CN113110080B - Household environment intelligent monitoring, regulation and control management cloud system based on Internet of things and cloud computing - Google Patents
Household environment intelligent monitoring, regulation and control management cloud system based on Internet of things and cloud computing Download PDFInfo
- Publication number
- CN113110080B CN113110080B CN202110399998.7A CN202110399998A CN113110080B CN 113110080 B CN113110080 B CN 113110080B CN 202110399998 A CN202110399998 A CN 202110399998A CN 113110080 B CN113110080 B CN 113110080B
- Authority
- CN
- China
- Prior art keywords
- monitored
- home
- house
- illumination intensity
- window area
- Prior art date
- Legal status (The legal status is an assumption and is not a legal conclusion. Google has not performed a legal analysis and makes no representation as to the accuracy of the status listed.)
- Expired - Fee Related
Links
- 238000012544 monitoring process Methods 0.000 title claims abstract description 36
- 238000005286 illumination Methods 0.000 claims abstract description 137
- 230000007613 environmental effect Effects 0.000 claims abstract description 69
- 230000001105 regulatory effect Effects 0.000 claims abstract description 12
- 238000004458 analytical method Methods 0.000 claims description 86
- CURLTUGMZLYLDI-UHFFFAOYSA-N Carbon dioxide Chemical compound O=C=O CURLTUGMZLYLDI-UHFFFAOYSA-N 0.000 claims description 82
- 238000001514 detection method Methods 0.000 claims description 47
- 239000007789 gas Substances 0.000 claims description 42
- QVGXLLKOCUKJST-UHFFFAOYSA-N atomic oxygen Chemical compound [O] QVGXLLKOCUKJST-UHFFFAOYSA-N 0.000 claims description 41
- 229910002092 carbon dioxide Inorganic materials 0.000 claims description 41
- 239000001569 carbon dioxide Substances 0.000 claims description 41
- 229910052760 oxygen Inorganic materials 0.000 claims description 41
- 239000001301 oxygen Substances 0.000 claims description 41
- 238000005259 measurement Methods 0.000 claims description 19
- 241001464837 Viridiplantae Species 0.000 claims description 12
- 230000008635 plant growth Effects 0.000 claims description 12
- 238000004364 calculation method Methods 0.000 claims description 8
- 238000000034 method Methods 0.000 claims description 4
- 230000009323 psychological health Effects 0.000 abstract 1
- 238000012545 processing Methods 0.000 description 4
- 230000004630 mental health Effects 0.000 description 3
- 238000005516 engineering process Methods 0.000 description 2
- 238000011897 real-time detection Methods 0.000 description 2
- 238000012935 Averaging Methods 0.000 description 1
- 238000007792 addition Methods 0.000 description 1
- 230000001276 controlling effect Effects 0.000 description 1
- 238000011161 development Methods 0.000 description 1
- 238000010586 diagram Methods 0.000 description 1
- 238000012986 modification Methods 0.000 description 1
- 230000004048 modification Effects 0.000 description 1
- 230000006855 networking Effects 0.000 description 1
- 230000033764 rhythmic process Effects 0.000 description 1
- 238000006467 substitution reaction Methods 0.000 description 1
Images
Classifications
-
- G—PHYSICS
- G05—CONTROLLING; REGULATING
- G05B—CONTROL OR REGULATING SYSTEMS IN GENERAL; FUNCTIONAL ELEMENTS OF SUCH SYSTEMS; MONITORING OR TESTING ARRANGEMENTS FOR SUCH SYSTEMS OR ELEMENTS
- G05B15/00—Systems controlled by a computer
- G05B15/02—Systems controlled by a computer electric
-
- G—PHYSICS
- G05—CONTROLLING; REGULATING
- G05B—CONTROL OR REGULATING SYSTEMS IN GENERAL; FUNCTIONAL ELEMENTS OF SUCH SYSTEMS; MONITORING OR TESTING ARRANGEMENTS FOR SUCH SYSTEMS OR ELEMENTS
- G05B19/00—Programme-control systems
- G05B19/02—Programme-control systems electric
- G05B19/418—Total factory control, i.e. centrally controlling a plurality of machines, e.g. direct or distributed numerical control [DNC], flexible manufacturing systems [FMS], integrated manufacturing systems [IMS] or computer integrated manufacturing [CIM]
-
- G—PHYSICS
- G05—CONTROLLING; REGULATING
- G05B—CONTROL OR REGULATING SYSTEMS IN GENERAL; FUNCTIONAL ELEMENTS OF SUCH SYSTEMS; MONITORING OR TESTING ARRANGEMENTS FOR SUCH SYSTEMS OR ELEMENTS
- G05B2219/00—Program-control systems
- G05B2219/20—Pc systems
- G05B2219/26—Pc applications
- G05B2219/2642—Domotique, domestic, home control, automation, smart house
Landscapes
- Engineering & Computer Science (AREA)
- General Engineering & Computer Science (AREA)
- Physics & Mathematics (AREA)
- General Physics & Mathematics (AREA)
- Automation & Control Theory (AREA)
- Manufacturing & Machinery (AREA)
- Quality & Reliability (AREA)
- Management, Administration, Business Operations System, And Electronic Commerce (AREA)
Abstract
The invention discloses a home environment intelligent monitoring, regulating and managing cloud system based on Internet of things and cloud computing, which is characterized in that each window area in a home house to be monitored is numbered, the length and the width of each window area in the home house to be monitored are measured, the area of each window area in the home house to be monitored is analyzed, the illumination intensity of each window area in the home house to be monitored is simultaneously detected in real time, the average illumination intensity in each acquisition time period meeting the conditions in each window area is contrastingly counted, the comprehensive average illumination intensity of the home house to be monitored is calculated, the air flow quantity of each window area in the home house to be monitored and each environmental parameter value in the home house to be monitored are simultaneously detected, the comprehensive environmental influence coefficient in the home house to be monitored is calculated, and corresponding comprehensive environmental regulation and control are carried out, so that the comprehensive environment in the home house can be regulated and controlled in time, the physical and psychological health of the family members is guaranteed.
Description
Technical Field
The invention relates to the field of environment monitoring, regulation and management, in particular to a home environment intelligent monitoring, regulation and management cloud system based on the Internet of things and cloud computing.
Background
Under the environment of high-speed economic development, the living rhythm of people is accelerated, and an intelligent and comfortable home environment is created so as to meet the requirements of people on high-quality life and monitor and regulate the environmental state in the home house in real time. At present, the present house environment monitoring technology's is functional relatively poor, can only be to house moderate temperature humidity, relevant gas monitors, can't monitor the regional illumination time of window and illumination intensity in the house, thereby great limitation has, can't comprehensive analysis house internal environment state, the accuracy and the reliability that lead to the analytic data reduce, the influence of air mobility to house internal environment can't be considered to present technique simultaneously, thereby the analyzability and the representativeness that lead to the monitored data reduce, and then can't in time regulate and control house room internal environment, bring serious harm for the physical and mental health of family member of living, in order to solve above problem, the house environment intelligent monitoring regulation and control management cloud system based on thing networking and cloud computing now designs.
Disclosure of Invention
The invention aims to provide a home environment intelligent monitoring, regulating and managing cloud system based on Internet of things and cloud computing, which is characterized in that the length and the width of each window area in a home house to be monitored are measured by numbering each window area in the home house to be monitored, the area of each window area in the home house to be monitored is analyzed, simultaneously detecting the illumination intensity of each window area in the home building to be monitored in real time, comparing and counting the average illumination intensity in each acquisition time period which meets the conditions in each window area, calculating the comprehensive average illumination intensity of the home building to be monitored, and meanwhile, the air flow quantity of each window area in the home building to be monitored and the environmental parameter values in the home building to be monitored are detected, the comprehensive environmental influence coefficient in the home building to be monitored is calculated, and corresponding comprehensive environmental regulation and control are carried out, so that the problems in the background technology are solved.
The purpose of the invention can be realized by the following technical scheme:
the intelligent home environment monitoring, regulating and managing cloud system based on the Internet of things and cloud computing comprises a region classification module, a parameter measurement module, an area analysis module, an illumination intensity detection module, an illumination intensity comparison module, an illumination intensity analysis module, a flow quantity detection module, an environment parameter analysis module, an analysis server, an environment regulating and controlling center and a storage database;
the parameter measurement module is respectively connected with the region classification module and the area analysis module, the illumination intensity comparison module is respectively connected with the illumination intensity detection module, the illumination intensity analysis module and the storage database, the illumination intensity analysis module is respectively connected with the analysis server and the storage database, the environment parameter analysis module is respectively connected with the environment parameter detection module, the analysis server and the storage database, and the analysis server is respectively connected with the area analysis module, the flow quantity detection module, the environment regulation and control center and the storage database;
the system comprises a region classification module, a parameter measurement module and a parameter measurement module, wherein the region classification module is used for classifying window regions of a home house to be monitored, numbering the window regions in the home house to be monitored in sequence according to a set sequence, the numbering of the window regions in the home house to be monitored is 1,2, i, n, and the numbering of the window regions in the home house to be monitored is sent to the parameter measurement module;
the parameter measurement module comprises a laser range finder for receiving serial numbers of window areas in the household house to be monitored sent by the area classification module and using laser to measure the window areasThe distance measuring instrument respectively measures the length and the width of each window area in the home building to be monitored, counts the length and the width of each window area in the home building to be monitored, and respectively forms a length set DA (d) of each window area in the home building to be monitored1a,d2a,...,dia,...,dna) And a width set DB (d) of each window area in the home building to be monitored1b,d2b,...,dib,...,dnb),dia is expressed as the length of the ith window area in the home to be monitored, dib represents the width of the ith window area in the home building to be monitored, and the length and the width of each window area in the home building to be monitored are collectively sent to an area analysis module;
the area analysis module is used for receiving the length and width sets of the window regions in the home building to be monitored, sent by the parameter measurement module, calculating the area of the window regions in the home building to be monitored, counting the area of the window regions in the home building to be monitored, and forming an area set S (S) of the window regions in the home building to be monitored1,s2,...,si,...,sn),siThe area of the ith window area in the home building to be monitored is represented, and the area set of each window area in the home building to be monitored is sent to the analysis server;
the illumination intensity detection module is used for detecting the illumination intensity of each window area in the home building to be monitored, respectively detecting the illumination intensity of each window area in the home building to be monitored in real time, dividing the illumination intensity of each window area in the home building to be monitored, which is detected in real time, according to a preset acquisition time period, counting the average illumination intensity in each acquisition time period of each window area in the home building to be monitored, and sending the average illumination intensity in each acquisition time period of each window area in the home building to be monitored to the illumination intensity comparison module;
the illumination intensity comparison module is used for receiving the average illumination intensity in each acquisition time period of each window area in the home house to be monitored, which is sent by the illumination intensity detection module, and extracting the standard light of green plant growth in the home house stored in the storage databaseThe method comprises the steps of comparing the average illumination intensity in each acquisition time period of each window area in the home building to be monitored with the standard illumination intensity of green plant growth in the home building, if the average illumination intensity in a certain acquisition time period of a certain window area in the home building to be monitored is greater than or equal to the standard illumination intensity of green plant growth in the home building, indicating that the average illumination intensity in the acquisition time period of the window area meets the condition, counting the average illumination intensity in each acquisition time period meeting the condition in each window area in the home building to be monitored, and forming an average illumination intensity set in each acquisition time period meeting the condition in each window area in the home building to be monitored The average illumination intensity in the jth collection time period which is expressed as the condition meeting in the ith window area in the home building to be monitored is sent to the illumination intensity analysis module by the average illumination intensity set in each collection time period which is in the condition meeting in each window area in the home building to be monitored;
the illumination intensity analysis module is used for receiving the average illumination intensity set which is sent by the illumination intensity comparison module and meets the conditions in each acquisition time period in each window area in the home building to be monitored, extracting the standard time in the preset acquisition time period stored in the storage database, calculating the comprehensive average illumination intensity of the home building to be monitored, and sending the comprehensive average illumination intensity of the home building to be monitored to the analysis server;
the flow quantity detection module comprises an air flow sensor and is used for detecting the air flow quantity of each window area in the home building to be monitored, respectively detecting the air flow quantity of each window area in the home building to be monitored through the air flow sensor, counting the air flow quantity of each window area in the home building to be monitored, and forming an air flow quantity set I (I) of each window area in the home building to be monitored1,I2,...,Ii,...,In),IiIs shown as beingMonitoring the air flow amount of the ith window area in the home building, and sending the air flow amount of each window area in the home building to be monitored to an analysis server in a set manner;
the environmental parameter detection module is used for detecting the indoor environment in the to-be-monitored household house, respectively detecting the temperature, the humidity, the oxygen concentration, the carbon dioxide concentration and the harmful gas concentration in the to-be-monitored household house, counting the environmental parameter values in the to-be-monitored household house, and forming an environmental parameter value set WR (WR) in the to-be-monitored household house1,wr2,wr3,wr4,wr5),wr1,wr2,wr3,wr4,wr5Respectively representing the temperature value, the humidity value, the oxygen concentration value, the carbon dioxide concentration value and the harmful gas concentration value in the to-be-monitored household house, and sending all the environmental parameter values in the to-be-monitored household house to an environmental parameter analysis module in a set manner;
the environment parameter analysis module is used for receiving the value sets of all environment parameters in the to-be-monitored household house sent by the environment parameter detection module, extracting standard values of temperature, humidity, oxygen concentration, carbon dioxide concentration and harmful gas concentration in the household house stored in the storage database, comparing the value of each environment parameter in the to-be-monitored household house with the standard value of the corresponding environment parameter in the household house to obtain the comparison difference value set delta WR (delta WR) of the value of each environment parameter in the to-be-monitored household house1,Δwr2,Δwr3,Δwr4,Δwr5),Δwr1,Δwr2,Δwr3,Δwr4,Δwr5Respectively representing the comparison difference values of the temperature value, the humidity value, the oxygen concentration value, the carbon dioxide concentration value and the harmful gas concentration value in the to-be-monitored household house and the corresponding environmental parameter standard value in the household house, and sending the comparison difference values of all the environmental parameter values in the to-be-monitored household house to the analysis server in a set manner;
the analysis server is used for receiving the area set of each window area in the home to be monitored, which is sent by the area analysis module, meanwhile, the comprehensive average illumination intensity of the household house to be monitored sent by the illumination intensity analysis module is received, receiving an air flow quantity set of each window area in the home building to be monitored, sent by the flow quantity detection module, receiving a comparison difference set of each environmental parameter value in the home building to be monitored, sent by the environmental parameter analysis module, extracting weight influence coefficients of temperature, humidity, oxygen concentration, carbon dioxide concentration and harmful gas concentration in the environmental parameters stored in the storage database and environmental influence compensation coefficients of window area and air flow quantity in the home building, calculating a comprehensive environmental influence coefficient in the home building to be monitored, and sending the comprehensive environmental influence coefficient in the home building to be monitored to an environment regulation and control center;
the environment regulation and control center is used for receiving the comprehensive environment influence coefficient in the home house to be monitored, which is sent by the analysis server, and carrying out corresponding comprehensive environment regulation and control on the home house to be monitored;
the storage database is used for storing the standard illumination intensity of green plant growth in the household house and the standard time T' in the preset acquisition time period, and simultaneously storing the standard numerical values of temperature, humidity, oxygen concentration, carbon dioxide concentration and harmful gas concentration in the household house, and respectively recording the standard numerical values as wSign boardr1,wSign boardr2,wSign boardr3,wSign boardr4,wSign boardr5The weight influence coefficients of temperature, humidity, oxygen concentration, carbon dioxide concentration and harmful gas concentration in the storage environment parameters are respectively recorded as lambda1,λ2,λ3,λ4,λ5And storing the environmental influence compensation coefficients of the window area and the air flow quantity in the household house, and recording the environmental influence compensation coefficients as alpha and beta respectively.
Further, the area calculation formula of each window area in the household house to be monitored is si=dia*dib,siExpressed as the area of the ith window zone in the home to be monitored, dia is expressed as the length of the ith window area in the home to be monitored, dib is expressed as the width of the ith window area in the home to be monitored.
Furthermore, the illumination intensity detection module comprises a plurality of illumination sensors, wherein the plurality of illumination sensors are respectively installed in each window area in the household house to be monitored, and the plurality of illumination sensors are in one-to-one correspondence with the window areas and used for detecting the illumination intensity of each window area in the household house to be monitored in real time.
Further, the calculation formula of the comprehensive average illumination intensity of the household house to be monitored is Expressed as the integrated average light intensity of the home premises to be monitored,the average illumination intensity in the jth collection time period which is expressed as the meeting condition in the ith window area in the home building to be monitored, m is the number of the collection time periods which are expressed as the meeting condition in the ith window area in the home building to be monitored, and T' is the standard time in the preset collection time period.
Further, environmental parameter detection module includes temperature detecting element, humidity detecting element, oxygen concentration detecting element, carbon dioxide concentration detecting element and harmful gas concentration detecting element, wherein temperature detecting element is temperature sensor, be arranged in detecting the house room temperature value of waiting to monitor, humidity detecting element is humidity transducer, be arranged in detecting the house room humidity value of waiting to monitor, oxygen concentration detecting element is oxygen sensor, be arranged in detecting the house room oxygen concentration value of waiting to monitor, carbon dioxide concentration detecting element is carbon dioxide sensor, be arranged in detecting the house room carbon dioxide concentration value of waiting to monitor, harmful gas concentration detecting element is the harmful gas detector, be arranged in detecting the house room harmful gas concentration value of waiting to monitor.
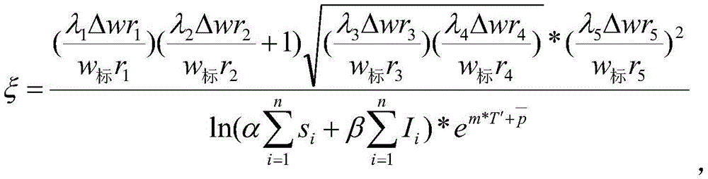
Further, the calculation formula of the comprehensive environmental influence coefficient in the household house to be monitored is
Xi is expressed as the comprehensive environmental influence coefficient, lambda, in the house to be monitored1,λ2,λ3,λ4,λ5Respectively expressed as the weight influence coefficients of temperature, humidity, oxygen concentration, carbon dioxide concentration and harmful gas concentration in the environmental parameters, delta wr1,Δwr2,Δwr3,Δwr4,Δwr5Respectively expressed as the comparison difference value, w, of the temperature value, the humidity value, the oxygen concentration value, the carbon dioxide concentration value and the harmful gas concentration value in the household house to be monitored and the corresponding environmental parameter standard value in the household houseSign boardr1,wSign boardr2,wSign boardr3,wSign boardr4,wSign boardr5Respectively expressed as standard values of temperature, humidity, oxygen concentration, carbon dioxide concentration and harmful gas concentration in the house, alpha and beta respectively expressed as environmental influence compensation coefficients of window area and air flow quantity in the house, and siExpressed as the area of the ith window zone in the home to be monitored, IiExpressing the air flow quantity of the ith window area in the home building to be monitored, expressing e as a natural number which is equal to 2.718, expressing m as the number of qualified acquisition time periods in the ith window area in the home building to be monitored, expressing T' as standard time in a preset acquisition time period,expressed as the integrated average light intensity of the home premises to be monitored.
Has the advantages that:
(1) the intelligent home environment monitoring, regulating and managing cloud system based on the Internet of things and cloud computing, provided by the invention, has the advantages that the lengths and the widths of the window regions in the home house to be monitored are measured by numbering the window regions in the home house to be monitored, the area of the window regions in the home house to be monitored is analyzed, a foundation is laid for later analysis of the comprehensive environment influence coefficient in the home house to be monitored, meanwhile, the illumination intensity of the window regions in the home house to be monitored is detected in real time, the average illumination intensity in each acquisition time period meeting the conditions in each window region is compared and counted, the comprehensive average illumination intensity of the home house to be monitored is calculated, reliable reference data is provided for later calculation of the comprehensive environment influence coefficient in the home house to be monitored, and simultaneously, the air flow quantity of each window region in the home house to be monitored and the numerical value of each environment parameter in the home house to be monitored are detected, therefore, the functionality and the comprehensiveness of the household house environment monitoring are improved, the problem that the household house environment monitoring is limited greatly is solved, and the analyzability and the representativeness of the monitoring data are improved.
(2) According to the method and the system, the comprehensive environment influence coefficient in the home house to be monitored is calculated, so that the accuracy and the reliability of analysis data are improved, the comprehensive analysis of the environment state in the home house is realized, and the corresponding comprehensive environment regulation and control are performed on the home house to be monitored, so that the comprehensive environment in the home house can be regulated and controlled in time, the physical and mental health of the family members can be guaranteed, and the requirements of the family members on high-quality living environments can be further met.
Drawings
In order to more clearly illustrate the technical solutions of the embodiments of the present invention, the drawings used in the description of the embodiments will be briefly introduced below, and it is obvious that the drawings in the following description are only some embodiments of the present invention, and it is obvious for those skilled in the art that other drawings can be obtained according to the drawings without creative efforts.
FIG. 1 is a schematic diagram of the present invention.
Detailed Description
The technical solutions in the embodiments of the present invention will be clearly and completely described below with reference to the drawings in the embodiments of the present invention, and it is obvious that the described embodiments are only a part of the embodiments of the present invention, and not all of the embodiments. All other embodiments, which can be derived by a person skilled in the art from the embodiments given herein without making any creative effort, shall fall within the protection scope of the present invention.
Referring to fig. 1, the home environment intelligent monitoring, regulation and management cloud system based on the internet of things and cloud computing includes a region classification module, a parameter measurement module, an area analysis module, an illumination intensity detection module, an illumination intensity comparison module, an illumination intensity analysis module, a flow quantity detection module, an environment parameter analysis module, an analysis server, an environment regulation and control center, and a storage database.
The parameter measurement module is respectively connected with the region classification module and the area analysis module, the illumination intensity comparison module is respectively connected with the illumination intensity detection module, the illumination intensity analysis module and the storage database, the illumination intensity analysis module is respectively connected with the analysis server and the storage database, the environment parameter analysis module is respectively connected with the environment parameter detection module, the analysis server and the storage database, and the analysis server is respectively connected with the area analysis module, the flow quantity detection module, the environment regulation and control center and the storage database.
The area classification module is used for classifying window areas of the household house to be monitored, numbering the window areas in the household house to be monitored in sequence according to a set sequence, numbering the window areas in the household house to be monitored in sequence is 1,2, i, n, and the numbering of the window areas in the household house to be monitored is sent to the parameter measurement module.
The parameter measurement module comprises a laser range finder and is used for receiving serial numbers of window areas in the to-be-monitored home house sent by the area classification module, respectively measuring the length and the width of the window areas in the to-be-monitored home house through the laser range finder, counting the length and the width of the window areas in the to-be-monitored home house, and respectively forming a length set DA (d) of the window areas in the to-be-monitored home house1a,d2a,...,dia,...,dna) And a width set DB (d) of each window area in the home building to be monitored1b,d2b,...,dib,...,dnb),dia is expressed as the length of the ith window area in the home to be monitored, dib represents the width of the ith window area in the home building to be monitored, and the length and the width of each window area in the home building to be monitored are collectively sent to the surfaceAnd an integral analysis module.
The area analysis module is used for receiving the length and width set of each window area in the home building to be monitored, which is sent by the parameter measurement module, and calculating the area s of each window area in the home building to be monitoredi=dia*dib,siExpressed as the area of the ith window zone in the home to be monitored, dia is expressed as the length of the ith window area in the home to be monitored, dib is expressed as the width of the ith window area in the home building to be monitored, the area of each window area in the home building to be monitored is counted, and an area set S (S) of each window area in the home building to be monitored is formed1,s2,...,si,...,sn) And the area set of each window area in the home building to be monitored is sent to the analysis server, so that a foundation is laid for analyzing the comprehensive environmental influence coefficient in the home building to be monitored in the later period.
Illumination intensity detection module includes a plurality of illumination sensor, wherein a plurality of illumination sensor install respectively in waiting to monitor each window region in the house, and a plurality of illumination sensor and each window region one-to-one, be arranged in waiting to monitor the house the illumination intensity of each window region detects, through illumination sensor respectively real-time detection wait to monitor the house the illumination intensity of each window region in the house, the illumination intensity of each window region divides according to predetermined collection time quantum in waiting to monitor the house to real-time detection, count and wait to monitor the house.
The illumination intensity comparison module is used for receiving the average illumination intensity in each acquisition time period of each window area in the to-be-monitored home house sent by the illumination intensity detection module, extracting the standard illumination intensity of green plant growth in the home house stored in the storage database, comparing the average illumination intensity in each acquisition time period of each window area in the to-be-monitored home house with the standard illumination intensity of green plant growth in the home house, and if the average illumination intensity is to be monitoredThe average illumination intensity in a certain collection time period of a certain window area in a household house is greater than or equal to the standard illumination intensity of green plant growth in the household house, the average illumination intensity in the collection time period of the window area meets the condition, the average illumination intensity in each collection time period meeting the condition in each window area in the household house to be monitored is counted, and an average illumination intensity set in each collection time period meeting the condition in each window area in the household house to be monitored is formed And the average illumination intensity in the j-th collection time period which is expressed as the average illumination intensity meeting the conditions in the ith window area in the home building to be monitored is sent to the illumination intensity analysis module in a set manner.
The illumination intensity analysis module is used for receiving the average illumination intensity set which is sent by the illumination intensity comparison module and meets the conditions in each acquisition time period in each window area in the home house to be monitored, extracting the standard time in the preset acquisition time period stored in the storage database, and calculating the comprehensive average illumination intensity of the home house to be monitored Expressed as the integrated average light intensity of the home premises to be monitored,expressing the average illumination intensity in the jth collection time period which is in accordance with the conditions in the ith window area in the home house to be monitored, expressing m in the number of the collection time periods which are in accordance with the conditions in the ith window area in the home house to be monitored, expressing T' in the standard time in the preset collection time period, and averaging the comprehensive illumination intensity of the home house to be monitoredAnd the uniform illumination intensity is sent to an analysis server, so that reliable reference data are provided for later-stage calculation of the comprehensive environmental influence coefficient in the home house to be monitored.
The flow quantity detection module comprises an air flow sensor and is used for detecting the air flow quantity of each window area in the home building to be monitored, respectively detecting the air flow quantity of each window area in the home building to be monitored through the air flow sensor, counting the air flow quantity of each window area in the home building to be monitored, and forming an air flow quantity set I (I) of each window area in the home building to be monitored1,I2,...,Ii,...,In),IiThe indoor monitoring system has the advantages that the indoor monitoring system is represented as the air flow amount of the ith window area in the home building to be monitored, the air flow amount of each window area in the home building to be monitored is collected and sent to the analysis server, accordingly, the functionality and the comprehensiveness of home building environment monitoring are improved, the problem that home building environment monitoring limitation is large is solved, and the analyzability and the representativeness of monitoring data are improved.
The environment parameter detection module comprises a temperature detection unit, a humidity detection unit, an oxygen concentration detection unit, a carbon dioxide concentration detection unit and a harmful gas concentration detection unit, and is used for detecting the indoor environment in the home building to be monitored, wherein the temperature detection unit is a temperature sensor and is used for detecting the temperature value in the home building to be monitored, the humidity detection unit is a humidity sensor and is used for detecting the humidity value in the home building to be monitored, the oxygen concentration detection unit is an oxygen sensor and is used for detecting the oxygen concentration value in the home building to be monitored, the carbon dioxide concentration detection unit is a carbon dioxide sensor and is used for detecting the carbon dioxide concentration value in the home building to be monitored, the harmful gas concentration detection unit is a harmful gas detector and is used for detecting the harmful gas concentration value in the home building to be monitored and counting each environment parameter value in the home building to be monitored, constituting the value set WR (WR) of each environmental parameter in the house to be monitored1,wr2,wr3,wr4,wr5),wr1,wr2,wr3,wr4,wr5Respectively expressed as the home to be monitoredTemperature numerical value, humidity numerical value, oxygen concentration numerical value, carbon dioxide concentration numerical value and harmful gas concentration numerical value in the house will wait to monitor each environmental parameter numerical value set in the house and send to environmental parameter analysis module.
The environment parameter analysis module is used for receiving the value sets of all environment parameters in the to-be-monitored household house sent by the environment parameter detection module, extracting standard values of temperature, humidity, oxygen concentration, carbon dioxide concentration and harmful gas concentration in the household house stored in the storage database, comparing the value of each environment parameter in the to-be-monitored household house with the standard value of the corresponding environment parameter in the household house to obtain the comparison difference value set delta WR (delta WR) of the value of each environment parameter in the to-be-monitored household house1,Δwr2,Δwr3,Δwr4,Δwr5),Δwr1,Δwr2,Δwr3,Δwr4,Δwr5The home monitoring system comprises a monitoring server, a home monitoring server, a data processing server and a data processing server, wherein the monitoring server is used for monitoring the home monitoring server, the home monitoring server is used for monitoring the home monitoring server, the data processing server is used for monitoring the home monitoring server, and the data processing server is used for respectively representing the comparison difference values of corresponding environmental parameter standard values in the home building to be monitored, the temperature value, the humidity value, the oxygen concentration value, the carbon dioxide concentration value and the harmful gas concentration value and the home building.
The analysis server is used for receiving the area sets of the window regions in the to-be-monitored household house sent by the area analysis module, receiving the comprehensive average illumination intensity of the to-be-monitored household house sent by the illumination intensity analysis module, receiving the airflow momentum sets of the window regions in the to-be-monitored household house sent by the flow detection module, receiving the contrast difference value sets of the environmental parameter values in the to-be-monitored household house sent by the environmental parameter analysis module, extracting the weight influence coefficients of temperature, humidity, oxygen concentration, carbon dioxide concentration and harmful gas concentration in the environmental parameters stored in the storage database and the environment influence compensation coefficients of the window area and the airflow momentum in the household house, and calculating the comprehensive environment influence coefficients in the to-be-monitored household house
Xi is expressed as the comprehensive environmental influence coefficient, lambda, in the house to be monitored1,λ2,λ3,λ4,λ5Respectively expressed as the weight influence coefficients of temperature, humidity, oxygen concentration, carbon dioxide concentration and harmful gas concentration in the environmental parameters, delta wr1,Δwr2,Δwr3,Δwr4,Δwr5Respectively expressed as the comparison difference value, w, of the temperature value, the humidity value, the oxygen concentration value, the carbon dioxide concentration value and the harmful gas concentration value in the household house to be monitored and the corresponding environmental parameter standard value in the household houseSign boardr1,wSign boardr2,wSign boardr3,wSign boardr4,wSign boardr5Respectively expressed as standard values of temperature, humidity, oxygen concentration, carbon dioxide concentration and harmful gas concentration in the house, alpha and beta respectively expressed as environmental influence compensation coefficients of window area and air flow quantity in the house, and siExpressed as the area of the ith window zone in the home to be monitored, IiExpressing the air flow quantity of the ith window area in the home building to be monitored, expressing e as a natural number which is equal to 2.718, expressing m as the number of qualified acquisition time periods in the ith window area in the home building to be monitored, expressing T' as standard time in a preset acquisition time period,the comprehensive average illumination intensity of the home building to be monitored is represented, and the comprehensive environmental influence coefficient in the home building to be monitored is sent to the environment regulation and control center, so that the accuracy and the reliability of analysis data are improved, and the comprehensive analysis of the environment state in the home building is realized.
The environment regulation and control center is used for receiving the comprehensive environment influence coefficient in the to-be-monitored household house sent by the analysis server and carrying out corresponding comprehensive environment regulation and control on the to-be-monitored household house, so that the comprehensive environment in the household house can be regulated and controlled in time, the physical and mental health of the family members can be guaranteed, and the requirements of the family members on high-quality living environment can be further met.
The storage database is used for storing the standard illumination intensity of green plant growth in the household house and the standard time T' in the preset acquisition time period, and simultaneously storing the standard numerical values of temperature, humidity, oxygen concentration, carbon dioxide concentration and harmful gas concentration in the household house, and respectively recording the standard numerical values as wSign boardr1,wSign boardr2,wSign boardr3,wSign boardr4,wSign boardr5The weight influence coefficients of temperature, humidity, oxygen concentration, carbon dioxide concentration and harmful gas concentration in the storage environment parameters are respectively recorded as lambda1,λ2,λ3,λ4,λ5And storing the environmental influence compensation coefficients of the window area and the air flow quantity in the household house, and recording the environmental influence compensation coefficients as alpha and beta respectively.
The foregoing is merely exemplary and illustrative of the principles of the present invention and various modifications, additions and substitutions of the specific embodiments described herein may be made by those skilled in the art without departing from the principles of the present invention or exceeding the scope of the claims set forth herein.
Claims (5)
1. Household environment intelligent monitoring, regulation and control management cloud system based on Internet of things and cloud computing is characterized in that: the system comprises a region classification module, a parameter measurement module, an area analysis module, an illumination intensity detection module, an illumination intensity comparison module, an illumination intensity analysis module, a flow detection module, an environmental parameter analysis module, an analysis server, an environmental regulation and control center and a storage database;
the parameter measurement module is respectively connected with the region classification module and the area analysis module, the illumination intensity comparison module is respectively connected with the illumination intensity detection module, the illumination intensity analysis module and the storage database, the illumination intensity analysis module is respectively connected with the analysis server and the storage database, the environment parameter analysis module is respectively connected with the environment parameter detection module, the analysis server and the storage database, and the analysis server is respectively connected with the area analysis module, the flow quantity detection module, the environment regulation and control center and the storage database;
the system comprises a region classification module, a parameter measurement module and a parameter measurement module, wherein the region classification module is used for classifying window regions of a home house to be monitored, numbering the window regions in the home house to be monitored in sequence according to a set sequence, the numbering of the window regions in the home house to be monitored is 1,2, i, n, and the numbering of the window regions in the home house to be monitored is sent to the parameter measurement module;
the parameter measurement module comprises a laser range finder and is used for receiving serial numbers of window areas in the to-be-monitored home house sent by the area classification module, respectively measuring the length and the width of the window areas in the to-be-monitored home house through the laser range finder, counting the length and the width of the window areas in the to-be-monitored home house, and respectively forming a length set DA (d) of the window areas in the to-be-monitored home house1a,d2a,...,dia,...,dna) And a width set DB (d) of each window area in the home building to be monitored1b,d2b,...,dib,...,dnb),dia is expressed as the length of the ith window area in the home to be monitored, dib represents the width of the ith window area in the home building to be monitored, and the length and the width of each window area in the home building to be monitored are collectively sent to an area analysis module;
the area analysis module is used for receiving the length and width sets of the window regions in the home building to be monitored, sent by the parameter measurement module, calculating the area of the window regions in the home building to be monitored, counting the area of the window regions in the home building to be monitored, and forming an area set S (S) of the window regions in the home building to be monitored1,s2,...,si,...,sn),siThe area of the ith window area in the home building to be monitored is represented, and the area set of each window area in the home building to be monitored is sent to the analysis server;
the illumination intensity detection module is used for detecting the illumination intensity of each window area in the home building to be monitored, respectively detecting the illumination intensity of each window area in the home building to be monitored in real time, dividing the illumination intensity of each window area in the home building to be monitored, which is detected in real time, according to a preset acquisition time period, counting the average illumination intensity in each acquisition time period of each window area in the home building to be monitored, and sending the average illumination intensity in each acquisition time period of each window area in the home building to be monitored to the illumination intensity comparison module;
the illumination intensity comparison module is used for receiving the average illumination intensity in each acquisition time period of each window area in the home building to be monitored, which is sent by the illumination intensity detection module, extracting the standard illumination intensity of green plant growth in the home building, which is stored in the storage database, comparing the average illumination intensity in each acquisition time period of each window area in the home building to be monitored with the standard illumination intensity of green plant growth in the home building, if the average illumination intensity in a certain acquisition time period of a certain window area in the home building to be monitored is greater than or equal to the standard illumination intensity of green plant growth in the home building, which indicates that the average illumination intensity in the acquisition time period of the window area meets the condition, counting the average illumination intensity in each acquisition time period meeting the condition in each window area in the home building to be monitored, and forming an average illumination intensity set in each acquisition time period meeting the condition in each window area in the home building to be monitored. The average illumination intensity in the jth collection time period which is expressed as the condition meeting in the ith window area in the home building to be monitored is sent to the illumination intensity analysis module by the average illumination intensity set in each collection time period which is in the condition meeting in each window area in the home building to be monitored;
the illumination intensity analysis module is used for receiving the average illumination intensity set which is sent by the illumination intensity comparison module and meets the conditions in each acquisition time period in each window area in the home building to be monitored, extracting the standard time in the preset acquisition time period stored in the storage database, calculating the comprehensive average illumination intensity of the home building to be monitored, and sending the comprehensive average illumination intensity of the home building to be monitored to the analysis server;
the flow quantity detection module comprises an air flow sensor and is used for detecting the air flow quantity of each window area in the home building to be monitored, respectively detecting the air flow quantity of each window area in the home building to be monitored through the air flow sensor, counting the air flow quantity of each window area in the home building to be monitored, and forming an air flow quantity set I (I) of each window area in the home building to be monitored1,I2,...,Ii,...,In),IiThe monitoring method comprises the steps that the air flow quantity of the ith window area in the home building to be monitored is expressed, and the air flow quantity of each window area in the home building to be monitored is sent to an analysis server in a set mode;
the environmental parameter detection module is used for detecting the indoor environment in the to-be-monitored household house, respectively detecting the temperature, the humidity, the oxygen concentration, the carbon dioxide concentration and the harmful gas concentration in the to-be-monitored household house, counting the environmental parameter values in the to-be-monitored household house, and forming an environmental parameter value set WR (WR) in the to-be-monitored household house1,wr2,wr3,wr4,wr5),wr1,wr2,wr3,wr4,wr5Respectively representing the temperature value, the humidity value, the oxygen concentration value, the carbon dioxide concentration value and the harmful gas concentration value in the to-be-monitored household house, and sending all the environmental parameter values in the to-be-monitored household house to an environmental parameter analysis module in a set manner;
the environment parameter analysis module is used for receiving the value set of each environment parameter in the home house to be monitored sent by the environment parameter detection module, extracting the standard values of the temperature, the humidity, the oxygen concentration, the carbon dioxide concentration and the harmful gas concentration in the home house stored in the storage database, and comparing the value of each environment parameter in the home house to be monitored with the standard value of the corresponding environment parameter in the home houseComparing to obtain a comparison difference value set delta WR (delta WR) of each environmental parameter value in the household house to be monitored1,Δwr2,Δwr3,Δwr4,Δwr5),Δwr1,Δwr2,Δwr3,Δwr4,Δwr5Respectively representing the comparison difference values of the temperature value, the humidity value, the oxygen concentration value, the carbon dioxide concentration value and the harmful gas concentration value in the to-be-monitored household house and the corresponding environmental parameter standard value in the household house, and sending the comparison difference values of all the environmental parameter values in the to-be-monitored household house to the analysis server in a set manner;
the analysis server is used for receiving the area set of each window area in the home to be monitored, which is sent by the area analysis module, meanwhile, the comprehensive average illumination intensity of the household house to be monitored sent by the illumination intensity analysis module is received, receiving an air flow quantity set of each window area in the home building to be monitored, sent by the flow quantity detection module, receiving a comparison difference set of each environmental parameter value in the home building to be monitored, sent by the environmental parameter analysis module, extracting weight influence coefficients of temperature, humidity, oxygen concentration, carbon dioxide concentration and harmful gas concentration in the environmental parameters stored in the storage database and environmental influence compensation coefficients of window area and air flow quantity in the home building, calculating a comprehensive environmental influence coefficient in the home building to be monitored, and sending the comprehensive environmental influence coefficient in the home building to be monitored to an environment regulation and control center;
the environment regulation and control center is used for receiving the comprehensive environment influence coefficient in the home house to be monitored, which is sent by the analysis server, and carrying out corresponding comprehensive environment regulation and control on the home house to be monitored;
the storage database is used for storing the standard illumination intensity of green plant growth in the household house and the standard time T' in the preset acquisition time period, and simultaneously storing the standard numerical values of temperature, humidity, oxygen concentration, carbon dioxide concentration and harmful gas concentration in the household house, and respectively recording the standard numerical values as wSign boardr1,wSign boardr2,wSign boardr3,wSign boardr4,wSign boardr5In storing environmental parametersThe weight influence coefficients of temperature, humidity, oxygen concentration, carbon dioxide concentration and harmful gas concentration are respectively recorded as lambda1,λ2,λ3,λ4,λ5Storing environmental influence compensation coefficients of window area and air flow quantity in the home building, and respectively recording the environmental influence compensation coefficients as alpha and beta;
the calculation formula of the comprehensive environmental influence coefficient in the household house to be monitored is
Xi is expressed as the comprehensive environmental influence coefficient, lambda, in the house to be monitored1,λ2,λ3,λ4,λ5Respectively expressed as the weight influence coefficients of temperature, humidity, oxygen concentration, carbon dioxide concentration and harmful gas concentration in the environmental parameters, delta wr1,Δwr2,Δwr3,Δwr4,Δwr5Respectively expressed as the comparison difference value, w, of the temperature value, the humidity value, the oxygen concentration value, the carbon dioxide concentration value and the harmful gas concentration value in the household house to be monitored and the corresponding environmental parameter standard value in the household houseSign boardr1,wSign boardr2,wSign boardr3,wSign boardr4,wSign boardr5Respectively expressed as standard values of temperature, humidity, oxygen concentration, carbon dioxide concentration and harmful gas concentration in the house, alpha and beta respectively expressed as environmental influence compensation coefficients of window area and air flow quantity in the house, and siExpressed as the area of the ith window zone in the home to be monitored, IiExpressing the air flow quantity of the ith window area in the home building to be monitored, expressing e as a natural number which is equal to 2.718, expressing m as the number of qualified acquisition time periods in the ith window area in the home building to be monitored, expressing T' as standard time in a preset acquisition time period,expressed as the integrated average light intensity of the home premises to be monitored.
2. The intelligent home environment monitoring, regulating and managing cloud system based on the Internet of things and cloud computing according to claim 1, wherein: the area calculation formula of each window area in the household house to be monitored is si=dia*dib,siExpressed as the area of the ith window zone in the home to be monitored, dia is expressed as the length of the ith window area in the home to be monitored, dib is expressed as the width of the ith window area in the home to be monitored.
3. The intelligent home environment monitoring, regulating and managing cloud system based on the Internet of things and cloud computing according to claim 1, wherein: the illumination intensity detection module comprises a plurality of illumination sensors, wherein the illumination sensors are respectively installed in window areas in the household house to be monitored, and the illumination sensors are in one-to-one correspondence with the window areas and used for detecting the illumination intensity of the window areas in the household house to be monitored in real time.
4. The intelligent home environment monitoring, regulating and managing cloud system based on the Internet of things and cloud computing according to claim 1, wherein: the calculation formula of the comprehensive average illumination intensity of the household house to be monitored is Expressed as the integrated average light intensity of the home premises to be monitored,the average illumination intensity in the jth collection time period which is expressed as the qualified condition in the ith window area in the home building to be monitored, m is the number of the collection time periods which are expressed as the qualified condition in the ith window area in the home building to be monitored, and T' is expressed as the qualified condition in the ith window area in the home building to be monitoredIs the standard time in the preset acquisition time period.
5. The intelligent home environment monitoring, regulating and managing cloud system based on the Internet of things and cloud computing according to claim 1, wherein: the environmental parameter detection module includes temperature detecting element, humidity detecting element, oxygen concentration detecting element, carbon dioxide concentration detecting element and harmful gas concentration detecting element, wherein temperature detecting element is temperature sensor, be arranged in detecting the house room temperature value of waiting to monitor, humidity detecting element is humidity transducer, be arranged in detecting the house room humidity value of waiting to monitor, oxygen concentration detecting element is oxygen sensor, be arranged in detecting the house room oxygen concentration value of waiting to monitor, carbon dioxide concentration detecting element is carbon dioxide transducer, be arranged in detecting the house room carbon dioxide concentration value of waiting to monitor, harmful gas concentration detecting element is the harmful gas detector, be arranged in detecting the house room harmful gas concentration value of waiting to monitor.
Priority Applications (1)
| Application Number | Priority Date | Filing Date | Title |
|---|---|---|---|
| CN202110399998.7A CN113110080B (en) | 2021-04-14 | 2021-04-14 | Household environment intelligent monitoring, regulation and control management cloud system based on Internet of things and cloud computing |
Applications Claiming Priority (1)
| Application Number | Priority Date | Filing Date | Title |
|---|---|---|---|
| CN202110399998.7A CN113110080B (en) | 2021-04-14 | 2021-04-14 | Household environment intelligent monitoring, regulation and control management cloud system based on Internet of things and cloud computing |
Publications (2)
| Publication Number | Publication Date |
|---|---|
| CN113110080A CN113110080A (en) | 2021-07-13 |
| CN113110080B true CN113110080B (en) | 2022-02-25 |
Family
ID=76716551
Family Applications (1)
| Application Number | Title | Priority Date | Filing Date |
|---|---|---|---|
| CN202110399998.7A Expired - Fee Related CN113110080B (en) | 2021-04-14 | 2021-04-14 | Household environment intelligent monitoring, regulation and control management cloud system based on Internet of things and cloud computing |
Country Status (1)
| Country | Link |
|---|---|
| CN (1) | CN113110080B (en) |
Families Citing this family (4)
| Publication number | Priority date | Publication date | Assignee | Title |
|---|---|---|---|---|
| CN114564058B (en) * | 2022-02-24 | 2023-05-26 | 上海莘阳新能源科技股份有限公司 | Intelligent regulation and control management system for monitoring house indoor environment based on Internet of things |
| CN114879522B (en) * | 2022-05-13 | 2023-01-10 | 上海恒御影音科技有限公司 | An artificial intelligence-based home intelligent terminal control management system |
| CN116687363B (en) * | 2023-08-04 | 2023-12-29 | 国网安徽省电力有限公司合肥供电公司 | A physical condition monitoring system for workers in limited spaces based on wearable devices |
| CN117075491B (en) * | 2023-10-13 | 2024-02-09 | 湖南朗赫科技有限公司 | A smart home health management system |
Citations (4)
| Publication number | Priority date | Publication date | Assignee | Title |
|---|---|---|---|---|
| JP2006246437A (en) * | 2004-12-29 | 2006-09-14 | Samsung Electronics Co Ltd | Home control system and method |
| EP2457435A1 (en) * | 2009-07-24 | 2012-05-30 | Masataka Kamahara | Lighting environment control facility for cultivation of crops, pest control method, and intensive cultivation method |
| CN105805885A (en) * | 2015-11-30 | 2016-07-27 | 张胜国 | Intelligent indoor space environment adjusting system |
| CN210639447U (en) * | 2019-03-20 | 2020-05-29 | 北京理工大学 | Intelligent device of remote control (window) curtain |
Family Cites Families (17)
| Publication number | Priority date | Publication date | Assignee | Title |
|---|---|---|---|---|
| DE69424374T2 (en) * | 1993-11-09 | 2000-12-21 | Koninklijke Philips Electronics N.V., Eindhoven | Device for the automatic control of lighting |
| US6697757B2 (en) * | 2001-09-19 | 2004-02-24 | Leviton Manufacturing Co., Ltd. | Local network based multiple sensor device with electrical load control means and with temperature sensor and heat detector that is exposed to ambient air by diffusion |
| FR2955956B1 (en) * | 2010-02-04 | 2013-06-28 | Somfy Sas | MOTION SENSOR FOR DOMOTIC DEVICE. |
| US20140046462A1 (en) * | 2012-08-12 | 2014-02-13 | Maxym Mets | Home Automation System on the base of Command Device that includes Internal Sockets and Dimmers |
| US9613525B2 (en) * | 2013-10-07 | 2017-04-04 | Google Inc. | Hazard detection unit providing intuitive illumination-based status signaling |
| MX2016014149A (en) * | 2014-04-28 | 2017-06-14 | Delta T Corp | Environmental condition control based on sensed conditions and related methods. |
| CN104481335B (en) * | 2014-12-11 | 2017-02-22 | 上海斐讯数据通信技术有限公司 | Window and method and system for controlling window to being opened and closed |
| CN105549412A (en) * | 2016-01-21 | 2016-05-04 | 苏州市职业大学 | Smart home system based on IOT (Internet of Things) technology |
| FR3048516B1 (en) * | 2016-03-01 | 2020-11-06 | Hager Controls | CONTROL PROCESS OF A HOME AUTOMATION INSTALLATION |
| CA3062815A1 (en) * | 2017-04-26 | 2018-11-01 | View, Inc. | Tintable window system computing platform |
| CN110045769A (en) * | 2019-03-12 | 2019-07-23 | 菏泽学院 | A kind of light intensity controlling device and control method |
| CN109799727B (en) * | 2019-03-20 | 2024-04-05 | 北京理工大学 | Intelligent household system for remotely controlling curtain and window |
| CN110111565A (en) * | 2019-04-18 | 2019-08-09 | 中国电子科技网络信息安全有限公司 | A kind of people's vehicle flowrate System and method for flowed down based on real-time video |
| CN110262330A (en) * | 2019-06-12 | 2019-09-20 | 广东工业大学 | A kind of smart home environment monitoring system and method based on Arduino |
| CN110374481B (en) * | 2019-07-30 | 2020-06-26 | 开县金石教育服务有限责任公司 | Self-color-changing window and indoor environment adjusting system thereof |
| CN110488897B (en) * | 2019-08-22 | 2021-07-13 | 河南省建筑科学研究院有限公司 | Non-closed space environment regulation and control system and regulation and control method thereof |
| CN111246637A (en) * | 2020-01-17 | 2020-06-05 | 长安大学 | A kind of office hybrid lighting control method and device |
-
2021
- 2021-04-14 CN CN202110399998.7A patent/CN113110080B/en not_active Expired - Fee Related
Patent Citations (4)
| Publication number | Priority date | Publication date | Assignee | Title |
|---|---|---|---|---|
| JP2006246437A (en) * | 2004-12-29 | 2006-09-14 | Samsung Electronics Co Ltd | Home control system and method |
| EP2457435A1 (en) * | 2009-07-24 | 2012-05-30 | Masataka Kamahara | Lighting environment control facility for cultivation of crops, pest control method, and intensive cultivation method |
| CN105805885A (en) * | 2015-11-30 | 2016-07-27 | 张胜国 | Intelligent indoor space environment adjusting system |
| CN210639447U (en) * | 2019-03-20 | 2020-05-29 | 北京理工大学 | Intelligent device of remote control (window) curtain |
Also Published As
| Publication number | Publication date |
|---|---|
| CN113110080A (en) | 2021-07-13 |
Similar Documents
| Publication | Publication Date | Title |
|---|---|---|
| CN113110080B (en) | Household environment intelligent monitoring, regulation and control management cloud system based on Internet of things and cloud computing | |
| CN114564058A (en) | Intelligent house indoor environment monitoring regulation and control management system based on Internet of things | |
| CN112216071A (en) | Intelligent chemical monitoring and early warning platform based on big data | |
| CN117932501B (en) | A method and system for managing the operation status of an electric energy meter | |
| CN118896377B (en) | An energy-saving intelligent central air-conditioning constant temperature control system and device | |
| CN101033989A (en) | Environmental monitoring device and method | |
| WO2011008731A1 (en) | Detecting environmental interferent in a transdermal alcohol monitor | |
| CN118331212B (en) | Industrial electrical machine room environment monitoring system and method with multi-source acquisition and data modeling | |
| CN119757120B (en) | A Chinese herbal medicine drying monitoring system based on the Internet of Things | |
| CN113015122B (en) | Assembly type building quality monitoring and analyzing method based on Internet of things and wireless sensor technology | |
| CN113804834A (en) | Indoor air quality detection system based on big data analysis | |
| CN118501359A (en) | Intelligent indoor air quality detection system based on Internet of things technology | |
| CN110377084A (en) | A kind of Building Indoor Environment regulation method based on wisdom control strategy | |
| CN120013512A (en) | A public energy-consuming equipment operation and maintenance management system suitable for smart parks | |
| CN114931365A (en) | Medical health data online monitoring and analyzing method, system and storage medium | |
| CN120078181A (en) | An automatic gas conditioning method and system for three-dimensional cigarette stacks | |
| CN117973587B (en) | Method and system for predicting carbon emission of park | |
| CN119656444A (en) | Intelligent multi-modal medical oxygen flow monitoring system, device and method | |
| CN108650309A (en) | A kind of agricultural product storage and transportation ambient intelligence monitoring system based on big data | |
| CN119146535A (en) | Fresh air temperature and humidity adjusting method and system | |
| CN120087781A (en) | Big data environmental protection management system and method based on smart park | |
| CN113221452A (en) | Office space temperature prediction system based on distributed optical fiber | |
| CN119480100A (en) | A work management system for smart elderly care services | |
| CN119107552A (en) | A system and method for monitoring crop growth status | |
| CN115112167A (en) | Temperature and humidity sensor early warning system and method applied to production area of cigarette factory |
Legal Events
| Date | Code | Title | Description |
|---|---|---|---|
| PB01 | Publication | ||
| PB01 | Publication | ||
| SE01 | Entry into force of request for substantive examination | ||
| SE01 | Entry into force of request for substantive examination | ||
| TA01 | Transfer of patent application right |
Effective date of registration: 20220208 Address after: 200130 room 2201, No. 888, Moyu South Road, Anting Town, Jiading District, Shanghai j1971 Applicant after: Love education technology (Shanghai) Co.,Ltd. Address before: 430050 new Binkai international community, 97 Fangcao Road, Hanyang District, Wuhan City, Hubei Province Applicant before: Wuhan aoguoguo Network Technology Co.,Ltd. |
|
| TA01 | Transfer of patent application right | ||
| GR01 | Patent grant | ||
| GR01 | Patent grant | ||
| CF01 | Termination of patent right due to non-payment of annual fee |
Granted publication date: 20220225 |
|
| CF01 | Termination of patent right due to non-payment of annual fee |




















