[go: up one dir, main page]

CN113505710A - Image selection method and system based on deep learning SAR image classification - Google Patents

Image selection method and system based on deep learning SAR image classification Download PDF

Info

Publication number
CN113505710A
CN113505710A CN202110802002.2A CN202110802002A CN113505710A CN 113505710 A CN113505710 A CN 113505710A CN 202110802002 A CN202110802002 A CN 202110802002A CN 113505710 A CN113505710 A CN 113505710A
Authority
CN
China
Prior art keywords
image
image selection
deep learning
images
corresponding pixels
Prior art date
Legal status (The legal status is an assumption and is not a legal conclusion. Google has not performed a legal analysis and makes no representation as to the accuracy of the status listed.)
Granted
Application number
CN202110802002.2A
Other languages
Chinese (zh)
Other versions
CN113505710B (en
Inventor
许聪
刘海成
王峥
Current Assignee (The listed assignees may be inaccurate. Google has not performed a legal analysis and makes no representation or warranty as to the accuracy of the list.)
Heilongjiang Institute of Technology
Original Assignee
Heilongjiang Institute of Technology
Priority date (The priority date is an assumption and is not a legal conclusion. Google has not performed a legal analysis and makes no representation as to the accuracy of the date listed.)
Filing date
Publication date
Application filed by Heilongjiang Institute of Technology filed Critical Heilongjiang Institute of Technology
Priority to CN202110802002.2A priority Critical patent/CN113505710B/en
Publication of CN113505710A publication Critical patent/CN113505710A/en
Application granted granted Critical
Publication of CN113505710B publication Critical patent/CN113505710B/en
Active legal-status Critical Current
Anticipated expiration legal-status Critical

Links

Images

Classifications

    • GPHYSICS
    • G06COMPUTING OR CALCULATING; COUNTING
    • G06FELECTRIC DIGITAL DATA PROCESSING
    • G06F18/00Pattern recognition
    • G06F18/20Analysing
    • G06F18/21Design or setup of recognition systems or techniques; Extraction of features in feature space; Blind source separation
    • G06F18/211Selection of the most significant subset of features
    • GPHYSICS
    • G06COMPUTING OR CALCULATING; COUNTING
    • G06FELECTRIC DIGITAL DATA PROCESSING
    • G06F18/00Pattern recognition
    • G06F18/20Analysing
    • G06F18/24Classification techniques
    • GPHYSICS
    • G06COMPUTING OR CALCULATING; COUNTING
    • G06FELECTRIC DIGITAL DATA PROCESSING
    • G06F18/00Pattern recognition
    • G06F18/20Analysing
    • G06F18/25Fusion techniques
    • GPHYSICS
    • G06COMPUTING OR CALCULATING; COUNTING
    • G06FELECTRIC DIGITAL DATA PROCESSING
    • G06F18/00Pattern recognition
    • G06F18/20Analysing
    • G06F18/29Graphical models, e.g. Bayesian networks
    • G06F18/295Markov models or related models, e.g. semi-Markov models; Markov random fields; Networks embedding Markov models
    • GPHYSICS
    • G06COMPUTING OR CALCULATING; COUNTING
    • G06NCOMPUTING ARRANGEMENTS BASED ON SPECIFIC COMPUTATIONAL MODELS
    • G06N3/00Computing arrangements based on biological models
    • G06N3/02Neural networks
    • G06N3/08Learning methods

Landscapes

  • Engineering & Computer Science (AREA)
  • Theoretical Computer Science (AREA)
  • Data Mining & Analysis (AREA)
  • Physics & Mathematics (AREA)
  • Life Sciences & Earth Sciences (AREA)
  • Artificial Intelligence (AREA)
  • General Physics & Mathematics (AREA)
  • General Engineering & Computer Science (AREA)
  • Evolutionary Computation (AREA)
  • Computer Vision & Pattern Recognition (AREA)
  • Evolutionary Biology (AREA)
  • Bioinformatics & Computational Biology (AREA)
  • Bioinformatics & Cheminformatics (AREA)
  • Computational Linguistics (AREA)
  • Biomedical Technology (AREA)
  • Biophysics (AREA)
  • Health & Medical Sciences (AREA)
  • General Health & Medical Sciences (AREA)
  • Molecular Biology (AREA)
  • Computing Systems (AREA)
  • Mathematical Physics (AREA)
  • Software Systems (AREA)
  • Image Analysis (AREA)
  • Image Processing (AREA)

Abstract

本发明公开了一种基于深度学习SAR图像分类的图像选择的方法,不同图像对应像素之间的关系建立为马尔可夫模型;利用信念传播算法,避免了计算传感器的联合统计分布,有利于简化图像选择算法的计算,作为消息传递机制的信念传播算法可以将消息更新规则简化为线性融合模型;对于选定图像确定其与其他图像之间的特征相关性,并确定传感器融合的容量以完成图像选择的过程。本发明主要涉及特征层融合的图像选择算法,不同图像对应像素之间的关系建立为马尔可夫模型;利用信念传播算法,避免了计算传感器的联合统计分布,有利于简化图像选择算法的计算。互信息作为一种基于信息论的度量方法,可以用来描述估计的准确相关性。

Figure 202110802002

The invention discloses a method for image selection based on deep learning SAR image classification. The relationship between corresponding pixels of different images is established as a Markov model; the belief propagation algorithm is used to avoid calculating the joint statistical distribution of sensors, which is beneficial to simplification Calculation of image selection algorithm, belief propagation algorithm as a message passing mechanism can simplify the message update rule to a linear fusion model; determine the feature correlation between it and other images for the selected image, and determine the capacity of sensor fusion to complete the image selection process. The invention mainly relates to an image selection algorithm of feature layer fusion, and the relationship between the corresponding pixels of different images is established as a Markov model; the belief propagation algorithm is used to avoid calculating the joint statistical distribution of sensors, which is beneficial to simplify the calculation of the image selection algorithm. Mutual information, as a measure based on information theory, can be used to describe the accurate correlation of estimates.

Figure 202110802002

Description

Image selection method and system based on deep learning SAR image classification
Technical Field
The invention relates to the technical field of image analysis, in particular to an image selection method and system based on deep learning SAR image classification.
Background
From the stage where the fusion is in the recognition process, there are three levels of fusion: a feature layer, a matching layer and a decision layer. Feature layer fusion refers to extracting corresponding feature vectors from biological feature data of different modalities and "fusing" them in a unified space into a new feature vector with higher dimension for identification.
The SAR image classification based on deep learning is widely applied to the fields of terrain surface classification, sea ice classification, ocean monitoring and the like. More data is not beneficial for maximizing useful information due to non-idealities, mismatches, and estimated defects. Longbotham et al confirmed the above conclusion. Therefore, designing an image selection algorithm can not only maximize the extraction information but also save the amount of computation.
In the prior art, for example, Chlaily et al propose an image selection algorithm based on a heterogeneous sensor fusion decision layer. Guerriro et al propose an SAR image selection algorithm based on the fusion detection of SAR images and radar sequences. Fusing data at the feature level is more efficient because the feature set contains more information than the decision set. However, there is currently no image selection algorithm that fuses in feature sets.
The key to designing an image selection algorithm is to establish a relationship model between corresponding pixels of different images. Hedhli et al establishes the relationship between corresponding pixels as a multi-layered Markov model when fusing SAR images with optical images. Tuia et al established the relationship between corresponding pixels as a conditional random field. Kang et al established relationships between corresponding pixels using a graph network.
Disclosure of Invention
The invention mainly relates to an image selection algorithm with feature layer fusion, wherein the relation between corresponding pixels of different images is established as a Markov model, and a belief propagation algorithm is utilized, so that the joint statistical distribution of a calculation sensor is avoided, and the calculation of the image selection algorithm is facilitated to be simplified. Mutual information, as a metric based on information theory, can be used to describe the accurate correlation of the estimates. No other research is currently devoted to discussing the image selection problem of feature-layer fusion.
The present invention is directed to solving at least one of the problems of the prior art. To this end, the invention discloses an image selection method based on deep learning SAR image classification, which comprises the following steps:
initializing an image to be analyzed;
introducing a factor graph to describe the relation between corresponding pixels in different images, and establishing the relation between the corresponding pixels of the different images as a Markov model;
by utilizing the belief propagation algorithm, joint statistical distribution of the computational sensor is avoided, and the simplification of the calculation of the image selection algorithm is facilitated, wherein the belief propagation algorithm serving as a message transmission mechanism can simplify a message updating rule into a linear fusion model;
the feature correlations between the selected image and other images are determined, and the capacity of sensor fusion is determined to complete the image selection process.
Still further, the method further comprises: feature-layer fusion can be expressed as a maximum a posteriori probability (MAP) estimate,
Figure BDA0003165023310000021
wherein, S represents the mark of the corresponding pixel of N images, and Y is [ Y ═ Y-1,…,yN]Including the characteristics of corresponding pixels of different images.
Further, a factor graph is introduced to describe the relationship between corresponding pixels in different images, and the posterior distribution p (SY) is decomposed into single variable and paired terms
Figure BDA0003165023310000022
Wherein each univariate Φn(Sn) Simulating S in joint distributionnOf each pair of terms Ψij(Si,Sj) Representing the edge S in the diagramiAnd SjThe interdependence of (a).
Still further, the method further comprises: as message deliveryThe mechanism belief propagation algorithm can simplify the message updating rule into a linear fusion model and reduce LnAnd θ is defined as:
Figure BDA0003165023310000023
Figure BDA0003165023310000024
for each of the pixels/the number of pixels is,
θ=AlLn, (5)
wherein A islIs a 1 XN vector, each element aiRepresenting the relationship between any image and other images, LnIs an N × 1 vector.
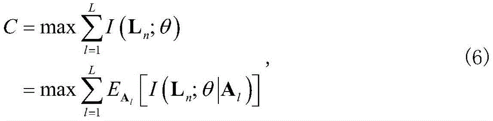
Further, the sensor fusion capacity is represented by θ and LnMutual information definition of (2):
Figure BDA0003165023310000031
where l is the pixel number.
Further, the capacity of a multiple-input single-output (MISO) system with power constraints per pixel is obtained
Figure BDA0003165023310000032
Wherein M is the number of selected images and does not exceed N, sigma2Is the power of additive white Gaussian noise, aiIs AlIth element of (2), piIs the power per pixel.
Further, due to piSet to be constant, equation (7) becomes
Figure BDA0003165023310000033
Wherein, aiRepresenting the feature correlation between image n and other images, computed using a typical correlation analysis (CCA) method,
Figure BDA0003165023310000034
is the average signal-to-noise ratio of each image.
The invention further discloses a system for selecting images based on deep learning SAR image classification, which comprises a processor and a machine-readable storage medium, wherein the machine-readable storage medium is connected with the processor and is used for storing programs, instructions or codes, and the processor is used for executing the programs, the instructions or the codes in the machine-readable storage medium so as to realize the method for selecting images based on deep learning SAR image classification.
Compared with the prior art, the invention has the beneficial effects that: the algorithm adopted by the invention can greatly and effectively reduce the calculated amount and achieve the optimal image classification performance.
Drawings
The invention will be further understood from the following description in conjunction with the accompanying drawings. The components in the figures are not necessarily to scale, emphasis instead being placed upon illustrating the principles of the embodiments. In the drawings, like reference numerals designate corresponding parts throughout the different views.
FIG. 1 is a logic flow diagram of the present invention.
Fig. 2 is a process of an image selection method according to an embodiment of the invention.
Detailed Description
Example one
As shown in fig. 1, the present embodiment discloses an image selection method based on deep learning SAR image classification, which includes the following steps:
step 1, initializing an image to be analyzed;
step 2, introducing a factor graph to describe the relation between corresponding pixels in different images, and establishing the relation between the corresponding pixels of the different images as a Markov model;
step 3, the belief propagation algorithm is utilized, joint statistical distribution of the computing sensor is avoided, and the simplification of the computation of the image selection algorithm is facilitated, wherein the belief propagation algorithm serving as a message transmission mechanism can simplify a message updating rule into a linear fusion model;
and 4, determining the characteristic correlation between the selected image and other images and determining the capacity of sensor fusion.
Still further, the step 2 further comprises: feature-layer fusion can be expressed as a maximum a posteriori probability (MAP) estimate,
Figure BDA0003165023310000041
wherein, S represents the mark of the corresponding pixel of N images, and Y is [ Y ═ Y-1,…,yN]Including the characteristics of corresponding pixels of different images.
Further, a factor graph is introduced to describe the relationship between corresponding pixels in different images, and the posterior distribution p (S | Y) is decomposed into single variables and pairs of terms
Figure BDA0003165023310000042
Wherein each univariate Φn(Sn) Simulating S in joint distributionnOf each pair of terms Ψij(Si,Sj) Representing the edge S in the diagramiAnd SjThe interdependence of (a).
Still further, the step 3 further comprises: the belief propagation algorithm serving as a message transmission mechanism can simplify the message updating rule into a linear fusion model and reduce LnAnd θ is defined as:
Figure BDA0003165023310000051
Figure BDA0003165023310000052
for each of the pixels/the number of pixels is,
θ=AlLn, (5)
wherein A islIs a 1 XN vector, each element aiRepresenting the relationship between any image and other images, LnIs an N × 1 vector.
Further, the sensor fusion capacity is represented by θ and LnMutual information definition of (2):
Figure BDA0003165023310000053
where l is the pixel number.
Further, the capacity of a multiple-input single-output (MISO) system with power constraints per pixel is obtained
Figure BDA0003165023310000054
Wherein M is the number of selected images and does not exceed N, sigma2Is the power of additive white Gaussian noise, aiIs AlIth element of (2), piIs the power per pixel.
Further, due to piSet to be constant, equation (7) becomes
Figure BDA0003165023310000055
Wherein, aiRepresenting the feature correlation between image n and other images, computed using a typical correlation analysis (CCA) method,
Figure BDA0003165023310000056
is the average signal-to-noise ratio of each image.
The invention further discloses a system for selecting images based on deep learning SAR image classification, which comprises a processor and a machine-readable storage medium, wherein the machine-readable storage medium is connected with the processor and is used for storing programs, instructions or codes, and the processor is used for executing the programs, the instructions or the codes in the machine-readable storage medium so as to realize the method for selecting images based on deep learning SAR image classification.
Example two
The process of the image selection method of the present invention is illustrated in fig. 2.
First, let image 1 be the reference image. If M is 2, CCA between image 1 and image 2 is calculated to obtain ai. If M is 3, CCA between the image 1 and other images is calculated to obtain ai. Then, let image 2 be the reference image. If M is 2, the CCA between image 2 and image 3 is calculated to obtain ai
It should also be noted that the terms "comprises," "comprising," or any other variation thereof, are intended to cover a non-exclusive inclusion, such that a process, method, article, or apparatus that comprises a list of elements does not include only those elements but may include other elements not expressly listed or inherent to such process, method, article, or apparatus. Without further limitation, an element defined by the phrase "comprising an … …" does not exclude the presence of other like elements in a process, method, article, or apparatus that comprises the element.
As will be appreciated by one skilled in the art, embodiments of the present application may be provided as a method, system, or computer program product. Accordingly, the present application may take the form of an entirely hardware embodiment, an entirely software embodiment or an embodiment combining software and hardware aspects. Furthermore, the present application may take the form of a computer program product embodied on one or more computer-usable storage media (including, but not limited to, disk storage, CD-ROM, optical storage, and the like) having computer-usable program code embodied therein.
Although the invention has been described above with reference to various embodiments, it should be understood that many changes and modifications may be made without departing from the scope of the invention. It is therefore intended that the foregoing detailed description be regarded as illustrative rather than limiting, and that it be understood that it is the following claims, including all equivalents, that are intended to define the spirit and scope of this invention. The above examples are to be construed as merely illustrative and not limitative of the remainder of the disclosure. After reading the description of the invention, the skilled person can make various changes or modifications to the invention, and these equivalent changes and modifications also fall into the scope of the invention defined by the claims.

Claims (8)

1.一种基于深度学习SAR图像分类的图像选择的方法,其特征在于,所述方法包括:1. a method for image selection based on deep learning SAR image classification, is characterized in that, described method comprises: 对待分析图像进行初始化;Initialize the image to be analyzed; 引入因子图来描述不同图像中对应像素之间的关系,不同图像对应像素之间的关系建立为马尔可夫模型;A factor graph is introduced to describe the relationship between corresponding pixels in different images, and the relationship between corresponding pixels in different images is established as a Markov model; 利用信念传播算法,避免了计算传感器的联合统计分布,有利于简化图像选择算法的计算,其中,作为消息传递机制的信念传播算法可以将消息更新规则简化为线性融合模型;The belief propagation algorithm is used to avoid calculating the joint statistical distribution of sensors, which is beneficial to simplify the calculation of the image selection algorithm. Among them, the belief propagation algorithm as a message passing mechanism can simplify the message update rule into a linear fusion model; 对于选定图像确定其与其他图像之间的特征相关性,并确定传感器融合的容量以完成图像选择的过程。For a selected image, determine its feature correlation with other images, and determine the capacity of sensor fusion to complete the process of image selection. 2.如权利要求1所述的一种基于深度学习SAR图像分类的图像选择的方法,其特征在于,所述方法进一步包括:特征层融合可以表示为最大后验概率(MAP)估计,2. The method for image selection based on deep learning SAR image classification according to claim 1, wherein the method further comprises: feature layer fusion can be expressed as maximum a posteriori probability (MAP) estimation,
Figure FDA0003165023300000011
Figure FDA0003165023300000011
其中,S代表N幅图像对应像素的标记,Y=[y1,…,yN]包含不同图像对应像素的特征。Among them, S represents the labels of the corresponding pixels of N images, and Y=[y 1 ,...,y N ] contains the features of the corresponding pixels of different images.
3.如权利要求2所述的一种基于深度学习SAR图像分类的图像选择的方法,其特征在于,引入因子图来描述不同图像中对应像素之间的关系,后验分布p(S|Y)分解为单个变量和成对项3. a kind of image selection method based on deep learning SAR image classification as claimed in claim 2, it is characterized in that, introduce factor graph to describe the relationship between corresponding pixels in different images, posterior distribution p(S|Y ) decomposed into single variables and pairs of terms
Figure FDA0003165023300000012
Figure FDA0003165023300000012
其中,每个单变量Φn(Sn)模拟联合分布中Sn的影响,每个成对项Ψij(Si,Sj)表示图中边Si和Sj的相互依赖性。where each univariate Φ n (S n ) simulates the effect of Sn in the joint distribution, and each pairwise term Ψ ij (S i ,S j ) represents the interdependence of edges S i and S j in the graph.
4.如权利要求1所述的一种基于深度学习SAR图像分类的图像选择的方法,其特征在于,所述方法进一步包括:作为消息传递机制的信念传播算法可以将消息更新规则简化为线性融合模型,把Ln和θ定义为:4. a kind of image selection method based on deep learning SAR image classification as claimed in claim 1 is characterized in that, described method further comprises: the belief propagation algorithm as message passing mechanism can simplify message update rule to linear fusion model, define L n and θ as:
Figure FDA0003165023300000013
Figure FDA0003165023300000013
Figure FDA0003165023300000021
Figure FDA0003165023300000021
对于每一像素l,For each pixel l, θ=AlLn, (5)θ=A l L n , (5) 其中,Al是1×N向量,每个元素ai代表任一图像与其他图像之间的关系,Ln是N×1向量。Among them, A l is a 1 × N vector, each element a i represents the relationship between any image and other images, and L n is an N × 1 vector.
5.如权利要求4所述的一种基于深度学习SAR图像分类的图像选择的方法,其特征在于,传感器融合的容量由θ和Ln的互信息定义:5. The method for image selection based on deep learning SAR image classification as claimed in claim 4, wherein the capacity of sensor fusion is defined by the mutual information of θ and Ln :
Figure FDA0003165023300000022
Figure FDA0003165023300000022
其中,l是像素编号。where l is the pixel number.
6.如权利要求5所述的一种基于深度学习SAR图像分类的图像选择的方法,其特征在于,每个像素都有功率约束的多输入单输出(MISO)系统的容量,因此得到6. A method for image selection based on deep learning SAR image classification as claimed in claim 5, wherein each pixel has the capacity of a power-constrained multiple-input single-output (MISO) system, thereby obtaining
Figure FDA0003165023300000023
Figure FDA0003165023300000023
其中,M是选定图像的个数,不超过N,σ2是加性高斯白噪声的功率,ai是Al的ith元素,pi是每个像素的功率。where M is the number of selected images, not exceeding N, σ2 is the power of additive white Gaussian noise, ai is the ith element of Al, and pi is the power per pixel.
7.如权利要求6所述的一种基于深度学习SAR图像分类的图像选择的方法,其特征在于,由于pi设置为常数,则等式(7)变为7. A kind of method for image selection based on deep learning SAR image classification as claimed in claim 6, it is characterized in that, since pi is set as a constant, then equation (7) becomes
Figure FDA0003165023300000024
Figure FDA0003165023300000024
其中,ai表示图像n与其他图像之间的特征相关性,使用典型相关分析(CCA)方法计算,
Figure FDA0003165023300000025
是每个图像的平均信噪比。
where a i represents the feature correlation between image n and other images, calculated using canonical correlation analysis (CCA) method,
Figure FDA0003165023300000025
is the average signal-to-noise ratio for each image.
8.一种基于深度学习SAR图像分类的图像选择的系统,其特征在于,包括处理器、机器可读存储介质,所述机器可读存储介质和所述处理器连接,所述机器可读存储介质用于存储程序、指令或代码,所述处理器用于执行所述机器可读存储介质中的程序、指令或代码,以实现权利要求1-7任意一项所述的基于深度学习SAR图像分类的图像选择的方法。8. A system for image selection based on deep learning SAR image classification, comprising a processor, a machine-readable storage medium, the machine-readable storage medium being connected to the processor, and the machine-readable storage medium The medium is used for storing programs, instructions or codes, and the processor is used for executing the programs, instructions or codes in the machine-readable storage medium, so as to realize the deep learning-based SAR image classification according to any one of claims 1-7 method of image selection.
CN202110802002.2A 2021-07-15 2021-07-15 A method and system for image selection based on deep learning SAR image classification Active CN113505710B (en)

Priority Applications (1)

Application Number Priority Date Filing Date Title
CN202110802002.2A CN113505710B (en) 2021-07-15 2021-07-15 A method and system for image selection based on deep learning SAR image classification

Applications Claiming Priority (1)

Application Number Priority Date Filing Date Title
CN202110802002.2A CN113505710B (en) 2021-07-15 2021-07-15 A method and system for image selection based on deep learning SAR image classification

Publications (2)

Publication Number Publication Date
CN113505710A true CN113505710A (en) 2021-10-15
CN113505710B CN113505710B (en) 2022-06-03

Family

ID=78013009

Family Applications (1)

Application Number Title Priority Date Filing Date
CN202110802002.2A Active CN113505710B (en) 2021-07-15 2021-07-15 A method and system for image selection based on deep learning SAR image classification

Country Status (1)

Country Link
CN (1) CN113505710B (en)

Citations (10)

* Cited by examiner, † Cited by third party
Publication number Priority date Publication date Assignee Title
CN104217436A (en) * 2014-09-16 2014-12-17 西安电子科技大学 SAR image segmentation method based on multiple feature united sparse graph
WO2016145379A1 (en) * 2015-03-12 2016-09-15 William Marsh Rice University Automated Compilation of Probabilistic Task Description into Executable Neural Network Specification
CN105956622A (en) * 2016-04-29 2016-09-21 武汉大学 Polarized SAR image classification method based on multi-characteristic combined modeling
CN106295714A (en) * 2016-08-22 2017-01-04 中国科学院电子学研究所 A kind of multi-source Remote-sensing Image Fusion based on degree of depth study
CN107145860A (en) * 2017-05-05 2017-09-08 西安电子科技大学 Polarization SAR Image Classification Method Based on Spatial Information and Deep Learning
CN107728111A (en) * 2017-09-22 2018-02-23 合肥工业大学 SAR image joint CFAR detection methods based on spatial correlation characteristic
US10042048B1 (en) * 2014-02-20 2018-08-07 National Technology & Engineering Solutions Of Sandia, Llc Superpixels for improved structure and terrain classification using multiple synthetic aperture radar image products
CN108537102A (en) * 2018-01-25 2018-09-14 西安电子科技大学 High Resolution SAR image classification method based on sparse features and condition random field
CN109344880A (en) * 2018-09-11 2019-02-15 天津理工大学 SAR image classification method based on multi-feature and composite kernel
CN110781830A (en) * 2019-10-28 2020-02-11 西安电子科技大学 SAR sequence image classification method based on space-time joint convolution

Patent Citations (10)

* Cited by examiner, † Cited by third party
Publication number Priority date Publication date Assignee Title
US10042048B1 (en) * 2014-02-20 2018-08-07 National Technology & Engineering Solutions Of Sandia, Llc Superpixels for improved structure and terrain classification using multiple synthetic aperture radar image products
CN104217436A (en) * 2014-09-16 2014-12-17 西安电子科技大学 SAR image segmentation method based on multiple feature united sparse graph
WO2016145379A1 (en) * 2015-03-12 2016-09-15 William Marsh Rice University Automated Compilation of Probabilistic Task Description into Executable Neural Network Specification
CN105956622A (en) * 2016-04-29 2016-09-21 武汉大学 Polarized SAR image classification method based on multi-characteristic combined modeling
CN106295714A (en) * 2016-08-22 2017-01-04 中国科学院电子学研究所 A kind of multi-source Remote-sensing Image Fusion based on degree of depth study
CN107145860A (en) * 2017-05-05 2017-09-08 西安电子科技大学 Polarization SAR Image Classification Method Based on Spatial Information and Deep Learning
CN107728111A (en) * 2017-09-22 2018-02-23 合肥工业大学 SAR image joint CFAR detection methods based on spatial correlation characteristic
CN108537102A (en) * 2018-01-25 2018-09-14 西安电子科技大学 High Resolution SAR image classification method based on sparse features and condition random field
CN109344880A (en) * 2018-09-11 2019-02-15 天津理工大学 SAR image classification method based on multi-feature and composite kernel
CN110781830A (en) * 2019-10-28 2020-02-11 西安电子科技大学 SAR sequence image classification method based on space-time joint convolution

Non-Patent Citations (2)

* Cited by examiner, † Cited by third party
Title
J.KARVONEN: "Idepentent component analysis for sea ice SAR image classification", 《SCANNING THE PRESENT AND RESOLVING THE FUTURE》 *
王海江: "极化SAR图像分类方法研究", 《中国优秀博士学位论文全文库 信息科技辑》 *

Also Published As

Publication number Publication date
CN113505710B (en) 2022-06-03

Similar Documents

Publication Publication Date Title
CN111080675B (en) Target tracking method based on space-time constraint correlation filtering
CN109671070B (en) Target detection method based on feature weighting and feature correlation fusion
CN111079847B (en) Remote sensing image automatic labeling method based on deep learning
CN112800876B (en) A hyperspheric feature embedding method and system for re-identification
CN110120064B (en) Depth-related target tracking algorithm based on mutual reinforcement and multi-attention mechanism learning
CN114842267A (en) Image classification method and system based on label noise domain adaptation
CN111582610A (en) Prediction method of household energy decomposition based on convolutional neural network
Liu et al. Revisiting pseudo-label for single-positive multi-label learning
CN108921877A (en) A Long-term Object Tracking Algorithm Based on Width Learning
CN116912568A (en) Noisy label image recognition method based on adaptive category equalization
CN112651467B (en) Convolutional neural network training method and system and prediction method and system
CN111523586B (en) Noise-aware-based full-network supervision target detection method
CN115346207B (en) Method for detecting three-dimensional target in two-dimensional image based on example structure correlation
CN115147632A (en) Image category automatic labeling method and device based on density peak clustering algorithm
JP6107531B2 (en) Feature extraction program and information processing apparatus
CN116052254A (en) Visual Continuous Emotion Recognition Method Based on Extended Kalman Filter Neural Network
CN116740384B (en) Intelligent control method and system for floor washing machine
CN114860945A (en) High-quality noise detection method and device based on rule information
CN107247996A (en) A kind of Active Learning Method applied to different distributed data environment
CN114417975A (en) Data classification method and system based on deep PU learning and class prior estimation
CN113505710A (en) Image selection method and system based on deep learning SAR image classification
CN112465016A (en) Partial multi-mark learning method based on optimal distance between two adjacent marks
CN116543259B (en) A method, system and storage medium for modeling and correcting noise labels in deep classification networks
CN120123792A (en) Multimodal clustering method, device, equipment, storage medium and product
CN119312070A (en) Method, device, equipment and medium for selecting partial multi-label features

Legal Events

Date Code Title Description
PB01 Publication
PB01 Publication
SE01 Entry into force of request for substantive examination
SE01 Entry into force of request for substantive examination
GR01 Patent grant
GR01 Patent grant