| Application Number | Priority Date | Filing Date | Title |
|---|---|---|---|
| CN202111335525.7A CN114098992A (en) | 2021-11-11 | 2021-11-11 | Mechanical arm, slave operation device and surgical robot |
Publications (1)
| Publication Number | Publication Date |
|---|---|
| CN114098992A true CN114098992A (en) | 2022-03-01 |
Family
ID=80378672
Family Applications (1)
| Application Number | Title | Priority Date | Filing Date |
|---|---|---|---|
| CN202111335525.7A Pending CN114098992A (en) | 2021-11-11 | 2021-11-11 | Mechanical arm, slave operation device and surgical robot |
Country Status (1)
| Country | Link |
|---|---|
| CN (1) | CN114098992A (en) |
Citations (11)
| Publication number | Priority date | Publication date | Assignee | Title |
|---|---|---|---|---|
| CN102892363A (en) * | 2010-05-14 | 2013-01-23 | 直观外科手术操作公司 | Surgical system architecture |
| US20130325033A1 (en) * | 2012-06-01 | 2013-12-05 | Intuitive Surgical Operations, Inc. | Multi-port surgical robotic system architecture |
| US20130325031A1 (en) * | 2012-06-01 | 2013-12-05 | Intuitive Surgical Operations, Inc. | Redundant axis and degree of freedom for hardware-constrained remote center robotic manipulator |
| CN104349741A (en) * | 2012-06-01 | 2015-02-11 | 直观外科手术操作公司 | Surgical instrument manipulator aspects |
| CN107647916A (en) * | 2017-09-29 | 2018-02-02 | 重庆金山医疗器械有限公司 | The master arm of operating robot |
| CN108210070A (en) * | 2017-12-29 | 2018-06-29 | 微创(上海)医疗机器人有限公司 | Mechanical arm and its method of work and operating robot |
| CN109715104A (en) * | 2016-10-04 | 2019-05-03 | 直观外科手术操作公司 | Computer-assisted teleoperated surgical systems and methods |
| CN110786932A (en) * | 2019-11-19 | 2020-02-14 | 常州脉康仪医疗机器人有限公司 | Slave arm system of clustered minimally invasive surgical robot |
| CN111227938A (en) * | 2018-11-29 | 2020-06-05 | 微创(上海)医疗机器人有限公司 | Mechanical arm and medical robot |
| WO2021112193A1 (en) * | 2019-12-05 | 2021-06-10 | 川崎重工業株式会社 | Surgical operation system and surgical operation manipulator arm control method |
| CN112971990A (en) * | 2021-02-03 | 2021-06-18 | 山东省千佛山医院 | Mechanical arm for minimally invasive surgical robot |
-
2021
- 2021-11-11 CN CN202111335525.7A patent/CN114098992A/en active Pending
Patent Citations (11)
| Publication number | Priority date | Publication date | Assignee | Title |
|---|---|---|---|---|
| CN102892363A (en) * | 2010-05-14 | 2013-01-23 | 直观外科手术操作公司 | Surgical system architecture |
| US20130325033A1 (en) * | 2012-06-01 | 2013-12-05 | Intuitive Surgical Operations, Inc. | Multi-port surgical robotic system architecture |
| US20130325031A1 (en) * | 2012-06-01 | 2013-12-05 | Intuitive Surgical Operations, Inc. | Redundant axis and degree of freedom for hardware-constrained remote center robotic manipulator |
| CN104349741A (en) * | 2012-06-01 | 2015-02-11 | 直观外科手术操作公司 | Surgical instrument manipulator aspects |
| CN109715104A (en) * | 2016-10-04 | 2019-05-03 | 直观外科手术操作公司 | Computer-assisted teleoperated surgical systems and methods |
| CN107647916A (en) * | 2017-09-29 | 2018-02-02 | 重庆金山医疗器械有限公司 | The master arm of operating robot |
| CN108210070A (en) * | 2017-12-29 | 2018-06-29 | 微创(上海)医疗机器人有限公司 | Mechanical arm and its method of work and operating robot |
| CN111227938A (en) * | 2018-11-29 | 2020-06-05 | 微创(上海)医疗机器人有限公司 | Mechanical arm and medical robot |
| CN110786932A (en) * | 2019-11-19 | 2020-02-14 | 常州脉康仪医疗机器人有限公司 | Slave arm system of clustered minimally invasive surgical robot |
| WO2021112193A1 (en) * | 2019-12-05 | 2021-06-10 | 川崎重工業株式会社 | Surgical operation system and surgical operation manipulator arm control method |
| CN112971990A (en) * | 2021-02-03 | 2021-06-18 | 山东省千佛山医院 | Mechanical arm for minimally invasive surgical robot |
Similar Documents
| Publication | Publication Date | Title |
|---|---|---|
| CN114098955A (en) | Mechanical arm, slave operation device and surgical robot | |
| CN114469355A (en) | Mechanical arm, slave operation equipment, surgical robot and method for keeping RC point unchanged | |
| JP7434246B2 (en) | System and method for positioning a manipulator arm by clutching in zero orthogonal space simultaneously with zero space movement | |
| JP6919007B2 (en) | Systems and methods for alignment with the operating table | |
| CN114129266B (en) | Method, mechanical arm, equipment, robot and medium for keeping RC point unchanged | |
| JP6535653B2 (en) | System and method for facilitating access to the edge of Cartesian coordinate space using zero space | |
| KR102109594B1 (en) | Systems and methods for cancellation of joint motion using the null-space | |
| US6837883B2 (en) | Arm cart for telerobotic surgical system | |
| US7087049B2 (en) | Repositioning and reorientation of master/slave relationship in minimally invasive telesurgery | |
| CN104334109B (en) | Systems and methods for reconfiguration of commands of a surgical manipulator using null space | |
| CN114098954B (en) | Mechanical arm, slave operation device and operation robot | |
| BRPI1011053B1 (en) | ROBOTIC SYSTEM FOR LAPAROSCOPIC SURGERY | |
| CN113271883B (en) | Hand-eye coordination system for robotic surgical systems | |
| CN114074328B (en) | Robot system and control method thereof | |
| KR20120117223A (en) | Master manipulation device for robot and control method of surgical robot having the same | |
| CN114098958A (en) | Mechanical arm, slave operation device and surgical robot | |
| CN114098951A (en) | Mechanical arm, slave operation device and surgical robot | |
| CN114098952A (en) | Mechanical arm, slave operation device and surgical robot | |
| CN114052917A (en) | Operation arm, slave operation device and surgical robot | |
| CN114098992A (en) | Mechanical arm, slave operation device and surgical robot | |
| CN114098956A (en) | Robotic Arms, Slave Operating Devices, and Surgical Robots | |
| CN114098957A (en) | Robotic Arms, Slave Operating Devices, and Surgical Robots | |
| CN114098953A (en) | Mechanical arm, slave operation device and surgical robot | |
| CN115847385B (en) | Adjustment arm control method, device, system, and computer equipment | |
| US20220160458A1 (en) | Surgery assisting device |
Legal Events
| Date | Code | Title | Description |
|---|---|---|---|
| PB01 | Publication | ||
| PB01 | Publication | ||
| SE01 | Entry into force of request for substantive examination | ||
| SE01 | Entry into force of request for substantive examination | ||
| RJ01 | Rejection of invention patent application after publication |
Application publication date: 20220301 |
|
| RJ01 | Rejection of invention patent application after publication |

