CN113032996A - Water channeling channel identification method for low-permeability fractured reservoir horizontal well - Google Patents
Water channeling channel identification method for low-permeability fractured reservoir horizontal well Download PDFInfo
- Publication number
- CN113032996A CN113032996A CN202110316554.2A CN202110316554A CN113032996A CN 113032996 A CN113032996 A CN 113032996A CN 202110316554 A CN202110316554 A CN 202110316554A CN 113032996 A CN113032996 A CN 113032996A
- Authority
- CN
- China
- Prior art keywords
- well
- injection
- production well
- production
- pairs
- Prior art date
- Legal status (The legal status is an assumption and is not a legal conclusion. Google has not performed a legal analysis and makes no representation as to the accuracy of the status listed.)
- Granted
Links
Images
Classifications
-
- G—PHYSICS
- G06—COMPUTING OR CALCULATING; COUNTING
- G06F—ELECTRIC DIGITAL DATA PROCESSING
- G06F30/00—Computer-aided design [CAD]
- G06F30/20—Design optimisation, verification or simulation
-
- E—FIXED CONSTRUCTIONS
- E21—EARTH OR ROCK DRILLING; MINING
- E21B—EARTH OR ROCK DRILLING; OBTAINING OIL, GAS, WATER, SOLUBLE OR MELTABLE MATERIALS OR A SLURRY OF MINERALS FROM WELLS
- E21B43/00—Methods or apparatus for obtaining oil, gas, water, soluble or meltable materials or a slurry of minerals from wells
- E21B43/16—Enhanced recovery methods for obtaining hydrocarbons
- E21B43/20—Displacing by water
-
- G—PHYSICS
- G06—COMPUTING OR CALCULATING; COUNTING
- G06F—ELECTRIC DIGITAL DATA PROCESSING
- G06F2111/00—Details relating to CAD techniques
- G06F2111/10—Numerical modelling
-
- G—PHYSICS
- G06—COMPUTING OR CALCULATING; COUNTING
- G06F—ELECTRIC DIGITAL DATA PROCESSING
- G06F2119/00—Details relating to the type or aim of the analysis or the optimisation
- G06F2119/12—Timing analysis or timing optimisation
Landscapes
- Engineering & Computer Science (AREA)
- Physics & Mathematics (AREA)
- Mining & Mineral Resources (AREA)
- Theoretical Computer Science (AREA)
- Geology (AREA)
- Life Sciences & Earth Sciences (AREA)
- Environmental & Geological Engineering (AREA)
- General Physics & Mathematics (AREA)
- General Engineering & Computer Science (AREA)
- Evolutionary Computation (AREA)
- Fluid Mechanics (AREA)
- Geometry (AREA)
- Computer Hardware Design (AREA)
- General Life Sciences & Earth Sciences (AREA)
- Geochemistry & Mineralogy (AREA)
- Investigation Of Foundation Soil And Reinforcement Of Foundation Soil By Compacting Or Drainage (AREA)
- Geophysics And Detection Of Objects (AREA)
Abstract
The invention discloses a water channeling channel identification method for a hypotonic fractured reservoir horizontal well, which comprises the following steps of: s1, taking the oil well as a central well, respectively forming injection-production well pairs with the associated water wells, calculating the inter-well conductivity and the communication volume of each group of injection-production well pairs, and calculating the communication coefficient and the time constant of each group of injection-production well pairs according to the obtained inter-well conductivity and the communication volume of the injection-production well pairs; s2, calculating the accumulated seepage capacity and the accumulated storage capacity value of each group of injection-production well pairs; s3, drawing Lorentz curves of each group of injection-production well pairs, and calculating the Lorentz coefficient corresponding to each Lorentz curve; and S4, calculating the cross-flow index between wells of each group of injection-production well pairs, and determining the geological type of the cross-flow channel of the injection-production well pairs according to the calculated cross-flow index between wells. The invention provides a water channeling channel identification method for a hypotonic fractured reservoir horizontal well, which provides guidance for real-time production system optimization and strategy implementation.
Description
Technical Field
The invention relates to the technical field of oil and gas exploration. More particularly, the invention relates to a water channeling channel identification method for a hypotonic fractured reservoir horizontal well.
Background
The reservoir stratum micro-crack of a certain oil field horizontal well development area develops, a natural seam and an artificial seam coexist, and the reservoir stratum heterogeneity is strong. After large-scale fracturing operation, along with the continuation of production time, the problems of low extraction degree, high water content, water injection and water channeling and low efficiency invalidation are exposed in part of blocks, and the production of the horizontal well is severely restricted. After a fractured horizontal well breaks through water, no effective means is available for verifying and identifying the direction, the size, the flow channeling capacity and the like of water through production dynamics, the pertinence of later-stage adjustment measures is poor, effective utilization is difficult to achieve, and the accurate identification of a horizontal well water channeling channel is the key for solving the problem.
The existing water channeling channel identification method mainly comprises an interwell tracer analysis identification method, a water absorption profile identification method, a well testing test identification method and a numerical simulation identification method. The interwell tracer analysis and identification method carries out quantitative interpretation through interwell tracer interpretation software, can judge the heterogeneous condition of an oil reservoir in the plane and the longitudinal direction, can qualitatively judge the hypertonic strip in the stratum and quantitatively obtain partial stratum parameters; the water absorption profile identification method analyzes the change of water absorption capacity of each layer according to water absorption profile data measured at different time, and judges whether a water channeling channel is formed or not by combining the change of other parameters on a logging curve; the well testing identification method can test the high-permeability channel and the direction thereof through pressure drop, pressure recovery and interference well testing, and can qualitatively predict the superior channel of the reservoir; the numerical simulation method quantitatively judges the dominant flow field and the dominant channel by virtue of the streamline tracking success field through complex geological modeling and actual production dynamic simulation operation. The methods have a certain guiding effect on the early stage of the oil reservoir and the conventional oil reservoir development, but have poor applicability and accuracy on the low-permeability fractured oil reservoir which carries out water control and oil stabilization measures such as acidizing fracturing, profile control and water shutoff and the like in the middle and later stages of the oil reservoir development, and the channeling channel cannot be identified quickly, accurately and in real time.
The oil deposit is a dynamic balance system, the communication characteristic of the oil well when the liquid production fluctuation of the oil well is caused by the injection of the water well, and a rapid inter-well communication model is established by utilizing the response relation among injection and production dynamic data, which gradually becomes an important method for identifying a water channeling channel. The connectivity model is firstly utilized in 2017 for carrying out the dynamic prediction of the polymer flooding in flying and the like, and the method is applied to an actual oil field, so that the dynamic and quantitative characterization of the formation characteristics of the polymer flooding water can be quickly and effectively calculated, and guidance suggestions are provided for the actual field development. Shenjie and the like use a connectivity method to identify the superior channeling channel of the fracture-cavity type oil reservoir in 2018, calculate the water injection split of the water injection well to the surrounding water wells on the basis of verifying the correctness of an actual model, identify the superior channel according to the water injection split, and obtain an adjustment measure. The research for identifying the channeling channel by utilizing the well connectivity is mainly used for single media, is not suitable for double media at present, can only identify through splitting numbers, has a single process, is not visual enough in the identification process, and cannot accurately judge the channeling type.
Disclosure of Invention
The invention aims to provide a water channeling channel identification method for a hypotonic fractured reservoir horizontal well, which can intuitively and accurately identify the water channeling channel of the horizontal well and predict output dynamics, thereby realizing water channeling early warning and providing guidance for optimizing a production system and strategy implementation in real time.
To achieve these objects and other advantages in accordance with the purpose of the invention, there is provided a water channeling channel identification method for a hypotonic fractured reservoir horizontal well, comprising the steps of:
s1, taking an oil well as a central well, respectively forming injection-production well pairs with the associated water wells, calculating the inter-well conductivity and the communication volume of each group of injection-production well pairs, and calculating the communication coefficient and the time constant of each group of injection-production well pairs according to the obtained inter-well conductivity and the communication volume of the injection-production well pairs;
s2, calculating the cumulative seepage capacity and the cumulative storage capacity value of each group of injection-production well pairs through the communication coefficient and the time constant of each group of injection-production well pairs calculated in S1;
s3, sequentially drawing Lorentz curves of each group of injection-production well pairs by taking the inter-accumulated seepage capacity calculated in the S2 as a vertical coordinate and the accumulated storage capacity value as a horizontal coordinate, and calculating Lorentz coefficients corresponding to each Lorentz curve;
s4, defining the product of the communication coefficient and the Lorentz coefficient of each group of injection-production well pairs as the cross-flow index between wells of the injection-production well pairs, calculating the cross-flow index between wells of each group of injection-production well pairs, and determining the geological type of the cross-flow channel of the injection-production well pairs according to the calculated cross-flow index between wells.
Preferably, in the method for identifying the water channeling channel of the horizontal well for the low-permeability fractured reservoir, when the cross flow index between wells calculated by S4 is 0-0.4, the geological type of the corresponding cross flow channel of the injection-production well pair is homogeneous; s4, when the calculated cross-flow index between wells is 0.4-0.7, the geological type of the cross-flow channel of the corresponding injection-production well pair is a hypertonic strip; and when the cross-flow index between the wells calculated by S4 is 0-0.4, the geological type of the cross-flow channel of the corresponding injection-production well pair is a crack.
Preferably, in the method for identifying the water channeling channel of the horizontal well for the low-permeability fractured reservoir, after the lorentz coefficient corresponding to each lorentz curve is calculated in S3, a threshold value of the lorentz coefficient is set, and all injection-production well pairs with the lorentz coefficients larger than the threshold value are screened out and used for calculation in S4.
Preferably, in the method for identifying a water channeling channel for a horizontal well of a hypotonic fractured reservoir, the method for calculating the communication coefficient of each injection-production well pair in S1 is as follows:
wherein j is a central well; i is a water well associated with the central well;the communication coefficient between the i well and the j well is obtained; t isijIs the interwell conductivity between the i-well and the j-well.
Preferably, in the method for identifying a water channeling channel for a horizontal well of a hypotonic fractured reservoir, the method for calculating the time constant of each injection-production well pair in S1 is as follows:
wherein, tauijThe time constant represents the time lag and the attenuation between injection wells and production wells; vijIs the connected volume between the i well and the j well.
Preferably, in the method for identifying a water channeling channel for a low-permeability fractured reservoir horizontal well, the method for calculating the cumulative seepage capability of each injection-production well pair in S2 is as follows:
wherein, FijIs the cumulative seepage capacity between the i well and the j well.
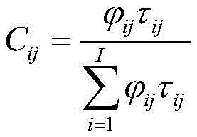
Preferably, in the method for identifying a water channeling channel of a horizontal well for a hypotonic fractured reservoir, the method for calculating the cumulative storage capacity value of each group of injection-production well pairs in S2 is as follows:
wherein, CijIs the cumulative storage capacity between the i well and the j well.
The water channeling channel identification method provided by the invention establishes a data driving model based on a connectivity idea by utilizing daily dynamic data, and provides a combination mode of qualitatively judging the water channeling condition of a well group by using a Lorentz coefficient and quantitatively representing the water channeling flow by using a splitting number, so as to finely identify the water channeling channel of the horizontal well. The identification method is verified by establishing a conceptual model and is applied to an actual block, so that a foundation is laid for subsequent formulation of a corresponding injection-production system and a profile control strategy and long-term efficient and stable development.
Additional advantages, objects, and features of the invention will be set forth in part in the description which follows and in part will become apparent to those having ordinary skill in the art upon examination of the following or may be learned from practice of the invention.
Drawings
FIG. 1 is a Lorentzian curve illustrating several exemplary geological features of the present invention;
FIG. 2 is a schematic diagram of a conceptual model permeability field in an embodiment of the invention;
FIG. 3 shows conceptual model blocks and partial single well fitting results in accordance with an embodiment of the present invention;
FIG. 4 is a graph illustrating the results of a model conductivity fit in an embodiment of the invention;
FIG. 5 is a Lorentzian plot of a portion of a horizontal well in an embodiment of the invention;
FIG. 6 is a graph of split number distribution according to an embodiment of the present invention;
FIG. 7 is a diagram illustrating the results of feature parameter inversion according to another embodiment of the present invention;
FIG. 8 is a diagram illustrating fitting results of an actual sample block and a portion of a single well according to another embodiment of the present invention;
FIG. 9 is a Lorentzian plot of a portion of a horizontal well according to another embodiment of the present invention;
FIG. 10 is a schematic illustration of the split profile of an SP10-6 well group in another embodiment of the present invention;
FIG. 11 is a schematic diagram of the actual production dynamics of an SP10-6 well group in another embodiment of the present invention.
Detailed Description
The present invention is further described in detail below with reference to the attached drawings so that those skilled in the art can implement the invention by referring to the description text.
It should be noted that in the description of the present invention, the terms "lateral", "longitudinal", "upper", "lower", "front", "rear", "left", "right", "vertical", "horizontal", "top", "bottom", "inner", "outer", etc. indicate orientations or positional relationships based on those shown in the drawings, and are only for convenience of description and simplicity of description, and do not indicate or imply that the referred device or element must have a specific orientation, be constructed and operated in a specific orientation, and thus, should not be construed as limiting the present invention.
The embodiment of the invention provides a water channeling channel identification method for a hypotonic fractured reservoir horizontal well, which comprises the following steps of:
s1, taking an oil well as a central well, respectively forming injection-production well pairs with the associated water wells, calculating the inter-well conductivity and the communication volume of each group of injection-production well pairs, and calculating the communication coefficient and the time constant of each group of injection-production well pairs according to the obtained inter-well conductivity and the communication volume of the injection-production well pairs;
specifically, the method for calculating the communication coefficient of each group of injection-production well pairs in S1 is as follows:
wherein j is a central well; i is a water well associated with the central well;the communication coefficient between the i well and the j well is obtained; t isijIs the interwell conductivity between the i-well and the j-well.
The method for calculating the time constant of each group of injection-production well pairs in the S1 is as follows:
wherein, tauijThe time constant represents the time lag and the attenuation between injection wells and production wells; vijIs the connected volume between the i well and the j well.
S2, calculating the cumulative seepage capacity and the cumulative storage capacity value of each group of injection-production well pairs through the communication coefficient and the time constant of each group of injection-production well pairs calculated in S1;
specifically, the method for calculating the cumulative seepage capability of each group of injection-production well pairs in S2 is as follows:
wherein, FijIs the cumulative seepage capacity between the i well and the j well.
The method for calculating the accumulated storage capacity value of each group of injection-production well pairs in the S2 is as follows:
wherein, CijIs the cumulative storage capacity between the i well and the j well.
S3, as shown in figure 1, sequentially drawing Lorentz curves of each group of injection and production well pairs by taking the inter-accumulated seepage capacity calculated in the S2 as a vertical coordinate and the accumulated storage capacity value as a horizontal coordinate, calculating Lorentz coefficients corresponding to each Lorentz curve, setting thresholds of the Lorentz coefficients, and screening all injection and production well pairs with Lorentz coefficients larger than the thresholds for calculation in S4;
the Lorentz coefficient refers to the ratio of the area of a closed graph formed by a curve and a diagonal line to the area formed by a coordinate axis and the diagonal line, the bigger the Lorentz coefficient is, the stronger the plane heterogeneity of the well group is, and a cross flow channel may exist, otherwise, if the Lorentz curve is approximately overlapped with the diagonal line, the well group is a homogeneous oil reservoir;
s4, defining the product of the communication coefficient and the Lorentz coefficient of each group of injection and production well pairs as the cross-flow index between wells of the injection and production well pairs, calculating the cross-flow index between wells of each group of injection and production well pairs, and determining the specific geological type of the cross-flow channel of the injection and production well pairs according to the calculated cross-flow index between wells, wherein when the cross-flow index between wells is 0-0.4, the geological type of the corresponding cross-flow channel of the injection and production well pairs is homogeneous; when the cross-flow index between wells is 0.4-0.7, the geological type of the cross-flow channel of the corresponding injection-production well pair is a hypertonic strip; and when the cross-flow index between wells is 0-0.4, the geological type of the cross-flow channel of the corresponding injection-production well pair is a crack.
In this embodiment, the calculation of the inter-well conductivity and the communication volume of each injection-production well pair may be performed by using an existing calculation method, for example, by establishing an inter-well connectivity model, in this embodiment, an inter-well connectivity model named an INSIM model may be used.
In order to determine the specific water-meeting part and the size of the incoming water of the horizontal well, the water channeling channel can be quantitatively characterized by a splitting component number method.
One important parameter for determining the connectivity between wells is the splitting coefficient, which is defined as follows: for the injection and production well group centered on the water injection well, the split number represents the amount of liquid flowing to a production well as the percentage of the total amount of injected water. Assuming that at the nth time step, the number of the injection well is i, the number of the production well connected with the injection well is j, and the splitting coefficient flowing from the i well to the j well is as follows:
in the formula, ncIndicating the number of production wells associated with injection well j.
Dynamic indexes such as water content and the like are obtained through a connectivity model, water injection splitting coefficients are calculated by nodes, the water injection utilization rate (the oil yield contributed by injected 1-square water) is calculated according to the splitting water quantity and the splitting oil quantity between injection and production well pairs, the water injection effect condition is determined, and the injection and production well pair with low water injection utilization rate is judged to have a water channeling channel.
In order to verify the correctness of the water channeling channel identification method, a two-dimensional heterogeneous medium containing a hypertonic strip is selectedAnd (5) demonstrating an oil reservoir model. The reservoir model is a five-injection twelve-extraction Eclipse reservoir simulator model containing horizontal wells, the permeability distribution diagram is shown in figure 2, the grid number of the model is 191 multiplied by 101 multiplied by 1, and dX=dY15 m; the initial oil saturation of the oil reservoir is 0.8, the average porosity is 0.2, the viscosity of crude oil is 2.9 mPa.s, the initial pressure of the oil reservoir is 25MPa, and the simulated production time is 900 d.
Fig. 3 is a fitting result of the accumulated oil amount and the water content of the block and a part of the production well obtained by performing historical fitting inversion by using the INSIM model, and it can be seen that the INSIM model after historical fitting and the Eclipse model have a good fitting effect, which indicates that the model can better simulate production dynamics.
The results of the model conductivity fit after the history fit are shown in fig. 4, where red indicates high conductivity and blue indicates low conductivity in fig. 4. It can be seen from fig. 4 that the position where the conductivity connecting line is red is substantially consistent with the position of the hyperosmotic strip in the figure, and the reliability of the inversion parameters of the model is verified.
And calculating and drawing Lorentz curves according to the conductivity and the communication volume between each injection-production well pair, wherein a Lorentz graph of a part of horizontal wells is shown in FIG. 5, homogeneous strata are shown near a P2 well, heterogeneous strata are shown near P5, P9 and P11 wells, and the heterogeneity near the P5 well is strongest. And calculating the cross-flow index among the well pairs on the basis, wherein the cross-flow index among the P5-I4 well pairs is 0.7093, a crack is judged to possibly exist, hypertonic strips possibly exist among the P9-I3 and the P11-I4 well pairs, and cross-flow channels possibly exist among the three well pairs.
Channeling index meter for partial horizontal well
In order to further clarify the size of the channeling flow and accurately identify the channeling channel, the splitting coefficient and the water injection utilization rate of the block are calculated, and the splitting number distribution diagram is shown in fig. 6. The splitting coefficient of I4 to the P5 well is 0.407, the water injection utilization rate is 33.97%, the difference between the water injection utilization rate and the average water injection utilization rate of 50.41% of the block is large, and the water channeling dominant channeling channel is judged. The conclusion is consistent with the recognition of the initial geological modeling, and the correctness of the water channeling channel identification method is proved.
And selecting a part of blocks of an oil field, wherein the permeability of the stratum at the positions of the blocks is low, the micro cracks develop, natural cracks and artificial cracks coexist, and the average porosity and the permeability are respectively 0.119 and 0.35 mD. The total number of wells in the block is 154, wherein 87 production wells (including 51 horizontal wells and 36 vertical wells), 67 water injection wells and the production starting and stopping time is from 1 month and 1 day in 2010 to 7 months and 1 day in 2019. It is worth noting that because the number of the horizontal well perforation points of the block is too many, each horizontal well perforation point is simplified into 4 in order to facilitate the analysis and judgment of the established connectivity model, and the simplification can reduce the calculation amount, improve the calculation speed and easily position the water-meeting part under the condition of not influencing the fitting precision. And (3) taking the oil production of the single well and the block as a fitting index, automatically performing history fitting on the conductivity and the communication volume of the INSIM connectivity model, and obtaining the fitting index of the block and part of single wells as shown in FIG. 8, wherein the characteristic parameter inversion result is shown in FIG. 7, and the overall fitting rate is over 80%. Therefore, the oil-water dynamic fitting result of the block and the single well is accurate.
The fitted model characteristic parameters can be used for calculating the accumulated seepage capacity and the accumulated storage capacity of each oil well, further drawing a Lorentz curve and calculating the Lorentz coefficient and the channeling index. FIG. 9 is a Lorentz plot for a portion of production wells, where the Lorentz coefficients for SP4-5, SP5-3, and SP6-4 production wells are small and the heterogeneity near them is weak, and it is determined that there is no water channeling; the production wells SP10-6, SP7-6 and SP8-11 have larger Lorentz coefficients and stronger heterogeneity nearby, and the possibility of water channeling is judged.
The production wells with the possibility of water channeling are selected for further analysis, and are only exemplified by the SP10-6 well group for the sake of space limitation, and other production wells can be identified as water channeling or not by using the same method. And judging that the water wells communicated with the SP10-6 well are S162-28, S160-26 and S164-22 through the fitting result, and obtaining a calculated channeling index table shown in the following table, wherein the channeling index between the SP10-6 well and the S164-22 well is 0.4224, and judging that a water channeling dominant channel with a type of a hypertonic channel possibly exists.
SP10-6 channeling index table
FIG. 10 shows the split of the group of SP10-6 wells, and it can be seen that water injection split shows that the S162-22 well injection water is mainly distributed to SP10-6, which has a large effect on the Shanping 10-6 well. Through calculation, the water injection utilization rate of the S164-22 well is 10.6%, the water injection utilization rate of the S160-26 well is 36.4%, the water injection utilization rate of the S162-28 well is 55.5%, the water injection utilization rate of the S164-22 well is far lower than that of other wells, a cross flow channel is judged to exist between the S164-22 well and the SP10-6 well, and the water breakthrough direction is the tail part of a horizontal well.
In order to verify the correctness of the identification result, production dynamics and historical measures of the well group are summarized, as shown in fig. 11, it can be seen that dynamic response exists between the S164-22 well and the SP10-6 well, water channeling occurs after the water injection splitting amount 464 of 2016.12, and the water channeling situation is improved through alternate injection and alternate production measures. The production dynamic analysis result is consistent with the water channeling channel identification result, and the correctness of the water channeling channel identification method is proved.
While embodiments of the invention have been described above, it is not limited to the applications set forth in the description and the embodiments, which are fully applicable to various fields of endeavor for which the invention may be embodied with additional modifications as would be readily apparent to those skilled in the art, and the invention is therefore not limited to the details given herein and to the embodiments shown and described without departing from the generic concept as defined by the claims and their equivalents.
Claims (7)
1. A water channeling channel identification method for a hypotonic fractured reservoir horizontal well is characterized by comprising the following steps of:
s1, taking an oil well as a central well, respectively forming injection-production well pairs with the associated water wells, calculating the inter-well conductivity and the communication volume of each group of injection-production well pairs, and calculating the communication coefficient and the time constant of each group of injection-production well pairs according to the obtained inter-well conductivity and the communication volume of the injection-production well pairs;
s2, calculating the cumulative seepage capacity and the cumulative storage capacity value of each group of injection-production well pairs through the communication coefficient and the time constant of each group of injection-production well pairs calculated in S1;
s3, sequentially drawing Lorentz curves of each group of injection-production well pairs by taking the inter-accumulated seepage capacity calculated in the S2 as a vertical coordinate and the accumulated storage capacity value as a horizontal coordinate, and calculating Lorentz coefficients corresponding to each Lorentz curve;
s4, defining the product of the communication coefficient and the Lorentz coefficient of each group of injection-production well pairs as the cross-flow index between wells of the injection-production well pairs, calculating the cross-flow index between wells of each group of injection-production well pairs, and determining the geological type of the cross-flow channel of the injection-production well pairs according to the calculated cross-flow index between wells.
2. The method for identifying the water channeling channel for the horizontal well of the hypotonic fractured reservoir according to claim 1, wherein when the cross flow index among wells calculated by S4 is 0-0.4, the geological types of the corresponding cross flow channels of the injection and production well pair are homogeneous; s4, when the calculated cross-flow index between wells is 0.4-0.7, the geological type of the cross-flow channel of the corresponding injection-production well pair is a hypertonic strip; and when the cross-flow index between the wells calculated by S4 is 0-0.4, the geological type of the cross-flow channel of the corresponding injection-production well pair is a crack.
3. The method for identifying the water channeling channel for the horizontal well of the hypotonic fractured reservoir according to claim 2, wherein after the Lorentz coefficient corresponding to each Lorentz curve is calculated in S3, a Lorentz coefficient threshold value is set, and all injection and production well pairs with Lorentz coefficients larger than the threshold value are screened out and used for calculation in S4.
4. The method for identifying the water channeling channel of the hypotonic fractured reservoir horizontal well, according to any one of claims 1 to 3, is characterized in that the method for calculating the communication coefficient of each group of injection-production well pairs in S1 is as follows:
5. The method for identifying the water channeling channel for the hypotonic fractured reservoir horizontal well according to claim 4, wherein the method for calculating the time constant of each group of injection-production well pairs in S1 is as follows:
wherein, tauijThe time constant represents the time lag and the attenuation between injection wells and production wells; vijIs the connected volume between the i well and the j well.
6. The method for identifying the water channeling channel for the hypotonic fractured reservoir horizontal well according to claim 5, wherein the method for calculating the cumulative seepage capability of each group of injection-production well pairs in S2 comprises the following steps:
wherein, FijIs the cumulative seepage capacity between the i well and the j well.
7. The method for identifying the water channeling channel for the horizontal well of the hypotonic fractured reservoir according to claim 6, wherein the method for calculating the accumulated storage capacity value of each group of injection-production well pairs in S2 is as follows:
wherein, CijIs the cumulative storage capacity between the i well and the j well.
Priority Applications (1)
| Application Number | Priority Date | Filing Date | Title |
|---|---|---|---|
| CN202110316554.2A CN113032996B (en) | 2021-03-25 | 2021-03-25 | Water channeling channel identification method for hypotonic fractured reservoir horizontal well |
Applications Claiming Priority (1)
| Application Number | Priority Date | Filing Date | Title |
|---|---|---|---|
| CN202110316554.2A CN113032996B (en) | 2021-03-25 | 2021-03-25 | Water channeling channel identification method for hypotonic fractured reservoir horizontal well |
Publications (2)
| Publication Number | Publication Date |
|---|---|
| CN113032996A true CN113032996A (en) | 2021-06-25 |
| CN113032996B CN113032996B (en) | 2022-06-21 |
Family
ID=76473482
Family Applications (1)
| Application Number | Title | Priority Date | Filing Date |
|---|---|---|---|
| CN202110316554.2A Active CN113032996B (en) | 2021-03-25 | 2021-03-25 | Water channeling channel identification method for hypotonic fractured reservoir horizontal well |
Country Status (1)
| Country | Link |
|---|---|
| CN (1) | CN113032996B (en) |
Cited By (4)
| Publication number | Priority date | Publication date | Assignee | Title |
|---|---|---|---|---|
| CN115130047A (en) * | 2022-07-13 | 2022-09-30 | 中国石油大学(北京) | Chemical flooding-based interwell seepage channel characterization method and device and storage medium |
| CN115126474A (en) * | 2022-07-13 | 2022-09-30 | 中国石油大学(北京) | Water drive-based interwell seepage channel characterization method and device and storage medium |
| CN115749727A (en) * | 2022-11-01 | 2023-03-07 | 中国石油大学(北京) | Heavy oil reservoir steam injection thermal recovery channeling identification method and device |
| CN116291406A (en) * | 2023-02-14 | 2023-06-23 | 中海石油(中国)有限公司 | A method and system for identifying large pores in offshore unconsolidated sandstone reservoirs |
Citations (6)
| Publication number | Priority date | Publication date | Assignee | Title |
|---|---|---|---|---|
| US20100161292A1 (en) * | 2008-12-15 | 2010-06-24 | Chevron U.S.A. Inc. | System and method for evaluating dynamic heterogeneity in earth models |
| CN109948272A (en) * | 2019-03-27 | 2019-06-28 | 长江大学 | Tune based on inter well connectivity blocks up dynamic prediction method and system |
| CN110162922A (en) * | 2019-06-03 | 2019-08-23 | 西南石油大学 | A kind of integrated recognition method of water-drive pool dominant flowing path |
| CN110273673A (en) * | 2018-03-14 | 2019-09-24 | 中国石油化工股份有限公司 | A kind of fracture-pore reservoir space structure flooding pattern optimum design method |
| CN111364970A (en) * | 2020-03-30 | 2020-07-03 | 海默潘多拉数据科技(深圳)有限公司 | A Quantification Method of Interwell Connectivity Coefficient |
| CN112302594A (en) * | 2020-12-01 | 2021-02-02 | 中国石油大学(北京) | Method, Apparatus and Equipment for Determining Connecting Structure of Heterogeneous Water Drive Oil Reservoir |
-
2021
- 2021-03-25 CN CN202110316554.2A patent/CN113032996B/en active Active
Patent Citations (6)
| Publication number | Priority date | Publication date | Assignee | Title |
|---|---|---|---|---|
| US20100161292A1 (en) * | 2008-12-15 | 2010-06-24 | Chevron U.S.A. Inc. | System and method for evaluating dynamic heterogeneity in earth models |
| CN110273673A (en) * | 2018-03-14 | 2019-09-24 | 中国石油化工股份有限公司 | A kind of fracture-pore reservoir space structure flooding pattern optimum design method |
| CN109948272A (en) * | 2019-03-27 | 2019-06-28 | 长江大学 | Tune based on inter well connectivity blocks up dynamic prediction method and system |
| CN110162922A (en) * | 2019-06-03 | 2019-08-23 | 西南石油大学 | A kind of integrated recognition method of water-drive pool dominant flowing path |
| CN111364970A (en) * | 2020-03-30 | 2020-07-03 | 海默潘多拉数据科技(深圳)有限公司 | A Quantification Method of Interwell Connectivity Coefficient |
| CN112302594A (en) * | 2020-12-01 | 2021-02-02 | 中国石油大学(北京) | Method, Apparatus and Equipment for Determining Connecting Structure of Heterogeneous Water Drive Oil Reservoir |
Non-Patent Citations (1)
| Title |
|---|
| ZHAO HUI 等: "Research on production optimal control techniques for smart oilfield", 《SCIENCE FOUNDATION IN CHINA》 * |
Cited By (7)
| Publication number | Priority date | Publication date | Assignee | Title |
|---|---|---|---|---|
| CN115130047A (en) * | 2022-07-13 | 2022-09-30 | 中国石油大学(北京) | Chemical flooding-based interwell seepage channel characterization method and device and storage medium |
| CN115126474A (en) * | 2022-07-13 | 2022-09-30 | 中国石油大学(北京) | Water drive-based interwell seepage channel characterization method and device and storage medium |
| CN115130047B (en) * | 2022-07-13 | 2025-07-01 | 中国石油大学(北京) | Method, device and storage medium for characterizing interwell seepage channels based on chemical flooding |
| CN115126474B (en) * | 2022-07-13 | 2025-07-08 | 中国石油大学(北京) | Method, device and storage medium for characterizing inter-well seepage channel based on water flooding |
| CN115749727A (en) * | 2022-11-01 | 2023-03-07 | 中国石油大学(北京) | Heavy oil reservoir steam injection thermal recovery channeling identification method and device |
| CN116291406A (en) * | 2023-02-14 | 2023-06-23 | 中海石油(中国)有限公司 | A method and system for identifying large pores in offshore unconsolidated sandstone reservoirs |
| CN116291406B (en) * | 2023-02-14 | 2025-10-28 | 中海石油(中国)有限公司 | A method and system for identifying large pores in offshore loose sandstone reservoirs |
Also Published As
| Publication number | Publication date |
|---|---|
| CN113032996B (en) | 2022-06-21 |
Similar Documents
| Publication | Publication Date | Title |
|---|---|---|
| CN113032996B (en) | Water channeling channel identification method for hypotonic fractured reservoir horizontal well | |
| CN103742130B (en) | Based on time become high infiltration strip characterizing method | |
| RU2661489C1 (en) | Method of integrating initial data to update filtration structure of non-uniform carbonate reservoirs | |
| CN106837297A (en) | A Method for Identifying Interwell Connectivity and Predicting Oil-Water Performance | |
| CN105160414B (en) | Method and Apparatus for Predicting Production Area Types of Whole Reservoir | |
| CN105696986B (en) | A kind of NEW TYPE OF COMPOSITE drives oil displacement experiment/test simulation method | |
| CN106932324B (en) | A kind of method of determining High water cut sandstone oil reservoir reservoir permeability changing rule | |
| AU2009293215A1 (en) | Method for optimizing well production in reservoirs having flow barriers | |
| CN110162922A (en) | A kind of integrated recognition method of water-drive pool dominant flowing path | |
| CN105952427A (en) | A Prediction and Evaluation Method for Water Injection-Induced Fractures in Low Permeability Reservoirs | |
| CN109815516A (en) | Method and device for predicting productivity of shale gas wells | |
| CN107292074B (en) | Method for judging connectivity between wells | |
| CN103352693A (en) | Productivity prediction system and method based on oil gas content | |
| CN112377178B (en) | A quantitative diagnosis method for edge water intrusion front | |
| CN107885893B (en) | Construction method for describing heterogeneity of carbon dioxide flooding reservoir | |
| CN114060003A (en) | Characterization method for interwell connectivity of offshore complex fault block oil reservoir | |
| US6619396B1 (en) | Method of producing petroleum | |
| CN106481315A (en) | Land sandstone oil reservoir individual well recoverable reserves quickly determines model and method for building up | |
| CN111155980B (en) | Water flow dominant channel identification method and device | |
| CN116306118A (en) | Crack modeling method | |
| CN116011268A (en) | Quantitative description method of dominant seepage channel | |
| Izgec et al. | Understanding reservoir connectivity in waterfloods before breakthrough | |
| CN116029076A (en) | A method for determining the dosage of CO2 flooding plugging agent for gas channeling channel | |
| CN112031740B (en) | Shale gas geological dessert evaluation method and device based on stratum elements | |
| CN116432365A (en) | A method and system for predicting the distribution of high-permeability zones in heterogeneous gas reservoirs |
Legal Events
| Date | Code | Title | Description |
|---|---|---|---|
| PB01 | Publication | ||
| PB01 | Publication | ||
| SE01 | Entry into force of request for substantive examination | ||
| SE01 | Entry into force of request for substantive examination | ||
| GR01 | Patent grant | ||
| GR01 | Patent grant |

















