CN113032076B - Display method, display device, computer equipment and storage medium - Google Patents
Display method, display device, computer equipment and storage medium Download PDFInfo
- Publication number
- CN113032076B CN113032076B CN202110335898.8A CN202110335898A CN113032076B CN 113032076 B CN113032076 B CN 113032076B CN 202110335898 A CN202110335898 A CN 202110335898A CN 113032076 B CN113032076 B CN 113032076B
- Authority
- CN
- China
- Prior art keywords
- color
- matrix
- user
- determining
- combination
- Prior art date
- Legal status (The legal status is an assumption and is not a legal conclusion. Google has not performed a legal analysis and makes no representation as to the accuracy of the status listed.)
- Active
Links
Images
Classifications
-
- G—PHYSICS
- G06—COMPUTING OR CALCULATING; COUNTING
- G06F—ELECTRIC DIGITAL DATA PROCESSING
- G06F9/00—Arrangements for program control, e.g. control units
- G06F9/06—Arrangements for program control, e.g. control units using stored programs, i.e. using an internal store of processing equipment to receive or retain programs
- G06F9/44—Arrangements for executing specific programs
- G06F9/451—Execution arrangements for user interfaces
-
- G—PHYSICS
- G06—COMPUTING OR CALCULATING; COUNTING
- G06F—ELECTRIC DIGITAL DATA PROCESSING
- G06F3/00—Input arrangements for transferring data to be processed into a form capable of being handled by the computer; Output arrangements for transferring data from processing unit to output unit, e.g. interface arrangements
- G06F3/01—Input arrangements or combined input and output arrangements for interaction between user and computer
- G06F3/048—Interaction techniques based on graphical user interfaces [GUI]
- G06F3/0487—Interaction techniques based on graphical user interfaces [GUI] using specific features provided by the input device, e.g. functions controlled by the rotation of a mouse with dual sensing arrangements, or of the nature of the input device, e.g. tap gestures based on pressure sensed by a digitiser
- G06F3/0488—Interaction techniques based on graphical user interfaces [GUI] using specific features provided by the input device, e.g. functions controlled by the rotation of a mouse with dual sensing arrangements, or of the nature of the input device, e.g. tap gestures based on pressure sensed by a digitiser using a touch-screen or digitiser, e.g. input of commands through traced gestures
- G06F3/04883—Interaction techniques based on graphical user interfaces [GUI] using specific features provided by the input device, e.g. functions controlled by the rotation of a mouse with dual sensing arrangements, or of the nature of the input device, e.g. tap gestures based on pressure sensed by a digitiser using a touch-screen or digitiser, e.g. input of commands through traced gestures for inputting data by handwriting, e.g. gesture or text
Landscapes
- Engineering & Computer Science (AREA)
- Theoretical Computer Science (AREA)
- Software Systems (AREA)
- General Engineering & Computer Science (AREA)
- Human Computer Interaction (AREA)
- Physics & Mathematics (AREA)
- General Physics & Mathematics (AREA)
- Image Processing (AREA)
- Eye Examination Apparatus (AREA)
Abstract
The application discloses a display method, a display device, computer equipment and a storage medium. The method comprises the following steps: determining at least one first color combination that is not distinguishable by a user; determining a first color difference adjustment matrix according to at least one first color combination, wherein the first color difference adjustment matrix is used for increasing the color difference between any two colors in each first color combination; the display frame is displayed after the color difference adjustment is carried out according to the first color difference adjustment matrix, so that the user can distinguish colors which are difficult to distinguish, a color blindness mode does not need to be additionally set, graphic auxiliary information does not need to be added to the display frame, the display effect is guaranteed, manpower is saved, the color difference adjustment can be carried out on the display frame according to the color distinguishing capability of each user, and the display frame is more intelligent and humanized.
Description
Technical Field
The present application relates to the field of display technologies, and in particular, to a display method and apparatus, a computer device, and a storage medium.
Background
Color vision (colorvision) refers to the ability to distinguish and identify colors. If the color vision is weak, it is called as color weakness. Likewise, the lack of color vision is known as color blindness. This color visual disability results in a lack of color recognition for red, green, and blue (RGB). With the increasing popularity of computer devices, in order to ensure that users with color blindness and color weakness can normally receive color information, two schemes are generally used to display an interface. One is to add a color blindness mode in addition to the normal color option. And secondly, additional auxiliary information such as graphics and characters is added to help a user to recognize colors while displaying the colors.
However, the ability of different color-blind users to identify and distinguish colors is often inconsistent, and the scheme of additionally adding the color-blind mode generally has a large limitation on the display colors in order to ensure the resolvable ability of all color-blind users, which affects the final display effect. While schemes that add additional auxiliary information are typically only applicable to graphics that contain large chunks of the same color fill, the available scenes are severely limited. In many scenes, the number of colors of the display interface may be very large, and both of these schemes require a lot of additional design by the screen designer, such as adjusting the colors or designing the auxiliary information display mode, which consumes a lot of time.
Disclosure of Invention
The embodiment of the application provides a display method, a display device, computer equipment and a storage medium, which can perform color conversion on a display picture based on the color recognition capability of a user.
The embodiment of the application provides a display method, which comprises the following steps:
determining at least one first color combination that is not distinguishable by a user;
determining a first color difference adjustment matrix according to the at least one first color combination, wherein the first color difference adjustment matrix is used for increasing the color difference between any two colors in each first color combination;
and displaying the display picture after performing color difference adjustment on the display picture according to the first color difference adjustment matrix.
Optionally, the determining at least one first color combination that is not resolvable by the user includes:
displaying a first graphical user interface for presenting a color discrimination image;
determining a first color combination according to a discrimination result of the color discrimination image by a user.
Optionally, the determining a first color combination according to a result of the user's identification of the color identification image includes:
determining a second color combination corresponding to the color recognition image in which the user recognition fails as a first color combination.
Optionally, the determining at least one first color combination that is not resolvable by the user includes:
displaying a second graphical user interface, wherein the second graphical user interface is provided with a prompt area and a selection area, the selection area is preset with a plurality of color blindness types for a user to select, each color blindness type corresponds to at least one third color combination, and the prompt area is used for prompting the user to select at least one color blindness type from the plurality of color blindness types;
and determining at least one first color combination according to at least one third color combination corresponding to the color blindness type selected by the user.
Optionally, the determining at least one first color combination according to the at least one set of third color combinations includes:
if each third color combination comprises two first colors, determining the at least one group of third color combinations as at least one first color combination;
if any one of the third color combinations comprises at least three first colors, combining the at least three first colors pairwise to obtain a plurality of fourth color combinations, and determining the fourth color combinations and the third color combinations comprising two first colors as the plurality of first color combinations.
Optionally, the determining a first color adjustment matrix according to the at least one first color combination includes:
minimizing a first formula which takes the color values of two second colors in all the first color combinations as parameters and takes a first matrix as a variable to obtain a determined first matrix;
and determining a first color difference adjustment matrix according to the determined first matrix and a preset color combination.
Optionally, each preset color combination includes two third colors, and determining a first color difference adjustment matrix according to the determined first matrix and the preset color combination includes:
and minimizing a second formula which takes the color values of the two third colors in all the preset color combinations and the determined first matrix as parameters and takes the second matrix as a variable to obtain a determined second matrix, and determining the determined second matrix as a first color difference adjustment matrix.
Optionally, the display method further includes:
confirming identity information of a user;
and if a second color difference adjustment matrix matched with the identity information exists, performing color difference adjustment on a display picture according to the second color difference adjustment matrix and then displaying the display picture.
An embodiment of the present application further provides a display device, including:
a first determination module for determining at least one first color combination that is not distinguishable by a user;
a second determining module, configured to determine a first color difference adjustment matrix according to the at least one first color combination, where the first color difference adjustment matrix is used to increase a color difference between any two colors in each of the first color combinations;
and the display module is used for displaying the display picture after performing color difference adjustment on the display picture according to the first color difference adjustment matrix.
Embodiments of the present application further provide a computer device, which includes a memory, a processor, and a computer program stored in the memory and executable on the processor, wherein the processor implements the steps of the method when executing the computer program.
Embodiments of the present application also provide a storage medium having a computer program stored thereon, where the computer program is executed by a processor to implement the steps of the method as described above.
The embodiment of the application provides a display method, a display device, computer equipment and a storage medium, wherein a color difference adjusting matrix is determined according to a color combination which is difficult to distinguish by a user, the color difference adjusting matrix is used for increasing the color difference between any two colors in the color combination which is difficult to distinguish by each user, and then the color difference of a display picture is adjusted according to the color difference adjusting matrix and displayed, so that the user can distinguish the colors which are difficult to distinguish, a color blindness mode does not need to be additionally set, graphic auxiliary information does not need to be added to the display picture, the display effect is ensured, manpower is saved, the color difference adjustment can be performed on the display picture according to the color distinguishing capability of each user, and the display method is more intelligent and humanized.
Drawings
In order to more clearly illustrate the technical solutions in the embodiments of the present application, the drawings needed to be used in the description of the embodiments are briefly introduced below, and it is obvious that the drawings in the following description are only some embodiments of the present application, and it is obvious for those skilled in the art to obtain other drawings based on these drawings without creative efforts.
Fig. 1 is a system diagram of a display device according to an embodiment of the present disclosure.
FIG. 2 is a schematic flowchart of a display method provided in an embodiment of the present application;
fig. 3 is a schematic application scenario diagram of a display method provided in an embodiment of the present application;
fig. 4 is a schematic view of another application scenario of the display method provided in the embodiment of the present application;
FIG. 5 is another schematic flow chart diagram of a display method provided in an embodiment of the present application;
fig. 6 is a schematic structural diagram of a display device provided in an embodiment of the present application;
fig. 7 is a schematic structural diagram of a computer device according to an embodiment of the present application.
Detailed Description
The technical solutions in the embodiments of the present application will be clearly and completely described below with reference to the drawings in the embodiments of the present application, and it is obvious that the described embodiments are only a part of the embodiments of the present application, and not all of the embodiments. All other embodiments, which can be derived by a person skilled in the art from the embodiments given herein without making any creative effort, shall fall within the protection scope of the present application.
The embodiment of the application provides a display method, a display device, a storage medium and computer equipment. Specifically, the display method of the embodiment of the present application may be executed by a computer device, where the computer device may be a terminal or a server. The terminal may be a terminal device such as a smart phone, a tablet computer, a notebook computer, a touch screen, a game machine, a Personal Computer (PC), a Personal Digital Assistant (PDA), and the like, and may further include a client, which may be a game application client, a browser client carrying a game program, or an instant messaging client, and the like. The server may be an independent physical server, a server cluster or a distributed system formed by a plurality of physical servers, or a cloud server providing basic cloud computing services such as cloud service, a cloud database, cloud computing, cloud functions, cloud storage, network service, cloud communication, middleware service, domain name service, security service, CDN, and a big data and artificial intelligence platform.
Referring to fig. 1, fig. 1 is a schematic system diagram according to an embodiment of the present application. The system may include at least one terminal 1000, at least one server 2000, at least one database 3000, and a network 4000. The terminal 1000 held by the user can be connected to different servers through the network 4000. Terminal 1000 can be any device having computing hardware capable of supporting and executing software products corresponding to display methods provided by embodiments of the subject application. In addition, when the system includes a plurality of terminals 1000, a plurality of servers 2000, and a plurality of networks 4000, different terminals 1000 may be connected to each other through different networks 4000 and through different servers 2000. The network 4000 may be a wireless network or a wired network, such as a Wireless Local Area Network (WLAN), a Local Area Network (LAN), a cellular network, a 2G network, a 3G network, a 4G network, a 5G network, etc. In addition, different terminals 1000 may be connected to other terminals or a server using their own bluetooth network or hotspot network.
Referring to fig. 2, fig. 2 is a schematic flow chart diagram of a display method provided in an embodiment of the present application, where the method mainly includes steps 101 to 103, and execution main bodies of the steps included in the method may be the same or different, and the execution main body includes a terminal, a server, and the like, and the description for each step is as follows:
step 101: at least one first color combination is determined that is not distinguishable by a user.
Specifically, the first color combination is a color combination that is not distinguishable by a user. For example, if the user is red blind, and the user cannot distinguish between red and dark green, blue and purple, then two first color combinations may be determined, one being red and dark green, and the other being blue, purple, and purple.
It is easy to understand that the resolving power of each color blind and color weakness user to the color is different, for example, it is difficult for the red-green color blind to resolve the red and the green, and it is difficult for the blue-yellow color blind to resolve the blue and the yellow, so by determining the specific color combination that each color blind and color weakness user cannot resolve, and then performing the color difference adjustment to the display picture according to the specific color combination, the resolving power of each color blind and color weakness user to the display picture can be ensured, and the visual experience of each color blind and color weakness user can be ensured.
In some embodiments, step 101 may generally comprise: displaying a first graphical user interface for presenting a color discrimination image; the first color combination is determined according to a discrimination result of the color discrimination image by the user.
For example, referring to fig. 3, fig. 3 is a schematic view of an application scenario of a display method according to an embodiment of the present application, as shown in fig. 3, a terminal 1000 displays a first graphical user interface 100, the first graphical user interface 100 displays a color identification image 110, the color identification image displays a graphic (numeral 4) 111, it should be noted that the color identification image 110, in addition to the graphic (numeral 4) 111, also displays an input area 120 on the first graphical user interface 100, the input area 120 displays a text prompt and a text box, the text box is used to obtain input data of a user, for example, if the user inputs numeral 4 in the text box, it may be considered that the user successfully identifies the color identification image 110, and if the user does not input numeral 4, it may be considered that the user fails to identify the color identification image 110.
In some embodiments, the step of determining the first color combination according to the discrimination result of the user on the color discrimination image may specifically include: the second color combination corresponding to the color discrimination image for which the user discrimination failed is determined as the first color combination.
Specifically, when there are a plurality of color identification images, the color identification images may be sequentially displayed on the first gui according to a predetermined sequence, for example, as shown in fig. 3, when the user inputs a result in the input area 120 and clicks the confirmation button, the first gui 100 should display the next color identification image until all the color identification images are displayed.
It is understood that the color identification image usually displays a geometric figure, a digital figure or an object figure with a hue different from that of the background color, for example, the background color in the color identification image may be a cool hue mainly comprising blue and green, and the color of the figure may be a warm hue mainly comprising red and yellow, so that each color identification image corresponds to a second color combination comprising the background color and the figure color, and a user with normal color vision can easily identify the figure in the color identification image, while a user with color blindness and weak color cannot identify the figure in the color identification image. Therefore, if the user fails to recognize the pattern in the color recognition image, the second color combination corresponding to the color recognition image is determined as the first color combination. For example, as shown in the color discrimination image 110 of fig. 3, if the background color of the color discrimination image 110 may be dark green and the color of the graphic (numeral 4) 111 may be red, the second color corresponding to the color discrimination image 110 is combined into dark green and red, and if the user cannot recognize the numeral 4, the dark green and red are determined as the first color combination.
It is noted that a color conversion button may be provided, and the first graphical user interface is displayed when it is detected that the user clicks the color conversion button. Taking a terminal game as an example, an interface display setting button may be set on an initial interface of the terminal game, for example, a login interface or a main page displayed after login is successful, and when a user clicks the interface display setting button, a first graphical user interface is displayed.
In some embodiments, step 101 may generally comprise: displaying a second graphical user interface, wherein the second graphical user interface is provided with a prompt area and a selection area, the selection area is preset with a plurality of color blindness types for a user to select, each color blindness type corresponds to at least one third color combination, and the prompt area is used for prompting the user to select from the plurality of color blindness types; and determining at least one first color combination according to at least one third color combination corresponding to the color blindness type selected by the user.
Specifically, the color blindness and color weakness user may know the color identification capability of the user through detection, that is, know what type of color blindness the user is, and therefore, may prompt the user to autonomously select the color blindness type.
For example, referring to fig. 4, fig. 4 is a schematic view of another application scenario of the display method provided in the embodiment of the present application, and the terminal 1000 displays a second graphical user interface 200, where the second graphical user interface includes a prompt area 210 and a selection area 220, and a user can select a color blindness type from the selection area 220 according to a prompt of the prompt area 210, and determine at least one first color combination according to at least one third color combination corresponding to the color blindness type.
In some embodiments, the step of "determining at least one first color combination from at least one third color combination" may mainly comprise: if each third color combination comprises two first colors, determining at least one third color combination as at least one first color combination; and if any one third color combination comprises at least three first colors, combining the at least three first colors pairwise to obtain a plurality of fourth color combinations, and determining the fourth color combinations and the third color combinations comprising the two first colors as the plurality of first color combinations.
It is easily understood that human eyes can distinguish different colors due to color differences among colors, and for users with color blindness and color weakness, the color differences among specific colors cannot be distinguished, so that if the users with color blindness and color weakness want to be able to distinguish the specific colors normally, the color differences among the specific colors should be increased. For example, if the user cannot distinguish red from green, the color difference between red and green should be increased when displayed, and if the user cannot distinguish red, blue, and yellow, the color difference between red and blue, the color difference between blue and yellow, and the color difference between red and yellow should be increased when displayed.
For example, if the user selects blue-yellow blind, then a third color combination is associated, which includes two colors: blue and yellow, the two colors can be directly determined as the first color combination. If the user selects the red blind, the two third color combinations are corresponding, one is red and dark green, and the other is blue, purple and purple, the combination of red and dark green can be directly determined as a first color combination, and the blue, purple and purple are combined into three fourth color combinations in pairs: blue and magenta, blue and violet, and magenta and violet, and the fourth color combination is determined to be the first color combination.
Step 102: a first color difference adjustment matrix is determined according to at least one first color combination, and the first color difference adjustment matrix is used for increasing the color difference between any two colors in each first color combination.
In some embodiments, the first color combination includes two second colors, and step 102 may mainly include: minimizing a first formula which takes the color values of two second colors in all first color combinations as parameters and takes a first matrix as a variable to obtain a determined first matrix; and determining a first color difference adjustment matrix according to the determined first matrix and a preset color combination.
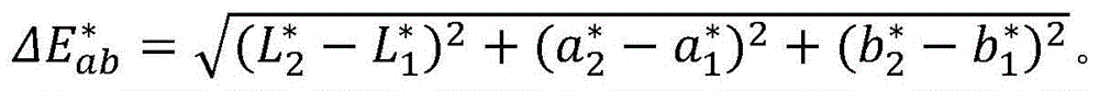
It is to be understood that for two colors a and b, their color values in the CIELAB color space can be expressed asAndfor a normal user, the difference between color a and color b can be expressed as Δ E:for users with achromatopsia, the colors a and b actually seen can be represented as a '= M · a, b' = M · b, where M is a matrix of 3 × 3, and, in this case,will be much less than normalTherefore, a user with achromatopsia cannot distinguish between colors a and b. Therefore, if a user with color blindness and color weakness wants to distinguish the colors a and b, first, a matrix M should be determined, and then a matrix T is obtained according to the matrix M, so that after the color difference adjustment is performed on the colors seen by the user with color blindness and color weakness through the matrix T, the color difference between the colors a 'and b' actually seen is close to the color difference between the colors a and b seen by the normal user.
For ease of understanding, the illustration is made herein in a manner that the image is color-discriminated.
For example, a plurality of color discrimination images are preset in the terminal, each color discrimination image corresponding to a first color combination including two colors, where the color discrimination image with the number i corresponds to a color combination a i ,b i . When the user cannot recognize the color discrimination image, Δ E (M · a) can be considered i ,M·b i ) → 0, when the user can recognize the color discrimination image, it can be said that Δ E (M · C) i,a ,M·C i,b ) Thresh is more than or equal to 0, wherein Thresh is a threshold value capable of distinguishing colors and can be 2.3. Assuming that the color identification images that fail to be identified are numbered Failed, the first matrix (M) can be obtained by performing minimization processing on the first formula using the color values of the two colors corresponding to the color identification images that fail to be identified as parameters and the first matrix (M) as a variable. Wherein the first formula is For example, the first formula can be solved by using the "lagrangian multiplier method", that is:
in some embodiments, the step of "determining a first color adjustment matrix according to the determined first matrix and the preset color combination" may mainly include: and minimizing a second formula which takes the color values of the two third colors in all the preset color combinations and the determined first matrix as parameters and the second matrix as a variable to obtain a determined second matrix, and determining the determined second matrix as a first color difference adjustment matrix.
Specifically, the first matrix M representing the ability of the user to distinguish colors due to color blindness and color weakness is obtained in the above steps, and a final color difference adjustment matrix is obtained from a color combination preset in advance and desired to be distinguishable by the user in order to avoid affecting other displayed colors. For example, if the user cannot distinguish between red and green, and the first matrix M is obtained according to red and green, the display after color conversion may cause that the user cannot distinguish between red and yellow although the user can distinguish between red and green.
Specifically, let the preset color combination numbered n be a n ,b n The preset color combination may be expressed as { (a) n ,b n ) If n belongs to Target, the color values of two third colors in all the preset color combinations and the determined first matrix M are taken as parameters, and the second formula taking the second matrix T as a variable is sigma i∈Target |ΔE(M·T·a n ,M·T·b n )-ΔE(a n ,b n )| 2 Wherein, Δ E (a) n ,b n ) Color a seen by normal user n And color b n In order to make the color difference seen by the user with color blindness and color weakness approximate to the color difference seen by the normal user, a certain second matrix T is obtained to make the second formula the minimum value, namely the color difference seen by the user with color blindness and color weakness is closest to the color difference seen by the normal userFor example, the second formula can be solved using the "lagrangian multiplier method", i.e.:and after the determined second matrix T is obtained, determining the determined second matrix T as a first color difference adjustment matrix. Therefore, after the color difference adjustment is carried out on the display picture according to the first color difference adjustment matrix in the subsequent steps, the user with color blindness and color weakness can be ensured to distinguish each color of the display picture.
In some embodiments, after obtaining the first color difference adjustment matrix, the first color difference adjustment matrix and the corresponding relationship between the first color difference adjustment matrix and the user with color blindness and color weakness are stored in a computer device.
In this embodiment, the display method further includes: confirming identity information of a user; and if the second color difference adjustment matrix matched with the identity information exists, performing color adjustment on the display picture according to the second color difference adjustment matrix and then displaying the display picture.
Specifically, the identity information of the user may be confirmed by acquiring facial features, fingerprint features, and the like of the user. Taking a terminal game as an example, the information of the color blindness and color weakness user who logs in the terminal game can be stored in a server corresponding to the terminal game, and when the user is determined to be the color blindness and color weakness user by obtaining the account information of the terminal game, the second color difference adjustment matrix corresponding to the color blindness and color weakness user stored in the server can be directly obtained, and the display picture is displayed after color difference adjustment is performed according to the second color difference adjustment matrix. Therefore, even if the user with color blindness and color weakness logs in the terminal game by replacing the terminal, the color difference of the display picture can be directly adjusted according to the second color difference adjustment matrix, so that the display method is simpler and more efficient.
Step 103: and displaying the display picture after performing color difference adjustment on the display picture according to the first color difference adjustment matrix.
It is easy to understand that, assuming that the color observed by the normal user is C and the color observed by the achromate is C '= C · M, the color observed by the achromate is C' = C · T · M after the adjustment according to the first color difference adjustment matrix, and the color observed by the achromate is closer to the color observed by the normal person because M and T in the achromate are approximately cancelled out by each other.
According to the display method provided by the embodiment of the application, at least one first color combination which cannot be distinguished by a user is determined, and then a first color difference adjusting matrix is determined according to the at least one first color combination and is used for increasing the color difference between any two colors in each first color combination and displaying a display picture after the color difference adjustment is carried out on the display picture according to the first color difference adjusting matrix, so that the user can distinguish colors which are difficult to distinguish, a color blind mode does not need to be additionally arranged, and graphic auxiliary information does not need to be added to the display picture, the display effect is guaranteed, manpower is saved, the color difference adjustment can be carried out on the display picture according to the distinguishing capability of the color of each user, and the display picture is more intelligent and humanized.
Referring to fig. 5, fig. 5 is another schematic flow chart of a display method according to an embodiment of the present disclosure. The specific process of the method can be as follows:
step 201: displaying a first graphical user interface for presenting color discrimination images, each color discrimination image corresponding to at least one set of second color combinations.
In particular, the display of the first graphical user interface may be triggered by a display instruction, for example, a color shift button may be provided, a display instruction is generated when it is detected that the user clicks the color shift button, and the computer device displays the first graphical user interface in response to the display instruction. Taking a terminal game as an example, an interface display setting button may be set on an initial interface of the terminal game, for example, a login interface or a main page displayed after login is successful, and when a user clicks the interface display setting button, a first graphical user interface is displayed.
In some embodiments, the display method may further include: confirming identity information of a user; if a second color difference adjusting matrix matched with the identity information exists, performing color adjustment on the display picture according to the second color difference adjusting matrix and then displaying the display picture; if there is no second color difference adjustment matrix matching the identity information, step 201 is performed.
The identity information of the user can be confirmed by acquiring facial features, fingerprint features and the like of the user. Taking a terminal game as an example, the information of the color-blind and color-weak users logging in the terminal game may be stored in a server corresponding to the terminal game, and when the user is determined to be the color-blind and color-weak user by obtaining the account information of the terminal game, the second color difference adjustment matrix corresponding to the color-blind and color-weak user stored in the server may be directly obtained, and the display picture may be displayed after being converted according to the second color difference adjustment matrix. Therefore, even if the user with color blindness and color weakness replaces the terminal to log in the terminal game, the display picture can be directly converted according to the second color difference adjusting matrix, and the display method is simpler and more efficient. If the second color difference adjustment matrix corresponding to the user is not obtained, step 201 is executed to determine the color difference adjustment matrix corresponding to the user in the subsequent steps, and the color difference adjustment matrix is stored in the server or the terminal.
Step 202: and acquiring the discrimination result of the user on the color discrimination image, and determining a second color combination corresponding to the color discrimination image which is failed to be discriminated by the user as a first color combination which cannot be discriminated by the user.
For example, referring to fig. 3, fig. 3 is a schematic view of an application scenario of a display method according to an embodiment of the present application, as shown in fig. 3, a terminal 1000 displays a first graphical user interface 100, the first graphical user interface 100 displays a color identification image 110, the color identification image displays a graphic (numeral 4) 111, it should be noted that the color identification image 110, in addition to the graphic (numeral 4) 111, also displays an input area 120 on the first graphical user interface 100, the input area 120 displays a text prompt and a text box, the text box is used to obtain input data of a user, for example, if the user inputs numeral 4 in the text box, it may be considered that the user successfully identifies the color identification image 110, and if the user does not input numeral 4, it may be considered that the user fails to identify the color identification image 110.
Specifically, when there are a plurality of color identification images, the color identification images may be sequentially displayed on the first gui according to a predetermined sequence, for example, as shown in fig. 3, when the user inputs a result in the input area 120 and clicks the confirmation button, the first gui 100 should display the next color identification image until all the color identification images are displayed.
It is understood that the color identification image usually displays a geometric figure, a digital figure or an object figure with a hue different from that of the background color, for example, the background color in the color identification image may be a cool hue mainly comprising blue and green, and the color of the figure may be a warm hue mainly comprising red and yellow, so that each color identification image corresponds to a second color combination comprising the background color and the figure color, and a user with normal color vision can easily identify the figure in the color identification image, while a user with color blindness and weak color cannot identify the figure in the color identification image. Therefore, if the user fails to recognize the pattern in the color recognition image, the second color combination corresponding to the color recognition image is determined as the first color combination. For example, as in the color discrimination image 110 shown in fig. 3, if the background color of the color discrimination image 110 may be dark green and the color of the graphic (numeral 4) 111 may be red, the second color corresponding to the color discrimination image 110 is combined into dark green and red, and if the numeral 4 cannot be recognized by the user, the dark green and red are determined as the first color combination.
Step 203: a first color difference adjustment matrix is determined based on the first color combinations, the first color difference adjustment matrix being used to increase the color difference between any two colors in each of the first color combinations. The specific implementation of step 202 can refer to the embodiment of step 102, and is not described herein again.
Step 204: and displaying the display picture after performing color difference adjustment on the display picture according to the first color difference adjustment matrix. The specific implementation of step 204 can refer to the embodiment of step 103, which is not described herein again.
The display method provided by the embodiment of the application is applied to computer equipment, and comprises the steps of firstly, displaying a first graphic user interface, wherein the first graphic user interface is used for displaying a color identification image, each color identification image corresponds to at least one group of second color combinations, then, obtaining the identification result of a user on the color identification image, and determining the second color combination corresponding to the color identification image which is failed in identification of the user as a first color combination, so that the identification capability of each user on colors can be determined, compared with additionally setting a uniform color blindness mode, the color difference adjustment can be performed on a display picture according to the identification capability of each user on colors, and the display picture is more intelligent and humanized, then, determining a first color difference adjustment matrix according to the first color combination, wherein the first color difference adjustment matrix is used for increasing the color difference between any two colors in each first color combination, and then, the display picture is displayed after the color difference adjustment is performed according to the first color difference adjustment matrix, so that the user can distinguish colors which is difficult to distinguish, and no auxiliary information needs to be added to the display picture, thereby ensuring the display effect of manpower and saving the manpower.
In order to better implement the display method of the embodiments of the present application, embodiments of the present application further provide a display device. Referring to fig. 6, fig. 6 is a schematic structural diagram of a display device according to an embodiment of the present disclosure. The display device 10 may include a first determination module 11, a second determination module 12, and a display module 13.
The first determining module 11 is configured to determine at least one first color combination that cannot be resolved by a user.
A second determining module 12, configured to determine a first color difference adjustment matrix according to at least one first color combination, where the first color difference adjustment matrix is used to increase a color difference between any two colors in each first color combination.
And the display module 13 is configured to perform color difference adjustment on the display picture according to the first color difference adjustment matrix and then display the display picture.
Specifically, the first determining module 11 may be mainly configured to: displaying a first graphical user interface for displaying a color discrimination image; a first color combination is determined according to a discrimination result of the color discrimination image by the user.
Further, the color discrimination image is a plurality of color discrimination images, each color discrimination image corresponding to a group of second color combinations, and the first determining module 11 may specifically be configured to: the second color combination corresponding to the color discrimination image for which the user discrimination failed is determined as the first color combination.
Specifically, the first determining module 11 may be mainly configured to: displaying a second graphical user interface, wherein the second graphical user interface is provided with a prompt area and a selection area, the selection area is preset with a plurality of color blindness types for a user to select, each color blindness type corresponds to at least one third color combination, and the prompt area is used for prompting the user to select at least one time from the plurality of color blindness types; and determining at least one first color combination according to at least one third color combination corresponding to the color blindness type selected by the user.
Further, the first determining module 11 may specifically be configured to: if each third color combination comprises two first colors, determining at least one group of third color combinations as at least one first color combination; and if any one third color combination comprises at least three first colors, combining the at least three first colors pairwise to obtain a plurality of fourth color combinations, and determining the fourth color combinations and the third color combinations comprising the two first colors as the plurality of first color combinations.
Specifically, the first color combination includes two second colors, and the second determining module 12 is mainly configured to: minimizing a first formula which takes the color values of two second colors in all first color combinations as parameters and takes a first matrix as a variable to obtain a determined first matrix; and determining a first color difference adjustment matrix according to the determined first matrix and a preset color combination.
Further, the second determining module 12 may specifically be configured to: and minimizing a second formula which takes the color values of the two third colors in all the preset color combinations and the determined first matrix as parameters and the second matrix as a variable to obtain a determined second matrix, and determining the determined second matrix as a first color difference adjustment matrix.
In some embodiments, the display device 10 may further include a confirmation module for confirming the identity information of the user; and if the second color difference adjustment matrix matched with the identity information exists, performing color difference adjustment on the display picture according to the second color difference adjustment matrix and then displaying the display picture.
The display device 10 provided in the embodiment of the application determines, by the first determining module 11, at least one first color combination that cannot be distinguished by a user, and then the second determining module 12 determines a first color difference adjustment matrix according to the at least one first color combination, where the first color difference adjustment matrix is used to increase a color difference between any two colors in each first color combination, and then the display module 13 performs color difference adjustment and display on a display picture according to the first color difference adjustment matrix, so that the user can distinguish colors that are difficult to distinguish, and it is not necessary to additionally set a color blindness mode, and it is also not necessary to add graphic auxiliary information to the display picture, which not only ensures a display effect but also saves manpower, and can perform color difference adjustment on the display picture according to the color distinguishing capability of each user, and is more intelligent and humanized.
In addition, the embodiment of the present application further provides a computer device, where the computer device may be a terminal, and the terminal may be a terminal device such as a smart phone, a tablet computer, a notebook computer, a touch screen, a game console, a Personal Computer (PC), a Personal Digital Assistant (PDA), and the like. As shown in fig. 7, fig. 7 is a schematic structural diagram of a computer device according to an embodiment of the present application. The computer apparatus 1000 includes a processor 601 with one or more processing cores, a memory 602 with one or more computer-readable storage media, and a computer program stored on the memory 602 and executable on the processor. The processor 601 is electrically connected to the memory 602. Those skilled in the art will appreciate that the computer device configurations illustrated in the figures are not meant to be limiting of computer devices and may include more or fewer components than those illustrated, or some components may be combined, or a different arrangement of components.
The processor 601 is a control center of the computer apparatus 1000, connects various parts of the entire computer apparatus 1000 using various interfaces and lines, performs various functions of the computer apparatus 1000 and processes data by running or loading software programs and/or modules stored in the memory 602, and calling data stored in the memory 602, thereby performing overall monitoring of the computer apparatus 1000.
In the embodiment of the present application, the processor 601 in the computer device 1000 loads instructions corresponding to processes of one or more applications into the memory 602, and the processor 601 executes the applications stored in the memory 602 according to the following steps, so as to implement various functions:
determining at least one first color combination that is not distinguishable by a user;
determining a first color difference adjustment matrix according to at least one first color combination, wherein the first color difference adjustment matrix is used for increasing the color difference between any two colors in each first color combination;
and displaying the display picture after performing color difference adjustment on the display picture according to the first color difference adjustment matrix.
The above operations can be implemented in the foregoing embodiments, and are not described in detail herein.
Optionally, as shown in fig. 7, the computer device 1000 further includes: touch display screen 603, radio frequency circuit 604, audio circuit 605, input unit 606, and power supply 607. The processor 601 is electrically connected to the touch display screen 603, the radio frequency circuit 604, the audio circuit 605, the input unit 606, and the power supply 607. Those skilled in the art will appreciate that the computer device configuration illustrated in FIG. 7 does not constitute a limitation of computer devices, and may include more or fewer components than those illustrated, or some components may be combined, or a different arrangement of components.
The touch display screen 603 can be used for displaying a graphical user interface and receiving an operation instruction generated by a user acting on the graphical user interface. The touch display screen 603 may include a display panel and a touch panel. The display panel may be used, among other things, to display information entered by or provided to a user and various graphical user interfaces of the computer device, which may be made up of graphics, text, icons, video, and any combination thereof. Alternatively, the display panel may be configured in the form of a Liquid Crystal Display (LCD), an organic light-emitting diode (OLED), or the like. The touch panel may be used to collect touch operations of a user on or near the touch panel (for example, operations of the user on or near the touch panel using any suitable object or accessory such as a finger, a stylus pen, and the like), and generate corresponding operation instructions, and the operation instructions execute corresponding programs. Alternatively, the touch panel may include two parts, a touch detection device and a touch controller. The touch detection device detects the touch direction of a user, detects a signal brought by touch operation and transmits the signal to the touch controller; the touch controller receives touch information from the touch sensing device, converts the touch information into touch point coordinates, sends the touch point coordinates to the processor 601, and can receive and execute commands sent by the processor 601. The touch panel may overlay the display panel, and when the touch panel detects a touch operation thereon or nearby, the touch panel may transmit the touch operation to the processor 601 to determine the type of the touch event, and then the processor 601 may provide a corresponding visual output on the display panel according to the type of the touch event. In the embodiment of the present application, the touch panel and the display panel may be integrated into the touch display screen 603 to implement input and output functions. However, in some embodiments, the touch panel and the touch panel can be implemented as two separate components to perform the input and output functions. That is, the touch display screen 603 can also be used as a part of the input unit 606 to implement an input function.
In this embodiment, a processor 601 executes a game application to generate a graphical user interface on a touch display screen 603, where a virtual scene on the graphical user interface includes a 3D model.
The rf circuit 604 may be used for transceiving rf signals to establish wireless communication with a network device or other computer device through wireless communication, and for transceiving signals with the network device or other computer device.
The audio circuit 605 may be used to provide an audio interface between a user and a computer device through speakers and microphones. The audio circuit 605 may transmit the electrical signal converted from the received audio data to a speaker, and convert the electrical signal into a sound signal for output; on the other hand, the microphone converts the collected sound signal into an electrical signal, which is received by the audio circuit 605 and converted into audio data, which is then processed by the audio data output processor 601, and then transmitted to, for example, another computer device via the radio frequency circuit 604, or output to the memory 602 for further processing. The audio circuit 605 may also include an earbud jack to provide communication of peripheral headphones with the computer device.
The input unit 606 may be used to receive input numbers, character information, or user characteristic information (e.g., fingerprint, iris, facial information, etc.), and generate keyboard, mouse, joystick, optical, or trackball signal inputs related to user settings and function control.
The power supply 607 is used to power the various components of the computer device 1000. Optionally, the power supply 607 may be logically connected to the processor 601 through a power management system, so as to implement functions of managing charging, discharging, and power consumption management through the power management system. The power supply 607 may also include any component including one or more dc or ac power sources, recharging systems, power failure detection circuitry, power converters or inverters, power status indicators, and the like.
Although not shown in fig. 7, the computer device 1000 may further include a camera, a sensor, a wireless fidelity module, a bluetooth module, etc., which are not described in detail herein.
In the foregoing embodiments, the descriptions of the respective embodiments have respective emphasis, and for parts that are not described in detail in a certain embodiment, reference may be made to the related descriptions of other embodiments.
As can be seen from the above, the computer device provided in this embodiment determines at least one first color combination that is not distinguishable by the user; determining a first color difference adjustment matrix according to at least one first color combination, wherein the first color difference adjustment matrix is used for increasing the color difference between any two colors in each first color combination; the display frame is displayed after the color difference adjustment is carried out according to the first color difference adjustment matrix, so that the user can distinguish colors which are difficult to distinguish, a color blindness mode does not need to be additionally set, graphic auxiliary information does not need to be added to the display frame, the display effect is guaranteed, manpower is saved, the color difference adjustment can be carried out on the display frame according to the color distinguishing capability of each user, and the display frame is more intelligent and humanized.
It will be understood by those skilled in the art that all or part of the steps of the methods of the above embodiments may be performed by instructions or by associated hardware controlled by the instructions, which may be stored in a computer readable storage medium and loaded and executed by a processor.
To this end, the present application provides a computer-readable storage medium, in which a plurality of computer programs are stored, and the computer programs can be loaded by a processor to execute the steps in any one of the display methods provided by the embodiments of the present application. For example, the computer program may perform the steps of: determining at least one first color combination that is not distinguishable by a user; determining a first color difference adjustment matrix according to at least one first color combination, wherein the first color difference adjustment matrix is used for increasing the color difference between any two colors in each first color combination; and displaying the display picture after performing color difference adjustment on the display picture according to the first color difference adjustment matrix.
The above operations can be implemented in the foregoing embodiments, and are not described in detail herein.
Wherein the storage medium may include: a Read Only Memory (ROM), a Random Access Memory (RAM), a magnetic disk or an optical disk, and the like.
Since the computer program stored in the storage medium can execute the steps in any display method provided in the embodiment of the present application, beneficial effects that can be achieved by any display method provided in the embodiment of the present application can be achieved, for details, see the foregoing embodiment, and are not described herein again.
The display method, the display device, the storage medium, and the computer apparatus provided in the embodiments of the present application are described in detail above, and a specific example is applied in the present application to explain the principles and embodiments of the present application, and the description of the above embodiments is only used to help understand the method and the core idea of the present application; meanwhile, for those skilled in the art, according to the idea of the present application, there may be variations in the specific embodiments and the application scope, and in summary, the content of the present specification should not be construed as a limitation to the present application.
Claims (10)
1. A display method, comprising:
determining at least one first color combination that is not distinguishable by a user;
determining a first color difference adjustment matrix according to the at least one first color combination, wherein the first color difference adjustment matrix is used for increasing the color difference between any two colors in each first color combination;
performing color difference adjustment on a display picture according to the first color difference adjustment matrix and then displaying the display picture;
the first color combination comprises two second colors, and the determining of the first color difference adjustment matrix according to the at least one first color combination comprises:
minimizing a first formula which takes the color values of the two second colors in all the first color combinations as parameters and takes a first matrix as a variable to obtain a determined first matrix;
determining a first color difference adjustment matrix according to the determined first matrix and a preset color combination;
2. The method of claim 1, wherein the determining at least one first color combination that is not resolvable by a user comprises:
displaying a first graphical user interface for presenting a color discrimination image;
determining a first color combination according to a discrimination result of the color discrimination image by the user.
3. The display method according to claim 2, wherein the color discrimination image is plural, each of the color discrimination images corresponds to a group of the second color combinations, and the determining the first color combination according to the discrimination result of the color discrimination image by the user includes:
determining a second color combination corresponding to the color recognition image in which the user recognition fails as a first color combination.
4. The method of claim 1, wherein determining at least one first color combination that is not resolvable by a user comprises:
displaying a second graphical user interface, wherein the second graphical user interface is provided with a prompt area and a selection area, the selection area is preset with a plurality of color blindness types for a user to select, each color blindness type corresponds to at least one third color combination, and the prompt area is used for prompting the user to select at least one time from the plurality of color blindness types;
and determining at least one first color combination according to at least one third color combination corresponding to the color blindness type selected by the user.
5. The method of claim 4, wherein determining at least one first color combination from the at least one third color combination comprises:
if each third color combination comprises two first colors, determining the at least one group of third color combinations as at least one first color combination;
if any one third color combination comprises at least three first colors, combining the at least three first colors pairwise to obtain a plurality of fourth color combinations, and determining the fourth color combinations and the third color combinations comprising the two first colors as the plurality of first color combinations.
6. The method according to claim 5, wherein each of the preset color combinations comprises two third colors, and the determining a first color adjustment matrix according to the determined first matrix and the preset color combination comprises:
minimizing a second formula which takes the color values of the two third colors in all the preset color combinations and the determined first matrix as parameters and takes the second matrix as a variable to obtain a determined second matrix, and determining the determined second matrix as a first color difference adjustment matrix;
wherein the second formula is Σ i∈Target |ΔE(M·T·a n ,M·T·b n )-ΔE(a n ,b n )| 2 ,ΔE(a n ,b n ) Color a seen by normal user n And color b n The color difference between (T) and (D) is a second matrix.
7. The display method according to claim 1, further comprising:
confirming identity information of a user;
and if a second color difference adjustment matrix matched with the identity information exists, performing color difference adjustment on a display picture according to the second color difference adjustment matrix and then displaying the display picture.
8. A display device, comprising:
the device comprises a first determining module, a second determining module and a display module, wherein the first determining module is used for determining at least one first color combination which cannot be distinguished by a user, and the first color combination comprises two second colors;
a second determining module, configured to determine a first color difference adjustment matrix according to the at least one first color combination, where the first color difference adjustment matrix is used to increase a color difference between any two colors in each of the first color combinations;
the display module is used for displaying a display picture after performing color difference adjustment on the display picture according to the first color difference adjustment matrix;
the second determining module is configured to perform minimization processing on a first formula which takes color values of two second colors in all the first color combinations as parameters and takes the first matrix as a variable, so as to obtain a determined first matrix;
determining a first color difference adjustment matrix according to the determined first matrix and a preset color combination;
9. A computer device comprising a memory, a processor and a computer program stored on the memory and executable on the processor, wherein the processor implements the steps of the method according to any one of claims 1 to 7 when executing the computer program.
10. A storage medium having a computer program stored thereon, wherein the computer program when executed by a processor implements the steps of the method of any one of claims 1 to 7.
Priority Applications (1)
| Application Number | Priority Date | Filing Date | Title |
|---|---|---|---|
| CN202110335898.8A CN113032076B (en) | 2021-03-29 | 2021-03-29 | Display method, display device, computer equipment and storage medium |
Applications Claiming Priority (1)
| Application Number | Priority Date | Filing Date | Title |
|---|---|---|---|
| CN202110335898.8A CN113032076B (en) | 2021-03-29 | 2021-03-29 | Display method, display device, computer equipment and storage medium |
Publications (2)
| Publication Number | Publication Date |
|---|---|
| CN113032076A CN113032076A (en) | 2021-06-25 |
| CN113032076B true CN113032076B (en) | 2022-12-13 |
Family
ID=76452765
Family Applications (1)
| Application Number | Title | Priority Date | Filing Date |
|---|---|---|---|
| CN202110335898.8A Active CN113032076B (en) | 2021-03-29 | 2021-03-29 | Display method, display device, computer equipment and storage medium |
Country Status (1)
| Country | Link |
|---|---|
| CN (1) | CN113032076B (en) |
Families Citing this family (2)
| Publication number | Priority date | Publication date | Assignee | Title |
|---|---|---|---|---|
| CN114650444A (en) * | 2022-03-28 | 2022-06-21 | 深圳市雷鸟网络传媒有限公司 | Display method, device, storage medium and electronic device |
| CN114885148B (en) * | 2022-04-28 | 2023-11-28 | 深圳市华星光电半导体显示技术有限公司 | Display method of stereoscopic display system and stereoscopic display system |
Citations (1)
| Publication number | Priority date | Publication date | Assignee | Title |
|---|---|---|---|---|
| CN106097990A (en) * | 2016-05-13 | 2016-11-09 | 联想(北京)有限公司 | A kind of display control method and electronic equipment |
Family Cites Families (8)
| Publication number | Priority date | Publication date | Assignee | Title |
|---|---|---|---|---|
| US20130033776A1 (en) * | 2011-08-05 | 2013-02-07 | Harding Brett T | Optical Element for Correcting Color Blindness |
| US8977051B2 (en) * | 2013-03-15 | 2015-03-10 | Show Chwan Memorial Hospital | Image enhancement method for improving color perception of colorblind viewers |
| KR102261422B1 (en) * | 2015-01-26 | 2021-06-09 | 삼성디스플레이 주식회사 | A display apparatus |
| KR102393373B1 (en) * | 2015-06-12 | 2022-05-03 | 삼성디스플레이 주식회사 | Display apparatus and method of driving the same |
| CN106155483A (en) * | 2016-06-30 | 2016-11-23 | 乐视控股(北京)有限公司 | Display packing and terminal |
| CN106354456A (en) * | 2016-08-22 | 2017-01-25 | 上海亿账通互联网科技有限公司 | Page color adjustment method and corresponding terminal device and server |
| CN108600555A (en) * | 2018-06-15 | 2018-09-28 | 努比亚技术有限公司 | A kind of screen color method of adjustment, mobile terminal and computer readable storage medium |
| CN111796889A (en) * | 2020-04-14 | 2020-10-20 | 北京沃东天骏信息技术有限公司 | Terminal interface color correction method, device, electronic equipment and terminal |
-
2021
- 2021-03-29 CN CN202110335898.8A patent/CN113032076B/en active Active
Patent Citations (1)
| Publication number | Priority date | Publication date | Assignee | Title |
|---|---|---|---|---|
| CN106097990A (en) * | 2016-05-13 | 2016-11-09 | 联想(北京)有限公司 | A kind of display control method and electronic equipment |
Also Published As
| Publication number | Publication date |
|---|---|
| CN113032076A (en) | 2021-06-25 |
Similar Documents
| Publication | Publication Date | Title |
|---|---|---|
| CN111476780B (en) | Image detection method and device, electronic equipment and storage medium | |
| CN109191410B (en) | Face image fusion method and device and storage medium | |
| CN107256555B (en) | An image processing method, device and storage medium | |
| US20210049356A1 (en) | Method for Detecting Key Points in Skeleton, Apparatus, Electronic Device and Storage Medium | |
| CN107038681B (en) | Image blurring method and device, computer readable storage medium and computer device | |
| CN106529339A (en) | Picture display method, device and terminal | |
| CN115761867A (en) | Identity detection method, device, medium and equipment based on face image | |
| CN113032076B (en) | Display method, display device, computer equipment and storage medium | |
| CN113018856A (en) | Image processing method, image processing device, electronic equipment and storage medium | |
| CN110097570A (en) | Image processing method and device | |
| CN112053416B (en) | Image processing method, device, storage medium and computer equipment | |
| CN113343207A (en) | Information verification method and device, computer equipment and storage medium | |
| CN116382540A (en) | Display method and device for electronic paper, electronic equipment and storage medium | |
| CN108038889A (en) | The processing method and mobile terminal of a kind of image color cast | |
| KR20200101067A (en) | Electronic device for displaying execution screen of application and controlling method thereof | |
| CN117274432B (en) | Method, device, equipment and readable storage medium for generating image edge special effect | |
| CN112837403A (en) | Mapping drawing method and device, computer equipment and storage medium | |
| CN113676663B (en) | Camera white balance adjustment method, device, storage medium and terminal equipment | |
| CN117032540A (en) | Interactive operation response method, device, computer equipment and storage medium | |
| CN116382541A (en) | Display method and device for electronic paper, electronic equipment and storage medium | |
| CN115223221A (en) | Face detection method, device, electronic device and storage medium | |
| CN114159786A (en) | Information display method and device, computer equipment and storage medium | |
| CN115660962A (en) | Image processing method, device, equipment and readable storage medium | |
| CN107194363B (en) | Image saturation processing method and device, storage medium and computer equipment | |
| CN113706371A (en) | Special effect checking method and device and electronic equipment |
Legal Events
| Date | Code | Title | Description |
|---|---|---|---|
| PB01 | Publication | ||
| PB01 | Publication | ||
| SE01 | Entry into force of request for substantive examination | ||
| SE01 | Entry into force of request for substantive examination | ||
| GR01 | Patent grant | ||
| GR01 | Patent grant |













