CN113966324A - Notch信号传导途径抑制剂及其在癌症治疗的用途 - Google Patents
Notch信号传导途径抑制剂及其在癌症治疗的用途 Download PDFInfo
- Publication number
- CN113966324A CN113966324A CN202080043231.4A CN202080043231A CN113966324A CN 113966324 A CN113966324 A CN 113966324A CN 202080043231 A CN202080043231 A CN 202080043231A CN 113966324 A CN113966324 A CN 113966324A
- Authority
- CN
- China
- Prior art keywords
- alkyl
- halogen
- formula
- compound
- aryl
- Prior art date
- Legal status (The legal status is an assumption and is not a legal conclusion. Google has not performed a legal analysis and makes no representation as to the accuracy of the status listed.)
- Granted
Links
Images
Classifications
-
- C—CHEMISTRY; METALLURGY
- C07—ORGANIC CHEMISTRY
- C07D—HETEROCYCLIC COMPOUNDS
- C07D213/00—Heterocyclic compounds containing six-membered rings, not condensed with other rings, with one nitrogen atom as the only ring hetero atom and three or more double bonds between ring members or between ring members and non-ring members
- C07D213/02—Heterocyclic compounds containing six-membered rings, not condensed with other rings, with one nitrogen atom as the only ring hetero atom and three or more double bonds between ring members or between ring members and non-ring members having three double bonds between ring members or between ring members and non-ring members
- C07D213/04—Heterocyclic compounds containing six-membered rings, not condensed with other rings, with one nitrogen atom as the only ring hetero atom and three or more double bonds between ring members or between ring members and non-ring members having three double bonds between ring members or between ring members and non-ring members having no bond between the ring nitrogen atom and a non-ring member or having only hydrogen or carbon atoms directly attached to the ring nitrogen atom
- C07D213/60—Heterocyclic compounds containing six-membered rings, not condensed with other rings, with one nitrogen atom as the only ring hetero atom and three or more double bonds between ring members or between ring members and non-ring members having three double bonds between ring members or between ring members and non-ring members having no bond between the ring nitrogen atom and a non-ring member or having only hydrogen or carbon atoms directly attached to the ring nitrogen atom with hetero atoms or with carbon atoms having three bonds to hetero atoms with at the most one bond to halogen, e.g. ester or nitrile radicals, directly attached to ring carbon atoms
- C07D213/72—Nitrogen atoms
- C07D213/73—Unsubstituted amino or imino radicals
-
- A—HUMAN NECESSITIES
- A61—MEDICAL OR VETERINARY SCIENCE; HYGIENE
- A61K—PREPARATIONS FOR MEDICAL, DENTAL OR TOILETRY PURPOSES
- A61K31/00—Medicinal preparations containing organic active ingredients
- A61K31/33—Heterocyclic compounds
- A61K31/395—Heterocyclic compounds having nitrogen as a ring hetero atom, e.g. guanethidine or rifamycins
- A61K31/435—Heterocyclic compounds having nitrogen as a ring hetero atom, e.g. guanethidine or rifamycins having six-membered rings with one nitrogen as the only ring hetero atom
- A61K31/44—Non condensed pyridines; Hydrogenated derivatives thereof
- A61K31/4402—Non condensed pyridines; Hydrogenated derivatives thereof only substituted in position 2, e.g. pheniramine, bisacodyl
-
- A—HUMAN NECESSITIES
- A61—MEDICAL OR VETERINARY SCIENCE; HYGIENE
- A61K—PREPARATIONS FOR MEDICAL, DENTAL OR TOILETRY PURPOSES
- A61K31/00—Medicinal preparations containing organic active ingredients
- A61K31/33—Heterocyclic compounds
- A61K31/395—Heterocyclic compounds having nitrogen as a ring hetero atom, e.g. guanethidine or rifamycins
- A61K31/435—Heterocyclic compounds having nitrogen as a ring hetero atom, e.g. guanethidine or rifamycins having six-membered rings with one nitrogen as the only ring hetero atom
- A61K31/44—Non condensed pyridines; Hydrogenated derivatives thereof
- A61K31/4427—Non condensed pyridines; Hydrogenated derivatives thereof containing further heterocyclic ring systems
- A61K31/444—Non condensed pyridines; Hydrogenated derivatives thereof containing further heterocyclic ring systems containing a six-membered ring with nitrogen as a ring heteroatom, e.g. amrinone
-
- A—HUMAN NECESSITIES
- A61—MEDICAL OR VETERINARY SCIENCE; HYGIENE
- A61P—SPECIFIC THERAPEUTIC ACTIVITY OF CHEMICAL COMPOUNDS OR MEDICINAL PREPARATIONS
- A61P35/00—Antineoplastic agents
-
- C—CHEMISTRY; METALLURGY
- C07—ORGANIC CHEMISTRY
- C07C—ACYCLIC OR CARBOCYCLIC COMPOUNDS
- C07C211/00—Compounds containing amino groups bound to a carbon skeleton
- C07C211/43—Compounds containing amino groups bound to a carbon skeleton having amino groups bound to carbon atoms of six-membered aromatic rings of the carbon skeleton
- C07C211/44—Compounds containing amino groups bound to a carbon skeleton having amino groups bound to carbon atoms of six-membered aromatic rings of the carbon skeleton having amino groups bound to only one six-membered aromatic ring
- C07C211/45—Monoamines
-
- C—CHEMISTRY; METALLURGY
- C07—ORGANIC CHEMISTRY
- C07C—ACYCLIC OR CARBOCYCLIC COMPOUNDS
- C07C217/00—Compounds containing amino and etherified hydroxy groups bound to the same carbon skeleton
- C07C217/78—Compounds containing amino and etherified hydroxy groups bound to the same carbon skeleton having amino groups and etherified hydroxy groups bound to carbon atoms of six-membered aromatic rings of the same carbon skeleton
- C07C217/80—Compounds containing amino and etherified hydroxy groups bound to the same carbon skeleton having amino groups and etherified hydroxy groups bound to carbon atoms of six-membered aromatic rings of the same carbon skeleton having amino groups and etherified hydroxy groups bound to carbon atoms of non-condensed six-membered aromatic rings
- C07C217/82—Compounds containing amino and etherified hydroxy groups bound to the same carbon skeleton having amino groups and etherified hydroxy groups bound to carbon atoms of six-membered aromatic rings of the same carbon skeleton having amino groups and etherified hydroxy groups bound to carbon atoms of non-condensed six-membered aromatic rings of the same non-condensed six-membered aromatic ring
- C07C217/90—Compounds containing amino and etherified hydroxy groups bound to the same carbon skeleton having amino groups and etherified hydroxy groups bound to carbon atoms of six-membered aromatic rings of the same carbon skeleton having amino groups and etherified hydroxy groups bound to carbon atoms of non-condensed six-membered aromatic rings of the same non-condensed six-membered aromatic ring the oxygen atom of at least one of the etherified hydroxy groups being further bound to a carbon atom of a six-membered aromatic ring, e.g. amino-diphenylethers
-
- C—CHEMISTRY; METALLURGY
- C07—ORGANIC CHEMISTRY
- C07C—ACYCLIC OR CARBOCYCLIC COMPOUNDS
- C07C225/00—Compounds containing amino groups and doubly—bound oxygen atoms bound to the same carbon skeleton, at least one of the doubly—bound oxygen atoms not being part of a —CHO group, e.g. amino ketones
- C07C225/22—Compounds containing amino groups and doubly—bound oxygen atoms bound to the same carbon skeleton, at least one of the doubly—bound oxygen atoms not being part of a —CHO group, e.g. amino ketones having amino groups bound to carbon atoms of six-membered aromatic rings of the carbon skeleton
-
- C—CHEMISTRY; METALLURGY
- C07—ORGANIC CHEMISTRY
- C07D—HETEROCYCLIC COMPOUNDS
- C07D213/00—Heterocyclic compounds containing six-membered rings, not condensed with other rings, with one nitrogen atom as the only ring hetero atom and three or more double bonds between ring members or between ring members and non-ring members
- C07D213/02—Heterocyclic compounds containing six-membered rings, not condensed with other rings, with one nitrogen atom as the only ring hetero atom and three or more double bonds between ring members or between ring members and non-ring members having three double bonds between ring members or between ring members and non-ring members
- C07D213/04—Heterocyclic compounds containing six-membered rings, not condensed with other rings, with one nitrogen atom as the only ring hetero atom and three or more double bonds between ring members or between ring members and non-ring members having three double bonds between ring members or between ring members and non-ring members having no bond between the ring nitrogen atom and a non-ring member or having only hydrogen or carbon atoms directly attached to the ring nitrogen atom
- C07D213/06—Heterocyclic compounds containing six-membered rings, not condensed with other rings, with one nitrogen atom as the only ring hetero atom and three or more double bonds between ring members or between ring members and non-ring members having three double bonds between ring members or between ring members and non-ring members having no bond between the ring nitrogen atom and a non-ring member or having only hydrogen or carbon atoms directly attached to the ring nitrogen atom containing only hydrogen and carbon atoms in addition to the ring nitrogen atom
- C07D213/16—Heterocyclic compounds containing six-membered rings, not condensed with other rings, with one nitrogen atom as the only ring hetero atom and three or more double bonds between ring members or between ring members and non-ring members having three double bonds between ring members or between ring members and non-ring members having no bond between the ring nitrogen atom and a non-ring member or having only hydrogen or carbon atoms directly attached to the ring nitrogen atom containing only hydrogen and carbon atoms in addition to the ring nitrogen atom containing only one pyridine ring
-
- C—CHEMISTRY; METALLURGY
- C07—ORGANIC CHEMISTRY
- C07D—HETEROCYCLIC COMPOUNDS
- C07D213/00—Heterocyclic compounds containing six-membered rings, not condensed with other rings, with one nitrogen atom as the only ring hetero atom and three or more double bonds between ring members or between ring members and non-ring members
- C07D213/02—Heterocyclic compounds containing six-membered rings, not condensed with other rings, with one nitrogen atom as the only ring hetero atom and three or more double bonds between ring members or between ring members and non-ring members having three double bonds between ring members or between ring members and non-ring members
- C07D213/04—Heterocyclic compounds containing six-membered rings, not condensed with other rings, with one nitrogen atom as the only ring hetero atom and three or more double bonds between ring members or between ring members and non-ring members having three double bonds between ring members or between ring members and non-ring members having no bond between the ring nitrogen atom and a non-ring member or having only hydrogen or carbon atoms directly attached to the ring nitrogen atom
- C07D213/24—Heterocyclic compounds containing six-membered rings, not condensed with other rings, with one nitrogen atom as the only ring hetero atom and three or more double bonds between ring members or between ring members and non-ring members having three double bonds between ring members or between ring members and non-ring members having no bond between the ring nitrogen atom and a non-ring member or having only hydrogen or carbon atoms directly attached to the ring nitrogen atom with substituted hydrocarbon radicals attached to ring carbon atoms
- C07D213/28—Radicals substituted by singly-bound oxygen or sulphur atoms
- C07D213/30—Oxygen atoms
-
- C—CHEMISTRY; METALLURGY
- C07—ORGANIC CHEMISTRY
- C07D—HETEROCYCLIC COMPOUNDS
- C07D213/00—Heterocyclic compounds containing six-membered rings, not condensed with other rings, with one nitrogen atom as the only ring hetero atom and three or more double bonds between ring members or between ring members and non-ring members
- C07D213/02—Heterocyclic compounds containing six-membered rings, not condensed with other rings, with one nitrogen atom as the only ring hetero atom and three or more double bonds between ring members or between ring members and non-ring members having three double bonds between ring members or between ring members and non-ring members
- C07D213/04—Heterocyclic compounds containing six-membered rings, not condensed with other rings, with one nitrogen atom as the only ring hetero atom and three or more double bonds between ring members or between ring members and non-ring members having three double bonds between ring members or between ring members and non-ring members having no bond between the ring nitrogen atom and a non-ring member or having only hydrogen or carbon atoms directly attached to the ring nitrogen atom
- C07D213/60—Heterocyclic compounds containing six-membered rings, not condensed with other rings, with one nitrogen atom as the only ring hetero atom and three or more double bonds between ring members or between ring members and non-ring members having three double bonds between ring members or between ring members and non-ring members having no bond between the ring nitrogen atom and a non-ring member or having only hydrogen or carbon atoms directly attached to the ring nitrogen atom with hetero atoms or with carbon atoms having three bonds to hetero atoms with at the most one bond to halogen, e.g. ester or nitrile radicals, directly attached to ring carbon atoms
- C07D213/72—Nitrogen atoms
- C07D213/74—Amino or imino radicals substituted by hydrocarbon or substituted hydrocarbon radicals
-
- C—CHEMISTRY; METALLURGY
- C07—ORGANIC CHEMISTRY
- C07D—HETEROCYCLIC COMPOUNDS
- C07D401/00—Heterocyclic compounds containing two or more hetero rings, having nitrogen atoms as the only ring hetero atoms, at least one ring being a six-membered ring with only one nitrogen atom
- C07D401/02—Heterocyclic compounds containing two or more hetero rings, having nitrogen atoms as the only ring hetero atoms, at least one ring being a six-membered ring with only one nitrogen atom containing two hetero rings
- C07D401/12—Heterocyclic compounds containing two or more hetero rings, having nitrogen atoms as the only ring hetero atoms, at least one ring being a six-membered ring with only one nitrogen atom containing two hetero rings linked by a chain containing hetero atoms as chain links
-
- C—CHEMISTRY; METALLURGY
- C07—ORGANIC CHEMISTRY
- C07D—HETEROCYCLIC COMPOUNDS
- C07D417/00—Heterocyclic compounds containing two or more hetero rings, at least one ring having nitrogen and sulfur atoms as the only ring hetero atoms, not provided for by group C07D415/00
- C07D417/02—Heterocyclic compounds containing two or more hetero rings, at least one ring having nitrogen and sulfur atoms as the only ring hetero atoms, not provided for by group C07D415/00 containing two hetero rings
- C07D417/12—Heterocyclic compounds containing two or more hetero rings, at least one ring having nitrogen and sulfur atoms as the only ring hetero atoms, not provided for by group C07D415/00 containing two hetero rings linked by a chain containing hetero atoms as chain links
Landscapes
- Chemical & Material Sciences (AREA)
- Organic Chemistry (AREA)
- Health & Medical Sciences (AREA)
- Life Sciences & Earth Sciences (AREA)
- General Health & Medical Sciences (AREA)
- Veterinary Medicine (AREA)
- Public Health (AREA)
- Pharmacology & Pharmacy (AREA)
- Medicinal Chemistry (AREA)
- Animal Behavior & Ethology (AREA)
- Chemical Kinetics & Catalysis (AREA)
- General Chemical & Material Sciences (AREA)
- Nuclear Medicine, Radiotherapy & Molecular Imaging (AREA)
- Epidemiology (AREA)
- Pharmaceuticals Containing Other Organic And Inorganic Compounds (AREA)
- Plural Heterocyclic Compounds (AREA)
- Acyclic And Carbocyclic Compounds In Medicinal Compositions (AREA)
- Organic Low-Molecular-Weight Compounds And Preparation Thereof (AREA)
- Pyridine Compounds (AREA)
Abstract
本发明涉及新的Notch信号传导途径抑制剂及其在治疗及/或预防癌症中的用途。
Description
发明领域
本发明涉及Notch信号传导途径的新抑制剂及其在治疗及/或预防癌症中的用途。
发明背景
Notch信号传导途径代表控制在发育、细胞存活及细胞增殖过程中细胞命运的分子回路中的关键成分(Shih IeM,Wang TL in Cancer Res 2007;67(5):1879–82)。该途径的异常活化有助于肿瘤形成。在越来越多的癌症中,Notch家族成员被发现为致癌基因。Notch在人类癌症中的作用最近已通过以下得到强调:人类癌症中Notch基因的活化突变及扩增的存在,以及证实了Notch信号传导途径中的基因/蛋白质可能是潜在的治疗标靶。已经清楚的是,NOTCH途径中的主要治疗靶标之一为Notch受体,其中γ-分泌酶抑制剂阻止Notch分子的致癌(细胞内)结构域的产生并抑制Notch活性。
尽管在剖析该信号传导途径的复杂工作方面已有重大进展,但开发新颖Notch抑制剂的选择却非常有限。然而,Notch抑制剂的开创性类别已经针对几种癌症类型进行了临床试验,例如Ayala Pharma公司的γ-分泌酶抑制剂AL101(原为BMS 906024)、Eli Lilly公司的LY3039478和Springworks Therapeutics公司的Nirogacestat(一种合成的小分子),抑制Notch信号传导途径,其可能会造成诱导Notch信号传导途径被过度活化的肿瘤细胞的生长停滞。
目前正在研究的使用γ-分泌酶抑制剂来阻断Notch信号传导的缺点之一为它们广泛的附加靶标,例如淀粉杨蛋白的前驱蛋白。由于它们能够通过所有四种受体阻断Notch信号传导,因此已知γ-分泌酶抑制剂可造成肠道中的杯状细胞化生。此外,一些血液恶性肿瘤及实性瘤在Notch受体中具有突变(例如染色体易位),导致Notch胞内结构域(NICD)的显性活性形式的组成型表达独立于γ-分泌酶复合物的裂解。因此,γ-分泌酶抑制剂的治疗将对这些肿瘤无效。
WO2013/093885公开了几种Notch抑制化合物,其中6-(4-叔丁基苯氧基)吡啶-3-胺为特别优选的化合物。在这些公开的化合物中,测得的Notch抑制作用显著不同。因此,仍然需要鉴定并开发对Notch信号传导途径具有进一步特异性与选择性的抑制剂,该抑制剂具有可用于治疗及/或预防癌症的改良性质。
发明简述
本发明提供式(I)化合物
其药学上可接受的盐、水合物、溶剂化物,或立体异构体,
其中X选自CH2、CF2、CHF、CO、CHOH、CHO(C1-C3)烷基、NH、N(C1-C3烷基)、S、SO和O;
其中Y1、Y2和Y3各自独立地选自N和C;
其中Z为NR10R11,其中R10与R11各自独立地选自H和C1-C6烷基;
其中R1选自H、卤素、C1-C6烷基、C3-C12环烷基、C3-C12杂环基、C1-C6烷氧基、C1-C6杂烷基、C0-C3烷基OC0-C3烷基芳基,其中该芳基任选地被NH2、OC1-C6烷基、C1-C6烷基、C1-C6杂烷基、卤素、CN、C3-C12环烷基、C3-C12杂环基取代;C0-C3烷基OC0-C3烷基杂芳基,其中该杂芳基任选地被NH2、OC1-C6烷基、C1-C6烷基,、C1-C6杂烷基、卤素、CN、C3-C12环烷基、C3-C12杂环基取代;和被芳基或杂芳基取代的C1-C6烷基,其中该芳基与该杂芳基任选地被NH2、OC1-C6烷基、C1-C6烷基、C1-C6杂烷基、卤素、CN、C3-C12环烷基、C3-C12杂环基取代;
其中R2选自芳基和杂芳基,其中该芳基与该杂芳基任选地被NH2、OC1-C6烷基、C1-C6烷基、C1-C6杂烷基、卤素、CN、C3-C12环烷基、C3-C12杂环基、C(O)R12、C1-C6烷基C(O)R12取代;
其中R3选自H、卤素、C1-C6烷基、C1-C6杂烷基、C3-C12环烷基、C3-C12杂环基和C1-C6烷氧基;
其中R4、R5和R6各自独立地选自H、卤素、CN、C1-C6烷氧基、C1-C6-S-烷基、C1-C6烷基、C1-C6杂烷基、C3-C12环烷基和C3-C12杂环基;
其中当Y1为N时R7不存在,或当Y1为C时R7选自H、卤素、C1-C6烷基、C1-C6杂烷基、C3-C12环烷基、C3-C12杂环基和C1-C6烷氧基;
其中当Y3为N时R8不存在,或当Y3为C时R8选自H、卤素、C1-C6烷基、C1-C6杂烷基、C3-C12环烷基、C3-C12杂环基和C1-C6烷氧基;
其中当Y2为N时R9不存在,或当Y2为C时R9选自H、卤素、C1-C6烷基、C3-C12环烷基、C3-C12杂环基、C1-C6烷氧基、C1-C6杂烷基、C0-C3烷基OC0-C3烷基芳基,其中该芳基任选地被NH2、OC1-C6烷基、C1-C6烷基、C1-C6杂烷基、卤素、CN、C3-C12环烷基、C3-C12杂环基取代;C0-C3烷基OC0-C3烷基杂芳基,其中该杂芳基任选地被NH2、OC1-C6烷基、C1-C6烷基、C1-C6杂烷基、卤素、CN、C3-C12环烷基、C3-C12杂环基取代;和被芳基或杂芳基取代的C1-C6烷基,其中该芳基与该杂芳基任选地被NH2、OC1-C6烷基、C1-C6烷基、C1-C6杂烷基、卤素、CN、C3-C12环烷基、C3-C12杂环基取代;
其中R12选自H、NH2、NHC1-C6烷基、C1-C6烷基、C1-C6杂烷基、C2-C6烯基、C2-C6炔基、C3-C12环烷基和C3-C12杂环基;
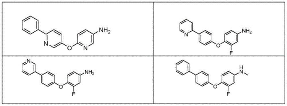
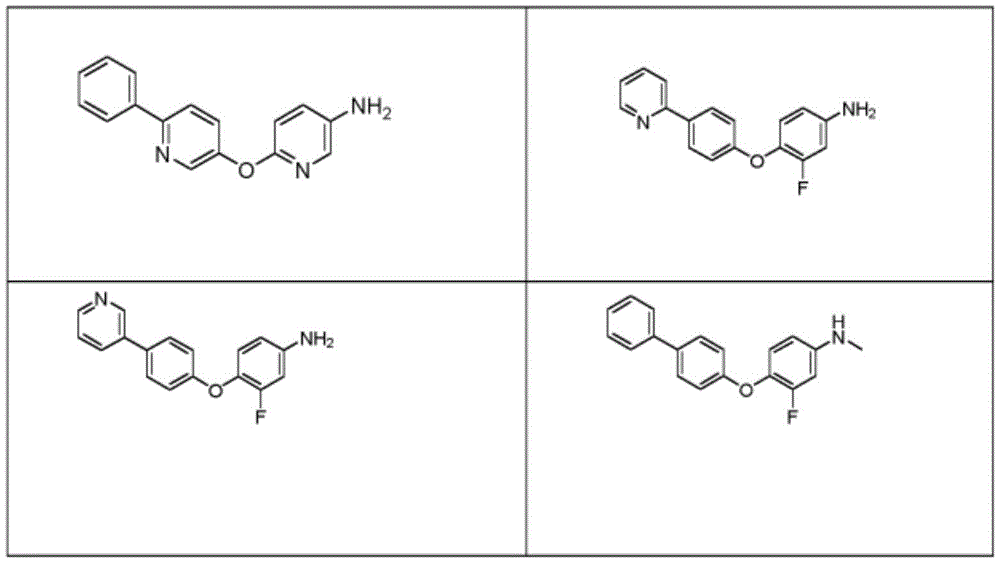
其条件为所述式(I)化合物不为6-([1,1’-联苯基]-4-基氧基)-吡啶-3-胺、4-([1,1’-联苯基]-4-基氧基)-苯胺、6-([1,1’-联苯基]-4-基氧基)-2-甲基吡啶-3-胺和6-([1,1’-联苯基]-4-基氧基)-4-甲基吡啶-3-胺。
本发明还提供式(I)化合物,
其药学上可接受的盐、水合物、溶剂化物,或立体异构体,
其中X选自CH2、CF2、CHF、CO、CHOH、CHO(C1-C3)烷基、NH、N(C1-C3烷基)、S、SO和O;
其中Y1、Y2和Y3各自独立地选自N和C;
其中Z为NR10R11,其中R10与R11各自独立地选自H和C1-C6烷基;
其中R1选自H、卤素、C1-C6烷基、C3-C12环烷基、C3-C12杂环基、C1-C6烷氧基、C1-C6杂烷基、C0-C3烷基OC0-C3烷基芳基,其中该芳基任选地被NH2、OC1-C6烷基、C1-C6烷基、C1-C6杂烷基、卤素、CN、C3-C12环烷基、C3-C12杂环基取代;C0-C3烷基OC0-C3烷基杂芳基,其中该杂芳基任选地被NH2、OC1-C6烷基、C1-C6烷基,、C1-C6杂烷基、卤素、CN、C3-C12环烷基、C3-C12杂环基取代;和被芳基或杂芳基取代的C1-C6烷基,其中该芳基与该杂芳基任选地被NH2、OC1-C6烷基、C1-C6烷基、C1-C6杂烷基、卤素、CN、C3-C12环烷基、C3-C12杂环基取代;
其中R2选自芳基和杂芳基,其中该芳基与该杂芳基任选地被NH2、OC1-C6烷基、C1-C6烷基、C1-C6杂烷基、卤素、CN、C3-C12环烷基、C3-C12杂环基、C(O)R12、C1-C6烷基C(O)R12取代;
其中R3选自H、卤素、C1-C6烷基、C1-C6杂烷基、C3-C12环烷基、C3-C12杂环基和C1-C6烷氧基;
其中R4、R5和R6各自独立地选自H、卤素、CN、C1-C6烷氧基、C1-C6-S-烷基、C1-C6烷基、C1-C6杂烷基、C3-C12环烷基和C3-C12杂环基;
其中当Y1为N时R7不存在,或当Y1为C时R7选自H、卤素、C1-C6烷基、C1-C6杂烷基、C3-C12环烷基、C3-C12杂环基和C1-C6烷氧基;
其中当Y3为N时R8不存在,或当Y3为C时R8选自H、卤素、C1-C6烷基、C1-C6杂烷基、C3-C12环烷基、C3-C12杂环基和C1-C6烷氧基;
其中当Y2为N时R9不存在,或当Y2为C时R9选自H、卤素、C1-C6烷基、C3-C12环烷基、C3-C12杂环基、C1-C6烷氧基、C1-C6杂烷基、C0-C3烷基OC0-C3烷基芳基,其中该芳基任选地被NH2、OC1-C6烷基、C1-C6烷基、C1-C6杂烷基、卤素、CN、C3-C12环烷基、C3-C12杂环基取代;C0-C3烷基OC0-C3烷基杂芳基,其中该杂芳基任选地被NH2、OC1-C6烷基、C1-C6烷基、C1-C6杂烷基、卤素、CN、C3-C12环烷基、C3-C12杂环基取代;和被芳基或杂芳基取代的C1-C6烷基,其中该芳基与该杂芳基任选地被NH2、OC1-C6烷基、C1-C6烷基、C1-C6杂烷基、卤素、CN、C3-C12环烷基、C3-C12杂环基取代;
其中R12选自H、NH2、NHC1-C6烷基、C1-C6烷基、C1-C6杂烷基、C2-C6烯基、C2-C6炔基、C3-C12环烷基和C3-C12杂环基,用于预防或治疗癌症的方法,优选用于预防或治疗Notch依赖性癌症的方法。本发明还提供包含式(I)化合物和药学上可接受的载体的药物组合物,和包含式(I)化合物、任选地具有试剂及/或说明书的药盒。本发明还提供式(I)化合物在体外或体内抑制细胞中Notch信号传导途径中的用途。
本申请的发明人已意外地发现,与WO2013/093885中具体公开的化合物在化学结构上基本不同的化合物,其在Notch抑制作用中显现出无人能比的生物学特性,例如对NOTCH驱动的人类癌症具有很高的效力,且在下调NOTCH靶基因方面具有很高的效力。
附图说明
图1显示化合物对NOTCH阳性及NOTCH依赖性的人白血病细胞株(RPMI8402)的抗增殖作用。以化合物处理细胞72小时,并使用阿尔玛(Alamar)蓝读数量化对增殖的影响。
图2显示6-([1,1'-联苯基]-4-基氧基)-N-甲基吡啶-3-胺对人白血病细胞中N1-ICD和cMYC(NOTCH靶基因)的影响。以1μM的6-(4-叔丁基苯氧基)吡啶3-胺和6-([1,1'-联苯基]-4-基氧基)-N-甲基吡啶-3-胺处理NOTCH阳性人白血病RPMI8402细胞24小时。处理后,萃取总蛋白裂解物,并通过蛋白质印迹(western blot)分析蛋白表达。数据显示,与6-(4-叔丁基苯氧基)吡啶-3-胺相比,6-([1,1'-联苯基]-4-基氧基)-N-甲基吡啶-3-胺在下调人癌细胞中NOTCH途径方面具有增强的功效。
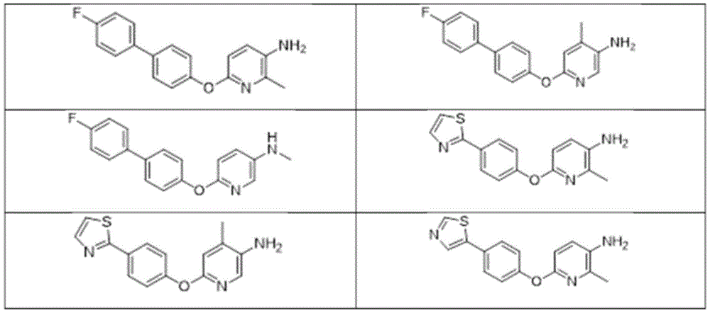
图3显示6-((4'-氟-[1,1'-联苯基]-4-基)氧基)吡啶-3-胺、6-([1,1'-联苯基]-4-基氧基)-4-甲基吡啶-3-胺、6-([1,1'-联苯基]-4-基氧基)-2-甲基吡啶-3-胺和N-甲基-6-((6-苯基吡啶-3-基)氧基)吡啶-3-胺对人白血病细胞中N1-ICD和cMYC(NOTCH靶基因)的作用。以1μM的6-(4-叔丁基苯氧基)吡啶-3-胺和6-((4'-氟-[1,1'-联苯基]-4-基)氧基)吡啶-3-胺、6-([1,1'-联苯基]-4-基氧基)-4-甲基吡啶-3-胺、6-([1,1'-联苯基]-4-基氧基)-2-甲基吡啶-3-胺和N-甲基-6-((6-苯基吡啶-3-基)氧基)吡啶-3-胺处理NOTCH阳性人白血病RPMI8402细胞24小时。处理后,萃取总蛋白裂解物,并通过蛋白质印迹分析蛋白表达。数据显示,与6-(4-叔丁基苯氧基)吡啶-3-胺相比,6-((4'-氟-[1,1'-联苯基]-4-基)氧基]吡啶-3-胺、6-([1,1'-联苯基]-4-基氧基)-4-甲基吡啶-3-胺、6-([1,1'-联苯基]-4-基氧基)-2-甲基吡啶-3-胺和N-甲基-6-((6-苯基吡啶-3-基)氧基)吡啶-3-胺在下调人癌细胞中NOTCH途径方面具有增强的功效。
发明详述
本文提及的所有出版物、专利申请、专利和其他参考文献通过引用整体并入本文。本文讨论的出版物及申请的提供仅因为其在本案的申请日期之前公开。另外,材料、方法和实施例仅为说明之用,而非意图用于限制。
在产生冲突的情况下,以本说明书、包括定义为准。除非另有定义,否则本文中使用的所有技术及科学术语具有与本文主题所属领域的技术人员通常所理解的相同含义。如本文所用,提供以下定义以促进对本发明的理解。
如本文所用,术语“包括(动词)/包括(动名词)”通常以包含(动词)/包含(动名词)的意义使用,亦即允许存在一个或多个特征或组件。术语“包括”和“包括”还涵盖了更受限制的术语“由…组成”(动词)和“由…组成”(动名词)。
如本文所用,单数形式的“一”、“一个”和“该”包括复数指示,除非上下文另外明确指出。
如本文所用,术语“受试者”为本领域众所周知的,并且是指哺乳动物,包括狗、猫、大鼠、小鼠、猴子、牛、马、山羊、绵羊、猪、骆驼,且最优选为人。于一些具体实施方案中,该受试者为需要治疗的受试者或患有疾病或病症例如癌症的受试者。然而,于其他具体实施方案中,该受试者可为正常受试者或已经接受过抗癌治疗的受试者。该术语不代表特定的年龄或性别。因此,意图涵盖成人、儿童和新生儿受试者,无论为男性或女性。
如本文所用,术语“癌症”、“癌细胞”、“细胞增殖性疾病”和“细胞增殖性障碍”是指或描述哺乳动物中通常以不受控制的细胞生长为特征的生理状况。根据本发明,癌症优选是指实性瘤,例如唾液、肝、脑、乳腺、前列腺、结直肠、肾脏、肺、肉瘤,或黑色素瘤和影响血液的液体瘤,例如白血病。根据本发明,更优选地,癌症为Notch依赖性癌症,选自下组:腺样囊状癌(adenoid cystic carcinoma,ACC)、T细胞急性淋巴细胞白血病(T cell-Acutelymphoblastic leukemia,T-ALL)、慢性骨髓性白血病(chronic myeloid leukemia,CML)、慢性淋巴细胞性白血病(chronic lymphocytic leukemia,CLL)、套细胞淋巴瘤(Mantlecell lymphoma,MCL)、乳腺癌、胰腺癌、前列腺癌、黑色素瘤、脑瘤、肿瘤血管生成、肝癌和结直肠癌。甚至更优选地,该Notch依赖性癌症对γ-分泌酶抑制剂的治疗具有抗性。γ-分泌酶抑制剂治疗的实例包括1)γ分泌酶抑制剂RO4929097和西地尼布顺丁烯二酸盐(Cediranib Maleate)治疗晚期实性瘤患者(NCT01131234),2)γ-分泌酶抑制剂RO4929097用于治疗年轻的复发或难治性实性瘤、中枢神经系统肿瘤、淋巴瘤,或T细胞白血病的患者(NCT01088763),3)MK-0752联合他莫昔芬(Tamoxifen)或来曲唑(Letrozole)治疗早期乳腺癌的研究(NCT00756717),4)GDC-0449与RO4929097在进展或转移性肉瘤患者中的治疗(NCT01154452),5)RO4929097与盐酸厄洛替尼(Erlotinib Hydrochloride)用于治疗第四期或复发性非小细胞肺癌(NCT01193881),6)比卡鲁胺(Bicalutamide)与RO4929097在治疗先前治疗过的前列腺癌患者中的治疗(NCT01200810),7)RO4929097在复发性浸润性胶质瘤患者中的治疗(NCT01269411),8)Notch信号传导途径抑制剂用于T细胞急性淋巴细胞白血病/淋巴瘤(ALL)(NCT00100152)和9)RO4929097在转移性结直肠癌患者中的治疗(NCT01116687)。
本文所用的术语“烷基”是指通过除去一个氢原子衍生自烷烃的碳原子的饱和直链或支链基团。C1-C3烷基包含例如甲基、乙基、正丙基、异丙基,且优选包含非支链C1-C3烷基。C1-C4烷基包括例如甲基、乙基、正丙基、异丙基、正丁基、异丁基、叔丁基,且优选包含非支链的C1-C4烷基。C1-C6烷基包括例如甲基、乙基、正丙基、异丙基、正丁基、异丁基、叔丁基、正戊基和正己基,且优选包含非支链的C1-C6烷基。C1-C10烷基包括例如甲基、乙基、正丙基、异丙基、正丁基、异丁基、叔丁基、正戊基、正己基、正庚基、正辛基、正壬基或正癸基,优选包含非支链的C1-C10烷基。如本文所用,术语“C0烷基”是指共价键。因此例如术语“C0烷基OC0烷基芳基”是指O芳基。
本文所用的术语“C0-C3烷基OC0-C3烷基芳基”,当该二个C0-C3烷基皆为C0烷基时,是指如本文所定义的O芳基。当该第一C0-C3烷基为C0烷基时,该术语是指OC0-C3烷基芳基。当该第二C0-C3烷基为C0烷基时,该术语是指C0-C3烷基O芳基。优选地,C0-C3烷基OC0-C3烷基芳基为C0-C3烷基O芳基,更优选为O芳基或C1-C3烷基O芳基。本文所用的术语“C0-C3烷基OC0-C3烷基杂芳基”,当该二个C0-C3烷基皆为C0烷基时,是指本文所定义的O杂芳基。当该第一C0-C3烷基为C0烷基时,该术语是指OC0-C3烷基杂芳基。当该第二C0-C3烷基为C0烷基时,该术语是指C0-C3烷基O杂芳基。优选地,C0-C3烷基OC0-C3烷基杂芳基为C0-C3烷基O杂芳基,更优选为O杂芳基或C1-C3烷基O杂芳基,最优选为O杂芳基。C0-C3烷基OC0-C3烷基芳基和C0-C3烷基OC0-C3烷基杂芳基的芳基与杂芳基任选地被NH2、OC1-C6烷基、C1-C6烷基、C1-C6杂烷基、卤素、CN、C3-C12环烷基、C3-C12杂环基取代,优选任选地被NH2取代。
本文所用的术语“杂烷基”是指如本文所定义的烷基,其中一个、两个、三个或四个氢原子被独立地选自ORa、C(O)ORa、NRbRc、C(O)NRbRc、S(O)nRd(其中n为0至2的整数)和卤素的取代基取代,同时了解该杂烷基的连接点是通过碳原子,其中Ra为H、C1-C3烷基羰基、C1-C3烷基,或C3-7环烷基;Rb与Rc各自独立地为H、C1-C3烷基羰基、C1-C3烷基、C3-7环烷基或NRbRc为胍基;且当n为0时,Rd为H、C1-C3烷基或C3-7环烷基,且当n为1或2时,Rd为C1-C3烷基或C3-7环烷基。最优选地,本文所用的术语“杂烷基”或“杂烷二基”是指本文所定义的烷基或烷二基,其中一个、两个、三个或四个氢原子已被独立地选自OH、NH2、胍基和卤素的取代基取代,更优选为其中一个或两个氢原子被独立地选自OH、NH2和卤素的取代基取代。代表性实例包括但不限于2-羟乙基、2-羟丙基、3-羟丙基、2-羟-1-羟甲基乙基、2-羟基-1-甲基乙基、2,3-二羟基丙基、1-羟甲基乙基、3-羟基丁基、2,3-二羟基丁基、1-羟基-2-甲基丙基、3-羟基-1-(2-羟乙基)-丙基、2-羟基-1-甲基丙基、1,1,1-三氟乙基、1,1,1-三氟甲基、2,2,3,3-四氟丙基。
本文所用的术语“C3-12环烷基”和“C3-7环烷基”是指通过去除单个氢原子,分别衍生自环烷烃的、3-12或3-7个碳的单价饱和单环或双环烃基,优选单价饱和单环基团。“C3-7环烷基”包括环丙基、环丁基、环戊基、环己基和环庚基。本文所用的术语“C3-12环烷基”和“C3-7环烷基”亦包括包含C1-3烷基的环烷基。此类“C3-7环烷基”的实例包括环丙基甲基、2-环丙基乙基、环丁基甲基、2-环丁基乙基、环戊基甲基、2-环戊基乙基。本发明的环烷基可任选地被取代。
本文可互换使用的术语“芳氧基”或“O芳基”是指基团-OR,其中R为如本文所定义的芳基,例如苯氧基。
本文可互换使用的术语“C1-C6烷氧基”或“OC1-C6烷基”是指基团-OR,其中R为本文所定义的C1-C6烷基。实例为甲氧基、乙氧基、丙氧基、丁氧基。
本文所用的术语“芳基”是指具有一个或两个芳环的单环或双环碳环系统,且优选为单环碳环系统。该芳基亦可与环己烷、环己烯、环戊烷或环戊烯环稠合,或与包含羰基的环己烷、环己烯、环戊烷或环戊烯环稠合。本发明的芳基可任选地被取代,如下文进一步描述。本发明优选的芳基和任选取代的芳基分别为苯基或取代的苯基。取代基可为例如NH2、OC1-C6烷基、C1-C6烷基、C1-C6杂烷基、卤素、CN、C3-C12环烷基、C3-C12杂环基、C(O)R12、C1-C6烷基C(O)R12。
本文所用的术语“杂芳基”是指取代及未取代的芳香族5或6元单环基团和9或10元双环基团,优选为取代及未取代的芳香族5或6元单环基团,在至少一个或多个环中具有至少一个杂原子(O、S或N)。含有杂原子的该杂芳基基团的每个环可含有一个或两个氧或硫原子及/或1-4个氮原子,条件为每个环中的杂原子总数为四个或更少,且每个环具有至少一个碳原子。完成双环基团的稠合环可以仅包含碳原子,且可为饱和的、部分饱和的,或不饱和的。杂芳基基团必须包括至少一个完全芳香族的环,但另一个稠合环可为芳香族的或非芳香族的。该杂芳基可连接在任何环的任何可用氮或碳原子上。本发明的杂芳基可如下文进一步描述任选地被取代。通常,本发明的杂芳基和任选取代的杂芳基分别选自下组:取代及/或未取代的芳香族5或6元单环基团,具有至少一个杂原子(O、S或N),优选环中一个或两个选自S与N的杂原子,更优选该环中的一个S与一个N,或该环中的一个或两个N。优选的杂芳基为任选取代的杂芳基,其选自下组:任选取代的吡啶基、任选取代的嘧啶基、任选取代的二或三嗪基、任选取代的噻唑基、任选取代的噁唑基和任选取代的咪唑基。甚至更优选的杂芳基为任选取代的吡啶基、任选取代的嘧啶基、任选取代的咪唑基,或任选取代的噻唑基。最优选地,任选取代的吡啶基、任选取代的咪唑基,或任选取代的噻唑基在本发明中作为杂芳基。任选取代基可为例如NH2、OC1-C6烷基、C1-C6烷基、C1-C6杂烷基、卤素、CN、C3-C12环烷基、C3-C12杂环基、C(O)R12、C1-C6烷基C(O)R12,或NH2、OC1-C6烷基、C1-C6烷基、C1-C6杂烷基、卤素、CN、C3-C12环烷基、C3-C12杂环基。
本文所用的术语“杂环基”是指具有3至12个,优选3至7个,更优选5至6个环原子的饱和单环,其含有至多3个,优选1或2个独立地选自氮、氧或硫的杂原子,其中其余的环原子为碳原子。此类饱和杂环的实例包括[1,3]二噁烷基、[1,3]二氧戊环基、吡咯烷基、吗啉基、哌嗪基、哌啶基、噁唑烷基、噻唑烷基、氮杂环庚烷等。优选地,此类杂环基为未取代的。
本文所用的术语“卤素”是指F、Cl、Br或I,且优选为F、Cl或Br,更优选为F。
术语“任选被取代的”或“被取代的”是指所提及的基团被一个或多个另外的基团取代,优选被一个另外的基团取代,其各别地且独立地选自所列的基团。
在本发明的一些方面或实施方案中,从式(I)化合物中排除的化合物6-(([1,1'-联苯基]-4-基氧基)-吡啶-3-胺具有以下化学结构:
在本发明的一些方面或实施方案中,从式(I)化合物中排除的化合物4-([1,1'-联苯基]-4-基氧基)-苯胺具有以下化学结构:
在本发明的一些方面或实施方案中,从式(I)化合物中排除的化合物6-([1,1'-联苯基]-4-基氧基)-2-甲基吡啶-3-胺具有以下化学结构:
在本发明的一些方面或实施方案中,从式(I)化合物中排除的化合物6-([1,1'-联苯基]-4-基氧基)-4-甲基吡啶-3-胺具有以下化学结构:
在本发明的一些方面或实施方案中,从式(I)化合物中排除的化合物4-(4'-甲氧基-联苯-4-基氧基)苯胺具有以下化学结构:
在本发明的一些方面或实施方案中,从式(I)化合物中排除的化合物4-(4'-氯代联苯-4-基氧基)苯胺具有以下化学结构:
在本发明的一些方面或实施方案中,从式(I)化合物中排除的化合物4-(4'-叔丁基-联苯基-4-基氧基)苯胺具有以下化学结构:
在本发明的一些方面或实施方案中,从式(I)化合物中排除的化合物4-(4-(噻唑-2-基)苯氧基)苯胺具有以下化学结构:
在本发明的一些方面或实施方案中,从式(I)化合物中排除的化合物4-(4-(1H-咪唑-2-基)苯氧基)苯胺具有以下化学结构:
在本发明的一些方面或实施方案中,从式(I)化合物中排除的化合物4-(4-(噁唑-2-基)苯氧基)苯胺具有以下化学结构:
在本发明的一些方面或实施方案中,从式(I)化合物中排除的化合物4-(4-(1H-吡咯-1-基)苯氧基)苯胺具有以下化学结构:
因此,第一方面,本发明提供式(I)化合物
其药学上可接受的盐、水合物、溶剂化物,或立体异构体,
其中X选自CH2、CF2、CHF、CO、CHOH、CHO(C1-C3)烷基、NH、N(C1-C3烷基)、S、SO和O;
其中Y1、Y2和Y3各自独立地选自N和C;
其中Z为NR10R11,其中R10与R11各自独立地选自H和C1-C6烷基;
其中R1选自H、卤素、C1-C6烷基、C3-C12环烷基、C3-C12杂环基、C1-C6烷氧基、C1-C6杂烷基、C0-C3烷基OC0-C3烷基芳基,其中该芳基任选地被NH2、OC1-C6烷基、C1-C6烷基、C1-C6杂烷基、卤素、CN、C3-C12环烷基、C3-C12杂环基取代;C0-C3烷基OC0-C3烷基杂芳基,其中该杂芳基任选地被NH2、OC1-C6烷基、C1-C6烷基、C1-C6杂烷基、卤素、CN、C3-C12环烷基、C3-C12杂环基取代;和被芳基或杂芳基取代的C1-C6烷基,其中该芳基与该杂芳基任选地被NH2、OC1-C6烷基、C1-C6烷基、C1-C6杂烷基、卤素、CN、C3-C12环烷基、C3-C12杂环基取代;
其中R2选自芳基和杂芳基,其中该芳基与该杂芳基任选地被NH2、OC1-C6烷基、C1-C6烷基、C1-C6杂烷基、卤素、CN、C3-C12环烷基、C3-C12杂环基、C(O)R12、C1-C6烷基C(O)R12取代;
其中R3选自H、卤素、C1-C6烷基、C1-C6杂烷基、C3-C12环烷基、C3-C12杂环基和C1-C6烷氧基;
其中R4、R5和R6各自独立地选自H、卤素、CN、C1-C6烷氧基、C1-C6-S-烷基、C1-C6烷基、C1-C6杂烷基、C3-C12环烷基和C3-C12杂环基;
其中当Y1为N时R7不存在,或当Y1为C时R7选自H、卤素、C1-C6烷基、C1-C6杂烷基、C3-C12环烷基、C3-C12杂环基和C1-C6烷氧基;
其中当Y3为N时R8不存在,或当Y3为C时R8选自H、卤素、C1-C6烷基、C1-C6杂烷基、C3-C12环烷基、C3-C12杂环基和C1-C6烷氧基;
其中当Y2为N时R9不存在,或当Y2为C时R9选自H、卤素、C1-C6烷基、C3-C12环烷基、C3-C12杂环基、C1-C6烷氧基、C1-C6杂烷基、C0-C3烷基OC0-C3烷基芳基,其中该芳基任选地被NH2、OC1-C6烷基、C1-C6烷基、C1-C6杂烷基、卤素、CN、C3-C12环烷基、C3-C12杂环基取代;C0-C3烷基OC0-C3烷基杂芳基,其中该杂芳基任选地被NH2、OC1-C6烷基、C1-C6烷基、C1-C6杂烷基、卤素、CN、C3-C12环烷基、C3-C12杂环基取代;和被芳基或杂芳基取代的C1-C6烷基,其中该芳基与该杂芳基任选地被NH2、OC1-C6烷基、C1-C6烷基、C1-C6杂烷基、卤素、CN、C3-C12环烷基、C3-C12杂环基取代;
其中R12选自H、NH2、NHC1-C6烷基、C1-C6烷基、C1-C6杂烷基、C2-C6烯基、C2-C6炔基、C3-C12环烷基和C3-C12杂环基;
其条件为所述式(I)化合物不为6-([1,1’-联苯基]-4-基氧基)-吡啶-3-胺、4-([1,1’-联苯基]-4-基氧基)-苯胺、6-([1,1’-联苯基]-4-基氧基)-2-甲基吡啶-3-胺和6-([1,1’-联苯基]-4-基氧基)-4-甲基吡啶-3-胺,其优选的条件为所述式(I)化合物不为6-(([1,1'-联苯基]-4-基氧基)-吡啶-3-胺、4-([1,1'-联苯基]-4-基氧基)-苯胺、6-([1,1'-联苯基]-4-基氧基)-2-甲基吡啶-3-胺、6-([1,1'-联苯基]-4-基氧基)-4-甲基吡啶-3-胺、4-(4'-甲氧基-联苯-4-基氧基)苯胺、4-(4'-氯代联苯-4-基氧基)苯胺和4-(4'-叔丁基-联苯-4-基氧基)苯胺,其更优选的条件为所述式(I)化合物不为6-(([1,1'-联苯基]-4-基氧基)-吡啶-3-胺、4-([1,1'-联苯基]-4-基氧基)-苯胺、6-([1,1'-联苯基]-4-基氧基)-2-甲基吡啶-3-胺、6-([1,1'-联苯基]-4-基氧基)-4-甲基吡啶-3-胺、4-(4'-甲氧基-联苯-4-基氧基)苯胺、4-(4'-氯代联苯-4-基氧基)苯胺、4-(4'-叔丁基-联苯-4-基氧基)苯胺、4-(4-(噻唑-2-基)苯氧基)苯胺、4-(4-(1H-咪唑-2-基)苯氧基)苯胺、4-(4-(噁唑-2-基)苯氧基)苯胺和4-(4-(1H-吡咯-1-基)苯氧基)苯胺。
Notch信号传导途径在进化上为保守的,该路径中的基本分子为配体(Delta与Jagged)、Notch受体和转录因子(Shih IeM,Wang TL in Cancer Res 2007;67(5):1879–82)。Notch为跨膜异二聚体受体,在人类及啮齿动物中有四个不同的成员(Notch1、Notch2、Notch3和Notch4)。在生理状态下,Notch配体与其受体的结合启动Notch信号传导,其是通过α-分泌酶(亦称为肿瘤坏死因子-α-转化酶)与γ-分泌酶进行蛋白水解切割产生的级联反应而释放Notch受体的胞内结构域(Notch-ICD)而启动该Notch信号传导。然后,该释放的细胞内Notch-ICD易位到细胞核中,在细胞核中其主要通过与普遍存在的转录因子CBF1(无毛Lag-1抑制因子(CSL))结合以调节基因表达。这种结合将转录活化因子募集至CSL复合物中,并将其从转录抑制剂转化为活化因子,进而活化了几个下游效应子。Notch信号传导的生理功能是多方面的,包括干细胞的维持、细胞命运的规范和发育和肿瘤形成中分化的调节。
在癌症中,例如位于Notch受体基因座的染色体易位、点突变和染色体扩增等分子遗传学改变为已知的Notch途径组成型活化机制。尽管机制不同,但它们皆导致细胞内Notch-IC含量升高。Notch的致癌潜力首先在人T细胞急性淋巴细胞白血病(T-ALL)、腺样囊状癌(ACC)、乳腺癌和慢性淋巴细胞性白血病(CLL)中发现。虽然Notch1信号传导为T细胞祖细胞的正常发育所必需,但由于分子遗传改变而引起的Notch1信号传导的组成型活化与T-ALL有关。例如,由于染色体易位引起的人类Notch1胞外部分的间质性缺失与约1%的T-ALL病例有关,而Notch1的活化点突变存在于约50%的T-ALL病例中。在Notch-ICD转基因小鼠模型中观察到T细胞白血病/淋巴瘤的形成,这表示Notch活化在T-ALL发育中具有因果作用。在非小细胞肺癌中,已经在一部分的肿瘤中发现染色体易位,且这种易位被认为会提高肿瘤中Notch3的转录作用。在卵巢癌中,发现Notch3基因扩增发生在约19%的肿瘤中,且Notch3的过度表达在超过一半的卵巢浆液性癌中被发现。类似地,Notch信号传导的活化已在乳腺癌的发展中显现。在动物模型中,组成型活化的Notch4表达造成小鼠乳腺肿瘤,且Notch1活化突变有助于T-ALL的发展。最近的研究进一步显示,在转基因小鼠中活化的Notch1和Notch3的过度表达会阻断乳腺发育并诱发小鼠乳腺肿瘤。Notch信号传导的活化也与乳腺癌细胞的肺及骨转移有关。Notch3的过度表达足以诱导小鼠模型中脉络丛肿瘤的形成,表示Notch3在某些类型的脑肿瘤的发生中具有重要作用。
本发明还包括本发明化合物的化学修饰以延长其循环寿命。在美国专利第4,935,465号(1990年6月19日核发)和第6,342,244号(2002年1月29日核发)和在公开的美国专利申请第US2006/0074024号中提供了用于短暂或可逆地聚乙二醇化药物、包括基于多肽的药物的方法的非限制性实施例。本领域技术人员通常会在例如公开的专利申请第WO2005047366号、第US2005171328号和在NEKTAR PEG Reagent2005-2006(Nektar Therapeutics公司,圣卡洛斯,加州)上列出的那些中找到有关基于PEG的试剂的更多详细信息。
本发明还涉及式(I)化合物的盐、水合物或溶剂化物。优选地,这些盐、水合物及/或溶剂合物为药学上可接受的。根据本发明,药学上可接受的盐由酸性无机或有机化合物或碱性无机或有机化合物制备。如本文所用,“药学上可接受的盐”一词是指保留特定化合物的游离酸及碱的生物有效性,且非为生物学上或其他方面不期望的盐类。
本发明还涉及式(I)化合物的立体异构体。“立体异构体(单数)”或“立体异构体(复数)”是指在一个或多个立体中心的手性上不同的化合物。立体异构体包括对映异构体及非对映异构体。若式(I)化合物具有一个或多个不对称中心或具有不对称取代的双键,则其可以以立体异构体形式存在,因此可以以单独的立体异构体或混合物形式生产。除非另有说明,否则该描述目的在于包括单独的立体异构体和混合物。测定立体化学与分离立体异构体的方法为本领域习知的(参见以下讨论:高级有机化学第4章,第4版,J.March,JohnWiley and Sons,纽约,1992年)。
技术人员将知道,若本发明化合物包含带电荷的基团,则适合的抗衡离子将衍生自有机或无机酸。这些抗衡离子包括卤化物(例如氯化物、溴化物、氟化物、碘化物)、硫酸盐、磷酸盐、醋酸盐、琥珀酸盐、柠檬酸盐、乳酸盐、顺丁烯二酸盐、富马酸盐、棕榈酸盐、胆酸盐、谷胺酸盐、戊二酸盐、酒石酸盐、硬脂酸盐类、水杨酸盐、甲磺酸盐、苯磺酸盐、山梨酸酯、苦味酸盐、苯甲酸盐、肉桂酸酯等。若该极性部分为带负电荷的基团,则适合的抗衡离子将选自钠、铵、钡、钙、铜、铁、锂、钾和锌等。
另一方面,本发明提供药物组合物,其包含本发明的化合物、其药学上可接受的盐、水合物或立体异构体和药学上可接受的载体。
因此,另一方面,本发明提供药物组合物,其包含式(I)化合物
其药学上可接受的盐、水合物、溶剂化物,或立体异构体,
其中X选自CH2、CF2、CHF、CO、CHOH、CHO(C1-C3)烷基、NH、N(C1-C3烷基)、S、SO和O;
其中Y1、Y2和Y3各自独立地选自N和C;
其中Z为NR10R11,其中R10与R11各自独立地选自H和C1-C6烷基;
其中R1选自H、卤素、C1-C6烷基、C3-C12环烷基、C3-C12杂环基、C1-C6烷氧基、C1-C6杂烷基、C0-C3烷基OC0-C3烷基芳基,其中该芳基任选地被NH2、OC1-C6烷基、C1-C6烷基、C1-C6杂烷基、卤素、CN、C3-C12环烷基、C3-C12杂环基取代;C0-C3烷基OC0-C3烷基杂芳基,其中该杂芳基任选地被NH2、OC1-C6烷基、C1-C6烷基、C1-C6杂烷基、卤素、CN、C3-C12环烷基、C3-C12杂环基取代;和被芳基或杂芳基取代的C1-C6烷基,其中该芳基与该杂芳基任选地被NH2、OC1-C6烷基、C1-C6烷基、C1-C6杂烷基、卤素、CN、C3-C12环烷基、C3-C12杂环基取代;
其中R2选自芳基和杂芳基,其中该芳基与该杂芳基任选地被NH2、OC1-C6烷基、C1-C6烷基、C1-C6杂烷基、卤素、CN、C3-C12环烷基、C3-C12杂环基、C(O)R12、C1-C6烷基C(O)R12取代;
其中R3选自H、卤素、C1-C6烷基、C1-C6杂烷基、C3-C12环烷基、C3-C12杂环基和C1-C6烷氧基;
其中R4、R5和R6各自独立地选自H、卤素、CN、C1-C6烷氧基、C1-C6-S-烷基、C1-C6烷基、C1-C6杂烷基、C3-C12环烷基和C3-C12杂环基;
其中当Y1为N时R7不存在,或当Y1为C时R7选自H、卤素、C1-C6烷基、C1-C6杂烷基、C3-C12环烷基、C3-C12杂环基和C1-C6烷氧基;
其中当Y3为N时R8不存在,或当Y3为C时R8选自H、卤素、C1-C6烷基、C1-C6杂烷基、C3-C12环烷基、C3-C12杂环基和C1-C6烷氧基;
其中当Y2为N时R9不存在,或当Y2为C时R9选自H、卤素、C1-C6烷基、C3-C12环烷基、C3-C12杂环基、C1-C6烷氧基、C1-C6杂烷基、C0-C3烷基OC0-C3烷基芳基,其中该芳基任选地被NH2、OC1-C6烷基、C1-C6烷基、C1-C6杂烷基、卤素、CN、C3-C12环烷基、C3-C12杂环基取代;C0-C3烷基OC0-C3烷基杂芳基,其中该杂芳基任选地被NH2、OC1-C6烷基、C1-C6烷基、C1-C6杂烷基、卤素、CN、C3-C12环烷基、C3-C12杂环基取代;和被芳基或杂芳基取代的C1-C6烷基,其中该芳基与该杂芳基任选地被NH2、OC1-C6烷基、C1-C6烷基、C1-C6杂烷基、卤素、CN、C3-C12环烷基、C3-C12杂环基取代;
其中R12选自H、NH2、NHC1-C6烷基、C1-C6烷基、C1-C6杂烷基、C2-C6烯基、C2-C6炔基、C3-C12环烷基和C3-C12杂环基;和药学上可接受的载体。优选地,该药物组合物所包含的式(I)化合物不为4-([1,1'-联苯基]-4-基氧基)-苯胺,更优选地不为6-([1,1’-联苯基]-4-基氧基)-吡啶-3-胺、4-([1,1’-联苯基]-4-基氧基)-苯胺、6-([1,1’-联苯基]-4-基氧基)-2-甲基吡啶-3-胺和6-([1,1’-联苯基]-4-基氧基)-4-甲基吡啶-3-胺。甚至更优选地,该药物组合物所包含的式(I)化合物不为6-(([1,1'-联苯基]-4-基氧基)-吡啶-3-胺、4-([1,1'-联苯基]-4-基氧基)-苯胺、6-([1,1'-联苯基]-4-基氧基)-2-甲基吡啶-3-胺、6-([1,1'-联苯基]-4-基氧基)-4-甲基吡啶-3-胺、4-(4'-甲氧基-联苯-4-基氧基)苯胺、4-(4'-氯代联苯-4-基氧基)苯胺和4-(4'-叔丁基-联苯-4-基氧基)苯胺。特别是该药物组合物所包含的式(I)化合物不为6-(([1,1'-联苯基]-4-基氧基)-吡啶-3-胺、4-([1,1'-联苯基]-4-基氧基)-苯胺、6-([1,1'-联苯基]-4-基氧基)-2-甲基吡啶-3-胺、6-([1,1'-联苯基]-4-基氧基)-4-甲基吡啶-3-胺、4-(4'-甲氧基-联苯-4-基氧基)苯胺、4-(4'-氯代联苯-4-基氧基)苯胺、4-(4'-叔丁基-联苯-4-基氧基)苯胺、4-(4-(噻唑-2-基)苯氧基)苯胺、4-(4-(1H-咪唑-2-基)苯氧基)苯胺、4-(4-(噁唑-2-基)苯氧基)苯胺和4-(4-(1H-吡咯-1-基)苯氧基)苯胺。
另一方面,本发明提供式(I)化合物
其药学上可接受的盐、水合物、溶剂化物,或立体异构体,
其中X选自CH2、CF2、CHF、CO、CHOH、CHO(C1-C3)烷基、NH、N(C1-C3烷基)、S、SO和O;
其中Y1、Y2和Y3各自独立地选自N和C;
其中Z为NR10R11,其中R10与R11各自独立地选自H和C1-C6烷基;
其中R1选自H、卤素、C1-C6烷基、C3-C12环烷基、C3-C12杂环基、C1-C6烷氧基、C1-C6杂烷基、C0-C3烷基OC0-C3烷基芳基,其中该芳基任选地被NH2、OC1-C6烷基、C1-C6烷基、C1-C6杂烷基、卤素、CN、C3-C12环烷基、C3-C12杂环基取代;C0-C3烷基OC0-C3烷基杂芳基,其中该杂芳基任选地被NH2、OC1-C6烷基、C1-C6烷基、C1-C6杂烷基、卤素、CN、C3-C12环烷基、C3-C12杂环基取代;和被芳基或杂芳基取代的C1-C6烷基,其中该芳基与该杂芳基任选地被NH2、OC1-C6烷基、C1-C6烷基、C1-C6杂烷基、卤素、CN、C3-C12环烷基、C3-C12杂环基取代;
其中R2选自芳基和杂芳基,其中该芳基与该杂芳基任选地被NH2、OC1-C6烷基、C1-C6烷基、C1-C6杂烷基、卤素、CN、C3-C12环烷基、C3-C12杂环基、C(O)R12、C1-C6烷基C(O)R12取代;
其中R3选自H、卤素、C1-C6烷基、C1-C6杂烷基、C3-C12环烷基、C3-C12杂环基和C1-C6烷氧基;
其中R4、R5和R6各自独立地选自H、卤素、CN、C1-C6烷氧基、C1-C6-S-烷基、C1-C6烷基、C1-C6杂烷基、C3-C12环烷基和C3-C12杂环基;
其中当Y1为N时R7不存在,或当Y1为C时R7选自H、卤素、C1-C6烷基、C1-C6杂烷基、C3-C12环烷基、C3-C12杂环基和C1-C6烷氧基;
其中当Y3为N时R8不存在,或当Y3为C时R8选自H、卤素、C1-C6烷基、C1-C6杂烷基、C3-C12环烷基、C3-C12杂环基和C1-C6烷氧基;
其中当Y2为N时R9不存在,或当Y2为C时R9选自H、卤素、C1-C6烷基、C3-C12环烷基、C3-C12杂环基、C1-C6烷氧基、C1-C6杂烷基、C0-C3烷基OC0-C3烷基芳基,其中该芳基任选地被NH2、OC1-C6烷基、C1-C6烷基、C1-C6杂烷基、卤素、CN、C3-C12环烷基、C3-C12杂环基取代;C0-C3烷基OC0-C3烷基杂芳基,其中该杂芳基任选地被NH2、OC1-C6烷基、C1-C6烷基、C1-C6杂烷基、卤素、CN、C3-C12环烷基、C3-C12杂环基取代;和被芳基或杂芳基取代的C1-C6烷基,其中该芳基与该杂芳基任选地被NH2、OC1-C6烷基、C1-C6烷基、C1-C6杂烷基、卤素、CN、C3-C12环烷基、C3-C12杂环基取代;
其中R12选自H、NH2、NHC1-C6烷基、C1-C6烷基、C1-C6杂烷基、C2-C6烯基、C2-C6炔基、C3-C12环烷基和C3-C12杂环基,用于预防或治疗癌症的方法中的用途。优选地,该用于预防或治疗癌症的方法中的式(I)化合物不为4-([1,1'-联苯基]-4-基氧基)-苯胺,更优选地不为6-([1,1’-联苯基]-4-基氧基)-吡啶-3-胺、4-([1,1’-联苯基]-4-基氧基)-苯胺、6-([1,1’-联苯基]-4-基氧基)-2-甲基吡啶-3-胺和6-([1,1’-联苯基]-4-基氧基)-4-甲基吡啶-3-胺。甚至更优选地,该用于预防或治疗癌症方法中的式(I)化合物不为6-(([1,1'-联苯基]-4-基氧基)-吡啶-3-胺、4-([1,1'-联苯基]-4-基氧基)-苯胺、6-([1,1'-联苯基]-4-基氧基)-2-甲基吡啶-3-胺、6-([1,1'-联苯基]-4-基氧基)-4-甲基吡啶-3-胺、4-(4'-甲氧基-联苯-4-基氧基)苯胺、4-(4'-氯代联苯-4-基氧基)苯胺和4-(4'-叔丁基-联苯-4-基氧基)苯胺。特别是该用于预防或治疗癌症方法中的式(I)化合物不为6-(([1,1'-联苯基]-4-基氧基)-吡啶-3-胺、4-([1,1'-联苯基]-4-基氧基)-苯胺、6-([1,1'-联苯基]-4-基氧基)-2-甲基吡啶-3-胺、6-([1,1'-联苯基]-4-基氧基)-4-甲基吡啶-3-胺、4-(4'-甲氧基-联苯-4-基氧基)苯胺、4-(4'-氯代联苯-4-基氧基)苯胺、4-(4'-叔丁基-联苯-4-基氧基)苯胺、4-(4-(噻唑-2-基)苯氧基)苯胺、4-(4-(1H-咪唑-2-基)苯氧基)苯胺、4-(4-(噁唑-2-基)苯氧基)苯胺和4-(4-(1H-吡咯-1-基)苯氧基)苯胺。
当R1为C0-C3烷基OC0-C3烷基芳基或C0-C3烷基OC0-C3烷基杂芳基时,该芳基与该杂芳基的任选取代优选在对位。
当R2为芳基或杂芳基时,该任选取代优选在邻位或间位,条件为该取代基不为卤素、OC1-C6烷基或甲基,且当该取代基为卤素、OC1-C6烷基或甲基时,该任选取代优选在对位。
当R9为C0-C3烷基OC0-C3烷基芳基或C0-C3烷基OC0-C3烷基杂芳基时,该芳基及该杂芳基的任选取代优选在对位。
在一个实施方案中,X选自CH2、CF2、CHF、NH、N(C1-C3烷基)、S、SO和O。在另一个实施方案中,X选自CO、CHOH、CHO(C1-C3)烷基、S、SO和O。在优选的实施方案中,X选自CH2、NH和O。在更优选的实施方案中,X选自CH2、CO、CHOH、CHO(C1-C3)烷基、NH和O。在甚至更优选的实施方案中,X选自CH2、CO、CHOH、CHO(C1-C3)烷基和O。在特别优选的实施方案中,X选自CH2、CO、CHOH、CHOCH3和O。在更特别优选的实施方案中,X选自CH2和O。在甚至更特别优选的实施方案中,X为O。
在一个实施方案中,R1选自H、卤素、C1-C6烷基、C1-C6杂烷基、C0-C3烷基OC0-C3烷基芳基,其中该芳基任选地被NH2、C1-C6烷基、C1-C6杂烷基、卤素、CN取代,优选任选地被NH2取代;和C0-C3烷基OC0-C3烷基杂芳基,其中该杂芳基任选地被NH2、OC1-C6烷基、C1-C6烷基、C1-C6杂烷基、卤素、CN、C3-C12环烷基、C3-C12杂环基取代,优选任选地被NH2取代。在另一个实施方案中,R1选自H、卤素、C1-C6烷基、C3-C12环烷基、C3-C12杂环基、C1-C6烷氧基和C1-C6杂烷基。在优选的实施方案中,R1选自H、卤素和C1-C4烷基、C0-C3烷基OC0-C3烷基芳基,其中该芳基任选地被NH2、C1-C6烷基、C1-C6杂烷基、卤素、CN取代,优选任选地被NH2取代;和C0-C3烷基OC0-C3烷基杂芳基,其中该杂芳基任选地被NH2、OC1-C6烷基、C1-C6烷基、C1-C6杂烷基、卤素、CN、C3-C12环烷基、C3-C12杂环基取代,优选任选地被NH2取代。在另一优选的实施方案中,R1选自H、卤素、C1-C6烷基和C1-C6杂烷基。在更优选的实施方案中,R1选自H、C1-C6烷基、C0-C3烷基OC0-C3烷基芳基,其中该芳基任选地被NH2、C1-C6烷基、C1-C6杂烷基、卤素、CN取代,优选任选地被NH2取代;C0-C3烷基OC0-C3烷基杂芳基,其中该杂芳基任选地被NH2、C1-C6烷基、C1-C6杂烷基、卤素、CN取代,优选任选地被NH2取代。在甚至更优选的实施方案中,R1选自H、C1-C4烷基和C0-C3烷基OC0-C3烷基芳基,其中该芳基任选地被NH2、C1-C6烷基、C1-C6杂烷基、卤素、CN取代,优选任选地被NH2取代;C0-C3烷基OC0-C3烷基杂芳基,其中该杂芳基任选地被NH2、OC1-C6烷基、C1-C6烷基、C1-C6杂烷基、卤素、CN、C3-C12环烷基、C3-C12杂环基取代,优选任选地被NH2取代。在另一更优选的实施方案中,R1选自H、卤素和C1-C4烷基。在甚至更优选的实施方案中,R1选自H、甲基、C0-C3烷基OC0-C3烷基芳基,其中该芳基任选地被NH2、C1-C6烷基、C1-C6杂烷基、卤素、CN取代,优选任选地被NH2取代;和C0-C3烷基OC0-C3烷基杂芳基,其中该杂芳基任选地被NH2、OC1-C6烷基、C1-C6烷基、C1-C6杂烷基、卤素、CN、C3-C12环烷基、C3-C12杂环基取代,优选任选地被NH2取代。在另一甚至更优选的实施方案中,R1选自C0-C3烷基OC0-C3烷基芳基,其中该芳基任选地被NH2、OC1-C6烷基、C1-C6烷基、C1-C6杂烷基、卤素、CN、C3-C12环烷基、C3-C12杂环基取代,优选任选地被NH2取代;C0-C3烷基OC0-C3烷基杂芳基,其中该杂芳基任选地被NH2、OC1-C6烷基、C1-C6烷基、C1-C6杂烷基、卤素、CN、C3-C12环烷基、C3-C12杂环基取代,优选任选地被NH2取代;和被芳基或杂芳基取代的C1-C6烷基,其中该芳基和该杂芳基任选地被NH2、OC1-C6烷基、C1-C6烷基、C1-C6杂烷基、卤素、CN、C3-C12环烷基、C3-C12杂环基取代,优选任选地被NH2取代。在另一甚至更优选的实施方案中,R1选自C0-C3烷基OC0-C3烷基芳基,其中该芳基任选地被NH2、OC1-C6烷基、C1-C6烷基、C1-C6杂烷基、卤素、CN、C3-C12环烷基、C3-C12杂环基取代,优选任选地被NH2取代;和C0-C3烷基OC0-C3烷基杂芳基,其中该杂芳基任选地被NH2、OC1-C6烷基、C1-C6烷基、C1-C6杂烷基、卤素、CN、C3-C12环烷基、C3-C12杂环基取代,优选任选地被NH2取代。在另一甚至更优选的实施方案中,R1选自H和甲基。
在一个实施方案中,R2选自芳基和杂芳基,其中该芳基和该杂芳基被选自NH2、OC1-C6烷基、C1-C6烷基、C1-C6杂烷基、卤素、CN、C3-C12环烷基、C3-C12杂环基、C(O)R12和C1-C6烷基C(O)R12的取代基取代。在另一个实施方案中,R2选自芳基和杂芳基,其中该芳基和该杂芳基任选地被NH2、OC1-C6烷基、C1-C6烷基、C1-C6杂烷基、卤素、CN、C(O)R12、C1-C6烷基C(O)R12取代。
在优选的实施方案中,R2选自芳基和杂芳基,其中该芳基和该杂芳基任选地被NH2、C1-C6烷基、C1-C6杂烷基、卤素、CN、C3-C12环烷基、C3-C12杂环基、C(O)R12和C1-C6烷基C(O)R12取代。在更优选的实施方案中,R2选自芳基和杂芳基,其中该芳基和该杂芳基任选地被NH2、C1-C6烷基、C1-C6杂烷基、卤素、CN、C(O)R12、C1-C6烷基C(O)R12取代。在另一更优选的实施方案中,R2选自芳基和杂芳基,其中该芳基和该杂芳基任选地被NH2、C1-C6烷基、C1-C6杂烷基、卤素、CN、C3-C12环烷基、C3-C12杂环基取代。在特别优选的实施方案中,R2选自芳基和杂芳基,其中该芳基和该杂芳基任选地被C1-C6烷基、卤素、C1-C6杂烷基、C(O)R12、C1-C6烷基C(O)R12取代。在另一特别优选的实施方案中,R2选自芳基和杂芳基,其中该芳基和该杂芳基任选地被C1-C6烷基、卤素取代。在另一特别优选的实施方案中,R2选自芳基和杂芳基,其中该芳基和该杂芳基任选地被NH2、卤素、CN取代。在另一特别优选的实施方案中,R2选自芳基和杂芳基,其中该芳基和该杂芳基任选地被C(O)R12、C1-C6烷基C(O)R12取代。在这些特别优选的实施方案中,优选这样的实施方案,其中R2选自芳基和杂芳基,其中该芳基和该杂芳基任选地被C1-C6烷基、卤素、C1-C6杂烷基、C(O)R12、C1-C6烷基C(O)R12取代。在甚至更特别优选的实施方案中,R2选自芳基和杂芳基,其中该芳基和该杂芳基任选地被OC1-C6烷基、C1-C6烷基、C1-C6杂烷基、卤素、C1-C6烷基C(O)R12取代。
在甚至更特别优选的实施方案中,R2选自苯基、吡啶、咪唑和噻唑,各自任选地被NH2、OC1-C6烷基、C1-C6烷基、C1-C6杂烷基、卤素、CN、C(O)R12、C1-C6烷基C(O)R12取代。在另一甚至更特别优选的实施方案中,R2选自苯基、噻唑、吡啶、咪唑和噻唑,各自任选地被NH2、C1-C6烷基、C1-C6杂烷基、卤素、CN、C3-C12环烷基、C3-C12杂环基、C(O)R12、C1-C6烷基C(O)R12取代。在另一甚至更特别优选的实施方案中,R2选自苯基、吡啶、咪唑和噻唑,各自任选地被NH2、C1-C6烷基、C1-C6杂烷基、卤素、CN、C(O)R12、C1-C6烷基C(O)R12取代。在另一甚至更特别优选的实施方案中,R2选自苯基、吡啶、咪唑和噻唑,各自任选地被C1-C6烷基、卤素、C1-C6杂烷基、C(O)R12、C1-C6烷基C(O)R12取代。在另一甚至更特别优选的实施方案中,R2选自苯基、吡啶、咪唑和噻唑,各自任选地被C1-C6烷基、卤素取代。在另一甚至更特别优选的实施方案中,R2选自苯基、吡啶、咪唑和噻唑,各自任选地被NH2、卤素、CN取代。在另一甚至更特别优选的实施方案中,R2选自苯基、吡啶、咪唑和噻唑,各自任选地被C(O)R12、C1-C6烷基C(O)R12取代。在这些甚至更特别优选的实施方案中,优选该实施方案,其中R2选自苯基、吡啶、咪唑和噻唑,各自任选地被C1-C6烷基、卤素、C1-C6杂烷基、C(O)R12、C1-C6烷基C(O)R12取代。在另一甚至更特别优选的实施方案中,R2选自苯基、吡啶、咪唑和噻唑,各自任选地被C1-C6烷基、卤素取代。在另一甚至更特别优选的实施方案中,R2选自苯基、吡啶、咪唑和噻唑,各自任选地被C(O)R12、C1-C6烷基C(O)R12取代。在最特别优选的实施方案中,R2选自苯基、吡啶、咪唑和噻唑,各自任选地被OC1-C6烷基、C1-C6烷基、C1-C6杂烷基、卤素、C1-C6烷基C(O)R12取代。
在优选的实施方案中,R2选自芳基和杂芳基,其中该杂芳基为任选取代的芳香族5或6元单环基团。
在另一优选实施方案中,R2选自芳基和杂芳基,其条件为该杂芳基不为未取代的噻唑、噁唑、咪唑和吡咯。
在另一优选的实施方案中,R2选自芳基和杂芳基,其条件为该杂芳基不为噻唑、噁唑、咪唑和吡咯。
在一个实施方案中,R3选自H、卤素、C1-C6烷基和C3-C12环烷基。在优选的实施方案中,R3选自H、卤素、C1-C4烷基和C3-C7环烷基。在更优选的实施方案中,R3选自H、卤素和C1-C4烷基。在甚至更优选的实施方案中,R3为H。
在一个实施方案中,R4、R5和R6各自独立地选自H、卤素、CN、C1-C6烷基和C1-C6杂烷基。在优选的实施方案中,R4、R5和R6各自独立地选自H、卤素、CN、C1-C4烷基和C1-C4杂烷基。在甚至更优选的实施方案中,R4、R5和R6各自独立地选自H、卤素和C1-C4烷基。在特别优选的实施方案中,R4、R5和R6各自独立地选自H、卤素和甲基。在更特别优选的实施方案中,R4选自H和卤素及/或R5及/或R6选自H和C1-C6烷基,特别是选自H和C1-C4烷基,更特别选自H和甲基。
在一个实施方案中,当Y1为N时R7不存在,或当Y1为C时R7选自H、卤素、C1-C6烷基和C3-C12环烷基。在优选的实施方案中,当Y1为N时R7不存在,或当Y1为C时R7选自H、卤素、C1-C4烷基和C3-C7环烷基。在更优选的实施方案中,当Y1为N时R7不存在,或当Y1为C时R7选自H、卤素和C1-C4烷基,优选Y1为C时R7选自H、卤素和甲基。在甚至更优选的实施方案中,当Y1为N时R7不存在,或当Y1为C时R7选自H、卤素和甲基。在特别优选的实施方案中,当Y1为N时R7不存在,或当Y1为C时R7选自H和卤素。在特别优选的实施方案中,R7不存在。
在一个实施方案中,当Y3为N时R8不存在,或当Y3为C时R8选自H、卤素、C1-C6烷基和C3-C12环烷基。在优选的实施方案中,当Y3为N时R8不存在,或当Y3为C时R8选自H、卤素、C1-C4烷基和C3-C7环烷基。在更优选的实施方案中,当Y3为N时R8不存在,或当Y3为C时R8选自H、卤素和C1-C4烷基,优选当Y3为C时R8选自H、卤素和甲基。在甚至更优选的实施方案中,当Y3为N时R8不存在,或当Y3为C时R8选自H、卤素和甲基。在特别优选的实施方案中,当Y3为N时R8不存在,或当Y3为C时R8选自H和卤素。在特别优选的实施方案中,R8为H。
在一个实施方案中,当Y2为N时R9不存在,或当Y2为C时R9选自H、卤素、C1-C6烷基和C3-C12环烷基。在优选的实施方案中,当Y2为N时R9不存在,或当Y2为C时R9选自H、卤素、C1-C4烷基和C3-C7环烷基。在更优选的实施方案中,当Y2为N时R9不存在,或当Y2为C时R9选自H和C1-C4烷基,优选当Y2为C时R9选自H、卤素和甲基。在甚至更优选的实施方案中,当Y2为N时R9不存在,或当Y2为C时R9选自H、卤素和甲基。在特别优选的实施方案中,当Y2为N时R9不存在,或当Y2为C时R9选自H和卤素,优选为H。
在一个实施方案中,当Y1为N时R7不存在,或当Y1为C时R7选自H、卤素、C1-C6烷基和C3-C12环烷基,优选当Y1为C时R7选自H、卤素和甲基,当Y3为N时R8不存在,或当Y3为C时R8选自H、卤素、C1-C6烷基和C3-C12环烷基,优选当Y3为C时R8选自H、卤素和甲基,和当Y2为N时R9不存在,或当Y2为C时R9选自H、卤素、C1-C6烷基和C3-C12环烷基,优选选自H、卤素和甲基。
在优选的实施方案中,当Y1为N时R7不存在,或当Y1为C时R7选自H和卤素,当Y3为N时R8不存在,或当Y3为C时R8为H,和当Y2为N时R9不存在,或当Y2为C时R9选自H和甲基。
在一个实施方案中,R10和R11至少其中之一为C1-C6烷基,优选为C1-C4烷基,优选为甲基。在优选的实施方案中,R10和R11独立地选自H和甲基。在更优选的实施方案中,R10为H且R11选自H和C1-C4烷基。在甚至更优选的实施方案中,R10为H且R11为H或甲基。在特别优选的实施方案中,R10为H且R11为C1-C6烷基。在更特别优选的实施方案中,R10为H且R11为C1-C4烷基。在甚至更特别优选的实施方案中,R10为H且R11为甲基。
在一个实施方案中,R12选自NH2、NHC1-C6烷基、C1-C6烷基和C1-C6杂烷基。在优选的实施方案中,R12选自NH2、C1-C6烷基和C1-C6杂烷基。在更优选的实施方案中,R12为NH2。
在一个实施方案中,Y1为N。在优选的实施方案中,Y1和Y2各自独立地选自N和C,且Y3为C。在更优选的实施方案中,Y1选自N和C,且Y2和Y3选自N和C,其条件为Y2和Y3其中之一为C。在特别优选的实施方案中,Y1为N且R7不存在,Y2选自N和C,且Y3为C。在特别优选的实施方案中,Y1为N且R7不存在。
在一个实施方案中,至少一个选自R1、R3、R4、R5、R6、R7、R8和R9的取代基不为H。在另一个实施方案中,至少一个选自R1、R3、R8和R9的取代基不为H。
优选的式(I)化合物、药学上可接受的盐、水合物、溶剂化物或立体异构体为那些,
其中X选自CH2、CO、CHOH、CHO(C1-C3)烷基、NH和O,优选选自CH2、CO、CHOH、CHO(C1-C3)烷基和O;
其中Y1、Y2和Y3各自独立地选自N和C,优选为Y1和Y2各自独立地选自N和C,且Y3为C,更优选为Y1为N且R7不存在,Y2选自N和C且Y3为C;
其中Z为NR10R11,其中R10和R11各自独立地选自H和C1-C6烷基;
其中R1选自H、卤素、C1-C6烷基、C3-C12环烷基、C3-C12杂环基、C1-C6烷氧基;C1-C6杂烷基、C0-C3烷基OC0-C3烷基芳基,其中该芳基任选地被NH2、OC1-C6烷基、C1-C6烷基、C1-C6杂烷基、卤素、CN、C3-C12环烷基、C3-C12杂环基取代;C0-C3烷基OC0-C3烷基杂芳基,其中该杂芳基任选地被NH2、OC1-C6烷基、C1-C6烷基、C1-C6杂烷基、卤素、CN、C3-C12环烷基、C3-C12杂环基取代;和被芳基或杂芳基取代的C1-C6烷基,其中该芳基和该杂芳基任选地被NH2、OC1-C6烷基、C1-C6烷基、C1-C6杂烷基、卤素、CN、C3-C12环烷基、C3-C12杂环基取代;
其中R2选自芳基和杂芳基,其中该芳基和该杂芳基任选地被NH2、OC1-C6烷基、C1-C6烷基、C1-C6杂烷基、卤素、CN、C3-C12环烷基、C3-C12杂环基、C(O)R12、C1-C6烷基C(O)R12取代;
其中R3选自H、卤素、C1-C6烷基和C3-C12环烷基;
其中R4、R5和R6各自独立地选自H、卤素、CN、C1-C6烷基和C1-C6杂烷基;
其中当Y1为N时R7不存在,或当Y1为C时R7选自H、卤素、C1-C6烷基和C3-C12环烷基;
其中当Y3为N时R8不存在,或当Y3为C时R8选自H、卤素、C1-C6烷基和C3-C12环烷基;
其中当Y2为N时R9不存在,或当Y2为C时R9选自H、卤素、C1-C6烷基和C3-C12环烷基;和
其中R12选自NH2、NHC1-C6烷基、C1-C6烷基和C1-C6杂烷基。
进一步优选的式(I)化合物、药学上可接受的盐、水合物、溶剂化物,或立体异构体为那些,
其中X选自CH2、CO、CHOH、CHO(C1-C3)烷基、NH和O,优选选自CH2、CO、CHOH、CHO(C1-C3)烷基和O;
其中Y1、Y2和Y3各自独立地选自N和C,优选为Y1和Y2各自独立地选自N和C,且Y3为C,更优选为Y1为N且R7不存在,Y2选自N和C,且Y3为C;
其中Z为NR10R11,其中R10和R11各自独立地选自H和C1-C6烷基;
其中R1选自H、卤素、C1-C6烷基、C3-C12环烷基、C3-C12杂环基、C1-C6烷氧基;C1-C6杂烷基、C0-C3烷基OC0-C3烷基芳基,其中该芳基任选地被NH2、OC1-C6烷基、C1-C6烷基、C1-C6杂烷基、卤素、CN、C3-C12环烷基、C3-C12杂环基取代;C0-C3烷基OC0-C3烷基杂芳基,其中该杂芳基任选地被NH2、OC1-C6烷基、C1-C6烷基、C1-C6杂烷基、卤素、CN、C3-C12环烷基、C3-C12杂环基取代;和被芳基或杂芳基取代的C1-C6烷基,其中该芳基和该杂芳基任选地被NH2、OC1-C6烷基、C1-C6烷基、C1-C6杂烷基、卤素、CN、C3-C12环烷基、C3-C12杂环基取代;
其中R2选自芳基和杂芳基,其中该芳基和该杂芳基任选地被NH2、OC1-C6烷基、C1-C6烷基、C1-C6杂烷基、卤素、CN、C3-C12环烷基、C3-C12杂环基、C(O)R12、C1-C6烷基C(O)R12取代;
其中R3选自H、卤素、C1-C6烷基和C3-C12环烷基;
其中R4、R5和R6各自独立地选自H、卤素、CN、C1-C6烷基和C1-C6杂烷基;
其中当Y1为N时R7不存在,或当Y1为C时R7选自H、卤素、C1-C6烷基和C3-C12环烷基;
其中当Y3为N时R8不存在,或当Y3为C时R8选自H、卤素、C1-C6烷基和C3-C12环烷基;
其中当Y2为N时R9不存在,或当Y2为C时R9选自H、卤素、C1-C6烷基和C3-C12环烷基;和
其中R12选自NH2、NHC1-C6烷基、C1-C6烷基和C1-C6杂烷基;其条件为当R1选自C0-C3烷基OC0-C3烷基芳基,其中该芳基任选地被NH2、OC1-C6烷基、C1-C6烷基、C1-C6杂烷基、卤素、CN、C3-C12环烷基、C3-C12杂环基取代;C0-C3烷基OC0-C3烷基杂芳基,其中该杂芳基任选地被NH2、OC1-C6烷基、C1-C6烷基、C1-C6杂烷基、卤素、CN、C3-C12环烷基、C3-C12杂环基取代;和被芳基或杂芳基取代的C1-C6烷基,其中该芳基和该杂芳基任选地被NH2、OC1-C6烷基、C1-C6烷基、C1-C6杂烷基、卤素、CN、C3-C12环烷基、C3-C12杂环基取代,R2选自芳基和杂芳基,其中该芳基和该杂芳基任选地被NH2、卤素、CN取代,优选为其中该芳基和该杂芳基未被取代。
更优选的式(I)化合物、药学上可接受的盐、水合物、溶剂化物,或立体异构体为那些,
其中X选自CH2、CO、CHOH、CHO(C1-C3)烷基、NH和O,优选选自CH2、CO、CHOH、CHO(C1-C3)烷基和O;
其中Y1、Y2和Y3各自独立地选自N和C,优选为Y1和Y2各自独立地选自N和C,且Y3为C,更优选为Y1为N且R7不存在,Y2选自N和C且Y3为C;
其中Z为NR10R11,其中R10和R11各自独立地选自H和C1-C6烷基;
其中R1选自H、卤素、C1-C6烷基、C3-C12环烷基、C3-C12杂环基、C1-C6烷氧基和C1-C6杂烷基;
其中R2选自芳基和杂芳基,其中该芳基和该杂芳基任选地被NH2、OC1-C6烷基、C1-C6烷基、C1-C6杂烷基、卤素、CN、C3-C12环烷基、C3-C12杂环基、C(O)R12、C1-C6烷基C(O)R12取代;
其中R3选自H、卤素、C1-C6烷基和C3-C12环烷基;
其中R4、R5和R6各自独立地选自H、卤素、CN、C1-C6烷基和C1-C6杂烷基;
其中当Y1为N时R7不存在,或当Y1为C时R7选自H、卤素、C1-C6烷基和C3-C12环烷基;
其中当Y3为N时R8不存在,或当Y3为C时R8选自H、卤素、C1-C6烷基和C3-C12环烷基;
其中当Y2为N时R9不存在,或当Y2为C时R9选自H、卤素、C1-C6烷基和C3-C12环烷基;和
其中R12选自NH2、NHC1-C6烷基、C1-C6烷基和C1-C6杂烷基。
进一步更优选的式(I)化合物、药学上可接受的盐、水合物、溶剂化物,或立体异构体为那些,
其中X选自CH2、CO、CHOH、CHO(C1-C3)烷基、NH和O,优选选自CH2、CO、CHOH、CHO(C1-C3)烷基和O;
其中Y1、Y2和Y3各自独立地选自N和C,优选为Y1和Y2各自独立地选自N和C,且Y3为C,更优选为Y1为N且R7不存在,Y2选自N和C且Y3为C;
其中Z为NR10R11,其中R10和R11各自独立地选自H和C1-C6烷基;
其中R1选自H、卤素、C1-C6烷基、C3-C12环烷基、C3-C12杂环基、C1-C6烷氧基和C1-C6杂烷基;
其中R2选自芳基和杂芳基,其中该芳基和该杂芳基任选地被NH2、OC1-C6烷基、C1-C6烷基、C1-C6杂烷基、卤素、CN、C3-C12环烷基、C3-C12杂环基、C(O)R12、C1-C6烷基C(O)R12取代;
其中R3选自H、卤素、C1-C6烷基和C3-C12环烷基;
其中R4、R5和R6各自独立地选自H、卤素、CN、C1-C6烷基和C1-C6杂烷基;
其中当Y1为N时R7不存在,或当Y1为C时R7选自H、卤素、C1-C6烷基和C3-C12环烷基;
其中当Y3为N时R8不存在,或当Y3为C时R8选自H、卤素、C1-C6烷基和C3-C12环烷基;和
其中当Y2为N时R9不存在,或当Y2为C时R9选自H、卤素、C1-C6烷基和C3-C12环烷基;和
其中R12选自NH2、NHC1-C6烷基、C1-C6烷基和C1-C6杂烷基,其条件为当R2选自芳基和杂芳基,其中该芳基和该杂芳基被C1-C6烷基、卤素、C1-C6杂烷基、C(O)R12、C1-C6烷基C(O)R12取代,R1选自H、卤素、C1-C6烷基和C1-C6杂烷基,优选为H或甲基。
进一步更优选的式(I)化合物、药学上可接受的盐、水合物、溶剂化物,或立体异构体为那些,
其中X选自CH2、CO、CHOH、CHO(C1-C3)烷基、NH和O,优选选自CH2、CO、CHOH、CHO(C1-C3)烷基和O;
其中Y1、Y2和Y3各自独立地选自N和C,优选为Y1和Y2各自独立地选自N和C,且Y3为C,更优选为Y1为N且R7不存在,Y2选自N和C且Y3为C;
其中Z为NR10R11,其中R10和R11各自独立地选自H和C1-C6烷基;
其中R1选自H、卤素、C1-C6烷基、C3-C12环烷基、C3-C12杂环基、C1-C6烷氧基和C1-C6杂烷基;
其中R2选自芳基和杂芳基,其中该芳基和该杂芳基任选地被NH2、C1-C6烷基、C1-C6杂烷基、卤素、CN、C(O)R12、C1-C6烷基C(O)R12取代;
其中R3选自H、卤素、C1-C6烷基和C3-C12环烷基;
其中R4、R5和R6各自独立地选自H、卤素、CN、C1-C6烷基和C1-C6杂烷基;
其中当Y1为N时R7不存在,或当Y1为C时R7选自H、卤素、C1-C6烷基和C3-C12环烷基;
其中当Y3为N时R8不存在,或当Y3为C时R8选自H、卤素、C1-C6烷基和C3-C12环烷基;和
其中当Y2为N时R9不存在,或当Y2为C时R9选自H、卤素、C1-C6烷基和C3-C12环烷基;和
其中R12选自NH2、NHC1-C6烷基、C1-C6烷基和C1-C6杂烷基。
进一步更优选的式(I)化合物、药学上可接受的盐、水合物、溶剂化物或立体异构体为那些,
其中X选自CH2、CO、CHOH、CHO(C1-C3)烷基、NH和O,优选选自CH2、CO、CHOH、CHO(C1-C3)烷基和O;
其中Y1、Y2和Y3各自独立地选自N和C,优选为Y1和Y2各自独立地选自N和C且Y3为C,更优选为Y1为N且R7不存在,Y2选自N和C且Y3为C;
其中Z为NR10R11,其中R10和R11各自独立地选自H和C1-C6烷基;
其中R1选自H、卤素、C1-C6烷基、C3-C12环烷基、C3-C12杂环基、C1-C6烷氧基;C1-C6杂烷基、C0-C3烷基OC0-C3烷基芳基,其中该芳基任选地被NH2、OC1-C6烷基、C1-C6烷基、C1-C6杂烷基、卤素、CN、C3-C12环烷基、C3-C12杂环基取代;C0-C3烷基OC0-C3烷基杂芳基,其中该杂芳基任选地被NH2、OC1-C6烷基、C1-C6烷基、C1-C6杂烷基、卤素、CN、C3-C12环烷基、C3-C12杂环基取代;和被芳基或杂芳基取代的C1-C6烷基,其中该芳基和该杂芳基任选地被NH2、OC1-C6烷基、C1-C6烷基、C1-C6杂烷基、卤素、CN、C3-C12环烷基、C3-C12杂环基取代,优选为其中R1选自H、卤素、C1-C6烷基、C3-C12环烷基、C3-C12杂环基、C1-C6烷氧基;C1-C6杂烷基、C0-C3烷基OC0-C3烷基芳基,其中该芳基任选地被NH2、OC1-C6烷基、C1-C6烷基、C1-C6杂烷基、卤素、CN、C3-C12环烷基、C3-C12杂环基取代;和C0-C3烷基OC0-C3烷基杂芳基,其中该杂芳基任选地被NH2、OC1-C6烷基、C1-C6烷基、C1-C6杂烷基、卤素、CN、C3-C12环烷基、C3-C12杂环基取代;
其中R2选自芳基和杂芳基,其中该芳基和该杂芳基任选地被NH2、卤素、CN取代;
其中R3选自H、卤素和C1-C4烷基;
其中R4、R5和R6各自独立地选自H、卤素和C1-C4烷基;
其中当Y1为N时R7不存在,或当Y1为C时R7选自H、卤素和C1-C4烷基;
其中当Y3为N时R8不存在,或当Y3为C时R8选自H、卤素和C1-C4烷基;和
其中当Y2为N时R9不存在,或当Y2为C时R9选自H、卤素和C1-C4烷基。
甚至更优选的式(I)化合物、药学上可接受的盐、水合物、溶剂化物或立体异构体为那些,
其中X选自CH2、CO、CHOH、CHO(C1-C3)烷基、NH和O,优选选自CH2、CO、CHOH、CHO(C1-C3)烷基和O;
其中Y1、Y2和Y3各自独立地选自N和C,优选为Y1和Y2各自独立地选自N和C且Y3为C,更优选为Y1为N且R7不存在,Y2选自N和C且Y3为C;
其中Z为NR10R11,其中R10和R11各自独立地选自H和C1-C6烷基;
其中R1选自H、卤素、C1-C4烷基和C1-C4杂烷基;
其中R2选自芳基和杂芳基,其中该芳基和该杂芳基任选地被NH2、C1-C6烷基、C1-C6杂烷基、卤素、CN、C(O)R12、C1-C6烷基C(O)R12取代;
其中R3选自H、卤素、C1-C4烷基和C3-C7环烷基;
其中R4、R5和R6各自独立地选自H、卤素、CN、C1-C4烷基和C1-C4杂烷基;
其中当Y1为N时R7不存在,或当Y1为C时R7选自H、卤素、C1-C4烷基和C3-C7环烷基;
其中当Y3为N时R8不存在,或当Y3为C时R8选自H、卤素、C1-C4烷基和C3-C7环烷基;
其中当Y2为N时R9不存在,或当Y2为C时R9选自H、卤素、C1-C4烷基和C3-C7环烷基;和
其中R12选自NH2、NHC1-C6烷基、C1-C6烷基和C1-C6杂烷基。
特别优选的式(I)化合物、药学上可接受的盐、水合物、溶剂化物或立体异构体为那些,
其中X选自CH2、CO、CHOH、CHO(C1-C3)烷基、NH和O,优选选自CH2、CO、CHOH、CHO(C1-C3)烷基和O;
其中Y1、Y2和Y3各自独立地选自N和C,优选为Y1和Y2各自独立地选自N和C且Y3为C,更优选为Y1为N且R7不存在,Y2选自N和C且Y3为C;
其中Z为NR10R11,其中R10和R11各自独立地选自H和C1-C6烷基,优选独立地选自H和甲基,更优选为R10为H且R11为H或甲基;
其中R1选自H、卤素和C1-C4烷基;
其中R2选自芳基和杂芳基,其中该芳基和该杂芳基任选地被C1-C6烷基、C1-C6杂烷基、卤素、C(O)R12、C1-C6烷基C(O)R12取代;
其中R3选自H、卤素和C1-C4烷基;
其中R4、R5和R6各自独立地选自H、卤素和C1-C4烷基;
其中当Y1为N时R7不存在,或当Y1为C时R7选自H、卤素和C1-C4烷基;
其中当Y3为N时R8不存在,或当Y3为C时R8选自H、卤素和C1-C4烷基;
其中当Y2为N时R9不存在,或当Y2为C时R9选自H、卤素和C1-C4烷基;和
其中R12选自NH2、NHC1-C6烷基、C1-C6烷基和C1-C6杂烷基。
进一步特别优选的式(I)化合物、药学上可接受的盐、水合物、溶剂化物或立体异构体为那些,
其中X选自CH2、CO、CHOH、CHO(C1-C3)烷基、NH和O,优选选自CH2、CO、CHOH、CHO(C1-C3)烷基和O;
其中Y1、Y2和Y3各自独立地选自N和C,优选为Y1和Y2各自独立地选自N和C且Y3为C,更优选为Y1为N且R7不存在,Y2选自N和C且Y3为C;
其中Z为NR10R11,其中R10和R11各自独立地选自H和C1-C6烷基,优选独立地选自H和甲基,优选为R10为H且R11为H或甲基;
其中R1选自H、卤素和C1-C4烷基;
其中R2选自芳基和杂芳基,其中该芳基和该杂芳基任选地被C1-C6杂烷基取代;
其中R3选自H、卤素和C1-C4烷基;
其中R4、R5和R6各自独立地选自H、卤素和C1-C4烷基;
其中当Y1为N时R7不存在,或当Y1为C时R7选自H、卤素和C1-C4烷基;
其中当Y3为N时R8不存在,或当Y3为C时R8选自H、卤素和C1-C4烷基;
其中当Y2为N时R9不存在,或当Y2为C时R9选自H、卤素和C1-C4烷基;和
其中R12选自NH2、NHC1-C6烷基、C1-C6烷基和C1-C6杂烷基。
进一步特别优选的式(I)化合物、药学上可接受的盐、水合物、溶剂化物或立体异构体为那些,
其中X选自CH2、CO、CHOH、CHO(C1-C3)烷基、NH和O,优选选自CH2、CO、CHOH、CHO(C1-C3)烷基和O;
其中Y1、Y2和Y3各自独立地选自N和C,优选为Y1和Y2各自独立地选自N和C且Y3为C,更优选为Y1为N且R7不存在,Y2选自N和C且Y3为C;
其中Z为NR10R11,其中R10和R11各自独立地选自H和C1-C6烷基,优选独立地选自H和甲基,优选为R10为H且R11为H或甲基;
其中R1选自H、卤素和C1-C4烷基;
其中R2选自芳基和杂芳基,其中该芳基和该杂芳基任选地被C1-C6烷基、卤素取代;
其中R3选自H、卤素和C1-C4烷基;
其中R4、R5和R6各自独立地选自H、卤素和C1-C4烷基;
其中当Y1为N时R7不存在,或当Y1为C时R7选自H、卤素和C1-C4烷基;
其中当Y3为N时R8不存在,或当Y3为C时R8选自H、卤素和C1-C4烷基;
其中当Y2为N时R9不存在,或当Y2为C时R9选自H、卤素和C1-C4烷基;和
其中R12选自NH2、NHC1-C6烷基、C1-C6烷基和C1-C6杂烷基。
进一步特别优选的式(I)化合物、药学上可接受的盐、水合物、溶剂化物或立体异构体为那些,
其中X选自CH2、CO、CHOH、CHO(C1-C3)烷基、NH和O,优选选自CH2、CO、CHOH、CHO(C1-C3)烷基和O;
其中Y1、Y2和Y3各自独立地选自N和C,优选为Y1和Y2各自独立地选自N和C且Y3为C,更优选为Y1为N且R7不存在,Y2选自N和C且Y3为C;
其中Z为NR10R11,其中R10和R11各自独立地选自H和C1-C6烷基,优选独立地选自H和甲基,优选为R10为H且R11为H或甲基;
其中R1选自H、卤素和C1-C4烷基;
其中R2选自芳基和杂芳基,其中该芳基和该杂芳基任选地被C(O)R12、C1-C6烷基C(O)R12取代;
其中R3选自H、卤素和C1-C4烷基;
其中R4、R5和R6各自独立地选自H、卤素和C1-C4烷基;
其中当Y1为N时R7不存在,或当Y1为C时R7选自H、卤素和C1-C4烷基;
其中当Y3为N时R8不存在,或当Y3为C时R8选自H、卤素和C1-C4烷基;
其中当Y2为N时R9不存在,或当Y2为C时R9选自H、卤素和C1-C4烷基;和
其中R12选自NH2、NHC1-C6烷基、C1-C6烷基和C1-C6杂烷基。
进一步特别优选的式(I)化合物、药学上可接受的盐、水合物、溶剂化物或立体异构体为那些,
其中X选自CH2、CO、CHOH、CHO(C1-C3)烷基、NH和O,优选选自CH2、CO、CHOH、CHO(C1-C3)烷基和O;
其中Y1、Y2和Y3各自独立地选自N和C,优选为Y1和Y2各自独立地选自N和C且Y3为C,更优选为Y1为N且R7不存在,Y2选自N和C且Y3为C;
其中Z为NR10R11,其中R10和R11各自独立地选自H和C1-C6烷基,优选独立地选自H和甲基,优选为R10为H且R11为H或甲基;
其中R1选自C0-C3烷基OC0-C3烷基芳基,其中该芳基任选地被NH2、OC1-C6烷基、C1-C6烷基、C1-C6杂烷基、卤素、CN、C3-C12环烷基、C3-C12杂环基取代,优选任选地被NH2取代;C0-C3烷基OC0-C3烷基杂芳基,其中该杂芳基任选地被NH2、OC1-C6烷基、C1-C6烷基、C1-C6杂烷基、卤素、CN、C3-C12环烷基、C3-C12杂环基取代,优选任选地被NH2取代;和被芳基或杂芳基取代的C1-C6烷基,其中该芳基和该杂芳基任选地被NH2、OC1-C6烷基、C1-C6烷基、C1-C6杂烷基、卤素、CN、C3-C12环烷基、C3-C12杂环基取代,优选任选地被NH2取代,其中R1优选选自C0-C3烷基OC0-C3烷基芳基,其中该芳基任选地被NH2、OC1-C6烷基、C1-C6烷基、C1-C6杂烷基、卤素、CN、C3-C12环烷基、C3-C12杂环基取代,优选任选地被NH2取代;和C0-C3烷基OC0-C3烷基杂芳基,其中该杂芳基任选地被NH2、OC1-C6烷基、C1-C6烷基、C1-C6杂烷基、卤素、CN、C3-C12环烷基、C3-C12杂环基取代,优选任选地被NH2取代;
其中R2选自芳基和杂芳基,其中该芳基和该杂芳基任选地被NH2、卤素、C1-C6烷基、CN取代,优选任选地被卤素、C1-C6烷基取代;
其中R3选自H、卤素和C1-C4烷基;
其中R4、R5和R6各自独立地选自H、卤素和C1-C4烷基;
其中当Y1为N时R7不存在,或当Y1为C时R7选自H、卤素和C1-C4烷基;
其中当Y3为N时R8不存在,或当Y3为C时R8选自H、卤素和C1-C4烷基;和
其中当Y2为N时R9不存在,或当Y2为C时R9选自H、卤素和C1-C4烷基。
优选的式(I)化合物、药学上可接受的盐、水合物、溶剂化物或立体异构体为那些,
其中X选自CH2、NH和O;
其中Y1、Y2和Y3各自独立地选自N和C,优选为Y1和Y2各自独立地选自N和C且Y3为C,更优选为Y1为N且R7不存在,Y2选自N和C且Y3为C;
其中Z为NR10R11,其中R10和R11各自独立地选自H和C1-C6烷基;
其中R1选自H、卤素、C1-C6烷基、C3-C12环烷基、C3-C12杂环基、C1-C6烷氧基;C1-C6杂烷基、C0-C3烷基OC0-C3烷基芳基,其中该芳基任选地被NH2、OC1-C6烷基、C1-C6烷基、C1-C6杂烷基、卤素、CN、C3-C12环烷基、C3-C12杂环基取代;C0-C3烷基OC0-C3烷基杂芳基,其中该杂芳基任选地被NH2、OC1-C6烷基、C1-C6烷基、C1-C6杂烷基、卤素、CN、C3-C12环烷基、C3-C12杂环基取代;和被芳基或杂芳基取代的C1-C6烷基,其中该芳基和该杂芳基任选地被NH2、OC1-C6烷基、C1-C6烷基、C1-C6杂烷基、卤素、CN、C3-C12环烷基、C3-C12杂环基取代;
其中R2选自芳基和杂芳基,其中该芳基和该杂芳基任选地被NH2、OC1-C6烷基、C1-C6烷基、C1-C6杂烷基、卤素、CN、C3-C12环烷基,C3-C12杂环基、C(O)R12、C1-C6烷基C(O)R12取代;
其中R3选自H、卤素、C1-C6烷基和C3-C12环烷基;
其中R4、R5和R6各自独立地选自H、卤素、CN、C1-C6烷基和C1-C6杂烷基;
其中当Y1为N时R7不存在,或当Y1为C时R7选自H、卤素、C1-C6烷基和C3-C12环烷基;
其中当Y3为N时R8不存在,或当Y3为C时R8选自H、卤素、C1-C6烷基和C3-C12环烷基;
其中当Y2为N时R9不存在,或当Y2为C时R9选自H、卤素、C1-C6烷基和C3-C12环烷基;和
其中R12选自NH2、NHC1-C6烷基、C1-C6烷基和C1-C6杂烷基。
进一步优选的式(I)化合物、药学上可接受的盐、水合物、溶剂化物或立体异构体为那些,
其中X选自CH2、NH和O;
其中Y1、Y2和Y3各自独立地选自N和C,优选为Y1和Y2各自独立地选自N和C且Y3为C,更优选为Y1为N且R7不存在,Y2选自N和C且Y3为C;
其中Z为NR10R11,其中R10和R11各自独立地选自H和C1-C6烷基;
其中R1选自H、卤素、C1-C6烷基、C3-C12环烷基、C3-C12杂环基、C1-C6烷氧基;C1-C6杂烷基、C0-C3烷基OC0-C3烷基芳基,其中该芳基任选地被NH2、OC1-C6烷基、C1-C6烷基、C1-C6杂烷基、卤素、CN、C3-C12环烷基、C3-C12杂环基取代;C0-C3烷基OC0-C3烷基杂芳基,其中该杂芳基任选地被NH2、OC1-C6烷基、C1-C6烷基、C1-C6杂烷基、卤素、CN、C3-C12环烷基、C3-C12杂环基取代;和被芳基或杂芳基取代的C1-C6烷基,其中该芳基和该杂芳基任选地被NH2、OC1-C6烷基、C1-C6烷基、C1-C6杂烷基、卤素、CN、C3-C12环烷基、C3-C12杂环基取代;
其中R2选自芳基和杂芳基,其中该芳基和该杂芳基任选地被NH2、OC1-C6烷基、C1-C6烷基、C1-C6杂烷基、卤素、CN、C3-C12环烷基、C3-C12杂环基、C(O)R12、C1-C6烷基C(O)R12取代;
其中R3选自H、卤素、C1-C6烷基和C3-C12环烷基;
其中R4、R5和R6各自独立地选自H、卤素、CN、C1-C6烷基和C1-C6杂烷基;
其中当Y1为N时R7不存在,或当Y1为C时R7选自H、卤素、C1-C6烷基和C3-C12环烷基;
其中当Y3为N时R8不存在,或当Y3为C时R8选自H、卤素、C1-C6烷基和C3-C12环烷基;
其中当Y2为N时R9不存在,或当Y2为C时R9选自H、卤素、C1-C6烷基和C3-C12环烷基;和
其中R12选自NH2、NHC1-C6烷基、C1-C6烷基和C1-C6杂烷基;其条件为当R1选自C0-C3烷基OC0-C3烷基芳基,其中该芳基任选地被NH2、OC1-C6烷基、C1-C6烷基、C1-C6杂烷基、卤素、CN、C3-C12环烷基、C3-C12杂环基取代;C0-C3烷基OC0-C3烷基杂芳基,其中该杂芳基任选地被NH2、OC1-C6烷基、C1-C6烷基、C1-C6杂烷基、卤素、CN、C3-C12环烷基、C3-C12杂环基取代;和被芳基或杂芳基取代的C1-C6烷基,其中该芳基和该杂芳基任选地被NH2、OC1-C6烷基、C1-C6烷基、C1-C6杂烷基、卤素、CN、C3-C12环烷基、C3-C12杂环基取代,R2选自芳基和杂芳基,其中该芳基和该杂芳基任选地被NH2、卤素、CN取代,优选为其中该芳基和该杂芳基未被取代。
更优选的式(I)化合物、药学上可接受的盐、水合物、溶剂化物或立体异构体为那些,
其中X选自CH2、NH和O;
其中Y1、Y2和Y3各自独立地选自N和C,优选为Y1和Y2各自独立地选自N和C且Y3为C,更优选为Y1为N且R7不存在,Y2选自N和C且Y3为C;
其中Z为NR10R11,其中R10和R11各自独立地选自H和C1-C6烷基;
其中R1选自H、卤素、C1-C6烷基、C3-C12环烷基、C3-C12杂环基、C1-C6烷氧基和C1-C6杂烷基;
其中R2选自芳基和杂芳基,其中该芳基和该杂芳基任选地被NH2、OC1-C6烷基、C1-C6烷基、C1-C6杂烷基、卤素、CN、C3-C12环烷基、C3-C12杂环基、C(O)R12、C1-C6烷基C(O)R12取代;
其中R3选自H、卤素、C1-C6烷基和C3-C12环烷基;
其中R4、R5和R6各自独立地选自H、卤素、CN、C1-C6烷基和C1-C6杂烷基;
其中当Y1为N时R7不存在,或当Y1为C时R7选自H、卤素、C1-C6烷基和C3-C12环烷基;
其中当Y3为N时R8不存在,或当Y3为C时R8选自H、卤素、C1-C6烷基和C3-C12环烷基;
其中当Y2为N时R9不存在,或当Y2为C时R9选自H、卤素、C1-C6烷基和C3-C12环烷基;和
其中R12选自NH2、NHC1-C6烷基、C1-C6烷基和C1-C6杂烷基。
进一步更优选的式(I)化合物、药学上可接受的盐、水合物、溶剂化物或立体异构体为那些,
其中X选自CH2、NH和O;
其中Y1、Y2和Y3各自独立地选自N和C,优选为Y1和Y2各自独立地选自N和C且Y3为C,更优选为Y1为N且R7不存在,Y2选自N和C且Y3为C;
其中Z为NR10R11,其中R10和R11各自独立地选自H和C1-C6烷基;
其中R1选自H、卤素、C1-C6烷基、C3-C12环烷基、C3-C12杂环基、C1-C6烷氧基和C1-C6杂烷基;
其中R2选自芳基和杂芳基,其中该芳基和该杂芳基任选地被NH2、OC1-C6烷基、C1-C6烷基、C1-C6杂烷基、卤素、CN、C3-C12环烷基、C3-C12杂环基、C(O)R12、C1-C6烷基C(O)R12取代;
其中R3选自H、卤素、C1-C6烷基和C3-C12环烷基;
其中R4、R5和R6各自独立地选自H、卤素、CN、C1-C6烷基和C1-C6杂烷基;
其中当Y1为N时R7不存在,或当Y1为C时R7选自H、卤素、C1-C6烷基和C3-C12环烷基;
其中当Y3为N时R8不存在,或当Y3为C时R8选自H、卤素、C1-C6烷基和C3-C12环烷基;和
其中当Y2为N时R9不存在,或当Y2为C时R9选自H、卤素、C1-C6烷基和C3-C12环烷基;和
其中R12选自NH2、NHC1-C6烷基、C1-C6烷基和C1-C6杂烷基,其条件为当R2选自芳基和杂芳基,其中该芳基和该杂芳基被C1-C6烷基、卤素、C1-C6杂烷基、C(O)R12、C1-C6烷基C(O)R12取代,R1选自H、卤素、C1-C6烷基和C1-C6杂烷基,优选为H或甲基。
进一步更优选的式(I)化合物、药学上可接受的盐、水合物、溶剂化物或立体异构体为那些,
其中X选自CH2、NH和O;
其中Y1、Y2和Y3各自独立地选自N和C,优选为Y1和Y2各自独立地选自N和C且Y3为C,更优选为Y1为N且R7不存在,Y2选自N和C且Y3为C;
其中Z为NR10R11,其中R10和R11各自独立地选自H和C1-C6烷基;
其中R1选自H、卤素、C1-C6烷基、C3-C12环烷基、C3-C12杂环基、C1-C6烷氧基和C1-C6杂烷基;
其中R2选自芳基和杂芳基,其中该芳基和该杂芳基任选地被NH2、C1-C6烷基、C1-C6杂烷基、卤素、CN、C(O)R12、C1-C6烷基C(O)R12取代;
其中R3选自H、卤素、C1-C6烷基和C3-C12环烷基;
其中R4、R5和R6各自独立地选自H、卤素、CN、C1-C6烷基和C1-C6杂烷基;
其中当Y1为N时R7不存在,或当Y1为C时R7选自H、卤素、C1-C6烷基和C3-C12环烷基;
其中当Y3为N时R8不存在,或当Y3为C时R8选自H、卤素、C1-C6烷基和C3-C12环烷基;和
其中当Y2为N时R9不存在,或当Y2为C时R9选自H、卤素、C1-C6烷基和C3-C12环烷基;和
其中R12选自NH2、NHC1-C6烷基、C1-C6烷基和C1-C6杂烷基。
进一步更优选的式(I)化合物、药学上可接受的盐、水合物、溶剂化物或立体异构体为那些,
其中X选自CH2、NH和O;
其中Y1、Y2和Y3各自独立地选自N和C,优选为Y1和Y2各自独立地选自N和C且Y3为C,更优选为Y1为N且R7不存在,Y2选自N和C且Y3为C;
其中Z为NR10R11,其中R10和R11各自独立地选自H和C1-C6烷基;
其中R1选自H、卤素、C1-C6烷基、C3-C12环烷基、C3-C12杂环基、C1-C6烷氧基;C1-C6杂烷基、C0-C3烷基OC0-C3烷基芳基,其中该芳基任选地被NH2、OC1-C6烷基、C1-C6烷基、C1-C6杂烷基、卤素、CN、C3-C12环烷基、C3-C12杂环基取代;C0-C3烷基OC0-C3烷基杂芳基,其中该杂芳基任选地被NH2、OC1-C6烷基、C1-C6烷基、C1-C6杂烷基、卤素、CN、C3-C12环烷基、C3-C12杂环基取代;和被芳基或杂芳基取代的C1-C6烷基,其中该芳基和该杂芳基任选地被NH2、OC1-C6烷基、C1-C6烷基、C1-C6杂烷基、卤素、CN、C3-C12环烷基、C3-C12杂环基取代,优选为其中R1选自H、卤素、C1-C6烷基、C3-C12环烷基、C3-C12杂环基、C1-C6烷氧基;C1-C6杂烷基、C0-C3烷基OC0-C3烷基芳基,其中该芳基任选地被NH2、OC1-C6烷基、C1-C6烷基、C1-C6杂烷基、卤素、CN、C3-C12环烷基、C3-C12杂环基取代;和C0-C3烷基OC0-C3烷基杂芳基,其中该杂芳基任选地被NH2、OC1-C6烷基、C1-C6烷基、C1-C6杂烷基、卤素、CN、C3-C12环烷基、C3-C12杂环基取代;
其中R2选自芳基和杂芳基,其中该芳基和该杂芳基任选地被NH2、卤素、CN取代;
其中R3选自H、卤素和C1-C4烷基;
其中R4、R5和R6各自独立地选自H、卤素和C1-C4烷基;
其中当Y1为N时R7不存在,或当Y1为C时R7选自H、卤素和C1-C4烷基;
其中当Y3为N时R8不存在,或当Y3为C时R8选自H、卤素和C1-C4烷基;和
其中当Y2为N时R9不存在,或当Y2为C时R9选自H、卤素和C1-C4烷基。
甚至更优选的式(I)化合物、药学上可接受的盐、水合物、溶剂化物或立体异构体为那些,
其中X选自CH2、NH和O,且优选为O;
其中Y1、Y2和Y3各自独立地选自N和C,优选为Y1和Y2各自独立地选自N和C且Y3为C,更优选为Y1为N且R7不存在,Y2选自N和C且Y3为C;
其中Z为NR10R11,其中R10和R11各自独立地选自H和C1-C6烷基;
其中R1选自H、卤素、C1-C4烷基和C1-C4杂烷基;
其中R2选自芳基和杂芳基,其中该芳基和该杂芳基任选地被NH2、C1-C6烷基、C1-C6杂烷基、卤素、CN、C(O)R12、C1-C6烷基C(O)R12取代;
其中R3选自H、卤素、C1-C4烷基和C3-C7环烷基;
其中R4、R5和R6各自独立地选自H、卤素、CN、C1-C4烷基和C1-C4杂烷基;
其中当Y1为N时R7不存在,或当Y1为C时R7选自H、卤素、C1-C4烷基和C3-C7环烷基;
其中当Y3为N时R8不存在,或当Y3为C时R8选自H、卤素、C1-C4烷基和C3-C7环烷基;
其中当Y2为N时R9不存在,或当Y2为C时R9选自H、卤素、C1-C4烷基和C3-C7环烷基;和
其中R12选自NH2、NHC1-C6烷基、C1-C6烷基和C1-C6杂烷基。
特别优选的式(I)化合物、药学上可接受的盐、水合物、溶剂化物或立体异构体为那些,
其中X选自CH2、NH和O,且优选为O;
其中Y1、Y2和Y3各自独立地选自N和C,优选为Y1和Y2各自独立地选自N和C且Y3为C,更优选为Y1为N且R7不存在,Y2选自N和C且Y3为C;
其中Z为NR10R11,其中R10和R11各自独立地选自H和C1-C6烷基,优选独立地选自H和甲基,更优选为R10为H且R11为H或甲基;
其中R1选自H、卤素和C1-C4烷基;
其中R2选自芳基和杂芳基,其中该芳基和该杂芳基任选地被C1-C6烷基、C1-C6杂烷基、卤素、C(O)R12、C1-C6烷基C(O)R12取代;
其中R3选自H、卤素和C1-C4烷基;
其中R4、R5和R6各自独立地选自H、卤素和C1-C4烷基;
其中当Y1为N时R7不存在,或当Y1为C时R7选自H、卤素和C1-C4烷基当Y1为C;
其中当Y3为N时R8不存在,或当Y3为C时R8选自H、卤素和C1-C4烷基;
其中当Y2为N时R9不存在,或当Y2为C时R9选自H、卤素和C1-C4烷基;和
其中R12选自NH2、NHC1-C6烷基、C1-C6烷基和C1-C6杂烷基。
进一步特别优选的式(I)化合物、药学上可接受的盐、水合物、溶剂化物或立体异构体为那些,
其中X选自CH2、NH和O,且优选为O;
其中Y1、Y2和Y3各自独立地选自N和C,优选为Y1和Y2各自独立地选自N和C且Y3为C,更优选为Y1为N且R7不存在,Y2选自N和C且Y3为C;
其中Z为NR10R11,其中R10和R11各自独立地选自H和C1-C6烷基,优选独立地选自H和甲基,优选为R10为H且R11为H或甲基;
其中R1选自H、卤素和C1-C4烷基;
其中R2选自芳基和杂芳基,其中该芳基和该杂芳基任选地被C1-C6杂烷基取代;
其中R3选自H、卤素和C1-C4烷基;
其中R4、R5和R6各自独立地选自H、卤素和C1-C4烷基;
其中当Y1为N时R7不存在,或当Y1为C时R7选自H、卤素和C1-C4烷基;
其中当Y3为N时R8不存在,或当Y3为C时R8选自H、卤素和C1-C4烷基;
其中当Y2为N时R9不存在,或当Y2为C时R9选自H、卤素和C1-C4烷基;和
其中R12选自NH2、NHC1-C6烷基、C1-C6烷基和C1-C6杂烷基。
进一步特别优选的式(I)化合物、药学上可接受的盐、水合物、溶剂化物或立体异构体为那些,
其中X选自CH2、NH和O,且优选为O;
其中Y1、Y2和Y3各自独立地选自N和C,优选为Y1和Y2各自独立地选自N和C且Y3为C,更优选为Y1为N且R7不存在,Y2选自N和C且Y3为C;
其中Z为NR10R11,其中R10和R11各自独立地选自H和C1-C6烷基,优选独立地选自H和甲基,优选为R10为H且R11为H或甲基;
其中R1选自H、卤素和C1-C4烷基;
其中R2选自芳基和杂芳基,其中该芳基和该杂芳基任选地被C1-C6烷基、卤素取代;
其中R3选自H、卤素和C1-C4烷基;
其中R4、R5和R6各自独立地选自H、卤素和C1-C4烷基;
其中当Y1为N时R7不存在,或当Y1为C时R7选自H、卤素和C1-C4烷基;
其中当Y3为N时R8不存在,或当Y3为C时R8选自H、卤素和C1-C4烷基;
其中当Y2为N时R9不存在,或当Y2为C时R9选自H、卤素和C1-C4烷基;和
其中R12选自NH2、NHC1-C6烷基、C1-C6烷基和C1-C6杂烷基。
进一步特别优选的式(I)化合物、药学上可接受的盐、水合物、溶剂化物或立体异构体为那些,
其中X选自CH2、NH和O,且优选为O;
其中Y1、Y2和Y3各自独立地选自N和C,优选为Y1和Y2各自独立地选自N和C且Y3为C,更优选为Y1为N且R7不存在,Y2选自N和C且Y3为C;
其中Z为NR10R11,其中R10和R11各自独立地选自H和C1-C6烷基,优选独立地选自H和甲基,优选为R10为H且R11为H或甲基;
其中R1选自H、卤素和C1-C4烷基;
其中R2选自芳基和杂芳基,其中该芳基和该杂芳基任选地被C(O)R12、C1-C6烷基C(O)R12取代;
其中R3选自H、卤素和C1-C4烷基;
其中R4、R5和R6各自独立地选自H、卤素和C1-C4烷基;
其中当Y1为N时R7不存在,或当Y1为C时R7选自H、卤素和C1-C4烷基;
其中当Y3为N时R8不存在,或当Y3为C时R8选自H、卤素和C1-C4烷基;
其中当Y2为N时R9不存在,或当Y2为C时R9选自H、卤素和C1-C4烷基;和
其中R12选自NH2、NHC1-C6烷基、C1-C6烷基和C1-C6杂烷基。
进一步特别优选的式(I)化合物、药学上可接受的盐、水合物、溶剂化物或立体异构体为那些,
其中X选自CH2、NH和O,且优选为O;
其中Y1、Y2和Y3各自独立地选自N和C,优选为Y1和Y2各自独立地选自N和C且Y3为C,更优选为Y1为N且R7不存在,Y2选自N和C且Y3为C;
其中Z为NR10R11,其中R10和R11各自独立地选自H和C1-C6烷基,优选独立地选自H和甲基,优选为R10为H且R11为H或甲基;
其中R1选自C0-C3烷基OC0-C3烷基芳基,其中该芳基任选地被NH2、OC1-C6烷基、C1-C6烷基、C1-C6杂烷基、卤素、CN、C3-C12环烷基、C3-C12杂环基取代,优选任选地被NH2取代;C0-C3烷基OC0-C3烷基杂芳基,其中该杂芳基任选地被NH2、OC1-C6烷基、C1-C6烷基、C1-C6杂烷基、卤素、CN、C3-C12环烷基、C3-C12杂环基取代,优选任选地被NH2取代;和被芳基或杂芳基取代的C1-C6烷基,其中该芳基和该杂芳基任选地被NH2、OC1-C6烷基、C1-C6烷基、C1-C6杂烷基、卤素、CN、C3-C12环烷基、C3-C12杂环基取代,优选任选地被NH2取代,其中R1优选选自C0-C3烷基OC0-C3烷基芳基,其中该芳基任选地被NH2、OC1-C6烷基、C1-C6烷基、C1-C6杂烷基、卤素、CN、C3-C12环烷基、C3-C12杂环基取代,优选任选地被NH2取代;和C0-C3烷基OC0-C3烷基杂芳基,其中该杂芳基任选地被NH2、OC1-C6烷基、C1-C6烷基、C1-C6杂烷基、卤素、CN、C3-C12环烷基、C3-C12杂环基取代,优选任选地被NH2取代;
其中R2选自芳基和杂芳基,其中该芳基和该杂芳基任选地被NH2、卤素、C1-C6烷基、CN取代;优选任选被卤素、C1-C6烷基取代;
其中R3选自H、卤素和C1-C4烷基;
其中R4、R5和R6各自独立地选自H、卤素和C1-C4烷基;
其中当Y1为N时R7不存在,或当Y1为C时R7选自H、卤素和C1-C4烷基;
其中当Y3为N时R8不存在,或当Y3为C时R8选自H、卤素和C1-C4烷基;和
其中当Y2为N时R9不存在,或当Y2为C时R9选自H、卤素和C1-C4烷基。
进一步特别优选的式(I)化合物、药学上可接受的盐、水合物、溶剂化物或立体异构体为那些,
其中X选自CH2、CO、CHOH、CHO(C1-C3)烷基、NH和O;
其中Y1、Y2和Y3各自独立地选自N和C;
其中Z为NR10R11,其中R10和R11各自独立地选自H和C1-C6烷基;
其中R1选自H、卤素、C1-C6烷基、C3-C12环烷基、C3-C12杂环基、C1-C6烷氧基和C1-C6杂烷基;
其中R2选自芳基和杂芳基,其中该芳基和该杂芳基任选地被NH2、OC1-C6烷基、C1-C6烷基、C1-C6杂烷基、卤素、CN、C3-C12环烷基、C3-C12杂环基、C(O)R12、C1-C6烷基C(O)R12取代;
其中R3选自H、卤素、C1-C6烷基和C3-C12环烷基;
其中R4、R5和R6各自独立地选自H、卤素、CN、C1-C6烷基和C1-C6杂烷基;
其中当Y1为N时R7不存在,或当Y1为C时R7选自H、卤素、C1-C6烷基和C3-C12环烷基;
其中当Y3为N时R8不存在,或当Y3为C时R8选自H、卤素、C1-C6烷基和C3-C12环烷基;
其中当Y2为N时R9不存在,或当Y2为C时R9选自H、卤素、C1-C6烷基和C3-C12环烷基;和
其中R12选自NH2、NHC1-C6烷基、C1-C6烷基和C1-C6杂烷基。
更特别优选的式(I)化合物、药学上可接受的盐、水合物、溶剂化物或立体异构体为那些,
其中X选自CH2、CO、CHOH、CHO(C1-C3)烷基、NH和O;
其中Y1、Y2和Y3各自独立地选自N和C;
其中Z为NR10R11,其中R10和R11各自独立地选自H和C1-C6烷基;
其中R1选自H、卤素、C1-C6烷基、C3-C12环烷基、C3-C12杂环基、C1-C6烷氧基、C1-C6杂烷基、C0-C3烷基OC0-C3烷基芳基,其中该芳基任选地被NH2、OC1-C6烷基、C1-C6烷基、C1-C6杂烷基、卤素、CN、C3-C12环烷基、C3-C12杂环基取代;C0-C3烷基OC0-C3烷基杂芳基,其中该杂芳基任选地被NH2、OC1-C6烷基、C1-C6烷基、C1-C6杂烷基、卤素、CN、C3-C12环烷基、C3-C12杂环基取代;和被芳基或杂芳基取代的C1-C6烷基,其中该芳基和该杂芳基任选地被NH2、OC1-C6烷基、C1-C6烷基、C1-C6杂烷基、卤素、CN、C3-C12环烷基、C3-C12杂环基取代;
其中R2选自芳基和杂芳基,其中该芳基和该杂芳基任选地被NH2、OC1-C6烷基、C1-C6烷基、C1-C6杂烷基、卤素、CN、C3-C12环烷基、C3-C12杂环基、C(O)R12、C1-C6烷基C(O)R12取代;
其中R3选自H、卤素、C1-C6烷基和C3-C12环烷基;
其中R4、R5和R6各自独立地选自H、卤素、CN、C1-C6烷基和C1-C6杂烷基;
其中当Y1为N时R7不存在,或当Y1为C时R7选自H、卤素、C1-C6烷基和C3-C12环烷基;
其中当Y3为N时R8不存在,或当Y3为C时R8选自H、卤素、C1-C6烷基和C3-C12环烷基;
其中当Y2为N时R9不存在,或当Y2为C时R9选自H、卤素、C1-C6烷基和C3-C12环烷基;和
其中R12选自NH2、NHC1-C6烷基、C1-C6烷基和C1-C6杂烷基。
进一步更特别优选的式(I)化合物、药学上可接受的盐、水合物、溶剂化物或立体异构体为那些,
其中X选自CH2、CO、CHOH、CHO(C1-C3)烷基、NH和O;
其中Y1为N且R7不存在,Y2选自N和C,且Y3为C;
其中Z为NR10R11,其中R10和R11各自独立地选自H和C1-C6烷基;
其中R1选自H、卤素、C1-C6烷基、C3-C12环烷基、C3-C12杂环基、C1-C6烷氧基、C1-C6杂烷基、C0-C3烷基OC0-C3烷基芳基,其中该芳基任选地被NH2、OC1-C6烷基、C1-C6烷基、C1-C6杂烷基、卤素、CN、C3-C12环烷基、C3-C12杂环基取代;C0-C3烷基OC0-C3烷基杂芳基,其中该杂芳基任选地被NH2、OC1-C6烷基、C1-C6烷基、C1-C6杂烷基、卤素、CN、C3-C12环烷基、C3-C12杂环基取代;和被芳基或杂芳基取代的C1-C6烷基,其中该芳基和该杂芳基任选地被NH2、OC1-C6烷基、C1-C6烷基、C1-C6杂烷基、卤素、CN、C3-C12环烷基、C3-C12杂环基取代;
其中R2选自芳基和杂芳基,其中该芳基和该杂芳基任选地被NH2、OC1-C6烷基、C1-C6烷基、C1-C6杂烷基、卤素、CN、C3-C12环烷基、C3-C12杂环基、C(O)R12、C1-C6烷基C(O)R12取代;
其中R3选自H、卤素、C1-C6烷基和C3-C12环烷基;
其中R4、R5和R6各自独立地选自H、卤素、CN、C1-C6烷基和C1-C6杂烷基;
其中R8选自H、卤素、C1-C6烷基和C3-C12环烷基;
其中当Y2为N时R9不存在,或当Y2为C时R9选自H、卤素、C1-C6烷基和C3-C12环烷基;和
其中R12选自NH2、NHC1-C6烷基、C1-C6烷基和C1-C6杂烷基。
进一步更特别优选的式(I)化合物、药学上可接受的盐、水合物、溶剂化物或立体异构体为那些,
其中X选自CH2、CO、CHOH、CHO(C1-C3)烷基、NH和O;
其中Y1、Y2和Y3各自独立地选自N和C;
其中Z为NR10R11,其中R10和R11各自独立地选自H和C1-C6烷基;
其中R1选自H、C1-C6烷基、C0-C3烷基OC0-C3烷基芳基,其中该芳基任选地被NH2取代;C0-C3烷基OC0-C3烷基杂芳基,其中该杂芳基任选地被NH2取代;
其中R2选自芳基和杂芳基,其中该芳基和该杂芳基任选地被OC1-C6烷基、C1-C6烷基、C1-C6杂烷基、卤素、C1-C6烷基C(O)R12取代;
其中R3为H;
其中R4选自H和卤素;
其中R5和R6各自独立地选自H和C1-C6烷基;
其中当Y1为N时R7不存在,或当Y1为C时R7为H;
其中当Y3为N时R8不存在,或当Y3为C时R8为H;
其中当Y2为N时R9不存在,或当Y2为C时R9为H;和
其中R12为NH2。
进一步更特别优选的式(I)化合物、药学上可接受的盐、水合物、溶剂化物或立体异构体为那些,
其中X选自CH2、CO、CHOH、CHO(C1-C3)烷基、NH和O;
其中Y1为N且R7不存在,Y2选自N和C且Y3为C;
其中Z为NR10R11,其中R10和R11各自独立地选自H和C1-C6烷基;
其中R1选自H、C1-C6烷基、C0-C3烷基OC0-C3烷基芳基,其中该芳基任选地被NH2取代;C0-C3烷基OC0-C3烷基杂芳基,其中该杂芳基任选地被NH2取代;
其中R2选自芳基和杂芳基,其中该芳基和该杂芳基任选地被OC1-C6烷基、C1-C6烷基、C1-C6杂烷基、卤素、C1-C6烷基C(O)R12取代;
其中R3为H;
其中R4选自H和卤素;
其中R5和R6各自独立地选自H和C1-C6烷基;
其中R8为H;
其中当Y2为N时R9不存在,或当Y2为C时R9为H;和
其中R12为NH2。
进一步更特别优选的式(I)化合物、药学上可接受的盐、水合物、溶剂化物或立体异构体为那些,
其中X选自CH2、CO、CHOH、CHO(C1-C3)烷基、NH和O;
其中Y1、Y2和Y3各自独立地选自N和C;
其中Z为NR10R11,其中R10和R11各自独立地选自H和C1-C6烷基;
其中R1选自H和C1-C6烷基;
其中R2选自芳基和杂芳基,其中该芳基和该杂芳基任选地被OC1-C6烷基、C1-C6烷基、C1-C6杂烷基、卤素、C1-C6烷基C(O)R12取代;
其中R3为H;
其中R4选自H和卤素;
其中R5和R6各自独立地选自H和C1-C6烷基;
其中当Y1为N时R7不存在,或当Y1为C时R7为H;
其中当Y3为N时R8不存在,或当Y3为C时R8为H;
其中当Y2为N时R9不存在,或当Y2为C时R9为H;和
其中R12为NH2。
进一步更特别优选的式(I)化合物、药学上可接受的盐、水合物、溶剂化物或立体异构体为那些,
其中X选自CH2、CO、CHOH、CHO(C1-C3)烷基、NH和O;
其中Y1为N且R7不存在,Y2选自N和C,且Y3为C;
其中Z为NR10R11,其中R10和R11各自独立地选自H和C1-C6烷基;
其中R1选自H和C1-C6烷基;
其中R2选自芳基和杂芳基,其中该芳基和该杂芳基任选地被OC1-C6烷基、C1-C6烷基、C1-C6杂烷基、卤素、C1-C6烷基C(O)R12取代;
其中R3为H;
其中R4选自H和卤素;
其中R5和R6各自独立地选自H和C1-C6烷基;
其中R8为H;
其中当Y2为N时R9不存在,或当Y2为C时R9为H;和
其中R12为NH2。
进一步更特别优选的式(I)化合物的药学上可接受的盐、水合物、溶剂化物,或立体异构体为那些,
其中X选自CH2、CO、CHOH、CHO(C1-C3)烷基、NH和O;
其中Y1、Y2和Y3各自独立地选自N和C;
其中Z为NR10R11,其中R10和R11各自独立地选自H和C1-C6烷基;
其中R1选自C0-C3烷基OC0-C3烷基芳基,其中该芳基任选地被NH2、OC1-C6烷基、C1-C6烷基、C1-C6杂烷基、卤素、CN、C3-C12环烷基、C3-C12杂环基取代;和C0-C3烷基OC0-C3烷基杂芳基,其中该杂芳基任选地被NH2、OC1-C6烷基、C1-C6烷基、C1-C6杂烷基、卤素、CN、C3-C12环烷基、C3-C12杂环基取代;
其中R2选自芳基和杂芳基,其中该芳基和该杂芳基任选地被NH2、卤素、C1-C6烷基、CN取代;
其中R3选自H、卤素和C1-C4烷基;
其中R4、R5和R6各自独立地选自H、卤素和C1-C4烷基;
其中当Y1为N时R7不存在,或当Y1为C时R7选自H、卤素和C1-C4烷基;
其中当Y3为N时R8不存在,或当Y3为C时R8选自H、卤素和C1-C4烷基;和
其中当Y2为N时R9不存在,或当Y2为C时R9选自H、卤素和C1-C4烷基。
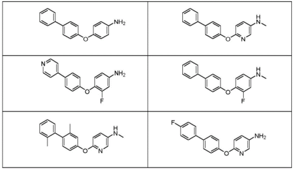
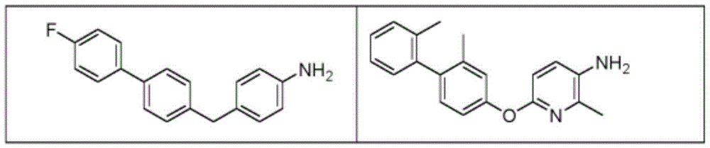
式(I)化合物中甚至更特别优选的化合物选自下组:
式(I)化合物中进一步甚至更特别优选的化合物选自下组:
式(I)化合物中进一步甚至更特别优选的化合物选自下组:
式(I)化合物中进一步甚至更特别优选的化合物选自下组:
式(I)化合物中进一步甚至更特别优选的化合物选自下组:
式(I)化合物中进一步甚至更特别优选的化合物选自下组:
式(I)化合物中最特别优选的化合物选自下组:
更特别优选的式(I)化合物、其药学上可接受的盐、水合物、溶剂化物或立体异构体选自下组:
更进一步特别优选的式(I)化合物、其药学上可接受的盐、水合物、溶剂化物或立体异构体选自下组:
所使用的式(I)化合物中进一步更特别优选的化合物和包含式(I)化合物的该药物组合物,选自下组:
所使用的式(I)化合物中进一步更特别优选的化合物和包含式(I)化合物的该药物组合物,选自下组:
化合物制备
本发明化合物可通过以下反应方案中描述的示例性方法或实施例中描述的方法来制备。这些反应的示例性试剂及方法在下文中出现。起始材料可由本领域普通技术人员购买或轻易制备而得。
方案1:X=NH、N(C1-C3-烷基)、S和O
方案1中描述二芳基氨基、二芳基醚和二芳基硫醚类似物的合成:在升高的温度下、在碱存在下、在极性溶剂中,使式(II)的各自氨基芳基部分(X=NH,最终被单烷基化)与式(III)的卤代硝基芳基前体反应。优选地,该溶剂为DMSO与醇类如tBuOH的混合物。可以使用tBuOK之类的醇化物作为碱。反应温度介于室温至150℃之间,优选介于60至110℃之间。在碱存在下、在极性溶剂中,使式(II)的各自羟基-或巯基-芳基部分(X=O、S)与式(III)的卤代硝基-芳基前体反应。优选的反应条件为在室温下、在DMF中、以碳酸盐为碱。最后,在Béchamp条件下或通过催化氢化反应,可将式(IV)的硝基官能团还原为式(V)的相应胺。优选的Béchamp条件为在超声处理下、在EtOH、H2O和AcOH的混合物中的Fe粉末。催化氢化作用可在Pd/C存在下、在极性溶剂如醇中进行。或者,通过将式(VI)的卤素取代为式(VII)的含X的芳基部分,可以获得式(VIII)的目标化合物(Y3=N),最终存在保护基团(PG)。优选的条件为以磷酸盐作为碱,在非极性芳香族溶剂中,在二茂铁基催化下,100至150℃[参见Advanced Synthesis&Catalysis 353(2011年),3403]。
方案2:
方案2描述式(V)的氨基衍生物的还原烷基化:优选的方法为在弱酸如醋酸存在下,在极性溶剂如醇中搅拌式(V)的胺和相应的醛。然后加入还原剂如NaBH3CN。进行基本后处理,最终得到式(IX)的化合物。或者,在碱如三乙胺的存在下,在非极性溶剂如二氯甲烷中将式(V)的胺及醛混合。然后加入还原剂如NaBH(OAc)3。水性后处理最终产生式(IX)的化合物。式(IX;R=H)的N-甲基化衍生物由式(V)的化合物与多聚甲醛在MeOH中以MeONa作为碱、然后以NaBH4还原并进行水性后处理而获得。
方案3:X=CH2、CF2、CHF、CHOH、CHOAlk、CO
方案3说明碳桥联类似物(X=CH2、CF2、CHF、CHOH、CHOAlk、CO)的合成:式(X)的卤素-芳基部分通过过渡金属复合物的催化、以去羧方式与式(XI)的芳基醋酸酯偶联,得到式(XII)的硝基衍生物。优选的条件为在非极性溶剂中、在升高的温度下、以XPhos/Pd2(烯丙基)2Cl2作为催化剂。式(XII)的亚甲基桥(X=CH2)可被氧化为式(XIV)的相应二芳基酮。优选的条件为氧气作为试剂,在升高的温度下,在醋酸及DMSO混合物中,由FeCl2·(H2O)4催化[类似于Angew.Chem.Int.Ed.51(2012年),2745]。式(XIV)的羰基的还原作用得到式(XVII)的苄醇。优选的还原剂可为硼氢化钠。或者,可通过将式(XV)的硼酸酯与式(XVI)的芳基-醛交叉偶联获得式(XVII)的苄醇。在非质子极性溶剂中、在强碱(例如NaH)存在下,将式(XVII)的化合物用碘化烷基进行烷基化,得到式(XVIII)的烷氧基衍生物[类似于US5965740中的实施例2]。式(XIX)的单氟衍生物可通过式(XII)化合物的氧化氟化或在式(XVII)化合物中的羟基取代而获得。氧化氟化可以在升高的温度、在极性溶剂中、在雅各布布森·萨利烯复合物(Jacobsen salene complex)、碘基苯(iodosylbenzene)、碱、三(氟化氢)的条件下进行[J.Am.Chem.Soc.136(2014年),6842]。通过应用以下条件可以实现苄基羟基被氟的取代:例如在二氯甲烷中,在双(1,5-环辛二烯)四氟硼酸铑(I)存在下,以三氯乙酰亚胺、1,8-二氮杂双环[5.4.0]十一碳-7-烯活化,接着在略微升高的温度下,使用在F3C-C6H5与四氢呋喃的混合物中的三乙胺三(氟化氢)[Tetrahedron 71(2015年),5932]。可在升高的温度下以[双(2-甲氧基乙基)氨基]-三氟化硫将式(XIV)的酮衍生物转化为式(XX)的二氟亚甲基衍生物[类似于US2015246938步骤2,化合物76的制备;第55页]。最后,如方案1中所述,可将式(XII)、(XIV)和(XVII)-(XX)的化合物的硝基还原为各自的氨基衍生物。
立体异构体
本发明的化合物可以立体异构体的形式存在,其中存在不对称或手性中心。根据手性碳原子周围取代基的构型,这些化合物以符号“R”或“S”表示。本发明涵盖各种立体异构体及其混合物。立体异构体包括对映异构体和非对映异构体和对映异构体或非对映异构体的混合物。本发明化合物的各个立体异构体可由含有不对称或手性中心的市售起始原料合成,或通过制备外消旋混合物、然后通过本领域普通技术人员熟知的拆分而制备。这些拆分的方法示例如下:(1)将对映体混合物连接到手性助剂上,通过再结晶或色谱法分离所得非对映体混合物,并从该助剂中释放出光学纯的产物,(2)使用旋光拆分剂形成盐,或(3)在手色谱柱上直接分离旋光对映体混合物。
几何异构体也可存在于本发明的化合物中。本发明考虑了由碳-碳双键周围的取代基的排列或碳环周围的取代基的排列产生的各种几何异构体及其混合物。
本发明的化合物也可以以外消旋体形式存在,其被赋予描述符号“rac”。本文所用的术语外消旋体是指一对对映异构体的等摩尔混合物。当合成导致生成立体中心时,通常形成外消旋体。如本文所用,术语外消旋混合物是指外消旋体。本发明的化合物亦可以以非对映异构的内消旋形式存在,其被赋予描述符号“rel”。如本文所用,术语非对映异构内消旋体形式是指具有伪立体C原子的非手性形式,其分别被赋予描述符号“r”或“s”。
盐类
本发明的化合物可以以衍生自无机或有机酸的药学上可接受的盐形式使用。“药学上可接受的盐”是指在合理的医学判断范围内,适合与人类和低等动物的组织接触而没有过度的毒性、刺激性、过敏反应等的盐类,且与合理的收益/风险比相称。药学上可接受的盐为本领域所熟知。这些盐类可在本发明化合物的最终分离及纯化过程中原位制备,或者通过使游离碱官能团与适合的酸反应而分别制备。
代表性的酸加成盐类包括但不限于三氟醋酸(TFA)、醋酸盐、己二酸、藻酸盐、柠檬酸盐、天冬胺酸盐、苯甲酸盐、苯磺酸酯、硫酸氢盐、丁酸盐、樟脑酸盐、樟脑磺酸盐、二葡萄糖酸酯、甘油磷酸酯、半硫酸盐、庚酸盐、己酸盐、延胡索酸盐、盐酸盐、氢溴酸盐、氢碘化物、2-羟基乙烷磺酸盐(羟乙基磺酸盐)、乳酸盐、顺丁烯二酸盐、甲磺酸盐、烟酸盐、2-萘磺酸盐、草酸盐、双羟萘酸盐、果胶酯酸盐、过硫酸盐、3-苯基丙酸酯、苦味酸盐、特戊酸盐、丙酸盐、琥珀酸盐、酒石酸盐、硫氰酸盐、磷酸盐、谷氨酸盐、碳酸氢盐、对甲苯磺酸盐和十一碳酸盐。此外,碱性含氮基团可以用例如低级烷基卤化物试剂进行季铵化,例如甲基、乙基、丙基和丁基氯化物、溴化物与碘化物;硫酸二烷基酯,例如二甲基、二乙基、二丁基和二戊基硫酸酯;长链卤化物,例如癸基、月桂基、肉荳蔻基和硬脂基氯化物、溴化物和碘化物;芳烷基卤化物,例如苄基与苯乙基溴化物等。由此获得水溶性或油溶性或分散性产物。可用于形成药学上可接受的酸加成盐的酸的实例包括无机酸例如盐酸、氢溴酸、硫酸与磷酸和有机酸如草酸、顺丁烯二酸、琥珀酸和柠檬酸。
碱性加成盐类可在本发明化合物的最终分离及纯化过程中原位制备,通过使含羧酸的部分与适合的碱反应,例如药学上可接受的金属阳离子的氢氧化物、碳酸盐或碳酸氢盐,或与氨或有机伯、仲或叔胺反应。药学上可接受的碱性加成盐类包括但不限于基于碱金属或碱土金属的阳离子如锂、钠、钾、钙、镁和铝的盐等,和无毒的季铵和胺阳离子,包括铵、四甲基铵、四乙铵、甲胺、二甲胺、三甲胺、三乙胺、二乙胺、乙胺等。可用于形成碱加成盐的其他代表性有机胺包括乙二胺、乙醇胺、二乙醇胺、哌啶、哌嗪等。
溶剂化物/水合物
应当理解的是,根据式(I)的化合物的溶剂化物及水合物也在本发明范围内。溶剂化作用的方法为本领域所熟知。本发明另一个实施方案还可包括与式(I)化合物相同的化合物,除了一个或多个原子被原子质量数或质量与自然界中通常发现的原子质量数或质量不同的原子代替之外,例如富含2H(D)、3H、13C、127I等的化合物。这些同位素类似物及其药用盐类和制剂被认为在治疗及/或诊断中为有用的试剂,例如但不限于体内半衰期的微调可以导致优化的剂量方案。
药物组合物
另一方面,本发明提供药物组合物,包含根据本发明的式(I)化合物和药学上可接受的稀释剂、赋形剂或载体。
在一个实施方案中,该药物组合物进一步包含另一种药物活性剂。
在一个实施方案中,本发明提供药物组合物,包含根据本发明的式(I)化合物和药学上可接受的稀释剂、赋形剂或载体,其中该式(I)化合物以治疗有效量存在。
制剂及施用方式:
根据本发明,本发明的化合物可以以单剂量或分剂量、通过口服、肠胃外、吸入、直肠或局部给药,包括皮肤、眼、黏膜头皮(mucosal scalp)、舌下、颊和鼻内给药途径;此外,本发明提供的化合物可配制用于离体及体外处理白血球群体。
当例如通过口服途径施用本发明化合物时,其可以以药物组合物的形式作为药物施用,该药物组合物包含该化合物与药学上可接受的稀释剂、赋形剂或载体材料。因此,本发明还提供药物组合物,包含如上所述根据本发明的化合物和一种或多种药学上可接受的稀释剂、赋形剂或载体。可以以常规方式制备该药物组合物,且最终剂型可为固体剂型,例如片剂、糖衣丸、胶囊等,或液体剂型,例如溶液剂、混悬剂、乳剂等。药学上可接受的稀释剂、赋形剂或载体包括无菌水溶液或分散液和用于临时制备无菌注射溶液或分散液的无菌粉末。此类介质及试剂用于药物活性物质的用途为本领域熟知。在一个实施方案中,本发明提供药物组合物,包含根据本发明的式(I)化合物和至少一种药学上可接受的稀释剂、赋形剂或载体,其中该组合物为片剂或胶囊,优选为片剂。
给药方案
示例性的治疗方案需要每天一次、每天两次、每天三次、隔天一次、每周两次、每周一次给药。本发明的组合物通常在多种场合下施用。单一剂量之间的间隔可为例如少于一天、每天、每隔一天、每周两次,或每周一次。本发明的组合物的给予可作为连续不间断的治疗。在示例性治疗方案中,本发明的式(I)化合物可每天施用0.1-100mg。
治疗用途
如上所述根据本发明的化合物在人类及兽医疾病中具有预防及治疗用途。
因此,另一方面,本发明提供本文所述化合物和本文所述药物组合物用于预防及/或治疗目的的用途。在本发明的一个实施方案中,如本文所述根据本发明的化合物或如本文所述的药物组合物可作为药物,优选用于人用药物及/或兽用药物。因此,本发明提供用作药物的如本文所述的根据本发明的化合物或如本文所述的药物组合物。
另一方面,本发明还提供用于预防或治疗癌症的方法的本发明的化合物或本发明的药物组合物。还提供用于治疗及/或预防癌症的方法,该方法包括对有此需要的受试者施用本发明的化合物或本发明的药物组合物。还提供本发明的化合物或本发明的药物组合物在制备用于治疗及/或预防受试者中的癌症的药物中的用途。还提供本发明的化合物或本发明的药物组合物在治疗及/或预防受试者的癌症中的用途。
所要预防或治疗的癌症最好为Notch依赖性癌症,更优选地,Notch依赖性癌症选自下组:腺样囊状癌(ACC)、T细胞急性淋巴细胞白血病(T-ALL)、慢性骨髓性白血病(CML)、慢性淋巴球性白血病(CLL)、套细胞淋巴瘤(MCL)、乳腺癌、胰腺癌、前列腺癌、黑色素瘤、脑瘤、肿瘤血管生成、肝癌和结直肠癌。优选地,本发明的化合物还可用于治疗Notch依赖性癌症对γ-分泌酶抑制剂治疗有抗性的癌症。可以通过Notch胞内结构域(NICD)的水平、Notch靶基因和Notch受体及Notch路径其他成分的突变状态来确定对γ-分泌酶抑制剂治疗具有抗性的Notch信号传导依赖性人类肿瘤。
另一方面,本发明提供治疗与Notch信号传导途径活性上调有关的疾病的方法,该方法包括对有此需要的受试者施用本发明的化合物或本发明的药物组合物。
本发明化合物的日剂量将必需根据所治疗的宿主、特定的给药途径和所治疗疾病的严重性及种类而变化。因此,最佳剂量可由治疗任何特定患者的医师确定。此外,应当注意的是,临床医生或主治医师将结合个体患者的反应,知道如何和何时开始、中断、调整或终止治疗。对于本发明方法中使用的任何化合物,可从细胞培养分析、动物模型或人类受试者的微剂量初步预估治疗有效剂量。
如本文所用,“治疗”是指治疗性处理和预防性或防范性措施。需要治疗的受试者包括已患有该疾病如癌症的那些受试者和要预防该疾病如癌症的那些受试者。因此,本文中待治疗的哺乳动物、优选人类,可能已经被诊断为患有该疾病如癌症,或可能容易感染或容易罹患该疾病如癌症。
如本文所用,“预防”包括预防性治疗。在预防性应用中,将本发明的药物组合物施用于怀疑患有癌症或有发展癌症风险的受试者。在治疗应用中,将该药物组合以足以治愈或至少部分阻止疾病症状的量施用于受试者,如已罹患癌症的患者。对于这种用途有效的量将取决于该疾病的严重程度和病程、先前的治疗、该受试者的健康状况和对药物的反应和主治医师的判断。
术语“治疗有效量”是指有效治疗哺乳动物疾病或病症的药物的量。在癌症的情况下,该药物的治疗有效量可减少肿瘤或癌细胞的数量、减小肿瘤的大小;抑制(亦即在某种程度上减慢且优选停止)癌细胞浸润到周围器官中;抑制(亦即在某种程度上减慢且优选停止)肿瘤转移;在一定程度上抑制肿瘤的生长;及/或在某种程度上减轻与癌症有关的一种或多种症状。在一定程度上,本发明的化合物可防止癌细胞生长及/或杀死现有的癌细胞,其可具有细胞生长抑制作用及/或细胞毒性。本文中使用的措辞“治疗有效量”是指足以防止或优选将目标细胞团、癌细胞群的生长或进展或有丝分裂活性或其他病理特征的临床显著变化减少至少约30%,优选减少至少50%,优选减少至少70%,优选减少至少80%,优选减少至少90%。
在一个实施方案中,本发明的化合物可与常规治疗如标准放射疗法及/或标准化学疗法组合(例如同时或几乎同时或一个接一个)用于抗细胞增殖性疾病。标准的放射疗法和化学疗法亦可为伴随化学-放疗(concomitant chemo-radiotherapy)。可在给予治疗有效量的本发明化合物或其药物组合物之前、同时或之后进行标准的放射疗法及/或化学疗法。
当这两种治疗(化学疗法和放射疗法)在同一时间或几乎同时如一个接一个或在同一天等进行时,使用“伴随化学放疗”一词。
术语“标准放射线法”是指使用电离辐射作为癌症治疗的一部分来控制恶性细胞。优选地,该电离辐射为γ-辐射。将放射疗法与手术、化学疗法、激素疗法或其组合结合也是常见的。最常见的癌症类型通常可用放射疗法治疗。确切的治疗目的(治愈性、辅助性、新辅助性或姑息性)将取决于肿瘤的类型、位置及分期和有此需要的受试者的总体健康状况。
术语“标准化学疗法”通常是指使用特定化学疗法/化学剂治疗癌症。化疗剂是指通常用于治疗癌症的药剂。用于治疗癌症的化学治疗剂包括例如六甲蜜胺(Altretamine)、博来霉素(Bleomycin)、补束克(Busulphan)、卡培他滨(Capecitabine)、卡铂(Carboplatin)、卡莫斯汀(Carmustine)、氯丁酸(Chlorambucil)、顺铂(Cisplatin)、克拉屈滨(Cladribine)、克立他酶(Cristantaspase)、环磷酰胺(Cyclophosphamid)、阿糖胞苷(Cytarabine)、达卡巴嗪(Dacarbazine)、柔红霉素(Daunorubicin)、阿霉素(Doxorubicin)、表柔比星(Epirubicin)、依托泊苷(Etoposide)、氟达拉滨(Fludarabine)、氟尿嘧啶(Fluorouracil)、吉西他滨(Gemcitabine)、依达比星(Idarubicin)、异环磷酰胺(Ifosfamide)、伊立替康(Irinotecan)、洛莫斯汀(Lomustine)、美法仑(Melphalan)、巯基嘌呤(Mercaptopurine)、氨甲喋呤(Methotrexate)、丝裂霉素(Mitomycin)、米托蒽醌(Mitoxantrone)、奥沙利铂(Oxaliplatin)、喷司他汀(Pentostatin)、丙卡巴嗪(Procarbazine)、链脲佐菌素(Streptozocin)、塔可(Taco)、替莫唑胺(Temozolomide)、硫鸟嘌呤(Tioguanine)/硫鸟嘌呤(Thioguanine)、塞替派(Thiotepa)、托泊替康(Topotecan)、硫丹(Treosulfan)、长春碱(Vinblastine)、长春新碱(Vincristine)、长春地辛(Vindesine)或长春瑞滨(Vinorelbine)。
当化学治疗剂与根据本发明的化合物组合使用时,则其可以以包含这两种药物的组合的药物形式使用,以便同时给药,或者其可以以单独的剂型形式使用,每种剂型都包含药物,在后面的情况下,可使用单独的剂型,例如依次即具有本发明化合物的剂型,然后是含有化学治疗剂的剂型(反之亦然)。可构思并以药盒的形式提供两种分开剂型的该实施方案。
此外,任选地,本发明的化合物可以与例如通过节段切除(活组织切片或切除)的常规肿瘤块去除结合使用以对抗细胞增殖性疾病例如癌症。
术语“肿瘤块去除”是指从受试者的任何去除、消融或切除肿瘤块。去除可为化学的、放射的或手术的。优选地,该去除为外科手术,例如消融或切除。切除可为“节段切除”(或节段切除术),从受试者身上摘除部分器官或腺体的外科手术程序。其亦可用于去除肿瘤及其周围的正常组织。减量剂(debulking agent)亦可用于去除肿瘤块。术语“减量剂”包括可杀死肿瘤块中的癌细胞(例如如上所述FL10和FL1-细胞)的任何分子(例如化学、生物)或任何外部/环境因素(例如γ-辐照)或传统手术。
关于适当的载体,可参考描述这些的标准文献,例如“Comprehensive MedicinalChemis-try”第5卷第25.2章,Pergamon出版社,1990年,和“Lexikon der Hilfsstoffe fürPharmazie,Kosmetik und angrenzende Gebiete”,由H.P.Fiedler所著,Editio Cantor出版社,2002年。术语“药学上可接受的载体”是指可用于制备通常安全且具有可接受毒性的药物组合物的载体或赋形剂。可接受的载体包括兽医用和人用药物可接受的那些载体。说明书及权利要求书中使用的“药学上可接受的载体”包括一种及多于一种这样的载体。
任选地,本发明的药物组合物还包含一种或多种其他活性剂,其选自非限制性的包含用于治疗癌症的化学治疗剂的组。这样的化学治疗剂可选自例如:六甲蜜胺、博来霉素、补束克、卡培他滨、卡铂、卡莫斯汀、氯丁酸、顺铂、克拉屈滨、克立他酶、环磷酰胺、阿糖胞苷、达卡巴嗪、柔红霉素、阿霉素、表柔比星、依托泊苷(Etoposide)、氟达拉滨、氟尿嘧啶、吉西他滨、依达比星、异环磷酰胺、伊立替康、洛莫斯汀、美法仑、巯基嘌呤、氨甲喋呤、丝裂霉素、米托蒽醌、奥沙利铂、喷司他汀、丙卡巴嗪、链脲佐菌素、塔可、替莫唑胺、硫鸟嘌呤/硫鸟嘌呤、塞替派、托泊替康、硫丹、长春碱、长春新碱、长春地辛和长春瑞滨。
可将可用于治疗及/或预防癌症的本发明化合物掺入用于治疗施用的多种制剂及药物中。更特别地,本文提供的一种或多种化合物可通过与适当的药学上可接受的载体组合而配制为药物组合物,且可配制成固体、半固体、液体或气体形式的制剂,例如片剂、胶囊、丸剂、粉剂、颗粒剂、糖衣丸、凝胶剂、浆剂、软膏剂、溶液剂、栓剂、注射剂、吸入剂和气雾剂。就此,该化合物的施用可以以多种方式实现,包括口服、颊、直肠、肠胃外、腹膜内、真皮内、透皮、颅内及/或气管内施用。而且,该化合物可以以局部而非全身方式、以贮库或持续释放制剂的形式给药。可将这些化合物与常见的赋形剂、稀释剂或载体一起配制,并压制成片剂,或者配制成方便口服的酏剂或溶液剂,或通过肌内或静脉内途径给药。该化合物可经皮给药,并可配制成持续释放剂型等。这些化合物可单独、彼此组合施用,或可与其他已知化合物组合使用。用于本发明的适合制剂可在雷明顿药物科学(Mack出版公司(1985年),费城,宾州,第17版)中找到,其通过引用并入本文。此外,对于药物递送方法的简要综述,参阅Langer,Science(1990年)249:1527-1533,其通过引用并入本文。
可与载体材料组合以产生单一剂型的本文提供的化合物的量将根据所治疗的疾病、需要其的受试者和特定的给药方式而变化。然而,作为一般指导,适用于本发明化合物的单位剂量可优选例如包含0.1mg至约1000mg,1mg至约500mg和1mg至约300mg的该活性化合物。在另一实施例中,该单位剂量介于1mg至约100mg之间。这种单位剂量可每天给药一次以上,例如每天2次、3次、4次、5次或6次,但每天优选1次或2次,使得70公斤的成年人的总剂量为每次给药每公斤体重0.001至约15mg的范围。每次给药的优选剂量为每千克受试者体重0.01至约1.5mg,且这种治疗可持续数周或数月,在某些情况下为数年。但是,应当理解的是,任何特定患者的具体剂量含量将取决于多种因素,包括所采用的具体化合物的活性;被治疗者的年龄、体重、总体健康、性别和饮食;施用时间与途径;排泄率;先前已使用过的其他药物;和正在治疗的特定疾病的严重性,如本领域技术人员所熟知。典型的剂量可为一次1mg至约100mg片剂或1mg至约300mg,每天一次,或每天多次,或每天一次服用定时释放(time-release)胶囊或片剂,含有按比例更高含量的活性成分。可通过在不同pH值下溶解的胶囊材料、通过渗透压缓慢释放的胶囊、或通过任何其他已知的控释手段来获得定时释放的效果。对本领域技术人员显而易见的是,于某些情况下可能有必要使用这些范围以外的剂量。
本发明的另一目的为药盒,包括容器和包装说明书,其中该容器包含至少一剂量的药物,该药物包含式(I)化合物和任选的一种或多种药学上可接受的稀释剂、赋形剂或载体,该包装说明书包括使用该药物治疗受试者的癌症的说明书。该药盒可进一步包含一或多剂量的化学治疗剂。任选地,该药盒还可包含试剂及/或使用说明书。
通常,该药盒包括容器和在该容器上或与容器相关的标签或包装说明书。适合的容器包括例如瓶、小瓶、注射器等。该容器可由多种材料制成,例如玻璃或塑料。该容器装有可有效治疗该疾病的药物组合物,且可能具有无菌进入口(例如该容器可为静脉注射液袋或带有可通过皮下注射针刺穿的塞子的小瓶)。该标签或包装说明书指示该组合物用于治疗选择的病症,例如癌症。
本发明的另一目的在于提供本发明化合物在体外或体内抑制细胞中Notch信号传导途径的用途。通常,该细胞为癌细胞。
本发明的另一目的在于提供治疗Notch依赖性癌症的受试者的方法,包括
i)确定在从该受试者的生物学样品获得的癌细胞中该癌症是否依赖于Notch信号传导途径,
ii)和基于该癌症是否为Notch依赖性癌症,通过施用治疗有效量的本发明的化合物或本发明的药物组合物以治疗该受试者。
通常,通过本领域已知的任何方法确定癌细胞中的Notch信号传导途径依赖性。例如,该方法可包括本文所述的体外γ-分泌酶复合活性测定。
该治疗方法可进一步包括施用至少一种常规的癌症治疗。在施用该治疗有效量的本发明化合物或本发明的药物组合物之前、同时或之后,施用常规的癌症治疗。
通常,该常规的癌症治疗包括放射疗法及/或化学疗法。
本发明的另一目的在于提供本发明的化合物在通过诱导G0/G1细胞周期停滞而在体外或体内引起细胞凋亡的方法中的用途。
本发明的另一目的在于提供本发明的化合物在诊断、预测及/或监测受试者的Notch依赖性癌症中的用途。
本领域技术人员将理解,本文描述的发明除了具体描述的之外,还可进行变化及修改。应当理解的是,本发明包括所有这样的变化及修改,而不背离其精神或基本特征。本发明还单独或共同包括本说明书中提及或指出的所有步骤、特征、组合物及化合物、和所述步骤或特征的任何及所有组合或所述步骤或特征的任何两个或更多个。因此,本发明被认为在所有方面中是说明性的,而非限制性的,本发明的范围由所附申请专利范围所指示,且意图包括在等同含义及范围内的所有改变。
本说明书全文中引用各种参考文献,每个参考文献均通过引用将全文并入本文。
参考以下实施例将更充分地理解前述描述。然而,这些实施例为实施本发明方法的示例,并非意图限制本发明的范围。
实施例
化合物的化学合成
缩写
AcOH(acetic acid) 醋酸
Brine(saturated aqueous NaCl solution) 饱和氯化钠水溶液
CV(column volumes) 柱体积
DCM(dichloromethane) 二氯甲烷
DME(1,2-dimethoxyethane) 1,2-二甲氧基乙烷
DMF(dimethylformamide) 二甲基甲酰胺
DMSO-d6(deuterated dimethyl sulfoxide) 氘代二甲基亚砜
Equiv(equivalent(s)) 当量
EtOAc(ethyl acetate) 醋酸乙酯
Et2O(diethyl ether) 乙醚
EtOH(ethanol) 乙醇
expl.(example) 实施例
Fe(iron) 铁
h(hour(s)) 小时
M(molar concentration) 摩尔浓度
MeOH(methanol) 甲醇
MgSO4(magnesium sulfate) 硫酸镁
min(minute(s)) 分钟
mL(milliliter(s)) 毫升
Mw(molecular weight) 分子量
NaHCO3(sodium bicarbonate) 碳酸氢钠
Na2SO4(sodium sulfate) 硫酸钠
Pd/C(palladium on carbon) 披钯碳
pTSA(p-toluenesulfonic acid) 对甲苯磺酸
RT(room temperature) 室温
tBuOH(tert.-butanol) 叔丁醇
tBuOK(potassium tert.-butylate) 叔丁酸钾
TEA(triethylamine) 三乙胺
THF(tetrahydrofurane) 四氢呋喃
TLC(thin layer chromatography(Rf:retention factor))薄层色谱(Rf:保留因子)
以下通用方法用于所报导的化合物的合成:
通用方法A:以取代的苯酚进行芳香亲核取代(参见方案1)
向在二甲基甲酰胺(DMF)中的所需芳基醇A(1.1当量)和相应的4-卤-硝基芳基B(1.0当量)(0.5M)加入K2CO3(1.2当量)。于室温下搅拌反应物。通常在14小时后观察到完成后(通过TLC监测,以EtOAc/己烷或EtOAc/环己烷作为洗脱剂,并以KMnO4染色),将反应混合物倒入Et2O和饱和NaHCO3水溶液的混合物中。分离各层,水相以Et2O萃取两次。合并的有机层以饱和NaHCO3水溶液洗涤,经Na2SO4或MgSO4干燥,滤出并减压浓缩。通过使用EtOAc/己烷或EtOAc/环己烷作为洗脱剂的快速组合柱色谱法纯化粗产物,得到相应的硝基化合物C。
通用方法B:硝基芳香族还原(参见方案1)
向该硝基化合物C(1.0当量)中加入铁粉(5.0当量)与EtOH/H2O/AcOH 2∶2∶1(0.1M)。将反应以超音波处理直至完成(通过TLC监测,以EtOAc/己烷或EtOAc/环己烷作为洗脱剂,并以KMnO4染色)。将获得的棕色浆液通过滤纸过滤,以EtOAc冲洗,并将有机溶剂蒸发。加入EtOAc,然后小心地加入饱和NaHCO3水溶液。分离各层,水层以EtOAc萃取3次。合并的有机层经MgSO4或Na2SO4干燥,滤出并蒸发溶剂。通过使用EtOAc/己烷或EtOAc/环己烷作为洗脱剂的快速组合柱色谱法纯化粗产物,得到相应的标题化合物D。
通用方法C:氨基芳基甲基化(参见方案2)
在惰性气氛下向新鲜制备的甲醇钠溶液(钠5.0当量,MeOH 0.1M)中,加入氨基芳基衍生物D(1.0当量)。于室温下搅拌反应物(1小时)。然后,加入多聚甲醛(1.4当量),16小时后加入NaBH4(2.0当量)。搅拌混合物直至完成(通过TLC监测)。蒸发MeOH,并加入EtOAc,然后加入饱和NaHCO3水溶液。分离各层,有机层以盐水洗涤,经MgSO4或Na2SO4干燥,过滤并真空蒸发。通过柱色谱法、使用EtOAc/己烷或EtOAc/环己烷作为洗脱剂纯化粗残余物,得到目标化合物E。通用方法D:铃木(Suzuki)偶联反应
向所需的硼酸F(1.2当量)、所需的溴代芳基G(1.0当量)和精确的碱(2.0-2.5当量)在二噁烷/H2O 4:1(0.05-0.1M)中的悬浮液加入钯催化剂(10%摩尔)。在回流下搅拌反应混合物。16小时后,加入EtOAc与H2O。分离各层,水层以EtOAc萃取(2x)。合并的有机层以盐水洗涤,以MgSO4或Na2SO4干燥,通过硅藻土垫过滤并在减压下浓缩。将残余物通过柱色谱法纯化,使用EtOAc/己烷或EtOAc/环己烷作为洗脱剂,得到目标化合物C。
N.B.:该方法亦适用于作为溴代芳基衍生物的F和作为芳基硼酸/酯的G之间的铃木偶联反应。
通用方法E:铃木偶联反应
向所需的硼酸F(1.2当量)、所需的溴代芳基G(1.0当量)和K2CO3(2.0-2.5当量)在二噁烷/H2O 4:1(0.05-0.1M)中的悬浮液加入四(三苯基膦)钯(0)(10%摩尔)。在回流下搅拌反应混合物。16小时后,加入EtOAc与H2O。分离各层,水层以EtOAc萃取(2x)。合并的有机层以盐水洗涤,以MgSO4或Na2SO4干燥,通过硅藻土垫过滤并在减压下浓缩。将残余物通过柱色谱法纯化,使用EtOAc/己烷或EtOAc/环己烷作为洗脱剂,得到目标化合物C。
通用方法F:硝基芳香族还原(参见方案1)
于室温下,向硝基化合物C(1.0当量)在丙酮/H2O的3∶1混合物中的溶液中,加入NH4Cl(5当量)。向该搅拌溶液中分批添加锌(5.0当量)。将反应混合物搅拌1小时(通过TLC监测,以EtOAc/己烷或EtOAc/环己烷作为洗脱剂,并以KMnO4染色),然后在减压下浓缩。将残余物悬浮在EtOAc中,并通过硅藻土垫过滤,将其以EtOAc洗涤。将滤液以NaHCO3洗涤(2x),以MgSO4或Na2SO4干燥,滤出并将溶剂蒸发,得到相应的标题化合物D。
通用方法G:氨基芳基甲基化(参见方案2)
于室温下,向氨基芳基衍生物D(1.0当量)在二氯乙烯(Dichloroethene,DCE)中的溶液(0.25M)中加入多聚甲醛(1.1当量)。将混合物搅拌5分钟,然后添加NaBH(OAc)3(1.5当量),随后添加AcOH(1当量)。于室温搅拌反应物过夜。通过添加1M NaOH淬灭反应混合物,并以H2O与CH2Cl2稀释。分离两层,水层以CH2Cl2(2x)萃取。合并的有机层以盐水洗涤,经MgSO4或Na2SO4干燥,过滤并真空蒸发。通过柱色谱法、使用EtOAc/己烷或EtOAc/环己烷作为洗脱剂纯化粗残余物,得到目标化合物E。
实施例1:6-([1,1'-联苯基]-4-基氧基)吡啶-3-胺
依照通用方法B,自2-([1,1'-联苯基]-4-基氧基)-5-硝基吡啶(1.71mmol,500mg)获得97%产率的6-([1,1'-联苯基]-4-基氧基)吡啶-3-胺(1.66mmol,434mg)。C17H14N2O;分子量为262.31g.mol-1;1H NMR(400MHz,CDCl3)δ7.75(dd,J=3.0,0.6Hz,1H),7.61-7.52(m,4H),7.47-7.39(m,2H),7.36-7.29(m,1H),7.17-7.06(m,3H),6.82(dd,J=8.6,0.6Hz,1H);13CNMR(101MHz,CDCl3)δ156.60,155.34,140.87,138.96,136.84,134.28,128.85,128.45,127.11,127.09,127.01,120.20,112.77,77.48,77.16,76.84。
所述起始原料的制备如下:
步骤1:2-([1,1'-联苯基]-4-基氧基)-5-硝基吡啶
依照通用方法A,自[1,1'-联苯基]-4-醇(4.70mmol,800mg)和2-氯-5-硝基吡啶(4.70mmol,745mg),获得99%产率的2-([1,1'-联苯基]-4-基氧基)-5-硝基吡啶(4.65mmol,1.36g),无需纯化。
C17H12N2O3;分子量为292.29g.mol-1;1H NMR(400MHz,CDCl3)δ9.08(d,J=2.8Hz,1H),8.50(dd,J=9.1,2.8Hz,1H),7.67(d,J=8.8Hz,2H),7.60(dd,J=8.3,1.2Hz,2H),7.46(dd,J=8.2,6.8Hz,2H),7.40-7.33(m,1H),7.26-7.20(m,2H),7.08(dd,J=9.1,0.5Hz,1H)。
实施例2:6-([1,1'-联苯基]-4-基氧基)-N-甲基吡啶-3-胺
依照通用方法C,自6-([1,1'-联苯基]-4-基氧基)吡啶-3-胺(4.61mmol,1.21g)获得86%产率的6-([1,1'-联苯基]-4-基氧基)-N-甲基吡啶-3-胺(3.98mmol,1.10g)。C18H16N2O;分子量为276.34g.mol-1;1H NMR(400MHz,CDCl3)δ7.69(d,J=3.0Hz,1H),7.59-7.53(m,4H),7.42(t,J=7.6Hz,2H),7.35-7.29(m,1H),7.15-7.09(m,2H),7.05(dd,J=8.7,3.1Hz,1H),6.86(d,J=8.7Hz,1H),2.86(s,3H)。
实施例3:6-((6-苯基吡啶-3-基)氧基)吡啶-3-胺
依照通用方法B,自5-硝基-2-((6-苯基吡啶-3-基)氧基)吡啶(2.63mmol,0.77g)获得93%产率的6-((6-苯基吡啶-3-基)氧基)吡啶-3-胺(2.43mmol,0.64g)。
C16H13N3O;分子量为263.30g.mol-1;固体;1H NMR(400MHz,CDCl3)δ8.53(d,J=2.7Hz,1H),7.96(d,J=7.3Hz,2H),7.71(dd,J=7.9,5.9Hz,2H),7.51(dd,J=8.6,2.7Hz,1H),7.46(t,J=7.5Hz,2H),7.39(t,J=7.3Hz,1H),7.13(dd,J=8.6,2.9Hz,1H),6.86(d,J=8.6Hz,1H),3.63(s,2H)。
所述起始原料的制备如下:
步骤1:5-硝基-2-((6-苯基吡啶-3-基)氧基)吡啶
依照通用方法A,自6-苯基吡啶-3-醇(2.92mmol,0.51g)和2-氯-5-硝基吡啶(2.84mmol,0.45g)获得93%产率的5-硝基-2-((6-苯基吡啶-3-基)氧基)吡啶(2.63mmol,0.77g)。
C16H11N3O3;分子量为293.28g.mol-1;固体;1H NMR(400MHz,CDCl3)δ9.04(d,J=2.7Hz,1H),8.59(d,J=2.6Hz,1H),8.54(dd,J=9.0,2.8Hz,1H),8.04-7.97(m,2H),7.83(d,J=8.6Hz,1H),7.62(dd,J=8.6,2.8Hz,1H),7.52-7.47(m,2H),7.45(dd,J=4.9,3.6Hz,1H),7.16(d,J=9.0Hz,1H)。
实施例4:3-氟-4-(4-(吡啶-2-基)苯氧基)苯胺
依照通用方法B,自2-(4-(2-氟-4-硝基苯氧基)苯基)吡啶(4.38mmol,1.36g)获得42%产率的3-氟-4-(4-(吡啶-2-基)苯氧基)苯胺(1.8mmol,0.51g)。
C17H13FN2O;分子量为280.30g.mol-1;1H NMR(400MHz,CDCl3)δ8.63(d,J=5.0Hz,1H),7.90(d,J=8.5Hz,2H),7.75(s,1H),7.66(d,J=8.0Hz,1H),7.28(m,1H),7.02-6.94(m,2H),6.90(t,J=8.8Hz,1H),6.46(dd,J=12.0,2.7Hz,1H),6.39(ddd,J=8.6,2.7,1.3Hz,1H)。
所述起始原料的制备如下:
步骤1:2-(4-(2-氟-4-硝基苯氧基)苯基)吡啶
依照通用方法A,自4-(吡啶-2-基)苯酚(14.6mmol,2.50g)和1,2-二氟-4-硝基苯(14.3mmol,2.28g)获得30%产率的2-(4-(2-氟-4-硝基苯氧基)苯基)吡啶(4.38mmol,1.36g)。
C17H11FN2O3;分子量为310.28g.mol-1;1H NMR(400MHz,CDCl3)δ8.71(ddd,J=4.9,1.8,0.9Hz,1H),8.12(dd,J=10.2,2.6Hz,1H),8.10-8.04(m,2H),8.01(ddd,J=9.0,2.6,1.5Hz,1H),7.84-7.76(m,1H),7.76-7.71(m,1H),7.29(s,1H),7.23-7.16(m,2H),7.06(dd,J=9.1,7.9Hz,1H)。
实施例5:3-氟-4-(4-(吡啶-3-基)苯氧基)苯胺
依照通用方法B,自3-(4-(2-氟-4-硝基苯氧基)苯基)吡啶(17.7mmol,5.48g)获得63%产率的3-氟-4-(4-(吡啶-3-基)苯氧基)苯胺(11.1mmol,3.1g)。
C17H13FN2O;分子量为280.30g.mol-1;1H NMR(400MHz,CDCl3)δ8.82(d,J=2.4Hz,1H),8.57(dd,J=5.0,1.5Hz,1H),7.95(s,1H),7.52-7.47(m,2H),7.45(s,1H),7.06-7.00(m,2H),6.97(t,J=8.7Hz,1H),6.54(dd,J=12.0,2.7Hz,1H),6.46(ddd,J=8.6,2.7,1.2Hz,1H)。
所述起始原料的制备如下:
步骤1:3-(4-(2-氟-4-硝基苯氧基)苯基)吡啶
依照通用方法A,自4-(吡啶-3-基)苯酚(22.4mmol,3.84g)和1,2-二氟-4-硝基苯(22.0mmol,3.50g)获得79%产率的3-(4-(2-氟-4-硝基苯氧基)苯基)吡啶(17.7mmol,5.48g)。
C17H11FN2O3;分子量为310.28g.mol-1;1H NMR(400MHz,CDCl3)δ8.88(s,1H),8.64(d,J=5.0Hz,1H),8.13(dd,J=10.2,2.7Hz,1H),8.09-7.98(m,2H),7.69-7.61(m,2H),7.55-7.48(m,1H),7.23-7.17(m,2H),7.11(dd,J=9.0,7.8Hz,1H)。
实施例6:4-([1,1'-联苯基]-4-基氧基)-3-氟-N-甲基苯胺
依照通用方法C,自4-([1,1'-联苯基]-4-基氧基)-3-氟苯胺(4.1mmol,1.15g)获得77%产率的4-([1,1'-联苯基]-4-基氧基)-3-氟-N-甲基苯胺(3.2mmol,0.93g)。C19H16FNO;分子量为293.34g.mol-1;1H NMR(400MHz,CDCl3)δ7.57-7.52(m,2H),7.52-7.47(m,2H),7.41(t,J=7.6Hz,2H),7.31(t,J=7.4Hz,1H),7.03-6.95(m,3H),6.46(dd,J=12.7,2.7Hz,1H),6.39(dd,J=8.7,1.7Hz,1H),4.04(s,1H),2.85(s,3H)。
所述起始原料的制备如下:
步骤1:1-(4-溴苯氧基)-2-氟-4-硝基苯
依照通用方法A,自4-溴苯酚(12.8mmol,2.21g)和1,2-二氟-4-硝基苯(12.5mmol,1.99g)获得96%产率的1-(4-溴苯氧基)-2-氟-4-硝基苯(12.0mmol,3.73g)。
C12H7BrFNO3;分子量为312.09g.mol-1;1H NMR(400MHz,CDCl3)δ8.10(dd,J=10.2,2.7Hz,1H),8.01(ddd,J=9.1,2.7,1.6Hz,1H),7.57-7.51(m,2H),7.05-7.00(m,1H),7.00-6.94(m,2H)。
步骤2:4-(2-氟-4-硝基苯氧基)-1,1'-联苯
依照通用方法E,将苯基硼酸(12.1mmol,1.48g)、1-(4-溴苯氧基)-2-氟-4-硝基苯(9.9mmol,3.10g)、K2CO3(21.5mmol,2.97g)和Pd(PPh3)4(10%摩尔)于二噁烷/H2O 4:1(0.05-0.1M)中的的混合物以56%的产率转化为4-(2-氟-4-硝基苯氧基)-1,1'-联苯(5.6mmol,1.72g)。
C18H12FNO3;分子量为309.30g.mol-1;1H NMR(400MHz,CDCl3)δ8.11(dd,J=10.2,2.6Hz,1H),8.01(ddd,J=9.1,2.6,1.5Hz,1H),7.67-7.62(m,2H),7.61-7.56(m,2H),7.46(t,J=7.5Hz,2H),7.37(t,J=7.3Hz,1H),7.19-7.14(m,2H),7.06(dd,J=9.0,8.0Hz,1H)。
步骤3:4-([1,1'-联苯基]-4-基氧基)-3-氟苯胺
依照通用方法B,自4-(2-氟-4-硝基苯氧基)联苯(5.5mmol,1.70g)获得85%产率的4-([1,1’-联苯基]-4-基氧基)-3-氟苯胺(4.7mmol,1.31g)。
C18H14FNO;分子量为279.31g mol-1;1H NMR(400MHz,CDCl3)δ7.58-7.52(m,2H),7.52-7.48(m,2H),7.41(t,J=7.6Hz,2H),7.31(t,J=7.4Hz,1H),7.01-6.93(m,3H),6.53(dd,J=12.0,2.7Hz,1H),6.48-6.42(m,1H),3.70(br s,2H)。
实施例7:4-([1,1'-联苯基]-4-基氧基)苯胺
依照通用方法B,自4-(4-硝基苯氧基)-1,1’-联苯(7.1mmol,2.08g)获得33%产率的4-([1,1’-联苯基]-4-基氧基)苯胺(2.4mmol,0.62g)。
C18H15NO;分子量为261.32g.mol-1;1H NMR(400MHz,CDCl3)δ7.57-7.53(m,2H),7.53-7.47(m,2H),7.45-7.39(m,2H),7.34-7.28(m,1H),7.03-6.97(m,2H),6.95-6.89(m,2H),6.74-6.66(m,2H),3.61(br s,2H)。
所述起始原料的制备如下:
步骤1:4-(4-硝基苯氧基)-1,1'-联苯
依照通用方法A,自[1,1'-联苯基]-4-醇(11.8mmol,2.00g)和4-氟-硝基苯(11.5mmol,1.63g)获得61%产率的4-(4-硝基苯氧基)-1,1'-联苯(7.1mmol,2.08g)。C18H13NO3;分子量为291.31g.mol-1;1H NMR(400MHz,CDCl3)δ8.26-8.20(m,2H),7.69-7.63(m,2H),7.62-7.57(m,2H),7.50-7.43(m,2H),7.41-7.34(m,1H),7.19-7.14(m,2H),7.11-7.05(m,2H)。
实施例8:6-([1,1'-联苯基]-4-基氧基)-2-甲基吡啶-3-胺
依照通用方法B,自6-([1,1'-联苯基]-4-基氧基)-2-甲基-3-硝基吡啶(5.3mmol,1.61g)获得90%产率的6-([1,1'-联苯基]-4-基氧基)-2-甲基吡啶-3-胺(4.7mmol,1.31g)。
C18H16N2O;分子量为276.34g.mol-1;1HNMR(400MHz,CDCl3)δ7.59-7.52(m,4H),7.42(t,J=7.6Hz,2H),7.32(ddd,J=7.4,3.9,1.2Hz,1H),7.10(d,J=8.7Hz,2H),7.02(d,J=8.4Hz,1H),6.63(d,J=8.4Hz,1H),3.49(s,2H),2.37(s,3H)。
所述起始原料的制备如下:
步骤1:6-([1,1'-联苯基]-4-基氧基)-2-甲基-3-硝基吡啶
依照通用方法A,自[1,1'-联苯基]-4-醇(5.9mmol,1.00g)和6-氯-2-甲基-3-硝基吡啶(5.8mmol,1.00g)获得89%产率的6-([1,1'-联苯基]-4-基氧基)-2-甲基-3-硝基吡啶(5.3mmol,1.63g)。
C18H14N2O3;分子量为306.32g.mol-1;1HNMR(400MHz,CDCl3)δ8.38(d,J=8.9Hz,1H),7.63(dd,J=16.5,7.9Hz,4H),7.46(t,J=7.6Hz,2H),7.37(dd,J=8.3,6.4Hz,1H),7.24(d,J=8.7Hz,2H),6.84(d,J=8.9Hz,1H),2.78(s,3H)。
实施例9:6-([1,1'-联苯基]-4-基氧基)-4-甲基吡啶-3-胺
依照通用方法B,自6-([1,1'-联苯基]-4-基氧基)-4-甲基-3-硝基吡啶(2.0mmol,600mg)获得74%产率的6-([1,1'-联苯基]-4-基氧基)-4-甲基吡啶-3-胺(1.5mmol,410mg)。
C18H16N2O;分子量为276.34g.mol-1;1HNMR(400MHz,CDCl3)δ7.69(s,1H),7.61-7.52(m,4H),7.42(t,J=7.6Hz,2H),7.33(dt,J=9.2,4.3Hz,1H),7.12(d,J=8.7Hz,2H),6.72(s,1H),3.03(s,2H),2.21(d,J=0.5Hz,3H)。
所述起始原料的制备如下:
步骤1:6-([1,1'-联苯基]-4-基氧基)-4-甲基-3-硝基吡啶
依照通用方法A,自[1,1'-联苯基]-4-醇(5.9mmol,1.00g)和6-氯-4-甲基-3-硝基吡啶(5.8mmol,1.00g)获得38%产率的6-([1,1'-联苯基]-4-基氧基)-4-甲基-3-硝基吡啶(2.3mmol,0.71g)。
C18H14N2O3;分子量为306.32g.mol-1;1H NMR(400MHz,CDCl3)δ8.92(s,1H),7.69-7.63(m,2H),7.63-7.57(m,2H),7.49-7.42(m,2H),7.40-7.34(m,1H),7.25-7.20(m,2H),6.88(d,J=0.9Hz,1H),2.69(d,J=0.8Hz,3H)。
实施例10:6-((4'-氟-[1,1'-联苯基]-4-基)氧基]吡啶)-3-胺
依照通用方法B,自2-((4'-氟-[[1,1'-联苯基]-4-基)氧基]-5-硝基吡啶(6.8mmol,2.10g)获得58%产率的6-((4'-氟-[1,1'-联苯基]-4-基)氧基)吡啶-3-胺(3.9mmol,1.10g)。
C17H13FN2O;分子量为280.30g.mol-1;1H NMR(400MHz,CDCl3)δ7.75(d,J=3.0Hz,1H),7.51(m,4H),7.16-7.07(m,5H),6.82(d,J=8.6Hz,1H).19F NMR(376MHz,氯仿-d)δ116.54。
所述起始原料的制备如下:
步骤1:2-(4-溴苯氧基)-5-硝基吡啶
依照通用方法A,自4-溴苯酚(42.8mmol,7.40g)和2-氯-5-硝基吡啶(41.6mmol,6.60g)获得89%产率的2-(4-溴苯氧基)-5-硝基吡啶(37.2mmol,10.97g)。
C11H7BrN2O3;分子量为295.09g.mol-1;1H NMR(400MHz,CDCl3)δ9.03(d,J=2.6Hz,1H),8.49(dd,J=9.0,2.8Hz,1H),7.57(d,J=8.8Hz,2H),7.06(m,3H)。步骤2:2-((4'-氟-[1,1'-联苯基]-4-基)氧基)-5-硝基吡啶
依照通用方法E,将4-氟苯基硼酸(8.9mmol,1.25g)、2-(4-溴苯氧基)-5-硝基吡啶(7.8mmol,2.30g)、K2CO3(19.5mmol,2.70g)和Pd(PPh3)4(10%摩尔)于二噁烷/H2O 4:1(0.05-0.1M)中的的混合物以87%的产率转化为2-((4'-氟-[1,1'-联苯基]-4-基)氧基)-5-硝基吡啶(6.8mmol,2.10g)。
C17H11FN2O3;分子量为310.28g.mol-1;1H NMR(400MHz,CDCl3)δ9.07(d,J=2.7Hz,1H),8.50(dd,J=9.0,2.7Hz,1H),7.62(d,J=8.5Hz,2H),7.55(dd,J=8.5,5.4Hz,2H),7.23(d,J=8.6Hz,2H),7.14(t,J=8.6Hz,2H),7.09(d,J=9.0Hz,1H)。
实施例11:6-(4-(噻唑-5-基)苯氧基)吡啶-3-胺
依照通用方法B,自5-(4-((5-硝基吡啶-2-基氧基)苯基)噻唑(3.8mmol,1.15g)获得46%产率的6-(4-(噻唑-5-基)苯氧基)吡啶-3-胺(1.8mmol,0.48g)。
C14H11N3OS;分子量为269.32g.mol-1;1H NMR(400MHz,CDCl3)δ8.67(s,1H),7.95(s,1H),7.67(d,J=3.0Hz,1H),7.49(d,J=8.7Hz,2H),7.05(m,3H),6.76(d,J=8.6Hz,1H)。
所述起始原料的制备如下:
步骤1:5-硝基-2-(4-(4,4,5,5-四甲基-1,3,2-二氧硼杂环戊烷-2-基)苯氧基)吡啶
在惰性气氛下,向2-(4-溴苯氧基)-5-硝基吡啶(20.6mmol,6.08g)、CH3COOK(61.1mmol,6.00g)和双(频哪醇)二硼(30.5mmol,7.75g)在二噁烷(0.1M,150mL)中的悬浮液加入Pd(dppf)Cl2·CH2Cl2(5%摩尔)。将该红色混合物于105℃下搅拌16小时。通过硅藻土垫过滤反应混合物。将水加入滤液中,并将混合物以EtOAc萃取(2x)。有机层以饱和NaHCO3水溶液、盐水洗涤,以Na2SO4干燥,滤出并浓缩。通过使用EtOAc/环己烷(1%至20%)作为洗脱剂的快速组合柱色谱法纯化粗产物,得到5-硝基-2-(4-(4,4,5,5-四甲基-1,3,2-二氧硼杂环戊烷-2-基)苯氧基)吡啶(15.6mmol,5.93g,76%产率)。
C17H19BN2O5;分子量为342.16g.mol-1;1H NMR(400MHz,CDCl3)δ9.04(d,J=2.5Hz,1H),8.47(dd,J=9.1,2.8Hz,1H),7.94-7.88(m,2H),7.20-7.13(m,2H),7.06-7.01(m,1H),1.35(s,12H)。
步骤2:5-(4-((5-硝基吡啶-2-基)氧基)苯基)噻唑
依照通用方法D,将5-硝基-2-(4-(4,4,5,5-四甲基-1,3,2-二氧硼杂环戊烷-2-基)苯氧基)吡啶(9.2mmol,3.50g)、5-溴噻唑(7.4mmol,1.25g)、Cs2CO3(15.0mmol,4.90g)和PdCl2(PPh3)2(10%摩尔)于二噁烷/H2O 4:1中(0.05-0.1M)的混合物以52%的产率转化为5-(4-((5-硝基吡啶-2-基)氧基)苯基)噻唑(3.8mmol,1.15g)。C14H9N3O3S;分子量为299.30g.mol-1;1H NMR(400MHz,CDCl3)δ9.05(d,J=2.6Hz,1H),8.78(s,1H),8.51(dd,J=9.1,2.8Hz,1H),8.08(s,1H),7.67(d,J=8.2Hz,2H),7.23(d,J=8.4Hz,2H),7.10(d,J=9.0Hz,1H)。
实施例12:4-((2,2'-二甲基-[1,1'-联苯基]-4-基)氧基)苯胺
依照通用方法B,自2,2'-二甲基-4-(4-硝基苯氧基)-1,1'-联苯(24.9mmol,7.96g)获得88%产率的4-((2,2'-二甲基-[1,1'-联苯基]-4-基)氧基)苯胺(21.9mmol,6.33g)。
C20H19NO;分子量为289.38g.mol-1;1H NMR(400MHz,CDCl3)δ7.26-7.24(m,2H),7.23-7.18(m,1H),7.10(d,J=6.8Hz,1H),7.00(d,J=8.3Hz,1H),6.96-6.91(m,2H),6.84(d,J=2.5Hz,1H),6.77(dd,J=8.4,2.6Hz,1H),6.75-6.71(m,2H),2.07(s,3H),2.00(s,3H)。
所述起始原料的制备如下:
步骤1:1-溴-2-甲基-4-(4-硝基苯氧基)苯
依照通用方法A,自4-溴-3-甲基-苯酚(31.5mmol,6.01g)和4-氟-硝基苯(29.9mmol,4.22g)获得91%产率的1-溴-2-甲基-4-(4-硝基苯氧基)苯(27.1mmol,8.34g)。
C13H10BrNO3;分子量为308.13g.mol-1;1H NMR(400MHz,CDCl3)δ8.24-8.18(m,2H),7.57(d,J=8.6Hz,1H),7.05-6.96(m,3H),6.80(dd,J=8.6,2.9Hz,1H),2.41(s,3H)。
步骤2:2,2'-二甲基-4-(4-硝基苯氧基)-1,1'-联苯
依照通用方法E,将邻甲苯基硼酸(30.9mmol,4.20g)、1-溴-2-甲基-4-(4-硝基苯氧基)苯(27.1mmol,8.34g)、K2CO3(55.0mmol,7.60g)和Pd(PPh3)4(10%摩尔)于二噁烷/H2O4:1(0.05-0.1M)中的混合物以92%的产率转化为2,2'-二甲基-4-(4-硝基苯氧基)-1,1'-联苯(24.9mmol,7.96g)。
C20H17NO3;分子量为319.36g.mol-1;1H NMR(400MHz,CDCl3)δ8.26-8.21(m,2H),7.31-7.27(m,2H),7.24(d,J=4.8Hz,1H),7.14(dd,J=14.2,7.6Hz,2H),7.11-7.04(m,2H),7.00(d,J=2.5Hz,1H),6.95(dd,J=8.2,2.2Hz,1H),2.09(s,3H),2.07(s,3H)。
实施例13:4-((2,2'-二甲基-[1,1'-联苯基]-4-基)氧基)-N-甲基苯胺
依照通用方法C,自4-((2,2'-二甲基-[1,1'-联苯基]-4-基)氧基)苯胺(10.4mmol,3.00g)获得86%产率的4-((2,2'-二甲基-[1,1'-联苯基]-4-基)氧基)-N-甲基苯胺(8.9mmol,2.70g)。
C21H21NO;分子量为303.41g.mol-1;1H NMR(400MHz,CDCl3)δ7.26-7.23(m,2H),7.20(ddd,J=9.0,5.8,3.7Hz,1H),7.10(d,J=6.8Hz,1H),7.04-6.95(m,3H),6.84(s,1H),6.77(dd,J=8.2,2.1Hz,1H),6.64(d,J=7.9Hz,2H),3.78(s,1H),2.86(s,3H),2.07(s,3H),2.00(s,3H)。
实施例14:6-((2,2'-二甲基-[1,1'-联苯基]-4-基)氧基])-N-甲基吡啶-3-胺
依照通用方法C,自6-((2,2'-二甲基-[1,1'-联苯基]-4-基)氧基)吡啶-3-胺(0.2mmol,65mg)获得78%产率的6-((2,2'-二甲基-[1,1'-联苯基]-4-基)氧基]-N-甲基吡啶-3-胺(0.2mmol,53mg)。
C20H20N2O;分子量为304.39g.mol-1;1H NMR(400MHz,CDCl3)δ7.72(d,J=3.0Hz,1H),7.26-7.24(m,2H),7.21(m,1H),7.11(d,J=6.8Hz,1H),7.08-7.02(m,2H),6.95(d,J=2.5Hz,1H),6.89(dd,J=8.2,2.6Hz,1H),6.86(d,J=8.7Hz,1H),2.87(s,3H),2.08(s,3H),2.02(s,3H)。
所述起始原料的制备如下:
步骤1:2-(4-溴-3-甲基苯氧基)-5-硝基吡啶
依照通用方法A,自4-溴-3-甲基苯酚(6.8mmol,1.28g)和2-氯-5-硝基吡啶(6.4mmol,1.01g)获得98%产率的2-(4-溴-3-甲基苯氧基)-5-硝基吡啶(6.2mmol,1.93g)。
C12H9BrN2O3;分子量为309.12g.mol-1;1H NMR(400MHz,CDCl3)δ9.04(d,J=2.7Hz,1H),8.49(dd,J=9.0,2.9Hz,1H),7.59(d,J=8.6Hz,1H),7.10-7.01(m,2H),6.88(dd,J=8.6,2.8Hz,1H),2.42(s,3H)。
步骤2:2-((2,2'-二甲基-[1,1'-联苯基]-4-基)氧基)-5-硝基吡啶
依照通用方法E,将邻甲苯甲酸(1.9mmol,264mg)、2-(4-溴-3-甲基苯氧基)-5-硝基吡啶(1.3mmol,400mg)、K2CO3(2.6mmol,358mg)和Pd(PPh3)4(10%摩尔)于二噁烷/H2O 4:1(0.05-0.1M)中的混合物以95%的产率转化为2-((2,2'-二甲基-[1,1'-联苯基]-4(-基)氧基)-5-硝基吡啶(1.2mmol,392mg)。
C19H16N2O3;分子量为320.35g.mol-1;1H NMR(400MHz,CDCl3)δ9.11(d,J=2.8Hz,1H),8.49(dd,J=9.1,2.8Hz,1H),7.35-7.31(m,1H),7.29(m,1H),7.25-7.22(m,1H),7.18(d,J=8.2Hz,1H),7.15(dt,J=7.0,1.2Hz,1H),7.09-7.00(m,3H),2.10(s,3H),2.09(s,3H)。
步骤3:6-((2,2'-二甲基-[1,1'-联苯基]-4-基)氧基)吡啶-3-胺
依照通用方法B,自2-((2,2'-二甲基-[1,1'-联苯基]-4-基)氧基)-5-硝基吡啶(1.2mmol,392mg)获得37%产率的6-(((2,2'-二甲基-[1,1'-联苯基]-4-基)氧基]吡啶-3-胺(0.5mmol,132mg)。
C19H18N2O;分子量为290.37g.mol-1;1H NMR(400MHz,CDCl3)δ7.79(d,J=2.8Hz,1H),7.25(s,2H),7.23-7.18(m,1H),7.12(t,J=6.2Hz,2H),7.06(d,J=8.2Hz,1H),6.96(d,J=1.9Hz,1H),6.90(dd,J=8.3,2.3Hz,1H),6.82(d,J=8.6Hz,1H),2.85(s,2H),2.08(s,3H),2.02(s,3H)。
实施例15:3-氟-4-(4-(吡啶-4-基)苯氧基)苯胺
依照通用方法B,自4-(4-(2-氟-4-硝基苯氧基)苯基)吡啶(330mg,1.06mmol)获得71%产率的3-氟-4-(4-(吡啶-4-基)苯氧基)苯胺(211mg,0.752mmol)。
C17H13FN2O;分子量为280.30g.mol-1;1H NMR(400MHz,DMSO-d6)δ8.59(dd,J=4.5,1.6Hz,2H),7.80-7.74(m,2H),7.65(dd,J=4.5,1.6Hz,2H),7.01-6.93(m,3H),6.51(dd,J=13.3,2.5Hz,1H),6.44-6.39(m,1H),5.39(s,2H)。
所述起始原料的制备如下:
步骤1:4-(4-(2-氟-4-硝基苯氧基)苯基)吡啶
依照通用方法E,自1-(4-溴苯氧基)-2-氟-4-硝基苯(400mg,1.28mmol;实施例6:步骤1)获得75%产率的4-(4-(2-氟-4-硝基苯氧基)苯基)吡啶(300mg,0.967mmol)。
C17H11FN2O3;分子量为310.28g.mol-1;1H NMR(400MHz,CDCl3)δ8.68(d,J=6.1Hz,2H),8.13(dd,J=10.2,2.7Hz,1H),8.04(ddd,J=9.0,2.6,1.5Hz,1H),7.70(d,J=8.8Hz,2H),7.49(d,J=6.2Hz,2H),7.19(d,J=8.8Hz,2H),7.10(dd,J=9.0,7.9Hz,1H)。
实施例16:6-(4-(噻唑-2-基)苯氧基)吡啶-3-胺
依照通用方法B,自2-(4-((5-硝基吡啶-2-基氧基)苯基)噻唑(100mg,0.300mmol)获得21%产率的6-(4-(噻唑-2-基)苯氧基)吡啶-3-胺(15mg,0.057mmol)。
C14H11N3OS;分子量为269.32g.mol-1;1H NMR(400MHz,CDCl3)δ8.00-7.95(m,2H),7.85(d,J=3.3Hz,1H),7.77(d,J=3.0Hz,1H),7.31(d,J=3.3Hz,1H),7.16-7.11(m,3H),6.84(d,J=8.5Hz,1H)。
所述起始原料的制备如下:
步骤1:2-(4-((5-硝基吡啶-2-基)氧基)苯基)噻唑
依照通用方法A,自4-(噻唑-2-基)苯酚(0.23g,1.30mmol)和2-氯-5-硝基吡啶(0.18g,1.10mmol)获得61%产率的2-(4-((5-硝基吡啶-2-基氧基)苯基)噻唑(206mg,0.688mmol)。
C14H9N3SO3;分子量为299.30g.mol-1;1H NMR(400MHz,CDCl3)δ9.06(d,J=2.8Hz,1H),8.51(dd,J=9.0,2.8Hz,1H),8.10–8.04(m,2H),7.88(d,J=3.3Hz,1H),7.36(d,J=3.3Hz,1H),7.29-7.23(m,2H),7.10(d,J=9.0Hz,1H)。
实施例17:(4'-((5-氨基吡啶-2-基)氧基)-[1,1'-联苯基]-3-基)甲醇
依照通用方法B,自(4'-((5-硝基吡啶-2-基)氧基)-[1,1'-联苯基]-3-基)甲醇(50mg,0.16mmol)获得44%产率的(4'-((5-氨基吡啶-2-基)氧基)-[1,1'-联苯基]-3-基)甲醇(20mg,0.044mmol)。
C18H16N2O2;分子量为292.34g.mol-1;1H NMR(400MHz,CDCl3)δ7.75(d,J=2.9Hz,1H),7.57(dd,J=6.5,2.1Hz,3H),7.50(d,J=7.7Hz,1H),7.42(t,J=7.6Hz,1H),7.33(d,J=7.6Hz,1H),7.18-7.06(m,3H),6.82(d,J=8.6Hz,1H),4.76(s,2H),3.49(s,2H)。
所述起始原料的制备如下:
步骤1:(4'-((5-硝基吡啶-2-基)氧基)-[1,1'-联苯基]-3-基)甲醇
依照通用方法E,自2-(4-溴苯氧基)-5-硝基吡啶(400mg,1.36mmol;实施例10:步骤1)和(3-(羟甲基)苯基)硼酸(240mg,1.60mmol)获得65%产率的(4'-((5-硝基吡啶-2-基)氧基)-[1,1'-联苯基]-3-基)甲醇(281mg,0.872mmol)。
C18H14N2O4;分子量为322.32g.mol-1;1H NMR(400MHz,DMSO-d6)δ9.07(dd,J=2.8,0.6Hz,1H),8.50(dd,J=9.1,2.8Hz,1H),7.71-7.65(m,2H),7.62(td,J=1.8,0.7Hz,1H),7.54(dt,J=7.6,1.6Hz,1H),7.46(t,J=7.5Hz,1H),7.37(dt,J=7.6,1.4Hz,1H),7.26-7.22(m,2H),7.08(dd,J=9.1,0.6Hz,1H),4.79(d,J=5.9Hz,2H),1.72(t,J=5.9Hz,1H)。
实施例18:6-((3'-(氨基甲基))-[1,1'-联苯基]-4-基)氧基)吡啶-3-胺
于氮气下,将2-((4'-((5-氨基吡啶基-2-基)氧基)-[1,1'-联苯基-3-基)甲基)异吲哚啉-1,3-二酮(51mg,0.121mmol)悬浮于甲醇(1mL,0.1M)中(于室温下溶解度差)。加入水合肼(15mg,0.30mmol)。将该黄色溶液回流过夜。当其置于室温时,沉淀出白色固体。将反应混合物过滤并将滤液浓缩。粗残余物以Biotage Isolera Four(KP-sil 25g管柱,DCM/MeOH,MeOH 1-15%;28CV)纯化,得到呈浅黄色固体的6-((3'-(氨基甲基)-[1,1'-联苯基]-4-基)氧基]吡啶-3-胺(20mg,0.07mmol,产率57%)。
C18H17N3O;分子量为291.35g.mol-1;1H NMR(400MHz,DMSO-d6)δ7.66(d,J=1.8Hz,1H),7.65–7.61(m,2H),7.57(d,J=2.9Hz,1H),7.52(dt,J=7.7,1.5Hz,1H),7.41(t,J=7.6Hz,1H),7.33(d,J=7.7Hz,1H),7.10(dd,J=8.6,3.0Hz,1H),7.06–7.02(m,2H),6.81(d,J=8.6Hz,1H),5.13(s,2H),3.88(s,2H)。
所述起始原料的制备如下:
步骤1:2-((4'-((5-硝基吡啶-2-基)氧基)-[1,1'-联苯基]-3-基)甲基)异吲哚啉-1,3-二酮
于氮气下,将(4'-((5-硝基吡啶-2-基)氧基)-[1,1'-联苯基]-3-基)甲醇(0.117g,0.363mmol)、三苯基膦(0.115g,0.438mmol)和邻苯二甲酰亚胺(0.068g,0.46mmol)加入25mL圆底烧瓶中,然后加入四氢呋喃(THF)(2mL)。于0℃下逐滴加入偶氮二羧酸二异丙酯(0.075mL,0.39mmol)。将该黄色溶液于室温下搅拌(2天)。浓缩混合物,并将粗萃物以Biotage Isolera Four(KP-sil 25g柱,环己烷/EtOAc,EtOAc0-40%,15CV)纯化,得到呈黄色泡沫的2-((4'-((5-硝基吡啶-2-基)氧基)-[1,1'-联苯基]-3-基)甲基)异吲哚啉-1,3-二酮(158mg,0.350mmol,产率96%)。
C26H17N3O5;分子量为451.44g.mol-1;1H NMR(400MHz,CDCl3)δ9.07(dd,J=2.8,0.6Hz,1H),8.49(dd,J=9.0,2.8Hz,1H),7.87-7.84(m,2H),7.72(dd,J=5.5,3.0Hz,2H),7.66(d,J=1.8Hz,1H),7.66-7.62(m,2H),7.50(dt,J=7.3,1.7Hz,1H),7.47-7.43(m,1H),7.40(t,J=7.5Hz,1H),7.24-7.20(m,2H),7.07(dd,J=9.0,0.6Hz,1H),4.92(s,2H).TLC(环己烷/EtOAc 7:3)Rf=0.42。
步骤2:2-((4'-((5-氨基吡啶-2-基)氧基)-[1,1'-联苯基]-3-基)甲基)异吲哚啉-1,3-二酮
于氮气下,将2-((4'-((5-硝基吡啶-2-基)氧基)-[1,1'-联苯基-3-基)甲基)异吲哚啉-1,3-二酮(158mg,0.350mmol)悬浮于EtOAc(3mL)中。加入Pd/C(10%,16mg),得到黑色悬浮液,将其在氢气气氛(1atm)下搅拌过夜。通过硅藻土过滤反应混合物,并浓缩滤液,得到170mg黄色油状的粗产物。该粗产物以Biotage Isolera Four(KP-sil 25g柱,环己烷/EtOAc,EtOAc 12-100%,18CV)纯化,得到呈黄色胶状物的2-((4'-((5-氨基吡啶-2-基)氧基)-[1,1'-联苯基]-3-基)甲基)异吲哚啉-1,3-二酮(100mg,0.200mmol,产率67%)。
C26H19N3O3;分子量为421.46g.mol-1;1H NMR(400MHz,CDCl3)δ7.85(dd,J=5.4,3.1Hz,2H),7.75(dd,J=3.0,0.7Hz,1H),7.71(dd,J=5.5,3.0Hz,2H),7.63(s,1H),7.56-7.52(m,2H),7.47(dt,J=7.0,1.8Hz,1H),7.43-7.34(m,2H),7.14-7.09(m,3H),6.81(dd,J=8.7,0.6Hz,1H),4.90(s,2H)。
实施例19:2-(4'-((5-氨基吡啶-2-基)氧基)-[1,1'-联苯基]-3-基)乙酰胺
依照通用方法B,自2-(4'-((5-硝基吡啶-2-基)氧基)-[1,1'-联苯基]-3-基)乙酰胺(21mg,0.060mmol)获得89%产率的2-(4'-((5-氨基吡啶-2-基)氧基)-[1,1'-联苯基]-3-基)乙酰胺(17mg,0.053mmol)。
C19H17N3O2;分子量为319.36g.mol-1;1H NMR(400MHz,CDCl3)δ7.74(d,J=2.9Hz,1H),7.56(d,J=8.6Hz,2H),7.53-7.46(m,2H),7.42(t,J=7.6Hz,1H),7.24(s,1H),7.17-7.06(m,3H),6.82(d,J=8.6Hz,1H),5.37(d,J=24.0Hz,2H),3.66(s,2H)。
所述起始原料的制备如下:
步骤1:2-(4'-((5-5-硝基吡啶-2-基)氧基)-[1,1'-联苯基]-3-基)乙腈
依照通用方法E,自2-(4-溴苯氧基)-5-硝基吡啶(500mg,1.69mmol;实施例10:步骤1)和2-(3-(4,4,5,5-四甲基-1,3,2-二氧硼杂环戊烷-2)-基)苯基)乙腈(536mg,2.20mmol)获得99%产率的2-(4'-((5-硝基吡啶-2-基)氧基)-[1,1'-联苯基]-3-基)乙腈(432mg,1.7mmol)。
C19H13N3O3;分子量为331.33g.mol-1;1H NMR(400MHz,CDCl3)δ9.07(d,J=2.7Hz,1H),8.51(dd,J=9.1,2.8Hz,1H),7.69-7.63(m,2H),7.57(d,J=6.7Hz,2H),7.47(t,J=8.0Hz,1H),7.33(d,J=7.9Hz,1H),7.28-7.24(d,2H),7.10(d,J=9.0Hz,1H),3.84(s,2H)。
步骤2:2-(4'-((5-硝基吡啶-2-基)氧基)-[1,1'-联苯基]-3-基)乙酰胺
于0℃下将H2SO4(500ul;9.0mmol)缓慢添加至2-(4'-((5-硝基吡啶-2-基)氧基)-[1,1'-联苯基]-3-基)乙腈(50mg,0.18mmol)。将该混合物于室温下搅拌过夜。将该溶液倒入冰水中,并以2M NaOH水溶液中和。然后使用2M HCl水溶液获得pH=6的溶液。将水层以EtOAc洗涤3次。粗产物以Biotage Isolera Four(KP-sil 25g柱,环己烷/EtOAc,EtOAc 0至100%,18CV)纯化,得到呈黄色胶状物的2-(4'-((5-硝基吡啶-2-基)氧基)-[1,1'-联苯基]-3-基)乙酰胺(30mg,0.100mmol,产率57%)。
C19H15N3O4;分子量为349.35g.mol-1;1H NMR(400MHz,CDCl3)δ9.07(d,J=2.8Hz,1H),8.51(dd,J=9.1,2.8Hz,1H),7.66(d,J=8.6Hz,2H),7.57-7.51(m,2H),7.46(t,J=7.7Hz,1H),7.30(d,1H),7.24(d,2H),7.09(d,J=9.0Hz,1H),5.43-5.32(m,2H),3.67(s,2H)。
实施例20:6-((2-(4-氨基苯氧基)-[1,1'-联苯基]-4-基)氧基)吡啶-3-胺
依照通用方法B,自5-硝基-2-((2-(4-硝基苯氧基)-[1,1'-联苯基]-4-基)氧基)吡啶(166mg,0.387mmol)获得32%产率的6-((2-(4-硝基苯氧基)-[1,1'-联苯基]-4-基)氧基)吡啶-3-胺(50mg,0.13mmol)。然后将6-((2-(4-硝基苯氧基)-[1,1'-联苯基]-4-基)氧基)吡啶-3-胺(50mg,0.130mmol)悬浮于MeOH(1.5mL,0.08M)。加入Pd/C(10%,6.7mg),得到黑色悬浮液。将混合物在氢气气氛(1atm)下搅拌过夜。通过硅藻土垫过滤反应混合物。浓缩滤液。粗产物以Biotage Isolera Four(KP-sil 10g柱,环己烷/EtOAc,EtOAc 50-100%,22CV)纯化,得到呈橙色固体的6-((2-(4-氨基苯氧基)-[1,1'-联苯基]-4-基)氧基)吡啶-3-胺(40mg,0.110mmol,86%)。C23H19N3O2;分子量为369.42g.mol-1;1H NMR(400MHz,CDCl3)δ7.72(d,J=2.9Hz,1H),7.57(d,J=7.1Hz,2H),7.40-7.34(m,4H),7.07(dd,J=8.6,3.0Hz,1H),6.84(d,J=8.8Hz,2H),6.80-6.74(m,2H),6.64-6.60(m,3H)。
所述起始原料的制备如下:
步骤1:4-甲氧基-[1,1'-联苯基]-2-醇
于氮气下,将苯基硼酸(310mg,2.50mmol)、2-溴-5-甲氧基苯酚(0.41g,2.00mmol)、碳酸钾(0.66g,4.70mmol)、水(4mL)和2-丙醇(16mL)加入500mL圆底烧瓶中。然后加入双(三苯基膦)氯化钯(II)(140mg,0.20mmol),将黄色悬浮液于室温搅拌20分钟,然后加热至回流(16小时)。将混合物通过硅藻土垫过滤,并将滤液在真空下浓缩。将水与EtOAc加入到残余物中。分离各层,水层以EtOAc洗涤(两次)。合并所有有机层,干燥(Na2SO4),过滤并真空浓缩。粗产物以Biotage Isolera Fourion(KP-sil 50g柱,己烷/EtOAc,EtOAc 2-20%,16CV)纯化,得到呈棕色油状物的4-甲氧基-[1,1'-联苯基]-2-醇(0.87g,产率84%)。
C13H12O2;分子量为200.24g.mol-1;1H NMR(400MHz,CDCl3)δ7.51-7.41(m,4H),7.38(d,J=7.1Hz,1H),7.19-7.12(m,1H),6.57(d,J=7.1Hz,2H),5.25(s,1H),3.83(s,3H)。
步骤2:4-甲氧基-2-(4-硝基苯氧基)-1,1'-联苯
依照通用方法A,自4-甲氧基-[1,1'-联苯基]-2-醇(0.244g,1.20mmol)和1-氟-4-硝基苯(0.200g,1.40mmol)获得66%产率的4-甲氧基-2-(4-硝基苯氧基)-1,1'-联苯(0.255g,0.794mmol)。
C19H15NO4;分子量为321.33g.mol-1;1H NMR(400MHz,CDCl3)δ8.11-8.05(m,2H),7.43(d,J=8.6Hz,1H),7.41-7.37(m,2H),7.29(t,J=7.4Hz,2H),7.24-7.20(m,1H),6.92(dd,J=8.6,2.6Hz,1H),6.90-6.85(m,2H),6.68(d,J=2.6Hz,1H),3.84(s,3H)。TLC(环己烷/EtOAc 9:1)Rf=0.39。
步骤3:2-(4-硝基苯氧基)-[1,1'-联苯基]-4-醇
于氮气下,在100mL圆底烧瓶中,将4-甲氧基-2-(4-硝基苯氧基)-1,1'-联苯(255mg,0.794mmol)溶解于CH2Cl2(10mL,0.06M)中。将该棕色溶液冷却至0℃。以注射泵在1小时内滴加BBr3的CH2Cl2溶液(0.5M,2.38mL,1.19mmol)。使该溶液达到室温,然后搅拌4小时。将混合物于0℃下以水淬灭,然后以6MNaOH水溶液中和。分离各层,水层以CH2Cl2洗涤(两次),合并的有机层以盐水洗涤,干燥(Na2SO4),过滤并浓缩。粗产物以Biotage IsoleraFourion(KP-sil 25g柱,环己烷/EtOAc,EtOAc 0-15%,22CV)纯化,得到呈黄色固体的139mg的2-(4-硝基苯氧基)-[1,1'-联苯]-4-醇(产率51%)。
C18H13NO4;分子量为307.31g.mol-1;1H NMR(400MHz,CDCl3)δ8.12-8.06(m,2H),7.41-7.35(m,3H),7.29(t,J=7.5Hz,2H),7.25-7.22(m,1H),6.91-6.86(m,2H),6.84(dd,J=8.4,2.5Hz,1H),6.64(d,J=2.5Hz,1H),4.94(s,1H)。
步骤4:5-硝基-2-((2-(4-硝基苯氧基)-[1,1'-联苯基]-4-基)氧基]吡啶
依照通用方法A,自2-(4-硝基苯氧基)-[1,1'-联苯基]-4-醇(139mg,0.452mmol)和2-氯-5-硝基吡啶(72mg,0.452mmol)获得86%产率的5-硝基-2-((2-(4-硝基苯氧基)-[1,1'-联苯基]-4-基)氧基]吡啶(166mg,0.387mmol)。
C23H15N3O6;分子量为429.39g.mol-1;1H NMR(400MHz,CDCl3)δ9.07(d,J=2.8Hz,1H),8.52(dd,J=9.0,2.8Hz,1H),8.14-8.09(m,2H),7.58(d,J=8.5Hz,1H),7.49-7.44(m,2H),7.38-7.28(m,3H),7.19(dd,J=8.5,2.4Hz,1H),7.11(d,J=9.0Hz,1H),7.00(d,J=2.4Hz,1H),6.97-6.93(m,2H)。
实施例21:6,6'-([1,1'-联苯基]-2,4-二基双(氧基))双(吡啶-3-胺)
依照通用方法B,自6,6'-([1,1'-联苯基]-2,4-二基双(氧基))双(3-硝基吡啶)(90mg,0.31mmol)获得13%产率的6,6'-([1,1'-联苯基]-2,4-二基双(氧基))双(吡啶-3-胺)。
C22H18N4O2;分子量为370.41g.mol-1;1H NMR(400MHz,CDCl3)δ7.75(d,J=2.9Hz,1H),7.66(d,J=2.9Hz,1H),7.53-7.48(m,2H),7.38(d,J=8.5Hz,1H),7.32(t,J=7.4Hz,3H),7.09(dd,J=8.7,2.9Hz,1H),7.01-6.96(m,1H),6.92(dd,J=8.4,2.3Hz,1H),6.82-6.78(m,2H),6.62(d,J=8.7Hz,1H)。
所述起始原料的制备如下:
步骤1:6,6'-((4-溴-1,3-亚苯基)双(氧基))双(3-硝基吡啶)
依照通用方法A,自4-溴间苯二酚(150mg,0.78mmol)和2-氯-5-硝基吡啶(260mg,1.60mmol)获得97%产率的6,6'-((4-溴-1,3-亚苯基)双(氧基))双(3-硝基吡啶)(320mg,0.74mmol)。
C16H9BrN4O6;分子量为433.17g.mol-1;1H NMR(400MHz,CDCl3)δ9.05(dd,J=2.8,0.6Hz,1H),9.02(dd,J=2.8,0.6Hz,1H),8.52(ddd,J=9.0,8.3,2.8Hz,2H),7.73(d,J=8.7Hz,1H),7.18-7.05(m,4H)。
步骤2:6,6'-([1,1'-联苯基]-2,4-二基双(氧基))双(3-硝基吡啶)
于氮气下,将苯基硼酸(120mg,0.96mmol)、6,6'-((4-溴-1,3-亚苯基)双(氧基))双(3-硝基吡啶)(320mg,0.74mmol)、碳酸钾(210mg,1.50mmol)、水(1mL)和2-丙醇(6mL)加入250mL圆底烧瓶中。然后加入双(三苯基膦)氯化钯(II)(51mg,0.071mmol),将该黄色悬浮液于室温下搅拌5分钟,然后加热至回流(16小时)。将混合物通过硅藻土垫过滤,并将滤液在真空下浓缩。将水及EtOAc加入到残余物中。分离各层,水层以EtOAc洗涤(两次)。合并所有有机层,干燥(Na2SO4),过滤并真空浓缩。粗产物以Biotage Isolera Four(KP-sil 50g柱,环己烷/EtOAc,EtOAc 0-25%,22CV)纯化,得到呈无色油状物的6,6'-([1,1'-联苯基]-2,4-二基双(氧基)双(3-硝基吡啶)(90mg,产率28%)。
C22H14N4O6;分子量为430.38g.mol-1;1H NMR(400MHz,CDCl3)δ9.09(dd,J=2.8,0.6Hz,1H),8.92(dd,J=2.8,0.6Hz,1H),8.52(dd,J=9.0,2.8Hz,1H),8.34(dd,J=9.0,2.8Hz,1H),7.56(d,J=8.4Hz,1H),7.45-7.40(m,2H),7.35-7.27(m,3H),7.23(dd,J=8.5,2.4Hz,1H),7.16-7.10(m,2H),6.90(dd,J=9.0,0.6Hz,1H)。
实施例22:6-((2-(2-(4-氨基苯氧基)乙基)-[1,1'-联苯基]-4-基)氧基)吡啶-3-胺
依照通用方法B,自5-硝基-2-((2-(2-(4-硝基苯氧基)乙基))-[1,1'-联苯基]-4-基)氧基)吡啶(48mg,0.10mmol)获得12%产率的6-((2-(2-(4-(4-氨基苯氧基)乙基)-[1,1'-联苯基]-4-基)氧基)吡啶-3-胺(5mg,0.012mmol)。
C25H23N3O2;分子量为397.48g.mol-1;1H NMR(400MHz,CDCl3)δ7.75(d,J=3.0Hz,1H),7.42-7.38(m,2H),7.37-7.31(m,3H),7.20(d,J=8.3Hz,1H),7.13-7.07(m,2H),6.96(dd,J=8.3,2.5Hz,1H),6.82(d,J=8.6Hz,1H),6.59-6.51(m,4H),3.92(t,J=7.4Hz,2H),3.01(t,J=7.4Hz,2H)。
所述起始原料的制备如下:
步骤1:2-(2-溴-5-甲氧基苯基)醋酸
于250mL圆底烧瓶中,将2-(3-甲氧基苯基)醋酸(1.50g,9.00mmol)溶于CH2Cl2(25mL,0.36M)。于0℃和氮气下,分批加入N-溴琥珀酰亚胺(1.80g,9.90mmol)。将无色溶液于室温下搅拌3小时。将水加入该混合物中,并分离各层。水层以CH2Cl2洗涤。合并所有有机层并以盐水洗涤,干燥(Na2SO4),过滤并浓缩,得到呈橙色固体状的2-(2-溴-5-甲氧基苯基)醋酸(2.22g,产率100%)。
C9H9BrO3;分子量为245.07g.mol-1;1H NMR(400MHz,CDCl3)δ7.46(d,J=8.8Hz,1H),6.86(d,J=3.0Hz,1H),6.73(dd,J=8.8,3.0Hz,1H),3.81(s,2H),3.79(s,3H)。
步骤2:2-(2-溴-5-甲氧基苯基)乙烷-1-醇
于250mL的圆底烧瓶中,将2-(2-溴-5-甲氧基苯基)醋酸(2.22g,9.06mmol)溶解于无水THF(16mL,0.55M)中。将该黄色溶液冷却至0℃,并滴加LiAlH4(2.30ml,5.5mmol)的2.4M THF溶液。将该黄色溶液于室温下搅拌(2小时)。将反应混合物于0℃下以1M NaOH(10mL)淬灭。蒸发THF,加入CH2Cl2和水。将浑浊的混合物搅拌1小时。分离各层,水层以CH2Cl2洗涤。合并所有有机层,并以1M HCl、盐水洗涤,干燥(Na2SO4),过滤并浓缩,得到呈淡黄色油状物的2-(2-溴-5-甲氧基苯基)乙-1-醇(1.35g,产率65%)。
C9H11BrO2;分子量为231.09g.mol-1;1H NMR(400MHz,CDCl3)δ7.43(d,J=8.8Hz,1H),6.83(d,J=3.0Hz,1H),6.67(dd,J=8.8,3.1Hz,1H),3.88(t,J=6.6Hz,2H),3.78(s,3H),2.99(t,J=6.6Hz,2H)。
步骤3:1-溴-4-甲氧基-2-(2-(4-硝基苯氧基)乙基)苯
于25mL的圆底烧瓶中,将2-(2-溴-5-甲氧基苯基)乙-1-醇(190mg,0.82mmol)溶解在干燥的DMF(3mL,0.3M)中。分批加入NaH(60%,42mg,1.00mmol),得到深黄色悬浮液。将该溶液于室温下搅拌(15分钟),然后加入1-氟-4-硝基苯(110mg,0.78mmol)。将该深绿色悬浮液于室温搅拌过夜。加入水以淬灭混合物,然后加入EtOAc。各层是分开的。将水层以EtOAc洗涤。合并所有有机层,以盐水洗涤,干燥(Na2SO4),过滤并浓缩。粗产物以Biotage IsoleraFour(KP-sil 25g柱,环己烷/EtOAc,EtOAc 0-20%,16CV)纯化,得到呈黄色固体的1-溴-4-甲氧基-2-(2-(4-硝基苯氧基)乙基)苯(150mg,产率60%)。
C15H14BrNO4;分子量为352.18g.mol-1;1H NMR(400MHz,CDCl3)δ8.22-8.16(m,2H),7.45(d,J=8.8Hz,1H),6.98-6.93(m,2H),6.88(d,J=3.0Hz,1H),6.70(dd,J=8.8,3.0Hz,1H),4.28(t,J=7.0Hz,2H),3.79(s,3H),3.23(t,J=7.0Hz,2H).TLC(环己烷/EtOAc 9:1)Rf=0.28。
步骤4:4-甲氧基-2-(2-(4-硝基苯氧基)乙基)-1,1'-联苯
于氮气下,将苯基硼酸(63mg,0.51mmol)、1-溴-4-甲氧基-2-(2-(4-硝基苯氧基)乙基)苯(150mg,0.43mmol)、碳酸钾(154mg,1.11mmol)、水(1mL)和2-丙醇(4mL)加入250mL的圆底烧瓶中。然后加入双(三苯基膦)氯化钯(II)(39mg,0.054mmol),将该黄色悬浮液于室温搅拌5分钟,然后加热至回流(16小时)。将混合物通过硅藻土垫过滤,并将滤液在真空下浓缩。将水与EtOAc加入到残余物中。分离各层,水层以EtOAc洗涤(两次)。合并所有有机层,干燥(Na2SO4),过滤并真空浓缩。粗产物以Biotage Isolera Four(KP-sil 50g柱,环己烷/EtOAc,EtOAc 0-30%,13CV)纯化,得到呈无色油状物的4-甲氧基-2-(2-(4-硝基苯氧基)乙基)-1,1'-联苯(120mg,产率81%)。
C21H19NO4;分子量为349.39g.mol-1;1H NMR(400MHz,CDCl3)δ8.12-8.06(m,2H),7.47-7.38(m,3H),7.34-7.30(m,2H),7.19(d,J=8.4Hz,1H),6.92(d,J=2.6Hz,1H),6.86(dd,J=8.4,2.7Hz,1H),6.70-6.64(m,2H),4.06(t,J=7.4Hz,2H),3.85(s,3H),3.09(t,J=7.4Hz,2H)。
步骤5:2-(2-(4-硝基苯氧基)乙基)-[1,1'-联苯基]-4-醇
于氮气下,在100mL的圆底烧瓶中,将4-甲氧基-2-(2-(4-硝基苯氧基)乙基)-1,1'-联苯(115mg,0.329mmol)溶于CH2Cl2(4mL,0.9M)。将该棕色溶液冷却至0℃。以注射泵在30分钟内滴加BBr3的CH2Cl2溶液(0.5M,1.0mL,0.50mmol)。使溶液达到室温,然后搅拌2.3小时。将混合物在0℃下以水淬灭,然后以6M NaOH水溶液中和。分离各层,并以CH2Cl2(两次)再次萃取水层。合并的有机层以盐水洗涤,干燥(Na2SO4),过滤并浓缩。粗产物以BiotageIsolera Four(KP-sil 25g柱,环己烷/EtOAc,EtOAc 5-40%,13CV)纯化,得到呈黄色油状物的2-(2-(4-硝基苯氧基)乙基)-[1,1'-联苯基]-4-醇(47mg,产率41%)。
C20H17NO4;分子量为349.39g.mol-1;1H NMR(400MHz,CDCl3)δ8.13-8.07(m,2H),7.47-7.38(m,3H),7.33-7.28(m,2H),7.13(d,J=8.2Hz,1H),6.86(d,J=2.7Hz,1H),6.78(dd,J=8.3,2.7Hz,1H),6.70-6.65(m,2H),4.76(s,1H),4.05(t,J=7.4Hz,2H),3.07(t,J=7.4Hz,2H)。
步骤6:5-硝基-2-((2-(2-(4-硝基苯氧基)乙基)-[1,1'-联苯基]-4-基)氧基)吡啶
依照通用方法A,自2-(2-(4-硝基苯氧基)乙基)-[1,1'-联苯基]-4-醇(47mg,0.14mmol)和2-氯-5-硝基吡啶(27mg,0.17mmol)获得75%产率的5-硝基-2-((2-(2-(4-(4-硝基苯氧基)乙基))-[1,1'-联苯基]-4-基)氧基)吡啶(48mg,0.10mmol)。C25H19N3O6;分子量为457.44g.mol-1;1H NMR(400MHz,CDCl3)δ9.08(dd,J=2.8,0.6Hz,1H),8.51(dd,J=9.0,2.8Hz,1H),8.13-8.07(m,2H),7.49-7.43(m,3H),7.40-7.32(m,3H),7.20(d,J=2.4Hz,1H),7.15-7.08(m,2H),6.72-6.66(m,2H),4.08(t,J=7.2Hz,2H),3.14(t,J=7.2Hz,2H)。
实施例23:N-甲基-6-((6-苯基吡啶-3-基)氧基)吡啶-3-胺
于惰性气氛下向新鲜制备的MeONa(4.4当量,2.609mmol)在MeOH中的溶液(0.15M)加入6-((6-苯基吡啶-3-基)氧基)吡啶-3-胺(1.0当量,0.588mmol,加入155mg;实施例3)。将如此获得的悬浮液搅拌0.5小时并成为溶液。然后将多聚甲醛(1.4当量,0.824mmol,27mg)在MeOH(1ml)中的悬浮液倒入先前的溶液中,并将混合物搅拌14小时。将NaBH4(2.0当量,1.165mmol,45mg)加入反应中,并将混合物搅拌3小时(通过TLC监测完成)。最后将混合物于0℃下以水稀释。将水层以EtOAc萃取3次。合并的有机层经Na2SO4干燥,过滤并浓缩。通过使用EtOAc/环己烷(15%至70%)作为洗脱剂的快速组合柱色谱法纯化粗产物,得到N-甲基-6-((6-苯基吡啶-3-基)氧基)吡啶-3-胺(0.436mmol,121mg,产率74%)。C17H15N3O;分子量为277.33g.mol-1;固体;1H NMR(400MHz,CDCl3)δ8.52(d,J=2.7Hz,1H),7.95(d,J=7.5Hz,2H),7.71(d,J=8.6Hz,1H),7.63(d,J=3.0Hz,1H),7.51-7.42(m,3H),7.38(t,J=7.3Hz,1H),7.05(dd,J=8.7,3.0Hz,1H),6.89(d,J=8.7Hz,1H),2.86(s,3H)。
实施例24:6-(4-(吡啶-2-基)苯氧基)吡啶-3-胺
依照通用方法B,自5-硝基-2-(4-吡啶基)-2-基)苯氧基)吡啶(100mg,0.341mmol)获得67%产率的6-(4-(吡啶-2-基)苯氧基)吡啶-3-胺(0.23mmol,60mg)。
C16H13N3O;分子量为263.30g.mol-1;1H NMR(400MHz,CDCl3)δ8.67(dd,J=4.8,0.8Hz,1H),7.98(d,J=8.7Hz,2H),7.76-7.66(m,3H),7.23-7.17(m,1H),7.15(d,J=8.8Hz,2H),7.12-7.06(m,1H),6.81(d,J=8.6Hz,1H),3.24(s,2H)。
所述起始原料的制备如下:
步骤1:5-硝基-2-(4-(吡啶-2-基)苯氧基)吡啶
依照通用方法A,自4-(吡啶-2-基)苯酚(1.75mmol,0.300g)和2-氯-5-硝基吡啶(1.75mmol,0.278g)获得97%产率的5-硝基-2-(4-(吡啶-2-基)苯氧基)吡啶(500mg,1.70mmol)。
C16H11N3O3;分子量为293.28g.mol-1;1H NMR(300MHz,CDCl3)δ9.11-9.05(m,1H),8.91-8.85(m,1H),8.62(d,J=4.8Hz,1H),8.52(dd,J=9.1,2.8Hz,1H),7.94-7.85(m,1H),7.67(d,J=8.6Hz,2H),7.42-7.36(m,1H),7.29(d,J=8.6Hz,2H),7.11(d,J=9.0Hz,1H)。
实施例25:6-(4-(吡啶-3-基)苯氧基)吡啶-3-胺
依照通用方法B,自5-硝基-2-(4-(吡啶-3-基)苯氧基)吡啶(710mg,2.42mmol)获得52%产率的6-(4-(吡啶-3-基)苯氧基)吡啶-3-胺(1.25mmol,330mg)。
C16H13N3O;分子量为263.30g.mol-1;1H NMR(400MHz,CDCl3)δ8.85-8.81(m,1H),8.56(dd,J=4.8,1.6Hz,1H),7.84(ddd,J=7.9,2.4,1.6Hz,1H),7.74(dd,J=3.0,0.6Hz,1H),7.55(d,J=8.7Hz,2H),7.34(ddd,J=7.9,4.8,0.9Hz,1H),7.17(d,J=8.7Hz,2H),7.11(dd,J=8.6,3.0Hz,1H),6.83(dd,J=8.6,0.7Hz,1H),3.48(s,2H)。
所述起始原料的制备如下:
步骤1:5-硝基-2-(4-(吡啶-3-基)苯氧基)吡啶
依照通用方法A,自4-(吡啶-3-基)苯酚(2.34mmol,0.400g)和2-氯-5-硝基吡啶(2.34mmol,0.370g)获得40%产率的5-硝基-2-(4-(吡啶-3-基)苯氧基)吡啶(270mg,0.92mmol)。
C16H11N3O3;分子量为293.28g.mol-1;1H NMR(300MHz,CDCl3)δ9.07(dd,J=2.8,0.6Hz,1H),8.70(ddd,J=4.8,1.7,1.1Hz,1H),8.50(dd,J=9.1,2.8Hz,1H),8.10(d,J=8.9Hz,2H),7.79-7.74(m,2H),7.28(d,J=9.0Hz,3H),7.08(dd,J=9.1,0.6Hz,1H)。
实施例26:6-(4-(吡啶-4-基)苯氧基)吡啶-3-胺
依照通用方法B,自5-硝基-2-(4-(吡啶-4-基)苯氧基)吡啶(19mg,0.672mmol)获得57%产率的6-(4-(吡啶-4-基)苯氧基)吡啶-3-胺(0.40mmol,100mg)。
C16H13N3O;分子量为263.30g.mol-1;1H NMR(400MHz,CDCl3)δ8.64(dd,J=4.6,1.6Hz,2H),7.75(d,J=3.0Hz,1H),7.66-7.60(m,2H),7.50(dd,J=4.6,1.6Hz,2H),7.20-7.10(m,3H),6.85(d,J=8.6Hz,1H)。
所述起始原料的制备如下:
步骤1:5-硝基-2-(4-(吡啶-4-基)苯氧基)吡啶
依照通用方法E,自2-(4-溴苯氧基)-5-硝基吡啶(50mg,0.17mmol;实施例10:步骤1)和吡啶-4-基硼酸(25mg,0.20mmol)获得95%产率的5-硝基-2-(4-(吡啶-4-基)苯氧基)吡啶(33mg,0.11mmol)。
C16H11N3O3;分子量为293.28g.mol-1;1H NMR(300MHz,CDCl3)δ9.06(d,J=2.7Hz,1H),8.69(d,J=6.2Hz,2H),8.62(dd,J=9.1,2.7Hz,1H),7.70(d,J=8.7Hz,2H),7.52(d,J=6.2Hz,2H),7.30(d,J=8.7Hz,2H),7.11(d,J=9.1Hz,1H)。
依照通用方法C,自6-((4'-氟-[1,1'-联苯基]-4-基)氧基)吡啶-3-胺(0.303mmol,65mg;实施例10)获得73%产率的6-((4'-氟-[1,1'-联苯基]-4-基]氧基)-N-甲基吡啶-3-胺(0.221mmol,85mg)。
C18H15FN2O;分子量为294.33g.mol-1;1H NMR(400MHz,CDCl3)δ7.68(d,J=3.0Hz,1H),7.53-7.47(m,4H),7.14-7.08(m,4H),7.05(dd,J=8.7,3.0Hz,1H),6.86(d,J=8.7Hz,1H),2.86(s,3H)。
实施例28:6-((4'-氟-[1,1'-联苯基]-4-基)氧基)-2-甲基吡啶-3-胺
依照通用方法B,自6-((4'-氟-[1,1'-联苯基]-4-基]氧基)-2-甲基-3-硝基吡啶(1.54mmol,500mg)获得72%产率的6-((4'-氟-[1,1'-联苯基]-4-基)氧基)-2-甲基吡啶-3-胺(1.11mmol,330mg)。
C18H15FN2O;分子量为294.33g.mol-1;1H NMR(400MHz,DMSO-d6)δ7.71-7.63(m,2H),7.63-7.56(m,2H),7.32-7.22(m,2H),7.08(d,J=8.3Hz,1H),7.02-6.96(m,2H),6.67(d,J=8.3Hz,1H),4.90(s,2H),2.18(s,3H)。
所述起始原料的制备如下:
步骤1:6-(4-溴苯氧基)-2-甲基-3-硝基吡啶
依照通用方法A,自6-氯-2-甲基-3-硝基吡啶(29mmol,5.00g)和4-溴苯酚(32mmol,5.50g)获得93%产率的6-(4-溴苯氧基)-2-甲基-3-硝基吡啶(26.9mmol,8.31g)。
C12H9BrN2O3;分子量为309.12g mol-1;1H NMR(400MHz,CDCl3)δ8.38(d,J=8.9Hz,1H),7.72-7.42(m,2H),7.15-6.99(m,2H),6.84(d,J=8.9Hz,1H),2.73(s,3H)。
步骤2:6-((4'-氟-[1,1'-联苯基]-4-基)氧基]-2-甲基-3-硝基吡啶
依照通用方法E,将(4-氟苯基)硼酸(4.85mmol,679mg)、6-(4-溴苯氧基)-2-甲基-3-硝基吡啶(3.23mmol,1.00g)、K2CO3(8.09mmol,1.12g)和Pd(PPh3)4(0.162mmol,187mg,5%摩尔)于二噁烷/H2O(0.1M)中的混合物以90%的产率转化为6-((4'-氟-[1,1'-联苯基]-4-基)氧基)-2-甲基-3-硝基吡啶(2.94mmol,900mg)。C18H13FN2O3;分子量为324.31g.mol-1;1H NMR(400MHz,CDCl3)δ8.38(d,J=8.9Hz,1H),7.62-7.58(m,2H),7.58-7.53(m,2H),7.25-7.21(m,2H),7.19-7.11(m,2H),6.84(dd,J=8.9,0.7Hz,1H),2.77(s,3H)。
实施例29:6-((4'-氟-[1,1'-联苯基]-4-基)氧基)-4-甲基吡啶-3-胺
依照通用方法B,自2-((4'-氟-[1,1'-联苯基]-4-基)氧基)-4-甲基-5-硝基吡啶(555mmol,0.180g)获得86%产率的6-((4'-氟-[1,1'-联苯基]-4-基)氧基)-4-甲基吡啶-3-胺(476mmol,0.140g)。
C18H15FN2O;分子量为294.33g.mol-1;1H NMR(400MHz,CDCl3)δ7.69(s,1H),7.54-7.46(m,4H),7.14-7.06(m,4H),6.72(s,1H),2.20(s,3H),2.07(s,2H)。
所述起始原料的制备如下:
步骤1:2-(4-溴苯氧基)-4-甲基-5-硝基吡啶
依照通用方法A,自4-溴苯酚(31.9mmol,5.51g)和2-氯-4-甲基-5-硝基吡啶(29mmol,5.00g)获得40%产率的2-(4-溴苯氧基)-4-甲基-5-硝基吡啶(11mmol,3.50g)。
C12H9BrN2O3;分子量为309.12g.mol-1;1H NMR(400MHz,CDCl3)δ8.86(s,1H),7.55(d,J=8.9Hz,2H),7.04(d,J=8.9Hz,2H),6.86(d,J=1.0Hz,1H),2.68(app d,J=1.0Hz,3H)。
步骤2:2-((4'-氟-[1,1'-联苯基]-4-基)氧基)-4-甲基-5-硝基吡啶
依照通用方法E,自2-(4-溴苯氧基)-4-甲基-5-硝基吡啶(1.13mmol,0.350mg)和(4-氟苯基)硼酸(1.70mmol,0.238mg)获得82%产率的2-((4'-氟-[1,1'-联苯基]-4-基)氧基)-4-甲基-5-硝基吡啶(1.13mmol,0.30g)。
C18H13FN2O3;分子量为324.31g.mol-1;1H NMR(400MHz,CDCl3)δ8.91(s,1H),7.63-7.58(m,2H),7.57-7.52(m,2H),7.23-7.19(m,2H),7.17-7.11(m,2H),6.89(d,J=0.9Hz,1H),2.69(s,3H)。
实施例30:2-甲基-6-((6-苯基吡啶-3-基)氧基)吡啶-3-胺
依照通用方法B,自2-甲基-3-硝基-6-((6-苯基吡啶-3-基)氧基)吡啶(1.22mmol,374mg)获得89%产率的2-甲基-6-((6-苯基吡啶-3-基)氧基)吡啶-3-胺(1.08mmol,300mg)。
C17H15N3O;分子量为277.33g.mol-1;1H NMR(400MHz,DMSO-d6)δ8.40(d,J=2.5Hz,1H),8.15-7.98(m,2H),7.94(d,J=8.7Hz,1H),7.55-7.45(m,3H),7.44-7.37(m,1H),7.10(d,J=8.4Hz,1H),6.75(d,J=8.4Hz,1H),4.93(s,2H),2.17(s,3H)。
所述起始原料的制备如下:
步骤1:6-苯基吡啶-3-醇
依照通用方法D,将苯基硼酸(11.49mmol,1.40g)、6-溴吡啶-3-醇(5.75mmol,1.00g)、Na2CO3(11.49mmol,1.22g)和Pd(PPh3)4(0.287mmol,332mg)于3:1混合的DME/H2O(0.32M)中的混合物以61%的产率转化为6-苯基吡啶-3-醇(3.50mmol,600mg)。
C11H9NO;分子量为171.20g mol-1;1H NMR(400MHz,DMSO-d6)δ9.19(s,1H),7.40-7.34(m,1H),7.15-7.09(m,2H),6.95(dd,J=8.6,0.7Hz,1H),6.65-6.57(m,2H),6.54-6.49(m,1H),6.40(dd,J=8.6,2.9Hz,1H)。
步骤2:2-甲基-3-硝基-6-((6-苯基吡啶-3-基)氧基)吡啶
依照通用方法A,自6-氯-2-甲基-3-硝基吡啶(1.27mmol,220mg)获得95%产率的2-甲基-3-硝基-6-((6-苯基吡啶-3-基)氧基]吡啶(1.22mmol,374mg)。
C17H13N3O3;分子量为307.31g.mol-1;1H NMR(400MHz,CDCl3)δ8.60(dd,J=2.8,0.7Hz,1H),8.42(d,J=8.9Hz,1H),8.09-7.93(m,2H),7.82(dd,J=8.7,0.7Hz,1H),7.62(dd,J=8.7,2.8Hz,1H),7.56-7.40(m,3H),6.96(d,J=8.9Hz,1H),2.73(s,3H)。
实施例31:4-甲基-6-((6-苯基吡啶-3-基)氧基)吡啶-3-胺
依照通用方法B,自4-甲基-5-硝基-2-((6-苯基吡啶-3-基)氧基)吡啶(0.39mmol,120mg)获得78%产率的4-甲基-6-((6-苯基吡啶-3-基)氧基)吡啶-3-胺(0.30mmol,84mg)。
C17H15N3O;分子量为277.33g.mol-1;1H NMR(400MHz,CDCl3)δ8.51(dd,J=2.8,0.7Hz,1H),7.98-7.90(m,2H),7.71(dd,J=8.6,0.7Hz,1H),7.64(s,1H),7.50-7.42(m,3H),7.41-7.35(m,1H),6.77(s,1H),3.49(s,2H),2.22(s,3H)。
所述起始原料的制备如下:
步骤1:4-甲基-5-硝基-2-((6-苯基吡啶-3-基)氧基)吡啶
依照通用方法A,自6-苯基吡啶-3-醇(0.956mmol,164mg)和2-氯-4-甲基-5-硝基吡啶(0.869mmol,150mg)获得76%产率的4-甲基-5-硝基-2-((6-苯基吡啶-3-基)氧基)吡啶(0.664mmol,204mg)。
C17H13N3O3;分子量为307.31g.mol-1;1H NMR(400MHz,CDCl3)δ8.87(s,1H),8.57(d,J=2.7Hz,1H),8.02-7.97(m,2H),7.82(d,J=8.6Hz,1H),7.60(dd,J=8.6,2.7Hz,1H),7.52-7.39(m,3H),6.97(s,1H),2.71(s,3H)。
实施例32:2-甲基-6-(4-(噻唑-5-基)苯氧基)吡啶-3-胺
依照通用方法B,自5-(4-((6-甲基-5-硝基吡啶-2-基)氧基)苯基)噻唑(0.66mmol,206mg)获得64%产率的2-甲基-6-(4-(噻唑-5-基)苯氧基)吡啶-3-胺(0.42mmol,120mg)。
C15H13N3OS;分子量为283.35g.mol-1;1H NMR(400MHz,DMSO-d6)δ9.04(d,J=0.7Hz,1H),8.22(d,J=0.7Hz,1H),7.63(d,J=8.8Hz,2H),7.08(d,J=8.3Hz,1H),6.99(d,J=8.7Hz,2H),6.68(d,J=8.4Hz,1H),4.92(s,2H),2.17(s,3H)。
所述起始原料的制备如下:
步骤1:5-(4-((6-甲基-5-硝基吡啶-2-基)氧基)苯基)噻唑
依照通用方法D,将5-(4,4,5,5-四甲基-1,3,2-二氧硼杂环戊烷-2-基)噻唑(4.89mmol,1.03g)、6-(4-溴苯氧基)-2-甲基-3-硝基吡啶(3.26mmol,1.01g;实施例28,步骤1)、Na2CO3(8.15mmol,864mg)和Pd(PPh3)4(0.163mmol,188mg,5%摩尔)于4:1混合的二噁烷/H2O(0.06M)中的混合物以20%的产率转化为5-(4-((6-甲基-5-硝基吡啶-2-基)氧基)苯基)噻唑(0.67mmol,209mg)。
C15H11N3O3S;分子量为313.33g.mol-1;1H NMR(400MHz,DMSO-d6)δ9.10(app d,J=0.7Hz,1H),8.52(d,J=8.9Hz,1H),8.33(s,1H),7.91-7.71(m,2H),7.40-7.21(m,2H),7.11(d,J=8.9Hz,1H),2.60(s,3H)。
实施例33:4-甲基-6-(4-(噻唑-5-基)苯氧基)吡啶-3-胺
依照通用方法B,自5-(4-((4-甲基-5-硝基吡啶-2-基)氧基)苯基)噻唑(1.02mmol,0.320g)获得33%产率的4-甲基-6-(4-(噻唑-5-基)苯氧基)吡啶-3-胺(0.424mmol,0.120g)。
C15H13N3OS;分子量为283.35g.mol-1;1H NMR(400MHz,CDCl3)δ8.72(s,1H),8.00(s,1H),7.67(s,1H),7.54(d,J=8.7Hz,2H),7.09(d,J=8.7Hz,2H),6.73(s,1H),2.21(s,3H),2.04(s,2H)。
所述起始原料的制备如下:
步骤1:5-(4-((4-甲基-5-硝基吡啶-2-基)氧基)苯基)噻唑
依照通用方法E,自5-(4,4,5,5-四甲基-1,3-二氧戊环-2-基)噻唑(3.78mmol,0.799mg)和2-(4-溴苯氧基)-4-甲基-5-硝基吡啶(2.52mmol,0.780g;实施例29,步骤1)获得40%产率的5-(4-((4-甲基-5-硝基吡啶-2-基)氧基)苯基)噻唑(1.02mmol,0.320g)。
C15H11N3O3S;分子量为313.33g.mol-1;1H NMR(400MHz,CDCl3)δ8.89(s,1H),8.78(s,1H),8.07(s,1H),7.65(d,J=8.7Hz,2H),7.21(d,J=8.7Hz,2H),6.90(s,1H),2.69(s,3H)。
实施例34:N-甲基-6-(4-(噻唑-5-基)苯氧基)吡啶-3-胺
依照通用方法C,自6-(4-(噻唑)-5-基)苯氧基)吡啶-3-胺(0.30mmol,80mg;实施例11)获得59%产率的N-甲基-6-(4-(噻唑-5-基)苯氧基)吡啶-3-胺(0.18mmol,50mg)。
C15H13N3OS;分子量为283.35g.mol-1;1H NMR(400MHz,CDCl3)δ8.72(s,1H),8.00(s,1H),7.67(d,J=3.0Hz,1H),7.57-7.51(m,2H),7.13-7.07(m,2H),7.05(dd,J=8.7,3.1Hz,1H),6.86(d,J=8.7Hz,1H),2.86(s,3H)。
实施例35:2-甲基-6-(4-(噻唑-2-基)苯氧基)吡啶-3-胺
依照通用方法B,自2-(4-((6-甲基-5-硝基吡啶-2-基氧基)苯基)噻唑(0.638mmol,200mg)获得68%产率的2-甲基-6-(4-(噻唑-2-基)苯氧基)吡啶-3-胺(0.434mmol,123mg)。
C15H13N3OS;分子量为283.35g.mol-1;1H NMR(400MHz,CDCl3)δ7.85(d,J=8.8Hz,2H),7.76(d,J=3.3Hz,1H),7.22(d,J=3.3Hz,1H),7.01(d,J=8.8Hz,2H),6.97(d,J=8.4Hz,1H),6.59(d,J=8.4Hz,1H),2.30(s,3H)。
所述起始原料的制备如下:
步骤1:2-(4-((6-甲基-5-硝基吡啶-2-基)氧基)苯基)噻唑
依照通用方法A,自4-(2-噻唑基)苯酚(2.82mmol,500mg)和6-氯-2-甲基-3-硝基吡啶(3.10mmol,536mg)获得51%产率的2-(4-((6-甲基-5-硝基吡啶-2-基)氧基)苯基)噻唑(1.44mmol,0.450g)。
C15H11N3O3S;分子量为313.33g.mol-1;1H NMR(400MHz,CDCl3)δ8.39(d,J=8.9Hz,1H),8.04(d,J=8.5Hz,2H),7.88(s,1H),7.36(s,1H),7.25(d,J=8.2Hz,2H),6.87(d,J=8.9Hz,1H),2.74(s,3H)。
实施例36:4-甲基-6-(4-(噻唑-2-基)苯氧基)吡啶-3-胺
依照通用方法F,自2-(4-((4-甲基-5-硝基吡啶-2-基)氧基)苯基)噻唑(1.24mmol,390mg)获得94%产率的4-甲基-6-(4-(噻唑-2-基)苯氧基)吡啶-3-胺(1.16mmol,330mg)。
C15H13N3OS;分子量为283.35g.mol-1;1H NMR(400MHz,CDCl3)δ7.95-7.90(m,2H),7.83(d,J=3.3Hz,1H),7.69(s,1H),7.28(d,J=3.3Hz,1H),7.12-7.07(m,2H),6.73(s,1H),2.21(s,3H)。
所述起始原料的制备如下:
步骤1:2-(4-((4-甲基-5-硝基吡啶-2-基)氧基)苯基)噻唑
依照通用方法A,自4-(噻唑-2-基)苯酚(1.91mmol,339mg)和2-氯-4-甲基-5-硝基吡啶(1.74mmol,300mg)获得72%产率的2-(4-((4-甲基-5-硝基吡啶-2-基)氧基)苯基)噻唑(1.24mmol,390mg)。
C15H11N3O3S;分子量为313.33g.mol-1;1H NMR(400MHz,CDCl3)δ8.89(s,1H),8.09-7.99(m,2H),7.87(d,J=3.3Hz,1H),7.34(d,J=3.3Hz,1H),7.25-7.20(m,2H),6.90-6.87(m,1H),2.68(s 3H)。
实施例37:6-((2,2'-二甲基-[1,1'-联苯基]-4-基)氧基)-2-甲基吡啶-3-胺
依照通用方法B,自6-((2,2'-二甲基-[1,1'-联苯基]-4-基)氧基)-2-甲基-3-硝基吡啶(0.75mmol,250mg)获得80%产率的6-((2,2'-二甲基-[1,1'-联苯基]-4-基]氧基)-2-甲基吡啶-3-胺(0.60mmol,183mg)。
C20H20N2O;分子量为304.39g.mol-1;1H NMR(400MHz,methanol-d4)δ7.29-7.16(m,4H),7.06-7.03(m,1H),7.01(d,J=8.3Hz,1H),6.88(d,J=2.6Hz,1H),6.80(dd,J=8.3,2.6Hz,1H),6.63(dd,J=8.5,0.7Hz,1H),2.33(s,3H),2.05(s,3H),1.99(s,3H)。
所述起始原料的制备如下:
步骤1:6-(4-溴-3-甲基苯氧基)-2-甲基-3-硝基吡啶
依照通用方法A,自6-氯-2-甲基-3-硝基吡啶(5.79mmol,1.00g)和4-溴-3-甲基苯酚(6.37mmol,1.19g)获得94%产率的6-(4-溴-3-甲基苯氧基)-2-甲基-3-硝基吡啶(5.46mmol,1.76g)。
C13H11BrN2O3;分子量为323.15g mol-1;1H NMR(400MHz,CDCl3)δ8.36(d,J=8.9Hz,1H),7.56(d,J=8.6Hz,1H),7.05(d,J=2.6Hz,1H),6.88(dd,J=8.6,2.6Hz,1H),6.80(d,J=8.9Hz,1H),2.74(s,3H),2.42(s,3H)。
步骤2:6-((2,2'-二甲基-[1,1'-联苯基]-4-基)氧基)-2-甲基-3-硝基吡啶
依照通用方法D,将邻甲苯硼酸(3.71mmol,505mg)、6-(4-溴-3-甲基苯氧基)-2-甲基-3-硝基吡啶(2.48mmol,800mg)、Na2CO3(4.95mmol,525mg)和Pd(PPh3)4(0.124mmol,143mg,5%摩尔)于以3:1混合的DME/H2O(0.43M)中的混合物以90%的产率转化为6-((2,2'-二甲基-[1,1'-联苯基]-4-基)氧基)-2-甲基-3-硝基吡啶(2.24mmol,750mg)。
C20H18N2O3;分子量为334.38g.mol-1;1H NMR(400MHz,CDCl3)δ8.38(d,J=8.9Hz,1H),7.33-7.21(m,3H),7.19-7.09(m,2H),7.07(d,J=2.5Hz,1H),7.02(dd,J=8.2,2.5Hz,1H),6.81(d,J=8.9Hz,1H),2.81(s,3H),2.10(s,3H),2.08(s,3H)。
实施例38:N-甲基-6-(4-(噻唑-2-基)苯氧基)吡啶-3-胺
依照通用方法C,自6-(4-(噻唑-2-基)苯氧基)吡啶-3-胺(0.371mmol,100mg;实施例16)获得86%产率的N-甲基-6-(4-(噻唑-2-基)苯氧基)吡啶-3-胺(0.32mmol,90mg)。
C15H13N3OS;分子量为283.35g.mol-1;1H NMR(400MHz,CDCl3)δ7.96-7.90(m,2H),7.83(d,J=3.3Hz,1H),7.68(dd,J=3.1,0.6Hz,1H),7.28(d,J=3.3Hz,1H),7.13-7.07(m,2H),7.03(dd,J=8.7,3.1Hz,1H),6.86(dd,J=8.7,0.6Hz,1H),2.87(s,3H)。
实施例39:6-((4'-氟-[1,1'-联苯基]-4-基)氧基)-N,4-二甲基吡啶-3-胺
依照通用方法C,自6-((4'-氟-[1,1'-联苯基]-4-基)氧基)-4-甲基吡啶-3-胺(0.34mmol,100mg;实施例29)获得45%产率的6-((4'-氟-[1,1'-联苯基]-4-基)氧基)-N,4-二甲基吡啶-3-胺(0.15mmol,0.047g)。
C19H17FN2O;分子量为308.35g.mol-1;1H NMR(400MHz,CDCl3)δ7.55(s,1H),7.45-7.35(m,4H),7.10(t,J=8.3Hz,4H),6.73(s,1H),3.36(s,1H),2.91(s,3H),2.17(s,3H)。
实施例40:6-((4'-氟-[1,1'-联苯基]-4-基)氧基)-N,2-二甲基吡啶-3-胺
依照通用方法C,自6-((4'-氟-[1,1'-联苯基]-4-基)氧基)-2-甲基吡啶-3-胺(0.27mmol,80mg;实施例28)获得72%产率的6-((4'-氟-[1,1'-联苯基]-4-基)氧基)-N,2-二甲基吡啶-3-胺(0.19mmol,0.060g)。
C19H17FN2O;分子量为308.35g.mol-1;1H NMR(400MHz,CDCl3)δ7.55-7.45(m,4H),7.19-7.00(m,5H),6.74(d,J=8.6Hz,1H),2.92(s,3H),2.42(s,3H),1.65-1.48(bs,1H)。
实施例41:N,4-二甲基-6-(4-(噻唑-5-基)苯氧基)吡啶-3-胺
依照通用方法C,自4-甲基-6-(4-(噻唑-5-基)苯氧基)吡啶-3-胺(0.18mmol,0.050g;实施例33)获得51%产率的N,4-二甲基-6-(4-(噻唑-5-基)苯氧基)吡啶-3-胺(0.091mmol,0.027g)。
C16H15N3OS;分子量为297.38g.mol-1;1H NMR(400MHz,DMSO-d6)δ9.03(d,J=0.7Hz,1H),8.22(d,J=0.7Hz,1H),7.63(d,J=8.7Hz,2H),7.00-6.95(m,3H),6.79(d,J=8.5Hz,1H),5.20(q,J=5.0Hz,1H),2.73(d,J=4.9Hz,3H),2.21(s,3H)。
实施例42:N,2-二甲基-6-(4-(噻唑-5-基)苯氧基)吡啶-3-胺
依照通用方法C,自2-甲基-6-(4-(噻唑-5-基)苯氧基)吡啶-3-胺(0.18mmol,50mg;实施例32)获得55%产率的N,2-二甲基-6-(4-(噻唑-5-基)苯氧基)吡啶-3-胺(0.098mmol,29mg)。
C16H15N3OS;分子量为297.38g mol-1;1H NMR(400MHz,DMSO-d6)δ9.03(d,J=0.7Hz,1H),8.22(d,J=0.7Hz,1H),7.78-7.50(m,2H),7.05-6.90(m,3H),6.79(d,J=8.5Hz,1H),5.20(q,J=5.0Hz,1H),2.73(d,J=4.9Hz,3H),2.21(s,3H)。
实施例43:6-((2,2'-二甲基-[1,1'-联苯基]-4-基)氧基)-N,2-二甲基吡啶-3-胺
依照通用方法C,自6-((2,2'-二甲基-[1,1'-联苯基]-4-基)氧基)-2-甲基吡啶-3-胺(0.26mmol,80mg;实施例37)获得82%产率的6-((2,2'-二甲基-[1,1'-联苯基]-4-基)氧基)-N,2-二甲基吡啶-3-胺(0.22mmol,69mg)。
C21H22N2O;分子量为318.42g mol-1;1H NMR(400MHz,CDCl3)δ7.26-7.18(m,3H),7.10(d,J=6.8Hz,1H),7.03(dd,J=8.4,3.3Hz,2H),6.92(d,J=2.5Hz,1H),6.85(dd,J=8.3,2.5Hz,1H),6.74(d,J=8.5Hz,1H),2.91(s,3H),2.40(s,3H),2.07(s,3H),2.01(s,3H),1.70-1.48(bs,1H)。
实施例44:N,2-二甲基-6-(4-(噻唑-2-基)苯氧基)吡啶-3-胺
依照通用方法C,自2-甲基-6-(4-(噻唑-2-基)苯氧基)吡啶-3-胺(0.434mmol,0.123g;实施例35)获得93%产率的N,2-二甲基-6-(4-(噻唑-2-基)苯氧基)吡啶-3-胺(0.404mmol,0.120g)。
C16H15N3OS;分子量为297.38g.mol-1;1H NMR(400MHz,CDCl3)δ7.89(d,J=8.9Hz,2H),7.80(d,J=8.9Hz,2H),7.25(d,J=3.3Hz,1H),7.04(d,J=8.9Hz,2H),6.94(d,J=8.5Hz,1H),6.74(d,J=8.5Hz,1H),2.88(s,3H),2.32(s,3H)。
实施例45:N,2-二甲基-6-((6-苯基吡啶-3-基)氧基)吡啶-3-胺
依照通用方法C,自2-甲基-6-((6-苯基吡啶-3-基)氧基)吡啶-3-胺(0.29mmol,80mg;实施例30)获得80%产率的N,2-二甲基-6-((6-苯基吡啶-3-基)氧基)吡啶-3-胺(0.23mmol,67mg)。
C18H17N3O;分子量为291.35g mol-1;1H NMR(400MHz,DMSO-d6)δ8.40(d,J=2.8Hz,1H),8.03(app d,J=8.2,2H),7.93(d,J=8.7Hz,1H),7.51-7.44(m,3H),7.43-7.37(m,1H),6.98(d,J=8.2Hz,1H),6.86(d,J=8.4Hz,1H),5.21(q,J=5.0Hz,1H),2.73(d,J=4.9Hz,3H),2.20(s,3H)。
实施例46:6-(4-(6-甲氧基吡啶-3-基)苯氧基)-4-甲基吡啶-3-胺
依照通用方法B,自2-(4-(6-甲氧基吡啶-3-基)苯氧基)-4-甲基-5-硝基吡啶(0.892mmol,0.300g)获得55%产率的6-(4-(6-甲氧基吡啶-3-基)苯氧基)-4-甲基吡啶-3-胺(0.490mmol,165mg)。
C18H17N3O2;分子量为307.35g.mol-1;δ1H NMR(400MHz,CDCl3)δ8.21(d,J=5.4Hz,1H),7.71(s,1H),7.62(d,J=8.8Hz,2H),7.16(d,J=8.8Hz,2H),7.12(dd,J=5.4,1.5Hz,1H),6.97-6.94(m,3H),6.77(s,1H),4.01(s,3H),2.24(s,3H)。
所述起始原料的制备如下:
步骤1:2-(4-(6-甲氧基吡啶-3-基)苯氧基)-4-甲基-5-硝基吡啶
依照通用方法E,自2-(4-溴苯氧基)-4-甲基-5-硝基吡啶(1.62mmol,0.500g;实施例29的步骤1)和(6-甲氧基吡啶-3-基)硼酸(1.95mmol,0.298g)获得55%产率的2-(4-(6-甲氧基吡啶-3-基)苯氧基)-4-甲基-5-硝基吡啶(0.892mmol,0.300g)。C18H15N3O4;分子量为337.33g.mol-1;1H NMR(400MHz,CDCl3)δ8.91(s,1H),8.40(d,J=2.1Hz,1H),7.79(dd,J=8.6,2.6Hz,1H),7.59(d,J=8.7Hz,2H),7.23(d,J=8.6Hz,2H),6.90(s,1H),6.86-6.81(m,1H),3.99(s,3H),2.69(s,3H)。
实施例47:6-(4-(2-甲氧基吡啶-4-基)苯氧基)-4-甲基吡啶-3-胺
依照通用方法B,自2-(4-(2-甲氧基吡啶-4-基)苯氧基)-4-甲基-5-硝基吡啶(0.446mmol,0.150g)获得20%产率的6-(4-(2-甲氧基吡啶-4-基)苯氧基)-4-甲基吡啶-3-胺(0.091mmol,28mg)。
C18H17N3O2;分子量为307.35g.mol-1;δ1H NMR(400MHz,CDCl3)δ8.38(d,J=2.0Hz,1H),7.78(dd,J=8.6,2.6Hz,1H),7.70(s,1H),7.53-7.48(m,2H),7.17-7.12(m,2H),6.85-6.80(m,1H),6.75(s,1H),4.00(s,3H),2.23(m,3H),1.61(s,2H)。
所述起始原料的制备如下:
步骤1:2-(4-(2-甲氧基吡啶-4-基)苯氧基)-4-甲基-5-硝基吡啶
依照通用方法E,自2-(4-溴苯氧基)-4-甲基-5-硝基吡啶(1.62mmol,0.500g;实施例29的步骤1)和(2-甲氧基吡啶-4-基)硼酸(1.95mmol,0.298g)获得28%产率的2-(4-(2-甲氧基吡啶-4-基)苯氧基)-4-甲基-5-硝基吡啶(0.446mmol,0.150g)。
C18H15N3O4;分子量为337.33g.mol-1;1H NMR(400MHz,CDCl3)δ8.91(s,1H),8.40(dd,J=2.6,0.7Hz,1H),7.79(dd,J=8.6,2.6Hz,1H),7.61-7.55(m,2H),7.25-7.20(m,2H),6.90(d,J=1.0Hz,1H),6.83(dd,J=8.6,0.7Hz,1H),3.99(s,3H),2.69(d,J=0.8Hz,3H)。
实施例48:6-(4-(1H-咪唑-4-基)苯氧基)-4-甲基吡啶-3-胺
依照通用方法B,自2-(4-(1H-咪唑-4-基)苯氧基)-4-甲基-5-硝基吡啶(0.10mmol,0.040g)获得61%产率的6-(4-(1H-咪唑-4-基)苯氧基)-4-甲基吡啶-3-胺(86μmol,23mg)。
C15H14N4O;Mw 266.30;1H NMR(400MHz,methanol-d4)δ7.72(d,J=1.2Hz,1H),7.71-7.64(m,2H),7.62(s,1H),7.37(d,J=1.2Hz,1H),7.02-6.92(m,2H),6.77-6.64(m,1H),3.35(s,1H),2.20(s,3H)。
所述起始原料的制备如下:
步骤1:4-溴-1-三苯甲基-1H-咪唑
向4-溴-1H-咪唑(10.00mmol,2.00g)于CHCl3(20mL)中的溶液加入TEA(40.00mmol,4.00g,6.0mL),并将混合物冷却至0℃。向其中加入三苯甲基-Cl(10.00mol,4.00g)在20ml CHCl3中的溶液,并将该混合物于室温搅拌2小时。将反应混合物以1M HCl稀释并以CHCl3(3x)萃取。合并的有机层以盐水洗涤,以Na2SO4干燥,过滤,并减压浓缩,得到4-溴-1-三苯甲基-1H-咪唑(4.40g)。无需进一步纯化即可使用。
C22H17BrN2;分子量为389.30g mol-1;1H NMR(400MHz,CDCl3)δ7.39-7.30(m,10H),7.16-7.08(m,6H),6.80(d,J=1.6Hz,1H)。
步骤2:4-甲基-5-硝基-2-(4-(4,4,5,5-四甲基-1,3,2-二氧硼杂环戊烷-2-基)苯氧基)吡啶
依照通用方法E,自2-(4-溴苯氧基)-4-甲基-5-硝基吡啶(3.23mmol,1.0g;expl。29,步骤1)和双(频哪醇)二硼烷(4.79mmol,1.22g)获得95%产率的4-甲基-5-硝基-2-(4-(4,4,5,5-四甲基-1,3,2-二氧硼杂环戊烷-2-基)苯氧基)吡啶(3.09mmol,1.10g)。
C18H21BN2O5;分子量为356.19g.mol-1;1H NMR(400MHz,CDCl3)δ8.88(s,1H),7.90(d,J=8.5Hz,2H),7.14(d,J=8.5Hz,2H),6.82(s,1H),2.66(s,3H),1.35(s,12H)。
依照通用方法E,自4-甲基-5-硝基-2-(4-(4,4,5,5-四甲基-1,3,2-二氧硼杂环戊烷-2-基)苯氧基)吡啶(0.3mmol,0.1g)和4-溴-1-三苯甲基-1H-咪唑(0.4mmol,0.2g)获得51%产率的4-甲基-5-硝基-2-(4-(1-三苯甲基-1H-咪唑-4-基)苯氧基)吡啶(0.15mmol,81mg)。
C34H26N4O3;分子量为538.61;1H NMR(400MHz,CDCl3)δ8.89(s,1H),7.82-7.76(m,2H),7.53-7.48(m,1H),7.45-7.27(m,9H),7.24-7.18(m,6H),7.13-7.07(m,3H),6.80(d,J=1.0Hz,1H),2.65(d,J=0.8Hz,3H)。
步骤4:2-(4-(1H-咪唑-4-基)苯氧基)-4-甲基-5-硝基吡啶
向4-甲基-5-硝基-2-(4-(1-三苯甲基-1H-咪唑-4-基)苯氧基)吡啶(0.15mmol,0.081g)于DCM(10mL)中的溶液中加入在二噁烷中的HCl(0.19mL,4摩尔,0.75mmol),于室温下搅拌过夜。将反应混合物浓缩至干燥,并将残余物悬浮于NaHCO3的饱和溶液中,并以CHCl3(3x)萃取。合并的有机层经Na2SO4干燥,过滤并在减压下浓缩以得到粗产物。将其使以Biotage,25g硅胶柱,以DCM和MeOH作为洗脱剂纯化,得到2-(4-(1H-咪唑-4-基)苯氧基)-4-甲基-5-硝基吡啶(0.1mmol,0.04g)。
C15H12N4O3;分子量为296.29;1H NMR(400MHz,CDCl3)δ8.91(s,1H),7.82(d,J=8.4Hz,2H),7.73(s,1H),7.34(d,J=1.1Hz,1H),7.23-7.09(m,2H),6.90-6.79(m,1H),2.67(d,J=0.8Hz,3H)。
实施例49:6-(4-(2H-四唑-5-基)苯氧基)-4-甲基吡啶-3-胺
于烧瓶中,将2-(4-(2H-四唑-5-基)苯氧基)-4-甲基-5-硝基吡啶(0.14mmol,42mg)溶于EtOH(1.4mL,0.10摩尔)中,并以氮气冲洗。加入Pd/C(0.014mmol,15mg),连接氢气球,并将该混合物抽空/回填(3x)。然后将该混合物搅拌5小时。完全转化后,将该混合物以氮气排空/回填(3x),通过注射过滤器过滤,并在减压下浓缩。粗物质在Biotage C18柱上纯化(25g,5-95%MeOH/H2O+0.1%HCOOH),以69%产率得到呈淡黄色固体状的6-(4-(2H-四唑-5-基)苯氧基)-4-甲基吡啶-3-胺(0.097mmol,26mg)。
C13H12N6O;分子量为268.28g mol-1;1H NMR(400MHz,DMSO-d6)δ7.99(d,J=8.8Hz,2H),7.58(s,1H),7.12(d,J=8.7Hz,2H),6.79(s,1H),2.12(s,3H)。
所述起始原料的制备如下:
步骤1:4-(2H-四唑-5-基)苯酚
将装有Teflon涂层磁力搅拌棒和FindenserTM冷却器的100mL圆底烧瓶,装入4-羟基苄腈(8.39mmol,1.00g)、叠氮化钠(25.2mmol,1.64g)和三乙胺盐酸盐(25.2mmol,3.47g)和甲苯(42.0mL,0.20M)。在剧烈搅拌下将反应混合物在100℃加热过夜。然后将其冷却至环境温度,倒入分液漏斗中,并以H2O(3x)萃取。将合并的水相以HCl(浓)逐滴处理以沉淀产物。通过真空过滤收集沉淀物,并真空干燥,以88%的产率得到呈灰白色固体状的4-(2H-四唑-5-基)苯酚(7.40mmol,1.19g)。
C7H6N4O;分子量为162.15g mol-1;1H NMR(400MHz,DMSO-d6)δ10.16(s,1H),7.86(d,J=8.7Hz,2H),6.95(d,J=8.7Hz,2H)。
步骤2:2-(4-(2H-四唑-5-基)苯氧基)-4-甲基-5-硝基吡啶
于100mL的圆底烧瓶中加入4-(2H-四唑-5-基)苯酚(0.62mmol,100mg)、2-氯-4-甲基-5-硝基吡啶(1.85mmol,319mg)和无水K2CO3(1.85mmol,256mg)。加入DMF(2.1mL,0.30摩尔),并将得到的棕色悬浮液加热至60℃过夜。通过TLC完全转化后,将反应混合物冷却至室温,浓缩至最少量溶剂,并直接加载到Biotage C18柱(30g柱,5-95%MeOH/H2O+0.1%HCOOH)上,以24%产率得到2-(4-(2H-四唑-5-基)苯氧基)-4-甲基-5-硝基吡啶(0.15mmol,45mg)。
C13H10N6O3;分子量为298.26g mol-1;1H NMR(400MHz,DMSO-d6)δ8.87(s,1H),8.22-7.99(m,2H),7.52-7.36(m,2H),7.30(s,1H),2.63(s,3H)。
实施例50:6-(4-(1H-吡唑-4-基)苯氧基)-4-甲基吡啶-3-胺
向4-甲基-6-(4-(1-三苯甲基-1H-吡唑-4-基)苯氧基)吡啶-3-胺(0.08mmol,0.04g)于DCM(0.4mL)中的溶液中添加HCl(0.2mL,0.8mmol)于二噁烷中的4M溶液。将该混合物于室温搅拌过夜。将该混合物在水中稀释,并将两层分离。水层以DCM洗涤。以饱和的NaHCO3水溶液将水层碱化至pH=8。以EtOAc(3×)萃取水层。合并的有机层经MgSO4干燥,过滤并在减压下浓缩。以90%的产率获得呈浅绿色固体的6-(4-(1H-吡唑-4-基)苯氧基)-4-甲基吡啶-3-胺(0.072mmol,19mg)。
C15H14N4O;分子量为266.30g mol-1;1H NMR(400MHz,methanol-d4)δ7.91(s,2H),7.61(s,1H),7.58-7.52(m,2H),7.00-6.92(m,2H),6.72-6.67(m,1H),2.20(app d,J=0.8Hz,3H)。
所述起始原料的制备如下:
步骤1:4-溴-1-三苯甲基-1H-吡唑
将4-溴-1H-吡唑(3.40mmol,500mg)溶于DMF(4.00mL,0.85摩尔)中,在氮气下放置,冷却至0℃。向该溶液中加入tBuOK(4.08mmol,458mg,1.20当量)和三苯甲基-Cl(3.74mmol,1.04g,1.10当量),并将混合物于室温搅拌过夜。该反应混合物以H2O稀释,水层以EtOAc萃取(3×)。合并的有机层以盐水洗涤,以Na2SO4干燥,过滤,并在减压下浓缩。通过使用环己烷:EtOAc作为洗脱剂的柱色谱法纯化粗物质,以77%的产率得到呈白色固体的4-溴-1-三苯甲基-1H-吡唑(2.638mmol,1.027g)。
C22H17BrN2;分子量为389.30g mol-1;1H NMR(400MHz,DMSO-d6)δ7.76(d,J=0.7Hz,1H),7.51(d,J=0.7Hz,1H),7.43-7.31(m,9H),7.11-6.99(m,6H)。
依照通用方法D,将4-甲基-5-硝基-2-(4-(4,4,5,5-四甲基-1,3,2-二氧硼杂环戊烷-2-基)苯氧基)吡啶(0.85mmol,302mg;实施例48步骤2)、4-溴-1-三苯甲基-1H-吡唑(0.77mmol,300mg)、K2CO3(1.54mmol,213mg)和Pd(PPh3)4(0.08mmol,89mg,10%摩尔)于以3:1混合的DME/H2O(0.13M)中的混合物以54%的产率转化为4-甲基-5-硝基-2-(4-(1-三苯甲基-1H-吡唑-4-基)苯氧基)吡啶(0.41mmol,223mg)。
C34H26N4O3;分子量为538.61g mol-1;1H NMR(400MHz,CDCl3)δ8.87(s,1H),7.93(d,J=0.8Hz,1H),7.60(d,J=0.9Hz,1H),7.52-7.46(m,2H),7.40-7.27(m,9H),7.22-7.16(m,6H),7.13-7.07(m,2H),6.82(d,J=1.0Hz,1H),2.66(s,3H)。
依照通用方法B,自4-甲基-5-硝基-2-(4-(1-(三苯甲基-1H-吡唑-4-基)苯氧基)苯氧基)吡啶(0.20mmol,0.10g)获得42%产率的4-甲基-6-(4-(1-三苯甲基-1H-吡唑-4-基)苯氧基)吡啶-3-胺(0.08mmol,0.04g)。
C34H28N4O;分子量为508.61g mol-1;1H NMR(400MHz,CDCl3)δ7.89(d,J=0.8Hz,1H),7.64(s,1H),7.55(d,J=0.8Hz,1H),7.41-7.37(m,2H),7.40-7.27(m,9H),7.22-7.17(m,6H),7.01(d,J=8.7Hz,2H),6.65(t,J=0.7Hz,1H),3.42(s,2H),2.18(app d,J=0.8Hz,3H)。
实施例51:6,6'-((4'-氟-[1,1'-联苯基]-2,4-二基)双(氧基))双(吡啶-3-胺)
依照通用方法B,自6,6'-((4'-氟-[1,1'-联苯基]-2,4-二基)双(氧基))双(3-硝基吡啶)(0.156mmol,0.070g)获得6,6'-((4'-氟-[1,1'-联苯基]-2,4-二基)双(氧基))双(吡啶-3-胺)(0.05mmol,0.02g),纯化后32%产率。
C22H17FN4O2;分子量为388.39g mol-1;1H NMR(400MHz,CDCl3)δ7.73(dd,J=3.1,0.7Hz,1H),7.64(dd,J=3.0,0.7Hz,1H),7.49-7.44(m,2H),7.34(d,J=8.5Hz,1H),7.08(dd,J=8.6,3.0Hz,1H),7.03-6.95(m,3H),6.91(dd,J=8.6,2.4Hz,1H),6.81-6.77(m,2H),6.61(dd,J=8.6,0.7Hz,1H),3.53(s,4H).19F NMR(377MHz,CDCl3)δ-115.99。
所述起始原料的制备如下:
步骤1:4'-氟-2-甲氧基-[1,1'-联苯基]-4-醇
依照通用方法D,将4-溴-3-甲氧基苯酚(9.9mmol,2.0g)、(4-氟苯基)硼酸(11mmol,1.5g)、K2CO3(20mmol,2.7g)和Pd(PPh3)2Cl2(0.985mmol,0.691g)于以3:1混合的2-丙醇/H2O(0.1M)中的混合物以55%的产率转化为4'-氟-2-甲氧基-[1,1'-联苯基]-4-醇(5.45mmol,1.19g)。
C13H11FO2;分子量为218.22g.mol-1;1H NMR(400MHz,CDCl3)δ7.48-7.40(m,2H),7.14(d,J=8.2Hz,1H),7.10-7.01(m,2H),6.51(d,J=2.4Hz,1H),6.47(dd,J=8.2,2.4Hz,1H),3.79(s,3H)。
步骤2:4'-氟-[1,1'-联苯基]-2,4-二醇
于氮气下,将4'-氟-2-甲氧基-[1,1'-联苯基]-4-醇(916μmol,200mg)溶解于DCM(9.16mL,0.1M)中,冷却至-78℃。逐滴添加BBr3(1.83mmol,1.83mL,1M,于DCM溶液中)。在该温度下30分钟后,使混合物缓慢达到室温过夜。仍然观察到少量的起始原料,尽管如此,通过缓慢加入水将反应混合物淬灭。将水层以15%NaOH中和/碱化,并以DCM(3×)萃取。合并的有机层以Na2SO4干燥,过滤,并在减压下浓缩。通过快速柱色谱分析、使用EtOAc:环己烷纯化粗物质,以81%的产率得到呈白色固体的4'-氟-[1,1'-联苯基]-2,4-二醇(0.74mmol,152mg)。
C12H9FO2;分子量为204.20g mol-1;1H NMR(400MHz,CDCl3)δ7.48-7.33(m,2H),7.18-7.07(m,2H),7.09-7.05(m,1H),6.65-6.35(m,2H),5.07(s,1H),4.81(s,1H)。
步骤3:6,6'-((4'-氟-[1,1'-联苯基]-2,4-二基)双(氧基))双(3-硝基吡啶)
依照通用方法A,自4'-氟-[1,1'-联苯基]-2,4-二醇(0.69mmol,140mg)和2-氯-5-硝基吡啶(1.51mmol,239mg)获得63%产率的6,6'-((4'-氟-[1,1'-联苯基]-2,4-二基)双(氧基))双(3-硝基吡啶)(0.44mmol,195mg)。
C22H13FN4O6;分子量为448.37g mol-1;1H NMR(400MHz,CDCl3)δ9.09(dd,J=2.8,0.6Hz,1H),8.93(dd,J=2.8,0.6Hz,1H),8.52(dd,J=9.0,2.8Hz,1H),8.37(dd,J=9.0,2.8Hz,1H),7.53(d,J=8.5Hz,1H),7.44-7.36(m,2H),7.23(dd,J=8.4,2.4Hz,1H),7.13(dd,J=9.1,0.6Hz,1H),7.10(d,J=2.3Hz,1H),7.04-6.98(m,2H),6.91(dd,J=9.0,0.6Hz,1H)。
实施例52:6-((2,2'-二甲基-[1,1'-联苯基]-4-基)氧基)-4-甲基吡啶-3-胺
依照通用方法B,自2-((2,2'-二甲基-[1,1'-联苯基]-4-基)氧基)-4-甲基-5-硝基吡啶(0.508mmol,170mg)获得61%产率的6-(((2,2'-二甲基-[1,1'-联苯基]-4-基)氧基]-4-甲基吡啶-3-胺(0.31mmol,94mg)。
C20H20N2O;分子量为304.39g.mol-1;1H NMR(400MHz,CDCl3)δ7.71(s,1H),7.25-7.23(m,2H),7.23-7.18(m,1H),7.13-7.09(m,1H),7.05(d,J=8.3Hz,1H),6.94(d,J=2.6Hz,1H),6.88(dd,J=8.3,2.5Hz,1H),6.73-6.71(m,1H),2.21(s,3H),2.08(s,3H),2.02(s,3H)。
所述起始原料的制备如下:
步骤1:2,2'-二甲基-[1,1'-联苯基]-4-醇
依照通用方法D,自4-溴-3-甲基苯酚(5.3mmol,1.0g)和邻甲苯硼酸(6.95mmol,0.944g)获得85%产率的2,2'-二甲基-[1,1'-联苯基]-4-醇(4.54mmol,0.900g)。
C14H14O;分子量为198.26g.mol-1;1H NMR(400MHz,CDCl3)δ7.28-7.18(m,3H),7.11-7.07(m,1H),6.97(d,J=8.2Hz,1H),6.77(d,J=2.4Hz,1H),6.71(dd,J=8.2,2.6Hz,1H),5.21(app d,1H),2.06(s,3H),2.01(s,3H)。
依照通用方法A,自2-氯-4-甲基-5-硝基吡啶(0.869mmol,150mg)和2,2'-二甲基-[1,1'-联苯基]-4-醇(0.956mmol,190mg)获得61%产率的2-((2,2'-二甲基-[1,1'-联苯基]-4-基)氧基)-4-甲基-5-硝基吡啶(0.526mmol,176mg)。
C20H18N2O3;分子量为334.37g mol-1;1H NMR(400MHz,CDCl3)δ7.30-7.27(m,3H),7.25-7.21(m,1H),7.19-7.13(m,2H),7.05(d,J=2.5Hz,1H),7.00(dd,J=8.2,2.4Hz,1H),6.86(s,1H),2.69(s,3H),2.10(s,3H),2.08(s,3H)。
实施例53:6-((6-(4-氟苯基)吡啶-3-基)氧基)-2-甲基吡啶-3-胺
依照通用方法B,自6-((6-(4-氟苯基)吡啶-3-基)氧基)-2-甲基-3-硝基吡啶(2.80mmol,910mg)获得89%产率的6-((6-(4-氟苯基)吡啶-3-基)氧基)-2-甲基吡啶-3-胺(2.80mmol,732mg)。
C17H14FN3O;分子量为295.31g mol-1;1H NMR(400MHz,CDCl3)δ8.49(dd,J=2.8,0.7Hz,1H),7.98-7.88(m,2H),7.64(dd,J=8.4,0.7Hz,1H),7.45(dd,J=8.7,2.8Hz,1H),7.19-7.08(m,2H),7.04(d,J=8.4Hz,1H),6.68(dd,J=8.4,0.7Hz,1H),3.50(s,2H),2.33(s,3H)。
所述起始原料的制备如下:
步骤1:2-溴-5-(甲氧基甲氧基)吡啶
于氮气、0℃下,向6-溴吡啶-3-醇(29mmol,5.0g)在干燥DMF(29mL)中的溶液中分批添加NaH(29mmol,1.1g,60%重量百分比)。将该混合物在0℃下搅拌1小时。然后缓慢加入甲基氯甲基醚(29mmol,2.3g,2.2mL)。将该混合物在0℃下搅拌1小时,然后在整个周末温至室温。将该反应混合物冷却至0℃,并加入饱和NaHCO3溶液。将该混合物温热至室温,并以水稀释。将混合物以AcOEt萃取(3x)。合并的有机层用H2O(3×)和盐水洗涤。将该混合物经MgSO4干燥,过滤并在减压下浓缩。分离出呈无色油状的2-溴-5-(甲氧基甲氧基)吡啶产物(29mmol,6.3g),定量产率。
C7H8BrNO2;分子量为218.05g mol-1;1H NMR(400MHz,CDCl3)δ8.15(dd,J=3.1,0.6Hz,1H),7.35(dd,J=8.7,0.6Hz,1H),7.27-7.20(m,1H),5.15(s,2H),3.46(s,3H)。
步骤2:2-(4-氟苯基)-5-(甲氧基甲氧基)吡啶
依照通用方法D,将(4-氟苯基)硼酸(32.0mmol,4.4g)、2-溴-5-(甲氧基甲氧基)吡啶(29.0mmol,6.3g)、K2CO3(58.0mmol,8.0g)和Pd(PPh3)2Cl2(2.9mmol,2.0g)于以4:1混合的2-丙醇/H2O(0.1M)中的混合物以56%的产率转化为2-(4-氟苯基)-5-(甲氧基甲氧基)吡啶(16.20mmol,3.79g)。
C13H12FNO2;分子量为233.24g mol-1;1H NMR(400MHz,CDCl3)δ8.46(dd,J=2.9,0.7Hz,1H),7.97-7.83(m,2H),7.60(dd,J=8.7,0.7Hz,1H),7.43(dd,J=8.7,2.9Hz,1H),7.13(dd,J=8.9,8.5Hz,2H),5.23(s,2H),3.51(s,3H)。
步骤3:6-(4-氟苯基)吡啶-3-醇
于室温下,向2-(4-氟苯基)-5-(甲氧基甲氧基)吡啶(16.20mmol,3.79g)于二噁烷(20mL)中的溶液中加入4M HCl(146mmol,36.6mL)的二噁烷溶液。将该混合物于80℃下加热过夜。将该反应混合物冷却至室温,并减压浓缩。将残余物溶解在水中,并以DCM萃取(3x)。以固体Na2CO3将水层中和至pH=6-7。滤出沉淀的白色固体,以己烷洗涤,并于真空下干燥2小时,以92%的产率得到6-(4-氟苯基)吡啶-3-醇(15.0mmol,2.83g)。
C11H8FNO;分子量为189.19g mol-1;1H NMR(400MHz,DMSO-d6)δ10.04(s,1H),8.20(dd,J=2.9,0.7Hz,1H),8.09-7.93(m,2H),7.78(dd,J=8.7,0.7Hz,1H),7.33-7.15(m,3H)。
步骤4:6-((6-(4-氟苯基)吡啶-3-基)氧基)-2-甲基-3-硝基吡啶
依照通用方法A,自6-(4-氟苯基)吡啶-3-醇(3.00mmol,600mg)和6-氯-2-甲基-3-硝基吡啶(3.00mmol,500mg)获得100%产率的6-((6-(4-氟苯基)吡啶-3-基)氧基)-2-甲基-3-硝基吡啶(3.00mmol,900mg)。
C17H12FN3O3;分子量为325.29g mol-1;1H NMR(400MHz,CDCl3)δ8.58(dd,J=2.7,0.7Hz,1H),8.42(d,J=8.9Hz,1H),8.03-7.96(m,2H),7.76(dd,J=8.7,0.7Hz,1H),7.60(dd,J=8.7,2.7Hz,1H),7.20-7.14(m,2H),6.96(dd,J=8.9,0.7Hz,1H),2.72(s,3H)。
依照通用方法C,自6-((6-(4-氟苯基)吡啶-3-基)氧基)-2-甲基吡啶-3-胺(1.155mmol,0.341g)和多聚甲醛(1.617mmol,1.40当量)获得6-((6-(4-氟苯基)吡啶-3-基)氧基)-N,2-二甲基吡啶-3-胺(0.810mmol,0.250g),纯化后70%产率。
C18H16FN3O;MW=309.34g mol-1;1H NMR(400MHz,DMSO-d6)δ8.38(d,J=2.7Hz,1H),8.08(dd,J=8.9,5.6Hz,2H),7.93(d,J=8.7Hz,1H),7.46(dd,J=8.7,2.9Hz,1H),7.30(t,J=8.9Hz,2H),6.98(d,J=8.5Hz,1H),6.86(d,J=8.5Hz,1H),5.21(q,J=5.0Hz,1H),2.73(d,J=5.0Hz,3H),2.20(s,3H)。
实施例55:6-((6-(4-氟苯基)吡啶-3-基)氧基)-4-甲基吡啶-3-胺
依照通用方法B,自2-((6-(4-氟苯基)吡啶-3-基)氧基)-4-甲基-5-硝基吡啶(2.70mmol,900mg)获得96%产率的6-((6-(4-氟苯基)吡啶-3-基)氧基)-4-甲基吡啶-3-胺(2.58mmol,763mg)。
C17H14FN3O;分子量为295.31g mol-1;1H NMR(400MHz,CDCl3)δ8.48(dd,J=2.8,0.6Hz,1H),7.95-7.89(m,2H),7.66(dd,J=8.1,0.6Hz,1H),7.64(s,1H),7.47(dd,J=8.7,2.8Hz,1H),7.19(app t,J=8.7Hz,2H),6.77(s,1H),3.48(s,2H),2.22(s,3H)。
所述起始原料的制备如下:
步骤1:2-((6-(4-氟苯基)吡啶-3-基)氧基)-4-甲基-5-硝基吡啶
依照通用方法A,自6-(4-氟苯基)吡啶-3-醇(3.00mmol,600mg;实施例53步骤3)和2-氯-4-甲基-5-硝基吡啶(5.00mmol,800mg)获得90%产率的2-((6-(4-氟苯基)吡啶-3-基)氧基)-4-甲基-5-硝基吡啶(2.70mmol,900mg)。
C17H12FN3O3;分子量为325.29g mol-1;H NMR(400MHz,CDCl3)δ8.86(s,1H),8.55(dd,J=2.8,0.6Hz,1H),8.01-7.95(m,2H),7.76(dd,J=8.7,0.6Hz,1H),7.60(dd,J=8.6,2.8Hz,1H),7.17(app t,J=8.8Hz,2H),6.97(s,1H),2.72(s,3H)。
依照通用方法C,自6-((6-(4-氟苯基)吡啶-3-基)氧基)-4-甲基吡啶-3-胺(1.14mmol,0.337g)和多聚甲醛(1.60mmol,1.40当量)获得6-((6-(4-氟苯基)吡啶-3-基)氧基)-N,4-二甲基吡啶-3-胺(0.786mmol,0.243g),纯化后69%产率。
C18H16FN3O;MW=309.34g mol-1;1H NMR(400MHz,DMSO-d6)δ8.41(d,J=2.8Hz,1H),8.11-8.03(m,2H),7.94(d,J=8.7Hz,1H),7.52(dd,J=8.7,2.8Hz,1H),7.36-7.24(m,3H),6.87(s,1H),5.14(q,J=4.9Hz,1H),2.74(d,J=4.9Hz,3H),2.15(s,3H)。
实施例57:(4-氨基苯基)(4'-氟-[1,1'-联苯基]-4-基)甲醇
依照通用方法F,自(4'-氟-[1,1'-联苯基]-4-基)(4-硝基苯基)甲醇(1.52mmol,0.500g)获得98%产率的(4-氨基苯基)(4'-氟-[1,1'-联苯基]-4-基)甲醇(1.55mmol,0.445g)。
C19H16FNO;分子量为293.33g.mol-1;1H NMR(400MHz,CDCl3)δ7.56-7.48(m,4H),7.47-7.41(m,2H),7.22-7.15(m,2H),7.13-7.07(m,2H),6.71-6.60(m,2H),5.80(s,1H)。
所述起始原料的制备如下:
步骤1:(4'-氟-[1,1'-联苯基]-4-基)硼酸
于-78℃在惰性气氛下,向4-溴4'-氟-1,1'-联苯(1.99mmol,0.500g)于无水THF(19.9ml)中的溶液滴加叔丁基锂(2.390mmol,1.4ml)。将该反应混合物于-78℃下搅拌20分钟,然后滴加硼酸三甲酯(1.99mmol,0.222ml)。搅拌1小时后,使该反应混合物达到室温,并以1N HCl淬灭并搅拌30分钟。将该反应混合物于真空下浓缩,并将观察到的沉淀物滤出并风干,以93%的产量得到呈白色粉末的(4'-氟-[1,1'-联苯基]-4-基)硼酸(1.852mmol,0.400g)。
该NMR光谱与先前报导的相同(Neya等人,WO 2003 022842)。
步骤2:(4'-氟-[1,1'-联苯基]-4-基)(4-硝基苯基)甲醇
于室温、惰性气氛下,向氯(1,5-环辛二烯)铑(I)二聚体(0.093mmol,0.046g)在无水二噁烷(12.3ml)中的溶液中加入氢氧化钾(1.852mmol,1.234ml),并将该混合物搅拌3分钟。向该溶液中加入(4'-氟-[1,1'-联苯基]-4-基)硼酸(1.852mmol,0.400g),然后加入4-硝基苯甲醛(3.760mmol,0.560g)。将该混合物于室温下搅拌14小时,然后通过添加盐水淬灭。将该混合物以EtOAc萃取(3x)。合并的有机层经Na2SO4干燥,过滤并在减压下浓缩。残余物通过快速色谱分析法纯化(Biotage KP-Sil 50g,己烷/EtOAc,0-20%),以79%的产率得到呈白色固体的(4′-氟-[1,1′-联苯基]-4-基)(4-硝基苯基)甲醇(1.46mmol,0.473g)。
C19H14FNO3;分子量为323.32g.mol-1;1H NMR(400MHz,CDCl3)δ8.25-8.16(m,2H),7.65-7.59(m,2H),7.56-7.48(m,4H),7.44-7.39(m,2H),7.17-7.06(m,2H),5.97(s,1H),2.41(s,1H).19F NMR(377MHz,CDCl3)δ-115.19。
实施例58:4-((4'-氟-[1,1'-联苯基]-4-基)(甲氧基)甲基)苯胺
依照通用方法F,自4-氟-4'-(甲氧基(4-硝基苯基)甲基)-1,1'-联苯(1.78mmol,0.600g)获得78%产率的4-((4'-氟-[1,1'-联苯基]-4-基)(甲氧基)甲基)苯胺(1.30mmol,0.400g)。
C20H18FNO;分子量为307.37g.mol-1;1H NMR(300MHz,氯仿-d)δ7.59-7.44(m,4H),7.45-7.33(m,2H),7.22-7.00(m,4H),6.76-6.55(m,2H),5.19(s,1H),3.38(s,3H)。
所述起始原料的制备如下:
步骤1:4-氟-4'-(甲氧基(4-硝基苯基)甲基)-1,1'-联苯
向(4'-氟-[1,1'-联苯基]-4-基)(4-硝基苯基)甲醇(0.464mmol,0.15g;实施例57步骤2)于丙酮(4.64ml)中的溶液加入Cs2CO3(1.392mmol,0.453g),然后加入碘甲烷(0.696mmol,0.044ml)。将反应混合物于60℃的密封管中回流4小时。将冷却的反应混合物直接装载在二氧化硅上,并将残余物通过快速色谱分析法纯化(Biotage KP-Sil 25g,己烷/EtOAc,0-20%),得到88%产率的4-氟-4'-(甲氧基(4-硝基苯基)甲基)-1,1'-联苯(0.406mmol,0.137g)。
C20H16FNO3;分子量为337.34g.mol-1;1H NMR(400MHz,CDCl3)δ8.22-8.17(m,2H),7.61-7.48(m,6H),7.41-7.36(m,2H),7.15-7.07(m,2H),5.36(s,1H),3.43(s,3H)。
实施例59:4-((4'-氟-[1,1'-联苯基]-4-基)甲基)苯胺
依照通用方法F,自4-氟-4'-(氟(4-硝基苯基)甲基)-1,1'-联苯(0.92mmol,0.300g)获得60%产率的4-((4'-氟-[1,1'-联苯基]-4-基)甲基)苯胺(1.30mmol,0.154g)。
C19H16FN;分子量为277.34g.mol-1;1H NMR(400MHz,CDCl3)δ7.56-7.50(m,2H),7.49-7.44(m,2H),7.27-7.24(m,2H),7.16-7.09(m,2H),7.06-7.01(m,2H),6.71-6.66(m,2H),3.94(s,2H)。
所述起始原料的制备如下:
步骤1:4-氟-4'-(氟(4-硝基苯基)甲基)-1,1'-联苯
于-78℃惰性气氛下,向(4'-氟-[1,1'-联苯基]-4-基)(4-硝基苯基)甲醇(1.54mmol,0.500g;实施例57步骤2)于无水DCM(7.73ml)中的溶液滴加二乙氨基-三氟化硫(1.85mmol,0.245ml)。将该反应混合物在相同温度下搅拌2小时,然后达到室温。然后使用饱和NaHCO3溶液淬灭反应。分离两层,并将水层以DCM(3x)萃取。合并的有机层经Na2SO4干燥,过滤并减压浓缩,以89%产率得到呈黄色固体的4-氟-4′-(氟(4-硝基苯基)甲基)-1,1′-联苯(1.38mmol,0.450g)。C19H13F2NO2;分子量为325.31g.mol-1;1H NMR(400MHz,CDCl3)δ8.29-8.22(m,2H),7.59-7.49(m,6H),7.42-7.36(m,2H),7.17-7.09(m,2H),6.58(d,J=47.0Hz,1H)。
实施例60:(4-氨基苯基)(4'-氟-[1,1'-联苯基]-4-基)甲酮盐酸盐
向(4-(4'-氟-[1,1'-联苯基]-4-羰基)苯基)氨基甲酸叔丁酯(0.51mmol,0.200g)于DCM(10ml)中的溶液中添加4M HCl在二噁烷中的溶液。将其于室温下搅拌过夜。将反应混合物浓缩至干燥,并将残余物悬浮在Et2O中,超音波处理10分钟并过滤。残余物以Et2O洗涤,然后风干,以58%的产率得到(4-氨基苯基)(4′-氟-[1,1′-联苯基]-4-基)甲酮盐酸盐(0.29mmol,0.098g)。
C19H14FNO·HCl;分子量为291.33g.mol-1;1H NMR(400MHz,DMSO-d6)δ9.33(s),7.90-7.74(m,8H),7.72-7.65(m,2H),7.41-7.30(m,2H)。
所述起始原料的制备如下:
于室温下,向(4'-氟-[1,1'-联苯基]-4-基)(4-硝基苯基)甲醇(3.09mmol,1.00g;实施例57步骤2)于DMF(31ml)中的溶液中添加咪唑(6.09mmol,0.421g)和叔丁基二甲基甲硅烷基氯(4.02mmol,0.606g),并将反应混合物搅拌过夜。通过加入盐水淬灭反应,并以Et2O萃取(3x)。将合并的有机层以水(5x)洗涤,并将分离的有机层经Na2SO4干燥,过滤并在减压下浓缩,得到粗物质。将其通过快速色谱分析法纯化(Biotage KP-Sil 50g,己烷/EtOAc,0-20%),以44%的产率得到呈白色固体的叔丁基((4'-氟-[1,1'-联苯基]-4-基)(4-硝基苯基)甲氧基)二甲基硅烷(1.37mmol,0.600g)。
C25H28FNO3Si;分子量为437.58g.mol-1;1H NMR(400MHz,CDCl3)δ8.20-8.17(m,2H),7.61-7.46(m,6H),7.41-7.36(m,2H),7.15-7.06(m,2H),5.86(s,1H),0.94(app d,9H),0.04(bs,3H),0.01(bs,3H)。
依照通用方法F,自叔丁基((4'-氟-[1,1'-联苯基]-4-基)(4-硝基苯基)甲氧基)二甲基硅烷(12.57mmol,5.50g)获得99%产率的4-(((叔丁基二甲基甲硅烷基)氧基)(4'-氟-[1,1'-联苯基]-4-基)甲基)苯胺(12.50mmol,5.10g)。
C25H30FNOSi;分子量为407.60g.mol-1;1H NMR(400MHz,CDCl3)δ7.56-7.35(m,6H),7.17-7.03(m,4H),6.66-6.59(m,2H),5.70(s,1H),0.92(app d,9H),0.01(s,3H),-0.03(s,3H)。
步骤3:(4-(((叔丁基二甲基甲硅烷基)氧基)(4'-氟-[1,1'-联苯基]-4-基)甲基)苯基)氨基甲酸叔丁酯
于室温下,向4-(((叔丁基二甲基甲硅烷基)氧基)(4'-氟-[1,1'-联苯基]-4-基)甲基)苯胺(14.72mmol,6.00g)在DCM(75ml)中的溶液中加入DMAP(1.472mmol,0.18g)和三乙胺(29.4mmol,4.1ml)。向该搅拌的溶液中添加Boc酸酐(10.83mmol,5.50g)在DCM(20ml)中的溶液。将该反应混合物于室温下搅拌过夜。然后将其以水和1N HCl洗涤。有机层经Na2SO4干燥,过滤并浓缩,以87%的产率得到(4-(((叔丁基二甲基甲硅烷基)氧基)(4'-氟-[1,1'-联苯基]-4-基)甲基)苯基)氨基甲酸叔丁基酯(12.80mmol,6.5g)。
C30H38FNO3Si;分子量为507.71g.mol-1;1H NMR(400MHz,CDCl3)δ7.54-7.48(m,2H),7.48-7.27(m,8H),7.15-7.04(m,2H),5.75(d,J=2.1Hz,1H),1.41(d,J=4.9Hz,9H),0.98-0.81(m,9H),0.09until-0.12(m,6H)。
于室温惰性气氛下,向(4-(((叔丁基二甲基甲硅烷基)氧基)(4'-氟-[1,1'-联苯基]-4-基)甲基)苯基)氨基甲酸叔丁基酯(10.83mmol,5.50g)在THF(110mL)中的溶液加入四丁基氟化铵(16.25mmol,8.12ml)。将反应混合物于室温搅拌4小时。然后将其以饱和NH4Cl溶液稀释,并以Et2O萃取(2x)。合并的有机层经Na2SO4干燥,过滤并在减压下浓缩。残余物通过快速色谱分析法纯化(Biotage KP-Sil 100g,己烷/EtOAc,0-80%),以59%的产率得到呈泡沫状的(4-((4'-氟-[1,1'-联苯基]-4-基)(羟基)甲基)苯基)氨基甲酸叔丁基酯(6.40mmol,2.52g)。
C24H24FNO3;分子量为393.45g.mol-1;1H NMR(400MHz,CDCl3)δ7.54-7.46(m,4H),7.41-7.34(m,4H),7.23-7.18(m,2H),7.14-7.07(m,2H),5.87(s,1H),2.26(s,1H),1.44(s,9H)。
向(4-((4'-氟-[1,1'-联苯基]-4-基)(羟基)甲基)苯基)氨基甲酸叔丁基酯(0.762mmol,0.300g)于DCM(80mL)中的溶液加入MnO2(4.57mmol,0.40g),并将悬浮液于室温下搅拌16小时。通过多孔漏斗过滤反应混合物,并在减压下浓缩滤液。残余物通过快速色谱分析纯化(Biotage KP-Sil 25g,己烷/EtOAc,0-40%),以77%的产率得到呈黄色固体的(4-(4'-氟-[1,1'-联苯基]-4-羰基)苯基)氨基甲酸叔丁基酯(0.588mmol,0.230g)。
C24H22FNO3;分子量为391.43g.mol-1;1H NMR(400MHz,CDCl3)δ7.94-7.80(m,4H),7.71-7.56(m,4H),7.46-7.41(m,2H),7.21-7.13(m,2H),1.48(s,9H)。
化合物的生物学特性
鉴定对NOTCH驱动的人类癌症具有高效力的化合物
为了确定化合物的抗癌效力,以选择的化合物处理阳性/驱动的人类T细胞急性淋巴细胞白血病细胞株RPMI 8402,并测量NOTCH靶基因的下调。
材料与方法
细胞培养
以浓度为1μM的靶向NOTCH的化合物处理一百万个人类NOTCH阳性T-ALL细胞株RPMI8402达24小时。处理后,收获细胞并以1x PBS洗涤。如下所述萃取总RNA和总蛋白裂解物。
RNA萃取
使用萃取试剂盒(Invitrogen公司)从细胞中萃取总RNA。简言之,以冰冷的1xPBS洗涤1x106个细胞,并于室温下以1ml的溶液裂解5分钟,以解离核蛋白复合物。然后将裂解的细胞以200μl氯仿处理,并剧烈摇动15-30秒,然后于室温下孵育2-3分钟。使用Eppendorf桌上型离心机于4℃下将样品以14000rpm离心10分钟。离心后,将上部水相转移至新的eppendorfu小管中。为了沉淀总RNA,将500μl的异戊醇添加到分离的水相中,并于室温下孵育10分钟。通过将样品于4℃下离心10分钟获得RNA沉淀。将获得的RNA沉淀物以1ml冰冷的75%乙醇洗涤,并于4℃下以14000rpm离心。将RNA沉淀物以过量的乙醇干燥,然后重新悬浮于40μl DPEC水中。
cDNA合成
从细胞萃取的总RNA用于通过反转录反应合成cDNA。根据以下二个方案之一进行反转录。
第一个方案中,SuperScriptTM RT(Invitrogen公司)用于反转录反应。使用ND-1000分光光度计(Witec AG公司)测量RNA浓度,将500ng的总RNA与10mM的dNTPs混合物和100ng的随机引物混合。将该反应混合物于65℃下孵育5分钟,然后在冰上快速孵育1分钟。在冰上孵育后,添加5x第一链缓冲液和0.1M DTT,并将混合物于25℃下孵育2分钟。为了开始反转录反应,将200U的SuperScripTM II RT加入该反应混合物中,并于42℃下孵育50分钟。通过将该反应混合物于75℃下孵育15分钟来终止反应。
第二个方案中,使用PrimeScript RT Master Mix(Takara公司)进行反转录。使用ND-1000分光光度计(Witec AG公司)测量RNA浓度,并将1μg的总RNA与4μL的5X PrimeScript RT Master Mix混合,总反应体积为20μL。将反应混合物在于37℃下孵育15分钟,然后于85℃下热灭活5秒。
定量实时PCR分析
使用7900HT快速实时PCR系统(Applied Biosystems公司)或QuantStudio 3系统(ThermoFisher公司)进行QRT-PCR。简言之,在96孔或384孔盘格式中,使用12.5ng模板cDNA,引物浓度各为0.5μM,1X SYBRgreen染料,终体积为10μL。熔解曲线与ct值使用SDS软件(Applied Biosystems公司)或以QuantStudio设计及分析软件(ThermoFisher公司)进行分析。
蛋白质印迹分析
将细胞在RIPA缓冲液(50mM Tris.Cl,pH 7.5、150mM NaCl,1%nonidet P-40、0.5%脱氧胆酸钠和0.1%SDS)中于4℃下裂解30分钟。于4℃下以14000rpm离心裂解的细胞以除去碎片。将上清液转移到新的eppendorf小管中。通过使用分光光度计(Ultrospec3000pro)的Bradford测定法确定蛋白质浓度。
对于蛋白质印迹分析,最初通过在99℃下加热5分钟,在1x SDS凝胶上样缓冲液(100mM Tris.Cl,pH 6.8,200mM DTT,4%SDS,0.2%溴酚,20%甘油)中变性40μg蛋白质。将变性的蛋白质样品存储于冰上,直到装载至丙烯酰胺凝胶上。样品在Tris-甘氨酸电泳缓冲液(25mM Tris,250mM甘氨酸,0.1%SDS)中的8%或10%丙烯酰胺凝胶上进行电泳。在丙烯酰胺凝胶上分离后,使用转移缓冲液(39mM甘氨酸,48mM Tris碱,0.037%SDS和20%甲醇)将蛋白质样品转移到PVDF膜上(PEQ lab公司,型号39-3010)。
为了进行免疫印迹,将膜以5%的牛奶阻隔,并于4℃下与初级抗体孵育过夜。将膜以1x TBST(1x TBS+0.5%tween 20)洗涤5分钟(3次),并于室温下与结合HRP的二级抗体孵育1小时。以Super Signal West化学发光底物检测信号(Thermo Scientific公司,型号34077)。
之后,使用Jess(ProteinSimple,biotechne)进行蛋白质印迹分析。通过在95℃下加热5分钟,将含有0.8μg蛋白的样品在含有DTT的上样缓冲液中变性。在12-230kDa凝胶基质上运行样品,初级抗体与二级抗体的孵育时间分别为1小时与30分钟。使用Compass forSW(ProteinSimple,biotechne)软件分析数据。Alamarblue/PrestoBlue增殖测定
进行和PrestoBlue增殖测定以确定Notch抑制剂处理的细胞的生长动力学。Alamar与PrestoBlue由细胞可渗透的基质刃天青素(resazurin)组成。在具有代谢活性与增殖能力的细胞中,由于活细胞固有的还原能力,刃天青素被转化为试卤灵(resorufin),并产生红色荧光。因此,试卤灵的产生可作为细胞群体生存能力的指标。
通过在96孔盘中接种5000个细胞/孔进行增殖测定。使用DMSO或化合物以0.01-10μM的浓度范围处理细胞72小时。每个浓度进行4次重复测试。为了确定生长动力学,将10μl的Alamar或PrestoBlue(Invitrogen公司)添加到每个孔中,并孵育4小时。使用Tecan F500(Tecan公司)多盘读取器或Varioskan LUX(ThermoFisher公司)多盘读取器进行读数。
实施例27:对NOTCH驱动的人类癌症表现出高效力的化合物
为了确定化合物相较于6-(4-叔丁基苯氧基)吡啶-3-胺(描述于WO2013/093885)的抗癌能力,以选定的化合物处理NOTCH阳性/驱动的人类T细胞急性淋巴细胞白血病细胞株RPMI 8402。如图1及表1所示,相较于6-(4-叔丁基苯氧基)吡啶-3-胺,4-([1,1'-联苯基]-4-基氧基)苯胺、6-([1,1'-联苯基]-4-基氧基)-N-甲基吡啶-3-胺、4-([1,1'-联苯基]-4-基氧基)-3-氟-N-甲基苯胺、6-((4'-氟-[1,1'-联苯基]-4-基)氧基)吡啶-3-胺、6-([1,1'-联苯基]-4-基氧基)-4-甲基吡啶-3-胺)、6-([1,1'-联苯基]-4-基氧基)-2-甲基吡啶-3-胺、N-甲基-6-((6-苯基吡啶-3-基)氧基)吡啶-3-胺和6-((2-(2-(4-(4-氨基苯氧基)乙基)-[1,1'-联苯基]-4-基)氧基)吡啶-3-胺显现出提高1.05-9倍的抗增殖能力。
*WO2013/093885中描述的比较化合物
表1:化合物对NOTCH阳性人类白血病细胞的抗增殖作用。细胞以化合物(浓度范围0.01-10μM)处理72小时。抗增殖作用使用Alamar Blue测定法进行测量(有关详细信息,请参见材料与方法)。使用Graph prism软件计算IC50值。
实施例28:NOTCH靶基因的mRNA转录物的下调
为了进一步确定化合物(相较于6-(4-叔丁基苯氧基)吡啶-3-胺)的抗NOTCH活性及效力,将NOTCH阳性的人类白血病细胞株以浓度为1μM的化合物处理24小时。通过定量PCR定量NOTCH靶基因的mRNA转录程度来研究对NOTCH信号传导的影响。计算出新合成的化合物的效力相对于6-(4-叔丁基苯氧基)吡啶-3-胺的增加活性的百分比。如表2所示,化合物在下调NOTCH靶基因如HES1、cMYC和DTX1方面显现出增强的功效。
*WO2013/093885中描述的比较化合物
表2:人类白血病细胞RPMI8402于37℃下以1mM浓度的化合物处理24小时。萃取总RNA,合成cDNA,并使用定量PCR(qPCR)定量各基因的RNA表达。将6-(4-叔丁基苯氧基)吡啶-3-胺下调NOTCH靶基因的活性设定为100%,并以6-(4-叔丁基苯氧基)吡啶3-胺活性作为参考点,计算出各化合物增加的相应活性。ND:未确定。
实施例29:在蛋白质水平的NOTCH靶基因的下调
为了进一步确认化合物的抗NOTCH活性与效力,将NOTCH阳性白血病细胞株以选定的化合物以1μM的浓度处理24小时。使用N1-ICD(裂解且活化的NOTCH1细胞内结构域)、cMYC和ACTIN特异性抗体,通过蛋白质印迹分析来分析总蛋白裂解物。如图2与图3所示,相较于6-(4-叔丁基苯氧基)吡啶-3-胺(描述于WO2013/093885),6-([1,1'-联苯基]-4-基氧基)-N-甲基吡啶-3-胺、6-((4'-氟-[1,1'-联苯基]-4-基)氧基)吡啶-3-胺、6-([1,1'-联苯基]-4-基氧基)-4-甲基吡啶-3-胺、6-([1,1'-联苯基]-4-基氧基)-2-甲基吡啶-3-胺和N-甲基-6-((6-苯基吡啶-3-基)氧基)吡啶-3-胺显现出更强的cMYC与N1-ICD(二者皆为人类白血病细胞中NOTCH信号传导的直接靶基因)的下调。
实施例30:对NOTCH驱动的人类癌症表现出高效力的化合物
为了确定化合物相较于6-(4-叔丁基苯氧基)吡啶-3-胺(描述于WO2013/093885)的抗癌能力,以选定的化合物处理NOTCH阳性/驱动的人类T细胞急性淋巴细胞白血病细胞株RPMI 8402。相较于6-(4-叔丁基苯氧基)吡啶-3-胺,图1与表3中所示的化合物的抗增殖能力提高了1.5至24倍。
*WO2013/093885中描述的比较化合物
表3:化合物对NOTCH阳性人类白血病细胞的抗增殖作用。细胞以化合物(浓度范围为0.03-100μM)处理72小时。使用PrestoBlue分析测定抗增殖作用(有关详细信息,请参见材料与方法)。使用Graph prism软件计算IC50值。
实施例31:在蛋白质水平的NOTCH靶基因的下调
为了进一步确认化合物的抗NOTCH活性及效力,将NOTCH阳性白血病细胞株以选定的化合物以1μM的浓度处理24小时。通过使用N1-ICD(裂解且活化的NOTCH1细胞内结构域)、cMYC和GAPDH特异性抗体的Jess蛋白质印迹分析法分析总蛋白裂解物。相较于6-(4-叔丁基苯氧基)吡啶-3-胺(描述于WO2013/093885),表4中所示的化合物证明对cMYC与N1-ICD(二者皆为人类白血病细胞中NOTCH信号传导的直接靶基因)的下调作用更强。
*WO2013/093885中描述的比较化合物
表4:于37℃下以1μM浓度的化合物处理人类白血病细胞RPMI8402 24小时。通过Jess蛋白质印迹分析法分析总蛋白裂解物。
实施例32:NOTCH靶基因的mRNA转录物的下调
为了进一步确定化合物(相较于6-(4-叔丁基苯氧基)吡啶-3-胺)的抗NOTCH活性及效力,将NOTCH阳性的人类白血病细胞株以1μM浓度的化合物处理24小时。通过定量PCR定量NOTCH靶基因的mRNA转录水平来研究对NOTCH信号传导的影响。如表5所示,相较于6-(4-叔丁基苯氧基)吡啶-3-胺,所列化合物在下调NOTCH靶基因如cMYC、DTX1和HES1方面显示出增强的效力。
*WO2013/093885中描述的比较化合物
表5:于37℃下人类白血病细胞RPMI8402以1mM浓度的化合物处理24小时。萃取总RNA,合成cDNA,并使用定量PCR(qPCR)定量各基因的RNA表达。
Claims (36)
1.式(I)化合物、其药学上可接受的盐、水合物、溶剂化物或立体异构体,
其中X选自CH2、CF2、CHF、CO、CHOH、CHO(C1-C3)烷基、NH、N(C1-C3烷基)、S、SO和O;
其中Y1、Y2和Y3各自独立地选自N和C;
其中Z为NR10R11,其中R10与R11各自独立地选自H和C1-C6烷基;
其中R1选自H、卤素、C1-C6烷基、C3-C12环烷基、C3-C12杂环基、C1-C6烷氧基、C1-C6杂烷基、C0-C3烷基OC0-C3烷基芳基,其中该芳基任选地被NH2、OC1-C6烷基、C1-C6烷基、C1-C6杂烷基、卤素、CN、C3-C12环烷基、C3-C12杂环基取代;C0-C3烷基OC0-C3烷基杂芳基,其中该杂芳基任选地被NH2、OC1-C6烷基、C1-C6烷基、C1-C6杂烷基、卤素、CN、C3-C12环烷基、C3-C12杂环基取代;和被芳基或杂芳基取代的C1-C6烷基,其中该芳基与该杂芳基任选地被NH2、OC1-C6烷基、C1-C6烷基、C1-C6杂烷基、卤素、CN、C3-C12环烷基、C3-C12杂环基取代;
其中R2选自芳基和杂芳基,其中该芳基与该杂芳基任选地被NH2、OC1-C6烷基、C1-C6烷基、C1-C6杂烷基、卤素、CN、C3-C12环烷基、C3-C12杂环基、C(O)R12、C1-C6烷基C(O)R12取代;
其中R3选自H、卤素、C1-C6烷基、C1-C6杂烷基、C3-C12环烷基、C3-C12杂环基和C1-C6烷氧基;
其中R4、R5和R6各自独立地选自H、卤素、CN、C1-C6烷氧基、C1-C6-S-烷基、C1-C6烷基、C1-C6杂烷基、C3-C12环烷基和C3-C12杂环基;
其中当Y1为N时R7不存在,或当Y1为C时R7选自H、卤素、C1-C6烷基、C1-C6杂烷基、C3-C12环烷基、C3-C12杂环基和C1-C6烷氧基;
其中当Y3为N时R8不存在,或当Y3为C时R8选自H、卤素、C1-C6烷基、C1-C6杂烷基、C3-C12环烷基、C3-C12杂环基和C1-C6烷氧基;
其中当Y2为N时R9不存在,或当Y2为C时R9选自H、卤素、C1-C6烷基、C3-C12环烷基、C3-C12杂环基、C1-C6烷氧基、C1-C6杂烷基、C0-C3烷基OC0-C3烷基芳基,其中该芳基任选地被NH2、OC1-C6烷基、C1-C6烷基、C1-C6杂烷基、卤素、CN、C3-C12环烷基、C3-C12杂环基取代;C0-C3烷基OC0-C3烷基杂芳基,其中该杂芳基任选地被NH2、OC1-C6烷基、C1-C6烷基、C1-C6杂烷基、卤素、CN、C3-C12环烷基、C3-C12杂环基取代;和被芳基或杂芳基取代的C1-C6烷基,其中该芳基与该杂芳基任选地被NH2、OC1-C6烷基、C1-C6烷基、C1-C6杂烷基、卤素、CN、C3-C12环烷基、C3-C12杂环基取代;
其中R12选自H、NH2、NHC1-C6烷基、C1-C6烷基、C1-C6杂烷基、C2-C6烯基、C2-C6炔基、C3-C12环烷基和C3-C12杂环基;
其条件为所述式(I)化合物不为6-([1,1’-联苯基]-4-基氧基)-吡啶-3-胺、4-([1,1’-联苯基]-4-基氧基)-苯胺、6-([1,1’-联苯基]-4-基氧基)-2-甲基吡啶-3-胺和6-([1,1’-联苯基]-4-基氧基)-4-甲基吡啶-3-胺。
2.式(I)化合物、其药学上可接受的盐、水合物、溶剂化物或立体异构体,其用于预防或治疗癌症的方法中,
其中X选自CH2、CF2、CHF、CO、CHOH、CHO(C1-C3)烷基、NH、N(C1-C3烷基)、S、SO和O;
其中Y1、Y2和Y3各自独立地选自N和C;
其中Z为NR10R11,其中R10与R11各自独立地选自H和C1-C6烷基;
其中R1选自H、卤素、C1-C6烷基、C3-C12环烷基、C3-C12杂环基、C1-C6烷氧基、C1-C6杂烷基、C0-C3烷基OC0-C3烷基芳基,其中该芳基任选地被NH2、OC1-C6烷基、C1-C6烷基、C1-C6杂烷基、卤素、CN、C3-C12环烷基、C3-C12杂环基取代;C0-C3烷基OC0-C3烷基杂芳基,其中该杂芳基任选地被NH2、OC1-C6烷基、C1-C6烷基、C1-C6杂烷基、卤素、CN、C3-C12环烷基、C3-C12杂环基取代;和被芳基或杂芳基取代的C1-C6烷基,其中该芳基与该杂芳基任选地被NH2、OC1-C6烷基、C1-C6烷基、C1-C6杂烷基、卤素、CN、C3-C12环烷基、C3-C12杂环基取代;
其中R2选自芳基和杂芳基,其中该芳基与该杂芳基任选地被NH2、OC1-C6烷基、C1-C6烷基、C1-C6杂烷基、卤素、CN、C3-C12环烷基、C3-C12杂环基、C(O)R12、C1-C6烷基C(O)R12取代;
其中R3选自H、卤素、C1-C6烷基、C1-C6杂烷基、C3-C12环烷基、C3-C12杂环基和C1-C6烷氧基;
其中R4、R5和R6各自独立地选自H、卤素、CN、C1-C6烷氧基、C1-C6-S-烷基、C1-C6烷基、C1-C6杂烷基、C3-C12环烷基和C3-C12杂环基;
其中当Y1为N时R7不存在,或当Y1为C时R7选自H、卤素、C1-C6烷基、C1-C6杂烷基、C3-C12环烷基、C3-C12杂环基和C1-C6烷氧基;
其中当Y3为N时R8不存在,或当Y3为C时R8选自H、卤素、C1-C6烷基、C1-C6杂烷基、C3-C12环烷基、C3-C12杂环基和C1-C6烷氧基;
其中当Y2为N时R9不存在,或当Y2为C时R9选自H、卤素、C1-C6烷基、C3-C12环烷基、C3-C12杂环基、C1-C6烷氧基、C1-C6杂烷基、C0-C3烷基OC0-C3烷基芳基,其中该芳基任选地被NH2、OC1-C6烷基、C1-C6烷基、C1-C6杂烷基、卤素、CN、C3-C12环烷基、C3-C12杂环基取代;C0-C3烷基OC0-C3烷基杂芳基,其中该杂芳基任选地被NH2、OC1-C6烷基、C1-C6烷基、C1-C6杂烷基、卤素、CN、C3-C12环烷基、C3-C12杂环基取代;和被芳基或杂芳基取代的C1-C6烷基,其中该芳基与该杂芳基任选地被NH2、OC1-C6烷基、C1-C6烷基、C1-C6杂烷基、卤素、CN、C3-C12环烷基、C3-C12杂环基取代;
其中R12选自H、NH2、NHC1-C6烷基、C1-C6烷基、C1-C6杂烷基、C2-C6烯基、C2-C6炔基、C3-C12环烷基和C3-C12杂环基。
3.药物组合物,包含式(I)化合物、其药学上可接受的盐、水合物、溶剂化物、或立体异构体和药学上可接受的载体,
其中X选自CH2、CF2、CHF、CO、CHOH、CHO(C1-C3)烷基、NH、N(C1-C3烷基)、S、SO和O;
其中Y1、Y2和Y3各自独立地选自N和C;
其中Z为NR10R11,其中R10与R11各自独立地选自H和C1-C6烷基;
其中R1选自H、卤素、C1-C6烷基、C3-C12环烷基、C3-C12杂环基、C1-C6烷氧基、C1-C6杂烷基、C0-C3烷基OC0-C3烷基芳基,其中该芳基任选地被NH2、OC1-C6烷基、C1-C6烷基、C1-C6杂烷基、卤素、CN、C3-C12环烷基、C3-C12杂环基取代;C0-C3烷基OC0-C3烷基杂芳基,其中该杂芳基任选地被NH2、OC1-C6烷基、C1-C6烷基、C1-C6杂烷基、卤素、CN、C3-C12环烷基、C3-C12杂环基取代;和被芳基或杂芳基取代的C1-C6烷基,其中该芳基与该杂芳基任选地被NH2、OC1-C6烷基、C1-C6烷基、C1-C6杂烷基、卤素、CN、C3-C12环烷基、C3-C12杂环基取代;
其中R2选自芳基和杂芳基,其中该芳基与该杂芳基任选地被NH2、OC1-C6烷基、C1-C6烷基、C1-C6杂烷基、卤素、CN、C3-C12环烷基、C3-C12杂环基、C(O)R12、C1-C6烷基C(O)R12取代;
其中R3选自H、卤素、C1-C6烷基、C1-C6杂烷基、C3-C12环烷基、C3-C12杂环基和C1-C6烷氧基;
其中R4、R5和R6各自独立地选自H、卤素、CN、C1-C6烷氧基、C1-C6-S-烷基、C1-C6烷基、C1-C6杂烷基、C3-C12环烷基和C3-C12杂环基;
其中当Y1为N时R7不存在,或当Y1为C时R7选自H、卤素、C1-C6烷基、C1-C6杂烷基、C3-C12环烷基、C3-C12杂环基和C1-C6烷氧基;
其中当Y3为N时R8不存在,或当Y3为C时R8选自H、卤素、C1-C6烷基、C1-C6杂烷基、C3-C12环烷基、C3-C12杂环基和C1-C6烷氧基;
其中当Y2为N时R9不存在,或当Y2为C时R9选自H、卤素、C1-C6烷基、C3-C12环烷基、C3-C12杂环基、C1-C6烷氧基、C1-C6杂烷基、C0-C3烷基OC0-C3烷基芳基,其中该芳基任选地被NH2、OC1-C6烷基、C1-C6烷基、C1-C6杂烷基、卤素、CN、C3-C12环烷基、C3-C12杂环基取代;C0-C3烷基OC0-C3烷基杂芳基,其中该杂芳基任选地被NH2、OC1-C6烷基、C1-C6烷基、C1-C6杂烷基、卤素、CN、C3-C12环烷基、C3-C12杂环基取代;和被芳基或杂芳基取代的C1-C6烷基,其中该芳基与该杂芳基任选地被NH2、OC1-C6烷基、C1-C6烷基、C1-C6杂烷基、卤素、CN、C3-C12环烷基、C3-C12杂环基取代;
其中R12选自H、NH2、NHC1-C6烷基、C1-C6烷基、C1-C6杂烷基、C2-C6烯基、C2-C6炔基、C3-C12环烷基和C3-C12杂环基。
4.根据权利要求1的式(I)化合物,根据权利要求2使用的式(I)化合物,或根据权利要求3的包含式(I)化合物的药物组合物,其中X选自CH2、CO、CHOH、CHO(C1-C3)烷基、NH和O。
5.根据权利要求1的式(I)化合物,根据权利要求2使用的式(I)化合物,或根据权利要求3的包含式(I)化合物的药物组合物,
其中X选自CH2、CO、CHOH、CHO(C1-C3)烷基、NH和O;
其中Y1、Y2和Y3各自独立地选自N和C;
其中Z为NR10R11,其中R10与R11各自独立地选自H和C1-C6烷基;
其中R1选自H、卤素、C1-C6烷基、C3-C12环烷基、C3-C12杂环基、C1-C6烷氧基、C1-C6杂烷基、C0-C3烷基OC0-C3烷基芳基,其中该芳基任选地被NH2、OC1-C6烷基、C1-C6烷基、C1-C6杂烷基、卤素、CN、C3-C12环烷基、C3-C12杂环基取代;C0-C3烷基OC0-C3烷基杂芳基,其中该杂芳基任选地被NH2、OC1-C6烷基、C1-C6烷基、C1-C6杂烷基、卤素、CN、C3-C12环烷基、C3-C12杂环基取代;和被芳基或杂芳基取代的C1-C6烷基,其中该芳基与该杂芳基任选地被NH2、OC1-C6烷基、C1-C6烷基、C1-C6杂烷基、卤素、CN、C3-C12环烷基、C3-C12杂环基取代;
其中R2选自芳基和杂芳基,其中该芳基与该杂芳基任选地被NH2、OC1-C6烷基、C1-C6烷基、C1-C6杂烷基、卤素、CN、C3-C12环烷基、C3-C12杂环基、C(O)R12、C1-C6烷基C(O)R12取代;
其中R3选自H、卤素、C1-C6烷基和C3-C12环烷基;
其中R4、R5和R6各自独立地选自H、卤素、CN、C1-C6烷基和C1-C6杂烷基;
其中当Y1为N时R7不存在,或当Y1为C时R7选自H、卤素、C1-C6烷基和C3-C12环烷基;
其中当Y3为N时R8不存在,或当Y3为C时R8选自H、卤素、C1-C6烷基和C3-C12环烷基;
其中当Y2为N时R9不存在,或当Y2为C时R9选自H、卤素、C1-C6烷基和C3-C12环烷基;且
其中R12选自NH2、NHC1-C6烷基、C1-C6烷基和C1-C6杂烷基。
6.根据权利要求1的式(I)化合物,根据权利要求2使用的式(I)化合物,或根据权利要求3的包含式(I)化合物的药物组合物,
其中X选自CH2、CO、CHOH、CHO(C1-C3)烷基、NH和O;
其中Y1为N且R7不存在,Y2选自N和C,且Y3为C;
其中Z为NR10R11,其中R10与R11各自独立地选自H和C1-C6烷基;
其中R1选自H、卤素、C1-C6烷基、C3-C12环烷基、C3-C12杂环基、C1-C6烷氧基、C1-C6杂烷基、C0-C3烷基OC0-C3烷基芳基,其中该芳基任选地被NH2、OC1-C6烷基、C1-C6烷基、C1-C6杂烷基、卤素、CN、C3-C12环烷基、C3-C12杂环基取代;C0-C3烷基OC0-C3烷基杂芳基,其中该杂芳基任选地被NH2、OC1-C6烷基、C1-C6烷基,、C1-C6杂烷基、卤素、CN、C3-C12环烷基、C3-C12杂环基取代;和被芳基或杂芳基取代的C1-C6烷基,其中该芳基与该杂芳基任选地被NH2、OC1-C6烷基、C1-C6烷基、C1-C6杂烷基、卤素、CN、C3-C12环烷基、C3-C12杂环基取代;
其中R2选自芳基和杂芳基,其中该芳基与该杂芳基任选地被NH2、OC1-C6烷基、C1-C6烷基、C1-C6杂烷基、卤素、CN、C3-C12环烷基、C3-C12杂环基、C(O)R12、C1-C6烷基C(O)R12取代;
其中R3选自H、卤素、C1-C6烷基和C3-C12环烷基;
其中R4、R5和R6各自独立地选自H、卤素、CN、C1-C6烷基和C1-C6杂烷基;
其中R8选自H、卤素、C1-C6烷基和C3-C12环烷基;
其中当Y2为N时R9不存在,或当Y2为C时R9选自H、卤素、C1-C6烷基和C3-C12环烷基;且
其中R12选自NH2、NHC1-C6烷基、C1-C6烷基和C1-C6杂烷基。
7.根据权利要求1的式(I)化合物,根据权利要求2使用的式(I)化合物,或根据权利要求3的包含式(I)化合物的药物组合物,
其中X选自CH2、CO、CHOH、CHO(C1-C3)烷基、NH和O;
其中Y1、Y2和Y3各自独立地选自N和C;
其中Z为NR10R11,其中R10与R11各自独立地选自H和C1-C6烷基;
其中R1选自H、C1-C6烷基、C0-C3烷基OC0-C3烷基芳基,其中该芳基任选地被NH2取代;C0-C3烷基OC0-C3烷基杂芳基,其中该杂芳基任选地被NH2取代;
其中R2选自芳基和杂芳基,其中该芳基与该杂芳基任选地被OC1-C6烷基、C1-C6烷基、C1-C6杂烷基、卤素、C1-C6烷基C(O)R12取代;
其中R3为H;
其中R4选自H和卤素;
其中R5和R6各自独立地选自H和C1-C6烷基;
其中当Y1为N时R7不存在,或当Y1为C时R7为H;
其中当Y3为N时R8不存在,或当Y3为C时R8为H;
其中当Y2为N时R9不存在,或当Y2为C时R9为H;且
其中R12为NH2。
8.根据权利要求1的式(I)化合物,根据权利要求2使用的式(I)化合物,或根据权利要求3的包含式(I)化合物的药物组合物,
其中X选自CH2、CO、CHOH、CHO(C1-C3)烷基、NH和O;
其中Y1为N且R7不存在,Y2选自N和C和Y3为C;
其中Z为NR10R11,其中R10与R11各自独立地选自H和C1-C6烷基;
其中R1选自H、C1-C6烷基、C0-C3烷基OC0-C3烷基芳基,其中该芳基任选地被NH2取代;C0-C3烷基OC0-C3烷基杂芳基,其中该杂芳基任选地被NH2取代;
其中R2选自芳基和杂芳基,其中该芳基与该杂芳基任选地被OC1-C6烷基、C1-C6烷基、C1-C6杂烷基、卤素、C1-C6烷基C(O)R12取代;
其中R3为H;
其中R4选自H和卤素;
其中R5和R6各自独立地选自H和C1-C6烷基;
其中R8为H;
其中当Y2为N时R9不存在,或当Y2为C时R9为H;且
其中R12为NH2。
9.根据权利要求1的式(I)化合物,根据权利要求2使用的式(I)化合物,或根据权利要求3的包含式(I)化合物的药物组合物,
其中X选自CH2、NH和O;
其中Y1、Y2和Y3各自独立地选自N和C;
其中Z为NR10R11,其中R10与R11各自独立地选自H和C1-C6烷基;
其中R1选自H、卤素、C1-C6烷基、C3-C12环烷基、C3-C12杂环基、C1-C6烷氧基、C1-C6杂烷基、C0-C3烷基OC0-C3烷基芳基,其中该芳基任选地被NH2、OC1-C6烷基、C1-C6烷基、C1-C6杂烷基、卤素、CN、C3-C12环烷基、C3-C12杂环基取代;C0-C3烷基OC0-C3烷基杂芳基,其中该杂芳基任选地被NH2、OC1-C6烷基、C1-C6烷基、C1-C6杂烷基、卤素、CN、C3-C12环烷基、C3-C12杂环基取代;和被芳基或杂芳基取代的C1-C6烷基,其中该芳基与该杂芳基任选地被NH2、OC1-C6烷基、C1-C6烷基、C1-C6杂烷基、卤素、CN、C3-C12环烷基、C3-C12杂环基取代;
其中R2选自芳基和杂芳基,其中该芳基与该杂芳基任选地被NH2、OC1-C6烷基、C1-C6烷基、C1-C6杂烷基、卤素、CN、C3-C12环烷基、C3-C12杂环基、C(O)R12、C1-C6烷基C(O)R12取代;
其中R3选自H、卤素、C1-C6烷基和C3-C12环烷基;
其中R4、R5和R6各自独立地选自H、卤素、CN、C1-C6烷基和C1-C6杂烷基;
其中当Y1为N时R7不存在,或当Y1为C时R7选自H、卤素、C1-C6烷基和C3-C12环烷基;
其中当Y3为N时R8不存在,或当Y3为C时R8选自H、卤素、C1-C6烷基和C3-C12环烷基;
其中当Y2为N时R9不存在,或当Y2为C时R9选自H、卤素、C1-C6烷基和C3-C12环烷基;且
其中R12选自NH2、NHC1-C6烷基、C1-C6烷基和C1-C6杂烷基。
10.根据权利要求1的式(I)化合物,根据权利要求2使用的式(I)化合物,或根据权利要求3的包含式(I)化合物的药物组合物,
其中X选自CH2、CO、CHOH、CHO(C1-C3)烷基、NH和O;
其中Y1、Y2和Y3各自独立地选自N和C;
其中Z为NR10R11,其中R10与R11各自独立地选自H和C1-C6烷基;
其中R1选自H、卤素、C1-C6烷基、C3-C12环烷基、C3-C12杂环基、C1-C6烷氧基和C1-C6杂烷基;
其中R2选自芳基和杂芳基,其中该芳基与该杂芳基任选地被NH2、OC1-C6烷基、C1-C6烷基、C1-C6杂烷基、卤素、CN、C3-C12环烷基、C3-C12杂环基、C(O)R12、C1-C6烷基C(O)R12取代;
其中R3选自H、卤素、C1-C6烷基和C3-C12环烷基;
其中R4、R5和R6各自独立地选自H、卤素、CN、C1-C6烷基和C1-C6杂烷基;
其中当Y1为N时R7不存在,或当Y1为C时R7选自H、卤素、C1-C6烷基和C3-C12环烷基;
其中当Y3为N时R8不存在,或当Y3为C时R8选自H、卤素、C1-C6烷基和C3-C12环烷基;
其中当Y2为N时R9不存在,或当Y2为C时R9选自H、卤素、C1-C6烷基和C3-C12环烷基;且
其中R12选自NH2、NHC1-C6烷基、C1-C6烷基和C1-C6杂烷基。
11.根据权利要求1的式(I)化合物,根据权利要求2使用的式(I)化合物,或根据权利要求3的包含式(I)化合物的药物组合物,
其中X选自CH2、NH和O;
其中Y1、Y2和Y3各自独立地选自N和C;
其中Z为NR10R11,其中R10与R11各自独立地选自H和C1-C6烷基;
其中R1选自H、卤素、C1-C6烷基、C3-C12环烷基、C3-C12杂环基、C1-C6烷氧基和C1-C6杂烷基;
其中R2选自芳基和杂芳基,其中该芳基与该杂芳基任选地被NH2、OC1-C6烷基、C1-C6烷基、C1-C6杂烷基、卤素、CN、C3-C12环烷基、C3-C12杂环基、C(O)R12、C1-C6烷基C(O)R12取代;
其中R3选自H、卤素、C1-C6烷基和C3-C12环烷基;
其中R4、R5和R6各自独立地选自H、卤素、CN、C1-C6烷基和C1-C6杂烷基;
其中当Y1为N时R7不存在,或当Y1为C时R7选自H、卤素、C1-C6烷基和C3-C12环烷基;
其中当Y3为N时R8不存在,或当Y3为C时R8选自H、卤素、C1-C6烷基和C3-C12环烷基;
其中当Y2为N时R9不存在,或当Y2为C时R9选自H、卤素、C1-C6烷基和C3-C12环烷基;且
其中R12选自NH2、NHC1-C6烷基、C1-C6烷基和C1-C6杂烷基。
12.根据权利要求1的式(I)化合物,根据权利要求2使用的式(I)化合物,或根据权利要求3的包含式(I)化合物的药物组合物,
其中X选自CH2、CO、CHOH、CHO(C1-C3)烷基、NH和O;
其中Y1、Y2和Y3各自独立地选自N和C;
其中Z为NR10R11,其中R10与R11各自独立地选自H和C1-C6烷基;
其中R1选自H和C1-C6烷基;
其中R2选自芳基和杂芳基,其中该芳基与该杂芳基任选地被OC1-C6烷基、C1-C6烷基、C1-C6杂烷基、卤素、C1-C6烷基C(O)R12取代;
其中R3为H;
其中R4选自H和卤素;
其中R5和R6各自独立地选自H和C1-C6烷基;
其中当Y1为N时R7不存在,或当Y1为C时R7为H;
其中当Y3为N时R8不存在,或当Y3为C时R8为H;
其中当Y2为N时R9不存在,或当Y2为C时R9为H;且
其中R12为NH2。
13.根据权利要求1的式(I)化合物,根据权利要求2使用的式(I)化合物,或根据权利要求3的包含式(I)化合物的药物组合物,
其中X选自CH2、CO、CHOH、CHO(C1-C3)烷基、NH和O;
其中Y1为N且R7不存在,Y2选自N和C和Y3为C;
其中Z为NR10R11,其中R10与R11各自独立地选自H和C1-C6烷基;
其中R1选自H和C1-C6烷基;
其中R2选自芳基和杂芳基,其中该芳基与该杂芳基任选地被OC1-C6烷基、C1-C6烷基、C1-C6杂烷基、卤素、C1-C6烷基C(O)R12取代;
其中R3为H;
其中R4选自H和卤素;
其中R5和R6各自独立地选自H和C1-C6烷基;
其中R8为H;
其中当Y2为N时R9不存在,或当Y2为C时R9为H;且
其中R12为NH2。
14.根据权利要求1的式(I)化合物,根据权利要求2使用的式(I)化合物,或根据权利要求3的包含式(I)化合物的药物组合物,
其中X选自CH2、CO、CHOH、CHO(C1-C3)烷基、NH和O;
其中Y1、Y2和Y3各自独立地选自N和C;
其中Z为NR10R11,其中R10与R11各自独立地选自H和C1-C6烷基;
其中R1选自C0-C3烷基OC0-C3烷基芳基,其中该芳基任选地被NH2、OC1-C6烷基、C1-C6烷基、C1-C6杂烷基、卤素、CN、C3-C12环烷基、C3-C12杂环基取代;和C0-C3烷基OC0-C3烷基杂芳基,其中该杂芳基任选地被NH2、OC1-C6烷基、C1-C6烷基,、C1-C6杂烷基、卤素、CN、C3-C12环烷基、C3-C12杂环基取代;
其中R2选自芳基和杂芳基,其中该芳基与该杂芳基任选地被NH2、卤素、C1-C6烷基、CN取代;
其中R3选自H、卤素和C1-C4烷基;
其中R4、R5和R6各自独立地选自H、卤素和C1-C4烷基;
其中当Y1为N时R7不存在,或当Y1为C时R7选自H、卤素和C1-C4烷基;
其中当Y3为N时R8不存在,或当Y3为C时R8选自H、卤素和C1-C4烷基;以及
其中当Y2为N时R9不存在,或当Y2为C时R9选自H、卤素和C1-C4烷基。
15.根据权利要求1的式(I)化合物,根据权利要求2使用的式(I)化合物,或根据权利要求3的包含式(I)化合物的药物组合物,
其中X选自CH2、NH和O,且优选O;
其中Y1、Y2和Y3各自独立地选自N和C;
其中Z为NR10R11,其中R10与R11各自独立地选自H和C1-C6烷基;
其中R1选自C0-C3烷基OC0-C3烷基芳基,其中该芳基任选地被NH2、OC1-C6烷基、C1-C6烷基、C1-C6杂烷基、卤素、CN、C3-C12环烷基、C3-C12杂环基取代;和C0-C3烷基OC0-C3烷基杂芳基,其中该杂芳基任选地被NH2、OC1-C6烷基、C1-C6烷基,、C1-C6杂烷基、卤素、CN、C3-C12环烷基、C3-C12杂环基取代;
其中R2选自芳基和杂芳基,其中该芳基与该杂芳基任选地被NH2、卤素、C1-C6烷基、CN取代;
其中R3选自H、卤素和C1-C4烷基;
其中R4、R5和R6各自独立地选自H、卤素和C1-C4烷基;
其中当Y1为N时R7不存在,或当Y1为C时R7选自H、卤素和C1-C4烷基;
其中当Y3为N时R8不存在,或当Y3为C时R8选自H、卤素和C1-C4烷基;以及
其中当Y2为N时R9不存在,或当Y2为C时R9选自H、卤素和C1-C4烷基。
16.根据权利要求1-15任一项的式(I)化合物、用于使用的式(I)化合物和包含式(I)化合物的药物组合物,其中X选自CH2、CO、CHOH、CHO(C1-C3)烷基和O。
17.根据权利要求1-15任一项的式(I)化合物、用于使用的式(I)化合物和包含式(I)化合物的药物组合物,其中X为CH2或O。
18.根据权利要求1-15任一项的式(I)化合物、用于使用的式(I)化合物和包含式(I)化合物的药物组合物,其中X为O。
19.根据权利要求1-6、9和16-18任一项的式(I)化合物、用于使用的式(I)化合物和包含式(I)化合物的药物组合物,其中R1选自H、卤素、C1-C6烷基、C1-C6杂烷基、C0-C3烷基OC0-C3烷基芳基,其中该芳基任选地被NH2、C1-C6烷基、C1-C6杂烷基、卤素、CN取代,优选任选被NH2取代;和C0-C3烷基OC0-C3烷基杂芳基,其中该杂芳基任选地被NH2、OC1-C6烷基、C1-C6烷基,、C1-C6杂烷基、卤素、CN、C3-C12环烷基、C3-C12杂环基取代,优选任选被NH2取代。
20.根据权利要求1-19任一项的式(I)化合物、用于使用的式(I)化合物和包含式(I)化合物的药物组合物,其中R2选自芳基和杂芳基,其中该芳基为任选取代的苯基,其中该苯基的任选取代在间位或对位,优选在对位。
21.根据权利要求1-6、9-11和16-19任一项的式(I)化合物、用于使用的式(I)化合物和包含式(I)化合物的药物组合物,其中R2选自芳基和杂芳基,其中该芳基和该杂芳基任选地被NH2、C1-C6烷基、C1-C6杂烷基、卤素、CN、C(O)R12、C1-C6烷基C(O)R12取代。
22.根据权利要求1-6、9-11和16-21任一项的式(I)化合物、用于使用的式(I)化合物和包含式(I)化合物的药物组合物,其中R3选自H、卤素和C1-C4烷基,优选H,和/或其中R4、R5和R6各自独立地选自H、卤素、CN、C1-C6烷基和C1-C6杂烷基。
23.根据权利要求1-5、7、9-12和14-22任一项的式(I)化合物、用于使用的式(I)化合物和包含式(I)化合物的药物组合物,
其中当Y1为N时R7不存在,或当Y1为C时R7选自H、卤素和C1-C4烷基,优选选自H、卤素和甲基;
其中当Y3为N时R8不存在,或当Y3为C时R8选自H、卤素和C1-C4烷基,优选选自H、卤素和甲基;
其中当Y2为N时R9不存在,或当Y2为C时R9选自H、卤素和C1-C4烷基,优选选自H、卤素和甲基;和/或
其中R10为H;且R11选自H和C1-C4烷基,优选选自H或甲基。
24.根据权利要求1-4任一项的式(I)化合物、用于使用的式(I)化合物和包含式(I)化合物的药物组合物,其中R12选自NH2、NHC1-C6烷基、C1-C6烷基和C1-C6杂烷基。
25.根据权利要求1-5、7、9-12和14-22任一项的式(I)化合物、用于使用的式(I)化合物和包含式(I)化合物的药物组合物,其中Y1为N且R7不存在。
26.根据权利要求1-5、7、9-12和14-22任一项的式(I)化合物、用于使用的式(I)化合物和包含式(I)化合物的药物组合物,其中Y1为N且R7不存在,Y2选自N和C,且Y3为C。
27.根据权利要求1-26任一项的式(I)化合物、用于使用的式(I)化合物和/或包含式(I)化合物的药物组合物,其中R2选自芳基和杂芳基,其中该杂芳基为任选取代的芳香族5或6元单环基团。
28.根据权利要求1-27任一项的式(I)化合物,其中R2选自芳基和杂芳基,其条件为该杂芳基不为未取代的噻唑、噁唑、咪唑和吡咯。
29.根据权利要求1-28任一项的式(I)化合物、用于使用的式(I)化合物和/或包含式(I)化合物的药物组合物,其条件为所述式(I)化合物不为4-(4′-甲氧基-联苯-4-基氧基)苯胺、4-(4′-氯-联苯-4-基氧基)苯胺、4-(4′-叔丁基-联苯-4-基氧基)苯胺。
30.根据权利要求1-29任一项的式(I)化合物、用于使用的式(I)化合物和/或包含式(I)化合物的药物组合物,其条件为所述式(I)化合物不为4-(4-(噻唑-2-基)苯氧基)苯胺、4-(4-(1H-咪唑-2-基)苯氧基)苯胺、4-(4-(噁唑-2-基)苯氧基)苯胺和4-(4-(1H-吡咯-1-基)苯氧基)苯胺。
31.根据权利要求2-30任一项的用于使用的式(I)化合物和/或包含式(I)化合物的药物组合物,其条件为所述式(I)化合物不为4-([1,1’-联苯基]-4-基氧基)-苯胺。
32.根据权利要求2-30任一项的式(I)化合物、用于使用的式(I)化合物和/或包含式(I)化合物的药物组合物,其条件为所述式(I)化合物不为6-([1,1'-联苯基]-4-基氧基)-吡啶-3-胺、4-([1,1'-联苯基]-4-基氧基)-苯胺、6-([1,1'-联苯基]-4-基氧基)-2-甲基吡啶-3-胺和6-([1,1'-联苯基]-4-基氧基)-4-甲基吡啶-3-胺。
36.根据权利要求2-27和29-35任一项使用的式(I)化合物,其中所述癌症为Notch依赖性癌症。
Priority Applications (1)
| Application Number | Priority Date | Filing Date | Title |
|---|---|---|---|
| CN202411128418.0A CN118994001A (zh) | 2019-04-10 | 2020-04-09 | Notch信号传导途径抑制剂及其在癌症治疗的用途 |
Applications Claiming Priority (3)
| Application Number | Priority Date | Filing Date | Title |
|---|---|---|---|
| EP19168508 | 2019-04-10 | ||
| EP19168508.0 | 2019-04-10 | ||
| PCT/EP2020/060153 WO2020208139A1 (en) | 2019-04-10 | 2020-04-09 | Inhibitors of notch signalling pathway and use thereof in treatment of cancers |
Related Child Applications (1)
| Application Number | Title | Priority Date | Filing Date |
|---|---|---|---|
| CN202411128418.0A Division CN118994001A (zh) | 2019-04-10 | 2020-04-09 | Notch信号传导途径抑制剂及其在癌症治疗的用途 |
Publications (2)
| Publication Number | Publication Date |
|---|---|
| CN113966324A true CN113966324A (zh) | 2022-01-21 |
| CN113966324B CN113966324B (zh) | 2024-09-03 |
Family
ID=66105107
Family Applications (2)
| Application Number | Title | Priority Date | Filing Date |
|---|---|---|---|
| CN202411128418.0A Pending CN118994001A (zh) | 2019-04-10 | 2020-04-09 | Notch信号传导途径抑制剂及其在癌症治疗的用途 |
| CN202080043231.4A Active CN113966324B (zh) | 2019-04-10 | 2020-04-09 | Notch信号传导途径抑制剂及其在癌症治疗的用途 |
Family Applications Before (1)
| Application Number | Title | Priority Date | Filing Date |
|---|---|---|---|
| CN202411128418.0A Pending CN118994001A (zh) | 2019-04-10 | 2020-04-09 | Notch信号传导途径抑制剂及其在癌症治疗的用途 |
Country Status (18)
| Country | Link |
|---|---|
| US (1) | US20220169642A1 (zh) |
| EP (1) | EP3953335A1 (zh) |
| JP (1) | JP7624930B2 (zh) |
| KR (1) | KR20220021462A (zh) |
| CN (2) | CN118994001A (zh) |
| AU (1) | AU2020271268B2 (zh) |
| BR (1) | BR112021020226A2 (zh) |
| CA (1) | CA3134791A1 (zh) |
| EA (1) | EA202192394A1 (zh) |
| IL (1) | IL287043B2 (zh) |
| MA (1) | MA55596A (zh) |
| MX (1) | MX2021012359A (zh) |
| PH (1) | PH12021552325A1 (zh) |
| SA (1) | SA521430519B1 (zh) |
| SG (1) | SG11202110545TA (zh) |
| TW (1) | TW202104166A (zh) |
| WO (1) | WO2020208139A1 (zh) |
| ZA (1) | ZA202108579B (zh) |
Families Citing this family (5)
| Publication number | Priority date | Publication date | Assignee | Title |
|---|---|---|---|---|
| EP4255409A1 (en) | 2020-12-07 | 2023-10-11 | Cellestia Biotech AG | Pharmaceutical combinations for treating cancer |
| EP4008324A1 (en) | 2020-12-07 | 2022-06-08 | Cellestia Biotech AG | Combinations comprising an inhibitor of an anti-apoptotic protein, such as bcl-2, bcl-xl, bclw or mcl-1, and a notch signaling pathway inhibitor for treating cancer |
| US20240269120A1 (en) | 2021-06-02 | 2024-08-15 | Cellestia Biotech Ag | Method for Treating an Autoimmune and Inflammatory Disease |
| WO2023079132A1 (en) | 2021-11-08 | 2023-05-11 | Cellestia Biotech Ag | Pharmaceutical combinations for treating cancer |
| EP4223292A1 (en) | 2022-02-07 | 2023-08-09 | Cellestia Biotech AG | Pharmaceutical combinations for treating cancer |
Citations (5)
| Publication number | Priority date | Publication date | Assignee | Title |
|---|---|---|---|---|
| WO1998041525A1 (en) * | 1997-03-19 | 1998-09-24 | Basf Aktiengesellschaft | Pyrrolo[2,3d]pyrimidines and their use as tyrosine kinase inhibitors |
| US20030176438A1 (en) * | 2001-10-19 | 2003-09-18 | Arienti Kristen L. | Substituted benzimidazoles and imidazo-[4,5]-pyridines |
| WO2006020951A1 (en) * | 2004-08-13 | 2006-02-23 | Praecis Pharmaceuticals, Inc. | Methods and compositions for modulating sphingosine-1-phosphate (s1p) receptor activity |
| US20090105266A1 (en) * | 2007-04-19 | 2009-04-23 | Ralf Glatthar | Organic compounds |
| WO2013093885A1 (en) * | 2011-12-21 | 2013-06-27 | Ecole polytechnique fédérale de Lausanne (EPFL) | Inhibitors of notch signalling pathway and use thereof in treatment of cancers |
Family Cites Families (17)
| Publication number | Priority date | Publication date | Assignee | Title |
|---|---|---|---|---|
| US4231931A (en) * | 1978-02-03 | 1980-11-04 | Ciba-Geigy Corporation | Tetraphenylketazines and isoindolinone pigments obtained therefrom |
| US4219474A (en) * | 1978-03-20 | 1980-08-26 | William H. Rorer, Inc. | Heterocyclic phenyl azo hydroxybenzenes |
| GB8430252D0 (en) | 1984-11-30 | 1985-01-09 | Beecham Group Plc | Compounds |
| JPH0748251A (ja) * | 1993-08-04 | 1995-02-21 | Green Cross Corp:The | 好酸球関連疾患予防治療剤 |
| US5935924A (en) | 1994-04-15 | 1999-08-10 | Genentech, Inc. | Treatment of congestive heart failure |
| EP0889033B1 (en) | 1995-09-29 | 2003-01-08 | Shionogi & Co., Ltd. | Alpha-substituted benzyl heterocyclic derivatives, intermediates for producing the same, and pesticides containing the same as active ingredient |
| US6214966B1 (en) | 1996-09-26 | 2001-04-10 | Shearwater Corporation | Soluble, degradable poly(ethylene glycol) derivatives for controllable release of bound molecules into solution |
| JPH11152277A (ja) * | 1997-08-29 | 1999-06-08 | Takeda Chem Ind Ltd | トリアジン誘導体、その製造法及び用途 |
| MXPA01010750A (es) | 1999-04-23 | 2003-08-20 | Alza Corp | Conjugado que tiene un enlace dividible para utilizarse en un liposoma. |
| AUPR755501A0 (en) | 2001-09-07 | 2001-09-27 | Fujisawa Pharmaceutical Co., Ltd. | Cyclic compound |
| US20050214250A1 (en) | 2003-11-06 | 2005-09-29 | Harris J M | Method of preparing carboxylic acid functionalized polymers |
| EP1969934A1 (de) * | 2007-03-12 | 2008-09-17 | Bayer CropScience AG | 4-Cycloalkyl-oder 4-arylsubstituierte Phenoxyphenylamidine und deren Verwendung als Fungizide |
| GB0722055D0 (en) * | 2007-11-09 | 2007-12-19 | Argenta Discovery Ltd | Compounds |
| WO2013035827A1 (ja) | 2011-09-09 | 2013-03-14 | 塩野義製薬株式会社 | 新規オレフィン誘導体 |
| CN103788371B (zh) * | 2014-01-28 | 2016-08-24 | 中国科学院兰州化学物理研究所 | 含噻唑环二胺化合物在制备太阳能吸热涂料中的应用 |
| CN109134336B (zh) * | 2017-10-27 | 2021-08-03 | 北京大学深圳研究生院 | 二芳醚类化合物及其制备方法和应用 |
| CN113811300B (zh) * | 2019-03-15 | 2024-10-29 | 总医院公司 | Tead转录因子的新型小分子抑制剂 |
-
2020
- 2020-04-09 PH PH1/2021/552325A patent/PH12021552325A1/en unknown
- 2020-04-09 BR BR112021020226A patent/BR112021020226A2/pt unknown
- 2020-04-09 US US17/602,959 patent/US20220169642A1/en active Pending
- 2020-04-09 MA MA055596A patent/MA55596A/fr unknown
- 2020-04-09 CN CN202411128418.0A patent/CN118994001A/zh active Pending
- 2020-04-09 TW TW109111945A patent/TW202104166A/zh unknown
- 2020-04-09 JP JP2021559902A patent/JP7624930B2/ja active Active
- 2020-04-09 EA EA202192394A patent/EA202192394A1/ru unknown
- 2020-04-09 CN CN202080043231.4A patent/CN113966324B/zh active Active
- 2020-04-09 CA CA3134791A patent/CA3134791A1/en active Pending
- 2020-04-09 KR KR1020217036445A patent/KR20220021462A/ko active Pending
- 2020-04-09 WO PCT/EP2020/060153 patent/WO2020208139A1/en not_active Ceased
- 2020-04-09 EP EP20717868.2A patent/EP3953335A1/en active Pending
- 2020-04-09 AU AU2020271268A patent/AU2020271268B2/en active Active
- 2020-04-09 MX MX2021012359A patent/MX2021012359A/es unknown
- 2020-04-09 SG SG11202110545TA patent/SG11202110545TA/en unknown
-
2021
- 2021-10-06 SA SA521430519A patent/SA521430519B1/ar unknown
- 2021-10-06 IL IL287043A patent/IL287043B2/en unknown
- 2021-11-03 ZA ZA2021/08579A patent/ZA202108579B/en unknown
Patent Citations (5)
| Publication number | Priority date | Publication date | Assignee | Title |
|---|---|---|---|---|
| WO1998041525A1 (en) * | 1997-03-19 | 1998-09-24 | Basf Aktiengesellschaft | Pyrrolo[2,3d]pyrimidines and their use as tyrosine kinase inhibitors |
| US20030176438A1 (en) * | 2001-10-19 | 2003-09-18 | Arienti Kristen L. | Substituted benzimidazoles and imidazo-[4,5]-pyridines |
| WO2006020951A1 (en) * | 2004-08-13 | 2006-02-23 | Praecis Pharmaceuticals, Inc. | Methods and compositions for modulating sphingosine-1-phosphate (s1p) receptor activity |
| US20090105266A1 (en) * | 2007-04-19 | 2009-04-23 | Ralf Glatthar | Organic compounds |
| WO2013093885A1 (en) * | 2011-12-21 | 2013-06-27 | Ecole polytechnique fédérale de Lausanne (EPFL) | Inhibitors of notch signalling pathway and use thereof in treatment of cancers |
Non-Patent Citations (4)
| Title |
|---|
| MEHDI TAGHAVI ET AL.: "A QUICK AND GREEN IONIC LIQUID-MEDIATED APPROACH FOR THE SYNTHESIS OF HIGH-PERFORMANCE, ORGANOSOLUBLE AND THERMALLY STABLE POLYIMIDES", 《CHINESE JOURNAL OF POLYMER SCIENCE》, pages 679 - 690 * |
| MIN SUN ET AL.: "Design, synthesis, and in vitro antitumor evaluation of novel diaryl ureas derivatives", 《EUROPEAN JOURNAL OF MEDICINAL CHEMISTRY》, pages 2299 - 2306 * |
| SEOCK-KYU KHIM ET AL.: "Discovery of novel and potent aryl diamines as leukotriene A4 hydrolase inhibitors", 《BIOORGANIC & MEDICINAL CHEMISTRY LETTERS》, pages 3895 - 3898 * |
| SYNTHESIS, CHARACTERIZATION, AND PHARMACOLOGICAL EVALUATION OF SELECTED AROMATIC AMINES: "Synthesis, Characterization, and Pharmacological Evaluation of Selected Aromatic Amines", 《JOURNAL OF CHEMISTRY》, pages 1 - 9 * |
Also Published As
| Publication number | Publication date |
|---|---|
| CA3134791A1 (en) | 2020-10-15 |
| MX2021012359A (es) | 2022-01-19 |
| CN118994001A (zh) | 2024-11-22 |
| AU2020271268B2 (en) | 2025-11-20 |
| MA55596A (fr) | 2022-02-16 |
| JP7624930B2 (ja) | 2025-01-31 |
| SA521430519B1 (ar) | 2025-06-15 |
| AU2020271268A1 (en) | 2021-10-28 |
| WO2020208139A1 (en) | 2020-10-15 |
| KR20220021462A (ko) | 2022-02-22 |
| JP2022529324A (ja) | 2022-06-21 |
| TW202104166A (zh) | 2021-02-01 |
| IL287043B2 (en) | 2026-02-01 |
| IL287043B1 (en) | 2025-10-01 |
| PH12021552325A1 (en) | 2022-06-27 |
| US20220169642A1 (en) | 2022-06-02 |
| EA202192394A1 (ru) | 2022-01-24 |
| ZA202108579B (en) | 2024-03-27 |
| SG11202110545TA (en) | 2021-10-28 |
| BR112021020226A2 (pt) | 2021-12-07 |
| IL287043A (en) | 2021-12-01 |
| EP3953335A1 (en) | 2022-02-16 |
| CN113966324B (zh) | 2024-09-03 |
Similar Documents
| Publication | Publication Date | Title |
|---|---|---|
| TWI853806B (zh) | 小分子pd-1/pd-l1抑制劑、其與pd-l1抗體的藥物組合物及其應用 | |
| CN113966324A (zh) | Notch信号传导途径抑制剂及其在癌症治疗的用途 | |
| JP6856543B2 (ja) | ブロモドメイン阻害剤 | |
| EP3088397B1 (en) | Compounds that abrogate the cell cycle g2 checkpoint for use in the treatment of cancer | |
| JP6552061B2 (ja) | 代謝型グルタミン酸受容体の負のアロステリックモジュレーター(nams)とその使用 | |
| CN107176933B (zh) | 一种含氮烷基化和芳基化亚砜亚胺的吲哚胺-2,3-双加氧酶抑制剂 | |
| CN101835752A (zh) | 用于治疗癌症和银屑病的杂环酰胺 | |
| JP2005521698A (ja) | 新規な三環式化合物 | |
| CN105481789A (zh) | 一种吲哚胺-2,3-双加氧酶抑制剂及其制备方法 | |
| CN101932576A (zh) | 作为dgat1抑制剂的二噁唑-和噁唑-取代的苯并咪唑-和吲哚-衍生物 | |
| CN111051300A (zh) | 作为组蛋白脱乙酰基酶1和/或2(hdac1-2)的选择性抑制剂的新杂芳基酰胺衍生物 | |
| KR20160110357A (ko) | Ebna1 억제제 및 그의 사용 방법 | |
| US20220168268A1 (en) | Small-molecule inhibitor of pd-1/pd-l1, pharmaceutical composition thereof with pd-l1 antibody, and application of same | |
| JP2015533778A (ja) | がんの治療のための新規フェニル−ピリジン/ピラジンアミド | |
| CN114710956A (zh) | 抑制perk的吡咯并嘧啶化合物 | |
| KR20220068224A (ko) | Perk 억제 화합물 | |
| CN115715286B (zh) | 用于癌症治疗的bcl-2家族蛋白调节化合物 | |
| JP2024516194A (ja) | Pd1/pd-l1阻害剤としての化合物及びその方法 | |
| US11530186B2 (en) | Inhibitors for the β-catenin / T-cell factor protein-protein interaction | |
| CN114007696A (zh) | 用于治疗肿瘤病毒诱导的癌症的化合物及其使用方法 | |
| WO2022166990A1 (zh) | 用于抗肿瘤的药物组合 | |
| CN114276297A (zh) | 一种1h-吲唑vegfr-2激酶抑制剂及其制备与应用 | |
| BR122025013774A2 (pt) | Compostos inibidores da via de sinalização notch, composição farmacêutica compreendendo os mesmos e uso dos referidos compostos | |
| KR20240014034A (ko) | 헤테로비시클릭 화합물 및 그를 포함하는 약제학적조성물 |
Legal Events
| Date | Code | Title | Description |
|---|---|---|---|
| PB01 | Publication | ||
| PB01 | Publication | ||
| SE01 | Entry into force of request for substantive examination | ||
| SE01 | Entry into force of request for substantive examination | ||
| GR01 | Patent grant | ||
| GR01 | Patent grant |










































































































































































































































