CN113253997B - Graphical front-end engineering framework construction method - Google Patents
Graphical front-end engineering framework construction method Download PDFInfo
- Publication number
- CN113253997B CN113253997B CN202110695144.3A CN202110695144A CN113253997B CN 113253997 B CN113253997 B CN 113253997B CN 202110695144 A CN202110695144 A CN 202110695144A CN 113253997 B CN113253997 B CN 113253997B
- Authority
- CN
- China
- Prior art keywords
- code
- development
- project
- local
- codes
- Prior art date
- Legal status (The legal status is an assumption and is not a legal conclusion. Google has not performed a legal analysis and makes no representation as to the accuracy of the status listed.)
- Active
Links
Images
Classifications
-
- G—PHYSICS
- G06—COMPUTING OR CALCULATING; COUNTING
- G06F—ELECTRIC DIGITAL DATA PROCESSING
- G06F8/00—Arrangements for software engineering
- G06F8/30—Creation or generation of source code
Landscapes
- Engineering & Computer Science (AREA)
- Software Systems (AREA)
- General Engineering & Computer Science (AREA)
- Theoretical Computer Science (AREA)
- Physics & Mathematics (AREA)
- General Physics & Mathematics (AREA)
- Management, Administration, Business Operations System, And Electronic Commerce (AREA)
Abstract
The invention discloses a graphical front-end engineering frame construction method, which comprises the following steps: s1, creating a project warehouse; s2, pre-generating project codes; s3, prompting and completing codes; and S4, packaging and deploying. Has the advantages that: the project environment does not need to be repeatedly integrated, and can be normally used only by being deployed once, so that the later maintenance cost is reduced, the development steps are greatly reduced, and the efficiency is improved. The code development amount is reduced, a component mechanism is provided, and repeated development of codes is reduced, so that the development difficulty is reduced, the development period is shortened, and code redundancy is avoided; the system can be deployed in a server under a public network or private network environment to serve as a code development service, and online programming modifies codes anytime and anywhere to increase development efficiency, so that the limitation of a development field is avoided, and the efficiency of code updating and maintenance is improved.
Description
Technical Field
The invention relates to the technical field of front-end engineering, in particular to a graphical front-end engineering framework construction method.
Background
With the development of internet technology, web services are increasingly complicated and diversified, front-end development is also changed from a webPage (web page) mode to a webApp (client) mode, and for the existing front-end increasingly complex project, how to improve the multi-user cooperation efficiency, ensure the maintainability of the project and improve the development quality becomes the primary problem.
The existing front-end engineering solution is realized by various tool meanings such as webpack management tool, git, gulp, jekins and the like, and the realization mode has the following defects that (1) the software is integrated again when a project is newly built every time, the later maintenance cost is high, and the different versions used by different developers are inconsistent along with the lapse of time, so that great hidden danger is brought; (2) the development of products still needs to realize a whole set of development environment by relying on the software, the development field is limited, and the product iteration can not be carried out in time; (3) and the compatibility of each piece of software is also part of headache considerations, and solving these problems can affect the overall efficiency of development.
Patent No. CN104978194B discloses a web page front-end development method and device, and the patent includes: establishing a project development directory, compiling static resources in the project development directory in real time, optimizing and outputting compiling results to a development page, uploading the optimizing results to a test server, and issuing the optimizing results passing the test to a content distribution network server; therefore, the same development tool can be used locally to run through the complete web front-end development process, each process step can be processed independently by using the command in the tool, the purpose of integrating the development processes which are originally separated from each other is achieved, the complicated step of switching among different tools in the development process is omitted, and the method is simple and convenient. The patent simplifies and optimizes development steps, improves efficiency, but still cannot solve related problems of development sites, software compatibility and the like, so as to help developers to select online or local development or maintenance at any time.
An effective solution to the problems in the related art has not been proposed yet.
Disclosure of Invention
Aiming at the problems in the related art, the invention provides a graphical front-end engineering framework construction method to overcome the technical problems in the prior related art.
Therefore, the invention adopts the following specific technical scheme:
a graphical front-end engineering framework construction method comprises the following steps:
s1, creating a project warehouse;
s2, pre-generating project codes;
s3, prompting and completing codes;
and S4, packaging and deploying.
Further, the project repository creation includes one of local creation and online creation.
Optionally, the local creation includes the following steps:
s11, selecting a front end frame type, and creating a front end scaffold;
s12, inputting codes in the pop-up option box to set the local project configuration, and storing the local project configuration in a default code repository;
and S13, the buffer interval checks the code, if the code has conflict error, the message is returned to the working interval, and if the code has no conflict error, the content of the local code interval is synchronized.
Optionally, the online creation includes the following steps:
s11', selecting the front end frame type, and creating a front end scaffold;
s12', inputting code in the pop-up option box to set up local project configuration, and storing the local project configuration in a default code repository;
s13', copying the current remote warehouse code by using the remote buffer interval;
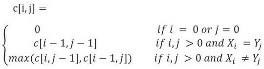
s14', the buffer interval checks the code through a comparative analysis algorithm, and the algorithm formula is as follows:
wherein, XiRepresenting a local code repository sequence, YjRepresenting a remote code repository sequence, c [ i, j ]]Represents sequence XiAnd YjLength of the longest common subsequence, Xi=<x1,x,…,xi>,Yj=<y1,y2,…,yj>;
S15 ', if the c is obtained through calculation, the system is judged to be a conflict item, conflict is solved, and the step S14' is repeated until the c is 0, the system is judged to be verified and synchronized to the remote code warehouse.
Further, the code repository includes a work space, a buffer space and a local code space.
Further, the pre-generation of the project code comprises the following steps:
s21, analyzing the layer information by using a psd file analysis library;
s22, traversing the hash function (hash) content obtained by analysis, traversing the whole document into a multi-branch tree, and instantiating a corresponding object through a node;
and S23, converting the node data obtained by traversing into a one-to-one corresponding cascading style sheet (css) and hypertext markup language (html), generating a code into a project module and judging whether the project module is used or not.
Further, the code prompting and completing method comprises the following steps:
s31, monitoring the input content to obtain the input content;
s32, judging and matching the input content by using a decision tree algorithm, and giving a corresponding code prompt;
s33, calculating by using the following formula, and sequentially arranging prompting and completing codes according to the probability;
where s is a set of s data samples, m represents the number of different values that the class label attribute has, Ci=(i=1,m),SiIs the number of samples in class C, I (S)1,S2,S3) Representing desired information, P, required for a given sample classificationi=SiS is an arbitrary sample input CiThe probability of (c).
Further, the establishing of the decision tree includes:
s321, establishing a classification prediction model of the target variable relative to each input variable through a training sample set;
s322, comprehensively realizing data grouping of different values of the input variable and the target variable;
and S323, classifying and predicting the new data object.
Further, the packaging and deployment comprises the following steps:
s41, pulling the code through the Microsoft script environment;
and S42, packaging the pulled package through a custom command and uploading the packaged package.
Furthermore, the uploading mode comprises that the user deploys the deployment package after pulling and packaging and uploads the replacement file for deployment through a Microsoft script environment.
The invention has the beneficial effects that:
1. the project environment does not need to be repeatedly integrated, and can be normally used only by being deployed once, so that the later maintenance cost is reduced, the development steps are greatly reduced, and the efficiency is improved.
2. The code development amount is reduced, a component mechanism is provided, and repeated development of codes is reduced, so that the development difficulty is reduced, the development period is shortened, and code redundancy is avoided.
3. The system can be deployed in a server under a public network or private network environment to serve as a code development service, and online programming modifies codes anytime and anywhere to increase development efficiency, so that the limitation of a development field is avoided, and the efficiency of code updating and maintenance is improved.
4. The versions of the unified integrated development tools are unified, and unnecessary compatibility errors are reduced, so that the adaptive scene of the development environment is expanded, and the flexibility is improved.
Drawings
In order to more clearly illustrate the embodiments of the present invention or the technical solutions in the prior art, the drawings needed in the embodiments will be briefly described below, and it is obvious that the drawings in the following description are only some embodiments of the present invention, and it is obvious for those skilled in the art to obtain other drawings without creative efforts.
FIG. 1 is a main flow diagram of a graphical front-end engineering framework construction method according to an embodiment of the present invention;
FIG. 2 is a schematic diagram of a graphical front-end engineering framework construction method according to an embodiment of the invention.
Detailed Description
For further explanation of the various embodiments, the drawings which form a part of the disclosure and which are incorporated in and constitute a part of this specification, illustrate embodiments and, together with the description, serve to explain the principles of operation of the embodiments, and to enable others of ordinary skill in the art to understand the various embodiments and advantages of the invention, and, by reference to these figures, reference is made to the accompanying drawings, which are not to scale and wherein like reference numerals generally refer to like elements.
According to an embodiment of the invention, a graphical front-end engineering framework construction method is provided.
The invention will now be further described with reference to the accompanying drawings and specific embodiments, as shown in fig. 1-2, a method for constructing a graphical front-end engineering framework according to an embodiment of the invention, the method comprising the following steps:
s1, creating a project warehouse;
s2, pre-generating project codes;
s3, prompting and completing codes;
and S4, packaging and deploying.
In one embodiment, the project repository creation includes one of local creation and online creation.
In one embodiment, the local creation comprises the steps of:
s11, selecting a front end frame type, and creating a front end scaffold;
s12, inputting codes in the pop-up option box to set the local project configuration, and storing the local project configuration in a default code repository;
and S13, the buffer interval checks the code, if the code has conflict error, the message is returned to the working interval, and if the code has no conflict error, the content of the local code interval is synchronized.
In one embodiment, the online creation includes the steps of:
s11', selecting the front end frame type, and creating a front end scaffold;
s12', inputting code in the pop-up option box to set up local project configuration, and storing the local project configuration in a default code repository;
s13', copying the current remote warehouse code by using the remote buffer interval;
s14', the buffer interval checks the code through a comparative analysis algorithm, and the algorithm formula is as follows:
wherein, XiRepresenting a local code repository sequence, YjRepresenting a remote code repository sequence, c [ i, j ]]Represents sequence XiAnd YjLength of the longest common subsequence, Xi=<x1,x,…,xi>,Yj=<y1, y2,…,yj>;
S15 ', if the c is obtained through calculation, the system is judged to be a conflict item, conflict is solved, and the step S14' is repeated until the c is 0, the system is judged to be verified and synchronized to the remote code warehouse.
The on-line creation mode is to add a remote code warehouse and a remote buffer interval on the basis of local creation, and the on-line creation generally involves a multi-person coordination problem. Assuming respective correspondences of X and Y for the local code repository and the remote code repository, assuming a longest common subsequence Z = < Z1, Z2, …, zk > of sequences X = < X1, X2, …, xm > and Y = < Y1, Y2, …, yn >, then:
1. if Xm = Yn, Zk = Xm = Yn and Zk-1 is the longest common subsequence of Xm-1 and Yn-1;
2. if Xm ≠ yn and zk ≠ Xm, then Z is the longest common subsequence of Xm-1 and Y;
3. if xm ≠ Yn and zk ≠ Yn, then Z is the longest common subsequence of X and Yn-1.
Wherein Xm-1= < x1, x2, …, Xm-1>, Yn-1= < y1, y2, …, Yn-1>, Zk-1= < z1, z2, …, Zk-1 >.
From the optimal substructure properties of the longest common subsequence problem, finding the longest common subsequence for X = < X1, X2, …, xm > and Y = < Y1, Y2, …, yn > can be performed recursively in the following manner: when Xm = Yn, finding out the longest common subsequence of Xm-1 and Yn-1, and then adding Xm (= Yn) to the tail of the longest common subsequence to obtain a longest common subsequence of X and Y. When Xm ≠ Yn, two sub-problems must be solved, namely finding a longest common subsequence of Xm-1 and Y and a longest common subsequence of X and Yn-1. The longer of the two common subsequences is the longest common subsequence for X and Y.
The recursive structure thus readily sees that the longest common subsequence problem has a sub-problem overlapping nature. For example, in calculating the longest common subsequence of X and Y, the longest common subsequence of X and Yn-1 and Xm-1 and Y may be calculated. And both sub-problems comprise a common sub-problem, i.e. the longest common sub-sequence of Xm-1 and Yn-1 is calculated.
Similar to the matrix-concatenated product optimal computation order problem, a recurrence relation of optimal values of the sub-problems is established. The length of the longest common subsequence of sequences Xi and Yj is recorded by c [ i, j ]. Wherein Xi = < x1, x2, …, Xi >, Yj = < y1, y2, …, Yj >. When i =0 or j =0, the null sequence is the longest common subsequence of Xi and Yj, so c [ i, j ] =0, i.e., the formula in step S14' can be obtained.
In one embodiment, the code repository includes a work space, a buffer space and a local code space, wherein the work space and the locally created project space are used for development, and the buffer space is used for code checking after the code is changed.
In one embodiment, the item code pre-generation comprises the steps of:
s21, analyzing the layer information by using a psd file analysis library;
the hash function obtained after the analysis is as follows:
{:children = > [{: type = > : group,
: visible = > true,
: opacity = > 1.0,
...
}]
: document = > {: width = > 300,
: height = > 600
...
}
s22, traversing the hash function (hash) content obtained by analysis, traversing the whole document into a multi-branch tree, and instantiating a corresponding object through a node;
wherein traversing the template in a depth-first manner is as follows:
public static void depthFirst(TreeNode root) {
Deque<TreeNode> nodeDeque = new LinkedList<>();
TreeNode node = root;
nodeDeque.push(node);
while (!nodeDeque.isEmpty()) {
node = nodeDeque.pop();
System.out.print(node.getName());
for (TreeNode treeNode : node.getChildren()) {
nodeDeque.push(treeNode);
}
}
}
and S23, converting the node data obtained by traversing into a one-to-one corresponding cascading style sheet (css) and hypertext markup language (html), generating a code into a project module and judging whether the project module is used or not.
In one embodiment, the code prompting and completing comprises the following steps:
s31, monitoring the input content to obtain the input content;
s32, judging and matching the input content by using a decision tree algorithm, and giving a corresponding code prompt;
s33, calculating by using the following formula, and sequentially arranging prompting and completing codes according to the probability;
where s is a set of s data samples, m represents the number of different values that the class label attribute has, Ci=(i=1,m),SiIs the number of samples in class C, I (S)1,S2,S3) Representing desired information, P, required for a given sample classificationi=SiS is an arbitrary sample input CiThe probability of (c).
In one embodiment, the establishing of the decision tree comprises:
s321, establishing a classification prediction model of the target variable relative to each input variable through a training sample set;
s322, comprehensively realizing data grouping of different values of the input variable and the target variable;
and S323, classifying and predicting the new data object.
When a new data object is analyzed by using the established decision tree, the decision tree can deduce the classification or value of the corresponding target variable according to the value of the data input variable. There are various algorithms in decision tree technology, and these algorithms have their own advantages and disadvantages. Currently, experts and scholars engaged in machine learning are still interested in improving existing algorithms or studying more efficient new algorithms. To summarize, the decision tree algorithm mainly expands around two core problems: firstly, the growing problem of the decision tree is to use a training sample set to complete the establishment process of the decision tree. Secondly, the pruning problem of the decision tree is to optimize the formed decision tree by using a test sample set.
In one embodiment, the packaging and deployment includes the steps of:
s41, pulling the code through the Microsoft script environment;
wherein the pull code is as follows:
#!/bin/bash
ftp -n<<!
open xxx, xxx, xxx, xxx open addresses may be either inline service addresses or local service addresses
user account password
binary
cd /home/data
lcd /home/databackup
prompt
mget*
close
bye
!
And S42, packaging the pulled package through a custom command and uploading the packaged package.
In one embodiment, the uploading mode includes that the user deploys the deployment package after pulling and packaging and uploads the replacement file for deployment through a microsoft script environment.
In conclusion, by means of the technical scheme, project environments do not need to be repeatedly integrated, and can be normally used only by being deployed once, so that the later maintenance cost is reduced, the development steps are greatly reduced, and the efficiency is improved. The code development amount is reduced, a component mechanism is provided, and repeated development of codes is reduced, so that the development difficulty is reduced, the development period is shortened, and code redundancy is avoided. The system can be deployed in a server under a public network or private network environment to serve as a code development service, and online programming modifies codes anytime and anywhere to increase development efficiency, so that the limitation of a development field is avoided, and the efficiency of code updating and maintenance is improved. The versions of the unified integrated development tools are unified, and unnecessary compatibility errors are reduced, so that the adaptive scene of the development environment is expanded, and the flexibility is improved.
The above description is only for the purpose of illustrating the preferred embodiments of the present invention and is not to be construed as limiting the invention, and any modifications, equivalents, improvements and the like that fall within the spirit and principle of the present invention are intended to be included therein.
Claims (7)
1. A graphical front-end engineering framework construction method is characterized by comprising the following steps:
s1, creating a project warehouse;
s2, pre-generating project codes;
s3, prompting and completing codes;
s4, packaging and deploying;
wherein the project repository creation comprises one of local creation and online creation;
the pre-generation of the project code comprises the following steps:
s21, analyzing the layer information by using a file analysis library;
s22, traversing the hash function content obtained by analysis, traversing the whole document into a multi-branch tree, and instantiating a corresponding object through a node;
s23, converting the node data obtained by traversing into a one-to-one corresponding stack style sheet and hypertext markup language, generating a code into a project module and judging whether to use the project module;
the code prompting and completing method comprises the following steps:
s31, monitoring the input content to obtain the input content;
s32, judging and matching the input content by using a decision tree algorithm, and giving a corresponding code prompt;
s33, calculating by using the following formula, and sequentially arranging prompting and completing codes according to the probability;
where s is a set of s data samples, m represents the number of different values that the class label attribute has, Ci=(i=1,m),SiIs the number of samples in class C, I (S)1,S2,S3) Representing desired information, P, required for a given sample classificationi=SiS is an arbitrary sample input CiThe probability of (c).
2. The graphical front-end engineering framework construction method according to claim 1, wherein the local creation comprises the following steps:
s11, selecting a front end frame type, and creating a front end scaffold;
s12, inputting codes in the pop-up option box to set the local project configuration, and storing the local project configuration in a default code repository;
and S13, the buffer interval checks the code, if the code has conflict error, the message is returned to the working interval, and if the code has no conflict error, the content of the local code interval is synchronized.
3. The graphical front-end engineering framework construction method according to claim 2, wherein the online creation comprises the following steps:
s11', selecting the front end frame type, and creating a front end scaffold;
s12', inputting code in the pop-up option box to set up local project configuration, and storing the local project configuration in a default code repository;
s13', copying the current remote warehouse code by using the remote buffer interval;
s14', the buffer interval checks the code through a comparative analysis algorithm, and the algorithm formula is as follows:
wherein, XiRepresenting a local code repository sequence, YjRepresenting a remote code repository sequence, c [ i, j ]]Represents sequence XiAnd YjLength of the longest common subsequence, Xi=<x1,x,…,xi>,Yj=<y1, y2,…,yj>;
S15 ', if the c is obtained through calculation, the system is judged to be a conflict item, conflict is solved, and the step S14' is repeated until the c is 0, the system is judged to be verified and synchronized to the remote code warehouse.
4. The method of claim 3, wherein the code repository comprises a work space, a buffer space and a native code space.
5. The graphical front-end engineering framework construction method according to claim 1, wherein the building of the decision tree comprises:
s321, establishing a classification prediction model of the target variable relative to each input variable through a training sample set;
s322, comprehensively realizing data grouping of different values of the input variable and the target variable;
and S323, classifying and predicting the new data object.
6. The graphical front-end engineering framework construction method according to claim 1, wherein the packaging and deployment comprises the following steps:
s41, pulling the code through the Microsoft script environment;
and S42, packaging the pulled package through a custom command and uploading the packaged package.
7. The method according to claim 6, wherein the uploading comprises deploying the pull-packaged deployment package by the user himself and uploading the replacement file through a Microsoft script environment for deployment.
Priority Applications (1)
| Application Number | Priority Date | Filing Date | Title |
|---|---|---|---|
| CN202110695144.3A CN113253997B (en) | 2021-06-23 | 2021-06-23 | Graphical front-end engineering framework construction method |
Applications Claiming Priority (1)
| Application Number | Priority Date | Filing Date | Title |
|---|---|---|---|
| CN202110695144.3A CN113253997B (en) | 2021-06-23 | 2021-06-23 | Graphical front-end engineering framework construction method |
Publications (2)
| Publication Number | Publication Date |
|---|---|
| CN113253997A CN113253997A (en) | 2021-08-13 |
| CN113253997B true CN113253997B (en) | 2021-10-08 |
Family
ID=77189221
Family Applications (1)
| Application Number | Title | Priority Date | Filing Date |
|---|---|---|---|
| CN202110695144.3A Active CN113253997B (en) | 2021-06-23 | 2021-06-23 | Graphical front-end engineering framework construction method |
Country Status (1)
| Country | Link |
|---|---|
| CN (1) | CN113253997B (en) |
Citations (8)
| Publication number | Priority date | Publication date | Assignee | Title |
|---|---|---|---|---|
| WO2005069125A2 (en) * | 2003-12-15 | 2005-07-28 | Evolveware Information Technology (India) Pvt. Ltd. | An apparatus for migration and conversion of software code from any source platform to any target platform |
| CN107992609A (en) * | 2017-12-15 | 2018-05-04 | 广东电网有限责任公司信息中心 | A kind of complaint tendency determination methods based on Text Classification and decision tree |
| CN108563433A (en) * | 2018-03-20 | 2018-09-21 | 北京大学 | A kind of device based on LSTM auto-complete codes |
| CN109814879A (en) * | 2019-01-16 | 2019-05-28 | 福建省天奕网络科技有限公司 | Automate CI/CD project dispositions method, storage medium |
| CN111443940A (en) * | 2020-05-08 | 2020-07-24 | 南京大学 | A complete software life cycle management method and platform based on DevOps |
| CN111897520A (en) * | 2020-07-31 | 2020-11-06 | 平安科技(深圳)有限公司 | Construction method, device, computer equipment and storage medium of front-end project framework |
| CN112307720A (en) * | 2020-10-29 | 2021-02-02 | 南京航空航天大学 | Method and system for automatic conversion of HTML design template based on PSD document |
| CN112817583A (en) * | 2021-04-19 | 2021-05-18 | 阿里云计算有限公司 | Code editing method, device, server, user equipment and storage medium |
Family Cites Families (2)
| Publication number | Priority date | Publication date | Assignee | Title |
|---|---|---|---|---|
| US20020124245A1 (en) * | 2000-08-14 | 2002-09-05 | Alvin Maddux | Method and apparatus for advanced software deployment |
| US8346897B2 (en) * | 2008-02-25 | 2013-01-01 | Jon Jaroker | System and method for deploying and maintaining software applications |
-
2021
- 2021-06-23 CN CN202110695144.3A patent/CN113253997B/en active Active
Patent Citations (8)
| Publication number | Priority date | Publication date | Assignee | Title |
|---|---|---|---|---|
| WO2005069125A2 (en) * | 2003-12-15 | 2005-07-28 | Evolveware Information Technology (India) Pvt. Ltd. | An apparatus for migration and conversion of software code from any source platform to any target platform |
| CN107992609A (en) * | 2017-12-15 | 2018-05-04 | 广东电网有限责任公司信息中心 | A kind of complaint tendency determination methods based on Text Classification and decision tree |
| CN108563433A (en) * | 2018-03-20 | 2018-09-21 | 北京大学 | A kind of device based on LSTM auto-complete codes |
| CN109814879A (en) * | 2019-01-16 | 2019-05-28 | 福建省天奕网络科技有限公司 | Automate CI/CD project dispositions method, storage medium |
| CN111443940A (en) * | 2020-05-08 | 2020-07-24 | 南京大学 | A complete software life cycle management method and platform based on DevOps |
| CN111897520A (en) * | 2020-07-31 | 2020-11-06 | 平安科技(深圳)有限公司 | Construction method, device, computer equipment and storage medium of front-end project framework |
| CN112307720A (en) * | 2020-10-29 | 2021-02-02 | 南京航空航天大学 | Method and system for automatic conversion of HTML design template based on PSD document |
| CN112817583A (en) * | 2021-04-19 | 2021-05-18 | 阿里云计算有限公司 | Code editing method, device, server, user equipment and storage medium |
Also Published As
| Publication number | Publication date |
|---|---|
| CN113253997A (en) | 2021-08-13 |
Similar Documents
| Publication | Publication Date | Title |
|---|---|---|
| CN1801151B (en) | object model tree diagram | |
| US7730007B2 (en) | IT event data classifier configured to label messages if message identifiers map directly to classification categories or parse for feature extraction if message identifiers do not map directly to classification categories | |
| CN113239167B (en) | Task type dialogue management method and system capable of automatically generating dialogue strategy | |
| JP6663873B2 (en) | Automatic program generation system and automatic program generation method | |
| CN112163420A (en) | NLP technology-based RPA process automatic generation method | |
| Li et al. | Novel alarm correlation analysis system based on association rules mining in telecommunication networks | |
| CN111427555A (en) | Lightweight intelligent contract framework and contract development method | |
| CN118796180B (en) | A method, device, equipment and medium for automatically generating code | |
| JP2002041464A (en) | Method and device for identifying end-user transaction | |
| Soibelman et al. | Distributed multi-reasoning mechanism to support conceptual structural design | |
| Almarsoomi et al. | AWSS: An algorithm for measuring Arabic word semantic similarity | |
| Karystinaios et al. | Graphmuse: A library for symbolic music graph processing | |
| CN113253997B (en) | Graphical front-end engineering framework construction method | |
| Babaalla et al. | From text-based system specifications to UML diagrams: A bridge between words and models | |
| CN118484400B (en) | Method and device for automatically generating and executing test script | |
| CN120780437A (en) | Automatic flow execution method based on large language model | |
| Hassine et al. | A framework for the recovery and visualization of system availability scenarios from execution traces | |
| CN119782370A (en) | A rule engine positioning method combined with AI intelligence | |
| CN120354861A (en) | Automatic data generation for intent classification models | |
| CN119887092A (en) | Model training method, recommendation method, device, equipment, medium and program product | |
| CN118550524A (en) | Visual output method, device, equipment and medium of artificial intelligent model | |
| US10157360B1 (en) | Smart bricks information system | |
| EP4307120B1 (en) | Software performance verification system and software performance verification method | |
| CN118573556A (en) | Auditing rule configuration method, device, equipment and medium applied to communication network | |
| Khoshgoftaar et al. | Empirical case studies of combining software quality classification models |
Legal Events
| Date | Code | Title | Description |
|---|---|---|---|
| PB01 | Publication | ||
| PB01 | Publication | ||
| SE01 | Entry into force of request for substantive examination | ||
| SE01 | Entry into force of request for substantive examination | ||
| GR01 | Patent grant | ||
| GR01 | Patent grant |





